CN110494434B - 吡唑并氯苯基化合物、其组合物及其使用方法 - Google Patents
吡唑并氯苯基化合物、其组合物及其使用方法 Download PDFInfo
- Publication number
- CN110494434B CN110494434B CN201880017772.2A CN201880017772A CN110494434B CN 110494434 B CN110494434 B CN 110494434B CN 201880017772 A CN201880017772 A CN 201880017772A CN 110494434 B CN110494434 B CN 110494434B
- Authority
- CN
- China
- Prior art keywords
- compound
- group
- alkyl
- compounds
- cancer
- Prior art date
- Legal status (The legal status is an assumption and is not a legal conclusion. Google has not performed a legal analysis and makes no representation as to the accuracy of the status listed.)
- Expired - Fee Related
Links
Classifications
-
- C—CHEMISTRY; METALLURGY
- C07—ORGANIC CHEMISTRY
- C07D—HETEROCYCLIC COMPOUNDS
- C07D471/00—Heterocyclic compounds containing nitrogen atoms as the only ring hetero atoms in the condensed system, at least one ring being a six-membered ring with one nitrogen atom, not provided for by groups C07D451/00 - C07D463/00
- C07D471/02—Heterocyclic compounds containing nitrogen atoms as the only ring hetero atoms in the condensed system, at least one ring being a six-membered ring with one nitrogen atom, not provided for by groups C07D451/00 - C07D463/00 in which the condensed system contains two hetero rings
- C07D471/04—Ortho-condensed systems
-
- A—HUMAN NECESSITIES
- A61—MEDICAL OR VETERINARY SCIENCE; HYGIENE
- A61P—SPECIFIC THERAPEUTIC ACTIVITY OF CHEMICAL COMPOUNDS OR MEDICINAL PREPARATIONS
- A61P11/00—Drugs for disorders of the respiratory system
- A61P11/06—Antiasthmatics
-
- C—CHEMISTRY; METALLURGY
- C07—ORGANIC CHEMISTRY
- C07D—HETEROCYCLIC COMPOUNDS
- C07D487/00—Heterocyclic compounds containing nitrogen atoms as the only ring hetero atoms in the condensed system, not provided for by groups C07D451/00 - C07D477/00
- C07D487/02—Heterocyclic compounds containing nitrogen atoms as the only ring hetero atoms in the condensed system, not provided for by groups C07D451/00 - C07D477/00 in which the condensed system contains two hetero rings
- C07D487/04—Ortho-condensed systems
-
- C—CHEMISTRY; METALLURGY
- C07—ORGANIC CHEMISTRY
- C07D—HETEROCYCLIC COMPOUNDS
- C07D491/00—Heterocyclic compounds containing in the condensed ring system both one or more rings having oxygen atoms as the only ring hetero atoms and one or more rings having nitrogen atoms as the only ring hetero atoms, not provided for by groups C07D451/00 - C07D459/00, C07D463/00, C07D477/00 or C07D489/00
- C07D491/02—Heterocyclic compounds containing in the condensed ring system both one or more rings having oxygen atoms as the only ring hetero atoms and one or more rings having nitrogen atoms as the only ring hetero atoms, not provided for by groups C07D451/00 - C07D459/00, C07D463/00, C07D477/00 or C07D489/00 in which the condensed system contains two hetero rings
- C07D491/04—Ortho-condensed systems
- C07D491/044—Ortho-condensed systems with only one oxygen atom as ring hetero atom in the oxygen-containing ring
- C07D491/048—Ortho-condensed systems with only one oxygen atom as ring hetero atom in the oxygen-containing ring the oxygen-containing ring being five-membered
-
- C—CHEMISTRY; METALLURGY
- C07—ORGANIC CHEMISTRY
- C07D—HETEROCYCLIC COMPOUNDS
- C07D498/00—Heterocyclic compounds containing in the condensed system at least one hetero ring having nitrogen and oxygen atoms as the only ring hetero atoms
- C07D498/02—Heterocyclic compounds containing in the condensed system at least one hetero ring having nitrogen and oxygen atoms as the only ring hetero atoms in which the condensed system contains two hetero rings
- C07D498/04—Ortho-condensed systems
-
- C—CHEMISTRY; METALLURGY
- C07—ORGANIC CHEMISTRY
- C07D—HETEROCYCLIC COMPOUNDS
- C07D513/00—Heterocyclic compounds containing in the condensed system at least one hetero ring having nitrogen and sulfur atoms as the only ring hetero atoms, not provided for in groups C07D463/00, C07D477/00 or C07D499/00 - C07D507/00
- C07D513/02—Heterocyclic compounds containing in the condensed system at least one hetero ring having nitrogen and sulfur atoms as the only ring hetero atoms, not provided for in groups C07D463/00, C07D477/00 or C07D499/00 - C07D507/00 in which the condensed system contains two hetero rings
- C07D513/04—Ortho-condensed systems
Landscapes
- Chemical & Material Sciences (AREA)
- Organic Chemistry (AREA)
- Health & Medical Sciences (AREA)
- Pulmonology (AREA)
- Engineering & Computer Science (AREA)
- Bioinformatics & Cheminformatics (AREA)
- Chemical Kinetics & Catalysis (AREA)
- General Chemical & Material Sciences (AREA)
- Medicinal Chemistry (AREA)
- Nuclear Medicine, Radiotherapy & Molecular Imaging (AREA)
- Pharmacology & Pharmacy (AREA)
- Life Sciences & Earth Sciences (AREA)
- Animal Behavior & Ethology (AREA)
- General Health & Medical Sciences (AREA)
- Public Health (AREA)
- Veterinary Medicine (AREA)
- Pharmaceuticals Containing Other Organic And Inorganic Compounds (AREA)
- Nitrogen Condensed Heterocyclic Rings (AREA)
- Nitrogen And Oxygen Or Sulfur-Condensed Heterocyclic Ring Systems (AREA)
Abstract
式(I)化合物和作为Janus激酶抑制剂的使用方法如本文所述。
Description
相关申请的交叉引用
本申请要求2017年3月14日提交的国际申请号PCT/CN2017/076598的优先权权益,其通过引用整体并入本文。
发明领域
本发明的领域涉及式I及其子式的化合物,其为Janus激酶、例如JAK1抑制剂;以及包含这些化合物的组合物和使用方法,包括但不限于患有响应于JAK激酶抑制的病症的患者的诊断或治疗方法。
发明背景
细胞因子途径介导宽范围的生物学功能,包括炎症和免疫的多个方面。Janus激酶(JAK)包括JAK1、JAK2、JAK3和TYK2,它们是细胞质蛋白激酶,与I型和II型细胞因子受体有关,并且能够调节细胞因子信号转导。细胞因子与同源受体的接合触发了与JAKs有关的受体的活化,并且这导致JAK-介导的信号转导物和转录(STAT)蛋白活化剂的酪氨酸磷酸化,并且最终导致特定基因群的转录活化(Schindler等人,2007,J.Biol.Chem.282:20059-63)。JAK1、JAK2和TYK2表现出广泛的基因表达模式,而JAK3表达仅限于白细胞。细胞因子受体通常用作杂二聚体,因此,多于一种类型的JAK激酶通常与细胞因子受体复合物有关。在多种情况下,与不同细胞因子受体复合物有关的特定JAKs已经通过基因研究而确定并且通过其它试验证据获得证实。例如,在国际申请号WO 2013/014567中讨论了抑制JAK酶的示例性治疗益处。
JAK1最初是在新激酶筛选中被鉴定的(Wilks A.F.,1989,Proc.Natl.Acad.Sci.U.S.A.86:1603-1607)。遗传和生物化学研究表明:JAK1在功能方面和物理方面与I型干扰素(例如IFNα)、II型干扰素(例如IFNγ)以及IL-2和IL-6细胞因子受体复合物有关(Kisseleva等人,2002,Gene 285:1-24;Levy等人,2005,Nat.Rev.Mol.CellBiol.3:651-662;O’Shea等人,2002,Cell,109(增刊):S121-S131)。JAK1敲除小鼠由于LIF受体信号传导缺陷而在围产期即死亡(Kisseleva等人,2002,Gene 285:1-24;O’Shea等人,2002,Cell,109(增刊):S121-S131)。来源于JAK1敲除小鼠的组织特征证明了该激酶在IFN、IL-10、IL-2/IL-4和IL-6途径中的关键性作用。欧洲委员会(European Commission)批准了靶向IL-6途径的治疗中度至重度类风湿性关节炎的人源化单克隆抗体(托珠单抗)(Scheinecker等人,2009,Nat.Rev.Drug Discov.8:273-274)。
CD4 T细胞在哮喘发病机制中通过肺内产生TH2细胞因子起重要作用,包括IL-4、IL-9和IL-13(Cohn等人,2004,Annu.Rev.Immunol.22:789-815)。IL-4和IL-13诱导粘液产生增加,嗜酸性粒细胞募集至肺和IgE产生增加(Kasaian等人,2008,Biochem.Pharmacol.76(2):147-155)。IL-9导致肥大细胞活化,这加剧了哮喘症状(Kearley等人,2011,Am.J.Resp.Crit.Care Med.,183(7):865-875)。当分别与常见的γ链或IL-13Rα1链合并时,IL-4Rα链活化JAK1并且结合IL-4或IL-13(Pernis等人,2002,J.Clin.Invest.109(10):1279-1283)。常见的γ链也可以合并IL-9Rα以结合IL-9,并且IL-9Rα也活化JAK1(Demoulin等人,1996,Mol.Cell Biol.16(9):4710-4716)。尽管常见的γ链活化JAK3,但是已经证实JAK1占优超过JAK3,并且尽管JAK3具有活性,但JAK1抑制足以通过常见的γ链使信号传导失活(Haan等人,2011,Chem.Biol.18(3):314-323)。通过阻断JAK/STAT信号传导途径抑制IL-4、IL-13和IL-9信号传导可以缓解临床前期肺炎症模型中的哮喘症状(Mathew等人,2001,J.Exp.Med.193(9):1087-1096;Kudlacz等人,2008,Eur.J.Pharmacol.582(1-3):154-161)。
生物化学和遗传研究显示了JAK2和单链(例如EPO)、IL-3和干扰素γ细胞因子受体家族之间的关联性(Kisseleva等人,2002,Gene 285:1-24;Levy等人,2005,Nat.Rev.Mol.Cell Biol.3:651-662;O’Shea等人,2002,Cell,109(增刊):S121-S131)。与此相符,JAK2敲除小鼠死于贫血(O’Shea等人,2002,Cell,109(增刊):S121-S131)。激酶活化的JAK2突变(例如JAK2V617F)与人骨髓增殖性障碍有关。
JAK3排他性地与γ共同的细胞因子受体链(common cytokine receptor chain)联合,这些受体链存在于IL-2、IL-4、IL-7、IL-9、IL-15和IL-21细胞因子受体复合物中。JAK3对于淋巴样细胞的发育和增殖是至关重要的,并且JAK3中的突变导致重症综合性免疫缺陷(SCID)(O’Shea等人,2002,Cell,109(增刊):S121-S131)。根据其在淋巴细胞调节中的作用,JAK3和JAK3-介导的途径靶向免疫抑制适应证(例如移植排斥和类风湿性关节炎)(Baslund等人,2005,Arthritis&Rheumatism 52:2686-2692;Changelian等人,2003,Science 302:875-878)。
TYK2与I型干扰素(例如,IFNα)、IL-6、IL-10、IL-12和IL-23细胞因子受体复合物有关(Kisseleva等人,2002,Gene 285:1-24;Watford,W.T.&O’Shea,J.J.,2006,Immunity25:695-697)。与此相符,来源于TYK2缺乏的人原代细胞在I型干扰素、IL-6、IL-10、IL-12和IL-23信号传导中存在缺陷。欧洲委员会最近批准了靶向IL-12和Il-23细胞因子的治疗中度至重度斑块状银屑病的共享p40亚单位的全人单克隆抗体(乌司奴单抗)(Krueger等人,2007,N.Engl.J.Med.356:580-92;Reich等人,2009,Nat.Rev.Drug Discov.8:355-356)。另外,靶向IL-12和IL-23途径的抗体正在进行治疗克罗恩病的临床试验(Mannon等人,2004,N.Engl.J.Med.351:2069-79)。
本领域中对于JAK激酶例如如上所述的那些介导的病症的另外的或可选择的治疗存在需求。
发明概述
本发明的一个方面包括式(I)化合物:
或其盐,其中:
R1为C2-C6链烯基、C2-C6炔基、-(C0-C3烷基)CN、-(C0-C3烷基)ORa、-(C0-C3烷基)Ra、-(C0-C3烷基)SRa、-(C0-C3烷基)NRaRb、-(C0-C3烷基)OCF3、-(C0-C3烷基)CF3、-(C0-C3烷基)NO2、-(C0-C3烷基)C(O)Ra、-(C0-C3烷基)C(O)ORa、-(C0-C3烷基)C(O)NRaRb、-(C0-C3烷基)NRaC(O)Rb、-(C0-C3烷基)S(O)1-2Ra、-(C0-C3烷基)NRaS(O)1-2Rb、-(C0-C3烷基)S(O)1-2NRaRb、-(C0-C3烷基)(5-6-元杂芳基)或-(C0-C3烷基)苯基,其中R1任选被卤素、C1-C3烷基、氧代、-CF3、-(C0-C3烷基)ORc或-(C0-C3烷基)NRcRd取代;
Ra各自独立地选自氢、C1-C6烷基、C3-C6环烷基、3-10元杂环基、5-6元杂芳基、-C(O)Rc、-C(O)ORc、-C(O)NRcRd、-NRcC(O)Rd、-S(O)1-2Rc、-NRcS(O)1-2Rd和-S(O)1-2NRcRd,其中任何Ra的C3-C6环烷基、3-10元杂环基和5-6元杂芳基任选被Re取代;
Rb各自独立地选自氢和C1-C3烷基,其中所述烷基任选被卤素或氧代取代;
Rc和Rd各自独立地选自氢、3-6元杂环基、C3-C6环烷基和C1-C3烷基,其中任何Rc和Rd的3-6元杂环基、C3-C6环烷基和C1-C3烷基任选被卤素或氧代取代;或者Rc和Rd与所连接的原子一起形成3-6-元杂环基,其任选被卤素、氧代、-CF3或C1-C3烷基取代;
Re各自独立地选自氧代、ORf、NRfRg、卤素、3-10元杂环基、C3-C6环烷基和C1-C6烷基,其中任何Re的C3-C6环烷基和C1-C6烷基任选被ORf、NRfRg、卤素、3-10元杂环基、氧代或氰基取代,并且其中任何Re的3-10元杂环基任选被卤素、氧代、氰基、-CF3、NRhRk、3-6元杂环基或C1-C3烷基取代,所述C1-C3烷基任选被卤素、氧代、ORf或NRhRk取代;
Rf和Rg各自独立地选自氢、C1-C6烷基、3-6元杂环基和C3-C6环烷基,其中任何Rf和Rg的C1-C6烷基、3-6元杂环基和C3-C6环烷基任选被Rm取代;
Rh和Rk各自独立地选自氢和C1-C6烷基,所述C1-C6烷基任选被卤素、氰基、3-6元杂环基或氧代取代;或者Rh和Rk与所连接的原子一起形成3-6-元杂环基,其任选被卤素、氰基、氧代、-CF3或C1-C3烷基取代,所述C1-C3烷基任选被卤素或氧代取代;
Rm各自独立地选自卤素、氰基、氧代、C3-C6环烷基、羟基和NRhRk,其中任何Rm的C3-C6环烷基任选被卤素、氧代、氰基或C1-C3烷基取代;
R2为苯基、5-6元杂芳基、C3-C6环烷基或3-10元杂环基,其中R2任选被1-5个Rn取代;
Rn各自独立地选自C1-C6烷基、C2-C6链烯基、C2-C6炔基、氧代、卤素、-(C0-C3烷基)CN、-(C0-C3烷基)ORo、-(C0-C3烷基)SRo、-(C0-C3烷基)NRoRp、-(C0-C3烷基)OCF3、-(C0-C3烷基)CF3、-(C0-C3烷基)NO2、-(C0-C3烷基)C(O)Ro、-(C0-C3烷基)C(O)ORo、-(C0-C3烷基)C(O)NRoRp、-(C0-C3烷基)NRoC(O)Rp、-(C0-C3烷基)S(O)1-2Ro、-(C0-C3烷基)NRoS(O)1-2Rp、-(C0-C3烷基)S(O)1-2NRoRp、-(C0-C3烷基)(C3-C6环烷基)、-(C0-C3烷基)(3-6-元杂环基)、-(C0-C3烷基)C(O)(3-6-元杂环基)、-(C0-C3烷基)(5-6-元杂芳基)和-(C0-C3烷基)苯基,其中Rn各自独立地任选被卤素、C1-C3烷基、氧代、-CF3、-(C0-C3烷基)ORr或-(C0-C3烷基)NRrRs取代;或者两个Rn一起形成-O(CH2)1-3O-;
Ro各自独立地选自氢、C1-C6烷基、C3-C6环烷基、3-6元杂环基、-C(O)Rr、-C(O)ORr、-C(O)NRrRs、-NRrC(O)Rs、-S(O)1-2Rr、-NRrS(O)1-2Rs和-S(O)1-2NRrRs,其中所述烷基、环烷基和杂环基独立地任选被氧代、C1-C3烷基、ORr、NRrRs或卤素取代;并且Rp各自独立地选自氢和C1-C3烷基,其中所述烷基独立地任选被卤素或氧代取代;或者Ro和Rp与所连接的原子一起形成3-6-元杂环基,其任选被卤素、氧代、-CF3或C1-C3烷基取代;
Rr和Rs各自独立地选自氢和C1-C3烷基,所述C1-C3烷基任选被卤素或氧代取代;或者Rr和Rs与所连接的原子一起形成3-6-元杂环基,其任选被卤素、氧代、-CF3或C1-C3烷基取代;并且
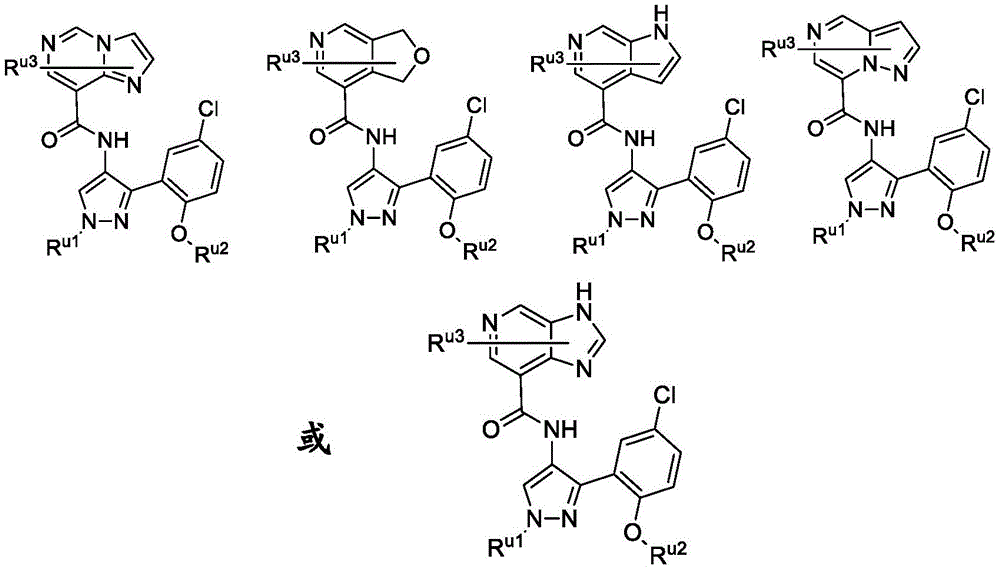
X为9-10元二环杂芳基,其包含2或3个各自独立地选自O、S和N的原子,其中9-10元二环杂芳基任选被Ru取代;条件是X不为
其任选被Ru取代;
Ru各自独立地选自氢、卤素、C1-C6烷基、C3-C6环烷基、3-6元杂环基、-ORv、-C(O)Rv、-C(O)ORv、-C(O)NRvRw、-NRvRw、-NRvC(O)Rw、-S(O)1-2Rv、-NRvS(O)1-2Rw和-S(O)1-2NRvRw,其中所述烷基、环烷基和杂环基独立地任选被氧代、C1-C3烷基、-ORv、-NRvRw或卤素取代;并且
Rv和Rw各自独立地选自氢和C1-C3烷基,所述C1-C3烷基任选被卤素或氧代取代;或者Rv和Rw与所连接的原子一起形成3-6-元杂环基,其任选被卤素、氧代、-CF3或C1-C3烷基取代。
还提供了包含本发明化合物和药学上可接受的载体、稀释剂或赋形剂的药物组合物。
另一个方面包括用于疗法,例如治疗炎性疾病或癌症的本发明化合物。
另一个方面包括预防、治疗患者的响应于Janus激酶例如JAK1激酶的疾病或病症或者减轻其严重程度的方法。该方法可以包括给患者施用治疗有效量的本发明化合物。
另一个方面包括本发明化合物在制备用于治疗响应于Janus激酶例如JAK1激酶的疾病的药物中的用途。
另一个方面包括用于治疗响应于Janus激酶例如JAK1激酶的疾病或障碍的药盒。该药盒可以包含含有本发明化合物的第一药物组合物和使用说明书。
某些本发明化合物具有作为一种或多种Janus激酶(例如JAK1)的抑制剂的有益效能。某些化合物还:a)对于一种Janus激酶的选择性超过其它激酶;b)对于JAK1的选择性超过其它Janus激酶;和/或c)具有对配制和通过吸入施用必不可少的其它特性(例如熔点、pK、溶解度等)。某些式(I)化合物可以特别用于治疗病症例如哮喘。
发明详述
定义
“卤素”或“卤代”是指F、Cl、Br或I。另外,术语例如“卤代烷基”是指包括单卤代烷基或多卤代烷基。
术语“烷基”指饱和的直链或支链单价烃基团,其中烷基可以任选被取代。在一个实例中,烷基具有1-18个碳原子(C1-C18)。在其它实例中,烷基为C0-C6、C0-C5、C0-C3、C1-C12、C1-C10、C1-C8、C1-C6、C1-C5、C1-C4或C1-C3。C0烷基指键。烷基的实例包括甲基(Me,-CH3)、乙基(Et,-CH2CH3)、1-丙基(n-Pr,正丙基,-CH2CH2CH3)、2-丙基(i-Pr,异丙基,-CH(CH3)2)、1-丁基(n-Bu,正丁基,-CH2CH2CH2CH3)、2-甲基-1-丙基(i-Bu,异丁基,-CH2CH(CH3)2)、2-丁基(s-Bu,仲丁基,-CH(CH3)CH2CH3)、2-甲基-2-丙基(t-Bu,叔丁基,-C(CH3)3)、1-戊基(正戊基,-CH2CH2CH2CH2CH3)、2-戊基(-CH(CH3)CH2CH2CH3)、3-戊基(-CH(CH2CH3)2)、2-甲基-2-丁基(-C(CH3)2CH2CH3)、3-甲基-2-丁基(-CH(CH3)CH(CH3)2)、3-甲基-1-丁基(-CH2CH2CH(CH3)2)、2-甲基-1-丁基(-CH2CH(CH3)CH2CH3)、1-己基(-CH2CH2CH2CH2CH2CH3)、2-己基(-CH(CH3)CH2CH2CH2CH3)、3-己基(-CH(CH2CH3)(CH2CH2CH3))、2-甲基-2-戊基(-C(CH3)2CH2CH2CH3)、3-甲基-2-戊基(-CH(CH3)CH(CH3)CH2CH3)、4-甲基-2-戊基(-CH(CH3)CH2CH(CH3)2)、3-甲基-3-戊基(-C(CH3)(CH2CH3)2)、2-甲基-3-戊基(-CH(CH2CH3)CH(CH3)2)、2,3-二甲基-2-丁基(-C(CH3)2CH(CH3)2)、3,3-二甲基-2-丁基(-CH(CH3)C(CH3)3、1-庚基和1-辛基。在一些实施方案中,“任选取代的烷基”的取代基包括如下的1-4个实例:F、Cl、Br、I、OH、SH、CN、NH2、NHCH3、N(CH3)2、NO2、N3、C(O)CH3、COOH、CO2CH3、甲基、乙基、丙基、异丙基、丁基、异丁基、环丙基、甲氧基、乙氧基、丙氧基、氧代、三氟甲基、二氟甲基、磺酰基氨基、甲磺酰基氨基、SO、SO2、苯基、哌啶基、哌嗪基和嘧啶基,其中其烷基、苯基和杂环部分可以任选被取代,例如被选择该相同列表的取代基的1-4个实例取代。
