CN110630256B - A system and method for predicting wellhead water cut of low-production gas wells based on deep long-short-term memory network - Google Patents
A system and method for predicting wellhead water cut of low-production gas wells based on deep long-short-term memory network Download PDFInfo
- Publication number
- CN110630256B CN110630256B CN201910613947.2A CN201910613947A CN110630256B CN 110630256 B CN110630256 B CN 110630256B CN 201910613947 A CN201910613947 A CN 201910613947A CN 110630256 B CN110630256 B CN 110630256B
- Authority
- CN
- China
- Prior art keywords
- time
- frequency
- water content
- recursive
- wellhead
- Prior art date
- Legal status (The legal status is an assumption and is not a legal conclusion. Google has not performed a legal analysis and makes no representation as to the accuracy of the status listed.)
- Expired - Fee Related
Links
Images
Classifications
-
- E—FIXED CONSTRUCTIONS
- E21—EARTH OR ROCK DRILLING; MINING
- E21B—EARTH OR ROCK DRILLING; OBTAINING OIL, GAS, WATER, SOLUBLE OR MELTABLE MATERIALS OR A SLURRY OF MINERALS FROM WELLS
- E21B49/00—Testing the nature of borehole walls; Formation testing; Methods or apparatus for obtaining samples of soil or well fluids, specially adapted to earth drilling or wells
- E21B49/08—Obtaining fluid samples or testing fluids, in boreholes or wells
- E21B49/086—Withdrawing samples at the surface
-
- E—FIXED CONSTRUCTIONS
- E21—EARTH OR ROCK DRILLING; MINING
- E21B—EARTH OR ROCK DRILLING; OBTAINING OIL, GAS, WATER, SOLUBLE OR MELTABLE MATERIALS OR A SLURRY OF MINERALS FROM WELLS
- E21B49/00—Testing the nature of borehole walls; Formation testing; Methods or apparatus for obtaining samples of soil or well fluids, specially adapted to earth drilling or wells
- E21B49/08—Obtaining fluid samples or testing fluids, in boreholes or wells
- E21B49/087—Well testing, e.g. testing for reservoir productivity or formation parameters
- E21B49/0875—Well testing, e.g. testing for reservoir productivity or formation parameters determining specific fluid parameters
-
- G—PHYSICS
- G06—COMPUTING OR CALCULATING; COUNTING
- G06N—COMPUTING ARRANGEMENTS BASED ON SPECIFIC COMPUTATIONAL MODELS
- G06N3/00—Computing arrangements based on biological models
- G06N3/02—Neural networks
- G06N3/04—Architecture, e.g. interconnection topology
- G06N3/044—Recurrent networks, e.g. Hopfield networks
-
- G—PHYSICS
- G06—COMPUTING OR CALCULATING; COUNTING
- G06N—COMPUTING ARRANGEMENTS BASED ON SPECIFIC COMPUTATIONAL MODELS
- G06N3/00—Computing arrangements based on biological models
- G06N3/02—Neural networks
- G06N3/04—Architecture, e.g. interconnection topology
- G06N3/045—Combinations of networks
-
- G—PHYSICS
- G06—COMPUTING OR CALCULATING; COUNTING
- G06N—COMPUTING ARRANGEMENTS BASED ON SPECIFIC COMPUTATIONAL MODELS
- G06N3/00—Computing arrangements based on biological models
- G06N3/02—Neural networks
- G06N3/08—Learning methods
-
- G—PHYSICS
- G06—COMPUTING OR CALCULATING; COUNTING
- G06Q—INFORMATION AND COMMUNICATION TECHNOLOGY [ICT] SPECIALLY ADAPTED FOR ADMINISTRATIVE, COMMERCIAL, FINANCIAL, MANAGERIAL OR SUPERVISORY PURPOSES; SYSTEMS OR METHODS SPECIALLY ADAPTED FOR ADMINISTRATIVE, COMMERCIAL, FINANCIAL, MANAGERIAL OR SUPERVISORY PURPOSES, NOT OTHERWISE PROVIDED FOR
- G06Q10/00—Administration; Management
- G06Q10/04—Forecasting or optimisation specially adapted for administrative or management purposes, e.g. linear programming or "cutting stock problem"
-
- G—PHYSICS
- G06—COMPUTING OR CALCULATING; COUNTING
- G06Q—INFORMATION AND COMMUNICATION TECHNOLOGY [ICT] SPECIALLY ADAPTED FOR ADMINISTRATIVE, COMMERCIAL, FINANCIAL, MANAGERIAL OR SUPERVISORY PURPOSES; SYSTEMS OR METHODS SPECIALLY ADAPTED FOR ADMINISTRATIVE, COMMERCIAL, FINANCIAL, MANAGERIAL OR SUPERVISORY PURPOSES, NOT OTHERWISE PROVIDED FOR
- G06Q50/00—Information and communication technology [ICT] specially adapted for implementation of business processes of specific business sectors, e.g. utilities or tourism
- G06Q50/02—Agriculture; Fishing; Forestry; Mining
Landscapes
- Engineering & Computer Science (AREA)
- Physics & Mathematics (AREA)
- Life Sciences & Earth Sciences (AREA)
- Theoretical Computer Science (AREA)
- General Physics & Mathematics (AREA)
- Business, Economics & Management (AREA)
- Mining & Mineral Resources (AREA)
- Geology (AREA)
- General Health & Medical Sciences (AREA)
- Health & Medical Sciences (AREA)
- Strategic Management (AREA)
- Data Mining & Analysis (AREA)
- Computing Systems (AREA)
- General Engineering & Computer Science (AREA)
- Computational Linguistics (AREA)
- Mathematical Physics (AREA)
- Software Systems (AREA)
- Biophysics (AREA)
- Human Resources & Organizations (AREA)
- Economics (AREA)
- Biomedical Technology (AREA)
- Artificial Intelligence (AREA)
- Evolutionary Computation (AREA)
- Molecular Biology (AREA)
- Tourism & Hospitality (AREA)
- Geochemistry & Mineralogy (AREA)
- Environmental & Geological Engineering (AREA)
- General Business, Economics & Management (AREA)
- Fluid Mechanics (AREA)
- General Life Sciences & Earth Sciences (AREA)
- Marketing (AREA)
- Marine Sciences & Fisheries (AREA)
- Primary Health Care (AREA)
- Animal Husbandry (AREA)
- Agronomy & Crop Science (AREA)
- Development Economics (AREA)
- Game Theory and Decision Science (AREA)
- Entrepreneurship & Innovation (AREA)
- Operations Research (AREA)
- Quality & Reliability (AREA)
Abstract
Description
技术领域technical field
本发明属于原油生产领域,涉及低产气油井产液的含水率测量,尤其是一种基于深度长短时记忆网络的低产气油井井口含水率预测系统及方法。The invention belongs to the field of crude oil production, and relates to the measurement of water content of liquid produced in low-yield gas wells, in particular to a system and method for predicting the water content of low-yield oil wells based on a deep long-short-term memory network.
背景技术Background technique
在原油生产过程中,及时掌握与控制油井产液的含水率参数,不仅是可靠的估算原油净产量的前提,而且是对油井出现问题做出正确诊断及维护的依据,也是油藏开采模式调整的重要指导指标,因此对油井产液含水率参数的检测具有重要意义。当前,油田产液的超高含水特性对油井产液的含水率测量提出了新的要求,如何精确获取高含水油井产液的含水率信息成为了一个亟待解决的问题。目前,油井产液含水率的检测通常由特殊设计的传感器实现,其测量方法包括超声法、光学法、射线法、成像法、电导法和电法等。然而,现有的传感器测量效果在油井产液高含水率工况下尚不能达到要求,表现为传感器响应非线性及含水分辨率较低,且测量结果受矿化度影响较大;另外,油田作业中传统的化验法又受采样条件及采样频率的影响较大,测量周期也较长,难于实现实时测量。虽然通过神经网络或支持向量机等浅层网络,对油水两相流的含水率进行软测量有着广泛的应用,但是浅层网络结构在应用过程中需要对特征进行精心地设计,一般情况下浅层特征具有较强的主观性,模型对含水率的预测结果也会较大程度地受到所设计特征的影响。In the process of crude oil production, timely mastering and controlling the water cut parameters of oil well production is not only the prerequisite for reliable estimation of crude oil net production, but also the basis for correct diagnosis and maintenance of oil well problems, and is also the basis for the adjustment of reservoir production mode. Therefore, it is of great significance to the detection of water cut parameters in oil well production. At present, the ultra-high water cut characteristic of oilfield production fluid has put forward new requirements for the water cut measurement of oil well production fluid, how to accurately obtain the water cut information of high water cut oil well production fluid has become an urgent problem to be solved. At present, the detection of water cut in oil well production fluid is usually realized by specially designed sensors, and its measurement methods include ultrasonic method, optical method, ray method, imaging method, conductometric method and electrical method, etc. However, the measurement effect of existing sensors cannot meet the requirements under the condition of high water content in oil well production, which is characterized by nonlinear sensor response and low water cut resolution, and the measurement results are greatly affected by salinity; in addition, oil field The traditional assay method in the operation is greatly affected by the sampling conditions and sampling frequency, and the measurement cycle is also long, making it difficult to achieve real-time measurement. Although shallow networks such as neural networks and support vector machines are widely used for soft sensing of water cut in oil-water two-phase flow, the characteristics of shallow network structures need to be carefully designed during the application process. Layer characteristics are highly subjective, and the prediction results of the model for water content will also be greatly affected by the designed characteristics.
