CN111037048A - 一种电弧增材制造单道熔覆层竖向搭接形貌的控制方法 - Google Patents
一种电弧增材制造单道熔覆层竖向搭接形貌的控制方法 Download PDFInfo
- Publication number
- CN111037048A CN111037048A CN201911249233.4A CN201911249233A CN111037048A CN 111037048 A CN111037048 A CN 111037048A CN 201911249233 A CN201911249233 A CN 201911249233A CN 111037048 A CN111037048 A CN 111037048A
- Authority
- CN
- China
- Prior art keywords
- cladding layer
- height
- additive manufacturing
- parabolic
- layer
- Prior art date
- Legal status (The legal status is an assumption and is not a legal conclusion. Google has not performed a legal analysis and makes no representation as to the accuracy of the status listed.)
- Granted
Links
Images
Classifications
-
- B—PERFORMING OPERATIONS; TRANSPORTING
- B23—MACHINE TOOLS; METAL-WORKING NOT OTHERWISE PROVIDED FOR
- B23K—SOLDERING OR UNSOLDERING; WELDING; CLADDING OR PLATING BY SOLDERING OR WELDING; CUTTING BY APPLYING HEAT LOCALLY, e.g. FLAME CUTTING; WORKING BY LASER BEAM
- B23K9/00—Arc welding or cutting
- B23K9/04—Welding for other purposes than joining, e.g. built-up welding
Landscapes
- Engineering & Computer Science (AREA)
- Physics & Mathematics (AREA)
- Plasma & Fusion (AREA)
- Mechanical Engineering (AREA)
- Optical Elements Other Than Lenses (AREA)
Abstract
本发明公开了一种电弧增材制造单道熔覆层竖向搭接形貌的控制方法,首先在成形基板上成形第一熔覆层,通过测量第一熔覆层的宽度、高度来确定抛物线拟合参数,根据拟合参数确定最佳层高,然后根据拟合参数保持熔覆层润湿性条件稳定的前提下,进行第二熔覆层的成形,从而实现了对第一熔覆层到第二熔覆层搭接形貌的控制;将第二熔覆层作为新的熔覆层,再对新的熔覆层的搭接形貌进行控制,直至竖向搭接结束,实现了熔覆层竖向搭接形貌的控制。本发明一种电弧增材制造单道熔覆层竖向搭接形貌的控制方法,对熔覆层竖向搭接形貌的控制效果与实际情况符合,准确度高,可以实现较好的熔覆层竖向搭接效果。
Description
技术领域
本发明属于增材制造技术领域,涉及一种电弧增材制造单道熔覆层竖向搭接形貌的控制方法。
背景技术
电弧增材制造技术(Wire Arc Additive Manufacture,WAAM)是一种利用逐层熔覆原理,以电弧为热源,在数字化程序的控制下,通过丝材的送给以及三维数字模型由线-面-体逐步成形出金属零件的先进数字化制造技术。目前,电弧增材技术在提高成形零件表面质量、降低粗糙度方面仍面临较大的挑战。传统的研究方法往往是通过改变成形工艺参数(焊接速度、送丝速度、焊接电流、焊接电压)来提高成形零件的表面质量,但此方法的局限性较大,没有从本质上分析影响熔池凝固后的形貌、搭接形貌的因素。
哈尔滨工业大学的研究人员通过计算机检测反馈系统来调节电弧增材制造中熔覆工艺参数,从而提高成形零件表面质量;湘潭大学的研究人员结合计算机检测反馈系统以及冷却系统进一步优化了成形工艺参数,从而进一步优化了电弧增材制造表面质量控制效果;因熔覆层凝固后的形貌以及搭接形貌直接决定了成形质量,而上述方法的适用性有限,因此上述方法对成形控制效果有限。清华大学的研究人员基于抛物线模型,通过调节搭接参数来主动控制搭接形貌,实现了横向堆焊较好的控制效果,但该方法仅适用于横向搭接成形,不适合成形的竖向成形控制,特别是对于增材制造中沉积方向(竖向)层间高度、搭接形貌的控制。
