CN112778294A - 5-aminoisoxazole derivative and application thereof in preparation of multi-kinase inhibitor - Google Patents
5-aminoisoxazole derivative and application thereof in preparation of multi-kinase inhibitor Download PDFInfo
- Publication number
- CN112778294A CN112778294A CN202110019871.8A CN202110019871A CN112778294A CN 112778294 A CN112778294 A CN 112778294A CN 202110019871 A CN202110019871 A CN 202110019871A CN 112778294 A CN112778294 A CN 112778294A
- Authority
- CN
- China
- Prior art keywords
- substituted
- synthesis
- group
- unsubstituted
- compound
- Prior art date
- Legal status (The legal status is an assumption and is not a legal conclusion. Google has not performed a legal analysis and makes no representation as to the accuracy of the status listed.)
- Pending
Links
- IAXWZYXUKABJAN-UHFFFAOYSA-N 1,2-oxazol-5-amine Chemical class NC1=CC=NO1 IAXWZYXUKABJAN-UHFFFAOYSA-N 0.000 title claims abstract description 20
- 229940124303 multikinase inhibitor Drugs 0.000 title abstract description 24
- 238000002360 preparation method Methods 0.000 title abstract description 9
- 206010028980 Neoplasm Diseases 0.000 claims abstract description 20
- 201000011510 cancer Diseases 0.000 claims abstract description 14
- 208000037265 diseases, disorders, signs and symptoms Diseases 0.000 claims abstract description 8
- 201000010099 disease Diseases 0.000 claims abstract description 7
- 150000003839 salts Chemical class 0.000 claims abstract description 7
- 239000012453 solvate Substances 0.000 claims abstract description 7
- 239000008194 pharmaceutical composition Substances 0.000 claims abstract description 3
- -1 cyclic amine Chemical class 0.000 claims description 157
- IJGRMHOSHXDMSA-UHFFFAOYSA-N Atomic nitrogen Chemical compound N#N IJGRMHOSHXDMSA-UHFFFAOYSA-N 0.000 claims description 20
- 108091000080 Phosphotransferase Proteins 0.000 claims description 19
- 102000020233 phosphotransferase Human genes 0.000 claims description 19
- 125000001072 heteroaryl group Chemical group 0.000 claims description 17
- 102100033177 Vascular endothelial growth factor receptor 2 Human genes 0.000 claims description 14
- 229910052757 nitrogen Inorganic materials 0.000 claims description 12
- 125000003118 aryl group Chemical group 0.000 claims description 10
- 229910052739 hydrogen Inorganic materials 0.000 claims description 10
- 239000001257 hydrogen Substances 0.000 claims description 10
- 229910052736 halogen Inorganic materials 0.000 claims description 9
- 150000002367 halogens Chemical class 0.000 claims description 9
- 125000005842 heteroatom Chemical group 0.000 claims description 9
- 239000003814 drug Substances 0.000 claims description 8
- 102100020718 Receptor-type tyrosine-protein kinase FLT3 Human genes 0.000 claims description 7
- 230000000694 effects Effects 0.000 claims description 7
- 102000004190 Enzymes Human genes 0.000 claims description 6
- 108090000790 Enzymes Proteins 0.000 claims description 6
- 101000932478 Homo sapiens Receptor-type tyrosine-protein kinase FLT3 Proteins 0.000 claims description 6
- 101000851007 Homo sapiens Vascular endothelial growth factor receptor 2 Proteins 0.000 claims description 6
- 125000003545 alkoxy group Chemical group 0.000 claims description 6
- 150000002431 hydrogen Chemical class 0.000 claims description 6
- 125000001424 substituent group Chemical group 0.000 claims description 6
- 125000003107 substituted aryl group Chemical group 0.000 claims description 6
- 125000006376 (C3-C10) cycloalkyl group Chemical group 0.000 claims description 5
- 108010053099 Vascular Endothelial Growth Factor Receptor-2 Proteins 0.000 claims description 5
- 102100033178 Vascular endothelial growth factor receptor 1 Human genes 0.000 claims description 5
- 102100033179 Vascular endothelial growth factor receptor 3 Human genes 0.000 claims description 5
- 230000035755 proliferation Effects 0.000 claims description 5
- YZCKVEUIGOORGS-OUBTZVSYSA-N Deuterium Chemical group [2H] YZCKVEUIGOORGS-OUBTZVSYSA-N 0.000 claims description 4
- 101000851018 Homo sapiens Vascular endothelial growth factor receptor 1 Proteins 0.000 claims description 4
- UFHFLCQGNIYNRP-UHFFFAOYSA-N Hydrogen Chemical compound [H][H] UFHFLCQGNIYNRP-UHFFFAOYSA-N 0.000 claims description 4
- 101150038994 PDGFRA gene Proteins 0.000 claims description 4
- 102000018967 Platelet-Derived Growth Factor beta Receptor Human genes 0.000 claims description 4
- 108010051742 Platelet-Derived Growth Factor beta Receptor Proteins 0.000 claims description 4
- 108010053100 Vascular Endothelial Growth Factor Receptor-3 Proteins 0.000 claims description 4
- 229910052805 deuterium Inorganic materials 0.000 claims description 4
- 229910052717 sulfur Inorganic materials 0.000 claims description 4
- 125000002768 hydroxyalkyl group Chemical group 0.000 claims description 3
- 230000005764 inhibitory process Effects 0.000 claims description 3
- 125000004430 oxygen atom Chemical group O* 0.000 claims description 3
- 229920006395 saturated elastomer Polymers 0.000 claims description 3
- NINIDFKCEFEMDL-UHFFFAOYSA-N Sulfur Chemical compound [S] NINIDFKCEFEMDL-UHFFFAOYSA-N 0.000 claims description 2
- 125000000217 alkyl group Chemical group 0.000 claims description 2
- 230000001668 ameliorated effect Effects 0.000 claims description 2
- 125000003178 carboxy group Chemical group [H]OC(*)=O 0.000 claims description 2
- 125000004185 ester group Chemical group 0.000 claims description 2
- 125000002560 nitrile group Chemical group 0.000 claims description 2
- 125000000565 sulfonamide group Chemical group 0.000 claims description 2
- 125000001174 sulfone group Chemical group 0.000 claims description 2
- 239000011593 sulfur Substances 0.000 claims description 2
- 238000004519 manufacturing process Methods 0.000 claims 1
- 150000001875 compounds Chemical class 0.000 abstract description 68
- 238000000034 method Methods 0.000 abstract description 44
- 230000008569 process Effects 0.000 abstract description 3
- 150000004677 hydrates Chemical class 0.000 abstract 1
- 230000000155 isotopic effect Effects 0.000 abstract 1
- 239000000651 prodrug Substances 0.000 abstract 1
- 229940002612 prodrug Drugs 0.000 abstract 1
- 230000015572 biosynthetic process Effects 0.000 description 142
- 238000003786 synthesis reaction Methods 0.000 description 142
- METKIMKYRPQLGS-UHFFFAOYSA-N atenolol Chemical compound CC(C)NCC(O)COC1=CC=C(CC(N)=O)C=C1 METKIMKYRPQLGS-UHFFFAOYSA-N 0.000 description 97
- 239000000047 product Substances 0.000 description 92
- 239000000543 intermediate Substances 0.000 description 90
- 125000002962 imidazol-1-yl group Chemical group [*]N1C([H])=NC([H])=C1[H] 0.000 description 74
- XEKOWRVHYACXOJ-UHFFFAOYSA-N Ethyl acetate Chemical compound CCOC(C)=O XEKOWRVHYACXOJ-UHFFFAOYSA-N 0.000 description 42
- 125000001997 phenyl group Chemical group [H]C1=C([H])C([H])=C(*)C([H])=C1[H] 0.000 description 29
- 238000005160 1H NMR spectroscopy Methods 0.000 description 25
- DMGCKJYZCAKCFR-UHFFFAOYSA-N OBO.CN1C=CC=N1 Chemical compound OBO.CN1C=CC=N1 DMGCKJYZCAKCFR-UHFFFAOYSA-N 0.000 description 25
- DLFVBJFMPXGRIB-UHFFFAOYSA-N Acetamide Chemical compound CC(N)=O DLFVBJFMPXGRIB-UHFFFAOYSA-N 0.000 description 24
- 238000004809 thin layer chromatography Methods 0.000 description 24
- XLYOFNOQVPJJNP-UHFFFAOYSA-N water Substances O XLYOFNOQVPJJNP-UHFFFAOYSA-N 0.000 description 23
- 238000006243 chemical reaction Methods 0.000 description 22
- 238000012544 monitoring process Methods 0.000 description 21
- WYURNTSHIVDZCO-UHFFFAOYSA-N Tetrahydrofuran Chemical compound C1CCOC1 WYURNTSHIVDZCO-UHFFFAOYSA-N 0.000 description 20
- OKKJLVBELUTLKV-UHFFFAOYSA-N Methanol Chemical compound OC OKKJLVBELUTLKV-UHFFFAOYSA-N 0.000 description 18
- 239000007832 Na2SO4 Substances 0.000 description 16
- 239000012267 brine Substances 0.000 description 16
- 229910052938 sodium sulfate Inorganic materials 0.000 description 16
- HPALAKNZSZLMCH-UHFFFAOYSA-M sodium;chloride;hydrate Chemical compound O.[Na+].[Cl-] HPALAKNZSZLMCH-UHFFFAOYSA-M 0.000 description 16
- RYGOBSYXIIUFOR-UHFFFAOYSA-N (1-methylpyrazol-4-yl)boronic acid Chemical compound CN1C=C(B(O)O)C=N1 RYGOBSYXIIUFOR-UHFFFAOYSA-N 0.000 description 15
- 239000012074 organic phase Substances 0.000 description 15
- YMWUJEATGCHHMB-UHFFFAOYSA-N Dichloromethane Chemical compound ClCCl YMWUJEATGCHHMB-UHFFFAOYSA-N 0.000 description 14
- HEMHJVSKTPXQMS-UHFFFAOYSA-M Sodium hydroxide Chemical compound [OH-].[Na+] HEMHJVSKTPXQMS-UHFFFAOYSA-M 0.000 description 14
- 239000012043 crude product Substances 0.000 description 14
- 239000011541 reaction mixture Substances 0.000 description 14
- 239000000243 solution Substances 0.000 description 12
- 239000000203 mixture Substances 0.000 description 11
- QTBSBXVTEAMEQO-UHFFFAOYSA-N Acetic acid Chemical compound CC(O)=O QTBSBXVTEAMEQO-UHFFFAOYSA-N 0.000 description 10
- 108010073929 Vascular Endothelial Growth Factor A Proteins 0.000 description 10
- 238000001035 drying Methods 0.000 description 10
- CDBYLPFSWZWCQE-UHFFFAOYSA-L Sodium Carbonate Chemical compound [Na+].[Na+].[O-]C([O-])=O CDBYLPFSWZWCQE-UHFFFAOYSA-L 0.000 description 9
- 102000005789 Vascular Endothelial Growth Factors Human genes 0.000 description 9
- 108010019530 Vascular Endothelial Growth Factors Proteins 0.000 description 9
- 238000001704 evaporation Methods 0.000 description 9
- 238000001644 13C nuclear magnetic resonance spectroscopy Methods 0.000 description 8
- 239000011259 mixed solution Substances 0.000 description 8
- ZMXDDKWLCZADIW-UHFFFAOYSA-N N,N-Dimethylformamide Chemical compound CN(C)C=O ZMXDDKWLCZADIW-UHFFFAOYSA-N 0.000 description 7
- ZMANZCXQSJIPKH-UHFFFAOYSA-N Triethylamine Chemical compound CCN(CC)CC ZMANZCXQSJIPKH-UHFFFAOYSA-N 0.000 description 7
- 230000002401 inhibitory effect Effects 0.000 description 7
- 150000003254 radicals Chemical class 0.000 description 7
- 239000007858 starting material Substances 0.000 description 7
- YXFVVABEGXRONW-UHFFFAOYSA-N Toluene Chemical compound CC1=CC=CC=C1 YXFVVABEGXRONW-UHFFFAOYSA-N 0.000 description 6
- 230000033115 angiogenesis Effects 0.000 description 6
- 238000012512 characterization method Methods 0.000 description 6
- 238000012746 preparative thin layer chromatography Methods 0.000 description 6
- JOXIMZWYDAKGHI-UHFFFAOYSA-N toluene-4-sulfonic acid Chemical compound CC1=CC=C(S(O)(=O)=O)C=C1 JOXIMZWYDAKGHI-UHFFFAOYSA-N 0.000 description 6
- DTQVDTLACAAQTR-UHFFFAOYSA-N trifluoroacetic acid Substances OC(=O)C(F)(F)F DTQVDTLACAAQTR-UHFFFAOYSA-N 0.000 description 6
- KZPYGQFFRCFCPP-UHFFFAOYSA-N 1,1'-bis(diphenylphosphino)ferrocene Chemical compound [Fe+2].C1=CC=C[C-]1P(C=1C=CC=CC=1)C1=CC=CC=C1.C1=CC=C[C-]1P(C=1C=CC=CC=1)C1=CC=CC=C1 KZPYGQFFRCFCPP-UHFFFAOYSA-N 0.000 description 5
- RYHBNJHYFVUHQT-UHFFFAOYSA-N 1,4-Dioxane Chemical compound C1COCCO1 RYHBNJHYFVUHQT-UHFFFAOYSA-N 0.000 description 5
- 125000003349 3-pyridyl group Chemical group N1=C([H])C([*])=C([H])C([H])=C1[H] 0.000 description 5
- IAZDPXIOMUYVGZ-WFGJKAKNSA-N Dimethyl sulfoxide Chemical compound [2H]C([2H])([2H])S(=O)C([2H])([2H])[2H] IAZDPXIOMUYVGZ-WFGJKAKNSA-N 0.000 description 5
- LFQSCWFLJHTTHZ-UHFFFAOYSA-N Ethanol Chemical compound CCO LFQSCWFLJHTTHZ-UHFFFAOYSA-N 0.000 description 5
- 239000007821 HATU Substances 0.000 description 5
- YNAVUWVOSKDBBP-UHFFFAOYSA-N Morpholine Natural products C1COCCN1 YNAVUWVOSKDBBP-UHFFFAOYSA-N 0.000 description 5
- VYPSYNLAJGMNEJ-UHFFFAOYSA-N Silicium dioxide Chemical compound O=[Si]=O VYPSYNLAJGMNEJ-UHFFFAOYSA-N 0.000 description 5
- 210000004027 cell Anatomy 0.000 description 5
- 108091008598 receptor tyrosine kinases Proteins 0.000 description 5
- 102000027426 receptor tyrosine kinases Human genes 0.000 description 5
- 229910000029 sodium carbonate Inorganic materials 0.000 description 5
- 239000007787 solid Substances 0.000 description 5
- 230000002194 synthesizing effect Effects 0.000 description 5
- IAZDPXIOMUYVGZ-UHFFFAOYSA-N Dimethylsulphoxide Chemical compound CS(C)=O IAZDPXIOMUYVGZ-UHFFFAOYSA-N 0.000 description 4
- LQZMLBORDGWNPD-UHFFFAOYSA-N N-iodosuccinimide Substances IN1C(=O)CCC1=O LQZMLBORDGWNPD-UHFFFAOYSA-N 0.000 description 4
- 102000004022 Protein-Tyrosine Kinases Human genes 0.000 description 4
- 108090000412 Protein-Tyrosine Kinases Proteins 0.000 description 4
- 108091008605 VEGF receptors Proteins 0.000 description 4
- 239000000872 buffer Substances 0.000 description 4
- 125000002837 carbocyclic group Chemical group 0.000 description 4
- 239000003112 inhibitor Substances 0.000 description 4
- HZFPPBMKGYINDF-UHFFFAOYSA-N pyrimidin-5-ylboronic acid Chemical compound OB(O)C1=CN=CN=C1 HZFPPBMKGYINDF-UHFFFAOYSA-N 0.000 description 4
- 239000000741 silica gel Substances 0.000 description 4
- 229910002027 silica gel Inorganic materials 0.000 description 4
- 125000000999 tert-butyl group Chemical group [H]C([H])([H])C(*)(C([H])([H])[H])C([H])([H])[H] 0.000 description 4
- 238000012360 testing method Methods 0.000 description 4
- 238000005406 washing Methods 0.000 description 4
- CXNIUSPIQKWYAI-UHFFFAOYSA-N xantphos Chemical compound C=12OC3=C(P(C=4C=CC=CC=4)C=4C=CC=CC=4)C=CC=C3C(C)(C)C2=CC=CC=1P(C=1C=CC=CC=1)C1=CC=CC=C1 CXNIUSPIQKWYAI-UHFFFAOYSA-N 0.000 description 4
- BSVHTRRLCAVQCZ-JDEXMCKMSA-N (2s)-1-[(2s)-1-[(2s)-1-[(2s)-1-[(2s)-1-[(2s)-1-[(2s)-2-[[(2s)-1-[(2s)-2-[[(2s)-2-amino-3-(4-hydroxyphenyl)propanoyl]amino]-3-carboxypropanoyl]pyrrolidine-2-carbonyl]amino]propanoyl]pyrrolidine-2-carbonyl]pyrrolidine-2-carbonyl]pyrrolidine-2-carbonyl]pyrro Chemical compound C([C@H](N)C(=O)N[C@@H](CC(O)=O)C(=O)N1CCC[C@H]1C(=O)N[C@@H](C)C(=O)N1[C@@H](CCC1)C(=O)N1[C@@H](CCC1)C(=O)N1[C@@H](CCC1)C(=O)N1[C@@H](CCC1)C(=O)N1[C@@H](CCC1)C(=O)N1[C@@H](CCC1)C(O)=O)C1=CC=C(O)C=C1 BSVHTRRLCAVQCZ-JDEXMCKMSA-N 0.000 description 3
- QFLWZFQWSBQYPS-AWRAUJHKSA-N (3S)-3-[[(2S)-2-[[(2S)-2-[5-[(3aS,6aR)-2-oxo-1,3,3a,4,6,6a-hexahydrothieno[3,4-d]imidazol-4-yl]pentanoylamino]-3-methylbutanoyl]amino]-3-(4-hydroxyphenyl)propanoyl]amino]-4-[1-bis(4-chlorophenoxy)phosphorylbutylamino]-4-oxobutanoic acid Chemical compound CCCC(NC(=O)[C@H](CC(O)=O)NC(=O)[C@H](Cc1ccc(O)cc1)NC(=O)[C@@H](NC(=O)CCCCC1SC[C@@H]2NC(=O)N[C@H]12)C(C)C)P(=O)(Oc1ccc(Cl)cc1)Oc1ccc(Cl)cc1 QFLWZFQWSBQYPS-AWRAUJHKSA-N 0.000 description 3
- VIMMECPCYZXUCI-MIMFYIINSA-N (4s,6r)-6-[(1e)-4,4-bis(4-fluorophenyl)-3-(1-methyltetrazol-5-yl)buta-1,3-dienyl]-4-hydroxyoxan-2-one Chemical compound CN1N=NN=C1C(\C=C\[C@@H]1OC(=O)C[C@@H](O)C1)=C(C=1C=CC(F)=CC=1)C1=CC=C(F)C=C1 VIMMECPCYZXUCI-MIMFYIINSA-N 0.000 description 3
- YSUIQYOGTINQIN-UZFYAQMZSA-N 2-amino-9-[(1S,6R,8R,9S,10R,15R,17R,18R)-8-(6-aminopurin-9-yl)-9,18-difluoro-3,12-dihydroxy-3,12-bis(sulfanylidene)-2,4,7,11,13,16-hexaoxa-3lambda5,12lambda5-diphosphatricyclo[13.2.1.06,10]octadecan-17-yl]-1H-purin-6-one Chemical compound NC1=NC2=C(N=CN2[C@@H]2O[C@@H]3COP(S)(=O)O[C@@H]4[C@@H](COP(S)(=O)O[C@@H]2[C@@H]3F)O[C@H]([C@H]4F)N2C=NC3=C2N=CN=C3N)C(=O)N1 YSUIQYOGTINQIN-UZFYAQMZSA-N 0.000 description 3
- TVTJUIAKQFIXCE-HUKYDQBMSA-N 2-amino-9-[(2R,3S,4S,5R)-4-fluoro-3-hydroxy-5-(hydroxymethyl)oxolan-2-yl]-7-prop-2-ynyl-1H-purine-6,8-dione Chemical compound NC=1NC(C=2N(C(N(C=2N=1)[C@@H]1O[C@@H]([C@H]([C@H]1O)F)CO)=O)CC#C)=O TVTJUIAKQFIXCE-HUKYDQBMSA-N 0.000 description 3
- MLDQJTXFUGDVEO-UHFFFAOYSA-N BAY-43-9006 Chemical compound C1=NC(C(=O)NC)=CC(OC=2C=CC(NC(=O)NC=3C=C(C(Cl)=CC=3)C(F)(F)F)=CC=2)=C1 MLDQJTXFUGDVEO-UHFFFAOYSA-N 0.000 description 3
- 208000008839 Kidney Neoplasms Diseases 0.000 description 3
- 239000005511 L01XE05 - Sorafenib Substances 0.000 description 3
- JGFZNNIVVJXRND-UHFFFAOYSA-N N,N-Diisopropylethylamine (DIPEA) Chemical compound CCN(C(C)C)C(C)C JGFZNNIVVJXRND-UHFFFAOYSA-N 0.000 description 3
- FXHOOIRPVKKKFG-UHFFFAOYSA-N N,N-Dimethylacetamide Chemical compound CN(C)C(C)=O FXHOOIRPVKKKFG-UHFFFAOYSA-N 0.000 description 3
- 108010077495 Peptide oostatic hormone Proteins 0.000 description 3
