CN110724076A - Para-aryldicarboxamide compound, pharmaceutical composition containing same, preparation method and use thereof - Google Patents
Para-aryldicarboxamide compound, pharmaceutical composition containing same, preparation method and use thereof Download PDFInfo
- Publication number
- CN110724076A CN110724076A CN201810776287.5A CN201810776287A CN110724076A CN 110724076 A CN110724076 A CN 110724076A CN 201810776287 A CN201810776287 A CN 201810776287A CN 110724076 A CN110724076 A CN 110724076A
- Authority
- CN
- China
- Prior art keywords
- alkyl
- compound
- hydrogen
- cyano
- group
- Prior art date
- Legal status (The legal status is an assumption and is not a legal conclusion. Google has not performed a legal analysis and makes no representation as to the accuracy of the status listed.)
- Granted
Links
Classifications
-
- C—CHEMISTRY; METALLURGY
- C07—ORGANIC CHEMISTRY
- C07C—ACYCLIC OR CARBOCYCLIC COMPOUNDS
- C07C317/00—Sulfones; Sulfoxides
- C07C317/26—Sulfones; Sulfoxides having sulfone or sulfoxide groups and nitrogen atoms, not being part of nitro or nitroso groups, bound to the same carbon skeleton
- C07C317/32—Sulfones; Sulfoxides having sulfone or sulfoxide groups and nitrogen atoms, not being part of nitro or nitroso groups, bound to the same carbon skeleton with sulfone or sulfoxide groups bound to carbon atoms of six-membered aromatic rings of the carbon skeleton
-
- A—HUMAN NECESSITIES
- A61—MEDICAL OR VETERINARY SCIENCE; HYGIENE
- A61P—SPECIFIC THERAPEUTIC ACTIVITY OF CHEMICAL COMPOUNDS OR MEDICINAL PREPARATIONS
- A61P1/00—Drugs for disorders of the alimentary tract or the digestive system
-
- A—HUMAN NECESSITIES
- A61—MEDICAL OR VETERINARY SCIENCE; HYGIENE
- A61P—SPECIFIC THERAPEUTIC ACTIVITY OF CHEMICAL COMPOUNDS OR MEDICINAL PREPARATIONS
- A61P11/00—Drugs for disorders of the respiratory system
- A61P11/06—Antiasthmatics
-
- A—HUMAN NECESSITIES
- A61—MEDICAL OR VETERINARY SCIENCE; HYGIENE
- A61P—SPECIFIC THERAPEUTIC ACTIVITY OF CHEMICAL COMPOUNDS OR MEDICINAL PREPARATIONS
- A61P17/00—Drugs for dermatological disorders
- A61P17/06—Antipsoriatics
-
- A—HUMAN NECESSITIES
- A61—MEDICAL OR VETERINARY SCIENCE; HYGIENE
- A61P—SPECIFIC THERAPEUTIC ACTIVITY OF CHEMICAL COMPOUNDS OR MEDICINAL PREPARATIONS
- A61P19/00—Drugs for skeletal disorders
- A61P19/02—Drugs for skeletal disorders for joint disorders, e.g. arthritis, arthrosis
-
- A—HUMAN NECESSITIES
- A61—MEDICAL OR VETERINARY SCIENCE; HYGIENE
- A61P—SPECIFIC THERAPEUTIC ACTIVITY OF CHEMICAL COMPOUNDS OR MEDICINAL PREPARATIONS
- A61P19/00—Drugs for skeletal disorders
- A61P19/08—Drugs for skeletal disorders for bone diseases, e.g. rachitism, Paget's disease
-
- A—HUMAN NECESSITIES
- A61—MEDICAL OR VETERINARY SCIENCE; HYGIENE
- A61P—SPECIFIC THERAPEUTIC ACTIVITY OF CHEMICAL COMPOUNDS OR MEDICINAL PREPARATIONS
- A61P29/00—Non-central analgesic, antipyretic or antiinflammatory agents, e.g. antirheumatic agents; Non-steroidal antiinflammatory drugs [NSAID]
-
- A—HUMAN NECESSITIES
- A61—MEDICAL OR VETERINARY SCIENCE; HYGIENE
- A61P—SPECIFIC THERAPEUTIC ACTIVITY OF CHEMICAL COMPOUNDS OR MEDICINAL PREPARATIONS
- A61P35/00—Antineoplastic agents
-
- A—HUMAN NECESSITIES
- A61—MEDICAL OR VETERINARY SCIENCE; HYGIENE
- A61P—SPECIFIC THERAPEUTIC ACTIVITY OF CHEMICAL COMPOUNDS OR MEDICINAL PREPARATIONS
- A61P35/00—Antineoplastic agents
- A61P35/02—Antineoplastic agents specific for leukemia
-
- A—HUMAN NECESSITIES
- A61—MEDICAL OR VETERINARY SCIENCE; HYGIENE
- A61P—SPECIFIC THERAPEUTIC ACTIVITY OF CHEMICAL COMPOUNDS OR MEDICINAL PREPARATIONS
- A61P37/00—Drugs for immunological or allergic disorders
- A61P37/02—Immunomodulators
Landscapes
- Health & Medical Sciences (AREA)
- Chemical & Material Sciences (AREA)
- Organic Chemistry (AREA)
- General Health & Medical Sciences (AREA)
- Veterinary Medicine (AREA)
- Chemical Kinetics & Catalysis (AREA)
- General Chemical & Material Sciences (AREA)
- Medicinal Chemistry (AREA)
- Nuclear Medicine, Radiotherapy & Molecular Imaging (AREA)
- Pharmacology & Pharmacy (AREA)
- Life Sciences & Earth Sciences (AREA)
- Animal Behavior & Ethology (AREA)
- Public Health (AREA)
- Engineering & Computer Science (AREA)
- Bioinformatics & Cheminformatics (AREA)
- Rheumatology (AREA)
- Immunology (AREA)
- Physical Education & Sports Medicine (AREA)
- Orthopedic Medicine & Surgery (AREA)
- Pulmonology (AREA)
- Pain & Pain Management (AREA)
- Dermatology (AREA)
- Hematology (AREA)
- Oncology (AREA)
- Pharmaceuticals Containing Other Organic And Inorganic Compounds (AREA)
Abstract
本发明涉及式(I)的对芳基二甲酰胺类化合物、包含其的药物组合物、其制备方法及其用途,具体地,涉及其用于预防或治疗维A酸受体相关孤儿核受体γ(RORγ)介导的疾病或病症的用途。 The present invention relates to a p-aryldicarboxamide compound of formula (I), a pharmaceutical composition containing the same, a preparation method thereof and a use thereof, and in particular, to the use thereof for preventing or treating diseases or conditions mediated by retinoic acid receptor-related orphan nuclear receptor γ (RORγ).
Description
技术领域technical field
本发明涉及对芳基二甲酰胺类化合物、包含其的药物组合物、其制备方法及其用于预防或治疗维A酸受体相关孤儿核受体γ(RORγ)介导的疾病或病症的用途。The present invention relates to p-aryldicarboxamides, pharmaceutical compositions containing them, preparation methods thereof, and their use in the prevention or treatment of diseases or conditions mediated by retinoic acid receptor-related orphan nuclear receptor gamma (RORγ) use.
背景技术Background technique
维A酸受体相关孤儿核受体(ROR)包括RORα,RORβ和RORγ三种亚型,在多种生理过程中起调控作用。近年的研究发现,相较于维A酸,ROR与氧化类固醇衍生物的亲和力更高,并为其所调控。ROR广泛分布于机体的各个组织中,能够直接进入细胞核调节靶基因的转录,进而参与不同生理过程,表现出不同的组织特异性。其中,RORα在各种组织中均有表达,但在大脑中高表达,在小脑发展和骨形成中起重要作用。RORβ作用范围较小,主要在大脑中表达,在视网膜、大脑皮层发展中起作用。RORγ在许多组织中表达,包括胸腺、肝脏和骨骼肌,并在次级淋巴组织发展中起关键作用。Retinoic acid receptor-related orphan nuclear receptors (RORs) include three subtypes, RORα, RORβ and RORγ, which play a regulatory role in various physiological processes. Recent studies have found that ROR has a higher affinity for and is regulated by oxidative steroid derivatives than retinoic acid. ROR is widely distributed in various tissues of the body, can directly enter the nucleus to regulate the transcription of target genes, and then participate in different physiological processes, showing different tissue specificities. Among them, RORα is expressed in various tissues, but is highly expressed in the brain and plays an important role in the development of the cerebellum and bone formation. RORβ has a smaller scope of action, is mainly expressed in the brain, and plays a role in the development of the retina and cerebral cortex. RORγ is expressed in many tissues, including the thymus, liver, and skeletal muscle, and plays a key role in the development of secondary lymphoid tissues.
RORγ有RORγ1和RORγ2(RORγt)两种亚型。RORγ1在多种组织中表达,而RORγ2是特异性表达在免疫细胞上的亚型。RORγ2是Th17和Tc17效应T细胞分化与维持的关键转录因子,调节Th17细胞分泌效应因子IL-17和其它促炎细胞因子,并在NK细胞、γδT细胞以及iNK T细胞的分化以及在自身免疫性疾病和机体防御反应中具有重要意义,这些细胞可介导免疫系统对抗癌细胞以及细菌、真菌等病原微生物。在肿瘤微环境中,Th17细胞和IL-17可招募自然杀伤细胞和细胞毒性CD8+T细胞对肿瘤细胞进行攻击和杀伤。一些研究显示,卵巢癌病人肿瘤部位浸润Th17细胞水平和IL-17表达水平与良好的预后呈正相关关系。同时,Th17细胞在许多小鼠自身免疫性疾病模型中均发挥了关键的作用,如实验性变态反应性脑脊髓炎(EAE)和胶原诱导性关节炎(CIA)动物模型。在人类自身免疫性疾病包括类风湿性关节炎(RA)、多发性硬化(MS)、银屑病(Psoriasis)和炎症性肠病(IBD)中,均能检测到IL-17水平的提高。此外,自身免疫性疾病病人的组织和外周血液样本中发现Th17细胞数量增多。RORγ has two isoforms, RORγ1 and RORγ2 (RORγt). RORγ1 is expressed in a variety of tissues, while RORγ2 is a subtype specifically expressed on immune cells. RORγ2 is a key transcription factor for the differentiation and maintenance of Th17 and Tc17 effector T cells, regulates Th17 cells to secrete the effector IL-17 and other proinflammatory cytokines, and plays a role in the differentiation of NK cells, γδT cells and iNK T cells and in autoimmune Important in disease and body defense responses, these cells mediate the immune system against cancer cells as well as pathogenic microorganisms such as bacteria and fungi. In the tumor microenvironment, Th17 cells and IL-17 can recruit natural killer cells and cytotoxic CD8 + T cells to attack and kill tumor cells. Some studies have shown that the level of infiltrating Th17 cells and the expression of IL-17 in the tumor site of ovarian cancer patients are positively correlated with good prognosis. Meanwhile, Th17 cells play a key role in many mouse models of autoimmune diseases, such as experimental allergic encephalomyelitis (EAE) and collagen-induced arthritis (CIA) animal models. Elevated levels of IL-17 have been detected in human autoimmune diseases including rheumatoid arthritis (RA), multiple sclerosis (MS), psoriasis (Psoriasis) and inflammatory bowel disease (IBD). In addition, increased numbers of Th17 cells were found in tissue and peripheral blood samples from patients with autoimmune diseases.
针对癌症的治疗,尽管已进行了大量的研究,付出了巨大的努力,其仍然是人类健康的一大威胁。无论在发达国家还是在发展中国家,癌症都是死亡率最高的疾病,并且发病率和死亡率仍不断增高。但是,针对肿瘤的治疗药物并非对所有的肿瘤病人均有效。The treatment of cancer, despite a great deal of research and effort, remains a major threat to human health. Cancer is the leading cause of death in both developed and developing countries, and both morbidity and mortality continue to increase. However, cancer-targeted drugs are not effective for all cancer patients.
针对机体免疫系统疾病的治疗,研究者发现调节RORγ将有效调控Th17的细胞分化,调控IL-17细胞因子的生成和分泌水平,从而调控机体免疫系统。因此,RORγ可以作为治疗免疫性疾病的新靶点。For the treatment of immune system diseases, researchers found that regulating RORγ will effectively regulate the differentiation of Th17 cells, regulate the production and secretion of IL-17 cytokines, and thus regulate the immune system. Therefore, RORγ may serve as a new target for the treatment of immune diseases.
因此,寻找RORγ的小分子调节剂并将其用于RORγ介导的疾病或病症的治疗具有重要的意义。目前,ROR调节剂的开发在医药工业界已逐渐得到重视,已公开的专利申请包括WO2017157332A1、WO2016201225A1、WO2011115892A1、WO2017102784A1、WO2017024018A1、WO2015180614A1等。Therefore, it is of great significance to find small molecule modulators of RORγ and use them for the treatment of RORγ-mediated diseases or conditions. At present, the development of ROR modulators has gradually attracted attention in the pharmaceutical industry, and published patent applications include WO2017157332A1, WO2016201225A1, WO2011115892A1, WO2017102784A1, WO2017024018A1, WO2015180614A1 and the like.
发明内容SUMMARY OF THE INVENTION
本发明提供用作维A酸受体相关孤儿核受体γ(RORγ)调节剂的化合物,其具有对RORγ的良好的调节活性、良好的物理化学性质(例如溶解度、物理和/或化学稳定性)、良好的药物代谢动力学性质(例如良好的生物利用度、合适的血药浓度、半衰期和作用持续时间)、良好的安全性(较低的毒性和/或较少的副作用,较宽的治疗窗)等优异的性质。The present invention provides compounds useful as modulators of retinoic acid receptor-related orphan nuclear receptor gamma (RORγ), which have good modulating activity on RORγ, good physicochemical properties (eg, solubility, physical and/or chemical stability) ), good pharmacokinetic properties (e.g. good bioavailability, suitable plasma concentration, half-life and duration of action), good safety profile (lower toxicity and/or fewer side effects, wider treatment window) and other excellent properties.
本发明的一个方面提供化合物或其药学上可接受的盐、立体异构体、互变异构体、多晶型物、溶剂合物、N-氧化物、同位素标记的化合物、代谢物或前药,其中所述化合物具有式(I)的结构:One aspect of the present invention provides compounds, or pharmaceutically acceptable salts, stereoisomers, tautomers, polymorphs, solvates, N-oxides, isotopically labeled compounds, metabolites or pro- medicine, wherein the compound has the structure of formula (I):
X1选自CR5和N;X 1 is selected from CR 5 and N;
X2选自CR6和N;X 2 is selected from CR 6 and N;
X3选自CR7和N;X 3 is selected from CR 7 and N;
X4选自CR8和N;X 4 is selected from CR 8 and N;
X5选自CR9和N;X 5 is selected from CR 9 and N;
环A选自C3-10环烷基、3-10元杂环基、C6-10芳基和5-10元杂芳基;Ring A is selected from C 3-10 cycloalkyl, 3-10 membered heterocyclyl, C 6-10 aryl and 5-10 membered heteroaryl;
Ra和Rb各自独立地选自氢和C1-6烷基,其中所述C1-6烷基任选地被一个或多个独立地选自卤素、羟基和氰基的取代基取代;或者R a and R b are each independently selected from hydrogen and C 1-6 alkyl, wherein said C 1-6 alkyl is optionally substituted with one or more substituents independently selected from halo, hydroxy and cyano ;or
Ra和Rb连同其所连接的碳原子共同形成C3-6环烷基,其中所述C3-6环烷基任选地被一个或多个独立地选自卤素、羟基、氰基、C1-6烷基和C1-6卤代烷基的取代基取代;R a and R b together with the carbon atom to which they are attached form a C 3-6 cycloalkyl group, wherein the C 3-6 cycloalkyl group is optionally selected by one or more independently selected from halogen, hydroxy, cyano , C 1-6 alkyl and C 1-6 haloalkyl substitution;
Rc和Rd各自独立地选自氢和C1-6烷基,其中所述C1-6烷基任选地被一个或多个独立地选自卤素、羟基和氰基的取代基取代;或者R c and R d are each independently selected from hydrogen and C 1-6 alkyl, wherein said C 1-6 alkyl is optionally substituted with one or more substituents independently selected from halo, hydroxy and cyano ;or
Rc和Rd连同其所连接的碳原子共同形成C3-6环烷基,其中所述C3-6环烷基任选地被一个或多个独立地选自卤素、羟基、氰基、C1-6烷基和C1-6卤代烷基的取代基取代;R c and R d together with the carbon atom to which they are attached form a C 3-6 cycloalkyl, wherein the C 3-6 cycloalkyl is optionally selected by one or more independently selected from halogen, hydroxy, cyano , C 1-6 alkyl and C 1-6 haloalkyl substitution;
R1选自-S(O)2-C1-6烷基、-S(O)2-NH2、-S(O)2-NH-C1-6烷基和-S(O)2-N(C1-6烷基)2,其中所述烷基任选地被一个或多个独立地选自卤素、羟基、氰基和C3-6环烷基的取代基取代;R 1 is selected from -S(O) 2 -C 1-6 alkyl, -S(O) 2 -NH 2 , -S(O) 2 -NH-C 1-6 alkyl and -S(O) 2 -N(C 1-6 alkyl) 2 , wherein said alkyl is optionally substituted with one or more substituents independently selected from halogen, hydroxy, cyano, and C 3-6 cycloalkyl;
R2在每次出现时各自独自地选自氢、卤素、氰基、羟基、C1-6烷基、C3-6环烷基、3-6元杂环基和C1-6烷氧基,其中所述烷基和烷氧基各自任选地被一个或多个独立地选自卤素、羟基和氰基的取代基取代,所述环烷基和杂环基各自任选地被一个或多个独立地选自卤素、羟基、氰基、C1-6烷基、C1-6卤代烷基、C1-6烷氧基和C1-6卤代烷氧基的取代基取代;R 2 is each independently selected at each occurrence from hydrogen, halogen, cyano, hydroxy, C 1-6 alkyl, C 3-6 cycloalkyl, 3-6 membered heterocyclyl and C 1-6 alkoxy wherein the alkyl and alkoxy groups are each optionally substituted with one or more substituents independently selected from halogen, hydroxy, and cyano, and the cycloalkyl and heterocyclyl groups are each optionally substituted with a or more substituents independently selected from halogen, hydroxy, cyano, C 1-6 alkyl, C 1-6 haloalkyl, C 1-6 alkoxy and C 1-6 haloalkoxy;
R3选自氢、C1-6烷基、C3-6环烷基和3-6元杂环基,其中所述烷基、环烷基和杂环基各自任选地被一个或多个独立地选自卤素、羟基、氰基、-N(R11)(R12)和C1-6烷氧基的取代基取代; R is selected from hydrogen, C 1-6 alkyl, C 3-6 cycloalkyl and 3-6 membered heterocyclyl, wherein each of said alkyl, cycloalkyl and heterocyclyl is optionally replaced by one or more substituted with substituents independently selected from halogen, hydroxy, cyano, -N(R 11 )(R 12 ) and C 1-6 alkoxy;
R4选自氢和C1-6烷基,其中所述烷基任选地被一个或多个独立地选自卤素、羟基和氰基的取代基取代; R4 is selected from hydrogen and C1-6 alkyl, wherein said alkyl is optionally substituted with one or more substituents independently selected from halogen, hydroxy and cyano;
R5选自氢、卤素、氰基和羟基;R 5 is selected from hydrogen, halogen, cyano and hydroxyl;
R6、R7、R8、R9和R10在每次出现时各自独立地选自氢、卤素、氰基、羟基、C1-6烷基和C1-6烷氧基,所述烷基和烷氧基各自任选地被一个或多个独立地选自卤素、羟基和氰基的取代基取代;R 6 , R 7 , R 8 , R 9 and R 10 are each independently selected at each occurrence from hydrogen, halogen, cyano, hydroxy, C 1-6 alkyl and C 1-6 alkoxy, the each of alkyl and alkoxy is optionally substituted with one or more substituents independently selected from halo, hydroxy, and cyano;
R11和R12各自独立地选自氢和C1-6烷基,所述烷基任选地被一个或多个独立地选自卤素、羟基和氰基的取代基取代;R 11 and R 12 are each independently selected from hydrogen and C 1-6 alkyl optionally substituted with one or more substituents independently selected from halogen, hydroxy and cyano;
m为0、1、2或3;并且m is 0, 1, 2, or 3; and
n为1、2、3或4。n is 1, 2, 3 or 4.
