CN110123289B - Biological identification method based on pulse wave and related device - Google Patents
Biological identification method based on pulse wave and related device Download PDFInfo
- Publication number
- CN110123289B CN110123289B CN201910277062.XA CN201910277062A CN110123289B CN 110123289 B CN110123289 B CN 110123289B CN 201910277062 A CN201910277062 A CN 201910277062A CN 110123289 B CN110123289 B CN 110123289B
- Authority
- CN
- China
- Prior art keywords
- waveform
- pulse wave
- identified
- similarity
- preset
- Prior art date
- Legal status (The legal status is an assumption and is not a legal conclusion. Google has not performed a legal analysis and makes no representation as to the accuracy of the status listed.)
- Active
Links
- 238000000034 method Methods 0.000 title claims abstract description 53
- 239000011159 matrix material Substances 0.000 claims description 13
- 238000012935 Averaging Methods 0.000 claims description 3
- 238000012545 processing Methods 0.000 abstract description 9
- 238000010586 diagram Methods 0.000 description 7
- 238000005516 engineering process Methods 0.000 description 3
- 238000007781 pre-processing Methods 0.000 description 3
- 238000011161 development Methods 0.000 description 2
- 230000009286 beneficial effect Effects 0.000 description 1
- 230000005540 biological transmission Effects 0.000 description 1
- 238000004364 calculation method Methods 0.000 description 1
- 238000007405 data analysis Methods 0.000 description 1
- 238000013079 data visualisation Methods 0.000 description 1
- 238000011160 research Methods 0.000 description 1
Images
Classifications
-
- A—HUMAN NECESSITIES
- A61—MEDICAL OR VETERINARY SCIENCE; HYGIENE
- A61B—DIAGNOSIS; SURGERY; IDENTIFICATION
- A61B5/00—Measuring for diagnostic purposes; Identification of persons
- A61B5/02—Detecting, measuring or recording for evaluating the cardiovascular system, e.g. pulse, heart rate, blood pressure or blood flow
-
- A—HUMAN NECESSITIES
- A61—MEDICAL OR VETERINARY SCIENCE; HYGIENE
- A61B—DIAGNOSIS; SURGERY; IDENTIFICATION
- A61B5/00—Measuring for diagnostic purposes; Identification of persons
- A61B5/72—Signal processing specially adapted for physiological signals or for diagnostic purposes
- A61B5/7235—Details of waveform analysis
Landscapes
- Health & Medical Sciences (AREA)
- Life Sciences & Earth Sciences (AREA)
- Engineering & Computer Science (AREA)
- Medical Informatics (AREA)
- Surgery (AREA)
- Biophysics (AREA)
- Pathology (AREA)
- Physiology (AREA)
- Biomedical Technology (AREA)
- Heart & Thoracic Surgery (AREA)
- Veterinary Medicine (AREA)
- Molecular Biology (AREA)
- Physics & Mathematics (AREA)
- Animal Behavior & Ethology (AREA)
- General Health & Medical Sciences (AREA)
- Public Health (AREA)
- Cardiology (AREA)
- Artificial Intelligence (AREA)
- Computer Vision & Pattern Recognition (AREA)
- Psychiatry (AREA)
- Signal Processing (AREA)
- Measurement Of The Respiration, Hearing Ability, Form, And Blood Characteristics Of Living Organisms (AREA)
- Measuring Pulse, Heart Rate, Blood Pressure Or Blood Flow (AREA)
Abstract
The invention discloses a biological recognition method and a related device based on pulse waves, the method calculates the waveform similarity according to a pulse wave signal to be recognized of an object to be recognized and a standard pulse wave library, the standard pulse wave library stores the identity information of a plurality of objects and corresponding pulse wave signals, and finally, the identity information of the object to be recognized is obtained according to the waveform similarity so as to realize biological recognition; the biological identification method based on the pulse wave solves the technical problem that the biological identification method based on the pulse wave in the prior art is complex in processing process and poor in practicability, and has higher safety compared with the traditional method because the pulse signal is a signal specific to each person and is difficult to copy and imitate.
Description
Technical Field
The invention relates to the field of biological identification, in particular to a biological identification method based on pulse waves and a related device.
Background
With the development of science and technology, people have higher and higher requirements on various information security, and the requirements stimulate the continuous development and progress of modern biometric identification.
