CN111044483A - A method, system and medium for determination of pigment in cream based on near-infrared spectroscopy - Google Patents
A method, system and medium for determination of pigment in cream based on near-infrared spectroscopy Download PDFInfo
- Publication number
- CN111044483A CN111044483A CN201911377382.9A CN201911377382A CN111044483A CN 111044483 A CN111044483 A CN 111044483A CN 201911377382 A CN201911377382 A CN 201911377382A CN 111044483 A CN111044483 A CN 111044483A
- Authority
- CN
- China
- Prior art keywords
- cream
- pigment
- sample
- infrared spectrum
- infrared
- Prior art date
- Legal status (The legal status is an assumption and is not a legal conclusion. Google has not performed a legal analysis and makes no representation as to the accuracy of the status listed.)
- Pending
Links
- 239000006071 cream Substances 0.000 title claims abstract description 267
- 239000000049 pigment Substances 0.000 title claims abstract description 148
- 238000000034 method Methods 0.000 title claims abstract description 89
- 238000004497 NIR spectroscopy Methods 0.000 title claims description 9
- 238000002329 infrared spectrum Methods 0.000 claims abstract description 133
- 238000012549 training Methods 0.000 claims abstract description 91
- 238000001228 spectrum Methods 0.000 claims description 48
- 238000012360 testing method Methods 0.000 claims description 32
- 238000012795 verification Methods 0.000 claims description 20
- 239000013598 vector Substances 0.000 claims description 16
- 230000003595 spectral effect Effects 0.000 claims description 15
- 238000012545 processing Methods 0.000 claims description 14
- 238000004458 analytical method Methods 0.000 claims description 8
- 238000004364 calculation method Methods 0.000 claims description 8
- 238000004590 computer program Methods 0.000 claims description 8
- 238000012847 principal component analysis method Methods 0.000 claims description 8
- 238000002790 cross-validation Methods 0.000 claims description 7
- 238000005259 measurement Methods 0.000 claims description 6
- 235000014121 butter Nutrition 0.000 claims 5
- 238000001514 detection method Methods 0.000 abstract description 19
- 238000007781 pre-processing Methods 0.000 abstract description 14
- 238000000513 principal component analysis Methods 0.000 description 12
- 230000000694 effects Effects 0.000 description 10
- 235000013305 food Nutrition 0.000 description 7
- 238000004422 calculation algorithm Methods 0.000 description 6
- 238000011156 evaluation Methods 0.000 description 6
- 238000010238 partial least squares regression Methods 0.000 description 6
- 235000000177 Indigofera tinctoria Nutrition 0.000 description 5
- 230000009286 beneficial effect Effects 0.000 description 5
- 238000012937 correction Methods 0.000 description 5
- 229940097275 indigo Drugs 0.000 description 5
- COHYTHOBJLSHDF-UHFFFAOYSA-N indigo powder Natural products N1C2=CC=CC=C2C(=O)C1=C1C(=O)C2=CC=CC=C2N1 COHYTHOBJLSHDF-UHFFFAOYSA-N 0.000 description 5
- 238000002203 pretreatment Methods 0.000 description 5
- 230000009467 reduction Effects 0.000 description 5
- PAYRUJLWNCNPSJ-UHFFFAOYSA-N Aniline Chemical compound NC1=CC=CC=C1 PAYRUJLWNCNPSJ-UHFFFAOYSA-N 0.000 description 4
- 230000001419 dependent effect Effects 0.000 description 4
- 238000001914 filtration Methods 0.000 description 4
- 238000009499 grossing Methods 0.000 description 3
- 238000012417 linear regression Methods 0.000 description 3
- 238000003672 processing method Methods 0.000 description 3
- 230000009466 transformation Effects 0.000 description 3
- 238000005303 weighing Methods 0.000 description 3
- 239000005862 Whey Substances 0.000 description 2
- 102000007544 Whey Proteins Human genes 0.000 description 2
- 108010046377 Whey Proteins Proteins 0.000 description 2
- 238000010521 absorption reaction Methods 0.000 description 2
- 230000008859 change Effects 0.000 description 2
- 238000009795 derivation Methods 0.000 description 2
- 238000010586 diagram Methods 0.000 description 2
- 230000006870 function Effects 0.000 description 2
- 239000002245 particle Substances 0.000 description 2
- 230000008569 process Effects 0.000 description 2
- 239000000126 substance Substances 0.000 description 2
- 238000012706 support-vector machine Methods 0.000 description 2
- 238000005033 Fourier transform infrared spectroscopy Methods 0.000 description 1
- 206010028980 Neoplasm Diseases 0.000 description 1
- 210000000593 adipose tissue white Anatomy 0.000 description 1
- 238000003491 array Methods 0.000 description 1
- 238000007635 classification algorithm Methods 0.000 description 1
- 239000011280 coal tar Substances 0.000 description 1
- 235000020247 cow milk Nutrition 0.000 description 1
- 238000007405 data analysis Methods 0.000 description 1
- 238000011161 development Methods 0.000 description 1
- 230000002349 favourable effect Effects 0.000 description 1
- 235000020251 goat milk Nutrition 0.000 description 1
- 230000017525 heat dissipation Effects 0.000 description 1
- 238000004811 liquid chromatography Methods 0.000 description 1
- 230000007774 longterm Effects 0.000 description 1
- 235000013336 milk Nutrition 0.000 description 1
- 239000008267 milk Substances 0.000 description 1
- 210000004080 milk Anatomy 0.000 description 1
- 238000012986 modification Methods 0.000 description 1
- 230000004048 modification Effects 0.000 description 1
- 235000015097 nutrients Nutrition 0.000 description 1
- 238000003969 polarography Methods 0.000 description 1
- 239000002994 raw material Substances 0.000 description 1
- 238000011160 research Methods 0.000 description 1
- 230000002194 synthesizing effect Effects 0.000 description 1
- 238000004809 thin layer chromatography Methods 0.000 description 1
- 238000011426 transformation method Methods 0.000 description 1
Images
Classifications
-
- G—PHYSICS
- G01—MEASURING; TESTING
- G01N—INVESTIGATING OR ANALYSING MATERIALS BY DETERMINING THEIR CHEMICAL OR PHYSICAL PROPERTIES
- G01N21/00—Investigating or analysing materials by the use of optical means, i.e. using sub-millimetre waves, infrared, visible or ultraviolet light
- G01N21/17—Systems in which incident light is modified in accordance with the properties of the material investigated
- G01N21/25—Colour; Spectral properties, i.e. comparison of effect of material on the light at two or more different wavelengths or wavelength bands
- G01N21/31—Investigating relative effect of material at wavelengths characteristic of specific elements or molecules, e.g. atomic absorption spectrometry
- G01N21/35—Investigating relative effect of material at wavelengths characteristic of specific elements or molecules, e.g. atomic absorption spectrometry using infrared light
- G01N21/359—Investigating relative effect of material at wavelengths characteristic of specific elements or molecules, e.g. atomic absorption spectrometry using infrared light using near infrared light
-
- G—PHYSICS
- G01—MEASURING; TESTING
- G01N—INVESTIGATING OR ANALYSING MATERIALS BY DETERMINING THEIR CHEMICAL OR PHYSICAL PROPERTIES
- G01N21/00—Investigating or analysing materials by the use of optical means, i.e. using sub-millimetre waves, infrared, visible or ultraviolet light
- G01N21/17—Systems in which incident light is modified in accordance with the properties of the material investigated
