CN111793093A - Organic electroluminescent material and device - Google Patents
Organic electroluminescent material and device Download PDFInfo
- Publication number
- CN111793093A CN111793093A CN202010251906.6A CN202010251906A CN111793093A CN 111793093 A CN111793093 A CN 111793093A CN 202010251906 A CN202010251906 A CN 202010251906A CN 111793093 A CN111793093 A CN 111793093A
- Authority
- CN
- China
- Prior art keywords
- compound
- group
- formula
- independently
- ligand
- Prior art date
- Legal status (The legal status is an assumption and is not a legal conclusion. Google has not performed a legal analysis and makes no representation as to the accuracy of the status listed.)
- Pending
Links
- 239000000463 material Substances 0.000 title abstract description 86
- 150000001875 compounds Chemical class 0.000 claims abstract description 138
- 239000003446 ligand Substances 0.000 claims abstract description 123
- 125000001424 substituent group Chemical group 0.000 claims description 57
- 125000000217 alkyl group Chemical group 0.000 claims description 42
- 229910052757 nitrogen Inorganic materials 0.000 claims description 41
- -1 amino, silyl Chemical group 0.000 claims description 39
- 125000003118 aryl group Chemical group 0.000 claims description 38
- 229910052751 metal Inorganic materials 0.000 claims description 34
- 239000002184 metal Substances 0.000 claims description 34
- 125000000753 cycloalkyl group Chemical group 0.000 claims description 31
- 125000001072 heteroaryl group Chemical group 0.000 claims description 31
- 229910052741 iridium Inorganic materials 0.000 claims description 28
- 229910052799 carbon Inorganic materials 0.000 claims description 27
- 229910052739 hydrogen Inorganic materials 0.000 claims description 25
- 239000001257 hydrogen Substances 0.000 claims description 25
- 229910052717 sulfur Inorganic materials 0.000 claims description 25
- YZCKVEUIGOORGS-OUBTZVSYSA-N Deuterium Chemical compound [2H] YZCKVEUIGOORGS-OUBTZVSYSA-N 0.000 claims description 24
- 229910052805 deuterium Inorganic materials 0.000 claims description 24
- RTZKZFJDLAIYFH-UHFFFAOYSA-N Diethyl ether Chemical compound CCOCC RTZKZFJDLAIYFH-UHFFFAOYSA-N 0.000 claims description 22
- UFHFLCQGNIYNRP-UHFFFAOYSA-N Hydrogen Chemical compound [H][H] UFHFLCQGNIYNRP-UHFFFAOYSA-N 0.000 claims description 22
- 125000003342 alkenyl group Chemical group 0.000 claims description 21
- 229910052760 oxygen Inorganic materials 0.000 claims description 21
- 125000000392 cycloalkenyl group Chemical group 0.000 claims description 20
- 239000012044 organic layer Substances 0.000 claims description 19
- IJGRMHOSHXDMSA-UHFFFAOYSA-N Atomic nitrogen Chemical compound N#N IJGRMHOSHXDMSA-UHFFFAOYSA-N 0.000 claims description 18
- 125000000304 alkynyl group Chemical group 0.000 claims description 17
- 125000004404 heteroalkyl group Chemical group 0.000 claims description 17
- 125000003710 aryl alkyl group Chemical group 0.000 claims description 16
- 125000003545 alkoxy group Chemical group 0.000 claims description 15
- 125000004104 aryloxy group Chemical group 0.000 claims description 15
- 229910052736 halogen Inorganic materials 0.000 claims description 14
- 150000002367 halogens Chemical class 0.000 claims description 14
- 125000000623 heterocyclic group Chemical group 0.000 claims description 14
- 125000000592 heterocycloalkyl group Chemical group 0.000 claims description 14
- 238000006467 substitution reaction Methods 0.000 claims description 14
- 150000002527 isonitriles Chemical class 0.000 claims description 13
- 150000002825 nitriles Chemical class 0.000 claims description 13
- 125000002252 acyl group Chemical group 0.000 claims description 12
- 150000002148 esters Chemical class 0.000 claims description 12
- 125000000475 sulfinyl group Chemical group [*:2]S([*:1])=O 0.000 claims description 12
- 150000001732 carboxylic acid derivatives Chemical class 0.000 claims description 11
- 125000000472 sulfonyl group Chemical group *S(*)(=O)=O 0.000 claims description 11
- FVZVCSNXTFCBQU-UHFFFAOYSA-N phosphanyl Chemical group [PH2] FVZVCSNXTFCBQU-UHFFFAOYSA-N 0.000 claims description 10
- 125000001054 5 membered carbocyclic group Chemical group 0.000 claims description 7
- 125000004008 6 membered carbocyclic group Chemical group 0.000 claims description 7
- 230000003647 oxidation Effects 0.000 claims description 6
- 238000007254 oxidation reaction Methods 0.000 claims description 6
- 229910052711 selenium Inorganic materials 0.000 claims description 6
- 229910052697 platinum Inorganic materials 0.000 claims description 5
- OKTJSMMVPCPJKN-UHFFFAOYSA-N Carbon Chemical compound [C] OKTJSMMVPCPJKN-UHFFFAOYSA-N 0.000 claims description 4
- PXGOKWXKJXAPGV-UHFFFAOYSA-N Fluorine Chemical compound FF PXGOKWXKJXAPGV-UHFFFAOYSA-N 0.000 claims description 3
- 229910052731 fluorine Inorganic materials 0.000 claims description 3
- 239000011737 fluorine Substances 0.000 claims description 3
- 150000002431 hydrogen Chemical class 0.000 claims description 3
- 125000002915 carbonyl group Chemical group [*:2]C([*:1])=O 0.000 claims description 2
- 229910052802 copper Inorganic materials 0.000 claims description 2
- 229910052737 gold Inorganic materials 0.000 claims description 2
- 229910052763 palladium Inorganic materials 0.000 claims description 2
- 229910052709 silver Inorganic materials 0.000 claims description 2
- 125000000446 sulfanediyl group Chemical group *S* 0.000 claims 5
- 150000004820 halides Chemical class 0.000 claims 1
- MOWNZPNSYMGTMD-UHFFFAOYSA-N oxidoboron Chemical group O=[B] MOWNZPNSYMGTMD-UHFFFAOYSA-N 0.000 claims 1
- MJZMLBVNMBLKQY-UHFFFAOYSA-N sulfonylphosphane Chemical group O=S(=O)=P MJZMLBVNMBLKQY-UHFFFAOYSA-N 0.000 claims 1
- 239000010410 layer Substances 0.000 description 84
- OKKJLVBELUTLKV-UHFFFAOYSA-N Methanol Chemical compound OC OKKJLVBELUTLKV-UHFFFAOYSA-N 0.000 description 24
- GKOZUEZYRPOHIO-UHFFFAOYSA-N iridium atom Chemical compound [Ir] GKOZUEZYRPOHIO-UHFFFAOYSA-N 0.000 description 23
- 239000002019 doping agent Substances 0.000 description 22
- 239000000203 mixture Substances 0.000 description 17
- UFWIBTONFRDIAS-UHFFFAOYSA-N Naphthalene Chemical compound C1=CC=CC2=CC=CC=C21 UFWIBTONFRDIAS-UHFFFAOYSA-N 0.000 description 16
- UHOVQNZJYSORNB-UHFFFAOYSA-N Benzene Chemical compound C1=CC=CC=C1 UHOVQNZJYSORNB-UHFFFAOYSA-N 0.000 description 15
- YMWUJEATGCHHMB-UHFFFAOYSA-N Dichloromethane Chemical compound ClCCl YMWUJEATGCHHMB-UHFFFAOYSA-N 0.000 description 15
- 230000004888 barrier function Effects 0.000 description 15
- 230000032258 transport Effects 0.000 description 14
- UJOBWOGCFQCDNV-UHFFFAOYSA-N 9H-carbazole Chemical compound C1=CC=C2C3=CC=CC=C3NC2=C1 UJOBWOGCFQCDNV-UHFFFAOYSA-N 0.000 description 12
- TXCDCPKCNAJMEE-UHFFFAOYSA-N dibenzofuran Chemical compound C1=CC=C2C3=CC=CC=C3OC2=C1 TXCDCPKCNAJMEE-UHFFFAOYSA-N 0.000 description 12
- IYYZUPMFVPLQIF-UHFFFAOYSA-N dibenzothiophene sulfoxide Natural products C1=CC=C2C3=CC=CC=C3SC2=C1 IYYZUPMFVPLQIF-UHFFFAOYSA-N 0.000 description 12
- ZUOUZKKEUPVFJK-UHFFFAOYSA-N diphenyl Chemical compound C1=CC=CC=C1C1=CC=CC=C1 ZUOUZKKEUPVFJK-UHFFFAOYSA-N 0.000 description 12
- 125000005842 heteroatom Chemical group 0.000 description 12
- RAXXELZNTBOGNW-UHFFFAOYSA-N imidazole Natural products C1=CNC=N1 RAXXELZNTBOGNW-UHFFFAOYSA-N 0.000 description 12
- 238000000034 method Methods 0.000 description 12
- 150000003384 small molecules Chemical class 0.000 description 12
- 239000007787 solid Substances 0.000 description 12
- 150000004696 coordination complex Chemical class 0.000 description 11
- 239000000243 solution Substances 0.000 description 11
- XLYOFNOQVPJJNP-UHFFFAOYSA-N water Substances O XLYOFNOQVPJJNP-UHFFFAOYSA-N 0.000 description 11
- JUJWROOIHBZHMG-UHFFFAOYSA-N Pyridine Chemical compound C1=CC=NC=C1 JUJWROOIHBZHMG-UHFFFAOYSA-N 0.000 description 10
- 125000004432 carbon atom Chemical group C* 0.000 description 10
- 238000004770 highest occupied molecular orbital Methods 0.000 description 10
- 238000004768 lowest unoccupied molecular orbital Methods 0.000 description 10
- 125000004149 thio group Chemical group *S* 0.000 description 10
- 230000000903 blocking effect Effects 0.000 description 9
- XSCHRSMBECNVNS-UHFFFAOYSA-N quinoxaline Chemical compound N1=CC=NC2=CC=CC=C21 XSCHRSMBECNVNS-UHFFFAOYSA-N 0.000 description 9
- YLQBMQCUIZJEEH-UHFFFAOYSA-N tetrahydrofuran Natural products C=1C=COC=1 YLQBMQCUIZJEEH-UHFFFAOYSA-N 0.000 description 9
- FCEHBMOGCRZNNI-UHFFFAOYSA-N 1-benzothiophene Chemical compound C1=CC=C2SC=CC2=C1 FCEHBMOGCRZNNI-UHFFFAOYSA-N 0.000 description 8
- KYQCOXFCLRTKLS-UHFFFAOYSA-N Pyrazine Chemical compound C1=CN=CC=N1 KYQCOXFCLRTKLS-UHFFFAOYSA-N 0.000 description 8
- YTPLMLYBLZKORZ-UHFFFAOYSA-N Thiophene Chemical compound C=1C=CSC=1 YTPLMLYBLZKORZ-UHFFFAOYSA-N 0.000 description 8
- SLGBZMMZGDRARJ-UHFFFAOYSA-N Triphenylene Natural products C1=CC=C2C3=CC=CC=C3C3=CC=CC=C3C2=C1 SLGBZMMZGDRARJ-UHFFFAOYSA-N 0.000 description 8
- MWPLVEDNUUSJAV-UHFFFAOYSA-N anthracene Chemical compound C1=CC=CC2=CC3=CC=CC=C3C=C21 MWPLVEDNUUSJAV-UHFFFAOYSA-N 0.000 description 8
- 230000005525 hole transport Effects 0.000 description 8
- 229910052698 phosphorus Inorganic materials 0.000 description 8
- 229910052710 silicon Inorganic materials 0.000 description 8
- 239000000758 substrate Substances 0.000 description 8
- 125000005580 triphenylene group Chemical group 0.000 description 8
- PCNDJXKNXGMECE-UHFFFAOYSA-N Phenazine Natural products C1=CC=CC2=NC3=CC=CC=C3N=C21 PCNDJXKNXGMECE-UHFFFAOYSA-N 0.000 description 7
- 125000006615 aromatic heterocyclic group Chemical group 0.000 description 7
- 238000000151 deposition Methods 0.000 description 7
- SIKJAQJRHWYJAI-UHFFFAOYSA-N Indole Chemical compound C1=CC=C2NC=CC2=C1 SIKJAQJRHWYJAI-UHFFFAOYSA-N 0.000 description 6
- SMWDFEZZVXVKRB-UHFFFAOYSA-N Quinoline Chemical compound N1=CC=CC2=CC=CC=C21 SMWDFEZZVXVKRB-UHFFFAOYSA-N 0.000 description 6
- WIUZHVZUGQDRHZ-UHFFFAOYSA-N [1]benzothiolo[3,2-b]pyridine Chemical compound C1=CN=C2C3=CC=CC=C3SC2=C1 WIUZHVZUGQDRHZ-UHFFFAOYSA-N 0.000 description 6
- DZBUGLKDJFMEHC-UHFFFAOYSA-N acridine Chemical compound C1=CC=CC2=CC3=CC=CC=C3N=C21 DZBUGLKDJFMEHC-UHFFFAOYSA-N 0.000 description 6
- 125000004429 atom Chemical group 0.000 description 6
- CUFNKYGDVFVPHO-UHFFFAOYSA-N azulene Chemical compound C1=CC=CC2=CC=CC2=C1 CUFNKYGDVFVPHO-UHFFFAOYSA-N 0.000 description 6
- IOJUPLGTWVMSFF-UHFFFAOYSA-N benzothiazole Chemical compound C1=CC=C2SC=NC2=C1 IOJUPLGTWVMSFF-UHFFFAOYSA-N 0.000 description 6
- 239000004305 biphenyl Substances 0.000 description 6
- 235000010290 biphenyl Nutrition 0.000 description 6
- 229910052796 boron Inorganic materials 0.000 description 6
- 230000000052 comparative effect Effects 0.000 description 6
- 230000003111 delayed effect Effects 0.000 description 6
- VVVPGLRKXQSQSZ-UHFFFAOYSA-N indolo[3,2-c]carbazole Chemical compound C1=CC=CC2=NC3=C4C5=CC=CC=C5N=C4C=CC3=C21 VVVPGLRKXQSQSZ-UHFFFAOYSA-N 0.000 description 6
- AWJUIBRHMBBTKR-UHFFFAOYSA-N isoquinoline Chemical compound C1=NC=CC2=CC=CC=C21 AWJUIBRHMBBTKR-UHFFFAOYSA-N 0.000 description 6
- 125000004433 nitrogen atom Chemical group N* 0.000 description 6
- 239000011368 organic material Substances 0.000 description 6
- YNPNZTXNASCQKK-UHFFFAOYSA-N phenanthrene Chemical compound C1=CC=C2C3=CC=CC=C3C=CC2=C1 YNPNZTXNASCQKK-UHFFFAOYSA-N 0.000 description 6
- 238000005424 photoluminescence Methods 0.000 description 6
- 229920000642 polymer Polymers 0.000 description 6
- BWHMMNNQKKPAPP-UHFFFAOYSA-L potassium carbonate Chemical compound [K+].[K+].[O-]C([O-])=O BWHMMNNQKKPAPP-UHFFFAOYSA-L 0.000 description 6
- BBEAQIROQSPTKN-UHFFFAOYSA-N pyrene Chemical compound C1=CC=C2C=CC3=CC=CC4=CC=C1C2=C43 BBEAQIROQSPTKN-UHFFFAOYSA-N 0.000 description 6
- 239000011541 reaction mixture Substances 0.000 description 6
- 229920006395 saturated elastomer Polymers 0.000 description 6
- 239000000126 substance Substances 0.000 description 6
- 238000006243 chemical reaction Methods 0.000 description 5
- 239000000412 dendrimer Substances 0.000 description 5
- 229920000736 dendritic polymer Polymers 0.000 description 5
- DHFABSXGNHDNCO-UHFFFAOYSA-N dibenzoselenophene Chemical compound C1=CC=C2C3=CC=CC=C3[se]C2=C1 DHFABSXGNHDNCO-UHFFFAOYSA-N 0.000 description 5
- 238000009472 formulation Methods 0.000 description 5
- 229960005544 indolocarbazole Drugs 0.000 description 5
- 238000002347 injection Methods 0.000 description 5
- 239000007924 injection Substances 0.000 description 5
- 125000002080 perylenyl group Chemical group C1(=CC=C2C=CC=C3C4=CC=CC5=CC=CC(C1=C23)=C45)* 0.000 description 5
- CSHWQDPOILHKBI-UHFFFAOYSA-N peryrene Natural products C1=CC(C2=CC=CC=3C2=C2C=CC=3)=C3C2=CC=CC3=C1 CSHWQDPOILHKBI-UHFFFAOYSA-N 0.000 description 5
- 125000003367 polycyclic group Chemical group 0.000 description 5
- UMJSCPRVCHMLSP-UHFFFAOYSA-N pyridine Natural products COC1=CC=CN=C1 UMJSCPRVCHMLSP-UHFFFAOYSA-N 0.000 description 5
- 125000006413 ring segment Chemical group 0.000 description 5
- JYEUMXHLPRZUAT-UHFFFAOYSA-N 1,2,3-triazine Chemical compound C1=CN=NN=C1 JYEUMXHLPRZUAT-UHFFFAOYSA-N 0.000 description 4
- YJTKZCDBKVTVBY-UHFFFAOYSA-N 1,3-Diphenylbenzene Chemical group C1=CC=CC=C1C1=CC=CC(C=2C=CC=CC=2)=C1 YJTKZCDBKVTVBY-UHFFFAOYSA-N 0.000 description 4
- HYZJCKYKOHLVJF-UHFFFAOYSA-N 1H-benzimidazole Chemical compound C1=CC=C2NC=NC2=C1 HYZJCKYKOHLVJF-UHFFFAOYSA-N 0.000 description 4
- ZNQVEEAIQZEUHB-UHFFFAOYSA-N 2-ethoxyethanol Chemical compound CCOCCO ZNQVEEAIQZEUHB-UHFFFAOYSA-N 0.000 description 4
- 229940093475 2-ethoxyethanol Drugs 0.000 description 4
- 125000001622 2-naphthyl group Chemical group [H]C1=C([H])C([H])=C2C([H])=C(*)C([H])=C([H])C2=C1[H] 0.000 description 4
- 125000004105 2-pyridyl group Chemical group N1=C([*])C([H])=C([H])C([H])=C1[H] 0.000 description 4
- CZPWVGJYEJSRLH-UHFFFAOYSA-N Pyrimidine Chemical compound C1=CN=CN=C1 CZPWVGJYEJSRLH-UHFFFAOYSA-N 0.000 description 4
- XUIMIQQOPSSXEZ-UHFFFAOYSA-N Silicon Chemical compound [Si] XUIMIQQOPSSXEZ-UHFFFAOYSA-N 0.000 description 4
- 125000004122 cyclic group Chemical group 0.000 description 4
- RMBPEFMHABBEKP-UHFFFAOYSA-N fluorene Chemical compound C1=CC=C2C3=C[CH]C=CC3=CC2=C1 RMBPEFMHABBEKP-UHFFFAOYSA-N 0.000 description 4
- 239000012634 fragment Substances 0.000 description 4
- 238000000025 interference lithography Methods 0.000 description 4
- NIHNNTQXNPWCJQ-UHFFFAOYSA-N o-biphenylenemethane Natural products C1=CC=C2CC3=CC=CC=C3C2=C1 NIHNNTQXNPWCJQ-UHFFFAOYSA-N 0.000 description 4
- 150000002894 organic compounds Chemical class 0.000 description 4
- 125000001997 phenyl group Chemical group [H]C1=C([H])C([H])=C(*)C([H])=C1[H] 0.000 description 4
- 230000008569 process Effects 0.000 description 4
- 239000000725 suspension Substances 0.000 description 4
