CN1121274C - Metallocene catalyst and its preparing process, application and selective hydrogenation process - Google Patents
Metallocene catalyst and its preparing process, application and selective hydrogenation process Download PDFInfo
- Publication number
- CN1121274C CN1121274C CN 01104879 CN01104879A CN1121274C CN 1121274 C CN1121274 C CN 1121274C CN 01104879 CN01104879 CN 01104879 CN 01104879 A CN01104879 A CN 01104879A CN 1121274 C CN1121274 C CN 1121274C
- Authority
- CN
- China
- Prior art keywords
- hydrogenation
- cyclopentadienyl
- tolyl
- titanium
- catalyst
- Prior art date
- Legal status (The legal status is an assumption and is not a legal conclusion. Google has not performed a legal analysis and makes no representation as to the accuracy of the status listed.)
- Expired - Lifetime
Links
- 238000005984 hydrogenation reaction Methods 0.000 title claims abstract description 104
- 239000012968 metallocene catalyst Substances 0.000 title claims abstract description 25
- 238000000034 method Methods 0.000 title claims abstract description 22
- 230000008569 process Effects 0.000 title abstract description 3
- 239000003054 catalyst Substances 0.000 claims abstract description 67
- 150000001993 dienes Chemical class 0.000 claims abstract description 23
- 125000000217 alkyl group Chemical group 0.000 claims abstract description 18
- 125000004432 carbon atom Chemical group C* 0.000 claims abstract description 18
- 125000003118 aryl group Chemical group 0.000 claims abstract description 16
- 229910052719 titanium Inorganic materials 0.000 claims abstract description 16
- 125000003107 substituted aryl group Chemical group 0.000 claims abstract description 15
- 125000003545 alkoxy group Chemical group 0.000 claims abstract description 12
- 125000004104 aryloxy group Chemical group 0.000 claims abstract description 10
- 229910052723 transition metal Inorganic materials 0.000 claims abstract description 10
- 150000003624 transition metals Chemical group 0.000 claims abstract description 10
- 125000000753 cycloalkyl group Chemical group 0.000 claims abstract description 7
- 238000006317 isomerization reaction Methods 0.000 claims abstract description 5
- 238000006116 polymerization reaction Methods 0.000 claims abstract description 5
- 229910052735 hafnium Inorganic materials 0.000 claims abstract description 4
- 229910052726 zirconium Inorganic materials 0.000 claims abstract description 4
- 150000001336 alkenes Chemical class 0.000 claims abstract description 3
- JRZJOMJEPLMPRA-UHFFFAOYSA-N olefin Natural products CCCCCCCC=C JRZJOMJEPLMPRA-UHFFFAOYSA-N 0.000 claims abstract 2
- -1 (cyclohexyl-cyclopentadienyl) di-p-tolyl titanium Chemical compound 0.000 claims description 49
- 229910052739 hydrogen Inorganic materials 0.000 claims description 28
- 239000001257 hydrogen Substances 0.000 claims description 28
- 239000000126 substance Substances 0.000 claims description 28
- 239000010936 titanium Substances 0.000 claims description 26
- 238000006243 chemical reaction Methods 0.000 claims description 24
- 125000003944 tolyl group Chemical group 0.000 claims description 19
- ZSWFCLXCOIISFI-UHFFFAOYSA-N cyclopentadiene Chemical compound C1C=CC=C1 ZSWFCLXCOIISFI-UHFFFAOYSA-N 0.000 claims description 18
- 229910052799 carbon Inorganic materials 0.000 claims description 16
- MZRVEZGGRBJDDB-UHFFFAOYSA-N n-Butyllithium Substances [Li]CCCC MZRVEZGGRBJDDB-UHFFFAOYSA-N 0.000 claims description 16
- 238000002360 preparation method Methods 0.000 claims description 15
- 125000000058 cyclopentadienyl group Chemical group C1(=CC=CC1)* 0.000 claims description 13
- 230000000694 effects Effects 0.000 claims description 13
- 239000000203 mixture Substances 0.000 claims description 13
- 150000001875 compounds Chemical class 0.000 claims description 11
- 230000035484 reaction time Effects 0.000 claims description 10
- 239000013078 crystal Substances 0.000 claims description 8
- 229920000642 polymer Polymers 0.000 claims description 7
- 229910000103 lithium hydride Inorganic materials 0.000 claims description 6
- 229920013730 reactive polymer Polymers 0.000 claims description 6
- HBRYXNCUEJTVTG-UHFFFAOYSA-N [Ti].C1(C=CC=C1)C1=C(C=CC=C1)C1=CC=CC=C1 Chemical compound [Ti].C1(C=CC=C1)C1=C(C=CC=C1)C1=CC=CC=C1 HBRYXNCUEJTVTG-UHFFFAOYSA-N 0.000 claims description 5
- 229910000102 alkali metal hydride Inorganic materials 0.000 claims description 5
- 150000008046 alkali metal hydrides Chemical class 0.000 claims description 5
- 125000004435 hydrogen atom Chemical class [H]* 0.000 claims description 5
- SIAPCJWMELPYOE-UHFFFAOYSA-N lithium hydride Chemical compound [LiH] SIAPCJWMELPYOE-UHFFFAOYSA-N 0.000 claims description 5
- 150000004945 aromatic hydrocarbons Chemical class 0.000 claims description 4
- DLEDOFVPSDKWEF-UHFFFAOYSA-N lithium butane Chemical compound [Li+].CCC[CH2-] DLEDOFVPSDKWEF-UHFFFAOYSA-N 0.000 claims description 4
- 229920002554 vinyl polymer Polymers 0.000 claims description 4
- VEXZGXHMUGYJMC-UHFFFAOYSA-N Hydrochloric acid Chemical compound Cl VEXZGXHMUGYJMC-UHFFFAOYSA-N 0.000 claims description 3
- DBKDYYFPDRPMPE-UHFFFAOYSA-N lithium;cyclopenta-1,3-diene Chemical class [Li+].C=1C=C[CH-]C=1 DBKDYYFPDRPMPE-UHFFFAOYSA-N 0.000 claims description 3
- 125000000391 vinyl group Chemical group [H]C([*])=C([H])[H] 0.000 claims description 3
- 239000004215 Carbon black (E152) Substances 0.000 claims description 2
- 229930195733 hydrocarbon Natural products 0.000 claims description 2
- 150000002430 hydrocarbons Chemical class 0.000 claims description 2
- 125000001979 organolithium group Chemical group 0.000 claims description 2
- 239000012188 paraffin wax Substances 0.000 claims description 2
- 238000006467 substitution reaction Methods 0.000 claims description 2
- VSKJLJHPAFKHBX-UHFFFAOYSA-N 2-methylbuta-1,3-diene;styrene Chemical compound CC(=C)C=C.C=CC1=CC=CC=C1.C=CC1=CC=CC=C1 VSKJLJHPAFKHBX-UHFFFAOYSA-N 0.000 claims 1
- FACXGONDLDSNOE-UHFFFAOYSA-N buta-1,3-diene;styrene Chemical compound C=CC=C.C=CC1=CC=CC=C1.C=CC1=CC=CC=C1 FACXGONDLDSNOE-UHFFFAOYSA-N 0.000 claims 1
- 229920000468 styrene butadiene styrene block copolymer Polymers 0.000 claims 1
- 229920001577 copolymer Polymers 0.000 abstract description 9
- UFHFLCQGNIYNRP-UHFFFAOYSA-N Hydrogen Chemical compound [H][H] UFHFLCQGNIYNRP-UHFFFAOYSA-N 0.000 description 21
- YXFVVABEGXRONW-UHFFFAOYSA-N Toluene Chemical compound CC1=CC=CC=C1 YXFVVABEGXRONW-UHFFFAOYSA-N 0.000 description 15
- 125000001997 phenyl group Chemical group [H]C1=C([H])C([H])=C(*)C([H])=C1[H] 0.000 description 15
- KAKZBPTYRLMSJV-UHFFFAOYSA-N Butadiene Chemical compound C=CC=C KAKZBPTYRLMSJV-UHFFFAOYSA-N 0.000 description 14
