CN110913535B - Control parameter adjusting method and device, and detection method and device of LED lamp - Google Patents
Control parameter adjusting method and device, and detection method and device of LED lamp Download PDFInfo
- Publication number
- CN110913535B CN110913535B CN201911276849.0A CN201911276849A CN110913535B CN 110913535 B CN110913535 B CN 110913535B CN 201911276849 A CN201911276849 A CN 201911276849A CN 110913535 B CN110913535 B CN 110913535B
- Authority
- CN
- China
- Prior art keywords
- parameter
- brightness
- led lamp
- current
- preset
- Prior art date
- Legal status (The legal status is an assumption and is not a legal conclusion. Google has not performed a legal analysis and makes no representation as to the accuracy of the status listed.)
- Active
Links
- 238000000034 method Methods 0.000 title claims abstract description 48
- 238000001514 detection method Methods 0.000 title claims description 27
- 235000019557 luminance Nutrition 0.000 description 31
- 239000003086 colorant Substances 0.000 description 5
- 239000000463 material Substances 0.000 description 4
- 238000004364 calculation method Methods 0.000 description 2
- 238000010586 diagram Methods 0.000 description 2
- 230000003247 decreasing effect Effects 0.000 description 1
- 238000012986 modification Methods 0.000 description 1
- 230000004048 modification Effects 0.000 description 1
- 230000003287 optical effect Effects 0.000 description 1
Images
Landscapes
- Circuit Arrangement For Electric Light Sources In General (AREA)
Abstract
The invention discloses a method for adjusting control parameters of an LED lamp, which comprises the following steps: when the LED lamp is driven according to the preset current, acquiring the current luminous first brightness of the LED lamp; determining a first current corresponding to the first brightness; determining an adjusting parameter according to the preset current and the first current; and adjusting the preset brightness control parameter of the LED lamp according to the adjusting parameter. The invention also discloses a parameter adjusting device and a detecting device. The invention aims to realize the accurate calibration of the control parameters of the LED lamp so as to ensure the brightness consistency of different LED lamps.
Description
Technical Field
The invention relates to the technical field of LED lamps, in particular to an LED lamp control parameter adjusting method, an LED lamp detecting method, a parameter adjusting device and a detecting device.
Background
Most of the existing LED lamps are driven in a PWM (pulse width modulation) mode, in the control mode, a driving circuit adjusts the duty ratio of pulses according to numerical values in a register, and different numerical values represent different light brightness so as to realize brightness control of the LED lamps.
However, due to the reasons of materials and assembly, even if different LED lamps are controlled by using the same register value, the actual luminance of light emission is different from the set luminance, which causes the luminance of LED lamps on the same product to be inconsistent, and affects the product quality.
The above is only for the purpose of assisting understanding of the technical aspects of the present invention, and does not represent an admission that the above is prior art.
Disclosure of Invention
The invention mainly aims to provide an LED lamp control parameter adjusting method, which aims to realize accurate calibration of LED lamp control parameters so as to ensure the brightness consistency of different LED lamps.
In order to achieve the above object, the present invention provides a method for adjusting LED lamp control parameters, comprising the steps of:
when the LED lamp is driven according to the preset current, acquiring the current luminous first brightness of the LED lamp;
determining a first current corresponding to the first brightness;
determining an adjusting parameter according to the preset current and the first current;
and adjusting the preset brightness control parameter of the LED lamp according to the adjusting parameter.
Optionally, the step of determining an adjustment parameter according to the preset current and the first current includes:
determining a difference between the preset current and the first current;
and determining the adjusting parameter according to the ratio of the difference value to the preset current.
Optionally, the LED lamp is a three-color LED lamp, the three-color LED lamp has a first color channel, a second color channel, and a third color channel, and the step of obtaining a first luminance of the LED lamp, which is currently emitted by the LED lamp, when the LED lamp is driven according to a preset current includes:
when the preset current is input into the first color channel, acquiring a first brightness parameter of the LED lamp;
when the preset current is input into the second color channel, acquiring a second brightness parameter of the LED lamp;
when the preset current is input into the third color channel, acquiring a third brightness parameter of the LED lamp;
determining a first current parameter, a second current parameter and a third current parameter corresponding to the first brightness parameter, the second brightness parameter and the third brightness parameter;
taking the first current parameter, the second current parameter, and the third current parameter as the first current;
the step of determining an adjustment parameter based on the preset current and the first current comprises:
determining a first adjusting parameter according to the first current parameter and the preset current, determining a second adjusting parameter according to the second current parameter and the preset current, and determining a third adjusting parameter according to the third current parameter and the preset current;
the step of adjusting the preset brightness control parameter of the LED lamp according to the adjustment parameter comprises the following steps:
and adjusting a first preset brightness control parameter corresponding to the first color channel according to the first adjustment parameter, adjusting a second preset brightness control parameter corresponding to the second color channel according to the second adjustment parameter, and adjusting a third preset brightness control parameter corresponding to the third color channel according to the third adjustment parameter.
Optionally, after the step of determining an adjustment parameter according to the preset current and the first current, the method further includes:
acquiring a first preset brightness threshold corresponding to the first color channel, a second preset brightness threshold corresponding to the second color channel and a third preset brightness threshold corresponding to the third color channel;
and adjusting the first preset brightness threshold, the second preset brightness threshold and the third preset brightness threshold according to the first adjustment parameter, the second adjustment parameter and the third adjustment parameter.
