CN112596549B - Multi-UAV formation control method, device and medium based on continuous convex rule - Google Patents
Multi-UAV formation control method, device and medium based on continuous convex rule Download PDFInfo
- Publication number
- CN112596549B CN112596549B CN202011601379.3A CN202011601379A CN112596549B CN 112596549 B CN112596549 B CN 112596549B CN 202011601379 A CN202011601379 A CN 202011601379A CN 112596549 B CN112596549 B CN 112596549B
- Authority
- CN
- China
- Prior art keywords
- formation
- unmanned aerial
- aerial vehicle
- determining
- convex
- Prior art date
- Legal status (The legal status is an assumption and is not a legal conclusion. Google has not performed a legal analysis and makes no representation as to the accuracy of the status listed.)
- Active
Links
Images
Classifications
-
- G—PHYSICS
- G05—CONTROLLING; REGULATING
- G05D—SYSTEMS FOR CONTROLLING OR REGULATING NON-ELECTRIC VARIABLES
- G05D1/00—Control of position, course, altitude or attitude of land, water, air or space vehicles, e.g. using automatic pilots
- G05D1/10—Simultaneous control of position or course in three dimensions
- G05D1/101—Simultaneous control of position or course in three dimensions specially adapted for aircraft
- G05D1/104—Simultaneous control of position or course in three dimensions specially adapted for aircraft involving a plurality of aircrafts, e.g. formation flying
Landscapes
- Engineering & Computer Science (AREA)
- Aviation & Aerospace Engineering (AREA)
- Radar, Positioning & Navigation (AREA)
- Remote Sensing (AREA)
- Physics & Mathematics (AREA)
- General Physics & Mathematics (AREA)
- Automation & Control Theory (AREA)
- Control Of Position, Course, Altitude, Or Attitude Of Moving Bodies (AREA)
Abstract
本发明公开了一种基于连续凸规则的多无人机编队控制方法、装置及介质,方法包括:确定无人机编队的全局路径规划;所述全局路径规划用于确定所述无人机编队从起点到终点的行动路径以及编队队形;根据线性化和离散化无人机动力学约束,将所述无人机编队的避碰约束转化为凸约束;根据所述凸约束确定所述无人机编队的局部路径规划;所述局部路径规划用于确定所述无人机编队中每个无人机的行动轨迹;通过预设模型对所述无人机编队进行实时路径跟踪控制。本发明可根据具体环境决策出对应的队形,并且可保证编队数量的可拓展性,稳定性,预防编队死锁,可广泛应用于无人机控制技术领域。
The invention discloses a multi-UAV formation control method, device and medium based on a continuous convex rule. The method includes: determining a global path planning of the UAV formation; the global path planning is used to determine the UAV formation The action path and formation formation from the starting point to the end point; according to the linearized and discretized UAV dynamics constraints, the collision avoidance constraints of the UAV formation are converted into convex constraints; the unmanned aerial vehicle is determined according to the convex constraints The local path planning of the UAV formation; the local path planning is used to determine the action trajectory of each UAV in the UAV formation; real-time path tracking control is performed on the UAV formation through a preset model. The invention can decide the corresponding formation according to the specific environment, can ensure the expansibility and stability of the formation quantity, prevent formation deadlock, and can be widely used in the technical field of unmanned aerial vehicle control.
Description
技术领域technical field
本发明涉及无人机控制技术领域,尤其是一种基于连续凸规则的多无人机编队控制方法、装置及介质。The invention relates to the technical field of unmanned aerial vehicle control, in particular to a method, device and medium for controlling a formation of multiple unmanned aerial vehicles based on continuous convex rules.
背景技术Background technique
群体无人机可以用来执行各种任务,例如监视,检查和自动化工厂。在这些情况下,可能需要无人机进行编队导航,例如维护通信网络,协作操纵对象或勘测区域。相对于常规系统,移动编队具有许多优势,例如,它可以降低系统成本,提高系统的鲁棒性和效率,同时为系统提供冗余,重新配置能力和结构灵活性。在许多应用中,要求群体无人机在抵达目标点的过程中相互避碰且避免与障碍物相互碰撞,同时保持所需编队队形,因此对于编队控制方法的准确性和鲁棒性以及拓展性要求较高。另外,编队控制方法需要考虑到无人机的运动学约束、无人机之间的相互协调以及环境的不确定性干扰等等限制条件。Swarm drones can be used to perform a variety of tasks, such as surveillance, inspection, and automation of factories. In these situations, drones may be required for formation navigation, such as maintaining communication networks, collaboratively manipulating objects, or surveying areas. Mobile formation has many advantages over conventional systems, for example, it can reduce system cost, improve system robustness and efficiency, while providing system redundancy, reconfiguration capability and structural flexibility. In many applications, swarm UAVs are required to avoid collision with each other and avoid collisions with obstacles in the process of reaching the target point, while maintaining the required formation formation, so the accuracy and robustness of the formation control method and the expansion of Sexual requirements are high. In addition, the formation control method needs to take into account the kinematic constraints of UAVs, the coordination between UAVs, and the uncertain interference of the environment.
目前相对成熟且比较通用的队形控制算法有长机-僚机法、基于行为法、虚拟结构法。At present, the relatively mature and common formation control algorithms include the leader-wingman method, the behavior-based method, and the virtual structure method.
长机-僚机法。至少有一个无人机扮演领导者的角色,其余的无人机被指定为追随者。追随者用一些规定的偏移量来跟踪领导者的位置,而领导者则跟踪它想要的轨迹。这种控制策略的特点是基于预设的编队结构。通过对长机的速度、偏航角和高度跟踪来调整僚机,达到保持编队队形的目的。Lead-wingman method. At least one drone takes the role of leader, and the rest are designated as followers. The follower keeps track of the leader's position with some prescribed offset, and the leader keeps track of the trajectory it wants. The characteristics of this control strategy are based on a preset formation structure. The wingman is adjusted by tracking the speed, yaw angle and altitude of the leader to maintain the formation.
基于行为法。一类模拟生物反应式行为机制的编队控制方法。在多无人机编队飞行过程中,机群中每一架无人机对其传感器输入信息的行为响应可能有4种情况:碰撞避免、障碍物回避、目标获取和队形保持。这种方法的最大特点是借助于行为响应控制的平均权重来确定编队中每一架无人机该采用哪一种行为响应方式。Based on conduct law. A kind of formation control method that simulates biological reactive behavior mechanism. In the process of multi-UAV formation flight, the behavior response of each UAV to its sensor input information may have four situations: collision avoidance, obstacle avoidance, target acquisition and formation keeping. The biggest feature of this method is to use the average weight of behavioral response control to determine which behavioral response method should be adopted by each UAV in the formation.
虚拟结构法。在虚拟结构方法中,整个编队被视为单个结构。在虚拟结构方法中,控制分为三个步骤:首先,定义虚拟结构的期望动力学,其次,将虚拟结构的运动转换为每个无人机的期运动,最后,推导出每个航天器的跟踪控制。虚拟结构法通过共享编队虚拟结构的状态信息进行编队控制,可以任意设定编队队形,能够实现精确的队形保持。Virtual structure method. In the virtual structure approach, the entire formation is treated as a single structure. In the virtual structure approach, control is divided into three steps: first, the desired dynamics of the virtual structure are defined, second, the motion of the virtual structure is transformed into the period motion of each UAV, and finally, the dynamics of each spacecraft are derived tracking control. The virtual structure method controls the formation by sharing the state information of the virtual structure of the formation.
但是,长机-僚机法没有对编队的明确反馈,例如,长机可能移动得太快,以至于随后的无人机无法追踪。而且长机如果出现问题,整个系统都将崩溃。另一个弱点就是鲁棒性较差容易受到外界干扰的影响,因为受到外界或者其他干扰的影响,误差会逐级向后传播并被放大。However, the lead-wingman approach has no explicit feedback on the formation, for example, the lead may move too fast for subsequent drones to track. And if there is a problem with the lead plane, the entire system will collapse. Another weakness is that the poor robustness is easily affected by external interference, because under the influence of external or other interference, the error will be propagated backward and amplified step by step.
基于行为法的主要缺点是无法明确定义组行为,而组行为被称为“出现”,也就导致无法实现精确的队形保持。另一个缺点是,行为方法很难用数学方法进行分析,并且通常无法保证编队的特征(如稳定性)。The main disadvantage of the behavior-based approach is that the group behavior cannot be clearly defined, and the group behavior is called "emergence", which results in the inability to achieve precise formation hold. Another disadvantage is that behavioral methods are difficult to analyze mathematically and often do not guarantee formation characteristics (such as stability).
