CN111580500B - 一种针对自动驾驶汽车安全性的评价方法 - Google Patents
一种针对自动驾驶汽车安全性的评价方法 Download PDFInfo
- Publication number
- CN111580500B CN111580500B CN202010391236.8A CN202010391236A CN111580500B CN 111580500 B CN111580500 B CN 111580500B CN 202010391236 A CN202010391236 A CN 202010391236A CN 111580500 B CN111580500 B CN 111580500B
- Authority
- CN
- China
- Prior art keywords
- gaussian
- clustering
- scene
- parameter
- test
- Prior art date
- Legal status (The legal status is an assumption and is not a legal conclusion. Google has not performed a legal analysis and makes no representation as to the accuracy of the status listed.)
- Active
Links
- 238000011156 evaluation Methods 0.000 title claims abstract description 32
- 238000012360 testing method Methods 0.000 claims abstract description 101
- 238000000034 method Methods 0.000 claims abstract description 86
- 238000009826 distribution Methods 0.000 claims abstract description 67
- 239000000203 mixture Substances 0.000 claims abstract description 44
- 238000012545 processing Methods 0.000 claims abstract description 42
- 239000006185 dispersion Substances 0.000 claims abstract description 18
- 238000004422 calculation algorithm Methods 0.000 claims description 58
- 239000011159 matrix material Substances 0.000 claims description 38
- 230000008569 process Effects 0.000 claims description 35
- 238000004364 calculation method Methods 0.000 claims description 12
- 230000008859 change Effects 0.000 claims description 11
- 238000003064 k means clustering Methods 0.000 claims description 9
- 238000004088 simulation Methods 0.000 claims description 7
- 238000012937 correction Methods 0.000 claims description 6
- 238000004458 analytical method Methods 0.000 claims description 4
- 238000010998 test method Methods 0.000 claims description 4
- 238000007476 Maximum Likelihood Methods 0.000 claims description 3
- 238000002759 z-score normalization Methods 0.000 claims description 3
- 238000013461 design Methods 0.000 abstract description 4
- 230000007547 defect Effects 0.000 abstract description 3
- 238000011076 safety test Methods 0.000 abstract 1
- 230000006870 function Effects 0.000 description 18
- 238000010586 diagram Methods 0.000 description 6
- 238000010606 normalization Methods 0.000 description 3
- 238000007619 statistical method Methods 0.000 description 3
- 230000001133 acceleration Effects 0.000 description 2
- 230000008901 benefit Effects 0.000 description 2
- 230000006872 improvement Effects 0.000 description 2
- NAWXUBYGYWOOIX-SFHVURJKSA-N (2s)-2-[[4-[2-(2,4-diaminoquinazolin-6-yl)ethyl]benzoyl]amino]-4-methylidenepentanedioic acid Chemical compound C1=CC2=NC(N)=NC(N)=C2C=C1CCC1=CC=C(C(=O)N[C@@H](CC(=C)C(O)=O)C(O)=O)C=C1 NAWXUBYGYWOOIX-SFHVURJKSA-N 0.000 description 1
- 230000009286 beneficial effect Effects 0.000 description 1
- 238000013135 deep learning Methods 0.000 description 1
- 230000007812 deficiency Effects 0.000 description 1
- 238000011161 development Methods 0.000 description 1
- 238000005516 engineering process Methods 0.000 description 1
- 238000012854 evaluation process Methods 0.000 description 1
- 238000004519 manufacturing process Methods 0.000 description 1
- 230000000717 retained effect Effects 0.000 description 1
- 238000009781 safety test method Methods 0.000 description 1
- 238000012546 transfer Methods 0.000 description 1
Images
Classifications
-
- G—PHYSICS
- G05—CONTROLLING; REGULATING
- G05B—CONTROL OR REGULATING SYSTEMS IN GENERAL; FUNCTIONAL ELEMENTS OF SUCH SYSTEMS; MONITORING OR TESTING ARRANGEMENTS FOR SUCH SYSTEMS OR ELEMENTS
- G05B23/00—Testing or monitoring of control systems or parts thereof
- G05B23/02—Electric testing or monitoring
- G05B23/0205—Electric testing or monitoring by means of a monitoring system capable of detecting and responding to faults
