CN111947957A - Vibration signal sampling method and device, storage medium and electronic equipment - Google Patents
Vibration signal sampling method and device, storage medium and electronic equipment Download PDFInfo
- Publication number
- CN111947957A CN111947957A CN202010824871.0A CN202010824871A CN111947957A CN 111947957 A CN111947957 A CN 111947957A CN 202010824871 A CN202010824871 A CN 202010824871A CN 111947957 A CN111947957 A CN 111947957A
- Authority
- CN
- China
- Prior art keywords
- sampling
- vibration signal
- frequency
- data
- actual
- Prior art date
- Legal status (The legal status is an assumption and is not a legal conclusion. Google has not performed a legal analysis and makes no representation as to the accuracy of the status listed.)
- Pending
Links
Images
Classifications
-
- G—PHYSICS
- G01—MEASURING; TESTING
- G01M—TESTING STATIC OR DYNAMIC BALANCE OF MACHINES OR STRUCTURES; TESTING OF STRUCTURES OR APPARATUS, NOT OTHERWISE PROVIDED FOR
- G01M99/00—Subject matter not provided for in other groups of this subclass
- G01M99/005—Testing of complete machines, e.g. washing-machines or mobile phones
-
- G—PHYSICS
- G01—MEASURING; TESTING
- G01H—MEASUREMENT OF MECHANICAL VIBRATIONS OR ULTRASONIC, SONIC OR INFRASONIC WAVES
- G01H17/00—Measuring mechanical vibrations or ultrasonic, sonic or infrasonic waves, not provided for in the preceding groups
-
- G—PHYSICS
- G06—COMPUTING OR CALCULATING; COUNTING
- G06F—ELECTRIC DIGITAL DATA PROCESSING
- G06F17/00—Digital computing or data processing equipment or methods, specially adapted for specific functions
- G06F17/10—Complex mathematical operations
- G06F17/11—Complex mathematical operations for solving equations, e.g. nonlinear equations, general mathematical optimization problems
Landscapes
- Physics & Mathematics (AREA)
- General Physics & Mathematics (AREA)
- Engineering & Computer Science (AREA)
- Mathematical Physics (AREA)
- Pure & Applied Mathematics (AREA)
- Mathematical Optimization (AREA)
- Mathematical Analysis (AREA)
- Computational Mathematics (AREA)
- Data Mining & Analysis (AREA)
- Theoretical Computer Science (AREA)
- Operations Research (AREA)
- Algebra (AREA)
- Databases & Information Systems (AREA)
- Software Systems (AREA)
- General Engineering & Computer Science (AREA)
- Measurement Of Mechanical Vibrations Or Ultrasonic Waves (AREA)
Abstract
The application provides a vibration signal sampling method, a device, a storage medium and electronic equipment, wherein a sampling period is calculated through an acquired key phase pulse signal, the sampling period is compared with a preset sampling period table to determine the sampling period number of a vibration signal, and then the vibration signal is sampled according to the sampling period number to obtain actual sampling data; then, interpolation resampling is carried out on the actual sampling data to obtain resampling data of 2 integral power; and finally, performing FFT operation on the resampled data to obtain the amplitude and the phase of the target frequency of the vibration signal. The method and the device can accurately position the target frequency of the vibration signal, improve the analysis precision of the subsequent vibration state, and accurately analyze and predict the running state and the health state of the rotary mechanical equipment. In addition, different hardware sampling frequencies can be selected according to different requirements, the number of sampling cycles can be adaptively adjusted according to the monitored signal fundamental frequency, the small signal frequency can be monitored, and the monitoring signal frequency range is enlarged.
Description
Technical Field
The application belongs to the technical field of monitoring of industrial large-scale rotating mechanical equipment, particularly relates to monitoring of a vibration state, and particularly relates to a vibration signal sampling method and device, a storage medium and electronic equipment.
Background
In industrial applications, steam turbines, gas turbines, axial compressors, fans, pumps, etc. are common large rotating machinery. Under the rotating working condition, the rotating shaft of the rotating mechanical equipment has higher radial displacement frequency, namely radial vibration, and the parameters of the frequency, amplitude, phase and the like of the radial vibration can well represent the running state of the equipment, even the health state of the equipment, so the rotating mechanical equipment plays a vital role in monitoring the rotating mechanical equipment.
At present, the vibration state of large rotating machinery in the industrial field is mainly monitored, analyzed and alarmed by a TSI (Turbine monitoring system). The monitoring content of the TSI system mainly comprises vibration, displacement, rotating speed, key phase, temperature and the like, and the vibration monitoring function of the TSI system mainly carries out time domain monitoring and frequency domain monitoring on radial vibration waveform signals, wherein the time domain monitoring mainly monitors direct current components, peak values and the like of the vibration signals; the frequency domain monitoring mainly monitors the amplitudes and phases of various frequency signals contained in the vibration signals, and the amplitudes and phases of target frequencies (subharmonics such as 1/3 frequency multiplication, 1/2 frequency multiplication and the like, harmonics such as 1 frequency multiplication and 2 frequency multiplication and the like) are obtained by performing spectrum analysis through FFT (Fast Fourier Transform) operation so as to analyze and predict the running state and the health state of the equipment, so that strict requirements are imposed on the number of sampling points, the sampling frequency and the number of sampling cycles. According to the FFT principle, the operation data must be an integer power of 2, and according to the shannon sampling theorem, in order to ensure that the sampled signal contains all the information of the original signal, the sampling frequency must be greater than or equal to 2 times the signal frequency.