- G01N21/25—Colour; Spectral properties, i.e. comparison of effect of material on the light at two or more different wavelengths or wavelength bands
- G01N21/31—Investigating relative effect of material at wavelengths characteristic of specific elements or molecules, e.g. atomic absorption spectrometry
- G01N21/35—Investigating relative effect of material at wavelengths characteristic of specific elements or molecules, e.g. atomic absorption spectrometry using infrared light
- G01N21/3577—Investigating relative effect of material at wavelengths characteristic of specific elements or molecules, e.g. atomic absorption spectrometry using infrared light for analysing liquids, e.g. polluted water
Landscapes
- Physics & Mathematics (AREA)
- Spectroscopy & Molecular Physics (AREA)
- Health & Medical Sciences (AREA)
- Life Sciences & Earth Sciences (AREA)
- Chemical & Material Sciences (AREA)
- Analytical Chemistry (AREA)
- Biochemistry (AREA)
- General Health & Medical Sciences (AREA)
- General Physics & Mathematics (AREA)
- Immunology (AREA)
- Pathology (AREA)
- Investigating Or Analysing Materials By Optical Means (AREA)
Abstract
The invention relates to a method, a system and a medium for determining pigment in cream based on near infrared spectrum, wherein the method comprises the steps of obtaining a plurality of cream samples, carrying out near infrared scanning on all the cream samples, and obtaining the original near infrared spectrum corresponding to each cream sample one by one; respectively preprocessing the original near infrared spectrum of each cream sample to obtain a target near infrared spectrum corresponding to each cream sample one by one; making target near infrared spectra of all cream samples into a data set, constructing a training model, and training the training model by using the data set to obtain a cream pigment prediction model; and determining the cream to be determined by using the cream pigment prediction model to obtain a pigment determination result. The method is based on the near infrared spectrum, can effectively extract the component information of the artificial pigment in the cream, can quickly and reliably determine the content of the artificial pigment in the cream, and has high detection efficiency and high accuracy.
Description
Technical Field
The invention relates to the fields of stoichiometry and food safety, in particular to a method, a system and a medium for determining pigment in cream based on near infrared spectrum.
Background
Cream is a fatty semisolid food of yellow or white fat extracted from goat milk, cow milk or other mammalian milk. The pigment is divided into artificial pigment and natural pigment, wherein the artificial pigment generally takes coal tar as a main raw material, and aniline dye is added, and the aniline dye has no nutrient components for human bodies, but for food, the color of the food can be more beautiful, and the cost is low. Therefore, in the food added with the pigment, the natural pigment accounts for less than 20 percent, the rest is the artificial pigment, and the artificial pigment is mostly added into the cream. Although the cream added with the artificial pigment has similar taste to natural cream, the excessive content or long-term consumption of the cream can cause physiological damage to human bodies, such as the influence on the development of children and even the occurrence of cancers. Therefore, how to quickly identify and measure the content of artificial pigments in cream becomes an important issue in the field of food safety.
At present, the traditional method for determining the pigment in the cream comprises a liquid chromatography, a thin layer chromatography, a polarography and the like, the methods have the problems of time and labor consumption, low efficiency and low accuracy, and the requirements of the current society on food safety cannot be met, so that a rapid, excellent and high-accuracy method for determining the pigment in the cream is needed to rapidly and reliably determine the artificial pigment in the cream.
Disclosure of Invention
The invention aims to solve the technical problems of the prior art, and provides a method, a system and a medium for measuring the pigment in cream based on near infrared spectrum, which can quickly and reliably measure the content of the artificial pigment in the cream and solve the technical problems of time and labor consumption, low efficiency and low accuracy in the conventional pigment measuring method.
The technical scheme for solving the technical problems is as follows:
a method for determining pigment in cream based on near infrared spectrum comprises the following steps:
step 1: obtaining a plurality of cream samples, and performing near-infrared scanning on all the cream samples to obtain original near-infrared spectrums corresponding to the cream samples one by one;
step 2: respectively preprocessing the original near infrared spectrum of each cream sample to obtain a target near infrared spectrum corresponding to each cream sample one by one;
and step 3: making target near infrared spectra of all cream samples into a data set, constructing a training model, and training the training model by using the data set to obtain a cream pigment prediction model;
and 4, step 4: and determining the cream to be determined by using the cream pigment prediction model to obtain a pigment determination result.
The invention has the beneficial effects that: the method comprises the steps of obtaining an original near infrared spectrum through near infrared scanning of a cream sample, preprocessing the original near infrared spectrum, removing messy and useless information in the original near infrared spectrum, filtering noise, and obtaining a target near infrared spectrum with higher quality; then, a data set is manufactured according to the target near infrared spectrum, a training model is built, and the training model is trained to obtain a cream pigment prediction model capable of predicting the content of artificial pigment in cream;
the method is based on the near infrared spectrum, can effectively extract the component information of the artificial pigment in the cream, has high detection speed and high accuracy of the obtained information, can quickly and reliably determine the content of the artificial pigment in the cream, and has high detection efficiency and high accuracy.
On the basis of the technical scheme, the invention can be further improved as follows:
further: the specific steps of the step 1 comprise:
step 11: obtaining a plurality of cream samples;
step 12: under the preset spectral resolution, respectively performing near-infrared scanning on each cream sample according to the preset scanning times to obtain a near-infrared spectrum data set corresponding to each cream sample one by one;
step 13: selecting a near infrared spectrum data set of any one cream sample, obtaining an average spectrum of the selected cream sample according to the near infrared spectrum data set of the selected cream sample, and taking the average spectrum of the selected cream sample as an original near infrared spectrum of the selected cream sample;
step 14: and traversing the near infrared spectrum data sets of all the cream samples, and obtaining the original near infrared spectrum corresponding to each cream sample one by one according to the method in the step 13.