At present, before the application and research of an identity recognition method based on a biological feature recognition technology, external features such as fingerprints and human faces are mainly used, but the information security of people is greatly influenced by the technology of counterfeit fingerprints and the like appearing in recent years. However, the existing biological identification method based on the pulse wave has a complex data processing process and consumes a long time, which results in poor practicability.
Disclosure of Invention
The present invention is directed to solving, at least to some extent, one of the technical problems in the related art. Therefore, an object of the present invention is to provide a biological identification method based on pulse waves and a related device, wherein the identification method is simple and has strong practicability.
The technical scheme adopted by the invention is as follows:
in a first aspect, the present invention provides a biological identification method based on pulse waves, including:
acquiring a pulse wave signal to be identified: acquiring a pulse wave signal of an object to be identified as a pulse wave signal to be identified;
an identification step: and calculating waveform similarity according to the pulse wave signals to be recognized and a standard pulse wave library, wherein the standard pulse wave library stores the identity information of a plurality of objects and corresponding pulse wave signals, and acquires the identity information of the objects to be recognized according to the waveform similarity so as to realize biological recognition.
Further, the biometric identification method further includes:
establishing a standard pulse waveform library: and acquiring pulse wave signals and identity information of a plurality of objects, and establishing a standard pulse waveform library according to the identity information of the objects and the corresponding pulse wave signals.
Further, the standard pulse waveform library establishing step includes:
and a waveform acquisition sub-step: acquiring pulse wave signals of the object in a first preset number of heartbeat periods;
pulse wave truncation substep: cutting the pulse wave signals into a first preset number of waveform segments according to the heartbeat period;
an averaging substep: obtaining an average waveform signal according to the first preset number of waveform segments;
and a correlation substep: establishing a corresponding relation between the average waveform signal and the identity information of the object;
establishing a substep: and establishing the standard pulse waveform library according to the identity information of a plurality of objects and the corresponding average waveform signals.
Further, the pulse wave signal to be identified acquiring step comprises:
and acquiring pulse wave signals of the object to be identified in a second preset number of heartbeat cycles as the pulse wave signals to be identified.
Further, the identifying step includes:
a to-be-identified pulse wave truncation substep: cutting off the pulse wave signals to be identified according to the heartbeat period to obtain a second preset number of waveform segments to be identified;
a similarity obtaining sub-step: acquiring a plurality of waveform similarity groups according to the waveform segment to be identified and a plurality of average waveform signals, wherein the waveform similarity groups are a set of waveform similarities of the same average waveform signal and a second preset number of the waveform segments to be identified;
identification number acquisition substep: acquiring the number of the waveform similarity groups with the waveform similarity higher than a preset similarity threshold value as an identification number according to the waveform similarity groups and the preset similarity threshold value;
an identity identification sub-step: and acquiring the waveform similarity group with the maximum identification number as an identification result, wherein the identity information of the average waveform signal corresponding to the waveform similarity group is the identity information of the object to be identified.
Further, the waveform similarity is a waveform distance between the waveform segment to be identified and the average waveform signal.
Further, the preset similarity threshold is a preset waveform distance threshold, and the identification number obtaining substep specifically includes:
establishing a 0-1 discrimination matrix, wherein in the waveform similarity group, an element of the waveform distance smaller than the preset waveform distance threshold is 1, and an element of the waveform distance greater than or equal to the preset waveform distance threshold is 0;
and calculating the numerical sum of the elements in the 0-1 discrimination matrix, and taking the numerical sum as the identification number.
In a second aspect, the present invention provides a pulse wave-based biometric identification system, including:
the pulse wave signal to be identified acquisition module is used for acquiring a pulse wave signal of an object to be identified as a pulse wave signal to be identified;
and the identification module is used for calculating waveform similarity according to the pulse wave signals to be identified and a standard pulse wave library, storing the identity information of a plurality of objects and the corresponding pulse wave signals in the standard pulse wave library, and acquiring the identity information of the objects to be identified according to the waveform similarity so as to realize biological identification.
In a third aspect, the present invention provides a pulse wave-based biometric apparatus, including:
at least one processor; and a memory communicatively coupled to the at least one processor; wherein,
the memory stores instructions executable by the at least one processor to enable the at least one processor to perform the pulse wave based biometric method.
In a fourth aspect, the present invention provides a computer-readable storage medium storing computer-executable instructions for causing a computer to execute the pulse wave-based biometric authentication method.
