CN112839374A - 功率控制方法及设备 - Google Patents
功率控制方法及设备 Download PDFInfo
- Publication number
- CN112839374A CN112839374A CN201911157710.4A CN201911157710A CN112839374A CN 112839374 A CN112839374 A CN 112839374A CN 201911157710 A CN201911157710 A CN 201911157710A CN 112839374 A CN112839374 A CN 112839374A
- Authority
- CN
- China
- Prior art keywords
- bypass
- power control
- pscch
- transmit power
- psfch
- Prior art date
- Legal status (The legal status is an assumption and is not a legal conclusion. Google has not performed a legal analysis and makes no representation as to the accuracy of the status listed.)
- Pending
Links
Images
Classifications
-
- H—ELECTRICITY
- H04—ELECTRIC COMMUNICATION TECHNIQUE
- H04W—WIRELESS COMMUNICATION NETWORKS
- H04W52/00—Power management, e.g. Transmission Power Control [TPC] or power classes
- H04W52/04—Transmission power control [TPC]
- H04W52/06—TPC algorithms
- H04W52/08—Closed loop power control
-
- H—ELECTRICITY
- H04—ELECTRIC COMMUNICATION TECHNIQUE
- H04W—WIRELESS COMMUNICATION NETWORKS
- H04W52/00—Power management, e.g. Transmission Power Control [TPC] or power classes
- H04W52/04—Transmission power control [TPC]
- H04W52/18—TPC being performed according to specific parameters
- H04W52/24—TPC being performed according to specific parameters using SIR [Signal to Interference Ratio] or other wireless path parameters
- H04W52/242—TPC being performed according to specific parameters using SIR [Signal to Interference Ratio] or other wireless path parameters taking into account path loss
Landscapes
- Engineering & Computer Science (AREA)
- Computer Networks & Wireless Communication (AREA)
- Signal Processing (AREA)
- Mobile Radio Communication Systems (AREA)
Abstract
本申请实施例提供了一种功率控制方法及设备,其中一种功率控制方法包括:获取用于第一UE发送的旁路物理控制信道PSCCH和/或旁路物理数据信道PSSCH的基于旁路路损的功率控制的配置信息,配置信息指示闭环功率控制;接收由第二UE发送的旁路发送功率控制指令;根据旁路发送功率控制指令,确定发送给第二UE的PSCCH和/或PSSCH的发送功率。本申请所提供的方法实现了基于旁路路损的闭环功率控制。
Description
技术领域
本申请涉及无线通信技术领域,具体而言,本申请涉及功率控制方法及设备。
背景技术
在3GPP LTE(Long Term Evolution,长期演进)标准中,终端设备到终端设备(User Equipment,UE)之间的直接通信链路称为旁路(Sidelink,SL),和上行链路(Downlink,DL)以及下行链路(Uplink,UL)类似,旁路上也存在控制信道和数据信道,前者称为旁路物理控制信道(PSCCH,Physical Sidelink Control Channel),后者称为旁路物理数据信道(PSSCH,Physical Sidelink Shared Channel)。PSCCH用于指示PSSCH传输的时频域资源位置、调制编码方式等信息,PSSCH用于承载数据。
从资源分配机制角度来看,现有LTE V2X技术共包括两种模式,即基于基站调度的资源分配模式(Mode 3),也称为集中式资源分配模式,以及UE自主选择的资源分配模式(Mode 4),也称为分布式资源分配模式。对于Mode 3,UE基于接收基站的下行控制信道确定基站分配的旁路资源,通过合理的基站调度策略能够避免不同UE之间的干扰。而对于Mode4,基站不参与具体的资源分配,UE基于对旁路信道的检测自主确定旁路资源,通过对UE自主的资源分配算法的合理设计来降低不同UE之间的干扰水平。由于现有LTE V2X技术在设计之初主要用于支持广播业务,因此,目前Mode 3和Mode 4在物理层均采用广播的发送方式,即UE发送的物理信道被一定范围内的所有UE接收并解码。此外,对于处于蜂窝网覆盖范围内(In Coverage,IC)的UE,Mode 3和Mode 4的传输都支持基于下行路损的开环功率控制,即,基于UE与所在小区的基站之间的下行路损(Pathloss)计算旁路信道的开环发送功率。
在3GPP 5G(Fifth-Generation New Radio,第五代移动通信)新空口(New Radio,NR)系统,V2X是Rel-16 NR标准的工作项目(Woring Item,WI)之一。在NR V2X系统中,资源分配方式与LTE V2X类似,包括基于基站调度的资源分配模式(Mode 1)、以及UE自主选择的资源分配模式(Mode 2)。NR V2X为了支持更多的数据业务类型,旁路通信除了支持广播传输之外,还支持组播传输(即UE发送的物理信道被一定范围的一组UE接收并解码)和单播传输(即UE发送的物理信道被一定范围的另一个UE接收并解码),为了在满足旁路传输性能的要求下尽可能降低UE的发送功率,从而降低UE之间的干扰水平,组播和单播传输都支持基于两个UE之间的旁路路损计算开环发送功率。特别地,针对单播传输,还可能支持基于两个UE之间的旁路路损计算闭环发送功率,针对基于旁路路损的闭环功率控制,相关技术细节还不清晰。
发明内容
本申请针对现有的方式的缺点,提出一种功率控制方法及设备,用以解决上述的技术缺陷。
第一方面,提供了一种功率控制方法,应用于第一用户设备UE,包括:
获取用于第一UE发送的旁路物理控制信道PSCCH和/或旁路物理数据信道PSSCH的基于旁路路损的功率控制的配置信息,配置信息指示闭环功率控制;
接收由第二UE发送的旁路发送功率控制指令;
根据旁路发送功率控制指令,确定发送给第二UE的PSCCH和/或PSSCH的发送功率。
可选地,根据旁路发送功率控制指令,确定发送给第二UE的PSCCH和/或PSSCH的发送功率,包括:
将旁路发送功率控制指令发送给基站;
接收由基站发送的用于第一UE发送给第二UE的PSCCH和/或PSSCH的旁路发送功率控制指令;
根据基站发送的旁路功率控制信令,确定发送给第二UE的PSCCH和/或PSSCH的发送功率。
可选地,配置信息被包括在资源池的配置信息中;或者,配置信息是针对每个UE配置的。
可选地,配置信息指示的闭环功率控制只有在满足以下至少一个条件时才生效:
第一UE在发送资源池上测量的信道繁忙程度CBR高于预定义或预配置的阈值;
第一UE发送给第二UE的PSCCH和/或PSSCH的旁路功率余量SL PHR低于预定义或预配置的阈值。
可选地,确定PSCCH和/或PSSCH的发送功率,包括:
将旁路最大发送功率、基于PSSCH承载的数据的优先级以及资源池上测量的CBR范围所配置的旁路最大发送功率、基于下行路损的发送功率、根据旁路发送功率控制指令确定的基于旁路路损的发送功率中取值最小的一项,确定为PSCCH和/或PSSCH的发送功率。
可选地,根据旁路发送功率控制指令确定基于旁路路损的发送功率包括以下任意一项:
根据当前接收到的旁路发送功率控制指令以及之前接收到的旁路发送功率控制指令的累加值,确定基于旁路路损的发送功率;
根据当前接收到的旁路发送功率指令,确定基于旁路路损的发送功率。
可选地,接收第二UE发送的旁路发送功率控制指令,包括:
接收第二UE通过物理旁路反馈信道PSFCH发送的旁路发送功率控制指令。
可选地,接收第二UE通过物理旁路反馈信道PSFCH发送的旁路发送功率控制指令,包括以下任意一种:
接收通过PSFCH的传输参数指示的旁路发送功率控制指令;
接收通过PSFCH承载的确认ACK或非确认NACK信息指示的旁路发送功率控制指令;
接收通过PSFCH承载的信息比特指示的旁路发送功率控制指令。
可选地,接收通过PSFCH的传输参数指示的旁路发送功率控制指令,包括以下至少一项:
接收通过PSFCH的信号序列指示的旁路发送功率控制指令;
接收通过PSFCH的解调参考信号DMRS指示的旁路发送功率控制指令;
接收通过PSFCH的正交掩码指示的旁路发送功率控制指令;
接收通过PSFCH的资源指示的旁路发送功率控制指令。
可选地,接收通过PSFCH承载的确认ACK或非确认NACK信息指示的旁路发送功率控制指令,包括:
如果接收到的PSFCH承载的反馈信息为ACK,旁路发送功率控制指令为将发送功率调低预定义或预配置的幅度;
如果接收到的PSFCH承载的反馈信息为NACK,旁路发送功率控制指令为将发送功率调高预定义或预配置的幅度。
可选地,接收通过PSFCH承载的信息比特指示的旁路发送功率控制指令,包括:
