CN111057131A - Bacitracin and analysis method of components thereof - Google Patents
Bacitracin and analysis method of components thereof Download PDFInfo
- Publication number
- CN111057131A CN111057131A CN201911285218.5A CN201911285218A CN111057131A CN 111057131 A CN111057131 A CN 111057131A CN 201911285218 A CN201911285218 A CN 201911285218A CN 111057131 A CN111057131 A CN 111057131A
- Authority
- CN
- China
- Prior art keywords
- bacitracin
- vinyl
- isoleucine
- cysteine
- mass spectrometry
- Prior art date
- Legal status (The legal status is an assumption and is not a legal conclusion. Google has not performed a legal analysis and makes no representation as to the accuracy of the status listed.)
- Pending
Links
- CLKOFPXJLQSYAH-ABRJDSQDSA-N bacitracin A Chemical compound C1SC([C@@H](N)[C@@H](C)CC)=N[C@@H]1C(=O)N[C@@H](CC(C)C)C(=O)N[C@H](CCC(O)=O)C(=O)N[C@@H]([C@@H](C)CC)C(=O)N[C@@H]1C(=O)N[C@H](CCCN)C(=O)N[C@@H]([C@@H](C)CC)C(=O)N[C@H](CC=2C=CC=CC=2)C(=O)N[C@@H](CC=2N=CNC=2)C(=O)N[C@H](CC(O)=O)C(=O)N[C@@H](CC(N)=O)C(=O)NCCCC1 CLKOFPXJLQSYAH-ABRJDSQDSA-N 0.000 title claims abstract description 138
- 108010001478 Bacitracin Proteins 0.000 title claims abstract description 91
- 229960003071 bacitracin Drugs 0.000 title claims abstract description 90
- 229930184125 bacitracin Natural products 0.000 title claims abstract description 90
- 238000004458 analytical method Methods 0.000 title claims abstract description 15
- 108010016899 bacitracin A Proteins 0.000 claims abstract description 30
- 235000001014 amino acid Nutrition 0.000 claims abstract description 17
- 150000001413 amino acids Chemical class 0.000 claims abstract description 17
- 238000000589 high-performance liquid chromatography-mass spectrometry Methods 0.000 claims abstract description 10
- NNHMCNJIUSWPTK-UHFFFAOYSA-N 2-amino-3-ethenylhex-5-enoic acid Chemical compound NC(C(=O)O)C(CC=C)C=C NNHMCNJIUSWPTK-UHFFFAOYSA-N 0.000 claims abstract description 7
- PGMOIALTABTPKJ-UHFFFAOYSA-N 2-amino-4-ethenylhex-5-enoic acid Chemical compound NC(C(=O)O)CC(C=C)C=C PGMOIALTABTPKJ-UHFFFAOYSA-N 0.000 claims abstract description 7
- 235000018102 proteins Nutrition 0.000 claims abstract description 7
- 108090000623 proteins and genes Proteins 0.000 claims abstract description 7
- 102000004169 proteins and genes Human genes 0.000 claims abstract description 7
- 229960000310 isoleucine Drugs 0.000 claims description 36
- AGPKZVBTJJNPAG-UHFFFAOYSA-N isoleucine Natural products CCC(C)C(N)C(O)=O AGPKZVBTJJNPAG-UHFFFAOYSA-N 0.000 claims description 36
- 125000000741 isoleucyl group Chemical group [H]N([H])C(C(C([H])([H])[H])C([H])([H])C([H])([H])[H])C(=O)O* 0.000 claims description 34
- ROHFNLRQFUQHCH-UHFFFAOYSA-N Leucine Natural products CC(C)CC(N)C(O)=O ROHFNLRQFUQHCH-UHFFFAOYSA-N 0.000 claims description 16
- 229940024606 amino acid Drugs 0.000 claims description 16
- 238000000034 method Methods 0.000 claims description 12
- 239000000126 substance Substances 0.000 claims description 12
- 125000001909 leucine group Chemical group [H]N(*)C(C(*)=O)C([H])([H])C(C([H])([H])[H])C([H])([H])[H] 0.000 claims description 11
- OAKJQQAXSVQMHS-UHFFFAOYSA-N Hydrazine Chemical compound NN OAKJQQAXSVQMHS-UHFFFAOYSA-N 0.000 claims description 8
- ROHFNLRQFUQHCH-YFKPBYRVSA-N L-leucine Chemical compound CC(C)C[C@H](N)C(O)=O ROHFNLRQFUQHCH-YFKPBYRVSA-N 0.000 claims description 7
- 238000004949 mass spectrometry Methods 0.000 claims description 7
- 239000007924 injection Substances 0.000 claims description 5
- 238000002347 injection Methods 0.000 claims description 5
- 239000008194 pharmaceutical composition Substances 0.000 claims description 5
- 239000008186 active pharmaceutical agent Substances 0.000 claims description 4
- 229940088679 drug related substance Drugs 0.000 claims description 4
- 239000003885 eye ointment Substances 0.000 claims description 4
- 239000000203 mixture Substances 0.000 claims description 4
- 239000002674 ointment Substances 0.000 claims description 4
- 238000004885 tandem mass spectrometry Methods 0.000 claims description 4
- 238000000132 electrospray ionisation Methods 0.000 claims description 3
- 238000006243 chemical reaction Methods 0.000 claims description 2
- 238000006345 epimerization reaction Methods 0.000 claims description 2
- 230000007062 hydrolysis Effects 0.000 claims description 2
- 238000006460 hydrolysis reaction Methods 0.000 claims description 2
- 230000003647 oxidation Effects 0.000 claims description 2
- 238000007254 oxidation reaction Methods 0.000 claims description 2
- 230000019635 sulfation Effects 0.000 claims description 2
- 238000005670 sulfation reaction Methods 0.000 claims description 2
- 238000006277 sulfonation reaction Methods 0.000 claims description 2
- 238000003556 assay Methods 0.000 claims 1
- 238000009472 formulation Methods 0.000 claims 1
- 238000005173 quadrupole mass spectroscopy Methods 0.000 claims 1
- 238000001269 time-of-flight mass spectrometry Methods 0.000 claims 1
- 238000001819 mass spectrum Methods 0.000 abstract description 16
- 230000000844 anti-bacterial effect Effects 0.000 abstract description 4
- 238000011160 research Methods 0.000 abstract description 3
- 229920002554 vinyl polymer Polymers 0.000 abstract description 3
- 150000001875 compounds Chemical class 0.000 abstract description 2
- 238000012790 confirmation Methods 0.000 abstract description 2
- 230000001988 toxicity Effects 0.000 abstract description 2
- 231100000419 toxicity Toxicity 0.000 abstract description 2
- 125000000391 vinyl group Chemical group [H]C([*])=C([H])[H] 0.000 abstract description 2
- 125000000325 methylidene group Chemical group [H]C([H])=* 0.000 abstract 2
- 125000001495 ethyl group Chemical group [H]C([H])([H])C([H])([H])* 0.000 abstract 1
- 150000002500 ions Chemical class 0.000 description 32
- 235000018417 cysteine Nutrition 0.000 description 14
- XUJNEKJLAYXESH-UHFFFAOYSA-N cysteine Natural products SCC(N)C(O)=O XUJNEKJLAYXESH-UHFFFAOYSA-N 0.000 description 14
- 125000000151 cysteine group Chemical group N[C@@H](CS)C(=O)* 0.000 description 14
- 239000012634 fragment Substances 0.000 description 12
- 239000000470 constituent Substances 0.000 description 8
- -1 amino acid residue ions Chemical class 0.000 description 7
- 239000012071 phase Substances 0.000 description 7
- 108090000765 processed proteins & peptides Proteins 0.000 description 7