本发明的另一方面提供药物组合物,其包含预防或治疗有效量的本发明的化合物或其药学上可接受的盐、立体异构体、互变异构体、多晶型物、溶剂合物、N-氧化物、同位素标记的化合物、代谢物或前药,以及一种或多种药学上可接受的载体。Another aspect of the present invention provides pharmaceutical compositions comprising a prophylactically or therapeutically effective amount of a compound of the present invention or a pharmaceutically acceptable salt, stereoisomer, tautomer, polymorph, solvate thereof compounds, N-oxides, isotopically labeled compounds, metabolites, or prodrugs, and one or more pharmaceutically acceptable carriers.
本发明的另一方面提供本发明的化合物或其药学上可接受的盐、立体异构体、互变异构体、多晶型物、溶剂合物、N-氧化物、同位素标记的化合物、代谢物或前药或者本发明的药物组合物在制备用于预防或治疗RORγ介导的疾病或病症的药物中的用途。Another aspect of the present invention provides compounds of the present invention or pharmaceutically acceptable salts, stereoisomers, tautomers, polymorphs, solvates, N-oxides, isotopically labeled compounds, Use of a metabolite or prodrug or a pharmaceutical composition of the present invention in the manufacture of a medicament for the prevention or treatment of a disease or condition mediated by RORγ.
本发明的另一方面提供本发明的化合物或其药学上可接受的盐、立体异构体、互变异构体、多晶型物、溶剂合物、N-氧化物、同位素标记的化合物、代谢物或前药或者本发明的药物组合物,其用于预防或治疗RORγ介导的疾病或病症。Another aspect of the present invention provides compounds of the present invention or pharmaceutically acceptable salts, stereoisomers, tautomers, polymorphs, solvates, N-oxides, isotopically labeled compounds, Metabolites or prodrugs or pharmaceutical compositions of the invention for use in the prevention or treatment of RORγ mediated diseases or disorders.
本发明的另一方面提供预防或治疗RORγ介导的疾病或病症的方法,所述方法包括向需要其的个体给药有效量的化合物或其药学上可接受的盐、立体异构体、互变异构体、多晶型物、溶剂合物、N-氧化物、同位素标记的化合物、代谢物或前药或者本发明的药物组合物。Another aspect of the present invention provides a method of preventing or treating a disease or disorder mediated by RORγ, the method comprising administering to an individual in need thereof an effective amount of a compound or a pharmaceutically acceptable salt, stereoisomer, mutual Variants, polymorphs, solvates, N-oxides, isotopically labeled compounds, metabolites or prodrugs or pharmaceutical compositions of the invention.
本发明的另一方面提供本发明的化合物的制备方法。Another aspect of the present invention provides methods for the preparation of the compounds of the present invention.
定义definition
除非在下文中另有定义,本文中所用的所有技术术语和科学术语的含义意图与本领域技术人员通常所理解的相同。提及本文中使用的技术意图指在本领域中通常所理解的技术,包括那些对本领域技术人员显而易见的技术的变化或等效技术的替换。虽然相信以下术语对于本领域技术人员很好理解,但仍然阐述以下定义以更好地解释本发明。Unless otherwise defined below, all technical and scientific terms used herein are intended to have the same meaning as commonly understood by one of ordinary skill in the art. References to techniques used herein are intended to refer to techniques commonly understood in the art, including those variations or substitutions of equivalent techniques that would be apparent to those skilled in the art. While the following terms are believed to be well understood by those skilled in the art, the following definitions are set forth to better explain the present invention.
如本文中所使用,术语“包括”、“包含”、“具有”、“含有”或“涉及”及其在本文中的其它变体形式为包含性的(inclusive)或开放式的,且不排除其它未列举的元素或方法步骤。As used herein, the terms "comprising", "comprising", "having", "containing" or "involving" and other variations thereof herein are inclusive or open-ended, and do not Other unlisted elements or method steps are excluded.
如本文中所使用,术语“氢”及各基团中的氢是指氕(H)、氘(D)或氚(T)。在某些优选实施方案中,所述氢为H。在某些优选实施方案中,所述氢为D。As used herein, the term "hydrogen" and hydrogen in each group refers to protium (H), deuterium (D), or tritium (T). In certain preferred embodiments, the hydrogen is H. In certain preferred embodiments, the hydrogen is D.
如本文中所使用,术语“烷基”定义为线性或支化饱和脂肪族烃,其任选地被1或多个(诸如1至3个)适合的取代基取代,所述取代基例如卤素(此时该基团被称作“卤代烷基”)、羟基(此时该基团被称作“亚烷基-OH”)或氰基(此时该基团被称作“亚烷基-CN”)。在一些实施方案中,烷基具有1至12个碳原子,例如1至6个碳原子(C1-6烷基)或1至4个碳原子(C1-4烷基)。例如,如本文中所使用,术语“C1-6烷基”指具有1至6个碳原子的线性或支化的基团(例如甲基、乙基、正丙基、异丙基、正丁基、异丁基、仲丁基、叔丁基、正戊基、异戊基、新戊基或正己基)。术语“C1-4烷基”指具有1至4个碳原子的线性或支化的脂肪族烃链(即甲基、乙基、正丙基、异丙基、正丁基、异丁基、仲丁基或叔丁基)。术语“C1-6卤代烷基”是指被1或多个卤素取代的C1-6烷基,例如“C1-4卤代烷基”,更特别地,例如-CH2F、-CHF2、-CF3、-CCl3、-C2F5、-C2Cl5、-CH2CF3、-CH2Cl或-CH2CH2CF3等。术语“C1-6亚烷基-OH”是指被羟基取代的C1-6烷基,例如“C1-4亚烷基-OH”。术语“C1-6亚烷基-CN”是指被氰基取代的C1-6烷基,例如“C1-4亚烷基-CN”。As used herein, the term "alkyl" is defined as a linear or branched saturated aliphatic hydrocarbon optionally substituted with 1 or more (such as 1 to 3) suitable substituents, eg, halogen (in this case the group is referred to as "haloalkyl"), hydroxy (in this case the group is referred to as "alkylene-OH") or cyano (in this case the group is referred to as "alkylene- EN"). In some embodiments, the alkyl group has 1 to 12 carbon atoms, such as 1 to 6 carbon atoms (C 1-6 alkyl) or 1 to 4 carbon atoms (C 1-4 alkyl). For example, as used herein, the term "C 1-6 alkyl" refers to a linear or branched group having 1 to 6 carbon atoms (eg, methyl, ethyl, n-propyl, isopropyl, n- butyl, isobutyl, sec-butyl, tert-butyl, n-pentyl, isopentyl, neopentyl or n-hexyl). The term "C 1-4 alkyl" refers to a linear or branched aliphatic hydrocarbon chain having 1 to 4 carbon atoms (ie methyl, ethyl, n-propyl, isopropyl, n-butyl, isobutyl , sec-butyl or tert-butyl). The term "C 1-6 haloalkyl" refers to a C 1-6 alkyl substituted with 1 or more halogens, such as "C 1-4 haloalkyl", more particularly, such as -CH 2 F, -CHF 2 , -CF 3 , -CCl 3 , -C 2 F 5 , -C 2 Cl 5 , -CH 2 CF 3 , -CH 2 Cl or -CH 2 CH 2 CF 3 and the like. The term "C 1-6 alkylene-OH" refers to a C 1-6 alkyl group substituted with hydroxy, such as "C 1-4 alkylene-OH". The term "C 1-6 alkylene-CN" refers to a C 1-6 alkyl group substituted with a cyano group, such as "C 1-4 alkylene-CN".
如本文中所使用,术语“烷氧基”是指具有“烷基-O-”结构的基团(其中烷基如上文所定义),其任选地被1或多个(诸如1至3个)适合的取代基取代,所述取代基例如为卤素(此时该基团被称作“卤代烷氧基”)。如本文所使用,术语“C1-6烷氧基”是指具有“C1-6烷基-O-”结构的基团(其中C1-6烷基如上文所定义),例如C1-4烷氧基、C1-2烷氧基、C1烷氧基、C2烷氧基、C3烷氧基、C4烷氧基、C5烷氧基或C6烷氧基,优选为C1-4烷氧基。具体的实例包括但不限于甲氧基、乙氧基、丙氧基、异丙氧基、正丁氧基、仲丁氧基、叔丁氧基、正戊氧基、异戊基氧基、己基氧基等。As used herein, the term "alkoxy" refers to a group having the structure "alkyl-O-" (where alkyl is as defined above), optionally surrounded by 1 or more (such as 1 to 3 ) with a suitable substituent such as halogen (in this case this group is referred to as "haloalkoxy"). As used herein, the term "C 1-6 alkoxy" refers to a group having the structure "C 1-6 alkyl-O-" (wherein C 1-6 alkyl is as defined above), eg, C 1 -4 alkoxy, C 1-2 alkoxy, C 1 alkoxy, C 2 alkoxy, C 3 alkoxy, C 4 alkoxy, C 5 alkoxy or C 6 alkoxy, Preferred is C 1-4 alkoxy. Specific examples include, but are not limited to, methoxy, ethoxy, propoxy, isopropoxy, n-butoxy, sec-butoxy, tert-butoxy, n-pentyloxy, isopentyloxy, Hexyloxy, etc.
术语“卤代烷氧基”是指被1个或多个卤素取代的烷氧基。如本文中所使用,术语“C1-6卤代烷氧基”是指被1个或多个卤素取代的C1-6烷氧基,例如但不限于-OCH2F、-OCH2Cl、-OCH2CH2F、-OCH2CH2Cl、-OCH2CH2CH2Cl、-OCH2CH2CH2F、-OC(CH2)2Cl、-OC(CH2)2F。The term "haloalkoxy" refers to an alkoxy group substituted with one or more halogens. As used herein, the term "C 1-6 haloalkoxy" refers to C 1-6 alkoxy substituted with 1 or more halogens, such as but not limited to -OCH 2 F, -OCH 2 Cl, - OCH2CH2F , -OCH2CH2Cl , -OCH2CH2CH2Cl , -OCH2CH2CH2F , -OC ( CH2 ) 2Cl , -OC ( CH2 ) 2F .
如本文中所使用,术语“环烷基”指饱和的单环或多环(诸如双环)烃环(例如单环,诸如环丙基、环丁基、环戊基、环己基、环庚基、环辛基、环壬基,或双环,包括螺环、稠合或桥连系统(诸如双环[1.1.1]戊基、双环[2.2.1]庚基、双环[3.2.1]辛基或双环[5.2.0]壬基、十氢化萘基等),其任选地被1或多个(诸如1至3个)适合的取代基取代。所述环烷基具有3至15个碳原子。例如,术语“C3-6环烷基”指具有3至6个成环碳原子的饱和的单环或多环(诸如双环)烃环(例如环丙基、环丁基、环戊基或环己基),其任选地被1或多个(诸如1至3个)适合的取代基取代,例如甲基取代的环丙基。As used herein, the term "cycloalkyl" refers to a saturated monocyclic or polycyclic (such as bicyclic) hydrocarbon ring (eg, monocyclic such as cyclopropyl, cyclobutyl, cyclopentyl, cyclohexyl, cycloheptyl) , cyclooctyl, cyclononyl, or bicyclic, including spiro, fused, or bridged systems (such as bicyclo[1.1.1]pentyl, bicyclo[2.2.1]heptyl, bicyclo[3.2.1]octyl or bicyclo[5.2.0]nonyl, decalinyl, etc.), optionally substituted with 1 or more (such as 1 to 3) suitable substituents. The cycloalkyl group has 3 to 15 carbons For example, the term "C 3-6 cycloalkyl" refers to a saturated monocyclic or polycyclic (such as bicyclic) hydrocarbon ring (eg, cyclopropyl, cyclobutyl, cyclopentane) having 3 to 6 ring carbon atoms or cyclohexyl), which is optionally substituted with 1 or more (such as 1 to 3) suitable substituents, eg, methyl substituted cyclopropyl.
如本文中所使用,术语“杂环基”指饱和或部分不饱和的单环或双环基团,其在环中具有2、3、4、5、6、7、8或9个碳原子和一个或多个(例如一个、两个、三个或四个)选自C(=O)、O、S、S(=O)、S(=O)2和NRx的含杂原子的基团,其中Rx表示氢原子或C1-6烷基或C1-6卤代烷基;所述杂环基可以通过所述碳原子中的任一个或氮原子(如果存在的话)与分子的其余部分连接。特别地,3-10元杂环基为在环中具有3-10个碳原子及杂原子的基团,例如但不限于环氧乙烷基、氮丙啶基、氮杂环丁烷基(azetidinyl)、氧杂环丁烷基(oxetanyl)、四氢呋喃基、二氧杂环戊烯基(dioxolinyl)、吡咯烷基、吡咯烷酮基、咪唑烷基、吡唑烷基、吡咯啉基、四氢吡喃基、哌啶基、吗啉基、二噻烷基(dithianyl)、硫吗啉基、哌嗪基或三噻烷基(trithianyl)。As used herein, the term "heterocyclyl" refers to a saturated or partially unsaturated monocyclic or bicyclic group having 2, 3, 4, 5, 6, 7, 8 or 9 carbon atoms in the ring and One or more (eg one, two, three or four) heteroatom-containing groups selected from C(=O), O, S, S(=O), S(=O) 2 and NRx group, wherein R x represents a hydrogen atom or a C 1-6 alkyl or C 1-6 haloalkyl group; the heterocyclyl group can be bonded to the rest of the molecule through any of the carbon atoms or a nitrogen atom (if present) Partial connection. In particular, a 3-10 membered heterocyclyl group is a group having 3-10 carbon atoms and heteroatoms in the ring, such as, but not limited to, oxiranyl, aziridinyl, azetidinyl ( azetidinyl), oxetanyl, tetrahydrofuranyl, dioxolinyl, pyrrolidinyl, pyrrolidinyl, imidazolidinyl, pyrazolidinyl, pyrrolinyl, tetrahydropyridine Alanyl, piperidinyl, morpholinyl, dithianyl, thiomorpholinyl, piperazinyl or trithianyl.
如本文中所使用,术语“芳基”指具有共轭π电子系统的全碳单环或稠合多环芳族基团。例如,如本文中所使用,术语“C6-10芳基”意指含有6至10个碳原子的芳族基团,诸如苯基或萘基。芳基任选地被1或多个(诸如1至3个)适合的取代基(例如卤素、-OH、-CN、-NO2、C1-6烷基等)取代。As used herein, the term "aryl" refers to an all-carbon monocyclic or fused polycyclic aromatic group having a conjugated pi electron system. For example, as used herein, the term " C6-10 aryl" means an aromatic group containing 6 to 10 carbon atoms, such as phenyl or naphthyl. The aryl group is optionally substituted with 1 or more (such as 1 to 3) suitable substituents (eg, halogen, -OH, -CN, -NO2 , C1-6 alkyl, etc.).
如本文中所使用,术语“芳烷基”优选表示芳基取代的烷基,其中所述芳基和所述烷基如本文中所定义。通常,所述芳基可具有6-10个碳原子,并且所述烷基可具有1-6个碳原子。示例性芳烷基包括但不限于苄基、苯基乙基、苯基丙基、苯基丁基。As used herein, the term "aralkyl" preferably refers to an aryl-substituted alkyl group, wherein said aryl group and said alkyl group are as defined herein. Typically, the aryl group can have 6-10 carbon atoms, and the alkyl group can have 1-6 carbon atoms. Exemplary aralkyl groups include, but are not limited to, benzyl, phenylethyl, phenylpropyl, phenylbutyl.
