CN111830321B - A method of detection and identification of UAV based on radio frequency fingerprint - Google Patents
A method of detection and identification of UAV based on radio frequency fingerprint Download PDFInfo
- Publication number
- CN111830321B CN111830321B CN202010601237.0A CN202010601237A CN111830321B CN 111830321 B CN111830321 B CN 111830321B CN 202010601237 A CN202010601237 A CN 202010601237A CN 111830321 B CN111830321 B CN 111830321B
- Authority
- CN
- China
- Prior art keywords
- signal
- uav
- identification
- detection
- drone
- Prior art date
- Legal status (The legal status is an assumption and is not a legal conclusion. Google has not performed a legal analysis and makes no representation as to the accuracy of the status listed.)
- Active
Links
Images
Classifications
-
- G—PHYSICS
- G01—MEASURING; TESTING
- G01R—MEASURING ELECTRIC VARIABLES; MEASURING MAGNETIC VARIABLES
- G01R23/00—Arrangements for measuring frequencies; Arrangements for analysing frequency spectra
- G01R23/16—Spectrum analysis; Fourier analysis
-
- G—PHYSICS
- G06—COMPUTING OR CALCULATING; COUNTING
- G06F—ELECTRIC DIGITAL DATA PROCESSING
- G06F18/00—Pattern recognition
- G06F18/20—Analysing
- G06F18/24—Classification techniques
- G06F18/241—Classification techniques relating to the classification model, e.g. parametric or non-parametric approaches
- G06F18/2413—Classification techniques relating to the classification model, e.g. parametric or non-parametric approaches based on distances to training or reference patterns
- G06F18/24147—Distances to closest patterns, e.g. nearest neighbour classification
Landscapes
- Engineering & Computer Science (AREA)
- Physics & Mathematics (AREA)
- Data Mining & Analysis (AREA)
- Theoretical Computer Science (AREA)
- General Physics & Mathematics (AREA)
- Artificial Intelligence (AREA)
- Computer Vision & Pattern Recognition (AREA)
- Evolutionary Biology (AREA)
- Evolutionary Computation (AREA)
- Bioinformatics & Computational Biology (AREA)
- General Engineering & Computer Science (AREA)
- Bioinformatics & Cheminformatics (AREA)
- Life Sciences & Earth Sciences (AREA)
- Mathematical Physics (AREA)
- Collating Specific Patterns (AREA)
Abstract
本发明公开了一种基于射频指纹的无人机探测与识别方法,属于无人机探测技术领域,包括信号接收模块、信号处理模块和无人机分类识别模块,适用于无人机探测与分类识别领域,其主要思路为:使用射频前端接收2.4GHz频段各频点的无线信号;判断接收信号的幅度是否稳定大于预设阈值来检测疑似信号,通过计算疑似信号的自相关函数是否具有周期性来完成无人机的探测;若是,提取无人机信号中部分特征作为该无人机设备的“指纹”,使用分类识别算法对无人机进行分类识别。
The invention discloses a drone detection and identification method based on radio frequency fingerprints, belonging to the technical field of drone detection, comprising a signal receiving module, a signal processing module and a drone classification and identification module, and is suitable for drone detection and classification In the field of identification, the main idea is: use the RF front-end to receive wireless signals at various frequencies in the 2.4GHz band; determine whether the amplitude of the received signal is stable and greater than a preset threshold to detect suspected signals, and calculate whether the autocorrelation function of the suspected signal is periodic. To complete the detection of the UAV; if so, extract some features in the UAV signal as the "fingerprint" of the UAV device, and use the classification and identification algorithm to classify and identify the UAV.
Description
技术领域technical field
本发明属于无人机探测与识别领域,具体提出一种无人机探测与识别方法。The invention belongs to the field of UAV detection and identification, and specifically provides a UAV detection and identification method.
背景技术Background technique
随着当今社会民用无人机的广泛使用,给人类社会带来诸多便利的同时,也会带来一些意外情况,无人机失控会导致行人或建筑的意外伤害。因此,需要有一种机制能够探测出无人机并对其身份进行识别,从而区分合法与违法的无人机,提高管控效率。With the widespread use of civil drones in today's society, while bringing a lot of convenience to human society, it will also bring some unexpected situations. Uncontrolled drones will lead to accidental injuries to pedestrians or buildings. Therefore, there is a need for a mechanism that can detect drones and identify their identities, so as to distinguish legal and illegal drones and improve control efficiency.