The invention has the beneficial effects that:
according to the method, the waveform similarity is calculated according to the pulse wave signals to be recognized of the objects to be recognized and a standard pulse wave library, the standard pulse wave library stores the identity information of a plurality of objects and the corresponding pulse wave signals, and finally the identity information of the objects to be recognized is obtained according to the waveform similarity so as to realize biological recognition; the biological identification method based on the pulse wave solves the technical problem that the biological identification method based on the pulse wave in the prior art is complex in processing process and poor in practicability, and has higher safety compared with the traditional method because the pulse signal is a signal specific to each person and is difficult to copy and imitate.
Drawings
FIG. 1 is a flow chart illustrating a biological identification method based on pulse waves according to an embodiment of the present invention;
FIG. 2 is a flowchart illustrating a standard pulse waveform library creating process of a biometric identification method based on pulse waves according to an embodiment of the present invention;
FIG. 3 is a flowchart illustrating a pulse wave signal acquiring step and a pulse wave signal recognizing step of a biometric identification method based on pulse waves according to an embodiment of the present invention;
FIGS. 4a and 4b are diagrams illustrating a waveform distance of a biometric identification method based on pulse waves according to an embodiment of the present invention;
FIGS. 5a, 5b, and 5c are schematic diagrams of an embodiment of a 0-1 decision matrix corresponding to different preset waveform distance thresholds in a biological identification method based on pulse waves according to the present invention;
fig. 6 is a schematic structural diagram of a biometric identification system based on pulse waves according to an embodiment of the present invention.
Detailed Description
It should be noted that the embodiments and features of the embodiments in the present application may be combined with each other without conflict.
Example 1
Referring to fig. 1, fig. 1 is a schematic flow chart of a biological identification method based on pulse waves according to an embodiment of the present invention; the method comprises the following steps:
s1, standard pulse waveform library establishment: respectively acquiring pulse wave signals of a plurality of objects by using a pulse wave sensor, and establishing a standard pulse wave library according to the identity information of the objects and the corresponding pulse wave signals;
s2, acquiring the pulse wave signal to be identified: acquiring a pulse wave signal of an object to be identified as a pulse wave signal to be identified;
s3, identification: and calculating the waveform similarity according to the pulse wave signal to be recognized and the standard pulse waveform library, and acquiring the identity information of the object to be recognized according to the waveform similarity so as to realize biological recognition.
The pulse signals are unique signals of each person and are difficult to copy and imitate, so the identification method has higher safety compared with the traditional method, in addition, the identification method has simple flow, short required processing time and strong practicability, and solves the technical problem of poor practicability caused by the complex processing process of the biological identification method based on the pulse waves in the prior art.
Specifically, referring to fig. 2, fig. 2 is a flowchart illustrating a standard pulse waveform library establishing step of a biological identification method based on pulse waves according to an embodiment of the present invention; the standard pulse waveform library establishing step S1 includes:
s11, waveform acquisition substep: firstly, setting the number m of elements of a standard pulse waveform library for subsequent identification and comparison, setting a first preset number N of samples of each object when the standard pulse waveform library is established, carrying out effective waveform acquisition by using a pulse sensor, and acquiring and storing pulse wave signals of N heartbeat cycles for an object i after the signals are stable;
s12, pulse wave truncation substep: cutting the pulse wave signal into N waveform segments according to the heartbeat period;
s13, averaging substep: obtaining an average waveform signal ri according to the N waveform segments;
s14, associated substeps: establishing a corresponding relation (i, ri) between the average waveform signal ri and identity information of the object i, wherein the identity information can be identity identification information such as the name or the identification card number of the object i;
s15, establishing the substep: repeating the steps, acquiring pulse wave data (1, r1), (2, r2), … and (m, rm) of m subjects, and establishing a standard pulse waveform library according to the identity information of the subjects and the corresponding average waveform signals.
The standard pulse waveform library established based on the average waveform signal reduces the pulse waveforms for biological identification comparison, and the biological identification processing speed can be further improved by only using the average waveform signal for comparison.
Referring to fig. 3, fig. 3 is a schematic flow chart of a pulse wave signal to be recognized acquiring step and a recognition step of a biological recognition method based on pulse waves according to an embodiment of the present invention; the pulse wave signal to be recognized acquisition step S2 includes:
and acquiring pulse wave signals of the object to be identified in a second preset number n of heartbeat cycles as the pulse wave signals to be identified.