- 229930192474 thiophene Natural products 0.000 description 4
- KTZQTRPPVKQPFO-UHFFFAOYSA-N 1,2-benzoxazole Chemical compound C1=CC=C2C=NOC2=C1 KTZQTRPPVKQPFO-UHFFFAOYSA-N 0.000 description 3
- BCMCBBGGLRIHSE-UHFFFAOYSA-N 1,3-benzoxazole Chemical compound C1=CC=C2OC=NC2=C1 BCMCBBGGLRIHSE-UHFFFAOYSA-N 0.000 description 3
- FLBAYUMRQUHISI-UHFFFAOYSA-N 1,8-naphthyridine Chemical compound N1=CC=CC2=CC=CN=C21 FLBAYUMRQUHISI-UHFFFAOYSA-N 0.000 description 3
- BNRDGHFESOHOBF-UHFFFAOYSA-N 1-benzoselenophene Chemical compound C1=CC=C2[se]C=CC2=C1 BNRDGHFESOHOBF-UHFFFAOYSA-N 0.000 description 3
- 125000001637 1-naphthyl group Chemical group [H]C1=C([H])C([H])=C2C(*)=C([H])C([H])=C([H])C2=C1[H] 0.000 description 3
- WJFKNYWRSNBZNX-UHFFFAOYSA-N 10H-phenothiazine Chemical compound C1=CC=C2NC3=CC=CC=C3SC2=C1 WJFKNYWRSNBZNX-UHFFFAOYSA-N 0.000 description 3
- TZMSYXZUNZXBOL-UHFFFAOYSA-N 10H-phenoxazine Chemical compound C1=CC=C2NC3=CC=CC=C3OC2=C1 TZMSYXZUNZXBOL-UHFFFAOYSA-N 0.000 description 3
- BAXOFTOLAUCFNW-UHFFFAOYSA-N 1H-indazole Chemical compound C1=CC=C2C=NNC2=C1 BAXOFTOLAUCFNW-UHFFFAOYSA-N 0.000 description 3
- VEPOHXYIFQMVHW-XOZOLZJESA-N 2,3-dihydroxybutanedioic acid (2S,3S)-3,4-dimethyl-2-phenylmorpholine Chemical compound OC(C(O)C(O)=O)C(O)=O.C[C@H]1[C@@H](OCCN1C)c1ccccc1 VEPOHXYIFQMVHW-XOZOLZJESA-N 0.000 description 3
- OLGGLCIDAMICTA-UHFFFAOYSA-N 2-pyridin-2-yl-1h-indole Chemical compound N1C2=CC=CC=C2C=C1C1=CC=CC=N1 OLGGLCIDAMICTA-UHFFFAOYSA-N 0.000 description 3
- QMEQBOSUJUOXMX-UHFFFAOYSA-N 2h-oxadiazine Chemical compound N1OC=CC=N1 QMEQBOSUJUOXMX-UHFFFAOYSA-N 0.000 description 3
- BCHZICNRHXRCHY-UHFFFAOYSA-N 2h-oxazine Chemical compound N1OC=CC=C1 BCHZICNRHXRCHY-UHFFFAOYSA-N 0.000 description 3
- MFELLNQJMHCAKI-UHFFFAOYSA-N 3,7-diethylnonane-4,6-dione Chemical compound CCC(CC)C(=O)CC(=O)C(CC)CC MFELLNQJMHCAKI-UHFFFAOYSA-N 0.000 description 3
- BWCDLEQTELFBAW-UHFFFAOYSA-N 3h-dioxazole Chemical compound N1OOC=C1 BWCDLEQTELFBAW-UHFFFAOYSA-N 0.000 description 3
- GJCOSYZMQJWQCA-UHFFFAOYSA-N 9H-xanthene Chemical compound C1=CC=C2CC3=CC=CC=C3OC2=C1 GJCOSYZMQJWQCA-UHFFFAOYSA-N 0.000 description 3
- ZCQWOFVYLHDMMC-UHFFFAOYSA-N Oxazole Chemical compound C1=COC=N1 ZCQWOFVYLHDMMC-UHFFFAOYSA-N 0.000 description 3
- WTKZEGDFNFYCGP-UHFFFAOYSA-N Pyrazole Chemical compound C=1C=NNC=1 WTKZEGDFNFYCGP-UHFFFAOYSA-N 0.000 description 3
- VYPSYNLAJGMNEJ-UHFFFAOYSA-N Silicium dioxide Chemical compound O=[Si]=O VYPSYNLAJGMNEJ-UHFFFAOYSA-N 0.000 description 3
- FZWLAAWBMGSTSO-UHFFFAOYSA-N Thiazole Chemical compound C1=CSC=N1 FZWLAAWBMGSTSO-UHFFFAOYSA-N 0.000 description 3
- FBVBNCGJVKIEHH-UHFFFAOYSA-N [1]benzofuro[3,2-b]pyridine Chemical compound C1=CN=C2C3=CC=CC=C3OC2=C1 FBVBNCGJVKIEHH-UHFFFAOYSA-N 0.000 description 3
- RFRXIWQYSOIBDI-UHFFFAOYSA-N benzarone Chemical compound CCC=1OC2=CC=CC=C2C=1C(=O)C1=CC=C(O)C=C1 RFRXIWQYSOIBDI-UHFFFAOYSA-N 0.000 description 3
- 230000015572 biosynthetic process Effects 0.000 description 3
- 150000001721 carbon Chemical group 0.000 description 3
- 230000008859 change Effects 0.000 description 3
- 238000010168 coupling process Methods 0.000 description 3
- 238000005859 coupling reaction Methods 0.000 description 3
- GVEPBJHOBDJJJI-UHFFFAOYSA-N fluoranthrene Natural products C1=CC(C2=CC=CC=C22)=C3C2=CC=CC3=C1 GVEPBJHOBDJJJI-UHFFFAOYSA-N 0.000 description 3
- PZOUSPYUWWUPPK-UHFFFAOYSA-N indole Natural products CC1=CC=CC2=C1C=CN2 PZOUSPYUWWUPPK-UHFFFAOYSA-N 0.000 description 3
- RKJUIXBNRJVNHR-UHFFFAOYSA-N indolenine Natural products C1=CC=C2CC=NC2=C1 RKJUIXBNRJVNHR-UHFFFAOYSA-N 0.000 description 3
- HOBCFUWDNJPFHB-UHFFFAOYSA-N indolizine Chemical compound C1=CC=CN2C=CC=C21 HOBCFUWDNJPFHB-UHFFFAOYSA-N 0.000 description 3
- 229910010272 inorganic material Inorganic materials 0.000 description 3
- QDLAGTHXVHQKRE-UHFFFAOYSA-N lichenxanthone Natural products COC1=CC(O)=C2C(=O)C3=C(C)C=C(OC)C=C3OC2=C1 QDLAGTHXVHQKRE-UHFFFAOYSA-N 0.000 description 3
- 230000007246 mechanism Effects 0.000 description 3
- VLKZOEOYAKHREP-UHFFFAOYSA-N n-Hexane Chemical compound CCCCCC VLKZOEOYAKHREP-UHFFFAOYSA-N 0.000 description 3
- 230000005693 optoelectronics Effects 0.000 description 3
- WCPAKWJPBJAGKN-UHFFFAOYSA-N oxadiazole Chemical compound C1=CON=N1 WCPAKWJPBJAGKN-UHFFFAOYSA-N 0.000 description 3
- AZHVQJLDOFKHPZ-UHFFFAOYSA-N oxathiazine Chemical compound O1SN=CC=C1 AZHVQJLDOFKHPZ-UHFFFAOYSA-N 0.000 description 3
- CQDAMYNQINDRQC-UHFFFAOYSA-N oxatriazole Chemical compound C1=NN=NO1 CQDAMYNQINDRQC-UHFFFAOYSA-N 0.000 description 3
- 125000004430 oxygen atom Chemical group O* 0.000 description 3
- NQFOGDIWKQWFMN-UHFFFAOYSA-N phenalene Chemical compound C1=CC([CH]C=C2)=C3C2=CC=CC3=C1 NQFOGDIWKQWFMN-UHFFFAOYSA-N 0.000 description 3
- 229950000688 phenothiazine Drugs 0.000 description 3
- LFSXCDWNBUNEEM-UHFFFAOYSA-N phthalazine Chemical compound C1=NN=CC2=CC=CC=C21 LFSXCDWNBUNEEM-UHFFFAOYSA-N 0.000 description 3
- 229910000027 potassium carbonate Inorganic materials 0.000 description 3
- CPNGPNLZQNNVQM-UHFFFAOYSA-N pteridine Chemical compound N1=CN=CC2=NC=CN=C21 CPNGPNLZQNNVQM-UHFFFAOYSA-N 0.000 description 3
- PBMFSQRYOILNGV-UHFFFAOYSA-N pyridazine Chemical compound C1=CC=NN=C1 PBMFSQRYOILNGV-UHFFFAOYSA-N 0.000 description 3
- JWVCLYRUEFBMGU-UHFFFAOYSA-N quinazoline Chemical compound N1=CN=CC2=CC=CC=C21 JWVCLYRUEFBMGU-UHFFFAOYSA-N 0.000 description 3
- 238000003786 synthesis reaction Methods 0.000 description 3
- VLLMWSRANPNYQX-UHFFFAOYSA-N thiadiazole Chemical compound C1=CSN=N1.C1=CSN=N1 VLLMWSRANPNYQX-UHFFFAOYSA-N 0.000 description 3
- 150000003852 triazoles Chemical class 0.000 description 3
- 125000004939 6-pyridyl group Chemical group N1=CC=CC=C1* 0.000 description 2
- ZOXJGFHDIHLPTG-UHFFFAOYSA-N Boron Chemical group [B] ZOXJGFHDIHLPTG-UHFFFAOYSA-N 0.000 description 2
- IMNFDUFMRHMDMM-UHFFFAOYSA-N N-Heptane Chemical compound CCCCCCC IMNFDUFMRHMDMM-UHFFFAOYSA-N 0.000 description 2
- KAESVJOAVNADME-UHFFFAOYSA-N Pyrrole Chemical compound C=1C=CNC=1 KAESVJOAVNADME-UHFFFAOYSA-N 0.000 description 2
- WYURNTSHIVDZCO-UHFFFAOYSA-N Tetrahydrofuran Chemical compound C1CCOC1 WYURNTSHIVDZCO-UHFFFAOYSA-N 0.000 description 2
- 125000001931 aliphatic group Chemical group 0.000 description 2
- PNEYBMLMFCGWSK-UHFFFAOYSA-N aluminium oxide Inorganic materials [O-2].[O-2].[O-2].[Al+3].[Al+3] PNEYBMLMFCGWSK-UHFFFAOYSA-N 0.000 description 2
- 150000004982 aromatic amines Chemical class 0.000 description 2
- 150000004945 aromatic hydrocarbons Chemical group 0.000 description 2
- 150000001716 carbazoles Chemical class 0.000 description 2
- 239000011203 carbon fibre reinforced carbon Substances 0.000 description 2
- 239000002800 charge carrier Substances 0.000 description 2
- 125000003636 chemical group Chemical group 0.000 description 2
- WCZVZNOTHYJIEI-UHFFFAOYSA-N cinnoline Chemical compound N1=NC=CC2=CC=CC=C21 WCZVZNOTHYJIEI-UHFFFAOYSA-N 0.000 description 2
- 239000002131 composite material Substances 0.000 description 2
- 229940125904 compound 1 Drugs 0.000 description 2
- 230000008021 deposition Effects 0.000 description 2
- 238000010586 diagram Methods 0.000 description 2
- 150000004826 dibenzofurans Chemical class 0.000 description 2
- 125000001153 fluoro group Chemical group F* 0.000 description 2
- 125000000524 functional group Chemical group 0.000 description 2
- 125000005843 halogen group Chemical group 0.000 description 2
- BHEPBYXIRTUNPN-UHFFFAOYSA-N hydridophosphorus(.) (triplet) Chemical compound [PH] BHEPBYXIRTUNPN-UHFFFAOYSA-N 0.000 description 2
- 150000002484 inorganic compounds Chemical class 0.000 description 2
- HZVOZRGWRWCICA-UHFFFAOYSA-N methanediyl Chemical compound [CH2] HZVOZRGWRWCICA-UHFFFAOYSA-N 0.000 description 2
- 125000002496 methyl group Chemical group [H]C([H])([H])* 0.000 description 2
- 125000002950 monocyclic group Chemical group 0.000 description 2
- 239000000178 monomer Substances 0.000 description 2
- 238000013086 organic photovoltaic Methods 0.000 description 2
- 238000000059 patterning Methods 0.000 description 2
- 125000004437 phosphorous atom Chemical group 0.000 description 2
- 238000007639 printing Methods 0.000 description 2
- 239000011241 protective layer Substances 0.000 description 2
- 238000012552 review Methods 0.000 description 2
- 239000000741 silica gel Substances 0.000 description 2
- 229910002027 silica gel Inorganic materials 0.000 description 2
- 239000010703 silicon Substances 0.000 description 2
- 239000002356 single layer Substances 0.000 description 2
- 238000010129 solution processing Methods 0.000 description 2
- 239000002904 solvent Substances 0.000 description 2
- 238000001228 spectrum Methods 0.000 description 2
- 125000004434 sulfur atom Chemical group 0.000 description 2
- 239000003826 tablet Substances 0.000 description 2
- KTQYWNARBMKMCX-UHFFFAOYSA-N tetraphenylene Chemical group C1=CC=C2C3=CC=CC=C3C3=CC=CC=C3C3=CC=CC=C3C2=C1 KTQYWNARBMKMCX-UHFFFAOYSA-N 0.000 description 2
- 238000002207 thermal evaporation Methods 0.000 description 2
- 150000003568 thioethers Chemical class 0.000 description 2
- 238000012546 transfer Methods 0.000 description 2
- MJRFDVWKTFJAPF-UHFFFAOYSA-K trichloroiridium;hydrate Chemical compound O.Cl[Ir](Cl)Cl MJRFDVWKTFJAPF-UHFFFAOYSA-K 0.000 description 2
- POILWHVDKZOXJZ-ARJAWSKDSA-M (z)-4-oxopent-2-en-2-olate Chemical class C\C([O-])=C\C(C)=O POILWHVDKZOXJZ-ARJAWSKDSA-M 0.000 description 1
- HWIATMHDQVGMFQ-UHFFFAOYSA-N 1,3-azaborinine Chemical class B1=CC=CN=C1 HWIATMHDQVGMFQ-UHFFFAOYSA-N 0.000 description 1
- OBUDOIAYABJUHQ-UHFFFAOYSA-N 1,4-azaborinine Chemical class B1=CC=NC=C1 OBUDOIAYABJUHQ-UHFFFAOYSA-N 0.000 description 1
- XGXLITQQBIMFAS-UHFFFAOYSA-N 1-(4-tert-butylnaphthalen-2-yl)-8-(2-methylpropyl)-[1]benzothiolo[2,3-c]pyridine Chemical compound CC(C)CC1=CC=CC2=C1SC1=C2C=CN=C1C1=CC(=C2C=CC=CC2=C1)C(C)(C)C XGXLITQQBIMFAS-UHFFFAOYSA-N 0.000 description 1
- 238000005160 1H NMR spectroscopy Methods 0.000 description 1
- 125000004493 2-methylbut-1-yl group Chemical group CC(C*)CC 0.000 description 1
- 150000005360 2-phenylpyridines Chemical class 0.000 description 1
- 125000003542 3-methylbutan-2-yl group Chemical group [H]C([H])([H])C([H])(*)C([H])(C([H])([H])[H])C([H])([H])[H] 0.000 description 1
- DHDHJYNTEFLIHY-UHFFFAOYSA-N 4,7-diphenyl-1,10-phenanthroline Chemical group C1=CC=CC=C1C1=CC=NC2=C1C=CC1=C(C=3C=CC=CC=3)C=CN=C21 DHDHJYNTEFLIHY-UHFFFAOYSA-N 0.000 description 1
- DIVZFUBWFAOMCW-UHFFFAOYSA-N 4-n-(3-methylphenyl)-1-n,1-n-bis[4-(n-(3-methylphenyl)anilino)phenyl]-4-n-phenylbenzene-1,4-diamine Chemical compound CC1=CC=CC(N(C=2C=CC=CC=2)C=2C=CC(=CC=2)N(C=2C=CC(=CC=2)N(C=2C=CC=CC=2)C=2C=C(C)C=CC=2)C=2C=CC(=CC=2)N(C=2C=CC=CC=2)C=2C=C(C)C=CC=2)=C1 DIVZFUBWFAOMCW-UHFFFAOYSA-N 0.000 description 1
- ZCYVEMRRCGMTRW-UHFFFAOYSA-N 7553-56-2 Chemical compound [I] ZCYVEMRRCGMTRW-UHFFFAOYSA-N 0.000 description 1
- PLHQCBMADFLHBW-UHFFFAOYSA-N 8-(2-methylpropyl)-1-naphthalen-1-yl-[1]benzothiolo[2,3-c]pyridine Chemical compound C(C(C)C)C1=CC=CC2=C1SC=1C(=NC=CC=12)C1=CC=CC2=CC=CC=C12 PLHQCBMADFLHBW-UHFFFAOYSA-N 0.000 description 1
- BPMFPOGUJAAYHL-UHFFFAOYSA-N 9H-Pyrido[2,3-b]indole Chemical compound C1=CC=C2C3=CC=CC=C3NC2=N1 BPMFPOGUJAAYHL-UHFFFAOYSA-N 0.000 description 1
- WKBOTKDWSSQWDR-UHFFFAOYSA-N Bromine atom Chemical compound [Br] WKBOTKDWSSQWDR-UHFFFAOYSA-N 0.000 description 1
- ZAMOUSCENKQFHK-UHFFFAOYSA-N Chlorine atom Chemical compound [Cl] ZAMOUSCENKQFHK-UHFFFAOYSA-N 0.000 description 1
- 229910015711 MoOx Inorganic materials 0.000 description 1
- BREURLZUPYQWPR-UHFFFAOYSA-K O.O.O.O.[Ir](Cl)(Cl)Cl Chemical compound O.O.O.O.[Ir](Cl)(Cl)Cl BREURLZUPYQWPR-UHFFFAOYSA-K 0.000 description 1
- 229920001609 Poly(3,4-ethylenedioxythiophene) Polymers 0.000 description 1
- DHXVGJBLRPWPCS-UHFFFAOYSA-N Tetrahydropyran Chemical compound C1CCOCC1 DHXVGJBLRPWPCS-UHFFFAOYSA-N 0.000 description 1
- 125000005073 adamantyl group Chemical group C12(CC3CC(CC(C1)C3)C2)* 0.000 description 1
- 238000007605 air drying Methods 0.000 description 1
- 238000004458 analytical method Methods 0.000 description 1
- 239000012298 atmosphere Substances 0.000 description 1
- 230000003190 augmentative effect Effects 0.000 description 1
- KCQLSIKUOYWBAO-UHFFFAOYSA-N azaborinine Chemical class B1=NC=CC=C1 KCQLSIKUOYWBAO-UHFFFAOYSA-N 0.000 description 1
- 150000001556 benzimidazoles Chemical class 0.000 description 1
- 125000005605 benzo group Chemical group 0.000 description 1
- 150000003939 benzylamines Chemical class 0.000 description 1
- GDTBXPJZTBHREO-UHFFFAOYSA-N bromine Substances BrBr GDTBXPJZTBHREO-UHFFFAOYSA-N 0.000 description 1
- 229910052794 bromium Inorganic materials 0.000 description 1
- 125000000484 butyl group Chemical group [H]C([*])([H])C([H])([H])C([H])([H])C([H])([H])[H] 0.000 description 1
- 125000002837 carbocyclic group Chemical group 0.000 description 1
- 239000002041 carbon nanotube Substances 0.000 description 1
- 229910021393 carbon nanotube Inorganic materials 0.000 description 1
- 230000001413 cellular effect Effects 0.000 description 1
- 238000005229 chemical vapour deposition Methods 0.000 description 1
- 239000000460 chlorine Substances 0.000 description 1
- 229910052801 chlorine Inorganic materials 0.000 description 1
- 238000004587 chromatography analysis Methods 0.000 description 1
- 229940125782 compound 2 Drugs 0.000 description 1
- 229920001940 conductive polymer Polymers 0.000 description 1
- 230000008878 coupling Effects 0.000 description 1
- 150000004292 cyclic ethers Chemical class 0.000 description 1
- 125000000113 cyclohexyl group Chemical group [H]C1([H])C([H])([H])C([H])([H])C([H])(*)C([H])([H])C1([H])[H] 0.000 description 1
- 125000001511 cyclopentyl group Chemical group [H]C1([H])C([H])([H])C([H])([H])C([H])(*)C1([H])[H] 0.000 description 1
- 125000001559 cyclopropyl group Chemical group [H]C1([H])C([H])([H])C1([H])* 0.000 description 1
- 238000013461 design Methods 0.000 description 1
- IYYZUPMFVPLQIF-ALWQSETLSA-N dibenzothiophene Chemical group C1=CC=CC=2[34S]C3=C(C=21)C=CC=C3 IYYZUPMFVPLQIF-ALWQSETLSA-N 0.000 description 1
- 238000000295 emission spectrum Methods 0.000 description 1
- 238000005516 engineering process Methods 0.000 description 1
- 125000001495 ethyl group Chemical group [H]C([H])([H])C([H])([H])* 0.000 description 1
- 238000002474 experimental method Methods 0.000 description 1
- NBVXSUQYWXRMNV-UHFFFAOYSA-N fluoromethane Chemical compound FC NBVXSUQYWXRMNV-UHFFFAOYSA-N 0.000 description 1
- 239000007789 gas Substances 0.000 description 1
- 239000000383 hazardous chemical Substances 0.000 description 1
- 238000010438 heat treatment Methods 0.000 description 1
- 125000004435 hydrogen atom Chemical group [H]* 0.000 description 1
- 238000005286 illumination Methods 0.000 description 1
- 150000002460 imidazoles Chemical class 0.000 description 1
