CN110361000B - An action event window interception method suitable for motion analysis - Google Patents
An action event window interception method suitable for motion analysis Download PDFInfo
- Publication number
- CN110361000B CN110361000B CN201910652069.5A CN201910652069A CN110361000B CN 110361000 B CN110361000 B CN 110361000B CN 201910652069 A CN201910652069 A CN 201910652069A CN 110361000 B CN110361000 B CN 110361000B
- Authority
- CN
- China
- Prior art keywords
- accelerometer
- energy
- gyroscope
- output
- sampling point
- Prior art date
- Legal status (The legal status is an assumption and is not a legal conclusion. Google has not performed a legal analysis and makes no representation as to the accuracy of the status listed.)
- Active
Links
Images
Classifications
-
- G—PHYSICS
- G01—MEASURING; TESTING
- G01C—MEASURING DISTANCES, LEVELS OR BEARINGS; SURVEYING; NAVIGATION; GYROSCOPIC INSTRUMENTS; PHOTOGRAMMETRY OR VIDEOGRAMMETRY
- G01C21/00—Navigation; Navigational instruments not provided for in groups G01C1/00 - G01C19/00
- G01C21/10—Navigation; Navigational instruments not provided for in groups G01C1/00 - G01C19/00 by using measurements of speed or acceleration
- G01C21/12—Navigation; Navigational instruments not provided for in groups G01C1/00 - G01C19/00 by using measurements of speed or acceleration executed aboard the object being navigated; Dead reckoning
Landscapes
- Engineering & Computer Science (AREA)
- Radar, Positioning & Navigation (AREA)
- Remote Sensing (AREA)
- Automation & Control Theory (AREA)
- Physics & Mathematics (AREA)
- General Physics & Mathematics (AREA)
- Measurement Of The Respiration, Hearing Ability, Form, And Blood Characteristics Of Living Organisms (AREA)
Abstract
An action event window intercepting method suitable for motion analysis belongs to the technical field of motion analysis. The invention solves the problem of poor accuracy of intercepting the action event window in the existing research method. The method is based on the Teager operator, and additionally adds the energy function of Gaussian smooth filtering, further deduces the modeling process of the action threshold value parameter, determines the self-adaptive threshold value determining scheme taking the energy peak value as the adjusting basis, and adopts the energy function segmentation algorithm based on the threshold value to detect the starting point and the end point of the action, thereby realizing the self-adaptive action signal segment intercepting scheme. The invention can be applied to the technical field of motion analysis.
Description
Technical Field
The invention belongs to the technical field of motion analysis, and particularly relates to an action event window intercepting method suitable for motion analysis.
Background
The action event window is an intercepting mode aiming at the continuous process of the target action, the action event window can position the initial position of the action and completely cut data under the whole action state, and two ends of the window respectively correspond to the starting state and the ending state of the real action. High-degree-of-freedom motions often show certain complexity, so that an accurate segmentation algorithm is difficult to implement, and meanwhile, a motion event window provides the most complete and clean representation of a target research motion, so that the method is the segmentation mode which is most beneficial to analyzing motion characteristics.
In previous researches, some experimenters realize the intercepting scheme of the action event window by directly setting a threshold value for sensor data, the method is only used for simply judging whether equipment is separated from a static state along with a wearer, and the method has small calculation amount because the data is not required to be additionally processed, but the method has the defects that the intercepting accuracy of the action event window is poor and the method can only be applied to a data curve obtained under a strict laboratory acquisition scene.
Disclosure of Invention
The invention aims to solve the problem that the accuracy of intercepting an action event window is poor in the existing research method.
The technical scheme adopted by the invention for solving the technical problems is as follows: an action event window intercepting method suitable for motion analysis, the method comprises the following steps:
the method comprises the following steps that firstly, data acquisition is carried out on the same action of a human body by using an accelerometer and a gyroscope respectively, and output values of the accelerometer and the gyroscope at each sampling point are obtained;
respectively calculating energy sequences output by the accelerometer and the gyroscope according to output values of the accelerometer and the gyroscope at each sampling point;
step two, smoothing the energy sequences output by the accelerometer and the gyroscope respectively to obtain smooth energy functions output by the accelerometer and the gyroscope;
step three, respectively calculating the self-adaptive energy threshold a of the accelerometer and the gyroscopethAnd ωth;
Step four, according to the adaptive energy threshold a of step threethAnd ωthDetermining the starting point and the end point of the human body action segment, and completing an action event windowAnd (4) intercepting.