通过公开专利文献的检索,发现两篇与本专利申请的目的及技术方案相近的公开专利文献:Through the search of published patent documents, two published patent documents similar to the purpose and technical solution of this patent application were found:
1、一种特低渗透砂岩油藏油井投产初期含水率预测方法(109447342A),该方法包括:收集整理选定特低渗透砂岩油藏计算参数;利用有效应力与含水饱和度之间的函数关系预测特低渗透砂岩油藏油井投产初期含水率。该特低渗透砂岩油藏油井投产初期含水率预测方法为解释揭示该类型油藏油井投产初期即含水及预测油井投产初期含水率提供了理论依据,实现了特低渗透砂岩油藏油井投产初期含水率动态预测之目的,因而具有一定的理论及实际意义。1. A method (109447342A) for predicting water cut in an ultra-low permeability sandstone reservoir oil well at the initial stage of production, the method comprising: collecting and arranging the calculation parameters of the selected ultra-low permeability sandstone reservoir; utilizing the functional relationship between effective stress and water saturation Predict the initial water cut of wells in ultra-low permeability sandstone reservoirs. The water cut prediction method of the ultra-low permeability sandstone reservoir oil wells in the early stage of production provides a theoretical basis for explaining and revealing the water cut of oil wells in this type of reservoirs and predicting the water cut of oil wells in the early stage of production. Therefore, it has certain theoretical and practical significance.
2、一种基于时间序列的油井油液含水率多模型预测方法(105631554A),其特征在于,包括如下步骤:1)、利用历史数据建立油井油液含水率数据集为{xi, i=1,2,…,N};2)、采用小波分析方法对油井油液含水率数据集{xi,i=1,2,…,N} 中的数据进行预处理;3)、由近邻传播聚类算法将{xi}Wave进行分类;4)、将每个聚类中的数据由如下时间序列形式进行表示:5)、根据极端学习机算法建立每个聚类的时间序列模型并利用该时间序列模型得到预测值。其解决了现有油井油液含水率人工取样费时费力、影响生产监控和采油数据的实时性的问题。2. A time-series-based multi-model prediction method for water content of oil well oil (105631554A), characterized in that it comprises the following steps: 1) Using historical data to establish a data set of water content of oil well oil as {xi, i=1 ,2,…,N}; 2), use wavelet analysis method to preprocess the data in the oil well oil water cut data set {xi,i=1,2,…,N}; 3), use the nearest neighbor propagation to gather class algorithm to classify {xi}Wave; 4), express the data in each cluster by the following time series form: 5), establish the time series model of each cluster according to the extreme learning machine algorithm and use the time series Sequence models get predicted values. It solves the problems of time-consuming and labor-intensive manual sampling of the water content of oil in existing oil wells, and affects the real-time performance of production monitoring and oil recovery data.
通过技术特征的对比,对比文件1中,采用的油藏计算参数及方式也与本发明申请有根本性的不同;而对比文件2,虽然采用了时间序列方式进行含水率的预测,但其含水率模型及方式与本发明申请有根本性的不同,因此不会对本发明申请产生实质性的创造性影响。Through the comparison of technical features, in
发明内容Contents of the invention
本发明的目的在于克服现有技术的不足之处,提供一种基于深度长短时记忆网络的低产气油井井口含水率预测系统及方法,通过该系统及方法可捕获含水率的时序变化信息,可实现对油井产液特别是高含水油井产液的含水率的精确预测。The purpose of the present invention is to overcome the deficiencies of the prior art, to provide a low-production gas well head water cut prediction system and method based on deep long-short-term memory network, through which the time-series change information of water cut can be captured, and can Realize the accurate prediction of the water cut of oil well production fluid, especially high water cut oil well production fluid.
本发明的目的是这样实现的:The purpose of the present invention is achieved like this:
一种基于深度长短时记忆网络的低产气油井井口含水率预测系统,由双环式高频电容传感器、含水率多元时序特征提取模块及基于长短时记忆网络的井口含水率预测网络组成,所述双环式电容传感器用于来获取井口含水率信息,所述含水率多元时序特征提取模块的高频正弦激励信号源产生激励信号,通过功分器送至双环式电容传感器的环状测量电极进行扫频,环状测量电极将扫频测得的含水率数据经激励后进入混频器进行信号混频,混频后的信号经加法器及电压偏置后,得到含水率时序特征向量;所述基于深度长短时记忆网络的井口含水率预测网络对获得的含水率多元时序特征向量按照时间顺序进行拼接,作为深度长短时记忆神经网络的输入向量,深度长短时记忆神经网络内部有LSTM单元,单元内部又分别有三个函数的:输入门、遗忘门、输出门,深度长短时记忆神经网络单元共有6层,采用Softmax分类函数作为输出函数,输出预测值。A wellhead water cut prediction system for low-production gas wells based on a deep long-term and short-term memory network. The type capacitive sensor is used to obtain the water content information of the wellhead, and the high-frequency sinusoidal excitation signal source of the multivariate time-series feature extraction module of the water content generates the excitation signal, which is sent to the annular measuring electrode of the double-ring type capacitive sensor through the power divider for frequency sweeping , the water content data measured by the ring-shaped measuring electrode is excited and entered into the mixer for signal mixing, and the mixed signal is subjected to an adder and a voltage bias to obtain a time-series feature vector of the water content; The wellhead moisture content prediction network of the deep long short-term memory network splices the obtained multivariate time-series feature vectors of water content in chronological order as the input vector of the deep long short-term memory neural network. There is an LSTM unit inside the deep long short-term memory neural network. There are three functions: input gate, forget gate, and output gate. The deep long-short-term memory neural network unit has 6 layers. The Softmax classification function is used as the output function to output the predicted value.
而且,所述双环式电容传感器由不锈钢金属保护壳和内部传感器管道组成,不锈钢金属保护壳两端设置有左法兰、右法兰,其中右法兰与左法兰所在的金属保护壳为螺纹连接,金属保护壳两端与井口管道连接,在不锈钢金属保护壳侧壁径向开有的引线孔,不锈钢金属保护壳内部同轴镶装有一呢绒材质的内部传感器管道,在内部传感器管道外壁上间隔安装有两个环状测量电极,在环状测量电极外侧安装有电磁屏蔽层,内部传感器管道通过两侧端面的O型圈与金属外壳压紧密封。Moreover, the double-ring capacitive sensor is composed of a stainless steel metal protective shell and an internal sensor pipe. The two ends of the stainless steel metal protective shell are provided with a left flange and a right flange, wherein the metal protective shell where the right flange and the left flange are located is threaded. Connection, the two ends of the metal protective shell are connected with the wellhead pipeline, and there are lead holes radially opened on the side wall of the stainless steel metal protective shell, and an internal sensor pipe made of woolen material is coaxially inlaid inside the stainless steel metal protective shell, and on the outer wall of the internal sensor pipe Two ring-shaped measuring electrodes are installed at intervals, and an electromagnetic shielding layer is installed outside the ring-shaped measuring electrodes, and the internal sensor pipe is compressed and sealed with the metal casing through the O-rings on both sides of the end face.
而且,所述含水率多元时序特征提取模块的窗函数采用窗口大小为1000的不重叠窗,以对含水率信号进行多次分割,提取不同时间段的含水率多元特征序列,将含水率多元特征序列的片段采用WVD分布得到时频域矩阵,采用递归图分析方法对信号进行处理,得到递归图矩阵,对时频域矩阵分别提取时频能量、时频熵特征,对递归图矩阵分别提取递归率、确定性、平均对角线长度、层次性、时间不可逆量特征,所提取的特征向量共计上述七个特征参数。Moreover, the window function of the multivariate time-series feature extraction module for moisture content adopts non-overlapping windows with a window size of 1000 to divide the moisture signal multiple times, extract the multivariate feature sequences of moisture in different time periods, and convert the multivariate features of moisture into The fragments of the sequence are distributed by WVD to obtain the time-frequency domain matrix, and the recursive graph analysis method is used to process the signal to obtain the recursive graph matrix. The time-frequency energy and time-frequency entropy features are respectively extracted from the time-frequency domain matrix, and the recursive Rate, certainty, average diagonal length, hierarchy, and time irreversible features, the extracted feature vectors total the above seven feature parameters.