- 239000007943 implant Substances 0.000 description 1
- 238000007641 inkjet printing Methods 0.000 description 1
- 239000011147 inorganic material Substances 0.000 description 1
- 239000011630 iodine Substances 0.000 description 1
- 229910052740 iodine Inorganic materials 0.000 description 1
- MILUBEOXRNEUHS-UHFFFAOYSA-N iridium(3+) Chemical compound [Ir+3] MILUBEOXRNEUHS-UHFFFAOYSA-N 0.000 description 1
- UEEXRMUCXBPYOV-UHFFFAOYSA-N iridium;2-phenylpyridine Chemical group [Ir].C1=CC=CC=C1C1=CC=CC=N1.C1=CC=CC=C1C1=CC=CC=N1.C1=CC=CC=C1C1=CC=CC=N1 UEEXRMUCXBPYOV-UHFFFAOYSA-N 0.000 description 1
- 125000000959 isobutyl group Chemical group [H]C([H])([H])C([H])(C([H])([H])[H])C([H])([H])* 0.000 description 1
- 125000001972 isopentyl group Chemical group [H]C([H])([H])C([H])(C([H])([H])[H])C([H])([H])C([H])([H])* 0.000 description 1
- 125000001449 isopropyl group Chemical group [H]C([H])([H])C([H])(*)C([H])([H])[H] 0.000 description 1
- 239000007788 liquid Substances 0.000 description 1
- 239000004973 liquid crystal related substance Substances 0.000 description 1
- 229920002521 macromolecule Polymers 0.000 description 1
- 238000004519 manufacturing process Methods 0.000 description 1
- 229910044991 metal oxide Inorganic materials 0.000 description 1
- 150000004706 metal oxides Chemical class 0.000 description 1
- 125000002757 morpholinyl group Chemical group 0.000 description 1
- 125000001624 naphthyl group Chemical group 0.000 description 1
- 150000002829 nitrogen Chemical class 0.000 description 1
- 150000002902 organometallic compounds Chemical class 0.000 description 1
- 125000002524 organometallic group Chemical group 0.000 description 1
- 125000001181 organosilyl group Chemical group [SiH3]* 0.000 description 1
- 229910052762 osmium Inorganic materials 0.000 description 1
- 125000005740 oxycarbonyl group Chemical group [*:1]OC([*:2])=O 0.000 description 1
- 125000001147 pentyl group Chemical group C(CCCC)* 0.000 description 1
- KBBSSGXNXGXONI-UHFFFAOYSA-N phenanthro[9,10-b]pyrazine Chemical compound C1=CN=C2C3=CC=CC=C3C3=CC=CC=C3C2=N1 KBBSSGXNXGXONI-UHFFFAOYSA-N 0.000 description 1
- RIYPENPUNLHEBK-UHFFFAOYSA-N phenanthro[9,10-b]pyridine Chemical compound C1=CC=C2C3=CC=CC=C3C3=CC=CC=C3C2=N1 RIYPENPUNLHEBK-UHFFFAOYSA-N 0.000 description 1
- 125000000843 phenylene group Chemical group C1(=C(C=CC=C1)*)* 0.000 description 1
- 150000003009 phosphonic acids Chemical class 0.000 description 1
- 239000003504 photosensitizing agent Substances 0.000 description 1
- 238000001126 phototherapy Methods 0.000 description 1
- IEQIEDJGQAUEQZ-UHFFFAOYSA-N phthalocyanine Chemical compound N1C(N=C2C3=CC=CC=C3C(N=C3C4=CC=CC=C4C(=N4)N3)=N2)=C(C=CC=C2)C2=C1N=C1C2=CC=CC=C2C4=N1 IEQIEDJGQAUEQZ-UHFFFAOYSA-N 0.000 description 1
- 125000003386 piperidinyl group Chemical group 0.000 description 1
- 125000004585 polycyclic heterocycle group Chemical group 0.000 description 1
- 150000004033 porphyrin derivatives Chemical class 0.000 description 1
- 239000002243 precursor Substances 0.000 description 1
- 238000002360 preparation method Methods 0.000 description 1
- 125000002924 primary amino group Chemical group [H]N([H])* 0.000 description 1
- 125000001436 propyl group Chemical group [H]C([*])([H])C([H])([H])C([H])([H])[H] 0.000 description 1
- 150000003222 pyridines Chemical class 0.000 description 1
- 125000004076 pyridyl group Chemical group 0.000 description 1
- 125000000719 pyrrolidinyl group Chemical group 0.000 description 1
- 125000002914 sec-butyl group Chemical group [H]C([H])([H])C([H])([H])C([H])(*)C([H])([H])[H] 0.000 description 1
- 125000003548 sec-pentyl group Chemical group [H]C([H])([H])C([H])([H])C([H])([H])C([H])(*)C([H])([H])[H] 0.000 description 1
- 239000004065 semiconductor Substances 0.000 description 1
- 230000011664 signaling Effects 0.000 description 1
- 150000004756 silanes Chemical class 0.000 description 1
- 238000004528 spin coating Methods 0.000 description 1
- 238000003756 stirring Methods 0.000 description 1
- 125000000999 tert-butyl group Chemical group [H]C([H])([H])C(*)(C([H])([H])[H])C([H])([H])[H] 0.000 description 1
- RAOIDOHSFRTOEL-UHFFFAOYSA-N tetrahydrothiophene Chemical compound C1CCSC1 RAOIDOHSFRTOEL-UHFFFAOYSA-N 0.000 description 1
- GDQBPBMIAFIRIU-UHFFFAOYSA-N thieno[2,3-c]pyridine Chemical compound C1=NC=C2SC=CC2=C1 GDQBPBMIAFIRIU-UHFFFAOYSA-N 0.000 description 1
- 239000010409 thin film Substances 0.000 description 1
- 150000003918 triazines Chemical class 0.000 description 1
- 150000003643 triphenylenes Chemical class 0.000 description 1
- 238000000108 ultra-filtration Methods 0.000 description 1
- 238000007740 vapor deposition Methods 0.000 description 1
- 239000003981 vehicle Substances 0.000 description 1
- 230000000007 visual effect Effects 0.000 description 1
- 238000003466 welding Methods 0.000 description 1
- 229910052725 zinc Inorganic materials 0.000 description 1
Images
Classifications
-
- C—CHEMISTRY; METALLURGY
- C07—ORGANIC CHEMISTRY
- C07F—ACYCLIC, CARBOCYCLIC OR HETEROCYCLIC COMPOUNDS CONTAINING ELEMENTS OTHER THAN CARBON, HYDROGEN, HALOGEN, OXYGEN, NITROGEN, SULFUR, SELENIUM OR TELLURIUM
- C07F15/00—Compounds containing elements of Groups 8, 9, 10 or 18 of the Periodic Table
- C07F15/0006—Compounds containing elements of Groups 8, 9, 10 or 18 of the Periodic Table compounds of the platinum group
- C07F15/0033—Iridium compounds
-
- C—CHEMISTRY; METALLURGY
- C09—DYES; PAINTS; POLISHES; NATURAL RESINS; ADHESIVES; COMPOSITIONS NOT OTHERWISE PROVIDED FOR; APPLICATIONS OF MATERIALS NOT OTHERWISE PROVIDED FOR
- C09K—MATERIALS FOR MISCELLANEOUS APPLICATIONS, NOT PROVIDED FOR ELSEWHERE
- C09K11/00—Luminescent, e.g. electroluminescent, chemiluminescent materials
- C09K11/06—Luminescent, e.g. electroluminescent, chemiluminescent materials containing organic luminescent materials
-
- H—ELECTRICITY
- H10—SEMICONDUCTOR DEVICES; ELECTRIC SOLID-STATE DEVICES NOT OTHERWISE PROVIDED FOR
- H10K—ORGANIC ELECTRIC SOLID-STATE DEVICES
- H10K50/00—Organic light-emitting devices
- H10K50/10—OLEDs or polymer light-emitting diodes [PLED]
- H10K50/11—OLEDs or polymer light-emitting diodes [PLED] characterised by the electroluminescent [EL] layers
-
- H—ELECTRICITY
- H10—SEMICONDUCTOR DEVICES; ELECTRIC SOLID-STATE DEVICES NOT OTHERWISE PROVIDED FOR
- H10K—ORGANIC ELECTRIC SOLID-STATE DEVICES
- H10K50/00—Organic light-emitting devices
- H10K50/10—OLEDs or polymer light-emitting diodes [PLED]
- H10K50/11—OLEDs or polymer light-emitting diodes [PLED] characterised by the electroluminescent [EL] layers
- H10K50/12—OLEDs or polymer light-emitting diodes [PLED] characterised by the electroluminescent [EL] layers comprising dopants
-
- H—ELECTRICITY
- H10—SEMICONDUCTOR DEVICES; ELECTRIC SOLID-STATE DEVICES NOT OTHERWISE PROVIDED FOR
- H10K—ORGANIC ELECTRIC SOLID-STATE DEVICES
- H10K85/00—Organic materials used in the body or electrodes of devices covered by this subclass
- H10K85/30—Coordination compounds
- H10K85/341—Transition metal complexes, e.g. Ru(II)polypyridine complexes
- H10K85/342—Transition metal complexes, e.g. Ru(II)polypyridine complexes comprising iridium
-
- C—CHEMISTRY; METALLURGY
- C09—DYES; PAINTS; POLISHES; NATURAL RESINS; ADHESIVES; COMPOSITIONS NOT OTHERWISE PROVIDED FOR; APPLICATIONS OF MATERIALS NOT OTHERWISE PROVIDED FOR
- C09K—MATERIALS FOR MISCELLANEOUS APPLICATIONS, NOT PROVIDED FOR ELSEWHERE
- C09K2211/00—Chemical nature of organic luminescent or tenebrescent compounds
- C09K2211/10—Non-macromolecular compounds
- C09K2211/1018—Heterocyclic compounds
- C09K2211/1025—Heterocyclic compounds characterised by ligands
-
- C—CHEMISTRY; METALLURGY
- C09—DYES; PAINTS; POLISHES; NATURAL RESINS; ADHESIVES; COMPOSITIONS NOT OTHERWISE PROVIDED FOR; APPLICATIONS OF MATERIALS NOT OTHERWISE PROVIDED FOR
- C09K—MATERIALS FOR MISCELLANEOUS APPLICATIONS, NOT PROVIDED FOR ELSEWHERE
- C09K2211/00—Chemical nature of organic luminescent or tenebrescent compounds
- C09K2211/18—Metal complexes
- C09K2211/185—Metal complexes of the platinum group, i.e. Os, Ir, Pt, Ru, Rh or Pd
Landscapes
- Chemical & Material Sciences (AREA)
- Organic Chemistry (AREA)
- Engineering & Computer Science (AREA)
- Materials Engineering (AREA)
- Physics & Mathematics (AREA)
- Optics & Photonics (AREA)
- Crystallography & Structural Chemistry (AREA)
- Inorganic Chemistry (AREA)
- Electroluminescent Light Sources (AREA)
Abstract
Description
Cross reference to related cases
Priority of U.S. provisional application No. 62/930,837 filed 11/5/2019 is claimed in the present application according to U.S. c. § 1.119 (e). This application is also a partially-filed application of united states patent application No. 16/375,467 filed on 4/2019, 16/375,467 is a partially-filed application of united states patent application No. 15/950,351 filed on 11/4/2018, 15/950,351 is a partially-filed application of united states patent application No. 15/825,297 filed on 29/11/2017, 15/825,297 is a partially-filed application of united states patent application No. 15/706,186 filed on 15/9/2017 in the same application, 15/706,186 claims priority to united states provisional application No. 62/403,424 filed on 3/10/2016, the disclosures of which are incorporated herein by reference.
Technical Field
The present disclosure relates generally to organometallic compounds and formulations and various uses thereof, including as emitters in devices such as organic light emitting diodes and related electronic devices.
Background
Photovoltaic devices utilizing organic materials are becoming increasingly popular for a variety of reasons. Many of the materials used to make such devices are relatively inexpensive, and therefore organic photovoltaic devices have the potential for cost advantages over inorganic devices. In addition, the inherent properties of organic materials (e.g., their flexibility) may make them more suitable for particular applications, such as fabrication on flexible substrates. Examples of organic optoelectronic devices include organic light emitting diodes/devices (OLEDs), organic phototransistors, organic photovoltaic cells, and organic photodetectors. For OLEDs, organic materials may have performance advantages over conventional materials. For example, the wavelength of light emitted by the organic emissive layer can generally be readily tuned with appropriate dopants.
OLEDs utilize organic thin films that emit light when a voltage is applied across the device. OLEDs are becoming an increasingly interesting technology for applications such as flat panel displays, lighting and backlighting. Several OLED materials and configurations are described in U.S. patent nos. 5,844,363, 6,303,238, and 5,707,745, which are incorporated herein by reference in their entirety.
One application of phosphorescent emissive molecules is in full color displays. Industry standards for such displays require pixels adapted to emit a particular color, known as a "saturated" color. In particular, these standards require saturated red, green, and blue pixels. Alternatively, OLEDs can be designed to emit white light. In conventional liquid crystal displays, an absorptive filter is used to filter the emission from a white backlight to produce red, green, and blue emissions. The same technique can also be used for OLEDs. The white OLED may be a single EML device or a stacked structure. Color can be measured using CIE coordinates well known in the art.
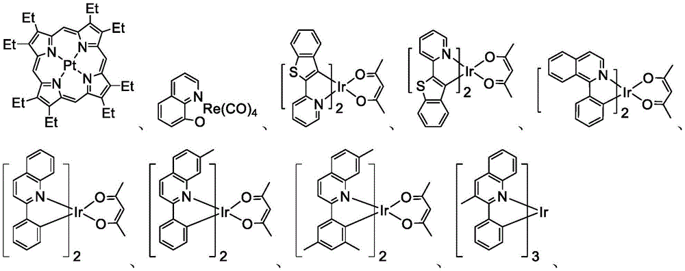
An example of a green emissive molecule is tris (2-phenylpyridine) iridium, denoted Ir (ppy)3It has the following structure:
in this and the following figures, we depict the dative bond of nitrogen to metal (here Ir) in the form of a straight line.
As used herein, the term "organic" includes polymeric materials and small molecule organic materials that may be used to fabricate organic optoelectronic devices. "Small molecule" refers to any organic material that is not a polymer, and "small molecules" may actually be quite large. In some cases, the small molecule may include a repeat unit. For example, the use of long chain alkyl groups as substituents does not remove a molecule from the "small molecule" class. Small molecules can also be incorporated into polymers, for example as pendant groups on the polymer backbone or as part of the backbone. Small molecules can also serve as the core moiety of a dendrimer, which consists of a series of chemical shells built on the core moiety. The core moiety of the dendrimer may be a fluorescent or phosphorescent small molecule emitter. Dendrimers can be "small molecules," and all dendrimers currently used in the OLED art are considered small molecules.
As used herein, "top" means furthest from the substrate, and "bottom" means closest to the substrate. Where a first layer is described as being "disposed" over "a second layer, the first layer is disposed farther from the substrate. Other layers may be present between the first and second layers, unless it is specified that the first layer is "in contact with" the second layer. For example, a cathode may be described as "disposed over" an anode even though various organic layers are present between the cathode and the anode.
As used herein, "solution processable" means capable of being dissolved, dispersed or transported in and/or deposited from a liquid medium in the form of a solution or suspension.
A ligand may be referred to as "photoactive" when it is believed that the ligand contributes directly to the photoactive properties of the emissive material. A ligand may be referred to as "ancillary" when it is believed that the ligand does not contribute to the photoactive properties of the emissive material, but the ancillary ligand may alter the properties of the photoactive ligand.
As used herein, and as will be generally understood by those skilled in the art, if the first energy level is closer to the vacuum energy level, the first "Highest Occupied Molecular Orbital" (HOMO) or "Lowest Unoccupied Molecular Orbital" (LUMO) energy level is "greater than" or "higher than" the second HOMO or LUMO energy level. Since Ionization Potential (IP) is measured as negative energy relative to vacuum level, a higher HOMO level corresponds to an IP with a smaller absolute value (less negative IP). Similarly, a higher LUMO energy level corresponds to an Electron Affinity (EA) with a smaller absolute value (a less negative EA). On a conventional energy level diagram with vacuum levels at the top, the LUMO energy level of a material is higher than the HOMO energy level of the same material. The "higher" HOMO or LUMO energy level appears closer to the top of this figure than the "lower" HOMO or LUMO energy level.