如本文中所使用,术语“5-10元杂芳基”是指含有5-10个环成员的单环或多环芳族基团,且所述环成员中包含1-4个(例如1、2、3或4个)选自N、O和S的杂原子,例如5元杂芳基、6元杂芳基等。其具体实例包括但不限于呋喃基、噻吩基、吡咯基、噻唑基、异噻唑基、噻二唑基、噁唑基、异噁唑基、咪唑基、吡唑基、1,2,3-三唑基、1,2,4-三唑基、1,2,3-噁二唑基、1,2,4-噁二唑基、1,2,5-噁二唑基、1,3,4-噁二唑基、吡啶基、2-吡啶酮基、4-吡啶酮基、嘧啶基、2H-1,2-噁嗪基、4H-1,2-噁嗪基、6H-1,2-噁嗪基、4H-1,3-噁嗪基、6H-1,3-噁嗪基、4H-1,4-噁嗪基、哒嗪基、吡嗪基、1,2,3-三嗪基、1,3,5-三嗪基、1,2,4,5-四嗪基等。如本文中所使用,术语“卤代”或“卤素”基团定义为包括F、Cl、Br或I。As used herein, the term "5-10 membered heteroaryl" refers to a monocyclic or polycyclic aromatic group containing 5-10 ring members, including 1-4 (eg, 1 , 2, 3, or 4) heteroatoms selected from N, O, and S, eg, 5-membered heteroaryl, 6-membered heteroaryl, and the like. Specific examples thereof include, but are not limited to, furanyl, thienyl, pyrrolyl, thiazolyl, isothiazolyl, thiadiazolyl, oxazolyl, isoxazolyl, imidazolyl, pyrazolyl, 1,2,3- Triazolyl, 1,2,4-triazolyl, 1,2,3-oxadiazolyl, 1,2,4-oxadiazolyl, 1,2,5-oxadiazolyl, 1,3 ,4-oxadiazolyl, pyridyl, 2-pyridone, 4-pyridone, pyrimidinyl, 2H-1,2-oxazinyl, 4H-1,2-oxazinyl, 6H-1, 2-oxazinyl, 4H-1,3-oxazinyl, 6H-1,3-oxazinyl, 4H-1,4-oxazinyl, pyridazinyl, pyrazinyl, 1,2,3- Triazinyl, 1,3,5-triazinyl, 1,2,4,5-tetraazinyl and the like. As used herein, the term "halo" or "halogen" group is defined to include F, Cl, Br or I.
如本文中所使用,术语“取代”指所指定的原子上的一个或多个(例如一个、两个、三个或四个)氢被从所指出的基团的选择代替,条件是未超过所指定的原子在当前情况下的正常原子价并且所述取代形成稳定的化合物。取代基和/或变量的组合仅仅当这种组合形成稳定的化合物时才是允许的。As used herein, the term "substituted" means that one or more (eg, one, two, three, or four) hydrogens on the designated atom are replaced by a selection from the designated group, provided that no more than The designated atom has the normal valence in the present case and the substitution forms a stable compound. Combinations of substituents and/or variables are permissible only if such combinations form stable compounds.
如果取代基被描述为“任选地被…取代”,则取代基可(1)未被取代或(2)被取代。如果取代基的碳被描述为任选地被取代基列表中的一个或多个取代,则碳上的一个或多个氢(至存在的任何氢的程度)可单独和/或一起被独立地选择的任选的取代基替代。如果取代基的氮被描述为任选地被取代基列表中的一个或多个取代,则氮上的一个或多个氢(至存在的任何氢的程度)可各自被独立地选择的任选的取代基替代。If a substituent is described as "optionally substituted", the substituent can be (1) unsubstituted or (2) substituted. If a carbon of a substituent is described as being optionally substituted with one or more of the list of substituents, one or more hydrogens on the carbon (to the extent of any hydrogens present) may be independently and/or together independently Selected optional substituents are substituted. If a nitrogen of a substituent is described as being optionally substituted with one or more of the list of substituents, then one or more hydrogens on the nitrogen (to the extent of any hydrogens present) may each be independently selected optional substitution of substituents.
如果取代基被描述为“独立地选自”一组,则各取代基独立于另一者被选择。因此,各取代基可与另一(其他)取代基相同或不同。If substituents are described as being "independently selected from" a group, each substituent is selected independently of the other. Thus, each substituent may be the same as or different from another (other) substituent.
如本文中所使用,术语“一个或多个”意指在合理条件下的1个或超过1个,例如2个、3个、4个、5个或10个。As used herein, the term "one or more" means 1 or more than 1, such as 2, 3, 4, 5 or 10, under reasonable conditions.
除非另外指明,否则如本文中所使用,取代基的连接点可来自取代基的任意适宜位置。Unless otherwise indicated, as used herein, the point of attachment of a substituent can be from any suitable position on the substituent.
当取代基的键显示为穿过环中连接两个原子的键时,则这样的取代基可键连至该可取代的环中的任一成环原子。When the bond of a substituent is shown as a bond connecting two atoms in a ring, such substituent may be bonded to any ring-forming atom in the substitutable ring.
本发明还包括所有药学上可接受的同位素标记的化合物,其与本发明的化合物相同,除了一个或多个原子被具有相同原子序数但原子质量或质量数不同于在自然界中占优势的原子质量或质量数的原子替代。适合包含入本发明的化合物中的同位素的实例包括(但不限于)氢的同位素(例如氘(2H)、氚(3H));碳的同位素(例如11C、13C及14C);氯的同位素(例如36Cl);氟的同位素(例如18F);碘的同位素(例如123I及125I);氮的同位素(例如13N及15N);氧的同位素(例如15O、17O及18O);磷的同位素(例如32P);及硫的同位素(例如35S)。某些同位素标记的本发明的化合物(例如掺入放射性同位素的那些)可用于药物和/或底物组织分布研究(例如分析)中。放射性同位素氚(即3H)及碳-14(即14C)因易于掺入且容易检测而特别可用于该目的。用正电子发射同位素(例如11C、18F、15O及13N)进行取代可在正电子发射断层显像术(PET)研究中用于检验底物受体占据情况。被同位素标记的本发明的化合物可通过与描述于随附路线和/或实施例及制备中的那些类似的方法通过使用适当的被同位素标记的试剂代替之前采用的非标记的试剂来制备。本发明的药学上可接受的溶剂合物包括其中结晶溶剂可被同位素取代的那些,例如,D2O、丙酮-d6或DMSO-d6。The present invention also includes all pharmaceutically acceptable isotopically-labeled compounds that are identical to the compounds of the present invention, except that one or more atoms have the same atomic number but an atomic mass or mass number different from the atomic mass that predominates in nature or atomic substitution of mass number. Examples of isotopes suitable for inclusion in the compounds of the invention include, but are not limited to, isotopes of hydrogen (eg, deuterium (2H), tritium ( 3H )); isotopes of carbon (eg, 11C , 13C , and14C ) ; isotopes of chlorine (eg 36 Cl); isotopes of fluorine (eg 18 F); isotopes of iodine (eg 123 I and 125 I); isotopes of nitrogen (eg 13 N and 15 N); isotopes of oxygen (eg 15 O) , 17 O and 18 O); isotopes of phosphorus (eg 32 P); and isotopes of sulfur (eg 35 S). Certain isotopically-labeled compounds of the invention (eg, those incorporating radioisotopes) are useful in drug and/or substrate tissue distribution studies (eg, assays). The radioisotopes tritium (ie 3 H) and carbon-14 (ie 14 C) are particularly useful for this purpose due to their ease of incorporation and ease of detection. Substitution with positron emitting isotopes such as11C , 18F , 15O , and13N can be used to examine substrate receptor occupancy in positron emission tomography (PET) studies. Isotopically-labeled compounds of the invention can be prepared by methods analogous to those described in the accompanying Schemes and/or Examples and Preparations by using an appropriate isotopically-labeled reagent in place of the previously employed non-labeled reagent. Pharmaceutically acceptable solvates of the present invention include those in which the crystallization solvent may be isotopically substituted, eg, D2O , acetone-d6, or DMSO - d6.
术语“立体异构体”表示由于至少一个不对称中心形成的异构体。在具有一个或多个(例如一个、两个、三个或四个)不对称中心的化合物中,其可产生外消旋混合物、单一对映异构体、非对映异构体混合物和单独的非对映异构体。特定个别分子也可以几何异构体(顺式/反式)存在。类似地,本发明的化合物可以两种或更多种处于快速平衡的结构不同的形式的混合物(通常称作互变异构体)存在。互变异构体的代表性实例包括酮-烯醇互变异构体、苯酚-酮互变异构体、亚硝基-肟互变异构体、亚胺-烯胺互变异构体等。要理解,本申请的范围涵盖所有这样的以任意比例(例如60%、65%、70%、75%、80%、85%、90%、95%、96%、97%、98%、99%)的异构体或其混合物。The term "stereoisomer" refers to isomers formed due to at least one asymmetric center. In compounds having one or more (eg, one, two, three or four) asymmetric centers, it may give rise to racemic mixtures, single enantiomers, diastereomeric mixtures and individual of diastereomers. Certain individual molecules can also exist as geometric isomers (cis/trans). Similarly, the compounds of the present invention may exist as mixtures of two or more structurally distinct forms in rapid equilibrium (often referred to as tautomers). Representative examples of tautomers include keto-enol tautomers, phenol-ketone tautomers, nitroso-oxime tautomers, imine-enamine tautomers Wait. It is to be understood that the scope of this application covers all such in any ratio (eg 60%, 65%, 70%, 75%, 80%, 85%, 90%, 95%, 96%, 97%, 98%, 99% %) of isomers or mixtures thereof.
本文中可使用实线(——)、实楔形()或虚楔形()描绘本发明的化合物的化学键。使用实线以描绘键连至不对称碳原子的键欲表明,包括该碳原子处的所有可能的立体异构体(例如,特定的对映异构体、外消旋混合物等)。使用实或虚楔形以描绘键连至不对称碳原子的键欲表明,存在所示的立体异构体。当存在于外消旋混合物中时,使用实及虚楔形以定义相对立体化学,而非绝对立体化学。除非另外指明,否则本发明的化合物意欲可以立体异构体(其包括顺式及反式异构体、光学异构体(例如R及S对映异构体)、非对映异构体、几何异构体、旋转异构体、构象异构体、阻转异构体及其混合物)的形式存在。本发明的化合物可表现一种以上类型的异构现象,且由其混合物(例如外消旋混合物及非对映异构体对)组成。In this paper, solid lines (—), solid wedges ( ) or imaginary wedge ( ) depict the chemical bonds of the compounds of the present invention. The use of a solid line to depict a bond to an asymmetric carbon atom is intended to indicate that all possible stereoisomers at that carbon atom are included (eg, a specific enantiomer, racemic mixture, etc.). The use of real or dashed wedges to delineate bonds to asymmetric carbon atoms is intended to indicate that the indicated stereoisomer exists. When present in a racemic mixture, real and imaginary wedges are used to define relative, rather than absolute, stereochemistry. Unless otherwise indicated, the compounds of the present invention are intended to be available as stereoisomers (which include cis and trans isomers, optical isomers (eg, R and S enantiomers), diastereomers, Geometric isomers, rotational isomers, conformational isomers, atropisomers and mixtures thereof). The compounds of the present invention may exhibit more than one type of isomerism and consist of mixtures thereof (eg, racemic mixtures and pairs of diastereomers).
本发明涵盖本发明的化合物的所有可能的结晶形式或多晶型物,其可为单一多晶型物或多于一种多晶型物的任意比例的混合物。The present invention encompasses all possible crystalline forms or polymorphs of the compounds of the present invention, which may be a single polymorph or a mixture of more than one polymorph in any ratio.
还应当理解,本发明的某些化合物可以游离形式存在用于治疗,或适当时,以其药学上可接受的衍生物形式存在。在本发明中,药学上可接受的衍生物包括但不限于,药学上可接受的盐、溶剂合物、N-氧化物、代谢物或前药,在将它们向需要其的患者给药后,能够直接或间接提供本发明的化合物或其代谢物或残余物。因此,当在本文中提及“本发明的化合物”时,也意在涵盖化合物的上述各种衍生物形式。It will also be appreciated that certain compounds of the present invention may exist in free form for use in therapy, or, where appropriate, in the form of their pharmaceutically acceptable derivatives. In the present invention, pharmaceutically acceptable derivatives include, but are not limited to, pharmaceutically acceptable salts, solvates, N-oxides, metabolites or prodrugs after their administration to a patient in need thereof , capable of directly or indirectly providing the compounds of the invention or their metabolites or residues. Accordingly, references herein to "compounds of the present invention" are also intended to encompass the various derivative forms of the compounds described above.
术语“药学上可接受的”是指物质或组合物必须与构成制剂的其他组分和/或用其治疗的哺乳动物在化学和/或毒理学上相容。The term "pharmaceutically acceptable" means that a substance or composition must be chemically and/or toxicologically compatible with the other components that make up the formulation and/or the mammal to be treated with it.
本发明的化合物的药学上可接受的盐包括其酸加成盐及碱加成盐。Pharmaceutically acceptable salts of the compounds of the present invention include acid addition salts and base addition salts thereof.
适合的酸加成盐由形成药学上可接受盐的酸来形成。实例包括天冬氨酸盐、葡庚糖酸盐、葡糖酸盐、乳清酸盐、棕榈酸盐及其它类似的盐。Suitable acid addition salts are formed from acids which form pharmaceutically acceptable salts. Examples include aspartate, glucoheptonate, gluconate, orotate, palmitate and other similar salts.
适合的碱加成盐由形成药学上可接受盐的碱来形成。实例包括铝盐、精氨酸盐、胆碱盐、镁盐及其它类似的盐。Suitable base addition salts are formed from bases which form pharmaceutically acceptable salts. Examples include aluminum, arginine, choline, magnesium, and other similar salts.
适合的盐的综述参见Stahl及Wermuth的“Handbook of Pharmaceutical Salts:Properties,Selection,and Use”(Wiley-VCH,2002)。用于制备本发明的化合物的药学上可接受的盐的方法为本领域技术人员已知的。For a review of suitable salts see Stahl and Wermuth, "Handbook of Pharmaceutical Salts: Properties, Selection, and Use" (Wiley-VCH, 2002). Methods for preparing pharmaceutically acceptable salts of the compounds of the present invention are known to those skilled in the art.
本发明的化合物可以溶剂合物(优选水合物)的形式存在,其中本发明的化合物包含作为所述化合物晶格的结构要素的极性溶剂,特别是例如水、甲醇或乙醇。极性溶剂特别是水的量可以化学计量比或非化学计量比存在。The compounds of the present invention may exist in the form of solvates, preferably hydrates, wherein the compounds of the present invention comprise a polar solvent as a structural element of the crystal lattice of the compound, in particular for example water, methanol or ethanol. The amount of polar solvent, especially water, may be present in stoichiometric or non-stoichiometric ratios.
本领域技术人员会理解,由于氮需要可用的孤对电子来氧化成氧化物,因此并非所有的含氮杂环都能够形成N-氧化物;本领域技术人员会识别能够形成N-氧化物的含氮杂环。本领域技术人员还会认识到叔胺能够形成N-氧化物。用于制备杂环和叔胺的N-氧化物的合成方法是本领域技术人员熟知的,包括用过氧酸如过氧乙酸和间氯过氧苯甲酸(MCPBA)、过氧化氢、烷基过氧化氢如叔丁基过氧化氢、过硼酸钠和双环氧乙烷(dioxirane)如二甲基双环氧乙烷来氧化杂环和叔胺。这些用于制备N-氧化物的方法已在文献中得到广泛描述和综述,参见例如:T.L.Gilchrist,Comprehensive Organic Synthesis,vol.7,pp748-750;A.R.Katritzky和A.J.Boulton,Eds.,Academic Press;以及G.W.H.Cheeseman和E.S.G.Werstiuk,Advances in Heterocyclic Chemistry,vol.22,pp 390-392,A.R.Katritzky和A.J.Boulton,Eds.,Academic Press。Those skilled in the art will appreciate that not all nitrogen-containing heterocycles are capable of forming N-oxides since nitrogen requires available lone pairs of electrons to oxidize to oxides; Nitrogen-containing heterocycles. Those skilled in the art will also recognize that tertiary amines are capable of forming N-oxides. Synthetic methods for the preparation of N-oxides of heterocycles and tertiary amines are well known to those skilled in the art and include the use of peroxyacids such as peracetic acid and m-chloroperoxybenzoic acid (MCPBA), hydrogen peroxide, alkyl Hydrogen peroxides such as t-butyl hydroperoxide, sodium perborate and dioxiranes such as dimethyldioxirane are used to oxidize heterocycles and tertiary amines. These methods for the preparation of N-oxides have been extensively described and reviewed in the literature, see for example: T.L. Gilchrist, Comprehensive Organic Synthesis, vol. 7, pp748-750; A.R. Katritzky and A.J. Boulton, Eds., Academic Press; and G.W.H. Cheeseman and E.S.G.Werstiuk, Advances in Heterocyclic Chemistry, vol. 22, pp 390-392, A.R. Katritzky and A.J. Boulton, Eds., Academic Press.
在本发明的范围内还包括本发明的化合物的代谢物,即在给药本发明的化合物时体内形成的物质。这样的产物可由例如被给药的化合物的氧化、还原、水解、酰胺化、脱酰胺化、酯化、酶解等产生。因此,本发明包括本发明的化合物的代谢物,包括通过使本发明的化合物与哺乳动物接触足以产生其代谢产物的时间的方法制得的化合物。Also included within the scope of the present invention are metabolites of the compounds of the present invention, ie substances formed in the body upon administration of the compounds of the present invention. Such products may result from, for example, oxidation, reduction, hydrolysis, amidation, deamidation, esterification, enzymatic hydrolysis, and the like, of the administered compound. Accordingly, the present invention includes metabolites of the compounds of the present invention, including compounds prepared by methods of contacting a compound of the present invention with a mammal for a time sufficient to produce the metabolites thereof.