- G05B23/0218—Electric testing or monitoring by means of a monitoring system capable of detecting and responding to faults characterised by the fault detection method dealing with either existing or incipient faults
- G05B23/0243—Electric testing or monitoring by means of a monitoring system capable of detecting and responding to faults characterised by the fault detection method dealing with either existing or incipient faults model based detection method, e.g. first-principles knowledge model
-
- G—PHYSICS
- G05—CONTROLLING; REGULATING
- G05B—CONTROL OR REGULATING SYSTEMS IN GENERAL; FUNCTIONAL ELEMENTS OF SUCH SYSTEMS; MONITORING OR TESTING ARRANGEMENTS FOR SUCH SYSTEMS OR ELEMENTS
- G05B2219/00—Program-control systems
- G05B2219/20—Pc systems
- G05B2219/24—Pc safety
- G05B2219/24065—Real time diagnostics
Landscapes
- Physics & Mathematics (AREA)
- General Physics & Mathematics (AREA)
- Engineering & Computer Science (AREA)
- Automation & Control Theory (AREA)
- Testing Of Devices, Machine Parts, Or Other Structures Thereof (AREA)
- Information Retrieval, Db Structures And Fs Structures Therefor (AREA)
Abstract
本发明提供了一种针对自动驾驶汽车安全性的评价方法,将安全性测试所得到的试验结果按照逻辑场景参数空间的边界进行对称化处理,将对称处理之后的试验数据进行标准化处理;初步计算试验数据的聚类中心,当聚类中心只有一个时使用单高斯模型聚类方法对试验数据进行聚类,当聚类中心存在多个时使用高斯混合模型进行聚类、统计得到的高斯模型参数,删除因对称处理产生的多余高斯分布;使用危险域离散度、危险域范围、场景危险率对该逻辑场景下的自动驾驶安全性进行评价;本方法不但可以描述发现自动驾驶汽车设计缺陷的困难程度,还可以描述自动驾驶汽车设计缺陷的影响范围,并能通过量化的方式描述自动驾驶汽车在逻辑场景中的安全性。
Description
技术领域
本发明属于自动驾驶汽车测试技术领域,涉及一种针对自动驾驶汽车安全性的评价方法,尤其涉及一种多维度测试场景下自动驾驶安全性的评价方法。
背景技术
随着深度学习、云计算、大数据等技术的不断提高,实现自动驾驶汽车的量产已具备了技术可能性。由于自动驾驶在减少污染、提升安全、降低拥堵等方面的优势,自动驾驶已成为汽车产业的未来趋势。然而,如何保证自动驾驶汽车的安全性成为制约自动驾驶进一步发展的障碍。由于自动驾驶功能的不断提高,其可应用的场景逐渐变得复杂,影响自动驾驶安全性的因素也变得越来越多。
现有的自动驾驶测试多着重于测试方法,以发明专利《一种自动驾驶测试场景再现模拟方法、装置及系统》(申请号201910223012.3:)、发明专利《一种自动驾驶车辆测试仿真场景生成方法》(申请号:201910443763.6)、发明专利《一种自动驾驶仿真测试场景的生成方法及生成系统》(申请号:201910797521.7)这类测试方法类专利为例,其首先通过收集自动驾驶的行驶环境信息,然后分析其发生事故或存在危险的关键场景,提取场景中要素及参数变化范围,最后通过一定的装置及方法在仿真的环境中进行重现。
这些相关专利对于如何评价其安全性则稍显薄弱,大多只分析了测试场景的生成方法,而对于后续如何评价自动驾驶的安全性未进行详细的描述。由于自动驾驶汽车应用场景的复杂性,使用简单的单一测试用例的通过性评价不能表现其整体性能,应基于统计数据的方式,从统计分析的角度出发,才能对其进行评价。
发明内容
为了解决现有评价方法的缺失,本发明提供一种自动驾驶汽车安全性评价方法。
本发明是采用如下技术方案实现的:
一种针对自动驾驶汽车安全性的评价方法,用于测试和评价自动驾驶算法的安全性,基于一种基于场景的自动驾驶汽车测试方法,基于场景的测试方法根据客户需要自行选择自动驾驶汽车测试逻辑场景,按照被测算法的功能自行设定逻辑场景参数空间范围,考虑传感器精度、算法效率、算法精度、测试平台运行频率、测试平台性能将逻辑场景中的连续参数进行离散化处理获得具体测试用例,使用穷举法将得到的所有具体测试用例在仿真环境下进行测试,所有具体测试用例的试验结果中发生碰撞的情况所对应的具体测试用例参数形成数据集合X1,数据集合X1为一个数据矩阵,矩阵的每一行为一个具体测试用例所对应的一组场景要素参数,矩阵的每一列为一类场景要素参数的所有值,基于这种测试方法获得具体场景要素数据集合X1,本方法设定具体场景要素数据集合X1的数据处理流程并设定安全性评价指标,对自动驾驶汽车安全性进行评价,其特征在于,本方法的具体步骤如下:
步骤一、将具体场景要素数据集合X1按照如下数据处理流程进行处理:
将试验数据对称化处理:以所选逻辑场景的场景要素参数类型建立坐标系,各个坐标轴所对应的内容即为逻辑场景中不同的场景要素参数类型;逻辑场景中不同场景要素参数对应的参数空间均存在上限和下限,危险边界为理论情况下容易发生危险的参数空间位置的上限或下限;将具体场景要素数据集合X1在建立的坐标系下根据不同的场景要素危险边界数值形成的坐标轴按顺序进行对称化处理,即具体场景要素数据集合X1以列为单位发生改变,每次对称时发生对称的列以该类型参数的危险边界数值为对称轴产生新数据,其他未发生对称的列数值不变,其他未发生对称的列复制并且其数值按照之前的对应顺序与复制后的列形成新的对称后的数据;每次对称后将对称得到的新数据和原始数据一起作为下次对称的原始数据;对称化处理完成后得到对称化处理后的数据集合X2,X2的矩阵定义与X1相同;
将对称化处理后的试验数据集合X2进行标准化处理,得到标准化处理后的坐标系中的试验数据集X:采用Z-score归一化方法对危险参数进行标准化处理,如式(1)所示:
式中,xf是标准化处理后的数据集合X的第f维参数列向量,bf是对称化处理后数据集合X2矩阵的第f维参数列向量,bf_mean是对称化处理后数据集合X2矩阵的第f维参数的均值,sf是对称化处理后数据集合X2矩阵的第f维参数的标准差,下角标f代表逻辑场景的第f个维度即X1矩阵的第f列也就是第f类场景要素,d为所选逻辑场景的变量维度总数即X1矩阵的列数也就是场景要素类型的数量;
初步计算标准化处理后的坐标系中的试验数据集合X的聚类中心数目:采用计算组内残差平方和的方式计算危险参数聚类中心数量,组内残差平方和是指所有聚类中每个类内的要素距离其聚类中心的误差的平方的总和,如式(2)所示;采用K-means聚类方法对数据集合进行聚类,聚类中心g设置为1到10分别聚类10次,分别计算这10次聚类结果的组内残差平方和;当组内残差平方和变化速率变慢时,即认为增大聚类数目也不能对聚类结果进行有效的提高,该速率变化的拐点数即为聚类中心数目;
式中,Y为组内残差平方和,m为所有数据点的数量即标准化处理后的坐标系中的试验数据集合X的行数,x’为使用初步聚类得到的不同聚类的聚类中心;
选择后续聚类方式:当计算得到的聚类中心只有一个时,使用单高斯模型聚类方法对试验数据进行聚类,当聚类中心存在多个时,使用高斯混合模型进行聚类;
单高斯模型聚类:单高斯模型聚类方法的公式如(3)所示:
式中,P(x|θs)为单一高斯模型概率密度函数,θs为高斯模型的参数,包括均值和标准差,Σ为用来描述各维变量相关度的协方差矩阵,μ为危险参数向量的均值,由于数据已经经过了对称化和标准化处理,所以若只存在单高斯型的情况下经过处理后分布的均值为0,标准差为1;
高斯混合模型聚类:高斯混合模型聚类又名EM聚类算法,通过迭代进行E-step和M-step来获得如式(4)所示的高斯混合模型;
式中,G(x|θ)为高斯混合模型概率密度函数,φ(x|θk)为高斯混合模型中的不同高斯分布,θ为高斯混合模型的参数,包括第k个单高斯模型的权重αk和模型参数θk,θk包括均值μk和标准差σk,K为单个高斯模型的总个数即计算得到的聚类中心数量;
统计得到的高斯模型参数:统计单高斯模型聚类或高斯混合模型聚类的聚类后的所有高斯分布的均值、标准差;