However, in the actual sampling process of the vibration signal, the number of sampling points changes continuously with the change of the signal frequency, so that the sampling frequency cannot be guaranteed to be an integer power of 2 of the signal frequency, and further, the subsequent FFT operation cannot be performed. The common solutions are two, firstly, sampling points of integral power of 2 are taken by prolonging sampling time; and secondly, carrying out zero filling on the sampling data with insufficient points until the number of the sampling points reaches the integral power of 2. Although both methods can perform subsequent FFT operation, the target frequency of the vibration signal cannot be accurately positioned, so that the obtained analysis result cannot meet the requirements of users and is not suitable for vibration monitoring of large-scale rotating mechanical equipment.
Disclosure of Invention
The application provides a vibration signal sampling method and device, a storage medium and electronic equipment, which are used for accurately positioning the target frequency of a vibration signal, improving the analysis precision of a subsequent vibration state and accurately analyzing and predicting the running state and the health state of rotary mechanical equipment.
In order to achieve the above object, the present application provides the following technical solutions:
a vibration signal sampling method for vibration monitoring of a rotating mechanical device, the method comprising:
acquiring a key phase pulse signal, and calculating a sampling period of the key phase pulse signal, wherein the key phase pulse signal is a pulse signal sent by the rotating mechanical equipment rotating for one circle;
comparing the sampling period with a preset sampling period table, and determining the sampling period number of the vibration signal; the preset sampling period table comprises a corresponding relation among a signal frequency range, a sampling period number, a number of points in each period, a sampling frequency and an actual number of sampling points;
sampling the vibration signal according to the sampling period number to obtain actual sampling data;
carrying out interpolation resampling on the actual sampling data to obtain resampling data of 2 integral power;
and performing FFT operation on the resampled data to obtain the amplitude and the phase of the target frequency of the vibration signal.
Preferably, the sampling the vibration signal according to the sampling cycle number to obtain actual sampling data specifically includes:
and sampling the vibration signal according to the sampling period number by taking the falling edge of the key phase pulse signal as a trigger condition to obtain actual sampling data.
Preferably, the sampling the vibration signal according to the sampling cycle number to obtain actual sampling data specifically includes:
determining the actual sampling data point of the vibration signal according to a first preset formula according to the sampling period number, wherein the first preset formula isWherein f isADCFor ADC hardware sampling frequency, fBIs the signal fundamental frequency, N is the number of sampling cycles, and N' is the actual sampling data point;
and sampling the vibration signal at each actual sampling data point to obtain the actual sampling data.
Preferably, the resampling by interpolation is performed on the actual sampling data to obtain the resampled data of the power of 2, which specifically includes:
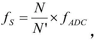
extracting N points from the interpolation of the actual sampling points N', and determining the sampling frequency of the vibration signal after interpolation according to a second preset formula, wherein the second preset formula isWherein f isSThe interpolated sampling frequency is obtained;
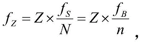
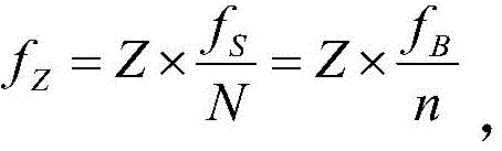
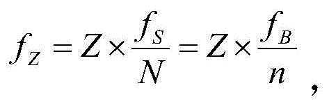
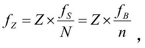
determining the FFT spectral resolution asThen the frequency for any point Z of the spectrum isWherein Z is not more than N and is an integer;
and sampling the vibration signal at the frequency of any point Z to obtain the resampling data with the integral power of 2.
A vibration signal sampling apparatus for vibration monitoring of a rotating mechanical device, the apparatus comprising:
the first processing unit is used for acquiring a key phase pulse signal and calculating the sampling period of the key phase pulse signal, wherein the key phase pulse signal is a pulse signal sent by the rotating mechanical equipment after rotating for one circle;
the second processing unit is used for comparing the sampling period with a preset sampling period table and determining the sampling period number of the vibration signal; the preset sampling period table comprises a corresponding relation among a signal frequency range, a sampling period number, a number of points in each period, a sampling frequency and an actual number of sampling points;
the third processing unit is used for sampling the vibration signal according to the sampling period number to obtain actual sampling data;
the fourth processing unit is used for carrying out interpolation resampling on the actual sampling data to obtain resampling data of 2 integral power;
and the fifth processing unit is used for carrying out FFT operation on the resampled data to obtain the amplitude and the phase of the target frequency of the vibration signal.
Preferably, the third processing unit is specifically configured to:
and sampling the vibration signal according to the sampling period number by taking the falling edge of the key phase pulse signal as a trigger condition to obtain actual sampling data.
Preferably, the third processing unit is specifically configured to:
determining the actual sampling data point of the vibration signal according to a first preset formula according to the sampling period number, wherein the first preset formula isWherein f isADCFor ADC hardware sampling frequency, fBIs the signal fundamental frequency, N is the number of sampling cycles, and N' is the actual sampling data point;
and sampling the vibration signal at each actual sampling data point to obtain the actual sampling data.
Preferably, the fourth processing unit is specifically configured to:
extracting N points from the interpolation of the actual sampling points N', and determining the sampling frequency of the vibration signal after interpolation according to a second preset formula, wherein the second preset formula isWherein f isSThe interpolated sampling frequency is obtained;
determining the FFT spectral resolution asThen the frequency for any point Z of the spectrum isWherein Z is not more than N and is an integer;
and sampling the vibration signal at the frequency of any point Z to obtain the resampling data with the integral power of 2.
A storage medium comprising a stored program, wherein a device on which the storage medium is located is controlled to perform a vibration signal sampling method as described above when the program is run.