一种基于深度长短时记忆神经网络的低产气油井井口含水率的预测方法,包括如下步骤:A method for predicting wellhead water cut of low-production gas wells based on deep long-short-term memory neural network, comprising the following steps:
⑴双环式高频电容传感器安装和工作参数设定:⑴Installation and working parameter setting of double-loop high-frequency capacitive sensor:
将传感器安装于井口下降管道,对传感器进行扫频操作,以确定传感器的最佳工作频率;当传感器最佳工作频率确定之后,采用高频正弦激励信号源对环状测量电极进行激励,测量微波信号经过传感器后的幅值衰减和相位衰减作为含水率原始测量信息;双环式高频电容传感器对井口含率的测量采用连续式测量方式,采样频率设定为每分钟10次,测量数据为典型的反应含率变化的时间序列;Install the sensor in the wellhead descending pipeline, and perform a frequency sweep operation on the sensor to determine the optimal operating frequency of the sensor; when the optimal operating frequency of the sensor is determined, use a high-frequency sinusoidal excitation signal source to excite the ring-shaped measuring electrode to measure the microwave The amplitude attenuation and phase attenuation of the signal after passing through the sensor are used as the original measurement information of water cut; the double-ring high-frequency capacitive sensor adopts a continuous measurement method for the measurement of wellhead cut-up, and the sampling frequency is set at 10 times per minute, and the measurement data is typical The time series of the response holdup change of ;
⑵传感器采集信号的预处理⑵ Preprocessing of sensor acquisition signal
对信号进行加窗分割,窗函数分割信号设置窗口大小为1000,窗口之间无重叠窗口,分割得到的即为当前时间段的一维时间序列,多次分割可提取不同时间段的含水率多元特征序列,将每个串口分割信号中的数值按照时间方向取出得到含水率多元特征序列;特征提取模块将得到的含水率波动序列片段进行时频联合分布与递归图分析,得到时频图矩阵与递归图矩阵,通过计算得到每个片段的对应特征向量;该多元时序特征向量包含7个维度,分别是时频能量、时频熵、递归率、递归确定性、递归平均对角线长度、递归层次性、时间不可逆量;这7 个维度的特征提取方法如下:Carry out window segmentation on the signal. The window function segmentation signal sets the window size to 1000, and there is no overlapping window between the windows. The result of segmentation is the one-dimensional time series of the current time period. Multiple segmentations can extract the multivariate moisture content of different time periods. The feature sequence, the value in each serial port segmentation signal is taken out according to the time direction to obtain the multivariate feature sequence of water content; the feature extraction module performs time-frequency joint distribution and recursive graph analysis on the obtained water content fluctuation sequence segment, and obtains the time-frequency graph matrix and Recursive graph matrix, the corresponding eigenvector of each segment is obtained by calculation; the multivariate time series eigenvector contains 7 dimensions, namely time-frequency energy, time-frequency entropy, recursion rate, recursion certainty, recursion average diagonal length, recursion Hierarchy, time irreversibility; the feature extraction methods of these 7 dimensions are as follows:
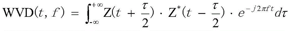
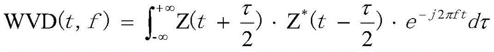
首先对采集、处理后的信号进行时频域分析,对每个加窗分割后的时序片段进行Wigner-Ville分布;首先对信号进行希尔伯特变换,然后通过公式:First, time-frequency domain analysis is performed on the collected and processed signal, and Wigner-Ville distribution is performed on each windowed and segmented time series segment; first, the Hilbert transform is performed on the signal, and then the formula is used:
其中f为频率,t为时间,τ为时延,z(t)为原始信号的解析形式,所得到不同时间片段下的时频图,之后,对时频图矩阵求时频能量与时频熵;其中:Where f is the frequency, t is the time, τ is the time delay, z(t) is the analytical form of the original signal, and the time-frequency diagrams obtained under different time segments are obtained. After that, the time-frequency energy and time-frequency are calculated for the time-frequency diagram matrix Entropy; where:
时频能量:计算加窗时间片段的时频分布为P(t,f),则时频能量E可通过Time-frequency energy: Calculate the time-frequency distribution of the windowed time segment as P(t,f), then the time-frequency energy E can be passed
如下方式计算:Calculated as follows:
时频熵:计算加窗时间片段的时频分布为P(t,f),将时频平面的划分为NTime-frequency entropy: Calculate the time-frequency distribution of the windowed time segment as P(t,f), and divide the time-frequency plane into N
块大小相等的矩形设每块的能量为Pi,整个时频平面的能量为E,则时频熵For rectangles with equal block sizes, set the energy of each block as P i , and the energy of the entire time-frequency plane as E, then the time-frequency entropy
可以由以下方式计算:Can be calculated by:
随后对采集、处理后的信号进行递归域定量分析,递归定量分析指标包括递归率、确定性、平均对角线长度、层次性和时间不可逆量;其中:Then carry out recursive domain quantitative analysis on the collected and processed signals, and the recursive quantitative analysis indicators include recursion rate, certainty, average diagonal length, hierarchy and time irreversibility; among them:
递归率:计算加窗时间片段的递归矩阵RR,则递归率为递归图平面中递归点占平面可容纳总点数的百分比,可由以下方式计算:Recursion rate: Calculate the recursion matrix RR of the windowed time segment, then the recursion rate is the percentage of the recursion points in the recursion graph plane to the total number of points that the plane can hold, which can be calculated by the following method:
它表明了在m维相空间中彼此靠近的相空间点占总点数的比例;It indicates the proportion of phase space points close to each other in the m-dimensional phase space to the total number of points;
确定性:计算加窗时间片段的递归矩阵RR,则确定性为构成沿对角线方向线段的递归点占所有递归点数的百分比,可由以下方式计算:Certainty: Calculate the recurrence matrix RR of the windowed time segment, then the certainty is the percentage of the recursive points constituting the line segment along the diagonal direction to all the recursive points, which can be calculated by the following method:
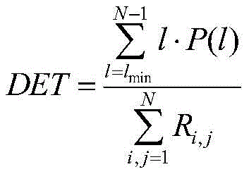
式中,为长度为l的线段数,只有对角线方向线段的长度大于预先给定的下限lmin时才开始计数,lmin一般选择为不小于2的整数,DET将递归图中孤立的递归点和有组织的形成连续对角线方向线段的递归点区分开来,递归图中沿主对角线的线条纹理越发育,表明系统的确定性就越强;In the formula, is the number of line segments with length l, counting starts only when the length of the line segment in the diagonal direction is greater than the predetermined lower limit l min , l min is generally selected as an integer not less than 2, DET will recursively isolate the Recursive points are distinguished from organized recursive points that form continuous diagonal line segments. The more developed the line texture along the main diagonal in the recursive graph, the stronger the certainty of the system;
平均对角线长度:计算加窗时间片段的递归矩阵RR,确定性是对角线方向线段长度的加权平均值,可由以下方式计算:Average diagonal length: Calculate the recursive matrix RR of the windowed time segment. The certainty is the weighted average of the length of the line segment in the diagonal direction, which can be calculated by the following method:
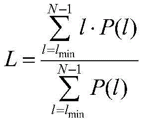
平均对角线长度L表示相空间轨迹中互相靠近的两段相轨迹的时间长度,或者表示为系统的平均周期,主对角线并不计算在内。L越大,表明系统的确定性就越强;The average diagonal length L represents the time length of two phase trajectories close to each other in the phase space trajectory, or expressed as the average period of the system, and the main diagonal is not included. The larger L is, the stronger the certainty of the system is;
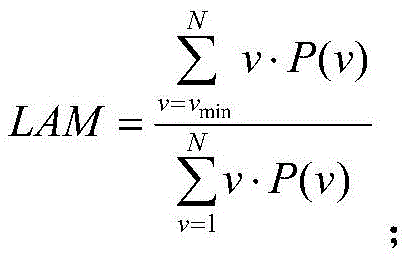
层次性:计算加窗时间片段的递归矩阵RR,层次性是构成垂直方向线段的递归点占所有递归点数的百分比,可由以下方式计算:Hierarchy: Calculate the recursion matrix RR of the windowed time segment. Hierarchy is the percentage of recursion points constituting the vertical line segment to all recursion points, which can be calculated by the following method:
时间不可逆量:首先将原始时间序列x(t)转换为增量时间序列y(t),其表示Time irreversible quantity: first convert the original time series x(t) into incremental time series y(t), which represents
如下:as follows:
y(i)=Δu(i)=x(i+1)-x(i),1<i≤Ny(i)=Δu(i)=x(i+1)-x(i), 1<i≤N
则时间不可逆量可由以下方式计算:Then the time irreversible quantity can be calculated by the following way:
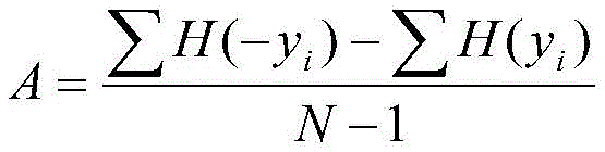
其中,A表示非线性耗散系统的时间不可逆量,yi为原始时间序列的增量时Among them, A represents the time irreversible quantity of the nonlinear dissipative system, y i is the incremental time of the original time series
间序列,N为信号的长度,H(*)为符号函数;Between sequences, N is the length of the signal, H(*) is a sign function;
⑶特征向量的拼接及深度长短时记忆神经网络预测(3) Splicing of feature vectors and deep long short-term memory neural network prediction
①对不同信号片段的特征向量按照时间方向进行拼接,组成了含水率多元时序特征向量;① The eigenvectors of different signal segments are spliced according to the time direction to form a multivariate time-series eigenvector of water content;
②将含水率多元时序特征向量作为深度长短时记忆神经网络的训练数据,输入网络模型中进行训练;深度长短时记忆神经网络共采用6层LSTM单元,设置深度长短时记忆神经网络超参数,通过最大迭代次数10,000次结束训练,其中批尺寸为100,时间步为150,LSTM单元数量为128;每一个LSTM单元内部存在三个函数,分别为输入门函数、遗忘门函数与输出门函数,其中输入门决定让多少当前时刻输入值信息加入到LSTM单元状态中来,遗忘门决定从LSTM 状态中丢弃多少信息,输出门根据当前LSTM单元状态,确定需要输出什么值;其公式分别如下:②The multivariate time-series feature vector of water content is used as the training data of the deep short-term memory neural network, which is input into the network model for training; the deep long-term short-term memory neural network uses a total of 6 layers of LSTM units, and the hyperparameters of the deep long-term short-term memory neural network are set. The maximum number of iterations is 10,000 times to end the training, where the batch size is 100, the time step is 150, and the number of LSTM units is 128; there are three functions inside each LSTM unit, which are input gate function, forget gate function and output gate function. The input gate determines how much input value information at the current moment is added to the LSTM unit state, the forget gate determines how much information is discarded from the LSTM state, and the output gate determines what value needs to be output according to the current LSTM unit state; the formulas are as follows:
inputt=σ(Wi*[ht-1,xt]+bi)input t = σ(W i *[h t-1 , x t ]+b i )
forgett=σ(Wf*[ht-1,xt]+bf)forget t =σ(W f *[h t-1 ,x t ]+b f )
outputt=σ(WO*[ht-1,xt]+bo)output t = σ(W O *[h t-1 , x t ]+b o )
其中Wi、Wf和WO分别代表了输入门、遗忘门和输出门对应的权重参数,bi、 bf和bo分别对应偏置项,ht-1为上一时刻的LSTM单元内部状态,xt为当前时刻的输入值;Among them, W i , W f and W O represent the weight parameters corresponding to the input gate, forget gate and output gate respectively, b i , b f and b o correspond to the bias items respectively, and h t-1 is the LSTM unit at the previous moment Internal state, x t is the input value at the current moment;
含水率多元时序特征向量t1输入第一层LSTM单元后,都要经过上述三种门函数的计算,并确定该LSTM输出;计算完当前时刻的特征序列后,LSTM单元向下一时刻t2移动,重复上述过程并计算输出;计算完第一层LSTM单元后,将第一层的输出向量作为第二层LSTM单元的输入向量,过程同上;每一层 LSTM单元的输出为下一层的输入;After the water content multivariate time-series feature vector t1 is input to the first layer of LSTM units, it must go through the calculation of the above three gate functions and determine the output of the LSTM; after calculating the feature sequence at the current moment, the LSTM unit moves to the next moment t2, Repeat the above process and calculate the output; after calculating the first layer of LSTM units, the output vector of the first layer is used as the input vector of the second layer of LSTM units, the process is the same as above; the output of each layer of LSTM units is the input of the next layer;
训练过程中,多维特征时序信号按照时间依次输入深度长短时记忆网络中的LSTM单元内进行训练,训练过程通过深度长短时记忆神经网络预测分类值,并与实际井口含水率化验值进行对比;During the training process, the multi-dimensional feature time-series signals are input into the LSTM unit in the deep long short-term memory network in sequence according to time for training. During the training process, the classification value is predicted by the deep long short-term memory neural network and compared with the actual wellhead moisture test value;
③通过Softmax函数进行评判,将评判结果反向传递回深度长短时记忆神经网络并逐层更新网络参数;Softmax函数它能将一个含任意实数的K维向量Z压缩到另一个K维实向量σ(Z)中,使得每一个元素的范围都在(0,1)之间,并且所有元素的和为1,Softmax形式为: ③Use the Softmax function to judge, pass the judgment result back to the deep long short-term memory neural network and update the network parameters layer by layer; the Softmax function can compress a K-dimensional vector Z containing any real number to another K-dimensional real vector σ In (Z), the range of each element is between (0,1), and the sum of all elements is 1, and the Softmax form is:
其中,j=1,…,K,i表示K中的某个分类,zj表示该分类的值;Among them, j=1,...,K, i represents a category in K, and z j represents the value of this category;
④训练好的模型可进行含水率预测④The trained model can predict the moisture content
预测时,将多维特征时序信号输入深度长短时记忆网络后,Softmax函数输出值为当前信号的含水率。When predicting, after inputting the multi-dimensional feature time series signal into the deep long-short-term memory network, the output value of the Softmax function is the water content of the current signal.
本发明的优点和积极效果是:Advantage and positive effect of the present invention are:
1、本发明系统所采用的双环式电容传感器,可快速、准确获得含水率序列波动信号;对信号的加窗处理,可提取不同时间段的含水率多元特征序列;加窗信号的时频域和递归域分析后得到多元特征值,可突出信号的多维特征;深度长短时记忆(LSTM)神经网络对多维特征序列的训练,可精确预测出井口含水率值。1. The double-loop capacitive sensor adopted in the system of the present invention can quickly and accurately obtain the fluctuation signal of the water content sequence; the windowing processing of the signal can extract the multiple characteristic sequences of the water content in different time periods; the time-frequency domain of the windowing signal Multivariate eigenvalues can be obtained after recursive domain analysis, which can highlight the multidimensional characteristics of the signal; deep long short-term memory (LSTM) neural network training for multidimensional feature sequences can accurately predict the water cut value of the wellhead.
2、本发明系统所采用的双环式电容传感器安装在井口下降管道,可直接对尽快够产液的含水率进行计量,所测量值能够较为真实的反应被测量油井的产液情况,对指导油田优化管理具有重要意义。相较于现有传感器具有更强的稳定性,屏蔽层可有效屏蔽微波的散射与外界电磁波干扰,将信号锁定在有范围内。该传感器可有效、精准测量低产气油井管道内部气液流动状况。2. The double-ring capacitive sensor used in the system of the present invention is installed in the wellhead descending pipeline, which can directly measure the water content of the liquid produced as soon as possible. Optimal management is of great significance. Compared with existing sensors, it has stronger stability, and the shielding layer can effectively shield microwave scattering and external electromagnetic wave interference, and lock the signal within a certain range. The sensor can effectively and accurately measure the gas-liquid flow inside the low gas production oil well pipeline.
3、本发明系统采用深度长短时记忆(LSTM)神经网络,非常适合用于处理与时间序列高度相关的问题,其相较于传统识别方式,如支持向量机(SVM)、递归神经网络(RNN)等,可有效避免梯度消失和梯度爆炸等问题,同时他内部的三个门函数可增强网络学习能力,可比上述网络模型预测准确率提高5%-10%左右。3. The system of the present invention adopts a deep long-short-term memory (LSTM) neural network, which is very suitable for dealing with problems highly related to time series. Compared with traditional recognition methods, such as support vector machine (SVM), recursive neural network (RNN ), etc., can effectively avoid problems such as gradient disappearance and gradient explosion, and at the same time, the three internal gate functions can enhance the network learning ability, which can increase the prediction accuracy by about 5%-10% compared with the above network model.