- WEVYAHXRMPXWCK-UHFFFAOYSA-N Acetonitrile Chemical compound CC#N WEVYAHXRMPXWCK-UHFFFAOYSA-N 0.000 description 6
- 229910052799 carbon Inorganic materials 0.000 description 6
- DCXYFEDJOCDNAF-UHFFFAOYSA-N Asparagine Natural products OC(=O)C(N)CC(N)=O DCXYFEDJOCDNAF-UHFFFAOYSA-N 0.000 description 5
- AGPKZVBTJJNPAG-WHFBIAKZSA-N L-isoleucine Chemical compound CC[C@H](C)[C@H](N)C(O)=O AGPKZVBTJJNPAG-WHFBIAKZSA-N 0.000 description 5
- KDXKERNSBIXSRK-UHFFFAOYSA-N Lysine Natural products NCCCCC(N)C(O)=O KDXKERNSBIXSRK-UHFFFAOYSA-N 0.000 description 5
- 239000004472 Lysine Substances 0.000 description 5
- AHLPHDHHMVZTML-UHFFFAOYSA-N Orn-delta-NH2 Natural products NCCCC(N)C(O)=O AHLPHDHHMVZTML-UHFFFAOYSA-N 0.000 description 5
- UTJLXEIPEHZYQJ-UHFFFAOYSA-N Ornithine Natural products OC(=O)C(C)CCCN UTJLXEIPEHZYQJ-UHFFFAOYSA-N 0.000 description 5
- 235000009582 asparagine Nutrition 0.000 description 5
- 229960001230 asparagine Drugs 0.000 description 5
- CKLJMWTZIZZHCS-REOHCLBHSA-N aspartic acid group Chemical group N[C@@H](CC(=O)O)C(=O)O CKLJMWTZIZZHCS-REOHCLBHSA-N 0.000 description 5
- 125000000291 glutamic acid group Chemical group N[C@@H](CCC(O)=O)C(=O)* 0.000 description 5
- 229960003104 ornithine Drugs 0.000 description 5
- AHLPHDHHMVZTML-BYPYZUCNSA-N ornithyl group Chemical group N[C@@H](CCCN)C(=O)O AHLPHDHHMVZTML-BYPYZUCNSA-N 0.000 description 5
- 125000002769 thiazolinyl group Chemical group 0.000 description 5
- 241000193830 Bacillus <bacterium> Species 0.000 description 4
- WHUUTDBJXJRKMK-UHFFFAOYSA-N Glutamic acid Natural products OC(=O)C(N)CCC(O)=O WHUUTDBJXJRKMK-UHFFFAOYSA-N 0.000 description 4
- 125000000613 asparagine group Chemical group N[C@@H](CC(N)=O)C(=O)* 0.000 description 4
- 235000003704 aspartic acid Nutrition 0.000 description 4
- OQFSQFPPLPISGP-UHFFFAOYSA-N beta-carboxyaspartic acid Natural products OC(=O)C(N)C(C(O)=O)C(O)=O OQFSQFPPLPISGP-UHFFFAOYSA-N 0.000 description 4
- 235000013922 glutamic acid Nutrition 0.000 description 4
- 239000004220 glutamic acid Substances 0.000 description 4
- HNDVDQJCIGZPNO-UHFFFAOYSA-N histidine Natural products OC(=O)C(N)CC1=CN=CN1 HNDVDQJCIGZPNO-UHFFFAOYSA-N 0.000 description 4
- 125000000487 histidyl group Chemical group [H]N([H])C(C(=O)O*)C([H])([H])C1=C([H])N([H])C([H])=N1 0.000 description 4
- 125000003588 lysine group Chemical group [H]N([H])C([H])([H])C([H])([H])C([H])([H])C([H])([H])C([H])(N([H])[H])C(*)=O 0.000 description 4
- COLNVLDHVKWLRT-UHFFFAOYSA-N phenylalanine Natural products OC(=O)C(N)CC1=CC=CC=C1 COLNVLDHVKWLRT-UHFFFAOYSA-N 0.000 description 4
- COLNVLDHVKWLRT-QMMMGPOBSA-N phenylalanine group Chemical group N[C@@H](CC1=CC=CC=C1)C(=O)O COLNVLDHVKWLRT-QMMMGPOBSA-N 0.000 description 4
- 239000000243 solution Substances 0.000 description 4
- 108010069514 Cyclic Peptides Proteins 0.000 description 3
- 102000001189 Cyclic Peptides Human genes 0.000 description 3
- OKKJLVBELUTLKV-UHFFFAOYSA-N Methanol Chemical compound OC OKKJLVBELUTLKV-UHFFFAOYSA-N 0.000 description 3
- 125000002252 acyl group Chemical group 0.000 description 3
- 239000003814 drug Substances 0.000 description 3
- 238000010828 elution Methods 0.000 description 3
- 239000000825 pharmaceutical preparation Substances 0.000 description 3
- 238000000926 separation method Methods 0.000 description 3
- DCXYFEDJOCDNAF-REOHCLBHSA-N L-asparagine Chemical compound OC(=O)[C@@H](N)CC(N)=O DCXYFEDJOCDNAF-REOHCLBHSA-N 0.000 description 2
- FZWLAAWBMGSTSO-UHFFFAOYSA-N Thiazole Chemical group C1=CSC=N1 FZWLAAWBMGSTSO-UHFFFAOYSA-N 0.000 description 2
- 125000000539 amino acid group Chemical group 0.000 description 2
- VVAUMULFPDPRCF-UHFFFAOYSA-N azanium;acetonitrile;formate Chemical compound [NH4+].CC#N.[O-]C=O VVAUMULFPDPRCF-UHFFFAOYSA-N 0.000 description 2
- 108700023668 bacilysin Proteins 0.000 description 2
- 230000015572 biosynthetic process Effects 0.000 description 2
- 238000003776 cleavage reaction Methods 0.000 description 2
- 125000004122 cyclic group Chemical group 0.000 description 2
- 229940079593 drug Drugs 0.000 description 2
- 230000000694 effects Effects 0.000 description 2
- 238000002474 experimental method Methods 0.000 description 2
- 238000004128 high performance liquid chromatography Methods 0.000 description 2
- QRXWMOHMRWLFEY-UHFFFAOYSA-N isoniazide Chemical compound NNC(=O)C1=CC=NC=C1 QRXWMOHMRWLFEY-UHFFFAOYSA-N 0.000 description 2
- BDAGIHXWWSANSR-UHFFFAOYSA-N methanoic acid Natural products OC=O BDAGIHXWWSANSR-UHFFFAOYSA-N 0.000 description 2
- 230000004048 modification Effects 0.000 description 2
- 238000012986 modification Methods 0.000 description 2
- 125000000405 phenylalanyl group Chemical group 0.000 description 2
- 239000003910 polypeptide antibiotic agent Substances 0.000 description 2
- 238000002360 preparation method Methods 0.000 description 2
- 239000013558 reference substance Substances 0.000 description 2
- 230000007017 scission Effects 0.000 description 2
- UQDJGEHQDNVPGU-UHFFFAOYSA-N serine phosphoethanolamine Chemical compound [NH3+]CCOP([O-])(=O)OCC([NH3+])C([O-])=O UQDJGEHQDNVPGU-UHFFFAOYSA-N 0.000 description 2
- 238000003786 synthesis reaction Methods 0.000 description 2
- 238000001196 time-of-flight mass spectrum Methods 0.000 description 2
- 238000012795 verification Methods 0.000 description 2
- OSWFIVFLDKOXQC-UHFFFAOYSA-N 4-(3-methoxyphenyl)aniline Chemical compound COC1=CC=CC(C=2C=CC(N)=CC=2)=C1 OSWFIVFLDKOXQC-UHFFFAOYSA-N 0.000 description 1
- 108700042778 Antimicrobial Peptides Proteins 0.000 description 1
- 102000044503 Antimicrobial Peptides Human genes 0.000 description 1
- 241000194108 Bacillus licheniformis Species 0.000 description 1
- 244000063299 Bacillus subtilis Species 0.000 description 1
- 235000014469 Bacillus subtilis Nutrition 0.000 description 1
- 101000912561 Bos taurus Fibrinogen gamma-B chain Proteins 0.000 description 1
- GXGJIOMUZAGVEH-UHFFFAOYSA-N Chamazulene Chemical group CCC1=CC=C(C)C2=CC=C(C)C2=C1 GXGJIOMUZAGVEH-UHFFFAOYSA-N 0.000 description 1
- 206010059866 Drug resistance Diseases 0.000 description 1
- 241000192125 Firmicutes Species 0.000 description 1
- MSFSPUZXLOGKHJ-UHFFFAOYSA-N Muraminsaeure Natural products OC(=O)C(C)OC1C(N)C(O)OC(CO)C1O MSFSPUZXLOGKHJ-UHFFFAOYSA-N 0.000 description 1
- 229930182555 Penicillin Natural products 0.000 description 1
- JGSARLDLIJGVTE-MBNYWOFBSA-N Penicillin G Chemical compound N([C@H]1[C@H]2SC([C@@H](N2C1=O)C(O)=O)(C)C)C(=O)CC1=CC=CC=C1 JGSARLDLIJGVTE-MBNYWOFBSA-N 0.000 description 1