目前主要的无人机探测技术有无线电频谱监测、雷达探测、声波识别和可见光/红外探测等。无线电频谱探测技术主要是利用无线电监测设备侦测目标无人机的无线信号,通过综合分析处理,发现并识别目标。无人机雷达探测技术是利用雷达扫描技术,根据电磁波在经过不同传输介质时产生的反射波现象来实现对无人机的探测。无人机在飞行时,其电机工作和旋翼震动均会产生一定程度的噪声,并且每台无人机产生的噪声具有唯一性,可以作为无人机的“音频指纹”。无人机声波识别技术正是利用“音频指纹”来发现和探测无人机。可见光/红外侦测是利用可见光或目标的热红外反射,采用超视距、高清的可见光摄像机和红外热成像仪传感器组合来进行无人机侦测。使用以上技术探测识别无人机的优缺点比较如图1所示,由图1可知,传统无人机探测技术的设备比较复杂,识别精度不高。At present, the main UAV detection technologies include radio spectrum monitoring, radar detection, acoustic identification and visible light/infrared detection. The radio spectrum detection technology mainly uses radio monitoring equipment to detect the wireless signal of the target UAV, and through comprehensive analysis and processing, finds and identifies the target. UAV radar detection technology uses radar scanning technology to detect UAVs according to the phenomenon of reflected waves generated when electromagnetic waves pass through different transmission media. When the drone is flying, its motor work and rotor vibration will produce a certain degree of noise, and the noise generated by each drone is unique and can be used as the "audio fingerprint" of the drone. UAV sonic identification technology uses "audio fingerprints" to discover and detect UAVs. Visible light/infrared detection is to use visible light or thermal infrared reflection of the target, and use a combination of over-the-horizon, high-definition visible light cameras and infrared thermal imager sensors to detect drones. A comparison of the advantages and disadvantages of using the above technologies to detect and identify UAVs is shown in Figure 1. From Figure 1, it can be seen that the equipment of traditional UAV detection technology is relatively complex and the recognition accuracy is not high.
本发明提出的基于射频指纹的无人机探测与识别技术不仅可以解决以往无人机探测系统中设备复杂问题,而且识别精度也很高。所谓射频指纹,是指在制造无线通信设备过程中,在保证产品合格的前提下,射频电路上依然会产生微小的随机性的特征。这些特征具有唯一性、普遍性、稳健性以及短时不变性,类似于生物的指纹可以唯一地标识某个个体,这些特征被称为射频指纹。由于无人机正是采用无线通信进行信息交互,因此基于射频指纹技术的无人机探测与识别具有极大的可行性,且可以有效地识别无人机身份,可以提高无人机的管控效率。The UAV detection and identification technology based on the radio frequency fingerprint proposed by the present invention can not only solve the complex equipment problems in the UAV detection system in the past, but also has high identification accuracy. The so-called radio frequency fingerprint refers to the tiny random features on the radio frequency circuit in the process of manufacturing wireless communication equipment under the premise of ensuring the product is qualified. These features have uniqueness, universality, robustness and short-term invariance, similar to biological fingerprints that can uniquely identify an individual, these features are called radio frequency fingerprints. Since UAVs use wireless communication for information exchange, the detection and identification of UAVs based on RF fingerprint technology has great feasibility, and can effectively identify the identity of UAVs, which can improve the efficiency of UAV management and control. .
发明内容SUMMARY OF THE INVENTION
本发明的目的是提供一种基于射频指纹的无人机探测与识别方法,有效解决当下无人机探测与识别设备系统复杂、识别效率低的问题。The purpose of the present invention is to provide a method for detecting and identifying an unmanned aerial vehicle based on a radio frequency fingerprint, which effectively solves the problems of complex and low identification efficiency of the current unmanned aerial vehicle detection and identification equipment system.
本发明提供了如下的技术方案:The invention provides the following technical solutions:
一种基于射频指纹的无人机探测与识别方法,该技术方案包括:A method for detecting and identifying drones based on radio frequency fingerprints, the technical solution includes:
信号接收模块,通过射频前端采集无线信号,对接收信号进行一系列预处理并进行存储。The signal receiving module collects wireless signals through the RF front-end, performs a series of preprocessing on the received signals and stores them.
信号处理模块,对存储的信号进行综合分析处理,实现对无人机的探测。The signal processing module comprehensively analyzes and processes the stored signals to realize the detection of UAVs.
