CN111747916A - Preparation method of (R) -2- (2-methoxyphenyl) -2- (tetrahydropyran-4-oxy) ethan-1-ol - Google Patents
Preparation method of (R) -2- (2-methoxyphenyl) -2- (tetrahydropyran-4-oxy) ethan-1-ol Download PDFInfo
- Publication number
- CN111747916A CN111747916A CN201910235701.6A CN201910235701A CN111747916A CN 111747916 A CN111747916 A CN 111747916A CN 201910235701 A CN201910235701 A CN 201910235701A CN 111747916 A CN111747916 A CN 111747916A
- Authority
- CN
- China
- Prior art keywords
- compound
- tetrahydropyran
- enzymatic preparation
- reacting
- methoxyphenyl
- Prior art date
- Legal status (The legal status is an assumption and is not a legal conclusion. Google has not performed a legal analysis and makes no representation as to the accuracy of the status listed.)
- Pending
Links
Images
Classifications
-
- C—CHEMISTRY; METALLURGY
- C07—ORGANIC CHEMISTRY
- C07D—HETEROCYCLIC COMPOUNDS
- C07D309/00—Heterocyclic compounds containing six-membered rings having one oxygen atom as the only ring hetero atom, not condensed with other rings
- C07D309/02—Heterocyclic compounds containing six-membered rings having one oxygen atom as the only ring hetero atom, not condensed with other rings having no double bonds between ring members or between ring members and non-ring members
- C07D309/08—Heterocyclic compounds containing six-membered rings having one oxygen atom as the only ring hetero atom, not condensed with other rings having no double bonds between ring members or between ring members and non-ring members with hetero atoms or with carbon atoms having three bonds to hetero atoms with at the most one bond to halogen, e.g. ester or nitrile radicals, directly attached to ring carbon atoms
- C07D309/10—Oxygen atoms
- C07D309/12—Oxygen atoms only hydrogen atoms and one oxygen atom directly attached to ring carbon atoms, e.g. tetrahydropyranyl ethers
-
- C—CHEMISTRY; METALLURGY
- C07—ORGANIC CHEMISTRY
- C07D—HETEROCYCLIC COMPOUNDS
- C07D303/00—Compounds containing three-membered rings having one oxygen atom as the only ring hetero atom
- C07D303/02—Compounds containing oxirane rings
- C07D303/12—Compounds containing oxirane rings with hydrocarbon radicals, substituted by singly or doubly bound oxygen atoms
- C07D303/18—Compounds containing oxirane rings with hydrocarbon radicals, substituted by singly or doubly bound oxygen atoms by etherified hydroxyl radicals
- C07D303/20—Ethers with hydroxy compounds containing no oxirane rings
- C07D303/22—Ethers with hydroxy compounds containing no oxirane rings with monohydroxy compounds
-
- C—CHEMISTRY; METALLURGY
- C12—BIOCHEMISTRY; BEER; SPIRITS; WINE; VINEGAR; MICROBIOLOGY; ENZYMOLOGY; MUTATION OR GENETIC ENGINEERING
- C12P—FERMENTATION OR ENZYME-USING PROCESSES TO SYNTHESISE A DESIRED CHEMICAL COMPOUND OR COMPOSITION OR TO SEPARATE OPTICAL ISOMERS FROM A RACEMIC MIXTURE
- C12P7/00—Preparation of oxygen-containing organic compounds
- C12P7/02—Preparation of oxygen-containing organic compounds containing a hydroxy group
- C12P7/22—Preparation of oxygen-containing organic compounds containing a hydroxy group aromatic
-
- C—CHEMISTRY; METALLURGY