- 206010038389 Renal cancer Diseases 0.000 description 3
- 208000024770 Thyroid neoplasm Diseases 0.000 description 3
- 238000004440 column chromatography Methods 0.000 description 3
- 229940125851 compound 27 Drugs 0.000 description 3
- 125000001495 ethyl group Chemical group [H]C([H])([H])C([H])([H])* 0.000 description 3
- 206010073071 hepatocellular carcinoma Diseases 0.000 description 3
- 231100000844 hepatocellular carcinoma Toxicity 0.000 description 3
- 125000000336 imidazol-5-yl group Chemical group [H]N1C([H])=NC([H])=C1[*] 0.000 description 3
- 201000010982 kidney cancer Diseases 0.000 description 3
- 239000000825 pharmaceutical preparation Substances 0.000 description 3
- 239000012071 phase Substances 0.000 description 3
- ABMYEXAYWZJVOV-UHFFFAOYSA-N pyridin-3-ylboronic acid Chemical compound OB(O)C1=CC=CN=C1 ABMYEXAYWZJVOV-UHFFFAOYSA-N 0.000 description 3
- 229960003787 sorafenib Drugs 0.000 description 3
- 238000012546 transfer Methods 0.000 description 3
- FANCTJAFZSYTIS-IQUVVAJASA-N (1r,3s,5z)-5-[(2e)-2-[(1r,3as,7ar)-7a-methyl-1-[(2r)-4-(phenylsulfonimidoyl)butan-2-yl]-2,3,3a,5,6,7-hexahydro-1h-inden-4-ylidene]ethylidene]-4-methylidenecyclohexane-1,3-diol Chemical compound C([C@@H](C)[C@@H]1[C@]2(CCCC(/[C@@H]2CC1)=C\C=C\1C([C@@H](O)C[C@H](O)C/1)=C)C)CS(=N)(=O)C1=CC=CC=C1 FANCTJAFZSYTIS-IQUVVAJASA-N 0.000 description 2
- GHYOCDFICYLMRF-UTIIJYGPSA-N (2S,3R)-N-[(2S)-3-(cyclopenten-1-yl)-1-[(2R)-2-methyloxiran-2-yl]-1-oxopropan-2-yl]-3-hydroxy-3-(4-methoxyphenyl)-2-[[(2S)-2-[(2-morpholin-4-ylacetyl)amino]propanoyl]amino]propanamide Chemical compound C1(=CCCC1)C[C@@H](C(=O)[C@@]1(OC1)C)NC([C@H]([C@@H](C1=CC=C(C=C1)OC)O)NC([C@H](C)NC(CN1CCOCC1)=O)=O)=O GHYOCDFICYLMRF-UTIIJYGPSA-N 0.000 description 2
- STBLNCCBQMHSRC-BATDWUPUSA-N (2s)-n-[(3s,4s)-5-acetyl-7-cyano-4-methyl-1-[(2-methylnaphthalen-1-yl)methyl]-2-oxo-3,4-dihydro-1,5-benzodiazepin-3-yl]-2-(methylamino)propanamide Chemical compound O=C1[C@@H](NC(=O)[C@H](C)NC)[C@H](C)N(C(C)=O)C2=CC(C#N)=CC=C2N1CC1=C(C)C=CC2=CC=CC=C12 STBLNCCBQMHSRC-BATDWUPUSA-N 0.000 description 2
- MZUSCPDSQJSBSY-UHFFFAOYSA-N (6-methylpyridin-3-yl)boronic acid Chemical compound CC1=CC=C(B(O)O)C=N1 MZUSCPDSQJSBSY-UHFFFAOYSA-N 0.000 description 2
- 125000004105 2-pyridyl group Chemical group N1=C([*])C([H])=C([H])C([H])=C1[H] 0.000 description 2
- QBWKPGNFQQJGFY-QLFBSQMISA-N 3-[(1r)-1-[(2r,6s)-2,6-dimethylmorpholin-4-yl]ethyl]-n-[6-methyl-3-(1h-pyrazol-4-yl)imidazo[1,2-a]pyrazin-8-yl]-1,2-thiazol-5-amine Chemical compound N1([C@H](C)C2=NSC(NC=3C4=NC=C(N4C=C(C)N=3)C3=CNN=C3)=C2)C[C@H](C)O[C@H](C)C1 QBWKPGNFQQJGFY-QLFBSQMISA-N 0.000 description 2
- MWDVCHRYCKXEBY-LBPRGKRZSA-N 3-chloro-n-[2-oxo-2-[[(1s)-1-phenylethyl]amino]ethyl]benzamide Chemical compound N([C@@H](C)C=1C=CC=CC=1)C(=O)CNC(=O)C1=CC=CC(Cl)=C1 MWDVCHRYCKXEBY-LBPRGKRZSA-N 0.000 description 2
- VHYFNPMBLIVWCW-UHFFFAOYSA-N 4-Dimethylaminopyridine Chemical compound CN(C)C1=CC=NC=C1 VHYFNPMBLIVWCW-UHFFFAOYSA-N 0.000 description 2
- 208000031261 Acute myeloid leukaemia Diseases 0.000 description 2
- XKRFYHLGVUSROY-UHFFFAOYSA-N Argon Chemical compound [Ar] XKRFYHLGVUSROY-UHFFFAOYSA-N 0.000 description 2
- HZNPXWSYSMPWRN-UHFFFAOYSA-N CCOC(C1=CC(OB(O)O)=C(C)C=C1)=O Chemical compound CCOC(C1=CC(OB(O)O)=C(C)C=C1)=O HZNPXWSYSMPWRN-UHFFFAOYSA-N 0.000 description 2
- RRSNDVCODIMOFX-MPKOGUQCSA-N Fc1c(Cl)cccc1[C@H]1[C@@H](NC2(CCCCC2)[C@@]11C(=O)Nc2cc(Cl)ccc12)C(=O)Nc1ccc(cc1)C(=O)NCCCCCc1cccc2C(=O)N(Cc12)C1CCC(=O)NC1=O Chemical compound Fc1c(Cl)cccc1[C@H]1[C@@H](NC2(CCCCC2)[C@@]11C(=O)Nc2cc(Cl)ccc12)C(=O)Nc1ccc(cc1)C(=O)NCCCCCc1cccc2C(=O)N(Cc12)C1CCC(=O)NC1=O RRSNDVCODIMOFX-MPKOGUQCSA-N 0.000 description 2
- 102000018233 Fibroblast Growth Factor Human genes 0.000 description 2
- 108050007372 Fibroblast Growth Factor Proteins 0.000 description 2
- 206010016654 Fibrosis Diseases 0.000 description 2
- 101000692455 Homo sapiens Platelet-derived growth factor receptor beta Proteins 0.000 description 2
- 101000851030 Homo sapiens Vascular endothelial growth factor receptor 3 Proteins 0.000 description 2
- 108090000723 Insulin-Like Growth Factor I Proteins 0.000 description 2
- WMFOQBRAJBCJND-UHFFFAOYSA-M Lithium hydroxide Chemical compound [Li+].[OH-] WMFOQBRAJBCJND-UHFFFAOYSA-M 0.000 description 2
- IMNFDUFMRHMDMM-UHFFFAOYSA-N N-Heptane Chemical compound CCCCCCC IMNFDUFMRHMDMM-UHFFFAOYSA-N 0.000 description 2
- AHVYPIQETPWLSZ-UHFFFAOYSA-N N-methyl-pyrrolidine Natural products CN1CC=CC1 AHVYPIQETPWLSZ-UHFFFAOYSA-N 0.000 description 2
- UQFQONCQIQEYPJ-UHFFFAOYSA-N N-methylpyrazole Chemical compound CN1C=CC=N1 UQFQONCQIQEYPJ-UHFFFAOYSA-N 0.000 description 2
- KDLHZDBZIXYQEI-UHFFFAOYSA-N Palladium Chemical compound [Pd] KDLHZDBZIXYQEI-UHFFFAOYSA-N 0.000 description 2
- NQRYJNQNLNOLGT-UHFFFAOYSA-N Piperidine Chemical compound C1CCNCC1 NQRYJNQNLNOLGT-UHFFFAOYSA-N 0.000 description 2
- 108010038512 Platelet-Derived Growth Factor Proteins 0.000 description 2
- 102000010780 Platelet-Derived Growth Factor Human genes 0.000 description 2
- 102100026547 Platelet-derived growth factor receptor beta Human genes 0.000 description 2
- 102000001253 Protein Kinase Human genes 0.000 description 2
- KYQCOXFCLRTKLS-UHFFFAOYSA-N Pyrazine Chemical compound C1=CN=CC=N1 KYQCOXFCLRTKLS-UHFFFAOYSA-N 0.000 description 2
- 102000013275 Somatomedins Human genes 0.000 description 2
- 238000006069 Suzuki reaction reaction Methods 0.000 description 2
- HEDRZPFGACZZDS-MICDWDOJSA-N Trichloro(2H)methane Chemical compound [2H]C(Cl)(Cl)Cl HEDRZPFGACZZDS-MICDWDOJSA-N 0.000 description 2
- LJOOWESTVASNOG-UFJKPHDISA-N [(1s,3r,4ar,7s,8s,8as)-3-hydroxy-8-[2-[(4r)-4-hydroxy-6-oxooxan-2-yl]ethyl]-7-methyl-1,2,3,4,4a,7,8,8a-octahydronaphthalen-1-yl] (2s)-2-methylbutanoate Chemical compound C([C@H]1[C@@H](C)C=C[C@H]2C[C@@H](O)C[C@@H]([C@H]12)OC(=O)[C@@H](C)CC)CC1C[C@@H](O)CC(=O)O1 LJOOWESTVASNOG-UFJKPHDISA-N 0.000 description 2
- MXZNUGFCDVAXLG-CHWSQXEVSA-N [(2S)-1-[(2R)-3-methyl-2-(pyridine-4-carbonylamino)butanoyl]pyrrolidin-2-yl]boronic acid Chemical compound CC(C)[C@@H](NC(=O)c1ccncc1)C(=O)N1CCC[C@@H]1B(O)O MXZNUGFCDVAXLG-CHWSQXEVSA-N 0.000 description 2
- 230000004913 activation Effects 0.000 description 2
- 150000001412 amines Chemical class 0.000 description 2
- XRWSZZJLZRKHHD-WVWIJVSJSA-N asunaprevir Chemical compound O=C([C@@H]1C[C@H](CN1C(=O)[C@@H](NC(=O)OC(C)(C)C)C(C)(C)C)OC1=NC=C(C2=CC=C(Cl)C=C21)OC)N[C@]1(C(=O)NS(=O)(=O)C2CC2)C[C@H]1C=C XRWSZZJLZRKHHD-WVWIJVSJSA-N 0.000 description 2
- QVGXLLKOCUKJST-UHFFFAOYSA-N atomic oxygen Chemical compound [O] QVGXLLKOCUKJST-UHFFFAOYSA-N 0.000 description 2
- 210000004204 blood vessel Anatomy 0.000 description 2
- FJDQFPXHSGXQBY-UHFFFAOYSA-L caesium carbonate Chemical compound [Cs+].[Cs+].[O-]C([O-])=O FJDQFPXHSGXQBY-UHFFFAOYSA-L 0.000 description 2
- 230000003915 cell function Effects 0.000 description 2
- 230000004663 cell proliferation Effects 0.000 description 2
- 229940125797 compound 12 Drugs 0.000 description 2
- 229940125810 compound 20 Drugs 0.000 description 2
- 229940126208 compound 22 Drugs 0.000 description 2
- 229940125961 compound 24 Drugs 0.000 description 2
- 229940125846 compound 25 Drugs 0.000 description 2
- 229940127204 compound 29 Drugs 0.000 description 2
- 229940125878 compound 36 Drugs 0.000 description 2
- 125000004093 cyano group Chemical group *C#N 0.000 description 2
- AIMMVWOEOZMVMS-UHFFFAOYSA-N cyclopropanecarboxamide Chemical compound NC(=O)C1CC1 AIMMVWOEOZMVMS-UHFFFAOYSA-N 0.000 description 2
- ZUOUZKKEUPVFJK-UHFFFAOYSA-N diphenyl Chemical compound C1=CC=CC=C1C1=CC=CC=C1 ZUOUZKKEUPVFJK-UHFFFAOYSA-N 0.000 description 2
- 229940079593 drug Drugs 0.000 description 2
- 230000008020 evaporation Effects 0.000 description 2
- 238000000605 extraction Methods 0.000 description 2
- 229940126864 fibroblast growth factor Drugs 0.000 description 2
- 230000004761 fibrosis Effects 0.000 description 2
- 208000005017 glioblastoma Diseases 0.000 description 2
- 230000012010 growth Effects 0.000 description 2
- 239000003102 growth factor Substances 0.000 description 2
- JAXFJECJQZDFJS-XHEPKHHKSA-N gtpl8555 Chemical compound OC(=O)C[C@H](N)C(=O)N[C@@H](CCC(O)=O)C(=O)N[C@@H](C(C)C)C(=O)N[C@@H](C(C)C)C(=O)N1CCC[C@@H]1C(=O)N[C@H](B1O[C@@]2(C)[C@H]3C[C@H](C3(C)C)C[C@H]2O1)CCC1=CC=C(F)C=C1 JAXFJECJQZDFJS-XHEPKHHKSA-N 0.000 description 2
- 210000003958 hematopoietic stem cell Anatomy 0.000 description 2
- 125000000623 heterocyclic group Chemical group 0.000 description 2
- 238000000338 in vitro Methods 0.000 description 2
- 208000002551 irritable bowel syndrome Diseases 0.000 description 2
- 229960003784 lenvatinib Drugs 0.000 description 2
- WOSKHXYHFSIKNG-UHFFFAOYSA-N lenvatinib Chemical compound C=12C=C(C(N)=O)C(OC)=CC2=NC=CC=1OC(C=C1Cl)=CC=C1NC(=O)NC1CC1 WOSKHXYHFSIKNG-UHFFFAOYSA-N 0.000 description 2
- 239000003446 ligand Substances 0.000 description 2
- CDOSHBSSFJOMGT-UHFFFAOYSA-N linalool Chemical compound CC(C)=CCCC(C)(O)C=C CDOSHBSSFJOMGT-UHFFFAOYSA-N 0.000 description 2
- 208000014018 liver neoplasm Diseases 0.000 description 2
- BGXZIBSLBRKDTP-UHFFFAOYSA-N methyl 9-(4-chloroanilino)-[1,3]thiazolo[5,4-f]quinazoline-2-carboximidate Chemical compound C12=C3SC(C(=N)OC)=NC3=CC=C2N=CN=C1NC1=CC=C(Cl)C=C1 BGXZIBSLBRKDTP-UHFFFAOYSA-N 0.000 description 2
- 125000002496 methyl group Chemical group [H]C([H])([H])* 0.000 description 2
- 230000004048 modification Effects 0.000 description 2
- 238000012986 modification Methods 0.000 description 2
- 208000002154 non-small cell lung carcinoma Diseases 0.000 description 2
- 239000012044 organic layer Substances 0.000 description 2
- 239000001301 oxygen Substances 0.000 description 2
- 229910052760 oxygen Inorganic materials 0.000 description 2
- 230000026731 phosphorylation Effects 0.000 description 2
- 238000006366 phosphorylation reaction Methods 0.000 description 2
- IVDFJHOHABJVEH-UHFFFAOYSA-N pinacol Chemical compound CC(C)(O)C(C)(C)O IVDFJHOHABJVEH-UHFFFAOYSA-N 0.000 description 2
- QLNJFJADRCOGBJ-UHFFFAOYSA-N propionamide Chemical compound CCC(N)=O QLNJFJADRCOGBJ-UHFFFAOYSA-N 0.000 description 2
- 108060006633 protein kinase Proteins 0.000 description 2
- 238000000746 purification Methods 0.000 description 2
- 125000002206 pyridazin-3-yl group Chemical group [H]C1=C([H])C([H])=C(*)N=N1 0.000 description 2
- 125000004528 pyrimidin-5-yl group Chemical group N1=CN=CC(=C1)* 0.000 description 2
- 102000005962 receptors Human genes 0.000 description 2
- 108020003175 receptors Proteins 0.000 description 2
- 238000010898 silica gel chromatography Methods 0.000 description 2
- 239000002904 solvent Substances 0.000 description 2
- 238000003756 stirring Methods 0.000 description 2
- 239000000758 substrate Substances 0.000 description 2
- 230000004083 survival effect Effects 0.000 description 2
- 229940124597 therapeutic agent Drugs 0.000 description 2
- 230000001225 therapeutic effect Effects 0.000 description 2
- 201000002510 thyroid cancer Diseases 0.000 description 2
- PYOKUURKVVELLB-UHFFFAOYSA-N trimethyl orthoformate Chemical compound COC(OC)OC PYOKUURKVVELLB-UHFFFAOYSA-N 0.000 description 2
- 208000029729 tumor suppressor gene on chromosome 11 Diseases 0.000 description 2
- 210000003556 vascular endothelial cell Anatomy 0.000 description 2
- ASGMFNBUXDJWJJ-JLCFBVMHSA-N (1R,3R)-3-[[3-bromo-1-[4-(5-methyl-1,3,4-thiadiazol-2-yl)phenyl]pyrazolo[3,4-d]pyrimidin-6-yl]amino]-N,1-dimethylcyclopentane-1-carboxamide Chemical compound BrC1=NN(C2=NC(=NC=C21)N[C@H]1C[C@@](CC1)(C(=O)NC)C)C1=CC=C(C=C1)C=1SC(=NN=1)C ASGMFNBUXDJWJJ-JLCFBVMHSA-N 0.000 description 1
- UAOUIVVJBYDFKD-XKCDOFEDSA-N (1R,9R,10S,11R,12R,15S,18S,21R)-10,11,21-trihydroxy-8,8-dimethyl-14-methylidene-4-(prop-2-enylamino)-20-oxa-5-thia-3-azahexacyclo[9.7.2.112,15.01,9.02,6.012,18]henicosa-2(6),3-dien-13-one Chemical compound C([C@@H]1[C@@H](O)[C@@]23C(C1=C)=O)C[C@H]2[C@]12C(N=C(NCC=C)S4)=C4CC(C)(C)[C@H]1[C@H](O)[C@]3(O)OC2 UAOUIVVJBYDFKD-XKCDOFEDSA-N 0.000 description 1
- SHAHPWSYJFYMRX-GDLCADMTSA-N (2S)-2-(4-{[(1R,2S)-2-hydroxycyclopentyl]methyl}phenyl)propanoic acid Chemical compound C1=CC([C@@H](C(O)=O)C)=CC=C1C[C@@H]1[C@@H](O)CCC1 SHAHPWSYJFYMRX-GDLCADMTSA-N 0.000 description 1
- MTCFGRXMJLQNBG-REOHCLBHSA-N (2S)-2-Amino-3-hydroxypropansäure Chemical compound OC[C@H](N)C(O)=O MTCFGRXMJLQNBG-REOHCLBHSA-N 0.000 description 1
- 239000001490 (3R)-3,7-dimethylocta-1,6-dien-3-ol Substances 0.000 description 1
- DHADXDMPEUWEAS-UHFFFAOYSA-N (6-methoxypyridin-3-yl)boronic acid Chemical compound COC1=CC=C(B(O)O)C=N1 DHADXDMPEUWEAS-UHFFFAOYSA-N 0.000 description 1
- CDOSHBSSFJOMGT-JTQLQIEISA-N (R)-linalool Natural products CC(C)=CCC[C@@](C)(O)C=C CDOSHBSSFJOMGT-JTQLQIEISA-N 0.000 description 1
- BDNKZNFMNDZQMI-UHFFFAOYSA-N 1,3-diisopropylcarbodiimide Chemical compound CC(C)N=C=NC(C)C BDNKZNFMNDZQMI-UHFFFAOYSA-N 0.000 description 1
- LUBJCRLGQSPQNN-UHFFFAOYSA-N 1-Phenylurea Chemical group NC(=O)NC1=CC=CC=C1 LUBJCRLGQSPQNN-UHFFFAOYSA-N 0.000 description 1
- WZZBNLYBHUDSHF-DHLKQENFSA-N 1-[(3s,4s)-4-[8-(2-chloro-4-pyrimidin-2-yloxyphenyl)-7-fluoro-2-methylimidazo[4,5-c]quinolin-1-yl]-3-fluoropiperidin-1-yl]-2-hydroxyethanone Chemical compound CC1=NC2=CN=C3C=C(F)C(C=4C(=CC(OC=5N=CC=CN=5)=CC=4)Cl)=CC3=C2N1[C@H]1CCN(C(=O)CO)C[C@@H]1F WZZBNLYBHUDSHF-DHLKQENFSA-N 0.000 description 1
- LXQMHOKEXZETKB-UHFFFAOYSA-N 1-amino-2-methylpropan-2-ol Chemical compound CC(C)(O)CN LXQMHOKEXZETKB-UHFFFAOYSA-N 0.000 description 1
- AVFZOVWCLRSYKC-UHFFFAOYSA-N 1-methylpyrrolidine Chemical compound CN1CCCC1 AVFZOVWCLRSYKC-UHFFFAOYSA-N 0.000 description 1
- YYIOSNBPOLUPST-UHFFFAOYSA-N 2-(3-methoxypropoxy)ethanol Chemical compound COCCCOCCO YYIOSNBPOLUPST-UHFFFAOYSA-N 0.000 description 1
- OOGSZIVCFBCPFX-UHFFFAOYSA-N 2-azaspiro[3.3]heptane;hydrochloride Chemical compound Cl.C1CCC21CNC2 OOGSZIVCFBCPFX-UHFFFAOYSA-N 0.000 description 1
- OHTQHZVNZWWYFD-UHFFFAOYSA-N 2-bromo-5-iodopyrazine Chemical compound BrC1=CN=C(I)C=N1 OHTQHZVNZWWYFD-UHFFFAOYSA-N 0.000 description 1
- BMIBJCFFZPYJHF-UHFFFAOYSA-N 2-methoxy-5-methyl-3-(4,4,5,5-tetramethyl-1,3,2-dioxaborolan-2-yl)pyridine Chemical compound COC1=NC=C(C)C=C1B1OC(C)(C)C(C)(C)O1 BMIBJCFFZPYJHF-UHFFFAOYSA-N 0.000 description 1
- KOHBEDRJXKOYHL-UHFFFAOYSA-N 2-methoxy-n-methylethanamine Chemical compound CNCCOC KOHBEDRJXKOYHL-UHFFFAOYSA-N 0.000 description 1
- WIISOYLZJJYTHT-UHFFFAOYSA-N 2-methyl-1h-pyrazol-5-one Chemical compound CN1C=CC(O)=N1 WIISOYLZJJYTHT-UHFFFAOYSA-N 0.000 description 1
- 125000000175 2-thienyl group Chemical group S1C([*])=C([H])C([H])=C1[H] 0.000 description 1
- HJELPNLGHMWKQT-UHFFFAOYSA-N 3-methoxy-n-methylpropan-1-amine Chemical compound CNCCCOC HJELPNLGHMWKQT-UHFFFAOYSA-N 0.000 description 1
- FTAHXMZRJCZXDL-UHFFFAOYSA-N 3-piperideine Chemical compound C1CC=CCN1 FTAHXMZRJCZXDL-UHFFFAOYSA-N 0.000 description 1
- BAQKUNMKVAPWGU-UHFFFAOYSA-N 4-bromopyridin-2-amine Chemical compound NC1=CC(Br)=CC=N1 BAQKUNMKVAPWGU-UHFFFAOYSA-N 0.000 description 1
- 229960000549 4-dimethylaminophenol Drugs 0.000 description 1
- CXBLQEIODBBSQD-UHFFFAOYSA-N 4-methylpiperidin-4-ol Chemical compound CC1(O)CCNCC1 CXBLQEIODBBSQD-UHFFFAOYSA-N 0.000 description 1
- 125000000339 4-pyridyl group Chemical group N1=C([H])C([H])=C([*])C([H])=C1[H] 0.000 description 1
- YYRFAUZQNJMKHU-UHFFFAOYSA-N 6-bromo-3-iodopyrazolo[1,5-a]pyrimidine Chemical compound C1=C(Br)C=NC2=C(I)C=NN21 YYRFAUZQNJMKHU-UHFFFAOYSA-N 0.000 description 1
- RCFAJBHSPZIGGF-UHFFFAOYSA-N 6-methyl-2-azaspiro[3.3]heptan-6-ol;hydrochloride Chemical compound Cl.C1C(C)(O)CC11CNC1 RCFAJBHSPZIGGF-UHFFFAOYSA-N 0.000 description 1
- 206010006187 Breast cancer Diseases 0.000 description 1
- 208000026310 Breast neoplasm Diseases 0.000 description 1
- 101001044908 Cairina moschata Chymotrypsin inhibitor Proteins 0.000 description 1
- KXDHJXZQYSOELW-UHFFFAOYSA-M Carbamate Chemical compound NC([O-])=O KXDHJXZQYSOELW-UHFFFAOYSA-M 0.000 description 1
- 208000024172 Cardiovascular disease Diseases 0.000 description 1
