CN111152159B - Large interference assembling process for rotary explosive chamber and inner chamber - Google Patents
Large interference assembling process for rotary explosive chamber and inner chamber Download PDFInfo
- Publication number
- CN111152159B CN111152159B CN202010026652.8A CN202010026652A CN111152159B CN 111152159 B CN111152159 B CN 111152159B CN 202010026652 A CN202010026652 A CN 202010026652A CN 111152159 B CN111152159 B CN 111152159B
- Authority
- CN
- China
- Prior art keywords
- chamber
- rotary medicine
- rotary
- bore
- medicine chamber
- Prior art date
- Legal status (The legal status is an assumption and is not a legal conclusion. Google has not performed a legal analysis and makes no representation as to the accuracy of the status listed.)
- Active
Links
- 238000000034 method Methods 0.000 title claims abstract description 21
- 239000002360 explosive Substances 0.000 title description 12
- 239000003814 drug Substances 0.000 claims abstract description 129
- IJGRMHOSHXDMSA-UHFFFAOYSA-N Atomic nitrogen Chemical compound N#N IJGRMHOSHXDMSA-UHFFFAOYSA-N 0.000 claims abstract description 58
- 238000010438 heat treatment Methods 0.000 claims abstract description 33
- 238000001035 drying Methods 0.000 claims abstract description 30
- 239000007788 liquid Substances 0.000 claims abstract description 29
- 229910052757 nitrogen Inorganic materials 0.000 claims abstract description 29
- 238000001816 cooling Methods 0.000 claims abstract description 15
- 238000003825 pressing Methods 0.000 claims abstract description 11
- 238000005259 measurement Methods 0.000 claims description 13
- 239000000463 material Substances 0.000 claims description 8
- 238000004321 preservation Methods 0.000 claims description 5
- 230000000694 effects Effects 0.000 description 3
- 208000001034 Frostbite Diseases 0.000 description 1
- 229910000797 Ultra-high-strength steel Inorganic materials 0.000 description 1
- 238000007664 blowing Methods 0.000 description 1
- 238000005516 engineering process Methods 0.000 description 1
- 230000001681 protective effect Effects 0.000 description 1
- 230000007704 transition Effects 0.000 description 1
Images
Classifications
-
- B—PERFORMING OPERATIONS; TRANSPORTING
- B25—HAND TOOLS; PORTABLE POWER-DRIVEN TOOLS; MANIPULATORS
- B25B—TOOLS OR BENCH DEVICES NOT OTHERWISE PROVIDED FOR, FOR FASTENING, CONNECTING, DISENGAGING OR HOLDING
- B25B27/00—Hand tools, specially adapted for fitting together or separating parts or objects whether or not involving some deformation, not otherwise provided for
- B25B27/02—Hand tools, specially adapted for fitting together or separating parts or objects whether or not involving some deformation, not otherwise provided for for connecting objects by press fit or detaching same
- B25B27/026—Hand tools, specially adapted for fitting together or separating parts or objects whether or not involving some deformation, not otherwise provided for for connecting objects by press fit or detaching same fluid driven
-
- B—PERFORMING OPERATIONS; TRANSPORTING
- B25—HAND TOOLS; PORTABLE POWER-DRIVEN TOOLS; MANIPULATORS
- B25B—TOOLS OR BENCH DEVICES NOT OTHERWISE PROVIDED FOR, FOR FASTENING, CONNECTING, DISENGAGING OR HOLDING
- B25B11/00—Work holders not covered by any preceding group in the subclass, e.g. magnetic work holders, vacuum work holders
- B25B11/02—Assembly jigs
Landscapes
- Engineering & Computer Science (AREA)
- Mechanical Engineering (AREA)
- Medical Preparation Storing Or Oral Administration Devices (AREA)
Abstract
The invention relates to a large interference assembling process of a rotary medicine chamber and an inner bore, which comprises the following steps: 1) placing the rotary medicine chamber into a drying box, heating to 300-400 ℃, and keeping the temperature of the rotary medicine chamber in the drying box for at least 2 hours; 2) placing the inner chamber into a liquid nitrogen tank, cooling to-196 ℃, and keeping the inner chamber in the liquid nitrogen tank for at least 2 hours; 3) taking the heated rotary medicine chamber out of the drying box, measuring whether the diameter of an inner hole of the heated rotary medicine chamber meets the requirement or not, and then putting the rotary medicine chamber meeting the requirement into an assembly tool for positioning; 4) taking out the cooled inner chamber from the liquid nitrogen tank, measuring whether the cooled outer diameter of the inner chamber meets the requirement or not, and then inserting the inner chamber from the guide hole of the assembly tool to enable the pressing-in end of the inner chamber to be aligned with the inner hole of the rotary medicine chamber; 5) applying pressure to the inner bore, completely pressing the inner bore into the inner bore of the rotary medicine chamber within 30 seconds, and forming interference fit assembly after the rotary medicine chamber and the inner bore recover to normal temperature.
