CN111604901A - 一种适用于机械手在手操作的目标旋转检测方法 - Google Patents
一种适用于机械手在手操作的目标旋转检测方法 Download PDFInfo
- Publication number
- CN111604901A CN111604901A CN202010420661.5A CN202010420661A CN111604901A CN 111604901 A CN111604901 A CN 111604901A CN 202010420661 A CN202010420661 A CN 202010420661A CN 111604901 A CN111604901 A CN 111604901A
- Authority
- CN
- China
- Prior art keywords
- target
- manipulator
- force
- torque
- rotation
- Prior art date
- Legal status (The legal status is an assumption and is not a legal conclusion. Google has not performed a legal analysis and makes no representation as to the accuracy of the status listed.)
- Granted
Links
Images
Classifications
-
- B—PERFORMING OPERATIONS; TRANSPORTING
- B25—HAND TOOLS; PORTABLE POWER-DRIVEN TOOLS; MANIPULATORS
- B25J—MANIPULATORS; CHAMBERS PROVIDED WITH MANIPULATION DEVICES
- B25J9/00—Programme-controlled manipulators
- B25J9/16—Programme controls
- B25J9/1656—Programme controls characterised by programming, planning systems for manipulators
- B25J9/1661—Programme controls characterised by programming, planning systems for manipulators characterised by task planning, object-oriented languages
-
- B—PERFORMING OPERATIONS; TRANSPORTING
- B25—HAND TOOLS; PORTABLE POWER-DRIVEN TOOLS; MANIPULATORS
- B25J—MANIPULATORS; CHAMBERS PROVIDED WITH MANIPULATION DEVICES
- B25J19/00—Accessories fitted to manipulators, e.g. for monitoring, for viewing; Safety devices combined with or specially adapted for use in connection with manipulators
- B25J19/02—Sensing devices
-
- B—PERFORMING OPERATIONS; TRANSPORTING
- B25—HAND TOOLS; PORTABLE POWER-DRIVEN TOOLS; MANIPULATORS
- B25J—MANIPULATORS; CHAMBERS PROVIDED WITH MANIPULATION DEVICES
- B25J9/00—Programme-controlled manipulators
- B25J9/16—Programme controls
- B25J9/1615—Programme controls characterised by special kind of manipulator, e.g. planar, scara, gantry, cantilever, space, closed chain, passive/active joints and tendon driven manipulators
Landscapes
- Engineering & Computer Science (AREA)
- Robotics (AREA)
- Mechanical Engineering (AREA)
- Health & Medical Sciences (AREA)
- General Health & Medical Sciences (AREA)
- Orthopedic Medicine & Surgery (AREA)
- Manipulator (AREA)
Abstract
