CN110277723B - Method for optimizing heat-related transient response of high-power fiber laser - Google Patents
Method for optimizing heat-related transient response of high-power fiber laser Download PDFInfo
- Publication number
- CN110277723B CN110277723B CN201910529635.3A CN201910529635A CN110277723B CN 110277723 B CN110277723 B CN 110277723B CN 201910529635 A CN201910529635 A CN 201910529635A CN 110277723 B CN110277723 B CN 110277723B
- Authority
- CN
- China
- Prior art keywords
- power
- fiber laser
- transient response
- output
- time
- Prior art date
- Legal status (The legal status is an assumption and is not a legal conclusion. Google has not performed a legal analysis and makes no representation as to the accuracy of the status listed.)
- Active
Links
- 239000000835 fiber Substances 0.000 title claims abstract description 94
- 230000001052 transient effect Effects 0.000 title claims abstract description 46
- 230000004044 response Effects 0.000 title claims abstract description 41
- 238000000034 method Methods 0.000 title claims abstract description 19
- 239000004065 semiconductor Substances 0.000 claims abstract description 37
- 238000001816 cooling Methods 0.000 claims description 12
- 238000010521 absorption reaction Methods 0.000 claims description 8
- 230000003287 optical effect Effects 0.000 claims description 4
- 238000004904 shortening Methods 0.000 claims description 4
- 230000005540 biological transmission Effects 0.000 claims description 2
- 238000005253 cladding Methods 0.000 claims description 2
- 239000002245 particle Substances 0.000 claims description 2
- 238000010586 diagram Methods 0.000 description 4
- 238000005457 optimization Methods 0.000 description 4
- 230000008859 change Effects 0.000 description 3
- 230000008569 process Effects 0.000 description 2
- 238000003466 welding Methods 0.000 description 2
- 229910052769 Ytterbium Inorganic materials 0.000 description 1
- 238000006243 chemical reaction Methods 0.000 description 1
- 230000007123 defense Effects 0.000 description 1
- 230000002950 deficient Effects 0.000 description 1
- 230000000694 effects Effects 0.000 description 1
- 238000012994 industrial processing Methods 0.000 description 1
- 239000000463 material Substances 0.000 description 1
- 230000035515 penetration Effects 0.000 description 1
- -1 ytterbium ions Chemical class 0.000 description 1
Images
Classifications
-
- H—ELECTRICITY
- H01—ELECTRIC ELEMENTS
- H01S—DEVICES USING THE PROCESS OF LIGHT AMPLIFICATION BY STIMULATED EMISSION OF RADIATION [LASER] TO AMPLIFY OR GENERATE LIGHT; DEVICES USING STIMULATED EMISSION OF ELECTROMAGNETIC RADIATION IN WAVE RANGES OTHER THAN OPTICAL
- H01S3/00—Lasers, i.e. devices using stimulated emission of electromagnetic radiation in the infrared, visible or ultraviolet wave range
- H01S3/05—Construction or shape of optical resonators; Accommodation of active medium therein; Shape of active medium
- H01S3/06—Construction or shape of active medium
- H01S3/063—Waveguide lasers, i.e. whereby the dimensions of the waveguide are of the order of the light wavelength
- H01S3/067—Fibre lasers
- H01S3/06708—Constructional details of the fibre, e.g. compositions, cross-section, shape or tapering
- H01S3/06716—Fibre compositions or doping with active elements
Landscapes
- Physics & Mathematics (AREA)
- Electromagnetism (AREA)
- Engineering & Computer Science (AREA)
- Plasma & Fusion (AREA)
- Optics & Photonics (AREA)
- Lasers (AREA)
Abstract
本发明公开了优化高功率光纤激光器热相关瞬态响应的方法,利用瞬态热传导方程仿真计算一定输出功率下半导体激光器温度的时间曲线;考虑半导体激光器输出中心波长的温度漂移,计算得到半导体激光器输出中心波长对时间的函数;然后根据计算得到的半导体激光器输出波长对时间的函数,对经典的光纤激光器速率方程组进行修正,并计算给定相关参数的高功率光纤激光器输出功率的时间曲线,得到瞬态响应时间;优化修改相关参数并计算,从而缩短高功率光纤激光器输出功率的瞬态响应时间。
The invention discloses a method for optimizing the thermal-related transient response of a high-power fiber laser. The transient heat conduction equation is used to simulate and calculate the time curve of the temperature of a semiconductor laser under a certain output power; considering the temperature drift of the output center wavelength of the semiconductor laser, the output of the semiconductor laser is calculated to obtain the output of the semiconductor laser. The function of the center wavelength versus time; then, according to the calculated function of the output wavelength of the semiconductor laser versus time, the classical fiber laser rate equations are modified, and the time curve of the output power of the high-power fiber laser given the relevant parameters is calculated to obtain Transient response time; optimize and modify relevant parameters and calculate to shorten the transient response time of high-power fiber laser output power.