As used herein, and as will be generally understood by those skilled in the art, a first work function is "greater than" or "higher than" a second work function if the first work function has a higher absolute value. Since the work function is typically measured as negative relative to the vacuum level, this means that the "higher" work function is more negative (more negative). On a conventional energy level diagram with vacuum level at the top, the "higher" work function is illustrated as being farther from the vacuum level in the downward direction. Thus, the definitions of HOMO and LUMO energy levels follow a different rule than work functions.
More details regarding OLEDs and the definitions described above can be found in U.S. patent No. 7,279,704, which is incorporated herein by reference in its entirety.
Disclosure of Invention
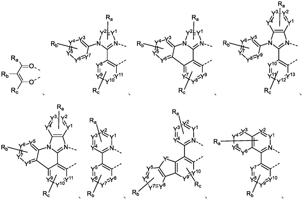
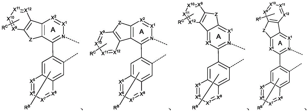
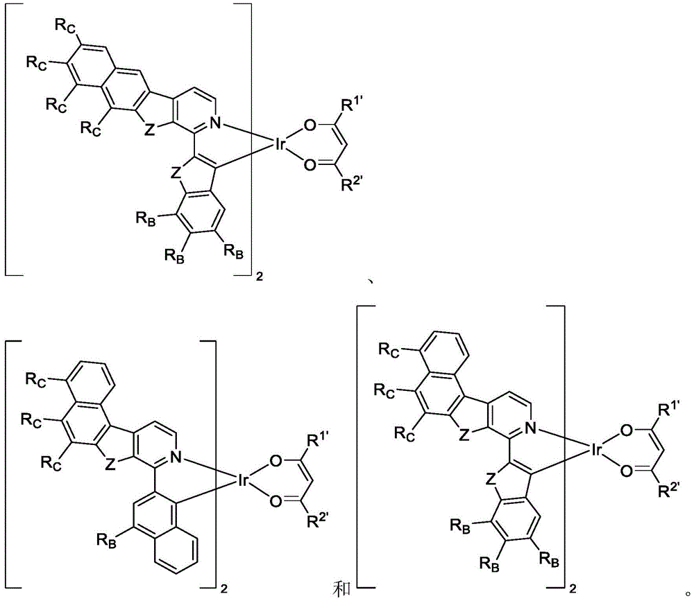
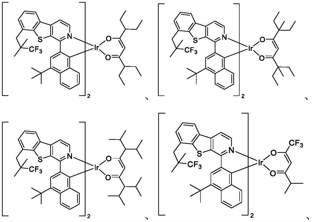
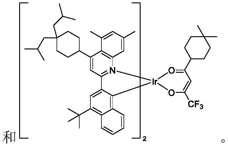
In one aspect, the disclosure provides a compound comprising a ligand L of formula I, formula II, formula III, or formula IVA:
Wherein: ring B is independently a 5-or 6-membered carbocyclic or heterocyclic ring; x1To X4Each independently selected from the group consisting of C, N and CR; at least one pair of adjacent X1To X4Each is C and is inIndication and formula VThe structures of (a) are fused; x5To X12Each independently is C or N; z and Y are each independently selected from the group consisting of: o, S, Se, NR ', CR ' R ', SiR ' R ' and GeR ' R '; rBAnd RCEach independently represents zero, a single, or at most a maximum allowed substitution for its associated ring; rB、RCEach of R, R' and R "is independently hydrogen or a substituent selected from the group consisting of the general substituents defined herein; and two substituents may be joined or fused to form a ring; ligand LAComplexed with a metal M via two designated dotted lines of each formula I, formula II, formula III and formula IV; and ligand LAMay be joined with other ligands to form tridentate, tetradentate, pentadentate, or hexadentate ligands.
In another aspect, the present disclosure provides a ligand L comprising formula I, formula II, formula III or formula IV as described hereinAA formulation of the compound of (1).
In another aspect, the present disclosure provides an OLED having an organic layer comprising a compound comprising formula I, formula II as described hereinA ligand L of formula III or formula IVA。
In another aspect, the present disclosure provides a consumer product comprising an OLED having an organic layer comprising a compound comprising a ligand L of formula I, formula II, formula III or formula IV as described hereinA。
Drawings
Fig. 1 shows an organic light emitting device.
Fig. 2 shows an inverted organic light emitting device without a separate electron transport layer.
FIG. 3 is a Photoluminescence (PL) spectrum of example inventive compounds 1 and 2 and comparative example compound 1 taken in 2-methyl THF solution at room temperature.
Detailed Description
Generally, an OLED comprises at least one organic layer disposed between and electrically connected to an anode and a cathode. When current is applied, the anode injects holes and the cathode injects electrons into the organic layer. The injected holes and electrons each migrate toward the oppositely charged electrode. When an electron and a hole are located on the same molecule, an "exciton," which is a localized electron-hole pair with an excited energy state, is formed. When the exciton relaxes by a light emission mechanism, light is emitted. In some cases, the exciton may be localized on an excimer (eximer) or an exciplex. Non-radiative mechanisms (such as thermal relaxation) may also occur, but are generally considered undesirable.
The initial OLEDs used emissive molecules that emit light from a singlet state ("fluorescence"), as disclosed, for example, in U.S. patent No. 4,769,292, which is incorporated by reference in its entirety. Fluorescence emission typically occurs in a time frame of less than 10 nanoseconds.
More recently, OLEDs having emissive materials that emit light from the triplet state ("phosphorescence") have been demonstrated. Baldo (Baldo), et al, "high efficiency phosphorescent Emission from Organic Electroluminescent Devices," Nature, 395, 151-154,1998 ("Baldo-I"); and baldo et al, "Very high-efficiency green organic light-emitting devices based on electrophosphorescence (Very high-efficiency green organic light-emitting devices-based on electrophosphorescence)", applied physical promissory (appl. phys. lett.), volume 75, stages 3,4-6 (1999) ("baldo-II"), which are incorporated by reference in their entirety. Phosphorescence is described in more detail in U.S. Pat. No. 7,279,704, columns 5-6, which is incorporated by reference.
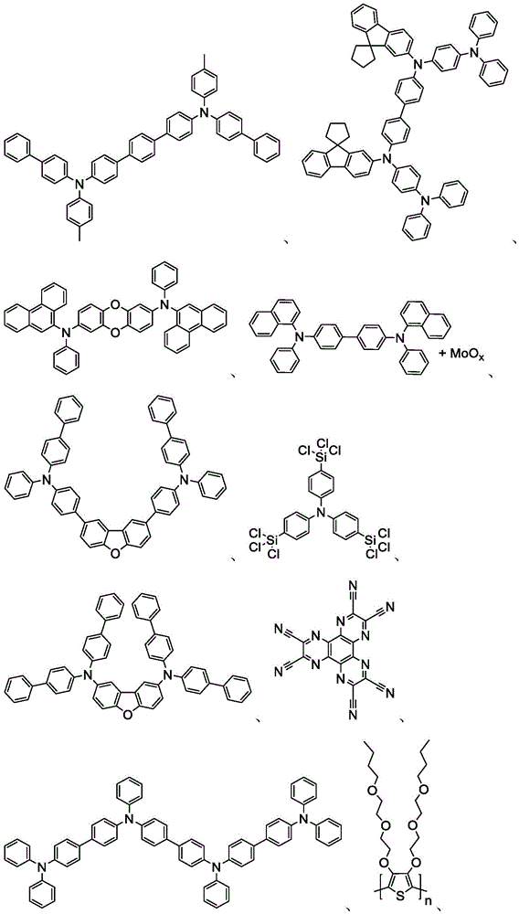
Fig. 1 shows an organic light emitting device 100. The figures are not necessarily to scale. Device 100 can include substrate 110, anode 115, hole injection layer 120, hole transport layer 125, electron blocking layer 130, emissive layer 135, hole blocking layer 140, electron transport layer 145, electron injection layer 150, protective layer 155, cathode 160, and blocking layer 170. Cathode 160 is a composite cathode having a first conductive layer 162 and a second conductive layer 164. The device 100 may be fabricated by depositing the layers in sequence. The nature and function of these various layers and example materials are described in more detail in U.S. Pat. No. 7,279,704, columns 6-10, which is incorporated by reference.
More instances of each of these layers are available. For example, a flexible and transparent substrate-anode combination is disclosed in U.S. Pat. No. 5,844,363, which is incorporated by reference in its entirety. An example of a p-doped hole transport layer is doped with F at a molar ratio of 50:14TCNQ m-MTDATA as disclosed in U.S. patent application publication No. 2003/0230980, which is incorporated by reference in its entirety. Examples of luminescent and host materials are disclosed in U.S. Pat. No. 6,303,238 to Thompson et al, which is incorporated by reference in its entirety. An example of an n-doped electron transport layer is BPhen doped with Li at a molar ratio of 1:1, as disclosed in U.S. patent application publication No. 2003/0230980, which is incorporated by reference in its entirety. U.S. Pat. Nos. 5,703,436 and 5,707,745, which are incorporated by reference in their entirety, disclose examples of cathodes comprising composite cathodes having a thin layer of a metal (e.g., Mg: Ag) with an overlying transparent, conductive, sputter-deposited ITO layer. The theory and use of barrier layers is described in more detail in U.S. Pat. No. 6,097,147 and U.S. patent application publication No. 2003/0230980Which is incorporated by reference in its entirety. Examples of injection layers are provided in U.S. patent application publication No. 2004/0174116, which is incorporated by reference in its entirety. A description of the protective layer may be found in U.S. patent application publication No. 2004/0174116, which is incorporated by reference in its entirety.
Fig. 2 shows an inverted OLED 200. The device includes a substrate 210, a cathode 215, an emissive layer 220, a hole transport layer 225, and an anode 230. The device 200 may be fabricated by depositing the layers in sequence. Because the most common OLED configuration has a cathode disposed above an anode, and device 200 has a cathode 215 disposed below an anode 230, device 200 may be referred to as an "inverted" OLED. Materials similar to those described with respect to device 100 may be used in corresponding layers of device 200. Fig. 2 provides one example of how some layers may be omitted from the structure of device 100.
The simple layered structure illustrated in fig. 1 and 2 is provided by way of non-limiting example, and it should be understood that embodiments of the present invention may be used in conjunction with a variety of other structures. The specific materials and structures described are exemplary in nature, and other materials and structures may be used. Functional OLEDs may be obtained by combining the various layers described in different ways, or the layers may be omitted entirely based on design, performance, and cost factors. Other layers not specifically described may also be included. Materials other than those specifically described may be used. Although many of the examples provided herein describe the various layers as comprising a single material, it is understood that combinations of materials may be used, such as mixtures of hosts and dopants, or more generally, mixtures. Further, the layer may have various sub-layers. The names given to the various layers herein are not intended to be strictly limiting. For example, in device 200, hole transport layer 225 transports holes and injects holes into emissive layer 220, and may be described as a hole transport layer or a hole injection layer. In one embodiment, an OLED may be described as having an "organic layer" disposed between a cathode and an anode. This organic layer may comprise a single layer, or may further comprise multiple layers of different organic materials as described, for example, with respect to fig. 1 and 2.
Structures and materials not specifically described may also be used, such as oleds (pleds) comprising polymeric materials, such as disclosed in U.S. patent No. 5,247,190 to frand (Friend), et al, which is incorporated by reference in its entirety. By way of further example, OLEDs having a single organic layer may be used. The OLEDs may be stacked, for example, as described in U.S. patent No. 5,707,745 to forrister (Forrest) et al, which is incorporated by reference in its entirety. The OLED structure may deviate from the simple layered structure illustrated in fig. 1 and 2. For example, the substrate may include an angled reflective surface to improve out-coupling (out-coupling), such as a mesa structure as described in U.S. Pat. No. 6,091,195 to Foster et al, and/or a pit structure as described in U.S. Pat. No. 5,834,893 to Boolean (Bulovic) et al, which are incorporated by reference in their entirety.
Any of the layers of the various embodiments may be deposited by any suitable method, unless otherwise specified. For organic layers, preferred methods include thermal evaporation, ink jetting (as described in U.S. Pat. Nos. 6,013,982 and 6,087,196, both incorporated by reference in their entirety), organic vapor deposition (OVPD) (as described in U.S. Pat. No. 6,337,102 to Foster et al, both incorporated by reference in their entirety), and deposition by Organic Vapor Jet Printing (OVJP) (as described in U.S. Pat. No. 7,431,968, incorporated by reference in its entirety). Other suitable deposition methods include spin coating and other solution-based processes. The solution-based process is preferably carried out in a nitrogen or inert atmosphere. For other layers, a preferred method includes thermal evaporation. Preferred patterning methods include deposition through a mask, cold welding (as described in U.S. Pat. nos. 6,294,398 and 6,468,819, which are incorporated by reference in their entirety), and patterning associated with some of the deposition methods such as inkjet and Organic Vapor Jet Printing (OVJP). Other methods may also be used. The material to be deposited may be modified to suit the particular deposition method. For example, substituents such as alkyl and aryl groups, branched or unbranched, and preferably containing at least 3 carbons, may be used in small molecules to enhance their ability to undergo solution processing. Substituents having 20 carbons or more may be used, and 3 to 20 carbons is a preferred range. A material with an asymmetric structure may have better solution processibility than a material with a symmetric structure because asymmetric materials may have a lower tendency to recrystallize. Dendrimer substituents may be used to enhance the ability of small molecules to undergo solution processing.
Devices fabricated according to embodiments of the present invention may further optionally include a barrier layer. One use of barrier layers is to protect the electrodes and organic layers from damage from exposure to hazardous substances in the environment including moisture, vapor, and/or gas. The barrier layer may be deposited on, under or beside the substrate, electrode, or on any other part of the device, including the edge. The barrier layer may comprise a single layer or multiple layers. The barrier layer may be formed by various known chemical vapor deposition techniques and may include compositions having a single phase and compositions having multiple phases. Any suitable material or combination of materials may be used for the barrier layer. The barrier layer may incorporate inorganic compounds or organic compounds or both. Preferred barrier layers comprise a mixture of polymeric and non-polymeric materials as described in U.S. patent No. 7,968,146, PCT patent application nos. PCT/US2007/023098 and PCT/US2009/042829, which are incorporated herein by reference in their entirety. To be considered a "mixture," the aforementioned polymeric and non-polymeric materials that make up the barrier layer should be deposited under the same reaction conditions and/or simultaneously. The weight ratio of polymeric material to non-polymeric material may be in the range of 95:5 to 5: 95. The polymeric material and the non-polymeric material may be produced from the same precursor material. In one example, the mixture of polymeric material and non-polymeric material consists essentially of polymeric silicon and inorganic silicon.
Devices manufactured according to embodiments of the present invention may be incorporated into a wide variety of electronic component modules (or units), which may be incorporated into a wide variety of electronic products or intermediate components. Examples of such electronic products or intermediate components include display screens, lighting devices (e.g., discrete light source devices or lighting panels), etc., which may be utilized by end-user product manufacturers. The electronics module may optionally include drive electronics and/or a power source. Devices manufactured in accordance with embodiments of the present invention can be incorporated into a wide variety of consumer products having one or more electronic component modules (or units) incorporated therein. A consumer product comprising an OLED comprising a compound of the present disclosure in an organic layer in the OLED is disclosed. The consumer product shall include any kind of product comprising one or more light sources and/or one or more of some type of visual display. Some examples of such consumer products include flat panel displays, curved displays, computer monitors, medical monitors, televisions, billboards, lights for interior or exterior illumination and/or signaling, heads-up displays, fully or partially transparent displays, flexible displays, rollable displays, foldable displays, stretchable displays, laser printers, telephones, cellular telephones, tablet computers, tablet phones, Personal Digital Assistants (PDAs), wearable devices, laptop computers, digital cameras, video cameras, viewfinders, microdisplays (displays less than 2 inches diagonal), 3-D displays, virtual reality or augmented reality displays, vehicles, video walls containing multiple displays tiled together, theater or stadium screens, phototherapy devices, and signs. Various control mechanisms may be used to control devices made in accordance with the present invention, including passive matrices and active matrices. Many of the devices are intended to be used in a temperature range that is comfortable for humans, such as 18 degrees celsius to 30 degrees celsius, and more preferably at room temperature (20-25 degrees celsius), but may be used outside of this temperature range (e.g., -40 degrees celsius to +80 degrees celsius).
The materials and structures described herein may be applied to devices other than OLEDs. For example, other optoelectronic devices such as organic solar cells and organic photodetectors may employ the materials and structures. More generally, organic devices such as organic transistors may employ the materials and structures.
The terms "halo," "halogen," and "halo" are used interchangeably and refer to fluorine, chlorine, bromine, and iodine.
The term "acyl" refers to a substituted carbonyl group (C (O) -Rs)。
The term "ester" refers to a substituted oxycarbonyl group (-O-C (O) -R)sor-C (O) -O-Rs) A group.
The term "ether" means-ORsA group.
The terms "thio" or "thioether" are used interchangeably and refer to-SRsA group.
The term "sulfinyl" refers to-S (O) -RsA group.
The term "sulfonyl" refers to-SO2-RsA group.
The term "phosphino" refers to-P (R)s)3Group, wherein each RsMay be the same or different.
The term "silyl" refers to-Si (R)s)3Group, wherein each RsMay be the same or different.
The term "oxyboronyl" refers to-B (R)s)2Group or Lewis adduct thereof (R) -B (R)s)3Group, wherein RsMay be the same or different.
In each of the above, RsMay be hydrogen or a substituent selected from the group consisting of: deuterium, halogen, alkyl, cycloalkyl, heteroalkyl, heterocycloalkyl, aralkyl, alkoxy, aryloxy, amino, silyl, alkenyl, cycloalkenyl, heteroalkenyl, alkynyl, aryl, heteroaryl, and combinations thereof. Preferred RsSelected from the group consisting of: alkyl, cycloalkyl, aryl, heteroaryl, and combinations thereof.
The term "alkyl" refers to and includes straight and branched chain alkyl groups. Preferred alkyl groups are those containing from one to fifteen carbon atoms and include methyl, ethyl, propyl, 1-methylethyl, butyl, 1-methylpropyl, 2-methylpropyl, pentyl, 1-methylbutyl, 2-methylbutyl, 3-methylbutyl, 1-dimethylpropyl, 1, 2-dimethylpropyl, 2-dimethylpropyl, and the like. In addition, the alkyl group is optionally substituted.
The term "cycloalkyl" refers to and includes monocyclic, polycyclic and spiroalkyl groups. Preferred cycloalkyl groups are those containing 3 to 12 ring carbon atoms and include cyclopropyl, cyclopentyl, cyclohexyl, bicyclo [3.1.1] heptyl, spiro [4.5] decyl, spiro [5.5] undecyl, adamantyl, and the like. In addition, the cycloalkyl group is optionally substituted.
The term "heteroalkyl" or "heterocycloalkyl" refers to an alkyl or cycloalkyl group, respectively, having at least one carbon atom replaced with a heteroatom. Optionally, the at least one heteroatom is selected from O, S, N, P, B, Si and Se, preferably O, S or N. In addition, heteroalkyl or heterocycloalkyl groups are optionally substituted.
