CN112488867B - User attribute deduction method and system in social information service - Google Patents
User attribute deduction method and system in social information service Download PDFInfo
- Publication number
- CN112488867B CN112488867B CN202011501115.0A CN202011501115A CN112488867B CN 112488867 B CN112488867 B CN 112488867B CN 202011501115 A CN202011501115 A CN 202011501115A CN 112488867 B CN112488867 B CN 112488867B
- Authority
- CN
- China
- Prior art keywords
- user
- attribute
- attributes
- correlation
- social
- Prior art date
- Legal status (The legal status is an assumption and is not a legal conclusion. Google has not performed a legal analysis and makes no representation as to the accuracy of the status listed.)
- Active
Links
Images
Classifications
-
- G06Q10/40—
-
- G—PHYSICS
- G06—COMPUTING OR CALCULATING; COUNTING
- G06F—ELECTRIC DIGITAL DATA PROCESSING
- G06F18/00—Pattern recognition
- G06F18/20—Analysing
- G06F18/24—Classification techniques
- G06F18/241—Classification techniques relating to the classification model, e.g. parametric or non-parametric approaches
- G06F18/2411—Classification techniques relating to the classification model, e.g. parametric or non-parametric approaches based on the proximity to a decision surface, e.g. support vector machines
-
- G—PHYSICS
- G06—COMPUTING OR CALCULATING; COUNTING
- G06N—COMPUTING ARRANGEMENTS BASED ON SPECIFIC COMPUTATIONAL MODELS
- G06N20/00—Machine learning
- G06N20/10—Machine learning using kernel methods, e.g. support vector machines [SVM]
-
- G—PHYSICS
- G06—COMPUTING OR CALCULATING; COUNTING
- G06N—COMPUTING ARRANGEMENTS BASED ON SPECIFIC COMPUTATIONAL MODELS
- G06N7/00—Computing arrangements based on specific mathematical models
- G06N7/01—Probabilistic graphical models, e.g. probabilistic networks
-
- Y—GENERAL TAGGING OF NEW TECHNOLOGICAL DEVELOPMENTS; GENERAL TAGGING OF CROSS-SECTIONAL TECHNOLOGIES SPANNING OVER SEVERAL SECTIONS OF THE IPC; TECHNICAL SUBJECTS COVERED BY FORMER USPC CROSS-REFERENCE ART COLLECTIONS [XRACs] AND DIGESTS
- Y02—TECHNOLOGIES OR APPLICATIONS FOR MITIGATION OR ADAPTATION AGAINST CLIMATE CHANGE
- Y02D—CLIMATE CHANGE MITIGATION TECHNOLOGIES IN INFORMATION AND COMMUNICATION TECHNOLOGIES [ICT], I.E. INFORMATION AND COMMUNICATION TECHNOLOGIES AIMING AT THE REDUCTION OF THEIR OWN ENERGY USE
- Y02D10/00—Energy efficient computing, e.g. low power processors, power management or thermal management
Landscapes
- Engineering & Computer Science (AREA)
- Theoretical Computer Science (AREA)
- Physics & Mathematics (AREA)
- Data Mining & Analysis (AREA)
- General Physics & Mathematics (AREA)
- Software Systems (AREA)
- Artificial Intelligence (AREA)
- General Engineering & Computer Science (AREA)
- Evolutionary Computation (AREA)
- Computing Systems (AREA)
- Mathematical Physics (AREA)
- Computer Vision & Pattern Recognition (AREA)
- Probability & Statistics with Applications (AREA)
- Computational Mathematics (AREA)
- Mathematical Analysis (AREA)
- Algebra (AREA)
- Mathematical Optimization (AREA)
- Life Sciences & Earth Sciences (AREA)
- Bioinformatics & Cheminformatics (AREA)
- Bioinformatics & Computational Biology (AREA)
- Pure & Applied Mathematics (AREA)
- Evolutionary Biology (AREA)
- Medical Informatics (AREA)
- Information Retrieval, Db Structures And Fs Structures Therefor (AREA)
- Management, Administration, Business Operations System, And Electronic Commerce (AREA)
Abstract
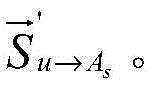
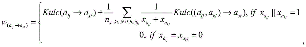
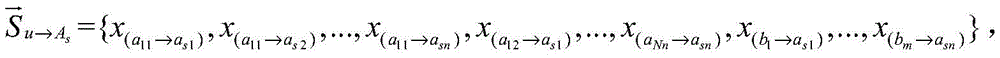
本发明公开了一种社交信息服务中用户属性推演方法及系统,所述方法包括以下步骤:S1,根据用户属性值挖掘多种属性之间的关联性并使用Kulc系数度量关联性,得到多种属性之间关联性的值;S2,根据多种属性之间关联性和用户节点的第一特征向量,对用户的第一特征向量进行特征变换,得到用户节点的第二特征向量;S3,根据用户节点的第二特征向量以及SVM分类方法,得到用户有该属性的先验概率;S4,利用马尔可夫随机场对用户社交关系信息进行建模,在马尔可夫随机场中对用户先验概率进行置信传播,获得用户有该属性的后验概率。根据本发明的方法可以实现根据社交网络中部分已知属性信息,高效地推演出其他未知属性信息,提高了推演的准确性和扩展性。
The present invention discloses a user attribute deduction method and system in social information services. The method includes the following steps: S1. According to the user attribute value, the correlation between various attributes is excavated and the Kulc coefficient is used to measure the correlation, and various attributes are obtained. The value of the correlation between attributes; S2, according to the correlation between various attributes and the first feature vector of the user node, perform feature transformation on the first feature vector of the user to obtain the second feature vector of the user node; S3, according to The second eigenvector of the user node and the SVM classification method are used to obtain the prior probability that the user has this attribute; S4, use the Markov random field to model the user's social relationship information, and use the Markov random field to model the user's prior probability The probability is used for belief propagation to obtain the posterior probability that the user has the attribute. According to the method of the present invention, other unknown attribute information can be deduced efficiently according to part of the known attribute information in the social network, and the accuracy and expansibility of the deduction are improved.