- 102000000844 Cell Surface Receptors Human genes 0.000 description 1
- 108010001857 Cell Surface Receptors Proteins 0.000 description 1
- 206010009944 Colon cancer Diseases 0.000 description 1
- 229940126639 Compound 33 Drugs 0.000 description 1
- 229940127007 Compound 39 Drugs 0.000 description 1
- 206010059866 Drug resistance Diseases 0.000 description 1
- HSWVJQBEXRKOBZ-QGZVFWFLSA-N FC1=C(OC2CCN(CC2)C=2N=C3C(=NC=2N[C@H]2COCC2)CN(CC3)C(C)=O)C=CC(=C1)F Chemical compound FC1=C(OC2CCN(CC2)C=2N=C3C(=NC=2N[C@H]2COCC2)CN(CC3)C(C)=O)C=CC(=C1)F HSWVJQBEXRKOBZ-QGZVFWFLSA-N 0.000 description 1
- 108091008794 FGF receptors Proteins 0.000 description 1
- 108010009202 Growth Factor Receptors Proteins 0.000 description 1
- 102000009465 Growth Factor Receptors Human genes 0.000 description 1
- 101001059454 Homo sapiens Serine/threonine-protein kinase MARK2 Proteins 0.000 description 1
- 206010021143 Hypoxia Diseases 0.000 description 1
- 239000002146 L01XE16 - Crizotinib Substances 0.000 description 1
- 206010058467 Lung neoplasm malignant Diseases 0.000 description 1
- 208000002720 Malnutrition Diseases 0.000 description 1
- 206010027476 Metastases Diseases 0.000 description 1
- OPKOKAMJFNKNAS-UHFFFAOYSA-N N-methylethanolamine Chemical compound CNCCO OPKOKAMJFNKNAS-UHFFFAOYSA-N 0.000 description 1
- OPFJDXRVMFKJJO-ZHHKINOHSA-N N-{[3-(2-benzamido-4-methyl-1,3-thiazol-5-yl)-pyrazol-5-yl]carbonyl}-G-dR-G-dD-dD-dD-NH2 Chemical compound S1C(C=2NN=C(C=2)C(=O)NCC(=O)N[C@H](CCCN=C(N)N)C(=O)NCC(=O)N[C@H](CC(O)=O)C(=O)N[C@H](CC(O)=O)C(=O)N[C@H](CC(O)=O)C(N)=O)=C(C)N=C1NC(=O)C1=CC=CC=C1 OPFJDXRVMFKJJO-ZHHKINOHSA-N 0.000 description 1
- 238000005481 NMR spectroscopy Methods 0.000 description 1
- WYNCHZVNFNFDNH-UHFFFAOYSA-N Oxazolidine Chemical compound C1COCN1 WYNCHZVNFNFDNH-UHFFFAOYSA-N 0.000 description 1
- PCNDJXKNXGMECE-UHFFFAOYSA-N Phenazine Natural products C1=CC=CC2=NC3=CC=CC=C3N=C21 PCNDJXKNXGMECE-UHFFFAOYSA-N 0.000 description 1
- 102000018471 Proto-Oncogene Proteins B-raf Human genes 0.000 description 1
- 108010091528 Proto-Oncogene Proteins B-raf Proteins 0.000 description 1
- 102000016971 Proto-Oncogene Proteins c-kit Human genes 0.000 description 1
- 108010014608 Proto-Oncogene Proteins c-kit Proteins 0.000 description 1
- 102000001788 Proto-Oncogene Proteins c-raf Human genes 0.000 description 1
- 108010029869 Proto-Oncogene Proteins c-raf Proteins 0.000 description 1
- MTCFGRXMJLQNBG-UHFFFAOYSA-N Serine Natural products OCC(N)C(O)=O MTCFGRXMJLQNBG-UHFFFAOYSA-N 0.000 description 1
- 102100028904 Serine/threonine-protein kinase MARK2 Human genes 0.000 description 1
- PNUZDKCDAWUEGK-CYZMBNFOSA-N Sitafloxacin Chemical compound C([C@H]1N)N(C=2C(=C3C(C(C(C(O)=O)=CN3[C@H]3[C@H](C3)F)=O)=CC=2F)Cl)CC11CC1 PNUZDKCDAWUEGK-CYZMBNFOSA-N 0.000 description 1
- PMZURENOXWZQFD-UHFFFAOYSA-L Sodium Sulfate Chemical compound [Na+].[Na+].[O-]S([O-])(=O)=O PMZURENOXWZQFD-UHFFFAOYSA-L 0.000 description 1
- AYFVYJQAPQTCCC-UHFFFAOYSA-N Threonine Natural products CC(O)C(N)C(O)=O AYFVYJQAPQTCCC-UHFFFAOYSA-N 0.000 description 1
- 239000004473 Threonine Substances 0.000 description 1
- 208000012931 Urologic disease Diseases 0.000 description 1
- 102000009524 Vascular Endothelial Growth Factor A Human genes 0.000 description 1
- 108010053096 Vascular Endothelial Growth Factor Receptor-1 Proteins 0.000 description 1
- 102000016663 Vascular Endothelial Growth Factor Receptor-3 Human genes 0.000 description 1
- 230000001594 aberrant effect Effects 0.000 description 1
- 238000010521 absorption reaction Methods 0.000 description 1
- YLEIFZAVNWDOBM-ZTNXSLBXSA-N ac1l9hc7 Chemical compound C([C@H]12)C[C@@H](C([C@@H](O)CC3)(C)C)[C@@]43C[C@@]14CC[C@@]1(C)[C@@]2(C)C[C@@H]2O[C@]3(O)[C@H](O)C(C)(C)O[C@@H]3[C@@H](C)[C@H]12 YLEIFZAVNWDOBM-ZTNXSLBXSA-N 0.000 description 1
- 239000002253 acid Substances 0.000 description 1
- 230000002378 acidificating effect Effects 0.000 description 1
- 230000009471 action Effects 0.000 description 1
- 230000002411 adverse Effects 0.000 description 1
- 125000003282 alkyl amino group Chemical group 0.000 description 1
- 125000000539 amino acid group Chemical group 0.000 description 1
- 239000002870 angiogenesis inducing agent Substances 0.000 description 1
- 229940121369 angiogenesis inhibitor Drugs 0.000 description 1
- 239000004037 angiogenesis inhibitor Substances 0.000 description 1
- 230000006909 anti-apoptosis Effects 0.000 description 1
- 230000006907 apoptotic process Effects 0.000 description 1
- 229910052786 argon Inorganic materials 0.000 description 1
- 238000003556 assay Methods 0.000 description 1
- 210000002469 basement membrane Anatomy 0.000 description 1
- 230000008901 benefit Effects 0.000 description 1
- KXDAEFPNCMNJSK-UHFFFAOYSA-N benzene carboxamide Natural products NC(=O)C1=CC=CC=C1 KXDAEFPNCMNJSK-UHFFFAOYSA-N 0.000 description 1
- 150000001556 benzimidazoles Chemical class 0.000 description 1
- KGNDCEVUMONOKF-UGPLYTSKSA-N benzyl n-[(2r)-1-[(2s,4r)-2-[[(2s)-6-amino-1-(1,3-benzoxazol-2-yl)-1,1-dihydroxyhexan-2-yl]carbamoyl]-4-[(4-methylphenyl)methoxy]pyrrolidin-1-yl]-1-oxo-4-phenylbutan-2-yl]carbamate Chemical compound C1=CC(C)=CC=C1CO[C@H]1CN(C(=O)[C@@H](CCC=2C=CC=CC=2)NC(=O)OCC=2C=CC=CC=2)[C@H](C(=O)N[C@@H](CCCCN)C(O)(O)C=2OC3=CC=CC=C3N=2)C1 KGNDCEVUMONOKF-UGPLYTSKSA-N 0.000 description 1
- 230000004071 biological effect Effects 0.000 description 1
- 239000004305 biphenyl Substances 0.000 description 1
- 235000010290 biphenyl Nutrition 0.000 description 1
- 210000001185 bone marrow Anatomy 0.000 description 1
- 201000006491 bone marrow cancer Diseases 0.000 description 1
- KGBXLFKZBHKPEV-UHFFFAOYSA-N boric acid Chemical class OB(O)O KGBXLFKZBHKPEV-UHFFFAOYSA-N 0.000 description 1
- 150000001642 boronic acid derivatives Chemical class 0.000 description 1
- 239000007853 buffer solution Substances 0.000 description 1
- 229910000024 caesium carbonate Inorganic materials 0.000 description 1
- 230000006369 cell cycle progression Effects 0.000 description 1
- 230000024245 cell differentiation Effects 0.000 description 1
- 230000032823 cell division Effects 0.000 description 1
- 208000029742 colonic neoplasm Diseases 0.000 description 1
- 239000002131 composite material Substances 0.000 description 1
- 229940125904 compound 1 Drugs 0.000 description 1
- 229940126086 compound 21 Drugs 0.000 description 1
- 229940125833 compound 23 Drugs 0.000 description 1
- 229940125898 compound 5 Drugs 0.000 description 1
- 238000001816 cooling Methods 0.000 description 1
- KTEIFNKAUNYNJU-GFCCVEGCSA-N crizotinib Chemical compound O([C@H](C)C=1C(=C(F)C=CC=1Cl)Cl)C(C(=NC=1)N)=CC=1C(=C1)C=NN1C1CCNCC1 KTEIFNKAUNYNJU-GFCCVEGCSA-N 0.000 description 1
- 229960005061 crizotinib Drugs 0.000 description 1
- 238000007405 data analysis Methods 0.000 description 1
- 230000003247 decreasing effect Effects 0.000 description 1
- 238000011161 development Methods 0.000 description 1
- 230000018109 developmental process Effects 0.000 description 1
- GLUUGHFHXGJENI-UHFFFAOYSA-N diethylenediamine Natural products C1CNCCN1 GLUUGHFHXGJENI-UHFFFAOYSA-N 0.000 description 1
- 238000007865 diluting Methods 0.000 description 1
- 208000035475 disorder Diseases 0.000 description 1
- 239000003937 drug carrier Substances 0.000 description 1
- 238000009509 drug development Methods 0.000 description 1
- PQJJJMRNHATNKG-UHFFFAOYSA-N ethyl bromoacetate Chemical compound CCOC(=O)CBr PQJJJMRNHATNKG-UHFFFAOYSA-N 0.000 description 1
- RWTNPBWLLIMQHL-UHFFFAOYSA-N fexofenadine Chemical group C1=CC(C(C)(C(O)=O)C)=CC=C1C(O)CCCN1CCC(C(O)(C=2C=CC=CC=2)C=2C=CC=CC=2)CC1 RWTNPBWLLIMQHL-UHFFFAOYSA-N 0.000 description 1
- 102000052178 fibroblast growth factor receptor activity proteins Human genes 0.000 description 1
- 239000000706 filtrate Substances 0.000 description 1
- 238000001914 filtration Methods 0.000 description 1
- 238000009093 first-line therapy Methods 0.000 description 1
- 108010003374 fms-Like Tyrosine Kinase 3 Proteins 0.000 description 1
- 201000011243 gastrointestinal stromal tumor Diseases 0.000 description 1
- 210000001035 gastrointestinal tract Anatomy 0.000 description 1
- 239000011521 glass Substances 0.000 description 1
- 238000010438 heat treatment Methods 0.000 description 1
- 230000007062 hydrolysis Effects 0.000 description 1
- 238000006460 hydrolysis reaction Methods 0.000 description 1
- 206010020718 hyperplasia Diseases 0.000 description 1
- 230000007954 hypoxia Effects 0.000 description 1
- 239000011261 inert gas Substances 0.000 description 1
- 208000027866 inflammatory disease Diseases 0.000 description 1
- 229940043355 kinase inhibitor Drugs 0.000 description 1
- 208000011977 language disease Diseases 0.000 description 1
- 229930007744 linalool Natural products 0.000 description 1
- 238000004895 liquid chromatography mass spectrometry Methods 0.000 description 1
- 201000007270 liver cancer Diseases 0.000 description 1
- 201000005202 lung cancer Diseases 0.000 description 1
- 208000020816 lung neoplasm Diseases 0.000 description 1
- 230000001071 malnutrition Effects 0.000 description 1
- 235000000824 malnutrition Nutrition 0.000 description 1
- 238000004949 mass spectrometry Methods 0.000 description 1
- 230000010534 mechanism of action Effects 0.000 description 1
- 230000001404 mediated effect Effects 0.000 description 1
- 210000004379 membrane Anatomy 0.000 description 1
- 239000012528 membrane Substances 0.000 description 1
- 208000030159 metabolic disease Diseases 0.000 description 1
- 230000004060 metabolic process Effects 0.000 description 1
- 230000009401 metastasis Effects 0.000 description 1
- 230000005012 migration Effects 0.000 description 1
- 238000013508 migration Methods 0.000 description 1
- 239000012046 mixed solvent Substances 0.000 description 1
- 238000002156 mixing Methods 0.000 description 1
- 150000002780 morpholines Chemical class 0.000 description 1
- 230000004899 motility Effects 0.000 description 1
- 230000035772 mutation Effects 0.000 description 1
- HVOYZOQVDYHUPF-UHFFFAOYSA-N n,n',n'-trimethylethane-1,2-diamine Chemical compound CNCCN(C)C HVOYZOQVDYHUPF-UHFFFAOYSA-N 0.000 description 1
- PSHKMPUSSFXUIA-UHFFFAOYSA-N n,n-dimethylpyridin-2-amine Chemical compound CN(C)C1=CC=CC=N1 PSHKMPUSSFXUIA-UHFFFAOYSA-N 0.000 description 1
- 239000013642 negative control Substances 0.000 description 1
- 230000004770 neurodegeneration Effects 0.000 description 1
- 208000015122 neurodegenerative disease Diseases 0.000 description 1
- 239000002547 new drug Substances 0.000 description 1
- 235000015097 nutrients Nutrition 0.000 description 1
- 208000015380 nutritional deficiency disease Diseases 0.000 description 1
- 229940126701 oral medication Drugs 0.000 description 1
- 210000000056 organ Anatomy 0.000 description 1
- 125000003854 p-chlorophenyl group Chemical group [H]C1=C([H])C(*)=C([H])C([H])=C1Cl 0.000 description 1
- 230000035699 permeability Effects 0.000 description 1
- 239000003757 phosphotransferase inhibitor Substances 0.000 description 1
- 125000004194 piperazin-1-yl group Chemical group [H]N1C([H])([H])C([H])([H])N(*)C([H])([H])C1([H])[H] 0.000 description 1
- 150000004885 piperazines Chemical class 0.000 description 1
- BCIIMDOZSUCSEN-UHFFFAOYSA-N piperidin-4-amine Chemical compound NC1CCNCC1 BCIIMDOZSUCSEN-UHFFFAOYSA-N 0.000 description 1
- HDOWRFHMPULYOA-UHFFFAOYSA-N piperidin-4-ol Chemical compound OC1CCNCC1 HDOWRFHMPULYOA-UHFFFAOYSA-N 0.000 description 1
- 125000004482 piperidin-4-yl group Chemical group N1CCC(CC1)* 0.000 description 1
- 230000003389 potentiating effect Effects 0.000 description 1
- 239000000843 powder Substances 0.000 description 1
- 210000002307 prostate Anatomy 0.000 description 1
- 230000009822 protein phosphorylation Effects 0.000 description 1
- 125000004307 pyrazin-2-yl group Chemical group [H]C1=C([H])N=C(*)C([H])=N1 0.000 description 1
- 125000004944 pyrazin-3-yl group Chemical group [H]C1=C([H])N=C(*)C([H])=N1 0.000 description 1
- UMLDUMMLRZFROX-UHFFFAOYSA-N pyridin-2-ylboronic acid Chemical compound OB(O)C1=CC=CC=N1 UMLDUMMLRZFROX-UHFFFAOYSA-N 0.000 description 1
- QLULGIRFKAWHOJ-UHFFFAOYSA-N pyridin-4-ylboronic acid Chemical compound OB(O)C1=CC=NC=C1 QLULGIRFKAWHOJ-UHFFFAOYSA-N 0.000 description 1
- 125000000246 pyrimidin-2-yl group Chemical group [H]C1=NC(*)=NC([H])=C1[H] 0.000 description 1
- JHHZLHWJQPUNKB-UHFFFAOYSA-N pyrrolidin-3-ol Chemical compound OC1CCNC1 JHHZLHWJQPUNKB-UHFFFAOYSA-N 0.000 description 1
- 230000001850 reproductive effect Effects 0.000 description 1
- 210000005000 reproductive tract Anatomy 0.000 description 1
- 230000019491 signal transduction Effects 0.000 description 1
- MFRIHAYPQRLWNB-UHFFFAOYSA-N sodium tert-butoxide Chemical compound [Na+].CC(C)(C)[O-] MFRIHAYPQRLWNB-UHFFFAOYSA-N 0.000 description 1
- IVDHYUQIDRJSTI-UHFFFAOYSA-N sorafenib tosylate Chemical compound [H+].CC1=CC=C(S([O-])(=O)=O)C=C1.C1=NC(C(=O)NC)=CC(OC=2C=CC(NC(=O)NC=3C=C(C(Cl)=CC=3)C(F)(F)F)=CC=2)=C1 IVDHYUQIDRJSTI-UHFFFAOYSA-N 0.000 description 1
- 239000000126 substance Substances 0.000 description 1
- 208000011580 syndromic disease Diseases 0.000 description 1
- KVOUHLVOTMOJBS-UHFFFAOYSA-N tert-butyl 2,6-diazaspiro[3.3]heptane-2-carboxylate Chemical compound C1N(C(=O)OC(C)(C)C)CC11CNC1 KVOUHLVOTMOJBS-UHFFFAOYSA-N 0.000 description 1
- VVDCRJGWILREQH-UHFFFAOYSA-N tert-butyl 4-(4,4,5,5-tetramethyl-1,3,2-dioxaborolan-2-yl)-3,6-dihydro-2h-pyridine-1-carboxylate Chemical compound C1N(C(=O)OC(C)(C)C)CCC(B2OC(C)(C)C(C)(C)O2)=C1 VVDCRJGWILREQH-UHFFFAOYSA-N 0.000 description 1
- WMOVHXAZOJBABW-UHFFFAOYSA-N tert-butyl acetate Chemical compound CC(=O)OC(C)(C)C WMOVHXAZOJBABW-UHFFFAOYSA-N 0.000 description 1
- CWXPZXBSDSIRCS-UHFFFAOYSA-N tert-butyl piperazine-1-carboxylate Chemical compound CC(C)(C)OC(=O)N1CCNCC1 CWXPZXBSDSIRCS-UHFFFAOYSA-N 0.000 description 1
- YLQBMQCUIZJEEH-UHFFFAOYSA-N tetrahydrofuran Natural products C=1C=COC=1 YLQBMQCUIZJEEH-UHFFFAOYSA-N 0.000 description 1
- 125000004495 thiazol-4-yl group Chemical group S1C=NC(=C1)* 0.000 description 1
- 125000004496 thiazol-5-yl group Chemical group S1C=NC=C1* 0.000 description 1
- BRNULMACUQOKMR-UHFFFAOYSA-N thiomorpholine Chemical compound C1CSCCN1 BRNULMACUQOKMR-UHFFFAOYSA-N 0.000 description 1
- 125000002023 trifluoromethyl group Chemical group FC(F)(F)* 0.000 description 1
- QCPXVCYHAUXYFF-UHFFFAOYSA-N trimethyl(prop-1-ynoxy)silane Chemical compound CC#CO[Si](C)(C)C QCPXVCYHAUXYFF-UHFFFAOYSA-N 0.000 description 1
- 230000004614 tumor growth Effects 0.000 description 1
- OUYCCCASQSFEME-UHFFFAOYSA-N tyrosine Natural products OC(=O)C(N)CC1=CC=C(O)C=C1 OUYCCCASQSFEME-UHFFFAOYSA-N 0.000 description 1
- 150000003672 ureas Chemical class 0.000 description 1
- 208000014001 urinary system disease Diseases 0.000 description 1
- VBEQCZHXXJYVRD-GACYYNSASA-N uroanthelone Chemical compound C([C@@H](C(=O)N[C@H](C(=O)N[C@@H](CS)C(=O)N[C@@H](CC(N)=O)C(=O)N[C@@H](CS)C(=O)N[C@H](C(=O)N[C@@H]([C@@H](C)CC)C(=O)NCC(=O)N[C@@H](CC=1C=CC(O)=CC=1)C(=O)N[C@@H](CO)C(=O)NCC(=O)N[C@@H](CC(O)=O)C(=O)N[C@@H](CCCNC(N)=N)C(=O)N[C@@H](CS)C(=O)N[C@@H](CCC(N)=O)C(=O)N[C@@H]([C@@H](C)O)C(=O)N[C@@H](CCCNC(N)=N)C(=O)N[C@@H](CC(O)=O)C(=O)N[C@@H](CC(C)C)C(=O)N[C@@H](CCCNC(N)=N)C(=O)N[C@@H](CC=1C2=CC=CC=C2NC=1)C(=O)N[C@@H](CC=1C2=CC=CC=C2NC=1)C(=O)N[C@@H](CCC(O)=O)C(=O)N[C@@H](CC(C)C)C(=O)N[C@@H](CCCNC(N)=N)C(O)=O)C(C)C)[C@@H](C)O)NC(=O)[C@H](CO)NC(=O)[C@H](CC(O)=O)NC(=O)[C@H](CC(C)C)NC(=O)[C@H](CO)NC(=O)[C@H](CCC(O)=O)NC(=O)[C@@H](NC(=O)[C@H](CC=1NC=NC=1)NC(=O)[C@H](CCSC)NC(=O)[C@H](CS)NC(=O)[C@@H](NC(=O)CNC(=O)CNC(=O)[C@H](CC(N)=O)NC(=O)[C@H](CC(C)C)NC(=O)[C@H](CS)NC(=O)[C@H](CC=1C=CC(O)=CC=1)NC(=O)CNC(=O)[C@H](CC(O)=O)NC(=O)[C@H](CC=1C=CC(O)=CC=1)NC(=O)[C@H](CO)NC(=O)[C@H](CO)NC(=O)[C@H]1N(CCC1)C(=O)[C@H](CS)NC(=O)CNC(=O)[C@H]1N(CCC1)C(=O)[C@H](CC=1C=CC(O)=CC=1)NC(=O)[C@H](CO)NC(=O)[C@@H](N)CC(N)=O)C(C)C)[C@@H](C)CC)C1=CC=C(O)C=C1 VBEQCZHXXJYVRD-GACYYNSASA-N 0.000 description 1