虚拟结构法将无人机的队形组成看做是刚性的虚拟结构,在无人机编队飞行运动期间,单个无人机个体可以看做是固定在虚拟结构上的固定位置。而这样一来,会导致编队在经过狭隘区域时无法通过伸缩队形或切换队形来通过该区域。而且虚拟机构法需要高通信质量,所以容易受到通信的制约。The virtual structure method regards the formation of the UAV as a rigid virtual structure. During the flight movement of the UAV in formation, a single UAV can be regarded as a fixed position fixed on the virtual structure. As a result, when the formation passes through a narrow area, it cannot pass through the area by stretching or switching formations. Moreover, the virtual mechanism method requires high communication quality, so it is easily restricted by communication.
发明内容SUMMARY OF THE INVENTION
有鉴于此,本发明实施例提供一种稳定性高的,基于连续凸规则的多无人机编队控制方法、装置及介质,能够提高无人机编队数量的可拓展性。In view of this, the embodiments of the present invention provide a multi-UAV formation control method, device and medium based on continuous convex rules with high stability, which can improve the scalability of the number of UAV formations.
本发明的一方面提供了一种基于连续凸规则的多无人机编队控制方法,包括:One aspect of the present invention provides a multi-UAV formation control method based on continuous convex rules, comprising:
确定无人机编队的全局路径规划;所述全局路径规划用于确定所述无人机编队从起点到终点的行动路径以及编队队形;Determine the global path planning of the UAV formation; the global path planning is used to determine the action path and formation formation of the UAV formation from the starting point to the end point;
根据线性化和离散化无人机动力学约束,将所述无人机编队的避碰约束转化为凸约束;Transform the collision avoidance constraints of the UAV formation into convex constraints according to the linearized and discretized UAV dynamics constraints;
根据所述凸约束确定所述无人机编队的局部路径规划;所述局部路径规划用于确定所述无人机编队中每个无人机的行动轨迹;Determine the local path planning of the UAV formation according to the convex constraint; the local path planning is used to determine the action trajectory of each UAV in the UAV formation;
通过预设模型对所述无人机编队进行实时路径跟踪控制。Real-time path tracking control is performed on the UAV formation through a preset model.
优选地,所述确定无人机编队的全局路径规划,包括:Preferably, the determining of the global path planning of the UAV formation includes:
确定所述无人机编队的多个无人机位置,以及确定所述无人机编队旋转中心的外部顶点;determining a plurality of drone positions of the drone formation, and determining the outer vertices of the center of rotation of the drone formation;
确定所述无人机编队中任意一对无人机之间的最小距离;determining the minimum distance between any pair of UAVs in the UAV formation;
根据所述无人机位置、所述外部顶点和所述最小距离,通过同构变换确定无人机编队的初始配置;Determine the initial configuration of the UAV formation by isomorphic transformation according to the UAV position, the outer vertex and the minimum distance;
根据所述无人机编队的初始配置,通过全局路径规划器确定所述无人机编队的目标配置。According to the initial configuration of the UAV formation, the target configuration of the UAV formation is determined by a global path planner.
优选地,所述根据所述无人机编队的初始配置,通过全局路径规划器确定所述无人机编队的目标配置,包括:Preferably, according to the initial configuration of the UAV formation, the target configuration of the UAV formation is determined by a global path planner, including:
建立多面体列表,将无人机编队中的所有无人机包含在所述多面体列表中;Build a list of polyhedrons, including all drones in the drone formation in the list of polyhedrons;
对所述无人机编队的初始配置和目标配置进行初始化处理;Initialize the initial configuration and target configuration of the UAV formation;
通过凸区域对所述多面体列表进行初始化处理;Initialize the polyhedron list through the convex region;
在所述无人机编队的飞行空间中抽取随机样本;draw random samples in the flight space of the drone formation;
判断所述随机样本是否在障碍物内或者在所述多面体列表中,若是,则将该随机样本排除;反之,则执行以下步骤:Determine whether the random sample is in the obstacle or in the polyhedron list, if so, exclude the random sample; otherwise, perform the following steps:
通过迭代算法计算所述随机样本的无障碍凸多面体;calculating an unobstructed convex polyhedron of the random sample by an iterative algorithm;
计算所述无障碍凸多面体的内切椭球;calculating the inscribed ellipsoid of the barrier-free convex polyhedron;
根据所述内切椭球,确定所述无人机编队从起点到终点的行动路径。According to the inscribed ellipsoid, the action path of the UAV formation from the starting point to the ending point is determined.
优选地,所述根据线性化和离散化无人机动力学约束,将所述无人机编队的避碰约束转化为凸约束这一步骤中,所述无人机动力学约束为:Preferably, in the step of converting the collision avoidance constraint of the UAV formation into a convex constraint according to the linearized and discretized UAV dynamics constraints, the UAV dynamics constraints are:
其中,代表第j只无人机的位置矢量;uj代表第j只无人机的控制矢量;B=[03×3 I3×3],t表示时间;in, represents the position vector of the jth UAV; u j represents the control vector of the jth UAV; B=[0 3×3 I 3×3 ], t represents the time;
所述线性化的表达式为:The linearized expression is:
其中,表示标称轨迹,即上一次迭代生成的轨迹; in, represents the nominal trajectory, that is, the trajectory generated by the previous iteration;
优选地,所述根据所述凸约束确定所述无人机编队的局部路径规划,包括:Preferably, the determining the local path planning of the UAV formation according to the convex constraint includes:
在不考虑避免碰撞的情况下为每个无人机生成初始轨迹;Generate initial trajectories for each drone without considering collision avoidance;
根据所述初始轨迹,迭代求解所述无人机的最佳轨迹;According to the initial trajectory, iteratively solve the optimal trajectory of the UAV;
根据每个无人机的最佳轨迹,确定所述无人机编队中所有无人机的最佳轨迹。According to the optimal trajectory of each UAV, the optimal trajectory of all UAVs in the UAV formation is determined.
本发明实施例还提供了一种基于连续凸规则的多无人机编队控制装置,包括:The embodiment of the present invention also provides a multi-UAV formation control device based on continuous convex rules, including:
全局规划模块,用于确定无人机编队的全局路径规划;所述全局路径规划用于确定所述无人机编队从起点到终点的行动路径以及编队队形;The global planning module is used to determine the global path planning of the UAV formation; the global path planning is used to determine the action path and formation formation of the UAV formation from the starting point to the end point;
转化模块,用于根据线性化和离散化无人机动力学约束,将所述无人机编队的避碰约束转化为凸约束;a transformation module, configured to transform the collision avoidance constraint of the UAV formation into a convex constraint according to the linearized and discretized UAV dynamics constraints;
局部规划模块,用于根据所述凸约束确定所述无人机编队的局部路径规划;所述局部路径规划用于确定所述无人机编队中每个无人机的行动轨迹;a local planning module, configured to determine the local path planning of the UAV formation according to the convex constraint; the local path planning is used to determine the action trajectory of each UAV in the UAV formation;
跟踪控制模块,用于通过预设模型对所述无人机编队进行实时路径跟踪控制。A tracking control module is used to perform real-time path tracking control on the UAV formation through a preset model.
优选地,所述全局规划模块包括:Preferably, the global planning module includes:
第一确定单元,用于确定所述无人机编队的多个无人机位置,以及确定所述无人机编队旋转中心的外部顶点;a first determining unit, configured to determine the positions of a plurality of UAVs of the UAV formation, and determine the outer vertex of the rotation center of the UAV formation;
第二确定单元,用于确定所述无人机编队中任意一对无人机之间的最小距离;a second determining unit, configured to determine the minimum distance between any pair of UAVs in the UAV formation;
同构变换单元,用于根据所述无人机位置、所述外部顶点和所述最小距离,通过同构变换确定无人机编队的初始配置;an isomorphic transformation unit, configured to determine the initial configuration of the UAV formation by isomorphic transformation according to the UAV position, the external vertex and the minimum distance;
第三确定单元,用于根据所述无人机编队的初始配置,通过全局路径规划器确定所述无人机编队的目标配置。The third determining unit is configured to determine the target configuration of the UAV formation through a global path planner according to the initial configuration of the UAV formation.
优选地,所述第三确定单元包括:Preferably, the third determining unit includes:
构建子单元,用于建立多面体列表,将无人机编队中的所有无人机包含在所述多面体列表中;constructing a subunit for establishing a list of polyhedrons, including all drones in the drone formation in the list of polyhedrons;
第一初始化子单元,用于对所述无人机编队的初始配置和目标配置进行初始化处理;a first initialization subunit, used for initializing the initial configuration and target configuration of the UAV formation;
第二初始化子单元,用于通过凸区域对所述多面体列表进行初始化处理;a second initialization subunit, configured to initialize the polyhedron list through the convex region;
随机抽样子单元,用于在所述无人机编队的飞行空间中抽取随机样本;a random sampling subunit, used for sampling random samples in the flight space of the drone formation;
判断子单元,用于判断所述随机样本是否在障碍物内或者在所述多面体列表中,若是,则将该随机样本排除;反之,则执行以下步骤:A judging subunit, used for judging whether the random sample is in the obstacle or in the polyhedron list, if yes, then the random sample is excluded; otherwise, the following steps are performed:
第一计算子单元,用于通过迭代算法计算所述随机样本的无障碍凸多面体;a first calculation subunit, configured to calculate the barrier-free convex polyhedron of the random sample through an iterative algorithm;
第二计算子单元,用于计算所述无障碍凸多面体的内切椭球;a second calculation subunit for calculating the inscribed ellipsoid of the barrier-free convex polyhedron;
确定子单元,用于根据所述内切椭球,确定所述无人机编队从起点到终点的行动路径。A determination subunit, configured to determine the action path of the UAV formation from the start point to the end point according to the inscribed ellipsoid.