An electronic device comprising at least one processor, and at least one memory, bus connected with the processor; the processor and the memory complete mutual communication through the bus; the processor is configured to call program instructions in the memory to perform the vibration signal sampling method as described above.
According to the method, the device, the storage medium and the electronic equipment, firstly, a sampling period is calculated through an obtained key phase pulse signal, the sampling period is compared with a preset sampling period table to determine the sampling period number of the vibration signal, and then the vibration signal is sampled according to the sampling period number to obtain actual sampling data; then, interpolation resampling is carried out on the actual sampling data to obtain resampling data of 2 integral power; and finally, performing FFT operation on the resampled data to obtain the amplitude and the phase of the target frequency of the vibration signal. The method and the device can accurately position the target frequency of the vibration signal, improve the analysis precision of the subsequent vibration state, and accurately analyze and predict the running state and the health state of the rotary mechanical equipment.
In addition, different hardware sampling frequencies can be selected according to different requirements, the sampling period number is adaptively adjusted according to the monitored signal fundamental frequency, the small signal frequency can be monitored, and the monitoring signal frequency range is enlarged.
Drawings
In order to more clearly illustrate the embodiments of the present application or the technical solutions in the prior art, the drawings used in the description of the embodiments or the prior art will be briefly described below, it is obvious that the drawings in the following description are only some embodiments of the present application, and for those skilled in the art, other drawings can be obtained according to the drawings without creative efforts.
Fig. 1 is a schematic structural diagram of a vibration signal acquisition system according to an embodiment of the present application;
fig. 2 is a schematic flow chart of a vibration signal sampling method according to an embodiment of the present disclosure;
fig. 3 is a schematic structural diagram of a vibration signal sampling apparatus according to an embodiment of the present application;
fig. 4 is a schematic structural diagram of an electronic device according to an embodiment of the present application.
Detailed Description
The application provides a vibration signal sampling method, a device, a storage medium and an electronic device, which are applied to the vibration signal sampling system shown in fig. 1, and the vibration signal sampling system includes: a Signal conditioning circuit 10, an analog-to-digital converter 20 and a digital Signal processor 30, wherein the digital Signal processor 30 is a dsp (digital Signal processing) with FFT operation function. The input signal includes: a vibration signal of the rotary machine transmitted back by the vibration sensor and a key phase pulse signal appearing once after the rotary machine rotates for one circle, wherein the vibration signal needs to be subjected to circuit conditioning and analog-to-digital conversion by a signal conditioning circuit 10 and an analog-to-digital converter 20, and then data acquisition is carried out by a digital signal processor 30; the key phase pulse signal is captured directly by the digital signal processor 30 for implementing a full period sampling of the vibration signal.
The invention of the present application aims to: how to accurately position the target frequency of the vibration signal, improve the analysis accuracy of the subsequent vibration state, and accurately analyze and predict the running state and the health state of the rotating mechanical equipment.
The technical solutions in the embodiments of the present application will be clearly and completely described below with reference to the drawings in the embodiments of the present application, and it is obvious that the described embodiments are only a part of the embodiments of the present application, and not all of the embodiments. All other embodiments, which can be derived by a person skilled in the art from the embodiments given herein without making any creative effort, shall fall within the protection scope of the present application.
Referring to fig. 2, a flow chart of a vibration signal sampling method provided in the embodiment of the present application is used for monitoring vibration of a rotating mechanical device, and is mainly used for accurately positioning a target frequency of a vibration signal, improving analysis accuracy of a subsequent vibration state, and accurately analyzing and predicting an operation state and a health state of the rotating mechanical device, and the method specifically includes the following steps:
s201: and acquiring a key phase pulse signal, and calculating the sampling period of the key phase pulse signal, wherein the key phase pulse signal is a pulse signal sent by rotating the rotating mechanical equipment for one circle.
S202: and comparing the sampling period with a preset sampling period table, and determining the sampling period number of the vibration signal.
The preset sampling period table includes a signal frequency range, a sampling period number, a number of points per period, a sampling frequency, and a corresponding relationship between actual sampling points, which can be specifically referred to in table 1.
TABLE 1
It should be noted that, in an embodiment, if the frequency of the key phase pulse signal is 1020Hz, which correspondingly falls between (1024-512), it can be determined that the number n of sampling cycles is 64, and the number of corresponding sampling cycles is 32.
S203: and sampling the vibration signal according to the sampling period number to obtain actual sampling data.
In this embodiment of the application, the sampling of the vibration signal according to the sampling cycle number to obtain actual sampling data specifically includes:
and sampling the vibration signal according to the sampling period number by taking the falling edge of the key phase pulse signal as a trigger condition to obtain actual sampling data.
Further, the sampling the vibration signal according to the sampling cycle number to obtain actual sampling data specifically includes:
determining the actual sampling data point of the vibration signal according to a first preset formula according to the sampling period number, wherein the first preset formula isWherein f isADCFor ADC hardware sampling frequency, fBIs the signal fundamental frequency, N is the number of sampling cycles, and N' is the actual sampled data point.
And sampling the vibration signal at each actual sampling data point to obtain actual sampling data.
S204: and carrying out interpolation resampling on the actual sampling data to obtain resampling data of 2 to the integral power.
The above interpolation resampling is performed on the actual sampling data to obtain the resampling data of the integer power of 2, which specifically includes:
extracting N points from the interpolation value of the actual sampling point N', and determining the vibration signal according to a second preset formulaThe sampling frequency after the interpolation is carried out on the signal, and the second preset formula isWherein f isSThe interpolated sampling frequency is obtained;
determining the FFT spectral resolution asThen the frequency for any point Z of the spectrum isWherein Z is not more than N and is an integer;
and sampling the vibration signal at the frequency of any point Z to obtain the resampling data with the integral power of 2.
