CN109938756B - 一种监测精神压力的方法、脖套及系统 - Google Patents
一种监测精神压力的方法、脖套及系统 Download PDFInfo
- Publication number
- CN109938756B CN109938756B CN201910116775.8A CN201910116775A CN109938756B CN 109938756 B CN109938756 B CN 109938756B CN 201910116775 A CN201910116775 A CN 201910116775A CN 109938756 B CN109938756 B CN 109938756B
- Authority
- CN
- China
- Prior art keywords
- mental stress
- stress index
- signal
- monitoring
- neck
- Prior art date
- Legal status (The legal status is an assumption and is not a legal conclusion. Google has not performed a legal analysis and makes no representation as to the accuracy of the status listed.)
- Active
Links
Images
Landscapes
- Measurement And Recording Of Electrical Phenomena And Electrical Characteristics Of The Living Body (AREA)
- Measurement Of The Respiration, Hearing Ability, Form, And Blood Characteristics Of Living Organisms (AREA)
Abstract
本发明涉及健康技术领域,尤其公开了一种监测精神压力的方法、脖套及系统,其中,方法包括:采集肌电信号;获取第一精神压力指数;计算所述肌电信号的无量纲特征;根据所述第一精神压力指数及所述无量纲特征计算第二精神压力指数。本发明方案可以实现精神压力的实时监测,且具有稳定可靠、无创、使用方便的特点,有助于用户了解跟踪自己的精神压力水平,从而保持良好的身心状态。
Description
技术领域
本发明涉及健康技术领域,具体涉及一种监测精神压力的方法、脖套及系统。
背景技术
精神压力(mental stress),也称心理压力(psychological stress),是指人主观感受到的压力和负担,表现为身心处于紧张状态。精神压力的来源多种多样,有生物性的,如疾病、缺乏睡眠,有精神性的,如错误的认知、不良的经历,有社会性的,如工作繁忙、经济危机,等等。总的来说,精神压力是人体对内、外环境的刺激所作出的全身非特异性反应。适度的精神压力有助于激发人的活力,提高人对环境的适应能力,而过大的压力则存在一系列负面影响。持续过大的精神压力易引发精神疾病,如抑郁症、焦虑症等。研究表明,长期慢性的精神压力与心血管疾病、肌肉骨骼疾病等存在相关性。随着社会节奏的加快,精神压力逐渐成为影响人们健康的重要因素。因此,对人们日常生活中的精神压力进行监测和评估正变得越来越有必要。
目前监测精神压力的主要手段有心理测量问卷和生物标志物检测。心理测量问卷,如状态-特质焦虑量表,主要反映了被测者的主观判断,但限于被测者的主观意识,这种方式存在一定的不可靠性和不稳定性。生物标志物检测,如检测血压、心率、心率变异性、儿茶酚胺和皮质醇的水平等。血压通过血压计进行测量,较为简便,但在不同体位或位置测量时可能存在较大差异,因此有一定不稳定性。心率及心率变异性通过心电图进行测量,为获得较优信号,设备需放置在标准的单导联位置即躯干部,对使用方法要求较高。儿茶酚胺和皮质醇水平通过血液、唾液或头发进行检测。儿茶酚胺水平主要通过血液进行检测,对被测者有创。皮质醇水平呈阶段性变化,难以判断精神压力的消退期。因此儿茶酚胺和皮质醇水平都难以实现实时监测。并且,心理测量问卷和生物标志物检测都依赖于专业人士或精密仪器,常用于医院、实验室的研究,并不适于日常生活中的精神压力监测。
发明内容
鉴于上述问题,提出了本发明以便提供一种克服上述问题或者至少部分地解决上述问题的一种监测精神压力的方法、脖套及系统。
根据本发明的一个方面,提供了一种监测精神压力的方法,包括:采集肌电信号;获取第一精神压力指数;计算所述肌电信号的无量纲特征;根据所述第一精神压力指数及所述无量纲特征计算第二精神压力指数。
可选的,所述采集肌电信号的步骤具体包括:通过织物电极组采集原始肌电信号;通过前置放大电路放大所述原始肌电信号,得到所述肌电信号;通过模数转换器对所述肌电信号进行模数转换,得到模数转换后的所述肌电信号。
可选的,所述肌电信号的无量纲特征包括以下至少一种:所述肌电信号的标准差的变化率;所述肌电信号的样本熵的变化率;所述肌电信号的功率谱中能量峰值的变化率;所述肌电信号的功率谱中能量峰值频率的变化率。