Description
技术领域technical field
本发明属于高功率光纤激光器领域,具体涉及一种优化高功率光纤激光器热相关瞬态响应的方法。The invention belongs to the field of high-power fiber lasers, and in particular relates to a method for optimizing the thermal-related transient response of high-power fiber lasers.
背景技术Background technique
高功率光纤激光器由于其结构紧凑、转化效率高及光束质量好等优点被广泛应用于医疗、工业加工和军事国防等领域。在实际应用中,高功率光纤激光器瞬态响应往往会影响光纤激光器的使用性能。例如在激光焊接过程中,由于初始时段激光功率不足,从而导致被焊接材料熔深不足,使得焊接的次品率升高。High-power fiber lasers are widely used in medical, industrial processing, and military and defense fields due to their compact structure, high conversion efficiency, and good beam quality. In practical applications, the transient response of high-power fiber lasers often affects the performance of fiber lasers. For example, in the laser welding process, due to insufficient laser power in the initial period, the penetration of the welded material is insufficient, which increases the defective rate of welding.
Wei T,Li J,Zhu J在《Theoretical and experimental study of transientresponse of the Yb-doped fiber amplifier[J]》(Chinese Optics Letters,2012,10(4):040605.)一文中研究了关于掺镱光纤放大器输出激光脉冲的瞬态响应问题。J.Zhu,T.Yang等人在《Reliability study of high brightness multiple single emitterdiode lasers[C]》(Diode Laser Technology&Applications XIII,2015.)一文中研究了半导体激光器的热效应及其输出中心波长漂移的问题。关于由泵浦波长温漂移引起的连续光纤激光器的瞬态响应优化问题,还未见到相关研究。Wei T, Li J, Zhu J in "Theoretical and experimental study of transientresponse of the Yb-doped fiber amplifier[J]" (Chinese Optics Letters, 2012, 10(4):040605.) researched about Yb-doped fiber Transient response problem of amplifier output laser pulse. J.Zhu, T.Yang et al. studied the thermal effect of semiconductor lasers and their output center wavelength shift in the article "Reliability study of high brightness multiple single emitterdiode lasers[C]" (Diode Laser Technology&Applications XIII, 2015.). Regarding the optimization of the transient response of the continuous fiber laser caused by the temperature drift of the pump wavelength, no relevant research has been seen yet.
发明内容SUMMARY OF THE INVENTION
本发明的目的在于提供一种优化高功率光纤激光器热相关瞬态响应的方法,解决了由泵浦波长温漂移引起的连续光纤激光器的瞬态响应优化问题。The purpose of the present invention is to provide a method for optimizing the thermal-related transient response of a high-power fiber laser, which solves the problem of optimizing the transient response of the continuous fiber laser caused by the temperature drift of the pump wavelength.