- RTZKZFJDLAIYFH-UHFFFAOYSA-N Diethyl ether Chemical compound CCOCC RTZKZFJDLAIYFH-UHFFFAOYSA-N 0.000 description 13
- 230000005587 bubbling Effects 0.000 description 12
- 239000003292 glue Substances 0.000 description 12
- 238000003756 stirring Methods 0.000 description 12
- VLKZOEOYAKHREP-UHFFFAOYSA-N n-Hexane Chemical compound CCCCCC VLKZOEOYAKHREP-UHFFFAOYSA-N 0.000 description 9
- XKRFYHLGVUSROY-UHFFFAOYSA-N Argon Chemical compound [Ar] XKRFYHLGVUSROY-UHFFFAOYSA-N 0.000 description 8
- 239000007788 liquid Substances 0.000 description 8
- 238000010550 living polymerization reaction Methods 0.000 description 8
- 239000000047 product Substances 0.000 description 7
- PPBRXRYQALVLMV-UHFFFAOYSA-N Styrene Chemical compound C=CC1=CC=CC=C1 PPBRXRYQALVLMV-UHFFFAOYSA-N 0.000 description 6
- 229910052740 iodine Inorganic materials 0.000 description 6
- 239000011630 iodine Substances 0.000 description 6
- 239000002904 solvent Substances 0.000 description 6
- XLYOFNOQVPJJNP-UHFFFAOYSA-N water Substances O XLYOFNOQVPJJNP-UHFFFAOYSA-N 0.000 description 6
- PMJHHCWVYXUKFD-SNAWJCMRSA-N (E)-1,3-pentadiene Chemical compound C\C=C\C=C PMJHHCWVYXUKFD-SNAWJCMRSA-N 0.000 description 5
- ZCYVEMRRCGMTRW-UHFFFAOYSA-N 7553-56-2 Chemical compound [I] ZCYVEMRRCGMTRW-UHFFFAOYSA-N 0.000 description 5
- 238000004458 analytical method Methods 0.000 description 5
- ZUOUZKKEUPVFJK-UHFFFAOYSA-N diphenyl Chemical compound C1=CC=CC=C1C1=CC=CC=C1 ZUOUZKKEUPVFJK-UHFFFAOYSA-N 0.000 description 5
- 150000003609 titanium compounds Chemical class 0.000 description 5
- WHXSMMKQMYFTQS-UHFFFAOYSA-N Lithium Chemical compound [Li] WHXSMMKQMYFTQS-UHFFFAOYSA-N 0.000 description 4
- 229910052786 argon Inorganic materials 0.000 description 4
- 125000002619 bicyclic group Chemical group 0.000 description 4
- 239000005457 ice water Substances 0.000 description 4
- 150000002902 organometallic compounds Chemical class 0.000 description 4
- 238000005070 sampling Methods 0.000 description 4
- XDTMQSROBMDMFD-UHFFFAOYSA-N Cyclohexane Chemical compound C1CCCCC1 XDTMQSROBMDMFD-UHFFFAOYSA-N 0.000 description 3
- OKKJLVBELUTLKV-UHFFFAOYSA-N Methanol Chemical compound OC OKKJLVBELUTLKV-UHFFFAOYSA-N 0.000 description 3
- 235000010290 biphenyl Nutrition 0.000 description 3
- 229910052744 lithium Inorganic materials 0.000 description 3
- NLKNQRATVPKPDG-UHFFFAOYSA-M potassium iodide Chemical compound [K+].[I-] NLKNQRATVPKPDG-UHFFFAOYSA-M 0.000 description 3
- LFQSCWFLJHTTHZ-UHFFFAOYSA-N Ethanol Chemical compound CCO LFQSCWFLJHTTHZ-UHFFFAOYSA-N 0.000 description 2
- RRHGJUQNOFWUDK-UHFFFAOYSA-N Isoprene Chemical compound CC(=C)C=C RRHGJUQNOFWUDK-UHFFFAOYSA-N 0.000 description 2
- BAVYZALUXZFZLV-UHFFFAOYSA-N Methylamine Chemical compound NC BAVYZALUXZFZLV-UHFFFAOYSA-N 0.000 description 2
- 229910000831 Steel Inorganic materials 0.000 description 2
- RTAQQCXQSZGOHL-UHFFFAOYSA-N Titanium Chemical compound [Ti] RTAQQCXQSZGOHL-UHFFFAOYSA-N 0.000 description 2
- RDOXTESZEPMUJZ-UHFFFAOYSA-N anisole Chemical compound COC1=CC=CC=C1 RDOXTESZEPMUJZ-UHFFFAOYSA-N 0.000 description 2
- 230000015572 biosynthetic process Effects 0.000 description 2
- QARVLSVVCXYDNA-UHFFFAOYSA-N bromobenzene Chemical compound BrC1=CC=CC=C1 QARVLSVVCXYDNA-UHFFFAOYSA-N 0.000 description 2
- 238000004364 calculation method Methods 0.000 description 2
- 125000000113 cyclohexyl group Chemical group [H]C1([H])C([H])([H])C([H])([H])C([H])(*)C([H])([H])C1([H])[H] 0.000 description 2
- 238000004821 distillation Methods 0.000 description 2
- 229910052736 halogen Inorganic materials 0.000 description 2
- 150000002367 halogens Chemical class 0.000 description 2
- 238000010438 heat treatment Methods 0.000 description 2
- 150000002431 hydrogen Chemical class 0.000 description 2
- 230000008676 import Effects 0.000 description 2
- 239000003999 initiator Substances 0.000 description 2
- CBEQRNSPHCCXSH-UHFFFAOYSA-N iodine monobromide Chemical compound IBr CBEQRNSPHCCXSH-UHFFFAOYSA-N 0.000 description 2
- 238000004519 manufacturing process Methods 0.000 description 2
- 229910044991 metal oxide Inorganic materials 0.000 description 2
- HZVOZRGWRWCICA-UHFFFAOYSA-N methanediyl Chemical compound [CH2] HZVOZRGWRWCICA-UHFFFAOYSA-N 0.000 description 2
- 239000012074 organic phase Substances 0.000 description 2
- 125000002524 organometallic group Chemical group 0.000 description 2
- 238000002390 rotary evaporation Methods 0.000 description 2
- 239000004576 sand Substances 0.000 description 2
- 229920006395 saturated elastomer Polymers 0.000 description 2
- 238000010187 selection method Methods 0.000 description 2
- 239000010959 steel Substances 0.000 description 2
- 229920003048 styrene butadiene rubber Polymers 0.000 description 2
- 238000003786 synthesis reaction Methods 0.000 description 2
- 238000004448 titration Methods 0.000 description 2
- YBYIRNPNPLQARY-UHFFFAOYSA-N 1H-indene Natural products C1=CC=C2CC=CC2=C1 YBYIRNPNPLQARY-UHFFFAOYSA-N 0.000 description 1
- LVXTUWIJPCDYFE-UHFFFAOYSA-N C1(=CC=C(C=C1)C)[Ti]C1=CC=C(C=C1)C Chemical compound C1(=CC=C(C=C1)C)[Ti]C1=CC=C(C=C1)C LVXTUWIJPCDYFE-UHFFFAOYSA-N 0.000 description 1
- BMPOMBAGQPIOGK-UHFFFAOYSA-M CC1=CC=C(O[Ti])C=C1 Chemical compound CC1=CC=C(O[Ti])C=C1 BMPOMBAGQPIOGK-UHFFFAOYSA-M 0.000 description 1
- VEXZGXHMUGYJMC-UHFFFAOYSA-M Chloride anion Chemical compound [Cl-] VEXZGXHMUGYJMC-UHFFFAOYSA-M 0.000 description 1
- KKDBZWZRJNRBGA-UHFFFAOYSA-L Cl[Ti]Cl.[CH]1C=CC=C1 Chemical compound Cl[Ti]Cl.[CH]1C=CC=C1 KKDBZWZRJNRBGA-UHFFFAOYSA-L 0.000 description 1
- VGGSQFUCUMXWEO-UHFFFAOYSA-N Ethene Chemical compound C=C VGGSQFUCUMXWEO-UHFFFAOYSA-N 0.000 description 1
- 239000005977 Ethylene Substances 0.000 description 1
- 229910010082 LiAlH Inorganic materials 0.000 description 1
- HCHKCACWOHOZIP-UHFFFAOYSA-N Zinc Chemical compound [Zn] HCHKCACWOHOZIP-UHFFFAOYSA-N 0.000 description 1
- FYOQEFGAZKEPGG-UHFFFAOYSA-N [Li]C1=CC=C(C)C=C1 Chemical compound [Li]C1=CC=C(C)C=C1 FYOQEFGAZKEPGG-UHFFFAOYSA-N 0.000 description 1
- NWKXFMWHBUWPLO-UHFFFAOYSA-N [Ti].CC1(C=CC=C1)C1=C(C=CC=C1)C1=CC=CC=C1 Chemical compound [Ti].CC1(C=CC=C1)C1=C(C=CC=C1)C1=CC=CC=C1 NWKXFMWHBUWPLO-UHFFFAOYSA-N 0.000 description 1
- 230000009471 action Effects 0.000 description 1
- 150000001298 alcohols Chemical class 0.000 description 1
- 150000001299 aldehydes Chemical class 0.000 description 1
- 229910052783 alkali metal Inorganic materials 0.000 description 1
- 150000001339 alkali metal compounds Chemical class 0.000 description 1
- 150000001340 alkali metals Chemical class 0.000 description 1
- VQKFNUFAXTZWDK-UHFFFAOYSA-N alpha-methylfuran Natural products CC1=CC=CO1 VQKFNUFAXTZWDK-UHFFFAOYSA-N 0.000 description 1
- 229920005601 base polymer Polymers 0.000 description 1
