CN110446042B - Coding method for improving P frame quality in H.264 - Google Patents
Coding method for improving P frame quality in H.264 Download PDFInfo
- Publication number
- CN110446042B CN110446042B CN201910705385.4A CN201910705385A CN110446042B CN 110446042 B CN110446042 B CN 110446042B CN 201910705385 A CN201910705385 A CN 201910705385A CN 110446042 B CN110446042 B CN 110446042B
- Authority
- CN
- China
- Prior art keywords
- mode
- edge pixel
- skip
- reconstructed
- pixel value
- Prior art date
- Legal status (The legal status is an assumption and is not a legal conclusion. Google has not performed a legal analysis and makes no representation as to the accuracy of the status listed.)
- Active
Links
- 238000000034 method Methods 0.000 title claims abstract description 16
- 239000013598 vector Substances 0.000 claims description 15
- 238000013139 quantization Methods 0.000 claims description 9
- 230000009466 transformation Effects 0.000 claims description 3
- 230000000903 blocking effect Effects 0.000 abstract description 7
- 230000009286 beneficial effect Effects 0.000 abstract description 2
- 230000006835 compression Effects 0.000 description 3
- 238000007906 compression Methods 0.000 description 3
- 230000000694 effects Effects 0.000 description 3
- 238000005457 optimization Methods 0.000 description 3
- 230000002123 temporal effect Effects 0.000 description 2
- 230000003044 adaptive effect Effects 0.000 description 1
- 230000007547 defect Effects 0.000 description 1
- 230000000593 degrading effect Effects 0.000 description 1
- 238000001514 detection method Methods 0.000 description 1
- 238000012544 monitoring process Methods 0.000 description 1
- 230000008520 organization Effects 0.000 description 1
- 238000010187 selection method Methods 0.000 description 1
Images
Classifications
-
- H—ELECTRICITY
- H04—ELECTRIC COMMUNICATION TECHNIQUE
- H04N—PICTORIAL COMMUNICATION, e.g. TELEVISION
- H04N19/00—Methods or arrangements for coding, decoding, compressing or decompressing digital video signals
- H04N19/10—Methods or arrangements for coding, decoding, compressing or decompressing digital video signals using adaptive coding
- H04N19/102—Methods or arrangements for coding, decoding, compressing or decompressing digital video signals using adaptive coding characterised by the element, parameter or selection affected or controlled by the adaptive coding
- H04N19/12—Selection from among a plurality of transforms or standards, e.g. selection between discrete cosine transform [DCT] and sub-band transform or selection between H.263 and H.264
- H04N19/122—Selection of transform size, e.g. 8x8 or 2x4x8 DCT; Selection of sub-band transforms of varying structure or type
-
- H—ELECTRICITY
- H04—ELECTRIC COMMUNICATION TECHNIQUE
- H04N—PICTORIAL COMMUNICATION, e.g. TELEVISION
- H04N19/00—Methods or arrangements for coding, decoding, compressing or decompressing digital video signals
- H04N19/10—Methods or arrangements for coding, decoding, compressing or decompressing digital video signals using adaptive coding
- H04N19/169—Methods or arrangements for coding, decoding, compressing or decompressing digital video signals using adaptive coding characterised by the coding unit, i.e. the structural portion or semantic portion of the video signal being the object or the subject of the adaptive coding
- H04N19/17—Methods or arrangements for coding, decoding, compressing or decompressing digital video signals using adaptive coding characterised by the coding unit, i.e. the structural portion or semantic portion of the video signal being the object or the subject of the adaptive coding the unit being an image region, e.g. an object
- H04N19/176—Methods or arrangements for coding, decoding, compressing or decompressing digital video signals using adaptive coding characterised by the coding unit, i.e. the structural portion or semantic portion of the video signal being the object or the subject of the adaptive coding the unit being an image region, e.g. an object the region being a block, e.g. a macroblock
-
- H—ELECTRICITY
- H04—ELECTRIC COMMUNICATION TECHNIQUE
- H04N—PICTORIAL COMMUNICATION, e.g. TELEVISION
- H04N19/00—Methods or arrangements for coding, decoding, compressing or decompressing digital video signals
- H04N19/50—Methods or arrangements for coding, decoding, compressing or decompressing digital video signals using predictive coding
- H04N19/503—Methods or arrangements for coding, decoding, compressing or decompressing digital video signals using predictive coding involving temporal prediction
- H04N19/51—Motion estimation or motion compensation
- H04N19/567—Motion estimation based on rate distortion criteria
-
- H—ELECTRICITY
- H04—ELECTRIC COMMUNICATION TECHNIQUE
- H04N—PICTORIAL COMMUNICATION, e.g. TELEVISION