一种适用于机械手在手操作的目标旋转检测方法,它包括步骤一:对检测系统进行标定和初始化;步骤二:计算机械手坐标系下的作业目标质心的初始坐标区间和初始旋转半径区间;步骤三:利用力/力矩传感器实时检测作业目标的受力状态,依据检测结果判断此时作业目标所处的条件;如果力/力矩传感器为无脉冲波动输出,则采用纯重力条件的旋转检测方法进行目标旋转检测;如果力/力矩传感器的输出值出现脉冲波动,则采用外部碰撞条件的旋转检测方法进行目标旋转检测;步骤四:机器人完成当前状态下作业目标的旋转检测后,重复步骤三,直至机器人完成对作业目标的操作任务。本发明可以增强机器人对未知目标的感知和操作能力。
Description
技术领域
本发明涉及一种目标旋转的检测方法,特别是涉及一种适用于机械手在手操作的目标旋转检测方法,属于机器人技术领域。
背景技术
近些年机器人的应用场景越来越广泛,对机器人的目标操作能力的要求也越来越高,特别是机器人的目标自主抓取和灵巧操作能力。为了顺利完成任务,机器人在抓取作业目标后,在手目标不能出现意外旋转,否则容易引起作业目标位姿发生变化甚至目标掉落,进而造成机器人作业任务失败。因此,对于机器人而言,目标旋转的在手检测能力对顺利完成目标作业任务具有重要意义。
作业目标的在手操作是机器人实现灵巧作业的重要前提,机器人在手操作的研究更是成为近些年来机器人领域的研究热点。然而,面向机械手在手操作的目标旋转检测方法较少。现有方法包括采用阵列式触觉传感器检测目标旋转,具体体现为当目标发生旋转后,传感器的阵列传感点的相应数量或者位置发生变化,进而判断目标发生旋转。这种方法虽然具有一定的可行性,但触觉传感器技术不够成熟且该方法很难区分目标的滑动状态和旋转状态。视觉传感器也可以用于目标的旋转状态的检测,具体体现为利用视觉传感器对目标形状和机械手状态进行识别并进行连续跟踪,通过检测目标和机械手之间是否发生相对位移,进而判断目标是否发生旋转。该类方法的视觉处理算法通常较为复杂,为了保证检测的实时性,需要专用处理器进行算法实现,不利于机器人控制系统的软硬件集成;此外,当视觉出现遮挡问题时,该类旋转检测方法极易失效;因此,基于视觉传感器的旋转检测方法很难在机器人检测目标旋转的过程中进行实际应用。此外,公开号为CN207884454U的对旋转物体转动位置进行检测及控制的装置,其结构属于大型结构,在机械手上无法进行安装,且所提检测方法完全依托于该装置才能实现,故无法应用于机械手抓取目标时的目标旋转检测。公开号CN106796118A的用于无接触地检测旋转构件的转动角度的传感器组件,所提方法的检测原理是涡流效应,该方法只能用于金属目标的旋转检测,无法完全覆盖机器人全部的作业目标。公开号为CN106796119A的用于无接触地检测旋转构件的转动角度的传感器组件,同样是基于涡流效应原理检测金属目标的旋转,并不能满足不同材料目标的旋转检测要求。
综上所述,针对机器人的目标抓取和操作领域,迫切需要一种可有效检测目标旋转的方法。
发明内容
本发明是为克服现有技术不足,提出一种适用于机械手在手操作的目标旋转检测方法。这种方法利用安装于机械手指尖处的双力/力矩传感器,检测机器人抓取目标后的受力状态,通过纯重力条件和外部碰撞条件的旋转判别条件,通过不同条件下的旋转检测方法完成对作业目标的旋转检测,实现机器人对各条件下目标旋转进行在手检测。该旋转检测方法有助于提高机器人对目标状态的感知能力,对机器人完成作业目标的稳定抓取和灵巧操作具有重要意义。
本发明所采用的技术方案如下:
步骤一:对检测系统进行标定和初始化,包括机械臂、机械手和力/力矩传感器的标定和初始化;
步骤二:控制机械臂和机械手对目标进行抓取,抓取完成时刻记为初始时刻t0,在时间区间[t0,t1]内,利用力/力矩传感器检测作业目标的受力状态,通过区间运算和质心位置模型,计算机械手坐标系O-XYZ下的作业目标质心的初始坐标区间和初始旋转半径区间
步骤三:利用力/力矩传感器实时检测作业目标的受力状态,依据检测结果判断此时作业目标所处的条件;
如果力/力矩传感器为无脉冲波动输出,则采用纯重力条件的旋转检测方法进行目标旋转检测;在纯重力条件下,利用力/力矩传感器的力输出值和力矩输出值,根据步骤二中作业目标的质心坐标P(x,y,z)和质心旋转半径d的计算方法,计算出当前i时刻作业目标的质心坐标Pi(x,y,z)和质心旋转半径di,通过判别i时刻的质心坐标Pi(x,y,z)和质心旋转半径di是否满足质心的初始坐标区间和初始旋转半径区间的约束,从而检测作业目标是否发生旋转;
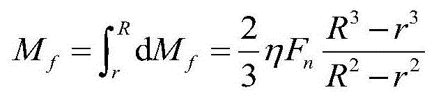
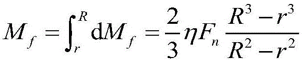
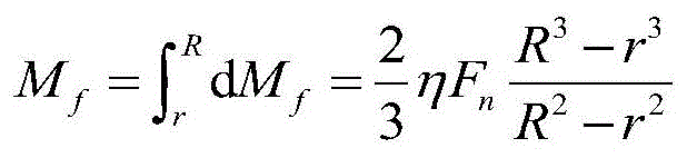
如果力/力矩传感器的输出值出现脉冲波动,则采用外部碰撞条件的旋转检测方法进行目标旋转检测;在外部碰撞条件下,建立作业目标与机械手的旋转摩擦模型和接触面的摩擦力矩约束FRM;
FRM={M|||M||≤Mf=F(η,Fn)}
根据机械手的实际结构,计算机械手和作业目标的接触摩擦力矩值Mf,
其中,η是机械手与作业目标的接触旋转摩擦系数,通过先验旋转实验获取,Fn为机械手的抓取力,R和r分别是机械手指尖的外径和内径;
通过力/力矩传感器检测实时接触力矩Mi,判断实时接触力矩Mi是否满足摩擦力矩约束FRM,从而检测作业目标是否发生旋转;
步骤四:机器人完成当前状态下作业目标的旋转检测后,若作业目标当前状态不产生旋转,则完成对作业目标的操作任务;若作业目标当前状态产生旋转,重复步骤三,直至作业目标当前状态不产生,直至机器人完成对作业目标的操作任务。