- MTAZNLWOLGHBHU-UHFFFAOYSA-N butadiene-styrene rubber Chemical compound C=CC=C.C=CC1=CC=CC=C1 MTAZNLWOLGHBHU-UHFFFAOYSA-N 0.000 description 1
- 125000002915 carbonyl group Chemical group [*:2]C([*:1])=O 0.000 description 1
- 150000001732 carboxylic acid derivatives Chemical class 0.000 description 1
- 230000003197 catalytic effect Effects 0.000 description 1
- 230000008859 change Effects 0.000 description 1
- 239000003795 chemical substances by application Substances 0.000 description 1
- 239000002131 composite material Substances 0.000 description 1
- 239000012141 concentrate Substances 0.000 description 1
- 238000010924 continuous production Methods 0.000 description 1
- 238000007334 copolymerization reaction Methods 0.000 description 1
- 238000005260 corrosion Methods 0.000 description 1
- 230000007797 corrosion Effects 0.000 description 1
- 238000002425 crystallisation Methods 0.000 description 1
- JHIVVAPYMSGYDF-UHFFFAOYSA-N cyclohexanone Chemical compound O=C1CCCCC1 JHIVVAPYMSGYDF-UHFFFAOYSA-N 0.000 description 1
- 238000009826 distribution Methods 0.000 description 1
- 229920001971 elastomer Polymers 0.000 description 1
- 238000005516 engineering process Methods 0.000 description 1
- 125000004185 ester group Chemical group 0.000 description 1
- 150000002148 esters Chemical class 0.000 description 1
- 239000000706 filtrate Substances 0.000 description 1
- 239000012467 final product Substances 0.000 description 1
- 230000008014 freezing Effects 0.000 description 1
- 238000007710 freezing Methods 0.000 description 1
- 239000007789 gas Substances 0.000 description 1
- 230000007062 hydrolysis Effects 0.000 description 1
- 238000006460 hydrolysis reaction Methods 0.000 description 1
- 125000004356 hydroxy functional group Chemical group O* 0.000 description 1
- 125000003454 indenyl group Chemical group C1(C=CC2=CC=CC=C12)* 0.000 description 1
- 229910052749 magnesium Inorganic materials 0.000 description 1
- 239000011777 magnesium Substances 0.000 description 1
- 239000000463 material Substances 0.000 description 1
- UZKWTJUDCOPSNM-UHFFFAOYSA-N methoxybenzene Substances CCCCOC=C UZKWTJUDCOPSNM-UHFFFAOYSA-N 0.000 description 1
- 239000000178 monomer Substances 0.000 description 1
- 125000000951 phenoxy group Chemical group [H]C1=C([H])C([H])=C(O*)C([H])=C1[H] 0.000 description 1
- 239000002798 polar solvent Substances 0.000 description 1
- 229960004839 potassium iodide Drugs 0.000 description 1
- 235000007715 potassium iodide Nutrition 0.000 description 1
- 230000000750 progressive effect Effects 0.000 description 1
- 238000001953 recrystallisation Methods 0.000 description 1
- 230000009467 reduction Effects 0.000 description 1
- 230000002829 reductive effect Effects 0.000 description 1
- 239000005060 rubber Substances 0.000 description 1
- PODWXQQNRWNDGD-UHFFFAOYSA-L sodium thiosulfate pentahydrate Chemical compound O.O.O.O.O.[Na+].[Na+].[O-]S([S-])(=O)=O PODWXQQNRWNDGD-UHFFFAOYSA-L 0.000 description 1
- 239000012265 solid product Substances 0.000 description 1
- 230000000087 stabilizing effect Effects 0.000 description 1
- 238000003860 storage Methods 0.000 description 1
- 229920006132 styrene block copolymer Polymers 0.000 description 1
- 208000011117 substance-related disease Diseases 0.000 description 1
- 125000001424 substituent group Chemical group 0.000 description 1
- 230000002194 synthesizing effect Effects 0.000 description 1
- 238000010189 synthetic method Methods 0.000 description 1
- 229910052725 zinc Inorganic materials 0.000 description 1
- 239000011701 zinc Substances 0.000 description 1
Landscapes
- Addition Polymer Or Copolymer, Post-Treatments, Or Chemical Modifications (AREA)
Abstract
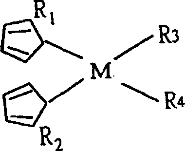
The present invention relates to a novel metallocene catalyst and a selective hydrogenation process using the catalyst. The catalyst has the structure of the formula disclosed in the specification, wherein R1 and R2 can be identical or different straight-chain alkyls, cycloalkyls, aryls and substituted aryls containing 1 to 8 carbon atoms; R3 and R4 are identical or different alkyl, alkoxys, aryls, substituted aryls and aryloxys containing 6 to 12 carbon atoms; M is transition metal (such as Ti, Zr, Hf, etc.) from bivalent to tetravalent. The present invention also relates to a preparing process of the catalyst. The synthesized catalyst can be used for the polymerization and the isomerization of olefin and the hydrogenation of conjugated diene and a copolymer thereof, and especially used as a high efficiency hydrogenation catalyst for the conjugated diene and the copolymer thereof.
Description
The present invention relates to a kind of metallocene catalyst and preparation method thereof, and relate to the selection method for hydrogenation of the polymkeric substance that contains conjugated diene that uses this catalyzer.
The kind of metallocene catalyst such as metallocene-titanium catalyst is a lot, can be used for the hydrogenation of olefinic polymerization, isomerization, conjugated diene and multipolymer thereof.Relating to the document that the prior art of metallocene catalysts can mention herein has EP0, and 601,953A1; GB2,159,819A; CN1,163,275A; USP4,501,857 etc.EP0,601, it is Cp that 953A1 has synthesized structure
2Ti (PhOR)
2And Cp
2TiR '
2Catalyzer, Cp is a cyclopentadienyl, Ph is a phenyl, OR
1Be C
1-C
4The alkyl oxide group, R ' is phenylbenzene methylene radical phosphino-(CH
2PPh
2), for example the preparation of catalyzer bicyclic pentadiene two (4-methylphenoxy) titanium is under argon shield, adds Cp with 4-iodine anisole at-78 ℃
2TiCl
2And make, the preparation of bicyclic pentadiene two (phenylbenzene methylene radical phosphino-) titanium is under argon gas atmosphere, uses LiCH at-78 ℃
2PPh
2XTMEDA and CpTiCl
2The reaction and make.Though this catalyzer can be to conjugated diene and the effective hydrogenation of multipolymer thereof, preparation is complicated, especially prepares under-78 ℃ of temperature, is subjected to certain limitation in the practicality.GB2,159,819A has prepared the following catalyzer of structural formula, and the bromobenzene that this catalyzer replaces with alkyl reacts and makes:
CN1,163,275A has synthesized structural formula and has been
Catalyzer and be used for conjugated diene and the hydrogenation of multipolymer, A
1, A
2Be the indenyl of identical or different any replacement, L
1, L
2Be identical or different hydrogen, halogen, alkyl, aryl substituted aryl, alkoxyl group, aryloxy.USP4,501,857 have prepared the following catalyzer of structural formula:
R wherein
1, R
2Be identical or different C
1-C
2Alkyl or alkoxyl group, C
6-C
8Aryl, aryloxy, cycloalkyl, halogen and carbonyl etc.