The identifying step S3 includes:
s31, a pulse wave truncation sub-step to be identified: truncating the pulse wave signal to be identified according to the heartbeat cycle to obtain n waveform segments (y1, y2, y3 …, yn) to be identified, each segment corresponding to a heartbeat cycle;
s32, a similarity obtaining sub-step: acquiring a plurality of waveform similarity groups according to the waveform segment to be identified and the plurality of average waveform signals, wherein the waveform similarity groups are a set of waveform similarities of the same average waveform signal and n waveform segments to be identified, and then acquiring n × m waveform similarities;
s33, identification number obtaining substep: acquiring the number of the waveform similarity groups with the waveform similarity higher than a preset similarity threshold value as an identification number according to the waveform similarity groups and the preset similarity threshold value; in this embodiment, the waveform similarity is measured by using a waveform distance Dij ═ D (yi, rj) between a waveform segment to be identified and an average waveform signal, the waveform distance between the same waveforms is 0, the waveform distance corresponding to two waveforms with larger difference (i.e., the waveform similarity is lower) is also larger, and the waveform distance includes a dynamic time warping distance, an euclidean distance, a transverse distance, a longitudinal distance, or a minkowski distance; referring to fig. 4a and 4b, fig. 4a and 4b are schematic diagrams illustrating a waveform distance of a biometric identification method based on pulse waves according to an embodiment of the present invention; wherein, the waveform distance adopts dynamic time warping distance, fig. 4a shows the pulse waveform from the same subject with the waveform distance of 0.38798, and fig. 4b shows the pulse waveform from different subjects with the waveform distance of 2.1906. The preset similarity threshold is a preset waveform distance threshold T, and a smaller T corresponds to a stricter identification; the identification number acquisition sub-step specifically comprises:
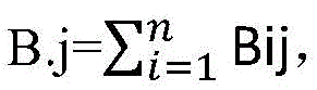
establishing a 0-1 discrimination matrix Bij for each waveform similarity group, wherein Bij is sign (Dij < T), an element of a waveform distance D (yi, rj) in the waveform similarity group, which is smaller than a preset waveform distance threshold value T, is 1, and an element of the waveform distance D (yi, rj), which is larger than or equal to the preset waveform distance threshold value T, is 0;
calculating the sum of the values of the elements in the 0-1 discrimination matrixAnd the numerical sum B.j is taken as the identification number.
S34, an identity identification sub-step: and acquiring a waveform similarity group with the largest value of B.j as an identification result, wherein the identity information of the average waveform signal corresponding to the waveform similarity group is the identity information of the object to be identified.
It should be noted that the influence of different preset waveform distance thresholds T on the biometric identification result, that is, the influence on the 0-1 decision matrix is shown in fig. 5a, 5b and 5c, where fig. 5a, 5b and 5c are schematic diagrams of a specific embodiment of the 0-1 decision matrix corresponding to different preset waveform distance thresholds in the pulse wave-based biometric identification method according to the present invention; the preset waveform distance threshold T in fig. 5a, 5b, and 5c is set to 1, 1.5, and 2, respectively, that is, the identification criteria is strict to loose. In the figure, black represents 1 and white represents 0, and in the three diagrams, 0-1 discrimination matrices of 5 objects are illustrated. The proportion of the black part representing 1 in the 0-1 discrimination matrix is gradually increased along with the increase of the preset waveform distance threshold value T. Under a loose application scene, the accuracy of self-identification can be improved by setting a larger preset waveform distance threshold T. Under a strict application scene, a smaller preset waveform distance threshold value T can be set so as to reduce the misjudgment rate among different individuals.
Example 2
A pulse wave based biometric identification system comprising:
the pulse wave signal to be identified acquisition module is used for acquiring a pulse wave signal of an object to be identified as a pulse wave signal to be identified; the pulse wave signal acquisition module to be identified is realized by adopting a pulse sensor, and the pulse sensor can be based on the piezoelectric or triboelectric principle and can also be a piezoresistive, capacitive, photoelectric sensor and the like;
and the identification module is used for calculating the waveform similarity according to the pulse wave signals to be identified and a standard pulse wave library, storing the identity information of a plurality of objects and the corresponding pulse wave signals in the standard pulse wave library, and acquiring the identity information of the objects to be identified according to the waveform similarity so as to realize biological identification.
For a specific working process of the biological recognition system based on pulse wave, please refer to the description of embodiment 1 regarding the biological recognition method based on pulse wave, which is not repeated.