- 101800005149 Peptide B Proteins 0.000 description 1
- 108010013639 Peptidoglycan Proteins 0.000 description 1
- 241000191940 Staphylococcus Species 0.000 description 1
- PTFCDOFLOPIGGS-UHFFFAOYSA-N Zinc dication Chemical compound [Zn+2] PTFCDOFLOPIGGS-UHFFFAOYSA-N 0.000 description 1
- 125000003277 amino group Chemical group 0.000 description 1
- VZTDIZULWFCMLS-UHFFFAOYSA-N ammonium formate Chemical compound [NH4+].[O-]C=O VZTDIZULWFCMLS-UHFFFAOYSA-N 0.000 description 1
- 229960005364 bacitracin zinc Drugs 0.000 description 1
- 230000001580 bacterial effect Effects 0.000 description 1
- 230000003385 bacteriostatic effect Effects 0.000 description 1
- 230000009286 beneficial effect Effects 0.000 description 1
- 230000004071 biological effect Effects 0.000 description 1
- 210000002421 cell wall Anatomy 0.000 description 1
- 239000003153 chemical reaction reagent Substances 0.000 description 1
- 238000005336 cracking Methods 0.000 description 1
- 238000006114 decarboxylation reaction Methods 0.000 description 1
- 238000009795 derivation Methods 0.000 description 1
- 238000001514 detection method Methods 0.000 description 1
- 238000010586 diagram Methods 0.000 description 1
- ZPWVASYFFYYZEW-UHFFFAOYSA-L dipotassium hydrogen phosphate Chemical compound [K+].[K+].OP([O-])([O-])=O ZPWVASYFFYYZEW-UHFFFAOYSA-L 0.000 description 1
- 238000005516 engineering process Methods 0.000 description 1
- 230000006203 ethylation Effects 0.000 description 1
- 238000006200 ethylation reaction Methods 0.000 description 1
- 238000000855 fermentation Methods 0.000 description 1
- 230000004151 fermentation Effects 0.000 description 1
- 235000019253 formic acid Nutrition 0.000 description 1
- 238000013467 fragmentation Methods 0.000 description 1
- 238000006062 fragmentation reaction Methods 0.000 description 1
- 208000015181 infectious disease Diseases 0.000 description 1
- 238000000752 ionisation method Methods 0.000 description 1
- 239000007788 liquid Substances 0.000 description 1
- 239000007791 liquid phase Substances 0.000 description 1
- 125000002496 methyl group Chemical group [H]C([H])([H])* 0.000 description 1
- 230000037361 pathway Effects 0.000 description 1
- 229940049954 penicillin Drugs 0.000 description 1
- 108010091748 peptide A Proteins 0.000 description 1
- 108010091742 peptide F Proteins 0.000 description 1
- 108010005636 polypeptide C Proteins 0.000 description 1
- 102000004196 processed proteins & peptides Human genes 0.000 description 1
- 239000013074 reference sample Substances 0.000 description 1
- 230000008929 regeneration Effects 0.000 description 1
- 238000011069 regeneration method Methods 0.000 description 1
- 239000000523 sample Substances 0.000 description 1
- 239000008354 sodium chloride injection Substances 0.000 description 1
- 238000001228 spectrum Methods 0.000 description 1
- 238000006467 substitution reaction Methods 0.000 description 1
- 238000012360 testing method Methods 0.000 description 1
- 238000006886 vinylation reaction Methods 0.000 description 1
- 238000005303 weighing Methods 0.000 description 1
- UCRLQOPRDMGYOA-DFTDUNEMSA-L zinc;(4r)-4-[[(2s)-2-[[(4r)-2-[(1s,2s)-1-amino-2-methylbutyl]-4,5-dihydro-1,3-thiazole-4-carbonyl]amino]-4-methylpentanoyl]amino]-5-[[(2s,3s)-1-[[(3s,6r,9s,12r,15s,18r,21s)-3-(2-amino-2-oxoethyl)-18-(3-aminopropyl)-12-benzyl-15-[(2s)-butan-2-yl]-6-(carbox Chemical compound [Zn+2].C1SC([C@@H](N)[C@@H](C)CC)=N[C@@H]1C(=O)N[C@@H](CC(C)C)C(=O)N[C@H](CCC([O-])=O)C(=O)N[C@@H]([C@@H](C)CC)C(=O)N[C@@H]1C(=O)N[C@H](CCCN)C(=O)N[C@@H]([C@@H](C)CC)C(=O)N[C@H](CC=2C=CC=CC=2)C(=O)N[C@@H](CC=2NC=NC=2)C(=O)N[C@H](CC([O-])=O)C(=O)N[C@@H](CC(N)=O)C(=O)NCCCC1 UCRLQOPRDMGYOA-DFTDUNEMSA-L 0.000 description 1
Images
Classifications
-
- C—CHEMISTRY; METALLURGY
- C07—ORGANIC CHEMISTRY
- C07K—PEPTIDES
- C07K7/00—Peptides having 5 to 20 amino acids in a fully defined sequence; Derivatives thereof
- C07K7/64—Cyclic peptides containing only normal peptide links
- C07K7/66—Gramicidins S, C; Tyrocidins A, B, C; Related peptides
-
- A—HUMAN NECESSITIES
- A61—MEDICAL OR VETERINARY SCIENCE; HYGIENE
- A61P—SPECIFIC THERAPEUTIC ACTIVITY OF CHEMICAL COMPOUNDS OR MEDICINAL PREPARATIONS
- A61P31/00—Antiinfectives, i.e. antibiotics, antiseptics, chemotherapeutics
- A61P31/04—Antibacterial agents
-
- G—PHYSICS
- G01—MEASURING; TESTING
- G01N—INVESTIGATING OR ANALYSING MATERIALS BY DETERMINING THEIR CHEMICAL OR PHYSICAL PROPERTIES
- G01N30/00—Investigating or analysing materials by separation into components using adsorption, absorption or similar phenomena or using ion-exchange, e.g. chromatography or field flow fractionation
- G01N30/02—Column chromatography
-
- G—PHYSICS
- G01—MEASURING; TESTING
- G01N—INVESTIGATING OR ANALYSING MATERIALS BY DETERMINING THEIR CHEMICAL OR PHYSICAL PROPERTIES
- G01N30/00—Investigating or analysing materials by separation into components using adsorption, absorption or similar phenomena or using ion-exchange, e.g. chromatography or field flow fractionation
- G01N30/02—Column chromatography
- G01N30/62—Detectors specially adapted therefor
- G01N30/72—Mass spectrometers
-
- G—PHYSICS
- G01—MEASURING; TESTING
- G01N—INVESTIGATING OR ANALYSING MATERIALS BY DETERMINING THEIR CHEMICAL OR PHYSICAL PROPERTIES
- G01N33/00—Investigating or analysing materials by specific methods not covered by groups G01N1/00 - G01N31/00
- G01N33/48—Biological material, e.g. blood, urine; Haemocytometers
- G01N33/50—Chemical analysis of biological material, e.g. blood, urine; Testing involving biospecific ligand binding methods; Immunological testing
- G01N33/68—Chemical analysis of biological material, e.g. blood, urine; Testing involving biospecific ligand binding methods; Immunological testing involving proteins, peptides or amino acids
- G01N33/6803—General methods of protein analysis not limited to specific proteins or families of proteins
- G01N33/6848—Methods of protein analysis involving mass spectrometry
-
- A—HUMAN NECESSITIES
- A61—MEDICAL OR VETERINARY SCIENCE; HYGIENE
- A61K—PREPARATIONS FOR MEDICAL, DENTAL OR TOILETRY PURPOSES
- A61K38/00—Medicinal preparations containing peptides
-
- G—PHYSICS
- G01—MEASURING; TESTING
- G01N—INVESTIGATING OR ANALYSING MATERIALS BY DETERMINING THEIR CHEMICAL OR PHYSICAL PROPERTIES
- G01N2410/00—Assays, e.g. immunoassays or enzyme assays, involving peptides of less than 20 animo acids
Landscapes
- Health & Medical Sciences (AREA)