Description
Technical Field
The invention relates to the technical field of assembly of parts with large interference, in particular to a large interference assembly process of a rotary medicine chamber and an inner bore.
Background
The ammunition with double-layer chamber is assembled by adopting large-interference fit between the inner chamber and the outer rotary chamber, the material adopted by the rotary chamber is generally 16Co14Ni10Cr2Mo (AF1410) (G1), the secondary hardening ultrahigh-strength steel material is expensive and difficult to process, and the material adopted by the inner chamber is generally 00Ni18Co12Mo5T1 Al. In the assembly of the rotary explosive chamber and the inner bore, in order to increase the pretightening force and ensure the smooth shelling, the interference magnitude between the outer diameter of the inner bore and the inner bore of the rotary explosive chamber is generally required to be 0.3-0.35. At present, the assembly method of the interference fit of the rotary medicine chamber and the inner bore generally comprises the steps of heating the rotary medicine chamber, pressing the inner bore into the rotary medicine chamber after the rotary medicine chamber is thermally expanded to form the interference fit; or cooling the inner bore, reducing the diameter of the inner bore, and pressing into the rotary medicine chamber to form interference fit. However, in practice, the two interference fit assembly processes have found that if the rotary medicine chamber is heated, the rotary medicine chamber is heated to 500 ℃ or higher, a gap of 0.1mm is formed between the inner hole and the outer diameter of the inner bore of the heated rotary medicine chamber, but when the temperature of the rotary medicine chamber reaches 500 ℃, the hardness and tensile strength of the rotary medicine chamber are reduced due to high temperature; if only the inner chamber is cooled, the inner chamber must be cooled to below minus 500 ℃ to form a gap of 0.1mm between the rotary medicine chamber and the inner chamber, but the liquid nitrogen cooling technology adopted by the current common factory can only reach minus 196 ℃, the requirement of cooling the inner chamber to minus 500 ℃ is difficult to realize, and when the inner chamber is cooled to minus 500 ℃, the performance of the inner chamber changes, even the inner chamber is cold and brittle. How to reasonably fit and assemble the interference magnitude of the inner bore and the external rotary medicine chamber together, and can also ensure that the material performance does not change, which has been a problem difficult to solve for a long time.
Disclosure of Invention
The invention aims to provide a large-interference assembling process of a rotary medicine chamber and an inner chamber, which is simple to operate and reliable in assembly, can greatly reduce the rejection rate caused by assembly failure of the rotary medicine chamber and the inner chamber, even reduce the rejection rate to zero, and improve the working efficiency of an assembling worker.
The technical scheme of the invention is as follows: a large interference assembly process of a rotary medicine chamber and an inner bore comprises the following steps:
1) placing the rotary medicine chamber into a drying box, heating to 300-400 ℃, and keeping the temperature of the rotary medicine chamber in the drying box for at least 2 hours;
2) placing the inner chamber into a liquid nitrogen tank, cooling to-196 ℃, and keeping the inner chamber in the liquid nitrogen tank for at least 2 hours;
3) taking the heated rotary medicine chamber out of the drying box, measuring whether the diameter of an inner hole of the heated rotary medicine chamber meets the requirement or not, and then putting the rotary medicine chamber meeting the requirement into an assembly tool for positioning;
4) taking out the cooled inner chamber from the liquid nitrogen tank, measuring whether the cooled outer diameter of the inner chamber meets the requirement or not, and then inserting the inner chamber from the guide hole of the assembly tool to enable the pressing-in end of the inner chamber to be aligned with the inner hole of the rotary medicine chamber;
5) applying pressure to the inner bore, completely pressing the inner bore into the inner bore of the rotary medicine chamber within 30 seconds, and forming interference fit assembly after the rotary medicine chamber and the inner bore recover to normal temperature.