- C07—ORGANIC CHEMISTRY
- C07B—GENERAL METHODS OF ORGANIC CHEMISTRY; APPARATUS THEREFOR
- C07B2200/00—Indexing scheme relating to specific properties of organic compounds
- C07B2200/07—Optical isomers
Landscapes
- Organic Chemistry (AREA)
- Chemical & Material Sciences (AREA)
- Wood Science & Technology (AREA)
- Life Sciences & Earth Sciences (AREA)
- Engineering & Computer Science (AREA)
- Zoology (AREA)
- Biotechnology (AREA)
- Microbiology (AREA)
- General Chemical & Material Sciences (AREA)
- Chemical Kinetics & Catalysis (AREA)
- Health & Medical Sciences (AREA)
- Biochemistry (AREA)
- Bioinformatics & Cheminformatics (AREA)
- General Engineering & Computer Science (AREA)
- General Health & Medical Sciences (AREA)
- Genetics & Genomics (AREA)
- Preparation Of Compounds By Using Micro-Organisms (AREA)
- Pharmaceuticals Containing Other Organic And Inorganic Compounds (AREA)
Abstract
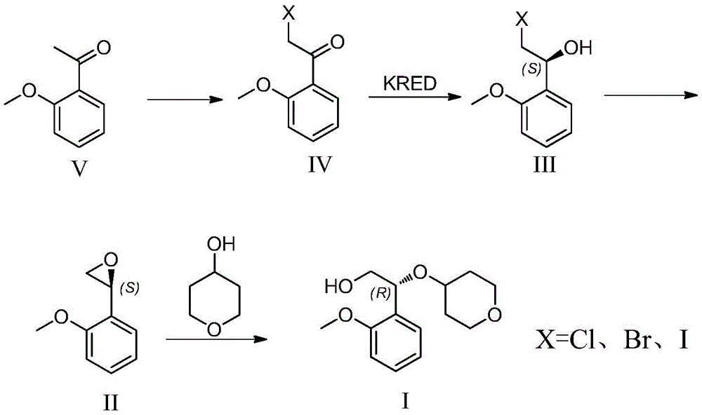
The invention discloses a chemical-enzymatic preparation method of (R) -2- (2-methoxyphenyl) -2- (tetrahydropyran-4-oxyl) ethan-1-ol (compound I), which takes a compound V as a raw material, obtains a compound IV through halogenation reaction, obtains a compound III through ketoreductase catalysis, then obtains a compound II through reaction under alkaline conditions, and finally obtains the target product compound I through reaction with tetrahydropyran-4-ol. The preparation method adopts a chemical-enzymatic process, has simple technical route and mild reaction conditions, avoids the use of toxic reagents with larger risk coefficients, avoids a splitting process, is green and environment-friendly, has low cost and is suitable for industrial production.
Description
The technical field is as follows:
the invention belongs to the field of medical biochemistry, and particularly relates to a chemical-enzymatic preparation method of (R) -2- (2-methoxyphenyl) -2- (tetrahydropyran-4-oxyl) ethan-1-ol.
Background art:
nonalcoholic steatohepatitis (NASH) is a chronic progressive liver disease caused by accumulation of intrahepatic fat, which can lead to inflammation, liver fibrosis, and cirrhosis. acetyl-CoA carboxylase (ACC) is the rate-limiting enzyme in de novo fat synthesis, and fat regeneration is markedly accelerated in NASH patients, and therefore, ACC inhibitors are highly likely to reduce lipid synthesis or accelerate the decomposition thereof. Since the number of NASH patients in china accounts for one third of the number of patients in the world, there is a great market demand for the development of NASH therapy in China.
GS-0976 is an acetyl-CoA carboxylase ACC inhibitor developed by Gilidde corporation (Gilead Sciences) for the treatment of non-alcoholic steatohepatitis. Inhibition of ACC, which reduces fatty acid synthesis and thus liver fat content and the degree of cirrhosis, is currently in the second clinical stage.
Wherein, compound I: (R) -2- (2-methoxyphenyl) -2- (tetrahydropyran-4-oxy) ethan-1-ol (CAS:1434652-66-0), is an important intermediate for the synthesis of GS-0976.
Meanwhile, the compound I is also an important intermediate for synthesizing ND-646.