无人机识别模块,对探测到的无人机信号进行特征的选取并提取信号特征,将提取的信号特征作为无人机的“指纹”,利用无人机识别算法实现无人机的分类识别。The UAV identification module selects the features of the detected UAV signals and extracts the signal features, uses the extracted signal features as the "fingerprint" of the UAV, and uses the UAV identification algorithm to realize the classification and identification of the UAV. .
一种基于射频指纹的无人机探测和识别方法,包括步骤如下:A method for detecting and identifying drones based on radio frequency fingerprints, comprising the following steps:
步骤1,通过射频前端接收无线信号,具体为:使用2.4GHz全向天线接收无线信号,将天线接收的无线信号经2.4GHz低噪声高频放大器放大后送入滤波器进行滤波,将滤波后的信号经过混频器进行下变频处理,输出较为稳定的中频信号频谱信息。Step 1: Receive wireless signals through the radio frequency front-end, specifically: use a 2.4GHz omnidirectional antenna to receive wireless signals, amplify the wireless signals received by the antenna through a 2.4GHz low-noise high-frequency amplifier, and then send them to a filter for filtering, and filter the filtered signals. The signal is down-converted by the mixer to output relatively stable frequency spectrum information of the intermediate frequency signal.
步骤2,基于步骤1得到的信号进行处理,若接收信号某个频段上的信号幅度稳定大于预设阈值σ,则判定有信号进入并将该信号记为疑似信号,对疑似信号进行判定,由于无人机的通信信号是周期信号,其自相关函数依然具有周期性,而噪声干扰信号的自相关函数则不具备周期性,因此通过计算疑似信号的自相关函数是否具有周期性来判别疑似信号是否为无人机信号,从而实现无人机的探测。Step 2: Process based on the signal obtained in Step 1. If the signal amplitude on a certain frequency band of the received signal is stably greater than the preset threshold σ, it is determined that there is a signal entering and the signal is recorded as a suspected signal, and the suspected signal is determined. The communication signal of the UAV is a periodic signal, and its autocorrelation function is still periodic, while the autocorrelation function of the noise interference signal is not periodic. Therefore, the suspected signal is determined by calculating whether the autocorrelation function of the suspected signal is periodic. Whether it is a drone signal, so as to realize the detection of the drone.
步骤3,基于步骤2得到的无人机信号进行数据采集,分为离线阶段和在线阶段,离线阶段:使用信号特征提取算法提取无人机信号特征,作为该无人机设备的“指纹”,最后将提取的“指纹”数据和代表该无人机类别的标签一起作为训练数据进行存储,在线阶段:提取步骤2得到的无人机信号的信号特征,作为测试数据并存储。Step 3, based on the UAV signal obtained in step 2, perform data collection, which is divided into an offline stage and an online stage, and the offline stage: use the signal feature extraction algorithm to extract the UAV signal features, as the "fingerprint" of the UAV equipment, Finally, the extracted "fingerprint" data and the label representing the UAV category are stored as training data. In the online stage, the signal features of the UAV signal obtained in step 2 are extracted and stored as test data.
步骤4,基于步骤3得到的无人机信号训练数据和测试数据,利用无人机分类识别算法来实现无人机的分类识别。Step 4: Based on the training data and test data of the UAV signal obtained in step 3, the UAV classification and identification algorithm is used to realize the classification and identification of the UAV.
优选的,无人机信号特征提取算法,包括以下步骤:Preferably, the UAV signal feature extraction algorithm includes the following steps:
S1:将信号x(t)=xI(t)+xQ(t)作为输入信号经过I/Q正交调制器进行调制,得到输出信号s(t),其中XI(t)是同相分量,XQ(t)是正交分量。求取s(t)的复数并化简得SB(t)=αx(t)+βx*(t)其中α=cosθ+jεsinθ,β=εcosθ+jsinθ,ε和θ分别为正交调制器的增益失配和相位失配参数。S1: Modulate the signal x(t)=x I (t)+x Q (t) as the input signal through the I/Q quadrature modulator to obtain the output signal s(t), where X I (t) is in-phase component, X Q (t) is the quadrature component. Find the complex number of s(t) and simplify it to get S B (t)=αx(t)+βx * (t) where α=cosθ+jεsinθ, β=εcosθ+jsinθ, ε and θ are quadrature modulators respectively gain mismatch and phase mismatch parameters.
