CN110704732B - Sequential exercise recommendation method and device based on cognitive diagnosis - Google Patents
Sequential exercise recommendation method and device based on cognitive diagnosis Download PDFInfo
- Publication number
- CN110704732B CN110704732B CN201910890799.9A CN201910890799A CN110704732B CN 110704732 B CN110704732 B CN 110704732B CN 201910890799 A CN201910890799 A CN 201910890799A CN 110704732 B CN110704732 B CN 110704732B
- Authority
- CN
- China
- Prior art keywords
- user
- matrix
- knowledge point
- question
- cognitive diagnosis
- Prior art date
- Legal status (The legal status is an assumption and is not a legal conclusion. Google has not performed a legal analysis and makes no representation as to the accuracy of the status listed.)
- Active
Links
Images
Classifications
-
- G—PHYSICS
- G06—COMPUTING OR CALCULATING; COUNTING
- G06F—ELECTRIC DIGITAL DATA PROCESSING
- G06F16/00—Information retrieval; Database structures therefor; File system structures therefor
- G06F16/90—Details of database functions independent of the retrieved data types
- G06F16/95—Retrieval from the web
- G06F16/953—Querying, e.g. by the use of web search engines
- G06F16/9535—Search customisation based on user profiles and personalisation
-
- G—PHYSICS
- G06—COMPUTING OR CALCULATING; COUNTING
- G06N—COMPUTING ARRANGEMENTS BASED ON SPECIFIC COMPUTATIONAL MODELS
- G06N3/00—Computing arrangements based on biological models
- G06N3/02—Neural networks
- G06N3/04—Architecture, e.g. interconnection topology
- G06N3/044—Recurrent networks, e.g. Hopfield networks
Landscapes
- Engineering & Computer Science (AREA)
- Theoretical Computer Science (AREA)
- Databases & Information Systems (AREA)
- Physics & Mathematics (AREA)
- Data Mining & Analysis (AREA)
- General Engineering & Computer Science (AREA)
- General Physics & Mathematics (AREA)
- Biomedical Technology (AREA)
- Life Sciences & Earth Sciences (AREA)
- Artificial Intelligence (AREA)
- Health & Medical Sciences (AREA)
- Biophysics (AREA)
- Computational Linguistics (AREA)
- Evolutionary Computation (AREA)
- General Health & Medical Sciences (AREA)
- Molecular Biology (AREA)
- Computing Systems (AREA)
- Mathematical Physics (AREA)
- Software Systems (AREA)
- Information Retrieval, Db Structures And Fs Structures Therefor (AREA)
Abstract
本发明公开了一种基于认知诊断的时序性习题推荐方法,该方法根据全体用户的做题行为数据,构建每个用户的做题得分矩阵,并结合试题‑知识点的关联矩阵,获得各个用户的第一知识点掌握矩阵;根据第一知识点掌握矩阵、失误率和猜测率,获得第二知识点掌握矩阵,并结合循环神经网络系统,获得每个用户的认知诊断向量;根据相似度计算公式,从所有用户的认知诊断向量中筛选出与待推荐用户的认知诊断向量相似度最高的目标用户,并提取目标用户的做题行为数据,筛选出待推荐用户未测试过的试题题目,以便于将筛选出来的试验题目推荐给待推荐用户。采用本发明技术方案能够准确的获取用户学习情况的认知诊断结果,从而有针对地向用户推荐习题。
The invention discloses a method for recommending sequential exercises based on cognitive diagnosis. The method constructs a score matrix for each user based on the test-making behavior data of all users, and combines the correlation matrix of test questions-knowledge points to obtain each The user's mastery matrix of the first knowledge point; according to the mastery matrix of the first knowledge point, the error rate and the guessing rate, the second knowledge point mastery matrix is obtained, and combined with the cyclic neural network system, the cognitive diagnosis vector of each user is obtained; according to the similarity Degree calculation formula, select the target user with the highest similarity with the cognitive diagnosis vector of the user to be recommended from the cognitive diagnosis vector of all users, and extract the target user's behavior data of the test, and filter out the untested user to be recommended Test questions, so that the screened test questions can be recommended to users to be recommended. By adopting the technical solution of the invention, the cognitive diagnosis result of the user's learning situation can be accurately obtained, so as to recommend exercises to the user in a targeted manner.
Description
技术领域technical field
本发明涉及计算机教学领域,尤其涉及一种基于认知诊断的时序性习题推荐方法。The invention relates to the field of computer teaching, in particular to a method for recommending sequential exercises based on cognitive diagnosis.
背景技术Background technique
目前,在线教育平台中的试题资源数量大、种类多,如何有针对性向用户推荐试题是在线教育平台首要解决的问题。At present, there are a large number and variety of test question resources in the online education platform. How to recommend test questions to users in a targeted manner is the primary problem to be solved by the online education platform.
现有技术中,通常采用试题推荐的方法有两种:一种是采用协同技术,首先对用户进行认知诊断,得到用户的认知诊断模型;接着通过一定的手段将具有相同或相似诊断模型的用户聚集在一起,并提取这些用户选择的试题,整理出这类用户可能选择的试题;另一种是采用试题-用户方法进行推荐,同样先对用户进行认知诊断,得到认知诊断模型;其次,将试题知识点向量和用户知识点掌握向量进行相似度分析,从而计算出试题与用户之间的匹配度,进而得到推荐的习题列表。In the prior art, there are usually two ways to recommend test questions: one is to use collaborative technology, first to carry out cognitive diagnosis on the user to obtain the user's cognitive diagnosis model; The users gather together, and extract the test questions selected by these users, and sort out the test questions that such users may choose; the other is to use the test question-user method to make recommendations, and also perform cognitive diagnosis on users first to obtain a cognitive diagnosis model ;Secondly, the similarity analysis is carried out between the test question knowledge point vector and the user knowledge point mastery vector, so as to calculate the matching degree between the test question and the user, and then obtain the recommended exercise list.