接收的旁路发送功率控制指令的信息比特与确认ACK或非确认NACK的信息比特复用在一起通过PSFCH传输,其中,旁路发送功率控制指令的信息比特放在所有信息比特的最后。
可选地,旁路发送功率控制指令的调整步长与PSFCH反馈的ACK或NACK有关。
可选地,接收第二UE发送的发送旁路发送功率控制指令,包括:
接收第二UE通过媒体接入控制的控制单元MAC CE发送的旁路发送功率控制指令。
可选地,旁路发送功率控制指令应用于预设时间以内第一UE发送给第二UE的PSCCH和/或PSSCH。
可选地,通过旁路控制信息SCI指示第二UE是否触发向第一UE发送旁路发送功率控制指令。
第二方面,提供了一种功率控制方法,应用于第二UE,包括:
获取用于第二UE接收的PSCCH和/或PSSCH的基于旁路路损的功率控制的配置信息,配置信息指示闭环功率控制;
向第一UE发送旁路发送功率控制指令;
接收由第一UE发送的PSCCH和/或PSSCH,PSCCH和/或PSSCH的发送功率是基于由第二UE发送的旁路发送功率控制指令来确定的。
可选地,PSCCH和/或PSSCH的发送功率是基于由第二UE发送的旁路发送功率控制指令来确定的,包括:
第一UE将接收到的由第二UE发送的旁路发送功率控制指令发送给基站;
基站向第一UE发送用于PSCCH/PSSCH的旁路发送功率控制指令;
PSCCH和/或PSSCH的发送功率是基于由基站发送的旁路发送功率控制指令来确定的。
可选地,获取基于旁路路损的功率控制的配置信息的方式,包括:
接收由第一UE发送的PC5接口的无线资源控制RRC信令;
根据RRC信令,获取所述配置信息。
可选地,向第一UE发送旁路发送功率控制指令,包括:
通过物理旁路反馈信道PSFCH发送旁路发送功率控制指令。
可选地,通过PSFCH发送旁路发送功率控制指令,包括以下任意一种:
通过PSFCH的传输参数指示旁路发送功率控制指令;
通过PSFCH承载的确认ACK或非确认NACK信息指示旁路发送功率控制指令;
通过PSFCH承载的信息比特指示旁路发送功率控制指令。
可选地,通过PSFCH的传输参数指示旁路发送功率控制指令,包括以下至少一项:
通过PSFCH的信号序列指示旁路发送功率控制指令;
通过PSFCH的解调参考信号DMRS指示旁路发送功率控制指令;
通过PSFCH的正交掩码指示旁路发送功率控制指令;
通过PSFCH的资源指示的旁路发送功率控制指令。
可选地,通过PSFCH承载的确认ACK或非确认NACK信息指示旁路发送功率控制指令,包括:
如果PSFCH承载的反馈信息为ACK,旁路发送功率控制指令为将发送功率调低预定义或预配置的幅度;
如果PSFCH承载的反馈信息为NACK,旁路发送功率控制指令为将发送功率调高预定义或预配置的幅度。
可选地,通过PSFCH承载的信息比特指示旁路发送功率控制指令,包括:
旁路发送功率控制指令的信息比特与确认ACK或非确认NACK的信息比特复用在一起通过PSFCH传输,其中旁路发送功率控制指令的信息比特放在所有信息比特的最后。
可选地,旁路发送功率控制指令的调整步长与PSFCH反馈的ACK或NACK有关。
可选地,向第一UE发送旁路发送功率控制指令,包括:
通过MAC CE发送旁路发送功率控制指令。
可选地,旁路发送功率控制指令应用于预设时间以内第一UE发送给第二UE的PSCCH和/或PSSCH。
可选地,根据第一UE发送给第二UE的旁路控制信息SCI内的指示,确定是否触发向第一UE发送旁路发送功率控制指令。
第三方面,提供了一种第一UE,包括:
第一处理模块,用于获取用于第一UE发送的旁路物理控制信道PSCCH和/或旁路物理数据信道PSSCH的基于旁路路损的功率控制的配置信息,配置信息指示闭环功率控制;
第二处理模块,用于接收由第二UE发送的旁路发送功率控制指令;
第三处理模块,用于根据旁路发送功率控制指令,确定发送给第二UE的PSCCH和/或PSSCH的发送功率。
第四方面,提供了一种第二UE,包括:
第四处理模块,用于获取用于第二UE接收的PSCCH和/或PSSCH的基于旁路路损的功率控制的配置信息,配置信息指示闭环功率控制;
第五处理模块,用于向第一UE发送旁路发送功率控制指令;
第六处理模块,用于接收由第一UE发送的PSCCH和/或PSSCH,PSCCH和/或PSSCH的发送功率是基于由第二UE发送的旁路发送功率控制指令来确定的。
第五方面,本申请提供了一种第一UE,包括:处理器、存储器和总线;
总线,用于连接处理器和存储器;
存储器,用于存储操作指令;
处理器,用于通过调用操作指令,执行本申请第一方面的功率控制方法。
第六方面,本申请提供了一种第二UE,包括:处理器、存储器和总线;
总线,用于连接处理器和存储器;
存储器,用于存储操作指令;
处理器,用于通过调用操作指令,执行本申请第二方面的功率控制方法。
本申请实施例提供的技术方案,至少具有如下有益效果:
获取用于第一UE发送的旁路物理控制信道PSCCH和/或旁路物理数据信道PSSCH的基于旁路路损的功率控制的配置信息,配置信息指示闭环功率控制;接收由第二UE发送的旁路发送功率控制指令;根据旁路发送功率控制指令,确定发送给第二UE的PSCCH和/或PSSCH的发送功率。如此,实现了基于旁路路损的闭环功率控制。
本申请附加的方面和优点将在下面的描述中部分给出,这些将从下面的描述中变得明显,或通过本申请的实践了解到。
附图说明
为了更清楚地说明本申请实施例中的技术方案,下面将对本申请实施例描述中所需要使用的附图作简单地介绍。
图1为本申请实施例提供的一种功率控制方法的流程示意图;
图2为本申请实施例提供的另一种功率控制方法的流程示意图;
图3为本申请实施例提供的又一种功率控制方法的流程示意图;
图4为本申请实施例提供的第一UE的结构示意图;
图5为本申请实施例提供的第二UE的结构示意图;
图6为本申请实施例提供的第一UE的结构示意图;
图7为本申请实施例提供的第二UE的结构示意图。
具体实施方式
下面详细描述本申请的实施例,所述实施例的示例在附图中示出,其中自始至终相同或类似的标号表示相同或类似的元件或具有相同或类似功能的元件。下面通过参考附图描述的实施例是示例性的,仅用于解释本申请,而不能解释为对本申请的限制。
本技术领域技术人员可以理解,除非特意声明,这里使用的单数形式“一”、“一个”、“所述”和“该”也可包括复数形式。应该进一步理解的是,本申请的说明书中使用的措辞“包括”是指存在所述特征、整数、步骤、操作、元件和/或组件,但是并不排除存在或添加一个或多个其他特征、整数、步骤、操作、元件、组件和/或它们的组。应该理解,当我们称元件被“连接”或“耦接”到另一元件时,它可以直接连接或耦接到其他元件,或者也可以存在中间元件。此外,这里使用的“连接”或“耦接”可以包括无线连接或无线耦接。这里使用的措辞“和/或”包括一个或更多个相关联的列出项的全部或任一单元和全部组合。
为使本申请的目的、技术方案和优点更加清楚,下面将结合附图对本申请实施方式作进一步地详细描述。
本申请中,消息的序号只是用于指示不同的消息(如第一消息,第二消息等是用于代表不同的消息),并不代表消息执行的次序;节点的序号只是用于指示不同的节点(如第一节点,第二节点等是用于代表不同的节点),并不代表信息交互流程中节点出现的次序。
本申请中,消息名称只是示例,不排除使用其他名称。
为使本申请的目的、技术方案和优点更加清楚,下面将结合附图对本申请实施方式作进一步地详细描述。
实施例一
本申请实施例中提供了一种功率控制方法,应用于第一UE,该方法的流程示意图如图1所示,该方法包括:
步骤S101,获取用于第一UE发送的旁路物理控制信道PSCCH和/或旁路物理数据信道PSSCH的基于旁路路损的功率控制的配置信息,配置信息指示闭环功率控制。
步骤S102,接收由第二UE发送的旁路发送功率控制指令。
步骤S103,根据旁路发送功率控制指令,确定发送给第二UE的PSCCH和/或PSSCH的发送功率。
需要说明的是,用于基于旁路路损的闭环功率控制的发送功率控制指令简称为旁路发送功率控制指令。
本申请实施例中,获取用于第一UE发送的旁路物理控制信道PSCCH和/或旁路物理数据信道PSSCH的基于旁路路损的功率控制的配置信息,配置信息指示闭环功率控制;接收由第二UE发送的旁路发送功率控制指令;根据旁路发送功率控制指令,确定发送给第二UE的PSCCH和/或PSSCH的发送功率。如此,实现了基于旁路路损的闭环功率控制。
可选地,根据旁路发送功率控制指令,确定发送给第二UE的PSCCH和/或PSSCH的发送功率,包括:
将旁路发送功率控制指令发送给基站;
接收由基站发送的用于第一UE发送给第二UE的PSCCH和/或PSSCH的旁路发送功率控制指令;
根据基站发送的旁路功率控制信令,确定发送给第二UE的PSCCH和/或PSSCH的发送功率。
可选地,配置信息被包括在资源池的配置信息中;或者,配置信息是针对每个UE配置的。
可选地,配置信息指示的闭环功率控制只有在满足以下至少一个条件时才生效:
第一UE在发送资源池上测量的信道繁忙程度CBR高于预定义或预配置的阈值;
第一UE发送给第二UE的PSCCH和/或PSSCH的旁路功率余量SL PHR低于预定义或预配置的阈值。
可选地,确定PSCCH和/或PSSCH的发送功率,包括:
将旁路最大发送功率、基于PSSCH承载的数据的优先级以及资源池上测量的CBR范围所配置的旁路最大发送功率、基于下行路损的发送功率、根据旁路发送功率控制指令确定的基于旁路路损的发送功率中取值最小的一项,确定为PSCCH和/或PSSCH的发送功率。
可选地,根据旁路发送功率控制指令确定基于旁路路损的发送功率包括以下任意一项:
根据当前接收到的旁路发送功率控制指令以及之前接收到的旁路发送功率控制指令的累加值,确定基于旁路路损的发送功率;
根据当前接收到的旁路发送功率指令,确定基于旁路路损的发送功率。
可选地,接收第二UE发送的旁路发送功率控制指令,包括:
接收第二UE通过物理旁路反馈信道PSFCH发送的旁路发送功率控制指令。
可选地,接收第二UE通过物理旁路反馈信道PSFCH发送的旁路发送功率控制指令,包括以下任意一种:
接收通过PSFCH的传输参数指示的旁路发送功率控制指令;
接收通过PSFCH承载的确认ACK或非确认NACK信息指示的旁路发送功率控制指令;
接收通过PSFCH承载的信息比特指示的旁路发送功率控制指令。
可选地,接收通过PSFCH的传输参数指示的旁路发送功率控制指令,包括以下至少一项:
接收通过PSFCH的信号序列指示的旁路发送功率控制指令;
接收通过PSFCH的解调参考信号DMRS指示的旁路发送功率控制指令;
接收通过PSFCH的正交掩码指示的旁路发送功率控制指令;
接收通过PSFCH的资源指示的旁路发送功率控制指令。
可选地,接收通过PSFCH承载的确认ACK或非确认NACK信息指示的旁路发送功率控制指令,包括:
如果接收到的PSFCH承载的反馈信息为ACK,旁路发送功率控制指令为将发送功率调低预定义或预配置的幅度;
如果接收到的PSFCH承载的反馈信息为NACK,旁路发送功率控制指令为将发送功率调高预定义或预配置的幅度。
可选地,接收通过PSFCH承载的信息比特指示的旁路发送功率控制指令,包括:
接收的旁路发送功率控制指令的信息比特与确认ACK或非确认NACK的信息比特复用在一起通过PSFCH传输,其中,旁路发送功率控制指令的信息比特放在所有信息比特的最后。
可选地,旁路发送功率控制指令的调整步长与PSFCH反馈的ACK或NACK有关。
可选地,接收第二UE发送的发送旁路发送功率控制指令,包括:
接收第二UE通过媒体接入控制的控制单元MAC CE发送的旁路发送功率控制指令。
可选地,旁路发送功率控制指令应用于预设时间以内第一UE发送给第二UE的PSCCH和/或PSSCH。
可选地,通过旁路控制信息SCI指示第二UE是否触发向第一UE发送旁路发送功率控制指令。
本申请实施例中提供了另一种功率控制方法,应用于第二UE,该方法的流程示意图如图2所示,该方法包括:
步骤S201,获取用于第二UE接收的PSCCH和/或PSSCH的基于旁路路损的功率控制的配置信息,配置信息指示闭环功率控制。
步骤S202,向第一UE发送旁路发送功率控制指令。
步骤S203,接收由第一UE发送的PSCCH和/或PSSCH,PSCCH和/或PSSCH的发送功率是基于由第二UE发送的旁路发送功率控制指令来确定的。
本申请实施例中,实现了基于旁路路损的闭环功率控制。
可选地,PSCCH和/或PSSCH的发送功率是基于由第二UE发送的旁路发送功率控制指令来确定的,包括:
第一UE将接收到的由第二UE发送的旁路发送功率控制指令发送给基站;
基站向第一UE发送用于PSCCH/PSSCH的旁路发送功率控制指令;
PSCCH和/或PSSCH的发送功率是基于由基站发送的旁路发送功率控制指令来确定的。
可选地,PSCCH和/或PSSCH的发送功率是基于由第二UE发送的旁路发送功率控制指令来确定的,包括:
第一UE将接收到的由第二UE发送的旁路发送功率控制指令发送给基站;
基站向第一UE发送用于PSCCH/PSSCH的旁路发送功率控制指令;
PSCCH和/或PSSCH的发送功率是基于由基站发送的旁路发送功率控制指令来确定的。
可选地,获取基于旁路路损的功率控制的配置信息的方式,包括:
接收由第一UE发送的PC5接口的无线资源控制RRC信令;
根据RRC信令,获取所述配置信息。
可选地,向第一UE发送旁路发送功率控制指令,包括:
通过物理旁路反馈信道PSFCH发送旁路发送功率控制指令。
可选地,通过PSFCH发送旁路发送功率控制指令,包括以下任意一种:
通过PSFCH的传输参数指示旁路发送功率控制指令;
通过PSFCH承载的确认ACK或非确认NACK信息指示旁路发送功率控制指令;
通过PSFCH承载的信息比特指示旁路发送功率控制指令。
可选地,通过PSFCH的传输参数指示旁路发送功率控制指令,包括以下至少一项:
通过PSFCH的信号序列指示旁路发送功率控制指令;
通过PSFCH的解调参考信号DMRS指示旁路发送功率控制指令;
通过PSFCH的正交掩码指示旁路发送功率控制指令;
通过PSFCH的资源指示的旁路发送功率控制指令。
可选地,通过PSFCH承载的确认ACK或非确认NACK信息指示旁路发送功率控制指令,包括:
如果PSFCH承载的反馈信息为ACK,旁路发送功率控制指令为将发送功率调低预定义或预配置的幅度;
如果PSFCH承载的反馈信息为NACK,旁路发送功率控制指令为将发送功率调高预定义或预配置的幅度。
可选地,通过PSFCH承载的信息比特指示旁路发送功率控制指令,包括:
旁路发送功率控制指令的信息比特与确认ACK或非确认NACK的信息比特复用在一起通过PSFCH传输,其中旁路发送功率控制指令的信息比特放在所有信息比特的最后。
可选地,旁路发送功率控制指令的调整步长与PSFCH反馈的ACK或NACK有关。
可选地,向第一UE发送旁路发送功率控制指令,包括:
通过MAC CE发送旁路发送功率控制指令。
可选地,旁路发送功率控制指令应用于预设时间以内第一UE发送给第二UE的PSCCH和/或PSSCH。
可选地,根据第一UE发送给第二UE的旁路控制信息SCI内的指示,确定是否触发向第一UE发送旁路发送功率控制指令。
通过如下实施例来对本申请上述实施例的功率控制方法进行全面详尽的介绍:
在以下实施例中,为了描述方便,旁路通信系统中的发送PSCCH/PSSCH的UE被称为TX UE,对应的接收所述PSCCH/PSSCH的UE被称为RX UE。
可选地,第一UE为TX UE,第二UE为RX UE。
可选地,TX UE与RX UE之间的单播传输被配置基于旁路路损的闭环功率控制,TXUE基于发送功率控制指令(Transmission Power Control Command,SL TPC Command)计算发送给RX UE的单播PSCCH/PSSCH的发送功率。
在基于分布式资源分配的Mode 2中,用于计算PSCCH/PSSCH功率的SL TPCCommand由RX UE反馈给TX UE。在基于集中式资源分配的Mode 1中,TX UE可以直接基于RXUE反馈的SL TPC Command计算PSCCH/PSSCH功率;或者,TX UE不能基于RX UE反馈的SL TPCCommand计算PSCCH/PSSCH功率,而是将RX UE反馈的SL TPC Command上报给基站,之后,再接收由基站通过分配旁路资源的DCI(Downlink Control Information,下行控制信息)指示的应当使用的SL TPC Command,再基于这个应当使用的SL TPC Command计算PSCCH/PSSCH功率,基站通过DCI指示的应当使用的SL TPC Command值与RX UE反馈的SL TPCCommand值可能相同,也可能不同。
可选地,从TX UE侧的行为来看,该实施例包括如下步骤:
第一步:TX UE接收用于其发送的PSCCH/PSSCH的基于旁路路损的功率控制的配置信息,所述配置信息中指示闭环功率控制;
第二步:TX UE接收基于旁路路损的闭环功率控制的SL TPC Command;
第三步:TX UE基于接收到的SL TPC Command,计算发送给RX UE的PSCCH/PSSCH的功率。
可选地,从RX UE侧的行为来看,该实施例包括如下步骤:
第一步:RX UE接收用于其接收的PSCCH/PSSCH的基于旁路路损的功率控制的配置信息,配置信息中指示闭环功率控制;
第二步:RX UE向TX UE反馈基于旁路路损的闭环功率控制的SL TPC Command;
第三步:RX UE接收由TX UE发送的PSCCH/PSSCH,PSCCH/PSSCH的发送功率是基于第二步中RX UE反馈的SL TPC Command计算所得;或者,所述PSCCH/PSSCH的发送功率是基于TX UE的服务基站通过DCI指示的SL TPC Command计算所得。
可选地,在旁路通信系统中,基于旁路路损的功率控制方式可以包括开环和闭环两种,在基于旁路路损的开环功率控制方式中,TX UE根据与RX UE之间的旁路路损、以及旁路路损的功率控制参数计算发送给所述RX UE的PSCCH/PSSCH的功率;在基于旁路路损的闭环功率控制方式中,TX UE根据与RX UE之间的旁路路损、旁路路损的功率控制参数、以及旁路路损的SL TPC Command计算发送给所述UE的PSCCH/PSSCH的功率。开环发送功率的目的是将RX UE端接收到的信号功率调整到期望值,闭环发送功率的目的是将RX UE端接收到的信号功率调整到目标值,闭环发送功率与开环发送功率相比,主要区别在于RX UE将接收到的信号功率与目标值的差值反馈给TX UE,那么TX UE可以基于RX UE反馈的功率差值调整PSCCH/PSSCH的发送功率,以使得调整后的PSCCH/PSSCH的接收功率尽可能接近目标值。
第一方面:旁路闭环功率控制的配置方式
在旁路通信系统中,基于旁路路损的功率控制方式可以被配置为开环或者闭环,无论开环还是闭环,对应的功率控制参数都包含目标接收功率Po_SLPL、以及路损补偿因子aSLPL。TX UE接收用于其发送的PSCCH/PSSCH的基于旁路路损的功率控制的配置信息,该配置信息除了包含功率控制参数Po_SLPL和aSLPL之外,还包含指示应用开环功率控制或者闭环功率控制。
可选地,TX UE可以通过如下方式中的任意一种获取该配置信息:
1.系统针对每个资源池配置资源池上发送的PSCCH/PSSCH基于旁路路损的功率控制。即,同一个资源池上的所有单播传输都使用相同的基于旁路路损的功率控制的配置信息。TX UE根据发送资源池的配置信息获取基于旁路路损的功率控制的配置信息。
2.系统针对每个UE配置基于旁路路损的功率控制。即,同一个资源池上的不同UE可以有不同的基于旁路路损的功率控制的配置信息。例如,某些UE的单播传输被配置基于旁路路损的闭环功率控制,而某些UE的单播传输被配置基于旁路路损的开环功率控制。
可选地,上述的配置信息中指示的闭环功率控制只有在满足一定条件时才生效。例如,配置信息中指示的闭环功率控制只有在满足以下至少一个条件时,才生效:
1.是否使用基于旁路路损的闭环功率控制与CBR有关。例如,当一个资源池上的CBR高于预定义或预配置的CBR门限值时,则使用基于旁路路损的闭环功率控制,反之,则使用基于旁路路损的开环功率控制。这里的CBR为TX UE在发送资源池上测量的CBR。
2.是否使用基于旁路路损的闭环功率控制与TX UE的SL PHR有关。例如,当TX UE的SL PHR高于预定义或预配置的PHR门限值时,则使用基于旁路路损的闭环功率控制,反之,则使用基于旁路路损的开环功率控制。这里,SL PHR指PSCCH/PSSCH的发送功率与旁路最大发送功率之间的差值。
RX UE接收用于其接收的PSCCH/PSSCH的基于旁路路损的功率控制的配置信息,该配置信息可以包含功率控制参数Po_SLPL、aSLPL以及指示应用开环功率控制或者闭环功率控制;或者,该配置信息仅指示应用开环功率控制或者闭环功率控制。如果RX UE接收的配置信息指示闭环功率控制,那么RX UE应向TX UE发送旁路发送功率控制指令(SidelinkTransmit Power Control Command,SL TPC Command).可选地,系统针对每个资源池配置基于旁路路损的闭环功率控制。即,同一个资源池上的所有单播传输都使用相同的基于旁路路损的功率控制的配置信息。RX UE根据接收资源池的配置信息获取基于旁路路损的闭环功率控制的配置信息。这里,对于TX UE而言,是根据发送资源池的配置信息获取基于旁路路损的闭环功率控制的配置信息可选地,RX UE接收的配置信息中指示的只有在满足一定条件时才生效。例如,是否使用基于旁路路损的闭环功率控制与CBR有关,当一个资源池上的CBR高于预定义或预配置的CBR门限值时,则使用基于旁路路损的闭环功率控制,反之,则使用基于旁路路损的开环功率控制。这里的CBR为RX UE在接收资源池上测量的CBR。