实现本发明目的的技术解决方案为:优化高功率光纤激光器热相关瞬态响应的方法,步骤如下:The technical solution for realizing the purpose of the present invention is: a method for optimizing the thermally related transient response of a high-power fiber laser, the steps are as follows:
步骤1、利用瞬态热传导方程仿真计算给定输出功率下半导体激光器温度的时间曲线;
步骤2、考虑半导体激光器输出中心波长的温度漂移,获得半导体激光器输出中心波长对时间的函数;
步骤3、根据半导体激光器输出中心波长对时间的函数,对经典的光纤激光器速率方程组进行修正,并计算给定相关参数的高功率光纤激光器输出功率的时间曲线,得到瞬态响应时间;Step 3. According to the function of the output center wavelength of the semiconductor laser versus time, correct the classical fiber laser rate equations, and calculate the time curve of the output power of the high-power fiber laser given the relevant parameters to obtain the transient response time;
步骤4、优化修改相关参数并计算,从而缩短高功率光纤激光器输出功率的瞬态响应时间。Step 4: Optimize and modify relevant parameters and calculate, thereby shortening the transient response time of the output power of the high-power fiber laser.
本发明与现有技术相比,其显著优点在于:Compared with the prior art, the present invention has the following significant advantages:
(1)首次提出由泵浦波长温漂移引起的连续光纤激光器的瞬态响应优化问题。(1) For the first time, the optimization problem of transient response of CW fiber lasers caused by the temperature drift of pump wavelength is proposed.
(2)首次提出优化相关参数的方法,并有效缩短了由泵浦波长温漂移引起的连续光纤激光器的瞬态响应时间。(2) For the first time, a method to optimize the relevant parameters is proposed, and the transient response time of the continuous fiber laser caused by the temperature drift of the pump wavelength is effectively shortened.
附图说明Description of drawings
图1为本发明的优化高功率光纤激光器热相关瞬态响应的方法流程图。FIG. 1 is a flow chart of the method for optimizing the thermally related transient response of a high-power fiber laser according to the present invention.
图2为本发明实施1中参数优化前高功率光纤激光器输出功率的时间曲线图。FIG. 2 is a time curve diagram of the output power of the high-power fiber laser before parameter optimization in
图3为本发明实施1中单独优化冷却温度后高功率光纤激光器输出功率的时间曲线图。FIG. 3 is a time curve diagram of the output power of the high-power fiber laser after the cooling temperature is individually optimized in
图4为本发明实施1中单独优化增益光纤纤芯掺杂浓度后高功率光纤激光器输出功率的时间曲线图。4 is a time curve diagram of the output power of the high-power fiber laser after individually optimizing the doping concentration of the gain fiber core in
图5为本发明实施1中单独优化增益光纤长度后高功率光纤激光器输出功率的时间曲线图。FIG. 5 is a time curve diagram of the output power of the high-power fiber laser after the length of the gain fiber is individually optimized in
具体实施方式Detailed ways
下面结合附图对本发明作进一步详细描述。The present invention will be described in further detail below in conjunction with the accompanying drawings.
对于976nm波长半导体泵浦的掺镱光纤激光器而言,由于半导体泵浦源的输出波长会随其温度发生飘移,从而影响掺镱光纤(YDF)对泵浦光的吸收。由于镱离子在976nm处存在吸收峰,在室温(20℃)下,半导体激光器输出中心波长一般小于976nm,随着工作过程中半导体激光器内部温度的逐渐升高,其输出中心波长逐渐飘移至吸收峰976nm附近。这一过程中,YDF对泵浦光的吸收率逐渐增加,导致光纤激光器输出功率表现出逐渐上升的趋势,即光纤激光器瞬态响应缓慢。For the 976nm wavelength semiconductor-pumped ytterbium-doped fiber laser, the output wavelength of the semiconductor pump source will drift with its temperature, which affects the absorption of the pump light by the ytterbium-doped fiber (YDF). Since ytterbium ions have an absorption peak at 976 nm, at room temperature (20°C), the output center wavelength of the semiconductor laser is generally less than 976 nm. With the gradual increase of the internal temperature of the semiconductor laser during operation, the output center wavelength of the semiconductor laser gradually drifts to the absorption peak. around 976nm. During this process, the absorption rate of YDF to the pump light gradually increased, resulting in a gradual increase in the output power of the fiber laser, that is, a slow transient response of the fiber laser.