- H04N19/00—Methods or arrangements for coding, decoding, compressing or decompressing digital video signals
- H04N19/70—Methods or arrangements for coding, decoding, compressing or decompressing digital video signals characterised by syntax aspects related to video coding, e.g. related to compression standards
-
- H—ELECTRICITY
- H04—ELECTRIC COMMUNICATION TECHNIQUE
- H04N—PICTORIAL COMMUNICATION, e.g. TELEVISION
- H04N19/00—Methods or arrangements for coding, decoding, compressing or decompressing digital video signals
- H04N19/85—Methods or arrangements for coding, decoding, compressing or decompressing digital video signals using pre-processing or post-processing specially adapted for video compression
- H04N19/86—Methods or arrangements for coding, decoding, compressing or decompressing digital video signals using pre-processing or post-processing specially adapted for video compression involving reduction of coding artifacts, e.g. of blockiness
Landscapes
- Engineering & Computer Science (AREA)
- Multimedia (AREA)
- Signal Processing (AREA)
- Physics & Mathematics (AREA)
- Discrete Mathematics (AREA)
- General Physics & Mathematics (AREA)
- Compression Or Coding Systems Of Tv Signals (AREA)
Abstract
The invention discloses a coding method for improving the quality of a P frame in H.264. The method comprises the steps of analyzing whether the difference value between the edge pixel value reconstructed by the current macro block in the SKIP mode and the edge pixel value reconstructed by the adjacent block is larger or not, if the difference value is larger and the difference value between the original edge pixel value of the current macro block and the edge pixel value reconstructed by the adjacent block is not larger, considering that the current macro block possibly generates the blocking effect if the SKIP mode is adopted, and further adjusting the mode selection to improve the coding quality. The invention has the beneficial effects that: by analyzing the original edge pixel value of the current macro block, the edge pixel value reconstructed by the SKIP mode and the edge pixel value reconstructed by the adjacent block, the possible coding distortion result is judged and the mode selection is adjusted, so that the SKIP mode which possibly causes the blocking effect is reduced, and the video quality under the low code rate is greatly improved.
Description
Technical Field
The invention relates to the technical field related to video coding, in particular to a coding method for improving the quality of a P frame in H.264.
Background
H.264 is a highly compressed digital video coding and decoding standard commonly proposed by the international organization for standardization (ISO) and the International Telecommunication Union (ITU), and is characterized by high compression efficiency, strong fault-tolerant capability and low coding delay, and the coding standard is widely applied to video monitoring systems, network video live broadcast, multimedia information storage and other aspects at present.
The video image data has strong relativity, the data of a plurality of adjacent pixels in a frame of image are similar or identical, which is spatial redundancy, the data between adjacent frames in the video also have a plurality of similarities or repetitions, which is temporal redundancy, the coding compression removes the redundant information in the data, the intra-frame coding technology can remove the spatial redundancy, and the inter-frame coding technology can remove the temporal redundancy.
Interframe coding divides a current frame image into several macro blocks by using the correlation existing between adjacent frames, and tries to search out the corresponding matching block of each macro block in the adjacent frames to predict the pixel value of the macro block in the current frame, each pixel value is usually represented by Y, U, V three components. In order to improve the accuracy of current macroblock prediction and the coding compression rate, an h.264 encoder selects a mode by using a lagrangian rate-distortion optimization method, taking a P frame as an example, the h.264 encoder sequentially obtains rate-distortion cost RDcost of a SKIP mode, an INTER mode (INTER16x16, INTER16x8, INTER8x16, INTER8x8, INTER8x4, INTER4x8, and INTER4x4) mode, and an INTRA (INTRA 16x16, INTRA 8x8, and INTRA 4x4) mode, and selects a mode with the minimum RDcost as an optimal prediction mode, wherein the RDcost is calculated as:
RDcost=λ·R+SSD
wherein λ is Lagrange factor, R represents coding rate, and SSD represents coding distortion. The mode selection method based on Lagrange rate distortion optimization can analyze the bit number and coding distortion generated by each mode, so that the optimal mode can be selected.