- Life Sciences & Earth Sciences (AREA)
- Chemical & Material Sciences (AREA)
- Molecular Biology (AREA)
- Physics & Mathematics (AREA)
- General Health & Medical Sciences (AREA)
- Engineering & Computer Science (AREA)
- Biochemistry (AREA)
- Immunology (AREA)
- Analytical Chemistry (AREA)
- Medicinal Chemistry (AREA)
- Organic Chemistry (AREA)
- General Physics & Mathematics (AREA)
- Pathology (AREA)
- Bioinformatics & Computational Biology (AREA)
- Biophysics (AREA)
- Urology & Nephrology (AREA)
- Bioinformatics & Cheminformatics (AREA)
- Hematology (AREA)
- Biomedical Technology (AREA)
- Proteomics, Peptides & Aminoacids (AREA)
- Cell Biology (AREA)
- Microbiology (AREA)
- Pharmacology & Pharmacy (AREA)
- Biotechnology (AREA)
- Veterinary Medicine (AREA)
- Animal Behavior & Ethology (AREA)
- Nuclear Medicine, Radiotherapy & Molecular Imaging (AREA)
- Spectroscopy & Molecular Physics (AREA)
- Public Health (AREA)
- Food Science & Technology (AREA)
- General Chemical & Material Sciences (AREA)
- Chemical Kinetics & Catalysis (AREA)
- Oncology (AREA)
- Communicable Diseases (AREA)
- Genetics & Genomics (AREA)
- Peptides Or Proteins (AREA)
Abstract
The invention discloses a novel Bacitracin (Bacitracin) component and a high performance liquid chromatography-mass spectrometry (HPLC-MS) analysis method thereof. The component is verified to be bacitracin A of double methylene and vinyl or bacitracin Y of double methylene and ethyl by HPLC-MS and secondary mass spectrum analysis, and the novel component is named bacitracin HZ (bacitracin HZ). The present invention reveals the presence of novel non-protein amino acids such as 2-amino-3-vinyl-5-hexenoic acid, 2-amino-4-vinyl-5-hexenoic acid, 3-vinyl cysteine, 2-vinyl cysteine. The bacitracin HZ has antibacterial activity or toxicity different from that of common bacitracin components, has potential application value, and the structure confirmation of the compounds also provides research basis for strictly controlling the quality of bacitracin.
Description
Technical Field
The invention relates to the field of pharmaceutical analytical chemistry, in particular to a bacitracin and an analysis method of components of the bacitracin.
Background
Bacitracin (structural formula shown in figure 1 and table 1) is a multicomponent antimicrobial peptide produced by bacillus subtilis and bacillus licheniformis, can strongly inhibit gram-positive bacteria, and is mainly used for treating penicillin-resistant staphylococcus infection. Bacitracin has a special bacteriostatic mechanism, can interfere the synthesis of bacterial cell walls, and simultaneously inhibits the regeneration of phospholipid receptors in the synthesis of peptidoglycan, so that the bacitracin has the characteristics of wide antibacterial spectrum, difficult generation of drug resistance and the like. Zinc ions are added during the pharmaceutical process to enhance the activity.
TABLE 1R of bacitracin structural formulae A and BnExpression (2)
As the bacillus peptide is a fermentation product and has more bacillus peptide components, the components such as the bacillus peptide A, B, C, F and the like are included in the United states Pharmacopeia 40, 19 components or related substances are included in the European Pharmacopeia 9.6, and other unknown components are also included. High performance liquid chromatography (dipotassium hydrogen phosphate/acetonitrile/methanol system) adopted in United states Pharmacopeia 40 edition and European Pharmacopeia 9.6 edition selects a non-volatile mobile phase system, is not suitable for direct mass spectrometry, and cannot realize on-line determination of the structure of an unknown component.
Disclosure of Invention
Aiming at the problems in the prior art, the invention discloses a bacitracin and an analysis method of components thereof, which is a high performance liquid chromatography-mass spectrometry (HPLC-MS) analysis method. The bacitracin is verified to be bismethyleneated and vinylated bacitracin A or bismethyleneated and ethylated bacitracin Y and named bacitracin HZ (bacitracin HZ) by primary mass spectrometry and secondary mass spectrometry.
In order to achieve the above object, the technical solution provided by the present invention comprises:
in a first aspect, the present invention provides a novel bacitracin, designated bacitracin HZ. The bacitracin is composed of bismethylenated and vinylated bacitracin A or bismethylenated and ethylated bacitracin Y.
Further, the constituent units of the methylated and vinylated bacitracin A include isoleucine at position 1, cysteine at position 2, leucine at position 3, glutamic acid at position 4, isoleucine at position 5, lysine at position 6, ornithine at position 7, isoleucine at position 8, phenylalanine at position 9, histidine at position 10, aspartic acid at position 11, asparagine at position 12, the isoleucine at position 1 and the cysteine at position 2 form a thiazoline ring, and the amino acids at positions 6 to 12 form a cyclic peptide 7. the bismethylated and vinylated bacitracin A refers to β '-methyl and gamma' -methyl of the isoleucine at position 1 of the procymitracin A are methylated, and the β "position of the cysteine at position 2 is vinylated, and has the following structure:
or β ' -methyl and gamma ' -methyl at isoleucine position 1 of the protopanoxapeptide A are methylated, and α ' position at cysteine position 2 is vinylated, and the structure is as follows:
further, the constituent units of the bismethyleneated and ethylated bacitracin Y include isoleucine at position 1, cysteine at position 2, leucine at position 3, glutamic acid at position 4, isoleucine at position 5, lysine at position 6, ornithine at position 7, isoleucine at position 8, phenylalanine at position 9, histidine at position 10, aspartic acid at position 11, asparagine at position 12, isoleucine at position 1 and cysteine at position 2 form a thiazole ring, and amino acids at positions 6 to 12 form a peptide 7, wherein the bismethyleneated and ethylated bacitracin Y refers to β '-methyl and γ' -methyl of isoleucine at position 1 of procymitracin Y being methylated, and β "of cysteine at position 2 being ethylated, and has the following structure:
further, the configuration of the bismethyleneated and vinylated bacitracin a, β' and α ", β" -carbon is either the R configuration or the S configuration.