Metallocene catalyst since coming out, olefinic polymerization, isomerization reaction, and unsaturated polymer select industrial circle such as hydrogenation to be used widely.For example, it is known in the art selecting for use metallocene catalyst such as metallocene-titanium catalyst to be used to carry out selective hydrogenation of conjugated diene polymers.As seen in USP4,980,421; USP4,501,857; CN1,067,898A; US5,132,372; EP0,601,953A1; USP4,673,714 etc.Though above-mentioned patent respectively has characteristics, weak point is also arranged.As USP4,980,421 when being used for the butadiene-styrene block copolymer hydrogenation, make Primary Catalysts with two luxuriant titanium compounds, add at least a alkoxy lithium compound RO-Li (as alkoxyl group lithium or phenoxy group lithium) and at least a organometallic compound (as organoaluminum, organic-magnesium, organic zinc etc.) simultaneously, Li/Ti=0.5-20: 1, the mol ratio of Ti and organometallic compound is 1: 0.5-20.EP0601953A1 Cp
2Ti (PhOR1)
2Or Cp
2TiR '
2As the hydrogenation Primary Catalysts, Cp is a cyclopentadienyl, and Ph is a phenyl, OR
1Be C
1-C
4The alkyl oxide group, R ' is phenylbenzene methylene radical phosphino-(CH
2PPh
2), though this patent catalyst consumption amount less (<0.2mmol/100g polymkeric substance), temperature of reaction higher (90 ℃), need add 2, the 6-2 tertiary butyl-4 sylvan deactivates in reactive polymer, and catalyst preparation process complexity (preparation temperature-78 ℃), so certain limitation is arranged in the practicality.USP4,673,714 hydrogenation catalyst used thereins are (C
5H
5)
2Ti (R
1R
2R
3-Ph) (R
4R
5R
6-Ph), though the Preparation of Catalyst of this patent is not very complicated, and do not need additionally to add organic alkali metal or organo-metallic oxide compound, certain technical progress is arranged, but hydrogenation reaction temperature higher (100 ℃) when low catalyst consumption (0.1mmol/100g polymkeric substance), it is crosslinked that polymkeric substance is produced, and it is higher to consume energy.USP4,501,875 emphasize that with two luxuriant titanium compounds be Primary Catalysts, and need add the alkoxyl group lithium simultaneously is promotor, and the Li/Ti ratio was at least 1: 1, but catalyst levels big (>0.2mmol/100g polymkeric substance) need reach high degree of hydrogenation (>98%) time.CN1,067,898A and CN1,166,498A does not need to add reductive agent in the polymkeric substance glue, directly utilize the active Li that is not terminated as yet in the polymerization of conjugated dienes process to reduce two metallocene-titanium catalysts, introduce then polarity or band polar group material such as alcohols, ester class, carboxylic-acid, aldehydes, make promotor with the aromatics of two or more ester groups or hydroxy functional group.This technology is obviously comparatively complicated and be unfavorable for suitability for industrialized production
Therefore, the object of the present invention is to provide a kind of new metallocene-titanium catalyst and synthetic method thereof, the structural formula of catalyzer of the present invention is as follows:
R wherein
1, R
2Be the identical or different straight chained alkyl that contains 1-8 carbon atom, cycloalkyl, aryl, substituted aryl, R
3, R
4Be the identical or different aryl that contains 6-12 carbon atom, substituted aryl, alkyl, alkoxyl group, aryloxy, M is the transition metal (as Ti, Zr, Hf etc.) of 2-4 valency.
Catalyzer of the present invention can be used for the catalyzer that copolymerization, isomerization, conjugated diene and the copolymer hydrogenating thereof of alkene are used, and is particularly useful for the hydrogenation of styrene-conjugated diene multipolymer (as SBS, SIS etc.).
Catalyzer of the present invention is novel metallocene catalyst, it also is purpose of the present invention that a kind of method for preparing this metallocene catalyst is provided, this preparation method generally comprises cyclopentadiene and is selected from that any carries out substitution reaction in straight-chain paraffin, naphthenic hydrocarbon, aromatic hydrocarbons and the substituted arene that contains 1-8 carbon atom, obtain substituted-cyclopentadienyl, and further generate the substituted cyclopentadienyl lithium with n-BuLi reaction, obtain the complex crystal that it contains two (substituted cyclopentadienyl) with the hydrochloride reaction of transition metal and after separating then; This crystal is selected from the metallocene catalyst that the organolithium reaction of the alkyl that contains 1-12 carbon atom, alkoxyl group, aryl, substituted aryl, aryloxy obtains having the following formula structure with its organic moiety again,
In one embodiment, its synthetic route is as follows:
Cyclopentadiene at first generates (replacement) cyclopentadiene with containing certain substituent ketone compounds reaction, and (replacement) cyclopentadiene and n-BuLi effect generate (replacement) cyclopentadienyl lithium, again with TiCl
4Two (cyclopentadienyl) titanium dichloride of 2THF reacting generating compound separate the crystal that obtains them;
Crystal and two normal ArLi reactions with obtaining obtain hydrogenation catalyst required for the present invention, and wherein Ar represents aryl or substituted aryl,
Another object of the present invention is to provide a kind of new hydrogenation catalyst and select method of hydrotreating.This method is a kind of method for hydrogenation of the conjugated diene polymer of being made up of aromatic hydroxy compound that contains vinyl and the conjugated diene that contains 4-6 carbon atom, be included in solution system, as with hexanaphthene, hexane, toluene etc. a kind of or in them two or more mixture be after reactive polymer newly-generated in the solution system of solvent stops with hydrogen, at metallocene catalyst, as carrying out hydrogenation under the titanium catalyst effect, it is characterized in that: this selection hydrogenation is to carry out having in the presence of the metallocene catalyst of following structure under other adds or do not add in addition the condition of alkalimetal hydride:
This metallocene Primary Catalysts is one or more the mixture in the above structural compounds, wherein R
1, R
2Be identical or different straight chained alkyl, cycloalkyl, aryl or the substituted aryl that contains 1-8 carbon atom, R
3, R
4Be identical or different aryl, substituted aryl, alkyl, alkoxyl group, the aryloxy that contains the 6-12 carbon atom, 20-80 ℃ of hydrogenation reaction temperature, pressure 0.2-3.0MPa, reaction times 1.0-2.0 hour, described metallocene Primary Catalysts consumption is the 0.05-0.6mmol/100g polymkeric substance, preferred 0.1-0.4mmol/100g polymkeric substance; The mol ratio of LiH and Primary Catalysts is generally 2-60, preferred 4-20.The present invention generates lithium hydride as promotor by feed hydrogen in the living polymerization composition glue liquid, need not add organometallic compound and organo-metallic oxide compound in addition, promotor is formed the hydrogenation catalyst of conjugated diene base polymer efficiently with titanium compound, thereby make the two keys quilts in the alkadiene polymkeric substance fully saturated, and can make the hydrogenation reaction time less than 2 hours.The polymkeric substance that obtains obtains the white solid product after with polar solvent (as methyl alcohol, ethanol etc.) cohesion or water devaporation, can save and take off the hydrogenation catalyst operation or can remove hydrogenation catalyst with known method.Hydrogenation can be used continuous processing, interrupter method and semi-continuous process.