The term "alkenyl" refers to and includes straight and branched chain alkenyl groups. An alkenyl group is essentially an alkyl group that includes at least one carbon-carbon double bond in the alkyl chain. Cycloalkenyl is essentially cycloalkyl that includes at least one carbon-carbon double bond in the cycloalkyl ring. The term "heteroalkenyl" as used herein refers to an alkenyl group having at least one carbon atom replaced with a heteroatom. Optionally, the at least one heteroatom is selected from O, S, N, P, B, Si and Se, preferably O, S or N. Preferred alkenyl, cycloalkenyl or heteroalkenyl groups are those containing from two to fifteen carbon atoms. In addition, the alkenyl, cycloalkenyl or heteroalkenyl is optionally substituted.
The term "alkynyl" refers to and includes straight and branched chain alkynyl groups. Preferred alkynyl groups are those containing from two to fifteen carbon atoms. In addition, alkynyl groups are optionally substituted.
The terms "aralkyl" or "arylalkyl" are used interchangeably and refer to an alkyl group substituted with an aryl group. In addition, the aralkyl group is optionally substituted.
The term "heterocyclyl" refers to and includes both aromatic and non-aromatic cyclic groups containing at least one heteroatom. Optionally, the at least one heteroatom is selected from O, S, N, P, B, Si and Se, preferably O, S or N. Aromatic heterocyclic groups may be used interchangeably with heteroaryl groups. Preferred non-aromatic heterocyclic groups are heterocyclic groups containing 3 to 7 ring atoms including at least one heteroatom and include cyclic amines such as morpholinyl, piperidinyl, pyrrolidinyl and the like, and cyclic ethers/thioethers such as tetrahydrofuran, tetrahydropyran, tetrahydrothiophene and the like. In addition, the heterocyclic group may be optionally substituted.
The term "aryl" refers to and includes monocyclic aromatic hydrocarbon radicals and polycyclic aromatic ring systems. Polycyclic rings can have two or more rings in which two carbons are common to two adjoining rings (the rings are "fused"), wherein at least one of the rings is an aromatic hydrocarbyl, e.g., the other rings can be cycloalkyls, cycloalkenyls, aryls, heterocyclics, and/or heteroaryls. Preferred aryl groups are those containing from six to thirty carbon atoms, preferably from six to twenty carbon atoms, more preferably from six to twelve carbon atoms. Especially preferred are aryl groups having six carbons, ten carbons, or twelve carbons. Suitable aryl groups include phenyl, biphenyl, terphenyl, triphenylene, tetraphenylene, naphthalene, anthracene, phenalene, phenanthrene, fluorene, pyrene, perylene,Perylene and azulene, preferably phenyl, biphenyl, terphenyl, triphenylene, fluorene and naphthalene. In addition, the aryl group is optionally substituted.
The term "heteroaryl" refers to and includes monocyclic aromatic groups and polycyclic aromatic ring systems that include at least one heteroatom. Heteroatoms include, but are not limited to O, S, N, P, B, Si and Se. In many cases O, S or N are preferred heteroatoms. Monocyclic heteroaromatic systems are preferably monocyclic with 5 or 6 ring atoms, and rings may have one to six heteroatoms. A heteropolycyclic system can have two or more rings in which two atoms are common to two adjoining rings (the rings are "fused"), wherein at least one of the rings is heteroaryl, e.g., the other rings can be cycloalkyls, cycloalkenyls, aryls, heterocycles and/or heteroaryls. The heterocyclic aromatic ring system may have one to six heteroatoms per ring of the polycyclic aromatic ring system. Preferred heteroaryl groups are those containing from three to thirty carbon atoms, preferably from three to twenty carbon atoms, more preferably from three to twelve carbon atoms. Suitable heteroaryl groups include dibenzothiophene, dibenzofuran, dibenzoselenophene, furan, thiophene, benzofuran, benzothiophene, benzoselenophene, carbazole, indolocarbazole, pyridylindole, pyrrolobipyridine, pyrazole, imidazole, triazole, oxazole, thiazole, oxadiazole, oxatriazole, dioxazole, thiadiazole, pyridine, pyridazine, pyrimidine, pyrazine, triazine, oxazine, oxathiazine, oxadiazine, indole, benzimidazole, indazole, indolizine, benzoxazole, benzisoxazole, benzothiazole, quinoline, isoquinoline, quinazoline, quinoxaline, naphthyridine, phthalazine, pteridine, xanthene, acridine, phenazine, phenothiazine, phenoxazine, benzofuropyridine, furobipyridine, benzothienopyridine, thienobipyridine, benzothienopyridine, and selenenopyridine, preferably dibenzothiophene, and benzothiophene, Dibenzofurans, dibenzoselenophenes, carbazoles, indolocarbazoles, imidazoles, pyridines, triazines, benzimidazoles, 1, 2-azaborines, 1, 3-azaborines, 1, 4-azaborines, borazines, and aza analogs thereof. In addition, the heteroaryl group is optionally substituted.
Of the aryl and heteroaryl groups listed above, triphenylene, naphthalene, anthracene, dibenzothiophene, dibenzofuran, dibenzoselenophene, carbazole, indolocarbazole, imidazole, pyridine, pyrazine, pyrimidine, triazine, and benzimidazole are of particular interest, as well as their respective corresponding aza analogues.
The terms alkyl, cycloalkyl, heteroalkyl, heterocycloalkyl, alkenyl, cycloalkenyl, heteroalkenyl, alkynyl, aralkyl, heterocyclyl, aryl, and heteroaryl, as used herein, are independently unsubstituted or independently substituted with one or more general substituents.
In many cases, typical substituents are selected from the group consisting of: deuterium, halogen, alkyl, cycloalkyl, heteroalkyl, heterocycloalkyl, aralkyl, alkoxy, aryloxy, amino, silyl, alkenyl, cycloalkenyl, heteroalkenyl, alkynyl, aryl, heteroaryl, acyl, carboxylic acid, ether, ester, nitrile, isonitrile, thio, sulfinyl, sulfonyl, phosphino, borinyl, and combinations thereof.
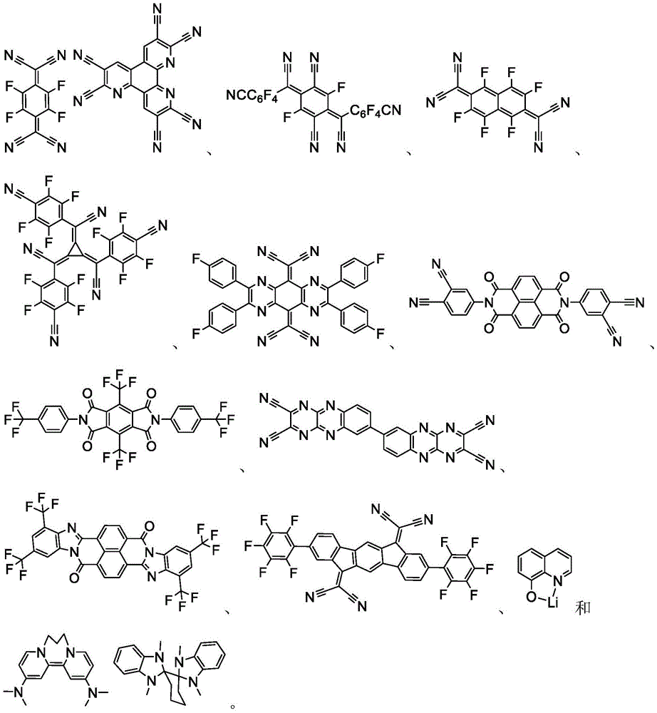
In some cases, preferred general substituents are selected from the group consisting of: deuterium, fluorine, alkyl, cycloalkyl, heteroalkyl, alkoxy, aryloxy, amino, silyl, alkenyl, cycloalkenyl, heteroalkenyl, aryl, heteroaryl, nitrile, isonitrile, thio, oxyboronyl, and combinations thereof.
In some cases, more preferred general substituents are selected from the group consisting of: deuterium, fluoro, alkyl, cycloalkyl, alkoxy, aryloxy, amino, silyl, aryl, heteroaryl, thio, and combinations thereof.
In other cases, most preferred general substituents are selected from the group consisting of: deuterium, fluoro, alkyl, cycloalkyl, aryl, heteroaryl, and combinations thereof.
The terms "substituted" and "substitution" mean that a substituent other than H is bonded to the relevant position, e.g., carbon or nitrogen. For example, when R is1When representing a single substitution, then one R1Must not be H (i.e., substituted). Similarly, when R is1When representing disubstituted, then two R1Must not be H. Similarly, when R is1When represents unsubstituted, R1For example, it may be hydrogen of available valency for the ring atoms, such as the carbon atom of benzene and the nitrogen atom of pyrrole, or it may be hydrogen of only zero for ring atoms having fully saturated valency, such as the nitrogen atom of pyridine. The maximum number of substitutions possible in a ring structure will depend on the total number of available valences in the ring atoms.
As used herein, "a combination thereof" means that one or more members of the applicable list are combined to form a known or chemically stable arrangement that one of ordinary skill in the art can envision from the applicable list. For example, alkyl and deuterium can be combined to form a partially or fully deuterated alkyl; halogen and alkyl may combine to form haloalkyl substituents; and halogen, alkyl, and aryl groups may be combined to form haloaralkyl groups. In one example, the term substituted includes combinations of two to four of the listed groups. In another example, the term substitution includes a combination of two to three groups. In yet another example, the term substitution includes a combination of two groups. Preferred combinations of substituents are those containing up to fifty atoms other than hydrogen or deuterium, or those containing up to forty atoms other than hydrogen or deuterium, or those containing up to thirty atoms other than hydrogen or deuterium. In many cases, a preferred combination of substituents will include up to twenty atoms that are not hydrogen or deuterium.
The term "aza" in the fragment described herein, i.e., aza-dibenzofuran, aza-dibenzothiophene, etc., means that one or more of the C-H groups in the corresponding aromatic ring can be replaced by a nitrogen atom, for example and without any limitation, azatriphenylene encompasses dibenzo [ f, H ] quinoxaline and dibenzo [ f, H ] quinoline. Other nitrogen analogs of the aza-derivatives described above can be readily envisioned by one of ordinary skill in the art, and all such analogs are intended to be encompassed by the term as set forth herein.
As used herein, "deuterium" refers to an isotope of hydrogen. Deuterated compounds can be readily prepared using methods known in the art. For example, U.S. patent No. 8,557,400, patent publication No. WO 2006/095951, and U.S. patent application publication No. US 2011/0037057 (which are incorporated herein by reference in their entirety) describe the preparation of deuterium substituted organometallic complexes. With further reference to \37154min (Ming Yan) et al, Tetrahedron (Tetrahedron)2015,71,1425-30 and azrote (Atzrodt) et al, german applied chemistry (angelw. chem. int. ed.) (review) 2007,46,7744-65, which are incorporated by reference in their entirety, describe efficient routes for deuteration of methylene hydrogens in benzylamines and replacement of aromatic ring hydrogens with deuterium, respectively.
It is understood that when a molecular fragment is described as a substituent or otherwise attached to another moiety, its name can be written as if it were a fragment (e.g., phenyl, phenylene, naphthyl, dibenzofuranyl) or as if it were an entire molecule (e.g., benzene, naphthalene, dibenzofuran). As used herein, these different named substituents or the manner of linking the fragments are considered equivalent.
In some cases, a pair of adjacent substituents may optionally join or be fused to form a ring. Preferred rings are five-, six-or seven-membered carbocyclic or heterocyclic rings, including both cases where a portion of the ring formed by the pair of substituents is saturated and where a portion of the ring formed by the pair of substituents is unsaturated. As used herein, "adjacent" means that the two substituents involved can be on the same ring next to each other, or on two adjacent rings having two nearest available substitutable positions (e.g., the 2, 2' positions in biphenyl or the 1, 8 positions in naphthalene), so long as they can form a stable fused ring system.
Compounds of the present disclosure
In one aspect, the disclosure provides a compound comprising a ligand L of formula I, formula II, formula III, or formula IVA:
Wherein: ring B is independently a 5-or 6-membered carbocyclic or heterocyclic ring; x1To X4Each independently selected from the group consisting of C, N and CR; at least one pair of adjacent X1To X4Each is C and is inIndication and formula VThe structures of (a) are fused; x5To X12Each independently is C or N; z and Y are each independently selected from the group consisting of: o, S, Se, NR ', CR ' R ', SiR ' R ' and GeR ' R '; rBAnd RCEach independently represents zero, a single, or at most a maximum allowed substitution for its associated ring; rB、RCEach of R, R' and R "is independently hydrogen or a substituent selected from the group consisting of the general substituents defined herein; and two substituents may be joined or fused to form a ring; ligand LAComplexed with a metal M via two designated dotted lines of each formula I, formula II, formula III and formula IV; and ligand LAMay be joined with other ligands to form tridentate, tetradentate, pentadentate, or hexadentate ligands.
In some embodiments of the compound, ligand LAThe maximum number of N within a ring in (1) is two.
In some embodiments of the compound, RB、RCEach of R, R' and R "is independently hydrogen or a substituent selected from the group consisting of the preferred general substituents defined herein.
In some embodiments of the compounds, ring B is a 6-membered ring. In some embodiments, wherein ring B is a 6-membered ring, each R is H.
In some embodiments of the compound, ligand LASelected from the group consisting of:
In any of the compound embodiments mentioned above, X1To X4Each of which is independently C or CR.
In some embodiments of the compounds, X in each formula1To X4Is N.
In some embodiments of the compounds, X5To X8Each of which is C.
In some embodiments of the compounds, X9To X12Each of which is C.
In some embodiments of the compounds, X5To X12Each of which is C.
In some embodiments of the compounds, X in each formula5To X12Is N.
In some embodiments of the compounds, X in each formula5To X8Is N.
In some embodiments of the compounds, X in each formula9To X12Is N.
In some embodiments of the compounds, Z is independently formed at each occurrence with X1A direct bond of (2). In some embodiments, Z is independently formed at each occurrence with X2A direct bond of (2). In some embodiments of the compounds, Z is independently formed at each occurrenceAnd X3A direct bond of (2). In some embodiments, Z is independently formed at each occurrence with X4A direct bond of (2). In some embodiments, Z is independently at each occurrence O or S.
In some embodiments of the compounds, each R of each of formulas I, II, III, and IVCIs H. In some embodiments, at least one R of each of formulas I, II, III, IV, VI, and VIIBIndependently an alkyl or cycloalkyl group. In some embodiments, at least one R of each of formulas I, II, III, and IVBIndependently a tertiary alkyl group.
In some embodiments of the compounds, Y is, independently at each occurrence, O or S.
In some embodiments of the compound, ligand LALigand set a selected from the group consisting of the following structures:
in some embodiments of the compounds, the compounds comprise a ligand L selected from ligand set B consisting of the structureA:
In which the ligand LAIn some embodiments of the compounds selected from ligand set A or ligand set B, R of each formulaB、RCEach of R, R' and R "is independently hydrogen or a substituent selected from the group consisting of the preferred general substituents defined herein.
In which the ligand LAIn some embodiments of compounds selected from ligand set B, RBThe substituent is para to the metal and is selected from the group consisting of: alkyl, cycloalkyl, and combinations thereof.
In which the ligand LAIn some embodiments of compounds selected from ligand set B, RBThe substituent is para to the metal and is a tertiary alkyl group. In some embodiments, RBThe substituent is para to the metal and is tert-butyl.
In which the ligand LAIn some embodiments of the compounds selected from ligand set A, X of each formula in ligand set A1To X4Independently is C or CR. In some embodiments, each R of each formula in ligand set a is independently H. In some embodiments, X of each formula in ligand set A5To X8Each of which is independently C. In some embodiments, X of each formula in ligand set A9To X12Each of which is independently C. In some embodiments, X of each formula in ligand set A5To X12Each of which is independently C. In some embodiments, X of each formula in ligand set A5To X12Is independently N. In some embodiments, X of each formula in ligand set A5To X8Is independently N. In some embodiments, X of each formula in ligand set A9To X12Is independently N. In some embodiments, each R of each formula in ligand set ACIndependently is H. In some embodiments, at least one R of each formula in ligand set aBIndependently an alkyl group, a cycloalkyl group, or a combination thereof. In some embodiments, at least one R of each formula in ligand set aBIndependently a tertiary alkyl group. In some embodiments, Z is independently at each occurrence O or S.
In some embodiments of the compounds, the compounds comprise a substituted or unsubstituted acetylacetonate ligand. In some embodiments of the compounds, the metal M is selected from the group consisting of: os, Ir, Pd, Pt, Cu, Ag and Au. In some embodiments of the compound, the metal M is selected from the group consisting of Ir and Pt. In some embodiments of the compounds, the compound comprises a ligand L selected from the group consisting ofA:
Wherein R isBEach of which may be the same or different, RCEach of which may be the same or different, and RBAnd RCIndependently at each occurrence, is selected from the group consisting of the general substituents defined herein.
In some embodiments of the compounds, the compound comprises a ligand L selected from the group consisting ofA:
L based on structure 35Ai-35:Wherein i is an integer from 1 to 1336, and R for each iE、RFAnd G is defined as follows:
in some embodiments of the compound, wherein the compound has formula M (L)A)p(LB)q(LC)rWherein L isBAnd LCEach is a bidentate ligand; and wherein p is 1,2 or 3; q is 0, 1 or 2; r is 0, 1 or 2; and p + q + r is the oxidation state of the metal M, LBAnd LCCan be independently selected from the group consisting of ligand group CThe group consisting of:
wherein:
each Y1To Y13Independently selected from the group consisting of carbon and nitrogen; y' is selected from the group consisting of: BR (BR)e、NRe、PRe、O、S、Se、C=O、S=O、SO2、CReRf、SiReRfAnd GeReRf;
ReAnd RfMay be fused or joined to form a ring;
each Ra、Rb、RcAnd RdIndependently represent zero, single or at most the maximum permissible substitutions for its associated ring;
Ra、Rb、Rc、Rd、Reand RfEach of which is independently hydrogen or a substituent selected from the group consisting of the general substituents defined herein; and R isa、Rb、RcAnd RdTwo adjacent substituents of (a) may be fused or joined to form a ring or form a multidentate ligand.