Further, the constituent amino acids of bismethyleneated and vinylated bacitracin a are in L-form or D-form.
Further, the configuration of the β' -carbon of the bismethyleneated and ethylated bacitracin Y is R configuration or S configuration.
Further, the constituent amino acids of the bismethyleneated and ethylated bacitracin Y are in L-form or D-form.
Further, isoleucine at position 1, 5 or 8 of bacitracin HZ may be converted into leucine, and the resulting composition after the conversion may be bismethylenated or may not be bismethylenated.
Further, the chemical structural formula of substituting isoleucine at position 1 of the bismethyleneated and vinylated bacitracin a with leucine and the chemical structural formula of substituting isoleucine at position 1 of the bismethyleneated and ethylated bacitracin Y with leucine are respectively as follows:
in a second aspect, the present invention provides novel unnatural protein amino acids found in bacitracin HZ: 2-amino-3-vinyl-5-hexenoic acid A, 2-amino-4-vinyl-5-hexenoic acid B, 3-vinyl cysteine C, 2-vinyl cysteine D, the structural formula is as follows:
further, bacitracin includes oxidation products, epimerization products, hydrolysis products, sulfation products, sulfonation products, etc. of bacitracin HZ, or other bacitracin products.
A third aspect of the invention is to provide a bacitracin drug substance or a bacitracin zinc drug substance or a pharmaceutical combination comprising bacitracin HZ.
The fourth aspect of the present invention provides a pharmaceutical preparation comprising the above-mentioned crude drug or pharmaceutical composition, which is an injection, an ointment or an eye ointment.
The fifth aspect of the present invention is to provide a method for obtaining components of bacitracin and structures thereof as a high performance liquid chromatography-mass spectrometry (HPLC-MS) analysis method.
Further, the MS ionization method may be selected from electrospray ionization, atmospheric pressure ionization, and the like, and is preferably electrospray ionization.
Further, the mass analyzer of the MS may select a quadrupole time-of-flight mass spectrum, a linear or three-dimensional ion hydrazine mass spectrum, a triple quadrupole mass spectrum, an orbital ion hydrazine mass spectrum, or the like, preferably a quadrupole time-of-flight mass spectrum.
Further, bacitracin HZ and other bacitracin components can be structurally judged by information of primary mass spectrum and secondary mass spectrum.
Further, the MS and MS/MS scanning ranges from 50 to 2000 amu.
Further, the secondary mass collision energy setting range is 10-30eV, preferably 20eV, 30 eV.
Further, the molecular weight of bacitracin HZ was determined to be 736.8908([ M + 2H)]2+) The characteristic ions of the secondary mass spectrum are m/z 604.32, 491.23, 382.14, 362.19, 334.19, 253.10, 249.11 and 110.07.
Compared with the prior art, the invention has the following beneficial effects:
(1) the invention discovers for the first time that bacitracin HZ, namely the bacitracin A subjected to bismethylene and vinylation or the bacitracin Y subjected to bismethylene and ethylation, may have antibacterial activity or toxicity different from common bacitracin components, and has potential application value, and the structure confirmation of the compound also provides a research basis for strictly controlling the quality of bacitracin;
(2) the invention identifies the structure of the bismethyleneated and vinylated bacitracin A or the bismethyleneated and ethylated bacitracin Y for the first time through MS and MS/MS data;
(3) the present invention reveals the presence of novel non-natural protein amino acids, such as 2-amino-3-vinyl-5-hexenoic acid, 2-amino-4-vinyl-5-hexenoic acid, 3-vinyl cysteine, 2-vinyl cysteine;
(4) the HPLC-MS/MS method can be used for directly analyzing the structures of other components in bacitracin, namely, a primary mass spectrum is comprehensively adopted to obtain molecular weight, secondary mass spectrum fragment ions and amino acid residue ions to estimate the component structures, and the analysis strategy can also be popularized to the structure analysis of other polypeptide antibiotics.
Drawings
FIG. 1 is a general structural formula of a peptide component of Bacillus in the background of the invention;
FIG. 2 is a mass spectrometric total ion flow diagram of a bacitracin test article in an embodiment of the present invention;
FIG. 3 is a first order mass spectrum of bacitracin HZ in one embodiment of the present invention;
FIG. 4 is a secondary mass spectrum of bacitracin HZ in one embodiment of the present invention;
FIG. 5 is a graph showing the cleavage pattern of bacitracin A in one embodiment of the present invention;
FIG. 6 shows bacitracin HZ: the chemical structural formula of the bismethyleneated and vinylated bacitracin A;
FIG. 7 shows bacitracin HZ: chemical structural formula of bismethyleneated and ethylated bacitracin Y;
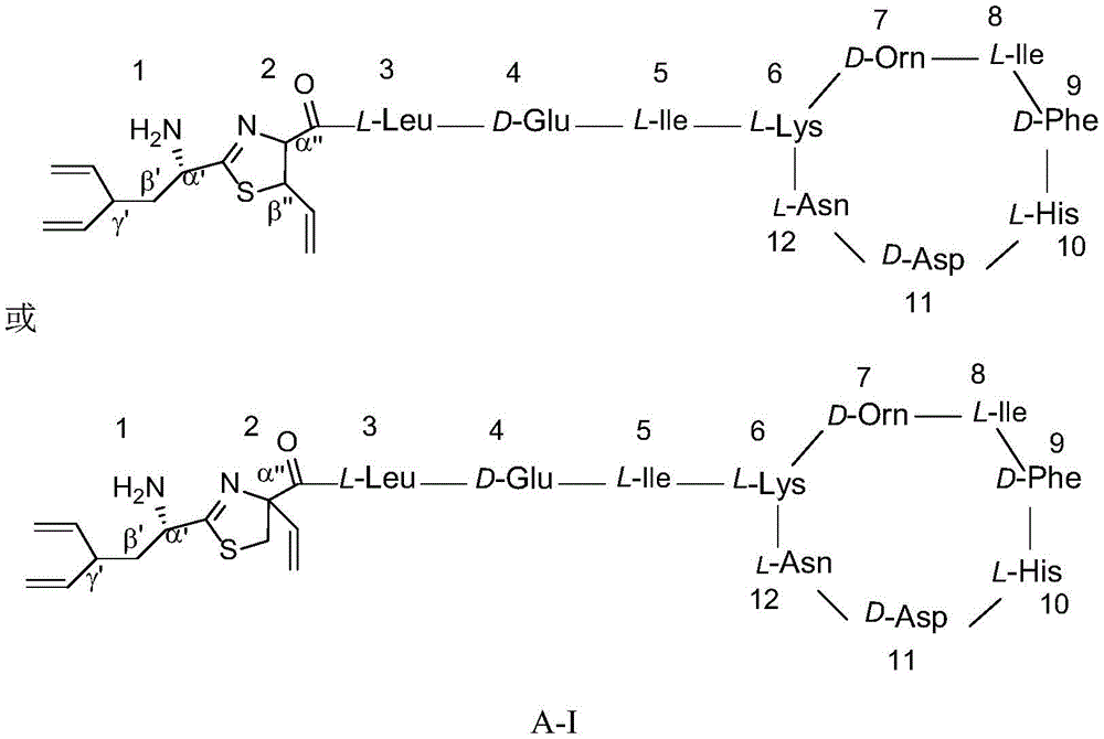
FIG. 8 shows bacitracin HZ: chemical structural formula of bismethyleneated and vinylated bacitracin A-I (isoleucine substituted by leucine at position 1);
FIG. 9 illustrates bacitracin HZ: the chemical structural formula of dimethylenated and ethylated bacitracin Y-I (isoleucine substituted by leucine at position 1);
FIG. 10 shows the chemical structure of amino acids of a novel unnatural protein according to one embodiment of the invention;
wherein, A: 2-amino-3-vinyl-5-hexenoic acid, B: 2-amino-4-vinyl-5-hexenoic acid, C: 3-vinyl cysteine, D: 2-vinyl cysteine.