结合图1,本发明所述的优化高功率光纤激光器热相关瞬态响应的方法,解决了由泵浦波长温漂移引起的连续光纤激光器的瞬态响应优化问题,具体步骤如下:1, the method for optimizing the thermally related transient response of a high-power fiber laser according to the present invention solves the problem of optimizing the transient response of the continuous fiber laser caused by the temperature drift of the pump wavelength. The specific steps are as follows:
步骤1、利用瞬态热传导方程仿真计算给定输出功率下半导体激光器温度的时间曲线;
步骤2、考虑半导体激光器输出中心波长的温度漂移,获得半导体激光器输出中心波长对时间的函数λP(t):
λP(t)=λ0+(T(t)-T0)β.λ P (t)=λ 0 +(T(t)-T 0 )β.
其中,T0为冷却温度,λ0为半导体激光器在冷却温度T0时的输出波长,β为半导体激光器输出中心波长的温度漂移系数,T(t)为半导体激光器的温度。Among them, T 0 is the cooling temperature, λ 0 is the output wavelength of the semiconductor laser at the cooling temperature T 0 , β is the temperature drift coefficient of the output center wavelength of the semiconductor laser, and T(t) is the temperature of the semiconductor laser.
步骤3、根据半导体激光器输出中心波长对时间的函数,对经典的光纤激光器速率方程组进行修正,并计算给定相关参数的高功率光纤激光器输出功率的时间曲线,得到瞬态响应时间。Step 3. According to the function of the output center wavelength of the semiconductor laser versus time, correct the classic fiber laser rate equations, and calculate the time curve of the output power of the high-power fiber laser given the relevant parameters to obtain the transient response time.
其中,对经典的光纤激光器速率方程组进行修正,修正后的光纤激光器速率方程组如下:Among them, the classic fiber laser rate equations are modified, and the modified fiber laser rate equations are as follows:
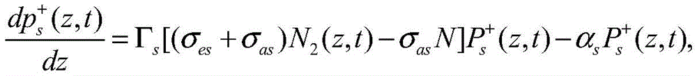
式中,和分别为正向和反向传输的包层光功率,和分别为正向和反向传输的信号光功率;N2(z,t)为上能级粒子数数密度,N是增益光纤纤芯中Yb3+的掺杂浓度;Γp和Γs分别是泵浦光和信号光的填充因子;σap(t)和σep(t)分别是泵浦光的吸收和发射截面面积;σas和σes分别是信号光的吸收和发射截面面积;αP和αP分别是泵浦光和信号光的损耗系数;τ是上能级粒子寿命;λs为信号光波长;λp(t)是半导体激光器输出中心波长对时间的函数;h是普朗克常量;c是真空中光速,Ac是纤芯截面积;In the formula, and are the cladding optical power of forward and reverse transmission, respectively, and are the signal optical powers transmitted in the forward and reverse directions, respectively; N 2 (z, t) is the number density of the upper energy level, N is the doping concentration of Yb 3+ in the core of the gain fiber; Γ p and Γ s , respectively is the filling factor of pump light and signal light; σ ap (t) and σ ep (t) are the absorption and emission cross-sectional areas of pump light, respectively; σ as and σ es are the absorption and emission cross-sectional areas of signal light, respectively; α P and α P are the loss coefficients of pump light and signal light, respectively; τ is the lifetime of the upper-level particle; λ s is the wavelength of the signal light; λ p (t) is the function of the output center wavelength of the semiconductor laser against time; h is Planck's constant; c is the speed of light in vacuum, A c is the core cross-sectional area;
对于增益光纤长度为L的光纤激光振荡器,其边界条件表示为For a fiber laser oscillator with a gain fiber length L, the boundary conditions are expressed as
Ps +(0)=R1·Ps -(0),P s + (0)=R 1 ·P s − (0),
Ps -(L)=R2·Ps +(L).P s − (L)=R 2 ·P s + (L).