本发明在其范围内进一步包括本发明的化合物的前药,其为自身可具有较小药理学活性或无药理学活性的本发明的化合物的某些衍生物当被给药至身体中或其上时可通过例如水解裂解转化成具有期望活性的本发明的化合物。通常这样的前药会是所述化合物的官能团衍生物,其易于在体内转化成期望的治疗活性化合物。关于前药的使用的其他信息可参见“Pro-drugs as Novel Delivery Systems”,第14卷,ACS Symposium Series(T.Higuchi及V.Stella)。本发明的前药可例如通过用本领域技术人员已知作为“前-部分(pro-moiety)(例如“Design of Prodrugs”,H.Bundgaard(Elsevier,1985)中所述)”的某些部分替代本发明的化合物中存在的适当官能团来制备。The present invention further includes within its scope prodrugs of the compounds of the present invention, which are certain derivatives of the compounds of the present invention that may themselves have little or no pharmacological activity when administered into or onto the body can be converted into compounds of the invention having the desired activity, for example, by hydrolytic cleavage. Typically such prodrugs will be functional derivatives of the compound that are readily converted in vivo to the desired therapeutically active compound. Additional information on the use of prodrugs can be found in "Pro-drugs as Novel Delivery Systems", Vol. 14, ACS Symposium Series (T. Higuchi and V. Stella). Prodrugs of the present invention can be obtained, for example, by using certain moieties known to those skilled in the art as "pro-moiety" (eg as described in "Design of Prodrugs", H. Bundgaard (Elsevier, 1985)' Prepared by substituting appropriate functional groups present in the compounds of the present invention.
本发明还涵盖含有保护基的本发明的化合物。在制备本发明的化合物的任何过程中,保护在任何有关分子上的敏感基团或反应基团可能是必需的和/或期望的,由此形成本发明的化合物的化学保护的形式。这可以通过常规的保护基实现,例如,在T.W.Greene&P.G.M.Wuts,Protective Groups in Organic Synthesis,John Wiley&Sons,1991中所述的那些保护基,这些参考文献通过援引加入本文。使用本领域已知的方法,在适当的后续阶段可以移除保护基。The present invention also encompasses compounds of the present invention that contain protecting groups. In any process for preparing the compounds of the present invention, it may be necessary and/or desirable to protect sensitive or reactive groups on any relevant molecule, thereby forming chemically protected forms of the compounds of the present invention. This can be accomplished by conventional protecting groups such as those described in T.W. Greene & P.G.M. Wuts, Protective Groups in Organic Synthesis, John Wiley & Sons, 1991, which references are incorporated herein by reference. Protecting groups can be removed at an appropriate subsequent stage using methods known in the art.
术语“约”是指在所述数值的±10%范围内,优选±5%范围内,更优选±2%范围内。The term "about" means within ±10% of the stated value, preferably within ±5%, more preferably within ±2%.
化合物及其制备方法Compounds and methods for their preparation
本发明的第一方面提供化合物或其药学上可接受的盐、立体异构体、互变异构体、多晶型物、溶剂合物、N-氧化物、同位素标记的化合物、代谢物或前药,其中所述化合物具有式(I)的结构:A first aspect of the present invention provides a compound or a pharmaceutically acceptable salt, stereoisomer, tautomer, polymorph, solvate, N-oxide, isotopically labeled compound, metabolite or A prodrug, wherein the compound has the structure of formula (I):
X1选自CR5和N;X 1 is selected from CR 5 and N;
X2选自CR6和N;X 2 is selected from CR 6 and N;
X3选自CR7和N;X 3 is selected from CR 7 and N;
X4选自CR8和N;X 4 is selected from CR 8 and N;
X5选自CR9和N;X 5 is selected from CR 9 and N;
环A选自C3-10环烷基、3-10元杂环基、C6-10芳基和5-10元杂芳基;Ring A is selected from C 3-10 cycloalkyl, 3-10 membered heterocyclyl, C 6-10 aryl and 5-10 membered heteroaryl;
Ra和Rb各自独立地选自氢和C1-6烷基,其中所述C1-6烷基任选地被一个或多个独立地选自卤素、羟基和氰基的取代基取代;或者R a and R b are each independently selected from hydrogen and C 1-6 alkyl, wherein said C 1-6 alkyl is optionally substituted with one or more substituents independently selected from halo, hydroxy and cyano ;or
Ra和Rb连同其所连接的碳原子共同形成C3-6环烷基,其中所述C3-6环烷基任选地被一个或多个独立地选自卤素、羟基、氰基、C1-6烷基和C1-6卤代烷基的取代基取代;R a and R b together with the carbon atom to which they are attached form a C 3-6 cycloalkyl group, wherein the C 3-6 cycloalkyl group is optionally selected by one or more independently selected from halogen, hydroxy, cyano , C 1-6 alkyl and C 1-6 haloalkyl substitution;
Rc和Rd各自独立地选自氢和C1-6烷基,其中所述C1-6烷基任选地被一个或多个独立地选自卤素、羟基和氰基的取代基取代;或者R c and R d are each independently selected from hydrogen and C 1-6 alkyl, wherein said C 1-6 alkyl is optionally substituted with one or more substituents independently selected from halo, hydroxy and cyano ;or
Rc和Rd连同其所连接的碳原子共同形成C3-6环烷基,其中所述C3-6环烷基任选地被一个或多个独立地选自卤素、羟基、氰基、C1-6烷基和C1-6卤代烷基的取代基取代;R c and R d together with the carbon atom to which they are attached form a C 3-6 cycloalkyl, wherein the C 3-6 cycloalkyl is optionally selected by one or more independently selected from halogen, hydroxy, cyano , C 1-6 alkyl and C 1-6 haloalkyl substitution;
R1选自-S(O)2-C1-6烷基、-S(O)2-NH2、-S(O)2-NH-C1-6烷基和-S(O)2-N(C1-6烷基)2,其中所述烷基任选地被一个或多个独立地选自卤素、羟基、氰基和C3-6环烷基的取代基取代;R 1 is selected from -S(O) 2 -C 1-6 alkyl, -S(O) 2 -NH 2 , -S(O) 2 -NH-C 1-6 alkyl and -S(O) 2 -N(C 1-6 alkyl) 2 , wherein said alkyl is optionally substituted with one or more substituents independently selected from halogen, hydroxy, cyano, and C 3-6 cycloalkyl;
R2在每次出现时各自独自地选自氢、卤素、氰基、羟基、C1-6烷基、C3-6环烷基、3-6元杂环基和C1-6烷氧基,其中所述烷基和烷氧基各自任选地被一个或多个独立地选自卤素、羟基和氰基的取代基取代,所述环烷基和杂环基各自任选地被一个或多个独立地选自卤素、羟基、氰基、C1-6烷基、C1-6卤代烷基、C1-6烷氧基和C1-6卤代烷氧基的取代基取代;R 2 is each independently selected at each occurrence from hydrogen, halogen, cyano, hydroxy, C 1-6 alkyl, C 3-6 cycloalkyl, 3-6 membered heterocyclyl and C 1-6 alkoxy wherein the alkyl and alkoxy groups are each optionally substituted with one or more substituents independently selected from halogen, hydroxy, and cyano, and the cycloalkyl and heterocyclyl groups are each optionally substituted with a or more substituents independently selected from halogen, hydroxy, cyano, C 1-6 alkyl, C 1-6 haloalkyl, C 1-6 alkoxy and C 1-6 haloalkoxy;
R3选自氢、C1-6烷基、C3-6环烷基和3-6元杂环基,其中所述烷基、环烷基和杂环基各自任选地被一个或多个独立地选自卤素、羟基、氰基、-N(R11)(R12)和C1-6烷氧基的取代基取代; R is selected from hydrogen, C 1-6 alkyl, C 3-6 cycloalkyl and 3-6 membered heterocyclyl, wherein each of said alkyl, cycloalkyl and heterocyclyl is optionally replaced by one or more substituted with substituents independently selected from halogen, hydroxy, cyano, -N(R 11 )(R 12 ) and C 1-6 alkoxy;
R4选自氢和C1-6烷基,其中所述烷基任选地被一个或多个独立地选自卤素、羟基和氰基的取代基取代; R4 is selected from hydrogen and C1-6 alkyl, wherein said alkyl is optionally substituted with one or more substituents independently selected from halogen, hydroxy and cyano;
R5选自氢、卤素、氰基和羟基;R 5 is selected from hydrogen, halogen, cyano and hydroxyl;
R6、R7、R8、R9和R10在每次出现时各自独立地选自氢、卤素、氰基、羟基、C1-6烷基和C1-6烷氧基,所述烷基和烷氧基各自任选地被一个或多个独立地选自卤素、羟基和氰基的取代基取代;R 6 , R 7 , R 8 , R 9 and R 10 are each independently selected at each occurrence from hydrogen, halogen, cyano, hydroxy, C 1-6 alkyl and C 1-6 alkoxy, the each of alkyl and alkoxy is optionally substituted with one or more substituents independently selected from halo, hydroxy, and cyano;
R11和R12各自独立地选自氢和C1-6烷基,所述烷基任选地被一个或多个独立地选自卤素、羟基和氰基的取代基取代;R 11 and R 12 are each independently selected from hydrogen and C 1-6 alkyl optionally substituted with one or more substituents independently selected from halogen, hydroxy and cyano;
m为0、1、2或3;并且m is 0, 1, 2, or 3; and
n为1、2、3或4。n is 1, 2, 3 or 4.
在一些实施方案中,本发明提供如上文所述的化合物或其药学上可接受的盐、立体异构体、互变异构体、多晶型物、溶剂合物、N-氧化物、同位素标记的化合物、代谢物或前药,其中所述化合物具有式(II)的结构:In some embodiments, the present invention provides a compound as described above, or a pharmaceutically acceptable salt, stereoisomer, tautomer, polymorph, solvate, N-oxide, isotope thereof, or a pharmaceutically acceptable salt thereof. A labeled compound, metabolite or prodrug, wherein the compound has the structure of formula (II):
在一些实施方案中,本发明提供如上文所述的化合物或其药学上可接受的盐、立体异构体、互变异构体、多晶型物、溶剂合物、N-氧化物、同位素标记的化合物、代谢物或前药,其中:In some embodiments, the present invention provides a compound as described above, or a pharmaceutically acceptable salt, stereoisomer, tautomer, polymorph, solvate, N-oxide, isotope thereof, or a pharmaceutically acceptable salt thereof. A labeled compound, metabolite or prodrug, wherein:
Ra和Rb各自独立地选自氢和C1-6烷基;或者R a and R b are each independently selected from hydrogen and C 1-6 alkyl; or
Ra和Rb连同其所连接的碳原子共同形成C3-6环烷基;R a and R b together with the carbon atom to which they are attached form a C 3-6 cycloalkyl;
Rc和Rd各自独立地选自氢和C1-6烷基;或者R c and R d are each independently selected from hydrogen and C 1-6 alkyl; or
Rc和Rd连同其所连接的碳原子共同形成C3-6环烷基;R c and R d together with the carbon atom to which they are attached form a C 3-6 cycloalkyl;
R1选自-S(O)2-C1-6烷基、-S(O)2-NH2、-S(O)2-NH-C1-6烷基、-S(O)2-N(C1-6烷基)2和-S(O)2-C1-6亚烷基-C3-6环烷基;R 1 is selected from -S(O) 2 -C 1-6 alkyl, -S(O) 2 -NH 2 , -S(O) 2 -NH-C 1-6 alkyl, -S(O) 2 -N(C 1-6 alkyl) 2 and -S(O) 2 -C 1-6 alkylene-C 3-6 cycloalkyl;
R2在每次出现时各自独自地选自氢、卤素、氰基、羟基、C1-6烷基、C1-6卤代烷基、C3-6环烷基、3-6元杂环基、C1-6烷氧基和C1-6卤代烷氧基;R 2 at each occurrence is independently selected from hydrogen, halogen, cyano, hydroxy, C 1-6 alkyl, C 1-6 haloalkyl, C 3-6 cycloalkyl, 3-6 membered heterocyclyl , C 1-6 alkoxy and C 1-6 haloalkoxy;
R3选自氢、C1-6烷基、C3-6环烷基和3-6元杂环基,其中所述烷基、环烷基和杂环基各自任选地被一个或多个独立地选自卤素、羟基、氰基、-N(R11)(R12)和C1-6烷氧基的取代基取代; R is selected from hydrogen, C 1-6 alkyl, C 3-6 cycloalkyl and 3-6 membered heterocyclyl, wherein each of said alkyl, cycloalkyl and heterocyclyl is optionally replaced by one or more substituted with substituents independently selected from halogen, hydroxy, cyano, -N(R 11 )(R 12 ) and C 1-6 alkoxy;
R4选自氢和C1-6烷基;R 4 is selected from hydrogen and C 1-6 alkyl;
R5选自氢和卤素,并且R 5 is selected from hydrogen and halogen, and
R6、R7、R8、R9和R10在每次出现时各自独立地选自氢、卤素、氰基、羟基和C1-6烷氧基;R 6 , R 7 , R 8 , R 9 and R 10 at each occurrence are each independently selected from hydrogen, halogen, cyano, hydroxy, and C 1-6 alkoxy;
R11和R12各自独立地选自氢和C1-4烷基,所述烷基任选地被一个或多个独立地选自卤素、羟基和氰基的取代基取代。R 11 and R 12 are each independently selected from hydrogen and C 1-4 alkyl optionally substituted with one or more substituents independently selected from halogen, hydroxy and cyano.
在一些实施方案中,本发明提供如上文所述的化合物或其药学上可接受的盐、立体异构体、互变异构体、多晶型物、溶剂合物、N-氧化物、同位素标记的化合物、代谢物或前药,其中:环A选自C3-6环烷基、5-6元杂环基、苯基和5-6元杂芳基。在优选的实施方案中,环A选自苯基、吡啶基、哌啶基和环己基。在更优选的实施方案中,环A为苯基。In some embodiments, the present invention provides a compound as described above, or a pharmaceutically acceptable salt, stereoisomer, tautomer, polymorph, solvate, N-oxide, isotope thereof, or a pharmaceutically acceptable salt thereof. A labeled compound, metabolite or prodrug, wherein: Ring A is selected from C 3-6 cycloalkyl, 5-6 membered heterocyclyl, phenyl and 5-6 membered heteroaryl. In a preferred embodiment, Ring A is selected from the group consisting of phenyl, pyridyl, piperidinyl and cyclohexyl. In a more preferred embodiment, Ring A is phenyl.
在一些实施方案中,本发明提供如上文所述的化合物或其药学上可接受的盐、立体异构体、互变异构体、多晶型物、溶剂合物、N-氧化物、同位素标记的化合物、代谢物或前药,其中:R1选自-S(O)2-C1-4烷基、-S(O)2-NH2、-S(O)2-NH-C1-4烷基、-S(O)2-N(C1-4烷基)2和-S(O)2-C1-4亚烷基-C3-6环烷基。在优选的实施方案中,R1选自-S(O)2-CH3、-S(O)2-CH2CH3、-S(O)2-NH2、-S(O)2-NH-CH3、-S(O)2-NH-CH2CH3、-S(O)2-N(CH3)2、-S(O)2-N(CH2CH3)2和在更优选的实施方案中,R1选自-S(O)2-CH2CH3、-S(O)2-NH-CH3、-S(O)2-N(CH3)2和在甚至更优选的实施方案中,R1选自-S(O)2-CH2CH3。In some embodiments, the present invention provides a compound as described above, or a pharmaceutically acceptable salt, stereoisomer, tautomer, polymorph, solvate, N-oxide, isotope thereof, or a pharmaceutically acceptable salt thereof. A labeled compound, metabolite or prodrug, wherein: R 1 is selected from -S(O) 2 -C 1-4 alkyl, -S(O) 2 -NH 2 , -S(O) 2 -NH-C 1-4 alkyl, -S(O) 2 -N(C 1-4 alkyl) 2 and -S(O) 2 -C 1-4 alkylene-C 3-6 cycloalkyl. In a preferred embodiment, R 1 is selected from -S(O) 2 -CH 3 , -S(O) 2 -CH 2 CH 3 , -S(O) 2 -NH 2 , -S(O) 2 - NH-CH 3 , -S(O) 2 -NH-CH 2 CH 3 , -S(O) 2 -N(CH 3 ) 2 , -S(O) 2 -N(CH 2 CH 3 ) 2 and In a more preferred embodiment, R 1 is selected from the group consisting of -S(O) 2 -CH 2 CH 3 , -S(O) 2 -NH-CH 3 , -S(O) 2 -N(CH 3 ) 2 and In an even more preferred embodiment, R1 is selected from -S(O ) 2 - CH2CH3 .