本发明相比现有技术的有益效果:
一、本发明的目标旋转的检测方法,可以基于机械手处的传感器信息对目标发生旋转的外部条件进行判别,实现了纯重力条件和外部碰撞条件下的目标旋转检测。具体检测方法包括:纯重力条件下目标旋转的检测方法是借助力/力矩传感器检测作业目标处的力和力矩,利用区间运算和质心位置模型计算目标质心的初始坐标区间和初始旋转半径区间;通过判断质心的实时坐标和旋转半径是否满足坐标区间和旋转半径区间的约束,进而检测作业目标是否发生旋转。而外部碰撞条件下目标旋转的检测方法是建立机械手与作业目标的旋转摩擦模型和摩擦力矩约束,通过判别实时接触力矩是否满足摩擦力矩约束,进而检测作业目标是否发生旋转。通过本发明的检测方法,机器人可以有效地检测机械手进行在手操作时的目标旋转状态,避免因目标旋转而造成机器人对目标的操作失误,提升了机器人在手操作目标的能力。
二、本发明的目标旋转检测方法,可以判别目标发生旋转的外部条件,即纯重力条件和外部碰撞条件,进而通过各外部条件下的旋转检测方法,实现机器人对在手目标的旋转检测。通过本发明的检测方法检测在手目标的旋转状态,机器人可以根据当前的状态采取操作策略,避免出现目标意外掉落的情况,提高了机器人对目标状态的感知能力和目标操作的稳定性,特别适用于机器人对作业目标进行抓取和在手操作的领域,对提升机器人的在手感知和灵巧作业能力具有重要意义。
三、本发明在机器人智能作业领域具有较大的实用价值,特别是当机器人的作业目标是未知参数目标时,本发明的目标旋转检测方法可以辅助机器人对目标的操作状态进行感知,进而在一定程度上可以提升机器人对未知参数目标的智能操作水平。
下面结合附图并通过具体实施方式对本发明作进一步地说明:
附图说明
图1为本发明目标旋转检测流程图;
图2为本发明所结合的机器人及抓取目标示意图;
图3为摩擦力矩约束示意图;
图4为接触面计算示意图。
图中,1、机械臂,2、机械手,3、力/力矩传感器,4、作业目标。
具体实施方式
如图1所示,适用于机械手在手操作的目标旋转检测方法适用于机器人的目标抓取和目标操作,特别是机械手抓取目标后作业目标的旋转检测。作业目标的旋转检测所涉及的系统,如附图2所示,包括机械臂1、机械手2、力/力矩传感器3和作业目标4。
所述的机械臂1为多轴机械臂,具备常用路径规划功能。
所述的机械手2为二指机械手且可进行在线姿态调整。所述机械手可安装于机械臂1的末端,配合机械臂1可以对作业目标4进行抓取。
所述的力/力矩传感器3可集成在机械手2的指尖位置,具备三维力和三维力矩的检测能力。其中,力传感器的分辨率为0.01N,力矩传感器的分辨率为0.001N/m。
所述的作业目标4是机械手2操作的对象,是结构对称且非易变形物体。
如图1所示,本实施方式的一种适用于机械手在手操作的目标旋转检测方法,它包括:
步骤一:对检测系统进行标定和初始化,包括机械臂、机械手和力/力矩传感器的标定和初始化;
步骤二:控制机械臂和机械手对目标进行抓取,抓取完成时刻记为初始时刻t0,在时间区间[t0,t1]内,利用力/力矩传感器检测作业目标的受力状态,通过区间运算和质心位置模型,计算机械手坐标系O-XYZ下的作业目标质心的初始坐标区间和初始旋转半径区间
步骤三:利用力/力矩传感器实时检测作业目标的受力状态,依据检测结果判断此时作业目标所处的条件;
如果力/力矩传感器为无脉冲波动输出,则采用纯重力条件的旋转检测方法进行目标旋转检测;在纯重力条件下,利用力/力矩传感器的力输出值和力矩输出值,根据步骤二中作业目标的质心坐标P(x,y,z)和质心旋转半径的计算方法,计算出当前i时刻作业目标的质心坐标Pi(x,y,z)和质心旋转半径di,通过判别i时刻的质心坐标Pi(x,y,z)和质心旋转半径di是否满足质心的初始坐标区间和初始旋转半径区间的约束,从而检测作业目标是否发生旋转;
如果力/力矩传感器的输出值出现脉冲波动,则采用外部碰撞条件的旋转检测方法进行目标旋转检测;如图3所示,在外部碰撞条件下,建立作业目标与机械手的旋转摩擦模型和接触面的摩擦力矩约束FRM;
FRM={M|||M||≤Mf=F(η,Fn)}
根据机械手的实际结构,如图4所示,计算机械手和作业目标的接触摩擦力矩值Mf,
其中,η是机械手与作业目标的接触旋转摩擦系数,通过先验旋转实验获取,Fn为机械手的抓取力,R和r分别是机械手指尖的外径和内径;
通过力/力矩传感器检测实时接触力矩Mi,判断实时接触力矩Mi是否满足摩擦力矩约束FRM,从而检测作业目标是否发生旋转;
步骤四:机器人完成当前状态下作业目标的旋转检测后,若作业目标当前状态不产生旋转,则完成对作业目标的操作任务;若作业目标当前状态产生旋转,重复步骤三,直至作业目标当前状态不产生,直至机器人完成对作业目标的操作任务。
作为一个实施方式,步骤一中对检测系统进行标定和初始化,包括机械臂1、机械手2和力/力矩传感器3的标定及初始化。具体操作包括:(1)利用标定工具完成对机械臂1的DH参数、TCP参数等参数的标定;(2)依据产品使用手册,对机械手2进行自标定和初始化;(3)利用传感器配套软件对力/力矩传感器3进行初始化。
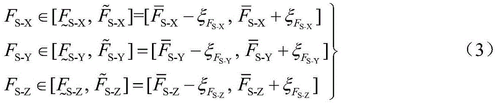
可选地,步骤二中所述质心位置模型,由力矩平衡条件,力/力矩传感器3的输出力矩MS与作业目标4所生成力矩MO的大小相等且方向相反,即MS=-MO,其中,力/力矩传感器3的输出力矩MS满足公式(3);