本发明实施例还提供了一种电子设备,包括处理器以及存储器;The embodiment of the present invention also provides an electronic device, including a processor and a memory;
所述存储器用于存储程序;the memory is used to store programs;
所述处理器执行所述程序实现如前面所述的方法。The processor executes the program to implement the method as described above.
本发明实施例还提供了一种计算机可读存储介质,所述存储介质存储有程序,所述程序被处理器执行实现如前面所述的方法。An embodiment of the present invention further provides a computer-readable storage medium, where the storage medium stores a program, and the program is executed by a processor to implement the foregoing method.
本发明实施例还公开了一种计算机程序产品或计算机程序,该计算机程序产品或计算机程序包括计算机指令,该计算机指令存储在计算机可读存储介质中。计算机设备的处理器可以从计算机可读存储介质读取该计算机指令,处理器执行该计算机指令,使得该计算机设备执行前面的方法。The embodiment of the present invention also discloses a computer program product or computer program, where the computer program product or computer program includes computer instructions, and the computer instructions are stored in a computer-readable storage medium. The computer instructions can be read from the computer-readable storage medium by a processor of the computer device, and the processor executes the computer instructions to cause the computer device to perform the foregoing method.
本发明的实施例首先确定无人机编队的全局路径规划;然后根据线性化和离散化无人机动力学约束,将所述无人机编队的避碰约束转化为凸约束;接着根据所述凸约束确定所述无人机编队的局部路径规划;所述局部路径规划用于确定所述无人机编队中每个无人机的行动轨迹;最后通过预设模型对所述无人机编队进行实时路径跟踪控制。本发明可根据具体环境决策出对应的队形,并且可保证编队数量的可拓展性,稳定性,预防编队死锁。The embodiment of the present invention firstly determines the global path planning of the UAV formation; then converts the collision avoidance constraints of the UAV formation into convex constraints according to the linearization and discretization UAV dynamics constraints; and then according to the convex constraints Constraints determine the local path planning of the UAV formation; the local path planning is used to determine the action trajectory of each UAV in the UAV formation; finally, the UAV formation is carried out through a preset model. Real-time path tracking control. The invention can decide the corresponding formation according to the specific environment, and can ensure the expansibility and stability of the formation quantity, and prevent formation deadlock.
附图说明Description of drawings
为了更清楚地说明本申请实施例中的技术方案,下面将对实施例描述中所需要使用的附图作简单地介绍,显而易见地,下面描述中的附图仅仅是本申请的一些实施例,对于本领域普通技术人员来讲,在不付出创造性劳动的前提下,还可以根据这些附图获得其他的附图。In order to illustrate the technical solutions in the embodiments of the present application more clearly, the following briefly introduces the drawings that are used in the description of the embodiments. Obviously, the drawings in the following description are only some embodiments of the present application. For those of ordinary skill in the art, other drawings can also be obtained from these drawings without creative effort.
图1为本发明实施例提供的基于连续凸规则的多无人机编队控制方法的步骤流程图。FIG. 1 is a flowchart of steps of a method for controlling a formation of multiple UAVs based on a continuous convex rule provided by an embodiment of the present invention.
具体实施方式Detailed ways
为了使本申请的目的、技术方案及优点更加清楚明白,以下结合附图及实施例,对本申请进行进一步详细说明。应当理解,此处所描述的具体实施例仅仅用以解释本申请,并不用于限定本申请。In order to make the purpose, technical solutions and advantages of the present application more clearly understood, the present application will be described in further detail below with reference to the accompanying drawings and embodiments. It should be understood that the specific embodiments described herein are only used to explain the present application, but not to limit the present application.
针对现有技术存在的问题,本发明提出了一种基于连续凸规划的可拓展且高效的多无人机编队控制方法,可用于解决群体无人机根据特定环境调整队形且避免无人机之间相互碰撞以及避免无人机与障碍物发生碰撞的情况下前往目标位置。该发明首先通过全局路径规划,为群体无人机计算出一组从起始点到终点的安全的中间队形。然后在线性化和离散化无人机动力学约束以及将避碰约束转化为凸约束的基础上,通过连续凸规划进行局部路径规划,同时结合模型预测控制,实时地实现群体无人机的路径跟随。该技术属于群体无人机编队控制领域,更具体地,涉及到基于连续凸规划的群体无人机分布式自适应编队控制方法。In view of the problems existing in the prior art, the present invention proposes a scalable and efficient multi-UAV formation control method based on continuous convex planning, which can be used to solve the problem of group UAVs adjusting the formation according to a specific environment and avoiding UAVs. Go to the target location without colliding with each other and avoiding the collision of the drone with obstacles. The invention firstly calculates a set of safe intermediate formations from the starting point to the ending point for the group UAV through global path planning. Then, on the basis of linearizing and discretizing UAV dynamics constraints and converting collision avoidance constraints into convex constraints, local path planning is carried out through continuous convex programming, and combined with model predictive control, the path following of group UAVs is realized in real time. . The technology belongs to the field of swarm UAV formation control, and more specifically, relates to a distributed adaptive formation control method for swarm UAVs based on continuous convex programming.
本发明是完全基于分布式协同规划的,没有所谓的长机,当单只无人机(或者长机)出现问题,不会导致整个系统的崩溃,具有更强的鲁棒性。也不会造成类似于长机-僚机法的误差逐级扩大的情况。同时,本发明对于队形有明确的定义,可根据具体环境决策出对应的队形,并且可保证编队的(数量)可拓展性,稳定性,预防编队死锁。本发明创造的目的则是为了实现上述的效果The present invention is completely based on distributed collaborative planning, and there is no so-called lead plane. When a single UAV (or lead plane) has a problem, it will not lead to the collapse of the entire system, and has stronger robustness. It will not cause a situation similar to the gradual expansion of the error of the leader-wingman method. At the same time, the invention has a clear definition for the formation, and can decide the corresponding formation according to the specific environment, and can ensure the (quantity) scalability and stability of the formation, and prevent formation deadlock. The purpose of the present invention is to achieve the above-mentioned effects
如图1所示,本发明的方法包括以下步骤:As shown in Figure 1, the method of the present invention comprises the following steps:
确定无人机编队的全局路径规划;所述全局路径规划用于确定所述无人机编队从起点到终点的行动路径以及编队队形;Determine the global path planning of the UAV formation; the global path planning is used to determine the action path and formation formation of the UAV formation from the starting point to the end point;
根据线性化和离散化无人机动力学约束,将所述无人机编队的避碰约束转化为凸约束;Transform the collision avoidance constraints of the UAV formation into convex constraints according to the linearized and discretized UAV dynamics constraints;
根据所述凸约束确定所述无人机编队的局部路径规划;所述局部路径规划用于确定所述无人机编队中每个无人机的行动轨迹;Determine the local path planning of the UAV formation according to the convex constraint; the local path planning is used to determine the action trajectory of each UAV in the UAV formation;
通过预设模型对所述无人机编队进行实时路径跟踪控制。Real-time path tracking control is performed on the UAV formation through a preset model.
优选地,所述确定无人机编队的全局路径规划,包括:Preferably, the determining of the global path planning of the UAV formation includes:
确定所述无人机编队的多个无人机位置,以及确定所述无人机编队旋转中心的外部顶点;determining a plurality of drone positions of the drone formation, and determining the outer vertices of the center of rotation of the drone formation;
确定所述无人机编队中任意一对无人机之间的最小距离;determining the minimum distance between any pair of UAVs in the UAV formation;
根据所述无人机位置、所述外部顶点和所述最小距离,通过同构变换确定无人机编队的初始配置;Determine the initial configuration of the UAV formation by isomorphic transformation according to the UAV position, the outer vertex and the minimum distance;
根据所述无人机编队的初始配置,通过全局路径规划器确定所述无人机编队的目标配置。According to the initial configuration of the UAV formation, the target configuration of the UAV formation is determined by a global path planner.