The condition of selecting when generally being used for the conjugated diene copolymer hydrogenation is, after at first will stopping generating LiH with hydrogen at a certain temperature with the reactive polymer that alkali metal compound causes, add catalyzer of the present invention then under certain pressure, the hydrogenation reaction temperature is 20-80 ℃, preferred 50-80 ℃, pressure is 0.2-3.0MPa, preferred 1.0-2.5MPa, reaction times 0.5-4.0 hour, preferred 1.0-2.0 hour, the degree of hydrogenation of conjugated diene section can reach 98%, and the degree of hydrogenation of phenyl ring is less than 2%.
The conjugated diene copolymer that is used for hydrogenation is for having the aromatic series of vinyl substituted and the multipolymer of conjugated diene simultaneously, provide the object lesson of industrial valuable hydrogenated copolymer that butadiene/styrene copolymers is arranged, isoprene/styrol copolymer and divinyl/α-Jia Jibenyixigongjuwu, monomer distribution can be random, progressive shape, block in these multipolymers.Preferably between 15-45%, polymer concentration is 8-20% to the amount of vinyl aromatic, and molecular weight is 5, and 000-500 is in 000 scope.
Hydrogenation Primary Catalysts of the present invention is one or more the mixture that has in the following structural compounds:
R wherein
1, R
2Be the identical or different straight chained alkyl that contains 1-8 carbon atom, cycloalkyl, aryl, substituted aryl, R
3, R
4Be identical or different aryl, substituted aryl, alkyl, alkoxyl group, the aryloxy that contains 1-12 carbon atom.This type of exemplary compounds has: two (cyclohexyl-cyclopentadienyl) di-p-tolyl titanium, two (cyclohexyl-cyclopentadienyls) two tolyl titaniums, two (methyl-cyclopentadienyl) di-p-tolyl titanium, two (methyl-cyclopentadienyls) two tolyl titaniums, two (cyclohexyl-cyclopentadienyl) phenylbenzene titanium, two (cyclopentadienyl) di-p-tolyl titanium, two (cyclopentadienyls) two tolyl titaniums, two (phenyl-cyclopentadienyl) di-p-tolyl titanium, two (phenyl-cyclopentadienyls) two tolyl titaniums, two (cyclopentadienyl) phenylbenzene titanium, two (methyl-cyclopentadienyls) two pairs of phenyl titaniums.
The present invention's technical scheme preferably is in selecting hydrogenation process, and per 100 gram polymkeric substance use Primary Catalysts to be 0.05-0.6mmol.The mol ratio of LiH and Primary Catalysts is 2.0-60, preferred 4-20.The hydrogenation reaction temperature is 50-80 ℃.Reaction pressure is 1.0-2.5MPa.Hydrogenation time is 1.0-2.0 hour.
Compared with prior art, the present invention has selected a kind of novel hydrogenation catalyzer.The good stability of this catalyzer is of value to transportation and storage; Hydrogenation selectivity is good, and active high, hydrogenation time is short, stops reactive polymer with hydrogen and can generate the hydrogenation promotor.And do not need additionally to add organometallic compound and alkoxide compound.Hydrogenated products need not remove or can remove hydrogenation catalyst with very simple method.Prevent that chloride hydrogenation catalyst is to the corrosion of equipment and the ill effect that product is produced.Reduce production cost of products, effectively improved the throughput of device.
Below, the present invention is carried out more detailed narration by specific embodiment.But these embodiment must not think limitation of the scope of the invention.The preparation of 1. pairs-(cyclohexyl ring pentadienyl) di-p-tolyl titanium of embodiment, 1. part cyclohexyl ring pentadienes
Add new cyclopentadiene 56ml (0.68mol) and the pimelinketone 70ml (0.68mol) that steams in the 250ml three-necked bottle, under the room temperature, drip 25ml (0.2mol) aqueous methylamine solution, stirred 5-12 hour, get orange-yellow solution by constant pressure funnel.With the saturated NH of 100ml
4Cl aqueous hydrolysis, water 50ml extracted with diethyl ether merges organic phase, is washed to neutrality, anhydrous Na
2SO
4Dry 12 hours.Rotary evaporation is removed solvent, and cut 77.5 grams of 60-64 ℃/0.4mmHg are collected in underpressure distillation.Yellow oil, productive rate 78.1%.
The three-necked bottle of 1000ml adds electronic stirring, spherical condensating tube, constant pressure funnel, and argon shield adds 10.8g (0.29mol) LiAlH down
4, the 750ml ether.0 ℃ of 50ml diethyl ether solution that drips the above-mentioned product of 40g (0.27mol) down.0.5 hour dropwise, stirred 1-5 hour under the room temperature.Under the ice-water bath, drip 70ml water, then the dilute hydrochloric acid of Dropwise 5 0ml 10%.Separatory, the water extracted with diethyl ether merges organic phase, is washed to neutrality, anhydrous MgSO
4Dry 12 hours.Rotary evaporation is removed solvent, and the cut 33g of 60-62 ℃/12mmHg is collected in underpressure distillation.Light yellow oil, productive rate 82.5%.2. the preparation of two (cyclohexyl-cyclopentadienyl) titanium dichloride
The three-necked bottle of 250ml adds spherical condensating tube, constant pressure funnel; hydrogen shield adds 3.32g (22.4mmol) cyclohexyl ring pentadiene down, and 70mlTHF is under the ice-water bath; drip 10.8ml (22.4mmol) n-BuLi/ hexane solution, reaction solution by pale yellow become brown.Stirred 4 hours under the room temperature.With 3.74g (11.2mmol) TiCl
42THF is dissolved among the 20ml THF, under the ice-water bath, imports reaction system by steel pipe, and reaction solution becomes reddish-brown.Stirred 12 hours under the room temperature.Backflow 2-6 hour, vacuum was drained solvent, CH
2Cl
2Extract, the sand plate filters, and concentrates, and adds an amount of hexane, and it is freezing to put into refrigerator, obtains two (cyclohexyl-cyclopentadienyl) titanium dichloride of compound, is red crystals 1.29g, productive rate 27.9%.3. the preparation of two (cyclohexyl-cyclopentadienyl) di-p-tolyl titanium
50ml Schlenk bottle, argon shield add two (cyclohexyl-cyclopentadienyl) titanium dichloride of 0.62g (1.5mmol) compound down, and the 10ml ether under the ice-water bath, imports reaction system by steel pipe with the p-methylphenyl lithium that makes, and stirs 12 hours under the room temperature.The sand plate filters, and filtrate concentrating promptly obtains orange-yellow crystal, and recrystallization obtains two (cyclohexyl-cyclopentadienyl) di-p-tolyl titaniums of 0.242g compound, productive rate 30.8%.Synthesizing of embodiment 2. other several hydrogenation catalysts
Two (cyclohexyl-cyclopentadienyls) two tolyl titaniums, two (methyl-cyclopentadienyl) di-p-tolyl titanium, two (methyl-cyclopentadienyls) two tolyl titaniums, two (cyclohexyl-cyclopentadienyl) phenylbenzene titanium, two (cyclopentadienyl) di-p-tolyl titanium, two (cyclopentadienyls) two tolyl titaniums, two (phenyl-cyclopentadienyl) di-p-tolyl titanium, two (phenyl-cyclopentadienyls) two tolyl titaniums, Preparation of catalysts methods such as two (cyclopentadienyl) phenylbenzene titanium just get final product corresponding substituting group change with example 1.The preparation of the application 1. living polymerization composition glue liquids of embodiment 3. metallocene catalysts on the styrene-butadiene copolymer hydrogenation
In 10 liters of polymeric kettles, be initiator with the n-Butyl Lithium, hexanaphthene is a solvent composite reactive polymkeric substance.The temperature of reaction of polymkeric substance is 50 ℃, and SBS concentration is 10% in the glue.Molecular weight is 60000, S/B=3/7.Contents of ethylene is 40% in the divinyl.(S-vinylbenzene, B-divinyl).2. the hydrogenation of styrene-butadiene copolymer
Get above-mentioned living polymerization composition glue liquid 200g and be added in the hydrogenation reaction kettle that 0.5 liter of band stirs, use hydrogen exchange in the still in advance, the water bath with thermostatic control heating, heat while stirring then, and the hydrogen bubbling of not stopping using, the still internal pressure is 1.5MPa, hydrogen flowing quantity is 0.8l/min, hydrogen bubbling 1 hour.Add the 0.04mmol metallocene-titanium catalyst solution of preparing with dry toluene in advance down for 70 ℃ in the still temperature, use the hydrogen bubbling while stirring, still is pressed and is maintained 1.5MPa, 2.0 hours reaction times, the degree of hydrogenation of divinyl and phenyl ring in the sampling analysis polymkeric substance at regular intervals in the reaction process.The hydrogenation of various different catalysts kinds the results are shown in Table 1.