In each mode, the SKIP mode adopts a motion vector of spatial prediction to obtain a matching block so as to obtain a pixel prediction value of a current macro block, and the SKIP mode does not encode a pixel residual error and a motion vector residual error and is mainly characterized in that the encoding code rate is small but the distortion is large; the INTER mode searches out a more accurate motion vector through motion estimation to obtain a matching block, can encode a pixel residual error and a motion vector residual error, and generally has encoding distortion smaller than SKIP; the INTRA-frame prediction mode is used for predicting the pixel value of the current macroblock, and is characterized by consuming a large amount of code rate but having small coding distortion, and when a matching block cannot be found, the INTRA-frame prediction mode can be used for reconstructing the pixel value of the current macroblock better.
x264 is an open-source H.264 video encoder, which adopts the techniques of scene change detection, adaptive B frame selection, interframe parallel coding, instruction set optimization, macroblock mode fast decision and the like, so that the H.264 encoder can better meet the requirements of fast and real-time coding. When a fast macroblock mode decision is made for a P frame, firstly, a motion vector SKIP _ MV of a SKIP mode is obtained through spatial prediction, then an INTER16x16 mode is analyzed, whether the condition of the SKIP mode is met is judged, if the condition is met, the current macroblock is determined to be the SKIP mode in advance, otherwise, rate distortion cost RDcost of an INTER16x16 (INTER16x8, INTER8x16 and INTER8x8) mode, an INTER8x 8(INTER8x4, INTER4x8 and INTER4x4) mode and an INTER (INTER16x16, INTER8x8 and INTER4x4) mode is continuously obtained, and the mode with the minimum RDcost is selected as an optimal prediction mode. However, in the video coding with low bit rate, the distortion of INTER16x16 transform quantization and motion estimation is large, which further affects the rationality of SKIP mode decision, and since the SKIP mode does not transmit coding residual, the reconstructed macroblock may have large difference with the adjacent macroblock, causing blocking effect and degrading subjective quality.
Disclosure of Invention
The invention provides an encoding method for improving the quality of a P frame in H.264, which improves the subjective quality and overcomes the defects in the prior art.
In order to achieve the purpose, the invention adopts the following technical scheme:
an encoding method for improving quality of a P frame in H.264 specifically comprises the following steps:
(1) sequentially calculating a motion vector SKIP _ MV of a SKIP mode, the number of nonzero coefficients of residual errors of an INTER16x16 mode after transformation and quantization, and RDcost of an INTER16x16 mode; motion vector INTER16x16_ MV for INTER16x16 mode;
(2) judging whether the current macro block meets a first condition of an SKIP mode, if not, executing the step (4), and if so, executing the step (3);
(3) judging whether the left macroblock and the upper macroblock exist at the same time, if not, executing the step (4), otherwise, obtaining an average difference D1 between the original edge pixel value of the current macroblock and the reconstructed edge pixel value of the adjacent block, and an average difference D2 between the reconstructed edge pixel value of the SKIP mode and the reconstructed edge pixel value of the adjacent block, if D2> a D1 and D2> TH3 are met, judging that the current macroblock cannot be the SKIP mode, and executing the step (4), otherwise, judging that the current macroblock is the SKIP mode and ending the mode selection of the current macroblock, wherein a is a constant, the value range of a is [0,5], TH3 is a constant threshold, and the value range of TH3 is [5,20 ];
(4) and (3) calculating rate distortion cost RDcost of the INTER mode and the INTRA mode, and selecting the mode with the minimum RDcost as the optimal prediction mode.
The existing x264 determines whether the SKIP mode is determined in advance by analyzing the number of non-zero coefficients after transform quantization in the INTER16x16 mode, the SatdCost and the motion vector, but in the video coding with low code rate, the rationality of the SKIP mode decision is further influenced because the distortion of INTER16x16 transform quantization and motion estimation is large, and the SKIP mode does not transmit coding residual, and the block effect and the subjective quality are reduced because a large pixel difference occurs between a reconstructed macro block and an adjacent macro block. The method judges the possible coding distortion result and adjusts the mode selection by analyzing the original edge pixel value of the current macro block, the edge pixel value reconstructed by the SKIP mode and the edge pixel value reconstructed by the adjacent block, thereby reducing the SKIP mode which can cause the blocking effect and greatly improving the video quality under the low code rate.