Further: the step 2 is realized specifically as follows:
and respectively performing dimensionality reduction treatment on the original near infrared spectrum of each cream sample by using a principal component analysis method to obtain a target near infrared spectrum corresponding to each cream sample one by one.
Further: the specific steps of the step 3 comprise:
step 31: making target near infrared spectra of all cream samples into a data set, equally dividing the data set into k parts by adopting a k-fold cross validation method, taking k-1 parts as a training set, and taking the rest parts as a test set;
step 32: constructing the training model, setting training parameters of the training model, and training the training model by using the training set and the training parameters based on a support vector regression learning method to obtain the cream pigment prediction model;
wherein the training parameters include a learning rate and a number of iterations.
Further: the following steps are also included after step 32:
step 33: and (4) verifying the cream pigment prediction model by using the test set, if the verification is passed, executing the step (4), and if the verification is not passed, returning to the step (31).
Further: the specific steps of the step 33 include;
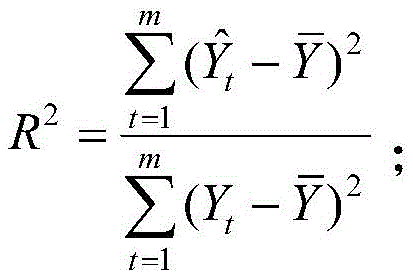
step 331: inputting the test set into the cream pigment prediction model, and respectively calculating a decision coefficient, a prediction mean square error and a relative analysis error;
the calculation formula of the decision coefficient is as follows:
the calculation formula of the prediction mean square error is as follows:
the calculation formula of the relative analysis error is as follows:
wherein R is2For the decision coefficient, RMSEP is the mean square error of the prediction, RPD is the relative analytical error, SD is the standard deviation of the test set, m is the total number of samples in the test set,for the predicted value of the t-th sample in the test set, YtFor the true value of the t-th sample in the test set,the average value of the real values of all samples in the test set is taken;
step 332: and judging whether the cream pigment prediction model passes the verification according to the decision coefficient, the prediction root mean square error and the relative prediction deviation, if so, executing the step 4, otherwise, returning to the step 31.
According to another aspect of the invention, a system for measuring pigment in cream based on near infrared spectrum is provided, which comprises a spectrum acquisition module, a spectrum processing module, a model acquisition module and a pigment measurement module;
the spectrum acquisition module is used for acquiring a plurality of cream samples, performing near-infrared scanning on all the cream samples and acquiring original near-infrared spectrums corresponding to the cream samples one by one;
the spectrum processing module is used for respectively preprocessing the original near infrared spectrum of each cream sample to obtain a target near infrared spectrum corresponding to each cream sample one by one;
the model acquisition module is used for making target near infrared spectra of all cream samples into a data set, constructing a training model, and training the training model by using the data set to obtain a cream pigment prediction model;
and the pigment determination module is used for determining the cream to be determined by using the cream pigment prediction model to obtain a pigment determination result.
The invention has the beneficial effects that: the method is based on the near infrared spectrum, can effectively extract the component information of the artificial pigment in the cream, has high detection speed and high accuracy of the obtained information, can quickly and reliably determine the content of the artificial pigment in the cream, and has high detection efficiency and high accuracy.
On the basis of the technical scheme, the invention can be further improved as follows:
further: the spectrum acquisition module comprises a sample acquisition unit, a scanning unit and an operation unit;
the sample obtaining unit is used for obtaining a plurality of cream samples;
the scanning unit is used for respectively performing near-infrared scanning on each cream sample according to preset scanning times under a preset spectral resolution to obtain a near-infrared spectrum data set corresponding to each cream sample one by one;
the operation unit is used for selecting the near infrared spectrum data set of any one cream sample, obtaining the average spectrum of the selected cream sample according to the near infrared spectrum data set of the selected cream sample, and taking the average spectrum of the selected cream sample as the original near infrared spectrum of the selected cream sample.
Further: the spectrum processing module is specifically configured to:
and respectively performing dimensionality reduction treatment on the original near infrared spectrum of each cream sample by using a principal component analysis method to obtain a target near infrared spectrum corresponding to each cream sample one by one.
Further: the model acquisition module comprises a data set making unit, a model building unit and a training unit;
the data set making unit is used for making the target near infrared spectra of all cream samples into the data set, equally dividing the data set into k parts by adopting a k-fold cross validation method, taking k-1 parts as a training set, and taking the rest part as a test set;
the model building unit is used for building the training model;
the training unit is used for setting training parameters of the training model, and training the training model by using the training set and the training parameters based on a support vector regression learning method to obtain the cream pigment prediction model;
wherein the training parameters include a learning rate and a number of iterations.
Further: the model acquisition module further comprises a verification unit;
and the verification unit is used for verifying the cream pigment prediction model by using the test set.
According to another aspect of the invention, a system for determining pigment in cream based on near infrared spectrum is provided, which comprises a processor, a memory and a computer program stored in the memory and capable of running on the processor, wherein the computer program is used for realizing the steps of the method for determining pigment in cream based on near infrared spectrum.
The invention has the beneficial effects that: the method realizes the determination of the pigment content in the cream by the computer program stored on the memory and running on the processor, can effectively extract the component information of the artificial pigment in the cream based on the near infrared spectrum, has high detection speed and high accuracy of the obtained information, thereby being capable of quickly and reliably determining the content of the artificial pigment in the cream, and having high detection efficiency and high accuracy.
In accordance with another aspect of the present invention, there is provided a computer storage medium comprising: at least one instruction which, when executed, implements the steps of a method for determining the pigment in cream based on near infrared spectroscopy of the present invention.
The invention has the beneficial effects that: the method realizes the determination of the pigment content in the cream by executing the computer storage medium containing at least one instruction, can effectively extract the component information of the artificial pigment in the cream based on the near infrared spectrum, has high detection speed and high accuracy of the obtained information, thereby being capable of quickly and reliably determining the content of the artificial pigment in the cream, and having high detection efficiency and high accuracy.