The hydrogenation effect of table 1. all kinds metallocene-titanium catalyst
| Sequence number | Catalyst type | Conjugated diolefine section degree of hydrogenation (%) | Benzene ring hydrogenation degree (%) |
| 1 (contrast) | Two (cyclopentadienyl) di-p-tolyl titanium | 98.1 | <2 |
| 2 (contrasts) | Two (cyclopentadienyls) two tolyl titaniums | 97.3 | <2 |
| 3 | Two (methyl-cyclopentadienyl) di-p-tolyl titanium | 98.9 | <2 |
| 4 | Two (cyclohexyl-cyclopentadienyl) di-p-tolyl titanium | 99.5 | <2 |
| 5 | Two (methyl-cyclopentadienyl) phenylbenzene titanium | 96.4 | <2 |
| 6 | Two (cyclohexyl-cyclopentadienyl) phenylbenzene titanium | 94.5 | <2 |
| 7 | Two (phenyl-cyclopentadienyl) di-p-tolyl titanium | 98.5 | <2 |
| 8 | Two (phenyl-cyclopentadienyls) two tolyl titaniums | 99.1 | <2 |
| 9 | Two (phenyl-cyclopentadienyl) phenylbenzene titanium | 93.1 | <2 |
| 10 (contrasts) | Two (cyclopentadienyl) phenylbenzene titanium | 93.3 | <2 |
Annotate: the hydrogenation catalyst consumption is the 0.2mmol/100g polymkeric substance, active Li/Ti=8.2, and the degree of unsaturation that the degree of hydrogenation of conjugated diolefine is surveyed hydrogenation front and back in the polymkeric substance by iodimetry,iodometry is determined, and is as follows.
The iodine number method (iodimetry,iodometry) that relevant hydrogenation of polymer degree analysis is used is to utilize the addition of iodine bromide IBr to two keys, and excessive iodine bromide IBr is separated out iodine with the potassiumiodide reduction, uses the Sulfothiorine back titration.The mole number of the iodine of 1kg polymkeric substance institute addition claims iodine number, i.e. degree of unsaturation in the rubber.Reaction formula:
V
oDuring-blank titration, the consumption of hypo solution (ml)
The timing of V-sample drop, the consumption of hypo solution (ml)
The equivalent concentration of N-hypo solution.
W-example weight (g)
The calculation formula of sample degree of hydrogenation:
As shown in Table 1: hydrogenation catalyst of the present invention can be to the effective hydrogenation of styrene-conjugated diene multipolymer.Simultaneously as seen from Table 1: 1. be with the activity of substituting group metallocene-titanium catalyst on the phenyl ring apparently higher than not being with substituent activity; 2. when substituting group was identical on the phenyl ring, substituting group was big more on the cyclopentadienyl, and is sterically hindered big more.In theory, catalyzer and relative minimizing of chance that hydrogen contacts, the speed that forms catalytic active center TiH compound should be lower.But in fact activity of such catalysts does not only reduce, and also improve to some extent, and the degree of hydrogenation of product also increases, and can think that therefore the substituting group on the cyclopentadienyl stablized catalyst active center, thereby improve the degree of hydrogenation of product.Embodiment 4-17
Living polymerization composition glue liquid synthesis condition is with embodiment 3.
Gained living polymerization composition glue liquid 200g is changed under the secluding air condition in 0.5 liter of hydrogenation reaction kettle, use hydrogen exchange in the still in advance, stir on intensification limit, limit, and the hydrogen bubbling of not stopping using, hydrogen flowing quantity is 0.8l/min, and the still internal pressure is 1.5MPa, 60 ℃ of hydrogen bubblings 1 hour.Heat up 70 ℃ and add the metallocene-titanium catalyst solution that calculated amount is prepared with dry toluene in advance down, use the hydrogen bubbling while stirring, still is pressed and is maintained 1.5MPa, 2.0 hours reaction times, the degree of hydrogenation of divinyl and phenyl ring in the sampling analysis polymkeric substance at regular intervals in the reaction process.Table 2 has been listed the influence of different catalysts kind, consumption and Different L i/Ti comparison degree of hydrogenation.
The hydrogenation effect of various catalyzer under table 2. different condition
*Add n-Butyl Lithium in addition in glue, all the other all additionally do not add n-Butyl Lithium.
| Embodiment | Catalyst type | Catalyst levels (mmolTi/100g polymkeric substance) | Li/Ti | Conjugated diene section degree of hydrogenation (%) | Benzene ring hydrogenation degree (%) |
| 4 (contrasts) | Two (cyclopentadienyl) di-p-tolyl titanium | 0.1 | 16.4 | 96.1 | <2 |
| 5 (contrasts) | 0.2 | 8.2 | 98.1 | <2 | |
| 6 (contrasts) | 0.3 | 5.5 | 98.5 | <2 | |
| 7 (contrasts) | 0.48 | 3.4 | 99.6 | <2 | |
| 8 (contrasts) | Two (cyclopentadienyls) two tolyl titaniums | 0.2 | 8.2 | 97.3 | <2 |
| 9 (contrasts) | 0.4 | 4.1 | 98.0 | <2 | |
| 10 | Two (cyclohexyl-cyclopentadienyl) di-p-tolyl titanium | 0.1 | 16.4 | 96.5 | <2 |
| 11 | 0.2 | 8.2 | 99.5 | <2 | |
| 12 | 0.2 | 30 * | 95.7 | <2 | |
| 13 | Two (methyl-cyclopentadienyl) di-p-tolyl titanium | 0.1 | 40 * | 82.1 | <2 |
| 14 | 0.2 | 8.8 | 98.9 | <2 | |
| 15 | 0.3 | 5.5 | 99.8 | <2 | |
| 16 | Two (phenyl-cyclopentadienyl) di-p-tolyl titanium | 0.1 | 16.4 | 85.6 | <2 |
| 17 | 0.2 | 8.2 | 98.5 | <2 |
As can be seen from Table 2: select the appropriate catalyst consumption, can be to the effective hydrogenation of vinylbenzene conjugated diene copolymer.Can find out simultaneously that extra adding butyllithium does not play promoter action to the hydrogenation of polymkeric substance in the activity gel, even plays side effect.Therefore can additionally add butyllithium before the hydrogenation reaction.
Embodiment 18-26
Living polymerization composition glue liquid synthesis condition is with embodiment 3.Gained living polymerization composition glue liquid 200g is changed under the secluding air condition in 0.5 liter of hydrogenation reaction kettle, use hydrogen exchange in the still in advance, stir on intensification limit, limit, and the hydrogen bubbling of not stopping using, hydrogen flowing quantity is 0.8l/min, and the still internal pressure is 1.5MPa, 60 ℃ of hydrogen bubblings 1 hour.Add the metallocene-titanium catalyst solution that calculated amount is prepared with dry toluene in advance at a certain temperature, use the hydrogen bubbling while stirring, still is pressed and is maintained under the certain pressure 2.0 hours reaction times, the degree of hydrogenation of divinyl and phenyl ring in the sampling analysis polymkeric substance at regular intervals in the reaction process.Table 3 has been listed the influence to degree of hydrogenation of various catalyzer differential responses temperature, pressure.