Detailed Description
The present invention will be described in detail and specifically with reference to the following examples and drawings so as to provide a better understanding of the invention, but the following examples do not limit the scope of the invention.
The bacitracin related in the invention takes bacitracin 'United states Pharmacopeia' as a concrete implementation case, but can also be applied to other bacitracin reference substances and preparations.
Example 1
This example provides a novel bacitracin, designated bacitracin HZ. The bacitracin is composed of bismethylenated and vinylated bacitracin A or bismethylenated and ethylated bacitracin Y. Wherein, the constituent unit of the methylated and vinylated bacitracin A comprises 1-position isoleucine, 2-position cysteine, 3-position leucine, 4-position glutamic acid, 5-position isoleucine, 6-position lysine, 7-position ornithine, 8-position isoleucine, 9-position phenylalanine, 10-position histidine, 11-position aspartic acid and 12-position asparagine, the 1-position isoleucine and 2-position cysteine form thiazoline ring, and 6-12 amino acids form cyclic 7 peptide. The constituent unit of the bismethylenated and ethylated bacitracin Y comprises isoleucine at position 1, cysteine at position 2, leucine at position 3, glutamic acid at position 4, isoleucine at position 5, lysine at position 6, ornithine at position 7, isoleucine at position 8, phenylalanine at position 9, histidine at position 10, aspartic acid at position 11 and asparagine at position 12, wherein the isoleucine at position 1 and the cysteine at position 2 form a thiazole ring, and the amino acids at positions 6 to 12 form a cyclic peptide 7.
Bacillin A, which is bismethylenated and vinylated, means that β '-methyl and γ' -methyl at isoleucine position 1 are methylenated and β "position at cysteine position 2 is vinylated, and its structure is shown in (I), or β '-methyl and γ' -methyl at isoleucine position 1 are methylenated and α" position at cysteine position 2 is vinylated, and its structure is shown in (II), bacillin Y, which is bismethylenated and ethylated, means that β '-methyl and γ' -methyl at isoleucine position 1 and β "position at cysteine position 2 are methylenated, and its structure is shown in (III).
The configuration of β 'and α', β '-carbon in the bismethyleneated and vinylated bacitracin A is R configuration or S configuration, the constituent amino acid is L type or D type, the configuration of β' -carbon of the bismethyleneated and ethylated bacitracin Y is R configuration or S configuration, and the constituent amino acid is L type or D type.
Isoleucine at position 1, 5 or 8 of bacitracin HZ may be converted to leucine, and the resulting composition may or may not be bismethylenated. Wherein, the chemical structural formula A-I that isoleucine at position 1 of the dimethylenated and vinylated bacitracin A is substituted by leucine and the chemical structural formula Y-I that isoleucine at position 1 of the dimethylenated and ethylated bacitracin Y is substituted by leucine are respectively as follows:
example 2
This example provides the use of bacitracin HZ in medicine. A bacitracin bulk drug or a pharmaceutical composition comprising bacitracin HZ and a pharmaceutical preparation comprising the same.
The pharmaceutical preparation comprises bacitracin for injection, bacitracin ointment and bacitracin eye ointment.
Wherein the specification of the injection is 1000 units per milliliter (dissolved in isotonic sodium chloride injection);
the specification of the ointment is 1 g: 500 units, 5g:4000 units;
the specification of the eye ointment is 1 g: 500 units, 2g:1000 units.
Verification experiment
An ammonium formate-acetonitrile separation system (Chinese pharmacy journal, 2018, 53(23):2041-2046 and Chinese invention patent: 201811467424.3) is developed in the early stage of the research, has a good separation effect on various components of bacitracin, and can be directly used for mass spectrometry. The structure of the bacitracin HZ is analyzed by adopting a mass spectrometry method of an ammonium formate-acetonitrile separation system in the verification experiment.
Instrument and reagent
Agilent model 1290 high performance liquid chromatograph-6550 QTOF-MS (Agilent Technologies, USA).
Bacitracin United states Pharmacopeia control (batch No.: R048 CO).
Second, experimental conditions
The invention adopts a liquid phase method in Chinese invention patent (Zhangzhi, etc., a high performance liquid chromatography method for analyzing bacitracin component, Chinese invention patent 201811467424.3), namely, 50mmol/L ammonium formate solution (pH value is adjusted to 4.0 by formic acid) is taken as a mobile phase A, acetonitrile is taken as a mobile phase B, elution is carried out according to the linear gradient condition in the following table 2, and the flow rate is 1 ml/min; the column temperature is 30 ℃; the sample injection amount is 4 mul; the detection wavelength was 254 nm. ESI-Q/TOF-MS is used as a detector, a primary mass spectrum and a secondary mass spectrum are collected in a positive ion scanning mode, the collection range is m/z 50-1700, and the collision energy of the secondary mass spectrum is 10-30 eV.
TABLE 2 Linear elution conditions for mobile phase A and mobile phase B
Third, bacitracin reference sample solution preparation and analysis
Precisely weighing bacitracin 20mg as reference substance in United states Pharmacopeia, placing into 10ml measuring flask, adding mobile phase A-mobile phase B (77:23, V: V) to dissolve and quantitatively dilute to scale, shaking up, and the concentration is 2 mg/ml. The total ion flow chart is shown in figure 2 and the elution positions of bacitracin A and bacitracin HZ are shown in figure 3 by HPLC-ESI-Q/TOF-MS analysis (the primary mass spectrum of bacitracin HZ is shown in figure 4).
Structure analysis of bacitracin A
The structure analysis process is described by taking bacitracin A as an example, and the excimer ion peak [ M + H ] of bacitracin A]+Has an m/z of 1422.76. Bacitracin A readily adds two H's in solution or during electrospray+And mainly with [ M +2H ]]2+(m/z, 711.89) is present. With [ M +2H ]]2+As the parent ion, the secondary mass spectrogram of bacitracin A is obtained by adjusting the fragmentation voltage, and the cracking rule is shown in FIG. 5. When bacitracin A is cracked from a linear chain end (N end), firstly removing isoleucine decarboxylation positive ions (a1 ions, m/z, 86.10) to obtain x11 ions (m/z, 1337.67), then removing thiazoline cyclic acyl to obtain y10 ions, then removing leucyl, glutamyl and isoleucyl to obtain y9, y8 and y7 ions, and finally obtaining the cyclic heptapeptide; the above peptides all volatilize the amino group on asparagine. Corresponding b ions such as b5, b4, b3 and b2, and also b ions may lose acyl groups (e.g., b3 ion loses acyl groups to obtain fragment ion m/z 284.18) or a1 ion obtains fragment peaks at the lower molecular weight. Cyclic peptides have low abundance of characteristic ions, two cleavage pathways, one of which is through the process of loss of phenylalanyl and isoleucyl groups (with loss of fragment ion m/z 627.29), aspartyl amino (fragment ion m/z 513.25) and aspartyl (fragment ion m/z 398.22), the last fragment ion (m/z, 243.18) comprising only lysine and ornithine; the second is the loss of ornithinyl and lysyl, aspartyl amino, aspartyl to give characteristic fragments. At the low end, it can be observed that the amino acid residues constituting bacitracin A, such as fragment ions (m/z, 86.10) after acyl group loss of leucyl or isoleucyl group, glutamyl residues (m/z, 102.06), ornithiyl residues (m/z, 115.09 and 87.09), phenylalanyl residues (m/z, 120.08), histidyl residues (m/z, 138.07 and 110.07), aspartic acid residues (m/z, 88.04), asparagine residues (m/z, 87.06) and lysyl amine residues (m/z, 129.10), and detailed data of each amino acid residue and the above fragment ion information can reduce the sequence of bacitracin A, and can also provide reference for structure derivation of other components.