在一些实施方案中,本发明提供如上文所述的化合物或其药学上可接受的盐、立体异构体、互变异构体、多晶型物、溶剂合物、N-氧化物、同位素标记的化合物、代谢物或前药,其中:R2在每次出现时各自独自地选自氢、卤素、氰基、羟基、C1-4烷基、C1-4卤代烷基、C3-6环烷基、3-6元杂环基、C1-4烷氧基和C1-4卤代烷氧基。在优选的实施方案中,R2在每次出现时各自独自地选自氢、氟、氯、溴、碘、氰基、羟基、甲基、乙基、异丙基、-CH2F、-CHF2、-CF3、-CH2CH2F、环丙基、环丁基、环戊基、环己基、甲氧基、乙氧基、二氟甲氧基和三氟甲氧基。在更优选的实施方案中,R2在每次出现时各自独自地选自氢、氟、氯、氰基、甲基、乙基、-CF3、环丙基、甲氧基、二氟甲氧基和三氟甲氧基。在甚至更优选的实施方案中,R2在每次出现时各自独自地选自氟、-CF3、甲氧基。In some embodiments, the present invention provides a compound as described above, or a pharmaceutically acceptable salt, stereoisomer, tautomer, polymorph, solvate, N-oxide, isotope thereof, or a pharmaceutically acceptable salt thereof. A labeled compound, metabolite or prodrug wherein: R2 is each independently selected at each occurrence from hydrogen , halogen, cyano, hydroxy, C1-4 alkyl, C1-4 haloalkyl, C3- 6 -cycloalkyl, 3-6 membered heterocyclyl, C 1-4 alkoxy and C 1-4 haloalkoxy. In preferred embodiments, each occurrence of R2 is independently selected from hydrogen, fluoro, chloro, bromo, iodo, cyano, hydroxy, methyl, ethyl, isopropyl, -CH2F , - CHF2 , -CF3 , -CH2CH2F , cyclopropyl , cyclobutyl, cyclopentyl, cyclohexyl, methoxy, ethoxy, difluoromethoxy and trifluoromethoxy. In a more preferred embodiment, each occurrence of R2 is independently selected from hydrogen , fluoro, chloro, cyano, methyl, ethyl, -CF3 , cyclopropyl, methoxy, difluoromethyl oxy and trifluoromethoxy. In an even more preferred embodiment, each occurrence of R2 is independently selected from fluoro, -CF3 , methoxy.
在一些实施方案中,本发明提供如上文所述的化合物或其药学上可接受的盐、立体异构体、互变异构体、多晶型物、溶剂合物、N-氧化物、同位素标记的化合物、代谢物或前药,其中:R3选自氢、C1-4烷基、C3-6环烷基和3-6元杂环基,其中所述烷基、环烷基和杂环基各自任选地被一个或多个独立地选自卤素、羟基、氰基、-NH2、-NH(C1-4烷基)、-N(C1-4烷基)2、-NH(C1-4卤代烷基)、-N(C1-4烷基)(C1-4卤代烷基)和C1-4烷氧基的取代基所取代。在优选的实施方案中,R3选自氢、C1-4烷基和C3-6环烷基,其中所述烷基和环烷基各自任选地被一个或多个独立地选自卤素、羟基、氰基、-NH2、-NH(C1-4烷基)、-N(C1-4烷基)2、-NH(C1-4卤代烷基)、-N(C1-4烷基)(C1-4卤代烷基)和C1-4烷氧基的取代基所取代。在更优选的实施方案中,R3选自氢、甲基、乙基、正丙基、异丙基、环丙基、-CH2CH2F、-CH2C(CH3)2F、-CH2C(CH3)2-OH、-CH2CH2-O-CH3、-CH2C(CH3)2-CN、-CH2-NH-CH2CH2F。在甚至更优选的实施方案中,R3选自氢、-CH2CH2F。In some embodiments, the present invention provides a compound as described above, or a pharmaceutically acceptable salt, stereoisomer, tautomer, polymorph, solvate, N-oxide, isotope thereof, or a pharmaceutically acceptable salt thereof. Labeled compound, metabolite or prodrug, wherein: R is selected from hydrogen, C 1-4 alkyl, C 3-6 cycloalkyl and 3-6 membered heterocyclyl, wherein said alkyl, cycloalkyl and heterocyclyl are each optionally optionally selected by one or more independently selected from halogen, hydroxy, cyano, -NH2 , -NH( C1-4alkyl ), -N( C1-4alkyl ) 2 , -NH(C 1-4 haloalkyl), -N(C 1-4 alkyl) (C 1-4 haloalkyl) and C 1-4 alkoxy substituents. In a preferred embodiment, R3 is selected from hydrogen, C1-4 alkyl and C3-6 cycloalkyl, wherein each of said alkyl and cycloalkyl is optionally selected by one or more independently selected from Halogen, hydroxyl, cyano, -NH 2 , -NH(C 1-4 alkyl), -N(C 1-4 alkyl) 2 , -NH(C 1-4 haloalkyl), -N(C 1 -4 alkyl) (C 1-4 haloalkyl) and C 1-4 alkoxy substituents. In a more preferred embodiment, R3 is selected from hydrogen, methyl, ethyl, n-propyl, isopropyl, cyclopropyl, -CH2CH2F , -CH2C ( CH3 ) 2F , -CH2C ( CH3 ) 2 -OH, -CH2CH2-O- CH3 , -CH2C ( CH3 ) 2 -CN, -CH2 - NH - CH2CH2F . In an even more preferred embodiment, R3 is selected from hydrogen , -CH2CH2F .
在一些实施方案中,本发明提供如上文所述的化合物或其药学上可接受的盐、立体异构体、互变异构体、多晶型物、溶剂合物、N-氧化物、同位素标记的化合物、代谢物或前药,其中:R6、R7、R8、R9和R10在每次出现时各自独立地选自氢、卤素和C1-4烷氧基。在优选的实施方案中,R6、R7、R8、R9和R10在每次出现时各自独立地选自氢、氟、氯、溴、碘、甲氧基、乙氧基、正丙氧基和异丙氧基。在更优选的实施方案中,R6、R7、R8、R9和R10选自氢。In some embodiments, the present invention provides a compound as described above, or a pharmaceutically acceptable salt, stereoisomer, tautomer, polymorph, solvate, N-oxide, isotope thereof, or a pharmaceutically acceptable salt thereof. A labeled compound, metabolite or prodrug wherein: R6, R7 , R8 , R9 and R10 are each independently selected at each occurrence from hydrogen, halogen and C1-4alkoxy . In preferred embodiments, R 6 , R 7 , R 8 , R 9 and R 10 are each independently selected at each occurrence from hydrogen, fluorine, chlorine, bromine, iodine, methoxy, ethoxy, n- Propoxy and isopropoxy. In a more preferred embodiment, R 6 , R 7 , R 8 , R 9 and R 10 are selected from hydrogen.
在一些实施方案中,本发明提供如上文所述的化合物或其药学上可接受的盐、立体异构体、互变异构体、多晶型物、溶剂合物、N-氧化物、同位素标记的化合物、代谢物或前药,其中所述化合物具有式(III)的结构:In some embodiments, the present invention provides a compound as described above, or a pharmaceutically acceptable salt, stereoisomer, tautomer, polymorph, solvate, N-oxide, isotope thereof, or a pharmaceutically acceptable salt thereof. A labeled compound, metabolite or prodrug, wherein the compound has the structure of formula (III):
在优选的实施方案中,所述化合物具有式(IV)的结构:In a preferred embodiment, the compound has the structure of formula (IV):
在更优选的实施方案中,所述化合物具有式(V)的结构:In a more preferred embodiment, the compound has the structure of formula (V):
本发明涵盖对各个实施方案进行任意组合所得的化合物。The present invention encompasses compounds resulting from any combination of the various embodiments.
在一些实施方案中,本发明提供如上文所述的化合物或其药学上可接受的盐、立体异构体、互变异构体、多晶型物、溶剂合物、N-氧化物、同位素标记的化合物、代谢物或前药,其中所述化合物选自:In some embodiments, the present invention provides a compound as described above, or a pharmaceutically acceptable salt, stereoisomer, tautomer, polymorph, solvate, N-oxide, isotope thereof, or a pharmaceutically acceptable salt thereof. A labeled compound, metabolite or prodrug, wherein the compound is selected from:
本发明的化合物是RORγ调节剂。在一些实施方案中,本发明的化合物是RORγ激动剂。在另一些实施方案中,本发明的化合物是RORγ抑制剂。The compounds of the present invention are RORγ modulators. In some embodiments, the compounds of the present invention are RORγ agonists. In other embodiments, the compounds of the present invention are RORγ inhibitors.
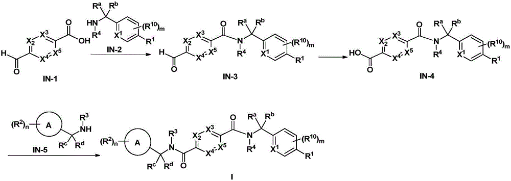
本发明的第二方面提供制备式(I)的化合物的方法,所述方法包括以下步骤:A second aspect of the present invention provides a process for the preparation of a compound of formula (I), said process comprising the steps of:
其中,环A、X1、X2、X3、X4、X5、R1、R2、R3、R4、R10、Ra、Rb、Rc、Rd、m和n如上文所定义;wherein Rings A, X 1 , X 2 , X 3 , X 4 , X 5 , R 1 , R 2 , R 3 , R 4 , R 10 , R a , R b , R c , R d , m and n as defined above;
(1)使化合物IN-1与化合物IN-2反应以得到化合物IN-3;(1) reacting compound IN-1 with compound IN-2 to obtain compound IN-3;
所述反应优选地在适合的有机溶剂中进行。所述有机溶剂可选自四氢呋喃、二甲基甲酰胺、二甲基乙酰胺、1,4-二氧六环及其任意组合,优选四氢呋喃。所述反应优选地在适合的缩合剂存在下进行。所述缩合剂可选自二环己基碳二亚胺、1-乙基-(3-二甲基氨基丙基)碳酰二亚胺盐酸盐、2-(7-氧化苯并三氮唑)-N,N,N',N'-四甲基脲六氟磷酸酯、O-苯并三氮唑-四甲基脲六氟磷酸酯、六氟磷酸苯并三唑-1-基-氧基三吡咯烷基磷,优选2-(7-氧化苯并三氮唑)-N,N,N',N'-四甲基脲六氟磷酸酯。所述反应优选地在适合的有机碱存在下进行。所述有机碱可选自三乙胺、吡啶、4-二甲基氨基吡啶、二异丙基乙胺,优选二异丙基乙胺。所述反应优选地在适合的温度下进行,所述温度优选为20-50℃,特别是室温。所述反应优选地进行合适的时间,优选2-8小时,例如3、4、5、6或7小时。The reaction is preferably carried out in a suitable organic solvent. The organic solvent can be selected from tetrahydrofuran, dimethylformamide, dimethylacetamide, 1,4-dioxane and any combination thereof, preferably tetrahydrofuran. The reaction is preferably carried out in the presence of a suitable condensing agent. The condensing agent can be selected from dicyclohexylcarbodiimide, 1-ethyl-(3-dimethylaminopropyl)carbodiimide hydrochloride, 2-(7-benzotriazole oxide) )-N,N,N',N'-tetramethylurea hexafluorophosphate, O-benzotriazole-tetramethylurea hexafluorophosphate, hexafluorophosphate benzotriazol-1-yl- Oxytripyrrolidinophosphorus, preferably 2-(7-oxybenzotriazole)-N,N,N',N'-tetramethylurea hexafluorophosphate. The reaction is preferably carried out in the presence of a suitable organic base. The organic base can be selected from triethylamine, pyridine, 4-dimethylaminopyridine, diisopropylethylamine, preferably diisopropylethylamine. The reaction is preferably carried out at a suitable temperature, preferably 20-50°C, especially room temperature. The reaction is preferably carried out for a suitable time, preferably 2-8 hours, eg 3, 4, 5, 6 or 7 hours.
(2)使化合物IN-3氧化得到化合物IN-4;(2) oxidizing compound IN-3 to obtain compound IN-4;
所述氧化反应优选地在适合的溶剂中进行。所述溶剂可选自丙酮、二甲基甲酰胺、二甲基乙酰胺、二甲基亚砜、水及其任意组合,优选丙酮。所述反应优选地在适合的氧化剂存在下进行。所述氧化剂可选自间氯过氧苯甲酸、过一硫酸氢钾复合盐、过氧化氢、高锰酸钾,优选高锰酸钾。所述反应优选地在适合的温度下进行,所述温度优选为20-50℃,特别是室温。所述反应优选地进行合适的时间,优选2-5小时,例如3或4小时。The oxidation reaction is preferably carried out in a suitable solvent. The solvent can be selected from acetone, dimethylformamide, dimethylacetamide, dimethylsulfoxide, water and any combination thereof, preferably acetone. The reaction is preferably carried out in the presence of a suitable oxidizing agent. The oxidant can be selected from m-chloroperoxybenzoic acid, potassium peroxymonosulfate complex salt, hydrogen peroxide, potassium permanganate, preferably potassium permanganate. The reaction is preferably carried out at a suitable temperature, preferably 20-50°C, especially room temperature. The reaction is preferably carried out for a suitable time, preferably 2-5 hours, eg 3 or 4 hours.
(3)使化合物IN-4与化合物IN-5反应以得到式(I)的化合物。(3) Compound IN-4 is reacted with compound IN-5 to obtain the compound of formula (I).
所述反应优选地在适合的有机溶剂中进行。所述有机溶剂可选自四氢呋喃、二甲基甲酰胺、二甲基乙酰胺、1,4-二氧六环及其任意组合,优选四氢呋喃。所述反应优选地在适合的缩合剂存在下进行。所述缩合剂可选自二环己基碳二亚胺、1-乙基-(3-二甲基氨基丙基)碳酰二亚胺盐酸盐、2-(7-氧化苯并三氮唑)-N,N,N',N'-四甲基脲六氟磷酸酯、O-苯并三氮唑-四甲基脲六氟磷酸酯、六氟磷酸苯并三唑-1-基-氧基三吡咯烷基磷,优选2-(7-氧化苯并三氮唑)-N,N,N',N'-四甲基脲六氟磷酸酯。所述反应优选地在适合的有机碱存在下进行。所述有机碱可选自三乙胺、吡啶、4-二甲基氨基吡啶、二异丙基乙胺,优选二异丙基乙胺。所述反应优选地在适合的温度下进行,所述温度优选为20-50℃,特别是室温。所述反应优选进行合适的时间,优选2-8小时,例如3、4、5、6或7小时。The reaction is preferably carried out in a suitable organic solvent. The organic solvent can be selected from tetrahydrofuran, dimethylformamide, dimethylacetamide, 1,4-dioxane and any combination thereof, preferably tetrahydrofuran. The reaction is preferably carried out in the presence of a suitable condensing agent. The condensing agent can be selected from dicyclohexylcarbodiimide, 1-ethyl-(3-dimethylaminopropyl)carbodiimide hydrochloride, 2-(7-benzotriazole oxide) )-N,N,N',N'-tetramethylurea hexafluorophosphate, O-benzotriazole-tetramethylurea hexafluorophosphate, hexafluorophosphate benzotriazol-1-yl- Oxytripyrrolidinophosphorus, preferably 2-(7-oxybenzotriazole)-N,N,N',N'-tetramethylurea hexafluorophosphate. The reaction is preferably carried out in the presence of a suitable organic base. The organic base can be selected from triethylamine, pyridine, 4-dimethylaminopyridine, diisopropylethylamine, preferably diisopropylethylamine. The reaction is preferably carried out at a suitable temperature, preferably 20-50°C, especially room temperature. The reaction is preferably carried out for a suitable time, preferably 2-8 hours, eg 3, 4, 5, 6 or 7 hours.
药物组合物和治疗方法Pharmaceutical compositions and methods of treatment
本发明的第三方面提供药物组合物,其包含预防或治疗有效量的本发明的化合物或其药学上可接受的盐、立体异构体、互变异构体、多晶型物、溶剂合物、N-氧化物、同位素标记的化合物、代谢物或前药,以及一种或多种药学上可接受的载体。A third aspect of the present invention provides a pharmaceutical composition comprising a prophylactically or therapeutically effective amount of a compound of the present invention or a pharmaceutically acceptable salt, stereoisomer, tautomer, polymorph, solvate thereof compounds, N-oxides, isotopically labeled compounds, metabolites, or prodrugs, and one or more pharmaceutically acceptable carriers.
本发明的第四方面提供本发明的化合物或其药学上可接受的盐、立体异构体、互变异构体、多晶型物、溶剂合物、N-氧化物、同位素标记的化合物、代谢物或前药或者本发明的药物组合物在制备用于预防或治疗RORγ介导的疾病或病症的药物中的用途。在优选的实施方案中,所述药物为通过口服、静脉内、动脉内、皮下、腹膜内、肌内或经皮途径给药的药物。A fourth aspect of the present invention provides compounds of the present invention or pharmaceutically acceptable salts, stereoisomers, tautomers, polymorphs, solvates, N-oxides, isotopically labeled compounds, Use of a metabolite or prodrug or a pharmaceutical composition of the present invention in the manufacture of a medicament for the prevention or treatment of a disease or condition mediated by RORγ. In preferred embodiments, the drug is a drug administered by oral, intravenous, intraarterial, subcutaneous, intraperitoneal, intramuscular or transdermal routes.
本发明的第五方面提供本发明的化合物或其药学上可接受的盐、立体异构体、互变异构体、多晶型物、溶剂合物、N-氧化物、同位素标记的化合物、代谢物或前药或者本发明的药物组合物,其用于预防或治疗RORγ介导的疾病或病症。A fifth aspect of the present invention provides a compound of the present invention or a pharmaceutically acceptable salt, stereoisomer, tautomer, polymorph, solvate, N-oxide, isotopically labeled compound, Metabolites or prodrugs or pharmaceutical compositions of the invention for use in the prevention or treatment of RORγ mediated diseases or disorders.
本发明的第六方面提供预防或治疗RORγ介导的疾病或病症的方法,所述方法包括向有此需要的个体给药有效量的本发明的化合物或其药学上可接受的盐、立体异构体、互变异构体、多晶型物、溶剂合物、N-氧化物、同位素标记的化合物、代谢物或前药或者本发明的药物组合物。A sixth aspect of the present invention provides a method of preventing or treating a RORγ-mediated disease or disorder, the method comprising administering to an individual in need thereof an effective amount of a compound of the present invention, or a pharmaceutically acceptable salt, stereoisomeric Conformers, tautomers, polymorphs, solvates, N-oxides, isotopically labeled compounds, metabolites or prodrugs or pharmaceutical compositions of the invention.