S2:对S1中的SB(t)进行分析。定义接收信号对r(t)取复共轭得到r*(t)=β*x(t)+α*x*(t),定义计算Y(t)的自相关矩阵RY=E[Y(t)Y(t)H],对RY进行化简可得其中σx 2是x(t)的能量,σs 2是SB(t)的能量。S2: Analysis of S B (t) in S1. Define the received signal Take the complex conjugate of r(t) to get r * (t)=β * x(t)+α * x * (t), the definition Calculate the autocorrelation matrix of Y(t) R Y =E[Y(t)Y(t) H ], and simplify R Y to get where σ x 2 is the energy of x(t) and σ s 2 is the energy of S B (t).
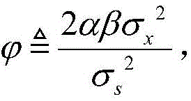
S3:基于S2中得到的自相关矩阵RY,定义代入α和β进行化简得由化简结果可知,只与ε和θ有关,对于不同的无人机设备,由I/Q失配产生的相位失配θ和增益失配ε是不同的,因此不同无人机的值不同,那么就可以将的值作为无人机设备的“指纹”。S3: Based on the autocorrelation matrix R Y obtained in S2, define Substitute α and β to simplify From the simplified result, it can be seen that It is only related to ε and θ. For different UAV devices, the phase mismatch θ and gain mismatch ε caused by I/Q mismatch are different, so the different values, then the The value of is used as the "fingerprint" of the drone device.
优选的,无人机分类识别算法之K最近邻算法,包括以下步骤:Preferably, the K-nearest neighbor algorithm of the UAV classification and identification algorithm includes the following steps:
S1:当获取无人机的训练数据S和待测试数据T后,将S和T加载到算法中,并指定K的值为k。S1: After obtaining the training data S and the data to be tested T of the UAV, load S and T into the algorithm, and specify the value of K as k.
S2:基于S1的数据S和T,对数据进行归一化,得到新训练数据S'和新测试数据T',归一化公式为X′=(X-minX)/(maxX-minX),其中X是原始数据,X'为X归一化后的新数据,maxX和minX分别为X中的最大值和最小值。S2: Based on the data S and T of S1, normalize the data to obtain new training data S' and new test data T', the normalization formula is X'=(X-minX)/(maxX-minX), where X is the original data, X' is the new data normalized by X, and maxX and minX are the maximum and minimum values in X, respectively.
S3:基于S2中归一化之后的新数据S'和T',选取待测试数据T'中数据t,计算t到S'中数据si的欧式距离di,其中i=(1,2,…n),n为S'中数据的总个数。S3: Based on the normalized new data S' and T' in S2, select the data t in the data to be tested T', and calculate the Euclidean distance d i from t to the data si in S', where i=(1,2 ,...n), where n is the total number of data in S'.
S4:基于S3中得到的欧式距离di,对di进行升序排序,得到距离集D=(d1,d2,…,dn),n为S'中数据的总个数。S4: Based on the Euclidean distance d i obtained in S3, sort d i in ascending order to obtain a distance set D=(d 1 , d 2 ,..., d n ), where n is the total number of data in S'.
S5:基于S4中的距离D,选取D中前k个欧氏距离分别对应到训练数据S'中的数据s”。S5: Based on the distance D in S4, select the first k Euclidean distances in D to correspond to the data s" in the training data S' respectively.
S6:基于S5中的数据s”,统计s”中类别的个数,将出现频率最高的类别label作为测试数据T的类别,则label就是待测试无人机的类别,即完成了无人机的识别。S6: Based on the data s" in S5, count the number of categories in s", and use the label with the highest frequency as the category of the test data T, then the label is the category of the UAV to be tested, that is, the UAV is completed. identification.