删除因对称处理产生的多余高斯分布:删除除坐标原点位置处其他因对称处理产生的多余高斯分布,这些需要删除的多余的高斯分布的特点是均值存在对称、标准差相同,这类高斯分布只需要保留原始的一个;
步骤二、确定自动驾驶安全性评价指标,定义逻辑场景中发生碰撞的具体测试用例参数聚类得到的连续分布参数范围即聚类得到的高斯分布范围为被测自动驾驶算法在该逻辑场景下的危险域,本方法提出的安全性评价指标包括危险域离散度、危险域范围和场景危险率:
危险域离散度:本方法使用危险域离散度用来表示进行测试时发现危险的困难程度,包括两部分,一是不同危险域相对于逻辑场景中最危险边界点的距离,最危险边界点为给定的逻辑场景参数空间中各个参数维度的危险边界的交点,二是不同危险域之间的相对距离;由于数据经过对称化及标准化处理,逻辑场景中最危险边界点转化成为标准化处理后的坐标系内的坐标原点,不同聚类中心相对于标准化处理后的坐标系的坐标原点的欧氏距离db即为不同危险域相对于最危险边界点的距离;其他不同危险域之间的相对距离用类间距离ds表示,下标k表示不同的高斯分布,db-k为不同高斯分布的欧式距离,ds-k为不同高斯分布的类间距离,如式(5)和(6)所示;
式中,μk为聚类中心的位置即高斯分布的均值,μmean为除原点外的聚类中心的均值,下标k表示不同的聚类;
第k个危险域的危险域离散度dh_k为:
dh_k=a·db_k+c·ds_k (7)
式中,a和c均为权重系数,a和c的具体数值根据测试所选逻辑场景任意定义,a和c的和为1;
危险域范围:本方法使用危险域范围作为自动驾驶安全性另一个评价指标,用来描述被测逻辑场景中发生碰撞的具体测试用例形成的连续分布的危险域的覆盖范围;危险域范围Sk综合考虑参数的危险程度及其分布范围,采用高斯分布标准差表示,第k个危险域的危险域范围Sk为:
式中,ω为不同维度参数的重要程度系数,σk为高斯分布的标准差,f代表逻辑场景的第f个维度即X1矩阵的第f列也就是第f类场景要素,ω采用层次分析法确定,通过建立参数判别矩阵并计算矩阵最大特征值和其对应的加权向量,在检验经过一致性通过后,最大特征值对应的加权向量即为不同参数的重要程度ω;
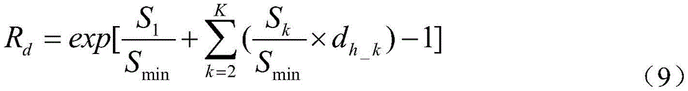
场景危险率:本方法将危险域离散度和危险域范围两个指标进行耦合,建立可量化的聚类评价指标——场景危险率Rd;
场景危险率Rd如式(9)所示:
式中,S1为标准化处理后的坐标系中的坐标原点处的危险域范围,Smin为理论最小危险域范围,即在给定场景下,假设自动驾驶汽车以理想状态进行操作计算得到的危险域范围,该计算流程与公式(1)至(8)的流程相同且为保证数据的可比性,计算Smin值的标准化过程即公式(1)时,其标准化过程应将理想危险参数映射到测试危险参数域进行修正,修正过程如(10)所示:
式中sk_v为理论最优算法数据处理计算标准化过程中使用的标准差参数即具体场景要素数据集合X1不同列数值的标准差,sk_t为被测算法试验结果在标准化过程中使用的标准差参数即理想情况测试结果中发生碰撞的具体场景要素数据集合不同列数值的标准差;
由式(9)可知,场景危险率Rd的值越小,则表示所测试的自动驾驶算法在给定的多维度逻辑场景下安全性越好,其下限值为1,如果场景危险率Rd的值超过1.5,则表示所测试的自动驾驶算法的安全性就比较差,需要进一步优化。
进一步的技术方案包括:
高斯混合模型聚类的具体过程为:
高斯混合模型聚类别称为EM聚类算法,其将数据参数集合分解为多个高斯概率密度函数分布组成的模型,如公式(4)所示:
式中,G(x|θ)为高斯混合模型概率密度函数,φ(x|θk)为高斯混合模型中的不同高斯分布,θ为高斯混合模型的参数,包括第k个单高斯模型的权重αk和模型参数θk,θk包括均值μk和标准差σk,K为单个高斯模型的个数;
通过极大似然法对θ进行估计:
θ*=argmaxL(θ) (11)
应用迭代算法对上式进行求解,EM算法的E-step为计算Q函数,Q函数代表给定第p轮迭代的参数θp之后高斯混合模型G(x|θp)与给定数据之间的相似程度,如公式(13)所示;
EM算法中的M-step为最大化Q函数,当计算第(p+1)步的参数θp+1时,对第p步的αk、μk、σk求偏导并使其等于0,就可以使得Q函数极大化;
重复进行EM算法的E-step和M-step直至模型收敛即可得到高斯混合模型G(x|θ),即为所求的高斯混合模型。
K-means聚类算法的过程如下:
(1)自行确定g值,即希望得到的聚类数量,本方法中g的值设定为1到10;
(2)从数据集合X2中随机选择g个数据点作为聚类中心;
(3)对数据集X2中每一个点,计算其与每一个聚类中心的欧式距离,将其划分到欧式距离最近的聚类中心所属的聚类;
(4)将所有数据归好聚类后,共有g个聚类,重新计算这g个聚类的聚类中心;
(5)如果新计算出来每个聚类的聚类中心和原来选择的各个聚类的聚类中心之间的欧式距离小于等于设置的阈值,则表示重新计算的质心的位置变化不大,结果收敛,即聚类已经达到期望的结果,算法终止;
(6)如果新计算出来每个聚类的聚类中心和原来选择的各个聚类的聚类中心之间的欧式距离大于设置的阈值,则表示算法结果差,将新计算得到的聚类中心作为初始聚类中心,重新进行3-5步。
与现有技术相比本发明的有益效果是:
本发明提供的一种针对自动驾驶汽车安全性的评价方法,可充分考虑自动驾驶汽车在真实环境行驶时的统计学规律,不但可以描述发现自动驾驶汽车设计缺陷的困难程度,还可以描述自动驾驶汽车设计缺陷的影响范围,并能通过量化的方式描述自动驾驶汽车在逻辑场景中的安全性。该评价方法可以满足自动驾驶评价领域对自动驾驶汽车安全性评价的需求,具有广泛的应用前景。
附图说明
下面结合附图对本发明作进一步的说明:
图1为本发明提供的一种针对自动驾驶汽车安全性的评价方法的流程框图;
图2为本发明实施例提供的本方法步骤一的数据处理流程示意图;
图3为本发明实施例提供的一种被测逻辑场景的示意图;
图4为本发明实施提供的一种该测试场景下某种自动驾驶算法的试验结果图;
图5为将图三中的实验结果经过本发明实施提供的数据处理所得到的结果示意图;
图6为本发明实施例测试场景示例下的理想算法的减速度与时间曲线。
图7为本发明实施提供的一种该测试场景下理想算法的试验结果图。
具体实施方式
下面结合附图对本实用新型作详细的描述:
为了解决当前自动驾驶安全性尚无可靠评价方法的难题,本发明实施提供了一种基于多维度逻辑场景的自动驾驶安全性测试方法,其通过对该逻辑场景下自动驾驶的试验数据进行统计分析,使用统计的方式对自动驾驶的安全性进行评价,在本发明实施例中,以前车紧急制动的逻辑场景作为案例进行描述。
步骤一、将具体场景要素数据集合X1按照如下数据处理流程进行处理:
将试验数据对称化处理,对称化处理的好处在于将试验数据处理成一个完整的高斯分布并将数据分布的中心转移到逻辑场景危险边界的交点:以所选逻辑场景的场景要素参数类型建立坐标系,各个坐标轴所对应的内容即为逻辑场景中不同的场景要素参数类型;逻辑场景中不同场景要素参数对应的参数空间均存在上限和下限,危险边界为理论情况下容易发生危险的参数空间位置的上限或下限,以本发明所选择的前车紧急制动场景为例,前车制动时本车的速度越大则本车与前车发生碰撞的风险越大,因此场景参数中的本车速度应选择其上限作为危险边界;将具体场景要素数据集合X1在建立的坐标系下根据不同的场景要素危险边界数值形成的坐标轴按顺序进行对称化处理,即具体场景要素数据集合X1以列为单位发生改变,每次对称时发生对称的列以该类型参数的危险边界数值为对称轴产生新数据,其他未发生对称的列数值不变,其他未发生对称的列复制并且其数值按照之前的对应顺序与复制后的列形成新的对称后的数据;每次对称后将对称得到的新数据和原始数据一起作为下次对称的原始数据(以数据(20,30)、(25,30)、(25,35)为例,其危险边界为(15,40),首先将第一维数据进行对称,(20 25 25)关于15的对称数据为(10 5 5),第二维数据不变并与第一维的对称数据按照原本的顺序进行结合得到第一维对称后的数据(10,30),(5,30),(5,35),此时的数据包括(20,30)、(25,30)、(25,35),(10,30),(5,30),(5,35),然后将该组数据的第二维进行对称,(30 30 35 30 30 35)关于40的对称数据为(50 50 45 50 50 45),第一维数据不变并与第二维的对称数据按照原本的顺序进行结合得到第二维对称后的数据(20,50),(25,50),(25,45),(10,50),(5,50),(5,45),最终得到完全对称后的数据(20,30)、(25,30)、(25,35),(10,30),(5,30),(5,35),(20,50),(25,50),(25,45),(10,50),(5,50),(5,45));对称化处理完成后得到对称化处理后的数据集合X2,X2的矩阵定义与X1相同;
将对称化处理后的试验数据集合X2进行标准化处理,得到标准化处理后的坐标系中的试验数据集X,标准化处理的意义是在于将不同维度之间数据的差异尺度处理至相同尺度,从而避免基于距离的聚类方法(本发明使用的基于高斯模型的聚类和K-means聚类)产生失误:采用Z-score归一化方法对危险参数进行标准化处理,如式(1)所示:
式中,xf是标准化处理后的数据集合X的第f维参数列向量,bf是对称化处理后数据集合X2矩阵的第f维参数列向量,bf_mean是对称化处理后数据集合X2矩阵的第f维参数的均值,sf是对称化处理后数据集合X2矩阵的第f维参数的标准差,下角标f代表逻辑场景的第f个维度即X1矩阵的第f列也就是第f类场景要素,d为所选逻辑场景的变量维度总数即X1矩阵的列数也就是场景要素类型的数量;
标准化处理过程中首先计算不同列数据的均值和标准差,然后将该列的均值和标准差带入公式(1)之中,然后将这一列的每一个数值带入公式(1)之中,从而得到这一列每一个数据的标准化处理后的数据,将所有列的数据都经过标准化处理之后即可得到标准化处理后的数据集合X;
初步计算标准化处理后的坐标系中的试验数据集合X的聚类中心数目:采用计算组内残差平方和的方式计算危险参数聚类中心数量,组内残差平方和是指所有聚类中每个类内的要素距离其聚类中心的误差的平方的总和,如式(2)所示;采用K-means聚类方法对数据集合X进行初步聚类,聚类中心g设置为1到10分别聚类10次,分别计算这10次聚类结果的组内残差平方和;
K-means聚类算法的过程如下:
(1)自行确定g值,即希望得到的聚类数量,本方法中g的值设定为1到10;
(2)从数据集合X2中随机选择g个数据点作为聚类中心;
(3)对数据集X2中每一个点,计算其与每一个聚类中心的欧式距离,将其划分到欧式距离最近的聚类中心所属的聚类;
(4)将所有数据归好聚类后,共有g个聚类,重新计算这g个聚类的聚类中心;
(5)如果新计算出来每个聚类的聚类中心和原来选择的各个聚类的聚类中心之间的欧式距离小于等于设置的阈值,则表示重新计算的质心的位置变化不大,结果收敛,即聚类已经达到期望的结果,算法终止;
(6)如果新计算出来每个聚类的聚类中心和原来选择的各个聚类的聚类中心之间的欧式距离大于设置的阈值,则表示算法结果差,将新计算得到的聚类中心作为初始聚类中心,重新进行3-5步。
当组内残差平方和变化速率变慢时,即认为增大聚类数目也不能对聚类结果进行有效的提高,该速率变化的拐点数即为聚类中心数目;
式中,Y为组内残差平方和,m为所有数据点的数量即标准化处理后的坐标系中的试验数据集合X的行数,x’为使用初步聚类得到的不同聚类的聚类中心;
选择后续聚类方式:当计算得到的聚类中心只有一个时,使用单高斯模型聚类方法对试验数据进行聚类,当聚类中心存在多个时,使用高斯混合模型进行聚类(基于高斯模型的聚类方法得到的高斯模型参数可用于进行后续的评价过程);
单高斯模型聚类:单高斯模型聚类方法的公式如(3)所示:
式中,P(x|θs)为单一高斯模型概率密度函数,θs为高斯模型的参数,包括均值和标准差,Σ为用来描述各维变量相关度的协方差矩阵,μ为危险参数向量的均值,由于数据已经经过了对称化和标准化处理,所以若只存在单高斯型的情况下经过处理后分布的均值为0,标准差为1;
高斯混合模型聚类:高斯混合模型聚类又名EM聚类算法,通过迭代进行E-step和M-step来获得如式(4)所示的高斯混合模型;
式中,G(x|θ)为高斯混合模型概率密度函数,φ(x|θk)为高斯混合模型中的不同高斯分布,θ为高斯混合模型的参数,包括第k个单高斯模型的权重αk和模型参数θk,θk包括均值μk和标准差σk,K为单个高斯模型的总个数即计算得到的聚类中心数量;
通过极大似然法对θ进行估计:
θ*=argmaxL(θ) (11)
应用迭代算法对上式进行求解,EM算法的E-step为计算Q函数,Q函数代表给定第p轮迭代的参数θp之后高斯混合模型G(x|θp)与给定数据之间的相似程度,如公式(13)所示;
EM算法中的M-step为最大化Q函数,当计算第(p+1)步的参数θp+1时,对第p步的αk、μk、σk求偏导并使其等于0,就可以使得Q函数极大化;
重复进行EM算法的E-step和M-step直至模型收敛即可得到高斯混合模型G(x|θ),即为所求的高斯混合模型。
统计得到的高斯模型参数:统计单高斯模型聚类或高斯混合模型聚类的聚类后的所有高斯分布的均值、标准差;
删除因对称处理产生的多余高斯分布:删除除坐标原点位置处其他因对称处理产生的多余高斯分布,这些需要删除的多余的高斯分布的特点是均值存在对称、标准差相同,这类高斯分布只需要保留原始的一个(例如得到的几个高斯分布的参数(均值和标准差)为(0,5)、(2,2)、(-2,2)、(1,3)、(-1,3),通过观察可以发现(2,2)和(-2,2),(1,3)和(-1,3)的均值对称,标准差相同,这就说明(-2,2)和(-1,3)是因对称化处理产生的多余高斯分布,应删除,结果只需要保留均值和方差为(0,5)、(2,2)、(1,3)的这三组高斯分布);
步骤二、确定自动驾驶安全性评价指标,定义逻辑场景中发生碰撞的具体测试用例参数聚类得到的连续分布参数范围(即聚类得到的高斯分布范围)为被测自动驾驶算法在该逻辑场景下的危险域,本方法提出的安全性评价指标包括危险域离散度、危险域范围和场景危险率:
危险域离散度:本方法使用危险域离散度用来表示进行测试时发现危险的困难程度,包括两部分,一是不同危险域相对于逻辑场景中最危险边界点的距离,最危险边界点为给定的逻辑场景参数空间中各个参数维度的危险边界的交点,二是不同危险域之间的相对距离(由于最危险边界点是最容易发生危险的位置,因此该处可以视为危险发生的基本点,其他位置发生事故与该处的位置越远则表明其被发现的难度越大,同时若存在多个分布,且他们之间分布的距离越大则不同分布发现的难度也越大);由于数据经过对称化及标准化处理,逻辑场景中最危险边界点转化成为标准化处理后的坐标系内的坐标原点,不同聚类中心相对于标准化处理后的坐标系的坐标原点的欧氏距离db即为不同危险域相对于最危险边界点的距离,;其他不同危险域之间的相对距离用类间距离ds表示,下标k表示不同的高斯分布,db-k为不同高斯分布的欧式距离,ds-k为不同高斯分布的类间距离,如式(5)和(6)所示;
式中,μk为聚类中心的位置即高斯分布的均值,μmean为除原点外的聚类中心的均值,下标k表示不同的聚类;
第k个危险域的危险域离散度dh_k为:
dh_k=a·db_k+c·ds_k (7)
式中,a和c均为权重系数,a和c的具体数值根据测试所选逻辑场景任意定义,a和c的和为1;
危险域范围:本方法使用危险域范围作为自动驾驶安全性另一个评价指标,用来描述被测逻辑场景中发生碰撞的具体测试用例形成的连续分布的危险域的覆盖范围,危险域的覆盖范围越大则表明被测算法发生事故的风险越大;危险域范围Sk综合考虑参数的危险程度及其分布范围,采用高斯分布标准差表示,第k个危险域的危险域范围Sk为:
式中,ω为不同维度参数的重要程度系数,σk为高斯分布的标准差,f代表逻辑场景的第f个维度即X1矩阵的第f列也就是第f类场景要素,ω采用层次分析法确定,通过建立参数判别矩阵并计算矩阵最大特征值和其对应的加权向量,在检验经过一致性通过后,最大特征值对应的加权向量即为不同参数的重要程度ω;
场景危险率:本方法将危险域离散度和危险域范围两个指标进行耦合,建立可量化的聚类评价指标——场景危险率Rd;
场景危险率Rd如式(9)所示:
式中,S1为标准化处理后的坐标系中的坐标原点处的危险域范围,Smin为理论最小危险域范围,即在给定场景下,假设自动驾驶汽车以理想状态进行操作计算得到的危险域范围,该计算流程与公式(1)至(8)的流程相同且为保证数据的可比性,计算Smin值的标准化过程即公式(1)时,其标准化过程应将理想危险参数映射到测试危险参数域进行修正,修正过程如(10)所示:
式中sk_v为理论最优算法数据处理计算标准化过程中使用的标准差参数即具体场景要素数据集合X1不同列数值的标准差,sk_t为被测算法试验结果在标准化过程中使用的标准差参数即理想情况测试结果中发生碰撞的具体场景要素数据集合不同列数值的标准差;
由式(9)可知,场景危险率Rd的值越小,则表示所测试的自动驾驶算法在给定的多维度逻辑场景下安全性越好,其下限值为1,如果场景危险率Rd的值超过1.5,则表示所测试的自动驾驶算法的安全性就比较差,需要进一步优化。参见图3,本发明以前车紧急制动作为示例测试场景。需要说明的是,本案例仅在本次发明中起示例作用,本文所提出的测试评价方法不局限于该案例,对于其他测试场景仍可使用本发明后续提出的评价方法。本发明选择本车初速度v1、前车与本车之间的初始距离d、前车初速度v2作为逻辑场景的测试参数。接下来对该示例场景进行描述,被测自动驾驶车辆以初始速度v1在中间车道向前行驶;前车在本车前距离d处以初速度v2向前行驶,并以8m/s2的减速度进行减速,持续1.5s;之后,前车以3m/s2的加速度加速,持续3s;最后前车以1m/s2的加速度缓慢加速直至30m/s。在本发明实施例中,选择本车初速度v1、前车与本车之间的初始距离d、前车初速度v2作为逻辑场景的测试参数,它们的参数空间范围分别为[15m/s,30m/s]、[30m,50m]、[25m/s,35m/s]。当选择其他测试场景时,可参照本实施案例进行具体设置。