但是目前这两种方法是基于当次的用户答题数据来分析用户的学习情况,而没有考虑用户的历史学习情况,仅仅依据当次的答题数据构建的学习情况诊断模型,不能完整的展现用户的学习情况,获取的习题资源的推荐方案会存在一定的偏差,同时,目前这两种方法没有考虑到用户存在猜对试题的概率,导致获取的学习情况的认知诊断结果存在偏差。However, these two methods currently analyze the user's learning situation based on the current user's answer data, without considering the user's historical learning situation. The learning situation diagnosis model constructed only based on the current answer data cannot fully display the user There will be certain deviations in the learning situation and the recommendation scheme of the obtained exercise resources. At the same time, the current two methods do not take into account the probability of the user guessing the test questions correctly, resulting in deviations in the obtained cognitive diagnosis results of the learning situation.
发明内容Contents of the invention
本发明实施实施例提出一种基于认知诊断的时序性习题推荐方法,能够准确的获取用户学习情况的认知诊断结果,从而有针对地向用户推荐习题。The embodiment of the present invention proposes a sequential exercise recommendation method based on cognitive diagnosis, which can accurately obtain the cognitive diagnosis result of the user's learning situation, thereby recommending exercises to the user in a targeted manner.
本发明实施例提供了一种基于认知诊断的时序性习题推荐方法,包括:An embodiment of the present invention provides a sequential exercise recommendation method based on cognitive diagnosis, including:
获取并根据全体用户的做题行为数据,构建每个用户的做题得分矩阵;其中,每个用户的做题行为数据包括每个用户在若干个周期内作答的试题题目、以及与所述试题题目分别一一对应的试题得分;Obtain and construct each user's question-making score matrix according to the question-making behavior data of all users; wherein, the question-making behavior data of each user includes the test questions answered by each user in several cycles, and the test questions related to the test questions. One-to-one correspondence test scores for each topic;
分别将各个所述用户的做题得分矩阵,结合预设试题-知识点的关联矩阵,获得各个用户的第一知识点掌握矩阵;Respectively combine the score matrix of each user's question-making with the correlation matrix of preset test questions-knowledge points to obtain the first knowledge point mastery matrix of each user;
根据所述第一知识点掌握矩阵,结合预设的失误率和猜测率,获得第二知识点掌握矩阵;Obtaining a second knowledge point mastery matrix according to the first knowledge point mastery matrix combined with preset error rates and guessing rates;
根据所述第二知识点掌握矩阵,结合预设的循环神经网络系统,获得每个用户的认知诊断向量;Obtain a cognitive diagnosis vector for each user according to the second knowledge point mastery matrix combined with a preset recurrent neural network system;
根据预设的相似度计算公式,从所有所述用户的认知诊断向量中筛选出与待推荐用户的认知诊断向量相似度最高的目标用户,并提取所述目标用户的做题行为数据,筛选出所述待推荐用户未测试过的试题题目,以便于将筛选出来的试验题目推荐给所述待推荐用户。According to the preset similarity calculation formula, the target user with the highest similarity to the cognitive diagnostic vector of the user to be recommended is selected from the cognitive diagnostic vectors of all the users, and the question-making behavior data of the target user is extracted, Screening out test questions that have not been tested by the user to be recommended, so as to recommend the screened test questions to the user to be recommended.
进一步的,所述每个所述用户的做题得分矩阵包括:历史做题得分矩阵和当前做题得分矩阵;Further, each of the user's question-making score matrix includes: a historical question-making score matrix and a current question-making score matrix;
所述历史做题得分矩阵由该用户在所有周期中的做题行为数据组成;The historical problem-solving score matrix is composed of the user's problem-solving behavior data in all cycles;
所述当前做题得分矩阵由该用户当前周期和前一个周期中的做题行为数据组成。The current question-doing score matrix is composed of the user's question-making behavior data in the current cycle and the previous cycle.
进一步的,所述根据所述第一知识点掌握矩阵,结合预设的失误率和猜测率,获得第二知识点掌握矩阵,,具体为:Further, the second knowledge point mastery matrix is obtained according to the first knowledge point mastery matrix combined with the preset error rate and guessing rate, specifically:
按照以下公式,计算获得所述第二知识点掌握矩阵计算方法如下:According to the following formula, the calculation method for obtaining the mastery matrix of the second knowledge point is as follows:
其中表示为第二知识点掌握矩阵;R表示为用户的做题得分矩阵,A表示为第一知识点掌握矩阵,为失误率,为猜测率。in Expressed as the mastery matrix of the second knowledge point; R is represented as the user's score matrix for doing questions, A is represented as the mastery matrix of the first knowledge point, is the error rate, is the guess rate.
进一步的,所述根据所述第二知识点掌握矩阵,结合预设的循环神经网络系统,获得每个用户的认知诊断向量,具体为:Further, the cognitive diagnosis vector of each user is obtained according to the master matrix of the second knowledge point combined with the preset recurrent neural network system, specifically:
所述第二知识点掌握矩阵包括:第二历史知识点掌握矩阵和第二当前知识点掌握矩阵;The second knowledge point mastery matrix includes: a second historical knowledge point mastery matrix and a second current knowledge point mastery matrix;
将所述第二历史知识点掌握矩阵作为第一个输入信息,输入到循环神经网络系统,获得历史元素输入信息;Using the second historical knowledge point master matrix as the first input information, input it into the recurrent neural network system to obtain the historical element input information;
将所述历史元素输入信息和所述第二当前知识点掌握矩阵,输入到循环神经网络系统,获得每个用户的认知诊断向量。Inputting the historical element input information and the second current knowledge point mastery matrix into a recurrent neural network system to obtain a cognitive diagnosis vector for each user.