Optionally, the step of adjusting the first preset brightness threshold, the second preset brightness threshold, and the third preset brightness threshold according to the first adjustment parameter, the second adjustment parameter, and the third adjustment parameter includes:
determining a target adjustment parameter among the first adjustment parameter, the second adjustment parameter, and the third adjustment parameter;
determining the first adjustment value according to the target adjustment parameter and the first adjustment parameter, determining the second adjustment value according to the target adjustment parameter and the second adjustment parameter, and determining the third adjustment value according to the target adjustment parameter and the third adjustment parameter;
and adjusting the first preset brightness threshold according to the first adjustment value, adjusting the second preset brightness threshold according to the second adjustment value, and adjusting the third preset brightness threshold according to the third adjustment value.
Optionally, the step of determining a target adjustment parameter among the first adjustment parameter, the second adjustment parameter, and the third adjustment parameter includes:
and taking the parameter with the largest value in the first adjustment parameter, the second adjustment parameter and the third adjustment parameter as the target adjustment parameter.
In addition, in order to achieve the above object, the present application further provides an LED lamp detection method, based on the LED lamp control parameter adjusting method according to any one of the above items, where the LED lamp detection method includes:
respectively adjusting preset brightness control parameters corresponding to the LED lamps by adopting the LED lamp control parameter adjusting method;
respectively controlling the corresponding LED lamps to operate according to the adjusted preset brightness control parameters;
acquiring the luminous brightness value of each LED lamp;
and judging whether the brightness of the LED lamps is consistent or not according to the brightness value.
Optionally, the step of determining whether the light-emitting brightness of each LED lamp is consistent according to the brightness value includes:
determining a brightness difference between the brightness values;
when the brightness difference is within a preset range, judging that the brightness of each LED lamp is consistent;
and when the brightness difference is out of a preset range, judging that the brightness of the LED lamps is inconsistent.
In addition, in order to achieve the above object, the present application also provides a parameter adjusting apparatus, including: a memory, a processor and a parameter adjustment program stored on the memory and executable on the processor, the parameter adjustment program when executed by the processor implementing the steps of the LED lamp control parameter adjustment method as described in any one of the above.
Further, in order to achieve the above object, the present application also provides a detection apparatus comprising: the LED lamp detection system comprises a memory, a processor and an LED lamp detection program stored on the memory and capable of running on the processor, wherein the steps of the LED lamp detection method are realized when the LED lamp detection program is executed by the processor.
The invention provides an LED lamp control parameter adjusting method, which is characterized in that when an LED lamp is driven according to preset current, the brightness of the LED lamp is obtained as first brightness, corresponding first current is determined according to the first brightness, an adjusting parameter is determined according to the preset current and the first current, and the preset brightness control parameter of the LED lamp is adjusted according to the determined adjusting parameter. In the method, because the difference between the actual brightness and the preset brightness of the LED lamp can reflect the brightness deviation of the LED lamp caused by the factors such as materials, assembly and the like, the accurate adjustment of the preset brightness control parameter of the LED lamp can be realized based on the preset current and the adjustment parameter determined by the first current corresponding to the preset brightness and the actual brightness, and the brightness of different LED lamps can be consistent when the different LED lamps operate according to the corresponding preset brightness control parameters.
Drawings
FIG. 1 is a diagram illustrating the hardware configuration involved in the operation of an embodiment of the parameter adjustment apparatus of the present invention;
fig. 2 is a schematic flow chart of a first embodiment of a method for adjusting LED lamp control parameters according to the present invention;
fig. 3 is a schematic flow chart of a second embodiment of a method for adjusting LED lamp control parameters according to the present invention;
fig. 4 is a schematic flow chart of a third embodiment of a method for adjusting LED lamp control parameters according to the present invention;
FIG. 5 is a detailed flowchart of step S50 in FIG. 4;
FIG. 6 is a diagram illustrating a hardware structure involved in the operation of an embodiment of the detecting apparatus of the present invention;
fig. 7 is a schematic flow chart of an embodiment of a method for detecting an LED lamp according to the present invention.
The implementation, functional features and advantages of the objects of the present invention will be further explained with reference to the accompanying drawings.
Detailed Description
It should be understood that the specific embodiments described herein are merely illustrative of the invention and are not intended to limit the invention.
The main solution of the embodiment of the invention is as follows: when the LED lamp is driven according to the preset current, acquiring the current luminous first brightness of the LED lamp; determining a first current corresponding to the first brightness; determining an adjusting parameter according to the preset current and the first current; and adjusting the preset brightness control parameter of the LED lamp according to the adjusting parameter.
In the prior art, in an LED lamp product based on PWM control, due to the reason of materials, assembly, and the like, even if different LED lamps are controlled by using the same register value, the actual luminance of light emission is different from the set luminance, which causes the luminance of LED lamps on the same product to be inconsistent, and affects the product quality.
The invention provides the solution, and aims to realize accurate calibration of control parameters of the LED lamp so as to ensure the brightness consistency of different LED lamps.
The invention provides a parameter adjusting device which is mainly applied to calibrating brightness control parameters preset in an LED lamp.