术语“链烯基”指具有至少一个不饱和位点,即碳-碳双键的直链或支链单价烃基,其中链烯基可以任选被取代,并且包括具有“顺式”和“反式”取向或“E”和“Z”取向的基团。在一个实例中,链烯基为2-18个碳原子(C2-C18)。在其它实例中,链烯基为C2-C12、C2-C10、C2-C8、C2-C6或C2-C3。实例包括但不限于乙烯基(ethenyl,vinyl)(-CH=CH2)、丙-1-烯基(-CH=CHCH3)、丙-2-烯基(-CH2CH=CH2)、2-甲基丙-1-烯基、丁-1-烯基、丁-2-烯基、丁-3-烯基、丁-1,3-二烯基、2-甲基丁-1,3-二烯基、己-1-烯基、己-2-烯基、己-3-烯基、己-4-烯基和己-1,3-二烯基。在一些实施方案中,“任选取代的链烯基”的取代基包括如下的1-4个实例:F、Cl、Br、I、OH、SH、CN、NH2、NHCH3、N(CH3)2、NO2、N3、C(O)CH3、COOH、CO2CH3、甲基、乙基、丙基、异丙基、丁基、异丁基、环丙基、甲氧基、乙氧基、丙氧基、氧代、三氟甲基、二氟甲基、磺酰基氨基、甲磺酰基氨基、SO、SO2、苯基、哌啶基、哌嗪基和嘧啶基,其中其烷基、苯基和杂环部分可以任选被取代,例如被选择该相同列表的取代基的1-4个实例取代。
术语“炔基”指具有至少一个不饱和位点,即碳-碳三键的直链或支链单价烃基团,其中炔基可以任选被取代。在一个实例中,炔基为2-18个碳原子(C2-C18)。在其它实例中,炔基为C2-C12、C2-C10、C2-C8、C2-C6或C2-C3。实例包括但不限于乙炔基(-C≡CH)、丙-1-炔基(-C≡CCH3)、丙-2-炔基(炔丙基,-CH2C≡CH)、丁-1-炔基、丁-2-炔基和丁-3-炔基。在一些实施方案中,“任选取代的炔基”的取代基包括如下的1-4个实例:F、Cl、Br、I、OH、SH、CN、NH2、NHCH3、N(CH3)2、NO2、N3、C(O)CH3、COOH、CO2CH3、甲基、乙基、丙基、异丙基、丁基、异丁基、环丙基、甲氧基、乙氧基、丙氧基、氧代、三氟甲基、二氟甲基、磺酰基氨基、甲磺酰基氨基、SO、SO2、苯基、哌啶基、哌嗪基和嘧啶基,其中其烷基、苯基和杂环部分可以任选被取代,例如被选择该相同列表的取代基的1-4个实例取代。
“亚烷基”是指具有通过从母体烷烃的相同或两个不同的碳原子去除两个氢原子而衍生的两个一价基团中心的饱和、支链或直链烃基。在一个实例中,二价亚烷基是1至18个碳原子(C1-C18)。在其它实例中,二价亚烷基是C0-C6、C0-C5、C0-C3、C1-C12、C1-C10、C1-C8、C1-C6、C1-C5、C1-C4或C1-C3。基团C0亚烷基是指键。实例亚烷基包括亚甲基(-CH2-)、1,1-乙基(-CH(CH3)-)、(1,2-乙基(-CH2CH2-)、1,1-丙基(-CH(CH2CH3)-)、2,2-丙基(-C(CH3)2-)、1,2-丙基(-CH(CH3)CH2-)、1,3-丙基(-CH2CH2CH2-)、1,1-二甲基乙-1,2-基(-C(CH3)2CH2-)、1,4-丁基(-CH2CH2CH2CH2-)等。
术语“杂烷基”是指由指明数目的碳原子(或者如果没有指明,则至多18个碳原子)和1至5个选自O、N、Si和S的杂原子组成的直链或支链一价烃基,并且其中氮和硫原子可以任选被氧化,并且氮杂原子可以任选被季铵化。在一些实施方案中,杂原子选自O、N和S,其中氮和硫原子可以任选被氧化,并且氮杂原子可以任选被季铵化。杂原子可以位于杂烷基的任何内部位置,包括烷基连接至分子其余部分的位置(例如-O-CH2-CH3)。实例包括-CH2-CH2-O-CH3、-CH2-CH2-NH-CH3、-CH2-CH2-N(CH3)-CH3、-CH2-S-CH2-CH3、-S(O)-CH3、-CH2-CH2-S(O)2-CH3、-Si(CH3)3和-CH2-CH=N-OCH3。至多两个杂原子可以是连续的,例如,-CH2-NH-OCH3和-CH2-O-Si(CH3)3。杂烷基可以任选被取代。在一些实施方案中,“任选取代的杂烷基”的取代基包括如下的1-4个实例:F、Cl、Br、I、OH、SH、CN、NH2、NHCH3、N(CH3)2、NO2、N3、C(O)CH3、COOH、CO2CH3、甲基、乙基、丙基、异丙基、丁基、异丁基、环丙基、甲氧基、乙氧基、丙氧基、氧代、三氟甲基、二氟甲基、磺酰基氨基、甲磺酰基氨基、SO、SO2、苯基、哌啶基、哌嗪基和嘧啶基,其中其烷基、苯基和杂环部分可以任选被取代,例如被选自该相同列表的取代基的1至4个实例取代。
“氨基”是指任选被取代的伯胺(即-NH2)、仲胺(即-NRH)、叔胺(即-NRR)和季胺(即-N(+)RRR),其中每个R相同或不同并且选自烷基、环烷基、芳基和杂环基,其中烷基、环烷基、芳基和杂环基如本文所定义。特别的仲胺和叔胺是烷基胺、二烷基胺、芳基胺、二芳基胺、芳烷基胺和二芳烷基胺,其中烷基和芳基部分可以任选被取代。特别的仲胺和叔胺是甲胺、乙胺、丙胺、异丙胺、苯胺、苄胺、二甲胺、二乙胺、二丙胺和二异丙胺。在一些实施方案中,季胺的R基团各自独立地为任选取代的烷基。
“芳基”是指具有指定碳原子数(或如果没有指定数目,最多14个碳原子)的碳环芳族基团,无论是否与一个或多个基团稠合。一个实例包括具有6-14个碳原子的芳基。另一个实例包括具有6-10个碳原子的芳基。芳基的实例包括苯基、萘基、联苯基、菲基、并四苯基、1,2,3,4-四氢萘基、1H-茚基、2,3-二氢-1H-茚基等(参见例如Lang的Handbook ofChemistry(Dean,J.A.编辑)第13版,表7-2[1985])。特定的芳基是苯基。取代的苯基或取代的芳基是指被一个、两个、三个、四个或五个取代基,例如1-2个、1-3个或1-4个取代基取代的苯基或芳基,所述取代基例如选自文中指明的基团(参见“任选取代的”定义),例如F、Cl、Br、I、OH、SH、CN、NH2、NHCH3、N(CH3)2、NO2、N3、C(O)CH3、COOH、CO2CH3、甲基、乙基、丙基、异丙基、丁基、异丁基、环丙基、甲氧基、乙氧基、丙氧基、氧代、三氟甲基、二氟甲基、磺酰基氨基、甲磺酰基氨基、SO、SO2、苯基、哌啶基、哌嗪基和嘧啶基,其中其烷基、苯基和杂环部分可以任选被取代,例如被选自该相同列表的取代基的1至4个实例取代。术语“取代的苯基”的实例包括单-或二(卤代)苯基例如2-氯苯基、2-溴苯基、4-氯苯基、2,6-二氯苯基、2,5-二氯苯基、3,4-二氯苯基、3-氯苯基、3-溴苯基、4-溴苯基、3,4-二溴苯基、3-氯-4-氟苯基、2-氟苯基、2,4-二氟苯基等;单-或二(羟基)苯基例如4-羟基苯基、3-羟基苯基、2,4-二羟基苯基、其保护的-羟基衍生物等;硝基苯基例如3-或4-硝基苯基;氰基苯基例如4-氰基苯基;单-或二(烷基)苯基例如4-甲基苯基、2,4-二甲基苯基、2-甲基苯基、4-(异丙基)苯基、4-乙基苯基、3-(正丙基)苯基等;单或二(烷氧基)苯基例如3,4-二甲氧基苯基、3-甲氧基-4-苄氧基苯基、3-乙氧基苯基、4-(异丙氧基)苯基、4-(叔丁氧基)苯基、3-乙氧基-4-甲氧基苯基等;3-或4-三氟甲基苯基;单-或二羧基苯基或(保护的羧基)苯基例如4-羧基苯基、单-或二(羟基甲基)苯基或(保护的羟基甲基)苯基例如3-(保护的羟基甲基)苯基或3,4-二(羟基甲基)苯基;单-或二(氨基甲基)苯基或(保护的氨基甲基)苯基例如2-(氨基甲基)苯基或2,4-(保护的氨基甲基)苯基;或单-或二(N-(甲基磺酰基氨基))苯基例如3-(N-甲基磺酰基氨基))苯基。而且,术语“取代的苯基”表示取代基不同的二取代的苯基,例如3-甲基-4-羟基苯基、3-氯-4-羟基苯基、2-甲氧基-4-溴苯基、4-乙基-2-羟基苯基、3-羟基-4-硝基苯基、2-羟基-4-氯苯基、2-氯-5-二氟甲氧基等,以及其中取代基不同的三取代的苯基,例如3-甲氧基-4-苄氧基-6-甲基磺酰基氨基、3-甲氧基-4-苄氧基-6-苯基磺酰基氨基,和其中取代基不同的四取代的苯基,例如3-甲氧基-4-苄氧基-5-甲基-6-苯基磺酰基氨基。在一些实施方案中,芳基(例如苯基)的取代基包括酰胺。例如,芳基(例如苯基)取代基可以是-(CH2)0-4CONR’R”,其中R’和R”各自独立地是指包括例如以下的基团:氢;未取代的C1-C6烷基;被卤素、OH、CN、未取代的C1-C6烷基、未取代的C1-C6烷氧基、氧代或NR’R”取代的C1-C6烷基;未取代的C1-C6杂烷基;被卤素、OH、CN、未取代的C1-C6烷基、未取代的C1-C6烷氧基、氧代或NR’R”取代的C1-C6杂烷基;未取代的C6-C10芳基;被卤素、OH、CN、未取代的C1-C6烷基、未取代的C1-C6烷氧基或NR’R”取代的C6-C10芳基;未取代的3-11元杂环基(例如含有1至4个选自O、N和S的杂原子的5-6元杂芳基或含有1至4个选自O、N和S的杂原子的4-11元杂环烷基);和被卤素、OH、CN、未取代的C1-C6烷基、未取代的C1-C6烷氧基、氧代或NR’R”取代的3-11元杂环基(例如含有1至4个选自O、N和S的杂原子的5-6元杂芳基或含有1至4个选自O、N和S的杂原子的4-11元杂环烷基);或R’和R”可以与氮原子组合以形成3-、4-、5-、6-或7-元环,其中环原子任选被N、O或S取代,并且其中环任选被卤素、OH、CN、未取代的C1-C6烷基、未取代的C1-C6烷氧基、氧代或NR’R”取代。
“环烷基”是指非芳族,饱和或部分不饱和的烃环基团,其中环烷基可以任选独立地被一个或多个本文所述的取代基取代。在一个实例中,环烷基为3至12个碳原子(C3-C12)。在其它实例中,环烷基为C3-C8、C3-C10或C5-C10。在其它实例中,作为单环的环烷基是C3-C8、C3-C6或C5-C6。在另一个实例中,作为二环的环烷基是C7-C12。在另一个实例中,作为螺环系的环烷基是C5-C12。单环环烷基的实例包括环丙基、环丁基、环戊基、1-环戊-1-烯基、1-环戊-2-烯基、1-环戊-3-烯基、环己基、全氘代环己基、1-环己-1-烯基、1-环己基-2-烯基、1-环己-3-烯基、环己二烯基、环庚基、环辛基、环壬基、环癸基、环十一烷基和环十二烷基。具有7至12个环原子的二环环烷基的示例性排列包括但不限于[4,4]、[4,5]、[5,5]、[5,6]或[6,6]环系。示例性的桥连二环环烷基包括但不限于二环[2.2.1]庚烷、二环[2.2.2]辛烷和二环[3.2.2]壬烷。螺环烷基的实例包括螺[2.2]戊烷、螺[2.3]己烷、螺[2.4]庚烷、螺[2.5]辛烷和螺[4.5]癸烷。在一些实施方案中,“任选取代的环烷基”的取代基包括如下的1-4个实例:F、Cl、Br、I、OH、SH、CN、NH2、NHCH3、N(CH3)2、NO2、N3、C(O)CH3、COOH、CO2CH3、甲基、乙基、丙基、异丙基、丁基、异丁基、环丙基、甲氧基、乙氧基、丙氧基、氧代、三氟甲基、二氟甲基、磺酰基氨基、甲磺酰基氨基、SO、SO2、苯基、哌啶基、哌嗪基和嘧啶基,其中其烷基、苯基和杂环部分可以任选被取代,例如被选自该相同列表的取代基的1至4个实例取代。在一些实施方案中,环烷基的取代基包括酰胺。例如,环烷基取代基可以为-(CH2)0-4CONR’R”,其中R’和R”各自独立地指基团,包括例如氢;未取代的C1-C6烷基;被卤素、OH、CN、未取代的C1-C6烷基、未取代的C1-C6烷氧基、氧代或NR’R”取代的C1-C6烷基;未取代的C1-C6杂烷基;被卤素、OH、CN、未取代的C1-C6烷基、未取代的C1-C6烷氧基、氧代或NR’R”取代的C1-C6杂烷基;未取代的C6-C10芳基;被卤素、OH、CN、未取代的C1-C6烷基、未取代的C1-C6烷氧基或NR’R”取代的C6-C10芳基;未取代的3-11元杂环基(例如包含1-4个选自O、N和S的杂原子的5-6元杂芳基或包含1-4个选自O、N和S的杂原子的4-11元杂环烷基);和被卤素、OH、CN、未取代的C1-C6烷基、未取代的C1-C6烷氧基、氧代或NR’R”取代的3-11元杂环基(例如包含1-4个选自O、N和S的杂原子的5-6元杂芳基或包含1-4个选自O、N和S的杂原子的4-11元杂环烷基);或R’和R”可以与氮原子合并形成3-、4-、5-、6-或7-元环,其中环原子任选被N、O或S取代,并且其中环任选被卤素、OH、CN、未取代的C1-C6烷基、未取代的C1-C6烷氧基、氧代或NR’R”取代。
“杂环基团”、“杂环的”、“杂环(heterocycle,heterocyclo)”或“杂环基”可互换使用,并且是指任何单环、二环、三环或螺环、饱和或不饱和的、芳族的(杂芳基)或非芳族的(例如杂环烷基)环系,其具有3至20个环原子,其中环原子是碳,并且环或环系中的至少一个原子是选自氮、硫或氧的杂原子。如果环系的任何环原子是杂原子,则该系统是杂环,而不管环系与分子其余部分的连接点。在一个实例中,杂环基包括3-11个环原子(“成员”)并且包括单环、二环、三环和螺环系,其中环原子是碳,其中环或环系中的至少一个原子是选自氮、硫或氧的杂原子。在一个实例中,杂环基包含1至4个杂原子。在一个实例中,杂环基包含1至3个杂原子。在另一个实例中,杂环基包括具有1-2个、1-3个或1-4个选自氮、硫或氧的杂原子的3-至7-元单环。在另一个实例中,杂环基包括具有1-2个、1-3个或1-4个选自氮、硫或氧的杂原子的4-至6-元单环。在另一个实例中,杂环基包括3元单环。在另一个实例中,杂环基包括4元单环。在另一个实例中,杂环基包括5-6元单环,例如5-6元杂芳基。在另一个实例中,杂环基包括3-11元杂环烷基,例如4-11元杂环烷基。在一些实施方案中,杂环烷基包含至少一个氮。在一个实例中,杂环基包含0至3个双键。任何氮或硫杂原子可以任选被氧化(例如NO、SO、SO2),并且任何氮杂原子可以任选被季铵化(例如[NR4]+Cl-、[NR4]+OH-)。实例杂环是氧杂环丙烷基、氮杂环丙烷基、硫杂环丙烷基、氮杂环丁烷基、氧杂环丁烷基、硫杂环丁烷基、1,2-二硫杂环丁烷基、1,3-二硫杂环丁烷基、吡咯烷基、二氢-1H-吡咯基、二氢呋喃基、四氢呋喃基、二氢噻吩基、四氢噻吩基、咪唑烷基、哌啶基、哌嗪基、异喹啉基、四氢异喹啉基、吗啉基、硫代吗啉基、1,1-二氧代-硫代吗啉基、二氢吡喃基、四氢吡喃基、六氢噻喃基、六氢嘧啶基、嗪烷基、噻嗪烷基、噻烷基、高哌嗪基、高哌啶基、氮杂环庚烷基、氧杂环庚烷基、硫杂环庚烷基、氧杂氮杂基、氧杂氮杂环庚烷基、二氮杂环庚烷基、1,4-二氮杂环庚烷基、二氮杂基、硫杂氮杂基、硫杂氮杂环庚烷基、四氢噻喃基、唑烷基、噻唑烷基、异噻唑烷基、1,1-二氧代异噻唑烷酮基、唑烷酮基、咪唑烷酮基、4,5,6,7-四氢[2H]吲唑基、四氢苯并咪唑基、4,5,6,7-四氢苯并[d]咪唑基、1,6-二氢咪唑并[4,5-d]吡咯并[2,3-b]吡啶基、噻嗪基、嗪基、噻二嗪基、二嗪基、二噻嗪基、二嗪基、噻嗪基、噻三嗪基、三嗪基、二噻二嗪基、咪唑啉基、二氢嘧啶基、四氢嘧啶基、1-吡咯啉基、2-吡咯啉基、3-吡咯啉基、吲哚啉基、噻喃基、2H-吡喃基、4H-吡喃基、二烷基、1,3-二氧戊环基、吡唑啉基、吡唑烷基、二噻烷基、二硫戊环基、嘧啶酮基、嘧啶二酮基、嘧啶-2,4-二酮基、哌嗪酮基、哌嗪二酮基、吡唑烷基咪唑啉基、3-氮杂二环[3.1.0]己烷基、3,6-二氮杂二环[3.1.1]庚烷基、6-氮杂二环[3.1.1]庚烷基、3-氮杂二环[3.1.1]庚烷基、3-氮杂二环[4.1.0]庚烷基、氮杂二环[2.2.2]己烷基、2-氮杂二环[3.2.1]辛烷基、8-氮杂二环[3.2.1]辛烷基、2-氮杂二环[2.2.2]辛烷基、8-氮杂二环[2.2.2]辛烷基、7-氧杂二环[2.2.1]庚烷基、氮杂螺[3.5]壬烷基、氮杂螺[2.5]辛烷基、氮杂螺[4.5]癸烷基、1-氮杂螺[4.5]癸-2-酮基、氮杂螺[5.5]十一烷基、四氢吲哚基、八氢吲哚基、四氢异吲哚基、四氢吲唑基、1,1-二氧代六氢噻喃基。含有硫或氧原子和一至三个氮原子的5元杂环的实例是噻唑基包括噻唑-2-基和噻唑-2-基N-氧化物,噻二唑基包括1,3,4-噻二唑-5-基和1,2,4-噻二唑-5-基,唑基例如唑-2-基,和二唑基例如1,3,4-二唑-5-基和1,2,4-二唑-5-基。含有2至4个氮原子的实例5-元环杂环包括咪唑基例如咪唑-2-基;三唑基例如1,3,4-三唑-5-基;1,2,3-三唑-5-基、1,2,4-三唑-5-基,和四唑基例如1H-四唑-5-基。苯并稠合的5元杂环的实例是苯并唑-2-基、苯并噻唑-2-基和苯并咪唑-2-基。实例6-元杂环含有一至三个氮原子和任选的硫或氧原子,例如吡啶基例如吡啶-2-基、吡啶-3-基和吡啶-4-基;嘧啶基例如嘧啶-2-基和嘧啶-4-基;三嗪基例如1,3,4-三嗪-2-基和1,3,5-三嗪-4-基;哒嗪基特别是哒嗪-3-基,和吡嗪基。吡啶N-氧化物和哒嗪N-氧化物以及吡啶基、嘧啶-2-基、嘧啶-4-基、哒嗪基和1,3,4-三嗪-2-基是其它实例杂环基。杂环可以任选被取代。例如“任选取代的杂环”的取代基包括如下的1-4个实例:F、Cl、Br、I、OH、SH、CN、NH2、NHCH3、N(CH3)2、NO2、N3、C(O)CH3、COOH、CO2CH3、甲基、乙基、丙基、异丙基、丁基、异丁基、环丙基、甲氧基、乙氧基、丙氧基、氧代、三氟甲基、二氟甲基、磺酰基氨基、甲磺酰基氨基、SO、SO2、苯基、哌啶基、哌嗪基和嘧啶基,其中其烷基、芳基和杂环部分可以任选被取代,例如被选自该相同列表的取代基的1至4个实例取代。在一些实施方案中,杂环基例如杂芳基或杂环烷基的取代基包括酰胺。例如,杂环(例如,杂芳基或杂环烷基)取代基可以是-(CH2)0-4CONR’R”,其中R’和R”各自独立地指包括例如以下的基团:氢;未取代的C1-C6烷基;被卤素、OH、CN、未取代的C1-C6烷基、未取代的C1-C6烷氧基、氧代或NR’R”取代的C1-C6烷基;未取代的C1-C6杂烷基;被卤素、OH、CN、未取代的C1-C6烷基、未取代的C1-C6烷氧基、氧代或NR’R”取代的C1-C6杂烷基;未取代的C6-C10芳基;被卤素、OH、CN、未取代的C1-C6烷基、未取代的C1-C6烷氧基或NR’R”取代的C6-C10芳基;未取代的3-11元杂环基(例如含有1至4个选自O、N和S的杂原子的5-6元杂芳基或含有1至4个选自O、N和S的杂原子的4-11元杂环烷基);和被卤素、OH、CN、未取代的C1-C6烷基、未取代的C1-C6烷氧基、氧代或NR’R”取代的3-11元杂环基(例如含有1至4个选自O、N和S的杂原子的5-6元杂芳基或含有1至4个选自O、N和S的杂原子的4-11元杂环烷基);或者R’和R”可以与氮原子组合形成3-、4-、5-、6-或7-元环,其中环原子任选被N、O或S取代,并且其中环任选被卤素、OH、CN、未取代的C1-C6烷基、未取代的C1-C6烷氧基、氧代或NR’R”取代。
“杂芳基”是指任何单环、二环或三环系,其中至少一个环是含有1至4个选自氮、氧和硫的杂原子的5或6元芳族环,并且在实例实施方案中,至少一个杂原子是氮。参见例如Lang的Handbook of Chemistry(Dean,J.A.编辑)第13版,表7-2[1985]。包括在定义中的是任何二环基团,其中任何上述杂芳基环与芳基环稠合,其中芳基环或杂芳基环与分子的其余部分连接。在一个实施方案中,杂芳基包括5-6元单环芳族基团,其中一个或多个环原子是氮、硫或氧。实例杂芳基包括噻吩基、呋喃基、咪唑基、吡唑基、噻唑基、异噻唑基、唑基、异唑基、三唑基、噻二唑基、二唑基、四唑基、噻三唑基、三唑基、吡啶基、嘧啶基、吡嗪基、哒嗪基、三嗪基、四嗪基、四唑并[1,5-b]哒嗪基、咪唑并[1,2-a]嘧啶基和嘌呤基,以及苯并稠合衍生物,例如苯并唑基、苯并呋喃基、苯并噻唑基、苯并噻二唑基、苯并三唑基、苯并咪唑基和吲哚基。杂芳基可以任选被取代。在一些实施方案中,“任选取代的杂芳基”的取代基包括如下的1-4个实例:F、Cl、Br、I、OH、SH、CN、NH2、NHCH3、N(CH3)2、NO2、N3、C(O)CH3、COOH、CO2CH3、甲基、乙基、丙基、异丙基、丁基、异丁基、环丙基、甲氧基、乙氧基、丙氧基、三氟甲基、二氟甲基、磺酰基氨基、甲磺酰基氨基、SO、SO2、苯基、哌啶基、哌嗪基和嘧啶基,其中其烷基、苯基和杂环部分可以任选被取代,例如被选自该相同列表的取代基的1至4个实例取代。在一些实施方案中,杂芳基的取代基包括酰胺。例如,杂芳基取代基可以是-(CH2)0-4CONR’R”,其中R’和R”各自独立地指包括例如以下的基团:氢;未取代的C1-C6烷基;被卤素、OH、CN、未取代的C1-C6烷基、未取代的C1-C6烷氧基、氧代或NR’R”取代的C1-C6烷基;未取代的C1-C6杂烷基;被卤素、OH、CN、未取代的C1-C6烷基、未取代的C1-C6烷氧基、氧代或NR’R”取代的C1-C6杂烷基;未取代的C6-C10芳基;被卤素、OH、CN、未取代的C1-C6烷基、未取代的C1-C6烷氧基或NR’R”取代的C6-C10芳基;未取代的3-11元杂环基(例如含有1至4个选自O、N和S的杂原子的5-6元杂芳基或含有1至4个选自O、N和S的杂原子的4-11元杂环烷基);和被卤素、OH、CN、未取代的C1-C6烷基、未取代的C1-C6烷氧基、氧代或NR’R”取代的3-11元杂环基(例如含有1至4个选自O、N和S的杂原子的5-6元杂芳基或含有1至4个选自O、N和S的杂原子的4-11元杂环烷基);或者R’和R”可以与氮原子组合形成3-、4-、5-、6-或7-元环,其中环原子任选被N、O或S取代,并且其中环任选被卤素、OH、CN、未取代的C1-C6烷基、未取代的C1-C6烷氧基、氧代或NR’R”取代。
在特别的实施方案中,杂环基在杂环基的碳原子处连接。例如,碳键合的杂环基包括在下述位置的键合排布:吡啶环的2、3、4、5或6位,哒嗪环的3、4、5或6位,嘧啶环的2、4、5或6位,吡嗪环的2、3、5或6位,呋喃、四氢呋喃、噻喃、噻吩、吡咯或四氢吡咯环的2、3、4或5位,唑、咪唑或噻唑环的2、4或5位,异唑、吡唑或异噻唑环的3、4或5位,氮杂环丙烷环的2或3位,氮杂环丁烷环的2、3或4位,喹啉环的2、3、4、5、6、7或8位或异喹啉环的1、3、4、5、6、7或8位。
在某些实施方案中,杂环基是N-连接的。例如,氮键合的杂环基或杂芳基包括在下述位置的键合排布:氮杂环丙烷、氮杂环丁烷、吡咯、吡咯烷、2-吡咯啉、3-吡咯啉、咪唑、咪唑烷、2-咪唑啉、3-咪唑啉、吡唑、吡唑啉、2-吡唑啉、3-吡唑啉、哌啶、哌嗪、吲哚、吲哚啉、1H-吲唑的1位,异吲哚或异吲哚啉的2位,吗啉的4位,和咔唑或β-咔啉的9位。
术语“烷氧基”是指由式-OR表示的直链或支链一价基团,其中R是如本文所定义的烷基。烷氧基包括甲氧基、乙氧基、丙氧基、异丙氧基、单-、二-和三-氟甲氧基和环丙氧基。
“酰基”是指由式-C(O)-R表示的含羰基的取代基,其中R是氢、烷基、环烷基、芳基或杂环基,其中烷基、环烷基、芳基和杂环基如本文所定义。酰基包括烷酰基(例如乙酰基)、芳酰基(例如苯甲酰基)和杂芳酰基(例如吡啶酰基)。
除非另有说明,否则“任选取代的”意指基团可以是未取代的或者被一个或多个(例如0、1、2、3、4或5或更多个,或其中可衍生的任何范围)为该基团所列的取代基取代,其中所述取代基可以相同或不同。在一个实施方案中,任选取代的基团具有1个取代基。在另一个实施方案中,任选取代的基团具有2个取代基。在另一个实施方案中,任选取代的基团具有3个取代基。在另一个实施方案中,任选取代的基团具有4个取代基。在另一个实施方案中,任选取代的基团具有5个取代基。
烷基(单独或作为另外的取代基(例如烷氧基)的一部分)以及亚烷基、链烯基、炔基、杂烷基、杂环烷基和环烷基(也各自单独或作为另外的取代基的一部分)的任选取代基可以是多种基团,例如本文所述的那些,以及选自卤素;氧代;CN;NO;N3;-OR’;全氟-C1-C4烷氧基;未取代的C3-C7环烷基;被卤素、OH、CN、未取代的C1-C6烷基、未取代的C1-C6烷氧基、氧代或NR’R”取代的C3-C7环烷基;未取代的C6-C10芳基(例如苯基);被卤素、OH、CN、未取代的C1-C6烷基、未取代的C1-C6烷氧基或NR’R”取代的C6-C10芳基;未取代的3-11元杂环基(例如含有1至4个选自O、N和S的杂原子的5-6元杂芳基或含有1至4个选自O、N和S的杂原子的4-11元杂环烷基);被卤素、OH、CN、未取代的C1-C6烷基、未取代的C1-C6烷氧基、氧代或NR’R”取代的3-11元杂环基(例如含有1至4个选自O、N和S的杂原子的5-6元杂芳基或含有1至4个选自O、N和S的杂原子的4-11元杂环烷基);-NR’R”;-SR’;-SiR’R”R”’;-OC(O)R’;-C(O)R’;-CO2R’;-CONR’R”;-OC(O)NR’R”;-NR”C(O)R’;-NR”’C(O)NR’R”;-NR”C(O)2R’;-S(O)2R’;-S(O)2NR’R”;-NR’S(O)2R”;-NR”’S(O)2NR’R”;脒基;胍基;-(CH2)1-4-OR’;-(CH2)1-4-NR’R”;-(CH2)1-4-SR’;-(CH2)1-4-SiR’R”R”’;-(CH2)1-4-OC(O)R’;-(CH2)1-4-C(O)R’;-(CH2)1-4-CO2R’;和-(CH2)1-4CONR’R”或其组合,其数目为0至(2m’+1),其中m’是在所述基团中的碳原子的总数。R’、R”和R”’各自独立地指包括例如以下的基团:氢;未取代的C1-C6烷基;被卤素、OH、CN、未取代的C1-C6烷基、未取代的C1-C6烷氧基、氧代或NR’R”取代的C1-C6烷基;未取代的C1-C6杂烷基;被卤素、OH、CN、未取代的C1-C6烷基、未取代的C1-C6烷氧基、氧代或NR’R”取代的C1-C6杂烷基;未取代的C6-C10芳基;被卤素、OH、CN、未取代的C1-C6烷基、未取代的C1-C6烷氧基或NR’R”取代的C6-C10芳基;未取代的3-11元杂环基(例如含有1至4个选自O、N和S的杂原子的5-6元杂芳基或含有1至4个选自O、N和S的杂原子的4-11元杂环烷基);和被卤素、OH、CN、未取代的C1-C6烷基、未取代的C1-C6烷氧基、氧代或NR’R”取代的3-11元杂环基(例如含有1至4个选自O、N和S的杂原子的5-6元杂芳基或含有1至4个选自O、N和S的杂原子的4-11元杂环烷基)。当R’和R”连接到相同的氮原子时,它们可以与氮原子组合形成3-、4-、5-、6-或7-元环,其中环原子任选被N、O或S取代,并且其中环任选被卤素、OH、CN、未取代的C1-C6烷基、未取代的C1-C6烷氧基、氧代或NR’R”取代。例如,-NR’R”意在包括1-吡咯烷基和4-吗啉基。