Table 3. differential responses temperature, pressure are to the influence of hydrogenation reaction
| Embodiment | Catalyst type | Temperature of reaction | Reaction pressure (MPa) | Conjugated diolefine section degree of hydrogenation (%) | Benzene ring hydrogenation degree (%) | ||
| 1.0hr | 1.5hr | 2.0hr | |||||
| 18 (contrasts) | Two (cyclopentadienyl) di-p-tolyl titanium * | 67 | 1.5 | 96.0 | 98.6 | 99.2 | <2 |
| 19 (contrasts) | 67 | 2.0 | 99.0 | 99.4 | 99.6 | <2 | |
| 20 (contrasts) | 67 | 3.0 | 99.1 | 99.5 | 99.8 | <2 | |
| 21 (contrasts) | 75 | 1.5 | 98.2 | 99.6 | 99.8 | <2 | |
| 22 (contrasts) | Two (cyclopentadienyls) two pairs of methyltitaniums ** | 67 | 1.5 | 92.5 | 96.2 | 98.1 | <2 |
| 23 | Two (cyclohexyl-cyclopentadienyl) di-p-tolyl titanium ** | 67 | 1.5 | 92.2 | 97.5 | 99.5 | <2 |
| 24 | 67 | 3.0 | 94.5 | 98.2 | 99.6 | <2 | |
| 25 | Two (phenyl-cyclopentadienyl) di-p-tolyl titanium ** | 67 | 1.5 | 90.1 | 96.5 | 99.1 | <2 |
| 26 | 67 | 3.0 | 90.4 | 96.8 | 99.4 | <2 | |
Annotate:
*Catalyst levels is the 0.4mmol/100g polymkeric substance,
*Catalyst levels is the 0.2mmol/100g polymkeric substance
As seen from Table 3, suitably improve hydrogenation reaction temperature, pressure, help the carrying out of hydrogenation reaction.Simultaneously as seen from Table 3, when the titanium compound that replaces with bicyclic pentadiene is made hydrogenation catalyst, under same catalyst levels, in 1.0 hours, the degree of hydrogenation of the degree of hydrogenation of conjugated diene section less than the time in the polymkeric substance not with substituting group.But after the reaction times surpassed 1.0 hours, the titanium compound that bicyclic pentadiene replaces was made the hydrogenation of net product Du Genggao of catalyzer.Illustrate that cyclohexyl and phenyl can stabilizing catalyst activities.
Embodiment 27-29, the SIS hydrogenation
In 10 liters of polymeric kettles, be initiator with the n-Butyl Lithium, hexanaphthene is the synthetic SIS reactive polymer of solvent.The temperature of reaction of polymkeric substance is 50 ℃, and SIS concentration is 10% in the glue, S/I=3/7.(S-vinylbenzene, I-isoprene).
Get above-mentioned living polymerization composition glue liquid 200g and be added in the hydrogenation reaction kettle that 0.5 liter of band stirs, use hydrogen exchange in the still in advance, the water bath with thermostatic control heating, heat while stirring then, and the hydrogen bubbling of not stopping using, the still internal pressure is 1.5MPa, hydrogen flowing quantity is 0.8l/min, hydrogen bubbling 1 hour.Add the 0.04mmol metallocene-titanium catalyst solution of preparing with dry toluene in advance down for 70 ℃ in the still temperature, use the hydrogen bubbling while stirring, still is pressed and is maintained 1.5MPa, 2.0 hours reaction times, the degree of hydrogenation of divinyl and phenyl ring in the sampling analysis polymkeric substance at regular intervals in the reaction process.Various catalyst hydrogenations the results are shown in Table 4.
The various catalyzer of table 4. are to the hydrogenation effect of SIS
| Embodiment | Catalyst type | Li/Ti | Diene hydrogenation degree (%) | Benzene ring hydrogenation degree (%) |
| 27 (contrasts) | Two (cyclopentadienyl) di-p-tolyl titanium | 8.2 | 90.3 | <2 |
| 28 | Two (cyclohexyl-cyclopentadienyl) di-p-tolyl titanium | 8.2 | 91.7 | <2 |
| 29 | Two (phenyl-cyclopentadienyl) di-p-tolyl titanium | 8.2 | 90.2 | <2 |
Annotate: catalyst levels is: the 0.2mmol/100g polymkeric substance
As can be seen from Table 4: catalyzer of the present invention can carry out effective hydrogenation to SIS.
Claims (18)
R wherein
1, R
2Be identical or different straight chained alkyl, cycloalkyl, aryl, the substituted aryl that contains 1-8 carbon atom, R
3, R
4Be identical or different alkyl, alkoxyl group, aryl, substituted aryl, the aryloxy that contains 6-12 carbon atom, M is a 2-4 valency transition metal.
2. the metallocene catalyst of claim 1 is characterized in that described transition metal is Ti, Zr or Hf.
3. the metallocene catalyst of claim 1 is characterized in that transition metal is Ti (IV).
4. the metallocene catalyst of claim 1, be selected from one of following or its mixture: two (cyclohexyl-cyclopentadienyl) di-p-tolyl titanium, two (cyclohexyl-cyclopentadienyls) two tolyl titaniums, two (methyl-cyclopentadienyl) di-p-tolyl titanium, two (methyl-cyclopentadienyls) two tolyl titaniums, two (cyclohexyl-cyclopentadienyl) phenylbenzene titanium, two (cyclopentadienyl) di-p-tolyl titanium, two (cyclopentadienyls) two tolyl titaniums, two (phenyl-cyclopentadienyl) di-p-tolyl titanium, two (phenyl-cyclopentadienyls) two tolyl titaniums, two (cyclopentadienyl) phenylbenzene titanium.
5. the preparation method of each described metallocene catalyst of claim 1-4, it is characterized in that cyclopentadiene and be selected from that any carries out substitution reaction in straight-chain paraffin, naphthenic hydrocarbon, aromatic hydrocarbons and the substituted arene that contains 1-8 carbon atom, obtain substituted-cyclopentadienyl, and further generate the substituted cyclopentadienyl lithium with n-BuLi reaction, obtain the complex crystal that it contains two (substituted cyclopentadienyl) with the hydrochloride reaction of transition metal and after separating then; This crystal is selected from the metallocene catalyst that the organolithium reaction of the alkyl that contains 6-12 carbon atom, alkoxyl group, aryl, substituted aryl, aryloxy obtains having the following formula structure with its organic moiety again,
Each described metallocene catalyst of claim 1-5 in olefinic polymerization as Application of Catalyst.
Each described metallocene catalyst of claim 1-5 in isomerisation of olefin as Application of Catalyst.
Each described metallocene catalyst of claim 1-5 in the hydrogenation of conjugated diene or its multipolymer as Application of Catalyst.
9. the method for hydrogenation of a conjugated diene polymer of forming by aromatic hydroxy compound that contains vinyl and the conjugated diene that contains 4-6 carbon atom, be included in after reactive polymer newly-generated in the solution system stops with hydrogen, carry out hydrogenation under the metallocene catalyst effect, it is characterized in that: this selection hydrogenation is to carry out having in the presence of the metallocene Primary Catalysts of following structure under other adds or do not add in addition the condition of alkalimetal hydride:
This metallocene Primary Catalysts is one or more the mixture in the above structural compounds, wherein R
1, R
2Be identical or different straight chained alkyl, cycloalkyl, aryl or the substituted aryl that contains 1-8 carbon atom, R
3, R
4Be identical or different aryl, substituted aryl, alkyl, alkoxyl group, the aryloxy that contains the 6-12 carbon atom, M is a 2-4 valency transition metal, 20-80 ℃ of hydrogenation reaction temperature, pressure 0.2-3.0MPa, reaction times 0.5-2.0 hour, described metallocene Primary Catalysts consumption was the 0.05-0.6mmol/100g polymkeric substance.
10. the method for hydrogenation of claim 9 is characterized in that described transition metal is Ti, Zr or Hf.
11. the method for hydrogenation of claim 9 is characterized in that transition metal is Ti (IV).
12. the method for hydrogenation of claim 9, wherein said conjugated diene polymer are styrene-butadiene-styrene multipolymer and styrene-isoprene-styrene copolymer-.
13. the method for hydrogenation of claim 9, wherein said alkalimetal hydride are lithium hydride.
14. the method for hydrogenation of claim 9, the mol ratio of wherein said alkalimetal hydride and metallocene are 2-60.
15. the method for hydrogenation of claim 9, the mol ratio of wherein said alkalimetal hydride and metallocene are 4-20.