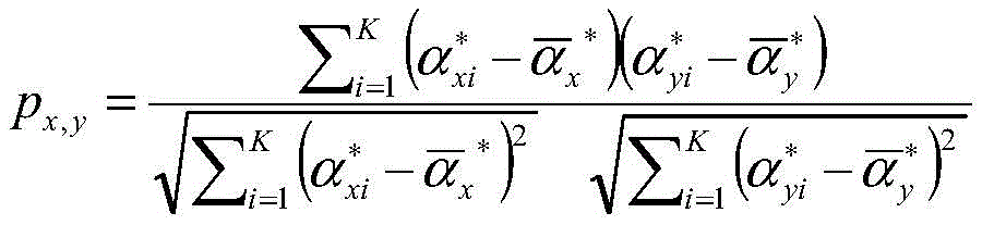
进一步的,所述相似度的计算公式,具体为:Further, the formula for calculating the similarity is specifically:
其中,是待推荐用户对所有知识点的平均认知诊断向量,任一个其他用户对所有知识点的平均认知诊断向量,为待推荐用户的认知诊断向量,为任一个其他用户的认知诊断向量。in, is the average cognitive diagnosis vector of all knowledge points of the user to be recommended, Any other user's average cognitive diagnosis vector for all knowledge points, is the cognitive diagnosis vector of the user to be recommended, is the cognitive diagnostic vector for any other user.
相应地,本实施例还提供一种基于认知诊断的时序性习题推荐装置,包括:Correspondingly, this embodiment also provides a sequential exercise recommendation device based on cognitive diagnosis, including:
数据获取模块,用于获取并根据全体用户的做题行为数据,构建每个用户的做题得分矩阵;其中,每个用户的做题行为数据包括每个用户在若干个周期内作答的试题题目、以及与所述试题题目分别一一对应的试题得分;The data acquisition module is used to acquire and construct each user's question-making score matrix according to the question-making behavior data of all users; wherein, the question-making behavior data of each user includes the test questions answered by each user in several cycles , and test question scores that correspond one-to-one to the test questions;
第一计算模块,用于分别将各个所述用户的做题得分矩阵,结合预设试题-知识点的关联矩阵,获得各个用户的第一知识点掌握矩阵;The first calculation module is used to obtain the first knowledge point mastery matrix of each user by combining the test score matrix of each user with the correlation matrix of preset test questions-knowledge points;
第二计算模块,用于根据所述第一知识点掌握矩阵,结合预设的失误率和猜测率,获得第二知识点掌握矩阵;The second calculation module is used to obtain the second knowledge point mastery matrix according to the first knowledge point mastery matrix in combination with the preset error rate and guessing rate;
输入输出模块,用于根据所述第二知识点掌握矩阵,结合预设的循环神经网络系统,获得每个用户的认知诊断向量;The input and output module is used to obtain the cognitive diagnosis vector of each user according to the second knowledge point master matrix, combined with the preset recurrent neural network system;
试题推荐模块,用于根据预设的相似度计算公式,从所有所述用户的认知诊断向量中筛选出与待推荐用户的认知诊断向量相似度最高的目标用户,并提取所述目标用户的做题行为数据,筛选出所述待推荐用户未测试过的试题题目,以便于将筛选出来的试验题目推荐给所述待推荐用户。The test item recommendation module is used to select the target user with the highest similarity with the cognitive diagnosis vector of the user to be recommended from the cognitive diagnosis vectors of all the users according to the preset similarity calculation formula, and extract the target user The test questions that have not been tested by the user to be recommended are screened out, so as to recommend the screened test questions to the user to be recommended.
进一步的,所述根据所述第二知识点掌握矩阵,结合预设的循环神经网络系统,获得每个用户的认知诊断向量,具体为:Further, the cognitive diagnosis vector of each user is obtained according to the master matrix of the second knowledge point combined with the preset recurrent neural network system, specifically:
所述第二知识点掌握矩阵包括:第二历史知识点掌握矩阵和第二当前知识点掌握矩阵;The second knowledge point mastery matrix includes: a second historical knowledge point mastery matrix and a second current knowledge point mastery matrix;
将所述第二历史知识点掌握矩阵作为第一个输入信息,输入到循环神经网络系统,获得历史元素输入信息;Using the second historical knowledge point master matrix as the first input information, input it into the recurrent neural network system to obtain the historical element input information;
将所述历史元素输入信息和所述第二当前知识点掌握矩阵,输入到循环神经网络系统,获得每个用户的认知诊断向量。Inputting the historical element input information and the second current knowledge point mastery matrix into a recurrent neural network system to obtain a cognitive diagnosis vector for each user.
实施本发明实施例,具有如下有益效果:Implementing the embodiment of the present invention has the following beneficial effects:
本发明公开了一种基于认知诊断的时序性习题推荐方法,该方法根据全体用户的做题行为数据,构建每个用户的做题得分矩阵,并结合试题-知识点的关联矩阵,获得各个用户的第一知识点掌握矩阵;根据第一知识点掌握矩阵、失误率和猜测率,获得第二知识点掌握矩阵,并结合循环神经网络系统,获得每个用户的认知诊断向量;根据相似度计算公式,从所有用户的认知诊断向量中筛选出与待推荐用户的认知诊断向量相似度最高的目标用户,并提取目标用户的做题行为数据,筛选出待推荐用户未测试过的试题题目,以便于将筛选出来的试验题目推荐给待推荐用户。相比于现有技术采用的试题推荐方法,本发明时刻考虑到用户的历史学习情与学习情况中存在的猜对试题的概率,从而能够准确地获取用户学习情况的认知诊断结果,进而有针对性地向用户推荐试题,有效提高了试题推荐的准确度。The invention discloses a sequential exercise recommendation method based on cognitive diagnosis. The method constructs each user's score matrix for each user based on the test-making behavior data of all users, and combines the test-knowledge point correlation matrix to obtain each The user's mastery matrix of the first knowledge point; according to the mastery matrix of the first knowledge point, the error rate and the guessing rate, the second knowledge point mastery matrix is obtained, and combined with the cyclic neural network system, the cognitive diagnosis vector of each user is obtained; according to the similarity Degree calculation formula, select the target user with the highest similarity with the cognitive diagnosis vector of the user to be recommended from the cognitive diagnosis vector of all users, and extract the target user's behavior data of the test, and filter out the untested user to be recommended Test questions, so that the screened test questions can be recommended to users to be recommended. Compared with the test item recommendation method adopted in the prior art, the present invention always takes into account the user's historical learning situation and the probability of guessing the correct test questions in the learning situation, so that the cognitive diagnosis result of the user's learning situation can be accurately obtained, and further has The test questions are recommended to users in a targeted manner, which effectively improves the accuracy of test question recommendation.