Drawings
FIG. 1 is a schematic flow chart of a method for determining pigment in cream based on near infrared spectrum according to an embodiment of the present invention;
FIG. 2 is a schematic flow chart of obtaining an original near infrared spectrum according to a first embodiment of the present invention;
FIG. 3 is a waveform of the original near infrared spectrum of one of the cream samples according to one embodiment of the present invention;
FIG. 4 is a first flowchart illustrating a first process of obtaining a cream pigment prediction model according to a first embodiment of the present invention;
FIG. 5 is a schematic flow chart of a second process for obtaining a cream pigment prediction model according to the first embodiment of the present invention;
FIG. 6 is a schematic structural diagram of a system for determining pigment in cream based on near infrared spectrum according to a second embodiment of the present invention;
FIG. 7 is a schematic structural diagram of another system for determining color in cream based on near infrared spectrum according to a second embodiment of the present invention.
Detailed Description
The principles and features of this invention are described below in conjunction with the following drawings, which are set forth by way of illustration only and are not intended to limit the scope of the invention.
The present invention will be described with reference to the accompanying drawings.
First embodiment, as shown in fig. 1, a method for determining pigment in cream based on near infrared spectrum comprises the following steps:
s1: obtaining a plurality of cream samples, and performing near-infrared scanning on all the cream samples to obtain original near-infrared spectrums corresponding to the cream samples one by one;
s2: respectively preprocessing the original near infrared spectrum of each cream sample to obtain a target near infrared spectrum corresponding to each cream sample one by one;
s3: making target near infrared spectra of all cream samples into a data set, constructing a training model, and training the training model by using the data set to obtain a cream pigment prediction model;
s4: and determining the cream to be determined by using the cream pigment prediction model to obtain a pigment determination result.
According to the embodiment, the original near infrared spectrum is obtained through near infrared scanning of a cream sample, and then the original near infrared spectrum is preprocessed, so that disordered useless information in the original near infrared spectrum can be removed, noise is filtered, and the target near infrared spectrum with higher quality is obtained; then, a data set is manufactured according to the target near infrared spectrum, a training model is built, and the training model is trained to obtain a cream pigment prediction model capable of predicting the content of artificial pigment in cream;
the embodiment is based on the near infrared spectrum, can effectively extract the component information of the artificial pigment in the cream, has high detection rate and high accuracy of the obtained information, thereby being capable of quickly and reliably determining the content of the artificial pigment in the cream, and having high detection efficiency and high accuracy.
Preferably, as shown in fig. 2, the specific step of S1 includes:
s11: obtaining a plurality of cream samples;
s12: under the preset spectral resolution, respectively performing near-infrared scanning on each cream sample according to the preset scanning times to obtain a near-infrared spectrum data set corresponding to each cream sample one by one;
s13: selecting a near infrared spectrum data set of any one cream sample, obtaining an average spectrum of the selected cream sample according to the near infrared spectrum data set of the selected cream sample, and taking the average spectrum of the selected cream sample as an original near infrared spectrum of the selected cream sample;
s14: and traversing the near infrared spectrum data sets of all the cream samples, and obtaining the original near infrared spectrum corresponding to each cream sample one by one according to the method of S13.
Because the near infrared spectrum has the advantages of rapid detection and nondestructive detection analysis, in the embodiment, after the cream samples are obtained, multiple near infrared scans are performed on each cream sample according to the preset scanning times to obtain a near infrared spectrum data set of each cream sample; then taking the average spectrum of the near infrared spectrum data set as the original near infrared spectrum of the corresponding cream sample, and taking the average spectrum as the original near infrared spectrum of each corresponding cream sample, so that the component information of the pigment in the real cream sample can be reflected, and the subsequent training effect can be improved conveniently; the preset spectral resolution and the preset scanning times can be selected and adjusted according to actual conditions, the preset spectral resolution can be one or multiple, when the preset spectral resolution is multiple, the average spectrum under each resolution can be obtained, and then one average spectrum with the best quality can be used as the original near infrared spectrum.
Specifically, in this example S11, a total of 129 cream samples with different concentrations were prepared, wherein the cream samples included a control group, the control group did not contain any pigment, and the artificial pigment in each of the cream samples except the control group was indigo pigment. When preparing a cream sample, weighing the artificial cream with the same mass, accurately weighing 0.0012g of indigo pigment by adopting a SartoriusCP224S electronic balance with the precision of 0.0001g, and weighing 128 parts in total; whey of different quality is added into 129 parts of artificial cream, after the whey is stirred, pigment is added into 128 parts of artificial cream, and 128 cream samples with different concentrations of indigo pigment and one cream sample without indigo pigment are prepared.
Specifically, in this example S12, 129 cream samples were placed one by one at 40cm each3The sample cell is used for near infrared scanning, a Fourier transform infrared spectrometer (the specific model is InfraLUM FT-12) is used for near infrared scanning, and the resolution ratio is 8000-14000 cm-1Selecting three resolutions from the three, and scanning each cream sample three times at each resolution to obtain the average value of each cream sampleNear infrared spectral data set at the same resolution.
Specifically, in this embodiment S13, for any cream sample, at each resolution, according to three near infrared spectrum data in the near infrared spectrum data set of the selected cream sample, an average spectrum of the cream sample is calculated, and then average spectra at other two resolutions are obtained according to the same method, and one average spectrum with the best quality is selected from the cream sample as the original near infrared spectrum of the cream sample; in this example S14, the original NIR spectra of other cream samples were obtained in the same manner, wherein the original NIR spectra of one sample are shown in FIG. 3.
Preferably, the specific implementation of S2 is:
and respectively performing dimensionality reduction treatment on the original near infrared spectrum of each cream sample by using a principal component analysis method to obtain a target near infrared spectrum corresponding to each cream sample one by one.
The raw near infrared spectrum needs to be preprocessed because the raw near infrared spectrum contains a large amount of useless physical information about non-target factors, such as background noise, baseline drift and the like, besides useful chemical information; there are many pretreatment methods for near infrared spectra, and the traditional pretreatment methods include a standard normal variable transformation method, a multivariate scattering correction method, a derivative treatment method (including first derivative treatment and second derivative treatment) and a smoothing filter method, and when the pretreatment methods are used alone or in combination, the treatment results for obtaining near infrared spectra are different; in the embodiment, the dimensionality reduction treatment is performed by a Principal Component Analysis (PCA), the PCA converts original data into a group of representations which are linearly independent of each dimension through linear transformation and can be used for extracting main characteristic components of the data, so that Principal Component information with the largest influence on the determination of the pigment content in each original near infrared spectrum can be obtained, the treatment effect is best, the obtained target near infrared spectrum is more beneficial to the subsequent training of a training model, the obtained cream pigment determination model is an optimal model, and the optimal model is more accurate in determination of the pigment content in cream; the specific operation steps of the principal component analysis method are the prior art, and are not described herein again.