Preferably, in step (2), the first condition of the SKIP mode is as follows: the number of non-zero coefficients of residual errors of the INTER16x16 mode after transform quantization is smaller than a threshold TH0, whether the SatdCost of the INTER16x16 mode is smaller than a threshold TH1, and whether the difference value of motion vectors INTER16x16_ MV and SKIP _ MV obtained by motion estimation of the INTER16x16 is smaller than a threshold TH2, wherein TH0, TH1 and TH2 are all constant thresholds.
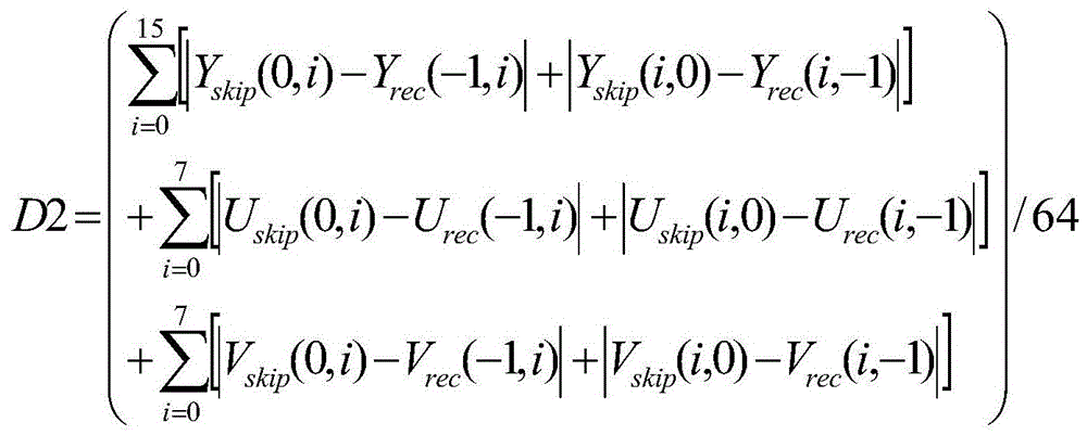
Preferably, in step (3), the average difference value D1 between the original edge pixel value of the current macroblock and the reconstructed edge pixel values of the neighboring blocks:
average difference D2 between reconstructed edge pixel values of SKIP mode and reconstructed edge pixel values of neighboring blocks:
wherein: y isori(x,y)、Uori(x,y)、Vori(x, Y) represents the original Y, U, V values of the pixel with coordinates (x, Y) in the current macroblock, Yrec(x,y)、Urec(x,y)、Vrec(x, Y) represent the reconstructed Y, U, V values for the pixel with coordinates (x, Y) in the current macroblock, respectively, Yskip(x,y)、Uskip(x,y)、VskipAnd (x, y) respectively represent the reconstructed Y, U, V values of the pixel points with coordinates (x, y) in the current macroblock if the SKIP mode is adopted.
The invention has the beneficial effects that: by analyzing the original edge pixel value of the current macro block, the edge pixel value reconstructed by the SKIP mode and the edge pixel value reconstructed by the adjacent block, the possible coding distortion result is judged and the mode selection is adjusted, so that the SKIP mode which possibly causes the blocking effect is reduced, and the video quality under the low code rate is greatly improved.
Drawings
FIG. 1 is a flow chart of the method of the present invention.
Detailed Description
The invention is further described with reference to the following figures and detailed description.