In an embodiment of the present invention, referring to fig. 1, the parameter adjusting apparatus includes: a processor 1001, such as a CPU, a memory 1002, and a brightness detection module 1003. The memory 1002 may be a high-speed RAM memory or a non-volatile memory (e.g., a disk memory). The memory 1002 may alternatively be a storage device separate from the processor 1001. The processor 1001 is respectively connected to the memory 1002 and the brightness detection module 1003 in a communication manner.
The brightness detection module 1003 is used to detect the light intensity of the LED lamp, and may specifically be a light intensity detector or the like.
Those skilled in the art will appreciate that the configuration of the device shown in fig. 1 is not intended to be limiting of the device and may include more or fewer components than those shown, or some components may be combined, or a different arrangement of components.
As shown in fig. 1, a parameter adjustment program may be included in the memory 1002, which is a readable storage medium. In the apparatus shown in fig. 1, the processor 1001 may be configured to call the parameter adjustment program stored in the memory 1002 and perform operations of relevant steps of the LED lamp control parameter adjustment method in the following embodiments.
The invention also provides an LED lamp control parameter adjusting method.
Referring to fig. 2, a first embodiment of the LED lamp control parameter adjusting method according to the present invention is provided, where the LED lamp control parameter adjusting method includes:
step S10, when the LED lamp is driven according to the preset current, obtaining the current luminous first brightness of the LED lamp;
the magnitude of the preset current can be set according to actual requirements. The LED lamp is driven by adopting preset current, the LED lamp emits light under the control of preset brightness control parameters, at the moment, the brightness detection module is adopted to detect the luminous intensity of the LED lamp, and the data detected by the brightness detection module is acquired as the first brightness.
Step S20, determining a first current corresponding to the first brightness;
the calculation method for calculating the corresponding first current according to the first brightness may be different according to different chips or different LED lamps. The first current is specifically a theoretical value of current corresponding to the first brightness of the LED lamp. The different first luminances correspond to different first currents.
Step S30, determining an adjusting parameter according to the preset current and the first current;
the adjusting parameter is specifically a characteristic value of the difference between the preset current and the first current. Specifically, a ratio between a difference between the preset current and the first current and the preset current is used as an adjustment parameter, and a ratio between the first current and the preset current may also be used as an adjustment parameter.
In this embodiment, in order to adjust a preset brightness control parameter more accurately based on an adjustment parameter, a difference between the preset current and the first current is determined; and determining the adjusting parameter according to the ratio of the difference value to the preset current. For example, the following formula may be used to calculate the tuning parameters:wherein the LEDratioTo adjust the parameters, ItargetFor a predetermined current, ImeasIs a first current.
And step S40, adjusting the preset brightness control parameter of the LED lamp according to the adjustment parameter.
The preset luminance control parameter mainly refers to a stored value in a register. In particular, in a register of a PWM-based controlled LED lamp, different stored values represent different brightness levels. The duty ratio of the pulse current input into the LED lamp can be adjusted based on the stored value of the register, so that the brightness of the LED lamp can be adjusted.
And adjusting the preset brightness control parameter according to the adjustment parameter, and taking the adjusted result as a new preset brightness parameter and storing the new preset brightness parameter in a register. For example, when the preset brightness control parameter is 127, the LEDcal=LEDratio127+127, wherein the LEDcalAnd controlling parameters for the adjusted preset brightness.
In this embodiment, the preset brightness control parameter specifically refers to a brightness control parameter when the LED lamp is turned on. And increasing or decreasing the preset brightness control parameter of the current LED lamp according to the adjustment parameter, so that the actual light-emitting brightness of different LED lamps can reach the same brightness level when the different LED lamps are lightened according to the adjusted preset brightness control parameter. For example, when the lamp a and the lamp B are turned on, the luminance levels of the lights need to reach the luminance level of 127, the preset luminance control parameters before the lamp A, B is adjusted are all 127, and when the lamp a is turned on according to the preset luminance control parameters, the actual luminance levels of the lamp A, B may not be 127 and have a difference; after the preset brightness control parameter is adjusted based on the adjustment parameter, the preset brightness control parameter stored in the lamp a register is adjusted to 124, the preset brightness control parameter stored in the lamp B register is adjusted to 126, and when A, B lamps are respectively lighted according to the adjusted brightness control parameters, the actual luminous intensities of both lamps can reach the brightness level 127.
If the LED lamp has a plurality of preset brightness control parameters, each preset brightness control parameter can be synchronously adjusted according to the parameter adjusting parameters.
The method for adjusting the control parameter of the LED lamp, provided by the embodiment of the invention, comprises the steps of obtaining first brightness corresponding to the brightness of the LED lamp when the LED lamp is driven according to the preset current, determining the first current corresponding to the first brightness, determining the adjustment parameter according to the first current and the preset current, and adjusting the preset brightness control parameter of the LED lamp according to the determined adjustment parameter. In the method, because the difference between the actual brightness and the preset brightness of the LED lamp can reflect the brightness deviation of the LED lamp caused by materials, assembly and other factors, the accurate adjustment of the preset brightness control parameter of the LED lamp can be realized based on the adjustment parameter determined by the preset current and the first current, and the brightness of different LED lamps can be consistent when the different LED lamps operate according to the corresponding preset brightness control parameter.