The rotating chamber was placed in a drying oven and heated to 350 c and allowed to incubate in the oven for at least 2 hours.
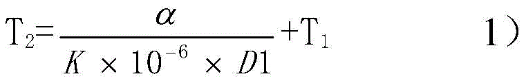
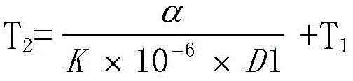
The diameter expansion value of the inner hole after the rotary medicine chamber is heated is according to the formulaAnd calculating, wherein alpha is the variation of the inner hole diameter, K is the linear expansion coefficient of the material, D1 is the inner hole diameter before heating, T2 is the required heating temperature set by the drying oven, and T1 is the room temperature before heating.
The pressing-in end of the inner bore is provided with a guiding conical surface, and the diameter of the small-diameter end of the guiding conical surface is 0.2mm smaller than that of the inner bore of the rotary medicine chamber.
And the included angle between two bevel edges of the guide conical surface of the pressing end of the inner bore is 3-5 degrees.
Step 3) measuring the heated inner hole of the rotary medicine chamber by using a vernier caliper with a meter and a precision of 0.02, and continuously putting the rotary medicine chamber into a drying oven for heat preservation after measurement; and 4) measuring the cooled outer diameter of the inner bore by using a vernier caliper with a meter with the precision of 0.02, and continuously putting the inner bore into a liquid nitrogen tank after measurement.
And 5) applying force to the inner bore by manpower or a 315-ton four-column hydraulic press.
Adopt above-mentioned technical scheme: the inner chamber is placed into a liquid nitrogen tank to be cooled to-196 ℃, and is insulated in the liquid nitrogen tank for at least 2 hours, so that the diameter of the inner chamber can be contracted by 0.12-0.13 mm, the cooling condition of the inner chamber can be met only by one liquid nitrogen tank, the performance of the inner chamber is not changed when the inner chamber is cooled to-196 ℃, and the inner chamber is not cold and brittle at the temperature. The rotary medicine chamber is placed into the drying box and heated to 300-400 ℃, and the heat preservation is carried out in the drying box for at least 2 hours, so that the diameter of an inner hole of the rotary medicine chamber can be enlarged due to thermal expansion, and the performance of the rotary medicine chamber cannot be influenced while the diameter of the inner hole of the rotary medicine chamber can be enlarged. Adopt respectively to rotate the explosive chamber heat treatment, carry out cooling treatment's mode to the inner chamber, make and produce the clearance between rotatory explosive chamber and the inner chamber, then aim at the inner hole of the rotatory explosive chamber after the heating with the inner chamber after the cooling, and the rotatory explosive chamber after the heating is placed in assembly fixture, be convenient for aim at of inner chamber and rotatory explosive chamber, again according to the size of clearance between the two, then exert pressure to the inner chamber, press the inner chamber into the hole of rotatory explosive chamber fast in 30 seconds completely, treat rotatory explosive chamber and inner chamber resume after the normal atmospheric temperature, form interference fit, thereby accomplish the assembly. In the assembling process, the assembling tool can also prevent the rotary medicine chamber from moving, so that the assembling of the rotary medicine chamber and the rotary medicine chamber is smoother, the whole assembling process is simple to operate and reliable in assembling, and the assembling efficiency of workers can be improved.
The diameter expansion value of the inner hole after the rotary medicine chamber is heated is according to the formulaAnd calculating, wherein alpha is the variation of the inner hole diameter, K is the linear expansion coefficient of the material, D1 is the inner hole diameter before heating, T2 is the required heating temperature set by the drying oven, and T1 is the room temperature before heating. Before the rotary medicine chamber is heated, the required heating temperature can be calculated according to the formula, so that the inner hole of the rotary medicine chamber can be enlarged to a sufficient size after being heated, and the smooth completion of assembly is ensured.
The end of impressing of inner chamber is equipped with the direction conical surface, and the diameter ratio of the path end of this direction conical surface is 0.2mm less than the diameter of rotatory medicine room hole, and the direction conical surface plays the guide effect to the hole that the inner chamber got into rotatory medicine room, can aim at with the hole of rotatory medicine room better moreover, guarantees the accuracy reliable of assembly.