附图说明Description of drawings
图1是本发明提供的基于认知诊断的时序性习题推荐方法的第一实施例的流程示意图;FIG. 1 is a schematic flowchart of the first embodiment of the method for recommending sequential exercises based on cognitive diagnosis provided by the present invention;
图2是本发明提供的循环神经网络的一种实施例的示意图;Fig. 2 is a schematic diagram of an embodiment of the recurrent neural network provided by the present invention;
图3是本发明提供的基于认知诊断的时序性习题推荐装置的第二实施例的结构示意图。Fig. 3 is a schematic structural diagram of a second embodiment of the apparatus for recommending sequential exercises based on cognitive diagnosis provided by the present invention.
具体实施方式Detailed ways
下面将结合本发明实施例中的附图,对本发明实施例中的技术方案进行清楚、完整地描述,显然,所描述的实施例仅仅是本发明一部分实施例,而不是全部的实施例。基于本发明中的实施例,本领域普通技术人员在没有做出创造性劳动前提下所获得的所有其他实施例,都属于本发明保护的范围。The following will clearly and completely describe the technical solutions in the embodiments of the present invention with reference to the accompanying drawings in the embodiments of the present invention. Obviously, the described embodiments are only some, not all, embodiments of the present invention. Based on the embodiments of the present invention, all other embodiments obtained by persons of ordinary skill in the art without making creative efforts belong to the protection scope of the present invention.
本发明第一实施例:First embodiment of the present invention:
请参见图1,是本发明提供的基于认知诊断的时序性习题推荐方法的第一实施例的流程示意图。如图1,该构建方法包括步骤101至步骤105,各步骤具体如下:Please refer to FIG. 1 , which is a schematic flowchart of the first embodiment of the method for recommending sequential exercises based on cognitive diagnosis provided by the present invention. As shown in Figure 1, the construction method includes
步骤101:获取并根据全体用户的做题行为数据,构建每个用户的做题得分矩阵;其中,每个用户的做题行为数据包括每个用户在若干个周期内作答的试题题目、以及与试题题目分别一一对应的试题得分。Step 101: Obtain and construct each user's question-making score matrix according to the question-making behavior data of all users; wherein, the question-making behavior data of each user includes the test questions answered by each user in several periods, and the related The test questions are one-to-one corresponding to the test question scores.
在本实施例中,步骤101中每个用户的做题得分矩阵包括:历史做题得分矩阵和当前做题得分矩阵;其中历史做题得分矩阵由该用户在所有周期中的做题行为数据组成;当前做题得分矩阵由该用户当前周期和前一个周期中的做题行为数据组成。In this embodiment, the question-making score matrix of each user in
譬如,全体用户的做题得分矩阵R=[ruv]U×V,其中,U为用户总人数,V为试题题目总数,ruv=1表示为第u个用户答对试题v;ruv=0表示为第u个用户答错第v个试题题目;每一个用户的做题得分矩阵包括:用户的历史做题得分矩阵RL=[ruv]V和当前做题得分矩阵同时RD中的矩阵数据与与RL中的矩阵数据表达的意思是一样的,这里不重复说明。For example, the score matrix R=[r uv ] U×V of all users, where U is the total number of users, V is the total number of test questions, and r uv =1 means that the uth user correctly answered the test question v; r uv = 0 means that the uth user answered the vth test question incorrectly; each user's test score matrix includes: the user's historical test score matrix R L = [r uv ] V and the current test score matrix At the same time, the matrix data in RD has the same meaning as the matrix data in RL , and will not be repeated here.
步骤102:分别将各个用户的做题得分矩阵,结合预设试题-知识点的关联矩阵,获得各个用户的第一知识点掌握矩阵。Step 102: Combining each user's test score matrix with the preset test question-knowledge point correlation matrix to obtain each user's first knowledge point mastery matrix.
在本实施例中,步骤102具体为:将用户的做题得分矩阵中的历史做题得分矩阵和当前做题得分矩阵,分别与预设试题-知识点的关联矩阵相乘,获得各个用户的第一知识点掌握矩阵,其中第一知识点掌握矩阵包括第一历史知识点掌握矩阵和第一当前知识点掌握矩阵。In this embodiment,
譬如,历史做题得分矩阵RL和当前做题得分矩阵RD,分别与试题-知识点的关联矩阵Q=[qvk]V×K相乘,获得第一知识点掌握矩阵A=[αuk]V×K。其中V为试题题目总数,K为知识点总数,qvk=1表示第v个试题题目考察第k个知识点,qvk=0表示第v个试题题目未考察第k个知识点;每个第一知识点掌握矩阵A包括:第一历史知识点掌握矩阵AL=[αuk]K和第一当前知识点掌握矩阵其中αuk=1,表示第u个用户掌握知识点k,αuk=0表示第u个用户未掌握知识点k;中的矩阵数据与αk中的矩阵数据表达的意思一样。For example, the score matrix R L of historical questions and the score matrix R D of current questions are multiplied by the correlation matrix Q=[q vk ] V×K of test questions-knowledge points respectively, and the first knowledge point mastery matrix A=[α uk ] V×K . Among them, V is the total number of test items, K is the total number of knowledge points, q vk = 1 means that the vth test item examines the kth knowledge point, q vk = 0 means that the vth test item does not examine the kth knowledge point; each The first knowledge point mastery matrix A includes: the first historical knowledge point mastery matrix A L =[α uk ] K and the first current knowledge point mastery matrix Among them, α uk =1 means that the uth user has mastered the knowledge point k, and α uk =0 means that the uth user has not mastered the knowledge point k; The matrix data in is the same as the matrix data in α k .