Further, based on the first embodiment, a second embodiment of the LED lamp control parameter adjusting method is provided. In a second embodiment, the LED lamp is a tri-color LED lamp having a first color channel, a second color channel, and a third color channel. Each color channel of the LED lamp correspondingly emits color light of one color. When the three color channels are simultaneously opened, the LED lamp can emit different color lights through the mixing of three color lights with different brightness. Specifically, here, the first color, the second color, and the third color are red, green, and blue, respectively. In other embodiments, the first color, the second color and the third color can be set to other colors according to actual conditions. Referring to fig. 3, the step S10 includes:
step S11, when the preset current is input into the first color channel, acquiring a first brightness parameter of the LED lamp; when the preset current is input into the second color channel, acquiring a second brightness parameter of the LED lamp; when the preset current is input into the third color channel, acquiring a third brightness parameter of the LED lamp;
it should be noted that the first color channel, the second color channel, and the third color channel are opened individually. For example, when the first brightness parameter is obtained, the LED lamp only emits the colored light of the first color, and the second color channel and the third color channel are closed. The first luminance parameter, the second luminance parameter, and the third luminance parameter can be obtained by referring to the first embodiment specifically, which is not described herein again.
Step S12, determining a first current parameter, a second current parameter and a third current parameter corresponding to the first brightness parameter, the second brightness parameter and the third brightness parameter;
step S13 of regarding the first current parameter, the second current parameter, and the third current parameter as the first current; the step S20 includes:
step S21, determining a first adjusting parameter according to the first current parameter and the preset current, determining a second adjusting parameter according to the second current parameter and the preset current, and determining a third adjusting parameter according to the third current parameter and the preset current;
in this embodiment, the adjustment parameter corresponding to each color channel is determined according to the specific implementation manner in the first embodiment, which is not described herein again.
The step S30 includes:
step S31, adjusting a first preset brightness control parameter corresponding to the first color channel according to the first adjustment parameter, adjusting a second preset brightness control parameter corresponding to the second color channel according to the second adjustment parameter, and adjusting a third preset brightness control parameter corresponding to the third color channel according to the third adjustment parameter.
According to the requirement of the luminous color of the three-color LED lamp, different color channels correspondingly have different preset brightness control parameters. In this embodiment, the preset brightness control parameter corresponding to each color channel is determined according to the specific implementation manner in the first embodiment, which is not described herein again.
After the preset brightness control parameters corresponding to the three color channels are adjusted, when different LED lamps emit light according to the preset brightness control parameters corresponding to the three color channels, the light-emitting colors and the light-emitting brightness are the same.
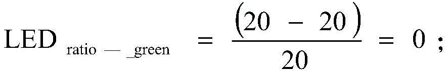
Specifically, the first color channel, the second color channel, and the third color channel are respectively defined as an R channel, a G channel, and a B channel, the preset current is 20, and the preset brightness control corresponding to each color channel is performed127, the first current parameter corresponding to the first brightness detected by the R channel is 21, the second current parameter corresponding to the second brightness detected by the G channel is 20, and the third current parameter corresponding to the third brightness detected by the B channel is 18.6, the first adjustment parameter LED is adjustedratio_redA second adjusting parameter LEDratio_greenAnd a third adjustment parameter LEDratio_blueCan be calculated by the following formula;
the brightness control parameter LED after the R channel is adjusted can be obtained by correspondingly calculating the following formula based on the obtained first adjustment parameter, the second adjustment parameter and the third adjustment parametercal_redBrightness control parameter LED after G channel adjustmentcal_greenAnd brightness control parameter LED after B channel adjustmentcal_blue:
LEDcal_red=-0.05*127+127=120.65≈121;
LEDcal_green=0*127+127=127;
LEDcal_blue=0.07*127+127=135.89≈136。
In this embodiment, the preset brightness control parameters corresponding to the three color channels of the three-color lamp are all calibrated according to the above manner, so that the preset brightness control parameters of the color LED lamp are accurately adjusted, and when different color LED lamps operate according to the corresponding preset brightness control parameters, the brightness and the color of the emitted light can be consistent.
Further, based on the second embodiment, a third embodiment of the LED lamp control parameter adjusting method is provided. In the third embodiment, referring to fig. 4, after the step S30, the method further includes:
step S40, obtaining a first preset luminance threshold corresponding to the first color channel, a second preset luminance threshold corresponding to the second color channel, and a third preset luminance threshold corresponding to the third color channel;
here, the first preset luminance threshold, the second preset luminance threshold, and the third preset luminance threshold are maximum values that cannot be exceeded, respectively, limited by the preset luminance control parameters of the three color channels. Specifically, before the adjustment, the first preset brightness threshold, the second preset brightness threshold, and the third preset brightness threshold are brightness level values corresponding to the maximum brightness, which are generally 255.
Step S50, adjusting the first preset brightness threshold, the second preset brightness threshold, and the third preset brightness threshold according to the first adjustment parameter, the second adjustment parameter, and the third adjustment parameter.
According to the quantity relationship (such as the size relationship, the proportional relationship and the like) among the first adjusting parameter, the second adjusting parameter and the third adjusting parameter, respectively determining the adjusting values corresponding to the first preset brightness threshold, the second preset brightness threshold and the third preset brightness threshold, and respectively and correspondingly adjusting the first preset brightness threshold, the second preset brightness threshold and the third preset brightness threshold according to the determined adjusting values.