In addition, referring to fig. 6, fig. 6 is a schematic structural diagram of a biological recognition system based on pulse waves according to an embodiment of the present invention, in fig. 6, a pulse sensor is used as a pulse wave signal acquisition module to be recognized, and an intelligent terminal is used as a recognition module, where the intelligent terminal includes a mobile phone, a PAD, or a computer; the biological recognition system further comprises a signal preprocessing circuit for preprocessing output signals of the pulse sensor, a wireless transmitting module and a wireless receiving module for data wireless transmission, specifically, the pulse sensor collects pulse wave signals of a plurality of objects for establishing a database and pulse wave signals of objects to be recognized, the pulse wave signals are filtered and amplified through the signal preprocessing circuit, then the signals are transmitted to the intelligent terminal through the wireless transmitting module for further data analysis and visualization processing, identity information of the objects is input into the intelligent terminal for processing, and database establishment and biological recognition judgment are achieved in the intelligent terminal. And for a database with larger data volume, the standard pulse waveform library is stored on the cloud server, when the intelligent terminal acquires the identity information, the pulse wave signals and the pulse wave signals of the object to be identified, the identity information, the pulse wave signals and the pulse wave signals of the object to be identified are uploaded to the cloud server for processing and judgment, the standard pulse waveform library is established on the cloud server, and during biological identification, the cloud server performs judgment and calculation according to the pulse wave signals to be identified to obtain the identity information, and then returns the identity information to the intelligent terminal.
Example 3
A pulse wave-based biometric device comprising:
at least one processor; and a memory communicatively coupled to the at least one processor; wherein,
the memory stores instructions executable by the at least one processor to enable the at least one processor to perform the pulse wave based biometric method of embodiment 1. Please refer to the description of embodiment 1 for a biological identification method based on pulse waves, which is not repeated.
Example 4
A computer-readable storage medium storing computer-executable instructions for causing a computer to execute the pulse wave-based biometric method according to embodiment 1. Please refer to the description of embodiment 1 for a biological identification method based on pulse waves, which is not repeated.
While the preferred embodiments of the present invention have been illustrated and described, it will be understood by those skilled in the art that various changes in form and details may be made therein without departing from the spirit and scope of the invention as defined by the appended claims.
Claims (8)
1. A biological recognition method based on pulse waves is characterized by comprising the following steps:
acquiring a pulse wave signal to be identified: acquiring a pulse wave signal of an object to be identified as a pulse wave signal to be identified;
an identification step: calculating waveform similarity according to the pulse wave signals to be recognized and a standard pulse wave library, wherein the standard pulse wave library stores identity information of a plurality of objects and corresponding pulse wave signals, and acquires the identity information of the objects to be recognized according to the waveform similarity so as to realize biological recognition;
the waveform similarity is the waveform distance between a waveform segment to be identified and an average waveform signal;
the identifying step further comprises:
identification number acquisition substep: acquiring the number of the waveform similarities in each waveform similarity set, which are higher than a preset similarity threshold, as an identification number according to the waveform similarity set and the preset similarity threshold;
the preset similarity threshold is a preset waveform distance threshold, and the identification number obtaining sub-step specifically includes:
establishing a 0-1 discrimination matrix, wherein in the set of waveform similarity, the element of the waveform distance smaller than the preset waveform distance threshold is 1, and the element of the waveform distance greater than or equal to the preset waveform distance threshold is 0;
and calculating the numerical sum of the elements in the 0-1 discrimination matrix, and taking the numerical sum as the identification number.
2. The pulse wave-based biometric method according to claim 1, further comprising:
establishing a standard pulse waveform library: and acquiring pulse wave signals and identity information of a plurality of objects, and establishing a standard pulse waveform library according to the identity information of the objects and the corresponding pulse wave signals.
3. The pulse wave-based biometric method according to claim 2, wherein the standard pulse waveform library creating step includes:
and a waveform acquisition sub-step: acquiring pulse wave signals of the object in a first preset number of heartbeat periods;
pulse wave truncation substep: cutting the pulse wave signals into a first preset number of waveform segments according to the heartbeat period;
an averaging substep: obtaining an average waveform signal according to the first preset number of waveform segments;
and a correlation substep: establishing a corresponding relation between the average waveform signal and the identity information of the object;
establishing a substep: and establishing the standard pulse waveform library according to the identity information of a plurality of objects and the corresponding average waveform signals.