类似地,芳基和杂芳基的任选取代基是变化的。在一些实施方案中,芳基和杂芳基的取代基选自卤素;CN;NO;N3;-OR’;全氟-C1-C4烷氧基;未取代的C3-C7环烷基;被卤素、OH、CN、未取代的C1-C6烷基、未取代的C1-C6烷氧基、氧代或NR’R”取代的C3-C7环烷基;未取代的C6-C10芳基(例如苯基);被卤素、OH、CN、未取代的C1-C6烷基、未取代的C1-C6烷氧基或NR’R”取代的C6-C10芳基;未取代的3-11元杂环基(例如含有1至4个选自O、N和S的杂原子的5-6元杂芳基或含有1至4个选自O、N和S的杂原子的4-11元杂环烷基);被卤素、OH、CN、未取代的C1-C6烷基、未取代的C1-C6烷氧基、氧代或NR’R”取代的3-11元杂环基(例如含有1至4个选自O、N和S的杂原子的5-6元杂芳基或含有1至4个选自O、N和S的杂原子的4-11元杂环烷基);-NR’R”;-SR’;-SiR’R”R”’;-OC(O)R’;-C(O)R’;-CO2R’;-CONR’R”;-OC(O)NR’R”;-NR”C(O)R’;-NR”’C(O)NR’R”;-NR”C(O)2R’;-S(O)2R’;-S(O)2NR’R”;-NR’S(O)2R”;-NR”’S(O)2NR’R”;脒基;胍基;-(CH2)1-4-OR’;-(CH2)1-4-NR’R”;-(CH2)1-4-SR’;-(CH2)1-4-SiR’R”R”’;-(CH2)1-4-OC(O)R’;-(CH2)1-4-C(O)R’;-(CH2)1-4-CO2R’;和-(CH2)1-4CONR’R”或其组合,其数目为0至(2m’+1),其中m’是此类基团中的碳原子总数。R’、R”和R”’各自独立地指包括例如以下的基团:氢;未取代的C1-C6烷基;被卤素、OH、CN、未取代的C1-C6烷基、未取代的C1-C6烷氧基、氧代或NR’R”取代的C1-C6烷基;未取代的C1-C6杂烷基;被卤素、OH、CN、未取代的C1-C6烷基、未取代的C1-C6烷氧基、氧代或NR’R”取代的C1-C6杂烷基;未取代的C6-C10芳基;被卤素、OH、CN、未取代的C1-C6烷基、未取代的C1-C6烷氧基或NR’R”取代的C6-C10芳基;未取代的3-11元杂环基(例如含有1至4个选自O、N和S的杂原子的5-6元杂芳基或含有1至4个选自O、N和S的杂原子的4-11元杂环烷基);和被卤素、OH、CN、未取代的C1-C6烷基、未取代的C1-C6烷氧基、氧代或NR’R”取代的3-11元杂环基(例如含有1至4个选自O、N和S的杂原子的5-6元杂芳基或含有1至4个选自O、N和S的杂原子的4-11元杂环烷基)。当R’和R”连接到相同的氮原子时,它们可以与氮原子组合形成3-、4-、5-、6-或7-元环,其中环原子任选被N、O或S取代,并且其中环任选被卤素、OH、CN、未取代的C1-C6烷基、未取代的C1-C6烷氧基、氧代或NR’R”取代。例如,-NR’R”意在包括1-吡咯烷基和4-吗啉基。
术语“氧代”是指=O或(=O)2。
在某些实施方案中,没有具体的键合构型一般地描述二价基团。应当理解,除非另有说明,否则一般描述意在包括两种键合构型。例如,在基团R1-R2-R3中,如果基团R2描述为-CH2C(O)-时,则应当理解,该基团可以作为R1-CH2C(O)-R3和R1-C(O)CH2-R3键合,除非另有说明。
短语“药学上可接受的”是指当适当地施用于动物例如人时不产生不利的、过敏的或其它不良反应的分子实体和组合物。
本发明化合物可以是盐例如药学上可接受的盐的形式。“药学上可接受的盐”包括酸和碱加成盐。“药学上可接受的酸加成盐”是指与无机酸和有机酸形成的、保留游离碱的生物学有效性和性质并且不是生物学上或其它方面不期望的那些盐,所述无机酸例如盐酸、氢溴酸、硫酸、硝酸、碳酸、磷酸等,并且有机酸可以选自脂族、环脂族、芳族、芳脂族、杂环、羧酸和磺酸类的有机酸例如甲酸、乙酸、丙酸、乙醇酸、葡糖酸、乳酸、丙酮酸、草酸、苹果酸、马来酸、丙二酸(maloneic acid)、琥珀酸、富马酸、酒石酸、柠檬酸、天冬氨酸、抗坏血酸、谷氨酸、邻氨基苯甲酸、苯甲酸、肉桂酸、扁桃酸、扑酸、苯乙酸、甲磺酸、乙磺酸、苯磺酸、对甲苯磺酸、水杨酸等。
“药学上可接受的碱加成盐”包括衍生自无机碱的那些例如钠、钾、锂、铵、钙、镁、铁、锌、铜、锰、铝盐等。特别的碱加成盐是铵、钾、钠、钙和镁盐。衍生自药学上可接受的有机无毒碱的盐包括伯胺、仲胺和叔胺、取代的胺(包括天然存在的取代的胺)、环胺和碱性离子交换树脂,例如异丙胺、三甲胺、二乙胺、三乙胺、三丙胺、乙醇胺、2-二乙基氨基乙醇、氨丁三醇、二环己胺、赖氨酸、精氨酸、组氨酸、咖啡因、普鲁卡因、海巴明、胆碱、甜菜碱、乙二胺、葡糖胺、甲基葡糖胺、可可碱、嘌呤、哌嗪、哌啶、N-乙基哌啶、聚胺树脂等的盐。特别的有机无毒碱包括异丙胺、二乙胺、乙醇胺、氨基丁三醇、二环己胺、胆碱和咖啡因。
在一些实施方案中,盐选自盐酸盐、氢溴酸盐、三氟乙酸盐、硫酸盐、磷酸盐、乙酸盐、富马酸盐、马来酸盐、酒石酸盐、乳酸盐、柠檬酸盐、丙酮酸盐、琥珀酸盐、草酸盐、甲磺酸盐、对甲苯磺酸盐、硫酸氢盐、苯磺酸盐、乙磺酸盐、丙二酸盐、昔萘酸盐、抗坏血酸盐、油酸盐、烟酸盐、糖精盐、己二酸盐、甲酸盐、乙醇酸盐、棕榈酸盐、L-乳酸盐、D-乳酸盐、天冬氨酸盐、苹果酸盐、L-酒石酸盐、D-酒石酸盐、硬脂酸盐、糠酸盐(例如2-糠酸盐或3-糠酸盐)、萘二磺酸盐(萘-1,5-二磺酸盐或萘-1-(磺酸)-5-磺酸盐)、乙二磺酸盐(乙烷-1,2-二磺酸盐或乙烷-1-(磺酸)-2-磺酸盐)、羟乙基磺酸盐(2-羟乙基磺酸盐)、2-均三甲苯磺酸盐、2-萘磺酸盐、2,5-二氯苯磺酸盐、D-扁桃酸盐、L-扁桃酸盐、肉桂酸盐、苯甲酸盐、己二酸盐、乙磺酸盐、丙二酸盐、均三甲苯磺酸盐(2-均三甲苯磺酸盐)、萘磺酸盐(2-萘磺酸盐)、樟脑磺酸盐(樟脑-10-磺酸盐,例如(1S)-(+)-10-樟脑磺酸盐)、谷氨酸盐、戊二酸盐、马尿酸盐(2-(苯甲酰氨基)乙酸盐)、乳清酸盐(orotate)、二甲苯磺酸盐(对二甲苯-2-磺酸盐)和双羟萘酸盐(2,2’-二羟基-1,1’-二萘基甲烷-3,3’-二甲酸盐)。
“无菌”制剂是无菌的或不含所有活微生物及其孢子。
“立体异构体”是指具有相同化学组成但在空间中原子或基团的排列方面不同的化合物。立体异构体包括非对映异构体、对映异构体、构象异构体等。
“手性”是指具有镜像对偶体(partner)不可重叠性的分子,而术语“非手性”是指在其镜像对偶体上可重叠的分子。
“非对映异构体”是指具有两个或更多个手性中心并且其分子彼此不是镜像的立体异构体。非对映异构体具有不同的物理性质,例如熔点、沸点、光谱性质或生物活性。非对映异构体的混合物可以在高分辨率分析方法例如电泳和色谱例如HPLC下分离。
“对映异构体”是指化合物的两种立体异构体,它们是彼此不重叠的镜像。
本文使用的立体化学定义和惯例通常遵循S.P.Parker,Ed.,McGraw-HillDictionary of Chemical Terms(1984)McGraw-Hill Book Company,New York;和Eliel,E.和Wilen,S.,“Stereochemistry of Organic Compounds”,John Wiley&Sons,Inc.,NewYork,1994。许多有机化合物以旋光活性形式存在,即它们具有旋转平面偏振光的平面的能力。在描述旋光活性化合物时,前缀D和L或R和S用于表示分子关于其手性中心的绝对构型。前缀d和l或(+)和(-)用于表示化合物旋转平面偏振光的符号,其中(-)或l表示化合物是左旋的。带有(+)或d的前缀的化合物是右旋的。对于给定的化学结构,这些立体异构体是相同的,除了它们是彼此的镜像。特定的立体异构体也可以称为对映异构体,并且这些异构体的混合物通常称为对映异构体混合物。对映异构体的50:50混合物被称为外消旋混合物或外消旋物,其可以在没有立体选择性或立体特异性的化学反应或过程中发生。术语“外消旋混合物”和“外消旋物”是指没有旋光活性的两种对映异构体的等摩尔混合物。
术语“互变异构体”或“互变异构形式”是指不同能量的结构异构体,其可通过低能垒互相转化。例如,质子互变异构体(也称为质子移变互变异构体)包括通过质子迁移的相互转化,例如酮-烯醇和亚胺-烯胺异构化。价键互变异构体包括通过一些键合电子的重组的互变。
本发明的某些化合物可以以非溶剂化形式以及溶剂化形式包括水合形式存在。“溶剂化物”是指一个或多个溶剂分子和本发明化合物的缔合物或复合物。形成溶剂化物的溶剂的实例包括水、异丙醇、乙醇、甲醇、DMSO、乙酸乙酯、乙酸和乙醇胺。本发明的某些化合物可以以多种结晶或无定形形式存在。通常,所有物理形式都在本发明的范围内。术语“水合物”是指溶剂分子是水的复合物。
“代谢物”是指指明化合物或其盐的通过在体内代谢产生的产物。这样的产物可以例如由所施用的化合物的氧化、还原、水解、酰胺化、脱酰胺化、酯化、脱酯化、酶裂解等导致。
代谢产物通常通过下述鉴定:制备本发明化合物的放射性标记(例如14C或3H)同位素,以可检测的剂量(例如大于约0.5mg/kg)施用于动物例如大鼠、小鼠、豚鼠、猴或人,允许足够的时间发生代谢(通常约30秒至30小时),并且从尿、血液或其它生物样品中分离其转化产物。这些产物容易分离,因为它们被标记(其它的通过使用能够结合在代谢物中存活的表位的抗体来分离)。以常规方式例如通过MS、LC/MS或NMR分析测定代谢物结构。通常,代谢物的分析以与本领域技术人员公知的常规药物代谢研究相同的方式进行。代谢产物,只要它们不以其它方式见于体内,可用于本发明化合物的治疗剂量的诊断测定。
本文所用的“氨基-保护基”是指通常用于阻断或保护氨基同时反应在化合物的其它官能团上进行的基团的衍生物。这种保护基的实例包括氨基甲酸酯、酰胺、烷基和芳基以及亚胺,以及许多N-杂原子衍生物,其可以被除去以再生所需的胺基团。特别的氨基保护基是Pmb(对甲氧基苄基)、Boc(叔丁氧基羰基)、Fmoc(9-芴基甲氧基羰基)和Cbz(苄氧基羰基)。这些基团的其它实例见于T.W.Greene和P.G.M.Wuts,“Protecting Groups inOrganic Synthesis,3rd ed.,John Wiley&Sons,Inc.,1999中。术语“保护的氨基”是指被上述氨基保护基之一取代的氨基。
如本文所用的“羧基-保护基”是指对分子其它位置的后续反应条件稳定的那些基团,其可以在适当的点除去而不破坏分子的其余部分,得到未保护的羧基基团。羧基保护基的实例包括酯基和杂环基。羧酸基团的酯衍生物可用于封闭或保护羧酸基团,同时反应在化合物的其它官能团上进行。此类酯基的实例包括取代的芳基烷基,包括取代的苄基,例如4-硝基苄基、4-甲氧基苄基、3,4-二甲氧基苄基、2,4-二甲氧基苄基、2,4,6-三甲氧基苄基、2,4,6-三甲基苄基、五甲基苄基、3,4-亚甲基二氧基苄基、二苯甲基、4,4’-二甲氧基二苯甲基、2,2’,4,4’-四甲氧基二苯甲基,烷基或取代的烷基酯例如甲基、乙基、叔丁基烯丙基或叔戊基、三苯基甲基(三苯甲基)、4-甲氧基三苯甲基、4,4’-二甲氧基三苯甲基、4,4’,4”-三甲氧基三苯甲基、2-苯基丙-2-基,硫酯例如叔丁基硫酯,甲硅烷基酯例如三甲基甲硅烷基、叔丁基二甲基甲硅烷基酯、苯甲酰甲基(phenacyl)、2,2,2-三氯乙基、β-(三甲基甲硅烷基)乙基、β-(二(正丁基)甲基甲硅烷基)乙基、对甲苯磺酰基乙基、4-硝基苄基磺酰基乙基、烯丙基、肉桂基、1-(三甲基甲硅烷基甲基)丙-1-烯-3-基和类似基团。羧基保护基的另一个实例是杂环基,例如1,3-唑啉基。这些基团的其它实例可见于T.W.Greene和P.G.M.Wuts,“Protecting Groups in Organic Synthesis,第3版,John Wiley&Sons,Inc.,1999中。术语“保护的羧基”是指被上述羧基保护基之一取代的羧基。
本文所用的“羟基-保护基”是指通常用于阻断或保护羟基而反应在化合物的其它官能团上进行的羟基衍生物。这种保护基团的实例包括四氢吡喃基氧基、苯甲酰基、乙酰氧基、氨基甲酰基氧基、苄基和甲硅烷基醚(例如TBS、TBDPS)基团。这些基团的其它实例在T.W.Greene和P.G.M.Wuts,“Protecting Groups in Organic Synthesis,第3版,JohnWiley&Sons,Inc.,1999中找到。术语“保护的羟基”是指被上述羟基保护基之一取代的羟基。
“个体(subject)”、“个体(individual)”或“患者”是脊椎动物。在某些实施方案中,脊椎动物是哺乳动物。哺乳动物包括但不限于农场动物(例如牛)、运动动物、宠物(例如豚鼠、猫、狗、兔和马)、灵长类动物、小鼠和大鼠。在某些实施方案中,哺乳动物是人。在包括给患者施用式I化合物或者表1或实施例1-15的化合物的实施方案中,患者通常是有其需要的。
术语“Janus激酶”是指JAK1、JAK2、JAK3和TYK2蛋白激酶。在一些实施方案中,Janus激酶可以进一步限定为JAK1、JAK2、JAK3或TYK2之一。在任何实施方案中,JAK1、JAK2、JAK3和TYK2中任何一个可以被特别排除作为Janus激酶。在一些实施方案中,Janus激酶是JAK1。在一些实施方案中,Janus激酶是JAK1和JAK2的组合。
术语“抑制”和“减少”或这些术语的任何变形包括实现期望结果的任何可测量的减少或完全抑制。例如,与正常相比,可以减少约,至多约或至少约5%、10%、15%、20%、25%、30%、35%、40%、45%、50%、55%、60%、65%、70%、75%、80%、85%、90%、95%、99%或更多或可以从其中衍生的任何范围的活性(例如JAK1活性)减少。
在一些实施方案中,式I化合物或者表1或实施例1-15的化合物相对于JAK3和TYK2选择性抑制JAK1。在一些实施方案中,式I化合物或者表1或实施例1-15的化合物相对于JAK2、JAK3或TYK2,或者JAK2、JAK3或TYK2的任何组合选择性抑制JAK1。在一些实施方案中,式I化合物或者表1或实施例1-15的化合物相对于JAK3和TYK2选择性抑制JAK1和JAK2。在一些实施方案中,式I化合物或者表1或实施例1-15的化合物相对于JAK3选择性抑制JAK1。“选择性抑制”是指与另外的特定Janus激酶(例如JAK1)活性相比,该化合物是至少5%、10%、15%、20%、25%、30%、35%、40%、45%、50%、55%、60%、65%、70%、75%、80%、85%、90%、95%、99%或更多或可以从其中衍生的任何范围的更好的特定Janus激酶(例如JAK1)活性的抑制剂,或与另外的特定Janus激酶(例如JAK1)活性相比,是至少2-、3-、4-、5-、10-、25-、50-、100-、250-或500-倍更好的特定Janus激酶(例如JAK1)活性的抑制剂。
“治疗有效量”是指本发明化合物例如式I化合物或者表1或实施例1-15的化合物的如下的量:(i)治疗或预防特定疾病、病症或障碍,或(ii)减轻、改善或消除特定疾病、病症或障碍的一种或多种症状,和任选(iii)预防或延迟文中所述的特定疾病、病症或障碍的一种或多种症状的发作。在一些实施方案中,治疗有效量是足以减少或减轻自身免疫性或炎性疾病(例如哮喘)的症状的量。在一些实施方案中,治疗有效量是文中描述的化学实体的足以显著降低B-细胞活性或数量的量。在癌症的情况下,治疗有效量的药物可以减少癌细胞的数量;减少肿瘤大小;抑制(即在一定程度上减缓并且优选停止)癌细胞浸润到外周器官中;抑制(即在一定程度上减缓并且优选停止)肿瘤转移;在一定程度上抑制肿瘤生长;或在一定程度上缓解与癌症相关的一种或多种症状。在药物可以预防生长或杀死现有癌细胞的程度上,其可以是细胞抑制性或细胞毒性的。对于癌症治疗,功效可以例如通过评估疾病进展时间(TTP)或确定响应速率(RR)来测量。
“治疗(treatment)”(和变体形式例如“治疗”(“treat”或“treating”))是指试图改变所治疗的个体或细胞的自然进程的临床干预,并且可以用于预防或在临床病理过程期间进行。治疗的期望效果包括预防疾病的发生或复发,减轻症状,减轻疾病的任何直接或间接病理学后果,稳定(即不恶化)疾病状态,降低疾病进展速率,改善或缓解疾病状态,与如果不接受治疗的预期存活相比延长存活和缓解或改善的预后。在一些实施方案中,本发明化合物例如式I化合物或者表1或实施例1-15的化合物用于延迟疾病或障碍的发展或延缓疾病或障碍的进展。需要治疗的那些包括已经患有病症或障碍的那些以及倾向于具有病症或障碍(例如通过遗传突变)的那些或其中要预防病症或障碍的那些。
“炎性障碍”指其中过度或失调的炎性响应导致过度的炎性症状、宿主组织损害或组织功能丧失的任何疾病、障碍或综合征。“炎性障碍”还指白细胞流入和/或中性粒细胞趋化作用介导的病理状态。
“炎症”指组织损伤或破坏引发的局部保护响应,该反应用于破坏、冲淡或屏蔽(隔绝)有害的物质和受伤的组织。炎症主要与白细胞流入或中性粒细胞趋化作用有关。炎症可能由致病性的微生物和病毒感染引起,也可以由下列非传染性方式引起,例如心肌梗塞或中风后创伤或再灌注,对外来性抗原的免疫响应和自身免疫响应。因此,顺从用本发明化合物例如式I化合物或者表1或实施例1-15的化合物治疗的炎性障碍包括与特异性防御系统反应有关的障碍以及与非特异性防御系统反应有关的障碍。
“特异性防御系统”指与存在的特异性抗原反应的免疫系统的组分。由特异性免疫系统响应产生的炎症的示例包括对外来性抗原的常规响应、自身免疫性疾病和由T-细胞介导的迟发性超敏响应。慢性炎性疾病、实体移植组织和器官的排斥反应,例如肾和骨髓移植物,和移植物抗宿主病(GVHD)是特异性防御系统的炎性反应的另外的实例。
术语“非特异性防御系统”指由不具有免疫记忆的白细胞(例如粒细胞和巨嗜细胞)介导的炎性障碍。至少部分由非特异性防御系统反应导致的炎症的实例包括与下列病症有关的炎症,例如成人(急性)呼吸窘迫综合征(ARDS)或多器官损伤综合征;再灌注损伤;急性肾小球肾炎;反应性关节炎;伴有急性炎性组分的皮肤病;急性化脓性脑膜炎或其它中枢神经系统炎性障碍,例如中风;热伤;炎性肠病;粒细胞输注相关综合征;和细胞因子诱导的毒性。
“自身免疫性疾病”是指其中组织损伤与体液或细胞介导的响应有关的任何一组疾病,所述响应是对于机体自身成分的响应。自身免疫性疾病的非限制性实例包括类风湿性关节炎、狼疮和多发性硬化。
“变态反应性疾病”是指由变态反应所导致的任何症状、组织损伤或组织功能的损失。本文中使用的“关节炎疾病”是指以多种病因引起的关节的炎性损伤为特征的任何疾病。本文中使用的“皮炎”是指以多种病因引起的皮肤的炎症为特征的一大类皮肤疾病的任何一种。本文中使用的“移植排斥反应”是指与对抗移植组织例如器官或细胞(例如骨髓)的任何免疫反应,其特征在于移植和周边组织功能损失、疼痛、肿胀、白细胞增多以及血小板减少。本发明的治疗方法包括与炎性细胞活化有关的障碍的治疗方法。
“炎性细胞活化”是指被在炎症细胞(包括但不限于单核细胞、巨噬细胞、T淋巴细胞、B淋巴细胞、粒细胞(即多形核白细胞例如嗜中性粒细胞、嗜碱性粒细胞和嗜酸性粒细胞)、肥大细胞、树突细胞、朗格汉斯细胞和内皮细胞)中的增殖性细胞响应的刺激物(包括但不限于细胞因子、抗原或自身抗体)、可溶性介体(包括但不限于细胞因子、氧自由基、酶、类前列腺素或血管活性胺)的产生或者新或增加数目介体(包括但不限于主要组织相容性抗原或细胞粘附分子)的细胞表面表达诱导。本领域技术人员应当理解,在这些细胞中这些表型中的一种或组合的活化可能有助于炎性障碍的引发、持续或加重。
在一些实施方案中,可以根据本发明的方法治疗的炎性障碍包括但不限于哮喘、鼻炎(例如变态反应性鼻炎)、变态反应性气道综合征、特应性皮炎、支气管炎、类风湿性关节炎、银屑病、接触性皮炎、慢性阻塞性肺病和迟发性超敏反应。
术语“癌症”和“癌性的”、“瘤”和“肿瘤”和相关术语是指或描述哺乳动物中的通常特征在于不受调节的细胞生长的生理状况。“肿瘤”包括一种或多种癌细胞。癌症的实例包括癌、母细胞瘤、肉瘤、精原细胞瘤、成胶质细胞瘤、黑素瘤、白血病和骨髓或淋巴样恶性肿瘤。此类癌症的更特别的实例包括鳞状细胞癌(例如上皮鳞状细胞癌)和肺癌包括小细胞肺癌、非小细胞肺癌(“NSCLC”)、肺腺癌和肺鳞状细胞癌。其它癌症包括皮肤癌、角化棘皮瘤、滤泡癌、毛细胞白血病、颊腔癌、咽(口腔)癌、唇癌、舌癌、口癌、唾液腺癌、食道癌、喉癌、肝细胞癌、胃癌(gastric)、胃癌(stomach)、胃肠癌、小肠癌、大肠癌、胰腺癌、宫颈癌、卵巢癌、肝癌、膀胱癌、肝癌、乳癌、结肠癌、直肠癌、结肠直肠癌、泌尿生殖系癌、胆道癌、甲状腺癌、乳头状癌、肝癌、子宫内膜癌、子宫癌、唾液腺癌、肾脏癌或肾癌、前列腺癌、睾丸癌、外阴癌、腹膜癌、肛门癌、阴茎癌、骨癌、多发性骨髓瘤、B细胞淋巴瘤、中枢神经系统癌、脑癌、头颈癌、霍奇金癌和相关的转移。肿瘤性障碍的实例包括骨髓增殖性障碍,例如真性红细胞增多症、原发性血小板增多症、骨髓纤维化例如原发性骨髓纤维化和慢性髓性白血病(CML)。
“化疗剂”为可用于治疗指定障碍例如癌症或炎性障碍的活性剂。化疗剂的实例是本领域众所周知的并且包括实例,例如美国公开申请号2010/0048557中公开的那些,其作为引用并入本文。另外,化疗剂包括任何化疗剂的药学上可接受的盐、酸或衍生物以及它们的两种或多种的组合。
“包装说明书”用于指在治疗产品的商业包装中通常所包含的说明书,它包括关于此类治疗产品使用涉及的适应症、用法、剂量、施用方法、禁忌症和/或警示的信息。
除非另有说明,否则术语“本发明的化合物”和“本发明化合物”等包括式I化合物或者表1或实施例1-15的化合物及其立体异构体(包括阻转异构体)、几何异构体、互变异构体、溶剂化物、代谢物、同位素、盐(例如药学上可接受的盐)和前药。在一些实施方案中,排除溶剂化物、代谢物、同位素或前药或其任何组合。
除非另有描述,否则本文所示的结构还指包括仅在存在的一个或多个富含同位素的原子方面不同的化合物。可以掺入本发明化合物例如式I化合物或者表1或实施例1-15的化合物中的示例性同位素包括氢、碳、氮、氧、磷、硫、氟、氯和碘的同位素,例如分别为2H、3H、11C、13C、14C、13N、15N、15O、17O、18O、32P、33P、35S、18F、36Cl、123I和125I。同位素标记的化合物(例如那些用3H和14C标记的)可以用于化合物或底物组织分布测定。氚标记(即3H)和碳-14(即14C)同位素由于易于制备和可检测性而非常有用。此外,用更重的同位素例如氘(即2H)取代由于具有更大的代谢稳定性使得它具有某些治疗优势(例如增加体内半衰期或减少剂量需求)。在一些实施方案中,在式I化合物或者表1或实施例1-15的化合物中,一个或多个氢原子被2H或3H替代,或者一个或多个碳原子被富含13C-或14C-的碳替代。发射同位素的正电子例如15O、13N、11C和18F可用于正电子发射断层扫描(PET)研究以测定底物受体占据。同位素标记的化合物通常可以根据与本文的方案和/或实施例中公开的方法类似的方法,通过用同位素标记的试剂替代非同位素标记的试剂制备。
特别考虑的是,关于本发明的一个实施方案所讨论的任何限制可以应用于任何本发明的其它实施方案。此外,本发明的任何化合物或组合物可以用于任何本发明的方法中,并且本发明的任何方法可以用于制备任何本发明的化合物或组合物或利用任何本发明的化合物或组合物。
术语“或”的使用用于表示“和/或”,除非明确指示仅涉及替代物或替代物是相互排斥的,尽管本公开支持仅指替代物和“和/或”的定义。
在贯穿于本申请的上下文中,术语“约”用于表示数值包括用于测定该值的装置或方法的误差的标准偏差。
如本文所用,“一种(a)”或“一种(an)”是指一种或多种,另有明确指示的除外。如本文所用,“另外的”是指至少第二种或更多种。
本文所用的标题预期仅用于编制组织结构的目的。
JANUS激酶抑制剂
还提供了选自实施例1-15的化合物和表1中的化合物或其任意的组合。
表1:本发明的示例性化合物
本发明化合物可以含有一个或多个不对称碳原子。因此,化合物可以作为非对映异构体、对映异构体或其混合物存在。化合物的合成可以使用外消旋体、非对映异构体或对映异构体作为起始材料或作为中间体。特定非对映异构体化合物的混合物可以通过色谱法或结晶方法分离或富集为一种或多种特定的非对映异构体。类似地,可以使用相同技术或本领域已知的其它方法分离或对映异构富集对映异构体混合物。每个不对称碳原子或氮原子可以是R或S构型,并且这两种构型都在本发明的范围内。
在本文所示的结构中,当没有指定任何特定手性原子的立体化学时,则所有立体异构体都被考虑并且作为本发明化合物包括在内。当立体化学由代表特定构型的实心楔形或虚线指定时,则该立体异构体是如此指定和定义的。除非另有说明,否则如果使用实心楔形或虚线,则意指相对立体化学。
另一方面包括本发明化合物例如式I化合物或者表1或实施例1-15的化合物的前药,包括已知的氨基保护基和羧基保护基,其被释放例如水解,以在生理条件下产生本发明化合物。
术语“前药”是指药物活性物质的前体或衍生物形式,其与母体药物相比对患者有效性低,并且能够被酶促或水解活化或转化成更活性的母体形式。参见例如Wilman,“Prodrugs in Cancer Chemotherapy”Biochemical Society Transactions,14,第375-382页,615th Meeting Belfast(1986)和Stella等人,“Prodrugs:A Chemical Approachto Targeted Drug Delivery,”Directed Drug Delivery,Borchardt等人,(编辑),第247-267页,Humana Press(1985)。前药包括但不限于含磷酸酯的前药、含硫代磷酸酯的前药、含硫酸酯的前药、含肽的前药、D-氨基酸修饰的前药、糖基化的前药、含β-内酰胺的前药、含任选取代的苯氧基乙酰胺的前药或含任选取代的苯基乙酰胺的前药,以及5-氟胞嘧啶和5-氟尿苷前药。