步骤103:根据第一知识点掌握矩阵,结合预设的失误率和猜测率,获得第二知识点掌握矩阵。Step 103: Obtain a second knowledge point mastery matrix according to the first knowledge point mastery matrix, combined with the preset error rate and guessing rate.
在本实施例中,将第一历史知识点掌握矩阵和第一当前知识点掌握矩阵,分别按照以下公式,计算获得第二知识点掌握矩阵,其中第二知识点掌握矩阵包括:第二历史知识点掌握矩阵和第二当前知识点掌握矩阵。In this embodiment, the first historical knowledge point mastery matrix and the first current knowledge point mastery matrix are respectively calculated according to the following formulas to obtain the second knowledge point mastery matrix, wherein the second knowledge point mastery matrix includes: second historical knowledge point mastery matrix and second current knowledge point mastery matrix.
其中表示为第二知识点掌握矩阵;R表示为用户的做题得分矩阵,A表示为第一知识点掌握矩阵,为失误率,为猜测率。in Expressed as the mastery matrix of the second knowledge point; R is represented as the user's score matrix for doing questions, A is represented as the mastery matrix of the first knowledge point, is the error rate, is the guess rate.
在本实施例中,步骤103中的失误率和猜测率由最大似然估计算法获得,具体步骤如下:In this embodiment, the error rate in
第一步:获取潜在做题变量ηuv,计算公式如下:αuk为第一知识点掌握矩阵A=[αuk]V×K,K表示为知识点数量,当αuk=0时,表示第u个用户没有掌握第k个知识点,当αuk=1时,则表示第u个用户掌握第k个知识点。qvk为第v试题是否含有第k个知识点,其中qvk=0,表示第v试题未含有第k个知识点,qvk=1,则表示第v试题含有第k个知识点。Step 1: Obtain the potential problem-solving variable η uv , the calculation formula is as follows: α uk is the mastery matrix of the first knowledge point A=[α uk ] V×K , and K represents the number of knowledge points. When α uk =0, it means that the uth user has not mastered the kth knowledge point. When α uk = When 1, it means that the uth user has mastered the kth knowledge point. q vk is whether the v-th test item contains the k-th knowledge point, where q vk = 0 means that the v-th test item does not contain the k-th knowledge point, and q vk = 1 means that the v-th test item contains the k-th knowledge point.
第二步,根据公式先给定β{s1,g1,.....sv,gv}一组初始值,该组初始值可以自由设定,其中sv表示用户在掌握了第v道试题所考察的所有知识点之后仍然做错的概率;gv表示用户在并不完全掌握试题第v道所考察的知识点的情况下猜对的概率。In the second step, according to the formula A set of initial values of β{s 1 , g 1 ,.....s v , g v } is first given, which can be set freely, where s v means that the user has mastered the vth test question. The probability that the user still makes mistakes after all the knowledge points; g v represents the probability that the user guesses correctly when they do not fully grasp the knowledge points investigated in track v of the test question.
第三步,计算下列各式,公式一: 是该用户的反应向量R的边际似然,P(αl)是属性向量的先验概率,P(R|αl)该用户拥有的第I个属性向量的后验概率;公式二:Rvl=P(αl|Ru)Rv,其中Ul用户拥有属性的期望,公式三:The third step is to calculate the following formulas, formula 1: is the marginal likelihood of the user’s response vector R, P(α l ) is the prior probability of the attribute vector, P(R|α l ) the posterior probability of the I-th attribute vector owned by the user; Formula 2: R vl = P(α l |R u )R v , Where U l user has the expectation of attributes, formula 3:
Kvl(0)={αl:αl,qi<qv,qv}∑Kvl Uvl(0)={αl:αl,qi<qv,qv}∑Il K vl (0)={α l :α l ,q i <q v ,q v }∑K vl U vl (0)={α l :α l ,q i <q v ,q v }∑I l
Kvl(1)={αl:αl,qi<qv,qv}∑Kvl Uvl(1)={αl:αl,qi<qv,qv}∑Il K vl (1)={α l :α l ,q i <q v ,q v }∑K vl U vl (1)={α l :α l ,q i <q v ,q v }∑I l
其中,Kvl是正确回答第v个题目的用户拥有属性αl的期望。Among them, K vl is the expectation that the user who correctly answers the vth question has the attribute α l .
第四步,用Kvl(0)、Uvl(0)、Kvl(1)、Uvl(1)值计算新的β值,重复上述步骤三、步骤四,直到每个β分量都收敛,获得失误率和猜测率 The fourth step is to use the K vl (0), U vl (0), K vl (1), U vl (1) values to calculate the new β value, and repeat the above steps 3 and 4 until each β component converges , to get the error rate and guess rate
步骤104:根据第二知识点掌握矩阵,结合预设的循环神经网络系统,获得每个用户的认知诊断向量。Step 104: Obtain a cognitive diagnosis vector for each user according to the mastery matrix of the second knowledge point, combined with the preset recurrent neural network system.
在本实施例中,步骤104具体为:第二知识点掌握矩阵包括:第二历史知识点掌握矩阵和第二当前知识点掌握矩阵;将第二历史知识点掌握矩阵作为第一个输入信息,输入到循环神经网络系统,获得历史元素输入信息;将历史元素输入信息和第二当前知识点掌握矩阵,输入到循环神经网络系统,获得每个用户的认知诊断向量。In this embodiment,
譬如,第二知识点掌握矩阵第二历史知识点掌握矩阵第二当前知识点掌握矩阵其中α′uk=0时,表示第u个学生没有掌握第k个知识点,当α′uk=1时,则表示第u个学生掌握第k个知识点;中的矩阵数据与α′uk中的矩阵数据表达的意思是一样的,这里不重复说明。For example, the second knowledge point to master the matrix Mastery matrix of the second historical knowledge point The second current knowledge point mastery matrix Among them, when α′uk = 0, it means that the uth student has not mastered the kth knowledge point; when α′uk = 1, it means that the uth student has mastered the kth knowledge point; The matrix data in and the matrix data in α′ uk have the same meaning, and will not be repeated here.