在优选的实施方案中,所述RORγ介导的疾病或病症为炎症或者自身免疫性疾病或病症。在更优选的实施方案中,所述炎症或者自身免疫性疾病或病症选自:银屑病、类风湿性关节炎、系统性红斑狼疮、多发性硬化症、炎性肠病、强直性脊柱炎、哮喘、骨关节炎、克罗恩病和川崎病。In preferred embodiments, the RORγ-mediated disease or disorder is an inflammatory or autoimmune disease or disorder. In a more preferred embodiment, the inflammatory or autoimmune disease or disorder is selected from the group consisting of: psoriasis, rheumatoid arthritis, systemic lupus erythematosus, multiple sclerosis, inflammatory bowel disease, ankylosing spondylitis , asthma, osteoarthritis, Crohn's disease and Kawasaki disease.
在优选的实施方案中,所述RORγ介导的疾病或病症为癌症。在更优选的实施方案中,所述癌症选自:非霍奇金淋巴瘤、弥漫性大B细胞淋巴瘤、滤泡性淋巴瘤、滑膜肉瘤、乳腺癌、宫颈癌、结肠癌、肺癌、口腔癌、脑癌、胃癌、肝癌、直肠癌、胰腺癌、皮肤癌、前列腺癌、骨癌、肾癌、卵巢癌、膀胱癌、输卵管肿瘤、腹膜肿瘤、黑色素瘤、实体瘤、神经胶质瘤、胶质母细胞瘤、乳突状恶性瘤、头颈部肿瘤、白血病、淋巴瘤和骨髓瘤。在优选的实施方案中,所述药物还包含其他抗肿瘤剂或其他治疗或预防炎症或自身免疫性疾病或病症的药物。In a preferred embodiment, the RORγ-mediated disease or disorder is cancer. In a more preferred embodiment, the cancer is selected from the group consisting of: non-Hodgkin's lymphoma, diffuse large B-cell lymphoma, follicular lymphoma, synovial sarcoma, breast cancer, cervical cancer, colon cancer, lung cancer, Oral cancer, brain cancer, stomach cancer, liver cancer, rectal cancer, pancreatic cancer, skin cancer, prostate cancer, bone cancer, kidney cancer, ovarian cancer, bladder cancer, fallopian tube tumor, peritoneal tumor, melanoma, solid tumor, glioma , glioblastoma, papillary malignancies, head and neck tumors, leukemia, lymphoma and myeloma. In preferred embodiments, the medicament further comprises other antineoplastic agents or other medicaments for the treatment or prevention of inflammatory or autoimmune diseases or disorders.
在本发明中“药学上可接受的载体”是指与治疗剂一同给药的稀释剂、辅剂、赋形剂或媒介物,并且其在合理的医学判断的范围内适于接触人类和/或其它动物的组织而没有过度的毒性、刺激、过敏反应或与合理的益处/风险比相应的其它问题或并发症。In the present invention "pharmaceutically acceptable carrier" refers to a diluent, adjuvant, excipient or vehicle with which the therapeutic agent is administered and which, within the scope of sound medical judgment, is suitable for contact with humans and/or or tissue from other animals without undue toxicity, irritation, allergic reactions, or other problems or complications commensurate with a reasonable benefit/risk ratio.
在本发明的药物组合物中可使用的药学上可接受的载体包括但不限于无菌液体,例如水和油,包括那些石油、动物、植物或合成来源的油,例如花生油、大豆油、矿物油、芝麻油等。当所述药物组合物通过静脉内给药时,水是示例性载体。还可以使用生理盐水和葡萄糖及甘油水溶液作为液体载体,特别是用于注射液。适合的药物赋形剂包括淀粉、葡萄糖、乳糖、蔗糖、明胶、麦芽糖、白垩、硅胶、硬脂酸钠、单硬脂酸甘油酯、滑石、氯化钠、脱脂奶粉、甘油、丙二醇、水、乙醇等。所述组合物还可以视需要包含少量的湿润剂、乳化剂或pH缓冲剂。口服制剂可以包含标准载体,如药物级的甘露醇、乳糖、淀粉、硬脂酸镁、糖精钠、纤维素、碳酸镁等。适合的药学上可接受的载体的实例如在Remington’s PharmaceuticalSciences(1990)中所述。Pharmaceutically acceptable carriers that can be used in the pharmaceutical compositions of the present invention include, but are not limited to, sterile liquids, such as water and oils, including those of petroleum, animal, vegetable or synthetic origin, such as peanut oil, soybean oil, mineral Oil, sesame oil, etc. Water is an exemplary carrier when the pharmaceutical composition is administered intravenously. Physiological saline and aqueous dextrose and glycerol solutions can also be employed as liquid carriers, particularly for injectable solutions. Suitable pharmaceutical excipients include starch, glucose, lactose, sucrose, gelatin, maltose, chalk, silica gel, sodium stearate, glycerol monostearate, talc, sodium chloride, nonfat dry milk, glycerin, propylene glycol, water, Ethanol etc. The composition may also contain minor amounts of wetting agents, emulsifying agents or pH buffering agents as desired. Oral formulations may contain standard carriers such as pharmaceutical grades of mannitol, lactose, starch, magnesium stearate, sodium saccharin, cellulose, magnesium carbonate, and the like. Examples of suitable pharmaceutically acceptable carriers are described in Remington's Pharmaceutical Sciences (1990).
本发明的药物组合物可以系统地作用和/或局部地作用。为此目的,它们可以适合的途径给药,例如通过注射(如静脉内、动脉内、皮下、腹膜内、肌内注射,包括滴注)或经皮给药;或通过口服、含服、经鼻、透粘膜、局部、以眼用制剂的形式或通过吸入给药。The pharmaceutical compositions of the present invention may act systemically and/or locally. For this purpose they may be administered by a suitable route, for example by injection (eg intravenous, intraarterial, subcutaneous, intraperitoneal, intramuscular injection, including instillation) or transdermally; or by oral, buccal, transdermal Nasal, transmucosal, topical, in ophthalmic formulations or by inhalation.
对于这些给药途径,可以适合的剂型给药本发明的药物组合物。For these routes of administration, the pharmaceutical compositions of the present invention may be administered in suitable dosage forms.
所述剂型包括但不限于片剂、胶囊剂、锭剂、硬糖剂、散剂、喷雾剂、乳膏剂、软膏剂、栓剂、凝胶剂、糊剂、洗剂、软膏剂、水性混悬剂、可注射溶液剂、酏剂、糖浆剂。Such dosage forms include, but are not limited to, tablets, capsules, lozenges, hard candies, powders, sprays, creams, ointments, suppositories, gels, pastes, lotions, ointments, aqueous suspensions , injectable solutions, elixirs, syrups.
如本文中所使用的术语“有效量”指被给药后会在一定程度上缓解所治疗病症的一或多种症状的化合物的量。The term "effective amount" as used herein refers to the amount of a compound which, when administered, will alleviate to some extent one or more symptoms of the condition being treated.
可调整给药方案以提供最佳所需响应。例如,可给药单次推注,可随时间给药数个分剂量,或可如治疗情况的急需所表明而按比例减少或增加剂量。要注意,剂量值可随要减轻的病况的类型及严重性而变化,且可包括单次或多次剂量。要进一步理解,对于任何特定个体,具体的给药方案应根据个体需要及给药组合物或监督组合物的给药的人员的专业判断来随时间调整。Dosage regimens can be adjusted to provide the optimal desired response. For example, a single bolus may be administered, several divided doses may be administered over time, or the dose may be proportionally reduced or increased as indicated by the exigencies of the therapeutic situation. It is noted that dosage values may vary with the type and severity of the condition to be alleviated, and may include single or multiple doses. It is further understood that for any particular individual, the specific dosing regimen should be adjusted over time according to the needs of the individual and the professional judgment of the person administering or supervising the administration of the composition.
所给药的本发明的化合物的量会取决于所治疗的个体、病症或病况的严重性、给药的速率、化合物的处置及处方医师的判断。一般而言,有效剂量在每日每kg体重约0.0001至约50mg,例如约0.01至约10mg/kg/日(单次或分次给药)。对70kg的人而言,这会合计为约0.007mg/日至约3500mg/日,例如约0.7mg/日至约700mg/日。在一些情况下,不高于前述范围的下限的剂量水平可以是足够的,而在其它情况下,仍可在不引起任何有害副作用的情况下采用较大剂量,条件是首先将所述较大剂量分成数个较小剂量以在一整天中给药。The amount of the compound of the invention administered will depend on the individual being treated, the severity of the disorder or condition, the rate of administration, the disposition of the compound, and the judgment of the prescribing physician. In general, an effective dose will range from about 0.0001 to about 50 mg per kg of body weight per day, eg, from about 0.01 to about 10 mg/kg/day (single or divided administration). For a 70 kg person, this would add up to about 0.007 mg/day to about 3500 mg/day, eg, about 0.7 mg/day to about 700 mg/day. In some cases, dose levels not higher than the lower end of the foregoing ranges may be sufficient, while in other cases larger doses may be employed without causing any deleterious side effects, provided that the larger dose is first The dose is divided into several smaller doses to be administered throughout the day.
本发明的化合物在药物组合物中的含量或用量可以是约0.01mg至约1000mg,适合地是0.1-500mg,优选0.5-300mg,更优选1-150mg,特别优选1-50mg,例如1.5mg、2mg、4mg、10mg、25mg等。The content or amount of the compound of the present invention in the pharmaceutical composition may be about 0.01 mg to about 1000 mg, suitably 0.1-500 mg, preferably 0.5-300 mg, more preferably 1-150 mg, particularly preferably 1-50 mg, such as 1.5 mg, 2mg, 4mg, 10mg, 25mg, etc.
除非另外说明,否则如本文中所使用,术语“治疗(treating)”意指逆转、减轻、抑制这样的术语所应用的病症或病况或者这样的病症或病况的一或多种症状的进展,或预防这样的病症或病况或者这样的病症或病况的一或多种症状。Unless otherwise specified, the term "treating" as used herein means reversing, alleviating, inhibiting the progression of the disorder or condition to which such term applies or one or more symptoms of such disorder or condition, or Such a disorder or condition or one or more symptoms of such a disorder or condition is prevented.
如本文所使用的“个体”包括人或非人动物。示例性人个体包括患有疾病(例如本文所述的疾病)的人个体(称为患者)或正常个体。本发明中“非人动物”包括所有脊椎动物,例如非哺乳动物(例如鸟类、两栖动物、爬行动物)和哺乳动物,例如非人灵长类、家畜和/或驯化动物(例如绵羊、犬、猫、奶牛、猪等)。An "individual" as used herein includes a human or non-human animal. Exemplary human subjects include human subjects (referred to as patients) or normal subjects with a disease (eg, a disease described herein). "Non-human animals" in the present invention include all vertebrates such as non-mammals (eg birds, amphibians, reptiles) and mammals such as non-human primates, livestock and/or domesticated animals (eg sheep, dogs) , cats, cows, pigs, etc.).
具体实施方式Detailed ways
为了使本发明的目的和技术方案更加清楚,以下结合具体实施例进一步阐述本发明。应理解,这些实施例仅用于说明本发明而不用于限制本发明的范围。并且,下列实施例中未提及的具体实验方法,均按照常规实验方法进行。In order to make the purpose and technical solutions of the present invention clearer, the present invention is further described below with reference to specific embodiments. It should be understood that these examples are only used to illustrate the present invention and not to limit the scope of the present invention. In addition, the specific experimental methods not mentioned in the following examples were all carried out according to the conventional experimental methods.
本文中的缩写具有以下含义:Abbreviations in this document have the following meanings:
以下实施例中记载的化合物的结构通过核磁共振波谱(1H-NMR)或质谱(MS)来确证。The structures of the compounds described in the following examples were confirmed by nuclear magnetic resonance spectroscopy ( 1 H-NMR) or mass spectrometry (MS).
1H-NMR的测定仪器为Bruker 400MHz核磁共振仪,测定溶剂为氘代甲醇(CD3OD)、氘代氯仿(CDCl3)或六氘代二甲基亚砜(DMSO-d6),内标为四甲基硅烷(TMS)。化学位移(δ)以百万分之一(ppm)为单位给出。The measuring instrument of 1 H-NMR is Bruker 400MHz nuclear magnetic resonance instrument, and the measuring solvent is deuterated methanol (CD 3 OD), deuterated chloroform (CDCl 3 ) or hexadeuterated dimethyl sulfoxide (DMSO-d 6 ). Designated as tetramethylsilane (TMS). Chemical shifts (δ) are given in parts per million (ppm).
质谱(MS)的测定仪器为Agilent(ESI)质谱仪,型号为Agilent 6120B。The measuring instrument for mass spectrometry (MS) was an Agilent (ESI) mass spectrometer, model Agilent 6120B.
薄层色谱法(TLC)使用Merck产的铝板(20×20cm)进行,薄层制备色谱法采用GF254(0.4~0.5mm)硅胶板进行。Thin-layer chromatography (TLC) was performed using aluminum plates (20×20 cm) produced by Merck, and preparative thin-layer chromatography was performed using GF254 (0.4-0.5 mm) silica gel plates.
反应的监测采用薄层色谱法(TLC)或液相色谱-质谱联用(LC-MS),使用的展开剂体系包括二氯甲烷和甲醇体系、正己烷和乙酸乙酯体系以及石油醚和乙酸乙酯体系。根据要分离的化合物的极性不同对展开剂体系进行调节(通过调节溶剂的体积比或者加入三乙胺等进行)。The reaction was monitored by thin-layer chromatography (TLC) or liquid chromatography-mass spectrometry (LC-MS), and the developing solvent systems used included dichloromethane and methanol system, n-hexane and ethyl acetate system, and petroleum ether and acetic acid Ethyl ester system. The developing agent system is adjusted according to the polarity of the compounds to be separated (by adjusting the volume ratio of the solvent or adding triethylamine, etc.).
微波反应使用 Initiator+(400W,RT~300℃)微波反应器进行。microwave reaction use Initiator+ (400W, RT~300°C) microwave reactor.
柱色谱法一般使用200~300目硅胶为固定相。洗脱剂的体系包括二氯甲烷和甲醇体系以及石油醚和乙酸乙酯体系。根据要分离的化合物的极性不同对洗脱剂体系进行调节(通过调节溶剂的体积比或者加入三乙胺等进行)Column chromatography generally uses 200-300 mesh silica gel as the stationary phase. The eluent systems include dichloromethane and methanol systems and petroleum ether and ethyl acetate systems. Adjust the eluent system according to the polarity of the compounds to be separated (by adjusting the volume ratio of the solvent or adding triethylamine, etc.)
制备高效液相色谱法所使用的仪器型号:Agilent 1260,色谱柱:Waters XBridgePrep C18OBD(19mm×150mm×5.0μm);色谱柱温:25℃;流速:20.0mL/min;检测波长:214nm;洗脱梯度:(0min:10%A,90%B;16.0min:90%A,10%B);流动相A:100%乙腈;流动相B:0.05%碳酸氢铵水溶液。Instrument model used for preparative high performance liquid chromatography: Agilent 1260, chromatographic column: Waters XBridgePrep C 18 OBD (19mm×150mm×5.0μm); Column temperature: 25°C; Flow rate: 20.0mL/min; Detection wavelength: 214nm ; Elution gradient: (0 min: 10% A, 90% B; 16.0 min: 90% A, 10% B); Mobile phase A: 100% acetonitrile; Mobile phase B: 0.05% aqueous ammonium bicarbonate.
除非特别指出,反应温度为室温(20℃~30℃)。Unless otherwise specified, the reaction temperature is room temperature (20°C to 30°C).
实施例中所使用的试剂购自Acros Organics、Aldrich Chemical Company、上海特伯化学科技有限公司等。The reagents used in the examples were purchased from Acros Organics, Aldrich Chemical Company, Shanghai Tebo Chemical Technology Co., Ltd., and the like.
实施例Example
中间体的制备Preparation of intermediates
中间体制备例1:4-((4-(乙磺酰基)苄基)氨基甲酰基)苯甲酸的制备Intermediate Preparation Example 1: Preparation of 4-((4-(ethylsulfonyl)benzyl)carbamoyl)benzoic acid
第一步:4-((4-(乙磺酰基)苄基)氨基甲酰基)苯甲醛的制备The first step: the preparation of 4-((4-(ethylsulfonyl)benzyl)carbamoyl)benzaldehyde
将4-甲酰基苯甲酸(1.0g,6.7mmol)、HATU(3.8g,10.0mmol)和DIPEA(2.6g,20.0mmol)溶于四氢呋喃(20mL)中,室温下搅拌0.5小时后,加入4-乙基磺酰基苄胺(1.3g,6.7mmol),室温下反应4小时,加入适量水,乙酸乙酯萃取3次,有机相合并用饱和氯化钠水溶液洗涤,无水硫酸钠干燥,过滤,浓缩滤液得到本步的标题化合物(1.7g,收率:77%)。4-Formylbenzoic acid (1.0 g, 6.7 mmol), HATU (3.8 g, 10.0 mmol) and DIPEA (2.6 g, 20.0 mmol) were dissolved in tetrahydrofuran (20 mL), and after stirring at room temperature for 0.5 hours, 4- Ethylsulfonylbenzylamine (1.3 g, 6.7 mmol) was reacted at room temperature for 4 hours, an appropriate amount of water was added, extracted with ethyl acetate three times, the organic phases were combined and washed with saturated aqueous sodium chloride solution, dried over anhydrous sodium sulfate, filtered, The filtrate was concentrated to give the title compound of this step (1.7 g, yield: 77%).
第二步:4-((4-(乙磺酰基)苄基)氨基甲酰基)苯甲酸的制备The second step: preparation of 4-((4-(ethylsulfonyl)benzyl)carbamoyl)benzoic acid
将4-((4-(乙磺酰基)苄基)氨基甲酰基)苯甲醛(1.7g,5.1mmol)溶于丙酮(20mL)中,加入10%高锰酸钾水溶液(10mL),室温下反应3小时,浓缩反应液,向浓缩物中加入适量乙醇洗涤,过滤,浓缩滤液得到标题化合物(1.5g,收率:84%)。4-((4-(Ethylsulfonyl)benzyl)carbamoyl)benzaldehyde (1.7 g, 5.1 mmol) was dissolved in acetone (20 mL), 10% aqueous potassium permanganate (10 mL) was added, and the solution was heated to room temperature. After reacting for 3 hours, the reaction solution was concentrated, an appropriate amount of ethanol was added to the concentrate to wash, filtered, and the filtrate was concentrated to obtain the title compound (1.5 g, yield: 84%).