In some embodiments of the compound, wherein the compound has formula M (L)A)p(LB)q(LC)rWherein L isBAnd LCEach is a bidentate ligand; and wherein p is 1,2 or 3; q is 0, 1 or 2; r is 0, 1 or 2; and p + q + r is the oxidation state of the metal M, LBAnd LCMay each be independently selected from the group consisting of ligand set D:
in some embodiments of the compounds, the compounds have formula M (L)A)p(LB)q(LC)rWherein L isBAnd LCEach is a bidentate ligand; and wherein p is 1,2 or 3; q is 0, 1 or 2; r is 0, 1 or 2; and p + q + r is the oxidation state of metal M. In some embodiments, LBSelected from the group consisting of compounds having the general formula LBkL shown belowB1To LB263Wherein k is an integer from 1 to 263:
in some embodiments, LBSelected from the group consisting of: l isB1、LB2、LB18、LB28、LB38、LB108、LB118、LB122、LB124、LB126、LB128、LB130、LB32、LB134、LB136、LB138、LB140、LB142、LB144、LB156、LB58、LB160、LB162、LB164、LB168、LB172、LB175、LB204、LB206、LB214、LB216、LB218、LB220、LB222、LB231、LB233、LB235、LB237、LB240、LB242、LB244、LB246、LB248、LB250、LB252、LB254、LB256、LB258、LB260、LB262And LB263。
In some embodiments, LBSelected from the group consisting of: l isB1、LB2、LB18、LB28、LB38、LB108、LB118、LB122、LB124、LB126、LB128、LB132、LB136、LB138、LB142、LB156、LB162、LB204、LB206、LB214、LB216、LB218、LB220、LB231、LB233And LB237。
In the formula of M (L)A)p(LB)q(LC)rIn some embodiments of the compounds of (1),wherein L isBAnd LCEach is a bidentate ligand; and wherein p is 1,2 or 3; q is 0, 1 or 2; r is 0, 1 or 2; and p + q + r is the oxidation state of the metal M, LCIs optionally selected from LCj-IAnd LCj-IIWherein j is an integer from 1 to 768, wherein LCj-IFrom LC1-ITo LC768-IWherein general number is LCj-IBased on structureAnd L isCj-IIFrom LC1-IITo LC768-IIWherein general number is LCj-IIBased on structureWherein L isCj-IAnd LCj-IIR of (A) to (B)1'And R2'Each independently defined as follows:
wherein R isD1To RD192Has the following structure:
in some embodiments of the compound, ligand LCj-IAnd LCj-IIOnly by corresponding R1' and R2' is defined as consisting of those ligands selected from the following structures: rD1、RD3、RD4、RD5、RD9、RD10、RD17、RD18、RD20、RD22、RD37、RD40、RD41、RD42、RD43、RD48、RD49、RD50、RD54、RD55、RD58、RD59、RD78、RD79、RD81、RD87、RD88、RD89、RD93、RD116、RD117、RD118、RD119、RD120、RD133、RD134、RD135、RD136、RD143、RD144、RD145、RD146、RD147、RD149、RD151、RD154、RD155、RD161、RD175And RD190。
In some embodiments of the compound, ligand LCj-IAnd LCj-IIOnly by corresponding R1' and R2' is defined as consisting of those ligands selected from the following structures: rD1、RD3、RD4、RD5、RD9、RD17、RD22、RD43、RD50、RD78、RD116、RD118、RD133、RD134、RD135、RD136、RD143、RD144、RD145、RD146、RD149、RD151、RD154、RD155And RD190。
In some embodiments of the compound, ligand LCSelected from the group consisting of:
in some embodiments of the compound, the compound has a formula selected from the group consisting of: ir (L)A)3、Ir(LA)(LB)2、Ir(LA)2(LB)、Ir(LA)2(LC) And Ir (L)A)(LB)(LC) (ii) a And wherein LA、LBAnd LCAre different from each other and LBMay be selected from L as defined hereinB1To LB263And L is a group ofCIs optionally selected from LCj-IAnd LCj-IIWherein j is an integer from 1 to 768, wherein LCj-IL is defined hereinC1-ITo LC768-IAnd wherein LCj-IIL is defined hereinC1-IITo LC768-IIThe compound of (1).
In some embodiments of the compound, the compound has the formula Pt (L)A)(LB) (ii) a And wherein LAAnd LBMay be the same or different, and LBMay be selected from L as defined hereinB1To LB263A group of combinations thereof. In some embodiments, LAAnd LBLinked to form a tetradentate ligand.
In some embodiments, the compound is selected from the group consisting of: based on the general formula Ir (L)Ai-m)3Ir (L)A1-1)3To Ir(LA1336-35)3Based on the formula Ir (L)Ai-m)(LBk)2Ir (L)A1-1)(LB1)2To Ir (L)A1336-35)(LB263)2Based on the formula Ir (L)Ai-m)2(LCj-I) Ir (L)A1-1)2(LC1-I) To Ir (L)A1336-35)2(LC768-I) And based on the formula Ir (L)Ai-m)2(LCj-II) Ir (L)A1-1)2(LC1-II) To Ir (L)A1336-35)2(LC768-II) Wherein i is an integer of 1 to 1336, m is an integer of 1 to 35, j is an integer of 1 to 768, k is an integer of 1 to 263, wherein LAi-m、LBk、LCj-IAnd LCj-IIEach as defined above.
In some embodiments of the compound, only L is includedBkThe following structure in (1): l isB1、LB2、LB18、LB28、LB38、LB108、LB118、LB122、LB124、LB126、LB128、LB130、LB32、LB134、LB136、LB138、LB140、LB142、LB144、LB156、LB58、LB160、LB162、LB164、LB168、LB172、LB175、LB204、LB206、LB214、LB216、LB218、LB220、LB222、LB231、LB233、LB235、LB237、LB240、LB242、LB244、LB246、LB248、LB250、LB252、LB254、LB256、LB258、LB260And LB262。
In some embodiments of the compound, only L is includedBkThe following structure in (1): l isB1、LB2、LB18、LB28、LB38、LB108、LB118、LB122、LB126、LB128、LB132、LB136、LB138、LB142、LB156、LB162、LB204、LB206、LB214、LB216、LB218、LB220、LB231、LB233And LB237。
In some embodiments of the compounds, only those in which there is a corresponding R are included1'And R2'Those L defined as selected from the following structuresCj-IAnd LCj-IIThe structure is as follows: r is as defined hereinD1、RD3、RD4、RD5、RD9、RD10、RD17、RD18、RD20、RD22、RD37、RD40、RD41、RD42、RD43、RD48、RD49、RD50、RD54、RD55、RD58、RD59、RD78、RD79、RD81、RD87、RD88、RD89、RD93、RD116、RD117、RD118、RD119、RD120、RD133、RD134、RD135、RD136、RD143、RD144、RD145、RD146、RD147、RD149、RD151、RD154、RD155、RD161、RD175And RD190。
In some embodiments of the compounds, only those in which there is a corresponding R are included1'And R2'Those L defined as selected from the following structuresCj-IAnd LCj-IIThe structure is as follows: r is as defined hereinD1、RD3、RD4、RD5、RD9、RD17、RD22、RD43、RD50、RD78、RD116、RD118、RD133、RD134、RD135、RD136、RD143、RD144、RD145、RD146、RD149、RD151、RD154、RD155And RD190。
In the presence of a ligand LCj-IIn some embodiments of the compounds of (1), only L is includedCj-IThe following structure in (1): l as defined hereinC1-1、LC4-1、LC9-1、LC10-1、LC17-1、LC50-1、LC55-1、LC116-1、LC143-1、LC144-1、LC145-1、LC190-1、LC230-1、LC231-1、LC232-1、LC277-1、LC278-1、LC279-1、LC325-1、LC412-1、LC413-1LC414-1And LC457-1。
In some embodiments, the compound is selected from the group consisting of:
in another aspect, the compound is selected from the group consisting of:
OLEDs and devices of the present disclosure
In another aspect, the present disclosure also provides an OLED comprising a first organic layer containing a compound disclosed in the above compounds section of the present disclosure. In some embodiments, an OLED comprises: an anode; a cathode; and an organic layer disposed between the anode and the cathode, wherein the organic layer contains a ligand L comprising formula I, formula II, formula III, or formula IVAThe compound of (1):
wherein: ring B is independently a 5-or 6-membered carbocyclic or heterocyclic ring; x1To X4Each independently selected from the group consisting of C, N and CR; at least one pair of adjacent X1To X4Each is C and is inIndication and formula VThe structures of (a) are fused; x5To X12Each independently is C or N; the maximum number of N within a ring is two; z and Y are each independently selected from the group consisting of: o, S, Se, NR ', CR ' R ', SiR ' R ' and GeR ' R '; rBAnd RCEach independently representing an association theretoZero, single or at most the maximum permissible substitutions of rings; rB、RCEach of R, R' and R "is independently hydrogen or a substituent selected from the group consisting of the general substituents defined herein; and two substituents may be joined or fused to form a ring; ligand LAComplexed with metal M via the two indicated dashed lines for each formula; and ligand LAMay be joined with other ligands to form tridentate, tetradentate, pentadentate, or hexadentate ligands.
In some embodiments, the OLED has one or more features selected from the group consisting of: flexible, rollable, foldable, stretchable, and bendable. In some embodiments, the OLED is transparent or translucent. In some embodiments, the OLED further comprises a layer comprising carbon nanotubes.
In some embodiments, the OLED further comprises a layer comprising a delayed fluorescence emitter. In some embodiments, the OLED comprises an RGB pixel arrangement or a white plus color filter pixel arrangement. In some embodiments, the OLED is a mobile device, a handheld device, or a wearable device. In some embodiments, the OLED is a display panel having a diagonal of less than 10 inches or an area of less than 50 square inches. In some embodiments, the OLED is a display panel having a diagonal of at least 10 inches or an area of at least 50 square inches. In some embodiments, the OLED is a lighting panel.
In some embodiments, the compound may be an emissive dopant. In some embodiments, the compounds can produce emission via phosphorescence, fluorescence, thermally activated delayed fluorescence (i.e., TADF, also known as E-type delayed fluorescence, see, e.g., U.S. application No. 15/700,352, published as U.S. patent application publication No. 2019/0081248, 3/14/2019, which is incorporated herein by reference in its entirety), triplet-triplet annihilation, or a combination of these processes. In some embodiments, the emissive dopant may be a racemic mixture, or may be enriched in one enantiomer. In some embodiments, the compounds may be homoleptic (each ligand is the same). In some embodiments, the compounds may be compounded (at least one ligand being different from the others).
In some embodiments, when there is more than one ligand that coordinates to the metal, the ligands may all be the same. In some other embodiments, at least one ligand is different from the other ligand(s). In some embodiments, each ligand may be different from each other. This is also true in embodiments where the ligand that coordinates to the metal can be linked to other ligands that coordinate to the metal to form a tridentate, tetradentate, pentadentate, or hexadentate ligand. Thus, where the coordinating ligands are linked together, in some embodiments all of the ligands may be the same, and in some other embodiments at least one of the linked ligands may be different from the other ligand(s).
In some embodiments, the compounds may be used as phosphorous photosensitizers in OLEDs, where one or more layers in the OLED contain an acceptor in the form of one or more fluorescent and/or delayed fluorescence emitters. In some embodiments, the compounds may be used as a component of an exciplex to be used as a sensitizer. As a phosphosensitizer, the compound must be capable of energy transfer to the acceptor and the acceptor will emit or further transfer energy to the final emitter. The receptor concentration may range from 0.001% to 100%. The acceptor may be in the same layer as the phosphorous sensitizer or in one or more different layers. In some embodiments, the receptor is a TADF emitter. In some embodiments, the acceptor is a fluorescent emitter. In some embodiments, the emission may be produced by any or all of the sensitizer, the receptor, and the final emitter.
In some embodiments, the compounds of the present disclosure are uncharged.
According to another aspect, a formulation comprising a compound described herein is also disclosed.
The OLEDs disclosed herein can be incorporated into one or more of consumer products, electronic component modules, and lighting panels. The organic layer may be an emissive layer, and the compound may be an emissive dopant in some embodiments, while the compound may be a non-emissive dopant in other embodiments.
The organic layer may further include a host. In some embodiments, twoOr more types of bodies are preferred. In some embodiments, the host used may be a) a bipolar, b) electron transport, c) hole transport, or d) a wide band gap material that plays a minor role in charge transport. In some embodiments, the body may include a metal complex. The host may be triphenylene containing benzo-fused thiophene or benzo-fused furan. Any substituent in the subject may be a non-fused substituent independently selected from the group consisting of: cnH2n+1、OCnH2n+1、OAr1、N(CnH2n+1)2、N(Ar1)(Ar2)、CH=CH-CnH2n+1、C≡C-CnH2n+1、Ar1、Ar1-Ar2And CnH2n-Ar1Or the subject is unsubstituted. In the foregoing substituents, n may be in the range of 1 to 10; and Ar1And Ar2May be independently selected from the group consisting of: benzene, biphenyl, naphthalene, triphenylene, carbazole, and heteroaromatic analogs thereof. The host may be an inorganic compound. For example, Zn-containing inorganic materials such as ZnS.
The host may be a compound comprising at least one chemical group selected from the group consisting of: triphenylene, carbazole, dibenzothiophene, dibenzofuran, dibenzoselenophene, azatriphenylene, azacarbazole, aza-dibenzothiophene, aza-dibenzofuran, and aza-dibenzoselenophene. The body may include a metal complex. The subject may be (but is not limited to) a specific compound selected from the group of subjects consisting of:
Additional information about possible subjects is provided below.
In some embodiments, the emissive region may comprise a compound comprising a ligand L of formula I, formula II, formula III, or formula IVA:
Wherein:
ring B is independently a 5-or 6-membered carbocyclic or heterocyclic ring; x1To X4Each independently selected from the group consisting of C, N and CR; at least one pair of adjacent X1To X4Each is C and is inIndication and formula VThe structures of (a) are fused; x5To X12Each independently is C or N; the maximum number of N within a ring is two; z and Y are each independently selected from the group consisting of: o, S, Se, NR ', CR ' R ', SiR ' R ' and GeR ' R '; rBAnd RCEach independently represents zero, a single, or at most a maximum allowed substitution for its associated ring; rB、RCEach of R, R' and R "is independently hydrogen or a substituent selected from the group consisting of: deuterium, halogen, alkyl, cycloalkyl, heteroalkyl, heterocycloalkyl, aralkyl, alkoxy, aryloxy, amino, silyl, alkenyl, cycloalkenyl, heteroalkenyl, alkynyl, aryl, heteroaryl, acyl, carboxylic acid, ether, ester, nitrile, isonitrile, thio, sulfinyl, sulfonyl, phosphino, borinyl, and combinations thereof; and two substituents may be joined or fused to form a ring; ligand LAComplexed with metal M via the two indicated dashed lines for each formula; and ligand LAMay be joined with other ligands to form tridentate, tetradentate, pentadentate, or hexadentate ligands.
In some embodiments of the emissive region, the compound may be an emissive dopant or a non-emissive dopant.
In some embodiments of the emissive region, the emissive region further comprises a host, wherein the host contains at least one chemical group selected from the group consisting of: metal complexes, triphenylenes, carbazoles, dibenzothiophenes, dibenzofurans, dibenzoselenophenes, aza-triphenylenes, aza-carbazoles, aza-dibenzothiophenes, aza-dibenzofurans, and aza-dibenzoselenophenes.
In some embodiments, the subject may be selected from the group consisting of the subject groups defined herein.
According to another aspect, a consumer product comprising an OLED is disclosed, wherein the OLED comprises: an anode; a cathode; and an organic layer disposed between the anode and the cathode, wherein the organic layer contains a ligand L comprising formula I, formula II, formula III, or formula IVAThe compound of (1):
wherein:
wherein: ring B is independently a 5-or 6-membered carbocyclic or heterocyclic ring; x1To X4Each independently selected from the group consisting of C, N and CR; at least one pair of adjacent X1To X4Each is C and is inIndication and formula VThe structures of (a) are fused; x5To X12Each independently is C or N; the maximum number of N within a ring is two; z and Y are each independently selected from the group consisting of: o, S, Se, NR ', CR ' R ', SiR ' R ' and GeR ' R '; rBAnd RCEach independently represents zero, a single, or at most a maximum allowed substitution for its associated ring; rB、RCEach of R, R' and R "is independently hydrogen or a substituent selected from the group consisting of: deuterium, halogen, alkyl, cycloalkyl, heteroalkyl, heterocycloalkyl, arylalkyl, alkoxy, aryloxy, aminoSilyl, alkenyl, cycloalkenyl, heteroalkenyl, alkynyl, aryl, heteroaryl, acyl, carboxylic acid, ether, ester, nitrile, isonitrile, thio, sulfinyl, sulfonyl, phosphino, borinyl, and combinations thereof; and two substituents may be joined or fused to form a ring; ligand LAComplexed with metal M via the two indicated dashed lines for each formula; and ligand LAMay be joined with other ligands to form tridentate, tetradentate, pentadentate, or hexadentate ligands.
In yet another aspect of the present invention, a formulation comprising the novel compound disclosed herein is described. The formulation may include one or more of the components disclosed herein selected from the group consisting of: a solvent, a host, a hole injection material, a hole transport material, an electron blocking material, a hole blocking material, and an electron transport material.
The present disclosure encompasses any chemical structure comprising the novel compounds of the present disclosure or monovalent or multivalent variants thereof. In other words, the compounds of the present invention or monovalent or multivalent variants thereof may be part of a larger chemical structure. Such chemical structures may be selected from the group consisting of: monomers, polymers, macromolecules and supramolecules (also known as supramolecules). As used herein, "monovalent variant of a compound" refers to a moiety that is the same as a compound but one hydrogen has been removed and replaced with a bond to the rest of the chemical structure. As used herein, "multivalent variants of a compound" refers to moieties that are the same as a compound but where more than one hydrogen has been removed and replaced with one or more bonds to the rest of the chemical structure. In the case of supramolecules, the compounds of the invention may also be incorporated into supramolecular complexes without covalent bonds.
In combination with other materials
Materials described herein as suitable for use in a particular layer in an organic light emitting device can be used in combination with a variety of other materials present in the device. For example, the emissive dopants disclosed herein may be used in conjunction with a wide variety of host, transport, barrier, implant, electrode, and other layers that may be present. The materials described or referenced below are non-limiting examples of materials that can be used in combination with the compounds disclosed herein, and one of ordinary skill in the art can readily review the literature to identify other materials that can be used in combination.
Conductive dopant:
the charge transport layer may be doped with a conductivity dopant to substantially change its charge carrier density, which in turn will change its conductivity. The conductivity is increased by the generation of charge carriers in the host material and, depending on the type of dopant, a change in the Fermi level of the semiconductor can also be achieved. The hole transport layer may be doped with a p-type conductivity dopant and an n-type conductivity dopant is used in the electron transport layer.
Non-limiting examples of conductivity dopants that can be used in OLEDs in combination with the materials disclosed herein, along with references disclosing those materials, are exemplified below: EP01617493, EP01968131, EP2020694, EP2684932, US20050139810, US20070160905, US20090167167, US2010288362, WO06081780, WO2009003455, WO2009008277, WO2009011327, WO2014009310, US2007252140, US2015060804, US20150123047 and US 2012146012.
HIL/HTL:
The hole injecting/transporting material used in the present invention is not particularly limited, and any compound may be used as long as the compound is generally used as a hole injecting/transporting material. Examples of materials include (but are not limited to): phthalocyanine or porphyrin derivatives; an aromatic amine derivative; indolocarbazole derivatives; a fluorocarbon-containing polymer; a polymer having a conductive dopant; conductive polymers such as PEDOT/PSS; self-assembling monomers derived from compounds such as phosphonic acids and silane derivatives; metal oxide derivatives, e.g. MoOx(ii) a p-type semiconducting organic compounds, such as 1,4,5,8,9, 12-hexaazatriphenylhexacyano-nitrile; a metal complex; and a crosslinkable compound.