有益效果beneficial effect
本发明的有益效果在于:本发明首先使用射频前端平台接收信号,具体为:使用2.4GHz的全向天线接收2.412GHz到2.472GHz不同频点的无线信号,对接收的信号进行预处理;通过对比接收信号的幅度是否稳定大于预设阈值σ来检测疑似信号,分析疑似信号的自相关函数是否具有周期性来实现无人机的探测;无人机探测成功后,使用信号特征提取算法提取无人机信号特征作为无人机设备“指纹”;最后使用无人机分类识别算法来实现无人机的分类识别。其中,本发明中提取的信号特征具有唯一性和短时不变性,可以很好的区分不同无人机设备。无人机分类识别算法使用K最近邻算法,算法中选用欧式距离来计算未知点与已知点的距离,通过设置不同的K值来使算法的识别率达到最高,解决了基于现有的无人机探测与识别设备中系统复杂、识别效率低的问题。The beneficial effects of the present invention are as follows: the present invention firstly uses a radio frequency front-end platform to receive signals, specifically: using a 2.4GHz omnidirectional antenna to receive wireless signals at different frequencies from 2.412GHz to 2.472GHz, and preprocess the received signals; Whether the amplitude of the received signal is stable and greater than the preset threshold σ can detect the suspected signal, and analyze whether the autocorrelation function of the suspected signal is periodic to realize the detection of the UAV; after the UAV is detected successfully, use the signal feature extraction algorithm to extract the unmanned aerial vehicle. The UAV signal features are used as the "fingerprint" of the UAV equipment; finally, the UAV classification and identification algorithm is used to realize the classification and identification of the UAV. Among them, the signal features extracted in the present invention have uniqueness and short-term invariance, and can distinguish different UAV devices well. The UAV classification and identification algorithm uses the K nearest neighbor algorithm. The Euclidean distance is used in the algorithm to calculate the distance between the unknown point and the known point. By setting different K values, the algorithm has the highest recognition rate, which solves the problem based on the existing The problems of complex system and low identification efficiency in man-machine detection and identification equipment.
附图说明Description of drawings
图1为本发明中常用无人机探测技术优缺点比较示意图;Fig. 1 is the comparative schematic diagram of the advantages and disadvantages of the commonly used UAV detection technology in the present invention;
图2为本发明中无人机探测与识别方法流程示意图;Fig. 2 is the schematic flow chart of the method for detecting and identifying the UAV in the present invention;
图3为本发明中无人机分类识别算法流程示意图;3 is a schematic flowchart of the classification and identification algorithm of UAV in the present invention;
具体实施方式Detailed ways
下面结合附图对本发明作进一步说明:The present invention will be further described below in conjunction with the accompanying drawings:
本发明提供了一种基于射频指纹的无人机探测与识别方法,应用于无人机探测与识别系统,具体该无人机探测与识别系统包括:信号接收模块、信号处理模块和无人机识别模块The invention provides a method for detecting and identifying an unmanned aerial vehicle based on a radio frequency fingerprint, which is applied to an unmanned aerial vehicle detection and identification system. Specifically, the unmanned aerial vehicle detection and identification system includes: a signal receiving module, a signal processing module and an unmanned aerial vehicle. Identify the module
如图2所示,一种基于射频指纹的无人机探测与识别方法,该方法具体包括以下步骤:As shown in Figure 2, a method for detecting and identifying UAVs based on radio frequency fingerprints, the method specifically includes the following steps:
步骤1,通过射频前端接收无线信号。具体为:使用2.4GHz全向天线接收无线信号,将天线接收的无线信号经2.4GHz低噪声高频放大器放大后送入滤波器进行滤波,将滤波后的信号经过混频器进行下变频处理,输出较为稳定的中频信号频谱信息。Step 1: Receive wireless signals through the radio frequency front end. Specifically: use a 2.4GHz omnidirectional antenna to receive wireless signals, amplify the wireless signals received by the antenna through a 2.4GHz low-noise high-frequency amplifier, and then send them to a filter for filtering, and pass the filtered signal through a mixer for down-conversion processing. Output relatively stable IF signal spectrum information.
步骤2,基于步骤1得到的信号进行处理,若接收信号某个频段上的信号幅度稳定大于预设阈值σ,则判定有信号进入并将该信号记为疑似信号,由于无人机的通信信号是周期信号,其自相关函数依然具有周期性,而噪声等干扰信号的自相关函数则不具备周期性,因此可以通过计算疑似信号的自相关函数是否具有周期性来判别疑似信号是否为无人机信号,从而实现无人机的探测。Step 2: Process based on the signal obtained in step 1. If the signal amplitude on a certain frequency band of the received signal is stably greater than the preset threshold σ, it is determined that a signal has entered and the signal is recorded as a suspected signal. It is a periodic signal, and its autocorrelation function is still periodic, while the autocorrelation function of interference signals such as noise is not periodic. Therefore, it can be determined whether the suspected signal is unmanned by calculating whether the autocorrelation function of the suspected signal is periodic. UAV signal, so as to realize the detection of UAV.