The included angle between two hypotenuses of the direction conical surface of the pressure entry end of bore is 3 ~ 5, makes the direction conical surface can comparatively smooth transition to the tail end of bore, can have sufficient degree of inclination again and guarantee the guide effect.
Step 3) measuring the heated inner hole of the rotary medicine chamber by using a vernier caliper with a meter and a precision of 0.02, and continuously putting the rotary medicine chamber into a drying oven for heat preservation after measurement; and 4) measuring the cooled outer diameter of the inner bore by using a vernier caliper with a meter with the precision of 0.02, and continuously putting the inner bore into a liquid nitrogen tank after measurement. The rotary medicine chamber after heating and the cooled inner chamber are measured by using the vernier caliper with the meter, so that the measurement can be finished quickly while the size can be measured accurately.
And step 5) applying pressure to the inner bore by manpower or a 315-ton four-column hydraulic press, assembling by adopting manual pressure application when a gap between the heated rotary explosive chamber and the cooled inner bore is large, and assembling by adopting the 315-ton four-column hydraulic press quickly when the assembling cannot be finished successfully by manual force application, so that the assembling reliability is ensured.
The invention is further described with reference to the drawings and the specific embodiments in the following description.
Drawings
FIG. 1 is a schematic view of the assembly of the rotary chamber and the bore of the present invention;
FIG. 2 is a schematic structural view of the rotary medicine chamber and the inner bore and the assembly fixture of the present invention;
fig. 3 is a schematic view of the structure of the bore of the present invention.
In the attached drawing, 1 is an inner bore, 2 is a rotary medicine chamber, 3 is a bottom plate, 4 is a guide plate, 5 is a support, 6 is a punch, 7 is a positioning groove, and 8 is a guide conical surface.
Detailed Description
Referring to fig. 1-3, a large interference assembly process of a rotary medicine chamber and a bore includes the following steps:
1) and putting the rotary medicine chamber 2 into a drying box, heating to 300-400 ℃, and keeping the temperature of the rotary medicine chamber in the drying box for at least 2 hours to expand the diameter of an inner hole of the rotary medicine chamber 2 by thermal expansion.
2) And placing the inner chamber 1 into a liquid nitrogen tank to be cooled to-196 ℃, and keeping the inner chamber in the liquid nitrogen tank for at least 2 hours to shrink the outer diameter of the inner chamber 1, so that a certain gap is formed between the inner hole of the heated rotary medicine chamber 2 and the cooled inner chamber 1.
3) The heated rotary medicine chamber 2 is taken out of the drying box, whether the diameter of an inner hole of the heated rotary medicine chamber 2 meets the requirement is measured, the inner hole of the heated rotary medicine chamber 2 is measured by a vernier caliper with a meter with the precision of 0.02, the accuracy of measurement is guaranteed by measuring two ends of the inner hole of the rotary medicine chamber 2, the measurement can be completed quickly, the rotary medicine chamber 2 is continuously placed into the drying box for heat preservation after the measurement, the size of the inner hole of the rotary medicine chamber 2 is guaranteed to be consistent with the size during the measurement during the assembly, and the rotary medicine chamber 2 meeting the requirement is placed into an assembly tool for positioning during the later assembly.
The assembly tool comprises a bottom plate 3 and a guide plate 4. Bottom plate 3 is connected with deflector 4 through support 5, is equipped with constant head tank 7 on the bottom plate 3, and this constant head tank 7 is used for placing rotatory stupefied 2, forms the location to rotatory stupefied 2 when the assembly. The guide plate 4 is provided with a guide hole for inserting into the bore 1. The inner bore 1 is pressed into the inner bore of the rotary medicine chamber 2 through the guide hole, and the guide hole plays a role in guiding the inner bore in the assembling process, so that the assembly can be smoothly completed. The inner chamber 1 is positioned below a punch 6 of the hydraulic machine, so that the hydraulic machine can apply force to the inner chamber 1 conveniently.