The invention has the beneficial effects that: the invention provides an action event window intercepting method suitable for motion analysis, which is based on a Teager operator and additionally adds an energy function of Gaussian smooth filtering, further deduces the modeling process of an action threshold parameter, determines an adaptive threshold determining scheme taking an energy peak value as an adjusting basis, and detects the starting point and the end point of an action by adopting an energy function segmentation algorithm based on a threshold value, thereby realizing the adaptive action signal section intercepting scheme.
Drawings
FIG. 1 is a flow chart of an action event window capture method suitable for motion analysis according to the present invention;
FIG. 2 is a graph of the effect of clipping data collected by a gyroscope;
FIG. 3 is a graph of the effect of clipping on data collected by an accelerometer;
FIG. 4 is a graph of the effect of using a squared differential energy method to intercept gyroscope data;
FIG. 5 is a diagram of the effect of using the Teager energy method to intercept gyroscope data;
FIG. 6 is a schematic diagram of smoothing an energy sequence under different window length values;
FIG. 7 is an enlarged view of a portion of FIG. 6;
FIG. 8 is a schematic diagram of the corresponding split-bit line using the Teager energy method;
FIG. 9 is a histogram of the corresponding energy distribution of FIG. 8;
FIG. 10 is a quantile value XrA graph of variation of (d);
FIG. 11 is a quantile value XrA differential graph of (a);
fig. 12 is a graph of reference threshold versus energy peak.
Detailed Description
The first embodiment is as follows: as shown in fig. 1, the method for intercepting an action event window suitable for motion analysis according to this embodiment includes the following steps:
the method comprises the following steps that firstly, data acquisition is carried out on the same action of a human body by using an accelerometer and a gyroscope respectively, and output values of the accelerometer and the gyroscope at each sampling point are obtained;
respectively calculating energy sequences output by the accelerometer and the gyroscope according to output values of the accelerometer and the gyroscope at each sampling point;
step two, smoothing the energy sequences output by the accelerometer and the gyroscope respectively to obtain smooth energy functions output by the accelerometer and the gyroscope;
step three, respectively calculating the self-adaptive energy threshold a of the accelerometer and the gyroscopethAnd ωth;
Step four, according to the adaptive energy threshold a of step threethAnd ωthAnd determining the starting point and the end point of the human body action segment, and finishing the interception of the action event window.
The second embodiment is as follows: the first difference between the present embodiment and the specific embodiment is: the expression of the energy sequence output by the accelerometer and the gyroscope in the first step is specifically as follows:
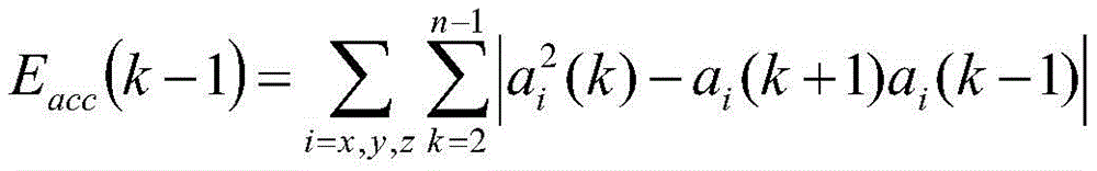
the expression for the energy series output by the accelerometer is:
wherein: eacc(k-1) represents the output energy value of the accelerometer at the (k-1) th sampling point, i ═ x, y, z, ax(k) Representing the output value of the accelerometer at the k-th sampling point in the x-axis direction, ay(k) Representing the output value of the accelerometer at the kth sampling point in the y-axis direction, az(k) Representing the output value of the accelerometer at the k sampling point in the z-axis direction; k is 2,3, …, n-1, k represents the kth sampling point, and n represents the number of sampling points;
the x axis, the y axis and the z axis refer to the x axis, the y axis and the z axis under a space rectangular coordinate system.