可选地,TX UE通过PC5接口的无线资源控制(Radio Resource Control,RRC)信令向RX UE指示所述TX UE发送给所述RX UE的PSCCH/PSSCH的基于旁路路损的功率控制的配置信息,即RX UE根据接收到的由TX UE发送的PC5 RRC信令获取用于其接收的PSCCH/PSSCH的基于旁路路损的闭环功率控制的配置信息。
第二方面:TX UE基于SL TPC Command计算PSCCH/PSSCH的发送功率
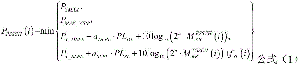
在实施例的第三步中,TX UE基于接收到的SL TPC Command计算PSCCH/PSSCH的发送功率。下面以PSSCH为例,TX UE可以按照如下公式(1)计算PSSCH的发送功率:
其中,公式(1)中的第一项PCMAX为UE的旁路最大发送功率,该旁路最大发送功率与UE的能力或类型有关。
公式(1)中的第二项PMAX_CBR为基于PSSCH承载的数据的优先级Priority以及资源池上测量的CBR范围所配置的旁路最大发送功率maxTxpower,CBR是在PSSCH传输的准备时间之前的最近测量得到的CBR,例如,在PSSCH之前的第4个时隙上测量得到的CBR。
公式(1)中的第三项是基于下行路损计算的开环发送功率,如果TX UE处于蜂窝网的覆盖范围内(In Coverage,IC),那么当基于下行路损的开环功率控制被配置时,可以包含此项,如果TX UE处于蜂窝网的覆盖范围之外(Out Of Coverage,OOC),那么无需包含此项。这里,Po_DLPL以及aDLPL为针对下行路损配置的功率控制参数,分别为目标接收功率和路损补偿因子,PLDL为TX UE与服务基站之间的下行路损,为用于当前PSSCH传输的带宽内所包含的资源块(Resource Block,RB)的数量,u由配置的子载波间隔决定,u与子载波间隔的计算关系如下表1所示。
表1 u与子载波间隔的计算关系
| μ | Δf=2<sup>μ</sup>·15[kHz] |
| 0 | 15 |
| 1 | 30 |
| 2 | 60 |
| 3 | 120 |
| 4 | 240 |
公式(1)中的第四项是基于旁路路损计算的闭环发送功率,如果基于旁路路损的闭环功率控制被disable,那么此项为即不包含旁路功率控制调整项f(i)。这里,Po_SLPL以及aSLPL为针对旁路路损配置的功率控制参数,分别为目标接收功率和路损补偿因子,PLSL为TX UE与RX UE之间的下行路损,为用于当前PSSCH传输机会i的带宽内所包含的资源块(Resource Block,RB)的数量,u由配置的子载波间隔决定,fSL(i)为当前PSSCH传输机会i的旁路功率控制调整项。
可选地,fSL(i)=fSL(i-1)+δSL(i),fSL(i-1)为前一次PSSCH传输机会i-1的旁路功率控制调整项,δSL(i)为对应当前PSSCH传输机会的SL TPC Command。由公式可以看出,当前PSSCH传输的旁路功率控制调整项是在前一次PSSCH传输的旁路功率控制调整项的基础上累加SL TPC Command,即,根据最新接收到的SL TPC Command以及前面接收到的SL TPCCommand的累加值来决定当前传输的PSSCH的发送功率,这种功率调整方式被称为累加式(accmulation)功率调整。下文描述的通过PSFCH传输的SL TPC Command比较适用这种累加式功率调整。
对于首次使用基于旁路路损的闭环功率控制的PSSCH传输,可以设定fSL(i)=δSL(i),即假定前一次PSSCH传输的旁路功率控制调整项fSL(i-1)为0。在启用基于旁路路损的闭环功率控制之后,旁路功率控制调整项也可以被重置,即fSL(i)=δSL(i),可选地,在发生如下情况的至少一项时,旁路功率控制调整项应当被重置:
1.基于旁路路损的功率控制参数Po_SLPL或aSLPL被重新配置;
2.TX UE与RX UE之间的PC5 RRC连接重新被建立;
3.当前传输机会i的PSSCH的发送时间与前一次传输机会i-1的PSSCH的发送时间之间的间隔大于预定义或越配置的阈值。
可选地,fSL(i)=δSL(i),δSL(i)为对应当前PSSCH传输机会的SL TPC Command,由公式可以看出,当前PSSCH传输的旁路功率控制调整项为对应的TPC Command,与前一次PSSCH传输的旁路功率控制调整项无关,即,根据最新接收到的SL TPC Command来决定当前传输的PSSCH的发送功率,当前传输的PSSCH的发送功率只与最新接收到的SL TPC Command有关,与前面接收到的SL TPC Command无关,这种功率调整方式被称为非累加式功率调整,也被称为一次性功率调整。下文描述的通过MAC CE传输的TPC Command比较适用这种一次性功率调整。
可选地,fSL(i)=fSL(i-1)+δSL(i)或者fSL(i)=δSL(i),使用哪一个来确定PSSCH的发送功率取决于接收到的SL TPC Command是通过哪种方式指示,如果接收到的δSL(i)由物理层信令承载,例如,δSL(i)由RX UE通过PSFCH指示,或者由基站通过DCI指示,那么使用fSL(i)=fSL(i-1)+δSL(i)来确定PSSCH的发送功率;如果接收到的δSL(i)由高层信令承载,例如,由RX UE通过MAC CE指示,或者由基站通过MAC CE指示,那么使用fSL(i)=δSL(i)来确定PSSCH的发送功率。如果对应同一个传输机会的PSSCH接收到两个SL TPC Command,且分别由物理层信令和高层信令承载,那么系统规定通过高层信令承载的SL TPC Command具有更高优先级,或者,规定通过物理层信令承载的SL TPC Command具有更高优先级。
可选地,SL TPC command具有有效期,即SL TPC command指示的功率调整只能应用于有效期以内。例如,如果SL TPC Command的接收时间与使用该SL TPC Command的PSSCH的发送时间之间的间隔超出SL TPC command的有效期,SL TPC command不应被使用。其中,SL TPC command的有效期可以是预定义或预配置的。
可选地,基于旁路路损的闭环功率控制对PSSCH以及PSCCH都适用。可选地,基于旁路路损的闭环功率控制仅应用于PSSCH,不应用于PSCCH,即,PSCCH使用基于旁路路损的开环功率控制方式,而其关联的PSSCH可以使用基于旁路路损的闭环功率控制方式。
可选地,PSCCH与关联的PSSCH使用相同的旁路功率控制调整项fSL(i)以及相同的SL TPC CommandδSL(i)。可选地,PSCCH与关联的PSSCH使用不同的旁路功率控制调整项fSL(i)以及不同的SL TPC CommandδSL(i),即,TX UE需要为PSSCH和PSCCH分别确定对应的fPSSCH(i)以及fPSCCH(i),以及分别确定对应的δPSSCH(i)和δPSCCH(i)。
第三方面:RX UE通过PSFCH反馈SL TPC Command
可选地,在实施例的第二步中,RX UE可以通过物理旁路反馈信道(PhysicalSidelink Feedback Channel,PSFCH)向TX UE反馈SL TPC Command。即,TX UE通过接收到的PSFCH确定PSCCH/PSSCH的SL TPC Command。在NR V2X系统中,PSFCH主要用于反馈PSSCH的ACK或NACK,当TX UE与RX UE之间的单播传输的ACK/NACK反馈被enable,RX UE应针对接收到的PSSCH发送对应的PSFCH,从系统角度看,PSFCH资源与PSCCH/PSSCH资源具有预定义的映射关系,RX UE可以根据PSCCH/PSSCH资源、以及SCI内指示的源ID(Source ID)决定对应的PSFCH资源。
可选地,SL TPC Command可以通过PSFCH的传输参数来隐含指示。例如,SL TPCCommand可以使用如下方式中的至少一种被PSFCH的传输参数隐含指示:
1.SL TPC Command通过PSFCH的DMRS(Demodulation Reference Signal,解调参考信号)来隐含指示。例如,SL TPC Command可以通过PSFCH使用的DMRS序列、DMRS图样(Pattern)、DMRS循环移位(Cyclic Shift)、用于DMRS序列生成的初始化种子、以及DMRS天线端口(Port)中的至少一项来隐含指示。例如,2比特的SL TPC Command信息可以通过4种不同的PSFCH DMRS循环移位(Cyclic Shift)来隐含指示,TX UE对PSFCH使用的DMRS循环移位进行盲检测来确定其所携带的SL TPC Command的信息。
2.SL TPC Command通过PSFCH的正交掩码(Orthogonal Cover Code,OCC)来隐含指示。PSFCH的OCC码可以跨OFDM符号、跨时隙、跨PRB、或者跨子信道(Subchannel),具体的OCC码取决于PSFCH的设计,这里不再详细阐述。例如,2比特的SL TPC Command可以通过4种不同的PSFCH OCC来隐含指示,TX UE对PSFCH使用的OCC码进行盲检测来确定其所携带的SLTPC Command的信息。
3.SL TPC Command通过PSFCH的资源来隐含指示。例如,2比特的SL TPC Command可以通过4种不同的PSFCH资源来隐含指示,TX UE对PSFCH使用的资源进行盲检测来确定其所携带的SL TPC Command的信息。
4.SL TPC Command通过PSFCH的信号序列来隐含指示。例如,2比特的SL TPCCommand可以通过4种不同的PSFCH信号序列来隐含指示,TX UE对PSFCH使用的信号序列进行盲检测来确定其所携带的SL TPC Command的信息。
可选地,SL TPC Command通过作为PSFCH承载的信息比特来显性指示。例如,SLTPC Command的信息比特可以与ACK/NACK比特复用在一起通过PSFCH传输,即,SL TPCCommand的信息比特与ACK/NACK比特复用在一起之后再进行编码、调制和资源映射。特别地,为了不影响HARQ-ACK码本(codebook)的使用,SL TPC Command的信息比特放在所有的ACK/NACK比特之后。