步骤3,基于步骤1-2得到的无人机信号进行数据采集,分为在线阶段的训练数据采集和离线阶段的测试数据采集。具体步骤为:接收信号为r(t),令r*(t)为r(t)的复共轭,计算Y(t)的自相关函数其中σx 2是理想信号x(t)的能量,σs 2是r(t)的能量。定义信号特征将的值作为该无人机设备的射频“指纹”,将采集的训练数据和测试数据分别存储。In step 3, data collection is performed based on the UAV signals obtained in steps 1-2, which are divided into training data collection in the online stage and test data collection in the offline stage. The specific steps are: the received signal is r(t), let r * (t) is the complex conjugate of r(t), calculate the autocorrelation function of Y(t) where σ x 2 is the energy of the ideal signal x(t) and σ s 2 is the energy of r(t). Define Signal Characteristics Will The value of is used as the RF "fingerprint" of the UAV equipment, and the collected training data and test data are stored separately.
步骤4,基于步骤3得到的无人机信号训练数据和测试数据,使用K最近邻算法对无人机进行分类识别。K最近邻算法的流程图如图3所示,具体步骤为:(1)对数据集进行归一化,得到新训练数据S'和新测试数据T',归一化公式为X′=(X-minX)/(maxX-minX),其中X是原始数据,X'为归一化后新数据,maxX和minX分别为X中的最大值和最小值。(2)选取待测试数据T'中的数据t,计算t到S'中数据si的欧式距离di,其中i=(1,2,…n),n为S'中数据的总个数。(3)对di进行升序排序,得到距离集D=(d1,d2,…,dn),n为S'中数据的总个数。(4)选取D中前k个欧氏距离分别对应训练集S'中的数据点s”。(5)统计s”中类别的个数,将出现频率最高的类别label作为测试数据T的类别,则label就是待测试无人机的类别,即完成了无人机的识别。Step 4, based on the UAV signal training data and test data obtained in step 3, use the K nearest neighbor algorithm to classify and identify the UAV. The flowchart of the K-nearest neighbor algorithm is shown in Figure 3. The specific steps are: (1) Normalize the data set to obtain new training data S' and new test data T', and the normalization formula is X'=( X-minX)/(maxX-minX), where X is the original data, X' is the new data after normalization, and maxX and minX are the maximum and minimum values in X, respectively. (2) Select the data t in the data to be tested T', and calculate the Euclidean distance d i from t to the data si in S', where i=(1,2,...n), and n is the total number of data in S' number. (3) Sort d i in ascending order to obtain the distance set D=(d 1 , d 2 ,...,d n ), where n is the total number of data in S'. (4) Select the first k Euclidean distances in D corresponding to the data points s" in the training set S'. (5) Count the number of categories in s", and use the category label with the highest frequency as the category of the test data T , the label is the category of the drone to be tested, that is, the identification of the drone is completed.
Claims (2)
Priority Applications (1)
| Application Number | Priority Date | Filing Date | Title |
|---|---|---|---|
| CN202010601237.0A CN111830321B (en) | 2020-06-29 | 2020-06-29 | A method of detection and identification of UAV based on radio frequency fingerprint |
Applications Claiming Priority (1)
| Application Number | Priority Date | Filing Date | Title |
|---|---|---|---|
| CN202010601237.0A CN111830321B (en) | 2020-06-29 | 2020-06-29 | A method of detection and identification of UAV based on radio frequency fingerprint |
Publications (2)
| Publication Number | Publication Date |
|---|---|
| CN111830321A CN111830321A (en) | 2020-10-27 |
| CN111830321B true CN111830321B (en) | 2022-07-01 |
Family
ID=72898991
Family Applications (1)
| Application Number | Title | Priority Date | Filing Date |
|---|---|---|---|
| CN202010601237.0A Active CN111830321B (en) | 2020-06-29 | 2020-06-29 | A method of detection and identification of UAV based on radio frequency fingerprint |
Country Status (1)
| Country | Link |
|---|---|
| CN (1) | CN111830321B (en) |
Families Citing this family (7)
| Publication number | Priority date | Publication date | Assignee | Title |
|---|---|---|---|---|
| CN112199198A (en) * | 2020-10-28 | 2021-01-08 | 上海特金无线技术有限公司 | Method, device, equipment and medium for allocating operation resources detected by unmanned aerial vehicle |
| CN112560923A (en) * | 2020-12-10 | 2021-03-26 | 中科融通物联科技无锡有限公司 | Unmanned aerial vehicle type identification method |
| CN114548148B (en) * | 2022-01-11 | 2025-08-29 | 西安理工大学 | Anti-UAV UV close-range detection and recognition method in three-dimensional space |