In the embodiment shown in fig. 1, an encoding method for improving the quality of a P frame in h.264 specifically includes the following steps:
(1) sequentially calculating a motion vector SKIP _ MV of a SKIP mode, the number of nonzero coefficients of residual errors of an INTER16x16 mode after transformation and quantization, and RDcost of an INTER16x16 mode; motion vector INTER16x16_ MV for INTER16x16 mode;
(2) judging whether the current macro block meets a first condition of an SKIP mode, if not, executing the step (4), and if so, executing the step (3); the first condition of SKIP mode is as follows: the number of non-zero coefficients of residual errors of an INTER16x16 mode after transform quantization is smaller than a threshold TH0, whether SatdCost of the INTER16x16 mode is smaller than a threshold TH1, and whether a difference value between motion vectors INTER16x16_ MV and SKIP _ MV calculated by motion estimation of the INTER16x16 is smaller than a threshold TH2, wherein TH0, TH1 and TH2 are all constant thresholds; TH0 has a value of 7; TH1 takes the value 300 lambda, where lambda is the lagrange constant; TH2 has a value of 1;
(3) judging whether the left macroblock and the upper macroblock exist at the same time, if not, executing the step (4), otherwise, obtaining an average difference D1 between the original edge pixel value of the current macroblock and the reconstructed edge pixel value of the adjacent block, and an average difference D2 between the reconstructed edge pixel value of the SKIP mode and the reconstructed edge pixel value of the adjacent block, if D2> a D1 and D2> TH3 are met, judging that the current macroblock cannot be the SKIP mode, and executing the step (4), otherwise, judging that the current macroblock is the SKIP mode and ending the mode selection of the current macroblock, wherein a is a constant, the value range of a is [0,5], TH3 is a constant threshold, and the value range of TH3 is [5,20 ];
average difference D1 between the original edge pixel value of the current macroblock and the reconstructed edge pixel values of the neighboring blocks:
average difference between reconstructed edge pixel values of SKIP mode and reconstructed edge pixel values of neighboring blocks
D2:
Wherein: y isori(x,y)、Uori(x,y)、Vori(x, Y) represents the original Y, U, V values of the pixel with coordinates (x, Y) in the current macroblock, Yrec(x,y)、Urec(x,y)、Vrec(x, y) respectively represents the reconstruction of pixel points with coordinates (x, y) in the current macro blockY, U, V value, Yskip(x,y)、Uskip(x,y)、Vskip(x, y) respectively representing the reconstructed Y, U, V values of the pixel points with coordinates (x, y) in the current macro block if the SKIP mode is adopted;
(4) and (3) calculating rate distortion cost RDcost of the INTER mode and the INTRA mode, and selecting the mode with the minimum RDcost as the optimal prediction mode.
The invention analyzes whether the difference value between the edge pixel value reconstructed by the SKIP mode of the current macro block and the edge pixel value reconstructed by the adjacent block is larger, if the difference value is larger and the difference value between the original edge pixel value of the current macro block and the edge pixel value reconstructed by the adjacent block is not larger, the invention considers that the current macro block can generate block effect if adopting the SKIP mode, and further adjusts the mode selection to improve the coding quality.
The method judges the possible coding distortion result and adjusts the mode selection by analyzing the original edge pixel value of the current macro block, the edge pixel value reconstructed by the SKIP mode and the edge pixel value reconstructed by the adjacent block, thereby reducing the SKIP mode which can cause the blocking effect and greatly improving the video quality under the low code rate.
The effects of a and TH3 on the inventive results are illustrated below:
| a | TH3 | video subjective quality | Coding performance |
| 2 | 7 | Is very good | -3.5% |
| 4 | 7 | Is very good | -1.9% |
| 2 | 15 | Is very good | -1.6% |
| 4 | 15 | Good taste | -1.1% |
The final result shows that the invention can obviously reduce the P frame blocking effect of the H.264 video encoder under low code rate, obviously improve the subjective quality and reduce the performance within 3.5 percent.
Claims (3)
1. A coding method for improving P frame quality in H.264 is characterized by comprising the following steps:
(1) sequentially calculating a motion vector SKIP _ MV of a SKIP mode, the number of nonzero coefficients of a residual error of an INTER16x16 mode after transformation and quantization, an RDcost of an INTER16x16 mode and a motion vector INTER16x16_ MV of an INTER16x16 mode;
(2) judging whether the current macro block meets a first condition of an SKIP mode, if not, executing the step (4), and if so, executing the step (3);
(3) judging whether the left macroblock and the upper macroblock exist at the same time, if not, executing the step (4), otherwise, obtaining an average difference D1 between the original edge pixel value of the current macroblock and the reconstructed edge pixel value of the adjacent block, and an average difference D2 between the reconstructed edge pixel value of the SKIP mode and the reconstructed edge pixel value of the adjacent block, if D2> a D1 and D2> TH3 are met, judging that the current macroblock cannot be the SKIP mode, and executing the step (4), otherwise, judging that the current macroblock is the SKIP mode and ending the mode selection of the current macroblock, wherein a is a constant, the value range of a is [0,5], TH3 is a constant threshold, and the value range of TH3 is [5,20 ];
(4) and (3) calculating rate distortion cost RDcost of the INTER mode and the INTRA mode, and selecting the mode with the minimum RDcost as the optimal prediction mode.