4) Taking the cooled inner chamber 1 out of the liquid nitrogen tank, measuring whether the cooled outer diameter of the inner chamber 1 meets the requirement or not, measuring the outer diameter of the cooled inner chamber 1 by using a vernier caliper with a meter with the precision of 0.02, ensuring the accuracy of measurement by measuring two ends of the outer diameter of the inner chamber 1, quickly finishing measurement, continuously putting the cooled inner chamber 1 into the liquid nitrogen tank, inserting the inner chamber 1 into an assembly tool guide hole during assembly, aligning the pressing-in end of the inner chamber 1 with an inner hole of a rotary medicine chamber 2, arranging a guide conical surface 8 at the pressing-in end of the inner chamber 1, wherein the diameter of the small-diameter end of the guide conical surface 8 is 0.2mm smaller than the diameter of the inner hole of the rotary medicine chamber 2, playing a guide role when the inner chamber 1 is pressed into the inner hole of the rotary medicine chamber 2, better aligning with the inner hole of the rotary medicine chamber 2, ensuring the accuracy and reliability of assembly, and ensuring the included angle between two bevel edges of the guide conical surface 8 at the pressing-in end of the inner chamber 1 is 3-5 degrees, the guiding conical surface 8 can be smoothly transited to the tail end of the inner bore 1, and has enough inclination degree to ensure the guiding function.
5) The utility model discloses a rotary medicine room 2, including inner chamber 1, rotatory medicine room 2, the clearance between inner chamber 1 after heating and cooling is enough, can adopt the mode of artifical application of force to impress inner chamber 1 in rotatory medicine room 2, when can't guarantee that artifical application of force can accomplish the assembly smoothly, adopt 315 tons of hydraulic press to make in the inner chamber 1 application of force makes its can press in rotatory medicine room 2's hole fast completely, form the interference fit assembly after rotatory medicine room 2 and inner chamber 1 resume normal atmospheric temperature promptly.
In actual assembly, in order to ensure that the performance of the rotary medicine chamber 2 does not change, the heating limit temperature of the rotary medicine chamber 2 is 400 ℃, the movable type QX841-2 electrothermal blowing drying oven is adopted in the embodiment, the heating power of the drying oven of the type is 4.5KW, the heating temperature is 10-350 ℃, the temperature control precision is +/-1 ℃, the voltage is 380V, and other types of drying ovens are also adopted according to actual conditions. The cooling temperature of the inner chamber 1 is based on the liquid nitrogen temperature of-196 ℃, the liquid nitrogen sealed tank with the model of YDS-50-125 is adopted in the embodiment, liquid nitrogen is filled in the liquid nitrogen tank, a basket for placing the inner chamber 1 is manufactured, and the inner chamber 1 can be placed into the liquid nitrogen tank through the basket. And when taking out rotatory medicine room 2 in the drying cabinet to and all need wear protective gloves when taking out interior 1 from the liquid nitrogen container, avoid the hand to be scalded by high temperature or low temperature frostbite.
Example one, a rotating chamber 2 with an internal bore diameter of 81.98mm and a bore 1 with an external diameter of 82.23mm were assembled. An inner bore 1 with an outer diameter of 82.28-82.23 mm, and the diameter of the inner bore 1 is reduced by 0.12-0.13 mm after being cooled by liquid nitrogen; the rotating medicine chamber 2 can be expressed by the formula:
the theoretical expansion of the inner hole of the rotary medicine chamber 2 after heating can be calculated, wherein alpha is the variation of the outer diameter or the inner diameter, K is the linear expansion coefficient of the material, D1 is the diameter of the inner hole before heating, T2 is the required heating temperature set by the drying oven, and T1 is the room temperature before heating. Under the condition that the room temperature is 30 ℃, if the rotary medicine chamber 2 is heated to 350 ℃, the diameter of an inner hole of the heated rotary medicine chamber 2 can be theoretically expanded by 0.299mm according to the formula 1), so that the assembly can be completed by theoretically heating the rotary medicine chamber 2 to 350 ℃. Putting the rotary medicine chamber 2 into a QX841-2 drying oven, heating to 350 ℃, preserving heat for 2 hours, putting the inner chamber 1 into a liquid nitrogen tank for cooling treatment, and preserving heat for 2 hours; the inner hole of the heated rotary medicine chamber 2 is actually expanded to 82.24mm, 0.26mm is expanded, the outer diameter of the cooled inner chamber 1 is actually contracted to 82.1mm, and 0.13mm is reduced, so that a gap of 0.14mm is generated between the inner hole of the treated rotary medicine chamber 2 and the outer diameter of the inner chamber 1, the cooled inner chamber 1 can be pressed into the inner hole of the heated rotary medicine chamber 2 only by manual force application, and the interference fit assembly with the interference magnitude of 0.25mm is completed when the rotary medicine chamber 2 and the inner chamber 1 recover to the room temperature.