可选地,SL TPC Command通过PSFCH承载的ACK/NACK信息来隐含指示。例如,如果PSFCH承载的反馈信息为ACK,所述旁路发送功率控制指令为调低预定义或预配置的功率幅度;如果PSFCH承载的反馈信息为NACK,所述旁路发送功率控制指令为调高预定义或预配置的功率幅度。
可选地,对SL TPC Command的信息比特的解读与ACK/NACK有关。例如,假定SL TPCCommand的信息比特为1比特,指示值0表示功率无需调整,指示值1表示功率需要调整,且调整的幅度为预定义或预配置的值,具体的功率调整是向上调高还是向下调低与一起传输的HARQ-ACK是ACK还是NACK有关,当一起传输的HARQ-ACK是ACK时,功率调整是向下调整,当一起传输的HARQ-ACK是NACK时,功率调整是向上调整,此外,向下调整的幅度与向上调整的幅度可以是两个不同的值。
SL TPC Command指示的功率调整的最小粒度被定义为调整步长(Step)。可选地,Step的值可以是预定义或预配置的,例如,可以规定功率调整的步长为1dB;或者,可以规定功率调整的步长为ndB,其中n是可配置的值。
可选地,SL TPC Command指示的功率调整Step与ACK/NACK有关。例如,当一起传输的HARQ-ACK是ACK时,功率调整是向下调整,且调整的步长是0.5dB;当一起传输的HARQ-ACK是NACK时,功率调整是向上调整,且调整的步长是1dB。
在NR V2X系统中,TX UE与RX UE之间的单播传输既可以支持基于ACK/NACK反馈的重传,即,RX UE需要发送PSFCH,TX UE根据接收到的PSFCH决定是否重传PSSCH;TX UE与RXUE之间的单播传输也可以支持盲重传,即,RX UE无需发送PSFCH,TX UE总是盲目地重传PSSCH。是否支持HARQ-ACK反馈可以通过高层信令预配置,在通过高层信令激活(enable)ACK/NACK反馈之后,TX UE还可以通过SCI动态指示当前传输的PSSCH是否需要反馈ACK/NACK,如果SCI指示当前传输的PSSCH需要反馈ACK/NACK,那么RX UE需要发送PSFCH来反馈PSSCH的ACK/NACK,如果SCI指示当前传输的PSSCH不需要反馈ACK/NACK,那么RX UE无需发送PSFCH。
可选地,只有在TX UE与RX UE之间的单播传输的ACK/NACK反馈被激活后,RX UE需要反馈ACK/NACK发送PSFCH时,SL TPC Command才通过PSFCH传输,即,PSFCH用于仅包含ACK/NACK的信息的传输,或者用于包含ACK/NACK以及SL TPC Command的信息的传输,但不能用于仅包含SL TPC Command的信息的传输。
可选地,即使TX UE与RX UE之间的单播传输的ACK/NACK反馈被去激活,旁路功率的调整量也可以通过PSFCH传输,即PSFCH可以用于仅包含ACK/NACK的信息的传输,或者用于仅包含SL TPC Command的信息的传输,或者用于包含ACK/NACK以及SL TPC Command的信息的传输。当PSFCH仅包含SL TPC Command的信息的传输时,PSFCH资源的确定方法和PSFCH用于ACK/NACK反馈时的确定方法相同,例如,RX UE根据PSCCH/PSSCH资源、以及SCI内指示的源ID(Source ID)决定对应的PSFCH资源。
可选地,只有在通过高层信令激活TX UE与RX UE之间的单播传输的ACK/NACK反馈的条件下,基于旁路路损的闭环功率控制才可以通过高层信令被enable,如果TX UE在SCI内指示RX UE需要反馈当前传输的PSSCH的ACK/NACK,那么RX UE发送的PSFCH除了承载ACK/NACK之外,还携带SL TPC Command;如果TX UE在SCI内指示RX UE不需要反馈当前传输的PSSCH的ACK/NACK,那么RX UE无需发送PSFCH,也无需通过除PSFCH以外的其他方式反馈SLTPC Command,即RX UE并不是针对接收到的每个PSSCH都向TX UE反馈SL TPC Command,TXUE针对PSFCH没有发送的情况,可以假定SL TPC Command为0,即功率无需调整。
可选地,只有在TX UE与RX UE之间的单播传输的ACK/NACK反馈已经通过高层信令被激活的条件下,基于旁路路损的闭环功率控制才可以通过高层信令被enable,如果TX UE在SCI内指示RX UE需要反馈当前传输的PSSCH的ACK/NACK,那么RX UE发送的PSFCH除了承载ACK/NACK之外,还携带SL TPC Command;如果TX UE在SCI内指示RX UE不需要反馈当前传输的PSSCH的ACK/NACK,那么RX UE仍然发送PSFCH,该PSFCH仅用于反馈SL TPC Command,即RX UE可以针对接收到的每个PSSCH都向TX UE反馈SL TPC Command。
可选地,基于旁路路损的闭环功率控制的enable/disable与PSSCH的ACK/NACK反馈的enable/disable没有关系,即使TX UE与RX UE之间的单播传输的ACK/NACK反馈没有通过高层信令被enable,基于旁路路损的闭环功率控制仍然可以被enable,且只要基于旁路路损的闭环功率控制被enable,PSCCH/PSSCH资源就应有对应的PSFCH资源,用于反馈SLTPC Command。
第四方面:RX UE通过MAC CE反馈SL TPC Command
可选地,在实施例的第二步中,TX UE可以根据接收到的MAC CE确定用于计算PSCCH/PSSCH发送功率的SL TPC Command,例如,RX UE通过MAC CE向TX UE指示SL TPCCommand,即通过PSSCH传输SL TPC Command;或者基站通过MAC CE向TX UE指示SL TPCCommand。
可选地,系统为SL TPC Command定义一个包含一个字节(8比特)的MAC CE接收,使用其中的4个比特来指示SL TPC Command,另外4个比特作为预留比特。
可选地,如前所述,通过MAC CE承载的SL TPC Command可以使用非累加式的功率调整。此外,通过MAC CE承载的SL TPC Command不是仅应用于一次传输机会的PSSCH,而是可以应用于一段时间(预设时间)以内传输的PSSCH。例如,TX UE将接收到的SL TPCCommand应用于后续的发送给RX UE的所有单播PSSCH,直到最新的SL TPC Command被接收。
可选地,指示SL TPC Command的MAC CE的最早应用时间在预定义或预配置的时间间隔之后。例如,假设TX UE在时隙n接收到由RX UE发送的指示SL TPC Command的MAC CE,那么TX UE最早可以在时隙将接收到的SL TPC Command应用于PSSCH,这里,为在当前PSSCH使用的子载波间隔的情况下一个子帧内所包含的时隙数量;或者,TX UE最早可以在时隙将接收到的SL TPC Command应用于PSSCH,其中,k1为TX UE用于对支持SL TPC Command的MAC CE的PSSCH进行HARQ-ACK反馈的时间,即用于承载HARQ-ACK的PSFCH与对应的PSSCH之间的时间间隔。
第五方面:特定条件下,RX UE无需针对接收到的PSSCH反馈SL TPC Command
当通过高层信令激活基于旁路路损的闭环功率控制,RX UE应基于接收到的由TXUE发送的每个单播PSSCH反馈对应的SL TPC Command,为了降低信令开销,在某些条件下,TX UE可以通过SCI动态指示RX UE无需基于当前传输的PSSCH反馈SL TPC Command。当SCI指示RX UE需要反馈SL TPC Command时,RX UE应向TX UE反馈SL TPC Command,TX UE将接收到的对应的SL TPC Command用于下一次的PSSCH传输;反之,RX UE无需向TX UE反馈SLTPC Command,TX UE假定下一次传输的PSSCH的SL TPC Command为0。
可选地,TX UE可以通过SCI指示RX UE是否反馈SL TPC Command,即,TX UE可以通过SCI指示是否触发RX UE向TX UE反馈SL TPC Command。在某些情况下,RX UE向TX UE反馈的SL TPC Command可能并没有意义,那么可以通过SCI来指示RX UE无需反馈SL TPCCommand,从而节省用于SL TPC Command传输的信令开销。
可选地,在满足以下情况的至少一项时,TX UE可以通过SCI指示RX UE无需反馈SLTPC Command:
1.当前传输的PSSCH的实际发送功率为旁路最大发送功率PCMAX,即上述的PSSCH功率的计算公式的四项中第一项PCMAX的值最小。
2.当前传输的PSSCH的实际发送功率为预配置的与数据的优先级以及CBR范围有关的旁路最大发送功率PMAX_CBR,即上述的PSSCH功率的计算公式的四项中第二项PMAX_CBR的值最小。
4.当前传输的PSSCH的实际发送功率与旁路最大发送功率PCMAX的差值小于预定义或预配置的值。
5.由于上行链路与旁路的重叠(Overlap)导致当前传输的PSSCH的实际发送功率经过调整。
可选地,TX UE通过SCI显性地(explicitly)指示RX UE是否需要基于当前传输的PSSCH反馈SL TPC Command。例如,SCI内包含一个域(field)专门用于指示RX UE是否反馈SL TPC Command。
可选地,TX UE通过SCI隐性地(implicitly)指示RX UE是否需要基于当前传输的PSSCH反馈SL TPC Command。例如,通过SCI内的某些域的指示信息隐含指示RX UE是否反馈SL TPC Command,即,这个域与是否反馈SL TPC Command有着预定义的绑定关系。这个域是专门用来指示当前传输的PSSCH的发送功率是基于下行路损计算得到还是基于旁路路损计算得到;或者,这个域是专门用来指示当前传输的PSSCH的实际发送功率与旁路最大发送功率之间的差值,即剩余功率余量PHR。
第六方面:TX UE向RX UE上报PHR
可选地,TX UE告知RX UE发送给该RX UE的PSCCH和/或PSSCH的剩余功率余量,即该剩余功率余量是基于TX UE与RX UE之间的路损计算的。RX UE可以基于TX UE发送给RXUE的PSSCH的剩余功率余量决定发送给TX UE的SL TPC Command的值。