To further illustrate, in the embodiment of the present application, to accurately determine the target frequency of the bit shaking signal, the minimum value of the number n of sampling cycles may be determined: if 1/3 frequency multiplication needs to be determined, n is more than or equal to 3; when 1/2 frequency multiplication needs to be determined, n is more than or equal to 2.
In the embodiment of the present application, after the minimum value of the sampling cycle number n is determined, the sampling cycle number n is adaptively adjusted according to the signal frequency variation range. As the RAM memory of the DSP of the hardware platform is limited, the number N' of real sampling points has the maximum value.
According to the formula:from this, if fADCN' is known, the number N of sampling periods may follow the signal frequency fBAnd (4) self-adapting to change.
Table 1 above shows an example of a sampling cycle number adaptive scheme using the vibration signal sampling method provided in the embodiment of the present application, specifically, the maximum value of the number N' of real sampling points is set to 8000, fADCSetting the frequency of the sampling period n to be more than or equal to 2 at 64kHz and according to the signal fundamental frequency fBThe number of adaptive sampling cycles n. When n is 2, with fBGradually reduced, to ensure the constraint condition of N', the hardware sampling frequency f can be reducedADC. Therefore, the vibration signal sampling method provided by the embodiment of the application can monitor a very small signal frequency and increase the frequency range of the monitored signal.
S205: and performing FFT operation on the resampled data to obtain the amplitude and the phase of the target frequency of the vibration signal.
It should be noted that the target frequency is given by the key phase pulse signal, in the embodiment of the present application, the fundamental frequency, the 0.5 frequency multiplication, the frequency doubling and the n frequency multiplication can be definitely analyzed after the FFT operation according to the whole period sampling and the FFT resolution as the signal fundamental frequency/sampling period number.
The method for sampling the vibration signal comprises the steps of firstly calculating a sampling period through an obtained key phase pulse signal, comparing the sampling period with a preset sampling period table to determine the number of sampling periods of the vibration signal, and then sampling the vibration signal according to the number of the sampling periods to obtain actual sampling data; then, interpolation resampling is carried out on the actual sampling data to obtain resampling data of 2 integral power; and finally, performing FFT operation on the resampled data to obtain the amplitude and the phase of the target frequency of the vibration signal. The method and the device can accurately position the target frequency of the vibration signal, improve the analysis precision of the subsequent vibration state, and accurately analyze and predict the running state and the health state of the rotary mechanical equipment.
In addition, different hardware sampling frequencies can be selected according to different requirements, the sampling period number is adaptively adjusted according to the monitored signal fundamental frequency, the small signal frequency can be monitored, and the monitoring signal frequency range is enlarged.
Referring to fig. 3, based on the vibration signal sampling method disclosed in the foregoing embodiment, the present embodiment correspondingly discloses a vibration signal sampling apparatus for vibration monitoring of a rotating mechanical device, which specifically includes: a first processing unit 301, a second processing unit 302, a third processing unit 303, a fourth processing unit 304, and a fifth processing unit 305, wherein:
the first processing unit 301 is configured to acquire a key phase pulse signal, and calculate a sampling period of the key phase pulse signal, where the key phase pulse signal is a pulse signal generated after a rotation of the rotating mechanical device.
The second processing unit 302 is configured to compare a sampling period with a preset sampling period table, and determine a sampling period number of the vibration signal; the preset sampling period table comprises a corresponding relation among a signal frequency range, a sampling period number, a number of points in each period, a sampling frequency and an actual number of sampling points.
The third processing unit 303 is configured to sample the vibration signal according to the sampling cycle number to obtain actual sampling data.
And a fourth processing unit 304, configured to perform interpolation resampling on the actual sample data, so as to obtain resample data raised to the power of 2.
The fifth processing unit 305 is configured to perform an FFT operation on the resampled data to obtain an amplitude and a phase of the target frequency of the vibration signal.
Further, the third processing unit 303 is specifically configured to:
and sampling the vibration signal according to the sampling period number by taking the falling edge of the key phase pulse signal as a trigger condition to obtain actual sampling data.
Further, the third processing unit 303 is specifically configured to:
determining the actual sampling data point of the vibration signal according to a first preset formula according to the sampling period number, wherein the first preset formula isWherein f isADCFor ADC hardware sampling frequency, fBIs the signal fundamental frequency, N is the number of sampling cycles, and N' is the actual sampling data point;
and sampling the vibration signal at each actual sampling data point to obtain actual sampling data.
Further, the fourth processing unit 304 is specifically configured to:
extracting N points from the interpolation of the actual sampling point N', and determining the sampling frequency of the vibration signal after interpolation according to a second preset formulaWherein f isSThe interpolated sampling frequency is obtained;
determining the FFT spectral resolution asThen the frequency for any point Z of the spectrum isWherein Z is not more than N and is an integer;
and sampling the vibration signal at the frequency of any point Z to obtain the resampling data with the integral power of 2.
The vibration signal sampling device comprises a processor and a memory, wherein the first processing unit, the second processing unit, the third processing unit, the fourth processing unit, the fifth processing unit and the like are stored in the memory as program units, and the processor executes the program units stored in the memory to realize corresponding functions.
The processor comprises a kernel, and the kernel calls the corresponding program unit from the memory. The kernel can be set to be one or more than one, the target frequency of the vibration signal can be accurately positioned by adjusting the kernel parameters, the analysis precision of the subsequent vibration state is improved, and the running state and the health state of the rotary mechanical equipment are accurately analyzed and predicted.