参照图2中的第1步和第2步,根据传感器精度、软件平台仿真频率、算法精度等对逻辑场景进行离散化处理,以车载毫米波雷达工作精度为例,其远距离精度为±0.5m,中距离精度为±0.25m,因此考虑传感器精度可选距离单位为1m进行离散。同理考虑其他因素,本文最终选择的速度的离散单位为1m/s,距离的离散单位为1m,并使用穷举的方法在仿真环境下完成了3696次试验。
参照图4,本发明对该示例进行了试验并得到了某算法相应的试验数据结果,其中82组发生碰撞的测试用例对应的参数即为评价所需要的试验参数集合X1。
参见图2第3步,对试验数据进行对称化处理。通过对本示例逻辑场景进行分析可知,前车制动时本车的初速度越大发生碰撞的风险越大,前车制动时前车与本车之间的距离越短发生碰撞的风险越大,前车制动时前车的速度越小发生碰撞的风险越大,根据分析可知本案例中针对该测试场景选择的对称轴分别为:本车初速度v1为30m/s的坐标轴、前车与本车之间的初始距离d为30m的坐标轴、前车初速度v2为25m/s的坐标轴,将试验得到的试验数据根据这三个坐标轴分别进行对称化处理得到数据集合X2。
参见图2第4步,对对称化处理后的数据集合X2进行标准化处理,将数据集合X2的每一列都按照公式(1)进行标准化处理,首先计算每一列数据的均值,然后将每一列数据的均值带入公式(1)进行计算,标准化过程的数据集均值为(30,30,25),标准差为(5.2366,1.2987,1.2223),将这两组数据带入公式(1)对数据集合X2进行标准化处理得到数据集合X。
参见图5,该图即为该示例的试验数据经过对称处理及标准处理后的试验数据集合X的图像。
参照图2第5步,计算对称处理及标准化处理后的试验数据聚类中心数量。
本实施例中将数据集合X带入K-means聚类之中,并将K-means聚类的聚类中心数量分别设置为1至10进行聚类,计算聚类中心为1至10时的每个聚类过程的组内残差平方和,计算得到当聚类中心设置为1时组内残差平方和的变化即较慢,因此数据集合X的聚类中心数目为1。
参照图2第6步,运行图2中第7步单高斯模型聚类。
参照图2第8步,将试验数据进行单高斯模型聚类,将数据集合X的数据带入公式(3)中。
参照图2第9步,得到的高斯模型均值为0,标准差为1。
参照图2第10步,由于仅有标准化处理后的坐标系下的一个高斯分布,因此本次聚类无需删除多余聚类。
参照发明中提到的危险域离散度,本次示例中数据仅存在一个聚类,将得到的高斯分布参数带入公式(5)(6)(7),最终计算得到该高斯分布对应的危险域离散度为0。
参照发明中提到的危险域范围的计算公式(8),计算本次示例数据的危险域范围。
首先计算本发明示例的不同参数的重要程度系数w,根据层次分析方法,本发明建立的参数判别矩阵如式(15)所示,该判别矩阵的从上到下/从左至右的参数类型为本车速度、本车与前车距离、前车速度:
计算得到该矩阵的最大特征值为3.004,对应的加权向量为[0.1220,0.6483,0.2297]。随后进行层次分析法的一致性检验,结果通过,因此得到的加权向量[0.1220,0.6483,0.2297]即为本示例中不同参数的重要程度系数w。
将上述数据带入危险域范围的计算公式(8),计算得到的本示例的危险域范围为1。
参照发明中提到的场景危险率的计算过程,计算本示例用数据的场景危险率。首先计算理论最小危险域范围Smin。
参照图6,该图为理论情况下该场景中的最优算法制动减速度变化图。
参照图7,图7即为将图6的最优算法带入该逻辑场景中进行试验所得到的数据结果。
将图7中的数据进行图2中的第3步对称化处理,得到处理后的数据均值为(30,30,25)、标准差为(2.2669,0.8660,0.9280)。按照式(10)将该对称化处理后的数据进行修正处理,得到修正后的高斯分布标准差为(0.4329,0.6668,0.7592)。
参照发明中提到的危险域范围计算公式(8),将修正后的标准差数据和之前计算得到的不同参数的重要程度系数w带入公式(8)得到Smin的数值为0.4435。
参照发明中提到的场景危险率计算过程公式(9),最终得到该示例的场景危险率为3.5071,大于1.5,示例中算法的安全性差。
Claims (3)
1.一种针对自动驾驶汽车安全性的评价方法,用于测试和评价自动驾驶算法的安全性,基于一种基于场景的自动驾驶汽车测试方法,基于场景的测试方法根据客户需要自行选择自动驾驶汽车测试逻辑场景,按照被测算法的功能自行设定逻辑场景参数空间范围,考虑传感器精度、算法效率、算法精度、测试平台运行频率、测试平台性能将逻辑场景中的连续参数进行离散化处理获得具体测试用例,使用穷举法将得到的所有具体测试用例在仿真环境下进行测试,所有具体测试用例的试验结果中发生碰撞的情况所对应的具体测试用例参数形成数据集合X1,数据集合X1为一个数据矩阵,矩阵的每一行为一个具体测试用例所对应的一组场景要素参数,矩阵的每一列为一类场景要素参数的所有值,基于这种测试方法获得具体场景要素数据集合X1,本方法设定具体场景要素数据集合X1的数据处理流程并设定安全性评价指标,对自动驾驶汽车安全性进行评价,其特征在于,本方法的具体步骤如下:
步骤一、将具体场景要素数据集合X1按照如下数据处理流程进行处理:
将试验数据对称化处理:以所选逻辑场景的场景要素参数类型建立坐标系,各个坐标轴所对应的内容即为逻辑场景中不同的场景要素参数类型;逻辑场景中不同场景要素参数对应的参数空间均存在上限和下限,危险边界为理论情况下容易发生危险的参数空间位置的上限或下限;将具体场景要素数据集合X1在建立的坐标系下根据不同的场景要素危险边界数值形成的坐标轴按顺序进行对称化处理,即具体场景要素数据集合X1以列为单位发生改变,每次对称时发生对称的列以该类型参数的危险边界数值为对称轴产生新数据,其他未发生对称的列数值不变,其他未发生对称的列复制并且其数值按照之前的对应顺序与复制后的列形成新的对称后的数据;每次对称后将对称得到的新数据和原始数据一起作为下次对称的原始数据;对称化处理完成后得到对称化处理后的数据集合X2,X2的矩阵定义与X1相同;
将对称化处理后的试验数据集合X2进行标准化处理,得到标准化处理后的坐标系中的试验数据集X:采用Z-score归一化方法对危险参数进行标准化处理,如式(1)所示:
式中,xf是标准化处理后的数据集合X的第f维参数列向量,bf是对称化处理后数据集合X2矩阵的第f维参数列向量,bf_mean是对称化处理后数据集合X2矩阵的第f维参数的均值,sf是对称化处理后数据集合X2矩阵的第f维参数的标准差,下角标f代表逻辑场景的第f个维度即X1矩阵的第f列也就是第f类场景要素,d为所选逻辑场景的变量维度总数即X1矩阵的列数也就是场景要素类型的数量;
初步计算标准化处理后的坐标系中的试验数据集合X的聚类中心数目:采用计算组内残差平方和的方式计算危险参数聚类中心数量,组内残差平方和是指所有聚类中每个类内的要素距离其聚类中心的误差的平方的总和,如式(2)所示;采用K-means聚类方法对数据集合进行聚类,聚类中心g设置为1到10分别聚类10次,分别计算这10次聚类结果的组内残差平方和;当组内残差平方和变化速率变慢时,即认为增大聚类数目也不能对聚类结果进行有效的提高,该速率变化的拐点数即为聚类中心数目;
式中,Y为组内残差平方和,m为所有数据点的数量即标准化处理后的坐标系中的试验数据集合X的行数,x’为使用初步聚类得到的不同聚类的聚类中心;
选择后续聚类方式:当计算得到的聚类中心只有一个时,使用单高斯模型聚类方法对试验数据进行聚类,当聚类中心存在多个时,使用高斯混合模型进行聚类;
单高斯模型聚类:单高斯模型聚类方法的公式如(3)所示:
式中,P(x|θs)为单一高斯模型概率密度函数,θs为高斯模型的参数,包括均值和标准差,Σ为用来描述各维变量相关度的协方差矩阵,μ为危险参数向量的均值,由于数据已经经过了对称化和标准化处理,所以若只存在单高斯型的情况下经过处理后分布的均值为0,标准差为1;
高斯混合模型聚类:高斯混合模型聚类又名EM聚类算法,通过迭代进行E-step和M-step来获得如式(4)所示的高斯混合模型;
式中,G(x|θ)为高斯混合模型概率密度函数,φ(x|θk)为高斯混合模型中的不同高斯分布,θ为高斯混合模型的参数,包括第k个单高斯模型的权重αk和模型参数θk,θk包括均值μk和标准差σk,K为单个高斯模型的总个数即计算得到的聚类中心数量;
统计得到的高斯模型参数:统计单高斯模型聚类或高斯混合模型聚类的聚类后的所有高斯分布的均值、标准差;
删除因对称处理产生的多余高斯分布:删除除坐标原点位置处其他因对称处理产生的多余高斯分布,这些需要删除的多余的高斯分布的特点是均值存在对称、标准差相同,这类高斯分布只需要保留原始的一个;
步骤二、确定自动驾驶安全性评价指标,定义逻辑场景中发生碰撞的具体测试用例参数聚类得到的连续分布参数范围即聚类得到的高斯分布范围为被测自动驾驶算法在该逻辑场景下的危险域,本方法提出的安全性评价指标包括危险域离散度、危险域范围和场景危险率:
危险域离散度:本方法使用危险域离散度用来表示进行测试时发现危险的困难程度,包括两部分,一是不同危险域相对于逻辑场景中最危险边界点的距离,最危险边界点为给定的逻辑场景参数空间中各个参数维度的危险边界的交点,二是不同危险域之间的相对距离;由于数据经过对称化及标准化处理,逻辑场景中最危险边界点转化成为标准化处理后的坐标系内的坐标原点,不同聚类中心相对于标准化处理后的坐标系的坐标原点的欧氏距离db即为不同危险域相对于最危险边界点的距离;其他不同危险域之间的相对距离用类间距离ds表示,下标k表示不同的高斯分布,db-k为不同高斯分布的欧式距离,ds-k为不同高斯分布的类间距离,如式(5)和(6)所示;
式中,μk为聚类中心的位置即高斯分布的均值,μmean为除原点外的聚类中心的均值,下标k表示不同的聚类;
第k个危险域的危险域离散度dh_k为:
dh_k=a·db_k+c·ds_k (7)
式中,a和c均为权重系数,a和c的具体数值根据测试所选逻辑场景任意定义,a和c的和为1;
危险域范围:本方法使用危险域范围作为自动驾驶安全性另一个评价指标,用来描述被测逻辑场景中发生碰撞的具体测试用例形成的连续分布的危险域的覆盖范围;危险域范围Sk综合考虑参数的危险程度及其分布范围,采用高斯分布标准差表示,第k个危险域的危险域范围Sk为:
式中,ω为不同维度参数的重要程度系数,σk为高斯分布的标准差,f代表逻辑场景的第f个维度即X1矩阵的第f列也就是第f类场景要素,ω采用层次分析法确定,通过建立参数判别矩阵并计算矩阵最大特征值和其对应的加权向量,在检验经过一致性通过后,最大特征值对应的加权向量即为不同参数的重要程度ω;
场景危险率:本方法将危险域离散度和危险域范围两个指标进行耦合,建立可量化的聚类评价指标——场景危险率Rd;
场景危险率Rd如式(9)所示:
式中,S1为标准化处理后的坐标系中的坐标原点处的危险域范围,Smin为理论最小危险域范围,即在给定场景下,假设自动驾驶汽车以理想状态进行操作计算得到的危险域范围,该计算流程与公式(1)至(8)的流程相同且为保证数据的可比性,计算Smin值的标准化过程即公式(1)时,其标准化过程应将理想危险参数映射到测试危险参数域进行修正,修正过程如(10)所示:
式中sk_v为理论最优算法数据处理计算标准化过程中使用的标准差参数即具体场景要素数据集合X1不同列数值的标准差,sk_t为被测算法试验结果在标准化过程中使用的标准差参数即理想情况测试结果中发生碰撞的具体场景要素数据集合不同列数值的标准差;
由式(9)可知,场景危险率Rd的值越小,则表示所测试的自动驾驶算法在给定的多维度逻辑场景下安全性越好,其下限值为1,如果场景危险率Rd的值超过1.5,则表示所测试的自动驾驶算法的安全性就比较差,需要进一步优化。
2.根据权利要求1所述的一种针对自动驾驶汽车安全性的评价方法,其特征在于,高斯混合模型聚类的具体过程为:
高斯混合模型聚类别称为EM聚类算法,其将数据参数集合分解为多个高斯概率密度函数分布组成的模型,如公式(4)所示:
式中,G(x|θ)为高斯混合模型概率密度函数,φ(x|θk)为高斯混合模型中的不同高斯分布,θ为高斯混合模型的参数,包括第k个单高斯模型的权重αk和模型参数θk,θk包括均值μk和标准差σk,K为单个高斯模型的个数;
通过极大似然法对θ进行估计:
θ*=argmaxL(θ) (11)
应用迭代算法对上式进行求解,EM算法的E-step为计算Q函数,Q函数代表给定第p轮迭代的参数θp之后高斯混合模型G(x|θp)与给定数据之间的相似程度,如公式(13)所示;
EM算法中的M-step为最大化Q函数,当计算第(p+1)步的参数θp+1时,对第p步的αk、μk、σk求偏导并使其等于0,就可以使得Q函数极大化;
重复进行EM算法的E-step和M-step直至模型收敛即可得到高斯混合模型G(x|θ),即为所求的高斯混合模型。
3.根据权利要求1所述的一种针对自动驾驶汽车安全性的评价方法,其特征在于,K-means聚类算法的过程如下:
(1)自行确定g值,即希望得到的聚类数量,本方法中g的值设定为1到10;
(2)从数据集合X2中随机选择g个数据点作为聚类中心;
(3)对数据集X2中每一个点,计算其与每一个聚类中心的欧式距离,将其划分到欧式距离最近的聚类中心所属的聚类;
(4)将所有数据归好聚类后,共有g个聚类,重新计算这g个聚类的聚类中心;
(5)如果新计算出来每个聚类的聚类中心和原来选择的各个聚类的聚类中心之间的欧式距离小于等于设置的阈值,则表示重新计算的质心的位置变化不大,结果收敛,即聚类已经达到期望的结果,算法终止;
(6)如果新计算出来每个聚类的聚类中心和原来选择的各个聚类的聚类中心之间的欧式距离大于设置的阈值,则表示算法结果差,将新计算得到的聚类中心作为初始聚类中心,重新进行3-5步。
Priority Applications (1)
| Application Number | Priority Date | Filing Date | Title |
|---|---|---|---|
| CN202010391236.8A CN111580500B (zh) | 2020-05-11 | 2020-05-11 | 一种针对自动驾驶汽车安全性的评价方法 |
Applications Claiming Priority (1)
| Application Number | Priority Date | Filing Date | Title |
|---|---|---|---|
| CN202010391236.8A CN111580500B (zh) | 2020-05-11 | 2020-05-11 | 一种针对自动驾驶汽车安全性的评价方法 |
Publications (2)
| Publication Number | Publication Date |
|---|---|
| CN111580500A CN111580500A (zh) | 2020-08-25 |
| CN111580500B true CN111580500B (zh) | 2022-04-12 |
Family
ID=72126546
Family Applications (1)
| Application Number | Title | Priority Date | Filing Date |
|---|---|---|---|
| CN202010391236.8A Active CN111580500B (zh) | 2020-05-11 | 2020-05-11 | 一种针对自动驾驶汽车安全性的评价方法 |
Country Status (1)
| Country | Link |
|---|---|
| CN (1) | CN111580500B (zh) |
Families Citing this family (21)
| Publication number | Priority date | Publication date | Assignee | Title |
|---|---|---|---|---|
| CN112100836B (zh) * | 2020-09-07 | 2022-06-07 | 腾讯科技(深圳)有限公司 | 车辆边界参数的获取方法和装置 |
| CN112433519A (zh) * | 2020-11-09 | 2021-03-02 | 温州大学大数据与信息技术研究院 | 一种无人驾驶检测系统及车辆行驶检测方法 |
| CN113092133B (zh) * | 2021-04-07 | 2024-03-22 | 冒坚 | 一种基于高斯聚类的超声波雷达在环自动驾驶测试方法 |
| CN113419942B (zh) * | 2021-04-30 | 2022-10-14 | 吉林大学 | 一种基于自然驾驶数据的自动驾驶安全性评价方法 |
| CN113204742A (zh) * | 2021-05-11 | 2021-08-03 | 雄狮汽车科技(南京)有限公司 | 车辆控制参数的标定方法、装置及车辆 |
| CN113378301B (zh) * | 2021-06-22 | 2022-05-24 | 北京航空航天大学 | 一种基于重要度抽样的无人车超车场景关键测试案例生成方法 |
| CN113377662B (zh) * | 2021-06-24 | 2022-09-27 | 吉林大学 | 一种基于势场法和信息熵的自动驾驶安全性评价方法 |
| CN113468670B (zh) * | 2021-07-20 | 2023-11-03 | 合肥工业大学 | 一种自动驾驶车辆整车级别的性能评价方法 |
| CN113485301B (zh) * | 2021-07-20 | 2022-05-17 | 合肥工业大学 | 自动驾驶汽车控制系统的预期功能安全性能的量化评价方法 |
| CN113705802B (zh) * | 2021-07-26 | 2023-09-08 | 深圳市易成自动驾驶技术有限公司 | 自动驾驶的同步计算方法、装置、系统、程序产品及介质 |
| CN114544191B (zh) * | 2021-12-28 | 2024-05-03 | 文远苏行(江苏)科技有限公司 | 自动驾驶测试场景量化评估方法及相关设备 |