Example two, a rotating chamber 2 with an internal bore diameter of 81.9mm and a bore 1 with an external diameter of 82.2mm were assembled. Under the condition that the room temperature is 30 ℃, if the rotary medicine chamber 2 is heated to 350 ℃, the diameter of the inner hole of the heated rotary medicine chamber 2 can be expanded by 0.29877mm theoretically according to the formula 1), and the diameter of the inner hole 1 can be reduced by about 0.1mm theoretically, so that the assembly can be completed by heating the rotary medicine chamber 2 to 350 ℃ theoretically. Putting the rotary medicine chamber 2 into a QX841-2 drying oven, heating to 350 ℃, preserving heat for 3 hours, putting the inner chamber 1 into a liquid nitrogen tank for cooling treatment, and preserving heat for 3 hours; the hole after rotatory medicine room 2 heats actually enlarges 82.2mm, has enlarged 0.3mm, the external diameter after the bore 1 cools down actually contracts 82.1mm, has reduced 0.1mm, consequently, produced 0.1 mm's clearance between rotatory medicine room 2 hole after the processing and the bore 1 external diameter, then only need artifical application of force can be with the bore 1 pressure equipment after the cooling in the rotatory medicine room 2 hole after the heating, wait to rotate medicine room 2 and bore 1 and resume room temperature and accomplish the interference fit assembly that the magnitude of interference is 0.3mm promptly.
According to the embodiment, if the interference magnitude of the rotary medicine chamber 2 and the inner bore 1 is less than 0.3mm, the rotary medicine chamber 2 is heated to 350 ℃, and the inner bore 1 can be smoothly pressed into the inner bore of the rotary medicine chamber 2 by manual force application; if the interference magnitude of the rotary medicine chamber 2 and the inner bore 1 is larger than 0.35mm and smaller than 0.4mm, the rotary medicine chamber 2 is heated to 350 ℃, the gap between the inner bore of the heated rotary medicine chamber 2 and the outer diameter of the cooled inner bore 1 is 0.03-0.08 mm, and the inner bore 1 is normally pressed into the inner bore of the rotary medicine chamber 2 by applying force to the inner bore through a hydraulic machine.
According to the invention, the rotary medicine chamber 2 is heated and the inner chamber 1 is cooled respectively, then the cooled inner chamber 1 is aligned to the inner hole of the heated rotary medicine chamber 2, the heated rotary medicine chamber 2 is placed in an assembly tool, so that the inner chamber 1 and the rotary medicine chamber 2 are aligned conveniently, positioning and guiding effects are achieved in the assembly process through the assembly tool, pressure is applied to the inner chamber 1 according to the size of a gap between the inner chamber 1 and the rotary medicine chamber 2, the inner chamber 1 is quickly and completely pressed into the inner hole of the rotary medicine chamber 2 within 30 seconds, and after the rotary medicine chamber 2 and the inner chamber 1 are restored to normal temperature, interference fit is formed, so that assembly is completed. The problem of rotatory medicine room 2 and bore 1 cause the performance to change because of heating, cooling temperature surpass the limit is solved for when producing the clearance between 2 holes in rotatory medicine room and the bore 1, guarantee that the performance of rotatory medicine room 2 and bore 1 does not change, thereby make the performance of double-deck medicine room obtain guaranteeing. The whole assembly process is simple to operate and reliable in assembly, the assembly efficiency of workers can be greatly improved, and the rejection rate caused by assembly failure is reduced.