优选地,所述根据所述无人机编队的初始配置,通过全局路径规划器确定所述无人机编队的目标配置,包括:Preferably, according to the initial configuration of the UAV formation, the target configuration of the UAV formation is determined by a global path planner, including:
建立多面体列表,将无人机编队中的所有无人机包含在所述多面体列表中;Build a list of polyhedrons, including all drones in the drone formation in the list of polyhedrons;
对所述无人机编队的初始配置和目标配置进行初始化处理;Initialize the initial configuration and target configuration of the UAV formation;
通过凸区域对所述多面体列表进行初始化处理;Initialize the polyhedron list through the convex region;
在所述无人机编队的飞行空间中抽取随机样本;draw random samples in the flight space of the drone formation;
判断所述随机样本是否在障碍物内或者在所述多面体列表中,若是,则将该随机样本排除;反之,则执行以下步骤:Determine whether the random sample is in the obstacle or in the polyhedron list, if so, exclude the random sample; otherwise, perform the following steps:
通过迭代算法计算所述随机样本的无障碍凸多面体;calculating an unobstructed convex polyhedron of the random sample by an iterative algorithm;
计算所述无障碍凸多面体的内切椭球;calculating the inscribed ellipsoid of the barrier-free convex polyhedron;
根据所述内切椭球,确定所述无人机编队从起点到终点的行动路径。According to the inscribed ellipsoid, the action path of the UAV formation from the starting point to the ending point is determined.
优选地,所述根据线性化和离散化无人机动力学约束,将所述无人机编队的避碰约束转化为凸约束这一步骤中,所述无人机动力学约束为:Preferably, in the step of converting the collision avoidance constraint of the UAV formation into a convex constraint according to the linearized and discretized UAV dynamics constraints, the UAV dynamics constraints are:
其中,代表第j只无人机的位置矢量;uj代表第j只无人机的控制矢量;B=[03×3 I3×3],t表示时间;in, represents the position vector of the jth UAV; u j represents the control vector of the jth UAV; B=[0 3×3 I 3×3 ], t represents the time;
所述线性化的表达式为:The linearized expression is:
其中,表示标称轨迹,即上一次迭代生成的轨迹; in, represents the nominal trajectory, that is, the trajectory generated by the previous iteration;
优选地,所述根据所述凸约束确定所述无人机编队的局部路径规划,包括:Preferably, the determining the local path planning of the UAV formation according to the convex constraint includes:
在不考虑避免碰撞的情况下为每个无人机生成初始轨迹;Generate initial trajectories for each drone without considering collision avoidance;
根据所述初始轨迹,迭代求解所述无人机的最佳轨迹;According to the initial trajectory, iteratively solve the optimal trajectory of the UAV;
根据每个无人机的最佳轨迹,确定所述无人机编队中所有无人机的最佳轨迹。According to the optimal trajectory of each UAV, the optimal trajectory of all UAVs in the UAV formation is determined.
下面具体描述本发明的方法的实现过程:The implementation process of the method of the present invention is specifically described below:
本发明结合一种基于采样的图形搜索算法,在自由空间中的凸区域进行采样并连接,将采样和非线性优化相结合,寻找安全的全局路径。本发明提出了一种基于连续凸规划的可拓展且高效的多无人机编队控制方法,在线性化和离散化无人机动力学约束以及将避碰约束转化为凸约束的基础上,通过连续凸规划进行局部路径规划,同时结合模型预测控制,实时地实现群体无人机的路径跟随。该发明可用于解决群体无人机根据特定环境调整队形且避免无人机之间相互碰撞以及避免无人机与障碍物发生碰撞的情况下前往目标位置。The invention combines a sampling-based graph search algorithm to sample and connect convex regions in free space, and combines sampling and nonlinear optimization to find a safe global path. The invention proposes a scalable and efficient multi-UAV formation control method based on continuous convex programming. On the basis of linearizing and discretizing UAV dynamics constraints and converting collision avoidance constraints into convex constraints, the continuous Convex planning performs local path planning, and at the same time combines model predictive control to realize the path following of group UAVs in real time. The invention can be used to solve the problem that a group of UAVs adjusts the formation according to a specific environment and avoids collision between UAVs and avoids collision between UAVs and obstacles to go to the target position.
具体实现步骤如下:The specific implementation steps are as follows:
(1)、全局路径规划:(1), global path planning:
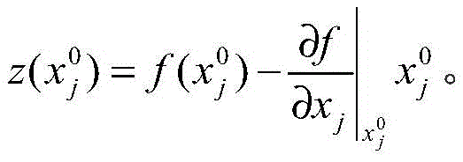
首先对队形进行定义。每个编队f由一系列(n个)无人机位置和一系列相对于队形的旋转中心(通常是质心)的外部顶点给定,其中nf表示定义队形f的外部顶点的数量。这些顶点表示无人机在编队中的位置的凸包,从而降低了具有多个无人机的编队的复杂度。进一步用df表示编队f中任意给定一对无人机之间的最小距离。然后通过同构变换定义一个队形,包括大小s∈R+,平移t∈R3和由单元四元数q∈SO(3)描述的旋转R(q),其共轭由表示。通过这种形式定义,无人机队形可完全由配置z=[t,s,q]∈R3×R+×SO(3)定义。给定配置z和队形f,可通过以下方式计算所得队形的无人机位置和外部顶点:First define the formation. Each formation f consists of a series (n) of UAV positions and a series of outer vertices relative to the formation's center of rotation (usually the center of mass) given, where n f represents the number of outer vertices that define the formation f. These vertices represent the convex hull of the drone's position in the formation, reducing the complexity of a formation with multiple drones. We further use d f to denote the minimum distance between any given pair of UAVs in the formation f. A formation is then defined by isomorphic transformation, including size s ∈ R + , translation t ∈ R 3 and rotation R(q) described by the unit quaternion q ∈ SO(3), whose conjugate is given by express. With this formal definition, the UAV formation can be completely defined by the configuration z=[t,s,q]∈R 3 ×R + ×SO(3). Given a configuration z and a formation f, the drone positions and outer vertices of the resulting formation can be calculated by:
其中,SO(3)中的旋转矩阵由四元数运算给出,如下:where the rotation matrix in SO(3) is given by the quaternion operation as follows:
对于队形f和配置z,本发明实施例用以下公式表示外部顶点集:For formation f and configuration z, the embodiment of the present invention uses the following formula to express the external vertex set:
在该方法的说明中,本发明实施例依靠此定义来形成队形,但是该方法是通用的,可以应用于其他定义,本发明对此不作限定。In the description of the method, the embodiment of the present invention relies on this definition to form a formation, but the method is general and can be applied to other definitions, which is not limited in the present invention.
给定群体无人机的初始配置(zs)和目标配置(zg)后,全局路径规划器会计算一条可行的路径和将它们连接起来的中间队形。这是通过将基于采样的方法与受约束的非线性优化相结合来实现的,其思想是在低维空间(工作空间)中采样,然后让优化器计算剩余的自由度。特别地,本发明实施例创建了一个图形,其中每个节点都是可行的队形,并且包含初始配置和目标配置。两个节点或队形之间的可行边是自由空间中的凸区域,其包含两个队形。一条可行边提供了在图中两个节点之间转换的方式。Given an initial configuration (z s ) and a target configuration (z g ) of the swarm drones, the global path planner computes a feasible path and intermediate formations connecting them. This is achieved by combining sampling-based methods with constrained nonlinear optimization, where the idea is to sample in a low-dimensional space (the workspace) and then let the optimizer compute the remaining degrees of freedom. In particular, embodiments of the present invention create a graph in which each node is a feasible formation and contains an initial configuration and a target configuration. A feasible edge between two nodes or formations is a convex region in free space that contains both formations. A feasible edge provides a way to transition between two nodes in the graph.
然后介绍全局路径规划算法。考虑无障碍区域F,队形质心的起始位置s及其目标位置g∈R3。在该算法中,本发明实施例描述了提出的计算方法,目标是得到可以使群体无人机从初始配置zs导航到目标配置gs的配置序列T={zs,...,zg}组成的全局路径。本发明实施例建立一个现有的多面体P的列表,群体无人机可完全包含在该多面体中。配置序列用质心s和g的初始zs和目标gs配置初始化。类似地,用凸区域Ps和Pz初始化多面体列表,两者分别包含初始配置和目标配置。该方法通过在工作区域(对于无人机的飞行空间R3)中抽取随机样本来进行。抽样方法类似于快速搜索随机树(RRT)。如果每个随机样本p∈R3在障碍物内或列表P中的多点之一内,则将其排除。否则执行以下步骤:Then the global path planning algorithm is introduced. Consider the barrier-free area F, the starting position s of the formation centroid and its target position g∈R 3 . In this algorithm, the embodiments of the present invention describe the proposed calculation method, and the goal is to obtain a configuration sequence T={z s ,...,z that enables the swarm of UAVs to navigate from the initial configuration z s to the target configuration g s g } is composed of the global path. The embodiment of the present invention establishes a list of existing polyhedrons P, and the swarm drones can be completely contained in the polyhedron. The configuration sequence is initialized with initial z s and target g s configurations for centroids s and g. Similarly, initialize the list of polyhedra with convex regions Ps and Pz , both containing the initial and target configurations, respectively. The method works by drawing random samples in the work area (for the UAV's flight space R3 ). The sampling method is similar to Rapid Search Random Tree (RRT). Each random sample p∈R3 is excluded if it is within an obstacle or within one of the multiple points in the list P. Otherwise perform the following steps:
1.通过一种快速迭代方法,在样本p处通过迭代算法计算出一个大的无障碍凸多面体Pp。1. Through a fast iterative method, a large unobstructed convex polyhedron P p is calculated by an iterative algorithm at the sample p .