在本实施例中,将第二历史知识点掌握矩阵和第二当前知识点掌握矩阵带入公式:ht=U×αt+W×Mt-1,Mt=f(ht),其中Mt表示为当前周期的历史元素输入信息,Mt-1表示上一周期的历史元素输入信息,αt为当前知识点掌握矩阵;W、U、V为循环神经网络系统的参数,W表示输入的权重,U表示此刻输入的样本的权重,V表示输出的样本权重。具体步骤如下:In this embodiment, the second historical knowledge point master matrix and the second current knowledge point mastery matrix Enter the formula: h t = U×α t +W×M t-1 , M t =f(h t ), Among them, M t represents the input information of historical elements in the current cycle, M t-1 represents the input information of historical elements in the previous cycle, α t is the current knowledge point master matrix; W, U, V are the parameters of the cyclic neural network system, and W Represents the input weight, U represents the weight of the input sample at the moment, and V represents the output sample weight. Specific steps are as follows:
第一步,在t=1时刻,一般初始化M0=0,α′uk为第二历史知识点掌握矩阵,随机初始化W,U,V,代入公式,得到h1=U×α′uk+W×M0,M1=f(h1),获得第一个输入信息M1;In the first step, at time t=1, generally initialize M 0 =0, α′ uk is the mastery matrix of the second historical knowledge point, initialize W, U, V randomly, and substitute into the formula to obtain h 1 =U×α′ uk + W×M 0 , M 1 =f(h 1 ), Obtain the first input information M 1 ;
第二步,将第一输入信息M1和第二当前知识点掌握矩阵代入公式,得到,M2=f(h2),获得第二个输入信息M2和用户的认知诊断向量 The second step is to master the matrix of the first input information M 1 and the second current knowledge point Substituting into the formula, we get, M 2 =f(h 2 ), Obtain the second input information M 2 and the user's cognitive diagnosis vector
在本实施例中,循环神经网络的结构可参见图2所示。需要说明的是,图2中的循环神经网络系统的参数W,U,V,需要进行更新,更新方式的公式如下:In this embodiment, the structure of the cyclic neural network can be referred to as shown in FIG. 2 . It should be noted that the parameters W, U, and V of the cyclic neural network system in Figure 2 need to be updated, and the formula for the update method is as follows:
步骤105:根据预设的相似度计算公式,从所有用户的认知诊断向量中筛选出与待推荐用户的认知诊断向量相似度最高的目标用户,并提取目标用户的做题行为数据,筛选出待推荐用户未测试过的试题题目,以便于将筛选出来的试验题目推荐给待推荐用户。Step 105: According to the preset similarity calculation formula, select the target user with the highest similarity with the cognitive diagnosis vector of the user to be recommended from the cognitive diagnosis vectors of all users, and extract the target user's question-making behavior data, and filter Find the test questions that the user to be recommended has not tested, so that the screened test questions can be recommended to the user to be recommended.
根据预设的相似度计算公式,从所有用户的认知诊断向量中筛选出与待推荐用户的认知诊断向量相似度最高的目标用户,并提取目标用户的做题数据,筛选出待推荐用户未测试的试题题目。According to the preset similarity calculation formula, the target user with the highest similarity to the cognitive diagnosis vector of the user to be recommended is selected from the cognitive diagnosis vector of all users, and the test data of the target user is extracted, and the user to be recommended is screened out Untested test questions.
其中,是待推荐用户对所有知识点的平均认知诊断向量,任一个其他用户对所有知识点的平均认知诊断向量,为待推荐用户的认知诊断向量,为任一个其他用户的认知诊断向量。in, is the average cognitive diagnosis vector of all knowledge points of the user to be recommended, Any other user's average cognitive diagnosis vector for all knowledge points, is the cognitive diagnosis vector of the user to be recommended, is the cognitive diagnostic vector for any other user.
由上可见,本发明实施例提供的基于认知诊断的时序性习题推荐方法,该方法根据全体用户的做题行为数据,构建每个用户的做题得分矩阵,并结合试题-知识点的关联矩阵,获得各个用户的第一知识点掌握矩阵;根据第一知识点掌握矩阵、失误率和猜测率,获得第二知识点掌握矩阵,并结合循环神经网络系统,获得每个用户的认知诊断向量;根据相似度计算公式,从所有用户的认知诊断向量中筛选出与待推荐用户的认知诊断向量相似度最高的目标用户,并提取目标用户的做题行为数据,筛选出待推荐用户未测试过的试题题目,以便于将筛选出来的试验题目推荐给待推荐用户。相比于现有技术采用的试题推荐方法,本发明时刻考虑到用户的历史学习情与学习情况中存在的猜对试题的概率,从而能够准确地获取用户学习情况的认知诊断结果,进而有针对性地向用户推荐试题,提高试题推荐的准确度。It can be seen from the above that the method for recommending sequential exercises based on cognitive diagnosis provided by the embodiment of the present invention constructs a score matrix for each user based on the problem-making behavior data of all users, and combines the relationship between test questions and knowledge points matrix, to obtain the first knowledge point mastery matrix of each user; according to the first knowledge point mastery matrix, error rate and guessing rate, to obtain the second knowledge point mastery matrix, combined with the cyclic neural network system, to obtain the cognitive diagnosis of each user Vector; according to the similarity calculation formula, select the target user with the highest similarity with the cognitive diagnosis vector of the user to be recommended from the cognitive diagnosis vector of all users, and extract the target user's question-making behavior data to filter out the user to be recommended Test questions that have not been tested, so that the screened test questions can be recommended to users to be recommended. Compared with the test item recommendation method adopted in the prior art, the present invention always takes into account the user's historical learning situation and the probability of guessing the correct test questions in the learning situation, so that the cognitive diagnosis result of the user's learning situation can be accurately obtained, and further has Recommend test questions to users in a targeted manner to improve the accuracy of test question recommendation.