Claims (6)
1. A large interference assembling process of a rotary medicine chamber and an inner bore is characterized by comprising the following steps:
1) placing the rotary medicine chamber into a drying box, heating to 300-400 ℃, and keeping the temperature of the rotary medicine chamber in the drying box for at least 2 hours;
2) placing the inner chamber into a liquid nitrogen tank, cooling to-196 ℃, and keeping the inner chamber in the liquid nitrogen tank for at least 2 hours;
3) taking the heated rotary medicine chamber out of the drying box, measuring whether the diameter of an inner hole of the heated rotary medicine chamber meets the requirement or not, and then putting the rotary medicine chamber meeting the requirement into an assembly tool for positioning;
the diameter expansion value of the inner hole after the rotary medicine chamber is heated is according to the formulaCalculating, wherein alpha is the variation of the inner hole diameter, K is the linear expansion coefficient of the material, D1 is the inner hole diameter before heating, and T2Set required heating for drying cabinetsTemperature, T1Room temperature before heating;
4) taking out the cooled inner chamber from the liquid nitrogen tank, measuring whether the cooled outer diameter of the inner chamber meets the requirement or not, and then inserting the inner chamber from the guide hole of the assembly tool to enable the pressing-in end of the inner chamber to be aligned with the inner hole of the rotary medicine chamber;
5) applying pressure to the inner bore, completely pressing the inner bore into the inner bore of the rotary medicine chamber within 30 seconds, and forming interference fit assembly after the rotary medicine chamber and the inner bore recover to normal temperature.
2. The large interference assembly process of a rotary chamber and bore of claim 1, wherein: the rotating chamber was placed in a drying oven and heated to 350 c and allowed to incubate in the oven for at least 2 hours.
3. The large interference assembly process of a rotary chamber and bore of claim 1, wherein: the pressing-in end of the inner bore is provided with a guiding conical surface, and the diameter of the small-diameter end of the guiding conical surface is 0.2mm smaller than that of the inner bore of the rotary medicine chamber.
4. A large interference assembly process of a rotary chamber and bore according to claim 3, wherein: and the included angle between two bevel edges of the guide conical surface of the pressing end of the inner bore is 3-5 degrees.
5. The large interference assembly process of a rotary chamber and bore of claim 1, wherein: step 3) measuring the heated inner hole of the rotary medicine chamber by using a vernier caliper with a meter and a precision of 0.02, and continuously putting the rotary medicine chamber into a drying oven for heat preservation after measurement; and 4) measuring the cooled outer diameter of the inner bore by using a vernier caliper with a meter with the precision of 0.02, and continuously putting the inner bore into a liquid nitrogen tank after measurement.
6. The large interference assembly process of a rotary chamber and bore of claim 1, wherein: and 5) applying force to the inner bore by manpower or a 315-ton four-column hydraulic press.
Priority Applications (1)
| Application Number | Priority Date | Filing Date | Title |
|---|---|---|---|
| CN202010026652.8A CN111152159B (en) | 2020-01-10 | 2020-01-10 | Large interference assembling process for rotary explosive chamber and inner chamber |
Applications Claiming Priority (1)
| Application Number | Priority Date | Filing Date | Title |
|---|---|---|---|
| CN202010026652.8A CN111152159B (en) | 2020-01-10 | 2020-01-10 | Large interference assembling process for rotary explosive chamber and inner chamber |
Publications (2)
| Publication Number | Publication Date |
|---|---|
| CN111152159A CN111152159A (en) | 2020-05-15 |
| CN111152159B true CN111152159B (en) | 2022-04-26 |
Family
ID=70562294
Family Applications (1)
| Application Number | Title | Priority Date | Filing Date |
|---|---|---|---|
| CN202010026652.8A Active CN111152159B (en) | 2020-01-10 | 2020-01-10 | Large interference assembling process for rotary explosive chamber and inner chamber |
Country Status (1)
| Country | Link |
|---|---|
| CN (1) | CN111152159B (en) |
Families Citing this family (2)
| Publication number | Priority date | Publication date | Assignee | Title |
|---|---|---|---|---|
| CN113997009A (en) * | 2021-10-26 | 2022-02-01 | 宣城市雍基超镜面精密机械制造有限公司 | Forming method of light thin-wall aluminum guide roller |