2.通过半定规划,计算出内切于凸多面体Pp的最大椭球ep,如果该椭球可以在所有无人机均保持安全距离df且保持所需队形的情况下存下所有无人机,则将该配置zw存进配置序列T。这里w表示队形的中心,即最大椭球ep对应的中心。2. Through semi-definite programming, calculate the largest ellipsoid ep inscribed in the convex polyhedron P p , if the ellipsoid can be stored under the condition that all UAVs keep a safe distance d f and maintain the required formation For all drones, the configuration z w is stored in the configuration sequence T. Here w represents the center of the formation, that is, the center corresponding to the largest ellipsoid ep .
3.继续采样,重复执行以上步骤,直到找到第一个可行路径,直到探索整个空间F或直到最大时限为止。3. Continue sampling and repeat the above steps until the first feasible path is found, until the entire space F is explored or until the maximum time limit is reached.
4.返回一条最短(欧氏)距离的可行路径对应的配置序列T。4. Return a configuration sequence T corresponding to a feasible path with the shortest (Euclidean) distance.
(2)、局部路径规划(2), local path planning
如果将全局路径规划得到的序列对应的每一个配置zw按顺序给定序号,即T={z1,z2,...,zm},那么局部路径规划就是解决如何从zi+1到zi的问题。这里采用连续凸规划的方法。连续凸规划是一种迭代方法,用来解决非凸问题的凸逼近,其有以下优点:If each configuration z w corresponding to the sequence obtained by global path planning is given a sequence number in sequence, that is, T={z 1 , z 2 ,...,z m }, then local path planning is to solve how to get from z i+ 1 to zi questions. The method of continuous convex programming is used here. Continuous convex programming is an iterative method for solving convex approximations of non-convex problems, which has the following advantages:
1、连续凸规划使用多次迭代来确保非凸约束的凸近似准确,从而产生更省油的轨迹。1. Continuous convex programming uses multiple iterations to ensure that the convex approximation of non-convex constraints is accurate, resulting in more fuel-efficient trajectories.
2、可以使用免费的软件(例如CVX[30,31])编写连续凸规划算法,以将凸程序转换为半定程序(SDP)或二阶锥程序(SOCP)。2. Continuous convex programming algorithms can be written using free software such as CVX [30, 31] to convert convex programs into semidefinite programs (SDP) or second-order cone programs (SOCP).
首先,线性化和离散化无人机的动力学约束。无人机的动力学约束如下:First, linearize and discretize the dynamic constraints of the drone. The dynamic constraints of the UAV are as follows:
其中,是第j只无人机的位置矢量,uj是第j只无人机的控制矢量。in, is the position vector of the jth drone, and u j is the control vector of the jth drone.
为了将动力学约束重写为可用于凸规划问题的约束,必须首先对该方程进行线性化:In order to rewrite the dynamical constraints into constraints that can be used for convex programming problems, the equation must first be linearized:
将动力学约束转换为可用于凸规划的约束的下一步是将动力学约束转换为可用于凸规划的约束的下一步是动力学约束转换为有限数量的代数约束。为此,使用零阶保持方法将问题离散化,得到:The next step in converting dynamic constraints into constraints that can be used in convex programming is to convert dynamic constraints into constraints that can be used in convex programming. To do this, discretizing the problem using the zero-order hold method, we get:
xj[k+1]=Aj[k]xj[k]+Bj[k]uj[k]+zj[k],k=k0,...,T-1,j=1,...,Nx j [k+1]=A j [k]x j [k]+B j [k]u j [k]+z j [k],k=k 0 ,...,T-1,j =1,...,N
其中,xj[k]=xj(tk),uj[k]=uj(tk),且:where x j [k]=x j (t k ), u j [k]=u j (t k ), and:
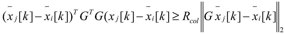
将无人机群体重构转换为凸规划问题的最后一步是将避碰约束转换为凸约束。避碰约束如下:The final step in transforming the UAV swarm reconstruction into a convex programming problem is to transform the collision avoidance constraints into convex constraints. The collision avoidance constraints are as follows:
其中G=[I3×3 03×3],Rcol是两只无人机之间允许的最小间距。Where G=[I 3×3 0 3×3 ], R col is the minimum distance allowed between two UAVs.
由于当前形式的避碰约束是凹形的,因此最佳的凸近似将是仿射约束。可转化成如下公式:Since the collision avoidance constraint in its current form is concave, the best convex approximation will be an affine constraint. It can be converted into the following formula:
证明如下:The proof is as follows:
其中,和是xi,xj先前迭代的标称轨迹,φ是两个向量之间的角度。假定这些标称值是已知的,并且不是优化中的变量。因此,新的避碰约束是仿射的,该形式可用于凸规划问题。in, and are the nominal trajectories of the previous iterations of x i , x j , and φ is the angle between the two vectors. These nominal values are assumed to be known and not variables in the optimization. Therefore, the new collision avoidance constraint is affine, a form that can be used for convex programming problems.
最优群重构的目的是最小化控制输入的L1范数。控制输入的L1范数等于传输期间使用的总燃料。因此,本发明实施例可以如下定义群重构:The goal of optimal group reconstruction is to minimize the L1 norm of the control input. The L1 norm of the control input is equal to the total fuel used during transmission. Therefore, in this embodiment of the present invention, group reconstruction may be defined as follows:
xj[k+1]=Aj[k]xj[k]+Bj[k]uj[k]+zj[k],k=k0,...,T-1,j=1,...,Nx j [k+1]=A j [k]x j [k]+B j [k]u j [k]+z j [k],k=k 0 ,...,T-1,j =1,...,N
||uj[k]||∞≤Umax k=0,...,T-1,j=1,...,N||u j [k]|| ∞ ≤U max k=0,...,T-1,j=1,...,N
xj[0]=xj,0,xj[T]=xj,f j=1,...,Nx j [0]=x j,0 ,x j [T]=x j,f j=1,...,N
用于使轨迹优化为凸程序的近似值要求每个无人机的标称轨迹另外,标称轨迹应接近实际状态轨迹,以使近似误差最小。为了确保标称向量是实际状态向量的良好估计,使用连续凸规划。SCP是一种迭代方法,它解决了一个非凸问题的凸逼近问题,并在下一次迭代中使用该解决方案使该问题凸化,即其中w是连续凸规划的迭代次数。重复此过程,直到轨迹序列根据以下条件收敛:The approximation used to optimize the trajectory as a convex program requires the nominal trajectory of each drone Additionally, the nominal trajectory should be close to the actual state trajectory to minimize approximation errors. To ensure that the nominal vector is a good estimate of the actual state vector, continuous convex programming is used. SCP is an iterative method that solves a convex approximation of a non-convex problem and uses that solution in the next iteration to make the problem convex, i.e. where w is the number of iterations of the continuous convex programming. This process is repeated until the trajectory sequence converges according to:
其中εscp是阈值。where ε scp is the threshold.
为了执行避碰约束,每个无人机将其自身的标称轨迹通信给其邻居无人机。To enforce collision avoidance constraints, each UAV communicates its own nominal trajectory to its neighbor UAVs.
连续凸规划步骤如下。首先,在不考虑避免碰撞的情况下为每个代理生成初始轨迹。然后,迭代过程从每个无人机求解其最佳轨迹开始。接下来,每个无人机将当前轨迹存储为下一次迭代的标称轨迹,并将该轨迹传递给其相邻的无人机。最后,重复该迭代直到轨迹收敛并且无人机没有碰撞。The steps of continuous convex programming are as follows. First, initial trajectories are generated for each agent without considering collision avoidance. The iterative process then begins with each drone solving its optimal trajectory. Next, each drone stores the current trajectory as the nominal trajectory for the next iteration and passes this trajectory to its neighboring drones. Finally, this iteration is repeated until the trajectory converges and the drone does not collide.
由于可以有效地解决凸优化问题,因此运行时间现在约为一个或两个时间步长,因此可以使用模型预测控制通过基于当前由于未建模的干扰或其他错误而偏离了最佳轨迹的状态去更新未来的分配和控制命令,从而实现连续凸规划。模型预测控制可以为干扰提供一定的鲁棒性,并允许分布和断开通信网络Since the convex optimization problem can be solved efficiently, the running time is now on the order of one or two time steps, so model predictive control can be used to go to the Update future assignments and control commands, enabling continuous convex programming. Model predictive control can provide some robustness against disturbances and allow for distribution and disconnection of communication networks
综上所述,相较于现有技术,本发明结合全局路径规划和局部路径规划实现了群体无人机的自适应协同编队,且全局规划和局部规划是解耦的。To sum up, compared with the prior art, the present invention realizes the adaptive cooperative formation of group UAVs by combining global path planning and local path planning, and the global planning and local planning are decoupled.