Specifically, referring to fig. 5, step S50 includes:
step S51, determining a target adjustment parameter among the first adjustment parameter, the second adjustment parameter, and the third adjustment parameter;
one of the first adjustment parameter, the second adjustment parameter and the third adjustment parameter can be selected as a target adjustment parameter according to a preset rule. In this embodiment, the parameter with the largest value among the first adjustment parameter, the second adjustment parameter, and the third adjustment parameter is used as the target adjustment parameter. Based on the three tuning parameters-0.05, 0, and 0.07 determined in the above embodiment, 0.07 may be used as the target tuning parameter.
Step S52, determining the first adjustment value according to the target adjustment parameter and the first adjustment parameter, determining the second adjustment value according to the target adjustment parameter and the second adjustment parameter, and determining the third adjustment value according to the target adjustment parameter and the third adjustment parameter;
specifically, a first adjustment value is determined according to a difference value between the target adjustment parameter and the first adjustment parameter, a second adjustment value is determined according to a difference value between the target adjustment parameter and the second adjustment parameter, and a third adjustment value is determined according to a difference value between the target adjustment parameter and the third adjustment parameter. Specifically, the first adjustment value is 0.07- (-0.05) 0.12, the second adjustment value is 0.07-0.07, and the third adjustment value is 0.07-0.07.
Step S53, adjusting the first preset luminance threshold according to the first adjustment value, adjusting the second preset luminance threshold according to the second adjustment value, and adjusting the third preset luminance threshold according to the third adjustment value.
Defining the adjusted first preset brightness threshold value as LED PWMmax limiter_RAnd the adjusted second preset brightness threshold value is defined as LED PWMmax limiter_GAnd the adjusted third preset brightness threshold is defined as LED PWMmax limiter_BThen, the first preset luminance threshold, the second preset luminance threshold, and the third preset luminance threshold may be calculated by the following formulas:
LED PWMmax limiter_R=255-255*0.12=224.4≈224;
LED PWMmax limiter_G=255-255*0.07=237.15≈237;
LED PWMmax limiter_B=255-255*0=255。
in this embodiment, the threshold values of the preset brightness control parameters of the three color channels are respectively adjusted based on the first adjustment parameter, the second adjustment parameter and the third adjustment parameter, so that it is ensured that the adjusted brightness control parameters do not exceed the corresponding threshold values when the colors of the LED lamps are adjusted by adjusting the brightness control parameters, and it is ensured that the colors of different LED lamps are consistent when the LED lamps emit light based on the three color channels. The threshold values of the other two channels are adjusted based on the adjustment parameter corresponding to the channel with the largest adjustment amplitude, so that the accuracy of the color of the colored light which is coordinately emitted by the three colors can be ensured, and especially, the purity of white light formed by mixing the colored light with the maximum brightness through the three color channels can be ensured.
Furthermore, the invention provides a detection device which is mainly applied to detection of consistency of different LED lamps.
In an embodiment of the present invention, referring to fig. 6, the detection apparatus includes: a processor 2001 such as a CPU, a memory 2002, a luminance detection module 2003, and the like. The memory 1002 may be a high-speed RAM memory or a non-volatile memory (e.g., a disk memory). The memory 2002 may alternatively be a storage device separate from the processor 2001 described previously. The processor 2001 is respectively connected to the memory 2002 and the brightness detection module 2003 in a communication manner.
The brightness detection module 2003 is used to detect the light intensity of the LED lamp, and may specifically be a light intensity detector or the like.
Those skilled in the art will appreciate that the device configuration shown in fig. 6 does not constitute a limitation of the device and may include more or fewer components than shown, or some components may be combined, or a different arrangement of components.
As shown in fig. 6, a memory 1002, which is a readable storage medium, may include therein an LED lamp detection program. In the apparatus shown in fig. 6, the processor 2001 may be configured to call the LED lamp detection program stored in the memory 2002 and perform operations of the steps related to the LED lamp detection method in the following embodiments.
The implementation also provides an LED lamp detection method which is based on any embodiment of the LED lamp control parameter adjusting method and used for detecting the light emitting consistency of the LED lamp.
Referring to fig. 7, an embodiment of the LED lamp detection method of the present application is provided. In the embodiment, at least two LED lamps to be detected are determined;
step S100, respectively adjusting preset brightness control parameters corresponding to at least two LED lamps to be detected by adopting the LED lamp control parameter adjusting method;
step S200, respectively controlling the corresponding LED lamps to operate according to the adjusted preset brightness control parameters;
when the LED lamp is a three-color LED lamp, the light emission of each color channel is correspondingly controlled according to preset brightness control parameters corresponding to the three color channels.
Step S300, obtaining the luminous brightness value of each LED lamp;
the brightness value is the detected luminous intensity of the LED lamp when the LED lamp operates according to the preset brightness control parameter.
And step S400, judging whether the brightness of each LED lamp is consistent or not according to the brightness value.
When the acquired brightness values are all in a preset brightness interval (can emit light according to the requirements of the LED lamps), the light-emitting brightness of the LED lamps can be considered to be consistent, and when the acquired brightness values are outside the preset brightness interval, the light-emitting brightness of the LED lamps corresponding to the brightness values can be considered to be inconsistent with the light-emitting brightness of other lamps.