| CN115453589A (zh) * | 2022-08-19 | 2022-12-09 | 中国科学院深圳先进技术研究院 | 基于自动驾驶的攻击检测方法、终端设备以及存储介质 |
| CN115358342A (zh) * | 2022-09-02 | 2022-11-18 | 燕山大学 | 一种高等级自动驾驶汽车odc边界条件确定方法及装置 |
| CN115576224B (zh) * | 2022-11-22 | 2023-10-10 | 中国重汽集团济南动力有限公司 | 一种自适应巡航控制系统仿真测试和评价方法 |
| CN116009516B (zh) * | 2023-01-12 | 2024-09-24 | 清华大学 | 一种实现自适应加速测试的方法及装置 |
| CN116401111B (zh) * | 2023-05-26 | 2023-09-05 | 中国第一汽车股份有限公司 | 脑机接口的功能检测方法、装置、电子设备及存储介质 |
| CN117152714B (zh) * | 2023-08-22 | 2025-08-22 | 易控智驾科技股份有限公司 | 无人车的目标物检测程序的处理方法和装置 |
| CN116957344B (zh) * | 2023-09-20 | 2023-12-08 | 清华大学苏州汽车研究院(相城) | 自动紧急制动系统的安全性评价方法、装置、设备及介质 |
| CN118171134B (zh) * | 2024-05-13 | 2024-07-23 | 临沂大学 | 一种高校运动体测数据优化处理方法及系统 |
| CN118675250B (zh) * | 2024-08-20 | 2024-10-29 | 中汽智联技术有限公司 | 基于人工智能的车辆行驶状况监控方法及系统 |
| CN119323881A (zh) * | 2024-10-15 | 2025-01-17 | 中汽智联技术有限公司 | 一种基于交叉口场景空间的未知关键场景识别方法及系统 |
Citations (22)
| Publication number | Priority date | Publication date | Assignee | Title |
|---|---|---|---|---|
| JP2003034200A (ja) * | 2001-07-24 | 2003-02-04 | Hitachi Ltd | 自動車の制御方法 |
| CN102292681A (zh) * | 2008-11-25 | 2011-12-21 | 皮尔茨公司 | 用于控制带有多个设备硬件部件的自动化设备的安全控制装置和方法 |
| CN102705303A (zh) * | 2012-05-16 | 2012-10-03 | 北京航空航天大学 | 一种基于残差与双级Elman神经网络的液压伺服系统故障定位方法 |
| CN103729798A (zh) * | 2014-01-29 | 2014-04-16 | 河南理工大学 | 基于改进的K-Means聚类的煤矿安全评价系统 |
| CN106682586A (zh) * | 2016-12-03 | 2017-05-17 | 北京联合大学 | 一种复杂光照条件下基于视觉的实时车道线检测的方法 |
| CN107037817A (zh) * | 2017-06-19 | 2017-08-11 | 吉林大学 | 一种智能电动车纵侧向集成控制平台及车辆 |
| CN107063228A (zh) * | 2016-12-21 | 2017-08-18 | 上海交通大学 | 基于双目视觉的目标姿态解算方法 |
| CN107577843A (zh) * | 2017-08-02 | 2018-01-12 | 吉林大学 | 碰撞波形与约束系统特性耦合关系的评价方法 |
| CN108225364A (zh) * | 2018-01-04 | 2018-06-29 | 吉林大学 | 一种无人驾驶汽车驾驶任务决策系统及方法 |
| CN108255151A (zh) * | 2017-12-15 | 2018-07-06 | 工业和信息化部计算机与微电子发展研究中心(中国软件评测中心) | 一种无人驾驶车辆的测评系统 |
| CN108647582A (zh) * | 2018-04-19 | 2018-10-12 | 河南科技学院 | 一种复杂动态环境下目标行为识别与预测方法 |
| CN108764359A (zh) * | 2018-06-01 | 2018-11-06 | 吉林大学 | 无参数的k均值聚类方法 |
| CN109146158A (zh) * | 2018-08-03 | 2019-01-04 | 青海大学 | 一种高寒草甸草地生态系统健康分析方法、计算机 |
| CN109327838A (zh) * | 2018-11-20 | 2019-02-12 | 吉林大学 | 一种异构蜂窝网络中基于谱聚类的频谱资源分配方法 |
| CN109341778A (zh) * | 2018-11-23 | 2019-02-15 | 泉州装备制造研究所 | 一种安全监控尾矿库的信息化智能控制系统及控制方法 |
| CN109375632A (zh) * | 2018-12-17 | 2019-02-22 | 清华大学 | 自动驾驶车辆实时轨迹规划方法 |
| CN109493681A (zh) * | 2018-11-30 | 2019-03-19 | 吉林大学 | 一种智能汽车人机共驾的驾驶试验平台 |
| CN109491364A (zh) * | 2018-11-19 | 2019-03-19 | 长安大学 | 一种用于车辆测试的驾驶机器人系统及控制方法 |
| CN109542081A (zh) * | 2018-11-14 | 2019-03-29 | 江苏大学 | 一种基于线下车辆减速度曲线的线上行车危险估计方法 |
| CN109741007A (zh) * | 2018-12-12 | 2019-05-10 | 北京航空航天大学 | 一种航空驾驶舱工作负荷试验的被试人员筛选方法 |
| CN109844832A (zh) * | 2016-12-30 | 2019-06-04 | 同济大学 | 一种基于行程时间分布的多模态交通异常检测方法 |
| CN110040147A (zh) * | 2019-04-23 | 2019-07-23 | 吉林大学 | 一种自动驾驶汽车侧向饱和约束下的行驶速度优化的方法 |
Family Cites Families (3)
| Publication number | Priority date | Publication date | Assignee | Title |
|---|---|---|---|---|
| CN102933136A (zh) * | 2010-06-07 | 2013-02-13 | 阿弗科迪瓦公司 | 利用网络服务的精神状态分析 |
| CN107421752B (zh) * | 2017-07-13 | 2019-06-11 | 同济大学 | 一种智能汽车测试场景加速重构方法 |
| US10908602B2 (en) * | 2017-08-02 | 2021-02-02 | Strong Force Iot Portfolio 2016, Llc | Systems and methods for network-sensitive data collection |
-
2020
- 2020-05-11 CN CN202010391236.8A patent/CN111580500B/zh active Active
Patent Citations (22)
| Publication number | Priority date | Publication date | Assignee | Title |
|---|---|---|---|---|
| JP2003034200A (ja) * | 2001-07-24 | 2003-02-04 | Hitachi Ltd | 自動車の制御方法 |
| CN102292681A (zh) * | 2008-11-25 | 2011-12-21 | 皮尔茨公司 | 用于控制带有多个设备硬件部件的自动化设备的安全控制装置和方法 |
| CN102705303A (zh) * | 2012-05-16 | 2012-10-03 | 北京航空航天大学 | 一种基于残差与双级Elman神经网络的液压伺服系统故障定位方法 |
| CN103729798A (zh) * | 2014-01-29 | 2014-04-16 | 河南理工大学 | 基于改进的K-Means聚类的煤矿安全评价系统 |
| CN106682586A (zh) * | 2016-12-03 | 2017-05-17 | 北京联合大学 | 一种复杂光照条件下基于视觉的实时车道线检测的方法 |
| CN107063228A (zh) * | 2016-12-21 | 2017-08-18 | 上海交通大学 | 基于双目视觉的目标姿态解算方法 |