全局路径规划的采样是上升到队形的采样,并结合快速探索随机树的思想,可快速找出从起始点到终点的多个采样点(队形)。而每个队形可根据环境自适应变换,也就产生了不同的缩放的队形。The sampling of the global path planning is the sampling rising to the formation, and combined with the idea of quickly exploring the random tree, multiple sampling points (formations) from the starting point to the end point can be quickly found. And each formation can be adaptively transformed according to the environment, resulting in different scaled formations.
局部路径规划在通过线性化和离散化动力学约束以及凸化避碰约束的基础上,构建出一个群重构的分布式凸规划问题,并通过连续凸规划进行求解。同时结果模型预测控制,可实时实现编队过程并调高了抗干扰性。Based on the linearization and discretization of dynamic constraints and convex collision avoidance constraints, local path planning constructs a distributed convex programming problem with group reconstruction, and solves it by continuous convex programming. At the same time, the results of model predictive control can realize the formation process in real time and improve the anti-interference performance.
本发明实施例还提供了一种基于连续凸规则的多无人机编队控制装置,包括:The embodiment of the present invention also provides a multi-UAV formation control device based on continuous convex rules, including:
全局规划模块,用于确定无人机编队的全局路径规划;所述全局路径规划用于确定所述无人机编队从起点到终点的行动路径以及编队队形;The global planning module is used to determine the global path planning of the UAV formation; the global path planning is used to determine the action path and formation formation of the UAV formation from the starting point to the end point;
转化模块,用于根据线性化和离散化无人机动力学约束,将所述无人机编队的避碰约束转化为凸约束;a transformation module, configured to transform the collision avoidance constraint of the UAV formation into a convex constraint according to the linearized and discretized UAV dynamics constraints;
局部规划模块,用于根据所述凸约束确定所述无人机编队的局部路径规划;所述局部路径规划用于确定所述无人机编队中每个无人机的行动轨迹;a local planning module, configured to determine the local path planning of the UAV formation according to the convex constraint; the local path planning is used to determine the action trajectory of each UAV in the UAV formation;
跟踪控制模块,用于通过预设模型对所述无人机编队进行实时路径跟踪控制。A tracking control module is used to perform real-time path tracking control on the UAV formation through a preset model.
优选地,所述全局规划模块包括:Preferably, the global planning module includes:
第一确定单元,用于确定所述无人机编队的多个无人机位置,以及确定所述无人机编队旋转中心的外部顶点;a first determining unit, configured to determine the positions of a plurality of UAVs of the UAV formation, and determine the outer vertex of the rotation center of the UAV formation;
第二确定单元,用于确定所述无人机编队中任意一对无人机之间的最小距离;a second determining unit, configured to determine the minimum distance between any pair of UAVs in the UAV formation;
同构变换单元,用于根据所述无人机位置、所述外部顶点和所述最小距离,通过同构变换确定无人机编队的初始配置;an isomorphic transformation unit, configured to determine the initial configuration of the UAV formation by isomorphic transformation according to the UAV position, the external vertex and the minimum distance;
第三确定单元,用于根据所述无人机编队的初始配置,通过全局路径规划器确定所述无人机编队的目标配置。The third determining unit is configured to determine the target configuration of the UAV formation through a global path planner according to the initial configuration of the UAV formation.
优选地,所述第三确定单元包括:Preferably, the third determining unit includes:
构建子单元,用于建立多面体列表,将无人机编队中的所有无人机包含在所述多面体列表中;constructing a subunit for establishing a list of polyhedrons, including all drones in the drone formation in the list of polyhedrons;
第一初始化子单元,用于对所述无人机编队的初始配置和目标配置进行初始化处理;a first initialization subunit, used for initializing the initial configuration and target configuration of the UAV formation;
第二初始化子单元,用于通过凸区域对所述多面体列表进行初始化处理;a second initialization subunit, configured to initialize the polyhedron list through the convex region;
随机抽样子单元,用于在所述无人机编队的飞行空间中抽取随机样本;a random sampling subunit, used for sampling random samples in the flight space of the drone formation;
判断子单元,用于判断所述随机样本是否在障碍物内或者在所述多面体列表中,若是,则将该随机样本排除;反之,则执行以下步骤:A judging subunit, used for judging whether the random sample is in the obstacle or in the polyhedron list, if yes, then the random sample is excluded; otherwise, the following steps are performed:
第一计算子单元,用于通过迭代算法计算所述随机样本的无障碍凸多面体;a first calculation subunit, configured to calculate the barrier-free convex polyhedron of the random sample through an iterative algorithm;
第二计算子单元,用于计算所述无障碍凸多面体的内切椭球;a second calculation subunit for calculating the inscribed ellipsoid of the barrier-free convex polyhedron;
确定子单元,用于根据所述内切椭球,确定所述无人机编队从起点到终点的行动路径。A determination subunit, configured to determine the action path of the UAV formation from the start point to the end point according to the inscribed ellipsoid.
本发明实施例还提供了一种电子设备,包括处理器以及存储器;The embodiment of the present invention also provides an electronic device, including a processor and a memory;
所述存储器用于存储程序;the memory is used to store programs;
所述处理器执行所述程序实现如图1所述的方法。The processor executes the program to implement the method described in FIG. 1 .
本发明实施例还提供了一种计算机可读存储介质,所述存储介质存储有程序,所述程序被处理器执行实现如图1所述的方法.An embodiment of the present invention also provides a computer-readable storage medium, where the storage medium stores a program, and the program is executed by a processor to implement the method described in FIG. 1 .
本发明实施例还公开了一种计算机程序产品或计算机程序,该计算机程序产品或计算机程序包括计算机指令,该计算机指令存储在计算机可读存储介质中。计算机设备的处理器可以从计算机可读存储介质读取该计算机指令,处理器执行该计算机指令,使得该计算机设备执行前面的方法。The embodiment of the present invention also discloses a computer program product or computer program, where the computer program product or computer program includes computer instructions, and the computer instructions are stored in a computer-readable storage medium. The computer instructions can be read from the computer-readable storage medium by a processor of the computer device, and the processor executes the computer instructions to cause the computer device to perform the foregoing method.
在一些可选择的实施例中,在方框图中提到的功能/操作可以不按照操作示图提到的顺序发生。例如,取决于所涉及的功能/操作,连续示出的两个方框实际上可以被大体上同时地执行或所述方框有时能以相反顺序被执行。此外,在本发明的流程图中所呈现和描述的实施例以示例的方式被提供,目的在于提供对技术更全面的理解。所公开的方法不限于本文所呈现的操作和逻辑流程。可选择的实施例是可预期的,其中各种操作的顺序被改变以及其中被描述为较大操作的一部分的子操作被独立地执行。In some alternative implementations, the functions/operations noted in the block diagrams may occur out of the order noted in the operational diagrams. For example, two blocks shown in succession may, in fact, be executed substantially concurrently or the blocks may sometimes be executed in the reverse order, depending upon the functionality/operations involved. Furthermore, the embodiments presented and described in the flowcharts of the present invention are provided by way of example in order to provide a more comprehensive understanding of the technology. The disclosed methods are not limited to the operations and logic flows presented herein. Alternative embodiments are contemplated in which the order of the various operations are altered and in which sub-operations described as part of larger operations are performed independently.
此外,虽然在功能性模块的背景下描述了本发明,但应当理解的是,除非另有相反说明,所述的功能和/或特征中的一个或多个可以被集成在单个物理装置和/或软件模块中,或者一个或多个功能和/或特征可以在单独的物理装置或软件模块中被实现。还可以理解的是,有关每个模块的实际实现的详细讨论对于理解本发明是不必要的。更确切地说,考虑到在本文中公开的装置中各种功能模块的属性、功能和内部关系的情况下,在工程师的常规技术内将会了解该模块的实际实现。因此,本领域技术人员运用普通技术就能够在无需过度试验的情况下实现在权利要求书中所阐明的本发明。还可以理解的是,所公开的特定概念仅仅是说明性的,并不意在限制本发明的范围,本发明的范围由所附权利要求书及其等同方案的全部范围来决定。Furthermore, while the invention is described in the context of functional modules, it is to be understood that, unless stated to the contrary, one or more of the described functions and/or features may be integrated in a single physical device and/or or software modules, or one or more functions and/or features may be implemented in separate physical devices or software modules. It will also be appreciated that a detailed discussion of the actual implementation of each module is not necessary to understand the present invention. Rather, given the attributes, functions, and internal relationships of the various functional modules in the apparatus disclosed herein, the actual implementation of the modules will be within the routine skill of the engineer. Accordingly, those skilled in the art, using ordinary skill, can implement the invention as set forth in the claims without undue experimentation. It is also to be understood that the specific concepts disclosed are illustrative only and are not intended to limit the scope of the invention, which is to be determined by the appended claims along with their full scope of equivalents.