在机械手2坐标系O-XYZ下,力/力矩传感器3的输出力矩MS与作业目标4所生成力矩MO在各坐标轴的投影大小满足公式(4);
通过力/力矩传感器3检测作业目标4处的力和力矩信息,并在各坐标轴上进行投影得到(MS-X,MS-Y,MS-Z)、(MO-X,MO-Y,MO-Z)和(FO-X,FO-Y,FO-Z),由于力/力矩传感器3所检测的力和力矩均为作业目标4的重力作用产生,因此,(lX,lY,lZ)即为作业目标4的质心相对于机械手2中心的位置坐标(lX,lY,lZ),即机械手2坐标系O-XYZ下作业目标4的质心坐标P(x,y,z)。
进一步的,利用机械手2坐标系O-XYZ下作业目标的质心坐标P(x,y,z),计算质心旋转半径d,计算公式如下:
控制机械臂1和机械手2对作业目标4进行抓取,抓取完成时刻记为初始时刻t0。在时间区间[t0,t1],利用力/力矩传感器3检测作业目标4的受力状态,通过区间运算和质心位置模型,计算机械手坐标系O-XYZ下的作业目标质心的初始坐标区间和初始旋转半径区间
具体为:在时间区间[t0,t1],力/力矩传感器3的输出力FS和输出力矩MS满足公式(3)和(4);
其中,和为力传感器输出值的下限和上限;和为力矩传感器输出值的下限和上限;和为机器人抓取目标后,无任何操作下一段时间内力/力矩传感器3的输出均值;和为力和力矩的区间波动半径,在机器人抓取目标后,可以通过无任何操作下的一段时间内力和力矩计算得到;
进一步地,利用力/力矩传感器3实时检测作业目标4的受力状态,依据检测结果判断此时作业目标4所处的条件。如果力/力矩传感器3为无脉冲波动输出,则采用纯重力条件下的旋转检测方法进行目标旋转检测;如果力/力矩传感器3的输出值出现脉冲波动,则采用外部碰撞条件下的旋转检测方法进行目标旋转检测。具体判断准则满足公式(9)。
可选地,在纯重力条件下,利用力/力矩传感器3的力输出值和力矩输出值,根据作业目标4的质心坐标P(x,y,z)和质心旋转半径d的计算方法,计算出当前时刻i的作业目标4的质心坐标Pi(x,y,z)和质心旋转半径di。通过判别i时刻的质心坐标Pi(x,y,z)和质心旋转半径di是否满足质心的初始坐标区间和初始旋转半径区间的约束,从而检测作业目标4是否发生旋转。判断条件可用公式(10)表示;
可选地,在外部碰撞条件下,力/力矩传感器3所检测的力和力矩是由作业目标4的重力和外部撞击力共同作用的结果,不满足目标质心坐标的计算条件,故无法通过质心的坐标和旋转半径来判断作业目标4是否发生旋转。因此,建立作业目标4与机械手2的旋转摩擦模型,接触面的摩擦力矩约束FRM表示为:
FRM={M|||M||≤Mf=F(η,Fn)}
其中,η是机械手2与作业目标4的接触旋转摩擦系数,通过先验旋转实验获取,Fn为机械手2的抓取力,R和r分别是机械手2指尖的外径和内径。
进一步地,如图3和图4所示,所述的机械手和作业目标的接触摩擦力矩值Mf的计算方法,具体是根据机械手的实际结构,通过对实际接触面积进行压力分布求解和积分运算,计算得到机械手和作业目标的接触摩擦力矩值Mf,具体包括:
机械手和作业目标的旋转接触过程为非长时转动过程,压力分布情况可通过如下公式计算:
其中,Fn是机械手的抓取力,Ppre是均布压力,R和r分别是机械手指尖的外径和内径,ρ是积分半径;
考虑旋转摩擦力矩的微分特性,进而可得旋转摩擦力矩的微分表达:
其中,ds是微分圆环面积;
通过积分运算,进而计算出机械手和作业目标的接触摩擦力矩值Mf,表达式如下:
本发明已以较佳实施案例揭示如上,然而并非用以限定本发明,任何熟悉本专业的技术人员,在不脱离本发明技术方案范围内,当可以利用上述揭示的结构及技术内容做出些许的更动或修饰为等同变化的等效实施案例,均仍属本发明技术方案范围。
Claims (8)
1.一种适用于机械手在手操作的目标旋转检测方法,其特征在于:具体步骤如下:
步骤一:对检测系统进行标定和初始化,包括机械臂、机械手和力/力矩传感器的标定和初始化;
步骤二:控制机械臂和机械手对目标进行抓取,抓取完成时刻记为初始时刻t0,在时间区间[t0,t1]内,利用力/力矩传感器检测作业目标的受力状态,通过区间运算和质心位置模型,计算机械手坐标系O-XYZ下的作业目标质心的初始坐标区间和初始旋转半径区间
步骤三:利用力/力矩传感器实时检测作业目标的受力状态,依据检测结果判断此时作业目标所处的条件;
如果力/力矩传感器为无脉冲波动输出,则采用纯重力条件的旋转检测方法进行目标旋转检测;在纯重力条件下,利用力/力矩传感器的力输出值和力矩输出值,根据步骤二中作业目标的质心坐标P(x,y,z)和质心旋转半径d的计算方法,计算出当前i时刻作业目标的质心坐标Pi(x,y,z)和质心旋转半径di,通过判别i时刻的质心坐标Pi(x,y,z)和质心旋转半径di是否满足质心的初始坐标区间和初始旋转半径区间的约束,从而检测作业目标是否发生旋转;
如果力/力矩传感器的输出值出现脉冲波动,则采用外部碰撞条件的旋转检测方法进行目标旋转检测;在外部碰撞条件下,建立作业目标与机械手的旋转摩擦模型和接触面的摩擦力矩约束FRM;
FRM={M|||M||≤Mf=F(η,Fn)}
根据机械手的实际结构,计算机械手和作业目标的接触摩擦力矩值Mf,
其中,η是机械手与作业目标的接触旋转摩擦系数,通过先验旋转实验获取,Fn为机械手的抓取力,R和r分别是机械手指尖的外径和内径;
通过力/力矩传感器检测实时接触力矩Mi,判断实时接触力矩Mi是否满足摩擦力矩约束FRM,从而检测作业目标是否发生旋转;