2. The encoding method for improving the quality of the P frame in the h.264 of claim 1, wherein in the step (2), the first condition of the SKIP mode is as follows: the number of non-zero coefficients of residual errors of the INTER16x16 mode after transform quantization is smaller than a threshold TH0, whether the SatdCost of the INTER16x16 mode is smaller than a threshold TH1, and whether the difference value of motion vectors INTER16x16_ MV and SKIP _ MV obtained by motion estimation of the INTER16x16 is smaller than a threshold TH2, wherein TH0, TH1 and TH2 are all constant thresholds.
3. The encoding method according to claim 1 or 2, wherein in step (3), the average difference value D1 between the original edge pixel value of the current macroblock and the reconstructed edge pixel values of the neighboring blocks is:
average difference D2 between reconstructed edge pixel values of SKIP mode and reconstructed edge pixel values of neighboring blocks:
wherein: y isori(x,y)、Uori(x,y)、Vori(x, Y) represents the original Y, U, V values of the pixel with coordinates (x, Y) in the current macroblock, Yrec(x,y)、Urcc(x,y)、Vrec(x, Y) represent the reconstructed Y, U, V values for pixel points with coordinates (x, Y) in neighboring blocks, respectively, Yskip(x,y)、Uskip(x,y)、VskipAnd (x, y) respectively represent the reconstructed Y, U, V values of the pixel points with coordinates (x, y) in the current macroblock if the SKIP mode is adopted.
Priority Applications (1)
| Application Number | Priority Date | Filing Date | Title |
|---|---|---|---|
| CN201910705385.4A CN110446042B (en) | 2019-08-01 | 2019-08-01 | Coding method for improving P frame quality in H.264 |
Applications Claiming Priority (1)
| Application Number | Priority Date | Filing Date | Title |
|---|---|---|---|
| CN201910705385.4A CN110446042B (en) | 2019-08-01 | 2019-08-01 | Coding method for improving P frame quality in H.264 |
Publications (2)
| Publication Number | Publication Date |
|---|---|
| CN110446042A CN110446042A (en) | 2019-11-12 |
| CN110446042B true CN110446042B (en) | 2021-09-21 |
Family
ID=68432643
Family Applications (1)
| Application Number | Title | Priority Date | Filing Date |
|---|---|---|---|
| CN201910705385.4A Active CN110446042B (en) | 2019-08-01 | 2019-08-01 | Coding method for improving P frame quality in H.264 |
Country Status (1)
| Country | Link |
|---|---|
| CN (1) | CN110446042B (en) |
Families Citing this family (1)
| Publication number | Priority date | Publication date | Assignee | Title |
|---|---|---|---|---|
| CN113038135B (en) * | 2021-05-19 | 2022-02-18 | 杭州微帧信息科技有限公司 | CRF self-adaptive method based on block effect detection |
Citations (6)
| Publication number | Priority date | Publication date | Assignee | Title |
|---|---|---|---|---|
| EP1761069A1 (en) * | 2005-09-01 | 2007-03-07 | Thomson Licensing | Method and apparatus for encoding video data using block skip mode |
| CN102075751A (en) * | 2011-01-12 | 2011-05-25 | 浙江大学 | Macro block motion state-based H264 quick mode selection method |
| CN102196272A (en) * | 2010-03-11 | 2011-09-21 | 中国科学院微电子研究所 | A P-frame encoding method and device |
| CN102647598A (en) * | 2012-05-10 | 2012-08-22 | 重庆大学 | H.264 inter-frame mode optimization method based on maximum and minimum MV difference |
| CN103596003A (en) * | 2013-11-11 | 2014-02-19 | 中国科学技术大学 | Interframe predication quick mode selecting method for high-performance video coding |
| GB2563936A (en) * | 2017-06-30 | 2019-01-02 | Canon Kk | Method and apparatus for encoding or decoding a flag during video data encoding |
Family Cites Families (1)
| Publication number | Priority date | Publication date | Assignee | Title |
|---|---|---|---|---|
| US20120207212A1 (en) * | 2011-02-11 | 2012-08-16 | Apple Inc. | Visually masked metric for pixel block similarity |
-
2019
- 2019-08-01 CN CN201910705385.4A patent/CN110446042B/en active Active
Patent Citations (6)
| Publication number | Priority date | Publication date | Assignee | Title |