所述功能如果以软件功能单元的形式实现并作为独立的产品销售或使用时,可以存储在一个计算机可读取存储介质中。基于这样的理解,本发明的技术方案本质上或者说对现有技术做出贡献的部分或者该技术方案的部分可以以软件产品的形式体现出来,该计算机软件产品存储在一个存储介质中,包括若干指令用以使得一台计算机设备(可以是个人计算机,服务器,或者网络设备等)执行本发明各个实施例所述方法的全部或部分步骤。而前述的存储介质包括:U盘、移动硬盘、只读存储器(ROM,Read-Only Memory)、随机存取存储器(RAM,Random Access Memory)、磁碟或者光盘等各种可以存储程序代码的介质。The functions, if implemented in the form of software functional units and sold or used as independent products, may be stored in a computer-readable storage medium. Based on this understanding, the technical solution of the present invention can be embodied in the form of a software product in essence, or the part that contributes to the prior art or the part of the technical solution. The computer software product is stored in a storage medium, including Several instructions are used to cause a computer device (which may be a personal computer, a server, or a network device, etc.) to execute all or part of the steps of the methods described in the various embodiments of the present invention. The aforementioned storage medium includes: U disk, mobile hard disk, Read-Only Memory (ROM, Read-Only Memory), Random Access Memory (RAM, Random Access Memory), magnetic disk or optical disk and other media that can store program codes .
在流程图中表示或在此以其他方式描述的逻辑和/或步骤,例如,可以被认为是用于实现逻辑功能的可执行指令的定序列表,可以具体实现在任何计算机可读介质中,以供指令执行系统、装置或设备(如基于计算机的系统、包括处理器的系统或其他可以从指令执行系统、装置或设备取指令并执行指令的系统)使用,或结合这些指令执行系统、装置或设备而使用。就本说明书而言,“计算机可读介质”可以是任何可以包含、存储、通信、传播或传输程序以供指令执行系统、装置或设备或结合这些指令执行系统、装置或设备而使用的装置。The logic and/or steps represented in flowcharts or otherwise described herein, for example, may be considered an ordered listing of executable instructions for implementing the logical functions, may be embodied in any computer-readable medium, For use with, or in conjunction with, an instruction execution system, apparatus, or device (such as a computer-based system, a system including a processor, or other system that can fetch instructions from and execute instructions from an instruction execution system, apparatus, or apparatus) or equipment. For the purposes of this specification, a "computer-readable medium" can be any device that can contain, store, communicate, propagate, or transport the program for use by or in connection with an instruction execution system, apparatus, or apparatus.
计算机可读介质的更具体的示例(非穷尽性列表)包括以下:具有一个或多个布线的电连接部(电子装置),便携式计算机盘盒(磁装置),随机存取存储器(RAM),只读存储器(ROM),可擦除可编辑只读存储器(EPROM或闪速存储器),光纤装置,以及便携式光盘只读存储器(CDROM)。另外,计算机可读介质甚至可以是可在其上打印所述程序的纸或其他合适的介质,因为可以例如通过对纸或其他介质进行光学扫描,接着进行编辑、解译或必要时以其他合适方式进行处理来以电子方式获得所述程序,然后将其存储在计算机存储器中。More specific examples (non-exhaustive list) of computer readable media include the following: electrical connections with one or more wiring (electronic devices), portable computer disk cartridges (magnetic devices), random access memory (RAM), Read Only Memory (ROM), Erasable Editable Read Only Memory (EPROM or Flash Memory), Fiber Optic Devices, and Portable Compact Disc Read Only Memory (CDROM). In addition, the computer readable medium may even be paper or other suitable medium on which the program may be printed, as the paper or other medium may be optically scanned, for example, followed by editing, interpretation, or other suitable medium as necessary process to obtain the program electronically and then store it in computer memory.
应当理解,本发明的各部分可以用硬件、软件、固件或它们的组合来实现。在上述实施方式中,多个步骤或方法可以用存储在存储器中且由合适的指令执行系统执行的软件或固件来实现。例如,如果用硬件来实现,和在另一实施方式中一样,可用本领域公知的下列技术中的任一项或他们的组合来实现:具有用于对数据信号实现逻辑功能的逻辑门电路的离散逻辑电路,具有合适的组合逻辑门电路的专用集成电路,可编程门阵列(PGA),现场可编程门阵列(FPGA)等。It should be understood that various parts of the present invention may be implemented in hardware, software, firmware or a combination thereof. In the above-described embodiments, various steps or methods may be implemented in software or firmware stored in memory and executed by a suitable instruction execution system. For example, if implemented in hardware, as in another embodiment, it can be implemented by any one or a combination of the following techniques known in the art: Discrete logic circuits, application specific integrated circuits with suitable combinational logic gates, Programmable Gate Arrays (PGA), Field Programmable Gate Arrays (FPGA), etc.
在本说明书的描述中,参考术语“一个实施例”、“一些实施例”、“示例”、“具体示例”、或“一些示例”等的描述意指结合该实施例或示例描述的具体特征、结构、材料或者特点包含于本发明的至少一个实施例或示例中。在本说明书中,对上述术语的示意性表述不一定指的是相同的实施例或示例。而且,描述的具体特征、结构、材料或者特点可以在任何的一个或多个实施例或示例中以合适的方式结合。In the description of this specification, description with reference to the terms "one embodiment," "some embodiments," "example," "specific example," or "some examples", etc., mean specific features described in connection with the embodiment or example , structure, material or feature is included in at least one embodiment or example of the present invention. In this specification, schematic representations of the above terms do not necessarily refer to the same embodiment or example. Furthermore, the particular features, structures, materials or characteristics described may be combined in any suitable manner in any one or more embodiments or examples.
尽管已经示出和描述了本发明的实施例,本领域的普通技术人员可以理解:在不脱离本发明的原理和宗旨的情况下可以对这些实施例进行多种变化、修改、替换和变型,本发明的范围由权利要求及其等同物限定。Although embodiments of the present invention have been shown and described, it will be understood by those of ordinary skill in the art that various changes, modifications, substitutions and alterations can be made in these embodiments without departing from the principles and spirit of the invention, The scope of the invention is defined by the claims and their equivalents.
以上是对本发明的较佳实施进行了具体说明,但本发明并不限于所述实施例,熟悉本领域的技术人员在不违背本发明精神的前提下还可做出种种的等同变形或替换,这些等同的变形或替换均包含在本申请权利要求所限定的范围内。The above is a specific description of the preferred implementation of the present invention, but the present invention is not limited to the described embodiments, and those skilled in the art can also make various equivalent deformations or replacements on the premise of not violating the spirit of the present invention, These equivalent modifications or substitutions are all included within the scope defined by the claims of the present application.