发明内容
本发明的目的是提供一种电弧增材制造单道熔覆层竖向搭接形貌的控制方法,解决了现有技术中存在的增材制造中竖向沉积的层间高度、搭接形貌难以有效控制的问题。
本发明所采用的技术方案是,一种电弧增材制造单道熔覆层竖向搭接形貌的控制方法,具体按照以下步骤实施:
步骤1,采用电弧在基板上成形第一熔覆层,确定第一熔覆层截面的抛物线拟合参数,建立熔覆层抛物线模型;
步骤2,根据熔覆层抛物线模型确定熔覆层的最佳层高,根据最佳层高在第一熔覆层的基础上搭接第二熔覆层;
步骤3,将第二熔覆层作为新的熔覆层,根据最佳层高在其上搭接熔覆层,如此循环,直至得到单道熔覆层竖向搭接的成形零件。
本发明的特点还在于:
确定第一熔覆层截面的抛物线拟合参数具体为:
在第一熔覆层的中部区域测量其宽度L,单位为mm,测量其高度H,单位为mm,测量次数至少为5次,分别取平均值,得到第一熔覆层截面的抛物线拟合参数分别为:a=4H/L2,b=H。
步骤1中,熔覆层抛物线模型具体如下:
y=-ax2+b (1),
式(1)中,a表示抛物线系数;b表示抛物线系数,为熔覆层的高度;x表示熔覆层宽度方向的数值,y表示熔覆层高度方向的数值。
在熔覆层抛物线模型中,定义L/H=2表征熔覆层润湿性的临界值;L/H>2表示熔覆层的润湿性较好;0<L/H<2表示熔覆层的润湿性较差。
步骤2中,确定熔覆层的最佳层高具体如下:
在熔覆层润湿性较差时,根据牛顿-莱布尼茨积分定理,可得最佳层高ΔZ:
式(2)中,Lmax表示熔覆层的最大宽度,单位mm。
步骤3中,控制前一道熔覆层中部区域的温度与相邻的后一道熔覆层中部区域的温度相同。
本发明的有益效果是:
(1)、本发明一种电弧增材制造单道熔覆层竖向搭接形貌的控制方法,实现了对电弧增材制造过程中竖向熔覆层搭接区域形貌、搭接高度等的有效、准确调控,保证熔覆层竖向搭接过程中的形貌,提高零件表面质量,具有很高的应用价值;
(2)、在熔覆层堆积过程中,由于每一道熔覆层熔化金属体积不同,熔化后液态金属的润湿性不同,重叠区域也不同,故最终成形的薄壁截面形貌也将不同,而成形薄壁的表面粗糙度、垂直度等最终取决于薄壁截面形貌,本发明一种电弧增材制造单道熔覆层竖向搭接形貌的控制方法可以有效控制熔覆层之间搭接形成的形貌,解决了成形零件的表面质量搭接,同时也可明确了成形参数对成形结果的影响;
(3)、本发明一种电弧增材制造单道熔覆层竖向搭接形貌的控制方法,采用抛物线模型对单道熔覆形貌轮廓进行拟合,结合层间熔覆层的润湿性以及层间搭接,推导出了基于润湿性以及层间高度的熔覆层形貌控制抛物线模型;本发明一种电弧增材制造单道熔覆层竖向搭接形貌的控制方法,准确度较高,可以实现较好的熔覆层竖向搭接效果;
(4)、本发明一种电弧增材制造单道熔覆层竖向搭接形貌的控制方法,也可用于激光、电子束等增材制造领域,用于控制熔覆层竖向搭接过程中的形貌,对增材制造技术的发展具有较大价值。
附图说明
图1是本发明一种电弧增材制造单道熔覆层竖向搭接形貌的控制方法中的抛物线模型对第一熔覆层截面形貌的拟合示意图;
图2是本发明单道熔覆层截面的抛物线模型示意图;
图3是本发明单道熔覆层的层高示意图;
图4是采用本发明一种电弧增材制造单道熔覆层竖向搭接形貌的控制方法成形零件的示意图。
具体实施方式
下面结合附图和具体实施方式对本发明进行详细说明。
本发明公开的一种电弧增材制造单道熔覆层竖向搭接形貌的控制方法,具体按照以下步骤实施:
步骤1,采用电弧在基板上成形第一熔覆层,获得熔覆层中部区域的横截面积,测量其宽度L,单位为mm,测量其高度H,单位为mm,测量次数至少为5次,分别取平均值,得到第一熔覆层截面的抛物线拟合参数分别为:a=4H/L2,b=H;然后建立熔覆层抛物线模型;
如图1所示,采用本发明的熔覆层抛物线模型对第一熔覆层截面外轮廓形貌进行拟合得到抛物线拟合结果图,与第一熔覆层截面外轮廓形貌的对比可知,本发明的抛物线模型对第一熔覆层截面外轮廓形貌进行了完整、准确地模拟;
熔覆层抛物线模型,如图2所示,具体表述如下:
y=-ax2+b (1),
式(1)中,a表示抛物线系数;b表示抛物线系数,为熔覆层的高度;x表示熔覆层宽度方向的数值,y表示熔覆层高度方向的数值;
在熔覆层抛物线模型中,定义L/H=2表征熔覆层润湿性的临界值;L/H>2表示熔覆层的润湿性较好;0<L/H<2表示熔覆层的润湿性较差;
步骤2,根据熔覆层抛物线模型确定熔覆层的最佳层高,根据最佳层高在第一熔覆层的基础上搭接第二熔覆层;