特定类型的前药是其中氨基、脒基、氨基亚烷基氨基、亚氨基亚烷基氨基或胍基中的氮原子被以下取代的化合物:羟基、烷基羰基(-CO-R)基团、烷氧基羰基(-CO-OR)或酰氧基烷基-烷氧基羰基(-CO-O-R-O-CO-R)基团,其中R是一价或二价基团,例如烷基、亚烷基或芳基,或具有式-C(O)-O-CP1P2-卤代烷基的基团,其中P1和P2相同或不同,并且为氢、烷基、烷氧基、氰基、卤素、烷基或芳基。在特别的实施方案中,氮原子是式I或其子式化合物的脒基的氮原子之一。前药可以通过使本发明化合物例如式I化合物或者表1或实施例1-15的化合物与活化基团例如酰基反应以使例如所述化合物中的氮原子与活化的酰基的示例性羰基键合来制备。活化的羰基化合物的实例是含有与羰基键合的离去基团的那些,并且包括例如酰卤、酰胺、酰基吡啶盐、酰基烷氧化物、酰基酚氧化物例如对硝基苯氧基酰基、二硝基苯氧基酰基、氟苯氧基酰基和二氟苯氧基酰基。反应通常在惰性溶剂中在降低的温度例如-78至约50℃进行。反应也可以在无机碱例如碳酸钾或碳酸氢钠或有机碱例如胺包括吡啶、三甲胺、三乙胺、三乙醇胺等存在下进行。
还包括其它类型的前药。例如,本发明化合物例如式I化合物或者表1或实施例1-15的化合物的游离羧基可以被衍生为酰胺或烷基酯。作为另外的实例,包含游离羟基的本发明化合物可以通过将羟基转化为例如但不限于如下基团衍生化为前药:磷酸酯、半琥珀酸酯、二甲基氨基乙酸酯或磷酰基氧基甲基氧基羰基,如Fleisher,D.等人,(1996)Improved oral drug delivery:solubility limitations overcome by the use ofprodrugs Advanced Drug Delivery Reviews,19:115中所述。还包括羟基和氨基的氨基甲酸酯前药,以及羟基的碳酸酯、磺酸酯和硫酸酯前药。也考虑羟基衍生为(酰氧基)甲基和(酰氧基)乙基醚,其中酰基可以是烷基酯,其任选被包括但不限于醚、胺和羧酸官能团的基团取代,或其中酰基是如上所述的氨基酸酯。这种类型的前药描述于J.Med.Chem.,(1996),39:10中。更特别的实例包括用例如以下基团替换醇基团的氢原子:(C1-C6)烷酰基氧基甲基、1-((C1-C6)烷酰基氧基)乙基、1-甲基-1-((C1-C6)烷酰基-氧基)乙基、(C1-C6)烷氧基羰基氧基甲基、N-(C1-C6)烷氧基羰基氨基甲基、琥珀酰基、(C1-C6)烷酰基、α-氨基(C1-C4)烷酰基、芳基酰基和α-氨基酰基或α-氨基酰基-α-氨基酰基,其中每个α-氨基酰基独立地选自天然存在的L-氨基酸、P(O)(OH)2、-P(O)(O(C1-C6)烷基)2或糖基(由去除半缩醛形式的碳水化合物的羟基得到的基团)。
“离去基团”指化学反应中第一反应物的部分,在化学反应中,该部分从第一反应物中被代替。离去基团的实例包括但不限于卤素原子、烷氧基和磺酰基氧基。磺酰基氧基的实例包括但不限于烷基磺酰基氧基(例如甲基磺酰基氧基(甲磺酸酯基)和三氟甲基磺酰基氧基(三氟甲磺酸酯基))和芳基磺酰基氧基(例如对-甲苯磺酰基氧基(甲苯磺酸酯基)和对-硝基磺酰基氧基(对-硝基苯磺酸酯基))。
在一个实施方案中,R1为-(C0-C3烷基)NRaRb,或其盐。
在一个实施方案中,R1为H或-(C0-C3烷基)Ra,或其盐。
在一个实施方案中,R1为-(C0-C3烷基)C(O)Ra,或其盐。
在一个实施方案中,R1选自H、甲基、
在一个实施方案中,R1为H、甲基、
在一个实施方案中,R1为H或甲基。
在一个实施方案中,Re选自甲基、乙基、
在一个实施方案中,Re选自:
在一个实施方案中,R2为任选被1-5个Rn取代的苯基。
在一个实施方案中,R2为任选被1-2个Rn取代的苯基。
在一个实施方案中,R2选自:
在一个实施方案中,R2为:
在一个实施方案中,R2为:
在一个实施方案中,X为9-元二环杂芳基,其包含2或3个各自独立地选自O、S和N的原子,其中9-元二环杂芳基任选被Ru取代。
在一个实施方案中,X为9-元二环杂芳基,其包含2个各自独立地选自O、S和N的原子,其中9-元二环杂芳基任选被Ru取代。
在一个实施方案中,X为9-元二环杂芳基,其包含3个各自独立地选自O、S和N的原子,其中9-元二环杂芳基任选被Ru取代。
在一个实施方案中,X为9-元二环杂芳基,其包含至少2个氮原子并且任选被Ru取代。
在一个实施方案中,X为9-元二环杂芳基,其包含至少3个氮原子并且任选被多个Ru取代。
在一个实施方案中,X选自:
并且任选被Ru取代。
在一个实施方案中,X选自:
在一个实施方案中,X为10-元二环杂芳基,其包含2或3个各自独立地选自O、S和N的原子,其中10-元二环杂芳基任选被Ru取代。
在一个实施方案中,X为10-元二环杂芳基,其包含2个各自独立地选自O、S和N的原子,其中10-元二环杂芳基任选被Ru取代。
在一个实施方案中,X为10-元二环杂芳基,其包含3个各自独立地选自O、S和N的原子,其中10-元二环杂芳基任选被Ru取代。
在一个实施方案中,X为10-元二环杂芳基,其包含至少2个氮原子并且任选被Ru取代。
在一个实施方案中,X为10-元二环杂芳基,其包含至少3个氮原子并且任选被Ru取代。
在一个实施方案中,X不选自:
在一个实施方案中,X选自:
并且任选被Ru取代。
在一个实施方案中,本发明提供了下式化合物:
其中:
Ru1为H或甲基;
Ru2为甲基或二氟甲基;并且
Ru3为甲基、甲氧基、卤素或NH2;
或其盐。
在一个实施方案中,本发明提供了下式化合物:
其中:
Ru1为H或甲基;并且
Ru2为甲基或二氟甲基;
或其盐。
在一个实施方案中,本发明提供了下式化合物:
或其盐。
在一个实施方案中,本发明提供了下式化合物:
或其盐。
在一个实施方案中,本发明提供了式(I)化合物,其中X不为:
其任选被Ru取代。
在一个实施方案中,本发明提供了式(I)化合物,其中X不为:
其中:
R3为H、卤素、氰基、C1-C3烷基、C2-C3链烯基、C2-C3炔基或-ORt;
R4为H、卤素、氰基、C1-C3烷基、C2-C3链烯基、C2-C3炔基或-ORt;
R5为H、卤素、氰基、C1-C3烷基、C2-C3链烯基、C2-C3炔基或-ORt;并且
Rt各自独立地为H、C1-C6烷基、C2-C6链烯基、C2-C6炔基或-(C0-C3烷基)苯基。
在一个实施方案中,本发明提供了式(I)化合物,其不为:
或其盐。
以下本发明化合物及其盐可以使用商购可获得的起始材料,按照与本文发现的方法类似的方式制备:
JANUS激酶抑制剂化合物的合成
本发明化合物可以通过本文所述的合成路线合成。在某些实施方案中,除了本文所包含的描述之外或根据本文所包含的描述,可以使用化学领域中公知的方法。起始材料通常可从商业来源例如Aldrich Chemicals(Milwaukee,Wis.)可获得,或者使用本领域技术人员熟知的方法容易地制备(例如通过一般描述于Louis F.Fieser和Mary Fieser,Reagents for Organic Synthesis,v.1-19,Wiley,N.Y.(1967-1999ed.),BeilsteinsHandbuch der organischen Chemie,4,Aufl.ed.Springer-Verlag,Berlin,包括增补(也可通过Beilstein在线数据库获得))或Comprehensive Heterocyclic Chemistry,EditorsKatrizky and Rees,Pergamon Press,1984中的方法制备。
化合物可以单独制备或作为包含至少2种例如5至1,000种化合物或10至100种化合物的化合物库来制备。化合物库可以通过组合的“拆分和混合”方法或通过使用溶液相或固相化学的多个平行合成,通过本领域技术人员已知的方法制备。因此,根据本发明的另一方面,提供了包含至少2种本发明化合物例如式I化合物或者表1或实施例1-15的化合物的化合物库。
为了说明的目的,下面描述的反应方案1-16提供了用于合成本发明化合物以及关键中间体的路线。对于各个反应步骤的更详细描述,参见下面的实施例部分。本领域技术人员将理解,可以使用其它合成路线。尽管一些特别的起始材料和试剂在方案中描述并且在下面讨论,但是其它起始材料和试剂可以被取代以提供多种衍生物或反应条件。此外,根据本公开,使用本领域技术人员公知的常规化学,可以进一步修饰通过下述方法制备的许多化合物。
在本发明化合物的制备中,可能需要保护中间体的远距官能团(例如伯胺或仲胺)。对这种保护的需要将取决于远距官能团的性质和制备方法的条件而不同。适合的氨基保护基包括乙酰基、三氟乙酰基、苄基、苯基磺酰基、叔丁氧基羰基(BOC)、苄氧基羰基(CBz)和9-芴基亚甲基氧基羰基(Fmoc)。对于这种保护的需要由本领域技术人员容易地确定。关于保护基及其用途的一般描述,参见T.W.Greene,Protective Groups in OrganicSynthesis,John Wiley&Sons,New York,1991。
在本发明化合物的合成中常用的并且可以使用多种试剂和条件进行的其它转化包括以下:
(1)羧酸与胺反应形成酰胺。这种转化可以使用本领域技术人员已知的多种试剂来实现,但是综合评论可见于Tetrahedron,2005,61,10827-10852。
(2)伯胺或仲胺与芳基卤化物或拟卤化物例如三氟甲磺酸酯的反应,通常称为“Buchwald-Hartwig交叉偶联”,可以使用多种催化剂、配体和碱实现。这些方法的综述提供在Comprehensive Organic Name Reactions and Reagents,2010,575-581中。
(3)芳基卤化物和乙烯基硼酸或硼酸酯之间的钯交叉偶联反应。这种转化是一种类型的“Suzuki-Miyaura交叉偶联”,已经在Chemical Reviews,1995,95(7),2457-2483中充分综述的一类反应。
(4)酯的水解得到相应的羧酸是本领域技术人员熟知的,并且条件包括:对于甲酯和乙酯,使用强碱水溶液例如氢氧化锂、氢氧化钠或氢氧化钾或强无机酸水溶液例如HCl;对于叔丁酯,使用酸例如在二烷中的HCl或在二氯甲烷(DCM)中的三氟乙酸(TFA)进行水解。
其它示例性转化在下面的方案中讨论。
反应方案1
用于合成式7的中间体的方法示例在反应方案1中。可以通过在氯化镁的存在下与丙二酸盐阴离子反应由化合物1生成α-酮酯2。可以将化合物2与DMFDMA一起加热,得到化合物3。在乙醇中用肼环化化合物4,得到吡唑化合物4。在碱性条件下皂化5,随后进行Curtius重排可以用于得到boc-氨基吡唑6。用HCl水溶液在乙醇中除去Boc保护基,生成化合物7。
反应方案2
用于合成式5的中间体的方法示例在反应方案2中。可以用试剂例如溴由化合物1生成α-溴酮。用氢化钠和多种α-溴酮2使亚氨基二碳酸二叔丁酯烷基化,生成化合物3。可以将化合物3与DMFDMA一起加热,得到化合物4。用肼在乙醇中环化化合物4,得到吡唑化合物5。
反应方案3
用于合成式4化合物的可选择的方法在反应方案3中描述。邻苯二甲酰亚胺钾与α-溴酮1的烷基化生成化合物2。与DMFDMA缩合得到化合物3。化合物3可以与肼环化得到化合物4。
反应方案4
反应方案4示例了式5化合物的可选合成。可以在低温用六甲基二硅叠氮化锂使如反应方案5中制备的硝基-SEM吡唑化合物1区域选择性脱质子化,并且用碘猝灭,得到2。可以在铁和氯化铵的存在下还原化合物2的硝基,随后进行Boc保护,生成化合物3。可以使化合物3在Suzuki条件下与芳基硼酸或硼酸芳基酯偶联,得到化合物4。用四氯化锡裂解Boc基团后,得到式5化合物。
反应方案5
式3化合物的可选合成方法如反应方案5中所示。可以通过用氢化钠和(2-(氯甲氧基)乙基)三甲基硅烷处理用[β-(三甲基甲硅烷基)乙氧基]甲基(SEM)基团保护商购可获得的4-硝基-1H-吡唑。可以用芳基溴或芳基碘在钯催化的条件下使得到的化合物1芳基化,生成式2的4-硝基-5-芳基-吡唑。可以在铁和氯化铵的存在下还原化合物2的硝基,生成氨基吡唑3。
反应方案6
式3a和3b化合物的可选合成方法如反应方案6中所示。可以使商购可获得的4-硝基-1H-吡唑与烷基溴在碳酸铯的存在下反应,得到化合物1。可以使化合物1与芳基溴在N,N-二甲基乙酰胺的存在下,在乙酸钯(II)、二(1-金刚烷基)-正-丁膦、碳酸钾和三甲基乙酸的存在下反应,得到化合物2a和2b。产物2a:2b之比取决于取代基R1而不同,但反应通常有利于形成产物2b。可以在铁和氯化铵的存在下在乙醇和水中将化合物2a和2b还原成化合物3a和3b。
反应方案7
反应方案7示例了式4化合物的合成。在HATU和DIEA的存在下使酰胺键与商购可获得的取代的吡唑并[1,5-a]嘧啶-3-甲酸偶联,得到化合物3。用HCl水溶液在乙醇中除去SEM保护基,生成化合物4。
反应方案8
反应方案8示例了式7化合物的合成。可以通过用甲胺在脱水剂的存在下处理将式1的醛转化成式2的亚胺。可以通过在溶剂例如甲苯中加热环化化合物2,得到化合物3。可以使用Pd催化的条件在一氧化碳气氛中使化合物3羰基化,得到化合物4。可以使用碱例如氢氧化锂在THF和水的混合物中对化合物5进行皂化。酰胺键与氨基吡唑6在HATU和DIEA的存在下偶联,得到化合物7。
反应方案9
反应方案9示例了式8化合物的合成。可以通过用4-甲氧基苄胺在脱水剂的存在下处理将式1的醛转化成式2的PMB-亚胺。通过在溶剂例如甲苯中加热环化化合物2,得到化合物3。可以使用Pd催化的条件在一氧化碳气氛中使化合物3羰基化,得到化合物4。可以使用碱例如氢氧化锂在THF和水的混合物中对化合物5进行皂化。酰胺键与氨基吡唑6在HATU和DIEA的存在下偶联,得到化合物7。可以应用通过用酸例如TFA处理除去PMB基团,得到式8化合物。
反应方案10
反应方案10示例了式6化合物的合成。可以使用两步法将式1化合物转化成式2化合物。可以通过用试剂例如乙基黄原酸钾处理化合物1进行环化。然后可以用碘甲烷烷基化,得到式2化合物。可以使用Pd催化的条件在一氧化碳气氛中使化合物2羰基化,得到化合物4。可以使用碱例如氢氧化锂在EtOH和水的混合物中对化合物5进行皂化。在HATU和DIEA的存在下,化合物4与氨基吡唑5的酰胺键偶联,得到化合物6。可以用氨在溶剂例如异丙醇中在升温下在密闭试管中处理化合物6,得到化合物7。可以用试剂例如亚硝酸戊酯使化合物7重氮化,得到化合物8。可以应用通过用酸例如HCl处理实现从化合物8除去SEM基团,得到式9化合物。
反应方案11
反应方案11示例了式2化合物的合成。可以应用通过用酸例如HCl处理实现从化合物1除去SEM基团,得到式9化合物。
反应方案12
反应方案12示例了式6化合物的合成。可以使用Pd催化的条件在一氧化碳气氛中使化合物1羰基化,得到化合物2。可以使用碱例如氢氧化钠在THF和水的混合物中实现对化合物5进行皂化。化合物3与氨基吡唑4在PyAOP和DIEA的存在下的酰胺键偶联,得到化合物5。可以应用通过用酸例如HCl处理实现从化合物5除去SEM基团,得到式6化合物。
反应方案13
反应方案13示例了式7化合物的合成。可以通过用碳酸铯和(2-(氯甲氧基)乙基)三甲基硅烷处理用[β-(三甲基甲硅烷基)乙氧基]甲基(SEM)基团保护式1化合物,得到化合物2。可以使用Pd催化的条件在一氧化碳气氛中使化合物2羰基化,得到化合物3。可以使用碱例如氢氧化钠在MeOH和水的混合物中实现对化合物3进行皂化。与氨基吡唑5在PyAOP和DIEA的存在下的酰胺键偶联,得到化合物6。可以应用通过用酸例如TFA处理实现除去SEM基团,得到式7化合物。
反应方案14
反应方案14示例了式6化合物的合成。可以使用Pd催化的条件在一氧化碳气氛中使化合物1羰基化,得到化合物2。可以使用碱例如氢氧化锂在THF和水的混合物中实现对化合物3进行皂化。与氨基吡唑4在PyAOP和DIEA的存在下的酰胺键偶联,得到化合物5。可以应用通过用酸例如TFA处理实现除去SEM基团,得到式6化合物。
反应方案15
反应方案15示例了式6化合物的合成。可以使用Pd催化的条件在一氧化碳气氛中使化合物1羰基化,得到化合物2。可以使用碱例如氢氧化锂在THF和水的混合物中实现对化合物3进行皂化。与氨基吡唑4在PyAOP和DIEA存在下的酰胺键偶联,得到化合物5。可以应用通过用酸例如TFA处理实现除去SEM基团,得到式6化合物。
反应方案16
反应方案16示例了式2化合物的合成。通过使用酸例如TFA处理实现除去Boc基团,得到式2化合物。
应当理解,在存在适合的官能团的情况下,各式化合物或其制备中使用的任何中间体可以通过一种或多种标准合成方法使用缩合、取代、氧化、还原或裂解反应进一步衍生化。特别的取代方法包括常规烷基化、芳基化、杂芳基化、酰化、磺酰化、卤化、硝化、甲酰化和偶联方法。
在另一个实例中,伯胺或仲胺基团可以通过酰化转化为酰胺基团(-NHCOR’或-NRCOR’)。酰化可以通过在适合的溶剂例如二氯甲烷中,在碱例如三乙胺的存在下与适合的酰氯反应,或者通过在适合的溶剂例如二氯甲烷中在适合的偶联剂例如HATU(O-(7-氮杂苯并三唑-1-基)-N,N,N’,N’-四甲基脲六氟磷酸盐)的存在下与适当的羧酸反应而实现。类似地,通过在适合的碱例如三乙胺的存在下,在适合的溶剂例如二氯甲烷中,与适当的磺酰氯反应,可以将胺基团转化为磺酰胺基团(-NHSO2R’或-NR”SO2R’)。通过在适合的碱例如三乙胺的存在下,在适合的溶剂例如二氯甲烷中,与适合的异氰酸酯反应,伯或仲胺基团可以转化成脲基团(-NHCONR’R”或-NRCONR’R”)。
例如通过催化氢化,在溶剂例如乙酸乙酯或醇例如甲醇中在金属催化剂例如载体例如碳上的钯的存在下使用例如氢,经还原硝基(-NO2)基团,可以获得胺(-NH2)。或者,转化可以通过使用例如金属例如锡或铁在酸例如盐酸的存在下的化学还原进行。
在其它实例中,胺(-CH2NH2)基团可以例如通过如下的催化氢化还原腈(-CN)获得:在金属催化剂例如在载体例如碳上的钯或兰尼(Raney)镍的存在下,在溶剂例如醚例如环醚例如四氢呋喃中,在适合的温度例如约-78℃至溶剂的回流温度使用例如氢进行。
在其它实例中,可以通过转化为相应的酰基叠氮化物(-CON3)、Curtius重排和水解所得的异氰酸酯(-N=C=O),从羧酸基团(-CO2H)获得胺(-NH2)基团。
使用胺和硼氢化物例如三乙酰氧基硼氢化钠或氰基硼氢化钠,在溶剂例如卤代烃例如二氯甲烷或醇例如乙醇中,必要时在酸例如乙酸的存在下,在环境温度,通过还原胺化,可以将醛基团(-CHO)转化成胺基团(-CH2NR’R”))。
在其它实例中,可以通过使用Wittig或Wadsworth-Emmons反应,在本领域技术人员已知的标准条件下使用适合的正膦或膦酸酯将醛基转化为链烯基(-CH=CHR’)。
醛基可以通过在适合的溶剂例如甲苯中使用二异丁基氢化铝还原酯基(例如-CO2Et)或腈(-CN)而获得。或者,醛基可以通过使用本领域技术人员已知的任何适合的氧化剂氧化醇基团而获得。
取决于R的性质,酯基(-CO2R’)可以通过酸或碱催化水解转化成相应的酸基(-CO2H)。如果R是叔丁基,则可以例如通过在水性溶剂中用有机酸例如三氟乙酸处理,或通过在水性溶剂中用无机酸例如盐酸处理实现酸催化的水解。
羧酸基团(-CO2H)可以通过在适合的偶联剂例如HATU的存在下,在适合的溶剂例如二氯甲烷中与适合的胺反应而转化为酰胺(CONHR’或-CONR’R”)。
在其它实例中,羧酸可以通过转化成相应的酰氯(-COCl),然后通过Arndt-Eistert合成,通过一个碳同系化(即-CO2H至-CH2CO2H)。
在其它实例中,可以通过使用例如复合金属氢化物例如氢化锂铝在乙醚或四氢呋喃中,或硼氢化钠在溶剂例如甲醇中,经还原由相应的酯(例如-CO2R’)或醛(-CHO)产生-OH基团。或者,可以通过在溶剂例如四氢呋喃中使用例如氢化锂铝,或通过在溶剂例如四氢呋喃中使用硼烷,经还原相应的酸(-CO2H)来制备醇。
使用本领域技术人员已知的条件,醇基可以转化为离去基团,例如卤素原子或磺酰基氧基例如烷基磺酰基氧基,例如三氟甲基磺酰基氧基或芳基磺酰基氧基例如对甲苯磺酰基氧基。例如,醇可以在卤代烃(例如二氯甲烷)中与硫酰氯反应,得到相应的氯化物。在反应中也可以使用碱(例如三乙胺)。
在其它实例中,醇、苯酚或酰胺基团可以通过在溶剂例如四氢呋喃中,在膦例如三苯膦和活化剂例如偶氮二甲酸二乙酯、偶氮二甲酸二异丙酯或偶氮二甲酸二甲酯的存在下,使酚或酰胺与醇偶联而烷基化。或者,烷基化可以通过使用适合的碱例如氢化钠进行去质子化,随后加入烷基化剂例如烷基卤化物来实现。
化合物中的芳族卤素取代基可以通过用碱例如锂碱例如正丁基锂或叔丁基锂,任选在低温例如约-78℃,在溶剂例如四氢呋喃中处理,进行卤素-金属交换,然后用亲电试剂猝灭,引入所需的取代基。因此,例如,可以通过使用N,N-二甲基甲酰胺作为亲电试剂引入甲酰基。芳族卤素取代基可以备选地进行金属(例如钯或铜)催化的反应,以引入例如酸、酯、氰基、酰胺、芳基、杂芳基、链烯基、炔基、硫代或氨基取代基。可以采用的适合的方法包括由Heck、Suzuki、Stille、Buchwald或Hartwig描述的那些。
芳族卤素取代基也可以在与适合的亲核试剂例如胺或醇反应之后进行亲核置换。有利地,这种反应可以在升高温度在微波辐射的存在下进行。
分离方法
在每个示例性方案中,将反应产物彼此分离或与起始材料分离可能是有利的。通过本领域常用的技术将每个步骤或系列步骤的所需产物分离或纯化(下文称为分离)至所需的均匀度。通常,这样的分离涉及多相萃取、从溶剂或溶剂混合物中结晶或研磨、蒸馏、升华或色谱法。色谱法可以涉及任何数量的方法,包括例如:反相和正相;尺寸排阻;离子交换;超临界流体;高、中和低压液相色谱方法和装置;小规模分析;模拟移动床(SMB)和制备薄层或厚层色谱,以及小规模薄层和快速色谱技术。
另一类分离方法涉及用选择的试剂处理混合物以结合所需产物、未反应的起始材料、反应副产物等或者可以其它方式使其可分离。这些试剂包括吸附剂或吸附剂例如活性炭、分子筛、离子交换介质等。或者,试剂可以是酸(在碱性材料的情况下)、碱(在酸性材料的情况下)、结合试剂例如抗体、结合蛋白、选择性螯合剂例如冠醚、液/液离子萃取试剂(LIX)等。
适合的分离方法的选择取决于所涉及材料的性质。实例分离方法包括蒸馏和升华中的沸点和分子量、色谱中极性官能团的存在或不存在、在多相萃取中在酸性和碱性介质中的材料稳定性等。本领域技术人员将应用最可能实现所需分离的技术。
非对映异构体混合物可以基于它们的物理化学差异通过本领域技术人员熟知的方法例如通过色谱法或分级结晶,分离成它们各自的非对映异构体。对映异构体可以通过下述分离:通过与适当的旋光活性化合物(例如手性助剂例如手性醇或Mosher酰氯)反应,将对映异构体混合物转化成非对映异构体混合物,分离非对映异构体并且转化(例如水解)单独的非对映异构体至相应的纯对映异构体。此外,一些本发明化合物可以是阻转异构体(例如取代的联芳基),并且被认为是本发明的一部分。对映异构体也可以通过使用手性HPLC柱或超临界流体色谱法分离。
基本上不含其立体异构体的单一立体异构体例如对映异构体,可以通过使用例如使用旋光活性拆分试剂形成非对映异构体的方法拆分外消旋混合物来获得(Eliel,E.和Wilen,S.,Stereochemistry of Organic Compounds,John Wiley&Sons,Inc.,New York,1994;Lochmuller,C.H.,J.Chromatogr.,113(3):283-302(1975))。本发明的手性化合物的外消旋混合物可以通过任何适合的方法分离和分得,包括:(1)与手性化合物形成离子的非对映异构体盐,并且通过分级结晶或其它方法分离,(2)与手性衍生化试剂形成非对映异构体化合物,分离非对映异构体,并且转化成纯的立体异构体,和(3)在手性条件下直接分离基本上纯的或富集的立体异构体。参见:Drug Stereochemistry,Analytical Method andPharmacology,Irving W.Wainer,Ed.,Marcel Dekker,Inc.,New York(1993)。
非对映异构体盐可以通过对映异构体纯手性碱例如马钱子碱、奎宁、麻黄碱、士的宁、α-甲基-β-苯基乙胺(安非他明)等与具有酸性官能团的不对称化合物例如羧酸和磺酸反应来形成。可以通过分级结晶或离子色谱法诱导非对映体盐分离。为了分离氨基化合物的旋光异构体,加入手性羧酸或磺酸例如樟脑磺酸、酒石酸、扁桃酸或乳酸可以导致形成非对映异构体盐。
或者,待拆分的底物与手性化合物的一种对映异构体反应形成非对映异构体对(Eliel,E.和Wilen,S.,Stereochemistry of Organic Compounds,John Wiley&Sons,Inc.,New York,1994,p.322)。非对映异构体化合物可以通过使不对称化合物与对映异构体纯的手性衍生化试剂(例如薄荷基衍生物)反应来形成,然后分离非对映异构体并且水解,得到纯的或富集的对映异构体。确定光学纯度的方法涉及在碱的存在下,制备外消旋混合物的手性酯,例如薄荷基酯,例如(-)薄荷基氯甲酸酯,或Mosher酯,α-甲氧基-α-(三氟甲基)苯基乙酸酯(Jacob,J.Org.Chem.47:4165(1982)),并且分析NMR谱中两种阻转异构对映异构体或非对映异构体的存在。按照分离阻转异构的萘基-异喹啉的方法(WO 96/15111,通过引用并入本文),可以通过正相和反相色谱分离和分得阻转异构体化合物的稳定的非对映异构体。对于方法(3),可以使用手性固定相通过色谱法分离两种对映异构体的外消旋体混合物(Chiral Liquid Chromatography W.J.Lough,Ed.,Chapman和Hall,New York,(1989);Okamoto,J.of Chromatogr.513:375-378(1990))。富集的或纯化的对映异构体可以通过用于区分具有不对称碳原子的其它手性分子的方法例如旋光和圆二色性来区分。手性中心和对映异构体的绝对立体化学可以通过x-射线晶体学确定。
式I化合物和合成它们的中间体的位置异构体例如E和Z形式可以通过表征方法例如NMR和分析型HPLC观察。对于其中互变能垒足够高的某些化合物,可以例如通过制备型HPLC分离E和Z异构体。
药物组合物和施用
本发明涉及的化合物是JAK激酶抑制剂,例如JAK1抑制剂,并且可用于治疗数种疾病,例如炎性疾病,例如哮喘。
因此,另外的实施方案提供了含有本发明化合物例如式I化合物或者表1或实施例1-15的化合物和药学上可接受的载体、稀释剂或赋形剂的药物组合物或药物,以及使用本发明化合物制备此类组合物和药物的方法。
在一个实例中,式I化合物或者表1或实施例1-15的化合物可以通过在环境温度在适合的pH和所需的纯度下与生理学上可接受的载体(即在应用的剂量和浓度下对接受者无毒的载体)配制为盖仑施用形式。制剂的pH主要取决于化合物的具体用途和浓度,但通常在约3至约8的范围内。在一个实例中,式I化合物或者表1或实施例1-15的化合物被配制在pH5的乙酸盐缓冲液中。在另外的实施方案中,本发明化合物例如式I化合物或者表1或实施例1-15的化合物是无菌的。化合物可以例如作为固体或无定形组合物、作为冻干制剂或作为水溶液储存。