Claims (9)
Priority Applications (1)
| Application Number | Priority Date | Filing Date | Title |
|---|---|---|---|
| CN202011601379.3A CN112596549B (en) | 2020-12-29 | 2020-12-29 | Multi-UAV formation control method, device and medium based on continuous convex rule |
Applications Claiming Priority (1)
| Application Number | Priority Date | Filing Date | Title |
|---|---|---|---|
| CN202011601379.3A CN112596549B (en) | 2020-12-29 | 2020-12-29 | Multi-UAV formation control method, device and medium based on continuous convex rule |
Publications (2)
| Publication Number | Publication Date |
|---|---|
| CN112596549A CN112596549A (en) | 2021-04-02 |
| CN112596549B true CN112596549B (en) | 2021-12-21 |
Family
ID=75203863
Family Applications (1)
| Application Number | Title | Priority Date | Filing Date |
|---|---|---|---|
| CN202011601379.3A Active CN112596549B (en) | 2020-12-29 | 2020-12-29 | Multi-UAV formation control method, device and medium based on continuous convex rule |
Country Status (1)
| Country | Link |
|---|---|
| CN (1) | CN112596549B (en) |
Families Citing this family (8)
| Publication number | Priority date | Publication date | Assignee | Title |
|---|---|---|---|---|
| CN113296536B (en) * | 2021-05-24 | 2022-04-05 | 哈尔滨工业大学 | Unmanned aerial vehicle three-dimensional obstacle avoidance algorithm based on A-star and convex optimization algorithm |
| CN113485418B (en) * | 2021-07-02 | 2022-07-05 | 西北工业大学 | Flexible rope system constraint multi-robot track generation method |
| CN113566826B (en) * | 2021-07-08 | 2023-11-07 | 北京航空航天大学 | A UAV path planning method based on quadratic planning |
| CN115509248B (en) * | 2022-10-09 | 2023-05-30 | 哈尔滨工业大学 | Satellite cluster reconstruction control method based on sequence convex optimization and model predictive control |
| CN116048127A (en) * | 2023-03-15 | 2023-05-02 | 北京大学 | Fixed wing unmanned aerial vehicle cluster formation control method for mobile rigid formation |
| CN117873173B (en) * | 2024-01-26 | 2024-06-25 | 中国人民解放军军事科学院系统工程研究院 | Unmanned aerial vehicle path planning method and device |
| CN118689232B (en) * | 2024-08-23 | 2024-12-06 | 南开大学 | Autonomous formation flight method and device for distributed unmanned aerial vehicle cluster and storage medium |
| CN119356367A (en) * | 2024-11-05 | 2025-01-24 | 中国人民解放军空军指挥学院 | Manned and unmanned aerial vehicle collaborative route design method and system |
Citations (9)
| Publication number | Priority date | Publication date | Assignee | Title |
|---|---|---|---|---|
| CN106406354A (en) * | 2016-11-29 | 2017-02-15 | 中山大学 | Distributed aircraft formation method based on three-dimensional dynamic obstacle avoidance |
| WO2017147142A1 (en) * | 2016-02-22 | 2017-08-31 | Unmanned Innovation Inc. | Unmanned aerial vehicle visual line of sight control |
| CN206569262U (en) * | 2016-12-09 | 2017-10-20 | 华南理工大学广州学院 | A kind of UAS |
| CN108388270A (en) * | 2018-03-21 | 2018-08-10 | 天津大学 | Collaborative control method for trajectory and attitude of swarm unmanned aerial vehicle (UAV) oriented to security domain |
| CN108568820A (en) * | 2018-04-27 | 2018-09-25 | 深圳市商汤科技有限公司 | Robot control method and device, electronic equipment and storage medium |
| CN110162086A (en) * | 2019-03-21 | 2019-08-23 | 中山大学 | A kind of cluster unmanned plane formation method based on Model Predictive Control frame |
| CN110456792A (en) * | 2019-08-06 | 2019-11-15 | 清华大学 | Method and device for multi-agent swarm system navigation and obstacle avoidance in dynamic environment |
| CN111562797A (en) * | 2020-07-06 | 2020-08-21 | 北京理工大学 | Unmanned aerial vehicle flight time optimal real-time trajectory optimization method capable of ensuring convergence |
| CN111580548A (en) * | 2020-04-17 | 2020-08-25 | 中山大学 | A UAV Obstacle Avoidance Method Based on Spline-rrt and Velocity Obstacles |
Family Cites Families (6)
| Publication number | Priority date | Publication date | Assignee | Title |
|---|---|---|---|---|
| US20120078585A1 (en) * | 2010-06-29 | 2012-03-29 | University Of Connecticut | Method and system for constructing geometric skeletons and medial zones of rigid and non-rigid shapes |
| US9216745B2 (en) * | 2013-09-16 | 2015-12-22 | Disney Enterprises, Inc. | Shared control of semi-autonomous vehicles including collision avoidance in multi-agent scenarios |
| US10579926B2 (en) * | 2015-12-21 | 2020-03-03 | Disney Enterprises, Inc. | Method and device for multi-agent path planning |
| CN108427433B (en) * | 2018-02-05 | 2021-04-16 | 中山大学 | A method for optimizing the number of UAVs for the coordinated spraying of drugs by multiple plant protection UAVs |
| CN108613676B (en) * | 2018-03-27 | 2019-07-12 | 中国民用航空飞行学院 | An emergency search and rescue trajectory planning method under the cooperative mechanism of unmanned aerial vehicle and man-machine |
| CN110312265B (en) * | 2019-06-24 | 2021-01-01 | 清华大学 | Power allocation method and system for UAV formation communication coverage |
-
2020
- 2020-12-29 CN CN202011601379.3A patent/CN112596549B/en active Active
Patent Citations (10)
| Publication number | Priority date | Publication date | Assignee | Title |
|---|---|---|---|---|
| WO2017147142A1 (en) * | 2016-02-22 | 2017-08-31 | Unmanned Innovation Inc. | Unmanned aerial vehicle visual line of sight control |
| CN106406354A (en) * | 2016-11-29 | 2017-02-15 | 中山大学 | Distributed aircraft formation method based on three-dimensional dynamic obstacle avoidance |
| CN206569262U (en) * | 2016-12-09 | 2017-10-20 | 华南理工大学广州学院 | A kind of UAS |
| CN108388270A (en) * | 2018-03-21 | 2018-08-10 | 天津大学 | Collaborative control method for trajectory and attitude of swarm unmanned aerial vehicle (UAV) oriented to security domain |
| CN108568820A (en) * | 2018-04-27 | 2018-09-25 | 深圳市商汤科技有限公司 | Robot control method and device, electronic equipment and storage medium |
| CN110162086A (en) * | 2019-03-21 | 2019-08-23 | 中山大学 | A kind of cluster unmanned plane formation method based on Model Predictive Control frame |
| CN110456792A (en) * | 2019-08-06 | 2019-11-15 | 清华大学 | Method and device for multi-agent swarm system navigation and obstacle avoidance in dynamic environment |
| CN111830983A (en) * | 2019-08-06 | 2020-10-27 | 清华大学 | Navigation and obstacle avoidance method and device for multi-agent swarm system in dynamic environment |
| CN111580548A (en) * | 2020-04-17 | 2020-08-25 | 中山大学 | A UAV Obstacle Avoidance Method Based on Spline-rrt and Velocity Obstacles |
| CN111562797A (en) * | 2020-07-06 | 2020-08-21 | 北京理工大学 | Unmanned aerial vehicle flight time optimal real-time trajectory optimization method capable of ensuring convergence |
Non-Patent Citations (3)
| Title |
|---|
| Establishment of UAV Formation Flight Using Control Vector Parameterization and Sequential Convex Programming;GUO Juan,等;《Proceedings of the 35th Chinese Control Conference》;20160829;第2559-2564页 * |
| 基于凸优化理论的无人机编队自主重构算法研究;王寅,等;《中国科学》;20171231;第249-258页 * |
| 无人机编队的滚动时域控制;华思亮,等;《光电与控制》;20120331;第1-5页 * |
Also Published As
| Publication number | Publication date |
|---|---|
| CN112596549A (en) | 2021-04-02 |
Similar Documents
| Publication | Publication Date | Title |
|---|---|---|
| CN112596549B (en) | Multi-UAV formation control method, device and medium based on continuous convex rule | |
| Quan et al. | Survey of UAV motion planning | |
| Yan et al. | Consensus formation tracking for multiple AUV systems using distributed bioinspired sliding mode control | |
| Yi et al. | Path planning of a manipulator based on an improved P_RRT* algorithm | |
| Nguyen et al. | Formation control scheme with reinforcement learning strategy for a group of multiple surface vehicles | |
| Ding et al. | Real-time trajectory planning and tracking control of bionic underwater robot in dynamic environment | |
| Tran et al. | Switching formation strategy with the directed dynamic topology for collision avoidance of a multi‐robot system in uncertain environments | |
| CN118700133B (en) | Path planning method for redundantly driven robotic arm based on DSAW offline reinforcement learning algorithm | |
| CN113985732A (en) | Adaptive neural network control method and device for aircraft system | |
| Hua et al. | A novel learning-based trajectory generation strategy for a quadrotor | |
| CN114706384A (en) | Multi-machine navigation method, system and medium for maintaining connectivity | |
| Afzali et al. | A modified convergence DDPG algorithm for robotic manipulation | |
| CN118605592A (en) | A planning and control method and system for a rotary-wing unmanned aerial vehicle | |
| Wang et al. | Multi-agent dynamic formation interception control based on rigid graph | |
| Zhu et al. | Development of adaptive safety constraint by predicting trajectories of closest points between human and co-robot | |
| Chen et al. | Improved path planning and controller design based on PRM | |
| De Carvalho et al. | Data-driven motion planning: A survey on deep neural networks, reinforcement learning, and large language model approaches | |
| Yan et al. | Autonomous exploration through deep reinforcement learning | |
| Wang et al. | A review of research on shortest path planning algorithms for mobile robots | |
| CN121105046B (en) | Methods and Equipment for Layered Motion Planning of Robotic Arms in Dynamic Environments | |
| Tao et al. | An Adaptive Whole‐Body Control Approach for Dynamic Obstacle Avoidance of Mobile Manipulators for Human‐Centric Smart Manufacturing | |
| Fedele et al. | Swarm fixed-time reference tracking: a discrete model | |
| Wang et al. | Research on a 3D environment navigation and path planning method based on deep reinforcement learning | |
| Zhang et al. | A novel motion planning algorithm based on RRT-Connect and bidirectional approach for Free-Floating space robot | |
| Du et al. | Motion planning and tracking MPC for multiagent systems: A dynamic affine formation approach |
Legal Events
| Date | Code | Title | Description |
|---|---|---|---|
| PB01 | Publication | ||
| PB01 | Publication | ||
| SE01 | Entry into force of request for substantive examination | ||
| SE01 | Entry into force of request for substantive examination | ||
| GR01 | Patent grant | ||
| GR01 | Patent grant |
















