可选地,TX UE告知RX UE发送给该RX UE的PSCCH和/或PSSCH的剩余功率余量是否大于等于0,例如可以通过SCI或MAC CE指示该信息。
第七方面:Mode 1中,TX UE将RX UE反馈的SL TPC Command上报给基站
可选地,在基于集中式资源分配的Mode 1中,旁路资源由基站通过DCI分配,本申请实施例中提供了又一种功率控制方法,该方法的流程示意图如图3所示,该方法包括:
步骤S301,当基于旁路路损的闭环功率控制通过高层信令被配置,RX UE需要向TXUE发送SL TPC Command。
步骤S302,TX UE在接收到RX UE发送的SL TPC Command之后,将接收到的SL TPCCommand发送给基站。
步骤S303,基站基于TX UE发送的SL TPC Command决定TX UE发送给RX UE的下一次PSSCH传输应当使用的SL TPC Command,并通过分配旁路资源的DCI指示TX UE应当使用的SL TPC Command。
步骤S304,TX UE基于基站发送的SL TPC command决定发送给RX UE的PSCCH和/或PSSCH的发送功率。
可选地,基站可以通过MAC CE指示用于TX UE发送给RX UE的PSCCH和/或PSSCH的旁路发送功率控制指令。
可选地,在Mode 1中,TX UE通过PUCCH将接收到的RX UE反馈的SL TPC Command上报给基站,并且,TX UE将RX UE反馈的SL TPC Command以及该RX UE反馈的PSSCH的HARQ-ACK复用在一起通过PUCCH传输。
可选地,在Mode 1中,上述的PSSCH功率的计算公式内的用于确定旁路功率控制调整项f(i)的SL TPC Commandδ(i)由基站通过DCI指示,即用于分配旁路资源的DCI内除了指示旁路资源之外,还指示对应的SL TPC Command。如果用于分配旁路资源的DCI内分配了多个PSSCH资源,那么这多个PSSCH的发送功率使用相同的旁路功率控制调整项f(i),即都由前一次传输的PSSCH的旁路功率控制调整项f(i-1)以及DCI内指示的SL TPC Commandδ(i)来确定。
可选地,在Mode 1中,用于分配旁路资源的DCI内是否包含指示SL TPC Command的域是可配置的,如果基站配置用于分配旁路资源的DCI内包含指示SL TPC Command的域,那么上述的PSSCH功率的计算公式中使用的δ(i)为基站通过DCI指示的SL TPC Command;如果基站配置用于分配旁路资源的DCI内不包含指示SL TPC Command的域,那么上述的PSSCH功率的计算公式中使用的δ(i)为RX UE反馈的SL TPC Command。
可选地,在Mode 1中,TX UE可以与多个RX UE同时建立PC5 RRC连接,即TX UE可以向多个RX UE以时分的方式发送单播业务,TX UE将与其建立PC5 RRC连接的所有RX UE的ID都上报给基站。此外,TX UE可以向多个组以时分的方式发送组播业务,TX UE应将发送组播业务的所有组的ID都上报给基站。基站在分配旁路资源的DCI内可以指示该DCI分配的旁路资源是用于TX UE的广播、组播和/或单播传输,当DCI指示分配的旁路资源用于TX UE的组播传输时,该DCI还指示该旁路资源用于哪一个组的组播传输,即指示组的ID;和/或,当DCI指示分配的旁路资源用于TX UE的单播传输时,该DCI还指示该旁路资源用于哪一个RX UE的单播传输,即指示RX UE的ID。
可选地,在Mode 1中,TX UE向服务基站上报RX UE反馈的TPC Command,当TX UE与多个RX UE同时建立PC5 RRC连接时,即TX UE向多个RX UE以时分的方式发送单播业务时,TX UE为每个RX UE分别上报各自反馈的TPC Command,TX UE在向基站上报RX UE反馈的SLTPC Command时还一并指示与该SL TPC Command所关联的RX UE的ID。
可选地,在Mode 1中,TX UE向服务基站上报PSCCH/PSSCH的发送功率与旁路最大发送功率之间的差值,该差值也被称为旁路功率余量(SL Power Head Room,SL PHR),当TXUE与多个RX UE同时建立PC5 RRC连接时,即TX UE向多个RX UE以时分的方式发送单播业务时,TX UE为每个RX UE分别上报SL PHR,即,TX UE为每个RX UE基于各自的旁路路损计算对应的SL PHR,TX UE向服务基站上报SL PHR时还一并上报与该SL PHR相关联的RX UE的ID,该SL PHR是基于相关联的RX UE的旁路路损计算得到。
可选地,在Mode 1中,TX UE向服务基站上报SL PHR,当TX UE向多个RX UE以时分的方式发送单播业务时,TX UE选择所有RX UE中最大的旁路路损来计算旁路发送功率,并将计算出的旁路发送功率与旁路最大发送功率之间的差值作为上报的SL PHR。
上述的RX UE的ID可以是SCI内指示的目标ID(Destination ID);或者,RX UE的ID可以是TX UE对与其建立PC5 RRC连接的RX UE的编号,TX UE基于预定义或预配置的范围对与其建立PC5 RRC连接的RX UE进行编号,具体的编号值取决于TX UE实现,TX UE应为每个与其建立PC5 RRC连接的RX UE使用不同的编号予以区分,系统会规定与同一个TX UE同时建立PC5 RRC连接的RX UE的最大数量。类似地,上述的组的ID可以是SCI内指示的目标组ID(Destination Group ID);或者,组的ID可以是TX UE对发送的组播传输的接收组的编号。
本申请实施例提供的技术方案,至少具有如下有益效果:
实现了基于旁路路损的闭环功率控制。
实施例二
基于前述实施例相同的发明构思,本申请实施例还提供了一种第一UE,该第一UE的结构示意图如图4所示,第一UE30,包括第一处理模块301、第二处理模块302和第三处理模块303。
第一处理模块301,用于获取用于第一UE发送的旁路物理控制信道PSCCH和/或旁路物理数据信道PSSCH的基于旁路路损的功率控制的配置信息,配置信息指示闭环功率控制;
第二处理模块302,用于接收由第二UE发送的旁路发送功率控制指令;
第三处理模块303,用于根据旁路发送功率控制指令,确定发送给第二UE的PSCCH和/或PSSCH的发送功率。
可选地,根据旁路发送功率控制指令,确定发送给第二UE的PSCCH和/或PSSCH的发送功率,包括:
将旁路发送功率控制指令发送给基站;
接收由基站发送的用于第一UE发送给第二UE的PSCCH和/或PSSCH的旁路发送功率控制指令;
根据基站发送的旁路功率控制信令,确定发送给第二UE的PSCCH和/或PSSCH的发送功率。
可选地,配置信息被包括在资源池的配置信息中;或者,配置信息是针对每个UE配置的。
可选地,配置信息指示的闭环功率控制只有在满足以下至少一个条件时才生效:
第一UE在发送资源池上测量的信道繁忙程度CBR高于预定义或预配置的阈值;
第一UE发送给第二UE的PSCCH和/或PSSCH的旁路功率余量SL PHR低于预定义或预配置的阈值。
可选地,确定PSCCH和/或PSSCH的发送功率,包括:
将旁路最大发送功率、基于PSSCH承载的数据的优先级以及资源池上测量的CBR范围所配置的旁路最大发送功率、基于下行路损的发送功率、根据旁路发送功率控制指令确定的基于旁路路损的发送功率中取值最小的一项,确定为PSCCH和/或PSSCH的发送功率。
可选地,根据旁路发送功率控制指令确定基于旁路路损的发送功率包括以下任意一项:
根据当前接收到的旁路发送功率控制指令以及之前接收到的旁路发送功率控制指令的累加值,确定基于旁路路损的发送功率;
根据当前接收到的旁路发送功率指令,确定基于旁路路损的发送功率。
可选地,接收第二UE发送的旁路发送功率控制指令,包括:
接收第二UE通过物理旁路反馈信道PSFCH发送的旁路发送功率控制指令。
可选地,接收第二UE通过物理旁路反馈信道PSFCH发送的旁路发送功率控制指令,包括以下任意一种:
接收通过PSFCH的传输参数指示的旁路发送功率控制指令;
接收通过PSFCH承载的确认ACK或非确认NACK信息指示的旁路发送功率控制指令;
接收通过PSFCH承载的信息比特指示的旁路发送功率控制指令。
可选地,接收通过PSFCH的传输参数指示的旁路发送功率控制指令,包括以下至少一项:
接收通过PSFCH的信号序列指示的旁路发送功率控制指令;
接收通过PSFCH的解调参考信号DMRS指示的旁路发送功率控制指令;
接收通过PSFCH的正交掩码指示的旁路发送功率控制指令;
接收通过PSFCH的资源指示的旁路发送功率控制指令。
可选地,接收通过PSFCH承载的确认ACK或非确认NACK信息指示的旁路发送功率控制指令,包括:
如果接收到的PSFCH承载的反馈信息为ACK,旁路发送功率控制指令为将发送功率调低预定义或预配置的幅度;
如果接收到的PSFCH承载的反馈信息为NACK,旁路发送功率控制指令为将发送功率调高预定义或预配置的幅度。
可选地,接收通过PSFCH承载的信息比特指示的旁路发送功率控制指令,包括:
接收的旁路发送功率控制指令的信息比特与确认ACK或非确认NACK的信息比特复用在一起通过PSFCH传输,其中,旁路发送功率控制指令的信息比特放在所有信息比特的最后。
可选地,旁路发送功率控制指令的调整步长与PSFCH反馈的ACK或NACK有关。
可选地,接收第二UE发送的发送旁路发送功率控制指令,包括:
接收第二UE通过媒体接入控制的控制单元MAC CE发送的旁路发送功率控制指令。
可选地,旁路发送功率控制指令应用于预设时间以内第一UE发送给第二UE的PSCCH和/或PSSCH。
可选地,通过旁路控制信息SCI指示第二UE是否触发向第一UE发送旁路发送功率控制指令。
本申请实施例提供的第一UE中未详述的内容,可参照上述功率控制方法,本申请实施例提供的第一UE能够达到的有益效果与上述功率控制方法相同,在此不再赘述。
应用本申请实施例,至少具有如下有益效果:
实现了基于旁路路损的闭环功率控制。
基于前述实施例相同的发明构思,本申请实施例还提供了一种第二UE,该第二UE的结构示意图如图5所示,第二UE50,包括第四处理模块501、第五处理模块502和第六处理模块503。
第四处理模块501,用于获取用于第二UE接收的PSCCH和/或PSSCH的基于旁路路损的功率控制的配置信息,配置信息指示闭环功率控制;