以与良好医学实践一致的方式配制、给药和施用组合物。在本文中考虑的因素包括所治疗的特定障碍、所治疗的特定哺乳动物、个体患者的临床状况、障碍的原因、活性剂的递送位点、施用方法、施用安排,和医学实践者已知的其它因素。
应当理解,任何特定患者的具体剂量水平将取决于多种因素,包括所用具体化合物的活性、年龄、体重、一般健康状况、性别、饮食、施用时间、施用途径、排泄速率、药物组合和正在治疗的特定疾病的严重程度。最佳剂量水平和给药频率将通过临床试验确定,如制药领域中所需要的。通常,口服施用的日剂量范围将在如下范围内:约0.001mg至约100mg/kg人体重,通常为每kg人体重0.01mg至约50mg,例如每kg人体重0.1至10mg,以单剂量或分份剂量进行。一般来说,吸入施用的日剂量范围将在如下范围内:约0.1μg至约1mg/kg人体重,优选每kg人体重0.1μg至50μg,以单剂量或分份剂量进行。另一方面,在一些情况下可能需要使用超出这些限制的剂量。
本发明化合物例如式I化合物或者表1或实施例1-15的化合物可以通过任何适合的方式施用,包括口服、局部(包括颊和舌下)、直肠、阴道、透皮、非肠道、皮下、腹膜内、肺内、皮内、鞘内、吸入和硬膜外和鼻内,并且如果需要用于局部治疗、病灶内施用。非肠道输注包括肌内、静脉内、动脉内、腹膜内或皮下施用。在一些实施方案中,使用吸入施用。
本发明化合物例如式I化合物或者表1或实施例1-15的化合物可以以任何方便的施用形式施用,例如片剂、散剂、胶囊剂、锭剂、颗粒剂、溶液剂、分散剂、混悬剂、糖浆剂、喷雾剂、气体剂(vapors)、栓剂、凝胶剂、乳剂、贴剂等。此类组合物可以含有药物制剂中常规的组分,例如稀释剂(例如葡萄糖、乳糖或甘露醇)、载体、pH修饰剂、缓冲剂、甜味剂、填充剂、稳定剂、表面活性剂、润湿剂、润滑剂、乳化剂、助悬剂、防腐剂、抗氧化剂、遮光剂、助流剂、加工助剂、着色剂、芳香剂、矫味剂、其它已知的添加剂以及其它活性剂。
适合的载体和赋形剂是本领域技术人员熟知的,并且在例如Ansel,Howard C.等人,Ansel’s Pharmaceutical Dosage Forms and Drug DeliverySystems.Philadelphia:Lippincott,Williams&Wilkins,2004;Gennaro,Alfonso R.,等人Remington:The Science and Practice of Pharmacy.Philadelphia:Lippincott,Williams&Wilkins,2000;和Rowe,Raymond C.Handbook of PharmaceuticalExcipients.Chicago,Pharmaceutical Press,2005中有详细描述。例如,载体包括溶剂、分散介质、包衣剂、表面活性剂、抗氧化剂、防腐剂(例如抗细菌剂、抗真菌剂)、等渗剂、吸收延迟剂、盐、防腐剂、药物、药物稳定剂、凝胶剂、粘合剂、赋形剂、崩解剂、润滑剂、甜味剂、矫味剂、染料、类似材料及其组合,如本领域普通技术人员已知的(参见例如Remington’sPharmaceutical Sciences,第1289-1329页,1990)。除非任何常规载体与活性成分不相容,否则考虑其在治疗或药物组合物中的应用。示例性赋形剂包括磷酸二钙、甘露醇、乳糖、淀粉、硬脂酸镁、糖精钠、纤维素、碳酸镁或其组合。药物组合物可以包含不同类型的载体或赋形剂,这取决于其是以固体、液体还是气雾剂形式施用,以及对于这些施用途径其是否需要是无菌的。
例如,用于口服施用的片剂和胶囊剂可以是单位剂量呈递形式,并且可以含有常规赋形剂例如粘合剂,例如糖浆、阿拉伯胶、明胶、山梨醇、黄蓍胶或聚乙烯吡咯烷酮;填充剂,例如乳糖、糖、玉米淀粉、磷酸钙、山梨醇或甘氨酸;压片润滑剂,例如硬脂酸镁、滑石粉、聚乙二醇或二氧化硅;崩解剂,例如马铃薯淀粉,或可接受的润湿剂例如十二烷基硫酸钠。片剂可以根据正常药物实践中熟知的方法包衣。口服液体制剂可以是例如水性或油性混悬液、溶液剂、乳剂、糖浆剂或酏剂的形式,或者可以作为用于在使用前用水或其它适合的溶媒重构的干燥产品存在。此类液体制剂可以含有常规的添加剂,例如助悬剂,例如山梨醇、糖浆、甲基纤维素、葡萄糖浆、明胶氢化食用脂肪;乳化剂,例如卵磷脂、脱水山梨糖醇单油酸酯或阿拉伯胶;非水性溶媒(其可以包括食用油),例如杏仁油、分级的椰子油、油性酯例如甘油、丙二醇或乙醇;防腐剂,例如对羟基苯甲酸甲酯或对羟基苯甲酸丙酯或山梨酸,以及如果需要常规的矫味剂或着色剂。
对于局部施用于皮肤,化合物可以制成乳膏剂、洗剂或软膏剂。可用于药物的乳膏或软膏制剂是本领域熟知的常规制剂,例如在例如British Pharmacopoeia的标准药学教科书中所描述的。
本发明化合物例如式I化合物或者表1或实施例1-15的化合物也可以配制用于吸入,例如作为鼻喷雾剂或干粉或气雾剂吸入器。对于通过吸入递送,化合物通常是微粒的形式,其可以通过多种技术包括喷雾干燥、冷冻干燥和微粉化制备。可以使用例如压力驱动的喷射雾化器或超声雾化器实现气雾产生,例如通过使用抛射剂驱动的计量气雾剂或例如来自吸入胶囊或其它“干粉”输送系统的微粉化化合物的无抛射剂施用。
作为实例,本发明组合物可以制备为用于从喷雾器递送的混悬剂或作为液体抛射剂中的气雾剂,例如在加压计量剂量吸入器(PMDI)中使用。适用于PMDI的抛射剂是本领域技术人员已知的,并且包括CFC-12、HFA-134a、HFA-227、HCFC-22(CCl2F2)和HFA-152(CH4F2和异丁烷)。
在一些实施方案中,本发明组合物为干粉形式,用于使用干粉吸入器(DPI)递送。许多类型的DPI是已知的。
用于通过施用递送的微粒可以用有助于递送和释放的赋形剂配制。例如,在干粉制剂中,微粒可以用有助于从DPI流入肺的大载体颗粒配制。适合的载体颗粒是已知的,并且包括乳糖颗粒;它们可以具有例如大于90μm的质量中值气动直径。
在基于气雾剂的制剂的情况下,实例为:
*例如式I化合物或者表1或实施例1-15的化合物。
取决于所用的吸入器系统的不同,可以如所述施用化合物,例如式I化合物或者表1或实施例1-15的化合物。除了化合物之外,施用形式还可以含有如上所述的赋形剂,或者例如抛射剂(例如在计量气雾剂的情况下为Frigen),表面活性物质,乳化剂,稳定剂,防腐剂,矫味剂,填充剂(例如在粉末吸入器的情况下是乳糖)或者,如果适合,还有其它活性化合物。
对于吸入的目的,可以使用很多系统,利用适合于患者的吸入技术,其可以产生和施用最佳粒径的气雾剂。除了使用适配器(垫片,膨胀器)和梨形容器(例如)和发射吹气喷雾的自动装置,用于计量气溶胶,特别是在粉末吸入器的情况下,可以使用多种技术方案(例如或吸入器,例如如美国专利号5,263,475中所述,该专利通过引用并入本文)。另外,本发明化合物,例如式I化合物或者表1或实施例1-15的化合物可以在多室装置中递送,从而允许递送组合活性剂。
化合物,例如式I化合物或者表1或实施例1-15的化合物也可以在无菌培养基中非肠道施用。取决于所使用的媒介物和浓度,可以将化合物悬浮或溶解在媒介物中。有利地,可以将佐剂例如局部麻醉剂、防腐剂或缓冲剂溶于媒介物中。
靶向吸入递药
最近已经综述了通过局部(吸入)施用递送至肺部的药物的优化(Cooper,A.E.等人,Curr.Drug Metab.2012,13,457-473)。由于递送装置的限制,吸入药物的剂量在人体中可能较低(约<1mg/天),这需要高效分子。对于预定通过干粉吸入递送的化合物,还需要能够产生可以微粉化至1-5μm大小的化合物的结晶形式。另外,化合物需要历经给定的时间段在肺中保持足够的浓度,以便能够发挥所需持续时间的药理学作用,并且对于药理学靶标(其中所述靶标的全身抑制作用是不希望的),能够具有低的全身暴露。肺对大分子(蛋白质、肽)以及伴随短肺半衰期的小分子具有固有的高渗透性,因此有必要通过修饰化合物的一种或多种特征来减弱肺吸收率:最小化膜渗透性,降低溶出速率,或在化合物中引入一定程度的碱性以增强与富含磷脂的肺组织的结合,或通过捕获在酸性亚细胞区室例如溶酶体(pH 5)中。因此,在一些实施方案中,本发明化合物表现出这些特征中的一种或多种。
使用JANUS激酶抑制剂的治疗方法和用途
本发明化合物,例如式I化合物或者表1或实施例1-15的化合物抑制Janus激酶例如JAK1激酶的活性。例如,本发明化合物,例如式I化合物或者表1或实施例1-15的化合物通过JAK1激酶以及STAT介导的细胞因子产生抑制信号转导子和转录活化因子(STAT)的磷酸化。本发明化合物,例如式I化合物或者表1或实施例1-15的化合物可用于通过细胞因子途径例如IL-6、IL-15、IL-7、IL-2、IL-4、IL-9、IL-10、IL-13、IL-21、G-CSF、IFNα、IFNβ或IFNγ途径抑制细胞中的JAK1激酶活性。因此,在一个实施方案中,提供了使细胞与本发明化合物,例如式I化合物或者表1或实施例1-15的化合物接触的方法,以抑制细胞中的Janus激酶活性(例如JAK1活性)。
本发明化合物,例如式I化合物或者表1或实施例1-15的化合物可用于治疗由异常的IL-6、IL-15、IL-7、IL-2、IL-4、IL-9、IL-10、IL-13、IL-21、G-CSF、IFNα、IFNβ或IFNγ-细胞因子信号传导驱动的免疫性障碍。
因此,一个实施方案包括用于疗法的本发明化合物,例如式I化合物或者表1或实施例1-15的化合物。
在一些实施方案中,提供了本发明化合物,例如式I化合物或者表1或实施例1-15的化合物在治疗炎性疾病中的用途。进一步提供了本发明化合物,例如式I化合物或者表1或实施例1-15的化合物在制备用于治疗炎性疾病例如哮喘的药物中的用途。还提供了本发明化合物,例如式I化合物或者表1或实施例1-15的化合物,其用于治疗炎性疾病,例如哮喘。
另一个实施方案包括预防、治疗疾病或病症例如哮喘或者减轻其严重程度的方法,在患者中所述疾病或病症响应于对Janus激酶活性,例如JAK1激酶活性的抑制。该方法可以包括给患者施用治疗有效量的本发明化合物,例如式I化合物或者表1或实施例1-15的化合物的步骤。在一个实施方案中,响应于抑制Janus激酶,例如JAK1激酶的疾病或病症为哮喘。
在一个实施方案中,疾病或病症为癌症、中风、糖尿病、肝肿大、心血管疾病、多发性硬化、阿尔茨海默病、囊性纤维化、病毒性疾病、自身免疫性疾病、动脉粥样硬化、再狭窄、银屑病、类风湿性关节炎、炎性肠病、哮喘、变态反应性障碍、炎症、神经系统障碍、激素相关疾病、与器官移植相关的病症(例如移植排斥)、免疫缺陷障碍、破坏性骨障碍、增殖性障碍、感染性疾病、与细胞死亡有关的病症、凝血酶诱导的血小板聚集、肝疾病、涉及T细胞活化的病理性免疫病症、CNS障碍或骨髓增殖性障碍。
在一个实施方案中,炎性疾病为类风湿性关节炎、银屑病、哮喘、炎性肠病、接触性皮炎或迟发型超敏反应。在一个实施方案中,自身免疫性疾病为类风湿性关节炎、狼疮或多发性硬化。
在一个实施方案中,癌症为乳癌、卵巢癌、宫颈癌、前列腺癌、睾丸癌、阴茎癌、泌尿生殖道癌、精原细胞瘤、食道癌、喉癌、胃癌(gastric)、胃癌(stomach)、胃肠癌、皮肤癌、角化棘皮瘤、滤泡癌、黑素瘤、肺癌、小细胞肺癌、非小细胞肺癌(NSCLC)、肺腺癌、肺鳞癌、结肠癌、胰腺癌、甲状腺癌、乳头状癌、膀胱癌、肝癌、胆道癌、肾癌、骨癌、髓样障碍、淋巴样障碍、毛细胞癌、颊腔和咽(口腔)癌、唇癌、舌癌、口腔癌、唾液腺癌、咽癌、小肠癌、结肠癌、直肠癌、肛门癌、肾癌、前列腺癌、外阴癌、甲状腺癌、大肠癌、子宫内膜癌、子宫癌、脑癌、中枢神经系统癌、腹膜癌、肝细胞癌、头癌、颈癌、霍奇金病或白血病。
在一个实施方案中,疾病为骨髓增殖性疾病。在一个实施方案中,骨髓增殖性疾病为真性红细胞增多症、原发性血小板增多症、骨髓纤维化或慢性髓性白血病(CML)。
另一个实施方案包括本发明化合物,例如式I化合物或者表1或实施例1-15的化合物在制备治疗本文所述疾病(例如炎性障碍、免疫性疾病或癌症)的药物中的用途。在一个实施方案中,本发明提供了通过靶向抑制JAK激酶例如JAK1来治疗如本文所述的疾病或病症(例如炎性障碍、免疫性疾病或癌症)的方法。
联合疗法
本发明化合物,例如式I化合物或者表1或实施例1-15的化合物可以单独使用或与其它用于治疗的活性剂组合使用。药物组合物或给药方案的第二化合物通常具有与本发明化合物互补的活性,使得它们不会对彼此产生不利影响。这些活性剂适合地以对预期目的有效的量组合存在。化合物可以在单一药物组合物中一起施用或分开施用,并且当分开施用时,其可以同时或顺序施用。这种顺序施用可能在时间上接近或间隔较远。
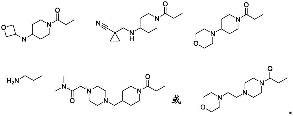
例如,其它化合物可以与本发明关注的化合物组合用于预防或治疗炎性疾病,例如哮喘。因此,本发明还涉及包含治疗有效量的本发明化合物和一种或多种其它治疗剂的药物组合物。用于与本发明化合物组合治疗的适合的治疗剂包括但不限于:腺苷A2A受体拮抗剂;抗感染药;非甾体糖皮质激素受体(GR受体)激动剂;抗氧化剂;β2肾上腺素受体激动剂;CCR1拮抗剂;趋化因子拮抗剂(不是CCR1);皮质类固醇;CRTh2拮抗剂;DP1拮抗剂;甲酰基肽受体拮抗剂;组蛋白脱乙酰酶激活剂;氯通道hCLCA1阻断剂;上皮钠通道阻断剂(ENAC阻断剂;细胞间粘附分子1阻断剂(ICAM阻断剂);IKK2抑制剂;JNK抑制剂;环加氧酶抑制剂(COX抑制剂);脂氧合酶抑制剂;白三烯受体拮抗剂;双重β2肾上腺素受体激动剂/M3受体拮抗剂(MABA化合物);MEK-1抑制剂;髓过氧化物酶抑制剂(MPO抑制剂);毒蕈碱拮抗剂;p38MAPK抑制剂;磷酸二酯酶PDE4抑制剂;磷脂酰肌醇3-激酶δ抑制剂(PI3-激酶δ抑制剂);磷脂酰肌醇3-激酶γ抑制剂(PI3-激酶γ抑制剂);过氧化物酶体增殖物激活受体激动剂(PPARγ激动剂);蛋白酶抑制剂;视黄酸受体调节剂(RARγ调节剂);他汀类;血栓烷拮抗剂;TLR7受体激动剂;或血管扩张剂。
此外,本发明的化合物,例如式I化合物或者表1或实施例1-15的化合物,可以与以下组合:(1)皮质类固醇,例如二丙酸阿氯米松、阿洛米松(amelometasone)、二丙酸倍氯米松、布地奈德、丙酸布替可特、biclesonide、丙酸氯倍他索(blobetasol propionate)、去异丁基环索奈德(desisobutyrylciclesonide)、地塞米松、dtiprednol dicloacetate、氟轻松、糠酸氟替卡松、丙酸氟替卡松、氯替泼诺碳酸乙酯(局部用)或糠酸莫米松;(2)β2-肾上腺素受体激动剂,例如舒喘灵(salbutamol)、沙丁胺醇(albuterol)、特布他林、非诺特罗、比托特罗、卡布特罗、克仑特罗、吡布特罗、rimoterol、特布他林、曲托喹酚、妥洛特罗和长效β2-肾上腺素受体激动剂例如奥西那林(metaproterenol)、异丙肾上腺素(isoproterenol)、异丙肾上腺素(isoprenaline)、沙美特罗、茚达特罗(indacaterol)、福莫特罗(包括富马酸福莫特罗)、阿福特罗(arformoterol)、卡莫特罗(carmoterol)、abediterol、三氟拉酸维兰特罗(vilanterol trifenate)、奥达特罗(olodaterol);(3)皮质类固醇/长效β2激动剂组合产品,例如沙美特罗/丙酸氟替卡松(也以销售)、福莫特罗/布地奈德福莫特罗/丙酸氟替卡松福莫特罗/环索奈德、福莫特罗/糠酸莫米松、茚达特罗(indacaterol)/糠酸莫米松、三氟拉酸维兰特罗(vilanterol trifenate)/糠酸氟替卡松或阿福特罗(arformoterol)/环索奈德;(4)抗胆碱能剂,例如毒蕈碱-3(M3)受体拮抗剂,例如异丙托溴铵、噻托溴铵、阿地铵(aclidinium)(LAS-34273)、格隆溴铵、芜地溴铵(umeclidiniumbromide);(5)M3-抗胆碱能/β2-肾上腺素受体激动剂组合产品,例如维兰特罗(vilanterol)/umeclidinium奥托特罗(olodaterol)/噻托溴铵、格隆溴铵/茚达特罗(indacaterol)(也以销售)、氢溴酸非诺特罗/异丙托溴铵硫酸沙丁胺醇/异丙托溴铵富马酸福莫特罗/格隆溴铵或阿地溴铵(aclidinium bromide)/福莫特罗;(6)双重药理学M3-抗胆碱能/β2-肾上腺素受体激动剂,例如batefenterol succinate、AZD-2115或LAS-190792;(7)白三烯调节剂,例如白三烯拮抗剂,例如孟鲁司特、扎鲁司特(zafirulast)或普仑司特,或白三烯生物合成抑制剂,例如齐留通,或LTB4拮抗剂,例如阿美卢班(amelubant),或FLAP抑制剂,例如氟非隆(fiboflapon)、GSK-2190915;(8)磷酸二酯酶-IV(PDE-IV)抑制剂(口服或吸入),例如罗氟司特、西洛司特、奥格司特(oglemilast)、咯利普兰、替托司特(tetomilast)、AVE-8112、revamilast、CHF 6001;(9)抗组胺药,例如选择性组胺-1(H1)受体拮抗剂,例如非索非那定、西吡替林(citirizine)、氯雷他定或阿司咪唑,或双重H1/H3受体拮抗剂,例如GSK 835726或GSK 1004723;(10)镇咳剂,例如可待因或右美沙芬(dextramorphan);(11)粘液溶解剂,例如N-乙酰基半胱氨酸或福多斯汀(fudostein);(12)祛痰剂/粘弹性调节剂,例如氨溴索、高渗溶液(例如盐水或甘露醇)或表面活性剂;(13)粘液溶解肽,例如重组人脱氧核糖核酸酶I(脱氧核糖核酸酶-α和rhDNase)或螺杀菌素;(14)抗生素,例如阿奇霉素、妥布霉素或氨曲南;(15)非选择性COX-1/COX-2抑制剂,例如布洛芬或酮洛芬;(16)COX-2抑制剂,例如塞来考昔和罗非昔布;(17)VLA-4拮抗剂,例如在WO 97/03094和WO 97/02289中描述的那些,各自通过引用并入本文;(18)TACE抑制剂和TNF-α抑制剂,例如抗-TNF单克隆抗体,例如和CDP-870,和TNF受体免疫球蛋白分子,例如(19)基质金属蛋白酶抑制剂,例如MMP-12;(20)人嗜中性粒细胞弹性蛋白酶抑制剂,例如BAY-85-8501或在WO 2005/026124、WO 2003/053930和WO 06/082412中描述的那些,各自通过引用并入本文;(21)A2b拮抗剂,例如在WO 2002/42298中描述的那些,通过引用并入本文;(22)趋化因子受体功能调节剂,例如CCR3和CCR8的拮抗剂;(23)调节其它类前列腺素受体的作用的化合物,例如血栓烷A2拮抗剂;DP1拮抗剂,例如拉罗匹仑(laropiprant)或asapiprant,CRTH2拮抗剂,例如OC000459、非韦匹仑(fevipiprant)、ADC3680或ARRY 502;(24)PPAR激动剂,包括PPARα激动剂(例如非诺贝特),PPARδ激动剂,PPARγ激动剂,例如吡格列酮、罗格列酮和巴拉格列酮(balaglitazone);(25)甲基黄嘌呤,例如茶碱或氨茶碱,和甲基黄嘌呤/皮质类固醇组合,例如茶碱/布地奈德、茶碱/丙酸氟替卡松、茶碱/环索奈德、茶碱/糠酸莫米松和茶碱/二丙酸倍氯米松;(26)A2a激动剂,例如EP1052264和EP1241176中所述的那些;(27)CXCR2或IL-8拮抗剂,例如AZD-5069、AZD-4721、danirixin;(28)IL-R信号传导调节剂,例如kineret和ACZ 885;(29)MCP-1拮抗剂,例如ABN-912;(30)p38 MAPK抑制剂,例如BCT197、JNJ49095397、洛沙莫德(losmapimod)或PH-797804;(31)TLR7受体激动剂,例如AZD 8848;(32)PI3-激酶抑制剂,例如RV1729或GSK2269557。
在一些实施方案中,本发明化合物,例如式I化合物或者表1或实施例1-15的化合物可以与一种或多种另外的药物组合使用,例如抗过度增殖药、抗癌药、细胞抑制剂、细胞毒性剂、抗炎剂或化疗剂,例如美国公开专利申请号2010/0048557公开的那些活性剂,其通过引用并入本文。如本领域已知的,本发明化合物,例如式I化合物或者表1或实施例1-15的化合物也可以与放疗或外科手术组合使用。
制品
另外的实施方案包括用于治疗响应于Janus激酶,例如JAK1激酶的抑制的疾病或障碍的制品(例如药盒)。药盒可以包含:
(a)第一药物组合物,其包含本发明化合物,例如式I化合物或者表1或实施例1-15的化合物;和
(b)使用说明书。
在另外的实施方案中,药盒还包含:
(c)第二药物组合物,例如包含如上所述的用于治疗的活性剂的药物组合物,例如用于治疗炎性障碍的活性剂,或化疗剂。
在一个实施方案中,说明书描述了将所述第一和第二药物组合物同时、顺序或分开施用于有需要的患者。
在一个实施方案中,第一和第二组合物包含在不同的容器中。在另一个实施方案中,第一和第二组合物包含在相同的容器中。
使用的容器包括例如瓶、小瓶、注射器、泡罩包装等。容器可以由多种材料例如玻璃或塑料形成。容器包含本发明化合物,例如式I化合物或者表1或实施例1-15的化合物,或其组合物,其有效用于治疗病症并且可以具有无菌调试窗口(access port)(例如容器可以为静脉内溶液袋或小瓶,其具有皮下注射针可穿透的塞子)。标签或包装说明书表明化合物或组合物用于治疗选择的病症,例如哮喘或癌症。在一个实施方案中,标签或包装说明书表明化合物或组合物可以用于治疗障碍。此外,标签或包装说明书可以表明待治疗的患者是具有特征在于活动过强或无规律Janus激酶活性的障碍的患者。标签或包装说明书也可以表明化合物或组合物可以用于治疗其它障碍。
或者,或另外,药盒还可以包含第二(或第三)容器,其包含药学上可接受的缓冲液,例如抑菌性注射用水(BWFI)、磷酸盐缓冲盐水、林格氏溶液或右旋糖溶液。它还可以包含从商业和用户角度所需的其它材料,包括其它缓冲剂、稀释剂、过滤器、针头和注射器。
为了示例本发明,提供下列实施例。然而,应当理解,这些实施例不限制本发明,仅是意味着建议实施本发明的方法。本领域技术人员将理解,所述的化学反应可以容易地进行改变以制备其它本发明化合物,制备化合物的替代方法也在本发明范围内。例如,通过对本领域技术人员而言显而易见的修饰可以成功进行合成本发明的非示例性化合物,例如,通过适当地保护干扰基团、通过利用非本文描述的本领域已知的其它适当试剂或通过对反应条件进行常规修饰。或者,将认识到本文公开的或本领域已知的其它反应也适合制备其它本发明化合物。
实施例
尽管已经以一定程度的特殊性描述和示例了本发明,但是应理解,本公开仅通过实施例的方式进行,并且本领域技术人员可以在不脱离权利要求所限定的本发明的精神和范围的情况下采用部分的组合和排列的多种变型。
缩略语
DIPEA 二异丙基乙基胺
DMF N,N-二甲基甲酰胺
DMSO 二甲亚砜
DMSO-d6 氘代二甲亚砜
EtOAc 乙酸乙酯
EtOH 乙醇
g 克
HATU (O-(7-氮杂苯并三唑-1-基)-N,N,N’,N’-四甲基脲六氟磷酸盐)
HCl 盐酸
HM-N Isolute HM-N为硅藻土的修饰形式
L 升
MeCN 乙腈
MeOH 甲醇
mg 毫克
mL 毫升
NaOH 氢氧化钠
Pd2(dba)3 三(二亚苄基丙酮)钯(0)
Pd(dppf)Cl2 [1,1’-双(二苯基膦基)二茂铁]-二氯钯-(II),与二氯甲烷的复合物
Pd(OAc)2 乙酸钯(II)
Pd(PPh3)4 四(三苯膦)钯(0)
RT 环境温度
THF 四氢呋喃
TFA 三氟乙酸
TLC 薄层色谱法
XantPhos 4,5-双(二苯基膦基)-9,9-二甲基呫吨
NMR分析方法在环境温度使用如下记录1H NMR谱:Bruker Avance III 300(300MHz)谱仪,其具有5mm宽带液体探针BBFO与ATM+Z,和Bruker Avance III HD(400MHz)谱仪,其具有5mm宽带液体探针BBFO与ATM+Z。化学位移以相对于四甲基硅烷的ppm表示。使用以下缩略语:br=宽信号,s=单峰,d=双重峰,dd=双联双重峰,t=三重峰,q=四重峰,m=多重峰。
LCMS分析方法使用以下方法之一进行确定保留时间(RT)和相关质量离子的高压液相色谱-质谱(LCMS)试验,其中使用UV检测器在220nm和254nm监测或蒸发光散射检测,以及在ESI+电离模式下扫描110-800amu的质谱。
NMR分析方法在环境温度使用如下记录1H NMR谱:Bruker Avance III 300(300MHz)谱仪,其具有5mm宽带液体探针BBFO与ATM+Z,和Bruker Avance III HD(400MHz)光谱仪,具有5mm宽带液体探针BBFO与ATM+Z。化学位移以相对于四甲基硅烷的ppm表示。使用以下缩略语:br=宽信号,s=单峰,d=双重峰,dd=双联双重峰,t=三重峰,q=四重峰,m=多重峰。
LCMS分析方法使用以下方法之一进行确定保留时间(RT)和相关质量离子的高压液相色谱-质谱(LCMS)试验,其中使用UV检测器在220nm和254nm监测或蒸发光散射检测,以及在ESI+电离模式下扫描110-800amu的质谱。
方法A
试验使用具有Shim-Pack XR-ODS柱(50×3mm,2.2μm粒径)的SHIMADZU 20A HPLC进行,用溶剂A:水+0.05%三氟乙酸;溶剂B:乙腈+0.05%三氟乙酸洗脱。梯度:
检测-UV(220和254nm)和ELSD
方法B
试验使用具有Shim-Pack XR-ODS柱(50×3mm,2.2μm粒径)的SHIMADZU 20A HPLC进行,用溶剂A:水+0.05%三氟乙酸;溶剂B:乙腈+0.05%三氟乙酸洗脱。梯度:
检测-UV(220和254nm)和ELSD
方法C
试验使用具有Poroshell HPH-C18柱(50×3mm,2.7μm粒径)的SHIMADZU 20A HPLC进行,用溶剂A:水/5mM NH4HCO3;溶剂B:乙腈洗脱。梯度:
检测-UV(220和254nm)和ELSD
方法D
试验使用具有Shim-Pack XR-ODS柱(50×3mm,2.2μm粒径)的SHIMADZU 20A HPLC进行,用溶剂A:水+0.05%三氟乙酸;溶剂B:乙腈+0.05%三氟乙酸洗脱。梯度:
检测-UV(220和254nm)和ELSD
方法E
试验使用具有Shim-Pack XR-ODS柱(50×3mm,2.2μm粒径)的SHIMADZU 20A HPLC进行,用溶剂A:水+0.05%三氟乙酸;溶剂B:乙腈+0.05%三氟乙酸洗脱。梯度:
检测-UV(220和254nm)和ELSD
方法F