- 230000002792 vascular Effects 0.000 description 1
- 239000003039 volatile agent Substances 0.000 description 1
- 239000003643 water by type Substances 0.000 description 1
Classifications
-
- C—CHEMISTRY; METALLURGY
- C07—ORGANIC CHEMISTRY
- C07D—HETEROCYCLIC COMPOUNDS
- C07D413/00—Heterocyclic compounds containing two or more hetero rings, at least one ring having nitrogen and oxygen atoms as the only ring hetero atoms
- C07D413/14—Heterocyclic compounds containing two or more hetero rings, at least one ring having nitrogen and oxygen atoms as the only ring hetero atoms containing three or more hetero rings
-
- A—HUMAN NECESSITIES
- A61—MEDICAL OR VETERINARY SCIENCE; HYGIENE
- A61P—SPECIFIC THERAPEUTIC ACTIVITY OF CHEMICAL COMPOUNDS OR MEDICINAL PREPARATIONS
- A61P35/00—Antineoplastic agents
-
- A—HUMAN NECESSITIES
- A61—MEDICAL OR VETERINARY SCIENCE; HYGIENE
- A61P—SPECIFIC THERAPEUTIC ACTIVITY OF CHEMICAL COMPOUNDS OR MEDICINAL PREPARATIONS
- A61P37/00—Drugs for immunological or allergic disorders
-
- C—CHEMISTRY; METALLURGY
- C07—ORGANIC CHEMISTRY
- C07D—HETEROCYCLIC COMPOUNDS
- C07D401/00—Heterocyclic compounds containing two or more hetero rings, having nitrogen atoms as the only ring hetero atoms, at least one ring being a six-membered ring with only one nitrogen atom
- C07D401/14—Heterocyclic compounds containing two or more hetero rings, having nitrogen atoms as the only ring hetero atoms, at least one ring being a six-membered ring with only one nitrogen atom containing three or more hetero rings
-
- C—CHEMISTRY; METALLURGY
- C07—ORGANIC CHEMISTRY
- C07D—HETEROCYCLIC COMPOUNDS
- C07D403/00—Heterocyclic compounds containing two or more hetero rings, having nitrogen atoms as the only ring hetero atoms, not provided for by group C07D401/00
- C07D403/14—Heterocyclic compounds containing two or more hetero rings, having nitrogen atoms as the only ring hetero atoms, not provided for by group C07D401/00 containing three or more hetero rings
-
- C—CHEMISTRY; METALLURGY
- C07—ORGANIC CHEMISTRY
- C07D—HETEROCYCLIC COMPOUNDS
- C07D413/00—Heterocyclic compounds containing two or more hetero rings, at least one ring having nitrogen and oxygen atoms as the only ring hetero atoms
- C07D413/02—Heterocyclic compounds containing two or more hetero rings, at least one ring having nitrogen and oxygen atoms as the only ring hetero atoms containing two hetero rings
- C07D413/12—Heterocyclic compounds containing two or more hetero rings, at least one ring having nitrogen and oxygen atoms as the only ring hetero atoms containing two hetero rings linked by a chain containing hetero atoms as chain links
-
- C—CHEMISTRY; METALLURGY
- C07—ORGANIC CHEMISTRY
- C07D—HETEROCYCLIC COMPOUNDS
- C07D417/00—Heterocyclic compounds containing two or more hetero rings, at least one ring having nitrogen and sulfur atoms as the only ring hetero atoms, not provided for by group C07D415/00
- C07D417/14—Heterocyclic compounds containing two or more hetero rings, at least one ring having nitrogen and sulfur atoms as the only ring hetero atoms, not provided for by group C07D415/00 containing three or more hetero rings
-
- C—CHEMISTRY; METALLURGY
- C07—ORGANIC CHEMISTRY
- C07D—HETEROCYCLIC COMPOUNDS
- C07D471/00—Heterocyclic compounds containing nitrogen atoms as the only ring hetero atoms in the condensed system, at least one ring being a six-membered ring with one nitrogen atom, not provided for by groups C07D451/00 - C07D463/00
- C07D471/02—Heterocyclic compounds containing nitrogen atoms as the only ring hetero atoms in the condensed system, at least one ring being a six-membered ring with one nitrogen atom, not provided for by groups C07D451/00 - C07D463/00 in which the condensed system contains two hetero rings
- C07D471/04—Ortho-condensed systems
-
- C—CHEMISTRY; METALLURGY
- C07—ORGANIC CHEMISTRY
- C07D—HETEROCYCLIC COMPOUNDS
- C07D473/00—Heterocyclic compounds containing purine ring systems
-
- C—CHEMISTRY; METALLURGY
- C07—ORGANIC CHEMISTRY
- C07D—HETEROCYCLIC COMPOUNDS
- C07D487/00—Heterocyclic compounds containing nitrogen atoms as the only ring hetero atoms in the condensed system, not provided for by groups C07D451/00 - C07D477/00
- C07D487/02—Heterocyclic compounds containing nitrogen atoms as the only ring hetero atoms in the condensed system, not provided for by groups C07D451/00 - C07D477/00 in which the condensed system contains two hetero rings
- C07D487/04—Ortho-condensed systems
-
- C—CHEMISTRY; METALLURGY
- C07—ORGANIC CHEMISTRY
- C07D—HETEROCYCLIC COMPOUNDS
- C07D487/00—Heterocyclic compounds containing nitrogen atoms as the only ring hetero atoms in the condensed system, not provided for by groups C07D451/00 - C07D477/00
- C07D487/02—Heterocyclic compounds containing nitrogen atoms as the only ring hetero atoms in the condensed system, not provided for by groups C07D451/00 - C07D477/00 in which the condensed system contains two hetero rings
- C07D487/10—Spiro-condensed systems
Landscapes
- Organic Chemistry (AREA)
- Chemical & Material Sciences (AREA)
- Health & Medical Sciences (AREA)
- Life Sciences & Earth Sciences (AREA)
- General Health & Medical Sciences (AREA)
- Nuclear Medicine, Radiotherapy & Molecular Imaging (AREA)
- General Chemical & Material Sciences (AREA)
- Pharmacology & Pharmacy (AREA)
- Chemical Kinetics & Catalysis (AREA)
- Animal Behavior & Ethology (AREA)
- Medicinal Chemistry (AREA)
- Public Health (AREA)
- Veterinary Medicine (AREA)
- Engineering & Computer Science (AREA)
- Bioinformatics & Cheminformatics (AREA)
- Immunology (AREA)
- Pharmaceuticals Containing Other Organic And Inorganic Compounds (AREA)
Abstract
The invention relates to 5-aminoisoxazole derivatives and their use in the preparation of multi-kinase inhibitors, 5-aminoisoxazole derivatives of formula I, their isotopic forms, stereoisomeric forms, tautomeric forms, pharmaceutically acceptable salts, pharmaceutically acceptable solvates, hydrates, prodrugs, and polymorphs thereof. The invention relates to a process for the preparation of a compound of formula I, wherein A, B, R1、R2、W1、W2、W3、W4、W5、W6、W7、W8And Y is as described in the description. The compounds and pharmaceutical compositions thereof are multi-kinase inhibitors and are useful for the treatment of cancer and immune related diseases.
Description
Technical Field
The invention relates to the field of pharmaceutical preparations, in particular to a 5-aminoisoxazole derivative and application thereof in preparation of a multi-kinase inhibitor.
Background
Protein phosphorylation regulates various aspects of cellular function such as cell division, metabolism, motility, survival and apoptosis. Disruption of any phosphorylation alters cellular function and may lead to a number of diseases including cancer, inflammatory diseases, cardiovascular diseases, neurodegenerative diseases and metabolic diseases. Phosphorylation is catalyzed by kinases. Protein kinases transfer a gamma-phosphate group from ATP to various amino acid residues. Upon activation, the kinase phosphorylates either the tyrosine hydroxyl group (tyrosine kinase) or the serine or threonine hydroxyl group (serine/threonine kinase). Protein kinases play a vital role in signal transduction, cell differentiation, cell proliferation, cell cycle progression, and the like. Protein Tyrosine Kinases (PTKs) act primarily as growth factor receptors. PTKs with receptor activity are also known as Receptor Tyrosine Kinases (RTKs). RTKs are cell surface receptors that have an extracellular domain that selectively bind to and are activated by a variety of growth factors, such as Epidermal Growth Factor (EGF), Vascular Endothelial Growth Factor (VEGF), insulin-like growth factor (IGF).
Angiogenesis is a key process for the growth of solid cancers. Cancer cells absorb necessary oxygen and nutrients from the surrounding environment. Due to the growth of solid tumors, low oxygen pressure, malnutrition, low pH, called hypoxia, occurs in regions 1-2 mm or more from the nearest blood vessel. Cancer cells respond to this stress by producing various angiogenic factors to stimulate angiogenesis and solid tumor growth of nearby vascular endothelial cells. Angiogenesis includes: (a) rupture of the basement membrane of the vessel wall; (b) migration and proliferation of vascular endothelial cell membranes; (c) and (4) forming blood vessels. Growth factors such as Fibroblast Growth Factor (FGF), platelet-derived growth factor (PDGF), Vascular Endothelial Growth Factor (VEGF) and the like have been observed as their mechanism of action. VEGF enhances microvascular permeability, sometimes referred to as vascular permeability factor. VEGF and VEGFR play a role in angiogenesis, the process of angiogenesis, and metastasis in solid tumors. VEGF is known to bind to three receptor tyrosine kinases, VEGFR1(FLT-1), VEGFR2(KDR), VEGFR3(FLT 4). VEGFR kinases have been used as targets for solid tumors, such as highly vascular renal, glioblastoma and liver cancers. Recently, angiogenesis inhibitors such as VEGFR2 or KDR directed against VEGF or inhibiting VEGFR kinase activity have become molecular targets for drug development (expeperotion Investigational Drugs 2003,12, 51-64).
FGFR, PDGFR, c-Met have been reported to be involved directly or indirectly in angiogenesis. Kinase inhibitors directed against these receptors are being investigated as therapeutic agents for cancer. FMS-like tyrosine kinase 3(FLT3), a RTK of the same family as PDGFR, is expressed in undifferentiated hematopoietic cells and signals hematopoietic cell proliferation and survival by binding to ligand FL expressed in bone marrow and other organs. Mutations in FLT3 are observed in about 30% of Acute Myeloid Leukemia (AML) and about 5% of myeloid language disorder syndrome (MDS). This variation leads to ligand-independent activation to signal aberrant proliferation and anti-apoptosis and is thought to be closely related to the progression of Acute Myeloid Leukemia (AML).
Multi-kinase inhibitors or broad-spectrum specific inhibitors are expected to exhibit high therapeutic effects by jointly inhibiting a few specific targets. Multi-kinase inhibitors are not able to selectively inhibit one kinase as a molecular target, and many multi-kinase inhibitors have been developed in recent years. In pharmaceutical chemistry methodologies, there are still many problems how to determine a specific set of kinases that can be targeted by a multi-kinase inhibitor to obtain good therapeutic effect and to suppress side effects. However, when considering heterogeneity and drug resistance of cancer cells, multi-kinase inhibitors are expected to be effective means for overcoming the above problems.
The multi-kinase inhibitor crizotinib has been shown to be effective in non-small cell lung Cancer (NSCLC) with altered MET exon 14 (Cancer discovmatch 1,2020,10(3), 337); multikinase inhibitors are used in the treatment of thyroid cancer (anker et el. int.j. mol. sci.2019,21(1), 10).
Sorafenib (Bay 43-9006) is a potent, oral multi-kinase inhibitor, being an inhibitor of VEGFR2, VEGFR3, PDGFRb, FLT3, c-Kit (IC50 ═ 90, 15, 20, 57, 58nM) and Raf-1 and B-Raf kinases (Wilhelm SM Cancer res.2004, 64, 7099-. Sorafenib is used to treat hepatocellular carcinoma (HCC), renal cancer and some type of thyroid cancer that have spread to other parts of the body. However, sorafenib has problems of high lipophilicity and low water solubility due to high hydrophobicity and high lattice of the phenylurea skeleton. The low solubility in water is a serious problem, especially in the clinical development of oral drugs, which is likely to cause problems of decreased absorption, unstable action and tendency to accumulate due to inter-patient pharmacokinetic variations (Pharma Zeutische Indret trie 2002, 64(9), 985-.
Levatinib is an inhibitor of VEGFR receptors 1-3, FGFR1-4, PDGFRa and KIT. Recently, a randomized phase 3 clinical trial was completed on lenvatinib and sorafenib in patients with hepatocellular carcinoma who could not be resected by first line therapy, and Kudo et al reported a randomized phase 3 non-adverse efficacy trial. (Kudo et al, the Lancet,2018,391, 1163-1173). Lenvatinib is also an effective drug for the treatment of certain thyroid cancers.
In addition, patented multikinase inhibitors such as: WO-2019036367 (multikinase inhibitors and their use in reproductive and digestive tract fibrosis), WO2019133022 (multikinase inhibitors and their use in prostate hyperplasia and urinary tract diseases), WO-2019125798 (carbamate and urea compounds as multikinase inhibitors, WO-2018022437 (multikinase inhibitors and their use in ocular fibrosis), WO-2018148653 (multigene inhibitors of VEGF and TGF- β and their use), WO2015187818 (benzimidazole analogues and related methods), WO-2015128698 (substituted heterocyclic amine derivatives as multikinase inhibitors for the treatment of cancer), WO2009015368 (multikinase inhibitors for the treatment of cancer), JP-2013189458-a (multikinase inhibitors for the treatment of cancer) discloses compounds as multikinase inhibitors, and for the treatment of a number of kinase-mediated diseases it is therefore necessary to develop more novel multi-kinase inhibitors for the treatment of cancer.
Disclosure of Invention
In order to solve the technical problems, the invention aims to provide a 5-aminoisoxazole derivative and an application thereof in preparing a multi-kinase inhibitor, wherein the derivative can effectively inhibit kinase activities of FLT1, FLT3, FLT4, FGFR1-4, VEGFR2/KDR, PDGFRa, PDGFRb, cKit and the like.
The first purpose of the invention is to disclose a 5-amino isoxazole derivative, the structural formula of which is shown in the formula (I):
a is selected from substituted or unsubstituted aryl, substituted or unsubstituted heteroaryl, and the substituent on the substituted aryl or substituted heteroaryl is selected from substituted or unsubstituted C1-10Alkyl, substituted or unsubstituted C1-10One or more of alkoxy, halogen and nitrile group;
b is selected from substituted or unsubstituted aryl, substituted or unsubstituted heteroaryl, a group of formula (II), substituted or unsubstituted saturated or unsaturated C3-10Cycloalkyl or a heteroatom substituted or unsubstituted 4-7 membered cyclic amine; wherein,
the substituents on the substituted aryl or substituted heteroaryl are selected from C1-10Alkyl radical, C1-10One or more of alkoxy, carboxyl, ester group, sulfone group and sulfonamide group;
the group of formula (II) is as follows:
wherein R is3And R4Each independently selected from hydrogen and C1-10Alkyl radical, C1-10Alkoxy radical, C1-10Alkylamino radical or C1-6A hydroxyalkyl group;
or R3And R4Linked to form a ring to form a substituted C3-10Cycloalkyl radicals, substituted C3-10Cycloalkyl includes heteroatom-substituted cycloalkyl or a spiro carbocyclic ring containing NH and/or oxygen atoms;
4-7 membered cyclic amine substituted or unsubstituted by hetero atom is chiral molecule or achiral molecule;
R1selected from hydrogen, substituted or unsubstituted C1-10An alkyl group, a substituted or unsubstituted aryl group, or a substituted or unsubstituted heteroaryl group; the substituents on the substituted aryl or substituted heteroaryl groups are selected from substituted or unsubstituted C1-10Alkyl, substituted or unsubstituted C1-10One or more of alkoxy, halogen and halogen;
R2selected from hydrogen, C1-3Alkyl, cyano, C1-3Fluoroalkyl or halogen;
W1、W2、W3、W4、W5、W6and W7Each being CH or N, satisfying the valence state, and at least W1、W2、W3、W4、W5、W6And W7One of them is N;
W8o, S, NH or NMe;
y is selected from a group of the following structural formula:
in the present invention, unless otherwise specified,represents the site of attachment of the group.