The expression of the energy sequence output by the gyroscope is:
wherein: egyro(k-1) represents the output energy value of the gyroscope at the (k-1) th sampling point, ωx(k) Represents the output value, ω, of the gyroscope at the k-th sampling point in the x-axis directiony(k) Represents the output value, ω, of the gyroscope at the kth sampling point in the y-axis directionz(k) Representing the output value of the gyroscope at the kth sampling point in the z-axis direction.
ax(k +1) represents the output value of the accelerometer at the (k +1) th sampling point in the x-axis direction, ay(k +1) represents the output value of the accelerometer at the (k +1) th sampling point in the y-axis direction, az(k +1) represents the output value of the accelerometer at the (k +1) th sampling point in the z-axis direction, ax(k-1) represents the output value of the accelerometer at the k-1 th sampling point in the x-axis direction, ay(k-1) represents the output value of the accelerometer at the k-1 th sampling point in the y-axis direction, az(k-1) represents an output value of the accelerometer at a k-1 th sampling point in the z-axis direction;
ωx(k +1) represents an output value of the gyroscope at the (k +1) th sampling point in the x-axis direction, ωy(k +1) represents an output value of the gyroscope at the (k +1) th sampling point in the y-axis direction, ωz(k +1) represents an output value of the gyroscope at a (k +1) th sampling point in the z-axis direction;
ωx(k-1) represents the output value of the gyroscope at the k-1 th sampling point in the x-axis direction, ωy(k-1) represents the output value of the gyroscope at the (k-1) th sampling point in the y-axis direction, ωz(k-1) represents an output value of the gyroscope at a k-1 th sampling point in the z-axis direction.
The third concrete implementation mode: the second embodiment is different from the first embodiment in that: the specific process of the second step is as follows:
respectively smoothing energy sequences output by the accelerometer and the gyroscope, wherein the smoothing is implemented by Gaussian filtering;
setting the window length of the filter as b, the standard deviation parameter as sigma, and the gaussian kernel vector template as:
the convolution operation is implemented using a sliding window method as follows: performing dot product on the data in the window and a Gaussian kernel vector template to obtain a smooth energy function output by the accelerometer and the gyroscope;
the expression of the smoothed energy function output by the accelerometer and the gyroscope is specifically as follows:
wherein: eacc(k) Representing the output energy value of the accelerometer at the kth sampling point, yfilted(k) An energy value at a kth sampling point of a smoothed energy function representing an accelerometer output;
Egyro(k) represents the output energy value, y ', of the gyroscope at the kth sampling point'filted(k) The energy value of the smoothed energy function representing the gyroscope output at the kth sampling point.
The fourth concrete implementation mode: the third difference between the present embodiment and the specific embodiment is that: the specific process of the third step is as follows:
adaptive energy threshold a for accelerometersthThe calculation formula of (2) is as follows:
ath=0.0267max[Eacc(k)]+19
wherein: eacc(k) Representing the output energy value of the accelerometer at the kth sampling point;
self-adaptive energy threshold omega of gyroscopethThe calculation formula of (2) is as follows:
wherein: egyro(k) Representing the output energy value of the gyroscope at the kth sampling point.