|---|---|---|---|---|
| EP1761069A1 (en) * | 2005-09-01 | 2007-03-07 | Thomson Licensing | Method and apparatus for encoding video data using block skip mode |
| CN102196272A (en) * | 2010-03-11 | 2011-09-21 | 中国科学院微电子研究所 | A P-frame encoding method and device |
| CN102075751A (en) * | 2011-01-12 | 2011-05-25 | 浙江大学 | Macro block motion state-based H264 quick mode selection method |
| CN102647598A (en) * | 2012-05-10 | 2012-08-22 | 重庆大学 | H.264 inter-frame mode optimization method based on maximum and minimum MV difference |
| CN103596003A (en) * | 2013-11-11 | 2014-02-19 | 中国科学技术大学 | Interframe predication quick mode selecting method for high-performance video coding |
| GB2563936A (en) * | 2017-06-30 | 2019-01-02 | Canon Kk | Method and apparatus for encoding or decoding a flag during video data encoding |
Also Published As
| Publication number | Publication date |
|---|---|
| CN110446042A (en) | 2019-11-12 |
Similar Documents
| Publication | Publication Date | Title |
|---|---|---|
| KR101275066B1 (en) | System and method to process motion vectors of video data | |
| CN104539962B (en) | It is a kind of merge visually-perceptible feature can scalable video coding method | |
| RU2377737C2 (en) | Method and apparatus for encoder assisted frame rate up conversion (ea-fruc) for video compression | |
| CN102137263B (en) | Distributed video coding and decoding methods based on classification of key frames of correlation noise model (CNM) | |
| US8144770B2 (en) | Apparatus and method for encoding moving picture | |
| CN103546749B (en) | Method for optimizing HEVC (high efficiency video coding) residual coding by using residual coefficient distribution features and bayes theorem | |
| KR100739714B1 (en) | Method and apparatus for determining intra prediction mode | |
| KR20140042845A (en) | Method and system for structural similarity based rate-distortion optimization for perceptual video coding | |
| CN103997646A (en) | Rapid intra-frame prediction mode selection method in high-definition video coding | |
| CN108989802B (en) | HEVC video stream quality estimation method and system by utilizing inter-frame relation | |
| CN103607590A (en) | High efficiency video coding sensing rate-distortion optimization method based on structural similarity | |
| CN103384326A (en) | Quick intra-frame prediction mode selection method for AVS-M video coding | |
| CN103647975B (en) | Improved sample adaptive offset filtering method based on histogram analysis | |
| CN104853191A (en) | HEVC fast coding method | |
| CN102075757B (en) | Video foreground object coding method by taking boundary detection as motion estimation reference | |
| CN110913232B (en) | Selection method and device of TU division mode and readable storage medium | |
| CN110446042B (en) | Coding method for improving P frame quality in H.264 | |
| CN110446040A (en) | A kind of inter-frame encoding methods and system suitable for HEVC standard | |
| CN102438148B (en) | Fast mode selection method based on DVS for H.264 intra prediction coding | |
| CN110611819B (en) | Coding method for improving quality of B frame in H.264 | |
| JP2005348008A (en) | Moving picture coding method, moving picture coding apparatus, moving picture coding program, and computer-readable recording medium recording the program | |
| Zhang et al. | Textural and directional information based offset in-loop filtering in AVS3 | |
| Chen et al. | CNN-Based fast HEVC quantization parameter mode decision | |
| CN113163199B (en) | H265-based video rapid prediction method, rapid coding method and system | |
| Xu et al. | Optimization of inter-frame coding algorithm based on random forest |
Legal Events
| Date | Code | Title | Description |
|---|---|---|---|
| PB01 | Publication | ||
| PB01 | Publication | ||
| SE01 | Entry into force of request for substantive examination | ||
| SE01 | Entry into force of request for substantive examination | ||
| GR01 | Patent grant | ||
| GR01 | Patent grant |