| CN116956050A (en) * | 2022-03-29 | 2023-10-27 | 杨剑 | Unmanned aerial vehicle fingerprint identification method, device and equipment based on artificial intelligence |
| CN116680631B (en) * | 2023-02-08 | 2026-01-02 | 电信科学技术第四研究所有限公司 | A method for individual drone identification based on multi-RF fingerprint joint detection |
| CN116561642B (en) * | 2023-05-26 | 2025-09-26 | 重庆邮电大学 | Signal fingerprint feature extraction and recognition method of the same radiation source in multiple environments |
| CN119543858B (en) * | 2025-01-22 | 2025-05-02 | 四川省华盾防务科技股份有限公司 | Control method of microwave power amplifier of unmanned aerial vehicle |
Citations (8)
| Publication number | Priority date | Publication date | Assignee | Title |
|---|---|---|---|---|
| CN106452716A (en) * | 2016-11-15 | 2017-02-22 | 厦门大学 | Unmanned aerial vehicle signal recognition and detection algorithm based on Hash fingerprint |
| CN106878225A (en) * | 2017-01-17 | 2017-06-20 | 东南大学 | Method and device for separating device fingerprint and channel |
| CN206312178U (en) * | 2016-12-30 | 2017-07-07 | 郑旭阳 | A kind of invigilator's unmanned plane for supporting various identification modes |
| CN108957445A (en) * | 2018-07-30 | 2018-12-07 | 四川九洲空管科技有限责任公司 | A kind of low-altitude low-velocity small targets detection system and its detection method |
| CN110087233A (en) * | 2019-03-28 | 2019-08-02 | 东南大学 | A kind of unmanned plane identity identifying method based on radio-frequency fingerprint |
| CN110705450A (en) * | 2019-09-27 | 2020-01-17 | 北京理工全盛科技有限公司 | Passive unmanned aerial vehicle detection device |
| CN110784864A (en) * | 2019-11-01 | 2020-02-11 | 中国电子科技集团公司第三十研究所 | A method for radio frequency fingerprint identification and secure access authentication of satellite-ground link equipment |
| CN111239676A (en) * | 2019-12-10 | 2020-06-05 | 重庆邮电大学 | Unmanned aerial vehicle detection and direction finding method based on software radio |
Family Cites Families (2)
| Publication number | Priority date | Publication date | Assignee | Title |
|---|---|---|---|---|
| US8810404B2 (en) * | 2010-04-08 | 2014-08-19 | The United States Of America, As Represented By The Secretary Of The Navy | System and method for radio-frequency fingerprinting as a security layer in RFID devices |
| US9407881B2 (en) * | 2014-04-10 | 2016-08-02 | Smartvue Corporation | Systems and methods for automated cloud-based analytics for surveillance systems with unmanned aerial devices |
-
2020
- 2020-06-29 CN CN202010601237.0A patent/CN111830321B/en active Active
Patent Citations (8)
| Publication number | Priority date | Publication date | Assignee | Title |
|---|---|---|---|---|
| CN106452716A (en) * | 2016-11-15 | 2017-02-22 | 厦门大学 | Unmanned aerial vehicle signal recognition and detection algorithm based on Hash fingerprint |
| CN206312178U (en) * | 2016-12-30 | 2017-07-07 | 郑旭阳 | A kind of invigilator's unmanned plane for supporting various identification modes |
| CN106878225A (en) * | 2017-01-17 | 2017-06-20 | 东南大学 | Method and device for separating device fingerprint and channel |
| CN108957445A (en) * | 2018-07-30 | 2018-12-07 | 四川九洲空管科技有限责任公司 | A kind of low-altitude low-velocity small targets detection system and its detection method |
| CN110087233A (en) * | 2019-03-28 | 2019-08-02 | 东南大学 | A kind of unmanned plane identity identifying method based on radio-frequency fingerprint |
| CN110705450A (en) * | 2019-09-27 | 2020-01-17 | 北京理工全盛科技有限公司 | Passive unmanned aerial vehicle detection device |
| CN110784864A (en) * | 2019-11-01 | 2020-02-11 | 中国电子科技集团公司第三十研究所 | A method for radio frequency fingerprint identification and secure access authentication of satellite-ground link equipment |
| CN111239676A (en) * | 2019-12-10 | 2020-06-05 | 重庆邮电大学 | Unmanned aerial vehicle detection and direction finding method based on software radio |
Non-Patent Citations (2)
| Title |
|---|
| Micro-UAV Detection and Classification from RF Fingerprints Using Machine Learning Technique;Martins Ezuma et al.;《2019 IEEE Aerospace Conference》;20190620;1-13 * |