The Sorkshire institute of Biotechnology and the Nimbus Therapeutics company, Nature Medicine, report that the growth of tumors can be inhibited in preclinical lung cancer models by inhibiting the fat synthesis of tumor cells through small-molecule drugs. Later, researchers from Nimbus Therapeutics succeeded in developing an ACC inhibitor called ND-646, which reduced the volume of non-small cell lung cancer tumors transplanted into mice by nearly two thirds. When the researchers use ND-646 and a conventional non-small cell cancer treatment drug, namely carboplatin, in combination, the anti-tumor effect is better: the inhibition rate of tumor cells reaches 50 percent by only using carboplatin for treatment; however, after the combination of ND-646, the inhibition rate of tumor cells reaches 87%.
Since the structural formula I is an intermediate of GS-0976 and an important intermediate of ND-646, the development of the preparation process of the compound is significant. However, the currently published and reported routes are few, and most of the routes are prepared by chemical methods.
Patent CN108290902 discloses a method for preparing compound I, which comprises using o-methoxybenzaldehyde as raw material, reacting with trimethyl sulfoxide iodide under NaH catalysis to obtain compound 2, and reacting with tetrahydropyran-4-ol in FeCl3Catalyzing to generate a compound 3; the compound 3 and vinyl butyrate generate a chiral compound 4 under the catalysis of lipase; and finally reacting under an alkaline condition to obtain a target product compound I. The total yield of the route is only 6.8%, and hazardous reagents such as NaH and the like are used in the reaction process, and the dimethyl sulfide with bad smell and toxicity is released, so that the requirement of industrial production cannot be met.
Patent CN104105485 discloses a method for preparing the compound, which uses compound 2 as raw material, and tetrahydropyran-4-ol in FeCl3Reacting under catalysis, and purifying to obtain a racemic product. The enantiomers were separated by preparative chiral HPLC and the product was only 8%.
At present, an asymmetric synthesis method of the compound is not reported. Therefore, the development of a synthetic route which is environment-friendly, high in yield and suitable for industrial production has great significance.
The invention content is as follows:
in order to overcome the defects in the prior art, the invention discloses a chemical-enzymatic preparation method of (R) -2- (2-methoxyphenyl) -2- (tetrahydropyran-4-oxyl) ethan-1-ol.
The specific process route is as follows:
in order to achieve the purpose, the invention adopts the following technical scheme:
step a): performing halogenation reaction on the compound V to obtain a compound IV;
step b): carrying out ketoreductase catalysis on the compound IV to obtain a compound III;
step c): reacting the compound III under an alkaline condition to obtain a compound II;
step d): reacting the compound II with tetrahydropyran-4-ol to obtain a compound I;
further, in step a), the compound V reacts with a halogenating agent to obtain a compound IV, wherein the halogenating agent is selected from: NCS, NBS, NIS, Cl2,Br2,I2Preferably NCS, NBS, NIS.
Further, the ketoreductase used in step b) is selected from ketoreductases publicly available from Shangke biomedical (Shanghai) Co., Ltd.
Further, the ketoreductase in the step b) is enzyme powder, enzyme solution or whole cells prepared by expressing escherichia coli through genetic engineering.
Further, the alkaline condition in step c) is selected from NaOH and Na2CO3,K2CO3KOH, LiOH, preferably NaOH.
Further, the reaction time in step c) is 1 to 5h, preferably 2 h.
Further, in the step d), the compound II reacts with tetrahydropyran-4-ol under the catalysis of Lewis acid to obtain a compound I, wherein the Lewis acid is selected from the following groups: tin tetrachloride, tin tetrabromide, aluminum trichloride, ferric trichloride, zinc chloride, zinc bromide, zinc iodide, copper chloride, copper bromide, ketone iodide, boron trifluoride, ferric trifluoromethanesulfonate, aluminum trifluoromethanesulfonate, zinc trifluoromethanesulfonate, erbium trifluoromethanesulfonate. Preferred are zinc chloride, zinc bromide, and zinc iodide.
The invention has the beneficial effects that: compared with the prior art, the chemical-enzymatic method for preparing the compound I is simple in technical route, short in steps, mild in reaction conditions, free of toxic reagents with large risk coefficients and free of a splitting process, environment-friendly and suitable for industrial production.