步骤四:机器人完成当前状态下作业目标的旋转检测后,若作业目标当前状态不产生旋转,则完成对作业目标的操作任务;若作业目标当前状态产生旋转,重复步骤三,直至作业目标当前状态不产生,直至机器人完成对作业目标的操作任务。
2.如权利要求1所述的一种适用于机械手在手操作的目标旋转检测方法,其特征在于:步骤一中的标定及初始化包括:建立机械臂坐标模型,利用标定工具完成DH参数、TCP参数标定;根据机械手产品使用说明,对机械手进行自标定和初始化;利用传感器配套软件对力/力矩传感器进行初始化。
3.如权利要求2所述的一种适用于机械手在手操作的目标旋转检测方法,其特征在于:步骤二中质心位置模型,由力矩平衡条件,力/力矩传感器3的输出力矩MS与作业目标4所生成力矩MO的大小相等且方向相反,即MS=-MO,其中,力/力矩传感器3的输出力矩MS满足公式(3);
在机械手2坐标系O-XYZ下,力/力矩传感器3的输出力矩MS与作业目标4所生成力矩MO在各坐标轴的投影大小满足公式(4);
通过力/力矩传感器3检测作业目标4处的力和力矩信息,并在各坐标轴上进行投影得到(MS-X,MS-Y,MS-Z)、(MO-X,MO-Y,MO-Z)和(FO-X,FO-Y,FO-Z),由于力/力矩传感器3所检测的力和力矩均为作业目标4的重力作用产生,因此,(lX,lY,lZ)即为作业目标4的质心相对于机械手2中心的位置坐标(lX,lY,lZ),即机械手2坐标系O-XYZ下作业目标4的质心坐标P(x,y,z)。
8.如权利要求7所述的一种适用于机械手在手操作的目标旋转检测方法,其特征在于:所述的机械手和作业目标的接触摩擦力矩值Mf的计算方法,根据机械手的实际结构,通过对实际接触面积进行压力分布求解和积分运算,计算得到机械手和作业目标的接触摩擦力矩值Mf,具体包括:
机械手和作业目标的旋转接触过程为非长时转动过程,压力分布情况可通过如下公式计算:
其中,Fn是机械手的抓取力,Ppre是均布压力,R和r分别是机械手指尖的外径和内径,ρ是积分半径;
考虑旋转摩擦力矩的微分特性,进而可得旋转摩擦力矩的微分表达:
其中,ds是微分圆环面积;
通过积分运算,进而计算出机械手和作业目标的接触摩擦力矩值Mf,表达式(14)如下:
Priority Applications (1)
| Application Number | Priority Date | Filing Date | Title |
|---|---|---|---|
| CN202010420661.5A CN111604901B (zh) | 2020-05-18 | 2020-05-18 | 一种适用于机械手在手操作的目标旋转检测方法 |
Applications Claiming Priority (1)
| Application Number | Priority Date | Filing Date | Title |
|---|---|---|---|
| CN202010420661.5A CN111604901B (zh) | 2020-05-18 | 2020-05-18 | 一种适用于机械手在手操作的目标旋转检测方法 |
Publications (2)
| Publication Number | Publication Date |
|---|---|
| CN111604901A true CN111604901A (zh) | 2020-09-01 |
| CN111604901B CN111604901B (zh) | 2022-06-24 |
Family
ID=72193805
Family Applications (1)
| Application Number | Title | Priority Date | Filing Date |
|---|---|---|---|
| CN202010420661.5A Active CN111604901B (zh) | 2020-05-18 | 2020-05-18 | 一种适用于机械手在手操作的目标旋转检测方法 |
Country Status (1)
| Country | Link |
|---|---|
| CN (1) | CN111604901B (zh) |
Cited By (1)
| Publication number | Priority date | Publication date | Assignee | Title |
|---|---|---|---|---|
| CN119427380A (zh) * | 2025-01-10 | 2025-02-14 | 安徽大学 | 一种基于触觉传感器的机器人操作位姿控制方法及系统 |
Citations (20)
| Publication number | Priority date | Publication date | Assignee | Title |
|---|---|---|---|---|
| CN1190365A (zh) * | 1995-06-13 | 1998-08-12 | 东洋钢板株式会社 | 工业机器人的干扰防止方法 |
| US6047610A (en) * | 1997-04-18 | 2000-04-11 | Stocco; Leo J | Hybrid serial/parallel manipulator |