An embodiment of the present application provides a storage medium having a program stored thereon, which when executed by a processor implements the vibration signal sampling method.
The embodiment of the application provides a processor, which is used for running a program, wherein the program executes the vibration signal sampling method during running.
An embodiment of the present application provides an electronic device, as shown in fig. 4, the electronic device 40 includes at least one processor 401, and at least one memory 402 and a bus 403 connected to the processor; the processor 401 and the memory 402 complete communication with each other through the bus 403; the processor 401 is configured to call program instructions in the memory 402 to perform the vibration signal sampling method described above.
The electronic device herein may be a server, a PC, a PAD, a mobile phone, etc.
The present application further provides a computer program product adapted to perform a program for initializing the following method steps when executed on a data processing device:
acquiring a key phase pulse signal, and calculating a sampling period of the key phase pulse signal, wherein the key phase pulse signal is a pulse signal sent by the rotating mechanical equipment rotating for one circle;
comparing the sampling period with a preset sampling period table, and determining the sampling period number of the vibration signal; the preset sampling period table comprises a corresponding relation among a signal frequency range, a sampling period number, a number of points in each period, a sampling frequency and an actual number of sampling points;
sampling the vibration signal according to the sampling period number to obtain actual sampling data;
carrying out interpolation resampling on the actual sampling data to obtain resampling data of 2 integral power;
and performing FFT operation on the resampled data to obtain the amplitude and the phase of the target frequency of the vibration signal.
Further, the sampling the vibration signal according to the sampling cycle number to obtain actual sampling data specifically includes:
and sampling the vibration signal according to the sampling period number by taking the falling edge of the key phase pulse signal as a trigger condition to obtain actual sampling data.
Further, the sampling the vibration signal according to the sampling cycle number to obtain actual sampling data specifically includes:
determining the actual sampling data point of the vibration signal according to a first preset formula according to the sampling period number, wherein the first preset formula isWherein,fADCFor ADC hardware sampling frequency, fBIs the signal fundamental frequency, N is the number of sampling cycles, and N' is the actual sampling data point;
and sampling the vibration signal at each actual sampling data point to obtain the actual sampling data.
Further, the interpolation resampling is performed on the actual sampling data to obtain resample data of an integer power of 2, and specifically includes:
extracting N points from the interpolation of the actual sampling points N', and determining the sampling frequency of the vibration signal after interpolation according to a second preset formula, wherein the second preset formula isWherein f isSThe interpolated sampling frequency is obtained;
determining the FFT spectral resolution asThen the frequency for any point Z of the spectrum isWherein Z is not more than N and is an integer;
and sampling the vibration signal at the frequency of any point Z to obtain the resampling data with the integral power of 2.
The present application is described with reference to flowchart illustrations and/or block diagrams of methods, apparatus (systems), and computer program products according to embodiments of the application. It will be understood that each flow and/or block of the flow diagrams and/or block diagrams, and combinations of flows and/or blocks in the flow diagrams and/or block diagrams, can be implemented by computer program instructions. These computer program instructions may be provided to a processor of a general purpose computer, special purpose computer, embedded processor, or other programmable data processing apparatus to produce a machine, such that the instructions, which execute via the processor of the computer or other programmable data processing apparatus, create means for implementing the functions specified in the flowchart flow or flows and/or block diagram block or blocks.
In a typical configuration, a device includes one or more processors (CPUs), memory, and a bus. The device may also include input/output interfaces, network interfaces, and the like.
The memory may include volatile memory in a computer readable medium, Random Access Memory (RAM) and/or nonvolatile memory such as Read Only Memory (ROM) or flash memory (flash RAM), and the memory includes at least one memory chip. The memory is an example of a computer-readable medium.
Computer-readable media, including both non-transitory and non-transitory, removable and non-removable media, may implement information storage by any method or technology. The information may be computer readable instructions, data structures, modules of a program, or other data. Examples of computer storage media include, but are not limited to, phase change memory (PRAM), Static Random Access Memory (SRAM), Dynamic Random Access Memory (DRAM), other types of Random Access Memory (RAM), Read Only Memory (ROM), Electrically Erasable Programmable Read Only Memory (EEPROM), flash memory or other memory technology, compact disc read only memory (CD-ROM), Digital Versatile Discs (DVD) or other optical storage, magnetic cassettes, magnetic tape magnetic disk storage or other magnetic storage devices, or any other non-transmission medium that can be used to store information that can be accessed by a computing device. As defined herein, a computer readable medium does not include a transitory computer readable medium such as a modulated data signal and a carrier wave.
It should also be noted that the terms "comprises," "comprising," or any other variation thereof, are intended to cover a non-exclusive inclusion, such that a process, method, article, or apparatus that comprises a list of elements does not include only those elements but may include other elements not expressly listed or inherent to such process, method, article, or apparatus. Without further limitation, an element defined by the phrase "comprising an … …" does not exclude the presence of other identical elements in the process, method, article, or apparatus that comprises the element.
As will be appreciated by one skilled in the art, embodiments of the present application may be provided as a method, system, or computer program product. Accordingly, the present application may take the form of an entirely hardware embodiment, an entirely software embodiment or an embodiment combining software and hardware aspects. Furthermore, the present application may take the form of a computer program product embodied on one or more computer-usable storage media (including, but not limited to, disk storage, CD-ROM, optical storage, and the like) having computer-usable program code embodied therein.
The above are merely examples of the present application and are not intended to limit the present application. Various modifications and changes may occur to those skilled in the art. Any modification, equivalent replacement, improvement, etc. made within the spirit and principle of the present application should be included in the scope of the claims of the present application.