Examples of aromatic amine derivatives for use in HILs or HTLs include, but are not limited to, the following general structures:
Ar1to Ar9Each of which is selected from: a group consisting of aromatic hydrocarbon cyclic compounds such as: benzene, biphenyl, terphenyl, triphenylene, naphthalene, anthracene, phenalene, phenanthrene, fluorene, pyrene,Perylene and azulene; a group consisting of aromatic heterocyclic compounds such as: dibenzothiophene, dibenzofuran, dibenzoselenophene, furan, thiophene, benzofuran, benzothiophene, benzoselenophene, carbazole, indolocarbazole, pyridylindole, pyrrolobipyridine, pyrazole, imidazole, triazole, oxazole, thiazole, oxadiazole, oxatriazole, dioxazole, thiadiazole, pyridine, pyridazine, pyrimidine, pyrazine, triazine, oxazine, oxathiazine, oxadiazine, indole, benzimidazole, indazole, indolizine, benzoxazole, benzisoxazole, benzothiazole, quinoline, isoquinoline, cinnoline, quinazoline, quinoxaline, naphthyridine, phthalazine, pteridine, xanthene, acridine, phenazine, phenothiazine, phenoxazine, benzofuropyridine, furobipyridine, benzothienopyridine, thienobipyridine, benzoselenenopyridine, and selenenopyridine; and a group consisting of 2 to 10 cyclic structural units which are the same type or different types of groups selected from aromatic hydrocarbon ring groups and aromatic heterocyclic groups and are bonded to each other directly or via at least one of an oxygen atom, a nitrogen atom, a sulfur atom, a silicon atom, a phosphorus atom, a boron atom, a chain structural unit and an aliphatic ring group. Each Ar may be unsubstituted or may be substituted with a substituent selected from the group consisting of: deuterium, halogen, alkyl, cycloalkyl, heteroalkyl, heterocycloalkyl, aralkyl, alkoxy, aryloxy, amino, silyl, alkenyl, cycloalkenyl, heteroalkenyl, alkynyl, aryl, heteroaryl, acyl, carboxylic acid, ether, ester, nitrile, isonitrile, thio, sulfinyl, sulfonyl, phosphino, and the likeAnd combinations thereof.
In one aspect, Ar1To Ar9Independently selected from the group consisting of:
wherein k is an integer from 1 to 20; x101To X108Is C (including CH) or N; z101Is NAr1O or S; ar (Ar)1Having the same groups as defined above.
Examples of metal complexes used in HILs or HTLs include, but are not limited to, the following general formulas:
wherein Met is a metal which may have an atomic weight greater than 40; (Y)101-Y102) Is a bidentate ligand, Y101And Y102Independently selected from C, N, O, P and S; l is101Is an ancillary ligand; k' is an integer value from 1 to the maximum number of ligands that can be attached to the metal; and k' + k "is the maximum number of ligands that can be attached to the metal.
In one aspect, (Y)101-Y102) Is a 2-phenylpyridine derivative. In another aspect, (Y)101-Y102) Is a carbene ligand. In another aspect, Met is selected from Ir, Pt, Os and Zn. In another aspect, the metal complex has a structure comparable to Fc+A minimum oxidation potential in solution of less than about 0.6V for/Fc coupling.
Non-limiting examples of HIL and HTL materials that can be used in OLEDs in combination with the materials disclosed herein, along with references disclosing those materials, are exemplified by the following: CN102702075, DE102012005215, EP01624500, EP0169861, EP01806334, EP01930964, EP01972613, EP01997799, EP02011790, EP02055700, EP02055701, EP1725079, EP2085382, EP2660300, EP650955, JP07-073529, JP2005112765, JP2007091, JP 2008021621687, JP2014-009196, KR 201188898, KR20130077473, TW 201139201139402, US06517957, US 2008220158242, US20030162053, US20050123751 751, US 20060282993, US 200602872 14579, US 201181874874, US20070278938, US 20080014014464 091091091, US20080106190, US 200907192605092385, US 12460352009071794392604335200356371798, WO 20120020120020135200353141563543544354435443544354435443544354435443544354435443544354435646, WO 200200352003520035563256325632563256325646, WO 20035200352003520035200435443544354435443544354435443544354435443544354435646, WO 200605646, WO 200605632563256325632563256325646, WO 2002002002002002002002002002002002002002004356325632563256325632563256325632563256325632563256325632563256325632567, WO 2004354435443435632563256325632563256325632563256325632563243544354434354435443544354435443544354435443544354435443541, WO 200200200200200200200200200200200200200200200200200200.
EBL:
An Electron Blocking Layer (EBL) may be used to reduce the number of electrons and/or excitons that leave the emissive layer. The presence of such a barrier layer in a device may result in substantially higher efficiency and/or longer lifetime compared to a similar device lacking a barrier layer. In addition, blocking layers can be used to limit the emission to the desired area of the OLED. In some embodiments, the EBL material has a higher LUMO (closer to the vacuum level) and/or higher triplet energy than the emitter closest to the EBL interface. In some embodiments, the EBL material has a higher LUMO (closer to the vacuum level) and/or higher triplet energy than one or more of the bodies closest to the EBL interface. In one aspect, the compound used in the EBL contains the same molecule or the same functional group as used in one of the hosts described below.
A main body:
the light-emitting layer of the organic EL device of the present invention preferably contains at least a metal complex as a light-emitting material, and may contain a host material using the metal complex as a dopant material. Examples of the host material are not particularly limited, and any metal complex or organic compound may be used as long as the triplet energy of the host is larger than that of the dopant. Any host material may be used with any dopant so long as the triplet criteria are met.
Examples of the metal complex used as the host preferably have the following general formula:
wherein Met is a metal; (Y)103-Y104) Is a bidentate ligand, Y103And Y104Independently selected from C, N, O, P and S; l is101Is another ligand; k' is an integer value from 1 to the maximum number of ligands that can be attached to the metal; and k' + k "is the maximum number of ligands that can be attached to the metal.
In one aspect, the metal complex is:
wherein (O-N) is a bidentate ligand having a metal coordinated to the O and N atoms.
In another aspect, Met is selected from Ir and Pt. In another aspect, (Y)103-Y104) Is a carbene ligand.
In one aspect, the host compound contains at least one selected from the group consisting of: a group consisting of aromatic hydrocarbon cyclic compounds such as: benzene, biphenyl, terphenyl, triphenylene, tetraphenylene, naphthalene, anthracene, phenalene, phenanthrene, fluorene, pyrene, perylene,Perylene and azulene; a group consisting of aromatic heterocyclic compounds such as: dibenzothiophene, dibenzofuran, dibenzoselenophene, furan, thiophene, benzofuran, benzothiophene, benzoselenophene, carbazole, indolocarbazole, pyridylindole, pyrrolobipyridine, pyrazole, imidazole, triazole, oxazole, thiazole, oxadiazole, oxatriazole, dioxazole, thiadiazole, pyridine, pyridazine, pyrimidine, pyrazine, triazine, oxazine, oxathiazine, oxadiazine, indole, benzimidazole, indazole, indolizine, benzoxazole, benzisoxazole, benzothiazole, quinoline, isoquinoline, cinnoline, quinazoline, quinoxaline, naphthyridine, phthalazine, pteridine, xanthene, acridine, phenazine, phenothiazine, phenoxazine, benzofuropyridine, furobipyridine, benzothienopyridine, thienobipyridine, benzoselenenopyridine, and selenenopyridine; and a group consisting of 2 to 10 cyclic structural units which are the same type or different types of groups selected from aromatic hydrocarbon ring groups and aromatic heterocyclic groups and are bonded to each other directly or via at least one of an oxygen atom, a nitrogen atom, a sulfur atom, a silicon atom, a phosphorus atom, a boron atom, a chain structural unit and an aliphatic ring group. Each option in each group may be unsubstituted or may be substituted with a substituent selected from the group consisting of: deuterium, halogen, alkyl, cycloalkyl, heteroalkyl, heterocycloalkyl, aralkyl, alkoxy, aryloxy, amino, silaneA group, an alkenyl group, a cycloalkenyl group, a heteroalkenyl group, an alkynyl group, an aryl group, a heteroaryl group, an acyl group, a carboxylic acid, an ether, an ester, a nitrile, an isonitrile, a thio group, a sulfinyl group, a sulfonyl group, a phosphino group, and combinations thereof.
In one aspect, the host compound contains at least one of the following groups in the molecule:
wherein R is101Selected from the group consisting of: hydrogen, deuterium, halogen, alkyl, cycloalkyl, heteroalkyl, heterocycloalkyl, aralkyl, alkoxy, aryloxy, amino, silyl, alkenyl, cycloalkenyl, heteroalkenyl, alkynyl, aryl, heteroaryl, acyl, carboxylic acid, ether, ester, nitrile, isonitrile, thio, sulfinyl, sulfonyl, phosphino, and combinations thereof, and when it is aryl or heteroaryl, it has a similar definition to Ar mentioned above. k is an integer from 0 to 20 or from 1 to 20. X101To X108Independently selected from C (including CH) or N. Z101And Z102Independently selected from NR101O or S.
Non-limiting examples of host materials that can be used in OLEDs in combination with the materials disclosed herein are exemplified below, along with references disclosing those materials: EP2034538, EP2034538A, EP2757608, JP2007254297, KR20100079458, KR20120088644, KR20120129733, KR20130115564, TW201329200, US20030175553, US20050238919, US20060280965, US20090017330, US20090030202, US20090167162, US20090302743, US20090309488, US20100012931, US20100084966, US20100187984, US2010187984, US2012075273, US2012126221, US2013009543, US2013105787, US2013175519, US 001446, US 20148301503, US20140225088, US2014034914, US7154114, WO2001039234, WO 2004093203203203207, WO 2005014545454545452009020090455646, WO 2002012009020120090201902019072201200907220120020190722012002012002016072201200201200201200201607246, WO 20120020120020160722012002016072201200201200201607246, WO 200201200201200201200201200201200201200201200907220020120020120020120020120020120020120090729, WO 200201200201200201200201200201200201200201200201200201200201200201200201200201200201200201200201200200200201200201200200200200200200200200200200200200200200200200200200200200200200200200200200200200200200200200200200200200200200200200200200200200200200200200200200200200200200200200200200200200,
other emitters:
one or more other emitter dopants may be used in combination with the compounds of the present invention. Examples of the other emitter dopant are not particularly limited, and any compound may be used as long as the compound is generally used as an emitter material. Examples of suitable emitter materials include, but are not limited to, compounds that can produce emission via phosphorescence, fluorescence, thermally activated delayed fluorescence (i.e., TADF, also known as E-type delayed fluorescence), triplet-triplet annihilation, or a combination of these processes.
Non-limiting examples of emitter materials that can be used in OLEDs in combination with the materials disclosed herein, along with references disclosing those materials, are exemplified below: CN103694277, CN1696137, EB01238981, EP01239526, EP01961743, EP1239526, EP1244155, EP1642951, EP1647554, EP1841834, EP1841834B, EP2062907, EP2730583, JP 201207440263, JP4478555, KR1020090133652, KR20120032054, KR20130043460, TW201332980, US0669959, US 200100916520, US20010019782, US20020034656, US 20030068568526, US20030072964, US 2003013865657, US 200501787878788, US 20020020020020120044673, US2005123791, US 2006052449 449, US20060008670, US20060065890, US 601696, US 6016016016012006012016016310204659, US 2012002012002012002012002012000477817781979, WO 20020120020120020120020020020020020020004778177819748, US 20120020020004779, WO 200200200201200201200200200200200201200778177819748, US 20020120004779, US 20120020120020120020120020020120020020020004779, US 2002012002002002002002002002002002002002002002002002002002012000477819748, US 200200200200200200200200200200200200200200200200200200200200200200200200200200200200200200200200200200779, US 200200200200200200200200200200200200200200200200200200200200200200200200200200200200200200200200200200200200200200200200200200200200200200779, US 200200200200200200200200200200200200200200200200200200200200200200200200200200200200200200200200200200200200200200200200200200200200200200200200200200200779, US 20020020020020020020020020020020020020020020020020020020120020120020020020020020020020020020020020020020020020020020020020020020020043979, US 20020020020020020020020020020020020020020020020020020020020020020020020020020020020020020020020020020020020020020020020020020020020020020020020020020020020043979, US 20020020020020020020020020020020020020020020020020020020020020020020020020020020020043979, US 20020020020120020120020020020020020020020020020020020020020020020043979, US 20020020020020020020020020020020020120020120020020020020020020020020020020020020020020020020020020020020020020020020020020120020020020020020020020020020020020020020020020043979, US 20020020020020020020020020020020020020020020020020020020020020020020020020020020020020020020020020020020020020020020120020120020120020120043979, US 200200200200200200200200200200200200200200200200200200200200200200200200200200200, WO2012020327, WO2012163471, WO2013094620, WO2013107487, WO2013174471, WO2014007565, WO2014008982, WO2014023377, WO2014024131, WO2014031977, WO2014038456, WO 2014112450.
HBL:
Hole Blocking Layers (HBLs) may be used to reduce the number of holes and/or excitons that leave the emissive layer. The presence of such a barrier layer in a device may result in substantially higher efficiency and/or longer lifetime compared to a similar device lacking a barrier layer. In addition, blocking layers can be used to limit the emission to the desired area of the OLED. In some embodiments, the HBL material has a lower HOMO (farther from the vacuum level) and/or higher triplet energy than the emitter closest to the HBL interface. In some embodiments, the HBL material has a lower HOMO (farther from the vacuum level) and/or higher triplet energy than one or more of the hosts closest to the HBL interface.
In one aspect, the compound used in the HBL contains the same molecule or the same functional group as used for the host described above.
In another aspect, the compound used in HBL contains in the molecule at least one of the following groups:
wherein k is an integer from 1 to 20; l is101Is another ligand, and k' is an integer of 1 to 3.
ETL:
The Electron Transport Layer (ETL) may include a material capable of transporting electrons. The electron transport layer may be intrinsic (undoped) or doped. Doping may be used to enhance conductivity. Examples of the ETL material are not particularly limited, and any metal complex or organic compound may be used as long as it is generally used to transport electrons.
In one aspect, the compound used in the ETL contains in the molecule at least one of the following groups:
wherein R is101Selected from the group consisting of: hydrogen, deuterium, halogen, alkyl, cycloalkyl, heteroalkyl, heterocycloalkyl, aralkyl, alkoxy, aryloxy, amino, silyl, alkenyl, cycloalkenyl, heteroalkenyl, alkynyl, aryl, heteroaryl, acyl, carboxylic acid, ether, ester, nitrile, isonitrile, thio, sulfinyl, sulfonyl, phosphino, and combinations thereof, which when aryl or heteroaryl has a similar definition to Ar described above. Ar (Ar)1To Ar3Have similar definitions as Ar mentioned above. k is an integer of 1 to 20. X101To X108Selected from C (including CH) or N.
In another aspect, the metal complex used in the ETL contains (but is not limited to) the following general formula:
wherein (O-N) or (N-N) is a bidentate ligand having a metal coordinated to atom O, N or N, N; l is101Is another ligand; k' is an integer value from 1 to the maximum number of ligands that can be attached to the metal.
Non-limiting examples of ETL materials that can be used in an OLED in combination with the materials disclosed herein, along with references disclosing those materials, are exemplified as follows: CN103508940, EP01602648, EP01734038, EP01956007, JP2004-022334, JP2005149918, JP2005-268199, KR0117693, KR20130108183, US20040036077, US20070104977, US2007018155, US20090101870, US20090115316, US20090140637, US 2009017959554, US2009218940, US2010108990, US2011156017, US2011210320, US2012193612, US2012214993, US 20140142014014925, US 201401492014927, US 2014028450284580, US 5666612, US 1508431, WO 200306093060979256, WO2007111263, WO2009148269, WO2010067894, WO2010072300, WO 201107070, WO 105373, WO 201303017, WO 201314545477, WO 2014545667, WO 201104376, WO2014104535, WO 2014535,
charge Generation Layer (CGL)
In tandem or stacked OLEDs, CGL plays a fundamental role in performance, consisting of an n-doped layer and a p-doped layer for injecting electrons and holes, respectively. Electrons and holes are supplied by the CGL and the electrodes. Electrons and holes consumed in the CGL are refilled by electrons and holes injected from the cathode and anode, respectively; subsequently, the bipolar current gradually reaches a steady state. Typical CGL materials include n and p conductivity dopants used in the transport layer.
In any of the above-mentioned compounds used in each layer of the OLED device, the hydrogen atoms may be partially or fully deuterated. Thus, any of the specifically listed substituents, such as (but not limited to) methyl, phenyl, pyridyl, and the like, can be in their non-deuterated, partially deuterated, and fully deuterated forms. Similarly, substituent classes (such as, but not limited to, alkyl, aryl, cycloalkyl, heteroaryl, etc.) can also be non-deuterated, partially deuterated, and fully deuterated forms thereof.
Experiment of
Synthesis of a compound having the formula Ir (L)A66-1)2LC17Example of the invention compound 1:
a solution of 1- (4- (tert-butyl) naphthalen-2-yl) -8-isobutylbenzo [4,5] thieno [2,3-c ] pyridine (8.43g, 19.9mmol, 2.1 equiv.) in 2-ethoxyethanol (125mL) and deionized ultrafiltration (DIUF) water (80mL) was bubbled with nitrogen for 10 minutes. Iridium (III) chloride hydrate (3.019g, 9.54mmol, 1.0 equiv.) was added and the reaction mixture was heated at 95 ℃ for 18 h. The solution was cooled to 50 ℃, the solid was filtered, washed with DIUF water (125mL) and methanol (125mL), and then air-dried to give the solvent wet bis- μ -chloro-tetrakis- [ (1- (4- (tert-butyl) naphthalen-2-yl) -1' -yl) -8-isobutylbenzo [4,5] thieno [2,3-c ] pyridin-6-yl ] diiridium (III).
Subsequently, di- μ -chloro-tetrakis- [ (1- (4- (tert-butyl) naphthalen-2-yl) -1' -yl) -8-isobutylbenzo [4,5] is injected by syringe]Thieno [2,3-c]Pyridin-6-yl]To a solution of diidium (III) (10.23g, 4.77mmol, 1.0 equiv.) in 2-ethoxyethanol (150mL) was added 3, 7-diethylnonane-4, 6-dione (5.516g, 26.0mmol, 5.45 equiv.), and the reaction mixture was bubbled with nitrogen for 15 minutes. Powdered potassium carbonate (5.317g, 38.5mmol, 8.07 equiv.) was added and the reaction mixture was stirred at room temperature for 72 hours. DIUF water (150mL) was added and the mixture was stirred for 30 minutes. The suspension was filtered and the solid was washed with DIUF water (250mL) and methanol (200mL), followed by air drying. The red crude solid (16.6g) was chromatographed on silica gel (843g) layered with basic alumina (468g) eluting with 40% dichloromethane/hexane to give bis [ (1- (4- (tert-butyl) naphthalen-2-yl) -1' -yl) -8-isobutylbenzo [4,5] a]Thieno [2,3-c]Pyridin-2-yl]- (3, 7-diethylnonane-4, 6-diketo-k)2O, O') iridium (III).
Synthesis of example compound 2 of the invention:
reacting 8-isobutyl-1- (naphthalen-2-yl) benzo [4,5]]Thieno [2,3-c]Pyridine (2.40g, 6.53mmol, 2.2 equivalents) and iridium (III) chloride tetrahydrate (1.1g, 2.97mmol, 1.0 equivalent) were charged to a 40mL reaction vial. 2-ethoxyethanol (15mL) and DIUF water (5mL) were added and the reaction mixture was stirred at 90 ℃ for about 60 hours.1H-NMR analysis indicated that the starting ligand was completely consumed. The mixture was cooled to room temperature and diluted with DIUF water (5 mL). The solid was filtered and washed with methanol (20mL) to give di- μ -chloro-tetrakis [1- (naphthalen-2-yl) -3' -yl) -8-isobutyl-benzo [4,5] as an orange solid]Thieno [2,3-c]Pyridin-2-yl)]Diiridium (III) (1.42g, 52% yield).