其中,为总泵浦功率;R1和R2分别是高反光栅和低反光栅的反射率。in, is the total pump power; R 1 and R 2 are the reflectances of the high-inversion and low-inversion gratings, respectively.
所述步骤3中的瞬态响应是由半导体激光器输出中心波长温度漂移导致的。The transient response in the step 3 is caused by the temperature drift of the output center wavelength of the semiconductor laser.
步骤4、优化修改相关参数并计算,从而缩短高功率光纤激光器输出功率的瞬态响应时间。相关参数包括冷却温度T0、增益光纤长度L和增益光纤纤芯中Yb3+的掺杂浓度。Step 4: Optimize and modify relevant parameters and calculate, thereby shortening the transient response time of the output power of the high-power fiber laser. The relevant parameters include the cooling temperature T 0 , the gain fiber length L and the doping concentration of Yb 3+ in the gain fiber core.
提高冷却温度T0,观察光纤激光器输出功率曲线,当光纤激光器输出功率增长至稳定功率的95以上时,记录此时高功率光纤激光器输出功率的瞬态响应时间。Increase the cooling temperature T 0 and observe the output power curve of the fiber laser. When the output power of the fiber laser increases to more than 95% of the stable power, record the transient response time of the output power of the high-power fiber laser at this time.
增加增益光纤长度L,观察光纤激光器输出功率曲线,当光纤激光器输出功率增长至稳定功率的95%以上时,记录此时高功率光纤激光器输出功率的瞬态响应时间。Increase the gain fiber length L and observe the output power curve of the fiber laser. When the output power of the fiber laser increases to more than 95% of the stable power, record the transient response time of the output power of the high-power fiber laser at this time.
提升增益光纤纤芯中Yb3+的掺杂浓度N,观察光纤激光器输出功率曲线,当光纤激光器输出功率增长至稳定功率的95%以上时,记录此时高功率光纤激光器输出功率的瞬态响应时间。Increase the doping concentration N of Yb 3+ in the core of the gain fiber, and observe the output power curve of the fiber laser. When the output power of the fiber laser increases to more than 95% of the stable power, record the transient response of the output power of the high-power fiber laser at this time. time.
实施例1Example 1
本发明所述的优化高功率光纤激光器热相关瞬态响应的方法,步骤如下:The method for optimizing the thermally related transient response of a high-power fiber laser according to the present invention, the steps are as follows:
步骤1、利用瞬态热传导方程仿真计算100W输出功率下半导体激光器温度的时间曲线;
步骤2、考虑半导体激光器输出中心波长的温度漂移,获得半导体激光器输出中心波长对时间的函数;
步骤3、根据半导体激光器输出中心波长对时间的函数,对经典的光纤激光器速率方程组进行修正,并计算给定相关参数的高功率光纤激光器输出功率的时间曲线,得到瞬态响应时间;Step 3. According to the function of the output center wavelength of the semiconductor laser versus time, correct the classical fiber laser rate equations, and calculate the time curve of the output power of the high-power fiber laser given the relevant parameters to obtain the transient response time;
步骤4、优化修改相关参数并计算,从而缩短高功率光纤激光器输出功率的瞬态响应时间。Step 4: Optimize and modify relevant parameters and calculate, thereby shortening the transient response time of the output power of the high-power fiber laser.
参数优化前:冷却温度T0=20℃;增益光纤纤芯掺杂浓度N=4.5×1025m-3;增益光纤长度L=20m。高功率光纤激光器输出光强时间曲线如图2所示,功率增长至稳定功率的95%和97%所需时间分别为4.6s和8.5s。Before parameter optimization: cooling temperature T 0 =20°C; gain fiber core doping concentration N=4.5×10 25 m -3 ; gain fiber length L=20m. The time curve of the output light intensity of the high-power fiber laser is shown in Figure 2. The time required for the power to increase to 95% and 97% of the stable power is 4.6s and 8.5s, respectively.