Claims (10)
1. A vibration signal sampling method for vibration monitoring of a rotating mechanical device, the method comprising:
acquiring a key phase pulse signal, and calculating a sampling period of the key phase pulse signal, wherein the key phase pulse signal is a pulse signal sent by the rotating mechanical equipment rotating for one circle;
comparing the sampling period with a preset sampling period table, and determining the sampling period number of the vibration signal; the preset sampling period table comprises a corresponding relation among a signal frequency range, a sampling period number, a number of points in each period, a sampling frequency and an actual number of sampling points;
sampling the vibration signal according to the sampling period number to obtain actual sampling data;
carrying out interpolation resampling on the actual sampling data to obtain resampling data of 2 integral power;
and performing FFT operation on the resampled data to obtain the amplitude and the phase of the target frequency of the vibration signal.
2. The method according to claim 1, wherein the sampling the vibration signal according to the number of sampling cycles to obtain actual sampling data is specifically:
and sampling the vibration signal according to the sampling period number by taking the falling edge of the key phase pulse signal as a trigger condition to obtain actual sampling data.
3. The method according to claim 1 or 2, wherein the sampling of the vibration signal according to the number of sampling cycles to obtain actual sampling data is:
determining the actual sampling data point of the vibration signal according to a first preset formula according to the sampling period number, wherein the first preset formula isWherein f isADCFor ADC hardware sampling frequency, fBIs the signal fundamental frequency, N is the number of sampling cycles, and N' is the actual sampling data point;
and sampling the vibration signal at each actual sampling data point to obtain the actual sampling data.
4. The method according to claim 3, wherein the interpolation resampling is performed on the actual sample data to obtain resampled data to an integer power of 2, specifically:
extracting N points from the interpolation of the actual sampling points N', and determining the sampling frequency of the vibration signal after interpolation according to a second preset formula, wherein the second preset formula isWherein f isSThe interpolated sampling frequency is obtained;
determining the FFT spectral resolution asThen for any point Z in the spectrumAt a frequency ofWherein Z is not more than N and is an integer;
and sampling the vibration signal at the frequency of any point Z to obtain the resampling data with the integral power of 2.
5. A vibration signal sampling apparatus for vibration monitoring of a rotating mechanical device, the apparatus comprising:
the first processing unit is used for acquiring a key phase pulse signal and calculating the sampling period of the key phase pulse signal, wherein the key phase pulse signal is a pulse signal sent by the rotating mechanical equipment after rotating for one circle;
the second processing unit is used for comparing the sampling period with a preset sampling period table and determining the sampling period number of the vibration signal; the preset sampling period table comprises a corresponding relation among a signal frequency range, a sampling period number, a number of points in each period, a sampling frequency and an actual number of sampling points;
the third processing unit is used for sampling the vibration signal according to the sampling period number to obtain actual sampling data;
the fourth processing unit is used for carrying out interpolation resampling on the actual sampling data to obtain resampling data of 2 integral power;
and the fifth processing unit is used for carrying out FFT operation on the resampled data to obtain the amplitude and the phase of the target frequency of the vibration signal.
6. The apparatus according to claim 5, wherein the third processing unit is specifically configured to:
and sampling the vibration signal according to the sampling period number by taking the falling edge of the key phase pulse signal as a trigger condition to obtain actual sampling data.
7. The apparatus according to claim 5 or 6, wherein the third processing unit is specifically configured to:
determining the actual sampling data point of the vibration signal according to a first preset formula according to the sampling period number, wherein the first preset formula isWherein f isADCFor ADC hardware sampling frequency, fBIs the signal fundamental frequency, N is the number of sampling cycles, and N' is the actual sampling data point;
and sampling the vibration signal at each actual sampling data point to obtain the actual sampling data.
8. The apparatus according to claim 7, wherein the fourth processing unit is specifically configured to:
extracting N points from the interpolation of the actual sampling points N', and determining the sampling frequency of the vibration signal after interpolation according to a second preset formula, wherein the second preset formula isWherein f isSThe interpolated sampling frequency is obtained;
determining the FFT spectral resolution asThen the frequency for any point Z of the spectrum isWherein Z is not more than N and is an integer;
and sampling the vibration signal at the frequency of any point Z to obtain the resampling data with the integral power of 2.
9. A storage medium characterized by comprising a stored program, wherein a device on which the storage medium is located is controlled to execute the vibration signal sampling method according to any one of claims 1 to 4 when the program is run.
10. An electronic device comprising at least one processor, and at least one memory, bus connected to the processor; the processor and the memory complete mutual communication through the bus; the processor is configured to invoke program instructions in the memory to perform the vibration signal sampling method of any one of claims 1 to 4.