| EP1372899A2 (en) * | 2001-03-29 | 2004-01-02 | Mazda Motor Corporation | Joining method and apparatus using frictional agitation |
| CN1940489A (zh) * | 2005-09-30 | 2007-04-04 | 安华高科技Ecbuip(新加坡)私人有限公司 | 检测光学编码器组件码盘的偏心和上下运动的方法和系统 |
| JP2007249331A (ja) * | 2006-03-14 | 2007-09-27 | Matsushita Electric Ind Co Ltd | センサの回転制御方法及び障害物回避方法 |
| CN101687320A (zh) * | 2007-05-10 | 2010-03-31 | 史蒂文·D·索姆斯 | 利用旋转驱动器的机器人操作器 |
| EP2189753A2 (en) * | 2008-11-24 | 2010-05-26 | Politechnika Slaska | Assembly stand for mineral cutting head |
| CN101793582A (zh) * | 2010-02-09 | 2010-08-04 | 北京理工大学 | 一种刚体质量、质心和转动惯量的测量系统和测量方法 |
| CN102736626A (zh) * | 2012-05-11 | 2012-10-17 | 北京化工大学 | 基于视觉的移动小车位姿镇定控制方法 |
| CN104626171A (zh) * | 2015-01-07 | 2015-05-20 | 北京卫星环境工程研究所 | 基于六维力传感器的机械臂碰撞检测与响应方法 |
| CN106272424A (zh) * | 2016-09-07 | 2017-01-04 | 华中科技大学 | 一种基于单目相机和三维力传感器的工业机器人抓取方法 |
| WO2018088203A1 (en) * | 2016-11-08 | 2018-05-17 | Sony Corporation | Medical support arm apparatus |
| CN109278042A (zh) * | 2017-07-21 | 2019-01-29 | 电装波动株式会社 | 角度检测器的偏心误差校正方法及机器人系统 |
| CN109475375A (zh) * | 2016-06-07 | 2019-03-15 | 普罗德克斯有限公司 | 扭矩限制螺丝刀装置、系统和方法 |
| WO2019140655A1 (zh) * | 2018-01-19 | 2019-07-25 | 深圳市大疆创新科技有限公司 | 一种限位角度校准方法及终端设备 |
| CN110065094A (zh) * | 2019-05-29 | 2019-07-30 | 华南理工大学 | 一种柔性关节机械臂的运动检测装置与方法 |
| CN110154089A (zh) * | 2018-02-14 | 2019-08-23 | 发那科株式会社 | 机器人的关节的异常检测装置以及异常检测方法 |
| CN110192001A (zh) * | 2016-11-09 | 2019-08-30 | 萨兰达有限公司 | 用于可旋转元件的传感器 |
| US20190275674A1 (en) * | 2016-12-16 | 2019-09-12 | Panasonic Intellectual Property Management Co., Ltd. | Method for controlling robot |
| CN110579192A (zh) * | 2018-06-08 | 2019-12-17 | 约翰内斯.海德汉博士有限公司 | 位置测量装置和用于运行位置测量装置的方法 |
-
2020
- 2020-05-18 CN CN202010420661.5A patent/CN111604901B/zh active Active
Patent Citations (20)
| Publication number | Priority date | Publication date | Assignee | Title |
|---|---|---|---|---|
| CN1190365A (zh) * | 1995-06-13 | 1998-08-12 | 东洋钢板株式会社 | 工业机器人的干扰防止方法 |
| US6047610A (en) * | 1997-04-18 | 2000-04-11 | Stocco; Leo J | Hybrid serial/parallel manipulator |
| EP1372899A2 (en) * | 2001-03-29 | 2004-01-02 | Mazda Motor Corporation | Joining method and apparatus using frictional agitation |
| CN1940489A (zh) * | 2005-09-30 | 2007-04-04 | 安华高科技Ecbuip(新加坡)私人有限公司 | 检测光学编码器组件码盘的偏心和上下运动的方法和系统 |