最佳层高ΔZ是增材制造过程中每一层熔覆材料熔化凝固结束后,成形件高度方向增加或减小的最佳一个高度,当高度过大时,粉末、丝材等无法在基板上成形或成形质量差;当高度过小时,实际成形的高度会大于增材的高度,会导致成形件碰撞成形装置,导致无法成形或成形质量差,因此,存在一个高度可以使成形进行下去且得到的成形件的表面质量最佳。
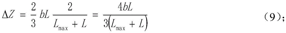
针对熔覆层润湿性较差时,根据牛顿-莱布尼茨积分定理,可得最佳层高ΔZ:
式(2)中,Lmax表示熔覆层的最大宽度,单位mm。
如图3所示,在第二熔覆层熔化成形时,首先会熔化第一熔覆层顶部区域面积SCDE,在重力以及电弧的作用下,熔化的金属会流向熔覆层侧边AB以及FG,此时存在面积SADG=SABFG、SCDE=SABC+SEFG;在表面张力、重力的作用下,AB、FG实际为一段曲线,由于熔覆层的铺展性较差,AB、FG不能近似为曲线,对曲线ABK围成的面积SABK近似设定:曲线ABK围成的面积SABK等于三角形ABK的面积,三角形ABK的底边长度为ΔZ,即L1,单位为mm,垂直于底边的高度为H1,H1=(Lmax-L)/2,单位为mm;
熔覆层的最大宽度Lmax,即K、J之间直线的长度,单位为mm;熔覆层的宽度为L,单位为mm;LAB表示矩形SABFG的宽度,单位为mm,LAG表示矩形SABFG的长度,单位为mm,
具体推导过程如下:
SADG=SABFG+SABK+SFJG (7),
步骤3,将第二熔覆层作为新的熔覆层,根据最佳层高在其上搭接熔覆层,如此循环,直至得到单道熔覆层竖向搭接的成形零件,如图4所示;同时,控制前一道熔覆层中部区域的温度与相邻的后一道熔覆层中部区域的温度相同。
图4为熔覆层在润湿较差情况下,采用本发明一种电弧增材制造单道熔覆层竖向搭接形貌的控制方法成形零件的示意图,可以看出,本发明一种电弧增材制造单道熔覆层竖向搭接形貌的控制方法对电弧增材制造竖向熔覆层搭接的控制效果较好。
Claims (6)
1.一种电弧增材制造单道熔覆层竖向搭接形貌的控制方法,其特征在于,具体按照以下步骤实施:
步骤1,采用电弧在基板上成形第一熔覆层,确定所述第一熔覆层截面的抛物线拟合参数,建立熔覆层抛物线模型;
步骤2,根据所述熔覆层抛物线模型确定熔覆层的最佳层高,根据所述最佳层高在第一熔覆层的基础上搭接第二熔覆层;
步骤3,将所述第二熔覆层作为新的熔覆层,根据所述最佳层高在其上搭接熔覆层,如此循环,直至得到单道熔覆层竖向搭接的成形零件。
2.根据权利要求1所述的一种电弧增材制造单道熔覆层竖向搭接形貌的控制方法,其特征在于,所述确定第一熔覆层截面的抛物线拟合参数具体为:
在所述第一熔覆层的中部区域测量其宽度L,单位为mm,测量其高度H,单位为mm,测量次数至少为5次,分别取平均值,得到第一熔覆层截面的抛物线拟合参数分别为:a=4H/L2,b=H。
3.根据权利要求2所述的一种电弧增材制造单道熔覆层竖向搭接形貌的控制方法,其特征在于,步骤1中,所述熔覆层抛物线模型具体如下:
y=-ax2+b (1),
式(1)中,a表示抛物线系数;b表示抛物线系数,为熔覆层的高度;x表示熔覆层宽度方向的数值,y表示熔覆层高度方向的数值。
4.根据权利要求3所述的一种电弧增材制造单道熔覆层竖向搭接形貌的控制方法,其特征在于,在所述熔覆层抛物线模型中,定义L/H=2表征熔覆层润湿性的临界值;L/H>2表示熔覆层的润湿性较好;0<L/H<2表示熔覆层的润湿性较差。
6.根据权利要求1所述的一种电弧增材制造单道熔覆层竖向搭接形貌的控制方法,其特征在于,所述步骤3中,控制前一道熔覆层中部区域的温度与相邻的后一道熔覆层中部区域的温度相同。
Priority Applications (1)
| Application Number | Priority Date | Filing Date | Title |
|---|---|---|---|
| CN201911249233.4A CN111037048B (zh) | 2019-12-09 | 2019-12-09 | 一种电弧增材制造单道熔覆层竖向搭接形貌的控制方法 |
Applications Claiming Priority (1)
| Application Number | Priority Date | Filing Date | Title |
|---|---|---|---|
| CN201911249233.4A CN111037048B (zh) | 2019-12-09 | 2019-12-09 | 一种电弧增材制造单道熔覆层竖向搭接形貌的控制方法 |
Publications (2)
| Publication Number | Publication Date |
|---|---|
| CN111037048A true CN111037048A (zh) | 2020-04-21 |