| 无人机射频指纹提取与分类识别方法研究;耿飞跃;《中国优秀博硕士学位论文全文数据库(硕士) 工程科技II辑》;20200615;C031-188 * |
Also Published As
| Publication number | Publication date |
|---|---|
| CN111830321A (en) | 2020-10-27 |
Similar Documents
| Publication | Publication Date | Title |
|---|---|---|
| CN111830321B (en) | A method of detection and identification of UAV based on radio frequency fingerprint | |
| Zhao et al. | Classification of small UAVs based on auxiliary classifier Wasserstein GANs | |
| CN114580476B (en) | A method for constructing a recognition model of drone signals and a corresponding recognition method and system | |
| CN108764077A (en) | A kind of digital signal modulated sorting technique based on convolutional neural networks | |
| CN115508821A (en) | Multisource fuses unmanned aerial vehicle intelligent detection system | |
| CN107770108A (en) | A Joint Modulation Recognition Method for K‑Means Clustering and Hierarchical Training SVM Classifier | |
| CN115294615A (en) | A Machine Learning-Based Radio Frequency Fingerprint Recognition Method | |
| Medaiyese et al. | Semi-supervised learning framework for UAV detection | |
| CN115017941B (en) | Electromagnetic spectrum radiation source identification method, device, equipment and storage medium | |
| CN115134848B (en) | Wi-Fi signal-based human activity perception identification method, system and storage medium | |
| CN108197581B (en) | A UAV Signal Recognition and Detection Method Based on Improved AC-WGANs | |
| CN110764152B (en) | Device and method for rapid detection and identification of unmanned aerial vehicle | |
| CN107273795B (en) | A method and device for constructing a cross-device electromagnetic fingerprint database based on machine learning | |
| CN115809426A (en) | Radiation source individual identification method and system | |
| CN112152731B (en) | Fractal dimension-based unmanned aerial vehicle detection and identification method | |
| CN111310719A (en) | Unknown radiation source individual identification and detection method | |
| Xu et al. | Radio transmitter classification using a new method of stray features analysis combined with PCA | |
| CN108663717B (en) | Unmanned plane signal recognition method and system | |
| Shi et al. | Few-shot specific emitter identification via neural architecture search and deep transfer learning | |
| CN119967468B (en) | Lightweight and real-time OcuSync protocol drone identification method based on preamble extraction | |
| CN120640295B (en) | Malicious transmitter intelligent detection method based on distributed external data | |
| CN115099289B (en) | System and method for distinguishing identity of radio radiation source based on weak fingerprint characteristics | |
| Reese et al. | Yolo for radio frequency signal classification | |
| Mazokha et al. | MobRFFI: Non-cooperative device re-identification for mobility intelligence | |
| CN114139569B (en) | Non-suppression carrier FM signal identification model and method |
Legal Events
| Date | Code | Title | Description |
|---|---|---|---|
| PB01 | Publication | ||
| PB01 | Publication | ||
| SE01 | Entry into force of request for substantive examination | ||
| SE01 | Entry into force of request for substantive examination | ||
| GR01 | Patent grant | ||
| GR01 | Patent grant | ||
| TR01 | Transfer of patent right | ||
| TR01 | Transfer of patent right |
Effective date of registration: 20231225 Address after: 506A, 5th Floor, No. 31 Fuchengmenwai Street, Xicheng District, Beijing, 100032 Patentee after: Zhonglian Jinguan information technology (Beijing) Co.,Ltd. Address before: No. 86-N2231, Changyang Wanxing Road, Fangshan District, Beijing, 102400 Patentee before: Beijing Quanrui Technology Service Co.,Ltd. Effective date of registration: 20231225 Address after: No. 86-N2231, Changyang Wanxing Road, Fangshan District, Beijing, 102400 Patentee after: Beijing Quanrui Technology Service Co.,Ltd. Address before: 400065 No. 2, Chongwen Road, Nan'an District, Chongqing Patentee before: CHONGQING University OF POSTS AND TELECOMMUNICATIONS |



