Structure analysis of bacitracin HZ
The M/z of bacitracin HZ is 736.89([ M + 2H)]2+) Compared with bacitracin A, the molecular weight is increased by 50, and the secondary mass spectrum fragment ion ratio of bacitracin A shows that characteristic ions m/z 491.23, 362.19, 334.19 and 249.11 have 50 increased molecular weights compared with corresponding ions 441.22, 312.17, 284.18 and 199.09 of bacitracin A, which indicates that linear peptide segments are changed, the characteristic ion a1 has m/z of 110.07 increased by 24 compared with a1 of bacitracin A, which predicts that β '-methyl and gamma' -methyl of isoleucine at position 1 are methylated, the fragment ion 253.09 is 26 larger than the corresponding ion 227.09 of bacitracin A, and combines m/z 249.11 and 110.07, so that the modified site is judged to be on the thiazoline ring, and the vinyl is predicted to be generated at position β 'or position α' of cysteine at position 2, namely, the dimethylene and vinyl bacitracin A are shown in the structural formula in figure 6.
It is also possible to convert the thiazoline ring into the thiazoline ring, and the β' position is ethylated, i.e., bismethylenated and ethylated bacitracin Y, see the structural formula in FIG. 7.
The isoleucine at position 1 may also be converted to leucine, i.e., the two methyl groups at γ' are methylated, and the bacitracin HZ structure may also be as shown in FIG. 8 (i.e., bismethylenated and vinylated bacitracin A-I), FIG. 9 (i.e., bismethylenated and ethylated bacitracin Y-I).
Four novel unnatural protein amino acids, such as 2-amino-3-vinyl-5-hexenoic acid (A), 2-amino-4-vinyl-5-hexenoic acid (B), 3-vinyl cysteine (C), 2-vinyl cysteine (D), have the structural formula shown in FIG. 10, wherein the chiral of α -carbon is not identified, and R or S configuration is possible, wherein A or B corresponds to the 1-position amino acid of bacitracin, and C or D corresponds to the 2-position amino acid of bacitracin.
In summary, the present invention has found a novel bacitracin fraction and its structure can be analyzed by HPLC-MS and MS/MS methods, which are named bacitracin HZ, i.e., bismethyleneated and vinylated bacitracin A and bismethyleneated and ethylated bacitracin Y. In addition, the present invention reveals the presence of novel non-natural protein amino acids, such as 2-amino-3-vinyl-5-hexenoic acid, 2-amino-4-vinyl-5-hexenoic acid, 3-vinyl cysteine, 2-vinyl cysteine. The novel multi-double bonded component may have different antibacterial activities and biological activities, and has potential application prospects.
The embodiments of the present invention have been described in detail, but the embodiments are merely examples, and the present invention is not limited to the embodiments described above. Any equivalent modifications and substitutions to those skilled in the art are also within the scope of the present invention. Accordingly, equivalent changes and modifications made without departing from the spirit and scope of the present invention should be covered by the present invention.
Claims (10)
2. the bacitracin of claim 1 wherein the isoleucine at position 1, 5 or 8 of said bacitracin is converted to leucine and the resulting composition after conversion is either bismethylenated or not bismethylenated;
wherein, the chemical structural formula A-I that isoleucine at position 1 of the dimethylenated and vinylated bacitracin A is substituted by leucine and the chemical structural formula Y-I that isoleucine at position 1 of the dimethylenated and ethylated bacitracin Y is substituted by leucine are respectively as follows:
4. a novel bacitracin according to claim 1 wherein said bacitracin comprises an oxidation product, epimerization product, hydrolysis product, sulfation product or sulfonation product of said bacitracin.
5. A drug substance or pharmaceutical composition comprising the bacitracin of any one of claims 1-4.
6. A pharmaceutical formulation comprising a drug substance or pharmaceutical composition according to claim 5, wherein the formulation comprises an injection, an ointment or an eye ointment.
7. An analytical method for obtaining the bacitracin of claim 1 and its structure characterized in that said method is high performance liquid chromatography-mass spectrometry.
8. The method of claim 7, wherein the MS mass analyzer is selected from the group consisting of quadrupole time of flight mass spectrometry, linear or three-dimensional ion hydrazine mass spectrometry, triple quadrupole mass spectrometry, orbital ion hydrazine mass spectrometry, and the like.
9. The method of claim 7, wherein the MS ionization is selected from electrospray ionization, atmospheric pressure ionization, and the like.