本发明第二实施例:Second embodiment of the present invention:
请参见图3,是本发明提供的一种基于认知诊断的时序性习题推荐装置的第二实施例的结构示意图。该装置包括:数据获取模块301、第一计算模块302、第二计算模块303、输入输出模块304和试题推荐模块305。Please refer to FIG. 3 , which is a schematic structural diagram of a second embodiment of an apparatus for recommending sequential exercises based on cognitive diagnosis provided by the present invention. The device includes: a
数据获取模块301,用于获取并根据全体用户的做题行为数据,构建每个用户的做题得分矩阵;其中,每个用户的做题行为数据包括每个用户在若干个周期内作答的试题题目、以及与试题题目分别一一对应的试题得分;The
第一计算模块302,用于分别将各个用户的做题得分矩阵,结合预设试题-知识点的关联矩阵,获得各个用户的第一知识点掌握矩阵;The
第二计算模块303,用于根据第一知识点掌握矩阵,结合预设的失误率和猜测率,获得第二知识点掌握矩阵;The
输入输出模块304,用于根据第二知识点掌握矩阵,结合预设的循环神经网络系统,获得每个用户的认知诊断向量;The input and
试题推荐模块305,用于根据预设的相似度计算公式,从所有用户的认知诊断向量中筛选出与待推荐用户的认知诊断向量相似度最高的目标用户,并提取目标用户的做题行为数据,筛选出待推荐用户未测试过的试题题目,以便于将筛选出来的试验题目推荐给待推荐用户。The test
本实施例更详细的工作原理和流程可以但不限于参见第一实施例的基于认知诊断的时序性习题推荐方法。For a more detailed working principle and process of this embodiment, refer to, but not limited to, the method for recommending sequential exercises based on cognitive diagnosis in the first embodiment.
由上可见,本发明实施例提供的基于认知诊断的时序性习题推荐装置,考虑到用户的历史学习情与学习情况中存在的猜对试题的概率,从而能够准确地获取用户学习情况的认知诊断结果,进而有针对性地向用户推荐试题,提高试题推荐的准确度。It can be seen from the above that the time-sequential exercise recommendation device based on cognitive diagnosis provided by the embodiment of the present invention takes into account the user's historical learning situation and the probability of guessing the correct test questions in the learning situation, so as to accurately obtain the recognition of the user's learning situation. The diagnosis results are known, and then the test questions are recommended to the user in a targeted manner to improve the accuracy of the test question recommendation.
本领域普通技术人员可以理解实现上述实施例方法中的全部或部分流程,是可以通过计算机程序来指令相关的硬件来完成,所述的程序可存储于一计算机可读取存储介质中,该程序在执行时,可包括如上述各方法的实施例的流程。其中,所述的存储介质可为磁碟、光盘、只读存储记忆体(Read-Only Memory,ROM)或随机存储记忆体(Random AccessMemory,RAM)等。Those of ordinary skill in the art can understand that all or part of the processes in the methods of the above embodiments can be implemented through computer programs to instruct related hardware, and the programs can be stored in a computer-readable storage medium. During execution, it may include the processes of the embodiments of the above-mentioned methods. Wherein, the storage medium may be a magnetic disk, an optical disk, a read-only memory (Read-Only Memory, ROM) or a random access memory (Random Access Memory, RAM) and the like.
以上所述是本发明的优选实施方式,应当指出,对于本技术领域的普通技术人员来说,在不脱离本发明原理的前提下,还可以做出若干改进和润饰,这些改进和润饰也视为本发明的保护范围。The above description is a preferred embodiment of the present invention, and it should be pointed out that for those skilled in the art, without departing from the principle of the present invention, some improvements and modifications can also be made, and these improvements and modifications are also considered Be the protection scope of the present invention.
Claims (7)
Priority Applications (1)
| Application Number | Priority Date | Filing Date | Title |
|---|---|---|---|
| CN201910890799.9A CN110704732B (en) | 2019-09-19 | 2019-09-19 | Sequential exercise recommendation method and device based on cognitive diagnosis |
Applications Claiming Priority (1)
| Application Number | Priority Date | Filing Date | Title |
|---|---|---|---|
| CN201910890799.9A CN110704732B (en) | 2019-09-19 | 2019-09-19 | Sequential exercise recommendation method and device based on cognitive diagnosis |
Publications (2)
| Publication Number | Publication Date |
|---|---|
| CN110704732A CN110704732A (en) | 2020-01-17 |
| CN110704732B true CN110704732B (en) | 2023-02-17 |
Family
ID=69195865
Family Applications (1)
| Application Number | Title | Priority Date | Filing Date |
|---|---|---|---|
| CN201910890799.9A Active CN110704732B (en) | 2019-09-19 | 2019-09-19 | Sequential exercise recommendation method and device based on cognitive diagnosis |
Country Status (1)
| Country | Link |
|---|---|
| CN (1) | CN110704732B (en) |
Families Citing this family (17)
| Publication number | Priority date | Publication date | Assignee | Title |
|---|---|---|---|---|
| CN111552796A (en) * | 2020-04-26 | 2020-08-18 | 北京易真学思教育科技有限公司 | Volume assembling method, electronic device and computer readable medium |
| CN111680216B (en) * | 2020-05-06 | 2021-05-04 | 广州寄锦教育科技有限公司 | A test question recommendation method, system, medium and equipment |
| CN111708951B (en) * | 2020-06-23 | 2023-06-09 | 广东讯飞启明科技发展有限公司 | Test question recommending method and device |
| CN111859140B (en) * | 2020-07-28 | 2021-08-06 | 龙马智芯(珠海横琴)科技有限公司 | A method, device, recommendation device and readable storage medium for knowledge recommendation |
| CN112116092B (en) * | 2020-08-11 | 2022-03-25 | 浙江师范大学 | Interpretable knowledge level tracking method, system and storage medium |
| CN114722266A (en) * | 2021-01-04 | 2022-07-08 | 中国移动通信有限公司研究院 | Questionnaire pushing method and device, electronic equipment and readable storage medium |
| CN112784608B (en) * | 2021-02-24 | 2023-12-01 | 科大讯飞股份有限公司 | Test question recommendation methods, devices, electronic equipment and storage media |
| CN113160011A (en) * | 2021-04-28 | 2021-07-23 | 江西师范大学 | Enhanced neurocognitive diagnostic model |
| CN113221007B (en) * | 2021-05-21 | 2022-09-23 | 合肥工业大学 | Method for recommending answering behavior |
| CN113590961B (en) * | 2021-08-03 | 2023-06-23 | 浙江工商大学 | Personalized exercise recommendation method, device and intelligent terminal based on cognition and state evaluation |