The fifth concrete implementation mode: the fourth difference between this embodiment and the specific embodiment is that: the specific process of the step four is as follows:
step four, traversing from the starting point of the smooth energy function output by the accelerometer, recording whether the accelerometer is in the action section by using a state switch, and setting the state switch to be 0 in the starting point of the smooth energy function output by the accelerometer in a default mode;
step four, for the energy value y of the smoothed energy function output by the accelerometer at the k sampling pointfilted(k) If y isfilted(k)≥athIf so, the kth sampling point is considered as a possible starting point of the action state of the accelerometer signal, and the state switch is temporarily set to be 1; in order to avoid the problem of local misjudgment, continuously traversing and investigating whether the energy value of the sampling point after the kth sampling point is greater than a threshold value;
starting from the k sampling point, if the energy values of the smooth energy function output by the accelerometer are all more than or equal to a at the continuous N sampling pointsthIf not, determining that the kth sampling point is not the starting point of the action state of the accelerometer signal, and resetting the state switch to 0;
for accelerometer output energy value y at kth sampling pointfilted(k) If y isfilted(k)<athDirectly determining that the kth sampling point is not the starting point of the action state of the accelerometer signal;
step three, if the kth sampling point is not the starting point of the action state of the accelerometer signal, repeating the process of the step two, continuously judging the kth +1 th sampling point until the starting point of the action state of the accelerometer signal is determined, and continuously executing the step four;
if the kth sampling point is the starting point of the action state of the accelerometer signal, directly executing the fourth step;
fourthly, in the smooth energy function output by the accelerometer, traversing from the next sampling point of the starting point of the action state of the accelerometer signal until the output energy value y of the accelerometer at the kth sampling point appearsfilted(k′)<athDetermining that the k' -1 sampling point is the terminal point of the action state of the accelerometer signal;
step IV, for the smooth energy function output by the gyroscope, repeating the process from the step IV to determine a starting point k of the action state of the gyroscope signalgyroAnd terminal k'gyro;
Step four, determining a starting point and an end point of a human body action section according to the starting point and the end point of the accelerometer signal action state and the starting point and the end point of the gyroscope signal action state;
start=min(kacc,kgyro)
termi=max(k′acc,k′gyro)
wherein: start and term represent the start and end points of the body motion segment, kaccAnd k'accRespectively representing the start and end points of the accelerometer signal, kgyroAnd k'gyroRepresenting the start and end points of the gyroscope signal, respectively.
After the fourth step, the fourth step is completed, whether the condition that k' -k is larger than 50 is met or not needs to be judged, if the condition is met, the fourth step, the fifth step and the fourth step, the sixth step are continuously executed, if the condition is not met, the collected action data are short, and the data collected at this time are directly discarded. The accelerometer and the gyroscope are reused for carrying out data acquisition on the same action of the human body, the processes of the first step, the second step, the third step and the fourth step are repeatedly carried out until k' -k is more than 50, the processes are stopped, and the starting point and the end point of the action state of the accelerometer signal obtained at the last time are taken as the starting point k of the action state of the accelerometer signalaccAnd terminal k'acc;
Repeating the process from step four to the smooth energy function output by the gyroscope obtained at the last time, and determining the starting point of the action state of the gyroscope signalkgyroAnd terminal k'gyro. The method can determine the starting point and the end point of the action and complete the interception of the action event window. The final interception effect is shown in fig. 2 and 3:
the sixth specific implementation mode: the fifth embodiment is different from the fifth embodiment in that: the window length b of the filter has a value of 20.
The seventh embodiment: the sixth embodiment is different from the sixth embodiment in that: the value of the standard deviation parameter sigma is 0.627.
The specific implementation mode is eight: the seventh embodiment is different from the seventh embodiment in that: and estimating with the sampling rate of 200Hz, wherein the value of N in the fourth step is 10.
Examples
Function of energy
The output signal is usually relatively stable in the stages before the motion is generated and after the motion is finished, and the signal can be instantaneously and violently changed along with the start of the motion, and the characteristic forms a basic basis for segmenting the motion window.
In real motion capture, it is not possible for the device wearer to maintain a perfect resting level before and after the motion segment, especially in outdoor sports activities such as some instruments, where the body of the exerciser involuntarily shakes to a certain extent by bearing the weight of the equipment during the motion break-out period. The so-called "onset" of motion is not just a simple change from nothing to nothing, but is a relative concept influenced by previous motion levels, and therefore it is necessary to construct a more reasonable representation of the motion level, i.e. an energy function of the motion.