Among them, the standard Normal variable transformation (SNV) is a processing method for reducing the influence of non-uniform particle size and non-specific scattering on the particle surface, and is based on the line of the spectral array, i.e. processing a piece of spectral data;
the multivariate scattering Correction method (MSC for short) is a common data processing method for multi-wavelength calibration modeling, and the method is based on a group of spectral arrays of samples to carry out operation, and the basic idea is that the absorption information of chemical substances and scattered light signals in the spectrum are effectively separated on the assumption that the heat dissipation coefficients are the same at all wavelengths; noise caused by specular scattering and unevenness of a sample in the near-infrared diffuse reflection spectrum can be eliminated, and baseline drift of the spectrum and non-repeatability of the spectrum are eliminated; the spectrum data obtained after the scattering correction can effectively eliminate the scattering influence, and the spectrum absorption information related to the component content is enhanced;
the derivative processing method (including 1st-derivative processing and 2nd-derivative processing, namely first derivative processing and second derivative processing) can effectively eliminate the spectrum baseline drift, thereby effectively eliminating noise interference; the derivation of the spectrum generally adopts a direct difference method and a modified Norris derivation method;
the smoothing filtering method (Savitzky-Golay, SG for short) is a filtering method based on local polynomial least square fitting in the time domain, and can ensure that the shape and width of a signal are unchanged while filtering noise.
Preferably, as shown in fig. 4, the specific step of S3 includes:
s31: making target near infrared spectra of all cream samples into a data set, equally dividing the data set into k parts by adopting a k-fold cross validation method, taking k-1 parts as a training set, and taking the rest parts as a test set;
s32: constructing the training model, setting training parameters of the training model, and training the training model by using the training set and the training parameters based on a support vector regression learning method to obtain the cream pigment prediction model;
wherein the training parameters include a learning rate and a number of iterations.
The embodiment is based on a k-fold cross validation method (or leave-one-out method), namely, only one part is taken out to serve as a test set, and the rest k-1 parts serve as training sets, so that the overfitting phenomenon can be effectively avoided, and the prediction accuracy of a subsequently obtained cream pigment prediction model is improved; based on a Support Vector Regression (SVR) learning method, a final decision function can be determined by using a few Support vectors without requiring the whole sample space, so that the practical problems of small samples, nonlinearity, over-learning, high dimensional number, local minimum points and the like can be solved well; the target near infrared spectrum in the training set is obtained based on a PCA method and comprises a group of main characteristic components which are linearly independent of each dimension, so that a cream pigment prediction model is obtained based on a support vector regression learning method and by training a training model by using a training set and training parameters, on one hand, the nonlinear problem can be effectively solved, the prediction effect is further effectively improved, on the other hand, the operation amount is small, the algorithm is simple, and the better robustness is achieved; among them, Support Vector Machines (SVMs) are an algorithm for classification, and the algorithm can be used for regression, and in this case, the algorithm is called a Support Vector regression learning method (SVR).
The traditional algorithm for classification also comprises a Partial Least Squares Regression method, a multiple linear Regression method and the like, wherein the Partial Least Squares Regression method (PLSR for short) is a multivariate statistical data analysis method, mainly researches on Regression modeling of multiple independent variables by multiple dependent variables, and is more effective particularly when the internal heights of the variables are linearly related; the Multiple Linear Regression (MLR) is a method of quantitatively describing the Linear dependence relationship between a dependent variable and a plurality of independent variables by using a Regression equation; these conventional regression classification methods described above are more suitable for linear cases than for training and classification of datasets containing near infrared spectra of objects in this embodiment.
Preferably, as shown in fig. 5, after S32, the method further includes the following steps:
s33: and verifying the cream pigment prediction model by using the test set, if the verification is passed, executing S4, and if the verification is not passed, returning to S31.
The cream pigment prediction model is verified through a test set, the prediction effect of the model can be evaluated, when the verification is passed, the accuracy of the cream pigment prediction model in the embodiment for determining the content of the artificial pigment in the cream can be expected, and when the verification is not passed, the accuracy of the cream pigment prediction model is not enough, the step S31 is required to be returned for retraining until the prediction model reaching the expected accuracy is obtained; through the verification steps, the accuracy of the cream pigment prediction model can be effectively ensured.
Preferably, the specific steps of S33 include;
s331: inputting the test set into the cream pigment prediction model, and respectively calculating a decision coefficient, a prediction mean square error and a relative analysis error;
the calculation formula of the decision coefficient is as follows:
the calculation formula of the prediction mean square error is as follows:
the calculation formula of the relative analysis error is as follows:
wherein R is2For the decision coefficient, RMSEP is the mean square error of the prediction, RPD is the relative analytical error, SD is the standard deviation of the test set, m is the total number of samples in the test set,for the predicted value of the t-th sample in the test set, YtFor the true value of the t-th sample in the test set,the average value of the real values of all samples in the test set is taken;
s332: and judging whether the cream pigment prediction model passes the verification according to the decision coefficient, the prediction root mean square error and the relative prediction deviation, if so, executing S4, otherwise, returning to S31.
Determining the coefficient R2The fitting degree of the whole regression equation can be measured (also called fitting goodness), the fitting degree is an overall relation between the expression dependent variable and all independent variables, the change of the dependent variable is described by the change of the independent variables, the maximum value of the decision coefficient is 1, and when the decision coefficient is closer to 1, the better the fitting degree of the regression equation to the predicted value is shown; the prediction mean square error RMSEP reflects the precision of a prediction model, and when the prediction mean square error is smaller, the higher the precision of the prediction model is, the stronger the prediction capability is; the relative prediction deviation RPD is an important evaluation parameter independent of the stability and accuracy of the model, and when the relative prediction deviation is higher, the stability and accuracy of the prediction model are higher; therefore, a good prediction model should have a high decision coefficient and RPD value and a low prediction mean square error, and this embodiment verifies the cream pigment prediction model of this embodiment by synthesizing the above-mentioned three evaluation indexes of decision coefficient, prediction root mean square error and relative prediction deviation, and can intuitively and effectively grasp the prediction ability, accuracy and stability of the cream pigment prediction model, thereby facilitating to determine the optimal cream pigment prediction model according to the grasped condition, ensuring that the final cream pigment prediction model is the optimal prediction model, and further ensuring that the accuracy of determination of the artificial pigment content in the fixed cream to be determined is always kept at a high level.
Specifically, in this embodiment, several different conventional preprocessing methods are adopted in S2, and then according to the methods from S31 to S33, a corresponding cream pigment prediction model is obtained and verified according to three evaluation indexes, so as to obtain different verification results; preprocessing by using the PCA of the embodiment, and verifying by using the methods from S31 to S33 to obtain a corresponding verification result; the results of the verification in all cases were compared, and the comparison is shown in table 1.