4、本发明方法提取传感器测量时序信号进行取值作为特征,并将每一个含水率波动序列片段的特征进行拼接,拼接后的特征即为该信号片段的特征向量,该特征向量蕴含了丰富的井口含水率信息,将该时序特征输入到深度长短时记忆网络,可捕获含水率变化的基本特征与规律,为含水率预测模型的建立提供了丰富的特征,相较于使用原始信号直接进行含水率预测,该特征提取方法能更好的得到信号在不同空间中的特征信息,可突出、强化信号的特征特点。4. The method of the present invention extracts the time series signal measured by the sensor to take values as features, and splices the features of each water content fluctuation sequence segment. The spliced feature is the feature vector of the signal segment, and the feature vector contains a wealth of information. Wellhead water cut information, input the time series features into the deep long short-term memory network, can capture the basic characteristics and rules of water cut change, and provide rich features for the establishment of water cut prediction model, compared with using the original signal to directly calculate the water cut Rate prediction, this feature extraction method can better obtain the feature information of the signal in different spaces, and can highlight and strengthen the feature characteristics of the signal.
5、本发明方法从完成了信号采集传感器的设计到使用深度长短时记忆 (LSTM)神经网络进行井口含水率预测,该流程严谨、可行,得到含水率预测值准确,网络模型较小从而降低了计算资源。由于含水率时序特征蕴含了丰富的流动特征,因此本发明所提出的模型可达到较高的含水率预测精度,预测准确率可达97%以上。相较于传统的含水率预测方法,本发明方法具有速度快、准确度高、计算资源消耗小、消除人为主观因素等优点。5. The method of the present invention has completed the design of the signal acquisition sensor and used the deep long short-term memory (LSTM) neural network to predict the water content of the wellhead. The process is rigorous and feasible, and the predicted value of the water content is accurate. computing resources. Since the time-series characteristics of the moisture content contain abundant flow characteristics, the model proposed by the invention can achieve high prediction accuracy of the moisture content, and the prediction accuracy rate can reach more than 97%. Compared with the traditional water content prediction method, the method of the present invention has the advantages of fast speed, high accuracy, low calculation resource consumption, elimination of human subjective factors and the like.
附图说明Description of drawings
图1为本发明用于井口产液含率测量的双环式高频电容传感器结构图;Fig. 1 is the structural diagram of the double-ring type high-frequency capacitive sensor that the present invention is used for the measurement of wellhead liquid production holdup;
图2为本发明井口含水率电气控制及加窗分割的示意图;Fig. 2 is the schematic diagram of electrical control of wellhead moisture content and windowing division of the present invention;
图2-1为图2的信号图的放大示意图;Figure 2-1 is an enlarged schematic diagram of the signal diagram in Figure 2;
图3为本发明井口含水率特征提取示意图;Fig. 3 is a schematic diagram of feature extraction of wellhead moisture content of the present invention;
图4为本发明的含水率特征预测的流程图。Fig. 4 is a flow chart of water content feature prediction in the present invention.
具体实施方式Detailed ways
下面结合实施例对本发明进一步说明:下述实施例是说明性的,不是限定性的,不能以下述实施例来限定本发明的保护范围。The present invention is further described below in conjunction with embodiment: following embodiment is illustrative, not limiting, can not limit protection scope of the present invention with following embodiment.
一种基于深度长短时记忆网络的低产气油井井口含水率预测系统,由双环式高频电容传感器、含水率多元时序特征提取模块及基于长短时记忆网络的井口含水率预测网络组成。A wellhead water cut prediction system for low-production gas wells based on a deep long-short-term memory network, which consists of a double-ring high-frequency capacitive sensor, a water-cut multivariate time-series feature extraction module, and a wellhead water-cut prediction network based on a long-short-term memory network.
所述双环式电容传感器用于来获取井口含水率信息,其结构如图1所示,由不锈钢金属保护壳和内部传感器管道3组成,不锈钢金属保护壳两端为公称直径 DN50的左法兰1、右法兰9,其中右法兰与左法兰所在的金属保护壳为螺纹8 连接,以便于安装内部传感器管道。金属保护壳两端与井口管道连接,在不锈钢金属保护壳侧壁径向开有内径为18mm的引线孔5,用于传感器电极与外部测量计算仪表的连接线通道;不锈钢金属保护壳内部同轴镶装有一内径为50mm的呢绒材质的内部传感器管道,用于井口油水混合液的传输;在内部传感器管道外壁上间隔安装有两个环状测量电极6,用于油水混合液的含水率测量。同时,在环状测量电极外侧安装有电磁屏蔽层4,以提高传感器测量效果。内部传感器管道通过两侧端面的O型圈2与金属外壳压紧密封,用以防止井口产液的泄露。The double-ring capacitive sensor is used to obtain wellhead water content information. Its structure is shown in Figure 1. It consists of a stainless steel metal protective shell and an internal sensor pipe 3. The two ends of the stainless steel metal protective shell are left
本实施例中,不锈钢金属保护壳法兰间距为330mm,传感器内的呢绒管道长度为310mm,传感器管道通径为50mm,呢绒管道壁厚80mm,环状测量电极内径80mm,外径85mm,两个环状测量电极间距50mm,电磁屏蔽层为厚度为 1mm的金属铜板,卷焊为圆柱筒,长度为90mm,内径为90mm,与呢绒管道之间有有机玻璃环7支撑。In this embodiment, the distance between the flanges of the stainless steel metal protective shell is 330mm, the length of the woolen pipe in the sensor is 310mm, the diameter of the sensor pipe is 50mm, the wall thickness of the woolen pipe is 80mm, the inner diameter of the annular measuring electrode is 80mm, the outer diameter is 85mm, two The distance between the ring-shaped measuring electrodes is 50mm, the electromagnetic shielding layer is a metal copper plate with a thickness of 1mm, and it is rolled and welded into a cylindrical tube with a length of 90mm and an inner diameter of 90mm, supported by a plexiglass ring 7 between the woolen pipe and the pipe.
所述含水率多元时序特征提取模块,如图2、3所示。图2中,高频正弦激励信号源产生激励信号,通过功分器送至传感器的环状测量电极进行扫频,环状测量电极将扫频测得的含水率数据经激励后进入混频器进行信号混频,混频后的信号经加法器及电压偏置后,得到含水率多元特征序列。本实施例中,信号的窗函数采用窗口大小为1000的不重叠窗,由此可对含水率信号进行多次分割,多次分割可以提取不同时间段的含水率多元特征序列。将含水率多元特征序列的片段采用WVD分布(时频联合分布)即得到时频域矩阵,采用递归图分析方法对信号进行处理,得到递归图矩阵,参见图3。对时频域矩阵分别提取时频能量、时频熵特征,对递归图矩阵分别提取递归率、确定性、平均对角线长度、层次性、时间不可逆量特征,所提取的含水率多元时序特征向量共计上述七个特征参数。The multivariate time-series feature extraction module of water content is shown in Fig. 2 and Fig. 3 . In Figure 2, the high-frequency sinusoidal excitation signal source generates the excitation signal, which is sent to the ring-shaped measuring electrode of the sensor through the power divider for frequency sweeping, and the ring-shaped measuring electrode sends the water content data measured by the frequency sweep to the mixer after being excited. The signal is mixed, and the mixed signal is subjected to an adder and a voltage bias to obtain a multivariate characteristic sequence of water content. In this embodiment, the window function of the signal adopts a non-overlapping window with a window size of 1000, so that the water content signal can be segmented multiple times, and multiple feature sequences of water content in different time periods can be extracted through multiple segmentations. The time-frequency domain matrix is obtained by using the WVD distribution (joint time-frequency distribution) for the fragments of the multivariate feature sequence of water content, and the recursive graph analysis method is used to process the signal to obtain the recursive graph matrix, see Figure 3. The time-frequency energy and time-frequency entropy features are extracted for the time-frequency domain matrix, and the recurrence rate, certainty, average diagonal length, hierarchy, and time irreversible features are extracted for the recursive graph matrix. The extracted multivariate time series features of water content The vector totals the above seven feature parameters.
提取时频域矩阵与递归图矩阵进行定量分析,具有较强先进性,可将信号在不同维度进行分析,对不同维度的特征进行提取,这相较于直接把信号作为数据源,不仅增加了其维度,而且突出和增强了信号的特征。Extracting the time-frequency domain matrix and recursive graph matrix for quantitative analysis is highly advanced. It can analyze signals in different dimensions and extract features of different dimensions. Compared with directly using signals as data sources, it not only increases Its dimensions, but also highlight and enhance the characteristics of the signal.