Drawings
Of compound IV of FIG. 11HNMR spectrogram
FIG. 2 Process for preparation of Compound III1HNMRSpectrogram
FIG. 3 Process for preparation of Compound II1HNMR spectrogram
FIG. 4 preparation of Compound I1HNMR spectrogram
Detailed Description
The technical content of the present invention is further described below with reference to specific examples for better understanding of the content of the present invention, but the scope of the present invention is not limited thereto.
EXAMPLE 1 preparation of Compound IV
20g of 2-methoxyacetophenone, 27g N-chlorosuccinimide and 1g of p-toluenesulfonic acid are added into a 250mL reaction flask, 160mL of methanol is added, the reaction is carried out for 4 hours at 35 ℃, after the reaction is finished, the mixture is concentrated and extracted by dichloromethane/water, an organic layer is dried, filtered and concentrated to obtain 18.3g of chloride, and the yield is 74.43%.1The H NMR data are shown in FIG. 1.
EXAMPLE 2 preparation of Compound IV
20g of 2-methoxyacetophenone, 30g N-bromosuccinimide and 1g of p-toluenesulfonic acid are added into a 250mL reaction flask, 160mL of methanol is added, the reaction is carried out for 6h at 35 ℃, after the reaction is finished, the solution is concentrated and extracted by dichloromethane/water, an organic layer is dried, filtered and concentrated to obtain 19.5g of bromide, and the yield is 65.1%.
EXAMPLE 3 preparation of Compound IV
20g of 2-methoxyacetophenone, 30g N-iodosuccinimide and 1g of p-toluenesulfonic acid are added into a 250mL reaction flask, 160mL of methanol is added, the reaction is carried out for 5h at 35 ℃, after the reaction is finished, the reaction solution is concentrated, dichloromethane/water is used for extraction, an organic layer is dried, filtered and concentrated to obtain 22.6g of iodo-product, and the yield is 61.5%.
EXAMPLE 4 preparation of Compound III
Dissolving 10g of o-methoxy-2-chloroacetophenone in 80g of isopropanol, 20g of water, 15g of ketoreductase (cell) and 10mg of NADP in a 250mL reaction flask, reacting at room temperature for 24h, evaporating the isopropanol, extracting and concentrating with ethyl acetate to obtain 9.1g of a product with the yield of 91%,1the H NMR data are shown in FIG. 2.
EXAMPLE 5 preparation of Compound III
In a 250mL reaction flask, 10g of o-methoxy-2-bromoacetophenone was dissolved in 80g of isopropanol, 20g of water, 30g of ketoreductase enzyme powder and 10mg of NADP were reacted at room temperature for 24h, and then the isopropanol was evaporated, extracted and concentrated with ethyl acetate to obtain 8.6g of a product with a yield of 86%.
EXAMPLE 6 preparation of Compound III
In a 250mL reaction flask, 10g o-methoxy-2-iodoacetophenone was dissolved in 80g isopropanol, 20g water, 20g ketoreductase enzyme solution, 10mg NADP, reacted at room temperature for 24h, then the isopropanol was evaporated, extracted with ethyl acetate and concentrated to give 8.4g product with a yield of 84%.
EXAMPLE 7 preparation of Compound II
To a 100mL reaction flask was added 35.7mL of 2N aqueous NaOH solution, and then thereto was added dropwise a solution of (S) -2-chloro-1- (2-methoxyphenyl) ethanol (5g in 5mL of methyl t-butyl ether), and reacted at room temperature for 1 h. After the reaction is finished, 3.1g of product is obtained by concentrating with ethyl acetate, the yield is 76 percent, the chiral purity is more than 99 percent,1the H NMR data are shown in FIG. 3.
EXAMPLE 8 preparation of Compound II
To a 1000mL reaction flask was added 350mL of 2N Na2CO3An aqueous solution was added dropwise to the mixture, and then a solution of (S) -2-bromo-1- (2-methoxyphenyl) ethanol (50g in 50mL of MTBE) was reacted at room temperature for 5 hours. After the reaction was complete, 19g of product was obtained by concentration with ethyl acetate, yield 60% and chiral purity greater than 99%.