TABLE 1 comparison of the results of the different pretreatment methods
The pretreatment methods listed in table 1 were as follows:
none (no treatment), SNV (standard normal variable transformation), MSC (multivariate scattering correction method), 1 stderitive + MSC (first derivative treatment + multivariate scattering correction method), 1st deritive + SG (first derivative treatment + smoothing filter method) and PCA (principal component analysis method);
as can be seen from Table 1, the RMSEP was only 0.6843, R, when SNV alone was used for pretreatment2For 0.5689, RPD was 1.1108, whereas when pretreatment was performed using the 1st derivative + MSC combination, RMSEP was only 0.2816, R20.9271, RPD 3.3932, error is obviously reduced, accuracy is improved; after the PCA in the embodiment is adopted for pretreatment, the values of all evaluation indexes are greatly changed, and R is20.9501, RMSEP 0.2252 and RPD 4.1048, the accuracy is greatly improved. Therefore, the accuracy of the prediction model without preprocessing is low, and the prediction model after PCA preprocessing is optimal.
Specifically, in this embodiment, several different traditional regression classification algorithms are further respectively adopted to obtain different cream pigment prediction models, three evaluation indexes of the different cream pigment prediction models are calculated according to the method of S33, and meanwhile, the comparison is performed with the three evaluation indexes of the cream pigment prediction models obtained based on the support vector regression method in this embodiment, and the comparison conditions are shown in table 2.
TABLE 2 comparison of the results of the cream pigment prediction models obtained by different regression classification methods
The regression classification methods used, listed in table 2, were in the following order:
PLSR (partial least squares regression), MLR (multiple linear regression), and SVR (support vector regression); the preprocessing method corresponding to the partial least squares regression method listed in the third row of table 2 is PCA + MSC, which is different from the preprocessing methods corresponding to the other three regression classification methods, and the other three preprocessing methods are all PCA;
as can be seen from Table 2, support vector regression (RMSEP 0.2252, R)20.9501, RPD 4.1048), the prediction effect of the obtained cream pigment prediction model is the best, and compared with the models obtained by other two regression classification methods, the prediction effect is a qualitative leap; the method can be obtained by preprocessing the original near infrared spectrum based on the PCA method and accurately predicting the indigo color in the cream based on a cream pigment prediction model obtained by a Support Vector Regression (SVR) method, and has the advantages of higher correlation, smaller error and higher precision.
In a second embodiment, as shown in fig. 6, a system for measuring pigments in cream based on near infrared spectrum includes a spectrum obtaining module, a spectrum processing module, a model obtaining module and a pigment measuring module;
the spectrum acquisition module is used for acquiring a plurality of cream samples, performing near-infrared scanning on all the cream samples and acquiring original near-infrared spectrums corresponding to the cream samples one by one;
the spectrum processing module is used for respectively preprocessing the original near infrared spectrum of each cream sample to obtain a target near infrared spectrum corresponding to each cream sample one by one;
the model acquisition module is used for making target near infrared spectra of all cream samples into a data set, constructing a training model, and training the training model by using the data set to obtain a cream pigment prediction model;
and the pigment determination module is used for determining the cream to be determined by using the cream pigment prediction model to obtain a pigment determination result.
The embodiment is based on the near infrared spectrum, can effectively extract the component information of the artificial pigment in the cream, has high detection rate and high accuracy of the obtained information, thereby being capable of quickly and reliably determining the content of the artificial pigment in the cream, and having high detection efficiency and high accuracy.
Preferably, as shown in fig. 7, the spectrum acquisition module includes a sample acquisition unit, a scanning unit and an arithmetic unit;
the sample obtaining unit is used for obtaining a plurality of cream samples;
the scanning unit is used for respectively performing near-infrared scanning on each cream sample according to preset scanning times under a preset spectral resolution to obtain a near-infrared spectrum data set corresponding to each cream sample one by one;
the operation unit is used for selecting the near infrared spectrum data set of any one cream sample, obtaining the average spectrum of the selected cream sample according to the near infrared spectrum data set of the selected cream sample, and taking the average spectrum of the selected cream sample as the original near infrared spectrum of the selected cream sample.
In the embodiment, after the sample obtaining unit obtains the cream samples, the sample obtaining unit performs multiple near-infrared scans on each cream sample according to preset scanning times by scanning March to obtain a near-infrared spectrum data set of each cream sample; and then the average spectrum of the near infrared spectrum data set is used as the original near infrared spectrum of the corresponding cream sample through the operation unit, and the average spectrum is used as the original near infrared spectrum of each corresponding cream sample, so that the component information of the pigment in the real cream sample can be reflected, and the subsequent training effect can be improved conveniently.
Preferably, the spectral processing module is specifically configured to:
and respectively performing dimensionality reduction treatment on the original near infrared spectrum of each cream sample by using a principal component analysis method to obtain a target near infrared spectrum corresponding to each cream sample one by one.
The embodiment can obtain the principal component information with the largest influence on the determination of the pigment content in each original near infrared spectrum through a principal component analysis method, the processing effect is best, the obtained target near infrared spectrum is more favorable for the subsequent training of a training model, the obtained cream pigment determination model is an optimal model, and the optimal model is more accurate in determination of the pigment content in cream.
Preferably, as shown in fig. 7, the model obtaining module includes a data set making unit, a model building unit and a training unit;
the data set making unit is used for making the target near infrared spectra of all cream samples into the data set, equally dividing the data set into k parts by adopting a k-fold cross validation method, taking k-1 parts as a training set, and taking the rest part as a test set;
the model building unit is used for building the training model;
the training unit is used for setting training parameters of the training model, and training the training model by using the training set and the training parameters based on a support vector regression learning method to obtain the cream pigment prediction model;
wherein the training parameters include a learning rate and a number of iterations.
The data set making unit of the embodiment is based on a k-fold cross validation method (or leave-one-out method), namely only one part is taken out to be used as a test set, and the rest k-1 parts are used as training sets, so that the overfitting phenomenon can be effectively avoided, and the prediction accuracy of a subsequently obtained cream pigment prediction model is improved; the training unit is based on a Support Vector Regression (SVR) learning method, can determine a final decision function by using a few Support vectors without the need of the whole sample space, and can better solve the practical problems of small samples, nonlinearity, over-learning, high dimensional number, local minimum points and the like; and because the target near infrared spectrum in the training set is obtained based on the PCA method and comprises a group of main characteristic components which are linearly independent of each dimension, the cream pigment prediction model is obtained based on a support vector regression learning method and by training the training model by using the training set and the training parameters, on one hand, the nonlinear problem can be effectively solved, the prediction effect is further effectively improved, on the other hand, the operation amount is small, the algorithm is simple, and the robustness is better.