Priority Applications (1)
| Application Number | Priority Date | Filing Date | Title |
|---|---|---|---|
| CN202010824871.0A CN111947957A (en) | 2020-08-17 | 2020-08-17 | Vibration signal sampling method and device, storage medium and electronic equipment |
Applications Claiming Priority (1)
| Application Number | Priority Date | Filing Date | Title |
|---|---|---|---|
| CN202010824871.0A CN111947957A (en) | 2020-08-17 | 2020-08-17 | Vibration signal sampling method and device, storage medium and electronic equipment |
Publications (1)
| Publication Number | Publication Date |
|---|---|
| CN111947957A true CN111947957A (en) | 2020-11-17 |
Family
ID=73343280
Family Applications (1)
| Application Number | Title | Priority Date | Filing Date |
|---|---|---|---|
| CN202010824871.0A Pending CN111947957A (en) | 2020-08-17 | 2020-08-17 | Vibration signal sampling method and device, storage medium and electronic equipment |
Country Status (1)
| Country | Link |
|---|---|
| CN (1) | CN111947957A (en) |
Cited By (12)
| Publication number | Priority date | Publication date | Assignee | Title |
|---|---|---|---|---|
| CN113378699A (en) * | 2021-06-08 | 2021-09-10 | 西人马(深圳)科技有限责任公司 | Signal processing method, device, equipment and storage medium |
| CN113405584A (en) * | 2021-05-17 | 2021-09-17 | 上海德意达电子电器设备有限公司 | Testing method and device for performance test of speed vibration combined sensor |
| CN113503961A (en) * | 2021-07-22 | 2021-10-15 | 苏州苏试试验集团股份有限公司 | Method for picking up signals of impact vibration sensor |
| CN114520658A (en) * | 2022-03-09 | 2022-05-20 | 浙江中控技术股份有限公司 | Filtering system and method for acquiring frequency multiplication amplitude and phase of vibration signal |
| CN114942426A (en) * | 2022-05-19 | 2022-08-26 | 西安交通大学 | Passive positioning and vital sign monitoring method, system, computer and storage medium |
| CN114997232A (en) * | 2022-06-07 | 2022-09-02 | 国家石油天然气管网集团有限公司 | Method, processor and storage medium for determining direction of optical cable |
| CN115900930A (en) * | 2022-09-28 | 2023-04-04 | 杭州安脉盛智能技术有限公司 | A vibration data acquisition method, device, equipment and storage medium |
| CN116647245A (en) * | 2022-02-15 | 2023-08-25 | 瑞昱半导体股份有限公司 | Signal transmission device and method with resampling mechanism |
| CN116660612A (en) * | 2023-07-31 | 2023-08-29 | 青岛鼎信通讯科技有限公司 | Characteristic current detection method |
| CN117270063A (en) * | 2023-09-13 | 2023-12-22 | 中国科学院地质与地球物理研究所 | A signal frequency acquisition method and device |
| CN117311300A (en) * | 2023-11-29 | 2023-12-29 | 西安热工研究院有限公司 | Method and device for dynamically adjusting sampling frequency of distributed control system and electronic equipment |
| CN118091252A (en) * | 2024-04-22 | 2024-05-28 | 青岛艾诺仪器有限公司 | A harmonic calculation method and calculation system based on FPGA platform |
Citations (5)
| Publication number | Priority date | Publication date | Assignee | Title |
|---|---|---|---|---|
| CN101436046A (en) * | 2008-12-08 | 2009-05-20 | 东南大学 | Integrated multichannel synchronous oscillation data acquiring and monitoring and analysis diagnostic device |
| CN102116670A (en) * | 2010-01-05 | 2011-07-06 | 华北电力科学研究院有限责任公司 | Vibration acquisition and analysis instrument and vibration acquisition and analysis method |
| CN102353500A (en) * | 2011-06-03 | 2012-02-15 | 上海师范大学 | Extraction method of unbalanced signal for dynamic balance measurement |
| US20170052062A1 (en) * | 2015-08-17 | 2017-02-23 | Anhui Ronds Science & Technology Incorporated Company | Method, apparatus and monitoring system for acquisition of rotating speed and vibration data of machines |
| US10168248B1 (en) * | 2015-03-27 | 2019-01-01 | Tensor Systems Pty Ltd | Vibration measurement and analysis |
-
2020
- 2020-08-17 CN CN202010824871.0A patent/CN111947957A/en active Pending
Patent Citations (5)
| Publication number | Priority date | Publication date | Assignee | Title |
|---|---|---|---|---|
| CN101436046A (en) * | 2008-12-08 | 2009-05-20 | 东南大学 | Integrated multichannel synchronous oscillation data acquiring and monitoring and analysis diagnostic device |
| CN102116670A (en) * | 2010-01-05 | 2011-07-06 | 华北电力科学研究院有限责任公司 | Vibration acquisition and analysis instrument and vibration acquisition and analysis method |
| CN102353500A (en) * | 2011-06-03 | 2012-02-15 | 上海师范大学 | Extraction method of unbalanced signal for dynamic balance measurement |
| US10168248B1 (en) * | 2015-03-27 | 2019-01-01 | Tensor Systems Pty Ltd | Vibration measurement and analysis |
| US20170052062A1 (en) * | 2015-08-17 | 2017-02-23 | Anhui Ronds Science & Technology Incorporated Company | Method, apparatus and monitoring system for acquisition of rotating speed and vibration data of machines |
Non-Patent Citations (3)
| Title |
|---|
| 兰海强: "发动机振动信号整周期采集方法研究", 《2015航空试验测试技术学术交流会论文集•工程科技II辑》 * |
| 徐水军等: "旋转机械振动信号整周期重采样技术的研究", 《机电工程•工程科技II》 * |
| 梁文军: "基于FPGA的大型旋转机械状态数据采集系统研制", 《中国优秀硕士学位论文全文数据库•信息科技辑》 * |
Cited By (17)
| Publication number | Priority date | Publication date | Assignee | Title |
|---|---|---|---|---|
| CN113405584A (en) * | 2021-05-17 | 2021-09-17 | 上海德意达电子电器设备有限公司 | Testing method and device for performance test of speed vibration combined sensor |
| CN113378699A (en) * | 2021-06-08 | 2021-09-10 | 西人马(深圳)科技有限责任公司 | Signal processing method, device, equipment and storage medium |
| CN113503961A (en) * | 2021-07-22 | 2021-10-15 | 苏州苏试试验集团股份有限公司 | Method for picking up signals of impact vibration sensor |