EXAMPLE 9 preparation of Compound I
Under the ice-bath condition, 17g of tetrahydropyran-4-ol, 4.2g of aluminum trifluoromethanesulfonate, 120mL of dichloromethane and 12g of (S) - (2-methoxyphenyl) ethylene oxide are added into a 250mL reaction bottle, stirred for reaction for 2 hours, and then extracted, concentrated and purified by column chromatography to obtain 9.87g of compound I.1The H NMR data are shown in FIG. 4.
EXAMPLE 10 preparation of Compound I
At room temperature, 30g of tetrahydropyran-4-ol, 3g of zinc chloride and 12g of (S) - (2-methoxyphenyl) ethylene oxide are added into a 100mL reaction bottle, stirred and reacted for 4 hours, and then dichloromethane/water is used for extraction, concentration and column chromatography purification, so that 10.42g of compound I is obtained.
EXAMPLE 11 preparation of Compound I
At room temperature, 18g of tetrahydropyran-4-ol, 3g of ferric trichloride, 100mL of tetrahydrofuran and 12g of (S) - (2-methoxyphenyl) ethylene oxide are added into a 250mL reaction bottle, stirred for reaction for 4 hours, and then extracted by dichloromethane, concentrated and purified by column chromatography to obtain 8.62g of compound I.
Claims (6)
1. A chemical-enzymatic preparation method of (R) -2- (2-methoxyphenyl) -2- (tetrahydropyran-4-oxyl) ethan-1-ol (compound I) is characterized by mainly comprising the following steps:
step a): performing halogenation reaction on the compound V to obtain a compound IV;
step b): carrying out ketoreductase catalysis on the compound IV to obtain a compound III;
step c): reacting the compound III under an alkaline condition to obtain a compound II;
step d): reacting the compound II with tetrahydropyran-4-ol to obtain a compound I;
the specific route is as follows:
wherein X is chlorine or bromine or iodine.
2. The chemo-enzymatic preparation process according to claim 1, characterized in that: reacting the compound V in the step a) with a halogenating agent to obtain a compound IV, wherein the halogenating agent is selected from the group consisting of: NCS, NBS, NIS, Cl2,Br2,I2。
3. The chemo-enzymatic preparation process according to claim 1, characterized in that: the ketoreductase in the step b) is enzyme powder, enzyme liquid or whole cells prepared by expressing escherichia coli through genetic engineering.
4. The chemo-enzymatic preparation process according to claim 1, characterized in that: in step c) the base is selected from: NaOH, Na2CO3,K2CO3,KOH,LiOH。
5. The chemo-enzymatic preparation process according to claim 1, characterized in that: in the step d), the compound II and tetrahydropyran-4-ol react under the catalysis of Lewis acid to obtain a compound I, and the Lewis acid is selected from the following groups: tin tetrachloride, tin tetrabromide, aluminum trichloride, ferric trichloride, zinc chloride, zinc bromide, zinc iodide, copper chloride, copper bromide, ketone iodide, boron trifluoride, ferric trifluoromethanesulfonate, aluminum trifluoromethanesulfonate, zinc trifluoromethanesulfonate, erbium trifluoromethanesulfonate.
6. A chemical-enzymatic preparation method of (S) - (2-methoxyphenyl) oxirane (compound II) is characterized by mainly comprising the following steps: carrying out ketoreductase catalysis on the compound IV to obtain a compound III; and reacting the compound III under the alkaline condition to obtain a compound II.
The specific route is as follows:
wherein X is chlorine or bromine or iodine.