第五处理模块502,用于向第一UE发送旁路发送功率控制指令;
第六处理模块503,用于接收由第一UE发送的PSCCH和/或PSSCH,PSCCH和/或PSSCH的发送功率是基于由第二UE发送的旁路发送功率控制指令来确定的。
可选地,PSCCH和/或PSSCH的发送功率是基于由第二UE发送的旁路发送功率控制指令来确定的,包括:
第一UE将接收到的由第二UE发送的旁路发送功率控制指令发送给基站;
基站向第一UE发送用于PSCCH/PSSCH的旁路发送功率控制指令;
PSCCH和/或PSSCH的发送功率是基于由基站发送的旁路发送功率控制指令来确定的。
可选地,获取基于旁路路损的功率控制的配置信息的方式,包括:
接收由第一UE发送的PC5接口的无线资源控制RRC信令;
根据RRC信令,获取所述配置信息。
可选地,向第一UE发送旁路发送功率控制指令,包括:
通过物理旁路反馈信道PSFCH发送旁路发送功率控制指令。
可选地,通过PSFCH发送旁路发送功率控制指令,包括以下任意一种:
通过PSFCH的传输参数指示旁路发送功率控制指令;
通过PSFCH承载的确认ACK或非确认NACK信息指示旁路发送功率控制指令;
通过PSFCH承载的信息比特指示旁路发送功率控制指令。
可选地,通过PSFCH的传输参数指示旁路发送功率控制指令,包括以下至少一项:
通过PSFCH的信号序列指示旁路发送功率控制指令;
通过PSFCH的解调参考信号DMRS指示旁路发送功率控制指令;
通过PSFCH的正交掩码指示旁路发送功率控制指令;
通过PSFCH的资源指示的旁路发送功率控制指令。
可选地,通过PSFCH承载的确认ACK或非确认NACK信息指示旁路发送功率控制指令,包括:
如果PSFCH承载的反馈信息为ACK,旁路发送功率控制指令为将发送功率调低预定义或预配置的幅度;
如果PSFCH承载的反馈信息为NACK,旁路发送功率控制指令为将发送功率调高预定义或预配置的幅度。
可选地,通过PSFCH承载的信息比特指示旁路发送功率控制指令,包括:
旁路发送功率控制指令的信息比特与确认ACK或非确认NACK的信息比特复用在一起通过PSFCH传输,其中旁路发送功率控制指令的信息比特放在所有信息比特的最后。
可选地,旁路发送功率控制指令的调整步长与PSFCH反馈的ACK或NACK有关。
可选地,向第一UE发送旁路发送功率控制指令,包括:
通过MAC CE发送旁路发送功率控制指令。
可选地,旁路发送功率控制指令应用于预设时间以内第一UE发送给第二UE的PSCCH和/或PSSCH。
可选地,根据第一UE发送给第二UE的旁路控制信息SCI内的指示,确定是否触发向第一UE发送旁路发送功率控制指令。
本申请实施例提供的第二UE中未详述的内容,可参照上述功率控制方法,本申请实施例提供的第二UE能够达到的有益效果与上述功率控制方法相同,在此不再赘述。
应用本申请实施例,至少具有如下有益效果:
实现了基于旁路路损的闭环功率控制。
实施例三
基于相同的发明构思,本申请实施例还提供了一种第一UE,该第一UE的结构示意图如图6所示,该接收端设备6000包括至少一个处理器6001、存储器6002和总线6003,至少一个处理器6001均与存储6002电连接;存储器6002被配置用于存储有至少一个计算机可执行指令,处理器6001被配置用于执行该至少一个计算机可执行指令,从而执行如本申请实施例一中任意一个实施例或任意一种可选实施方式提供的任意一种功率控制方法的步骤。
进一步,处理器6001可以是FPGA(Field-Programmable Gate Array,现场可编程门阵列)或者其它具有逻辑处理能力的器件,如MCU(Microcontroller Unit,微控制单元)、CPU(Central Process Unit,中央处理器)。
应用本申请实施例,至少具有如下有益效果:
实现了基于旁路路损的闭环功率控制。
在本申请实施例中,RX UE向TX UE反馈SL TPC Command,也可以被称为:RX UE向TX UE发送SL TPC Command;或者,RX UE向TX UE上报SL TPC Command。SL TPC Command的反馈与SL TPC Command的发送或者上报具有相同的含义。
基于相同的发明构思,本申请实施例还提供了一种第二UE,该第二UE的结构示意图如图7所示,该第二UE7000包括至少一个处理器7001、存储器7002和总线7003,至少一个处理器7001均与存储7002电连接;存储器7002被配置用于存储有至少一个计算机可执行指令,处理器7001被配置用于执行该至少一个计算机可执行指令,从而执行如本申请实施例一中任意一个实施例或任意一种可选实施方式提供的任意一种功率控制方法的步骤。
进一步,处理器7001可以是FPGA(Field-Programmable Gate Array,现场可编程门阵列)或者其它具有逻辑处理能力的器件,如MCU(Microcontroller Unit,微控制单元)、CPU(Central Process Unit,中央处理器)。
应用本申请实施例,至少具有如下有益效果:
实现了基于旁路路损的闭环功率控制。
本技术领域技术人员可以理解,可以用计算机程序指令来实现这些结构图和/或框图和/或流图中的每个框以及这些结构图和/或框图和/或流图中的框的组合。本技术领域技术人员可以理解,可以将这些计算机程序指令提供给通用计算机、专业计算机或其他可编程数据处理方法的处理器来实现,从而通过计算机或其他可编程数据处理方法的处理器来执行本申请公开的结构图和/或框图和/或流图的框或多个框中指定的方案。
本技术领域技术人员可以理解,本申请中已经讨论过的各种操作、方法、流程中的步骤、措施、方案可以被交替、更改、组合或删除。进一步地,具有本申请中已经讨论过的各种操作、方法、流程中的其他步骤、措施、方案也可以被交替、更改、重排、分解、组合或删除。进一步地,现有技术中的具有与本申请中公开的各种操作、方法、流程中的步骤、措施、方案也可以被交替、更改、重排、分解、组合或删除。
以上所述仅是本申请的部分实施方式,应当指出,对于本技术领域的普通技术人员来说,在不脱离本申请原理的前提下,还可以做出若干改进和润饰,这些改进和润饰也应视为本申请的保护范围。
Claims (20)
1.一种功率控制方法,应用于第一用户设备UE,其特征在于,包括:
获取用于所述第一UE发送的旁路物理控制信道PSCCH和/或旁路物理数据信道PSSCH的基于旁路路损的功率控制的配置信息,所述配置信息指示闭环功率控制;
接收由第二UE发送的旁路发送功率控制指令;
根据所述旁路发送功率控制指令,确定发送给所述第二UE的PSCCH和/或PSSCH的发送功率。
2.根据权利要求1所述的方法,其特征在于,根据所述旁路发送功率控制指令,确定发送给所述第二UE的PSCCH和/或PSSCH的发送功率,包括:
将所述旁路发送功率控制指令发送给基站;
接收由所述基站发送的用于所述第一UE发送给所述第二UE的PSCCH和/或PSSCH的旁路发送功率控制指令;
根据所述基站发送的旁路功率控制信令,确定发送给所述第二UE的PSCCH和/或PSSCH的发送功率。
3.根据权利要求1所述的方法,其特征在于,所述配置信息被包括在资源池的配置信息中;或者,所述配置信息是针对每个UE配置的。
4.根据权利要求1所述的方法,其特征在于,所述配置信息指示的闭环功率控制只有在满足以下至少一个条件时才生效:
所述第一UE在发送资源池上测量的信道繁忙程度CBR高于预定义或预配置的阈值;
所述第一UE发送给所述第二UE的PSCCH和/或PSSCH的旁路功率余量SL PHR低于预定义或预配置的阈值。
5.根据权利要求1所述的方法,其特征在于,所述确定所述PSCCH和/或PSSCH的发送功率,包括:
将旁路最大发送功率、基于PSSCH承载的数据的优先级以及资源池上测量的CBR范围所配置的旁路最大发送功率、基于下行路损的发送功率、根据所述旁路发送功率控制指令确定的基于旁路路损的发送功率中取值最小的一项,确定为所述PSCCH和/或PSSCH的发送功率。
6.根据权利要求5所述的方法,其特征在于,根据所述旁路发送功率控制指令确定基于旁路路损的发送功率包括以下任意一项:
根据当前接收到的所述旁路发送功率控制指令以及之前接收到的所述旁路发送功率控制指令的累加值,确定基于旁路路损的发送功率;
根据当前接收到的所述旁路发送功率指令,确定基于旁路路损的发送功率。
7.根据权利要求1所述的方法,其特征在于,接收所述第二UE发送的旁路发送功率控制指令,包括:
接收所述第二UE通过物理旁路反馈信道PSFCH发送的所述旁路发送功率控制指令。
8.根据权利要求7所述的方法,其特征在于,所述接收所述第二UE通过物理旁路反馈信道PSFCH发送的所述旁路发送功率控制指令,包括以下任意一种:
接收通过PSFCH的传输参数指示的所述旁路发送功率控制指令;
接收通过PSFCH承载的确认ACK或非确认NACK信息指示的所述旁路发送功率控制指令;
接收通过PSFCH承载的信息比特指示的所述旁路发送功率控制指令。
9.根据权利要求8所述的方法,其特征在于,所述接收通过PSFCH的传输参数指示的所述旁路发送功率控制指令,包括以下至少一项:
接收通过PSFCH的信号序列指示的所述旁路发送功率控制指令;
接收通过PSFCH的解调参考信号DMRS指示的所述旁路发送功率控制指令;
接收通过PSFCH的正交掩码指示的所述旁路发送功率控制指令;
接收通过PSFCH的资源指示的所述旁路发送功率控制指令。
10.根据权利要求8所述的方法,其特征在于,所述接收通过PSFCH承载的确认ACK或非确认NACK信息指示的所述旁路发送功率控制指令,包括:
如果接收到的PSFCH承载的反馈信息为ACK,所述旁路发送功率控制指令为将发送功率调低预定义或预配置的幅度;
如果接收到的PSFCH承载的反馈信息为NACK,所述旁路发送功率控制指令为将发送功率调高预定义或预配置的幅度。
11.根据权利要求8所述的方法,其特征在于,所述接收通过PSFCH承载的信息比特指示的所述旁路发送功率控制指令,包括:
接收的所述旁路发送功率控制指令的信息比特与确认ACK或非确认NACK的信息比特复用在一起通过PSFCH传输,其中,所述旁路发送功率控制指令的信息比特放在所有信息比特的最后。
12.根据权利要求7所述的方法,其特征在于,所述旁路发送功率控制指令的调整步长与所述PSFCH反馈的ACK或NACK有关。
13.根据权利要求1所述的方法,其特征在于,接收所述第二UE发送的发送旁路发送功率控制指令,包括:
接收所述第二UE通过媒体接入控制的控制单元MAC CE发送的所述旁路发送功率控制指令。
14.根据权利要求1所述的方法,其特征在于,所述旁路发送功率控制指令应用于预设时间以内所述第一UE发送给所述第二UE的PSCCH和/或PSSCH。