| CN109844832A (zh) * | 2016-12-30 | 2019-06-04 | 同济大学 | 一种基于行程时间分布的多模态交通异常检测方法 |
| CN107037817A (zh) * | 2017-06-19 | 2017-08-11 | 吉林大学 | 一种智能电动车纵侧向集成控制平台及车辆 |
| CN107577843A (zh) * | 2017-08-02 | 2018-01-12 | 吉林大学 | 碰撞波形与约束系统特性耦合关系的评价方法 |
| CN108255151A (zh) * | 2017-12-15 | 2018-07-06 | 工业和信息化部计算机与微电子发展研究中心(中国软件评测中心) | 一种无人驾驶车辆的测评系统 |
| CN108225364A (zh) * | 2018-01-04 | 2018-06-29 | 吉林大学 | 一种无人驾驶汽车驾驶任务决策系统及方法 |
| CN108647582A (zh) * | 2018-04-19 | 2018-10-12 | 河南科技学院 | 一种复杂动态环境下目标行为识别与预测方法 |
| CN108764359A (zh) * | 2018-06-01 | 2018-11-06 | 吉林大学 | 无参数的k均值聚类方法 |
| CN109146158A (zh) * | 2018-08-03 | 2019-01-04 | 青海大学 | 一种高寒草甸草地生态系统健康分析方法、计算机 |
| CN109542081A (zh) * | 2018-11-14 | 2019-03-29 | 江苏大学 | 一种基于线下车辆减速度曲线的线上行车危险估计方法 |
| CN109491364A (zh) * | 2018-11-19 | 2019-03-19 | 长安大学 | 一种用于车辆测试的驾驶机器人系统及控制方法 |
| CN109327838A (zh) * | 2018-11-20 | 2019-02-12 | 吉林大学 | 一种异构蜂窝网络中基于谱聚类的频谱资源分配方法 |
| CN109341778A (zh) * | 2018-11-23 | 2019-02-15 | 泉州装备制造研究所 | 一种安全监控尾矿库的信息化智能控制系统及控制方法 |
| CN109493681A (zh) * | 2018-11-30 | 2019-03-19 | 吉林大学 | 一种智能汽车人机共驾的驾驶试验平台 |
| CN109741007A (zh) * | 2018-12-12 | 2019-05-10 | 北京航空航天大学 | 一种航空驾驶舱工作负荷试验的被试人员筛选方法 |
| CN109375632A (zh) * | 2018-12-17 | 2019-02-22 | 清华大学 | 自动驾驶车辆实时轨迹规划方法 |
| CN110040147A (zh) * | 2019-04-23 | 2019-07-23 | 吉林大学 | 一种自动驾驶汽车侧向饱和约束下的行驶速度优化的方法 |
Non-Patent Citations (5)
| Title |
|---|
| Contingency Planning Over Probabilistic Obstacle Predictions for Autonomous Road Vehicles;Jason Hardy;《IEEE Transactions on Robotics》;20131231;第913-929页 * |
| Deep learning models for traffic flow prediction in autonomous vehicles;Arzoo Miglani;《Vehicular Communications》;20191231;第1-36页 * |
| Super-resolution image reconstruction based on three-step-training neural networks;Fuzhen Zhu;《Journal of Systems Engineering and Electronics》;20101231;第934-940页 * |
| 基于ITC的自动驾驶卡车编队跟驰安全性评价;陈丰;《长安大学学报(自然科学版)》;20191231;第97-105页 * |
| 基于场景的自动驾驶汽车虚拟测试研究进展;朱冰等;《中国公路学报》;20191231;第32卷(第6期);第1-19页 * |
Also Published As
| Publication number | Publication date |
|---|---|
| CN111580500A (zh) | 2020-08-25 |
Similar Documents
| Publication | Publication Date | Title |
|---|---|---|
| CN111580500B (zh) | 一种针对自动驾驶汽车安全性的评价方法 | |
| US11308330B2 (en) | Method and device for constructing autonomous driving test scenes, terminal and readable storage media | |
| CN113419942B (zh) | 一种基于自然驾驶数据的自动驾驶安全性评价方法 | |
| CN110949398A (zh) | 一种车辆编队行驶中头车驾驶员异常驾驶行为检测方法 | |
| CN114090404A (zh) | 一种考虑效率和覆盖度的自动驾驶加速测试方法 | |
| WO2016091084A1 (zh) | 一种基于复杂网络的高速列车系统安全评估方法 | |
| CN112036297A (zh) | 基于网联车辆驾驶数据的典型与极限场景划分与提取方法 | |
| CN113485301B (zh) | 自动驾驶汽车控制系统的预期功能安全性能的量化评价方法 | |
| CN113642108A (zh) | 一种基于重要度抽样的无人车十字路口通行场景关键测试案例生成方法 | |
| CN116049668A (zh) | 一种基于机器学习的自动驾驶事故严重程度预测方法 | |
| CN107169223A (zh) | 基于汽车操纵稳定性试验评价系统的车辆参数调教方法 | |
| CN117892178A (zh) | 一种基于智能汽车交通态势风险认知的场景提取方法 | |
| CN116484244A (zh) | 基于聚类模型的自动驾驶事故发生机制分析方法 | |
| CN118170648A (zh) | 一种自动驾驶测试场景的综合评估方法及相关设备 | |
| CN108960074B (zh) | 基于深度学习的小尺寸行人目标检测方法 | |
| CN118736824A (zh) | 基于深度学习的交通冲突识别与风险等级预测方法及系统 | |
| CN116361175A (zh) | 一种自动驾驶车辆在不同安全域的测试场景创建方法 | |
| CN113779864B (zh) | 面向自动驾驶汽车的运行设计区域构建方法和装置 | |
| CN113345223B (zh) | 基于跟驰模型标定的跟驰行为异质性分析方法 | |
| CN111047142B (zh) | 一种基于层次分析法的汽车评分方法及系统 | |
| CN114444765A (zh) | 基于KNN和AdaBoost的铁路事故类型预测方法 | |
| CN113869453A (zh) | 一种基于gapso-svm模型的行驶工况识别方法及系统 | |
| CN115482662B (zh) | 一种危险工况下驾驶员避撞行为预测方法及系统 | |
| CN114820216B (zh) | 一种行车风险量化方法、分级方法及预测方法 | |
| Kibalama et al. | Route Generation Methodology for Energy Efficiency Evaluation of Connected and Automated Vehicles⋆ |
Legal Events
| Date | Code | Title | Description |
|---|---|---|---|
| PB01 | Publication | ||
| PB01 | Publication | ||
| SE01 | Entry into force of request for substantive examination | ||
| SE01 | Entry into force of request for substantive examination | ||
| GR01 | Patent grant | ||
| GR01 | Patent grant |









