Priority Applications (1)
| Application Number | Priority Date | Filing Date | Title |
|---|---|---|---|
| CN201910235701.6A CN111747916A (en) | 2019-03-27 | 2019-03-27 | Preparation method of (R) -2- (2-methoxyphenyl) -2- (tetrahydropyran-4-oxy) ethan-1-ol |
Applications Claiming Priority (1)
| Application Number | Priority Date | Filing Date | Title |
|---|---|---|---|
| CN201910235701.6A CN111747916A (en) | 2019-03-27 | 2019-03-27 | Preparation method of (R) -2- (2-methoxyphenyl) -2- (tetrahydropyran-4-oxy) ethan-1-ol |
Publications (1)
| Publication Number | Publication Date |
|---|---|
| CN111747916A true CN111747916A (en) | 2020-10-09 |
Family
ID=72671572
Family Applications (1)
| Application Number | Title | Priority Date | Filing Date |
|---|---|---|---|
| CN201910235701.6A Pending CN111747916A (en) | 2019-03-27 | 2019-03-27 | Preparation method of (R) -2- (2-methoxyphenyl) -2- (tetrahydropyran-4-oxy) ethan-1-ol |
Country Status (1)
| Country | Link |
|---|---|
| CN (1) | CN111747916A (en) |
Cited By (1)
| Publication number | Priority date | Publication date | Assignee | Title |
|---|---|---|---|---|
| CN113200825A (en) * | 2021-04-27 | 2021-08-03 | 上海立科化学科技有限公司 | Preparation method of 2- (4-benzyloxy phenyl) ethanol |
Citations (7)
| Publication number | Priority date | Publication date | Assignee | Title |
|---|---|---|---|---|
| US20110171700A1 (en) * | 2008-09-17 | 2011-07-14 | Basf Se | Method for producing l-phenylephrine using an alcohol dehydrogenase of aromatoleum aromaticum ebn1 (azoarcus sp. ebn1) |
| WO2013071169A1 (en) * | 2011-11-11 | 2013-05-16 | Nimbus Apollo, Inc. | Acc inhibitors and uses thereof |
| CN106906249A (en) * | 2017-01-26 | 2017-06-30 | 辽宁天华生物药业有限公司 | A kind of preparation method of ticagrelor intermediate and mandelate thereof |
| CN108290902A (en) * | 2015-11-25 | 2018-07-17 | 吉利德阿波罗公司 | Esters ACC inhibitor and application thereof |
| CN108410830A (en) * | 2018-03-15 | 2018-08-17 | 尚科生物医药(上海)有限公司 | A kind of method that ketoreductase and its catalysis prepare (S) -1- (2- chlorphenyls) ethyl alcohol |
| WO2018171699A1 (en) * | 2017-03-24 | 2018-09-27 | 浙江海正药业股份有限公司 | Cyano substituted heteroarylpyrimidinone derivative, preparation method and use thereof |
| CN109423484A (en) * | 2017-09-04 | 2019-03-05 | 尚科生物医药(上海)有限公司 | A kind of ketoreductase and its in the chloro- 1-(3,4- difluorophenyl of preparation (S) -2-) application on ethyl alcohol |
-
2019
- 2019-03-27 CN CN201910235701.6A patent/CN111747916A/en active Pending
Patent Citations (9)
| Publication number | Priority date | Publication date | Assignee | Title |
|---|---|---|---|---|
| US20110171700A1 (en) * | 2008-09-17 | 2011-07-14 | Basf Se | Method for producing l-phenylephrine using an alcohol dehydrogenase of aromatoleum aromaticum ebn1 (azoarcus sp. ebn1) |
| WO2013071169A1 (en) * | 2011-11-11 | 2013-05-16 | Nimbus Apollo, Inc. | Acc inhibitors and uses thereof |
| CN104105485A (en) * | 2011-11-11 | 2014-10-15 | 尼普斯阿波罗有限公司 | Acc inhibitors and uses thereof |
| CN106905346A (en) * | 2011-11-11 | 2017-06-30 | 吉利德阿波罗公司 | ACC inhibitor and its purposes |
| CN108290902A (en) * | 2015-11-25 | 2018-07-17 | 吉利德阿波罗公司 | Esters ACC inhibitor and application thereof |
| CN106906249A (en) * | 2017-01-26 | 2017-06-30 | 辽宁天华生物药业有限公司 | A kind of preparation method of ticagrelor intermediate and mandelate thereof |
| WO2018171699A1 (en) * | 2017-03-24 | 2018-09-27 | 浙江海正药业股份有限公司 | Cyano substituted heteroarylpyrimidinone derivative, preparation method and use thereof |