试验使用具有Shim-Pack XR-ODS柱(50×3mm,2.2μm粒径)的SHIMADZU 20A HPLC进行,用溶剂A:水+0.05%三氟乙酸;溶剂B:乙腈+0.05%三氟乙酸洗脱。梯度:
检测-UV(220和254nm)和ELSD
方法G
试验使用具有Shim-Pack XR-ODS柱(50×3mm,2.2μm粒径)的SHIMADZU 20A HPLC进行,用溶剂A:水+0.05%三氟乙酸;溶剂B:乙腈+0.05%三氟乙酸洗脱。梯度:
检测-UV(220和254nm)和ELSD
方法H
试验使用具有Shim-Pack XR-ODS柱(50×3mm,2.2μm粒径)的SHIMADZU 20A HPLC进行,用溶剂A:水+0.05%三氟乙酸;溶剂B:乙腈+0.05%三氟乙酸洗脱。梯度:
检测-UV(220和254nm)和ELSD方法I
试验使用Acquity UPLC(二元泵/PDA检测器)+ZQ质谱仪进行,使用ESI作为电离源。LC分离使用Acquity UPLC BEH C18 1.7μm,100×2.1mm柱进行,流速为0.4mL/分钟。溶剂A为含0.1%甲酸的水,并且溶剂B为含0.1%甲酸的乙腈。梯度由5%溶剂B 0.4分钟、然后5-95%溶剂B至6分钟,并且保持95%B至6.8分钟组成。LC柱温为40℃。将UV二极管阵列200-500nm和质谱全扫描应用于所有试验。
方法J
试验使用Waters ZMD单四极杆质谱仪进行,其中电喷雾源以与Waters 1525LC系统连接的正和负离子模式操作。使用UV二极管阵列检测器和Sedex 85蒸发光散射检测器进行检测。LC柱是Phenomenex Luna3微米C18(2)30×4.6mm。流速为2mL/分钟。初始溶剂体系为含有0.1%甲酸的95%水(溶剂A),和含有0.1%甲酸的5%乙腈(溶剂B)0.5分钟,然后梯度至5%溶剂A和95%溶剂B,历经接下来4分钟。最终的溶剂系统保持恒定另外1分钟。
方法K
试验使用与Agilent MSD(6140)质谱仪偶联的Agilent 1290UHPLC进行,使用ESI作为电离源(Phenomenex XB-C18,1.7uμm,50×2.1mm,1.7μm粒径),用溶剂A:水+0.1%甲酸;溶剂B:乙腈+0.1%甲酸洗脱。
梯度:
检测-UV(200nm,254nm)
方法L
试验使用与Agilent MSD(6140)质谱仪偶联的Agilent 1200HPLC进行,使用ESI作为电离源(Agilent ZORBAX SB-C18,1.8μm粒径,2.1×50mm),用溶剂A:水+0.1%甲酸;溶剂B:乙腈+0.1%甲酸洗脱。梯度:
检测-UV(200nm,254nm)
中间体1的制备
3-(5-氯-2-甲氧基苯基)-1-甲基-1H-吡唑-4-胺
将N,N-羰基二咪唑(1.64g,10.1mmol)加入到搅拌的5-氯-2-甲氧基苯甲酸(1.87g,10.0mmol)在四氢呋喃(20mL)中的溶液中,并且继续搅拌20分钟,生成酰基-咪唑。单独地将乙基丙二酸钾(4.08g,23.99mmol)和氯化镁(1.15g,12.10mmol)混悬于四氢呋喃(20mL)。将酰基-咪唑溶液加入到氯化镁混合物中。在添加完成时,将混合物在50℃加热1.5小时。使反应混合物在乙酸乙酯与水之间分配,并且将有机部分经硫酸镁干燥,通过硅藻土垫过滤,并且浓缩,得到3-(5-氯-2-甲氧基苯基)-3-氧代丙酸乙酯(2.57g,101%),无需进一步纯化使用。LC/MS(ESI):[M+H]+=257.2。
将搅拌的3-(5-氯-2-甲氧基苯基)-3-氧代丙酸乙酯(10.0mmol)和1,1-二甲氧基-N,N-二甲基甲胺(3.0mL,22.0mmol)的混合物在90℃加热2小时。将混合物冷却至RT,并且蒸发。通过硅胶快速色谱法纯化粗产物(溶剂梯度:在二氯甲烷中的0-80%乙酸乙酯),得到2-(5-氯-2-甲氧基苯甲酰基)-3-(二甲基氨基)丙烯酸乙酯(2.49g,80%)。LC/MS(ESI):[M+H]+=312.2。
将2-(5-氯-2-甲氧基苯甲酰基)-3-(二甲基氨基)丙烯酸乙酯(2.49g,8.00mmol)和肼(0.40mL,13.0mmol)在乙醇(20mL)中的溶液在70℃加热2小时。将混合物冷却至室温,并且蒸发溶剂,得到5-(5-氯-2-甲氧基苯基)-1H-吡唑-4-甲酸乙酯(2.24g,100%),不经进一步纯化使用。LC/MS(ESI):[M+H]+=281.3。
向5-(5-氯-2-甲氧基苯基)-1H-吡唑-4-甲酸乙酯(2.24g,8.00mmol)在N,N-二甲基甲酰胺(20mL)中的溶液中加入碳酸铯(3.417g,10.49mmol)和碘甲烷(0.60mL,9.60mmol)。将反应混合物在40℃加热4小时,然后再加入碘甲烷(0.2mL,3.21mmol),并且继续加热。再经过2.5小时后,将反应混合物冷却至室温,并且使其在乙酸乙酯与水之间分配。经硫酸镁干燥有机层,并且浓缩。通过硅胶快速色谱法纯化粗产物(溶剂梯度:在二氯甲烷中的0-35%乙酸乙酯),得到1:1的区域异构体产物混合物3-(5-氯-2-甲氧基苯基)-1-甲基-1H-吡唑-4-甲酸乙酯和5-(5-氯-2-甲氧基苯基)-1-甲基-1H-吡唑-4-甲酸乙酯(2.18g,92%)。LC/MS(ESI):[M+H]+=295.1。
将3-(5-氯-2-甲氧基苯基)-1-甲基-1H-吡唑-4-甲酸乙酯和5-(5-氯-2-甲氧基苯基)-1-甲基-1H-吡唑-4-甲酸乙酯(1:1区域异构体混合物,2.18g,7.40mmol)和1.0M氢氧化钠水溶液(12mL,20.0mmol)在乙醇(15mL)中的混合物在50℃加热14小时。将反应混合物冷却至室温,并且蒸发。用水稀释残留物,并且通过添加1.0M磷酸水溶液将pH调节至2。用二氯甲烷将水相萃取2次。经MgSO4干燥合并的有机萃取物,并且浓缩,得到相应的羧酸(1.79g,91%),立即用于下一步。LCMS(ESI)M+H=267.2。向酸的二烷溶液(15mL)中加入三乙胺(2.0mL,14mmol)和二苯基膦酸叠氮化物(1.6mL,7.4mmol)。将反应混合物在室温搅拌1小时,然后加热至90℃,并且加入叔丁醇(15mL)。在90℃搅拌2.5小时后,将混合物冷却至室温,蒸发溶剂,并且使残留物在乙酸乙酯与水之间分配。用盐水洗涤有机层,经硫酸镁干燥,并且浓缩。通过硅胶快速色谱法纯化粗产物(溶剂梯度:在二氯甲烷中的0-50%乙酸乙酯),分离两种区域异构体,得到:
3-(5-氯-2-甲氧基苯基)-1-甲基-1H-吡唑-4-基氨基甲酸叔丁酯(543mg,48%)。LC/MS(ESI):[M+H]+=338.3;1H NMR(400MHz,CDCl3):δ:7.84(s,1H),7.39(d,1H),7.23(s,1H),6.96(d,1H),5.92(s,1H),3.89(m,6H),1.48(s,9H)。
5-(5-氯-2-甲氧基苯基)-1-甲基-1H-吡唑-4-基氨基甲酸叔丁酯(774mg,68%)。LC/MS(ESI):[M+H]+=338.3;1H NMR(400MHz,CDCl3):δ:7.84(s,1H),7.59(s,1H),7.29(d,1H),6.93(d,1H),3.89(m,6H),1.48(s,9H)。
向搅拌的3-(5-氯-2-甲氧基苯基)-1-甲基-1H-吡唑-4-基氨基甲酸叔丁酯(0.23g,0.68mmol)在1,2-二氯乙烷(5mL)中的溶液中加入氯化氢(2.0mL的4.0M在1,4-二烷中的溶液,8.0mmol)。将反应混合物在室温搅拌3.5小时,然后蒸发至干。使固体残留物在二氯甲烷与饱和碳酸氢钠水溶液之间分配。用二氯甲烷将水部分再萃取一次,并且经硫酸镁干燥合并的有机萃取物,并且浓缩。通过硅胶快速色谱法纯化粗产物(溶剂梯度:在二氯甲烷中的0-100%乙酸乙酯),得到3-(5-氯-2-甲氧基苯基)-1-甲基-1H-吡唑-4-胺(65.9mg,41%)。LC/MS(ESI):[M+H]+=238.2;1H NMR(400MHz,CDCl3):δ:7.53(s,1H),7.28(d,1H),7.02(s,1H),6.91(d,1H),3.91(d,2H),3.87(s,3H),3.84(s,3H)。
中间体2的制备
5-(5-氯-2-(二氟甲氧基)苯基)-1-((2-(三甲基甲硅烷基)乙氧基)甲基)-1H-吡唑-4-胺
向2-溴-4-氯苯酚(4.98g,24.0mmol)在DMF(25mL)中的溶液中加入氯二氟乙酸钠(8.42g,55.2mmol)、碳酸铯(10.97g,33.67mmol)和水(2.5mL)。将反应在100℃搅拌16小时。使反应混合物在乙酸乙酯与水之间分配,用盐水洗涤有机部分,干燥(MgSO4),并且蒸发。通过硅胶快速色谱法纯化粗产物,用在庚烷中的0-20%EtOAc洗脱,得到2-溴-4-氯-1-(二氟甲氧基)苯(2.98g,48%),为澄清无色油状物。LCMS(ESI)无m/z信号;1H NMR(400MHz,DMSO-d6):δ7.90(d,1H),7.54(dd,1H),7.38(d,1H),7.28(t,1H)。
向4-硝基-1-(2-三甲基硅烷基乙氧基甲基)-1H-吡唑(WO 2011003065中所述的制备)(46.5g,191mmol)在DMA(350mL)中的溶液中加入2-溴-4-氯-1-二氟甲氧基苯(64.0g,248mmol)、乙酸钯(II)(2.15g,9.6mmol)、二-(金刚烷基)-正-丁基膦(5.0g,13.4mmol)、碳酸钾(79.2g,573mmol)和三甲基乙酸(5.27g,51.6mmol)。用氮气给混合物脱气10分钟,然后在130℃加热8小时。将反应混合物冷却至室温,用乙酸乙酯稀释,并且用水和盐水洗涤,干燥(MgSO4),过滤并且蒸发。通过硅胶快速色谱法纯化得到的粗物质,用在环己烷中的0-10%EtOAc洗脱,得到5-(5-氯-2-二氟甲氧基苯基)-4-硝基-1-(2-三甲基硅烷基乙氧基甲基)-1H-吡唑(62.4g,78%)。1H NMR(400MHz,CDCl3):δ8.24(s,1H),7.52-7.53(m,2H),6.39(t,1H),5.29-5.30(m,2H),3.63-3.64(m,2H),0.90(s,9H)。
向5-(5-氯-2-二氟甲氧基苯基)-4-硝基-1-(2-三甲基硅烷基乙氧基甲基)-1H-吡唑(62g,148mmol)在乙醇(600mL)中的溶液中加入水(200mL)、氯化铵(32g,590mmol)和铁粉(41g,740mmol)。将混合物在80℃加热2小时,然后冷却至室温。通过经过滤除去残留固体。减压蒸发滤液,用水稀释,并且用DCM萃取2次。用水和盐水洗涤合并的有机萃取物,干燥(MgSO4),并且蒸发,得到深色油状物。通过硅胶快速色谱法纯化油状物,用在DCM中的0-25%EtOAc洗脱。收集适合的级分,并且真空除去溶剂,得到5-(5-氯-2-二氟甲氧基苯基)-1-(2-三甲基硅烷基-乙氧基甲基)-1H-吡唑-4-基胺(30.8g,54%),为棕色油状物。1HNMR(400MHz,CDCl3)δ7.56(d,1H),7.44(dd,1H),7.34(s,1H),7.30-7.25(m,1H),6.37(t,1H),5.29(s,2H),3.56(t,2H),0.88(dd,2H),0.00(s,9H)。
将5-(5-氯-2-二氟甲氧基苯基)-1-(2-三甲基硅烷基-乙氧基甲基)-1H-吡唑-4-基胺(60.0g,154mmol)在THF(100mL)中的溶液滴加到冰/水冷却的吡唑并[1,5-a]嘧啶-3-羰基氯(27.8g,153mmol)和DIPEA(49.5g,383mmol)在THF(300mL)中的混合物中,历经30分钟。在添加完成时,将混合物保持在室温搅拌1小时。蒸发溶剂,并且用0.5N HCl水溶液稀释残留物,并且用乙酸乙酯萃取。使合并的有机萃取物通过以除去残留固体,并且用1M K2CO3水溶液、水和盐水洗涤滤液,干燥(Na2SO4),并且蒸发,得到红色固体。将固体与在环己烷中的10%乙醚一起研磨。通过过滤收集固体,用1:1在环己烷中的乙醚洗涤,并且保持风干,得到吡唑并[1,5-a]嘧啶-3-甲酸[5-(5-氯-2-二氟甲氧基苯基)-1-(2-三甲基硅烷基乙氧基甲基)-1H-吡唑-4-基]酰胺(59.2g,73%),为类白色固体。1H NMR(300MHz,CDCl3):δ9.61(s,1H),8.77-8.78(m,1H),8.51(dd,1H),8.36(s,1H),7.65(d,1H),7.52(dd,1H),7.36(d,1H),7.29(s,1H),7.01(dd,1H),6.42(t,1H),5.39-5.41(m,2H),3.60-3.64(m,2H),0.87-0.89(m,2H),0.09(s,9H)。
实施例1
N-(3-(5-氯-2-甲氧基苯基)-1-甲基-1H-吡唑-4-基)-2-甲基-2H-吡唑并[4,3-c]吡啶-7-甲酰胺
向4-叠氮基-5-溴烟醛(0.50g,2.2mmol)在THF(10mL)中的溶液中加入甲胺(2M,在THF中,9.0mL,18mmol)和无水硫酸钠。将混合物在室温搅拌过夜。通过过滤除去固体,并且蒸发滤液,得到粗1-(4-叠氮基-5-溴吡啶-3-基)-N-甲基甲亚胺(0.578g,推定定量)。将亚胺溶于甲苯(50mL),并且回流加热4小时。蒸发冷却的反应混合物,并且使残留物在二氯甲烷与稀碳酸氢钠之间分配。再用二氯甲烷萃取水相,并且经无水硫酸钠干燥合并的有机萃取物,并且减压浓缩。通过硅胶色谱法纯化残留物(在二氯甲烷中的10-100%乙酸乙酯),得到7-溴-2-甲基-2H-吡唑并[4,3-c]吡啶(0.18g,38%),为白色固体。TLC:Rf=0.07;DCM/EA=1/1。
使一氧化碳通过7-溴-2-甲基-2H-吡唑并[4,3-c]吡啶(0.179g,0.844mmol)、乙酸钯(II)(15.1mg,0.067mmol)、Xantphos(78mg,0.135mmol)、三乙胺(1.5mL)、甲醇(0.7mL)和甲苯(3mL)的混合物,然后置于一氧化碳球囊中,并且在70℃搅拌18小时。蒸发冷却的反应混合物,并且使残留物在乙酸乙酯与水之间分配。再用乙酸乙酯萃取水相,并且用盐水洗涤合并的有机萃取物,经无水硫酸钠干燥,并且减压浓缩。通过硅胶色谱法纯化残留物(在二氯甲烷中的2-10%2M在甲醇中的氨)。合并适合的级分,并且蒸发,得到2-甲基-2H-吡唑并[4,3-c]吡啶-7-甲酸甲酯(30mg,19%),为浅黄色固体。1H NMR(300MHz,CDCl3):δ9.28(s,1H),8.99(s,1H),8.26(s,1H),4.35(s,3H),4.04(s,3H)。
向2-甲基-2H-吡唑并[4,3-c]吡啶-7-甲酸甲酯(30mg,0.157mmol)在THF(3mL)中的溶液中加入氢氧化锂水合物(13.2mg,0.314mmol)在水(0.5mL)中的溶液。将混合物在室温搅拌16小时。加入1M HCl(0.314mL),并且将混合物蒸发至干。加入DMF,并且蒸发得到的溶液,得到粗2-甲基-2H-吡唑并[4,3-c]吡啶-7-甲酸。将该酸溶于DMF(2mL),加入3-(5-氯-2-甲氧基苯基)-1-甲基-1H-吡唑-4-胺(41mg,0.173mmol)和N,N-二异丙基乙基胺(0.0816mL,0.471mmol),然后分批加入HATU(90mg,0.236mmol),历经3分钟。将混合物在室温搅拌1小时,然后在乙酸乙酯与水之间分配。再用乙酸乙酯萃取水相,并且用盐水洗涤合并的有机萃取物,经无水硫酸钠干燥,并且减压浓缩。通过硅胶色谱法纯化残留物(溶剂梯度:在乙酸乙酯中的2-14%甲醇)。NMR显示2-甲基-2H-吡唑并[4,3-c]吡啶-7-甲酸甲酯杂质。将产物溶于THF(1.5mL),并且加入氢氧化锂水合物(3mg,0.071mmol)的水(0.2mL)溶液。将混合物在室温搅拌2小时,然后蒸发至干。通过硅胶色谱法纯化残留物(溶剂梯度:在二氯甲烷中的2-8%2M在甲醇中的氨),然后在乙酸异丙酯中研磨,得到2-甲基-2H-吡唑并[4,3-c]吡啶-7-甲酸甲酯(21.8mg,35%),为白色固体。LC/MS(方法I,ESI):[M+H]+=396.8,RT=2.92分钟;1H NMR(400MHz,DMSO-d6):δ10.32(s,1H),9.34(s,1H),8.89(s,1H),8.88(s,1H),8.41(s,1H),7.54(dd,J=8.9,2.7Hz,1H),7.41(d,J=2.7Hz,1H),7.34(d,J=8.9Hz,1H),4.14(s,3H),3.92(s,3H),3.68(s,3H)。
实施例2
N-(3-(5-氯-2-甲氧基苯基)-1-甲基-1H-吡唑-4-基)-1H-吡唑并[4,3-c]吡啶-7-甲酰胺
向4-叠氮基-5-溴烟醛(0.50g,2.2mmol)在THF(13mL)中的溶液中加入4-甲氧基苄胺(0.343mL,2.64mmol)在THF(2mL)中的溶液。加入无水硫酸钠,并且将混合物在室温搅拌3小时。过滤混合物,并且蒸发滤液,得到粗1-(4-叠氮基-5-溴吡啶-3-基)-N-(4-甲氧基苄基)甲亚胺。将亚胺溶于甲苯(45mL),并且回流加热2.5小时。蒸发冷却的反应混合物,并且通过硅胶色谱法纯化残留物(溶剂梯度:在二氯甲烷中的50-100%乙酸乙酯)。合并适合的级分,并且蒸发,得到7-溴-2-(4-甲氧基苄基)-2H-吡唑并[4,3-c]吡啶(0.48g,69%),为白色固体。1H NMR(300MHz,CDCl3):δ8.98(s,1H),8.42(s,1H),8.02(s,1H),7.32(d,J=8.8Hz,2H),6.93(d,J=8.8Hz,2H),5.62(s,2H),3.82(s,3H)。
使一氧化碳通过7-溴-2-(4-甲氧基苄基)-2H-吡唑并[4,3-c]吡啶(0.48g,1.51mmol)、乙酸钯(II)(27mg,0.12mmol)、Xantphos(139mg,0.24mmol)、三乙胺(2.7mL)、甲醇(1.25mL)和甲苯(5.5mL)的混合物,然后置于一氧化碳球囊中,并且在70℃搅拌20小时。使冷却的反应混合物在乙酸乙酯与水之间分配。再用乙酸乙酯萃取水相,并且用盐水洗涤合并的有机萃取物,经无水硫酸钠干燥,并且减压浓缩。通过硅胶色谱法纯化残留物(溶剂梯度:在乙酸乙酯中的0-100%乙酸甲酯),得到2-(4-甲氧基苄基)-2H-吡唑并[4,3-c]吡啶-7-甲酸甲酯(0.31g,69%),为浅黄色固体。1H NMR(300MHz,CDCl3):δ9.21(s,1H),8.98(s,1H),8.01(s,1H),7.34(d,J=8.7Hz,2H),6.94(d,J=8.7Hz,2H),5.67(s,2H),4.05(s,3H),3.83(s,3H)。
向2-(4-甲氧基苄基)-2H-吡唑并[4,3-c]吡啶-7-甲酸甲酯(0.10g,0.336mmol)在THF(5mL)中的溶液中加入氢氧化锂水合物(28.3mg,0.673mmol)在水(1mL)中的溶液。将混合物在室温搅拌2小时。加入1M HCl(0.67mL),并且将混合物蒸发至干。加入DMF,并且蒸发,得到粗2-(4-甲氧基苄基)-2H-吡唑并[4,3-c]吡啶-7-甲酸。将该酸溶于DMF(3mL),加入3-(5-氯-2-甲氧基苯基)-1-甲基-1H-吡唑-4-胺(87.7mg,0.369mmol)和N,N-二异丙基乙基胺(0.175mL,1.0mmol),然后分批加入HATU(0.193g,0.508mmol),历经5分钟。将混合物在室温搅拌1小时,然后在乙酸乙酯与水之间分配。再用乙酸乙酯萃取水相,并且用盐水洗涤合并的有机萃取物,经无水硫酸钠干燥,并且减压浓缩。通过硅胶色谱法纯化残留物(溶剂梯度:在乙酸乙酯中的2-12%甲醇)。合并适合的级分,并且蒸发,将得到的残留物在甲醇中研磨,得到N-(3-(5-氯-2-甲氧基苯基)-1-甲基-1H-吡唑-4-基)-2-(4-甲氧基苄基)-2H-吡唑并[4,3-c]吡啶-7-甲酰胺(54.2mg,32%),为黄色固体。LC/MS(ESI):[M+H]+=502.9,RT=3.69分钟。
将N-(3-(5-氯-2-甲氧基苯基)-1-甲基-1H-吡唑-4-基)-2-(4-甲氧基苄基)-2H-吡唑并[4,3-c]吡啶-7-甲酰胺(29mg,0.0576mmol)在三氟乙酸(0.5mL)中的溶液在100℃在微波照射中加热1小时。向冷却的反应混合物中加入甲苯,并且蒸发。使残留物在二氯甲烷与稀碳酸氢钠之间分配。再用二氯甲烷萃取水相,并且经无水硫酸钠干燥合并的有萃取物,并且减压浓缩。通过硅胶色谱法纯化残留物(溶剂梯度:在二氯甲烷中的1-8%2M在甲醇中的氨),得到N-(3-(5-氯-2-甲氧基苯基)-1-甲基-1H-吡唑-4-基)-1H-吡唑并[4,3-c]吡啶-7-甲酰胺(17.7mg,80%),为白色固体。LC/MS(方法I,ESI):[M+H]+=382.8,RT=2.82分钟;1H NMR(400MHz,DMSO-d6):δ9.96(brs,1H),9.26(s,1H),8.84(s,1H),8.88(s,1H),8.45(brs,1H),8.22(s,1H),7.42(s,2H),7.15-7.12(m,1H),3.92(s,3H),3.73(s,3H)。
实施例3
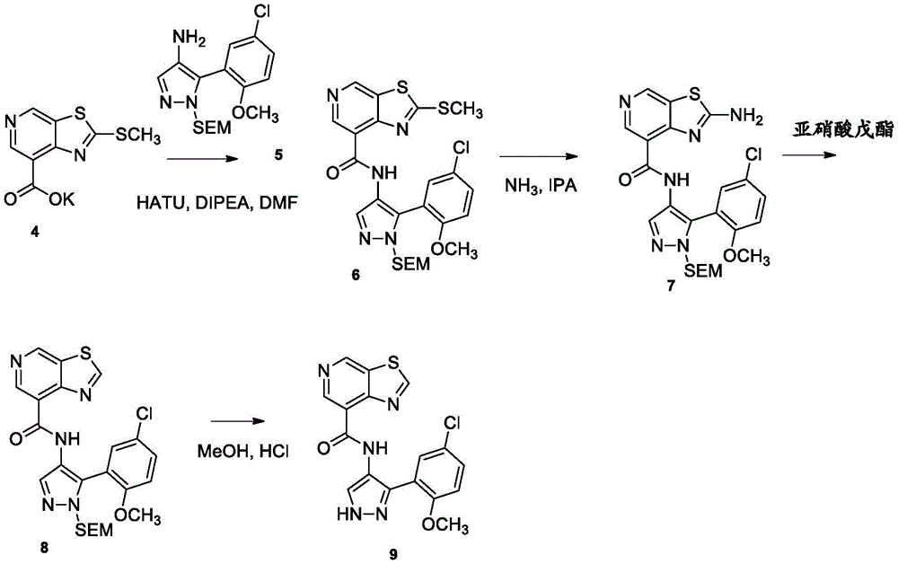
N-(3-(5-氯-2-甲氧基苯基)-1H-吡唑-4-基)噻唑并[5,4-c]吡啶-7-甲酰胺
向密封的反应容器中加入在N,N-二甲基乙酰胺(8.0mL)中的4-氨基-3,5-二溴吡啶(643mg,2.55mmol,1当量)和乙基黄原酸钾(495mg,3.09mmol,1.21当量),在160℃用微波照射下加热20分钟。向混合物中再加入乙基黄原酸钾(0.490g,3.06mmol,1.20当量),并且在160℃用微波照射下将得到的溶液再加热20分钟。将反应混合物冷却至0℃,然后添加碘甲烷(382μL,6.13mmol,2.40当量)。20分钟后,真空浓缩反应,并且通过快速柱色谱法纯化得到的残留物(溶剂:2:1庚烷/乙酸乙酯)。合并适合的级分,并且蒸发,得到7-溴-2-(甲硫基)噻唑并[5,4-c]吡啶(505mg,75.7%),为黄褐色固体。1H NMR(500MHz,CDCl3):δ:8.88(s,1H),8.66(s,1H),2.85(s,3H)。
向圆底烧瓶中加入在甲醇(2mL)和甲苯(6mL)中的7-溴-2-(甲硫基)噻唑并[5,4-c]吡啶(0.240g,0.919mmol,1当量)、乙酸钯(II)(23.5mg,0.105mmol,0.114当量)、4,5-双(二苯基膦基)-9,9-二甲基呫吨(77mg,0.13mmol,0.14当量)和三乙胺(0.64mL,4.6mmol,5.0当量),抽真空,并且用二氧化碳吹扫(5×)。将反应在70℃在二氧化碳气氛中(1atm)加热20小时。真空浓缩冷却的反应混合物,并且通过快速柱色谱法纯化得到的残留物(溶剂:1:1庚烷/乙酸乙酯)。合并适合的级分,并且蒸发,得到2-(甲硫基)噻唑并[5,4-c]吡啶-7-甲酸甲酯(162mg,73.4%),为黄色固体。1H NMR(400MHz,CDCl3):δ:9.11(s,1H),9.10(s,1H),4.02(s,3H),2.88(s,3H)。
在室温将1.0M氢氧化钾水溶液(0.634mL,0.634mmol,1.10当量)滴加到2-(甲硫基)噻唑并[5,4-c]吡啶-7-甲酸甲酯(139mg,0.577mmol,1当量)在乙醇(6.0mL)中的混悬液中。将混合物搅拌5小时,然后真空浓缩。使得到的残留物从乙腈中冻干,得到粗的2-(甲硫基)噻唑并[5,4-c]吡啶-7-甲酸钾,不经进一步纯化使用。
在室温向粗的2-(甲硫基)噻唑并[5,4-c]吡啶-7-甲酸钾(~0.577mmol,1当量)、5-(5-氯-2-甲氧基苯基)-1-((2-(三甲基甲硅烷基)乙氧基)-甲基)-1H-吡唑-4-胺(0.340g,0.961mml,1.66当量,Hanan,E.J.等人,J.Med.Chem.2012,55,10090)和N,N-二异丙基乙基胺(0.200μL,1.15mmol,2.00当量)在N,N-二甲基甲酰胺(6.0mL)中的溶液中依次加入(7-氮杂苯并三唑-1-基氧基)三吡咯烷子基磷六氟磷酸盐(537mg,1.04mmol,1.80当量)和4-二甲基氨基吡啶(7mg,0.06mmol,0.1当量)。3小时后,真空浓缩反应,并且将残留物溶于乙酸乙酯(30mL)。用1:1饱和氯化钠水溶液和水的混合物(20mL)洗涤有机层,经无水硫酸钠干燥,过滤,并且浓缩。通过快速柱色谱法纯化残留物(溶剂:乙酸乙酯)。合并适合的级分,并且蒸发,得到N-(5-(5-氯-2-甲氧基苯基)-1-((2-(三甲基甲硅烷基)乙氧基)甲基)-1H-吡唑-4-基)-2-(甲硫基)噻唑并[5,4-c]吡啶-7-甲酰胺(316mg,97%),为黄色油状物。
向密封的反应试管中加入N-(5-(5-氯-2-甲氧基苯基)-1-((2-(三甲基甲硅烷基)乙氧基)甲基)-1H-吡唑-4-基)-2-(甲硫基)噻唑并[5,4-c]吡啶-7-甲酰胺(324mg,0.577mmol,1当量)和用氨饱和的异丙醇(5mL,通过在0℃使氨进入异丙醇起泡20分钟制备),用微波照射下在100℃加热3.5小时。真空浓缩冷却的反应混合物,并且通过快速柱色谱法纯化得到的残留物(溶剂:95:5二氯甲烷/甲醇)。合并适合的级分,并且蒸发,得到2-氨基-N-(5-(5-氯-2-甲氧基苯基)-1-((2-(三甲基甲硅烷基)乙氧基)甲基)-1H-吡唑-4-基)噻唑并[5,4-c]吡啶-7-甲酰胺(121mg,39%),为淡黄色固体。LCMS[M+H]+=531.2;1H NMR(CDCl3,500MHz):δ:11.11(s,1H),9.30(s,1H),8.80(s,1H),8.52(s,1H),7.54(d,J=2.6Hz,1H),7.48(dd,J=8.8,2.6Hz,1H),7.02(d,J=8.8Hz,1H),5.57(br s,2H),5.36(AB的A,JAB=11.1Hz,1H),5.30(AB的B,JAB=11.2Hz,1H),3.75(s,3H),3.70(m,1H),3.52(m,2H),0.80(m,2H),-0.07(s,9H)。
将2-氨基-N-(5-(5-氯-2-甲氧基苯基)-1-((2-(三甲基甲硅烷基)-乙氧基)甲基)-1H-吡唑-4-基)噻唑并[5,4-c]吡啶-7-甲酰胺(62mg,0.12mmol,1当量)和亚硝酸戊酯(175mg,1.49mmol,12.8当量)在1,4-二烷(4.5mL)中的混悬液在85℃加热。50分钟后,再加入亚硝酸戊酯(0.330mL,2.46mmol,20.5当量),并且将混悬液维持在85℃再经过4.5小时。真空浓缩反应,并且通过快速柱色谱法纯化得到的残留物(溶剂:95:5二氯甲烷/甲醇)。合并适合的级分,并且蒸发,得到N-(5-(5-氯-2-甲氧基苯基)-1-((2-(三甲基甲硅烷基)乙氧基)甲基)-1H-吡唑-4-基)噻唑并[5,4-c]吡啶-7-甲酰胺(31mg,51%)。LCMS[M+H]+=516。