Accelerometers are not zero output level at rest, thus naturally envisaging the design basis for using differential signals as a function of energy. Meanwhile, in order to amplify the fluctuation degree of the signal, the differential value is squared to obtain a basic scheme for constructing an energy function, and x is sett(τ) represents a single-dimensional discrete sequence, and the square difference energy function operator is expressed as formula (1):
let a (k), k is 1,2, …, n represents the MEMS accelerometer output value at the k-th sampling point, and ω (k) represents the MEMS gyroscope output value at the k-th sampling point. Defining an energy function of the data of the triaxial sensor as the sum of energy values on three coordinate axes, and applying an operator in the formula (1) to obtain calculation formulas of linear motion energy and angular motion energy as shown in formulas (2) and (3) respectively:
in addition, in the field of signal processing, there is an Energy Operator called a Teager Energy Operator (TEO), which is shown in formula (4):
substituting into accelerometer and gyroscope data sequence, namely substituting into formula (2) and formula (3), obtain the computational formula of second linear motion energy and angular motion energy and show as formula (5), (6) respectively:
in order to select the most suitable energy function from the two schemes, two operators are respectively adopted to calculate the angular motion energy function of a piece of gyroscope data of the most basic action, and the comparison effect is shown in fig. 4 and fig. 5:
it can be obviously seen from the comparative experiment effect diagram that the Teager energy function obviously shows better action segment distinguishing characteristics, can inhibit the swing amplitude of the signal to a certain extent, and shows a certain self-adjusting capability when tracking the signal energy, which is the reason why the TEO operator can be widely applied in many signal research fields. The invention finally determines the index function taking the Teager energy as the action degree.
Smoothing function
The availability of the Teager energy function was demonstrated previously, but in fact the TEO operator can only suppress environmental disturbances and random jitter of the wearer to a limited extent. For more complex motions, it is also inevitable that using the Teager's energy function will violate the expected curve shape, making it difficult to cleanly segment the motion segment. The solution is to smooth the energy value curve.
The essence of the smoothing function is filtering, which operates on the data in windows by reducing the noise content of the data to reduce the appearance of detail (spike) in the curve, usually by linear operation, by "swiping" the curve through a small window of constant width.
The adopted smoothing method is Gaussian filtering, and the method has the advantage that the distribution characteristics can be more reserved while smoothing. The realization mode is sliding window convolution, and the value of each smoothed data point is obtained by the Gaussian kernel convolution of the data point and other data points in the neighborhood. The one-dimensional gaussian kernel function is actually a normally distributed density function, and the expression thereof is shown in formula (7):
the image of the Gaussian function is a bell-shaped curve, the closer to the center, the larger the value, and the farther away from the center, the smaller the value. A filter using a gaussian kernel is a low-pass filter capable of attenuating high-frequency signals. Before the smoothing operation is performed, firstly, a numerical gaussian kernel vector template needs to be calculated: assuming that the window length of the filter is b, after the value of the parameter σ is determined, a determined real number sequence with a length of 2b-1 can be obtained, and the calculation method is shown in formula (8):
in order to calculate the smoothing value at a point y (i) on the sequence to be smoothed, only the ith data point is taken as the center, b-1 data segments before and after the ith data point are taken as a smoothing neighborhood and a Gaussian kernel vector template to perform dot product calculation, namely, the formula (9) is shown as follows:
to determine the appropriate value of the parameter σ, consider a gaussian filter with a standard deviation parameter σ, assuming that the standard deviation of the original data is of size σXStandard deviation σ of the processed datarWill decay to about as shown in equation (10):
then, in the actual processing, the energy of the smoothed data is attenuated to 40%, and the estimation is performed by substituting equation (10), so that σ ≈ 0.627 is obtained.
Next, a gaussian smoothing experiment is performed on the Teager energy signal of a section of action, and the gaussian smoothing effect under different values is observed as shown in fig. 6, and fig. 7 is a partial enlarged view of fig. 6.