| CN109423484A (en) * | 2017-09-04 | 2019-03-05 | 尚科生物医药(上海)有限公司 | A kind of ketoreductase and its in the chloro- 1-(3,4- difluorophenyl of preparation (S) -2-) application on ethyl alcohol |
| CN108410830A (en) * | 2018-03-15 | 2018-08-17 | 尚科生物医药(上海)有限公司 | A kind of method that ketoreductase and its catalysis prepare (S) -1- (2- chlorphenyls) ethyl alcohol |
Cited By (1)
| Publication number | Priority date | Publication date | Assignee | Title |
|---|---|---|---|---|
| CN113200825A (en) * | 2021-04-27 | 2021-08-03 | 上海立科化学科技有限公司 | Preparation method of 2- (4-benzyloxy phenyl) ethanol |
Similar Documents
| Publication | Publication Date | Title |
|---|---|---|
| CN1829722B (en) | Regioselective synthesis of CCI-779 | |
| US20160318859A1 (en) | Florfenicol synthesizing method | |
| CN111118529B (en) | A method for the synthesis of α,α-dibromoketone compounds by electrochemical oxidation of dihalogenated alkynes without diaphragm | |
| Sullivan et al. | Reaction pathways of in vivo stereoselective conversion of ethylbenzene to (-)-mandelic acid | |
| CN111747916A (en) | Preparation method of (R) -2- (2-methoxyphenyl) -2- (tetrahydropyran-4-oxy) ethan-1-ol | |
| EP2840088B1 (en) | Method for preparing 5,6,4'-trihydroxyflavone-7-0-d-glucuronic acid | |
| US7910752B2 (en) | Anticancer compound, intermediate therefor, and processes for producing these | |
| CN106749335B (en) | A kind of preparation method and application of halogenated oxycephalosporins intermediate | |
| CN114450272B (en) | Ligand activation beta-C (sp 3) -H lactonization for beta-C-H functionalization | |
| WO2010083722A1 (en) | A process for one-pot synthesis of corey lactone | |
| JP2016539939A (en) | Process for the preparation of pyrimidinylcyclopentane compounds | |
| CN113528588A (en) | Preparation method of levocarnitine | |
| CN107652277A (en) | A kind of preparation method net Yi Palie | |
| WO2017071813A1 (en) | Process for the preparation of a pharmaceutical agent | |
| US11739044B2 (en) | Method for synthesizing artepillin C and intermediate compound thereof | |
| CN112898152B (en) | Preparation method of ethoxy diethyl methylene malonate | |
| TW202019865A (en) | Process for the preparation of lubiprostone and intermediates thereof | |
| CN104372035A (en) | Method for synthesizing high-purity 2-ketonate | |
| CN104178540B (en) | Method for synthesizing ademetionine by biological catalysis method | |
| Wheatley et al. | Ketals of L-rhamnoheptonolactones: Potential mimics of L-rhamnose | |
| US20130060063A1 (en) | Method for producing precursors for l-3,4-dihydroxy-6-[18f]fluorophenylalanine and 2-[18f]fluoro-l-tyrosine and the a-methylated derivatives thereof, precursor, and method for producing l-3,4dihydroxy-6-[18f]fluorophenylalanine and 2-[18f]fluoro-l-tyrosine and the a-methylated derivatives from the precursor | |
| JPH06256278A (en) | Optically active alpha-carbamoylalkanoic acid derivative and its production | |
| CN111978264B (en) | Industrial production method of deferasirox | |
| CN116462675B (en) | A berberine derivative and its preparation method and application | |
| CN113825759A (en) | Preparation of maytansinol |
Legal Events
| Date | Code | Title | Description |
|---|---|---|---|
| PB01 | Publication | ||
| PB01 | Publication | ||
| SE01 | Entry into force of request for substantive examination | ||
| SE01 | Entry into force of request for substantive examination | ||
| WD01 | Invention patent application deemed withdrawn after publication | ||
| WD01 | Invention patent application deemed withdrawn after publication |
Application publication date: 20201009 |