| CN113503961B (en) * | 2021-07-22 | 2023-10-24 | 苏州苏试试验集团股份有限公司 | Method for picking up impact vibration sensor signal |
| CN116647245A (en) * | 2022-02-15 | 2023-08-25 | 瑞昱半导体股份有限公司 | Signal transmission device and method with resampling mechanism |
| CN114520658A (en) * | 2022-03-09 | 2022-05-20 | 浙江中控技术股份有限公司 | Filtering system and method for acquiring frequency multiplication amplitude and phase of vibration signal |
| CN114520658B (en) * | 2022-03-09 | 2025-06-27 | 中控技术股份有限公司 | A filtering system and a method for obtaining a vibration signal frequency multiple amplitude and phase |
| CN114942426B (en) * | 2022-05-19 | 2024-06-28 | 西安交通大学 | A passive positioning and vital sign monitoring method, system, computer and storage medium |
| CN114942426A (en) * | 2022-05-19 | 2022-08-26 | 西安交通大学 | Passive positioning and vital sign monitoring method, system, computer and storage medium |
| CN114997232A (en) * | 2022-06-07 | 2022-09-02 | 国家石油天然气管网集团有限公司 | Method, processor and storage medium for determining direction of optical cable |
| CN115900930A (en) * | 2022-09-28 | 2023-04-04 | 杭州安脉盛智能技术有限公司 | A vibration data acquisition method, device, equipment and storage medium |
| CN116660612A (en) * | 2023-07-31 | 2023-08-29 | 青岛鼎信通讯科技有限公司 | Characteristic current detection method |
| CN117270063B (en) * | 2023-09-13 | 2024-08-27 | 中国科学院地质与地球物理研究所 | Signal frequency acquisition method and device |
| CN117270063A (en) * | 2023-09-13 | 2023-12-22 | 中国科学院地质与地球物理研究所 | A signal frequency acquisition method and device |
| CN117311300B (en) * | 2023-11-29 | 2024-02-13 | 西安热工研究院有限公司 | Methods, devices and electronic equipment for dynamically adjusting sampling frequency in decentralized control systems |
| CN117311300A (en) * | 2023-11-29 | 2023-12-29 | 西安热工研究院有限公司 | Method and device for dynamically adjusting sampling frequency of distributed control system and electronic equipment |
| CN118091252A (en) * | 2024-04-22 | 2024-05-28 | 青岛艾诺仪器有限公司 | A harmonic calculation method and calculation system based on FPGA platform |
Similar Documents
| Publication | Publication Date | Title |
|---|---|---|
| CN111947957A (en) | Vibration signal sampling method and device, storage medium and electronic equipment | |
| JPH0125408B2 (en) | ||
| Rodopoulos et al. | A parametric approach for the estimation of the instantaneous speed of rotating machinery | |
| CN104136896B (en) | For the system for the vibration signal for obtaining rotation motor | |
| Khanam et al. | Extracting rolling element bearing faults from noisy vibration signal using Kalman filter | |
| Bai et al. | Adaptive order tracking technique using recursive least-square algorithm | |
| CN115270871A (en) | Hydroelectric generating set vibration signal feature extraction method and device and electronic equipment | |
| CN117665564A (en) | A fault detection method and related devices | |
| CN109540482A (en) | A kind of turbine blade is without the mutually high frequency multiplication synchronous vibration parameters analysis method of key and analytical equipment | |
| CN117686232A (en) | Method, device and storage medium for extracting vibration fundamental frequency of gas turbine in real time | |
| CN104677486B (en) | The aero-engine vibration signal Method for Phase Difference Measurement reconstructed based on tacho-pulse | |
| CN113719465B (en) | Compressor performance detection method and device, computer equipment and storage medium | |
| US7693212B2 (en) | Methods and apparatus for frequency rectification | |
| Qin et al. | The order tracking of rotating machinery based on instantaneous frequency estimation | |
| CN118731485A (en) | A fast broadband signal estimation method and device based on improved compressed sensing | |
| CN118464175A (en) | A method, system, device and storage medium for monitoring torsional vibration of a steam turbine shaft system based on blade tip timing method | |
| Nunzi et al. | A procedure for highly reproducible measurements of ADC spectral parameters | |
| CN114674417A (en) | A method for monitoring the natural dynamic frequency of each rotating part of a complex shaft system | |
| D'Emilia et al. | Use of MEMS sensors for condition monitoring of devices: discussion about the accuracy of features for diagnosis | |
| US11961240B2 (en) | Systems and methods for improved observation and detection using time video synchronization and synchronous time averaging | |
| CN116952368B (en) | A vibration monitoring method and system for large-scale cascade hub ship lock | |
| CN119533750B (en) | A method and related equipment for detecting the peak-to-peak value of pressure pulsation of a hydropower station unit under transient conditions | |
| CN120873373B (en) | A method, device, and storage medium for identifying structural damping in operation. | |
| CN116044733A (en) | Pump abnormal operation detection method, intelligent terminal and storage medium | |
| Lu et al. | Order component extraction technology for predictive maintenance system in rotary machine |
Legal Events
| Date | Code | Title | Description |
|---|---|---|---|
| PB01 | Publication | ||
| PB01 | Publication | ||
| SE01 | Entry into force of request for substantive examination | ||
| SE01 | Entry into force of request for substantive examination | ||
| RJ01 | Rejection of invention patent application after publication | ||
| RJ01 | Rejection of invention patent application after publication |
Application publication date: 20201117 |






