Further, in the group A or B, the aryl group therein is C6-C9Aryl, heteroaryl including C with nitrogen and/or sulfur as hetero atoms4-C6A heteroaryl group.
Preferably, a is selected from the group of the following structural formulae:
further, B is selected from the group represented by formula (II):
wherein R is3And R4Each independently selected from hydrogen and C1-10Alkyl radical, C1-10Alkoxy radical, C1-6Alkylamino radical or C1-6A hydroxyalkyl group; alkylamino being a primary amineA radical or secondary amine radical; a 3-7 membered carbocyclic ring; 4-7 membered cyclic amines; 4-7 membered heteroatom substituted cyclic amine; chiral 5-7 membered amines; substituted or unsubstituted aryl, substituted or unsubstituted heteroaryl; substituted or unsubstituted piperazine, substituted or unsubstituted morpholine; a carbocyclic ring containing no heteroatoms, a carbocyclic ring containing heteroatoms, an unsaturated carbocyclic ring, a spirocyclic carbocyclic ring containing NH and oxygen atoms.
Preferably, B is selected from a group of the following formulae:
further, R1Selected from biphenyl or a group of the formula:
preferably, R2Selected from hydrogen, methyl, cyano, trifluoromethyl or halogen.
In some embodiments, a represents a six-membered aromatic ring and the 5-aminoisoxazole derivative has formula Ia, Ib, Ic and pharmaceutically acceptable salts and solvates thereof:
wherein, B, R1And R2As described above, R3Selected from the group consisting of hydrogen, methyl, phenyl and 4-chlorophenyl.
In some embodiments, a represents a six-or five-membered heterocyclic ring, and the 5-aminoisoxazole derivative compound has the formula Id, Ie, If, Ig and pharmaceutically acceptable salts and solvates thereof:
wherein, B, R1、R2And W6As described above.
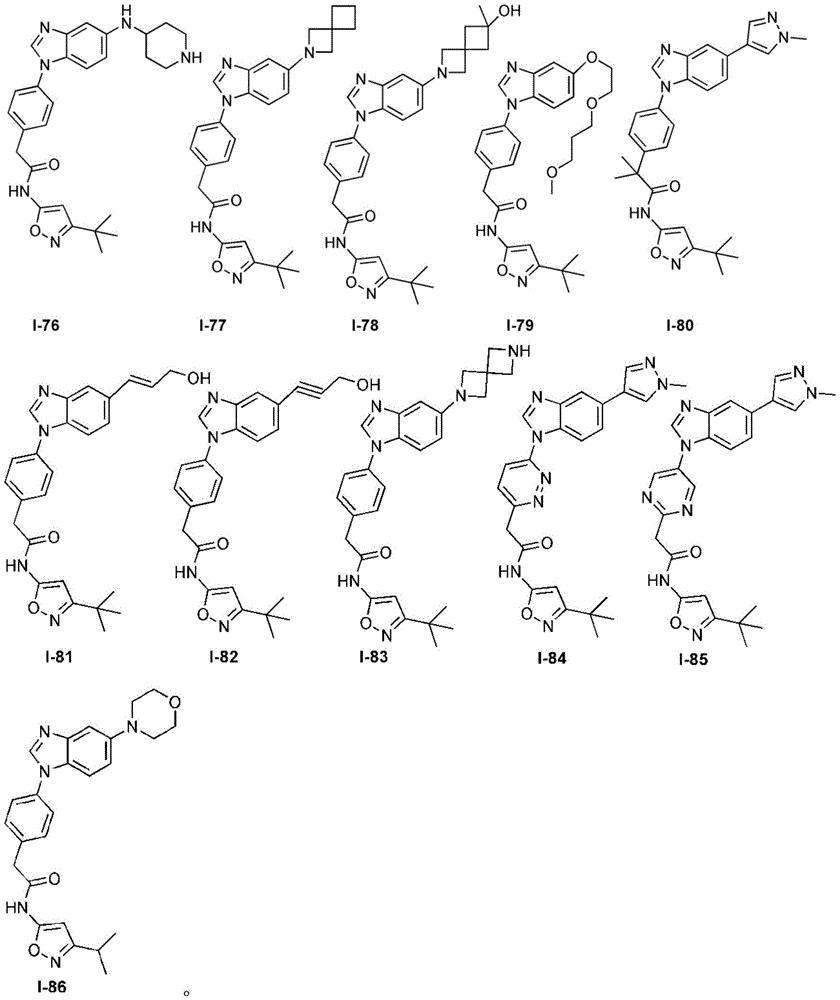
Further, the structural formula of the 5-amino isoxazole derivative is shown as one of formulas I-1 to I-86:
the second purpose of the invention is to disclose a pharmaceutical preparation, which comprises the 5-aminoisoxazole derivative shown in the formula (I), or pharmaceutically acceptable salt, stereoisomer, deuterium substituted derivative, hydrate or solvate thereof, and other pharmaceutically acceptable carriers.
Further, the pharmaceutical formulation is administered alone or in combination with other therapeutic agents.
A third object of the present invention is to disclose the use of a 5-aminoisoxazole derivative represented by formula (I), or a pharmaceutically acceptable salt, stereoisomer, deuterium substituted derivative, hydrate or solvate thereof, for the preparation of a medicament for treating a condition which can be ameliorated or prevented by inhibiting kinase activity or inhibiting proliferation of a cell or enzyme; the kinases comprise one or more of FLT1, FLT3, FLT4, FGFR1-4, VEGFR2/KDR, PDGFRa, PDGFRb, cKit and the like.
In the above application, the method comprises administering a therapeutically effective amount of the pharmaceutical preparation containing the 5-aminoisoxazole derivative shown in the formula (I) to a subject.
Further, the disorder is selected from cancer and/or immune related diseases, preferably one or more of liver cancer, bone marrow cancer, gastrointestinal stromal tumor (GIST), colon cancer, kidney cancer, lung cancer, breast cancer, kidney cancer, glioblastoma and Irritable Bowel Syndrome (IBS).
Further, the drug is administered orally, parenterally, intravenously, or transdermally.
By the scheme, the invention at least has the following advantages:
the invention discloses a 5-amino isoxazole derivative shown in a formula (I), which can be used for preparing medicaments for improving or preventing diseases or inhibiting cell or enzyme proliferation by inhibiting kinase activity and provides a new direction for treating cancers and immune related diseases.
The foregoing is a summary of the present invention, and in order to provide a clear understanding of the technical means of the present invention and to be implemented in accordance with the present specification, the following is a preferred embodiment of the present invention and is described in detail below.
Detailed Description
The following examples are given to further illustrate the embodiments of the present invention. The following examples are intended to illustrate the invention but are not intended to limit the scope of the invention.
In the following examples of the present invention, Biotage SP4 was used for column chromatography. Solvent removal was performed using a Buchi rotary evaporator or a Genevac centrifugal evaporator. Preparation of LC/MS A C18 column under acidic mobile phase conditions was run using a Waters autosifier and a 19X 100mm XTerra 5 micron MS. Nuclear magnetic resonance spectroscopy was recorded using a warian 400MHz spectrometer. When the term "inert" is used to describe a reactor (e.g., reaction vessel, flask, glass reactor, etc.), it means that the air in the reactor has been replaced with an inert gas that is substantially free of water or dry (e.g., nitrogen, argon, etc.).
The following examples refer to the following abbreviations in english and the corresponding chinese names:
HATU: 2- (7-azabenzotriazol-1-yl) -N, N' -tetramethyluramino hexafluorophosphate; DPCI: n, N' -diisopropylcarbodiimide; DIEA: n, N-diisopropylethylamine; TEA: triethylamine; DMAP: dimethylaminopyridine; DMF: n, N-dimethylformamide; NMP: n-methylpyrrolidine; THF: tetrahydrofuran; DCM: dichloromethane; TFA: trifluoroacetic acid; DMA: n, N-dimethylacetamide; TLC: thin layer chromatography; TMOF: trimethyl orthoformate; PTSA: p-toluenesulfonic acid; NIS: n-iodosuccinimide; eq: equivalent weight; mmol: millimole; mol: molar ratio; mL: ml; l: lifting; MHz: megahertz; δ: chemical shift; DMSO-d 6: deuterated dimethyl sulfoxide; hrs, hr, h: hours; ms: mass spectrometry; m/z: mass to charge ratio.
The following starting materials or intermediates are commercially available or can be prepared according to known literature procedures:
the synthetic route for compounds 6a-6j is as follows:
wherein, the structural formula of 2a-l is as follows:
wherein 2- (4- (5-bromo-1H-benzo [ d ] imidazol-1-yl) phenyl) acetic acid (6a) is prepared according to the above scheme as follows:
step 1: adding the compound 2a (6.1g, 34.3mmol) to a mixed solution of the compound 1(5.0g, 22.8mmol) and DMA (60ml) at room temperature, heating the mixture to 145-160 ℃, stirring for 8-10h until the TLC monitoring reaction is completed, cooling the reaction mixture to room temperature, washing the organic phase with water and brine respectively, drying over anhydrous sodium sulfate and evaporating to dryness to obtain a crude product, purifying by silica gel column chromatography to obtain the product 3a (6.51g, yield: 75.6%),
1H NMR(DMSO-d6,400MHz):δ=9.42(s,1H),8.21(d,1H),7.61(dd,1H),7.30(dd,4H),7.09(d,1H),4.12-4.07(m,2H),3.68(s,2H),1.22-1.18(t,3H)。
step 2: to a solution of compound 3a (6.5g, 17.2mmol), Zn powder (11.2g, 171.2mmol) in ethanol (100mL) at 0 deg.C was added dropwise a mixed solution of AcOH (7.2g, 120.4mmol) in EtOH (8mL) over about 1 hour, the reaction mixture was stirred at 0 deg.C for 3-8 hours, the reaction was monitored by TLC until compound 3a was completely consumed, the reaction mixture was warmed to room temperature, ethyl acetate (10 mL. times.3) was extracted, the organic phase was washed with water and brine, respectively, anhydrous Na2SO4Dried and evaporated to dryness to give crude 4a (5.7g, yield: 95.2%, product 4a was sufficiently pure to be used in the next synthesis step without further purification).
1HNMR(DMSO-d6,400MHz):δ=7.09(s,1H),7.04-7.02(m,2H),6.91-6.89(m,2H),6.70-6.68(m,2H),6.65-6.63(m,1H),5.04(s,2H),4.08-4.03(m,2H),3.49(s,2H),1.23-1.17(t,3H)。
And step 3: to a mixture of 4a (5.7g, 16.4mmol) and TMOF (13.0g, 122.8mmol) was added PTSA (280 mg, 1.64mmol) at room temperature and stirred at this temperature for 2-5h until TLC monitoring showed complete consumption of compound 4a, excess TMOF and other volatiles were distilled off, extracted with ethyl acetate (10 ml. times.3), the organic phase was washed with water and brine, respectively, anhydrous Na2SO4Dried and evaporated to dryness to give crude 5a (5.9g, yield: 100%, product 5a sufficiently pure to be used in the next synthesis step without further purification).
1H NMR(DMSO-d6,400MHz):δ=8.01(s,1H),8.00(s,1H),7.51-7.49(m,2H),7.45-7.41(m,4H),4.23-4.17(m,2H),3.72(s,2H),1.29-1.27(t,3H)。
And 4, step 4: to compound 5a (3.0g, 8.38mmol) in MeOH (30ml) at room temperature was added NaOH (1.0g, 25.1mmol) in dropwise fashion in H2O (10ml) solution and stirred for 2-5h until TLC monitoring the reaction showed complete consumption of compound 5 a. The mixture was cooled to room temperature, the pH was adjusted to 1 with 2N Cl, and solid 6a (2.5g, yield: 91.1%) was collected by filtration.
1H NMR(DMSO-d6,400MHz):δ=8.61(s,1H),7.99(d,J=2.0Hz,1H),7.63-7.61(m,2H),7.59-7.57(m,1H),7.53-7.48(m,2H),7.47-7.45(m,1H),3.71(s,2H)。
The intermediate 6b-l was prepared according to the same procedure and has the following structural formula:
the intermediate 6b-l names and characterization results are shown in table 1:
TABLE 1 intermediates 6b-l
The synthetic route for compound 8 is as follows:
following the above scheme, the specific steps for compounds 8a-8ii are as follows:
mixing compound 6(0.5mmol) with compound 7(0.6mmol, 1.2eq), HATU (0.55mmol, 1.1eq), Et3A mixed solution of N (1.5mmol, 3eq) in THF (10ml) will be stirred at room temperature for 2-5 hours until TLC monitoring of the reaction shows complete consumption of compound 6. The residue obtained by distilling off THF is diluted with ethyl acetateReleasing, washing with water and brine respectively, and washing the organic phase with anhydrous Na2SO4Drying and evaporating to dryness to obtain crude product, and purifying with silica gel column chromatography (eluting with dichloromethane and methanol) to obtain compound 8 with moderate to good yield (45-85%). The structural formula of the intermediate 8a-8ee is as follows in sequence:
the names and characterization results for intermediates 8a-8ii are shown in table 2:
TABLE 2 intermediates 8a-8ii
The title compounds of examples 1-19 were prepared according to the following suzuki reaction scheme:
wherein compounds 9, 10 comprise the following structural formulae:
the specific steps of the suzuki reaction are as follows:
under nitrogen protection, compound 8(0.77mmol), boric acid derivative 9 or borate derivative 10(0.93mmol), Pd (dppf) Cl2(28mg,0.039mmol)、Na2CO3(1.2mL, 2.32mmol, 2N aq.) and dioxane (3mL) were stirred at 65-90 deg.C for 6-10 hours until TLC monitoring of the reaction indicated complete consumption of Compound 8, the reaction mixture was cooled to room temperature, extracted with ethyl acetate (15 mL. times.3), the organic phase was washed with water and brine, respectively, anhydrous Na2SO4Drying and evaporating to dryness to obtain crude product, and purifying by preparative thin layer chromatography to obtain medium to good yield. Specifically, the characterization results of each example and the target product are as follows:
EXAMPLE 1 Synthesis of 2- (4- (5- (1H-pyrazol-4-yl) -1H-benzo [ d ] imidazol-1-yl) phenyl) -N- (isoxazol-5-yl) acetamide (I-1)
The intermediate 8a was used to react with the N-Boc pyrazole borate derivative (10c) to give the desired product. And (3) product characterization results:
MS:m/z:385.1(M+H)+。
EXAMPLE 2 Synthesis of 2- (4- (5- (1H-pyrazol-4-yl) -1H-benzo [ d ] imidazol-1-yl) phenyl) -N- (3-methylisoxazol-5-yl) acetamide (I-2)
The intermediate 8b and the N-Boc pyrazole borate derivative (10c) were used to give the desired product.
MS:m/z:399.2(M+H)+。
EXAMPLE 3 Synthesis of N- (3- (tert-butyl) isoxazol-5-yl) -2- (4- (5- (1-methyl-1H-pyrazol-4-yl) -1H-benzo [ d ] imidazol-1-yl) phenyl) acetamide (I-3)
The target product was prepared using intermediate 8c and N-methylpyrazole boronic acid (9 b).
MS:m/z:455.2(M+H)+;1H NMR(DMS:O-d6,400MHz):δ=11.87(s,1H),8.53(s,1H),8.17(s,1H),7.97(s,1H),7.92(s,1H),7.68-7.65(m,2H),7.59-7.56(m,4H),6.23(s,1H),3.88(s,3H),3.83(s,2H),1.25(s,9H);13C NMR(DMS:O,100MHz):δ=172.9,167.9,161.4,145.0,144.0,136.5,135.2,134.9,132.1,131.3,128.1,127.9,123.8,122.8,121.8,116.3,111.4,86.4,42.1,32.4,29.4。
EXAMPLE 4 Synthesis of 2- (4- (5- (1H-pyrazol-4-yl) -1H-benzo [ d ] imidazol-1-yl) phenyl) -N- (3- (tert-butyl) isoxazol-5-yl) acetamide (I-4)
The intermediate 8c and N-Boc pyrazole borate derivative (10c) were used to prepare the target product.
MS:m/z:441.2(M+H)+;1H NMR(DMS:O,400MHz):δ=12.90(s,1H),11.86(s,1H),8.52(s,1H),8.25(s,1H),8.03(s,1H),7.99(s,1H),7.68-7.65(m,2H),7.59-7.55(m,4H),6.23(s,1H),3.83(s,2H),1.25(s,9H);13C NMR(DMS:O,100MHz):δ=172.9,167.9,161.4,145.1,144.0,136.7,135.3,134.9,132.0,131.3,128.3,125.7,123.9,122.1,121.9,116.4,111.4,86.4,49.1,42.1,32.4,29.5。
EXAMPLE 5 Synthesis of 2- (4- (5- (1H-pyrazol-4-yl) -1H-benzo [ d ] imidazol-1-yl) phenyl) -N- (3-isopropylisoxazol-5-yl) acetamide (I-5)
The desired product was prepared using intermediate 8d and N-methylpyrazole boronic acid (9 b).
1HNMR(DMS:O-d6,400MHz):δ=11.87(s,1H),8.53(s,1H),8.17(s,1H),7.97(s,1H),7.92(s,1H),7.67-7.65(m,2H),7.58-7.55(m,4H),6.18(s,1H),3.87(s,3H),3.83(s,2H),2.94-2.90(m,1H),1.19(d,6H);13C NMR(DMS:O-d6,100MHz):δ=170.3,168.0,161.4,144.9,144.0,136.4,135.2,134.9,132.0,131.3,128.0,127.9,127.5,123.8,122.8,121.8,116.6,116.2,111.4,86.6,42.1,26.7,21.7.MS:m/z:441.2(M+H)+。
EXAMPLE 6 Synthesis of 2- (4- (5- (1H-pyrazol-4-yl) -1H-benzo [ d ] imidazol-1-yl) phenyl) -N- (3- (trifluoromethyl) isoxazol-5-yl) acetamide (I-6)
The intermediate 8e and the N-Boc pyrazole borate derivative (10c) were used to prepare the desired product.
MS:m/z:453.1(M+H)+。
EXAMPLE 7 Synthesis of 2- (4- (5- (1H-pyrazol-4-yl) -1H-benzo [ d ] imidazol-1-yl) phenyl) -N- (3-propylisoxazol-5-yl) acetamide (I-7)
The target product was prepared using intermediate 8f and N-methylpyrazole boronic acid (9 b).
1H NMR(DMS:O-d6,400MHz):δ=11.85(s,1H),8.53(s,1H),8.16(s,1H),7.98(s,1H),7.91(s,1H),7.67-7.65(m,2H),7.59-7.55(m,4H),6.15(s,1H),3.88(s,3H),3.84(s,2H),2.53-2.51(m,2H),1.62-1.59(m,2H),0.91-0.87(t,3H);13C NMR(DMS:O-d6,100MHz):δ=167.9,165.0,161.4,144.8,144.1,136.5,135.2,134.9,132.0,131.3,128.1,128.0,123.9,122.8,121.8,116.2,111.5,88.1,42.1,28.0,21.3,13.9;MS:m/z:441.2(M+H)+。
EXAMPLE 8 Synthesis of 2- (4- (5- (1H-pyrazol-4-yl) -1H-benzo [ d ] imidazol-1-yl) phenyl) -N- (3-cyclopropylisoxazol-5-yl) acetamide (I-8)
The target product was obtained using intermediate 8g and N-Boc pyrazole borate derivative (10 c).
MS:m/z:425.2(M+H)+。
EXAMPLE 9 Synthesis of 2- (4- (5- (1H-pyrazol-4-yl) -1H-benzo [ d ] imidazol-1-yl) phenyl) -N- (3, 4-dimethylisoxazol-5-yl) acetamide (I-9)
The intermediate 8h and the N-Boc pyrazole borate derivative (10c) were used to prepare the desired product.
MS:m/z:413.2(M+H)+。
EXAMPLE 10 2- (4- (5- (1H-pyrazol-4-yl) -1H-benzo [ d ] imidazol-1-yl) phenyl) -N- (4-cyano-3-methylisoxazol-5-yl) acetamide (I-10)
The intermediate 8i and the N-Boc pyrazole borate derivative (10c) were used to give the desired product.
MS:m/z:424.1(M+H)+。
EXAMPLE 11 Synthesis of 2- (4- (5- (1-methyl-1H-pyrazol-4-yl) -1H-benzo [ d ] imidazol-1-yl) phenyl) -N- (3-phenylisoxazol-5-yl) acetamide (I-11)
The intermediate 8j and N-methylpyrazole boronic acid (9b) were used to obtain the desired product.