| CN113918825A (en) * | 2021-12-07 | 2022-01-11 | 北京世纪好未来教育科技有限公司 | Exercise recommendation method and device and computer storage medium |
| CN114201684B (en) * | 2021-12-15 | 2025-09-09 | 中山大学 | Knowledge graph-based self-adaptive learning resource recommendation method and system |
| CN114090839B (en) * | 2022-01-20 | 2022-05-03 | 华南师范大学 | Method, system, device and storage medium for learner cognitive structure processing |
| CN114998067B (en) * | 2022-05-19 | 2024-10-18 | 海信集团控股股份有限公司 | Study plan recommending method and electronic equipment |
| CN116541538B (en) * | 2023-07-06 | 2023-09-01 | 广东信聚丰科技股份有限公司 | Intelligent learning knowledge point mining method and system based on big data |
| CN117150151B (en) * | 2023-11-01 | 2024-02-20 | 之江实验室 | A system and method for wrong question analysis and test question recommendation based on large language model |
| CN119441610B (en) * | 2024-10-28 | 2025-07-25 | 江西师范大学 | System and method for acquiring and analyzing career data based on big data |
Citations (2)
| Publication number | Priority date | Publication date | Assignee | Title |
|---|---|---|---|---|
| CN109325130A (en) * | 2018-08-02 | 2019-02-12 | 华中师范大学 | A chronological cognitive diagnosis method and device |
| CN109509126A (en) * | 2018-11-02 | 2019-03-22 | 中山大学 | A kind of personalized examination question recommended method based on user's learning behavior |
Family Cites Families (1)
| Publication number | Priority date | Publication date | Assignee | Title |
|---|---|---|---|---|
| US20150242974A1 (en) * | 2014-02-24 | 2015-08-27 | Mindojo Ltd. | Adaptive e-learning engine with embedded datagraph structure |
-
2019
- 2019-09-19 CN CN201910890799.9A patent/CN110704732B/en active Active
Patent Citations (2)
| Publication number | Priority date | Publication date | Assignee | Title |
|---|---|---|---|---|
| CN109325130A (en) * | 2018-08-02 | 2019-02-12 | 华中师范大学 | A chronological cognitive diagnosis method and device |
| CN109509126A (en) * | 2018-11-02 | 2019-03-22 | 中山大学 | A kind of personalized examination question recommended method based on user's learning behavior |
Non-Patent Citations (1)
| Title |
|---|
| 基于认知诊断的协同过滤试题推荐;单瑞婷等;《计算机系统应用》;20180315(第03期);138-144 * |
Also Published As
| Publication number | Publication date |
|---|---|
| CN110704732A (en) | 2020-01-17 |
Similar Documents
| Publication | Publication Date | Title |
|---|---|---|
| CN110704732B (en) | Sequential exercise recommendation method and device based on cognitive diagnosis | |
| CN109903617B (en) | Personalized exercise method and system | |
| CN109509126A (en) | A kind of personalized examination question recommended method based on user's learning behavior | |
| CN111159419B (en) | Method, system and storage medium for knowledge tracking data processing based on graph convolution | |
| CN108694501A (en) | A kind of individualized learning effect analysis system and method towards xAPI | |
| CN111680216B (en) | A test question recommendation method, system, medium and equipment | |
| US20240177624A1 (en) | Learning management systems and methods therefor | |
| Geden et al. | Predictive student modeling in educational games with multi-task learning | |
| CN112527821A (en) | Student bloom mastery degree evaluation method, system and storage medium | |
| Minn et al. | Improving knowledge tracing model by integrating problem difficulty | |
| CN110659311A (en) | Topic pushing method and device, electronic equipment and storage medium | |
| CN115510286A (en) | A Multi-relational Cognitive Diagnosis Method Based on Graph Convolutional Network | |
| CN116894080A (en) | Model training methods, question answering methods, devices, equipment and media | |
| CN112988844B (en) | Knowledge concept representation learning method based on student exercise sequence | |
| CN111311997B (en) | Interaction method based on network education resources | |
| Cabo | Use of machine learning to identify predictors of student performance in writing viable computer programs with repetition loops and methods | |
| Kuk et al. | The design of the personal enemy-MIMLebot as an intelligent agent in a game-based learning environment | |
| Morrison | Comparing elo, glicko, irt, and bayesian irt statistical models for educational and gaming data | |
| CN113554910B (en) | Cognitive analysis method and device for learning object and electronic device thereof | |
| CN111080025A (en) | Learning feature data processing method and device and electronic equipment | |
| Hirose | More accurate evaluation of student’s ability based on a newly proposed ability equation | |
| Zhang | Cognitive Status Analysis for Recognizing and Managing Students’ Learning Behaviors. | |
| CN116705294A (en) | An Interpretable Dynamic Cognitive Diagnosis Method Based on Memory Networks | |
| CN112785039B (en) | Prediction method and related device for answer score rate of test questions | |
| CN112288145B (en) | Student score prediction method based on multi-view cognitive diagnosis |
Legal Events
| Date | Code | Title | Description |
|---|---|---|---|
| PB01 | Publication | ||
| PB01 | Publication | ||
| SE01 | Entry into force of request for substantive examination | ||
| SE01 | Entry into force of request for substantive examination | ||
| GR01 | Patent grant | ||
| GR01 | Patent grant |






































