将N-(5-(5-氯-2-甲氧基苯基)-1-((2-(三甲基甲硅烷基)-乙氧基)甲基)-1H-吡唑-4-基)噻唑并[5,4-c]吡啶-7-甲酰胺(48.3mg,0.0936mmol,1当量)在6N盐酸水溶液(1.5mL)和乙醇(3mL)中的溶液在70℃加热。1小时后,将反应冷却至室温,真空浓缩,并且使得到的残留物在乙酸乙酯(5mL)、饱和碳酸氢钠水溶液(5mL)和饱和氯化钠水溶液(5mL)之间分配。分离有机层,并且用乙酸乙酯(2×5mL)萃取水层。经无水硫酸钠干燥合并的有机层,过滤,并且浓缩。通过快速柱色谱法纯化残留物(溶剂:95:5二氯甲烷/甲醇)。合并适合的级分,并且蒸发,得到N-(3-(5-氯-2-甲氧基苯基)-1H-吡唑-4-基)噻唑并[5,4-c]吡啶-7-甲酰胺(14.4mg,40%),为淡黄色固体。LCMS(方法L,ESI):[M+H]+=386.0,RT=3.97分钟;1H NMR(CDCl3,500MHz):δ11.45(s,1H),9.58(s,1H),9.42(s,1H),9.33(s,1H),8.57(s,1H),7.73(d,J=2.3Hz,1H),7.38(dd,J=8.8,2.4Hz,1H),7.00(d,J=8.8Hz,1H),3.85(s,3H)。
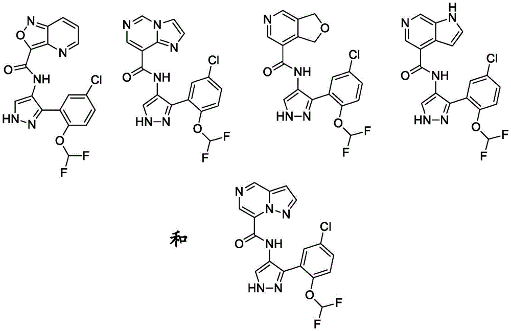
实施例4
N-(3-(5-氯-2-(二氟甲氧基)苯基)-1H-吡唑-4-基)噻唑并[5,4-c]吡啶-7-甲酰胺
向5-[5-氯-2-(二氟甲氧基)苯基]-1-[[2-(三甲基甲硅烷基)乙氧基]甲基]-1H-吡唑-4-胺(2.40g,6.15mmol)在DMA(30mL)中的溶液中加入2-(甲基硫烷基)-[1,3]噻唑并[5,4-c]吡啶-7-甲酸(920mg,4.06mmol)、PyAOP(3.20g,6.13mmol)、4-二甲基氨基吡啶(100mg,0.819mmol)和DIPEA(1.60g,12.3mmol)。将得到的溶液在45℃搅拌2小时。将反应混合物冷却至室温,并且在水与乙酸乙酯之间分配。用盐水洗涤有机相,干燥,并且真空浓缩。通过硅胶快速色谱法纯化残留物(溶剂梯度:1/2-3/2乙酸乙酯/石油醚)。合并适合的级分,并且真空浓缩,得到N-[5-[5-氯-2-(二氟甲氧基)苯基]-1-[[2-(三甲基甲硅烷基)乙氧基]-甲基]-1H-吡唑-4-基]-2-(甲基硫烷基)-[1,3]噻唑并[5,4-c]吡啶-7-甲酰胺(1.95g,80%),为棕色油状物。LC/MS(方法D,ESI):[M+H]+=598.1,RT=1.30分钟。
用NH3/EtOH(30mL)处理N-[5-[5-氯-2-(二氟甲氧基)苯基]-1-[[2-(三甲基甲硅烷基)乙氧基]-甲基]-1H-吡唑-4-基]-2-(甲基硫烷基)-[1,3]噻唑并[5,4-c]吡啶-7-甲酰胺(1.90g,3.17mmol),并且在密封容器中在100℃加热过夜。冷却反应混合物,并且真空浓缩。通过硅胶快速色谱法纯化残留物(溶剂梯度:1/1-3/1乙酸乙酯/石油醚)。合并适合的级分,并且真空浓缩,得到2-氨基-N-[5-[5-氯-2-(二氟甲氧基)苯基]-1-[[2-(三甲基甲硅烷基)乙氧基]甲基]-1H-吡唑-4-基]-[1,3]噻唑并[5,4-c]吡啶-7-甲酰胺(950mg,53%),为淡黄色固体。LC/MS(方法C,ESI):[M+H]+=567.2,RT=1.46分钟。
用亚硝酸叔丁酯(140mg,1.35mmol)处理2-氨基-N-[5-[5-氯-2-(二氟甲氧基)苯基]-1-[[2-(三甲基甲硅烷基)乙氧基]甲基]-1H-吡唑-4-基]-[1,3]噻唑并[5,4-c]吡啶-7-甲酰胺(150mg,0.265mmol)在1,4-二烷(10mL)中的溶液,并且在80℃加热1小时。冷却反应混合物,并且真空浓缩。通过硅胶快速色谱法纯化残留物(溶剂梯度:1/2~3/2乙酸乙酯/石油醚)。合并适合的级分,并且真空浓缩,得到N-[5-[5-氯-2-(二氟甲氧基)苯基]-1-[[2-(三甲基甲硅烷基)乙氧基]-甲基]-1H-吡唑-4-基]-[1,3]噻唑并[5,4-c]吡啶-7-甲酰胺(110mg,75%),为淡黄色油状物。LC/MS(方法C,ESI):[M+H]+=552.2,RT=1.56分钟。
用浓HCl(2.00mL,12M)和甲醇(4.00mL)的溶液处理N-[5-[5-氯-2-(二氟甲氧基)苯基]-1-[[2-(三甲基甲硅烷基)-乙氧基]甲基]-1H-吡唑-4-基]-[1,3]噻唑并[5,4-c]吡啶-7-甲酰胺(110mg,0.199mmol)。将得到的溶液在室温搅拌过夜,并且真空浓缩。加入DCM(5.0mL)和DIPEA(0.50mL)。真空浓缩得到的混合物。通过硅胶快速色谱法纯化残留物(溶剂:10/1二氯甲烷/甲醇)。再通过制备型-HPLC与如下条件纯化粗产物:柱,XBridge ShieldRP18 OBD柱,19×150mm,5um;流动相,含有10mmol NH4HCO3的水和MeCN(20.0%MeCN-50.0%,11分钟);检测器,UV 254nm。收集适合的级分,并且真空浓缩,得到N-[3-[5-氯-2-(二氟甲氧基)苯基]-1H-吡唑-4-基]-[1,3]噻唑并[5,4-c]吡啶-7-甲酰胺(5.40mg,6%),为类白色固体。LC/MS(方法A,ESI):[M+H]+=422.0,RT=1.69分钟;1H NMR(300MHz,DMSO-d6):δ13.18(s,1H),11.30(s,1H),9.73(s,1H),9.65(s,1H),9.24(s,1H),8.41(s,1H),7.65(d,J=2.7Hz,1H),7.64(dd,J=9.3,2.7Hz,1H),7.43(d,J=9.3Hz,1H),7.20(t,J=73.5Hz,1H)。
实施例5
2-氨基-N-(3-(5-氯-2-(二氟甲氧基)苯基)-1H-吡唑-4-基)噻唑并[5,4-c]吡啶-7-甲酰胺
在室温用HCl(2.0mL,12M)和甲醇(4.0mL)的溶液将2-氨基-N-[5-[5-氯-2-(二氟甲氧基)苯基]-1-[[2-(三甲基甲硅烷基)乙氧基]-甲基]-1H-吡唑-4-基]-[1,3]噻唑并[5,4-c]吡啶-7-甲酰胺(100mg,0.176mmol)处理过夜。真空浓缩得到的混合物。加入DCM(5.0mL)和DIPEA(0.50mL)。真空浓缩得到的混合物。通过硅胶快速色谱法纯化残留物(溶剂:10/1二氯甲烷/甲醇)。合并适合的级分,并且真空浓缩。再通过制备型-HPLC与如下条件纯化粗产物:柱,XBridge Shield RP18 OBD柱,19×150mm,5um;流动相,含有10mmolNH4HCO3的水和MeCN(15.0%MeCN-50.0%,12分钟);检测器,UV 254nm。合并适合的级分,并且蒸发,得到2-氨基-N-[3-[5-氯-2-(二氟甲氧基)苯基]-1H-吡唑-4-基]-[1,3]噻唑并[5,4-c]吡啶-7-甲酰胺(27.2mg,35%),为类白色固体。LC/MS(方法A,ESI):[M+H]+=437.1,RT=1.30分钟;1H NMR(300MHz,DMSO-d6):δ13.14(s,1H),11.02(s,1H),8.90(s,1H),8.88(s,1H),8.20-8.17(m,3H),7.62(d,J=2.7Hz,1H),7.53(dd,J=8.8,2.7Hz,1H),7.35(d,J=8.8Hz,1H),7.05(t,J=73.6Hz,1H)。
实施例6
如上述对实施例2所述类似的方法制备。LC/MS(方法K,ESI):[M+H]+=405.0,RT=4.27分钟;1H NMR(400MHz,DMSO-d6):δ13.63(s,1H),13.30-13.04(m,1H),10.44-9.98(m,1H),9.22(s,1H),8.86(s,1H),8.39(s,1H),8.19(s,1H),7.69-7.45(m,2H),7.37-6.86(m,2H)。
实施例7
N-(3-(5-氯-2-(二氟甲氧基)苯基)-1H-吡唑-4-基)异噻唑并[4,3-b]吡啶-3-甲酰胺
将商购可获得的3-溴-[1,2]噻唑并[4,3-b]吡啶(300mg,1.39mmol)、DIPEA(300mg,2.32mmol)、Pd(dppf)Cl2.CH2Cl2(114mg,0.140mmol)在甲醇(15mL)中的溶液在95℃在CO气氛中(10atm)在压力槽型反应器中搅拌5小时。然后将反应混合物冷却至室温,并且真空浓缩。通过硅胶快速色谱法纯化残留物(溶剂:1/3乙酸乙酯/石油醚)。合并适合的级分,并且真空浓缩,得到[1,2]噻唑并[4,3-b]吡啶-3-甲酸甲酯(220mg,81%),为黄色固体。LC/MS(方法D,ESI):[M+H]+=195.1,RT=1.13分钟。
向氢氧化钠(2.00g,50.0mmol)在四氢呋喃(10mL)和水(20mL)中的溶液中加入[1,2]噻唑并[4,3-b]吡啶-3-甲酸甲酯(220mg,1.13mmol)。将得到的溶液在50℃在油浴中搅拌过夜,并且冷却至室温。真空浓缩混合物,用1N HCl将溶液的pH值调节至3。用乙酸乙酯(3×100mL)萃取得到的溶液,经无水硫酸钠干燥合并的有机层,过滤,并且真空浓缩,得到[1,2]噻唑并[4,3-b]吡啶-3-甲酸(140mg,69%),为类白色固体。LC/MS(方法D,ESI):[M+H]+=181.1,RT=0.85分钟。
向5-[5-氯-2-(二氟甲氧基)苯基]-1-[[2-(三甲基甲硅烷基)-乙氧基]甲基]-1H-吡唑-4-胺(180mg,0.462mmol)在DMA(20mL)中的溶液中加入DIPEA(145mg,1.12mmol)、4-二甲基氨基吡啶(0.540mg,0.00443mmol)、[1,2]噻唑并[4,3-b]吡啶-3-甲酸(80.0mg,0.444mmol)、PyAOP(279mg,0.536mmol)。将得到的溶液在45℃在油浴中搅拌5小时。使反应在冰水与乙酸乙酯之间分配。用盐水洗涤有机相,经无水硫酸钠干燥,过滤,并且真空浓缩。通过硅胶快速色谱法纯化残留物(溶剂:乙酸乙酯/石油醚(1/1)。合并适合的级分,并且真空浓缩,得到N-[5-[5-氯-2-(二氟甲氧基)苯基]-1-[[2-(三甲基甲硅烷基)乙氧基]甲基]-1H-吡唑-4-基]-[1,2]噻唑并[4,3-b]吡啶-3-甲酰胺(200mg,78%),为淡黄色固体。LC/MS(方法A,ESI):[M+H]+=552.1,RT=1.79分钟。
用HCl/二烷(30mL,4M)处理N-[5-[4-氯-2-(二氟甲氧基)苯基]-1-[[2-(三甲基甲硅烷基)-乙氧基]甲基]-1H-吡唑-4-基]-[1,2]噻唑并[4,3-b]吡啶-3-甲酰胺(200mg,0.362mmol)。将得到的溶液在室温搅拌2小时,并且真空浓缩。通过制备型-HPLC与如下条件纯化粗产物(120mg):柱,X Bridge C18,19×250mm,5um;流动相,流动相A:水/0.1%FA,流动相B:ACN;流速:30mL/分钟;梯度:28%B-53%B,10分钟;254nm;检测器,254。合并适合的级分,并且蒸发,得到N-[3-[4-氯-2-(二氟甲氧基)苯基]-1H-吡唑-4-基]-[1,2]噻唑并[4,3-b]吡啶-3-甲酰胺(46.5mg,30%),为黄色固体。LC/MS(方法F,ESI):[M+H]+=422.0,RT=2.20分钟。1H NMR(300MHz,DMSO-d6):δ13.27(s,1H),10.98(s,1H),8.81(d,J=3.9Hz,1H),8.46(d,J=9.3Hz,1H),8.39(s,1H),7.69(dd,J=9.3,3.9Hz,1H),7.70-7.66(m,2H),7.50(d,J=9.9Hz,1H),7.23(t,J=73.5Hz,1H)。
实施例8
N-(3-(5-氯-2-(二氟甲氧基)苯基)-1H-吡唑-4-基)-5H-吡咯并[3,2-b]吡嗪-2-甲酰胺
向商购可获得的2-溴-5H-吡咯并[2,3-b]吡嗪(1.00g,5.05mmol)在N,N-二甲基甲酰胺(10mL)中的溶液中加入Cs2CO3(2.50g,7.67mmol)和[2-(氯甲氧基)乙基]三甲基硅烷(1.26g,7.55mmol)。将反应混合物在室温搅拌过夜,并且真空浓缩。通过硅胶快速色谱法纯化残留物(溶剂:1/10乙酸乙酯/石油醚)。合并适合的级分,并且蒸发,得到2-溴-5-[[2-(三甲基甲硅烷基)乙氧基]甲基]-5H-吡咯并[2,3-b]吡嗪(1.50g,90%),为黄色固体。LC/MS(方法D,ESI):[M+H]+=328.0,RT=1.23分钟。
将2-溴-5-[[2-(三甲基甲硅烷基)乙氧基]甲基]-5H-吡咯并[2,3-b]吡嗪(1.00g,3.04mmol)、Pd(PPh3)2Cl2(430mg,0.613mmol)、DIPEA(1.18g,9.13mmol)和DMSO(10mL)的溶液在100℃在CO气氛中(10atm)加热过夜。将混合物冷却至室温,并且通过过滤除去沉淀的固体。真空浓缩滤液,并且通过硅胶快速色谱法纯化残留物(溶剂:2/3乙酸乙酯/石油醚)。合并适合的级分,并且蒸发,得到5-[[2-(三甲基甲硅烷基)乙氧基]-甲基]-5H-吡咯并[2,3-b]吡嗪-2-甲酸甲酯(850mg,91%),为黄色固体。LC/MS(方法A,ESI):[M+H]+=308.1,RT=1.64分钟。
用氢氧化钠(200mg,5.00mmol)的水(10mL)溶液处理5-[[2-(三甲基甲硅烷基)乙氧基]甲基]-5H-吡咯并[2,3-b]吡嗪-2-甲酸甲酯(850mg,2.76mmol)在甲醇(20mL)中的溶液。将得到的溶液在室温搅拌4小时。用1N HCl将溶液的pH值调节至3。通过过滤收集固体,得到5-[[2-(三甲基甲硅烷基)乙氧基]甲基]-5H-吡咯并[2,3-b]吡嗪-2-甲酸(738mg,91%),为白色固体。LC/MS(方法D,ESI):[M+H]+=294.1,RT=1.52分钟。
向5-[[2-(三甲基甲硅烷基)乙氧基]甲基]-5H-吡咯并[2,3-b]吡嗪-2-甲酸(166mg,0.566mmol)在DMA(3.0mL)中的溶液中加入5-[5-氯-2-(二氟甲氧基)苯基]-1-[2-(三甲基甲硅烷基)乙氧基]甲基-1H-吡唑-4-胺(200mg,0.513mmol)、DIPEA(199mg,1.54mmol)、4-二甲基氨基吡啶(6.30mg,0.0520mmol)和PyAOP(294mg,0.564mmol)。将得到的溶液在45℃在油浴中搅拌过夜。使反应混合物在水与乙酸乙酯之间分配。用盐水洗涤有机层,用无水硫酸钠干燥,过滤,并且真空浓缩。通过硅胶快速色谱法纯化残留物(溶剂:1/1乙酸乙酯/石油醚)。合并适合的级分,并且蒸发,得到N-[5-[5-氯-2-(二氟甲氧基)苯基]-1-[[2-(三甲基甲硅烷基)乙氧基]甲基]-1H-吡唑-4-基]-5-[[2-(三甲基甲硅烷基)乙氧基]甲基]-5H-吡咯并[2,3-b]吡嗪-2-甲酰胺(220mg,64%),为红色固体。LC/MS(方法D,ESI):[M+H]+=665.2,RT=1.42分钟。
用三氟乙酸(15mL)处理N-[5-[5-氯-2-(二氟甲氧基)苯基]-1-[[2-(三甲基甲硅烷基)乙氧基]-甲基]-1H-吡唑-4-基]-5-[[2-(三甲基甲硅烷基)乙氧基]甲基]-5H-吡咯并[2,3-b]吡嗪-2-甲酰胺(220mg,0.331mmol)。将得到的溶液在油浴中回流加热过夜,并且冷却至室温。真空浓缩得到的混合物,并且用饱和NaHCO3水溶液将溶液的pH值调节至7。真空浓缩得到的混合物,并且通过短硅胶垫过滤残留物(溶剂:2/3乙酸乙酯/石油醚)。通过制备型-HPLC与如下条件纯化粗产物:柱,XBridge Prep C18 OBD柱,19×150mm,5um;流动相,含有0.05%FA的水和MeCN(40.0%-51.0%,10分钟,至95.0%,1分钟,保持95.0%,1分钟,降至40.0%,2分钟);检测器,UV 254/220nm。合并适合的级分,并且蒸发,得到N-[3-[5-氯-2-(二氟甲氧基)苯基]-1H-吡唑-4-基]-5H-吡咯并[2,3-b]吡嗪-2-甲酰胺(8.90mg,7%),为白色固体。LC/MS(方法B,ESI):[M+H]+=405.0,RT=2.00分钟。1H NMR(300MHz,DMSO-d6):δ13.20(s,1H),12.51(s,1H),10.10(s,1H),8.94(s,1H),8.29(s,1H),8.09(d,J=3.9Hz,1H),7.66(d,J=2.7Hz,1H),7.59(dd,J=8.7,2.7Hz,1H),7.41(d,J=8.7Hz,1H),7.29(t,J=73.2Hz,1H),6.71(d,J=3.9Hz,1H)。
实施例9
2-氨基-N-(3-(5-氯-2-(二氟甲氧基)苯基)-1H-吡唑-4-基)吡唑并[1,5-a]嘧啶-3-甲酰胺
用在二氯甲烷(4.0mL)中的三氟乙酸(4.0mL)处理N-[3-([3-[5-氯-2-(二氟甲氧基)苯基]-1H-吡唑-4-基]氨基甲酰基)吡唑并[1,5-a]嘧啶-2-基]氨基甲酸叔丁酯(100mg,0.192mmol)。将得到的溶液在室温搅拌过夜,并且真空浓缩。加入DCM(5.00mL)和DIPEA(0.50mL)。真空浓缩得到的混合物。通过制备型-HPLC与如下条件纯化粗产物:柱,XBridgeShield RP18 OBD柱,19×150mm,5um;流动相,含有10mmol NH4HCO3和MeCN的水(15.0%MeCN-55.0%,12分钟);检测器,UV 254nm。合并适合的级分,并且蒸发,得到2-氨基-N-[3-[5-氯-2-(二氟甲氧基)苯基]-1H-吡唑-4-基]吡唑并[1,5-a]嘧啶-3-甲酰胺(40.3mg,50%),为淡黄色固体。LC/MS(方法E,ESI):[M+H]+=420.0,RT=2.76分钟。1H NMR(300MHz,DMSO-d6):δ13.03(s,1H),9.54(s,1H),8.94(d,J=6.6Hz,1H),8.36(d,J=4.8Hz,1H),8.26(s,1H),7.68-7.61(m,2H),7.46(d,J=8.7Hz,1H),7.25(t,J=73.2Hz,1H),7.00(dd,J=6.6Hz,4.8Hz,1H),6.56(s,2H)。
实施例10
N-(3-(5-氯-2-(二氟甲氧基)苯基)-1H-吡唑-4-基)呋喃并[3,2-c]吡啶-7-甲酰胺
将7-溴呋喃并[3,2-c]吡啶(500mg,2.52mmol)、Pd(OAc)2(56.0mg,0.249mmol)、XantPhos(290mg,0.501mmol)和DIPEA(1.63g,12.6mmol)在甲醇(2.0mL)和甲苯(6.0mL)中的溶液在100℃在CO气氛中(10atm)搅拌过夜。将得到的混合物冷却至室温,并且真空浓缩。通过硅胶快速色谱法纯化残留物(溶剂:1/1乙酸乙酯/石油醚)。合并适合的级分,并且真空浓缩,得到呋喃并[3,2-c]吡啶-7-甲酸甲酯(260mg,58%),为黄色固体。TLC:Rf=0.4;PE/EA=1/1。
用在水(1.0mL)中的LiOH(68.0mg,2.83mmol)处理呋喃并[3,2-c]吡啶-7-甲酸甲酯(250mg,1.41mmol)在四氢呋喃(2.0mL)中的溶液。将得到的溶液在室温搅拌2小时。用1NHCl将溶液的pH值调节至3。真空浓缩得到的混合物,得到呋喃并[3,2-c]吡啶-7-甲酸(200mg,87%),为无色油状物。TLC:Rf=0.3;DCM/MeOH=10/1。
将呋喃并[3,2-c]吡啶-7-甲酸(83.0mg,0.509mmol)、4-二甲基氨基吡啶(3.00mg,0.0250mmol)、DIPEA(101mg,0.781mmol)、PyAOP(266mg,0.510mmol)和5-[5-氯-2-(二氟甲氧基)苯基]-1-[2-(三甲基甲硅烷基)乙氧基]甲基-1H-吡唑-4-胺(100mg,0.256mmol)在N,N-二甲基甲酰胺(2.0mL)中的溶液在60℃搅拌2小时。真空浓缩得到的混合物,并且通过硅胶快速色谱法纯化残留物(溶剂:9/1二氯甲烷/甲醇)。合并适合的级分,并且真空浓缩,得到N-[5-[5-氯-2-(二氟甲氧基)苯基]-1-[[2-(三甲基甲硅烷基)乙氧基]甲基]-1H-吡唑-4-基]呋喃并[3,2-c]吡啶-7-甲酰胺(80mg,29%),为棕色油状物。TLC:Rf=0.4;DCM/MeOH=5/1。
用在二氯甲烷(2.0mL)中的三氟乙酸(1.0mL)处理N-[5-[5-氯-2-(二氟甲氧基)苯基]-1-[[2-(三甲基甲硅烷基)-乙氧基]甲基]-1H-吡唑-4-基]呋喃并[3,2-c]吡啶-7-甲酰胺(80.0mg,0.150mmol)。将得到的溶液在室温搅拌2小时,并且真空浓缩。通过制备型-HPLC与如下条件纯化粗产物:柱,XBridge Prep C18 OBD柱,19×150mm,5um;流动相,水(0.05%NH3H2O)和ACN(40%ACN-70%,7分钟);检测器,UV 254,220nm。合并适合的级分,并且蒸发,得到N-[3-[5-氯-2-(二氟甲氧基)苯基]-1H-吡唑-4-基]呋喃并[3,2-c]吡啶-7-甲酰胺(7.2mg,12%),为白色固体。LC/MS(方法G,ESI):[M+H]+=405.1,RT=2.84分钟;1H NMR(300MHz,DMSO-d6):δ13.20(s,1H),9.83(s,1H),9.10(s,1H),8.78(s,1H),8.28(s,1H),8.18(d,J=2.4Hz,1H),7.64(d,J=2.8Hz,1H),7.57(dd,J=8.8,2.8Hz,1H),7.36(d,J=8.8Hz,1H),7.24(d,J=2.4Hz,1H),7.16(t,J=73.6Hz,1H)。
实施例11
N-(3-(5-氯-2-(二氟甲氧基)苯基)-1H-吡唑-4-基)呋喃并[3,2-b]吡啶-3-甲酰胺
将3-溴呋喃并[3,2-b]吡啶(700mg,3.53mmol)、Pd(OAc)2(79.0mg,0.352mmol)、Xantphos(405mg,0.700mmol)和DIPEA(2.28g,17.6mmol)在甲醇(15mL)和甲苯(45mL)中的溶液在100℃在CO气氛中(20atm)搅拌48小时。将得到的混合物冷却至室温,并且真空浓缩。通过硅胶快速色谱法纯化残留物(溶剂:95/5二氯甲烷/甲醇)。合并适合的级分,并且真空浓缩,得到呋喃并[3,2-b]吡啶-3-甲酸甲酯(300mg,48%),为白色固体。TLC:Rf=0.4,EA/Hex=1/1。
用在水(1.00mL)中的LiOH(35.0mg,1.46mmol)处理呋喃并[3,2-b]吡啶-3-甲酸甲酯(170mg,0.960mmol)在四氢呋喃(2.00mL)中的溶液。将得到的溶液在室温搅拌2小时。用1N HCl将溶液的pH值调节至3。真空浓缩得到的混合物,得到呋喃并[3,2-b]吡啶-3-甲酸(150mg,96%),为白色固体。TLC:Rf=0.2;DCM/MeOH=5/1。
将呋喃并[3,2-b]吡啶-3-甲酸(128mg,0.785mmol)、4-二甲基氨基吡啶(6.00mg,0.0490mmol)、DIPEA(303mg,2.34mmol)、PyAOP(532mg,1.02mmol)、5-[5-氯-2-(二氟甲氧基)苯基]-1-[2-(三甲基甲硅烷基)乙氧基]甲基-1H-吡唑-4-胺(200mg,0.513mmol)在N,N-二甲基甲酰胺(4.0mL)中的溶液在60℃搅拌2小时。真空浓缩得到的混合物,并且通过硅胶快速色谱法纯化残留物(溶剂:95/5二氯甲烷/甲醇)。合并适合的级分,并且真空浓缩,得到N-[5-[5-氯-2-(二氟甲氧基)苯基]-1-[[2-(三甲基甲硅烷基)乙氧基]甲基]-1H-吡唑-4-基]呋喃并[3,2-b]吡啶-3-甲酰胺(190mg(45%),为黄色油状物。TLC:Rf=0.3;DCM/MeOH=10/1。
用在二氯甲烷(4.0mL)中的三氟乙酸(1.0mL)处理N-[5-[5-氯-2-(二氟甲氧基)苯基]-1-[[2-(三甲基甲硅烷基)-乙氧基]甲基]-1H-吡唑-4-基]呋喃并[3,2-b]吡啶-3-甲酰胺(190mg,0.355mmol)。将得到的溶液在室温搅拌2小时,并且真空浓缩。通过制备型-HPLC与如下条件纯化粗产物:柱,XBridge Prep C18 OBD柱,19×150mm,5um;流动相,水(0.05%NH3H2O)和ACN(40%ACN-70%,7分钟);检测器,UV 254,220nm。合并适合的级分,并且蒸发,得到N-[3-[5-氯-2-(二氟甲氧基)苯基]-1H-吡唑-4-基]呋喃并[3,2-b]吡啶-3-甲酰胺(32.7mg,23%),为白色固体。LC/MS(方法H,ESI):[M+H]+=405.1,RT=1.80分钟;1H NMR(300MHz,DMSO-d6):δ13.20(s,1H),10.40(s,1H),8.99(s,1H),8.50(dd,J=4.4,1.2Hz,1H),8.34(s,1H),8.25(dd,J=8.4,1.2Hz,1H),7.66(dd,J=8.8,2.8Hz,1H),7.63(d,J=2.8Hz,1H),7.52(dd,J=8.4,4.4Hz,1H),7.48(d,J=8.8Hz,1H),7.22(t,J=73.2Hz,1H)。
实施例12
N-(3-(5-氯-2-(二氟甲氧基)苯基)-1H-吡唑-4-基)-6-氟吡唑并[1,5-a]嘧啶-3-甲酰胺
将(2Z)-3-(二乙基氨基)-2-氟-2-丙烯醛(326mg,2.25mmol-根据文献方法合成:K.Funabiki,T.Ohtsuki,T.lshihara和Yamanaka,Chem.Lett.,1994,1075-78.)和3-氨基-1H-吡唑-4-甲酸乙酯(698mg,4.50mmol)在乙酸(6mL)中的溶液回流加热4小时。将混合物冷却至室温,并且真空浓缩,得到淡黄色固体。用2M NaOH水溶液(15mL)处理得到的残留物,然后用DCM萃取。经无水硫酸钠干燥有机层,过滤,并且蒸发。通过硅胶快速色谱法纯化残留物(溶剂梯度:在戊烷中的0-50%乙酸乙酯)。合并适合的级分,并且蒸发,得到6-氟吡唑并[1,5-a]嘧啶-3-甲酸乙酯(24mg,5%),为淡黄色固体。LC/MS(方法K,ESI):[M+H]+=325,RT=3.89分钟;1H NMR(400MHz,CDCl3):δ8.82(d,J=2.7Hz,1H),8.72(dd,J=3.6,2.7Hz,1H),8.60(s,1H),4.45(q,J=7.1Hz,2H),4.45(q,J=7.1Hz,2H),1.42(t,J=7.1Hz,3H)。