In addition, a brightness difference between the brightness values may also be determined; when the brightness difference is within a preset range, judging that the brightness of each LED lamp is consistent; and when the brightness difference is out of a preset range, judging that the brightness of the LED lamps is inconsistent. The preset range can be set according to actual requirements. When the number of the LED lamps to be detected is more than two, the difference value of the brightness values corresponding to two-two calculation is used as the brightness difference, when all the obtained brightness differences are within the preset range, the brightness of the LED lamps to be detected can be considered to be consistent, and when the brightness difference exists in the obtained brightness differences and exceeds the preset range, the brightness of the LED lamps to be detected can be considered to be inconsistent.
In this embodiment, after the preset brightness control parameters of at least two LED lamps to be detected are adjusted based on the LED lamp parameter adjustment method, the light emission consistency detection is performed, so as to effectively determine whether the preset brightness control parameters adjusted by the LED lamp parameter adjustment method are accurate, if the preset brightness control parameters are not adjusted accurately, the preset brightness control parameters are adjusted accurately, and if the preset brightness control parameters are adjusted accurately, the preset brightness control parameters are adjusted accurately. When the preset brightness control parameter is not accurately adjusted, the inaccurate LED lamp can be further adjusted, so that the brightness consistency of different LED lamps is further ensured.
It should be noted that, in this document, the terms "comprises," "comprising," or any other variation thereof, are intended to cover a non-exclusive inclusion, such that a process, method, article, or system that comprises a list of elements does not include only those elements but may include other elements not expressly listed or inherent to such process, method, article, or system. Without further limitation, an element defined by the phrase "comprising an … …" does not exclude the presence of other like elements in a process, method, article, or system that comprises the element.
The above-mentioned serial numbers of the embodiments of the present invention are merely for description and do not represent the merits of the embodiments.
Through the above description of the embodiments, those skilled in the art will clearly understand that the method of the above embodiments can be implemented by software plus a necessary general hardware platform, and certainly can also be implemented by hardware, but in many cases, the former is a better implementation manner. Based on such understanding, the technical solution of the present invention may be embodied in the form of a software product, which is stored in a storage medium (e.g., ROM/RAM, magnetic disk, optical disk) as described above and includes instructions for enabling a terminal device (e.g., a mobile phone, a computer, a server, an air conditioner, or a network device) to execute the method according to the embodiments of the present invention.
The above description is only a preferred embodiment of the present invention, and not intended to limit the scope of the present invention, and all modifications of equivalent structures and equivalent processes, which are made by using the contents of the present specification and the accompanying drawings, or directly or indirectly applied to other related technical fields, are included in the scope of the present invention.
Claims (8)
1. The method for adjusting the control parameters of the LED lamp is characterized by comprising the following steps of:
when the LED lamp is driven according to the preset current, acquiring the current luminous first brightness of the LED lamp;
determining a first current corresponding to the first brightness;
determining an adjusting parameter according to the preset current and the first current;
adjusting preset brightness control parameters of the LED lamp according to the adjusting parameters;
the LED lamp is a three-color LED lamp, the three-color LED lamp is provided with a first color channel, a second color channel and a third color channel, and the adjusting parameters comprise a first adjusting parameter corresponding to the first color channel, a second adjusting parameter corresponding to the second color channel and a third adjusting parameter corresponding to the third color channel;
after the step of determining the adjustment parameter according to the preset current and the first current, the method further includes:
acquiring a first preset brightness threshold corresponding to the first color channel, a second preset brightness threshold corresponding to the second color channel and a third preset brightness threshold corresponding to the third color channel;
determining a target adjustment parameter among the first adjustment parameter, the second adjustment parameter, and the third adjustment parameter;
determining a first adjustment value according to the target adjustment parameter and the first adjustment parameter, determining a second adjustment value according to the target adjustment parameter and the second adjustment parameter, and determining a third adjustment value according to the target adjustment parameter and the third adjustment parameter;
and adjusting the first preset brightness threshold according to the first adjustment value, adjusting the second preset brightness threshold according to the second adjustment value, and adjusting the third preset brightness threshold according to the third adjustment value.
2. The LED lamp control parameter adjusting method according to claim 1, wherein the step of determining the adjustment parameter based on the preset current and the first current comprises:
determining a difference between the preset current and the first current;
and determining the adjusting parameter according to the ratio of the difference value to the preset current.
3. The method for adjusting control parameters of an LED lamp according to claim 1, wherein the LED lamp is a three-color LED lamp, the three-color LED lamp has a first color channel, a second color channel, and a third color channel, and the step of obtaining a first brightness of a current light emission of the LED lamp when the LED lamp is driven according to a preset current includes:
when the preset current is input into the first color channel, acquiring a first brightness parameter of the LED lamp;
when the preset current is input into the second color channel, acquiring a second brightness parameter of the LED lamp;
when the preset current is input into the third color channel, acquiring a third brightness parameter of the LED lamp;
determining a first current parameter, a second current parameter and a third current parameter corresponding to the first brightness parameter, the second brightness parameter and the third brightness parameter;
taking the first current parameter, the second current parameter, and the third current parameter as the first current;
the step of determining an adjustment parameter based on the preset current and the first current comprises:
determining the first adjusting parameter according to the first current parameter and the preset current, determining the second adjusting parameter according to the second current parameter and the preset current, and determining the third adjusting parameter according to the third current parameter and the preset current;
the step of adjusting the preset brightness control parameter of the LED lamp according to the adjustment parameter comprises the following steps:
and adjusting a first preset brightness control parameter corresponding to the first color channel according to the first adjustment parameter, adjusting a second preset brightness control parameter corresponding to the second color channel according to the second adjustment parameter, and adjusting a third preset brightness control parameter corresponding to the third color channel according to the third adjustment parameter.