| CN111037048B CN111037048B (zh) | 2021-06-29 |
Family
ID=70235070
Family Applications (1)
| Application Number | Title | Priority Date | Filing Date |
|---|---|---|---|
| CN201911249233.4A Active CN111037048B (zh) | 2019-12-09 | 2019-12-09 | 一种电弧增材制造单道熔覆层竖向搭接形貌的控制方法 |
Country Status (1)
| Country | Link |
|---|---|
| CN (1) | CN111037048B (zh) |
Cited By (1)
| Publication number | Priority date | Publication date | Assignee | Title |
|---|---|---|---|---|
| CN113249723A (zh) * | 2021-06-28 | 2021-08-13 | 成都飞机工业(集团)有限责任公司 | 一种基于数据库系统的cmt电弧表面熔覆方法 |
Citations (4)
| Publication number | Priority date | Publication date | Assignee | Title |
|---|---|---|---|---|
| JP2018027558A (ja) * | 2016-08-18 | 2018-02-22 | 国立大学法人山梨大学 | 三次元造形のためのコンピュータ支援製造装置,方法およびプログラム,三次元造形のための制御プログラム生成装置,ならびに三次元造形システム |
| CN107796328A (zh) * | 2017-09-21 | 2018-03-13 | 西南交通大学 | 金属增材制造熔池形貌三维视觉传感器及检测方法 |
| US20180339451A1 (en) * | 2017-05-25 | 2018-11-29 | Korea Institute Of Science And Technology | Nozzle for three-dimensional (3d) printer including eccentric discharge port and 3d printer including nozzle |
| CN109158730A (zh) * | 2018-10-29 | 2019-01-08 | 清华大学 | 一种电弧增材制造中焊道的横向连接形貌预测方法 |
-
2019
- 2019-12-09 CN CN201911249233.4A patent/CN111037048B/zh active Active
Patent Citations (4)
| Publication number | Priority date | Publication date | Assignee | Title |
|---|---|---|---|---|
| JP2018027558A (ja) * | 2016-08-18 | 2018-02-22 | 国立大学法人山梨大学 | 三次元造形のためのコンピュータ支援製造装置,方法およびプログラム,三次元造形のための制御プログラム生成装置,ならびに三次元造形システム |
| US20180339451A1 (en) * | 2017-05-25 | 2018-11-29 | Korea Institute Of Science And Technology | Nozzle for three-dimensional (3d) printer including eccentric discharge port and 3d printer including nozzle |
| CN107796328A (zh) * | 2017-09-21 | 2018-03-13 | 西南交通大学 | 金属增材制造熔池形貌三维视觉传感器及检测方法 |
| CN109158730A (zh) * | 2018-10-29 | 2019-01-08 | 清华大学 | 一种电弧增材制造中焊道的横向连接形貌预测方法 |
Non-Patent Citations (1)
| Title |
|---|
| JAYAPRAKASHSHARMAPANCHAGNULA: "Manufactureofcomplexthin-walledmetallicobjectsusingweld-depositionbasedadditivemanufacturing", 《ROBOTICSANDCOMPUTER–INTEGRATEDMANUFACTURING》 * |