MS:m/z:475.2(M+H)+;1H NMR(DMS:O-d6,400MHz):δ=12.09(s,1H),8.54(s,1H),8.18(s,1H),7.97(s,1H),7.92(s,1H),7.85-7.84(m,2H),7.69-7.67(m,2H),7.61-7.59(m,3H),7.56-7.54(m,1H),7.51-7.49(m,3H),6.74(s,1H),3.90(s,2H),3.87(s,3H);13C NMR(DMS:O-d6,100MHz):δ=168.1,163.1,162.5,145.0,144.1,136.5,135.2,134.8,132.0,131.4,130.7,129.5,129.2,128.0,127.9,126.9,123.9,122.8,121.8,116.2,111.5,86.5,42.1。
EXAMPLE 12 Synthesis of 2- (4- (5- (1H-pyrazol-4-yl) -1H-benzo [ d ] imidazol-1-yl) phenyl) -N- (3- (2-chlorophenyl) isoxazol-5-yl) acetamide (I-12)
The intermediate 8k and N-Boc pyrazole borate derivative (10c) were used to give the desired product.
MS:m/z:495.1(M+H)+。
EXAMPLE 13 Synthesis of N- (3- (4-chlorophenyl) isoxazol-5-yl) -2- (4- (5- (1-methyl-1H-pyrazol) -4-yl) -1H-benzo [ d ] imidazol-1-yl) phenyl) acetamide (I-13)
The desired product was obtained using intermediate 8l and N-methylpyrazole boronic acid (9 b).
EXAMPLE 14 Synthesis of N- (3- (4-fluorophenyl) isoxazol-5-yl) -2- (4- (5- (1-methyl-1H-pyrazol-ol) -4-yl) -1H-benzo [ d ] imidazol-1-yl) phenyl) acetamide (I-14)
This compound was prepared according to general scheme 3 using intermediate 8m and N-methylpyrazole boronic acid (9b) to afford the desired product.
MS:m/z:493.2(M+H)+。
EXAMPLE 15 Synthesis of 2- (4- (5- (1-methyl-1H-pyrazol-4-yl) -1H-benzo [ d ] imidazol-1-yl) phenyl) -N- (3- (m-tolyl) isoxazol-5-yl) acetamide (I-15)
The intermediate 8N and N-methylpyrazole boronic acid (9b) were used to give the desired product.
MS:m/z:489.2(M+H)+。
EXAMPLE 16 Synthesis of N- (3- (3-methoxyphenyl) isoxazol-5-yl) -2- (4- (5- (1-methyl-1H) -pyrazol-4-yl) -1H-benzo [ d ] imidazol-1-yl) phenyl) acetamide (I-16)
The intermediate 8o and N-methylpyrazole boronic acid (9b) were used to give the desired product.
MS:m/z:505.2(M+H)+。
EXAMPLE 17 Synthesis of 2- (4- (5- (1H-pyrazol-4-yl) -1H-benzo [ d ] imidazol-1-yl) phenyl) -N- (3- (3- (trifluoromethyl) phenyl) isoxazol-5-yl) acetamide (I-17)
The intermediate 8p and the N-Boc pyrazole borate derivative (10c) were used to give the desired product.
MS:m/z:529.2(M+H)+。
EXAMPLE 18 Synthesis of 2- (4- (5- (1H-pyrazol-4-yl) -1H-benzo [ d ] imidazol-1-yl) phenyl) -N- (3- (3-bromophenyl) isoxazol-5-yl) acetamide (I-18)
The intermediate 8q and N-Boc pyrazole borate derivative (10c) were used to give the desired product.
MS:m/z:539.1(M+H)+。
EXAMPLE 19 Synthesis of 2- (4- (5- (1H-pyrazol-4-yl) -1H-benzo [ d ] imidazol-1-yl) phenyl) -N- (3- (pyridin-3-yl) isoxazol-5-yl) acetamide (I-19)
The intermediate 8r and N-Boc pyrazole borate derivative (10c) were used to give the desired product.
MS:m/z:462.2(M+H)+。
EXAMPLE 20 Synthesis of N- (3- (tert-butyl) isoxazol-5-yl) -2- (4- (5- (1-methyl-1H-pyrazol-4-yl) -1H-benzo [ d ] [1,2,3] triazol-1-yl) phenyl) acetamide (I-20)
Step 1: to a mixture of compound 4a (3.0g, 8.59mmol), HCl (5N, 10ml) and AcOH (10ml) NaNO was slowly added dropwise at-5 ℃ to 0 ℃2(0.89g, 12.9mmol) of H2O (8ml) solution, after the addition was complete, stirring was continued at room temperature for 1-3h until TLC monitoring of the reaction indicated complete consumption of compound 4a, the reaction mixture was poured into an ice bath, the system pH was adjusted to 7 with 2N NaOH, and extraction was carried out with ethyl acetate (20 ml. times.3). The organic phase was washed with water and brine, respectively, anhydrous Na2SO4Drying and evaporation to dryness gave compound 11(2.6g, yield: 84%).
1H NMR(DMSO-d6,400MHz):δ=8.51-8.50(m,1H),7.93-7.91(m,1H),7.85-7.83(m,2H),7.80-7.77(m,1H),7.60-7.58(m,2H),4.15-4.10(m,2H),3.85(s,2H),1.24-1.20(t,3H).
Step 2:under nitrogen protection, compound 11(500mg, 1.39mmol) was reacted with N-methylpyrazole boronic acid (9b) (261mg, 2.09mmol), Pd (dppf) Cl2(51mg,0.069mmol)、Na2CO3(2.1mL, 4.18mmol, 2N aq.) in dioxane (5mL) was stirred at 70-80 deg.C for 2h until TLC monitoring the reaction showed complete consumption of Compound 11, the reaction mixture was cooled to room temperature, ethyl acetate (20 mL. times.3) was extracted, the organic layer was washed with water and brine, anhydrous Na2SO4Drying to dryness to obtain crude product, and purifying by column chromatography to obtain compound 12(451mg, yield: 90%).
1H NMR(DMSO-d6,400MHz):δ=8.39-8.37(m,1H),8.33(s,1H),8.06(s,1H),7.92-7.90(m,2H),7.88-7.85(m,2H),7.60-7.58(m,2H),4.16-4.11(m,2H),3.90(s,3H),3.85(s,2H),1.24-1.21(t,3H).
And step 3: to compound 12(400mg, 1.11mmol) in MeOH (4ml) and H2NaOH (88mg, 2.22mmol) was added to a mixed solvent of O (1ml), warmed to 80 ℃ and stirred for 2-6h until TLC monitoring the reaction showed complete consumption of compound 6i, the reaction mixture was cooled to room temperature, adjusted to pH 1 with 2N HCl, filtered and collected solid compound 13(245mg, yield: 66%).
1H NMR(DMSO-d6,400MHz):δ=8.36-8.33(m,2H),8.06(s,1H),7.93-7.90(m,2H),7.86-7.84(m,2H),7.60-7.57(m,2H),3.90(s,3H),3.76(s,2H).
And 4, step 4: compound 13(120mg, 0.36mmol) was reacted with compound 7c (61mg, 0.43mmol), HATU (205mg, 0.54mmol), Et at room temperature3A solution of N (109mg, 1.08mmol) in THF (5ml) was stirred for 1-3h until TLC monitoring showed complete consumption of starting material, THF was evaporated and extracted with ethyl acetate (20 ml. times.3), the organic phase was washed with water and brine, respectively, anhydrous Na2SO4Dried and evaporated to dryness to give crude product, purified by preparative TLC to give the desired product I-20(100 mg).
1H NMR(DMSO-d6,400MHz):δ=11.31(s,1H),8.34(d,2H),8.05(s,1H),7.91-7.85(m,4H),7.63(d,2H),6.60(s,1H),3.90(s,3H),3.84(s,2H),1.28(s,9H)。
Example 21: synthesis of N- (3- (tert-butyl) isoxazol-5-yl) -2- (4- (6- (1-methyl-1H-pyrazol-4-yl) -3H-imidazo [4,5-c ] pyridin-3-yl) phenyl) acetamide (I-21)
Intermediate 19 was synthesized according to the method for synthesizing intermediates 6b to 6l, and then the target product was prepared using intermediate 19 and N-methylpyrazole boronic acid (9 b).
MS m/z:456.2(M+H)+。
EXAMPLE 22 Synthesis of N- (3- (tert-butyl) isoxazol-5-yl) -2- (4- (2- (1-methyl-1H-pyrazol-4-yl) -7H-purin-7-yl) phenyl) acetamide (I-22)
Step 1: under nitrogen protection, compound 20(500mg, 2.53mmol), compound 21(750mg, 3.79mmol), Pd2(dba)3(116mg,0.13mmol),XantPhos(295mg,0.51mmol),Cs2CO3(2.5g, 7.58mmol) in toluene (5mL) was heated to 65-90 ℃ and stirred for 8-12h until TLC monitoring the reaction showed complete consumption of compound 20, the reaction mixture was cooled to room temperature, extracted with ethyl acetate (30 mL. times.3), the organic phase was washed with water and brine, respectively, anhydrous Na2SO4Drying and evaporation to dryness gave crude product, which was purified on silica gel column to give product 22(415mg, yield: 46%).
Step 2: to compound 22(415mg, 1.15mmol) in MeOH (6ml) and H2To a mixed solution of O (2ml) was added NaOH (92mg, 2.30mmol) and the mixture was stirred at 80 ℃ for 2-6 hours until TLC monitoring of the reaction showed complete consumption of Compound 22, the mixture was cooled to room temperature, adjusted to pH 1 with 2N HCl, filtered and the solid 23 was collected (320mg, yield: 83%).
And step 3: a mixture of compound 23(300mg, 0.90mmol), compound 7c (152mg, 1.08mmol), HATU (378mg, 0.99mmol), Et3A solution of N (274mg, 2.71mmol) in THF (8mL) was stirred at room temperature for 2-6h until TLC monitoring of the reaction indicated complete consumption of starting material.The THF was evaporated off, extracted with ethyl acetate (20 mL. times.3), the organic phase was washed with water and brine, respectively, anhydrous Na2SO4Dried and evaporated to dryness to give a crude product, which was purified by column chromatography to give 24(318mg, yield: 78%).
And 4, step 4: under nitrogen protection, compound 24(125mg, 0.28mmol), N-methylpyrazole boronic acid (9b) (52mg, 0.41mmol), Pd (dppf) Cl2(40mg,0.055mmol),Na2CO3(0.3mL, 0.55mmol, 2N aq.) in dioxane (5mL) was stirred at 70-80 ℃ for 3h until TLC monitoring of the reaction indicated complete consumption of compound 24, the reaction mixture was cooled to room temperature, extracted with ethyl acetate (20 mL. times.3), the organic phase was washed with water and brine, respectively, anhydrous Na2SO4Drying and evaporating to dryness to obtain crude product, and purifying by preparative TLC to obtain target product I-22(62mg, yield: 49%)
MS m/z:457.2(M+H)+。
EXAMPLE 23 Synthesis of N- (3- (tert-butyl) isoxazol-5-yl) -2- (4- (6- (1-methyl-1H-pyrazol-4-yl) pyrazoline [1,5-a ] pyridin-3-yl) phenyl) acetamide (I-23)
Step 1: under nitrogen protection, compound 25(500mg, 2.55mmol), N-methylpyrazole boronic acid (9b) (482mg, 3.83mmol), Pd (dppf) Cl2(93mg,0.13mmol),Na2CO3A solution of dioxane (8mL) (3.8mL, 7.65mmol, 2N aq.) was stirred at 70-80 deg.C for 2h until TLC monitoring of the reaction indicated complete consumption of compound 25, the reaction mixture was cooled to room temperature and extracted with ethyl acetate (20 mL. times.3). The organic phase was washed with water and brine, respectively, anhydrous Na2SO4Dried and evaporated to dryness to give a crude product, which was purified with silica gel column to give compound 26(320mg, yield: 63%).
Step 2: to a solution of compound 26(300mg, 1.51mmol) in DMF (5mL) was added NIS (375mg, 1.67mmol) and stirred at room temperature for 3-5h until TLC monitoring of the reaction showed complete consumption of compound 26 and extraction with ethyl acetate (20 mL. times.3). The organic phase is respectively treated with water and brineWashing with anhydrous Na2SO4Dried and evaporated to dryness to give a crude product, which was purified with silica gel column to give compound 27(410mg, yield: 82%).
And step 3: under nitrogen protection, compound 27(410mg, 1.27mmol), compound 28(551mg, 1.89mmol), Pd (dppf) Cl2(46mg,0.063mmol)、Na2CO3(1.9mL, 3.79mmol, 2N aq.) in dioxane (10mL) was stirred at 70-80 ℃ for 4h until TLC monitoring of the reaction showed complete consumption of compound 27, the reaction mixture was cooled to room temperature, ethyl acetate (20 mL. times.3) was extracted, the organic phase was washed with water and brine, respectively, anhydrous Na2SO4Dried and evaporated to dryness to give a crude product, which was purified with silica gel column to give compound 29(330mg, yield: 72%).
And 4, step 4: to mixture 29(330mg, 0.92mmol) in MeOH (4ml) and H2To a mixed solution of O (1ml) was added NaOH (73mg, 1.83mmol) and stirred at 80 ℃ for 2-6 hours until TLC monitoring the reaction showed complete consumption of compound 29, the reaction mixture was cooled to room temperature, adjusted to pH 1 with 2N HCl, filtered and the solid was collected to give compound 30(230mg, yield: 76%).
And 5: a mixture of 30(110mg, 0.33mmol), 7C (55mg, 0.40mmol), HATU (138mg, 0.36mmol) and Et3N (101mg, 0.99mmol) in THF (5mL) was stirred at room temperature for 1-3h until TLC monitoring showed complete consumption of starting material, the solvent THF was evaporated, ethyl acetate (20 mL. times.3) was extracted, the organic layer was washed with water and brine, respectively, anhydrous Na2SO4Drying and evaporating to dryness to obtain crude product, and purifying by preparative TLC to obtain product I-23(75 mg).
MS m/z:455.2(M+H)+。
EXAMPLE 24 Synthesis of N- (3- (tert-butyl) isoxazol-5-yl) -2- (5- (1-methyl-1H-pyrazol-4-yl) -1H-benzo [ d ] imidazol-1-yl) pyridin-2-yl) acetamide (I-24)
The desired product was obtained according to the method for the synthesis of I-1 using intermediate 8s and N-methylpyrazole boronic acid (9 b).
MS m/z:456.2(M+H)+。
EXAMPLE 25 Synthesis of N- (3- (tert-butyl) isoxazol-5-yl) -2- (5- (1-methyl-1H-pyrazol-4-yl) -1H-benzo [ d ] imidazol-1-yl) pyrazin-2-yl) acetamide (I-25)
The desired product was obtained according to the method for synthesizing I-1 using intermediate 8t and N-methylpyrazole boronic acid (9 b).
MS m/z:457.2(M+H)+。
EXAMPLE 26 Synthesis of N- (3- (tert-butyl) isoxazol-5-yl) -2- (2- (5- (1-methyl-1H-pyrazol-4-yl) -1H-benzo [ d ] imidazol-1-yl) thiazol-5-yl) acetamide (I-26)
The desired product was obtained according to the method for synthesizing I-1 using intermediate 8u and N-methylpyrazole boronic acid (9 b).
MS m/z:462.2(M+H)+。
EXAMPLE 27 Synthesis of N- (3- (tert-butyl) isoxazol-5-yl) -2- (2- (5- (1-methyl-1H-pyrazol-4-yl) -1H-benzo [ d ] imidazol-1-yl) thiazol-4-yl) acetamide (I-27)
The desired product was prepared according to the procedure for the synthesis of I-1, using intermediate 8v and N-methylpyrazole boronic acid (9 b).
MS m/z:462.2(M+H)+。
EXAMPLE 28 Synthesis of 2- (4- (5- (2-oxo-6-azaspiro [3.3] heptane 6-yl) -1H-benzo [ d ] imidazol-1-yl) phenyl) -N- (3- (tert-butyl) isoxazol-5-yl) acetamide 1H-benzo [ d ] imidazol-1-yl) benzamide (I-28)
Under the protection of nitrogen, compound 8c (1.11mmol), amine 31(1.33mmol) and Pd2(dba)3(202mg,0.22mmol)、Xantphos(128mg,0.22mmol)、tBuONa (212mg, 2.21mmol) in toluene (5ml) mixed solution was stirred at 65-90 ℃ for 8-12h until TLC monitoring of the reaction showed complete consumption of compound 8c, the reaction mixture was cooled to room temperature, ethyl acetate (30 ml. times.3) was extracted, the organic phase was washed with water and brine, respectively, anhydrous Na2SO4Drying and evaporating to dryness to obtain a crude product, and purifying by preparative TLC to obtain a product. The structure of the compound is shown by1HNMR、13CNMR was performed for characterization.
Compound I-28 was prepared according to the above route, specifically from intermediate 8c and 2-oxa-6-aza-spiro [3, 3]]And (3) preparing heptane. The characterization result is as follows: MS M/z 472.2(M + H)+;1H NMR(400MHz,DMSO-d6)δ11.89(s,1H),8.39(s,1H),7.60(d,J=8.4Hz,2H),7.53(d,2H),7.46(d,J=8.7Hz,1H),6.75(d,J=1.8Hz,1H),6.53(dd,1H),6.22(s,1H),4.74(s,4H),3.98(s,4H),3.84–3.75(m,2H),1.24(s,9H).
EXAMPLE 29 Synthesis of N- (3- (tert-butyl) isoxazol-5-yl) -1- (4- (5- (1-methyl-1H-pyrazol-4-yl) -1H-benzo [ d ] imidazol-1-yl) phenyl) cyclopropane-1-carboxamide (I-29)
The desired product was prepared following a similar procedure to that for the synthesis of I-1, using intermediate 8x and N-methylpyrazole boronic acid (9 b).
MS:m/z:481.2(M+H)+。
EXAMPLE 30 Synthesis of N- (3- (tert-butyl) isoxazol-5-yl) -2, 2-difluoro-2- (4- (5- (1-methyl) -1H-pyrazol-4-yl) -1H-benzo [ d ] imidazol-1-yl) phenyl) acetamide (I-30)
The desired product was prepared following a similar procedure to that for the synthesis of I-1, using intermediate 8y and N-methylpyrazole boronic acid (9 b).
MS:m/z:491.2(M+H)+。
EXAMPLE 31 Synthesis of N- (3- (tert-butyl) isoxazol-5-yl) -2- (4- (5-morpholin-1H-benzo [ d ] imidazol-1-yl) phenyl) acetamide (I-31)
Following a similar procedure to that for the synthesis of I-28, intermediate 8c and morpholine were used to give the desired product.
MS:m/z:460.2(M+H)+;1H NMR(400MHz,DMSO-d6)δ11.90(s,1H),8.45(s,1H),7.63(d,J=8.3Hz,2H),7.54(d,J=8.4Hz,2H),7.51(d,J=9.0Hz,1H),7.25(s,1H),7.10(dd,J=9.1,2.0Hz,1H),6.22(s,1H),3.81(s,2H),3.80–3.72(m,4H),3.15–3.07(m,4H),1.24(s,9H).。
EXAMPLE 32 Synthesis of N- (3- (tert-butyl) isoxazol-5-yl) -2- (4- (5- (piperazin-1-yl) -1H-benzo [ d ] imidazol-1-yl) phenyl) acetamide (I-32)
The desired product was obtained in a similar manner to the synthesis of I-28, using intermediate 8c and 1-tert-butoxycarbonylpiperazine. MS M/z 459.2(M + H)+.
EXAMPLE 33 Synthesis of N- (3- (tert-butyl) isoxazol-5-yl) -2- (4- (5- ((2-hydroxy-2-methylpropyl) amino) -1H-benzo [ d ] imidazol-1-yl) phenyl) acetamide (I-33)
The desired product was obtained in a similar manner to that for the synthesis of I-28, using intermediate 8c and 1-amino-2-methylpropan-2-ol.
MS:m/z:462.2(M+H)+。
EXAMPLE 34 Synthesis of N- (3- (tert-butyl) isoxazol-5-yl) -2- (4- (5- (4-hydroxypiperidin-1-yl) -1H-benzo [ d ] imidazol-1-yl) phenyl) acetamide (I-34)
The desired product was obtained in analogy to the synthesis of I-28, using intermediate 8c and piperidin-4-ol.
MS:m/z:474.2(M+H)+。
EXAMPLE 35 Synthesis of N- (3- (tert-butyl) isoxazol-5-yl) -2- (4- (5- (piperidin-1-yl) -1H-benzo [ d ] imidazol-1-yl) phenyl) acetamide (I-35)
The desired product was prepared following a procedure analogous to that for the synthesis of I-28, using intermediate 8c and piperidine.
MS:m/z:458.2(M+H)+。
EXAMPLE 36 Synthesis of N- (3- (tert-butyl) isoxazol-5-yl) -2- (4- (5-thiomorpholin-1H-benzo [ d ] imidazol-1-yl) phenyl) acetamide (I-36)
The desired product was obtained in a similar manner to that for the synthesis of I-28, using intermediate 8c and thiomorpholine.