| JP2007249331A (ja) * | 2006-03-14 | 2007-09-27 | Matsushita Electric Ind Co Ltd | センサの回転制御方法及び障害物回避方法 |
| CN101687320A (zh) * | 2007-05-10 | 2010-03-31 | 史蒂文·D·索姆斯 | 利用旋转驱动器的机器人操作器 |
| EP2189753A2 (en) * | 2008-11-24 | 2010-05-26 | Politechnika Slaska | Assembly stand for mineral cutting head |
| CN101793582A (zh) * | 2010-02-09 | 2010-08-04 | 北京理工大学 | 一种刚体质量、质心和转动惯量的测量系统和测量方法 |
| CN102736626A (zh) * | 2012-05-11 | 2012-10-17 | 北京化工大学 | 基于视觉的移动小车位姿镇定控制方法 |
| CN104626171A (zh) * | 2015-01-07 | 2015-05-20 | 北京卫星环境工程研究所 | 基于六维力传感器的机械臂碰撞检测与响应方法 |
| CN109475375A (zh) * | 2016-06-07 | 2019-03-15 | 普罗德克斯有限公司 | 扭矩限制螺丝刀装置、系统和方法 |
| CN106272424A (zh) * | 2016-09-07 | 2017-01-04 | 华中科技大学 | 一种基于单目相机和三维力传感器的工业机器人抓取方法 |
| WO2018088203A1 (en) * | 2016-11-08 | 2018-05-17 | Sony Corporation | Medical support arm apparatus |
| CN110192001A (zh) * | 2016-11-09 | 2019-08-30 | 萨兰达有限公司 | 用于可旋转元件的传感器 |
| US20190275674A1 (en) * | 2016-12-16 | 2019-09-12 | Panasonic Intellectual Property Management Co., Ltd. | Method for controlling robot |
| CN109278042A (zh) * | 2017-07-21 | 2019-01-29 | 电装波动株式会社 | 角度检测器的偏心误差校正方法及机器人系统 |
| WO2019140655A1 (zh) * | 2018-01-19 | 2019-07-25 | 深圳市大疆创新科技有限公司 | 一种限位角度校准方法及终端设备 |
| CN110154089A (zh) * | 2018-02-14 | 2019-08-23 | 发那科株式会社 | 机器人的关节的异常检测装置以及异常检测方法 |
| CN110579192A (zh) * | 2018-06-08 | 2019-12-17 | 约翰内斯.海德汉博士有限公司 | 位置测量装置和用于运行位置测量装置的方法 |
| CN110065094A (zh) * | 2019-05-29 | 2019-07-30 | 华南理工大学 | 一种柔性关节机械臂的运动检测装置与方法 |
Non-Patent Citations (6)
| Title |
|---|
| KOTARO YAMAMOTO;MASARU KOJIMA;MITSUHIRO HORADE;KAZUTO KAMIYAMA;Y: "Micro-hand positioning in consideration of the obstacle avoidance and the grasping part by using the automatic stage", 《ICRA》 * |
| KOTARO YAMAMOTO;MASARU KOJIMA;MITSUHIRO HORADE;KAZUTO KAMIYAMA;Y: "Micro-hand positioning in consideration of the obstacle avoidance and the grasping part by using the automatic stage", 《ICRA》, 9 June 2016 (2016-06-09) * |
| Y. HOU, Z. JIA, AND M. T. MASON: "Fast planning for 3D any-posereorienting using pivoting", 《ICRA》 * |
| Y. HOU, Z. JIA, AND M. T. MASON: "Fast planning for 3D any-posereorienting using pivoting", 《ICRA》, 31 May 2018 (2018-05-31) * |
| 展嘉楠: "物体旋转运动视觉识别方法的研究", 《中国优秀硕士学位论文全文数据库 (信息科技辑)》 * |
| 展嘉楠: "物体旋转运动视觉识别方法的研究", 《中国优秀硕士学位论文全文数据库 (信息科技辑)》, no. 02, 15 February 2015 (2015-02-15) * |
Cited By (2)