Preferably, as shown in fig. 7, the model acquisition module further comprises a verification unit;
and the verification unit is used for verifying the cream pigment prediction model by using the test set.
The cream pigment prediction model is verified by the verification unit through the test set, so that the prediction effect of the model can be evaluated, and the accuracy of the cream pigment prediction model is effectively ensured.
Third embodiment, based on the first embodiment and the second embodiment, the present embodiment further discloses a system for determining pigment in cream based on near infrared spectrum, which includes a processor, a memory, and a computer program stored in the memory and operable on the processor, wherein the computer program is operable to implement the specific steps S1 to S4 shown in fig. 1.
The method realizes the determination of the pigment content in the cream by the computer program stored on the memory and running on the processor, can effectively extract the component information of the artificial pigment in the cream based on the near infrared spectrum, has high detection speed and high accuracy of the obtained information, thereby being capable of quickly and reliably determining the content of the artificial pigment in the cream, and having high detection efficiency and high accuracy.
The present embodiment also provides a computer storage medium having at least one instruction stored thereon, where the instruction when executed implements the specific steps of S1-S4.
The method realizes the determination of the pigment content in the cream by executing the computer storage medium containing at least one instruction, can effectively extract the component information of the artificial pigment in the cream based on the near infrared spectrum, has high detection speed and high accuracy of the obtained information, thereby being capable of quickly and reliably determining the content of the artificial pigment in the cream, and having high detection efficiency and high accuracy.
Details of S1 to S4 in this embodiment are not described in detail in the first embodiment and the detailed description of fig. 1 to fig. 5, which are not repeated herein.
The above description is only for the purpose of illustrating the preferred embodiments of the present invention and is not to be construed as limiting the invention, and any modifications, equivalents, improvements and the like that fall within the spirit and principle of the present invention are intended to be included therein.
Claims (10)
Priority Applications (1)
| Application Number | Priority Date | Filing Date | Title |
|---|---|---|---|
| CN201911377382.9A CN111044483A (en) | 2019-12-27 | 2019-12-27 | A method, system and medium for determination of pigment in cream based on near-infrared spectroscopy |
Applications Claiming Priority (1)
| Application Number | Priority Date | Filing Date | Title |
|---|---|---|---|
| CN201911377382.9A CN111044483A (en) | 2019-12-27 | 2019-12-27 | A method, system and medium for determination of pigment in cream based on near-infrared spectroscopy |
Publications (1)
| Publication Number | Publication Date |
|---|---|
| CN111044483A true CN111044483A (en) | 2020-04-21 |
Family
ID=70239200
Family Applications (1)
| Application Number | Title | Priority Date | Filing Date |
|---|---|---|---|
| CN201911377382.9A Pending CN111044483A (en) | 2019-12-27 | 2019-12-27 | A method, system and medium for determination of pigment in cream based on near-infrared spectroscopy |
Country Status (1)
| Country | Link |
|---|---|
| CN (1) | CN111044483A (en) |
Cited By (10)
| Publication number | Priority date | Publication date | Assignee | Title |
|---|---|---|---|---|
| CN112067577A (en) * | 2020-08-18 | 2020-12-11 | 武汉工程大学 | Method, device and equipment for identifying overproof cream pigment based on support vector machine |
| CN112649390A (en) * | 2020-12-22 | 2021-04-13 | 内蒙合成化工研究所 | Adhesive moisture content monitoring method based on near infrared spectrum |
| CN113077006A (en) * | 2021-04-15 | 2021-07-06 | 天津大学 | Model training method and analysis method for analyzing quality of bio-oil |
| CN113504198A (en) * | 2021-06-15 | 2021-10-15 | 武汉工程大学 | Amaranth pigment concentration detection method and device and storage medium |
| CN113740293A (en) * | 2021-07-29 | 2021-12-03 | 北京易兴元石化科技有限公司 | Urea detection analysis method and device based on near-infrared modeling |
| CN113903407A (en) * | 2021-09-09 | 2022-01-07 | 中国科学院自动化研究所 | Component identification method, component identification device, electronic equipment and storage medium |
| CN114112992A (en) * | 2022-01-20 | 2022-03-01 | 武汉工程大学 | Detection method and device for blue pigment of cream and storage medium |
| CN116625980A (en) * | 2023-06-19 | 2023-08-22 | 云南省烟草农业科学研究院 | Method for nondestructively predicting chemical components of tobacco leaves in eggplant sleeves based on infrared spectrum technology |
| CN116735527A (en) * | 2023-06-09 | 2023-09-12 | 湖北经济学院 | A near-infrared spectrum optimization method, device, system and storage medium |
| CN118853288A (en) * | 2024-07-01 | 2024-10-29 | 广州市基优源食品有限公司 | A high-efficiency refining control method and system for animal fats |
Citations (5)
| Publication number | Priority date | Publication date | Assignee | Title |
|---|---|---|---|---|
| US20100297291A1 (en) * | 2007-09-21 | 2010-11-25 | Suntory Holdings Limited | Visible/near-infrared spectrum analyzing method and grape fermenting method |
| CN106290171A (en) * | 2016-07-27 | 2017-01-04 | 内蒙古大学 | Based on SVM and the maize leaf chlorophyll content of regression analysis and phenotypic parameter assay method |
| JP2017219536A (en) * | 2016-06-06 | 2017-12-14 | 一般財団法人雑賀技術研究所 | Method and device for measuring functional pigment composition of edible part of vegetable |
| CN107860740A (en) * | 2017-12-08 | 2018-03-30 | 中国农业科学院茶叶研究所 | A kind of evaluation method of the fermentation of black tea quality based on near-infrared spectrum technique |
| CN109034261A (en) * | 2018-08-10 | 2018-12-18 | 武汉工程大学 | A kind of Near Infrared Spectroscopy Data Analysis based on support vector machines |
-
2019
- 2019-12-27 CN CN201911377382.9A patent/CN111044483A/en active Pending
Patent Citations (5)
| Publication number | Priority date | Publication date | Assignee | Title |
|---|---|---|---|---|
| US20100297291A1 (en) * | 2007-09-21 | 2010-11-25 | Suntory Holdings Limited | Visible/near-infrared spectrum analyzing method and grape fermenting method |