15.根据权利要求1所述的方法,其特征在于,该方法还包括:
通过旁路控制信息SCI指示所述第二UE是否触发向所述第一UE发送所述旁路发送功率控制指令。
16.一种功率控制方法,应用于第二UE,其特征在于,包括:
获取用于所述第二UE接收的PSCCH和/或PSSCH的基于旁路路损的功率控制的配置信息,所述配置信息指示闭环功率控制;
向第一UE发送旁路发送功率控制指令;
接收由所述第一UE发送的PSCCH和/或PSSCH,所述PSCCH和/或PSSCH的发送功率是基于由所述第二UE发送的旁路发送功率控制指令来确定的。
17.根据权利要求16所述的方法,所述PSCCH和/或PSSCH的发送功率是基于由第二UE发送的旁路发送功率控制指令来确定的,包括:
所述第一UE将接收到的由所述第二UE发送的旁路发送功率控制指令发送给基站;
所述基站向所述第一UE发送用于所述PSCCH/PSSCH的旁路发送功率控制指令;
所述PSCCH和/或PSSCH的发送功率是基于由基站发送的旁路发送功率控制指令来确定的。
18.根据权利要求16所述的方法,其特征在于,获取所述基于旁路路损的功率控制的配置信息的方式,包括:
接收由所述第一UE发送的PC5接口的无线资源控制RRC信令;
根据所述RRC信令,获取所述配置信息。
19.一种第一UE,其特征在于,包括:处理器、存储器;
所述存储器,用于存储计算机程序;
所述处理器,用于通过调用所述计算机程序,执行如权利要求1-15中任一项所述的功率控制方法。
20.一种第二UE,其特征在于,包括:处理器、存储器;
所述存储器,用于存储计算机程序;
所述处理器,用于通过调用所述计算机程序,执行如权利要求16-18中任一项所述的功率控制方法。
Priority Applications (5)
| Application Number | Priority Date | Filing Date | Title |
|---|---|---|---|
| CN201911157710.4A CN112839374A (zh) | 2019-11-22 | 2019-11-22 | 功率控制方法及设备 |
| KR1020200125115A KR20210036853A (ko) | 2019-09-26 | 2020-09-25 | 사이드링크 통신 시스템을 위한 리소스 할당 및 전력 제어 방법 |
| PCT/KR2020/013141 WO2021060936A1 (en) | 2019-09-26 | 2020-09-25 | Resource allocation and a power control method for sidelink communication system |
| EP20869468.7A EP4018742A4 (en) | 2019-09-26 | 2020-09-25 | RESOURCE ALLOCATION AND POWER CONTROL METHOD FOR A SIDELINK COMMUNICATION SYSTEM |
| US17/762,524 US12432731B2 (en) | 2019-09-26 | 2020-09-25 | Resource allocation and a power control method for sidelink communication system |
Applications Claiming Priority (1)
| Application Number | Priority Date | Filing Date | Title |
|---|---|---|---|
| CN201911157710.4A CN112839374A (zh) | 2019-11-22 | 2019-11-22 | 功率控制方法及设备 |
Publications (1)
| Publication Number | Publication Date |
|---|---|
| CN112839374A true CN112839374A (zh) | 2021-05-25 |
Family
ID=75921611
Family Applications (1)
| Application Number | Title | Priority Date | Filing Date |
|---|---|---|---|
| CN201911157710.4A Pending CN112839374A (zh) | 2019-09-26 | 2019-11-22 | 功率控制方法及设备 |
Country Status (1)
| Country | Link |
|---|---|
| CN (1) | CN112839374A (zh) |
Cited By (2)
| Publication number | Priority date | Publication date | Assignee | Title |
|---|---|---|---|---|
| WO2024092781A1 (zh) * | 2022-11-04 | 2024-05-10 | Oppo广东移动通信有限公司 | 功率控制方法以及终端设备 |
| CN119892948A (zh) * | 2023-04-04 | 2025-04-25 | 交互数字专利控股公司 | 无线发送接收单元和由该无线发送接收单元实现方法 |
-
2019
- 2019-11-22 CN CN201911157710.4A patent/CN112839374A/zh active Pending
Cited By (2)
| Publication number | Priority date | Publication date | Assignee | Title |
|---|---|---|---|---|
| WO2024092781A1 (zh) * | 2022-11-04 | 2024-05-10 | Oppo广东移动通信有限公司 | 功率控制方法以及终端设备 |
| CN119892948A (zh) * | 2023-04-04 | 2025-04-25 | 交互数字专利控股公司 | 无线发送接收单元和由该无线发送接收单元实现方法 |
Similar Documents
| Publication | Publication Date | Title |
|---|---|---|
| CN109792422B (zh) | 在无线通信系统中发送或接收信号的方法及其设备 | |
| CN110547001B (zh) | 信息类型复用和功率控制 | |
| US10433265B2 (en) | Method for controlling transmission power of sounding reference signal in wireless communication system and apparatus for same | |
| CN110832915B (zh) | 在无线通信系统中发送上行链路信号的方法和用于该方法的装置 | |
| CN107710705B (zh) | 无线通信系统中发送或者接收d2d信号的方法及其装置 | |
| JP6456287B2 (ja) | 端末装置、方法および集積回路 | |
| JP6378679B2 (ja) | 端末装置および方法 | |
| CN103765966B (zh) | 控制上行链路信号传输功率的终端设备及其方法 | |
| US10993193B2 (en) | Method and apparatus for reporting power headroom in wireless communication system | |
| EP3703453A1 (en) | Method for transmitting or receiving signal in wireless communication system and device therefor | |
| JP6671173B2 (ja) | 端末装置、基地局装置、通信方法、および集積回路 | |
| EP3662686A1 (en) | System and method for sidelink feedback | |
| JP6439192B2 (ja) | 端末装置、基地局装置、集積回路、および、無線通信方法 | |
| CN110612754B (zh) | 在无线通信系统中控制发送功率的方法及其设备 | |
| CN111034086B (zh) | 在无线通信系统中报告harq ack/nack的方法及其装置 | |
| JP6552056B2 (ja) | 端末装置、基地局装置、集積回路、および、通信方法 | |
| JPWO2015005462A1 (ja) | 端末装置、方法および集積回路 | |
| JP6394918B2 (ja) | 端末装置、無線通信方法および集積回路 | |
| KR20120099374A (ko) | Ack/nack전송 방법 및 이를 위한 장치 | |
| CN106233793B (zh) | 用于在无线通信系统中确定用于直接装置到装置通信的发送功率的方法及其设备 | |
| US20190306810A1 (en) | Power headroom configuration for primary and secondary cells based on pucch activation | |
| WO2017195655A1 (ja) | 端末装置、基地局装置および通信方法 | |
| WO2014203851A1 (ja) | 端末装置、基地局装置、集積回路、および、無線通信方法 | |
| CN112839374A (zh) | 功率控制方法及设备 | |
| JP2015204514A (ja) | 端末装置、および、基地局装置 |
Legal Events
| Date | Code | Title | Description |
|---|---|---|---|
| PB01 | Publication | ||
| PB01 | Publication | ||
| SE01 | Entry into force of request for substantive examination | ||
| SE01 | Entry into force of request for substantive examination |