16. the method for hydrogenation of claim 9, wherein said metallocene catalyst is selected from: two (cyclohexyl-cyclopentadienyl) di-p-tolyl titanium, two (cyclohexyl-cyclopentadienyls) two tolyl titaniums, two (methyl-cyclopentadienyl) di-p-tolyl titanium, two (methyl-cyclopentadienyls) two tolyl titaniums, two (cyclohexyl-cyclopentadienyl) phenylbenzene titanium, two (cyclopentadienyl) di-p-tolyl titanium, two (cyclopentadienyls) two tolyl titaniums, two (phenyl-cyclopentadienyl) di-p-tolyl titanium, two (phenyl-cyclopentadienyls) two tolyl titaniums, two (cyclopentadienyl) phenylbenzene titanium.
17. the method for hydrogenation of claim 9 is characterized in that described hydrogenation reaction temperature is 50-80 ℃, pressure is 1.0-2.5MPa, and the reaction times is 1.0-2.0 hour.
18. the method for hydrogenation of claim 9, the mol ratio that it is characterized in that described LiH and Primary Catalysts is 4-20, and the Primary Catalysts consumption is the 0.1-0.4mmol/100g polymkeric substance.
Priority Applications (1)
| Application Number | Priority Date | Filing Date | Title |
|---|---|---|---|
| CN 01104879 CN1121274C (en) | 2001-02-28 | 2001-02-28 | Metallocene catalyst and its preparing process, application and selective hydrogenation process |
Applications Claiming Priority (1)
| Application Number | Priority Date | Filing Date | Title |
|---|---|---|---|
| CN 01104879 CN1121274C (en) | 2001-02-28 | 2001-02-28 | Metallocene catalyst and its preparing process, application and selective hydrogenation process |
Publications (2)
| Publication Number | Publication Date |
|---|---|
| CN1373008A CN1373008A (en) | 2002-10-09 |
| CN1121274C true CN1121274C (en) | 2003-09-17 |
Family
ID=4654068
Family Applications (1)
| Application Number | Title | Priority Date | Filing Date |
|---|---|---|---|
| CN 01104879 Expired - Lifetime CN1121274C (en) | 2001-02-28 | 2001-02-28 | Metallocene catalyst and its preparing process, application and selective hydrogenation process |
Country Status (1)
| Country | Link |
|---|---|
| CN (1) | CN1121274C (en) |
Families Citing this family (12)
| Publication number | Priority date | Publication date | Assignee | Title |
|---|---|---|---|---|
| CN101492513B (en) * | 2008-01-25 | 2010-12-22 | 中国石油化工股份有限公司 | Hydrogenator and polymer hydrogenation method |
| EP2272588B1 (en) | 2009-06-22 | 2013-06-12 | Dynasol Elastomeros, S.A. | Catalyst for the hydrogenaton of unsaturated compounds |
| EP2404982A1 (en) | 2010-07-06 | 2012-01-11 | Total Raffinage Marketing | Catalyst preparation reactors from catalyst precursor used for feeding reactors to upgrade heavy hydrocarbonaceous feedstocks |
| EP2404670A1 (en) * | 2010-07-06 | 2012-01-11 | Total Raffinage Marketing | Process for the hydroconversion of a low quality hydrocarbonaceous feedstock |
| EP2404983A1 (en) | 2010-07-06 | 2012-01-11 | Total Raffinage Marketing | Hydroconversion process for heavy hydrocarbonaceous feedstock |
| CN106366226B (en) * | 2015-07-23 | 2019-11-12 | 中国石油化工股份有限公司 | A kind of transition-metal catalyst composition and its application |
| CN106554435B (en) * | 2015-09-24 | 2018-12-11 | 中国石化扬子石油化工有限公司 | A kind of hydrogenation preparation method of Petropols |
| CN106554464B (en) * | 2015-09-24 | 2018-12-11 | 中国石化扬子石油化工有限公司 | A kind of hydrogenation preparation method of Petropols |
| CN107417837B (en) * | 2016-05-24 | 2020-02-18 | 中国石油化工股份有限公司 | Transition metal catalyst composition and bimodal ethylene- α monoolefin copolymer and preparation method thereof |
| CN111253506A (en) * | 2020-01-20 | 2020-06-09 | 青岛科技大学 | A method for preparing polymer materials with different degrees of saturation by solution hydrogenation |
| CN111686811B (en) * | 2020-07-08 | 2023-02-17 | 宁波柏湖管理咨询合伙企业(有限合伙) | A kind of titanium supported catalyst and the method for catalytic hydrogenation of adiponitrile to prepare hexamethylenediamine |
| CN119724383B (en) * | 2023-09-27 | 2025-11-11 | 中国石油化工股份有限公司 | SEBS hydrogenation degree prediction and accurate control method |
-
2001
- 2001-02-28 CN CN 01104879 patent/CN1121274C/en not_active Expired - Lifetime
Also Published As
| Publication number | Publication date |
|---|---|
| CN1373008A (en) | 2002-10-09 |
Similar Documents
| Publication | Publication Date | Title |
|---|---|---|
| JP4964389B2 (en) | Polycyclic, condensed ring compound, metal complex and polymerization method | |
| JP3326772B2 (en) | Method for hydrogenating olefinically unsaturated polymer and hydrogenation catalyst | |
| CN1121274C (en) | Metallocene catalyst and its preparing process, application and selective hydrogenation process | |
| JP3166137B2 (en) | Method for hydrogenating olefinically unsaturated polymer and hydrogenation catalyst | |
| US6476283B1 (en) | Hydrogenation of unsaturated polymers using divalent diene-containing bis-cyclopentadienyl group IV metal catalysts | |
| JP3227678B2 (en) | Method for hydrogenating olefinically unsaturated polymer and hydrogenation catalyst | |
| EP1436332A2 (en) | Metal complex compositions and their use as catalysts to produce polydienes | |
| JPH10502396A (en) | Polymerization method using diene-containing catalyst | |
| Sedláček et al. | Controlled and living polymerizations induced with rhodium catalysts. A review | |
| EP0601953B1 (en) | Process of hydrogenation in solution of the double bonds of polymers of conjugated dienes, and hydrogenated block copolymer produced | |
| JP2587893B2 (en) | Olefin hydrogenation | |
| JP2000202298A (en) | Method for hydrogenating diene (co)polymer | |
| EP0784639B1 (en) | Syndiotactic prochiral olefin polymerization process | |
| US6881797B2 (en) | Process for hydrogenation of conjugated diene polymer | |
| US5994477A (en) | Selective hydrogenation method of living polymer having olefinic double bond | |
| US7186782B2 (en) | Hydrogenation catalyst composition and process for hydrogenation of conjugated diene polymer | |
| CN102802793B (en) | Catalyst for the hydrogenation of unsaturated compounds | |
| EP0908234B1 (en) | Process and catalyst for the hydrogenation of olefinically unsaturated compounds | |
| JP2903471B1 (en) | Method for hydrogenating conjugated diene polymers | |
| US6048992A (en) | Metallocene compounds from amino alcohol-derived ligands | |
| JPH10101727A (en) | Catalysts and methods for hydrogenating olefins or polymers | |
| JP3282166B2 (en) | Method for hydrogenating olefinically unsaturated polymer and hydrogenation catalyst | |
| JP3227679B2 (en) | Method for hydrogenating olefinically unsaturated polymer and hydrogenation catalyst | |
| JP4366833B2 (en) | Method for purifying conjugated diene compounds | |
| KR100356533B1 (en) | Method for the selective hydrogenation of the conjugated diene polymer |
Legal Events
| Date | Code | Title | Description |
|---|---|---|---|
| C06 | Publication | ||
| C10 | Entry into substantive examination | ||
| PB01 | Publication | ||
| SE01 | Entry into force of request for substantive examination | ||
| C10 | Entry into substantive examination | ||
| SE01 | Entry into force of request for substantive examination | ||
| C14 | Grant of patent or utility model | ||
| GR01 | Patent grant | ||
| CX01 | Expiry of patent term | ||
| CX01 | Expiry of patent term |
Granted publication date: 20030917 |