Description
Claims (8)
Priority Applications (1)
| Application Number | Priority Date | Filing Date | Title |
|---|---|---|---|
| CN202011501115.0A CN112488867B (en) | 2020-12-18 | 2020-12-18 | User attribute deduction method and system in social information service |
Applications Claiming Priority (1)
| Application Number | Priority Date | Filing Date | Title |
|---|---|---|---|
| CN202011501115.0A CN112488867B (en) | 2020-12-18 | 2020-12-18 | User attribute deduction method and system in social information service |
Publications (2)
| Publication Number | Publication Date |
|---|---|
| CN112488867A CN112488867A (en) | 2021-03-12 |
| CN112488867B true CN112488867B (en) | 2023-04-18 |
Family
ID=74914285
Family Applications (1)
| Application Number | Title | Priority Date | Filing Date |
|---|---|---|---|
| CN202011501115.0A Active CN112488867B (en) | 2020-12-18 | 2020-12-18 | User attribute deduction method and system in social information service |
Country Status (1)
| Country | Link |
|---|---|
| CN (1) | CN112488867B (en) |
Family Cites Families (4)
| Publication number | Priority date | Publication date | Assignee | Title |
|---|---|---|---|---|
| JP5791565B2 (en) * | 2012-05-18 | 2015-10-07 | 日本電信電話株式会社 | User attribute estimation device, user attribute estimation method, and program |
| US9183282B2 (en) * | 2013-03-15 | 2015-11-10 | Facebook, Inc. | Methods and systems for inferring user attributes in a social networking system |
| CN108520470B (en) * | 2017-02-28 | 2022-06-03 | 百度在线网络技术(北京)有限公司 | Method and apparatus for generating user attribute information |
| CN108921189B (en) * | 2018-05-23 | 2021-05-18 | 北京航空航天大学 | Deduction method and device for social network user attributes |
-
2020
- 2020-12-18 CN CN202011501115.0A patent/CN112488867B/en active Active
Also Published As
| Publication number | Publication date |
|---|---|
| CN112488867A (en) | 2021-03-12 |
Similar Documents
| Publication | Publication Date | Title |
|---|---|---|
| Liu et al. | Motif-preserving dynamic attributed network embedding | |
| Cavallari et al. | Embedding both finite and infinite communities on graphs [application notes] | |
| Gibert et al. | Graph embedding in vector spaces by node attribute statistics | |
| US10073887B2 (en) | System and method for performing k-nearest neighbor search based on minimax distance measure and efficient outlier detection | |
| Xie et al. | Self-supervised representation learning via latent graph prediction | |
| Yang et al. | Link-based attributed graph clustering via approximate generative Bayesian learning | |
| Lu et al. | An imputation method for missing data based on an extreme learning machine auto-encoder | |
| CN107403390B (en) | A friend recommendation method that combines Bayesian inference and random walks on graphs | |
| CN104731962A (en) | Method and system for friend recommendation based on similar associations in social network | |
| CN106886524A (en) | A kind of community network community division method based on random walk | |
| Jin et al. | Modeling with node degree preservation can accurately find communities | |
| Ding et al. | User identification across multiple social networks based on naive Bayes model | |
| CN110008348B (en) | Method and device for network graph embedding by combining nodes and edges | |
| Zhou et al. | Learning to correlate accounts across online social networks: An embedding-based approach | |
| Azaouzi et al. | An evidential influence-based label propagation algorithm for distributed community detection in social networks | |
| CN112488867B (en) | User attribute deduction method and system in social information service | |
| Liang et al. | A new hybrid ant colony optimization based on brain storm optimization for feature selection | |
| Li et al. | A supervised similarity measure for link prediction based on KNN | |
| Rao | A generic sensor fusion problem: classification and function estimation | |
| CN108090132B (en) | A Community Overlapped Partitioning Method Fusing Label Average Partitioning Distance and Structural Relationship | |
| Liu et al. | Distributed and robust support vector machine | |
| Abramson | Sequence classification with neural conditional random fields | |
| Azzouzi et al. | An effective modified possibilistic Fuzzy C-Means clustering algorithm for noisy data problems | |
| Thiagarajan et al. | Robust local scaling using conditional quantiles of graph similarities | |
| Tiwari et al. | Link Prediction in Social Networks using Histogram Based Gradient Boosting Regression Tree |
Legal Events
| Date | Code | Title | Description |
|---|---|---|---|
| PB01 | Publication | ||
| PB01 | Publication | ||
| SE01 | Entry into force of request for substantive examination | ||
| SE01 | Entry into force of request for substantive examination | ||
| CB03 | Change of inventor or designer information | ||
| CB03 | Change of inventor or designer information |
Inventor after: Mao Jian Inventor after: Yang Yitong Inventor after: Lin Qixiao Inventor after: Liu Jianwei Inventor before: Mao Jian Inventor before: Yang Yitong Inventor before: Lin Qixiao Inventor before: Liu Jianwei |
|
| GR01 | Patent grant | ||
| GR01 | Patent grant |












