From the partial enlarged view around the action starting point, with the energy value at the known starting point as the threshold, some data points after the starting point may still have the phenomenon that the instantaneous energy is lower than the threshold, and they will be determined as non-action segment data, thus constituting the phenomenon of misjudgment domain in threshold segmentation. A suitable smoothing process can eliminate this effect because the false positives of these short term fluctuations increase by a weighted average under the trend of the ambient energy values rising, no longer being below the threshold point. Too narrow a smooth window can lead to excessive data details to be retained, insufficient processing strength still causes a false domain-judging phenomenon, and if the window is too large, the data curve can be seriously distorted, the reliability of the threshold value is reduced, and finally, the appropriate window length is determined to be 20 points through multiple groups of experiments.
Threshold determination
The determination of the threshold parameter is the core of the truncation algorithm. Due to the diversity of the motion modes covered in the set, the energy base number of each motion is different, and even the amplitude difference between different executors under the same type of motion is quite large, so that it is not practical to use a constant value as a threshold value to complete the interception of all the motions. There is a need to propose an adaptive threshold determination scheme. First, a graph of gyroscope data energy for a sample motion is shown in FIG. 8.
Quantile is a statistical concept, P (X < X)r) When r is equal to XrIs a sequence [ x]R (%) quantile value of (c);
from fig. 8, a series of sets of place values are calculated for the energy sequence (after smoothing), and the place lines at different percentiles are plotted, it can be seen that the distribution of a segment of motion energy values is mainly concentrated in the motion stationary segment, because the motion signal is mainly caused by the random body jitter of the wearer, and the fluctuation degree of the data points is high. This behavior is more apparent if the energy distribution histogram is plotted with the energy value interval as the argument as shown in fig. 9:
and modeling the action threshold by utilizing the dense distribution characteristic of the energy values in the low-amplitude motion segment. From fig. 9, from the low decimals to the high decimals, the distribution of the energy decimals is gradually sparse, that is, as the percentile increases, the increase of the decimals gradually increases, so an experimental assumption is made as to the change rule of the decimals: at the beginning of the action segment, the quantile value will increase dramatically.
To confirm this hypothesis, the variation curves of the fractional values under uniform amplification of r values from 1% to 70% and their difference curves were plotted, as shown in fig. 10 and 11, respectively:
it can be observed from FIGS. 10 and 11 that the value is near 5A steep trend occurs at a quantile value of 0%. The place value is substituted into an inertia data curve graph for verification, the threshold value of the place value is basically consistent with the threshold value of the starting point and the end point of the data, and the rule is basically verified on the data of other types of actions. The particular quantiles obtained in the entire hypothesis-flow experiment are then referred to as the maximum cluster quantile valueThe significance is that the method embodies the concentration effect of the low-amplitude motion segment to the maximum extent, the quantiles are continuously improved, and the distance between the quantiles is obviously increased. The mathematical determination method for maximizing the clustering quantile value not only needs to draw a quantile value change curve first, but also needs to perform polyline fitting by taking the minimized square difference as an objective function and to take the inflection point of the polyline fitting, and the calculation process is undoubtedly very complex in practical application.
In order to simplify the model, the maximum cluster quantile value is used as a reference threshold value, and a scatter diagram of the relationship between the maximum cluster quantile value and the energy peak value is drawn on an experimental data set as shown in FIG. 12, so that a clear linear relationship can be found between the maximum cluster quantile value and the energy peak value. Also targeted at minimizing the squared error is the best fit polynomial as shown in equation (11):
the reference threshold is a linear function related to the peak energy, and the experimental result is also consistent with the above description: i.e. the smoothness of the non-motion segment is an expression of the degree of motion "relative" the energy peaks will influence the specific value of the threshold. The slope in the above equation is retained as an adjustment parameter, and the determined threshold calculation template is as shown in equation (12): :
the threshold base is slightly changed from equation (11) because, according to experiments, better segmentation results are achieved overall by taking this value.
The above experimental processes are all based on gyroscope data, and the energy threshold of the accelerometer data is determined by similar experimental steps as shown in formula (13):
ath=0.0267max[Eacc(k)]+19 (13)
the above-described calculation examples of the present invention are merely to explain the calculation model and the calculation flow of the present invention in detail, and are not intended to limit the embodiments of the present invention. It will be apparent to those skilled in the art that other variations and modifications of the present invention can be made based on the above description, and it is not intended to be exhaustive or to limit the invention to the precise form disclosed, and all such modifications and variations are possible and contemplated as falling within the scope of the invention.