将6-氟吡唑并[1,5-a]嘧啶-3-甲酸乙酯(54mg,0.26mmol)和1M氢氧化锂水溶液(290μL,0.29mmol)在IMS(1.5mL)中的混悬液在室温搅拌4天。用1N HCl(20mL)处理该反应混合物,并且用乙酸乙酯(3×25mL)萃取。用盐水洗涤合并的有机层,经无水硫酸钠干燥,过滤,并且蒸发,得到6-氟吡唑并[1,5-a]嘧啶-3-甲酸(40mg,68%),为黄色粉末。将粗物质直接用于随后的反应。
将6-氟吡唑并[1,5-a]嘧啶-3-甲酸(40mg,0.17mmol)、DIPEA(89μL,0.51mmol)、HATU(76mg,0.20mmol)和5-[5-氯-2-(二氟甲氧基)苯基]-1-[2-(三甲基甲硅烷基)-乙氧基]甲基-1H-吡唑-4-胺(71mg,0.18mmol)在N,N-二甲基甲酰胺(3.0mL)中的溶液中在室温搅拌20小时。真空浓缩得到的混合物。用乙酸乙酯稀释残留物,并且用盐水(×3)洗涤,经无水硫酸钠干燥,过滤,并且蒸发。通过硅胶快速色谱法纯化残留物(溶剂梯度:在戊烷中的乙酸乙酯(0-50%)。合并适合的级分,并且真空浓缩,得到N-(5-(5-氯-2-(二氟甲氧基)苯基)-1-((2-(三甲基甲硅烷基)乙氧基)甲基)-1H-吡唑-4-基)-6-氟吡唑并[1,5-a]嘧啶-3-甲酰胺(30mg,32%),为黄色油状物。LC/MS(方法K,ESI):[M+H]+=553.0,RT=4.24分钟;1HNMR(400MHz,CDCl3):δ9.42-9.39(m,1H),8.78-8.73(m,2H),8.57-8.56(m,1H),8.34-8.33(m,1H),7.65-7.64(m,1H),7.55-7.51(m,1H),7.38-7.35(m,1H),6.43(t,J=71.5Hz,1H),5.47-5.33(m,2H),3.68-3.54(m,2H),1.31-1.26(m,3H),0.93-0.84(m,4H)。
向N-(5-(5-氯-2-(二氟甲氧基)苯基)-1-((2-(三甲基甲硅烷基)乙氧基)甲基)-1H-吡唑-4-基)-6-氟吡唑并[1,5-a]嘧啶-3-甲酰胺(30mg,0.05mmol)在IMS(10mL)中的溶液中加入HCl(6N,1mL),并且将反应混合物在70℃加热19小时。将反应混合物冷却至室温,并且真空浓缩。通过硅胶快速色谱法纯化固体残留物(溶剂梯度:在戊烷中的0-50%乙酸乙酯)。合并适合的级分,并且真空浓缩,得到N-(3-(5-氯-2-(二氟甲氧基)苯基)-1H-吡唑-4-基)-6-氟-吡唑并[1,5-a]嘧啶-3-甲酰胺(17mg,80%),为类白色固体。LC/MS(方法I,ESI):[M+H]+=422.9,RT=3.89分钟;1H NMR(400MHz,DMSO-d6):δ13.13(s,1H),9.84-9.80(m,1H),9.56(s,1H),8.94(d,J=2.3Hz,1H),8.70(s,1H),8.29(s,1H),7.68-7.60(m,2H),7.52-7.43(m,1H),7.27(t,J=72.8Hz,1H)。
实施例13
N-(3-(5-氯-2-(二氟甲氧基)苯基)-1H-吡唑-4-基)-5-甲基吡唑并[1,5-a]嘧啶-3-甲酰胺
使用与上述实施例12类似的方法制备。LC/MS(方法I,ESI):[M+H]+=419.0,RT=3.80分钟;1H NMR(400MHz,DMSO-d6):δ13.05(s,1H),10.44-9.70(s,1H),9.16(d,J=7.0Hz,1H),8.56(s,1H),8.32(s,1H),7.68-7.60(m,2H),7.48-7.42(m,1H),7.15(d,J=Hz,1H),7.09(t,J=73.4Hz,1H),2.42(s,3H)。
实施例14
N-(3-(5-氯-2-(二氟甲氧基)苯基)-1H-吡唑-4-基)-5-甲氧基吡唑并[1,5-a]嘧啶-3-甲酰胺
使用与上述实施例12类似的方法制备。LC/MS(方法I,ESI):[M+H]+=435.0,RT=3.84分钟;1H NMR(400MHz,DMSO-d6):δ13.05(s,1H),9.05(d,J=7.7Hz,1H),8.96(s,1H),8.45(s,1H),8.26(s,1H),7.64-7.57(m,2H),7.38-7.34(m,1H),7.08(t,J=73.4Hz,1H),6.72(d,J=7.5Hz,1H),3.46(s,3H)。
实施例15
N-(3-(5-氯-2-(二氟甲氧基)苯基)-1H-吡唑-4-基)-3H-咪唑并[4,5-c]吡啶-7-甲酰胺
使用与上述实施例12类似的方法制备。LC/MS(方法I,ESI):[M+H]+=405.1,RT=3.74分钟;1H NMR(400MHz,DMSO-d6)δ13.48(s,1H),11.12(s,1H),9.06(s,1H),8.93(s,1H),8.61(s,1H),8.37(s,1H),7.49(dd,J=8.8,2.7Hz,1H),7.38(d,J=2.7Hz,1H),7.22(d,J=8.9Hz,1H),3.92(s,3H),3.76(s,3H)。
如下进行JAK酶测定:
通过监测衍生自JAK3(Val-Ala-Leu-Val-Asp-Gly-Tyr-Phe-Arg-Leu-Thr-Thr,用5-羧基荧光素在N-末端上荧光标记)的肽的磷酸化,使用Caliper 技术(Caliper Life Sciences,Hopkinton,MA)测定分离的重组JAK1和JAK2激酶结构域活性。为了测定抑制常数(Ki),用DMSO系列稀释化合物,并且加入到50μL激酶反应中,其包含纯化的酶(1.5nM JAK1或0.2nM JAK2)、100mM HEPES缓冲液(pH 7.2)、0.015%Brij-35、1.5μM肽底物、ATP(25μM)、10mM MgCl2、4mM DTT,DMSO终浓度为2%。反应在22℃在384-孔聚丙烯微量滴定板中温育30分钟,然后通过添加25μL包含EDTA的溶液(100mM HEPES缓冲液(pH 7.2)、0.015%Brij-35、150mM EDTA)终止,得到EDTA终浓度为50mM。终止激酶反应后,使用Caliper3000,根据制造商的说明书将磷酸化产物的比例测定为占总肽底物的分数。然后使用为ATP-竞争性抑制修饰的的Morrison紧密结合模型(Morrison,J.F.,Biochim.Biophys.Acta.185:269-296(1969);William,J.W.和Morrison,J.F.,Meth.Enzymol.,63:437-467(1979))[Ki=Ki,app/(1+[ATP]/Km,app)]测定Ki值。
如下进行细胞系中的JAK1途径测定:
在为测定JAK1依赖性STAT磷酸化设计的基于细胞的测定中测定抑制剂效能(EC50)。如上所述,通过阻断Jak/Stat信号传导途径抑制IL-4、IL-13和IL-9可以缓解临床前肺炎症模型中的哮喘症状(Mathew等人,2001,J Exp Med 193(9):1087-1096;Kudlacz等人,2008,Eur J.Pharmacol582(1-3):154-161)。
在一种测定方法中,得自美国模式培养物保藏中心(American Type CultureCollection)(ATCC;Manassas,VA)的TF-1人红白血病细胞用于测定IL-13刺激的JAK1-依赖性STAT6磷酸化下游。在用于测定前,使TF-1细胞在OptiMEM培养基(Life Technologies,Grand Island,NY)饥饿GM-CSF过夜,所述培养基中补充了0.5%炭/葡聚糖剥离的胎牛血清(FBS)、0.1mM非必需氨基酸(NEAA)和1mM丙酮酸钠。测定在384-孔板中的无血清OptiMEM培养基中使用300,000个细胞/孔进行。在第二种测定方法中,在试验前一天,将得自ATCC的BEAS-2B人支气管上皮细胞以100,000个细胞/孔在96-孔板上铺板。BEAS-2B测定在完全生长培养基(支气管上皮基础培养基+bulletkit;Lonza;Basel,Switzerland)中进行。
将试验化合物以1:2在DMSO中系列稀释,然后在使用前才用培养基按照1:50稀释。将稀释的化合物加入到细胞中,使得最终DMSO浓度为0.2%,并且在37℃温育30分钟(用于TF-1测定)或1小时(用于BEAS-2B测定)。然后用人重组细胞因子以其相应的EC90浓度刺激细胞,如上述对每一个体组所确定的。在37℃用IL-13(R&D Systems,minneapolis,MN)将细胞刺激15分钟。通过直接添加10×裂解缓冲液(Cell Signaling Technologies,Danvers,MA)终止TF-1细胞反应,同时通过除去培养基并且添加1×裂解缓冲液停止BEAS-2B细胞温育。在-80℃将得到的样品在板中冷冻。使用MesoScale Discovery(MSD)技术(Gaithersburg,MD)测定细胞裂解物中化合物介导的STAT6磷酸化抑制。将EC50值测定为相对于对DMSO对照测定的STAT磷酸化50%抑制所需的化合物浓度。
表2提供记录的实施例的JAK1 Ki、JAK2 Ki和IL-13-pSTAT6 IC50信息。
表2
Claims (10)
3.药物组合物,其包含权利要求1或2的化合物或其药学上可接受的盐和药学上可接受的赋形剂。
4.权利要求1或2的化合物或其药学上可接受的盐在制备用于治疗炎性疾病的药物中的用途。
5.权利要求1或2的化合物或其药学上可接受的盐,其用于治疗炎性疾病。
6.权利要求4的用途,其中炎性疾病为哮喘。
7.权利要求5的化合物或其药学上可接受的盐,其中炎性疾病为哮喘。
8.权利要求1或2的化合物或其药学上可接受的盐在制备用于在患者中预防、治疗响应于Janus激酶活性抑制的疾病或病症或减轻其严重程度的药物中的用途。
9.权利要求8的用途,其中疾病或病症为哮喘。
10.权利要求8的用途,其中Janus激酶为JAK1。
Applications Claiming Priority (3)
| Application Number | Priority Date | Filing Date | Title |
|---|---|---|---|
| CNPCT/CN2017/076598 | 2017-03-14 | ||
| CN2017076598 | 2017-03-14 | ||
| PCT/EP2018/056129 WO2018166993A2 (en) | 2017-03-14 | 2018-03-13 | Pyrazolochlorophenyl compounds, compositions and methods of use thereof |
Publications (2)
| Publication Number | Publication Date |
|---|---|
| CN110494434A CN110494434A (zh) | 2019-11-22 |
| CN110494434B true CN110494434B (zh) | 2022-05-24 |
Family
ID=61655767
Family Applications (1)
| Application Number | Title | Priority Date | Filing Date |
|---|---|---|---|
| CN201880017772.2A Expired - Fee Related CN110494434B (zh) | 2017-03-14 | 2018-03-13 | 吡唑并氯苯基化合物、其组合物及其使用方法 |
Country Status (5)
| Country | Link |
|---|---|
| US (2) | US20200002346A1 (zh) |
| EP (1) | EP3596072B1 (zh) |
| JP (1) | JP2020510061A (zh) |
| CN (1) | CN110494434B (zh) |
| WO (1) | WO2018166993A2 (zh) |
Families Citing this family (4)
| Publication number | Priority date | Publication date | Assignee | Title |
|---|---|---|---|---|
| CA3061236A1 (en) | 2017-05-22 | 2018-11-29 | F. Hoffmann-La Roche Ag | Therapeutic compounds and compositions, and methods of use thereof |
| PE20220577A1 (es) | 2019-06-18 | 2022-04-20 | Hoffmann La Roche | Inhibidores de jak cinasas basados en pirazolopirimidina sulfona y usos de los mismos |
| EP3986900A1 (en) | 2019-06-18 | 2022-04-27 | F. Hoffmann-La Roche AG | Tetrazole-substituted pyrazolopyrimidine inhibitors of jak kinases and uses thereof |
| WO2022256358A1 (en) * | 2021-06-03 | 2022-12-08 | Genentech, Inc. | Process for preparing medicaments |
Family Cites Families (22)
| Publication number | Priority date | Publication date | Assignee | Title |
|---|---|---|---|---|
| AU650953B2 (en) | 1991-03-21 | 1994-07-07 | Novartis Ag | Inhaler |
| US5543523A (en) | 1994-11-15 | 1996-08-06 | Regents Of The University Of Minnesota | Method and intermediates for the synthesis of korupensamines |
| US6034057A (en) | 1995-07-06 | 2000-03-07 | Zeneca Limited | Peptide inhibitors of fibronectine |
| US6248713B1 (en) | 1995-07-11 | 2001-06-19 | Biogen, Inc. | Cell adhesion inhibitors |
| YU25500A (sh) | 1999-05-11 | 2003-08-29 | Pfizer Products Inc. | Postupak za sintezu analoga nukleozida |
| GB0028383D0 (en) | 2000-11-21 | 2001-01-03 | Novartis Ag | Organic compounds |
| EP1241176A1 (en) | 2001-03-16 | 2002-09-18 | Pfizer Products Inc. | Purine derivatives for the treatment of ischemia |
| EP1458682B1 (en) | 2001-12-20 | 2006-08-30 | Bayer HealthCare AG | 1,4-dihydro-1,4-diphenylpyridine derivatives |
| TWI372050B (en) * | 2003-07-03 | 2012-09-11 | Astex Therapeutics Ltd | (morpholin-4-ylmethyl-1h-benzimidazol-2-yl)-1h-pyrazoles |
| SE0302487D0 (sv) | 2003-09-18 | 2003-09-18 | Astrazeneca Ab | Novel compounds |
| WO2006070202A1 (en) * | 2004-12-30 | 2006-07-06 | Astex Therapeutics Limited | Pyrazole derivatives having kinase modulating activity |
| GB0502258D0 (en) | 2005-02-03 | 2005-03-09 | Argenta Discovery Ltd | Compounds and their use |
| WO2007077435A1 (en) * | 2005-12-30 | 2007-07-12 | Astex Therapeutics Limited | Pharmaceutical compounds |
| WO2008001101A2 (en) * | 2006-06-29 | 2008-01-03 | Astex Therapeutics Limited | Pharmaceutical combinations |
| WO2008001115A2 (en) * | 2006-06-29 | 2008-01-03 | Astex Therapeutics Limited | Pharmaceutical combinations of 1-cyclopropyl-3- [3- (5-m0rphoolin-4-ylmethyl-1h-benzoimidazol-2-yl) -lh-1-pyrazol- 4-yl] -urea |
| PE20110545A1 (es) | 2008-06-20 | 2011-08-18 | Genentech Inc | Compuestos de triazolopiridina como inhibidores de jak |
| RU2539568C2 (ru) * | 2008-10-31 | 2015-01-20 | Дженентек, Инк. | Пиразолопиримидиновые соединения-ингибиторы jak и способы |
| UA110324C2 (en) * | 2009-07-02 | 2015-12-25 | Genentech Inc | Jak inhibitory compounds based on pyrazolo pyrimidine |
| US8575336B2 (en) | 2011-07-27 | 2013-11-05 | Pfizer Limited | Indazoles |
| WO2015068856A1 (en) | 2013-11-08 | 2015-05-14 | Takeda Pharmaceutical Company Limited | Pyrazole for the treatment autoimmune disorders |
| PE20170663A1 (es) * | 2014-05-23 | 2017-05-22 | Hoffmann La Roche | Compuestos de 5- cloro- 2- difluorometoxifenil pirazolopirimidina, composiciones y metodos de uso de los mismos |
| CN108473501B (zh) * | 2016-02-18 | 2021-07-16 | 豪夫迈·罗氏有限公司 | 治疗化合物、其组合物及使用方法 |
-
2018
- 2018-03-13 CN CN201880017772.2A patent/CN110494434B/zh not_active Expired - Fee Related
- 2018-03-13 EP EP18711294.1A patent/EP3596072B1/en active Active
- 2018-03-13 JP JP2019550583A patent/JP2020510061A/ja not_active Ceased
- 2018-03-13 WO PCT/EP2018/056129 patent/WO2018166993A2/en not_active Ceased
-
2019
- 2019-09-05 US US16/561,447 patent/US20200002346A1/en not_active Abandoned
-
2021
- 2021-02-12 US US17/174,733 patent/US11649241B2/en active Active
Also Published As
| Publication number | Publication date |
|---|---|
| EP3596072B1 (en) | 2022-06-22 |
| US11649241B2 (en) | 2023-05-16 |
| JP2020510061A (ja) | 2020-04-02 |
| CN110494434A (zh) | 2019-11-22 |
| WO2018166993A3 (en) | 2019-02-07 |
| US20210179626A1 (en) | 2021-06-17 |
| WO2018166993A2 (en) | 2018-09-20 |
| EP3596072A2 (en) | 2020-01-22 |
| US20200002346A1 (en) | 2020-01-02 |
Similar Documents
| Publication | Publication Date | Title |
|---|---|---|
| CN108368116B (zh) | Janus激酶抑制剂、其组合物及用途 | |
| CN110678467B (zh) | 治疗化合物和组合物及其使用方法 | |
| US20200352951A1 (en) | Therapeutic compounds and compositions, and methods of use thereof | |
| US11649241B2 (en) | Pyrazolochlorophenyl compounds, compositions and methods of use thereof | |
| CN114026096B (zh) | 四唑取代的吡唑并嘧啶类jak激酶抑制剂及其用途 | |
| US20230206644A1 (en) | Pyrazolopyrimidine compounds as jak inhibitors | |
| US20230242530A1 (en) | 8-(azetidin-1-yl)-[1,2,4]triazolo[1,5-a]pyridinyl compounds, compositions and methods of use thereof | |
| CN114008050B (zh) | Jak激酶的吡唑并嘧啶芳基醚抑制剂及其用途 | |
| CN114008051B (zh) | Jak激酶的吡唑并嘧啶砜抑制剂及其用途 | |
| HK40017827A (zh) | 吡唑并氯苯基化合物、其组合物及其使用方法 | |
| HK40093207A (zh) | 8-(氮杂环丁烷-1-基)-[1,2,4]三唑并[1,5-a]吡啶基化合物、其组合物和应用方法 | |
| HK40029259A (zh) | 作为jak抑制剂的吡唑并嘧啶化合物 | |
| HK40009645A (zh) | 8-(氮杂环丁烷-1-基)-[1,2,4]三唑并[1,5-a]吡啶基化合物、其组合物和应用方法 | |
| HK40009645B (zh) | 8-(氮杂环丁烷-1-基)-[1,2,4]三唑并[1,5-a]吡啶基化合物、其组合物和应用方法 | |
| HK40019825A (zh) | 治疗化合物和组合物及其使用方法 | |
| HK40019824A (zh) | 治疗化合物和组合物及其使用方法 | |
| HK1258764B (zh) | Janus激酶抑制剂、其组合物及用途 |
Legal Events
| Date | Code | Title | Description |
|---|---|---|---|
| PB01 | Publication | ||
| PB01 | Publication | ||
| SE01 | Entry into force of request for substantive examination | ||
| SE01 | Entry into force of request for substantive examination | ||
| REG | Reference to a national code |
Ref country code: HK Ref legal event code: DE Ref document number: 40017827 Country of ref document: HK |
|
| GR01 | Patent grant | ||
| GR01 | Patent grant | ||
| CF01 | Termination of patent right due to non-payment of annual fee |
Granted publication date: 20220524 |
|
| CF01 | Termination of patent right due to non-payment of annual fee |














































































































