单独优化冷却温度:将冷却温度改为T0=25℃,其他参数保持不变,高功率光纤激光器输出光强时间曲线如图3所示,功率增长至稳定功率的95%和97%所需时间分别为0.22s和1.1s。Optimize the cooling temperature individually: change the cooling temperature to T 0 =25°C, other parameters remain unchanged, the output light intensity time curve of the high-power fiber laser is shown in Figure 3, and the power is required to increase to 95% and 97% of the stable power The times are 0.22s and 1.1s, respectively.
单独增益光纤纤芯掺杂浓度:将增益光纤纤芯掺杂浓度改为,其他参数保持不变,高功率光纤激光器输出光强时间曲线如图4所示,增长至稳定功率的95%所需时间小于0.1s,至稳定功率的97%所需时间分别为0.22s。Doping concentration of individual gain fiber core: Change the doping concentration of gain fiber core to other parameters unchanged. The output light intensity time curve of high-power fiber laser is shown in Figure 4. It is required to increase to 95% of the stable power. The time is less than 0.1s, and the time required to reach 97% of the stable power is 0.22s, respectively.
单独优化增益光纤长度:将增益光纤长度改为L=30m,其他参数保持不变,光纤激光器输出光强时间曲线如图5所示,功率增长至稳定功率的95%和97%所需时间均小于0.1s。Optimize the length of the gain fiber separately: change the length of the gain fiber to L=30m, and keep other parameters unchanged. The time curve of the output light intensity of the fiber laser is shown in Figure 5. The time required for the power to increase to 95% and 97% of the stable power is both. less than 0.1s.
综上所述,本发明能够有效缩短了由泵浦波长温漂移引起的高功率连续光纤激光器的瞬态响应时间。To sum up, the present invention can effectively shorten the transient response time of the high-power continuous fiber laser caused by the temperature drift of the pump wavelength.
Claims (6)
Priority Applications (1)
| Application Number | Priority Date | Filing Date | Title |
|---|---|---|---|
| CN201910529635.3A CN110277723B (en) | 2019-06-19 | 2019-06-19 | Method for optimizing heat-related transient response of high-power fiber laser |
Applications Claiming Priority (1)
| Application Number | Priority Date | Filing Date | Title |
|---|---|---|---|
| CN201910529635.3A CN110277723B (en) | 2019-06-19 | 2019-06-19 | Method for optimizing heat-related transient response of high-power fiber laser |
Publications (2)
| Publication Number | Publication Date |
|---|---|
| CN110277723A CN110277723A (en) | 2019-09-24 |
| CN110277723B true CN110277723B (en) | 2021-01-15 |
Family
ID=67961291
Family Applications (1)
| Application Number | Title | Priority Date | Filing Date |
|---|---|---|---|
| CN201910529635.3A Active CN110277723B (en) | 2019-06-19 | 2019-06-19 | Method for optimizing heat-related transient response of high-power fiber laser |
Country Status (1)
| Country | Link |
|---|---|
| CN (1) | CN110277723B (en) |
Families Citing this family (3)
| Publication number | Priority date | Publication date | Assignee | Title |
|---|---|---|---|---|
| CN110794512B (en) * | 2019-12-04 | 2021-02-05 | 中国工程物理研究院激光聚变研究中心 | Grating writing method, grating writing device, optical fiber and optical fiber laser |
| CN118099920B (en) * | 2024-02-27 | 2024-08-02 | 安徽华创鸿度光电科技有限公司 | Solid laser beam quality control method and system based on thermal effect |
| CN119962159B (en) * | 2024-12-09 | 2025-12-26 | 西南技术物理研究所 | Test method for service life evaluation of pump laser for hundred milliwatt-level submarine optical communication |
Family Cites Families (5)
| Publication number | Priority date | Publication date | Assignee | Title |
|---|---|---|---|---|
| US6370180B2 (en) * | 1999-01-08 | 2002-04-09 | Corning Incorporated | Semiconductor-solid state laser optical waveguide pump |
| CN102185240A (en) * | 2011-04-07 | 2011-09-14 | 中国科学院半导体研究所 | High-power low-noise single-frequency optical fiber laser |