| JP2017219536A (en) * | 2016-06-06 | 2017-12-14 | 一般財団法人雑賀技術研究所 | Method and device for measuring functional pigment composition of edible part of vegetable |
| CN106290171A (en) * | 2016-07-27 | 2017-01-04 | 内蒙古大学 | Based on SVM and the maize leaf chlorophyll content of regression analysis and phenotypic parameter assay method |
| CN107860740A (en) * | 2017-12-08 | 2018-03-30 | 中国农业科学院茶叶研究所 | A kind of evaluation method of the fermentation of black tea quality based on near-infrared spectrum technique |
| CN109034261A (en) * | 2018-08-10 | 2018-12-18 | 武汉工程大学 | A kind of Near Infrared Spectroscopy Data Analysis based on support vector machines |
Non-Patent Citations (2)
| Title |
|---|
| 刘军;吴梦婷;谭正林;李威;: "近红外光谱无损检测技术中数据的分析方法概述", vol. 39, no. 5, pages 496 - 502 * |
| 杨旭等,: "农产品质量安全光学无损检测技术及应用", vol. 2, 北京理工大学出版社, pages: 145 - 146 * |
Cited By (13)
| Publication number | Priority date | Publication date | Assignee | Title |
|---|---|---|---|---|
| CN112067577A (en) * | 2020-08-18 | 2020-12-11 | 武汉工程大学 | Method, device and equipment for identifying overproof cream pigment based on support vector machine |
| CN112649390A (en) * | 2020-12-22 | 2021-04-13 | 内蒙合成化工研究所 | Adhesive moisture content monitoring method based on near infrared spectrum |
| CN113077006A (en) * | 2021-04-15 | 2021-07-06 | 天津大学 | Model training method and analysis method for analyzing quality of bio-oil |
| CN113504198A (en) * | 2021-06-15 | 2021-10-15 | 武汉工程大学 | Amaranth pigment concentration detection method and device and storage medium |
| CN113740293B (en) * | 2021-07-29 | 2024-03-05 | 北京易兴元石化科技有限公司 | Urea detection and analysis method and device based on near-infrared modeling |
| CN113740293A (en) * | 2021-07-29 | 2021-12-03 | 北京易兴元石化科技有限公司 | Urea detection analysis method and device based on near-infrared modeling |
| CN113903407A (en) * | 2021-09-09 | 2022-01-07 | 中国科学院自动化研究所 | Component identification method, component identification device, electronic equipment and storage medium |
| CN114112992A (en) * | 2022-01-20 | 2022-03-01 | 武汉工程大学 | Detection method and device for blue pigment of cream and storage medium |
| CN114112992B (en) * | 2022-01-20 | 2022-04-12 | 武汉工程大学 | Detection method and device for blue pigment of cream and storage medium |
| CN116735527A (en) * | 2023-06-09 | 2023-09-12 | 湖北经济学院 | A near-infrared spectrum optimization method, device, system and storage medium |
| CN116735527B (en) * | 2023-06-09 | 2024-01-05 | 湖北经济学院 | Near infrared spectrum optimization method, device and system and storage medium |
| CN116625980A (en) * | 2023-06-19 | 2023-08-22 | 云南省烟草农业科学研究院 | Method for nondestructively predicting chemical components of tobacco leaves in eggplant sleeves based on infrared spectrum technology |
| CN118853288A (en) * | 2024-07-01 | 2024-10-29 | 广州市基优源食品有限公司 | A high-efficiency refining control method and system for animal fats |
Similar Documents
| Publication | Publication Date | Title |
|---|---|---|
| CN111044483A (en) | A method, system and medium for determination of pigment in cream based on near-infrared spectroscopy | |
| Dixit et al. | Developments and challenges in online NIR spectroscopy for meat processing | |
| Huang et al. | Improved generalization of spectral models associated with Vis-NIR spectroscopy for determining the moisture content of different tea leaves | |
| ElMasry et al. | Chemical-free assessment and mapping of major constituents in beef using hyperspectral imaging | |
| CN103278464B (en) | Flesh of fish detection method and device | |
| CN105092519B (en) | Sample component assay method based on increment PLS | |
| CN109540836A (en) | Near infrared spectrum pol detection method and system based on BP artificial neural network | |
| Su et al. | Multivariate analysis of hyper/multi-spectra for determining volatile compounds and visualizing cooking degree during low-temperature baking of tubers | |
| Yu et al. | Rapid and visual measurement of fat content in peanuts by using the hyperspectral imaging technique with chemometrics | |
| Yao et al. | On-line monitoring of egg freshness using a portable NIR spectrometer combined with deep learning algorithm | |
| CN106841053B (en) | A kind of rapid identification method of jujube variety | |
| CN117191739A (en) | A method and system for quantitative near-infrared spectroscopy detection that corrects moisture interference | |
| Huang et al. | Multigranularity cascade forest algorithm based on hyperspectral imaging to detect moisture content in Daqu | |
| Liu et al. | Non-destructive detection of single corn seed vigor based on visible/near-infrared spatially resolved spectroscopy combined with chemometrics | |
| Wang et al. | SVM classification method of waxy corn seeds with different vitality levels based on hyperspectral imaging | |
| CN118758892A (en) | A non-destructive rapid detection method for fish texture of different freshness | |
| CN110672578A (en) | Model universality and stability verification method for polar component detection of frying oil | |
| CN113504198A (en) | Amaranth pigment concentration detection method and device and storage medium | |
| Medic et al. | Remotely sensing inner fruit quality using multispectral LiDAR: Estimating sugar and dry matter content in apples | |
| JP2018054305A (en) | Calibration device and calibration curve creation method | |
| Tegegn et al. | Convolutional neural networks for quantitative prediction of different organic materials using near-infrared spectrum | |
| CN111122635B (en) | Online evaluation method and system for edible fungus drying state | |
| Sun et al. | Data mean and ratio of absorbance to concentration methods: A novel optimization strategy for near infrared spectroscopy modeling | |
| CN117871459A (en) | A method and system for determining crude fat content of mutton | |
| CN110632024B (en) | Quantitative analysis method, device and equipment based on infrared spectrum and storage medium |
Legal Events
| Date | Code | Title | Description |
|---|---|---|---|
| PB01 | Publication | ||
| PB01 | Publication | ||
| SE01 | Entry into force of request for substantive examination | ||
| SE01 | Entry into force of request for substantive examination | ||
| RJ01 | Rejection of invention patent application after publication | ||
| RJ01 | Rejection of invention patent application after publication |
Application publication date: 20200421 |
