4. The pulse wave-based biometric method according to claim 3, wherein the pulse wave signal to be recognized acquiring step includes:
and acquiring pulse wave signals of the object to be identified in a second preset number of heartbeat cycles as the pulse wave signals to be identified.
5. The pulse wave-based biometric method according to claim 4, wherein the identifying step includes:
a to-be-identified pulse wave truncation substep: cutting off the pulse wave signals to be identified according to the heartbeat period to obtain a second preset number of waveform segments to be identified;
a similarity obtaining sub-step: acquiring a plurality of waveform similarity groups according to the waveform segment to be identified and a plurality of average waveform signals, wherein the waveform similarity groups are a set of waveform similarities of the same average waveform signal and a second preset number of the waveform segments to be identified;
an identity identification sub-step: and acquiring the waveform similarity group with the maximum identification number as an identification result, wherein the identity information of the average waveform signal corresponding to the waveform similarity group is the identity information of the object to be identified.
6. A pulse wave-based biometric identification system, comprising:
the pulse wave signal to be identified acquisition module is used for acquiring a pulse wave signal of an object to be identified as a pulse wave signal to be identified;
the identification module is used for calculating waveform similarity according to the pulse wave signals to be identified and a standard pulse wave library, the standard pulse wave library stores identity information of a plurality of objects and corresponding pulse wave signals, and the identity information of the objects to be identified is obtained according to the waveform similarity so as to realize biological identification; the waveform similarity is the waveform distance between a waveform segment to be identified and an average waveform signal;
the identification number acquisition module is used for acquiring the number of the waveform similarity higher than a preset similarity threshold in each waveform similarity set as an identification number according to the waveform similarity set and the preset similarity threshold; wherein the preset similarity threshold is a preset waveform distance threshold;
the judgment matrix module is used for establishing a 0-1 judgment matrix, wherein in the set of waveform similarity, the element of the waveform distance smaller than the preset waveform distance threshold is 1, and the element of the waveform distance larger than or equal to the preset waveform distance threshold is 0; and calculating the numerical sum of the elements in the 0-1 discrimination matrix, and taking the numerical sum as the identification number.
7. A biological recognition apparatus based on a pulse wave, comprising:
at least one processor; and a memory communicatively coupled to the at least one processor; wherein,
the memory stores instructions executable by the at least one processor to enable the at least one processor to perform the pulse wave-based biometric method according to any one of claims 1 to 5.
8. A computer-readable storage medium storing computer-executable instructions for causing a computer to execute the pulse wave-based biometric authentication method according to any one of claims 1 to 5.
Priority Applications (1)
| Application Number | Priority Date | Filing Date | Title |
|---|---|---|---|
| CN201910277062.XA CN110123289B (en) | 2019-04-08 | 2019-04-08 | Biological identification method based on pulse wave and related device |
Applications Claiming Priority (1)
| Application Number | Priority Date | Filing Date | Title |
|---|---|---|---|
| CN201910277062.XA CN110123289B (en) | 2019-04-08 | 2019-04-08 | Biological identification method based on pulse wave and related device |
Publications (2)
| Publication Number | Publication Date |
|---|---|
| CN110123289A CN110123289A (en) | 2019-08-16 |
| CN110123289B true CN110123289B (en) | 2022-01-07 |
Family
ID=67569366
Family Applications (1)
| Application Number | Title | Priority Date | Filing Date |
|---|---|---|---|
| CN201910277062.XA Active CN110123289B (en) | 2019-04-08 | 2019-04-08 | Biological identification method based on pulse wave and related device |
Country Status (1)
| Country | Link |
|---|---|
| CN (1) | CN110123289B (en) |
Families Citing this family (5)
| Publication number | Priority date | Publication date | Assignee | Title |
|---|---|---|---|---|
| CN110599188A (en) * | 2019-09-10 | 2019-12-20 | 北京望问信息科技有限公司 | Payment means based on pulse wave |