Claims (7)
Priority Applications (1)
| Application Number | Priority Date | Filing Date | Title |
|---|---|---|---|
| CN201910652069.5A CN110361000B (en) | 2019-07-18 | 2019-07-18 | An action event window interception method suitable for motion analysis |
Applications Claiming Priority (1)
| Application Number | Priority Date | Filing Date | Title |
|---|---|---|---|
| CN201910652069.5A CN110361000B (en) | 2019-07-18 | 2019-07-18 | An action event window interception method suitable for motion analysis |
Publications (2)
| Publication Number | Publication Date |
|---|---|
| CN110361000A CN110361000A (en) | 2019-10-22 |
| CN110361000B true CN110361000B (en) | 2021-03-02 |
Family
ID=68221404
Family Applications (1)
| Application Number | Title | Priority Date | Filing Date |
|---|---|---|---|
| CN201910652069.5A Active CN110361000B (en) | 2019-07-18 | 2019-07-18 | An action event window interception method suitable for motion analysis |
Country Status (1)
| Country | Link |
|---|---|
| CN (1) | CN110361000B (en) |
Families Citing this family (2)
| Publication number | Priority date | Publication date | Assignee | Title |
|---|---|---|---|---|
| CN111221420B (en) * | 2020-01-13 | 2021-07-30 | 深圳大学 | A 2D movement trajectory recognition method and system based on smart watch |
| CN112307434B (en) * | 2020-10-30 | 2024-02-20 | 武汉大学 | Intelligent correction method of measured flow based on Gaussian filter |
Citations (5)
| Publication number | Priority date | Publication date | Assignee | Title |
|---|---|---|---|---|
| CN103345627A (en) * | 2013-07-23 | 2013-10-09 | 清华大学 | Action recognition method and device |
| CN103983273A (en) * | 2014-04-29 | 2014-08-13 | 华南理工大学 | Real-time step length estimation method based on acceleration sensor |
| CN106767794A (en) * | 2017-01-19 | 2017-05-31 | 南京航空航天大学 | A kind of elastic zero-speed method of discrimination based on pedestrian movement's modal identification |
| CN107748619A (en) * | 2017-10-30 | 2018-03-02 | 南京布塔信息科技有限公司 | A kind of motion analysis system and method based on motion capture technology |
| US10223845B1 (en) * | 2014-05-15 | 2019-03-05 | State Farm Mutual Automobile Insurance Company | System and method for separating ambient gravitational acceleration from a moving three-axis accelerometer data |
Family Cites Families (2)
| Publication number | Priority date | Publication date | Assignee | Title |
|---|---|---|---|---|
| US20160096073A1 (en) * | 2014-10-07 | 2016-04-07 | Umm Al-Qura University | Game-based method and system for physical rehabilitation |
| CN105956558B (en) * | 2016-04-26 | 2019-07-23 | 深圳市联合视觉创新科技有限公司 | A method for human action recognition based on three-axis acceleration sensor |
-
2019
- 2019-07-18 CN CN201910652069.5A patent/CN110361000B/en active Active
Patent Citations (5)
| Publication number | Priority date | Publication date | Assignee | Title |
|---|---|---|---|---|
| CN103345627A (en) * | 2013-07-23 | 2013-10-09 | 清华大学 | Action recognition method and device |
| CN103983273A (en) * | 2014-04-29 | 2014-08-13 | 华南理工大学 | Real-time step length estimation method based on acceleration sensor |
| US10223845B1 (en) * | 2014-05-15 | 2019-03-05 | State Farm Mutual Automobile Insurance Company | System and method for separating ambient gravitational acceleration from a moving three-axis accelerometer data |
| CN106767794A (en) * | 2017-01-19 | 2017-05-31 | 南京航空航天大学 | A kind of elastic zero-speed method of discrimination based on pedestrian movement's modal identification |
| CN107748619A (en) * | 2017-10-30 | 2018-03-02 | 南京布塔信息科技有限公司 | A kind of motion analysis system and method based on motion capture technology |