Cited By (1)
| Publication number | Priority date | Publication date | Assignee | Title |
|---|---|---|---|---|
| CN113249723A (zh) * | 2021-06-28 | 2021-08-13 | 成都飞机工业(集团)有限责任公司 | 一种基于数据库系统的cmt电弧表面熔覆方法 |
Also Published As
| Publication number | Publication date |
|---|---|
| CN111037048B (zh) | 2021-06-29 |
Similar Documents
| Publication | Publication Date | Title |
|---|---|---|
| CN109128437B (zh) | 基于电流传感的交叉路径金属构件gma增材制造方法 | |
| CN106392270B (zh) | 用电弧增材制造铝合金多层单道闭合结构件的方法 | |
| CN106956060B (zh) | 电磁感应加热主动控制电弧增材制造层间温度的方法 | |
| CN108480821B (zh) | 一种圆形截面随形冷却流道的电弧增材制造方法 | |
| CN112364449B (zh) | 一种增材制造零件表面粗糙度的预测方法 | |
| CN103231056B (zh) | 一种不等宽构件的激光直接成形方法 | |
| WO2019000523A1 (zh) | 一种电弧熔积与激光冲击锻打复合快速成形零件的方法及其装置 | |
| CN106216678B (zh) | 激光成形均匀变高零件的方法 | |
| CN110802300A (zh) | 一种电弧增材制造过程中成形精度与质量控制的设备与方法 | |
| CN107159886A (zh) | 自适应变熔池激光增材制造工艺 | |
| CN113477943B (zh) | 一种金属材料的增材制造方法 | |
| CN111417485A (zh) | 造型物的制造方法以及制造装置 | |
| CN109732183B (zh) | 一种磁控等离子弧增材制造方法 | |
| CN111037048B (zh) | 一种电弧增材制造单道熔覆层竖向搭接形貌的控制方法 | |
| CN108213659A (zh) | 交叉结构件gta填丝增材制造成形控制方法 | |
| EP4140741A1 (en) | Method for prefabricating poor fusion defects by controlling lmd process | |
| CN111037049B (zh) | 基于润湿性的熔覆层竖向搭接形貌的控制方法 | |
| WO2023142212A1 (zh) | 一种闭环控制激光功率改善工件塌边问题的装置和方法 | |
| EP3840906B1 (en) | Additive manufacture | |
| CN106424726A (zh) | 激光成形均匀变宽零件的方法 | |
| Zhao et al. | Effect of laser cladding on forming qualities of YCF101 alloy powder in the different lap joint modes | |
| WO2019024077A1 (zh) | 粉末烧结3d打印系统及其供粉方法 | |
| CN108875149A (zh) | 一种gma增材制造堆积道形态调控方法 | |
| CN108723550A (zh) | 前馈补偿的gta填丝增材制造成形高度反馈控制方法 | |
| CN113042749B (zh) | 一种激光粉末床熔融近表层成形缺陷实时消除方法 |
Legal Events
| Date | Code | Title | Description |
|---|---|---|---|
| PB01 | Publication | ||
| PB01 | Publication | ||
| SE01 | Entry into force of request for substantive examination | ||
| SE01 | Entry into force of request for substantive examination | ||
| GR01 | Patent grant | ||
| GR01 | Patent grant |