4. The LED lamp control parameter adjustment method according to claim 1, wherein the step of determining a target adjustment parameter among the first adjustment parameter, the second adjustment parameter, and the third adjustment parameter includes:
and taking the parameter with the largest value in the first adjustment parameter, the second adjustment parameter and the third adjustment parameter as the target adjustment parameter.
5. An LED lamp detection method based on the LED lamp control parameter adjustment method according to any one of claims 1 to 4, wherein the LED lamp detection method comprises the following steps:
respectively adjusting preset brightness control parameters corresponding to the LED lamps by adopting the LED lamp control parameter adjusting method;
respectively controlling the corresponding LED lamps to operate according to the adjusted preset brightness control parameters;
acquiring the luminous brightness value of each LED lamp;
and judging whether the brightness of the LED lamps is consistent or not according to the brightness value.
6. The method for detecting LED lamps according to claim 5, wherein said step of determining whether the light-emitting brightness of each of the LED lamps is consistent according to the brightness value comprises:
determining a brightness difference between the brightness values;
when the brightness difference is within a preset range, judging that the brightness of each LED lamp is consistent;
and when the brightness difference is out of a preset range, judging that the brightness of the LED lamps is inconsistent.
7. A parameter adjustment apparatus, characterized in that the parameter adjustment apparatus comprises: a memory, a processor and a parameter adjustment program stored on said memory and executable on said processor, said parameter adjustment program when executed by said processor implementing the steps of the LED lamp control parameter adjustment method according to any one of claims 1 to 6.
8. A detection device, characterized in that the detection device comprises: a memory, a processor and an LED lamp detection program stored on the memory and executable on the processor, the LED lamp detection program when executed by the processor implementing the steps of the LED lamp detection method of claim 5 or 6.
Priority Applications (1)
| Application Number | Priority Date | Filing Date | Title |
|---|---|---|---|
| CN201911276849.0A CN110913535B (en) | 2019-12-12 | 2019-12-12 | Control parameter adjusting method and device, and detection method and device of LED lamp |
Applications Claiming Priority (1)
| Application Number | Priority Date | Filing Date | Title |
|---|---|---|---|
| CN201911276849.0A CN110913535B (en) | 2019-12-12 | 2019-12-12 | Control parameter adjusting method and device, and detection method and device of LED lamp |
Publications (2)
| Publication Number | Publication Date |
|---|---|
| CN110913535A CN110913535A (en) | 2020-03-24 |
| CN110913535B true CN110913535B (en) | 2021-09-17 |
Family
ID=69825018
Family Applications (1)
| Application Number | Title | Priority Date | Filing Date |
|---|---|---|---|
| CN201911276849.0A Active CN110913535B (en) | 2019-12-12 | 2019-12-12 | Control parameter adjusting method and device, and detection method and device of LED lamp |
Country Status (1)
| Country | Link |
|---|---|
| CN (1) | CN110913535B (en) |
Families Citing this family (5)
| Publication number | Priority date | Publication date | Assignee | Title |
|---|---|---|---|---|
| CN112188709A (en) * | 2020-10-10 | 2021-01-05 | 深圳创维-Rgb电子有限公司 | Illumination control method, illumination device and desk lamp |
| CN113556850B (en) * | 2021-07-23 | 2023-06-27 | 北京字节跳动网络技术有限公司 | Lamp brightness calibration method, determination method, device and electronic equipment |
| CN114366033A (en) * | 2022-01-29 | 2022-04-19 | 上海赛增医疗科技有限公司 | Cognitive ability testing terminal, method and device |
| CN116653763B (en) * | 2023-06-20 | 2026-01-06 | 长城汽车股份有限公司 | A method, apparatus, vehicle, and storage medium for controlling interior lights in a vehicle. |
| CN117793987B (en) * | 2024-02-23 | 2024-04-26 | 攀枝花镁森科技有限公司 | Method for controlling display of lamp strip, lamp strip and storage medium |
Citations (7)
| Publication number | Priority date | Publication date | Assignee | Title |
|---|---|---|---|---|
| CN104168700A (en) * | 2014-08-19 | 2014-11-26 | 无锡硅动力微电子股份有限公司 | Intelligent Bluetooth lamp with infrared remote control function |
| CN105682283A (en) * | 2015-12-29 | 2016-06-15 | 广东威创视讯科技股份有限公司 | LED drive circuit |
| CN105848356A (en) * | 2016-05-17 | 2016-08-10 | 四川创燚科技有限公司 | Three-color lamp color transformation control method |
| CN106990874A (en) * | 2016-01-21 | 2017-07-28 | 纬创资通股份有限公司 | Optical touch device, touch finger position determination method and optical touch system |
| US9730291B1 (en) * | 2016-10-07 | 2017-08-08 | Cooper Technologies Company | Color temperature adjustment based on dim level |
| CN106163020B (en) * | 2016-09-29 | 2018-07-03 | 中山市德马汽车零部件有限公司 | Intelligent control method and system for automobile atmosphere lamp |