10. The assay of claim 7, wherein the MS and MS/MS scan ranges from 50 to 2000 amu.
Priority Applications (1)
| Application Number | Priority Date | Filing Date | Title |
|---|---|---|---|
| CN201911285218.5A CN111057131A (en) | 2019-12-13 | 2019-12-13 | Bacitracin and analysis method of components thereof |
Applications Claiming Priority (1)
| Application Number | Priority Date | Filing Date | Title |
|---|---|---|---|
| CN201911285218.5A CN111057131A (en) | 2019-12-13 | 2019-12-13 | Bacitracin and analysis method of components thereof |
Publications (1)
| Publication Number | Publication Date |
|---|---|
| CN111057131A true CN111057131A (en) | 2020-04-24 |
Family
ID=70301636
Family Applications (1)
| Application Number | Title | Priority Date | Filing Date |
|---|---|---|---|
| CN201911285218.5A Pending CN111057131A (en) | 2019-12-13 | 2019-12-13 | Bacitracin and analysis method of components thereof |
Country Status (1)
| Country | Link |
|---|---|
| CN (1) | CN111057131A (en) |
Cited By (3)
| Publication number | Priority date | Publication date | Assignee | Title |
|---|---|---|---|---|
| CN111678996A (en) * | 2020-04-26 | 2020-09-18 | 上海市食品药品检验所 | Bacitracin oxidized fraction, method for analyzing same, and fragmentation pattern of double-bond sulfonated cysteine oxidized fraction |
| CN114577924A (en) * | 2021-12-24 | 2022-06-03 | 齐鲁制药(内蒙古)有限公司 | Method for simultaneously detecting residual quantity of bacitracin A and bacitracin B in eggs |
| CN116609465A (en) * | 2023-06-14 | 2023-08-18 | 山东序列生物科技有限公司 | Method for detecting bacitracin in compound polymyxin B ointment |
Citations (5)
| Publication number | Priority date | Publication date | Assignee | Title |
|---|---|---|---|---|
| WO1997047313A1 (en) * | 1996-06-10 | 1997-12-18 | The Board Of Trustees Of The Leland Stanford Junior University | Total synthesis of bacitracin polypetides |
| CN101395164A (en) * | 2006-01-10 | 2009-03-25 | 罗伊·J·于 | N- (phosphonoalkyl) -amino acids, derivatives and compositions thereof, and methods of use |
| CN102596894A (en) * | 2009-10-28 | 2012-07-18 | 埃克斯利亚制药有限公司 | 2-amino-3-methyl-hex-5-enoic acid and its use in the production of peptides such as bacitracins |
| CN102596218A (en) * | 2009-10-28 | 2012-07-18 | 埃克斯利亚制药有限公司 | New bacitracin antibiotics |
| WO2018073448A1 (en) * | 2016-10-21 | 2018-04-26 | Algipharma As | Bacitracin-alginate oligomer conjugates |
-
2019
- 2019-12-13 CN CN201911285218.5A patent/CN111057131A/en active Pending
Patent Citations (5)
| Publication number | Priority date | Publication date | Assignee | Title |
|---|---|---|---|---|
| WO1997047313A1 (en) * | 1996-06-10 | 1997-12-18 | The Board Of Trustees Of The Leland Stanford Junior University | Total synthesis of bacitracin polypetides |
| CN101395164A (en) * | 2006-01-10 | 2009-03-25 | 罗伊·J·于 | N- (phosphonoalkyl) -amino acids, derivatives and compositions thereof, and methods of use |
| CN102596894A (en) * | 2009-10-28 | 2012-07-18 | 埃克斯利亚制药有限公司 | 2-amino-3-methyl-hex-5-enoic acid and its use in the production of peptides such as bacitracins |
| CN102596218A (en) * | 2009-10-28 | 2012-07-18 | 埃克斯利亚制药有限公司 | New bacitracin antibiotics |
| WO2018073448A1 (en) * | 2016-10-21 | 2018-04-26 | Algipharma As | Bacitracin-alginate oligomer conjugates |
Non-Patent Citations (3)
| Title |
|---|
| DANIEL G.MASCHER等: "Determination of neomycin and bacitracin in human or rabbit serum by HPLC–MS/MS", 《JOURNAL OF PHARMACEUTICAL AND BIOMEDICAL ANALYSIS》 * |
| 刘道奇等: "抗氧化胁迫促进地衣芽孢杆菌合成杆菌肽", 《中国酿造》 * |
| 陈志南: "《中华医学百科全书 生物药物学》", 30 June 2017, 中国协和医科大学出版社 * |
Cited By (4)
| Publication number | Priority date | Publication date | Assignee | Title |
|---|---|---|---|---|
| CN111678996A (en) * | 2020-04-26 | 2020-09-18 | 上海市食品药品检验所 | Bacitracin oxidized fraction, method for analyzing same, and fragmentation pattern of double-bond sulfonated cysteine oxidized fraction |
| CN114577924A (en) * | 2021-12-24 | 2022-06-03 | 齐鲁制药(内蒙古)有限公司 | Method for simultaneously detecting residual quantity of bacitracin A and bacitracin B in eggs |
| CN114577924B (en) * | 2021-12-24 | 2024-05-07 | 齐鲁制药(内蒙古)有限公司 | Method for simultaneously detecting residual quantity of bacitracin A and bacitracin B in eggs |
| CN116609465A (en) * | 2023-06-14 | 2023-08-18 | 山东序列生物科技有限公司 | Method for detecting bacitracin in compound polymyxin B ointment |
Similar Documents
| Publication | Publication Date | Title |
|---|---|---|
| Yang et al. | Identification of lipopeptide isoforms by MALDI-TOF-MS/MS based on the simultaneous purification of iturin, fengycin, and surfactin by RP-HPLC | |
| Kaufmann | Matrix-assisted laser desorption ionization (MALDI) mass spectrometry: a novel analytical tool in molecular biology and biotechnology | |
| Daniel et al. | Peptaibols of trichoderma | |
| Van den Heuvel et al. | Native protein mass spectrometry: from intact oligomers to functional machineries | |
| Zweigenbaum et al. | Direct analysis of microcystins by microbore liquid chromatography electrospray ionization ion-trap tandem mass spectrometry | |
| Capon et al. | Aspergillicins A–E: five novel depsipeptides from the marine-derived fungus Aspergillus carneus | |
| Wolfender et al. | Identification of tyrosine sulfation in Conus pennaceus conotoxins α‐PnIA and α‐PnIB: further investigation of labile sulfo‐and phosphopeptides by electrospray, matrix‐assisted laser desorption/ionization (MALDI) and atmospheric pressure MALDI mass spectrometry | |
| US20080315084A1 (en) | Analysis method of amino acid using mass spectrometer | |
| CN111057131A (en) | Bacitracin and analysis method of components thereof | |
| US20050196786A1 (en) | Multiplex spatial profiling of gene expression | |
| Fan et al. | Determination of lamivudine/stavudine/efavirenz in human serum using liquid chromatography/electrospray tandem mass spectrometry with ionization polarity switch | |
| Sirum-Connolly et al. | Implications of a functional large ribosomal RNA with only three modified nucleotides | |
| Suleiman et al. | Analysis of bacitracin and its related substances by liquid chromatography tandem mass spectrometry | |
| CN110845579B (en) | Polymyxin E component and photochemical product thereof and liquid chromatography-mass spectrometry analysis method | |
| Lopez-Clavijo et al. | Liquid extraction surface analysis (LESA) electron-induced dissociation and collision-induced dissociation mass spectrometry of small molecule drug compounds | |
| Jeanne Dit Fouque et al. | Evidence of Cis/TRans-isomerization at Pro7/Pro16 in the lasso peptide microcin J25 | |
| Borchers et al. | Characterization of the dexniguldipine binding site in the multidrug resistance-related transport protein P-glycoprotein by photoaffinity labeling and mass spectrometry | |
| Venter et al. | Molecular dissection of membrane-transport proteins: mass spectrometry and sequence determination of the galactose–H+ symport protein, GalP, of Escherichia coli and quantitative assay of the incorporation of [ring-2-13C] histidine and 15NH3 | |
| Brenner-Weiss et al. | Analysis of non-covalent protein complexes by capillary electrophoresis–time-of-flight mass spectrometry | |
| Marty et al. | Ultra-thin layer MALDI mass spectrometry of membrane proteins in nanodiscs | |
| EP2488492B1 (en) | Protected amine labels and use in detecting analytes | |
| Takao et al. | Automatic precursor-ion switching in a four-sector tandem mass spectrometer and its application to acquisition of the MS/MS product ions derived from a partially oxygen-18-labeled peptide for their facile assignments | |
| Govaerts et al. | Hyphenation of liquid chromatography to ion trap mass spectrometry to identify minor components in polypeptide antibiotics | |
| WO2005067648A2 (en) | Multiplex spatial profiling of gene expression | |
| JP4188229B2 (en) | Method for analyzing a protein present in a cell or a substance interacting with the protein |
Legal Events
| Date | Code | Title | Description |
|---|---|---|---|
| PB01 | Publication | ||
| PB01 | Publication | ||
| SE01 | Entry into force of request for substantive examination | ||
| SE01 | Entry into force of request for substantive examination | ||
| CB02 | Change of applicant information |
Address after: 200120 No. 1500 Zhangheng Road, Pudong New Area, Shanghai Applicant after: Shanghai Institute for food and drug control Address before: 200120 No. 1500 Zhangheng Road, Pudong New Area, Shanghai Applicant before: SHANGHAI INSTITUTE FOR FOOD AND DRUG CONTROL |
|
| CB02 | Change of applicant information | ||
| RJ01 | Rejection of invention patent application after publication |
Application publication date: 20200424 |
|
| RJ01 | Rejection of invention patent application after publication |