| CN202433656U (en) * | 2012-01-11 | 2012-09-12 | 昂纳信息技术(深圳)有限公司 | Erbium-doped fiber amplifier with transient response control function |
| WO2015006867A1 (en) * | 2013-07-16 | 2015-01-22 | Attodyne, Inc. | Laser control system and method |
| EP3506438B1 (en) * | 2016-08-25 | 2021-01-13 | Sony Corporation | Semiconductor laser, electronic apparatus, and drive method for semiconductor laser |
-
2019
- 2019-06-19 CN CN201910529635.3A patent/CN110277723B/en active Active
Also Published As
| Publication number | Publication date |
|---|---|
| CN110277723A (en) | 2019-09-24 |
Similar Documents
| Publication | Publication Date | Title |
|---|---|---|
| US10608399B1 (en) | Manufacturing technique of ultra-wideband high gain optical fibers and devices | |
| CN110277723B (en) | Method for optimizing heat-related transient response of high-power fiber laser | |
| CN104682176B (en) | Cascaded pump ytterbium ion, Raman hybrid gain high power optical fibre laser amplifier | |
| CN102637995A (en) | Dual-wavelength or multi-wavelength laser with adjustable power proportion | |
| Mi et al. | 105 W continuous-wave diode-pumped Tm: YAP slab laser with high beam quality | |
| Jinge et al. | Study on LD end-pumped multi-segment bonded Tm: YAG solid-state laser | |
| Wang et al. | Continuous-wave laser operation of diode-pumped Tm-doped Gd3Ga5O12 crystal | |
| CN106711747B (en) | Composite cavity structure optical fiber oscillator based on same-band pumping technology | |
| CN114865437A (en) | A 2μm and 3μm dual-wavelength solid-state mid-infrared laser | |
| Ren et al. | Transient thermal effect analysis and laser characteristics of novel Tm: LuYAG crystal | |
| CN116706649A (en) | A Layered Heat Conduction Structure of Erbium-Ytterbium Co-doped Phosphate Glass Gain Medium Based on Thermal Bonding Technology | |
| CN102769243A (en) | Nd-doped fiber laser pumping method for high-power ytterbium-doped fiber laser | |
| CN103236628A (en) | Heat-inhibiting optical fiber laser and manufacturing method thereof | |
| CN204333584U (en) | Cascade-pumped Ytterbium Ion, Raman Mixed-Gain High Power Fiber Laser Amplifier | |
| Li et al. | A kilowatt level diode-side-pumped QCW Nd: YAG ceramic laser | |
| Zhao et al. | Effects of Ho3+-doping concentration on the performances of resonantly pumped Ho: YAG ceramic lasers | |
| Wang et al. | Investigation of LD end-pumped Nd: YVO4 crystals with various doping levels and lengths | |
| CN205122985U (en) | Slab guide laser amplifier of end face obliquely pumping | |
| CN115663569B (en) | Method of using laser irradiation to enhance random laser emission characteristics of perovskite microcrystals | |
| Zhao et al. | Temperature distribution simulation and laser performance of Nd: YAG composite laser crystals | |
| Dong et al. | Optimization of the laser performance in Nd3+: YAG ceramic microchip lasers | |
| Gong et al. | LD end-pumped single-ended bonding Tm: LuAG laser | |
| CN105762620A (en) | Optical fiber laser capable of achieving self cooling and making method thereof | |
| CN209150475U (en) | Solid laser amplifier with one micron wave band | |
| Schaffers | Yb: S-FAP lasers |
Legal Events
| Date | Code | Title | Description |
|---|---|---|---|
| PB01 | Publication | ||
| PB01 | Publication | ||
| SE01 | Entry into force of request for substantive examination | ||
| SE01 | Entry into force of request for substantive examination | ||
| GR01 | Patent grant | ||
| GR01 | Patent grant |


