MS:m/z:476.5(M+H)+。
EXAMPLE 37 Synthesis of 2- (4- (5- (1, 4-oxazol-4-yl) -1H-benzo [ d ] imidazol-1-yl) phenyl) -N- (3- (tert-butyl) isoxazol-5-yl) acetamide (I-37)
The desired product was obtained following a similar procedure to that for the synthesis of I-28, using intermediate 8c and 1, 4-oxazolidine.
MS:m/z:474.5(M+H)+。
EXAMPLE 38 Synthesis of N- (3- (tert-butyl) isoxazol-5-yl) -2- (4- (5- (3-hydroxyazetidin-1-yl) -1H-benzo [ d ] -imidazol-1-yl) phenyl) acetamide (I-38)
Following a similar procedure to that for the synthesis of I-28, using intermediate 8c and nitrogenThe target product is obtained by the heterocyclic butane-3-alcohol. MS M/z 446.5(M + H)+。
EXAMPLE 39 Synthesis of N- (3- (tert-butyl) isoxazol-5-yl) -2- (4- (5- (3-hydroxypyrrolidin-1-yl) -1H-benzo [ d ] -imidazol-1-yl) phenyl) acetamide (I-39)
The desired product was obtained in a similar manner to that for the synthesis of I-28, using intermediate 8c and pyrrolidin-3-ol. MS M/z 460.2(M + H) +.
EXAMPLE 40 Synthesis of N- (3- (tert-butyl) isoxazol-5-yl) -2- (4- (5- (4-hydroxy-4-methylpiperidin-1-yl) -1H-benzo [ d ] -imidazol-1-yl) phenyl) acetamide (I-40)
The desired product was obtained in analogy to the synthesis of I-28, using intermediate 8c and 4-methylpiperidin-4-ol.
MS:m/z:488.2(M+H)+。
Example 41: synthesis of N- (3- (tert-butyl) isoxazol-5-yl) -2- (4- (5- (N-Boc-3, 6-dihydropyridin-1 (2H) -) -4-yl) -1H-benzo [ d ] imidazol-1-yl) phenyl) acetamide (I-41)
The desired product was obtained by a similar procedure to that for the synthesis of I-1, using intermediate 8c and N-Boc-1,2,5, 6-tetrahydropyridine-4-boronic acid pinacol ester (9 d).
MS:m/z:556.3(M+H)+;1H NMR(DMSO-d6,400MHz):δ=11.86(s,1H),8.54(s,1H),7.80(s,1H),7.66-7.64(m,2H),7.59-7.55(m,4H),7.47-7.45(m,1H),6.22(s,1H),6.18(s,1H),4.04-4.02(m,2H),3.82(s,2H),3.60-3.58(m,2H),2.56-2.54(m,2H),1.44(s,9H),1.24(s,9H)。
EXAMPLE 42 Synthesis of N- (3- (tert-butyl) isoxazol-5-yl) -2- (4- (5- (1,2,3, 6-tetrahydropyridin) -4-yl) -1H-benzo [ d ] imidazol-1-yl) phenyl) acetamide (I-42)
The intermediate I-41 and trifluoroacetic acid were used according to the above route to give the desired product I-42.
MS m/z:456.2(M+H)+;1H NMR(DMSO-d6,400MHz):δ=11.99(s,1H),9.42(s,1H),8.58(s,1H),7.86(s,1H),7.67-7.63(m,2H),7.61-7.57(m,3H),7.50-7.48(m,1H),6.23-6.22(m,1H),6.21(s,1H),3.85(s,2H),3.76-3.75(m,2H),3.33-3.32(m,2H),2.81-2.79(m,2H),1.24(s,9H).13C NMR(DMSO-d6,100MHz):δ=172.9,168.0,161.4,144.5,135.2,135.0,134.3,133.2,131.4,123.9,121.3,116.6,111.2,86.4,45.8,42.0,41.9,32.4,29.4,24.0。
EXAMPLE 43 Synthesis of N- (3- (tert-butyl) isoxazol-5-yl) -2- (4- (5- (piperidin-4-yl) -1H-benzo [ d ] imidazol-1-yl) phenyl) acetamide (I-43)
Step 1: the I-41 and Pd/C mixture was suspended in methanol and stirred overnight under hydrogen until TLC monitoring of the reaction showed complete consumption of compound I-41, the mixture was filtered through a pad of celite and the filtrate was concentrated to give compound I-41-2H.
MS m/z:558.3(M+H)+;1H NMR(DMSO-d6,400MHz):δ=11.86(s,1H),8.50(s,1H),7.64-7.61(m,3H),7.57-7.53(m,3H),7.24-7.22(m,1H),6.22(s,1H),4.04-4.02(m,2H),3.82(s,2H),3.59-3.58(m,2H),2.56-2.54(m,2H),1.58-1.55(m,2H),1.44(s,9H),1.24(s,9H).
Step 2: to a solution of I-41-2H in methylene chloride was added CF3COOH, the reaction mixture was stirred at room temperature for 1H until TLC monitoring the reaction showed complete consumption of compound I-41-2H, and saturated NaHCO was used3Adjusting pH to 7, extracting with dichloromethane, washing the organic phase with water and brine, respectively, and extracting with anhydrous Na2SO4Drying and evaporating to obtain a crude product, and purifying by preparative TLC to obtain a compound I-43.
MS m/z:458.2(M+H)+;1H NMR(DMSO-d6,400MHz):δ=8.52(s,1H),7.65-7.62(m,3H),7.59-7.57(m,4H),7.22-7.20(m,1H),6.06(s,1H),3.95(s,2H),3.39-3.36(m,2H),3.04-2.98(m,3H),2.00-1.89(m,4H),1.19(s,9H)。
Example 44: synthesis of ethyl 2- (4- (1- (4- (2- ((3- (tert-butyl) isoxazol-5-yl) amino) -2-oxoethyl) phenyl) -1H-benzo [ d ] imidazol-5-yl) -1H-pyrazol-1-yl) acetate (I-44)
The compounds I-4 and ethyl 2-bromoacetate, K were used according to the above route2CO3Obtaining the target product.
1H NMR(DMSO-d6,400MHz):δ=11.92(s,1H),8.60(s,1H),8.28(s,1H),8.06-8.05(m,2H),7.74-7.72(m,2H),7.69-7.67(m,1H),7.64-7.61(m,3H),6.28(s,1H),5.15(s,2H),4.25-4.21(m,2H),3.88(s,2H),1.31(s,9H),1.30-1.27(t,3H);MS m/z:527.2(M+H)+。
Example 45: synthesis of tert-butyl 2- (4- (1- (4- (2- ((3- (tert-butyl) isoxazol-5-yl) amino) -2-oxoethyl) phenyl) -1H-benzo [ d ] imidazol-5-yl) -1H-pyrazol-1-yl) acetate (I-45)
Using Compound I-4 and t-butyl acetate, K according to the above route2CO3Obtaining a target product I-45.
1H NMR(DMSO-d6,400MHz):δ=11.28(s,2H),8.53(s,1H),8.21(s,1H),7.99(s,1H),7.67-7.65(m,2H),7.6-7.56(m,4H),6.59(s,1H),4.96(s,2H),3.79(s,2H),1.45(s,9H),1.29(s,9H);MS m/z:555.2(M+H)+。
EXAMPLE 46 Synthesis of 2- (4- (1- (4- (2- ((3- (tert-butyl) isoxazol-5-yl) amino) -2-oxoethyl) phenyl) -1H-benzo [ d ] imidazol-5-yl) -1H-pyrazol-1-yl) acetic acid (I-46)
Compound I-46 is prepared using product I-45 and HCl/EA, or compound I-46 is prepared using product I-44 and LiOH hydrolysis conditions.
1HNMR(DMSO-d6,400MHz):δ=11.28(s,1H),9.47(s,1H),8.28(s,1H),7.99(s,2H),7.71-7.69(m,4H),7.60-7.58(m,2H),6.52(s,1H),4.94(s,2H),3.78(s,2H),1.21(s,9H);MS m/z:499.2(M+H)+。
EXAMPLE 47 Synthesis of N- (3- (tert-butyl) isoxazol-5-yl) -2- (4- (5- (pyrimidin-5-yl) -1H-benzo [ d ] imidazol-1-yl) phenyl) acetamide (I-47)
Following a similar procedure to that for the synthesis of I-1, intermediate 8c and pyrimidin-5-ylboronic acid (9k) were used to afford the desired product.
MS m/z:453.2(M+H)+。
EXAMPLE 48 Synthesis of N- (3- (tert-butyl) isothiazol-5-yl) -2- (4- (5- (pyrimidin-5-yl) -1H-benzo [ d ] imidazol-1-yl) phenyl) acetamide (I-48)
Following a similar procedure to that for the synthesis of I-1, intermediate 8z and pyrimidin-5-ylboronic acid (9k) were used to afford the desired product.
MS m/z:469.2(M+H)+。
EXAMPLE 49 Synthesis of N- (3- (tert-butyl) isothiazol-5-yl) -2- (4- (5- (1-methyl-1H-pyrazol-4-yl) -1H-benzo [ d ] imidazol-1-yl) phenyl) acetamide (I-49)
The desired product was prepared following a similar procedure to that for the synthesis of I-1, using intermediate 8z and (1-methyl-1H-pyrazol-4-yl) boronic acid (9 b).
MS m/z:471.2(M+H)+。
EXAMPLE 50 Synthesis of 2- (4- (5- (1H-pyrazol-4-yl) -1H-benzo [ d ] imidazol-1-yl) phenyl) -N- (3- (tert-butyl) isothiazol-5-yl) acetamide (I-50)
Following an analogous procedure to that for the synthesis of I-1, intermediate 8z and (3-4,4,5, 5-tetramethyl- [1,3, 2)]Dioxolan-2-yl) -pyrazole-1-carboxylic acid tert-butyl ester (10c) preparation of the expected product. MS M/z 457.2(M + H)+。
EXAMPLE 51 Synthesis of 2- (4- (5- (1H-pyrazol-4-yl) -1H-benzo [ d ] imidazol-1-yl) phenyl) -N- (3-methylisothiazol-5-yl) acetamide (I-51)
The title product was prepared in analogy to the synthesis of I-1, using intermediate 8aa and tert-butyl (3-4,4,5, 5-tetramethyl- [1,3,2] dioxolan-2-yl) -pyrazole-1-carboxylate (10 c).
MS m/z:415.1(M+H)+。
EXAMPLE 52 Synthesis of 2- (4- (5- (1-methyl-1H-pyrazol-4-yl) -1H-benzo [ d ] imidazol-1-yl) phenyl) -N- (3-methylisothiazol-5-yl) acetamide (I-52)
The desired product was prepared following a similar procedure to that for synthesis of I-1, using intermediate 8aa and (1-methyl-1H-pyrazol-4-yl) boronic acid (9 b).
MS m/z:429.1(M+H)+。
EXAMPLE 53 Synthesis of N- (3- (4-chlorophenyl) -1-methyl-1H-pyrazol-5-yl) -2- (4- (5- (1-methyl-1H) -pyrazol-4-yl) -1H-benzo [ d ] imidazol-1-yl) phenyl) acetamide (I-53)
The desired product was prepared following a similar procedure to that for the synthesis of I-1, using intermediate 8bb and (1-methyl-1H-pyrazol-4-yl) boronic acid (9 b).
MS m/z:522.2(M+H)+。
EXAMPLE 54 Synthesis of 2- (4- (5- (1H-pyrazol-4-yl) -1H-benzo [ d ] imidazol-1-yl) phenyl) -N- (3- (4) -chlorophenyl) -1-methyl-1H-pyrazol-5-yl) acetamide (I-54)
The desired product was obtained in analogy to the synthesis of I-1, using intermediate 8bb and tert-butyl (3-4,4,5, 5-tetramethyl- [1,3,2] dioxolan-2-yl) -pyrazole-1-carboxylate (10 c).
MS m/z:508.2(M+H)+。
EXAMPLE 55 Synthesis of 2- (4- (5- (1-methyl-1H-pyrazol-4-yl) -1H-benzo [ d ] imidazol-1-yl) phenyl) -N- (3-methyl-1H-pyrazol-5-yl) acetamide (I-55)
The desired product was prepared following a similar procedure to that for the synthesis of I-1, using intermediate 8cc and (1-methyl-1H-pyrazol-4-yl) boronic acid (9 b).
MS m/z:412.2(M+H)+。
EXAMPLE 56 Synthesis of N- (3- (tert-butyl) -1H-pyrazol-5-yl) -2- (4- (5- (pyridin-3-yl) -1H-benzo [ d ] imidazol-1-yl) phenyl) acetamide (I-56)
Following a similar procedure to that for the synthesis of I-1, using intermediate 8dd preparation and pyridin-3-ylboronic acid (9g) gave the desired product.
MS m/z:451.2(M+H)+。
EXAMPLE 57 Synthesis of N- (3- (tert-butyl) -1H-pyrazol-5-yl) -2- (4- (5- (1-methyl-1H-pyrazol-4-yl) -1H-benzo [ d ] imidazol-1-yl) phenyl) acetamide (I-57)
Following an analogous procedure to that for the synthesis of I-1, intermediate 8dd was used to prepare and the (1-methyl-1H-pyrazol-4-yl) boronic acid (9b) gave the desired product.
MS m/z:454.2(M+H)+。
EXAMPLE 58 Synthesis of 2- (4- (5- (1H-pyrazol-4-yl) -1H-benzo [ d ] imidazol-1-yl) phenyl) -N- (3- (tert-butyl) -1-methyl-1H-pyrazol-5-yl) acetamide (I-58)
The desired product is obtained analogously to the synthesis of I-1, using intermediate 8ee and tert-butyl (3-4,4,5, 5-tetramethyl- [1,3,2] dioxolan-2-yl) -pyrazole-1-carboxylate (10 c).
MS m/z:454.2(M+H)+。
EXAMPLE 59 Synthesis of N- (3- (tert-butyl) -1-methyl-1H-pyrazol-5-yl) -2- (4- (5- (1-methyl-1H-pyrazol) -4-yl) -1H-benzo [ d ] imidazol-1-yl) phenyl) acetamide (I-59)
The title product was prepared in analogy to the synthesis of I-1, using intermediate 8ee and (1-methyl-1H-pyrazol-4-yl) boronic acid (9 b).
MS m/z:468.2(M+H)+。
EXAMPLE 60 Synthesis of N- (3- (tert-butyl) -1-methyl-1H-pyrazol-5-yl) -2- (4- (5- (pyridin-3-yl) -1H-benzo [ d ] imidazol-1-yl) phenyl) acetamide (I-60)
The desired product was obtained in analogy to the synthesis of I-1, using intermediate 8ee and pyridin-3-ylboronic acid (9 g).
MS m/z:465.2(M+H)+。
Example 61: synthesis of N- (3- (tert-butyl) isoxazol-5-yl) -2- (4- (5- (pyridin-4-yl) -1H-benzo [ d ] imidazol-1-yl) phenyl) acetamide (I-61)
The desired product was obtained in analogy to the synthesis of I-1, using intermediate 8c and pyridin-4-ylboronic acid (9 e).
MS m/z:452.5(M+H)+。
EXAMPLE 62 Synthesis of N- (3- (tert-butyl) isoxazol-5-yl) -2- (4- (5- (pyridin-3-yl) -1H-benzo [ d ] imidazol-1-yl) phenyl) acetamide (I-62)
Following a similar procedure to that for the synthesis of I-1, intermediate 8c and pyridin-3-ylboronic acid (9g) were used to afford the desired product.
MS m/z:452.5(M+H)+;1H NMR(DMSO-d6,400MHz):δ=8.97(s,1H),8.63(s,1H),8.57-8.56(m,1H),8.16-8.14(m,2H),7.75-7.68(m,4H),7.60-7.58(m,2H),7.51-7.48(m,1H),6.23(s,1H),3.84(s,2H),1.24(s,9H).13C NMR(DMSO-d6,100MHz):δ=172.9,167.9,161.3,148.4,148.3,145.0,144.7,136.5,135.1,135.0,134.7,133.5,132.3,131.3,124.3,124.0,123.2,118.7,111.8,86.4,42.1,32.4,29.4。
EXAMPLE 63 Synthesis of N- (3- (tert-butyl) isoxazol-5-yl) -2- (4- (5- (pyridin-2-yl) -1H-benzo [ d ] imidazol-1-yl) phenyl) acetamide (I-63)
The desired product was obtained in analogy to the synthesis of I-1, using intermediate 8c and pyridin-2-ylboronic acid (9 f).
MS m/z:452.5(M+H)+。
EXAMPLE 64 Synthesis of N- (3- (tert-butyl) isoxazol-5-yl) -2- (4- (5- (6-methylpyridin-3-yl) -1H-benzo [ d ] imidazol-1-yl) phenyl) acetamide (I-64)
Following a similar procedure to that for the synthesis of I-1, intermediate 8c and (6-methylpyridin-3-yl) boronic acid (9h) were used to give the desired product.
MS m/z:466.2(M+H)+。
EXAMPLE 65 Synthesis of N- (3- (tert-butyl) isoxazol-5-yl) -2- (4- (5- (6-methoxypyridin-3-yl) -1H-benzo [ d ] imidazol-1-yl) phenyl) acetamide (I-65)
The desired product was obtained in analogy to the synthesis of I-1, using intermediate 8c and (6-methoxypyridin-3-yl) boronic acid (9I).
MS m/z:482.2(M+H)+。
Example 66: synthesis of N- (3- (tert-butyl) isoxazol-5-yl) -2- (5- (5- (1-methyl-1H-pyrazol-4-yl) -1H-benzo [ d ] imidazol-1-yl) thiophen-2-yl) acetamide (I-66)
The desired product was prepared according to a similar procedure to that for the synthesis of I-1, using intermediate 8gg and N-methylpyrazole boronic acid (9 b).
MS m/z:461.2(M+H)+。
Example 67: synthesis of N- (3- (tert-butyl) isoxazol-5-yl) -2- (4- (7- (1-methyl-1H-pyrazol-4-yl) imidazo [1,2a ] pyridin-3-yl) phenyl) acetamide (I-67)
Compound 33 was synthesized using commercially available 2-amino-4-bromopyridine with ethyl 2- (3- (1-bromo-2-oxoethyl) phenylacetate under the conditions referred to CN104650076 and WO2012007345, and the first and second steps used intermediate 35 prepared by a method analogous to that for synthesizing compound 6 or 8, and then the target product was prepared using intermediate 35 and N-methylpyrazole boronic acid (9b) according to a method analogous to that for synthesizing I-1.
MS m/z:455.2(M+H)+。
Example 68: synthesis of N- (3- (tert-butyl) isoxazol-5-yl) -2- (4- (6- (1-methyl-1H-pyrazol-4-yl) pyrazolo [1,5a ] pyrimidin-3-yl) phenyl) acetamide (I-68)
Compound 36 was prepared according to the procedure of CN108484608 using commercially available 6-bromo-3-iodo-pyrazolo [1,5-a ] pyrimidine and linalool (4-ethoxycarbonyltolyl) borate as starting materials, then intermediate 38 prepared according to the procedure analogous to the synthesis of compound 6 or 8 was used with compound 36, and then the desired product was prepared according to the procedure analogous to the synthesis of I-1 using intermediate 38 and N-methylpyrazole boronic acid (9 b).
MS m/z:456.2(M+H)+。
Example 69: synthesis of N- (3- (tert-butyl) isoxazol-5-yl) -2- (4- (6- (1-methyl-1H-pyrazol-4-yl) pyrazolo [1,5a ] pyrazin-3-yl) phenyl) acetamide (I-69)
Compound 39 was prepared using commercially available 2-bromo-5-iodopyrazine and pinacol (4-ethoxycarbonyltolyl) borate as starting materials with reference to the method of WO2008078091, intermediate 41 prepared in the first and second steps using a method similar to that for the synthesis of compound 6 or 8, and then the target product was prepared using intermediate 41 and N-methylpyrazole boronic acid (9b) with reference to a method similar to that for the synthesis of I-1.
MS m/z:456.2(M+H)+。
Example 70: synthesis of N- (3- (tert-butyl) isoxazol-5-yl) -2- (4- (7- (1-methyl-1H-pyrazol-4-yl) imidazo [1,2b ] pyridazin-3-yl) phenyl) acetamide (I-70)
The objective product was prepared by a similar method to that of example 68 using commercially available 7-chloro-3-iodoimidazo (1,2-B) pyrazine as a starting material.
MS m/z:456.2(M+H)+。
Example 71: synthesis of N- (3- (tert-butyl) isoxazol-5-yl) -2- (4- (5- ((2- (2-methoxyethoxy) ethyl) (methyl) amino) -1H-benzo [ d ] imidazol-1-yl) phenyl) acetamide (I-71)
This compound was prepared in a similar manner to the synthesis of compound I-31, using intermediate 8c and 2- (2-methoxyethoxy) -N-methylethyl-1-amine to give the desired product.
MS m/z:506.3(M+H)+。
Example 72: synthesis of N- (3- (tert-butyl) isoxazol-5-yl) -2- (4- (5- ((3- (dimethylamino) propyl) (methyl) amino) -1H-benzo [ d ] imidazol-1-yl) phenyl) acetamide (I-72)
This compound was prepared in a similar manner to the synthesis of compound I-31, using intermediate 8c and N, N, N' -trimethylethylenediamine to give the desired product.