| CN115138001A (en) * | 2022-06-20 | 2022-10-04 | 武汉大学 | Embedded glass breaking ball based on interference fit and manufacturing method thereof |
Citations (4)
| Publication number | Priority date | Publication date | Assignee | Title |
|---|---|---|---|---|
| CN101137886A (en) * | 2005-03-07 | 2008-03-05 | 索维高级聚合物股份有限公司 | ammunition case |
| CN101428385A (en) * | 2007-11-06 | 2009-05-13 | 贵州红林机械有限公司 | Non-pressure sleeve pressing process |
| CN106737383A (en) * | 2016-11-23 | 2017-05-31 | 沈阳黎明航空发动机(集团)有限责任公司 | The big magnitude of interference coordinates dish axle assembly method in a kind of non-dismountable rotor |
| CN208880092U (en) * | 2018-08-30 | 2019-05-21 | 江门市冠通新材料科技有限公司 | A kind of bullet bullet press-loading apparatus |
Family Cites Families (1)
| Publication number | Priority date | Publication date | Assignee | Title |
|---|---|---|---|---|
| US9964387B2 (en) * | 2009-08-19 | 2018-05-08 | Orbital Atk, Inc. | Insensitive munitions swaged vent plug |
-
2020
- 2020-01-10 CN CN202010026652.8A patent/CN111152159B/en active Active
Patent Citations (4)
| Publication number | Priority date | Publication date | Assignee | Title |
|---|---|---|---|---|
| CN101137886A (en) * | 2005-03-07 | 2008-03-05 | 索维高级聚合物股份有限公司 | ammunition case |
| CN101428385A (en) * | 2007-11-06 | 2009-05-13 | 贵州红林机械有限公司 | Non-pressure sleeve pressing process |
| CN106737383A (en) * | 2016-11-23 | 2017-05-31 | 沈阳黎明航空发动机(集团)有限责任公司 | The big magnitude of interference coordinates dish axle assembly method in a kind of non-dismountable rotor |
| CN208880092U (en) * | 2018-08-30 | 2019-05-21 | 江门市冠通新材料科技有限公司 | A kind of bullet bullet press-loading apparatus |
Non-Patent Citations (1)
| Title |
|---|
| 国外弹药装药装配发展趋势;唐迎佳等;《四川兵工学报》;20120825;第33卷(第08期);117-119 * |
Also Published As
| Publication number | Publication date |
|---|---|
| CN111152159A (en) | 2020-05-15 |
Similar Documents
| Publication | Publication Date | Title |
|---|---|---|
| CN111152159B (en) | Large interference assembling process for rotary explosive chamber and inner chamber | |
| CN103862215B (en) | The tailor-welding tool device and method that the large-scale curved end socket of a kind of pressure vessel is general | |
| CN106001769B (en) | A kind of production technology of saw bit matrix | |
| US9492859B2 (en) | Press systems and methods | |
| CN104439994B (en) | Manufacturing method for automobile transmission gear | |
| CN110369655B (en) | Forging method of CoCrMo tibial plateau artificial joint implant | |
| EP3763455A1 (en) | Press methods for coated steels and uses of steels | |
| CN108994554A (en) | A kind of high hard high-precision low-carbon alloy steel ring gear machining method | |
| CN106078124A (en) | A kind of mould enters the processing technique of son | |
| CN108251625A (en) | A kind of anti-deformation process control method for preparing die casting | |
| WO1996006194A1 (en) | Method and apparatus for correction tempering rolling part | |
| JPWO1996006194A1 (en) | Method and device for corrective tempering of rolling parts | |
| CN103572035A (en) | Annular workpiece quenching method and quenching apparatus used in the method | |
| CN105537414B (en) | Hot stamping die with cooling water channel and manufacturing process thereof | |
| CN102851671A (en) | Carborized quenched gear ring self-rounding heat treatment method | |
| US10486215B2 (en) | Apparatus and method for piercing and trimming hot stamped parts | |
| CN114346130A (en) | Single-layer closed wave spring precision machining control method and machining die thereof | |
| CN103849718A (en) | Novel quenching deformation control method for machine tool slide guide | |
| CN104400037B (en) | A kind of manufacture method of durable type cutter | |
| CN104928443A (en) | Quenching method of die and manufacture method of die | |
| CN112779382B (en) | Heat treatment method for hot work die steel | |
| CN105196011B (en) | A kind of processing method of working gear at low ambient temperatures | |
| CN109355617A (en) | A kind of 30Cr2Ni2WVA nitriding method | |
| CN103627880B (en) | Modulus is in the mid-frequency induction hardening technique of the heavily loaded tooth bar of 50mm≤m≤150mm | |
| JPH0133290B2 (en) |
Legal Events
| Date | Code | Title | Description |
|---|---|---|---|
| PB01 | Publication | ||
| PB01 | Publication | ||
| SE01 | Entry into force of request for substantive examination | ||
| SE01 | Entry into force of request for substantive examination | ||
| GR01 | Patent grant | ||
| GR01 | Patent grant |