3, 7-Diethylnonane-4, 6-dione (1.180g, 5.56mmol, 8 equiv.), crude di- μ -chloro-tetrakis [1- (naphthalen-2-yl) -3' -yl) -8-isobutyl-benzo [4, 5%]Thieno [2,3-c]Pyridin-2-yl)]A40 mL vial was charged with a mixture of diiridium (III) (1.39g, 0.722mmol, 1.0 equiv.), dichloromethane (1mL) and methanol (25 mL). Powdered potassium carbonate (1.152g, 8.34mmol, 12 equiv.) was added and the mixture was bubbled with nitrogen for 5 minutes. After heating at 45 ℃ overnight, the reaction was cooled to room temperature and diluted with DIUF water (50 mL). After stirring for 10 minutes, the red-orange solid was filtered, washed with water (20mL), then methanol (100mL), and dried under vacuum, the solid dissolved in dichloromethane (200mL) and dry loaded onto celite (50 g). Chromatography of the product on basic alumina gave bis [ (1- (naphthalen-2-yl) -3' -yl) -8-isobutyl-benzo [4,5] as a red-orange solid]Thieno [2,3-c]Pyridin-2-yl)]- (3, 7-diethyl-4, 6-nonanedionyl-. kappa.) -2O, O') iridium (III) (0.705g, 97.2% purity, 43% yield).
Synthesis of comparative example 1 compound:
a suspension of 8-isobutyl-1- (naphthalen-1-yl) benzo [4,5] thieno [2,3-c ] pyridine (1.695g, 4.61mmol, 2.0 equiv.) in 2-ethoxyethanol (12mL) and DIUF water (4mL) was bubbled with nitrogen for 10 min. Iridium (III) chloride hydrate (0.73g, 2.31mmol, 1.0 equiv) was added and the reaction mixture was heated at 100 ℃ for 18 h. The reaction was stopped and cooled to room temperature. The resulting red solid was filtered and washed with methanol (3 × 5mL) to give the crude putative intermediate di- μ -chloro-tetrakis [1- (naphthalen-1-yl) -2' -yl) -8-isobutyl-benzo [4,5] thieno [2,3-c ] pyridin-1-yl) ] -diiridium (III) (estimated 1.153mmol, wet) as a red solid.
Subsequently, the crude di- μ -chloro-tetrakis [1- (naphthalen-1-yl) -2' -yl) -8-isobutyl-benzo [4, 5-]Thieno [2,3-c]Pyridin-1-yl)]Diidium (III) (estimated 1.153mmol, 1.0 equiv.) was suspended in methanol (12mL) and dichloromethane (1 mL). 3, 7-Diethylnonane-4, 6-dione (0.98g, 4.61mmol, 4.0 equiv.) and powdered potassium carbonate (0.96g, 6.92mmol, 6.0 equiv.) were added and the reaction mixture was heated at 50 ℃ for 2 h to form a new red suspension. The reaction was cooled to room temperature and diluted with water (10 mL). The solid was filtered and washed with water (2X 3mL) and methanol (3X 1 mL). The red solid was purified on a silica gel column eluting with a gradient of 0 to 50% dichloromethane/heptane to give bis [ (1- (naphthalen-1-yl) -2' -yl) -8-isobutyl-benzo [4,5]]Thieno [2,3-c]Pyridin-1-yl)]- (3, 7-diethyl-4, 6-nonanedionyl-k)2O, O') iridium (III).
Photoluminescence (PL) spectra of the compounds of inventive example I, inventive example 2, and comparative example 1 were taken in 2-methyl THF solution at room temperature and the data are shown in the graph of fig. 3. PL intensity was normalized to the maximum of the first emission peak. Inventive example 1 and comparative example 1 both showed saturated red. Inventive example 1 shows a much narrower emission than comparative example 1. It can be seen that the intensity of the second PL peak of inventive example 1 is lower than that of comparative example 1. The saturated emission color, narrower emission spectrum, more precisely lower contribution from the second emission peak provides improved device performance, such as high electroluminescent efficiency and lower power consumption.
It should be understood that the various embodiments described herein are by way of example only and are not intended to limit the scope of the invention. For example, many of the materials and structures described herein may be substituted with other materials and structures without departing from the spirit of the invention. The invention as claimed may thus comprise variations of the specific examples and preferred embodiments described herein, as will be apparent to those skilled in the art. It should be understood that various theories as to why the invention works are not intended to be limiting.
Claims (20)
1. A compound comprising a ligand L of formula I, formula II, formula III or formula IVA:
Wherein:
ring B is independently a 5-or 6-membered carbocyclic or heterocyclic ring;
X1to X4Each independently selected from the group consisting of C, N and CR;
X5to X12Each independently is C or N;
z and Y are each independently selected from the group consisting of: o, S, Se, NR ', CR ' R ', SiR ' R ' and GeR ' R ';
RBand RCEach independently represents zero, a single, or at most a maximum allowed substitution for its associated ring;
RB、RCeach of R, R' and R "is independently hydrogen or a substituent selected from the group consisting of: deuterium, halogen, alkyl, cycloalkyl, heteroalkyl, heterocycloalkyl, aralkyl, alkoxy, aryloxy, amino, silyl, alkenyl, cycloalkenyl, heteroalkenyl, alkynyl, aryl, heteroaryl, acyl, carboxylic acid, ether, ester, nitrile, isonitrile, thio, sulfinyl, sulfonylPhosphine groups, boron oxide groups, and combinations thereof; and two substituents may be joined or fused to form a ring;
the ligand LAComplexed with metal M via the two indicated dashed lines for each formula; and is
The ligand LAMay be joined with other ligands to form tridentate, tetradentate, pentadentate, or hexadentate ligands.
2. The compound of claim 1, wherein RB、RCEach of R, R' and R "is independently hydrogen or a substituent selected from the group consisting of: deuterium, fluorine, alkyl, cycloalkyl, heteroalkyl, alkoxy, aryloxy, amino, silyl, alkenyl, cycloalkenyl, heteroalkenyl, aryl, heteroaryl, nitrile, isonitrile, thio, oxyboronyl, and combinations thereof.
3. The compound of claim 1, wherein ring B is a 6-membered ring.
4. The compound of claim 1, wherein X1To X4Each of which is independently C or CR.
5. The compound of claim 1, wherein X in each formula1To X4Is N.
6. The compound of claim 1, wherein X5To X12Each of which is C.
7. The compound of claim 1, wherein X in each formula5To X12Is N.
8. The compound of claim 1, wherein Z is independently at each occurrence O or S.
9. The compound of claim 1, wherein each formula isAt least one R ofBIndependently an alkyl or cycloalkyl group.
11. the compound of claim 1, wherein the metal M is selected from the group consisting of: os, Ir, Pd, Pt, Cu, Ag and Au.
12. The compound of claim 1, wherein the compound comprises a ligand L selected from the group consisting ofA:
Wherein R isBEach of which may be the same or different, RCEach of which may be the same or different, an
RBAnd RCIndependently at each occurrence is selected from deuterium, halogen, alkyl, cycloalkyl, heteroalkyl, heterocycloalkyl, aralkyl, alkoxy, aryloxy, amino, silyl, alkenyl, cycloalkenyl, heteroalkenyl, alkynyl, aryl, heteroaryl, acyl, carboxylic acid, ether, ester, nitrile, isonitrile, thio, sulfinyl, sulfonyl, phosphino, borinyl, and combinations thereof.
13. According to the rightThe compound of claim 1, wherein the compound comprises a ligand L selected from the group consisting ofA:
l based on structure 35Ai-35:Wherein i is an integer from 1 to 1336, and R for each iE、RFAnd G is defined as follows:
14. the compound of claim 1, whereinThe compound has the formula M (L)A)p(LB)q(LC)rWherein L isBAnd LCEach is a bidentate ligand; and wherein p is 1,2 or 3; q is 0, 1 or 2; r is 0, 1 or 2; and is
p + q + r is the oxidation state of the metal M.
15. The compound of claim 14, wherein LBAnd LCEach independently selected from the group consisting of:
wherein:
each Y1To Y13Independently selected from the group consisting of carbon and nitrogen; y' is selected from the group consisting of: BR (BR)e、NRe、PRe、O、S、Se、C=O、S=O、SO2、CReRf、SiReRfAnd GeReRf;
ReAnd RfMay be fused or joined to form a ring;
each Ra、Rb、RcAnd RdIndependently represent zero, single or at most the maximum permissible substitutions for its associated ring;
Ra、Rb、Rc、Rd、Reand RfEach of which is independently hydrogen or a substituent selected from the group consisting of: hydrogen, deuterium, halide, alkyl, cycloalkyl, heteroalkyl, aralkyl, alkoxy, aryloxy, amino, silyl, alkenyl, cycloalkenyl, heteroalkenyl, alkynyl, aryl, heteroaryl, acyl, carbonyl, carboxylic acid, ester, nitrile, isonitrile, thio, sulfinyl, sulfonyl, phosphino, borinyl, and combinations thereof; and is
Ra、Rb、RcAnd RdTwo adjacent substituents of (a) may be fused or joined to form a ring or form a multidentate ligand.
16. The compound of claim 13, wherein the compound is selected from the group consisting of: based on the general formula Ir (L)Ai-m)2(LCj-I) Ir (L)A1-1)2(LC1-I) To Ir (L)A1336-35)2(LC768-I) And based on the formula Ir (L)Ai-m)2(LCj-II) Ir (L)A1-1)2(LC1-II) To Ir (L)A1336-35)2(LC768-II) Wherein i is an integer of 1 to 1336, m is an integer of 1 to 35, j is an integer of 1 to 768, wherein LCj-IFrom LC1-ITo LC768-IWherein general number is LCj-IBased on structureAnd L isCj-IIFrom LC1-IITo LC768-IIWherein general number is LCj-IIBased on structureWherein L isCj-IAnd LCj-IIR of (A) to (B)1'And R2'Each independently defined as follows:
20. an Organic Light Emitting Device (OLED), comprising:
an anode;
a cathode; and
is arranged at the anodeAnd the cathode, wherein the organic layer contains a ligand L comprising formula I, formula II, formula III, or formula IVAThe compound of (1):
wherein:
ring B is independently a 5-or 6-membered carbocyclic or heterocyclic ring;
X1to X4Each independently selected from the group consisting of C, N and CR;
X5to X12Each independently is C or N;
the maximum number of N within a ring is two;
z and Y are each independently selected from the group consisting of: o, S, Se, NR ', CR ' R ', SiR ' R ' and GeR ' R ';
RBand RCEach independently represents zero, a single, or at most a maximum allowed substitution for its associated ring;
RB、RCeach of R, R' and R "is independently hydrogen or a substituent selected from the group consisting of: deuterium, halogen, alkyl, cycloalkyl, heteroalkyl, heterocycloalkyl, aralkyl, alkoxy, aryloxy, amino, silyl, alkenyl, cycloalkenyl, heteroalkenyl, alkynyl, aryl, heteroaryl, acyl, carboxylic acid, ether, ester, nitrile, isonitrile, thio, sulfinyl, sulfonyl, phosphino, borinyl, and combinations thereof; and two substituents may be joined or fused to form a ring;
the ligand LABy two dotted lines per formulaComplexing with a metal M; and is
The ligand LAMay be joined with other ligands to form tridentate, tetradentate, pentadentate, or hexadentate ligands.
Applications Claiming Priority (6)
| Application Number | Priority Date | Filing Date | Title |
|---|---|---|---|
| US16/375,467 US11127906B2 (en) | 2016-10-03 | 2019-04-04 | Organic electroluminescent materials and devices |
| US16/375,467 | 2019-04-04 | ||
| US201962930837P | 2019-11-05 | 2019-11-05 | |
| US62/930,837 | 2019-11-05 | ||
| US16/828,080 US11081658B2 (en) | 2016-10-03 | 2020-03-24 | Organic electroluminescent materials and devices |
| US16/828,080 | 2020-03-24 |
Publications (1)
| Publication Number | Publication Date |
|---|---|
| CN111793093A true CN111793093A (en) | 2020-10-20 |
Family
ID=72806437
Family Applications (1)
| Application Number | Title | Priority Date | Filing Date |
|---|---|---|---|
| CN202010251906.6A Pending CN111793093A (en) | 2019-04-04 | 2020-04-01 | Organic electroluminescent material and device |
Country Status (2)
| Country | Link |
|---|---|
| KR (1) | KR20200118376A (en) |
| CN (1) | CN111793093A (en) |
Cited By (5)
| Publication number | Priority date | Publication date | Assignee | Title |
|---|---|---|---|---|
| CN114539321A (en) * | 2020-11-24 | 2022-05-27 | 环球展览公司 | Organic Electroluminescent Materials and Devices |
| CN114957338A (en) * | 2021-02-22 | 2022-08-30 | 环球展览公司 | Organic electroluminescent material and device |
| CN115073527A (en) * | 2021-03-12 | 2022-09-20 | 环球展览公司 | Organic electroluminescent material and device |
| CN115232170A (en) * | 2021-04-23 | 2022-10-25 | 北京夏禾科技有限公司 | Organic electroluminescent material and device thereof |
| TWI895670B (en) * | 2021-12-22 | 2025-09-01 | 南韓商樂金顯示科技股份有限公司 | Organometallic compound, organic light-emitting device including the same and organic light-emitting display device including the same |
Families Citing this family (2)
| Publication number | Priority date | Publication date | Assignee | Title |
|---|---|---|---|---|
| KR102860028B1 (en) * | 2021-11-15 | 2025-09-12 | 삼성전자주식회사 | Organometallic compound, light emitting device including the same and electronic apparatus including the light emitting device |
| KR102845986B1 (en) * | 2022-03-23 | 2025-08-13 | 삼성전자주식회사 | Organometallic compound, light emitting device including the same and electronic apparatus including the light emitting device |
Citations (5)
| Publication number | Priority date | Publication date | Assignee | Title |
|---|---|---|---|---|
| CN1589307A (en) * | 2001-10-17 | 2005-03-02 | 通用显示公司 | Phosphorescent compounds and devices comprising the same |
| CN104520308A (en) * | 2012-08-07 | 2015-04-15 | 默克专利有限公司 | Metal complexes |
| US20150236276A1 (en) * | 2014-02-14 | 2015-08-20 | Universal Display Corporation | Organic Electroluminescent Materials and Devices |
| CN107892702A (en) * | 2016-10-03 | 2018-04-10 | 环球展览公司 | Organic Electroluminescent Materials and Devices |
| CN109608500A (en) * | 2017-12-06 | 2019-04-12 | 石家庄诚志永华显示材料有限公司 | Organic electroluminescent compound, its preparation, application and electroluminescent device comprising the same |
-
2020
- 2020-04-01 CN CN202010251906.6A patent/CN111793093A/en active Pending
- 2020-04-02 KR KR1020200040451A patent/KR20200118376A/en not_active Ceased
Patent Citations (5)
| Publication number | Priority date | Publication date | Assignee | Title |
|---|---|---|---|---|
| CN1589307A (en) * | 2001-10-17 | 2005-03-02 | 通用显示公司 | Phosphorescent compounds and devices comprising the same |
| CN104520308A (en) * | 2012-08-07 | 2015-04-15 | 默克专利有限公司 | Metal complexes |
| US20150236276A1 (en) * | 2014-02-14 | 2015-08-20 | Universal Display Corporation | Organic Electroluminescent Materials and Devices |
| CN107892702A (en) * | 2016-10-03 | 2018-04-10 | 环球展览公司 | Organic Electroluminescent Materials and Devices |
| CN109608500A (en) * | 2017-12-06 | 2019-04-12 | 石家庄诚志永华显示材料有限公司 | Organic electroluminescent compound, its preparation, application and electroluminescent device comprising the same |
Cited By (5)
| Publication number | Priority date | Publication date | Assignee | Title |
|---|---|---|---|---|
| CN114539321A (en) * | 2020-11-24 | 2022-05-27 | 环球展览公司 | Organic Electroluminescent Materials and Devices |
| CN114957338A (en) * | 2021-02-22 | 2022-08-30 | 环球展览公司 | Organic electroluminescent material and device |
| CN115073527A (en) * | 2021-03-12 | 2022-09-20 | 环球展览公司 | Organic electroluminescent material and device |
| CN115232170A (en) * | 2021-04-23 | 2022-10-25 | 北京夏禾科技有限公司 | Organic electroluminescent material and device thereof |
| TWI895670B (en) * | 2021-12-22 | 2025-09-01 | 南韓商樂金顯示科技股份有限公司 | Organometallic compound, organic light-emitting device including the same and organic light-emitting display device including the same |
Also Published As
| Publication number | Publication date |
|---|---|
| KR20200118376A (en) | 2020-10-15 |
Similar Documents
| Publication | Publication Date | Title |
|---|---|---|
| CN112300216A (en) | Organic electroluminescent material and device | |
| CN112409416A (en) | Organic electroluminescent material and device | |
| CN111793093A (en) | Organic electroluminescent material and device | |
| CN110857312A (en) | Organic Electroluminescent Materials and Devices | |
| CN111138495A (en) | Organic Electroluminescent Materials and Devices | |
| KR20210037590A (en) | Organic electroluminescent materials and diveces | |
| CN113497210A (en) | Organic electroluminescent material and device | |
| CN113248544A (en) | Organic electroluminescent material and device | |
| CN110028527A (en) | Electroluminescent organic material and device | |
| CN112794814A (en) | Organic electroluminescent material and device | |
| CN115974930A (en) | Organic electroluminescent material and device | |
| CN114230613A (en) | Organic electroluminescent material and device | |
| CN112625066A (en) | Organic electroluminescent material and device | |
| CN112390827A (en) | Organic electroluminescent material and device | |
| EP4301117A2 (en) | Organic electroluminescent materials and devices | |
| CN112390826A (en) | Organic electroluminescent material and device | |
| CN112279874B (en) | Organic electroluminescent materials and devices | |
| CN112390828A (en) | Organic electroluminescent material and device | |
| CN112175012A (en) | Organic Electroluminescent Materials and Devices | |
| CN112457349A (en) | Organic electroluminescent material and device | |
| CN114057799A (en) | Organic electroluminescent material and device | |
| KR20210040266A (en) | Organic electroluminescent materials and devices | |
| CN112390829A (en) | Organic electroluminescent material and device | |
| CN112279875A (en) | Organic electroluminescent material and device | |
| CN112341498B (en) | Organic electroluminescent material and device |
Legal Events
| Date | Code | Title | Description |
|---|---|---|---|
| PB01 | Publication | ||
| PB01 | Publication | ||
| SE01 | Entry into force of request for substantive examination | ||
| SE01 | Entry into force of request for substantive examination |



































































































































































































































