Non-Patent Citations (5)
| Title |
|---|
| A new generalization of the discrete Teager-Kaiser energy operator - application to biomedical signals;Meryem Jabloun;《 2017 IEEE International Conference on Acoustics, Speech and Signal Processing (ICASSP)》;20170619;第1153-1157页 * |
| Motion artifact detection in respiratory signals based on Teager energy operator and accelerometer signals;Marcel Młyńczak等;《Part of the IFMBE Proceedings book series》;20170713;第45-48页 * |
| 基于可穿戴设备的人体手部细微动作识别研究;钱立权;《中国优秀硕士学位论文全文数据库信息科技辑》;20181015(第10期);第I140-142页 * |
| 基于智能移动终端的人体运动识别技术研究与应用;杨博;《中国优秀硕士学位论文全文数据库信息科技辑》;20180315(第03期);第I140-424页 * |
| 实时手势加速度动作分割与识别研究;刘蓉 等;《小型微型计算机系统》;20120731;第33卷(第07期);第1620-1624页 * |
Also Published As
| Publication number | Publication date |
|---|---|
| CN110361000A (en) | 2019-10-22 |
Similar Documents
| Publication | Publication Date | Title |
|---|---|---|
| US8619063B2 (en) | Method for determining a touch event and touch sensitive device | |
| CN105096268B (en) | One kind point cloud denoising smooth method | |
| CN107219941B (en) | Soft pen real-time track generation method, storage medium and processing equipment | |
| CN110555870B (en) | A Neural Network-based DCF Tracking Confidence Evaluation and Classifier Update Method | |
| CN110361000B (en) | An action event window interception method suitable for motion analysis | |
| CN111161325B (en) | Three-dimensional multi-target tracking method based on Kalman filter and LSTM | |
| CN103487788A (en) | Method for rapidly and automatically extracting train pulse signals | |
| CN114896568B (en) | Swimming data statistical method, device, equipment and medium | |
| WO2017036175A1 (en) | Voice processing method and terminal | |
| CN104915009B (en) | The method and system of gesture anticipation | |
| CN108010002B (en) | A Structured Point Cloud Denoising Method Based on Adaptive Implicit Moving Least Squares | |
| CN108898062B (en) | Hand motion recognition method based on improved signal segment extraction algorithm | |
| CN110751017B (en) | An online unsupervised group segmentation method and terminal based on reinforcement learning | |
| CN111860663A (en) | A Pattern Recognition-Based Neutron Gamma Pulse Discrimination Method | |
| CN109816596A (en) | An image denoising method and device | |
| CN111899318B (en) | Data processing method and device and computer readable storage medium | |
| CN114757855A (en) | Method, device, equipment and storage medium for correcting action data | |
| CN114997233A (en) | Signal processing method and device and electronic equipment | |
| CN116954395B (en) | Mouse displacement regulation and control system based on multisensor fusion | |
| CN106662967A (en) | Noise reduction through democratic alpha smoothing | |
| CN113959536B (en) | Denoising method, equipment, medium and product of jet water meter | |
| CN112129989A (en) | A Segmental Characterization Method for Voltage Sags Based on Adaptive Clustering | |
| CN118915908A (en) | Gesture data processing method in motion, electronic equipment and storage medium | |
| CN113534997B (en) | Parameter adjustment method, system and equipment of Kalman filtering model based on residual error | |
| CN106503722B (en) | Operator's skeleton growth rings method based on touch trajectory image procossing |
Legal Events
| Date | Code | Title | Description |
|---|---|---|---|
| PB01 | Publication | ||
| PB01 | Publication | ||
| SE01 | Entry into force of request for substantive examination | ||
| SE01 | Entry into force of request for substantive examination | ||
| GR01 | Patent grant | ||
| GR01 | Patent grant |
