MS m/z:489.3(M+H)+。
Example 73: synthesis of N- (3- (tert-butyl) isoxazol-5-yl) -2- (4- (5- ((3-methoxypropyl) (methyl) amino) -1H-benzo [ d ] imidazol-1-yl) phenyl) acetamide (I-73)
This compound was prepared in a similar manner to the synthesis of compound I-31, using intermediate 8c and 3-methoxy-N-methyl-1-propylamine to give the desired product.
MS m/z:476.3(M+H)+。
Example 74: synthesis of N- (3- (tert-butyl) isoxazol-5-yl) -2- (4- (5- ((2-methoxyethyl) (methyl) amino) -1H-benzo [ d ] imidazol-1-yl) phenyl) acetamide (I-74)
This compound was prepared in a similar manner to the synthesis of compound I-31, using intermediate 8c and 2-methoxy-N-methylethan-1-amine to give the desired product.
MS m/z:462.2(M+H)+。
Example 75: synthesis of N- (3- (tert-butyl) isoxazol-5-yl) -2- (4- (5- ((2-hydroxyethyl) (methyl) amino) -1H-benzo [ d ] imidazol-1-yl) phenyl) acetamide (I-75)
This compound was prepared in a similar manner to the synthesis of compound I-31, using intermediate 8c and 2- (methylamino) ethan-1-ol to give the desired product.
MS m/z:448.2(M+H)+。
Example 76: synthesis of N- (3- (tert-butyl) isoxazol-5-yl) 2- (4- (5- (piperidine-4-acylamino) -1H-benzo [ d ] imidazol-1-yl) phenyl) acetamide (I-76)
This compound was prepared in a similar manner to the synthesis of compound I-31, using intermediate 8c and piperidin-4-amine to give the desired product.
MS m/z:473.3(M+H)+。
Example 77: synthesis of 2- (4- (5- (2-azaspiro [3.3] heptan-2-yl) -1H-benzo [ d ] imidazol-1-yl) phenyl) -N- (3- (tert-butyl) -isoxazol-5-yl) acetamide (I-77)
This compound was prepared in a similar manner to the synthesis of compound I-31 using intermediate 8c and 2-azaspiro [3.3] heptane hydrochloride to afford the desired product.
MS m/z:470.3(M+H)+。
Example 78: synthesis of N- (3- (tert-butyl) isoxazol-5-yl) -2- (4- (5- (6-hydroxy-6-methyl-2-azaspiro [3.3] heptan-2-yl) -1H-benzo [ d ] imidazol-1-yl) phenyl) acetamide (I-78)
This compound was prepared according to a similar method to that for the synthesis of compound I-31, using intermediate 8c and 6-methyl-2-azaspiro [3.3] heptane-6-ol hydrochloride to give the desired product.
MS m/z:500.3(M+H)+。
Example 79: synthesis of N- (3- (tert-butyl) isoxazol-5-yl) -2- (4- (5- (2- (3-methoxypropoxy) -ethoxy) -1H-benzo [ d ] imidazol-1-yl) phenyl) acetamide (I-79)
This compound was prepared in a similar manner to the synthesis of compound I-31, using intermediate 8c and 2- (3-methoxypropoxy) ethan-1-ol to give the desired product.
MS m/z:507.3(M+H)+。
Example 80: synthesis of N- (3- (tert-butyl) isoxazol-5-yl) -2-methyl-2 (4- (5- (1-methyl-1H-pyrazol-4-yl) -1H-benzo [ d ] imidazol-1-yl) phenyl) propanamide (I-80)
This compound was prepared in a similar manner to the synthesis of compound I-1, using intermediate 8ff and N-methylpyrazole boronic acid (9b) to prepare the desired product.
MS m/z:483.2(M+H)+。
Example 81: (E) synthesis of (E) -N- (3- (tert-butyl) isoxazol-5-yl) -2- (4- (5- (3-hydroxypropyl-1-en-1-yl) -1H-benzo [ d ] imidazol-1-yl) phenyl) acetamide (I-81)
This compound was prepared in a similar manner to the synthesis of compound I-31, using intermediate 8c and trans-3-hydroxypropylboronic acid pinacol ester to give the desired product.
MS m/z:431.2(M+H)+。
Example 82: synthesis of N- (3 (tert-butyl) isoxazol-5-yl) -2- (4- (5- (3-hydroxypropyl-1-yn-1-yl) -1H-benzo [ d ] imidazol-1-yl) phenyl) acetamide (I-82)
This compound was prepared in a similar manner to the synthesis of compound I-31, using intermediate 8c and propynyloxytrimethylsilane to give the desired product.
MS m/z:429.2(M+H)+。
Example 83: synthesis of 2- (4- (5- (2,6 diazaspiro [3.3] heptan-2-yl) -1H-benzo [ d ] imidazol-1-yl) phenyl) -N- (3- (tert-butyl) isoxazol-5-yl) acetamide (I-83)
This compound was prepared in a similar manner to the synthesis of compound I-31 using intermediate 8c and tert-butyl 2, 6-diazaspiro [3.3] heptane-2-carboxylate to afford the desired product.
MS m/z:471.2(M+H)+。
Example 84: synthesis of N- (3- (tert-butyl) isoxazol-5-yl) -2- (6- (5- (1-methyl-1H-pyrazol-4-yl) -1H-benzo [ d ] imidazol-1-yl) pyridazin-3-yl) acetamide (I-84)
This compound was prepared in a similar manner to the synthesis of compound I-1, using intermediate 8hh and N-methylpyrazole boronic acid (9b) to prepare the desired product.
MS m/z:457.2(M+H)+。
Example 85: synthesis of N- (3- (tert-butyl) isoxazol-5-yl) -2- (5- (5- (1-methyl-1H-pyrazol-4-yl) -1H-benzo [ d ] imidazol-1-yl) pyrimidin-2-yl) acetamide (I-85)
This compound was prepared in a similar manner to the synthesis of compound I-1, using intermediate 8ii and N-methylpyrazole boronic acid (9b) to prepare the desired product.
MS m/z:457.2(M+H)+。
Example 86: synthesis of N- (3-isopropylisoxazol-5-yl) -2- (4- (5-morpholinyl-1H-benzo [ d ] imidazol-1-yl) phenyl) acetamide (I-86)
This compound was prepared in a similar manner to the synthesis of compound I-31, using intermediate 8d and morpholine to give the desired product.
1H NMR(400MHz,CDCl3)δ8.37(s,1H),7.99(s,1H),7.45(m,4H),7.39(d,1H),7.31(s,1H),7.01(d,1H),6.23(s,1H),3.88–3.82(m,4H),3.80(s,2H),3.16–3.08(m,4H),2.93(m,1H),1.20(d,6H)。MS m/z:446.4(M+H)+。
Example 87: study of biological Activity
The in vitro inhibitory activity of some compounds of the invention against 4 enzymes was determined using the mobility transfer method, as follows:
kinase buffer was prepared at 1-fold concentration. The compounds were serially diluted in 3-fold gradient with dimethyl sulfoxide at 10 concentrations (100000,33333.33,11111.11, 3703.70,1234.57,411.52,137.17,45.72,15.24, 5.08nM, respectively) to make 100-fold final solutions. The final starting concentration of test compound was 1mM (1000 nM).
The control was serially diluted in 3-fold gradient with dimethyl sulfoxide at 10 concentrations (100000,33333.33,11111.11, 3703.70,1234.57,411.52,137.17,45.72,15.24, 5.08nM) to make 100-fold final solution.
Using a dispenser Echo550 to 384 microporous transfer 250nL100 times the final concentration of the test compounds. A kinase solution with a final concentration of 2.5 times was prepared by diluting with a kinase buffer solution with a concentration of 1 time. Mu.l of a 2.5 fold final concentration kinase solution was added to 384 microwell plates. mu.L of 1-fold concentration kinase buffer was added to the negative control wells. The enzyme and test compound were pre-incubated for 10 minutes at room temperature. A mixed solution of ATP and substrate at a final concentration of 5/3 times was prepared using 1-fold kinase buffer. mu.L of a mixed solution of ATP and substrate at 5/3-fold final concentration was added to a 384-well plate and reacted at room temperature. The reaction was stopped by adding 30. mu.L of stop buffer.
The conversion was read using Caliper EZReader II. The data analysis method is as follows:
(1) % Inh ═ 100 (max signal-composite signal)/(max signal-min signal).
(2) In the absence of compound, the maximum signal was obtained.
(3) Minimal signal was obtained in the absence of enzyme.
Table 3 lists the IC's of several test compounds against several kinases50The value is obtained.
TABLE 3 results of in vitro kinase inhibition assay with different compounds
The above description is only a preferred embodiment of the present invention and is not intended to limit the present invention, it should be noted that, for those skilled in the art, many modifications and variations can be made without departing from the technical principle of the present invention, and these modifications and variations should also be regarded as the protection scope of the present invention.
Claims (10)
1. A5-aminoisoxazole derivative is characterized in that the structural formula is shown as a formula I:
a is selected from substituted or unsubstituted aryl, substituted or unsubstituted heteroaryl, and the substituent on the substituted aryl or substituted heteroaryl is selected from substituted or unsubstituted C1-10Alkyl, substituted or unsubstituted C1-10One or more of alkoxy, halogen and nitrile group;
b is selected from substituted or unsubstituted aryl, substituted or unsubstituted heteroaryl, a group of formula (II), substituted or unsubstituted saturated or unsaturated C3-10Cycloalkyl or a heteroatom substituted or unsubstituted 4-7 membered cyclic amine; wherein,
the substituents on the substituted aryl or substituted heteroaryl are selected from C1-10Alkyl radical, C1-10One or more of alkoxy, carboxyl, ester group, sulfone group and sulfonamide group;
the group of formula (II) is as follows:
wherein R is3And R4Each independently selected from hydrogen and C1-10Alkyl radical, C1-10Alkoxy radical, C1-10Alkylamino radical or C1-6A hydroxyalkyl group;
or R3And R4Linked to form a ring to form a substituted C3-10Cycloalkyl, said substituted C3-10Cycloalkyl includes heteroatom-substituted cycloalkyl or a spiro carbocyclic ring containing NH and/or oxygen atoms;
4-7 membered cyclic amine substituted or unsubstituted by hetero atom is chiral molecule or achiral molecule;
R1selected from hydrogen, substituted or unsubstituted C1-10An alkyl group, a substituted or unsubstituted aryl group, or a substituted or unsubstituted heteroaryl group; the substituents on the substituted aryl or substituted heteroaryl groups are selected from substituted or unsubstituted C1-10Alkyl, substituted or unsubstituted C1-10One or more of alkoxy, halogen and halogen;
R2selected from hydrogen, C1-3Alkyl, cyanoBase, C1-3Fluoroalkyl or halogen;
W1、W2、W3、W4、W5、W6and W7Each being CH or N, satisfying the valence state, and at least W1、W2、W3、W4、W5、W6And W7One of them is N;
W8o, S, NH or NMe;
y is selected from a group of the following structural formula:
2. a 5-aminoisoxazole derivative according to claim 1 characterized in that: in the A or B group, the aryl group is C6-C9Aryl, heteroaryl including C with nitrogen and/or sulfur as hetero atoms4-C6A heteroaryl group.
7. a pharmaceutical formulation characterized by: comprising the 5-aminoisoxazole derivative of any one of claims 1 to 6, or a pharmaceutically acceptable salt, stereoisomer, deuterium substituted derivative, hydrate or solvate thereof.
8. Use of a 5-aminoisoxazole derivative of any one of claims 1 to 6, or a pharmaceutically acceptable salt, stereoisomer, deuterium substituted derivative, hydrate or solvate thereof, in the manufacture of a medicament for the treatment of a condition which can be ameliorated or prevented by inhibition of kinase activity or inhibition of cell or enzyme proliferation; the kinases include one or more of FLT1, FLT3, FLT4, FGFR1-4, VEGFR2/KDR, PDGFRa, PDGFRb and cKit kinases.
9. Use according to claim 8, wherein the condition is selected from cancer and/or immune-related diseases.
10. The use according to claim 8, wherein the medicament is administered orally, parenterally, intravenously or transdermally.
Priority Applications (4)
| Application Number | Priority Date | Filing Date | Title |
|---|---|---|---|
| CN202110019871.8A CN112778294A (en) | 2021-01-07 | 2021-01-07 | 5-aminoisoxazole derivative and application thereof in preparation of multi-kinase inhibitor |
| CN202110626578.8A CN113321645A (en) | 2021-01-07 | 2021-06-04 | 5-aminoisoxazole derivative and application thereof in preparation of multi-kinase inhibitor |
| PCT/CN2021/135715 WO2022148196A1 (en) | 2021-01-07 | 2021-12-06 | Multikinase inhibitor and use thereof |
| CN202210018194.2A CN114195771B (en) | 2021-01-07 | 2022-01-07 | Multi-kinase inhibitors and uses thereof |
Applications Claiming Priority (1)
| Application Number | Priority Date | Filing Date | Title |
|---|---|---|---|
| CN202110019871.8A CN112778294A (en) | 2021-01-07 | 2021-01-07 | 5-aminoisoxazole derivative and application thereof in preparation of multi-kinase inhibitor |
Publications (1)
| Publication Number | Publication Date |
|---|---|
| CN112778294A true CN112778294A (en) | 2021-05-11 |
Family
ID=75756049
Family Applications (3)
| Application Number | Title | Priority Date | Filing Date |
|---|---|---|---|
| CN202110019871.8A Pending CN112778294A (en) | 2021-01-07 | 2021-01-07 | 5-aminoisoxazole derivative and application thereof in preparation of multi-kinase inhibitor |
| CN202110626578.8A Pending CN113321645A (en) | 2021-01-07 | 2021-06-04 | 5-aminoisoxazole derivative and application thereof in preparation of multi-kinase inhibitor |
| CN202210018194.2A Active CN114195771B (en) | 2021-01-07 | 2022-01-07 | Multi-kinase inhibitors and uses thereof |
Family Applications After (2)
| Application Number | Title | Priority Date | Filing Date |
|---|---|---|---|
| CN202110626578.8A Pending CN113321645A (en) | 2021-01-07 | 2021-06-04 | 5-aminoisoxazole derivative and application thereof in preparation of multi-kinase inhibitor |
| CN202210018194.2A Active CN114195771B (en) | 2021-01-07 | 2022-01-07 | Multi-kinase inhibitors and uses thereof |
Country Status (2)
| Country | Link |
|---|---|
| CN (3) | CN112778294A (en) |
| WO (1) | WO2022148196A1 (en) |
Cited By (2)
| Publication number | Priority date | Publication date | Assignee | Title |
|---|---|---|---|---|
| CN113321645A (en) * | 2021-01-07 | 2021-08-31 | 苏州安睿药业有限公司 | 5-aminoisoxazole derivative and application thereof in preparation of multi-kinase inhibitor |
| CN119241458A (en) * | 2024-09-27 | 2025-01-03 | 信阳师范大学 | 4,6-dinitro-N1,N3-di(1H-tetrazolyl-5-yl)benzene-1,3-diamine and synthesis method thereof |
Families Citing this family (1)
| Publication number | Priority date | Publication date | Assignee | Title |
|---|---|---|---|---|
| CN118724871B (en) * | 2024-06-04 | 2025-01-28 | 安徽中医药大学 | A pyrazolone-tacrine compound and its preparation method and application |
Family Cites Families (5)
| Publication number | Priority date | Publication date | Assignee | Title |
|---|---|---|---|---|
| DOP2006000051A (en) * | 2005-02-24 | 2006-08-31 | Lilly Co Eli | VEGF-R2 INHIBITORS AND METHODS |
| GB0507575D0 (en) * | 2005-04-14 | 2005-05-18 | Novartis Ag | Organic compounds |
| EP3152194B8 (en) * | 2014-06-03 | 2019-10-09 | Arizona Board of Regents on Behalf of the University of Arizona | Benzimidazole derivatives |
| JP7353682B2 (en) * | 2019-09-26 | 2023-10-02 | 深▲チェン▼市塔吉瑞生物医薬有限公司 | Substituted fused aromatic ring derivatives, compositions thereof, and uses thereof |
| CN112778294A (en) * | 2021-01-07 | 2021-05-11 | 苏州安睿药业有限公司 | 5-aminoisoxazole derivative and application thereof in preparation of multi-kinase inhibitor |
-
2021
- 2021-01-07 CN CN202110019871.8A patent/CN112778294A/en active Pending
- 2021-06-04 CN CN202110626578.8A patent/CN113321645A/en active Pending
- 2021-12-06 WO PCT/CN2021/135715 patent/WO2022148196A1/en not_active Ceased
-
2022
- 2022-01-07 CN CN202210018194.2A patent/CN114195771B/en active Active
Cited By (5)
| Publication number | Priority date | Publication date | Assignee | Title |
|---|---|---|---|---|
| CN113321645A (en) * | 2021-01-07 | 2021-08-31 | 苏州安睿药业有限公司 | 5-aminoisoxazole derivative and application thereof in preparation of multi-kinase inhibitor |
| CN114195771A (en) * | 2021-01-07 | 2022-03-18 | 苏州安睿药业有限公司 | Multi-kinase inhibitors and uses thereof |
| WO2022148196A1 (en) * | 2021-01-07 | 2022-07-14 | 苏州安睿药业有限公司 | Multikinase inhibitor and use thereof |
| CN114195771B (en) * | 2021-01-07 | 2024-08-23 | 苏州安睿药业有限公司 | Multi-kinase inhibitors and uses thereof |
| CN119241458A (en) * | 2024-09-27 | 2025-01-03 | 信阳师范大学 | 4,6-dinitro-N1,N3-di(1H-tetrazolyl-5-yl)benzene-1,3-diamine and synthesis method thereof |
Also Published As
| Publication number | Publication date |
|---|---|
| CN113321645A (en) | 2021-08-31 |
| CN114195771B (en) | 2024-08-23 |
| WO2022148196A1 (en) | 2022-07-14 |
| CN114195771A (en) | 2022-03-18 |
Similar Documents
| Publication | Publication Date | Title |
|---|---|---|
| CN108349896B (en) | Heterocyclic compounds as FGFR inhibitors | |
| WO2023280254A1 (en) | Tead inhibitor | |
| CN105102453B (en) | benzimidazolone derivatives as bromodomain inhibitors | |
| CN102858765B (en) | Pyrazolylquinoxaline kinase inhibitors | |
| JP2022530383A (en) | Quinazoline compounds and their pharmaceutical uses | |
| WO2020107987A1 (en) | Erk inhibitor containing isoindoline, preparation method therefor and application thereof | |
| CN106928219B (en) | Nitrogen-containing fused heterocyclic compound, preparation method, intermediate, composition and application | |
| CN113316576A (en) | 2, 3-dihydro-1H-pyrrolo [3,4-c ] pyridin-1-one derivatives as HPK1 inhibitors for the treatment of cancer | |
| KR20190091537A (en) | Aminothiazole Compounds as C-KIT Inhibitors | |
| CN114195771B (en) | Multi-kinase inhibitors and uses thereof | |
| CN101965347B (en) | Pyrazolopyridines as kinase inhibitors | |
| CN103974948A (en) | Substituted benzyl indazoles useful as BUB1 kinase inhibitors in the treatment of hyperproliferative diseases | |
| CN102372717B (en) | Pyrrolopyrimidine compound and use thereof | |
| CN115989231B (en) | A compound as a BTK inhibitor and its preparation method and use | |
| CN102762558A (en) | Pyridopyridone derivatives, their preparation and therapeutic use | |
| WO2020186220A1 (en) | Compounds as inhibitors of macrophage migration inhibitory factor | |
| CN113387962A (en) | Pyrazolo [3,4-d ] pyrimidine-3-one derivative, pharmaceutical composition and application thereof | |
| CN113727984B (en) | Macrocyclic derivatives, preparation method and application thereof | |
| CN115109061B (en) | Tricyclic compounds | |
| CN110407854A (en) | Novel tetracyclic compounds | |
| CN115703738A (en) | Urea compound containing 2-aromatic heterocycle substitution, preparation method and application thereof | |
| WO2025051148A1 (en) | Nitrogen-containing heteroaryl compound, and preparation method therefor and use thereof | |
| CN114380806B (en) | 2-Amino-4-indolylpyrimidine compounds and preparation method and application thereof | |
| CN116969944A (en) | Ethylamino-substituted tricyclic heterocyclic compounds and compositions, formulations and uses thereof | |
| CN115215862A (en) | Pyrimidone compounds and uses thereof |
Legal Events
| Date | Code | Title | Description |
|---|---|---|---|
| PB01 | Publication | ||
| PB01 | Publication | ||
| SE01 | Entry into force of request for substantive examination | ||
| SE01 | Entry into force of request for substantive examination | ||
| WD01 | Invention patent application deemed withdrawn after publication |
Application publication date: 20210511 |
|
| WD01 | Invention patent application deemed withdrawn after publication |























