所述基于深度长短时记忆网络的井口含水率预测网络,对获得的含水率多元时序特征向量按照时间顺序进行拼接,作为深度长短时记忆(即LSTM)神经网络的输入向量,其结构如图4所示。深度长短时记忆(LSTM)神经网络内部有 LSTM单元,单元内部又分别有三个函数的:输入门、遗忘门、输出门。LSTM单元共有6层。采用Softmax分类函数作为输出函数,输出预测值。预测真值为井口含水率化验值,用于反向修正深度长短时记忆(LSTM)网络内部参数,达到预测目的。The wellhead moisture prediction network based on the deep long-short-term memory network splices the multivariate time-series feature vectors of the obtained moisture content in chronological order as the input vector of the deep long-short-term memory (LSTM) neural network, and its structure is shown in Figure 4 shown. There are LSTM units inside the deep long short-term memory (LSTM) neural network, and there are three functions inside the unit: input gate, forget gate, and output gate. There are 6 layers of LSTM units. The Softmax classification function is used as the output function to output the predicted value. The predicted true value is the test value of water cut at the wellhead, which is used to reversely correct the internal parameters of the deep long-short-term memory (LSTM) network to achieve the purpose of prediction.
一种基于深度长短时记忆(LSTM)神经网络的低产气油井井口含水率预测方法,包括如下步骤:A method for predicting wellhead water cut in low-production gas wells based on deep long-short-term memory (LSTM) neural network, comprising the following steps:
⑴双环式高频电容传感器安装和工作参数设定⑴Installation and working parameter setting of double-loop high-frequency capacitive sensor
将传感器安装于井口下降管道,通过DN50法兰连接接入管道。随后对传感器进行扫频操作,以确定传感器的最佳工作频率。设定传感器的扫频段为 0.8Ghz-10GHz,为微波波段。当传感器最佳工作频率确定之后,以该频率对环状测量电极进行激励,测量微波信号经过传感器后的幅值衰减和相位衰减作为含水率原始测量信息。双环式高频电容传感器对井口含率的测量采用连续式测量方式,采样频率设定为每分钟10次,测量数据为典型的反应含率变化的时间序列,传感器测量时序值可通过无线传输方式上传到服务器进行存储与分析操作。Install the sensor on the downpipe at the wellhead and connect it to the pipeline through a DN50 flange. A frequency sweep is then performed on the sensor to determine the optimum operating frequency for the sensor. Set the scanning frequency band of the sensor to 0.8Ghz-10GHz, which is the microwave band. When the optimum working frequency of the sensor is determined, the ring-shaped measuring electrode is excited at this frequency, and the amplitude attenuation and phase attenuation of the microwave signal after passing through the sensor are measured as the original measurement information of the water content. The double-ring high-frequency capacitive sensor adopts a continuous measurement method for the measurement of the wellhead holdup, and the sampling frequency is set at 10 times per minute. The measurement data is a typical time series of response to the change of holdup, and the sensor measurement time series value can be transmitted through wireless Upload to the server for storage and analysis operations.
⑵传感器采集信号的预处理⑵ Preprocessing of sensor acquisition signal
对信号进行加窗分割,如图2右侧,窗函数分割信号设置窗口大小为1000,窗口之间无重叠窗口,分割得到的即为当前时间段的一维时间序列,多次分割可提取不同时间段的含水率多元特征序列,将每个串口分割信号中的数值按照时间方向取出得到含水率多元特征序列。特征提取模块将得到的含水率波动序列片段进行时频联合分布与递归图分析如图3所示,得到时频图矩阵与递归图矩阵,通过相应公式计算得到每个片段的对应特征向量;该多元时序特征向量包含7个维度,分别是时频能量、时频熵、递归率、递归确定性、递归平均对角线长度、递归层次性、时间不可逆量。这7个维度的特征提取方法如下:Carry out window segmentation on the signal, as shown on the right side of Figure 2, the window function segmentation signal sets the window size to 1000, and there is no overlapping window between the windows. The result of segmentation is the one-dimensional time series of the current time period. For the multivariate feature sequence of water content in the time period, the value in each serial port segmentation signal is taken out according to the time direction to obtain the multivariate feature sequence of water content. The feature extraction module performs time-frequency joint distribution and recursive graph analysis on the obtained water content fluctuation sequence segments, as shown in Figure 3, and obtains the time-frequency graph matrix and the recursive graph matrix, and calculates the corresponding feature vector of each segment through the corresponding formula; The multivariate time series feature vector contains 7 dimensions, which are time-frequency energy, time-frequency entropy, recursion rate, recursion certainty, recursion average diagonal length, recursion hierarchy, and time irreversibility. The feature extraction method of these 7 dimensions is as follows:
首先对采集、处理后的信号进行时频域分析,对每个加窗分割后的时序片段进行Wigner-Ville分布(WVD)。首先对信号进行希尔伯特变换(Hilbert transform),然后通过公式:First, time-frequency domain analysis is performed on the collected and processed signals, and Wigner-Ville distribution (WVD) is performed on each time series segment after windowing and segmentation. First perform Hilbert transform on the signal, and then pass the formula:
(其中f为频率,t为时间,τ为时延,z(t)为原始信号的解析形式)(where f is the frequency, t is the time, τ is the time delay, and z(t) is the analytical form of the original signal)
得到不同时间片段下的时频图,之后,对时频图矩阵求时频能量与时频熵。The time-frequency diagrams under different time segments are obtained, and then the time-frequency energy and time-frequency entropy are calculated for the time-frequency diagram matrix.
其中:in:
时频能量:计算加窗时间片段的时频分布为P(t,f),则时频能量E可通过Time-frequency energy: Calculate the time-frequency distribution of the windowed time segment as P(t,f), then the time-frequency energy E can be passed
如下方式计算:Calculated as follows:
2、时频熵:计算加窗时间片段的时频分布为P(t,f),将时频平面的划分为2. Time-frequency entropy: Calculate the time-frequency distribution of the windowed time segment as P(t,f), and divide the time-frequency plane into
N块大小相等的矩形设每块的能量为Pi,整个时频平面的能量为E,则时Assuming that the energy of each block is P i and the energy of the entire time-frequency plane is E, then the time
频熵可以由以下方式计算:Frequency entropy can be calculated by:
针对定量分析低流速高含水垂直油水两相流时频联合分布特性,二次型时频分布能更加合理直观的反应了流体特征,其中时频能量与时频熵可直接反应时频图特征,是时频分布的重要特征。For the quantitative analysis of the joint time-frequency distribution characteristics of low-velocity high-water-cut vertical oil-water two-phase flow, the quadratic time-frequency distribution can reflect the fluid characteristics more reasonably and intuitively, and the time-frequency energy and time-frequency entropy can directly reflect the characteristics of the time-frequency diagram. is an important feature of the time-frequency distribution.
随后对采集、处理后的信号进行递归域定量分析,递归定量分析指标包括递归率、确定性、平均对角线长度、层次性和时间不可逆量。其中:Subsequently, the recursive domain quantitative analysis is carried out on the collected and processed signals, and the recursive quantitative analysis indicators include recursive rate, certainty, average diagonal length, hierarchy and time irreversible quantity. in:
递归率:计算加窗时间片段的递归矩阵RR,则递归率为递归图平面中递归点占平面可容纳总点数的百分比,可由以下方式计算:Recursion rate: Calculate the recursion matrix RR of the windowed time segment, then the recursion rate is the percentage of the recursion points in the recursion graph plane to the total number of points that the plane can hold, which can be calculated by the following method:
它表明了在m维相空间中彼此靠近的相空间点占总点数的比例;It indicates the proportion of phase space points close to each other in the m-dimensional phase space to the total number of points;
确定性:计算加窗时间片段的递归矩阵RR,则确定性为构成沿对角线方向线段的递归点占所有递归点数的百分比,可由以下方式计算:Certainty: Calculate the recurrence matrix RR of the windowed time segment, then the certainty is the percentage of the recursive points constituting the line segment along the diagonal direction to all the recursive points, which can be calculated by the following method:
式中,为长度为l的线段数。只有对角线方向线段的长度大于预先给定的下限lmin时才开始计数。lmin一般选择为不小于2的整数。DET将递归图中孤立的递归点和有组织的形成连续对角线方向线段的递归点区分开来。递归图中沿主对角线的线条纹理越发育,表明系统的确定性就越强;where is the number of line segments with length l. Counting starts only when the length of the line segment in the diagonal direction is greater than the predetermined lower limit l min . l min is generally selected as an integer not less than 2. DET distinguishes isolated recurrence points in a recurrence graph from those organized to form continuous diagonally oriented segments. The more developed the line texture along the main diagonal in the recurrence graph, the stronger the certainty of the system;
平均对角线长度:计算加窗时间片段的递归矩阵RR,确定性是对角线方向线段长度的加权平均值,可由以下方式计算:Average diagonal length: Calculate the recursive matrix RR of the windowed time segment. The certainty is the weighted average of the length of the line segment in the diagonal direction, which can be calculated by the following method:
平均对角线长度L表示相空间轨迹中互相靠近的两段相轨迹的时间长度,或者表示为系统的平均周期,主对角线并不计算在内。L越大,表明系统的确定性就越强。The average diagonal length L represents the time length of two phase trajectories close to each other in the phase space trajectory, or expressed as the average period of the system, and the main diagonal is not included. The larger L is, the stronger the certainty of the system is.