中间体制备例2:N-(4-氯-2-三氟甲基苄基)-2-氟乙胺的制备Intermediate Preparation Example 2: Preparation of N-(4-chloro-2-trifluoromethylbenzyl)-2-fluoroethylamine
将4-氯-2-三氟甲基苄胺(100.0mg,0.5mmol)、1-溴-2-氟乙烷(78.7mg,0.6mmol)和碳酸钾(138.2mg,1.0mmol)溶于乙腈(5mL)中,加热至80℃反应4小时,反应液冷却至室温,浓缩反应液,浓缩物经制备薄层色谱(洗脱剂:石油醚:乙酸乙酯=4:1(v:v))纯化得到标题化合物(40.0mg,收率:30%)。4-Chloro-2-trifluoromethylbenzylamine (100.0 mg, 0.5 mmol), 1-bromo-2-fluoroethane (78.7 mg, 0.6 mmol) and potassium carbonate (138.2 mg, 1.0 mmol) were dissolved in acetonitrile (5 mL), heated to 80°C for 4 hours, the reaction solution was cooled to room temperature, the reaction solution was concentrated, and the concentrate was subjected to preparative thin layer chromatography (eluent: petroleum ether: ethyl acetate = 4:1 (v:v) ) was purified to give the title compound (40.0 mg, yield: 30%).
中间体制备例3:N-(2-氟苄基)-2-氟乙胺的制备Intermediate Preparation Example 3: Preparation of N-(2-fluorobenzyl)-2-fluoroethylamine
将2-氟苄胺(200.0mg,1.6mmol)、1-溴-2-氟乙烷(608.7mg,4.8mmol)和碳酸钾(883.5mg,6.4mmol)溶于乙腈(10mL)中,加热至80℃反应10小时,反应液冷却至室温,浓缩反应液,浓缩物经制备薄层色谱(洗脱剂:石油醚:乙酸乙酯=2:1(v:v))纯化得到标题化合物(180.0mg,收率:66%)。2-Fluorobenzylamine (200.0 mg, 1.6 mmol), 1-bromo-2-fluoroethane (608.7 mg, 4.8 mmol) and potassium carbonate (883.5 mg, 6.4 mmol) were dissolved in acetonitrile (10 mL) and heated to The reaction was carried out at 80°C for 10 hours, the reaction solution was cooled to room temperature, the reaction solution was concentrated, and the concentrate was purified by preparative thin layer chromatography (eluent: petroleum ether:ethyl acetate=2:1 (v:v)) to obtain the title compound (180.0 mg, yield: 66%).
中间体制备例4:N-(3-氟苄基)-2-氟乙胺的制备Intermediate Preparation Example 4: Preparation of N-(3-fluorobenzyl)-2-fluoroethylamine
将3-氟苄胺(200.0mg,1.6mmol)、1-溴-2-氟乙烷(608.7mg,4.8mmol)和碳酸钾(883.5mg,6.4mmol)溶于乙腈(10mL)中,加热至80℃反应10小时,反应液冷却至室温,浓缩反应液,浓缩物经制备薄层色谱(洗脱剂:石油醚:乙酸乙酯=2:1(v:v))纯化得到标题化合物(190.0mg,收率:69%)。3-Fluorobenzylamine (200.0 mg, 1.6 mmol), 1-bromo-2-fluoroethane (608.7 mg, 4.8 mmol) and potassium carbonate (883.5 mg, 6.4 mmol) were dissolved in acetonitrile (10 mL) and heated to The reaction was carried out at 80°C for 10 hours, the reaction solution was cooled to room temperature, the reaction solution was concentrated, and the concentrate was purified by preparative thin layer chromatography (eluent: petroleum ether:ethyl acetate=2:1 (v:v)) to obtain the title compound (190.0 mg, yield: 69%).
中间体制备例5:N-(4-氟苄基)-2-氟乙胺的制备Intermediate Preparation Example 5: Preparation of N-(4-fluorobenzyl)-2-fluoroethylamine
将4-氟苄胺(200.0mg,1.6mmol)、1-溴-2-氟乙烷(608.7mg,4.8mmol)和碳酸钾(883.5mg,6.4mmol)溶于乙腈(10mL)中,加热至80℃反应10小时,反应液冷却至室温,浓缩反应液,浓缩物经制备薄层色谱(洗脱剂:石油醚:乙酸乙酯=2:1(v:v))纯化得到标题化合物(150.0mg,收率:55%)。4-Fluorobenzylamine (200.0 mg, 1.6 mmol), 1-bromo-2-fluoroethane (608.7 mg, 4.8 mmol) and potassium carbonate (883.5 mg, 6.4 mmol) were dissolved in acetonitrile (10 mL) and heated to The reaction was carried out at 80°C for 10 hours, the reaction solution was cooled to room temperature, the reaction solution was concentrated, and the concentrate was purified by preparative thin layer chromatography (eluent: petroleum ether:ethyl acetate=2:1 (v:v)) to obtain the title compound (150.0 mg, yield: 55%).
中间体制备例6:N-(4-甲氧基苄基)-2-氟乙胺的制备Intermediate Preparation Example 6: Preparation of N-(4-methoxybenzyl)-2-fluoroethylamine
将4-甲氧基苄胺(219.2mg,1.6mmol)、1-溴-2-氟乙烷(608.7mg,4.8mmol)和碳酸钾(883.5mg,6.4mmol)溶于乙腈(10mL)中,加热至80℃反应12小时,反应液冷却至室温,浓缩反应液,浓缩物经制备薄层色谱(洗脱剂:石油醚:乙酸乙酯=2:1(v:v))纯化得到标题化合物(153.0mg,收率:51%)。4-Methoxybenzylamine (219.2 mg, 1.6 mmol), 1-bromo-2-fluoroethane (608.7 mg, 4.8 mmol) and potassium carbonate (883.5 mg, 6.4 mmol) were dissolved in acetonitrile (10 mL), The reaction was heated to 80°C for 12 hours, the reaction solution was cooled to room temperature, the reaction solution was concentrated, and the concentrate was purified by preparative thin layer chromatography (eluent: petroleum ether: ethyl acetate=2:1 (v:v)) to obtain the title compound (153.0 mg, yield: 51%).
实施例1:N1-(4-氯-2-三氟甲基苄基)-N4-(4-(乙磺酰基)苄基)对苯二甲酰胺的制备Example 1: Preparation of N1-( 4 -chloro- 2 -trifluoromethylbenzyl)-N4-(4-(ethylsulfonyl)benzyl)terephthalamide
将4-((4-(乙磺酰基)苄基)氨基甲酰基)苯甲酸(100.0mg,0.29mmol)、HATU(164.2mg,0.43mmol)和DIPEA(185.7mg,1.44mmol)溶于四氢呋喃(5mL)中,在室温下搅拌0.5小时后,加入4-氯-2-三氟甲基苄胺(60.6mg,0.29mmol),在室温下反应4小时,然后加入适量水,用乙酸乙酯萃取3次。合并有机相并用饱和氯化钠水溶液洗涤,用无水硫酸钠干燥,过滤,浓缩滤液,浓缩物经制备高效液相色谱仪纯化得到标题化合物(80.0mg,收率:51%)。4-((4-(Ethylsulfonyl)benzyl)carbamoyl)benzoic acid (100.0 mg, 0.29 mmol), HATU (164.2 mg, 0.43 mmol) and DIPEA (185.7 mg, 1.44 mmol) were dissolved in tetrahydrofuran ( 5mL), stirred at room temperature for 0.5 hours, added 4-chloro-2-trifluoromethylbenzylamine (60.6mg, 0.29mmol), reacted at room temperature for 4 hours, then added an appropriate amount of water, extracted with ethyl acetate 3 times. The organic phases were combined and washed with saturated aqueous sodium chloride solution, dried over anhydrous sodium sulfate, filtered, and the filtrate was concentrated. The concentrate was purified by preparative high performance liquid chromatography to obtain the title compound (80.0 mg, yield: 51%).
MS m/z(ESI):539.1[M+H]+。MS m/z (ESI): 539.1 [M+H] + .
1H-NMR(400MHz,CDCl3)δ:7.79-7.76(m,6H),7.60(s,1H),7.54(d,J=8.0Hz,1H),7.46-7.44(m,3H),6.79(s,1H),6.54(s,1H),4.73-4.67(m,4H),3.03(q,J=8.0Hz,2H),1.20(t,J=8.0Hz,3H)。 1 H-NMR (400MHz, CDCl 3 )δ: 7.79-7.76(m, 6H), 7.60(s, 1H), 7.54(d, J=8.0Hz, 1H), 7.46-7.44(m, 3H), 6.79 (s, 1H), 6.54 (s, 1H), 4.73-4.67 (m, 4H), 3.03 (q, J=8.0 Hz, 2H), 1.20 (t, J=8.0 Hz, 3H).
实施例2:N1-(4-氯-2-三氟甲基苄基)-N4-(4-(乙磺酰基)苄基)-N1-(2-氟乙基)对苯二甲酰胺的制备Example 2: N1-( 4 -Chloro-2-trifluoromethylbenzyl)-N4-(4-(ethanesulfonyl)benzyl) -N1- ( 2 -fluoroethyl)terephthalene Preparation of formamide
将4-((4-(乙磺酰基)苄基)氨基甲酰基)苯甲酸(150.0mg,0.43mmol)、HATU(246.3mg,0.65mmol)和DIPEA(278.6mg,2.16mmol)溶于四氢呋喃(5mL)中,在室温下搅拌0.5小时后,加入N-(4-氯-2-三氟甲基苄基)-2-氟乙胺(112.2mg,0.44mmol),在室温下反应4小时,然后加入适量水,用乙酸乙酯萃取3次。合并有机相并用饱和氯化钠水溶液洗涤,用无水硫酸钠干燥,过滤,浓缩滤液,浓缩物经制备高效液相色谱仪纯化得到标题化合物(115.0mg,收率:45%)。4-((4-(Ethylsulfonyl)benzyl)carbamoyl)benzoic acid (150.0 mg, 0.43 mmol), HATU (246.3 mg, 0.65 mmol) and DIPEA (278.6 mg, 2.16 mmol) were dissolved in tetrahydrofuran ( 5 mL), stirred at room temperature for 0.5 hours, added N-(4-chloro-2-trifluoromethylbenzyl)-2-fluoroethanamine (112.2 mg, 0.44 mmol), and reacted at room temperature for 4 hours, Then an appropriate amount of water was added and extracted with ethyl acetate 3 times. The organic phases were combined and washed with saturated aqueous sodium chloride solution, dried over anhydrous sodium sulfate, filtered, and the filtrate was concentrated. The concentrate was purified by preparative high performance liquid chromatography to obtain the title compound (115.0 mg, yield: 45%).
MS m/z(ESI):585.1[M+H]+。MS m/z (ESI): 585.1 [M+H] + .
1H-NMR(400MHz,CDCl3)δ:7.80-7.76(m,6H),7.60(s,1H),7.46-7.44(m,3H),6.79(s,1H),6.54(s,1H),4.73-4.67(m,4H),3.56(t,J=8.0Hz,2H),3.27(t,J=8.0Hz,2H),3.03(q,J=8.0Hz,2H),1.20(t,J=8.0Hz,3H)。 1 H-NMR (400MHz, CDCl 3 )δ: 7.80-7.76(m, 6H), 7.60(s, 1H), 7.46-7.44(m, 3H), 6.79(s, 1H), 6.54(s, 1H) ,4.73-4.67(m,4H),3.56(t,J=8.0Hz,2H),3.27(t,J=8.0Hz,2H),3.03(q,J=8.0Hz,2H),1.20(t, J=8.0Hz, 3H).
实施例3:N1-(4-(乙磺酰基)苄基)-N4-(2-氟苄基)-N4-(2-氟乙基)对苯二甲酰胺的制备Example 3: Preparation of N1-( 4- (ethylsulfonyl)benzyl)-N4-( 2 -fluorobenzyl)-N4-( 2 -fluoroethyl)terephthalamide
将4-((4-(乙磺酰基)苄基)氨基甲酰基)苯甲酸(220.0mg,0.63mmol)、HATU(359.4mg,0.95mmol)和DIPEA(122.8mg,0.95mmol)溶于四氢呋喃(5mL)中,在室温下搅拌0.5小时后,加入N-(2-氟苄基)-2-氟乙胺(130.2mg,0.76mmol),在室温下反应4小时,然后加入适量水,用乙酸乙酯萃取3次。合并有机相并用饱和氯化钠水溶液洗涤,用无水硫酸钠干燥,过滤,浓缩滤液,浓缩物经制备高效液相色谱仪纯化得到标题化合物(85.0mg,收率:27%)。4-((4-(Ethylsulfonyl)benzyl)carbamoyl)benzoic acid (220.0 mg, 0.63 mmol), HATU (359.4 mg, 0.95 mmol) and DIPEA (122.8 mg, 0.95 mmol) were dissolved in tetrahydrofuran ( 5 mL), after stirring at room temperature for 0.5 hours, N-(2-fluorobenzyl)-2-fluoroethylamine (130.2 mg, 0.76 mmol) was added, and the mixture was reacted at room temperature for 4 hours, then an appropriate amount of water was added, and acetic acid was used. Ethyl ester extraction 3 times. The organic phases were combined and washed with saturated aqueous sodium chloride solution, dried over anhydrous sodium sulfate, filtered, the filtrate was concentrated, and the concentrate was purified by preparative high performance liquid chromatography to obtain the title compound (85.0 mg, yield: 27%).
MS m/z(ESI):501.2[M+H]+。MS m/z (ESI): 501.2 [M+H] + .
1H NMR(400MHz,CDCl3)δ:7.89-7.87(m,4H),7.57-7.55(m,4H),7.35-6.91(m,4H),4.95-4.54(m,6H),3.84-3.50(m,2H),3.14(q,J=8.0Hz,2H),1.31(t,J=8.0Hz,3H)。 1 H NMR (400 MHz, CDCl 3 ) δ: 7.89-7.87 (m, 4H), 7.57-7.55 (m, 4H), 7.35-6.91 (m, 4H), 4.95-4.54 (m, 6H), 3.84-3.50 (m, 2H), 3.14 (q, J=8.0 Hz, 2H), 1.31 (t, J=8.0 Hz, 3H).
实施例4:N1-(4-(乙磺酰基)苄基)-N4-(3-氟苄基)-N4-(2-氟乙基)-对苯二甲酰胺的制备Example 4: Preparation of N1-(4-(ethylsulfonyl)benzyl)-N4-( 3 -fluorobenzyl)-N4-( 2 -fluoroethyl) -terephthalamide
将4-((4-(乙磺酰基)苄基)氨基甲酰基)苯甲酸(220.0mg,0.63mmol)、HATU(359.4mg,0.95mmol)和DIPEA(122.8mg,0.95mmol)溶于四氢呋喃(5mL)中,在室温下搅拌0.5小时后,加入N-(3-氟苄基)-2-氟乙胺(130.2mg,0.76mmol),在室温下反应4小时,然后加入适量水,用乙酸乙酯萃取3次。合并有机相并用饱和氯化钠水溶液洗涤,用无水硫酸钠干燥,过滤,浓缩滤液,浓缩物经制备高效液相色谱仪纯化得到标题化合物(62.0mg,收率:20%)。 4-((4-(Ethylsulfonyl)benzyl)carbamoyl)benzoic acid (220.0 mg, 0.63 mmol), HATU (359.4 mg, 0.95 mmol) and DIPEA (122.8 mg, 0.95 mmol) were dissolved in tetrahydrofuran ( 5 mL), after stirring at room temperature for 0.5 hours, N-(3-fluorobenzyl)-2-fluoroethylamine (130.2 mg, 0.76 mmol) was added, and reacted at room temperature for 4 hours, then an appropriate amount of water was added, and acetic acid was used. Ethyl ester extraction 3 times. The organic phases were combined and washed with saturated aqueous sodium chloride solution, dried over anhydrous sodium sulfate, filtered, the filtrate was concentrated, and the concentrate was purified by preparative high performance liquid chromatography to obtain the title compound (62.0 mg, yield: 20%).
MS m/z(ESI):501.2[M+H]+。MS m/z (ESI): 501.2 [M+H] + .
1H-NMR(400MHz,CDCl3)δ:7.78-7.74(m,4H),7.43-7.26(m,4H),7.02-6.80(m,4H),4.71-4.27(m,6H),3.73-3.36(m,2H),3.03(q,J=8.0Hz,2H),1.20(t,J=8.0Hz,3H)。 1 H-NMR (400 MHz, CDCl 3 ) δ: 7.78-7.74 (m, 4H), 7.43-7.26 (m, 4H), 7.02-6.80 (m, 4H), 4.71-4.27 (m, 6H), 3.73- 3.36 (m, 2H), 3.03 (q, J=8.0 Hz, 2H), 1.20 (t, J=8.0 Hz, 3H).