| CN110598626A (en) * | 2019-09-10 | 2019-12-20 | 北京望问信息科技有限公司 | Unlocking method based on pulse wave |
| CN110731762B (en) * | 2019-09-18 | 2022-02-08 | 平安科技(深圳)有限公司 | Method, device, computer system and readable storage medium for preprocessing pulse wave based on similarity |
| CN114970617B (en) * | 2022-05-16 | 2025-06-27 | 上海掌门科技集团有限公司 | A method and device for obtaining stability of a pulse sensing device |
| CN115770028A (en) * | 2022-12-16 | 2023-03-10 | 深圳市爱都科技有限公司 | Blood pressure detection method, system, device and storage medium |
Family Cites Families (8)
| Publication number | Priority date | Publication date | Assignee | Title |
|---|---|---|---|---|
| CA2587214A1 (en) * | 2004-11-08 | 2006-05-11 | Idesia Ltd. | Method and apparatus for electro-biometric indentity recognition |
| KR20060053812A (en) * | 2004-11-17 | 2006-05-22 | 삼성전자주식회사 | Biometric Recognition Apparatus and Method |
| CN103345600B (en) * | 2013-06-24 | 2017-06-13 | 中国科学院深圳先进技术研究院 | A kind of ecg signal data processing method |
| CN103714281B (en) * | 2013-12-12 | 2017-03-29 | 深圳先进技术研究院 | A kind of personal identification method based on electrocardiosignal |
| JP6468823B2 (en) * | 2014-12-02 | 2019-02-13 | 三星電子株式会社Samsung Electronics Co.,Ltd. | Biological identification system and electronic device |
| JP6604870B2 (en) * | 2016-02-19 | 2019-11-13 | 株式会社豊田中央研究所 | Personal identification device, personal identification method, and personal identification program |
| CN107088069B (en) * | 2017-03-29 | 2019-10-11 | 西安电子科技大学 | Identity Recognition Method Based on Human PPG Signal Segmentation |
| CN107704748B (en) * | 2017-11-27 | 2021-02-19 | 广东乐心医疗电子股份有限公司 | User identification method and device and human body scale |
-
2019
- 2019-04-08 CN CN201910277062.XA patent/CN110123289B/en active Active
Also Published As
| Publication number | Publication date |
|---|---|
| CN110123289A (en) | 2019-08-16 |
Similar Documents
| Publication | Publication Date | Title |
|---|---|---|
| CN110123289B (en) | Biological identification method based on pulse wave and related device | |
| CN111626371B (en) | Image classification method, device, equipment and readable storage medium | |
| CN104573652B (en) | Determine the method, apparatus and terminal of the identity of face in facial image | |
| Anthony et al. | A review of face anti-spoofing methods for face recognition systems | |
| Bhavani et al. | A multi-dimensional review on handwritten signature verification: strengths and gaps | |
| CN107633207A (en) | AU characteristic recognition methods, device and storage medium | |
| CN103761465A (en) | Method and device for identity authentication | |
| CN105160318A (en) | Facial expression based lie detection method and system | |
| KR20130048076A (en) | Face recognition apparatus and control method for the same | |
| CN105590097A (en) | Security system and method for recognizing face in real time with cooperation of double cameras on dark condition | |
| CN110287918A (en) | living body identification method and related product | |
| CN107092874A (en) | Personal identification method, apparatus and system based on electrocardio and fingerprint fusion feature | |
| CN110705481A (en) | Optical fingerprint anti-counterfeiting method, device and computer-readable storage medium | |
| CN111860130A (en) | Audio-based gesture recognition method, device, terminal device and storage medium | |
| CN111222380B (en) | A living body detection method, device, and recognition model training method | |
| Sudana et al. | Handwriting identification using deep convolutional neural network method | |
| CN107077279A (en) | Method and device for pressure detection | |
| CN104679967B (en) | A kind of method for judging psychological test reliability | |
| CN116524612B (en) | A face liveness detection system and method based on rPPG | |
| CN104268587B (en) | False fingerprint detection method based on finger wave conversion and SVM | |
| CN110738129B (en) | End-to-end video time sequence behavior detection method based on R-C3D network | |
| Panetta et al. | LQM: Localized quality measure for fingerprint image enhancement | |
| CN113673465B (en) | Image detection method, device, equipment and readable storage medium | |
| CN116935457A (en) | Method and device for detecting human face living body and electronic equipment | |
| CN107315985A (en) | A kind of iris identification method and terminal |
Legal Events
| Date | Code | Title | Description |
|---|---|---|---|
| PB01 | Publication | ||
| PB01 | Publication | ||
| SE01 | Entry into force of request for substantive examination | ||
| SE01 | Entry into force of request for substantive examination | ||
| GR01 | Patent grant | ||
| GR01 | Patent grant |