| CN108617064A (en) * | 2018-04-18 | 2018-10-02 | 深圳市全智芯科技有限公司 | Light-operated lamp control circuit and luminance threshold regulate and control method |
Family Cites Families (6)
| Publication number | Priority date | Publication date | Assignee | Title |
|---|---|---|---|---|
| JP4937933B2 (en) * | 2008-01-18 | 2012-05-23 | 富士重工業株式会社 | Outside monitoring device |
| TWI416501B (en) * | 2009-02-06 | 2013-11-21 | Primax Electronics Ltd | Method for determining luminance threshold value of video region and related apparatus thereof |
| CN103025022B (en) * | 2012-12-14 | 2014-12-03 | 西安铨芯电子有限公司 | Adaptive power adjusting circuit for adjusting light emitting diode (LED) colors |
| TWI532413B (en) * | 2013-09-11 | 2016-05-01 | 晶睿通訊股份有限公司 | Lighting fill light system and method |
| CN105934024A (en) * | 2016-05-09 | 2016-09-07 | 无锡昊瑜节能环保设备有限公司 | Apparatus for controlling illumination of road guardrail based on luminance compensation |
| CN110225625B (en) * | 2019-06-27 | 2021-08-27 | 歌尔股份有限公司 | LED color mixing calibration method, device and storage medium |
-
2019
- 2019-12-12 CN CN201911276849.0A patent/CN110913535B/en active Active
Patent Citations (7)
| Publication number | Priority date | Publication date | Assignee | Title |
|---|---|---|---|---|
| CN104168700A (en) * | 2014-08-19 | 2014-11-26 | 无锡硅动力微电子股份有限公司 | Intelligent Bluetooth lamp with infrared remote control function |
| CN105682283A (en) * | 2015-12-29 | 2016-06-15 | 广东威创视讯科技股份有限公司 | LED drive circuit |
| CN106990874A (en) * | 2016-01-21 | 2017-07-28 | 纬创资通股份有限公司 | Optical touch device, touch finger position determination method and optical touch system |
| CN105848356A (en) * | 2016-05-17 | 2016-08-10 | 四川创燚科技有限公司 | Three-color lamp color transformation control method |
| CN106163020B (en) * | 2016-09-29 | 2018-07-03 | 中山市德马汽车零部件有限公司 | Intelligent control method and system for automobile atmosphere lamp |
| US9730291B1 (en) * | 2016-10-07 | 2017-08-08 | Cooper Technologies Company | Color temperature adjustment based on dim level |
| CN108617064A (en) * | 2018-04-18 | 2018-10-02 | 深圳市全智芯科技有限公司 | Light-operated lamp control circuit and luminance threshold regulate and control method |
Non-Patent Citations (1)
| Title |
|---|
| 《 自适应光亮度的LED缺陷检测算法》;罗瑞荣;《组合机床与自动化加工技术》;20191120(第11(2019)期);全文 * |
Also Published As
| Publication number | Publication date |
|---|---|
| CN110913535A (en) | 2020-03-24 |
Similar Documents
| Publication | Publication Date | Title |
|---|---|---|
| CN110913535B (en) | Control parameter adjusting method and device, and detection method and device of LED lamp | |
| JP5002656B2 (en) | Calibration of displays with spatially varying backlights | |
| US7671542B2 (en) | Color control of multi-zone LED backlight | |
| US8044918B2 (en) | Back light apparatus and control method thereof | |
| US8363001B2 (en) | Liquid crystal display device which compensates for temperature characteristics in light detection and spectral transmittance | |
| EP1950730B1 (en) | Backlight and liquid crystal display using the same | |
| US20140118408A1 (en) | Management system for unifying led light color and method thereof | |
| US9035857B2 (en) | Image display device, control method for an image display device, and adjustment system for an image display device | |
| JP4417784B2 (en) | Light emitting device and display device | |
| US7193356B2 (en) | Image display apparatus | |
| US20100188024A1 (en) | Method of calibrating a lighting system, and lighting system | |
| US10492256B2 (en) | Method and device for calibrating LED lighting | |
| US11109457B2 (en) | Arbitrary-ratio analog current division circuit | |
| KR20170022859A (en) | White balance adjusting apparatus and white balance adjusting method | |
| KR20180044575A (en) | Display apparatus and calibration method thereof | |
| US20100045188A1 (en) | Adjusting a driving signal for solid-state lighting devices | |
| US20140009486A1 (en) | Display device, and control method for display device | |
| CN111458967A (en) | Color and color temperature calibration method, calibration device and projection display equipment | |
| US9741295B2 (en) | Image display apparatus and method for controlling the same | |
| US10706762B2 (en) | Display device and control method for color gamut range variation and driving current adjustment | |
| KR100816289B1 (en) | Color control method and LED backlight system using the same | |
| CN119922782A (en) | RGB LED light brightness control method, device, equipment and storage medium | |
| US9788388B2 (en) | Method for controlling illumination for an optical display system | |
| US12087206B2 (en) | Color adjustment device, display and color adjustment method | |
| KR102650155B1 (en) | Electrical Apparatus with LEDs, and Method for Controlling Light Emitting of the same |
Legal Events
| Date | Code | Title | Description |
|---|---|---|---|
| PB01 | Publication | ||
| PB01 | Publication | ||
| SE01 | Entry into force of request for substantive examination | ||
| SE01 | Entry into force of request for substantive examination | ||
| GR01 | Patent grant | ||
| GR01 | Patent grant |