层次性:计算加窗时间片段的递归矩阵RR,层次性是构成垂直方向线段的递归点占所有递归点数的百分比,可由以下方式计算:Hierarchy: Calculate the recursion matrix RR of the windowed time segment. Hierarchy is the percentage of recursion points constituting a vertical line segment to all recursion points, which can be calculated by the following method:
式中,P(v)为长度为v的线段数。只有对角线方向线段的长度大于预先给定的下限vmin时才开始计数。vmin一般选择为不小于2的整数。LAM代表了系统中分层状态的递归点的概率,递归图中孤立得递归点多于垂直方向线段结构时,LAM 会降低。本发明设定vmin为2。In the formula, P(v) is the number of line segments with length v. Counting starts only when the length of the line segment in the diagonal direction is greater than the predetermined lower limit v min . v min is generally selected as an integer not less than 2. LAM represents the probability of recursive points in the hierarchical state in the system. When there are more isolated recursive points in the recursive graph than the vertical line segment structure, LAM will decrease. The present invention sets v min as 2.
时间不可逆量:首先将原始时间序列x(t)转换为增量时间序列y(t),其表示Time irreversible quantity: first convert the original time series x(t) into incremental time series y(t), which represents
如下:as follows:
y(i)=Δu(i)=x(i+1)-x(i),1<i≤Ny(i)=Δu(i)=x(i+1)-x(i), 1<i≤N
则时间不可逆量可由以下方式计算:Then the time irreversible quantity can be calculated by the following method:
其中,A表示非线性耗散系统的时间不可逆量,yi为原始时间序列的增量时间序列,N为信号的长度,H(*)为符号函数。Among them, A represents the time irreversible quantity of the nonlinear dissipative system, y i is the incremental time series of the original time series, N is the length of the signal, and H(*) is a sign function.
递归图定量分析对揭示具有复杂性、不确定性、很难用数学模型精确描述的两相流流型转化机理是有益的补充与探索。Recursive graph quantitative analysis is a useful supplement and exploration for revealing the flow regime transformation mechanism of two-phase flow which is complex, uncertain and difficult to describe accurately with mathematical models.
⑶特征向量的拼接及深度长短时记忆(LSTM)神经网络预测(3) Splicing of feature vectors and deep long-short-term memory (LSTM) neural network prediction
①对不同信号片段的特征向量按照时间方向进行拼接(t1,t2......tn),组成了含水率多元时序特征向量,如图4左侧所示。因该特征向量是在时间方向上拼接而成,所以保留了时间维度特征,其次该向量能直观反映出序列特征。① The eigenvectors of different signal segments are spliced according to the time direction (t 1 , t 2 ... t n ) to form a multivariate time-series eigenvector of water content, as shown on the left side of Figure 4. Because the feature vector is spliced in the time direction, it retains the time dimension feature, and secondly, the vector can intuitively reflect the sequence feature.
②随后将含水率多元时序特征向量作为深度长短时记忆(LSTM)神经网络的训练数据,输入网络模型中进行训练。深度长短时记忆(LSTM)神经网络共采用6层LSTM单元,设置深度长短时记忆(LSTM)神经网络超参数,通过最大迭代次数10,000次结束训练,其中批尺寸为100,时间步为150,LSTM单元数量为128。每一个LSTM单元内部存在三个函数,分别为输入门函数、遗忘门函数与输出门函数,其中输入门决定让多少当前时刻输入值信息加入到LSTM单元状态中来,遗忘门决定从LSTM状态中丢弃多少信息,输出门根据当前LSTM 单元状态,确定需要输出什么值。其公式分别如下:②The multivariate time-series feature vector of water content is then used as the training data of the deep long-short-term memory (LSTM) neural network and input into the network model for training. The deep long short-term memory (LSTM) neural network uses a total of 6 layers of LSTM units, and the hyperparameters of the deep long short-term memory (LSTM) neural network are set. The training ends after the maximum number of iterations is 10,000 times. The number of units is 128. There are three functions inside each LSTM unit, which are the input gate function, the forget gate function and the output gate function. The input gate determines how much input value information at the current moment is added to the LSTM unit state, and the forget gate determines how much information is added to the LSTM state from the LSTM state. How much information is discarded, and the output gate determines what value needs to be output according to the current LSTM cell state. The formulas are as follows:
inputt=σ(Wi*[ht-1,xt]+bi)input t = σ(W i *[h t-1 , x t ]+b i )
forgett=σ(Wf*[ht-1,xt]+bf)forget t =σ(W f *[h t-1 ,x t ]+b f )
outputt=σ(Wo*[ht-1,xt]+bo)output t =σ(W o *[h t-1 ,x t ]+b o )
其中Wi、Wf和WO分别代表了输入门、遗忘门和输出门对应的权重参数,bi、 bf和bo分别对应偏置项,ht-1为上一时刻的LSTM单元内部状态,xt为当前时刻的输入值。Among them, W i , W f and W O represent the weight parameters corresponding to the input gate, forget gate and output gate respectively, b i , b f and b o correspond to the bias items respectively, and h t-1 is the LSTM unit at the previous moment Internal state, x t is the input value at the current moment.
含水率多元时序特征向量t1输入第一层LSTM单元后,都要经过上述三种门函数的计算,并确定该LSTM输出。计算完当前时刻的特征序列后,LSTM单元向下一时刻t2移动,重复上述过程并计算输出。计算完第一层LSTM单元后,将第一层的输出向量作为第二层LSTM单元的输入向量,过程同上。每一层 LSTM单元的输出为下一层的输入。After the water content multivariate time-series feature vector t 1 is input to the first layer of LSTM units, it must go through the calculation of the above three gate functions and determine the output of the LSTM. After calculating the feature sequence at the current moment, the LSTM unit moves to the next moment t2 , repeats the above process and calculates the output. After calculating the LSTM unit of the first layer, the output vector of the first layer is used as the input vector of the LSTM unit of the second layer, and the process is the same as above. The output of each layer of LSTM unit is the input of the next layer.
训练过程中,多维特征时序信号按照时间(t1,t2......tn)依次输入深度长短时记忆网络中的LSTM单元内进行训练,训练过程通过深度长短时记忆神经网络预测分类值,并与实际井口含水率化验值进行对比。During the training process, the multi-dimensional feature time series signals are sequentially input into the LSTM unit in the deep long short-term memory network according to time (t 1 , t 2 ... t n ) for training, and the training process is predicted by the deep long short-term memory neural network Classified values, and compared with the actual wellhead moisture test values.
③通过Softmax函数进行评判,将评判结果反向传递回深度长短时记忆神经网络并逐层更新网络参数。Softmax函数它能将一个含任意实数的K维向量Z“压缩”到另一个K维实向量σ(Z)中,使得每一个元素的范围都在(0,1)之间,并且所有元素的和为1,Softmax形式为: ③The softmax function is used to judge, and the judgment result is reversely transmitted back to the deep long short-term memory neural network and the network parameters are updated layer by layer. The Softmax function can "compress" a K-dimensional vector Z containing any real number into another K-dimensional real vector σ(Z), so that the range of each element is between (0, 1), and the values of all elements The sum is 1, and the Softmax form is:
其中,j=1,…,K,j表示K中的某个分类,zj表示该分类的值。Among them, j=1,...,K, j represents a category in K, and z j represents the value of this category.
④训练好的模型可进行含水率预测。④The trained model can predict the moisture content.
预测时,将多维特征时序信号输入深度长短时记忆网络后,Softmax函数输出值为当前信号的含水率。When predicting, after inputting the multi-dimensional feature time series signal into the deep long-short-term memory network, the output value of the Softmax function is the water content of the current signal.