| Publication number | Priority date | Publication date | Assignee | Title |
|---|---|---|---|---|
| CN119427380A (zh) * | 2025-01-10 | 2025-02-14 | 安徽大学 | 一种基于触觉传感器的机器人操作位姿控制方法及系统 |
| CN119427380B (zh) * | 2025-01-10 | 2025-04-15 | 安徽大学 | 一种基于触觉传感器的机器人操作位姿控制方法及系统 |
Also Published As
| Publication number | Publication date |
|---|---|
| CN111604901B (zh) | 2022-06-24 |
Similar Documents
| Publication | Publication Date | Title |
|---|---|---|
| JP6640792B2 (ja) | ハンド制御装置、ハンド制御方法、およびハンドのシミュレーション装置 | |
| CN113696186B (zh) | 复杂光照条件下基于视触融合的机械臂自主移动抓取方法 | |
| JP4001105B2 (ja) | ロボットによる任意形状物体の把持方法 | |
| JP5733882B2 (ja) | ロボット及びその協調作業制御方法 | |
| JP2010280054A (ja) | 粒子フィルタを使用した多指ロボットハンドのための接触状態推定 | |
| CN108818586B (zh) | 一种适用于机械手自动抓取的物体重心检测方法 | |
| CN105818129A (zh) | 一种基于数据手套的仿人机械手控制系统 | |
| CN103192387A (zh) | 机器人及其控制方法 | |
| CN1785608A (zh) | 多指机械灵巧手闭环实时动作控制平台 | |
| JP2019188514A (ja) | ロボットを用いた負荷の重量及び重心位置を推定するための装置、方法及びプログラム | |
| Back et al. | Control a contact sensing finger for surface haptic exploration | |
| CN117754558A (zh) | 通过人类演示的抓取教导 | |
| Lin et al. | Real-time robot pose correction on curved surface employing 6-axis force/torque sensor | |
| CN111604901B (zh) | 一种适用于机械手在手操作的目标旋转检测方法 | |
| CN111604902B (zh) | 一种适用于机械手在手操作的目标滑动检测方法 | |
| Schiebener et al. | Discovery, segmentation and reactive grasping of unknown objects | |
| JP2016147340A (ja) | 把持ロボット及び把持ロボットの制御方法 | |
| JP3884249B2 (ja) | 人間型ハンドロボット用教示システム | |
| CN110877335A (zh) | 一种基于混合滤波器自适应无标记机械臂轨迹跟踪方法 | |
| CN111604900B (zh) | 一种适用于机械手在手操作的目标参数检测方法 | |
| TWI725630B (zh) | 加工路徑生成裝置及其方法 | |
| CN116945166A (zh) | 一种基于触觉图元滑移特征反馈的机器人再抓取优化方法 | |
| Hasegawa et al. | Detection and measurement of fingertip slip in multi-fingered precision manipulation with rolling contact | |
| CN112776341B (zh) | 一种三维打印设备中的六轴机器人的轴动作优化方法 | |
| Xiong et al. | Structural Design and Grasping Control Strategy of an Intelligent Sorting Robotic Arm Based on Machine Vision. |
Legal Events
| Date | Code | Title | Description |
|---|---|---|---|
| PB01 | Publication | ||
| PB01 | Publication | ||
| SE01 | Entry into force of request for substantive examination | ||
| SE01 | Entry into force of request for substantive examination | ||
| GR01 | Patent grant | ||
| GR01 | Patent grant |
















































