实施例5:N1-(4-(乙磺酰基)苄基)-N4-(4-氟苄基)-N4-(2-氟乙基)-对苯二甲酰胺的制备Example 5 : Preparation of N1-(4-(ethylsulfonyl)benzyl)-N4-( 4 -fluorobenzyl)-N4-( 2 -fluoroethyl)-terephthalamide
将4-((4-(乙磺酰基)苄基)氨基甲酰基)苯甲酸(220.0mg,0.63mmol)、HATU(359.4mg,0.95mmol)和DIPEA(122.8mg,0.95mmol)溶于四氢呋喃(5mL)中,在室温下搅拌0.5小时后,加入N-(4-氟苄基)-2-氟乙胺(140.9mg,0.82mmol),在室温下反应4小时,然后加入适量水,用乙酸乙酯萃取3次。合并有机相并用饱和氯化钠水溶液洗涤,用无水硫酸钠干燥,过滤,浓缩滤液,浓缩物经制备高效液相色谱仪纯化得到标题化合物(74.0mg,收率:24%)。4-((4-(Ethylsulfonyl)benzyl)carbamoyl)benzoic acid (220.0 mg, 0.63 mmol), HATU (359.4 mg, 0.95 mmol) and DIPEA (122.8 mg, 0.95 mmol) were dissolved in tetrahydrofuran ( 5 mL), after stirring at room temperature for 0.5 hours, N-(4-fluorobenzyl)-2-fluoroethylamine (140.9 mg, 0.82 mmol) was added, and the mixture was reacted at room temperature for 4 hours, and then an appropriate amount of water was added, followed by acetic acid. Ethyl ester extraction 3 times. The organic phases were combined and washed with saturated aqueous sodium chloride solution, dried over anhydrous sodium sulfate, filtered, the filtrate was concentrated, and the concentrate was purified by preparative high performance liquid chromatography to obtain the title compound (74.0 mg, yield: 24%).
MS m/z(ESI):501.2[M+H]+。MS m/z (ESI): 501.2 [M+H] + .
1H-NMR(400MHz,CDCl3)δ:7.79-7.75(m,4H),7.45-7.26(m,4H),7.00-6.79(m,4H),4.72-4.27(m,6H),3.71-3.35(m,2H),3.02(q,J=8.0Hz,2H),1.19(t,J=8.0Hz,3H)。 1 H-NMR (400MHz, CDCl 3 )δ: 7.79-7.75(m, 4H), 7.45-7.26(m, 4H), 7.00-6.79(m, 4H), 4.72-4.27(m, 6H), 3.71- 3.35 (m, 2H), 3.02 (q, J=8.0 Hz, 2H), 1.19 (t, J=8.0 Hz, 3H).
实施例6:N1-(4-(乙磺酰基)苄基)-N4-(2-氟乙基)-N4-(4-甲氧基苄基)-对苯二甲酰胺的制备Example 6: Preparation of N1-(4-(ethylsulfonyl)benzyl)-N4-( 2 -fluoroethyl) -N4- ( 4 -methoxybenzyl)-terephthalamide
将4-((4-(乙磺酰基)苄基)氨基甲酰基)苯甲酸(220.0mg,0.63mmol)、HATU(359.4mg,0.95mmol)和DIPEA(122.8mg,0.95mmol)溶于四氢呋喃(5mL)中,在室温下搅拌0.5小时后,加入N-(4-甲氧基苄基)-2-氟乙胺(150.8mg,0.83mmol),在室温下反应4小时,然后加入适量水,用乙酸乙酯萃取3次。合并有机相并用饱和氯化钠水溶液洗涤,用无水硫酸钠干燥,过滤,浓缩滤液,浓缩物经制备高效液相色谱仪纯化得到标题化合物(81.0mg,收率:26%)。4-((4-(Ethylsulfonyl)benzyl)carbamoyl)benzoic acid (220.0 mg, 0.63 mmol), HATU (359.4 mg, 0.95 mmol) and DIPEA (122.8 mg, 0.95 mmol) were dissolved in tetrahydrofuran ( 5 mL), stirred at room temperature for 0.5 hours, added N-(4-methoxybenzyl)-2-fluoroethylamine (150.8 mg, 0.83 mmol), reacted at room temperature for 4 hours, and then added an appropriate amount of water, Extracted 3 times with ethyl acetate. The organic phases were combined and washed with saturated aqueous sodium chloride solution, dried over anhydrous sodium sulfate, filtered, and the filtrate was concentrated. The concentrate was purified by preparative high performance liquid chromatography to obtain the title compound (81.0 mg, yield: 26%).
MS m/z(ESI):513.2[M+H]+。MS m/z (ESI): 513.2 [M+H] + .
1H-NMR(400MHz,CDCl3)δ:7.89-7.87(m,4H),7.57-7.55(m,4H),7.10-6.93(m,4H),4.79-4.37(m,6H),3.86(s,3H),3.75-3.43(m,2H),3.12(q,J=8.0Hz,2H),1.31(t,J=8.0Hz,3H)。 1 H-NMR (400MHz, CDCl 3 )δ: 7.89-7.87(m, 4H), 7.57-7.55(m, 4H), 7.10-6.93(m, 4H), 4.79-4.37(m, 6H), 3.86( s, 3H), 3.75-3.43 (m, 2H), 3.12 (q, J=8.0 Hz, 2H), 1.31 (t, J=8.0 Hz, 3H).
生物学评价Biological evaluation
试验例1.RORγ-LBD TR-FRET实验Test Example 1. RORγ-LBD TR-FRET experiment
配制反应缓冲液(25mM HEPES,pH 7.0,100Mm NaCl,0.01%Tween 20,0.2%BSA,5mM DTT)。以缓冲液配制含1nM LANCE Eu-抗-6×His抗体(PerkinElmer)的溶液A1,含1nMLANCE Eu-抗-6×His抗体(PerkinElmer)和15nM RORγ-LBD(HDB)的溶液A2,以及含200nM生物素-SRC1(PerkinElmer)和15nM Allophycocyanin-Streptavidin(PerkinElmer)的溶液B,均置于冰上待用。Reaction buffer was prepared (25 mM HEPES, pH 7.0, 100 mM NaCl, 0.01% Tween 20, 0.2% BSA, 5 mM DTT). Solution A1 containing 1nM LANCE Eu-anti-6xHis antibody (PerkinElmer), solution A2 containing 1nMLANCE Eu-anti-6xHis antibody (PerkinElmer) and 15nM RORγ-LBD (HDB), and 200nM in buffer were prepared Solution B of biotin-SRC1 (PerkinElmer) and 15 nM Allophycocyanin-Streptavidin (PerkinElmer), both kept on ice until use.
以DMSO稀释待测化合物(由5μM起始,4倍稀释,设10个浓度点),将稀释后的待测化合物转移至384孔板,设置复孔;转移DMSO至溶剂对照孔和阴性对照孔。阴性对照孔加入15μl溶液A1,溶剂对照孔和待测化合物孔加入15μl溶液A2。每孔加入10μl溶液B,用封口胶带封板,震荡2分钟以混匀反应液。将384孔板置于4℃过夜。第2天取出384孔板至室温平衡1小时,离心1分钟。酶标仪读板(检测波长665nm/615nm)。Dilute the test compound with DMSO (starting from 5 μM, 4-fold dilution, set 10 concentration points), transfer the diluted test compound to a 384-well plate, and set up duplicate wells; transfer DMSO to solvent control wells and negative control wells . 15 μl of solution A1 was added to the negative control well, and 15 μl of solution A2 was added to the solvent control well and the test compound well. Add 10 μl of solution B to each well, seal the plate with sealing tape, and shake for 2 minutes to mix the reaction solution. The 384-well plate was placed at 4°C overnight. On the second day, the 384-well plate was taken out to equilibrate at room temperature for 1 hour, and centrifuged for 1 minute. Read the plate with a microplate reader (detection wavelength 665nm/615nm).
数据处理:化合物抑制率(%)=(FI化合物-FI溶剂对照)/(FI溶剂对照-FI阴性对照)*100。FI表示酶标仪读出荧光值。由GraphPad Prism软件计算IC50值。结果示于表1。Data processing: compound inhibition rate (%)=(FI compound-FI solvent control)/(FI solvent control-FI negative control)*100. FI represents the fluorescence value read by the microplate reader. IC50 values were calculated by GraphPad Prism software. The results are shown in Table 1.
表1.本发明化合物对RORγ调节活性的IC50 Table 1. IC50 of compounds of the invention for RORγ modulating activity
由以上结果可见,各实施例化合物对RORγ具有明显的抑制作用。From the above results, it can be seen that the compounds of the examples have obvious inhibitory effect on RORγ.
试验例2.GAL4-RORγ荧光素酶报告基因实验Test Example 2. GAL4-RORγ luciferase reporter gene assay
1.实验材料1. Experimental materials
pcDNA3.1(GAL4DBD/RORγLBD);pGL4.35(Promega);Lipofectamine 3000(ThermoFisher Scientific)pcDNA3.1 (GAL4DBD/RORγLBD); pGL4.35 (Promega); Lipofectamine 3000 (ThermoFisher Scientific)
2.实验方法2. Experimental method
待293T细胞生长至融合度80%左右时,按照Lipofectamine 3000说明书配制质粒脂质体复合物,加入培养基。待细胞转染24小时后将其均匀铺至96孔板中,加入待测化合物,将培养板置于37℃、5%CO2孵箱中孵育24小时。第2天取出培养板,加入Bright-Glo(Promega),震荡5分钟,移取一定体积的混合液至检测板,用酶标仪(BMG)读数。When the 293T cells grew to about 80% confluence, the plasmid liposome complex was prepared according to the instructions of Lipofectamine 3000, and the medium was added. Twenty-four hours after the cells were transfected, they were evenly spread into a 96-well plate, the compounds to be tested were added, and the culture plate was placed in a 37°C, 5% CO 2 incubator for 24 hours. On the second day, take out the culture plate, add Bright-Glo (Promega), shake for 5 minutes, pipette a certain volume of the mixture to the detection plate, and read with a microplate reader (BMG).
数据处理:化合物抑制率(%)=(1-试验组发光值/溶剂对照组发光值)*100。由GraphPad Prism软件拟合计算IC50值。Data processing: compound inhibition rate (%)=(1-luminescence value of test group/luminescence value of solvent control group)*100. IC50 values were calculated by fitting with GraphPad Prism software.
3.结果3. Results
表2.本发明化合物对RORγ调节活性的IC50 Table 2. IC50 of compounds of the invention for RORγ modulating activity
由以上结果可见,实施例2的化合物对RORγ具有明显的抑制作用。It can be seen from the above results that the compound of Example 2 has a significant inhibitory effect on RORγ.
除本文中描述的那些外,根据前述描述,本发明的多种修改对本领域技术人员而言会是显而易见的。这样的修改也意图落入所附权利要求书的范围内。本申请中所引用的各参考文献(包括所有专利、专利申请、期刊文章、书籍及任何其它公开)均以其整体援引加入本文。Various modifications of the invention, in addition to those described herein, will be apparent to those skilled in the art from the foregoing description. Such modifications are also intended to fall within the scope of the appended claims. Each reference cited in this application, including all patents, patent applications, journal articles, books, and any other publications, is incorporated by reference in its entirety.
Claims (15)
Priority Applications (2)
| Application Number | Priority Date | Filing Date | Title |
|---|---|---|---|
| CN202310992151.9A CN117024318A (en) | 2018-07-16 | 2018-07-16 | Paraaryldicarbonamide compounds, pharmaceutical compositions containing them, preparation methods and uses thereof |
| CN201810776287.5A CN110724076B (en) | 2018-07-16 | 2018-07-16 | Paraaryldicarbonamide compounds, pharmaceutical compositions containing them, preparation methods and uses thereof |
Applications Claiming Priority (1)
| Application Number | Priority Date | Filing Date | Title |
|---|---|---|---|
| CN201810776287.5A CN110724076B (en) | 2018-07-16 | 2018-07-16 | Paraaryldicarbonamide compounds, pharmaceutical compositions containing them, preparation methods and uses thereof |
Related Child Applications (1)
| Application Number | Title | Priority Date | Filing Date |
|---|---|---|---|
| CN202310992151.9A Division CN117024318A (en) | 2018-07-16 | 2018-07-16 | Paraaryldicarbonamide compounds, pharmaceutical compositions containing them, preparation methods and uses thereof |
Publications (2)
| Publication Number | Publication Date |
|---|---|
| CN110724076A true CN110724076A (en) | 2020-01-24 |
| CN110724076B CN110724076B (en) | 2023-09-08 |
Family
ID=69216859
Family Applications (2)
| Application Number | Title | Priority Date | Filing Date |
|---|---|---|---|
| CN202310992151.9A Pending CN117024318A (en) | 2018-07-16 | 2018-07-16 | Paraaryldicarbonamide compounds, pharmaceutical compositions containing them, preparation methods and uses thereof |
| CN201810776287.5A Active CN110724076B (en) | 2018-07-16 | 2018-07-16 | Paraaryldicarbonamide compounds, pharmaceutical compositions containing them, preparation methods and uses thereof |
Family Applications Before (1)
| Application Number | Title | Priority Date | Filing Date |
|---|---|---|---|
| CN202310992151.9A Pending CN117024318A (en) | 2018-07-16 | 2018-07-16 | Paraaryldicarbonamide compounds, pharmaceutical compositions containing them, preparation methods and uses thereof |
Country Status (1)
| Country | Link |
|---|---|
| CN (2) | CN117024318A (en) |
Citations (4)
| Publication number | Priority date | Publication date | Assignee | Title |
|---|---|---|---|---|
| CN1714083A (en) * | 2002-11-02 | 2005-12-28 | 安万特医药德国有限公司 | Novel pyrimidine-4,6-dicarboxamides for the selective inhibition of collagenases |
| US20080261978A1 (en) * | 2007-03-08 | 2008-10-23 | Clark Michael P | Chemokine receptor modulators |
| CN101583603A (en) * | 2006-12-11 | 2009-11-18 | 遗传学公司 | Aromatic 1,4-di-carboxylamides and their use |
| CN106187838A (en) * | 2016-07-13 | 2016-12-07 | 广东东阳光药业有限公司 | Aryl alkyne compound and its preparation method and use |
-
2018
- 2018-07-16 CN CN202310992151.9A patent/CN117024318A/en active Pending
- 2018-07-16 CN CN201810776287.5A patent/CN110724076B/en active Active
Patent Citations (4)
| Publication number | Priority date | Publication date | Assignee | Title |
|---|---|---|---|---|
| CN1714083A (en) * | 2002-11-02 | 2005-12-28 | 安万特医药德国有限公司 | Novel pyrimidine-4,6-dicarboxamides for the selective inhibition of collagenases |
| CN101583603A (en) * | 2006-12-11 | 2009-11-18 | 遗传学公司 | Aromatic 1,4-di-carboxylamides and their use |
| US20080261978A1 (en) * | 2007-03-08 | 2008-10-23 | Clark Michael P | Chemokine receptor modulators |
| CN106187838A (en) * | 2016-07-13 | 2016-12-07 | 广东东阳光药业有限公司 | Aryl alkyne compound and its preparation method and use |
Also Published As
| Publication number | Publication date |
|---|---|
| CN117024318A (en) | 2023-11-10 |
| CN110724076B (en) | 2023-09-08 |
Similar Documents
| Publication | Publication Date | Title |
|---|---|---|
| JP7672451B2 (en) | RHO-associated protein kinase inhibitors, pharmaceutical compositions containing same, and methods for preparing and using same - Patents.com | |
| JP7039802B2 (en) | Pharmaceutical composition containing RHO-related protein kinase inhibitor, RHO-related protein kinase inhibitor, preparation method and use of the pharmaceutical composition. | |
| CN109810041B (en) | Halogenated allylamine SSAO/VAP-1 inhibitors and their applications | |
| WO2022121813A1 (en) | Sos1 inhibitor, pharmaceutical composition comprising same, and use thereof | |
| CN113811300A (en) | Novel small molecule inhibitors of TEAD transcription factors | |
| JP7531508B2 (en) | Benzothiophene compounds, their preparation process and their uses | |
| WO2022028506A1 (en) | Sos1 inhibitor, pharmaceutical composition containing same, and use therefor | |
| EP3585772B1 (en) | 1, 4, 6-trisubstituted-2-alkyl-1h-benzo[d]imidazole derivatives as dihydroorotate oxygenase inhibitors | |
| EA030410B1 (en) | Substituted fused heterocycles as gpr119 modulators for the treatment of diabetes, obesity, dyslipidemia and related disorders | |
| CN115703761A (en) | Compound as WWP1 inhibitor and application thereof | |
| AU2020255702B2 (en) | Quinolyl-containing compound and pharmaceutical composition, and use thereof | |
| US20220402867A1 (en) | Sulfo-substituted biaryl compound or salt thereof, preparation method therefor, and use thereof | |
| JP2025540714A (en) | Compounds and compositions for treating conditions associated with LPA receptor activity | |
| CN110054622B (en) | Oxadiazole derivative, preparation method and medical application thereof | |
| WO2023160672A1 (en) | Compounds and compositions for treating conditions associated with lpa receptor activity | |
| CN111902401B (en) | Receptor inhibitor, pharmaceutical composition comprising same and use thereof | |
| US11370766B2 (en) | Sulfonyl amidine as indoleamine-2,3-dioxygenase inhibitor, and preparation method therefor and use thereof | |
| WO2024114704A1 (en) | Novel irak4 inhibitor, and compound for inhibiting and degrading irak4 protein and preparation method therefor and use thereof | |
| WO2019179369A1 (en) | Ring-containing compound, preparation method therefor, and medical application thereof | |
| CN110724076B (en) | Paraaryldicarbonamide compounds, pharmaceutical compositions containing them, preparation methods and uses thereof | |
| CN114591317A (en) | P2X3 inhibitors and uses thereof | |
| CN110724075B (en) | Amide compounds, pharmaceutical compositions containing them, preparation methods and uses thereof | |
| TW202229251A (en) | Acetamido-phenylbenzamide derivatives and methods of using the same | |
| GB2640329A (en) | Hedgehog acyltransferase inhibitors | |
| CN117126140A (en) | Heterocyclic compounds having protein kinase inhibitory activity, pharmaceutical compositions containing the same, and methods of preparing and using the same |
Legal Events
| Date | Code | Title | Description |
|---|---|---|---|
| PB01 | Publication | ||
| PB01 | Publication | ||
| SE01 | Entry into force of request for substantive examination | ||
| SE01 | Entry into force of request for substantive examination | ||
| GR01 | Patent grant | ||
| GR01 | Patent grant |




