Claims (2)
Priority Applications (1)
| Application Number | Priority Date | Filing Date | Title |
|---|---|---|---|
| CN201910613947.2A CN110630256B (en) | 2019-07-09 | 2019-07-09 | A system and method for predicting wellhead water cut of low-production gas wells based on deep long-short-term memory network |
Applications Claiming Priority (1)
| Application Number | Priority Date | Filing Date | Title |
|---|---|---|---|
| CN201910613947.2A CN110630256B (en) | 2019-07-09 | 2019-07-09 | A system and method for predicting wellhead water cut of low-production gas wells based on deep long-short-term memory network |
Publications (2)
| Publication Number | Publication Date |
|---|---|
| CN110630256A CN110630256A (en) | 2019-12-31 |
| CN110630256B true CN110630256B (en) | 2022-12-02 |
Family
ID=68969589
Family Applications (1)
| Application Number | Title | Priority Date | Filing Date |
|---|---|---|---|
| CN201910613947.2A Expired - Fee Related CN110630256B (en) | 2019-07-09 | 2019-07-09 | A system and method for predicting wellhead water cut of low-production gas wells based on deep long-short-term memory network |
Country Status (1)
| Country | Link |
|---|---|
| CN (1) | CN110630256B (en) |
Families Citing this family (6)
| Publication number | Priority date | Publication date | Assignee | Title |
|---|---|---|---|---|
| CN111324990A (en) * | 2020-03-19 | 2020-06-23 | 长江大学 | Porosity prediction method based on multilayer long-short term memory neural network model |
| CN112814649B (en) * | 2021-01-04 | 2023-03-10 | 天津科技大学 | An intelligent metering device and method for water content of oil well production liquid |
| CN112922582B (en) * | 2021-03-15 | 2022-03-11 | 西南石油大学 | An analysis and prediction method of gas flow rate at the nozzle of gas well wellhead based on Gaussian process regression |
| CN113622880B (en) * | 2021-07-28 | 2022-07-22 | 陕西埃菲克能源科技有限公司 | A non-stop pumping method based on frequency conversion technology |
| CN114048932A (en) * | 2022-01-13 | 2022-02-15 | 西南石油大学 | A method for predicting gas production in coalbed methane wells based on LSTM |
| CN115032244B (en) * | 2022-04-29 | 2024-11-26 | 天津大学 | Multi-electrode two-phase flow parameter measurement method based on time channel fusion network |
Citations (4)
| Publication number | Priority date | Publication date | Assignee | Title |
|---|---|---|---|---|
| CN104189968A (en) * | 2008-06-26 | 2014-12-10 | 甘布罗伦迪亚股份公司 | Method and device for processing a time-dependent measurement signal |
| CN106650929A (en) * | 2016-10-11 | 2017-05-10 | 天津大学 | Recursive-graph-based deep learning model and its application in oil-water phase rate measurement |
| CN108344564A (en) * | 2017-12-25 | 2018-07-31 | 北京信息科技大学 | A kind of state recognition of main shaft features Testbed and prediction technique based on deep learning |
| CN109915113A (en) * | 2019-04-11 | 2019-06-21 | 燕山大学 | Wellhead oil, gas and water three-phase flow impedance capacitance water content measurement device and method |
Family Cites Families (2)
| Publication number | Priority date | Publication date | Assignee | Title |
|---|---|---|---|---|
| US10184320B2 (en) * | 2014-09-02 | 2019-01-22 | Saudi Arabian Oil Company | Systems, methods, and computer medium to enhance hydrocarbon reservoir simulation |
| US10832152B2 (en) * | 2017-11-29 | 2020-11-10 | Saudi Arabian Oil Company | Wet well prediction using real time data |
-
2019
- 2019-07-09 CN CN201910613947.2A patent/CN110630256B/en not_active Expired - Fee Related
Patent Citations (4)
| Publication number | Priority date | Publication date | Assignee | Title |
|---|---|---|---|---|
| CN104189968A (en) * | 2008-06-26 | 2014-12-10 | 甘布罗伦迪亚股份公司 | Method and device for processing a time-dependent measurement signal |
| CN106650929A (en) * | 2016-10-11 | 2017-05-10 | 天津大学 | Recursive-graph-based deep learning model and its application in oil-water phase rate measurement |
| CN108344564A (en) * | 2017-12-25 | 2018-07-31 | 北京信息科技大学 | A kind of state recognition of main shaft features Testbed and prediction technique based on deep learning |
| CN109915113A (en) * | 2019-04-11 | 2019-06-21 | 燕山大学 | Wellhead oil, gas and water three-phase flow impedance capacitance water content measurement device and method |
Non-Patent Citations (5)
| Title |
|---|
| 基于CPN网络井口计量原油含水率预测模型;王丽娜等;《大庆石油学院学报》;20091231;第33卷(第06期);第101-104页 * |
| 基于数据挖掘的长短期记忆网络模型油井产量预测方法;谷建伟等;《特种油气藏》;20190131;第26卷(第02期);第77-81页 * |
| 基于长短时记忆网络的旋转机械状态预测研究;赵建鹏等;《噪声与振动控制》;20170831;第37卷(第04期);第155-159页 * |
| 应用BP神经网络预测原油含水率问题的研究;曾蕾蕾等;《中国测试技术》;20060731;第32卷(第04期);第25-27页 * |
| 自适应时频分析及其时频属性提取方法研究;张宁;《中国优秀硕士学位论文全文数据库 信息科技辑》;20090215(第2期);第I136-26页 * |
Also Published As
| Publication number | Publication date |
|---|---|
| CN110630256A (en) | 2019-12-31 |
Similar Documents
| Publication | Publication Date | Title |
|---|---|---|
| CN110630256B (en) | A system and method for predicting wellhead water cut of low-production gas wells based on deep long-short-term memory network | |
| CN110630244B (en) | A water cut prediction system and method for high-production gas wells based on multi-sensor measurement and long-short-term memory network | |
| CN112814649B (en) | An intelligent metering device and method for water content of oil well production liquid | |
| CN112036042B (en) | Power equipment abnormality detection method and system based on variational modal decomposition | |
| CN110674841A (en) | A logging curve identification method based on clustering algorithm | |
| CN110243885A (en) | A kind of low yield gas well mouth of oil well hydrated comples ion method based on time-frequency characteristics | |
| CN103967478B (en) | A kind of peupendicular hole meteor trail echoes method based on conducting probe | |
| CN118035798B (en) | Intelligent monitoring system and method for oil sand production | |
| Yang et al. | Feature fusion method for rock mass classification prediction and interpretable analysis based on TBM operating and cutter wear data | |
| CN106485325A (en) | Two phase flow multivariate information fusion method and application based on complex network and deep learning | |
| CN110243886A (en) | A kind of low yield gas well mouth of oil well hydrated comples ion method based on nonlinear characteristic | |
| CN114139648B (en) | A kind of intelligent detection method and system for abnormality of tailings filling pipeline | |
| Reolon et al. | Unlocking data analytics for the automatic evaluation of cement bond scenarios | |
| Gryzlov et al. | Intelligent production monitoring with continuous deep learning models | |
| CN110632132A (en) | High-yield gas-oil well wellhead liquid water content prediction method based on multi-sensor measurement and deep convolutional neural network | |
| Liu et al. | Oil-Water Flowing Experiments and Water-Cut Range Classification Approach Using Distributed Acoustic Sensing | |
| Yang et al. | Identification and prediction method for acoustic emission and electromagnetic radiation signals of rock burst based on deep learning | |
| Zhang et al. | Study on coal-rock interface characteristics change law and recognition based on active thermal excitation | |
| Chen et al. | Water cut measurement of oil–water flow in vertical well by combining total flow rate and the response of a conductance probe | |
| CN119150110A (en) | Geological information optimization extraction method in seismic wave exploration field | |
| CN119090313B (en) | Intelligent decision method and system for prevention and control of TBM construction disturbance induced geological disaster | |
| CN115060744B (en) | A two-phase flow parameter measurement method based on spatiotemporal parallel feature fusion network | |
| CN115032244A (en) | Multi-electrode two-phase flow parameter measuring method based on time channel fusion network | |
| Zhao et al. | Research on Transformer Oil Multi-frequency Ultrasonic Monitoring Technology Based on Convolutional Neural Network | |
| CN106644375A (en) | Multi-source information fusion method based on wavelet multi-resolution double-layer complex network and application thereof |
Legal Events
| Date | Code | Title | Description |
|---|---|---|---|
| PB01 | Publication | ||
| PB01 | Publication | ||
| SE01 | Entry into force of request for substantive examination | ||
| SE01 | Entry into force of request for substantive examination | ||
| GR01 | Patent grant | ||
| GR01 | Patent grant | ||
| CF01 | Termination of patent right due to non-payment of annual fee | ||
| CF01 | Termination of patent right due to non-payment of annual fee |
Granted publication date: 20221202 |


