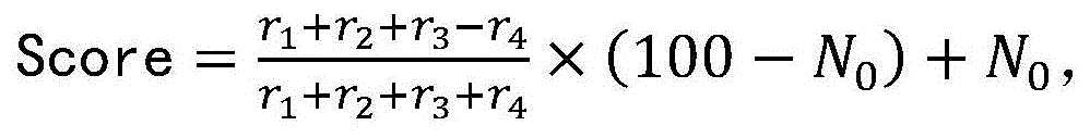
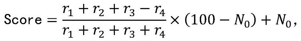
可选的,所述第一精神压力指数的取值范围为0至100,所述根据所述第一精神压力指数及所述无量纲特征计算第二精神压力指数的步骤具体包括:根据所述第一精神压力指数及所述无量纲特征,计算第二精神压力指数参考值,计算式为:若r1+r2+r3-r4≥0,若r1+r2+r3-r4<0,其中,N0为所述第一精神压力指数,r1为所述肌电信号的标准差的变化率,r2为所述肌电信号的样本熵的变化率,r3为所述肌电信号的功率谱中能量峰值的变化率,r4为所述肌电信号的功率谱中能量峰值频率的变化率,Score为所述第二精神压力指数参考值;基于所述第二精神压力指数参考值得到第二精神压力指数:若所述第二精神压力指数参考值小于或等于0,则所述第二精神压力指数为0;若所述第二精神压力指数参考值大于或等于100,则所述第二精神压力指数为100;若所述第二精神压力指数参考值大于0且小于100,则所述第二精神压力指数为所述第二精神压力指数参考值。
可选的,所述监测精神压力的方法还包括:在所述采集肌电信号的步骤之后对所述肌电信号进行滤波。
可选的,所述监测精神压力的方法还包括:当所述第二精神压力指数超过预设阈值时,发出报警提示。
可选的,所述监测精神压力的方法还包括:将所述肌电信号、所述第一精神压力指数和所述第二精神压力指数中的一种或多种数据发送给智能终端或云服务器。
根据本发明的另一方面,提供了一种监测精神压力的脖套,所述脖套包括脖套本体以及传感器,所述传感器设置于所述脖套本体,所述传感器用于采集颈部斜方肌肌电信号,所述脖套还包括处理器和存储器,所述处理器和所述传感器、所述存储器通过线路互联;其中,所述存储器存储有程序指令,所述程序指令被所述处理器执行时,使所述处理器执行所述一种监测精神压力的方法中除所述采集肌电信号以外的步骤。
根据本发明的再一方面,提供了一种监测精神压力的系统,包括:所述一种监测精神压力的脖套、智能终端和云服务器,所述脖套、智能终端和云服务器之间通信连接;所述智能终端用于展示所述脖套发送的所述第二精神压力指数信息,将所述脖套发送的所述肌电信号、所述第一精神压力指数和所述第二精神压力指数中的一种或多种数据发送给所述云服务器,并展示所述云服务器反馈的信息;所述云服务器用于保存所述脖套发送的所述肌电信号、所述第一精神压力指数和所述第二精神压力指数中的一种或多种数据,对所述数据进行分析得到分析结果,并将所述分析结果发送到所述智能终端进行展示。
可选的,所述云服务器包括:数据库服务器,用于保存所述脖套发送的所述肌电信号、所述第一精神压力指数和所述第二精神压力指数中的一种或多种数据;以及数据分析服务器,用于对所述数据进行分析得到分析结果并将所述分析结果发送到所述智能终端进行展示。
本发明提供了一种监测精神压力的方法、脖套和系统,可以实现精神压力的实时监测,且具有稳定可靠、无创、使用方便的特点,有助于用户了解跟踪自己的精神压力水平,以及获得关于健康生活的建议,从而保持良好的身心状态。
上述说明仅是本发明技术方案的概述,为了能够更清楚了解本发明的技术手段,而可依照说明书的内容予以实施,并且为了让本发明的上述和其它目的、特征和优点能够更明显易懂,以下特举本发明的具体实施方式。
附图说明
通过阅读下文优选实施方式的详细描述,各种其他的优点和益处对于本领域普通技术人员将变得清楚明了。附图仅用于示出优选实施方式的目的,而并不认为是对本发明的限制。而且在整个附图中,用相同的参考符号表示相同的部件。在附图中:
图1示出了本发明实施例一种监测精神压力的方法第一实施例的流程图;
图2示出了本发明实施例一种监测精神压力的方法第一实施例中采集肌电信号的流程图;
图3示出了本发明实施例一种监测精神压力的方法第二实施例的流程图;
图4示出了本发明实施例一种监测精神压力的脖套第一实施例的结构框图;
图5示出了本发明实施例一种监测精神压力的脖套第二实施例的工作流程图;
图6示出了本发明实施例一种监测精神压力的系统第一实施例的结构框图;
图7示出了本发明实施例一种监测精神压力的系统第一实施例中云服务器的结构框图。
具体实施方式
下面将参照附图更详细地描述本公开的示例性实施例。虽然附图中显示了本公开的示例性实施例,然而应当理解,可以以各种形式实现本公开而不应被这里阐述的实施例所限制。相反,提供这些实施例是为了能够更透彻地理解本公开,并且能够将本公开的范围完整地传达给本领域的技术人员。
图1为本发明实施例一种监测精神压力的方法第一实施例的流程图。该方法可用于一种监测精神压力的脖套。如图1所示,该方法包括以下步骤:
步骤101:采集肌电信号。
肌电(electromyography,EMG)信号,是肌肉收缩时伴随的生物电信号。在本发明实施例中,采集颈部斜方肌的肌电信号。斜方肌(trapezius muscle)位于颈部和背部的皮下,一侧呈三角形,左右两侧相合成斜方形。
步骤102:获取第一精神压力指数。
在本发明实施例中,第一精神压力指数为监测对象对自己当前的精神压力水平的打分,分值为0到100,0为精神压力最小,100为精神压力最大。在一些实施例中,可以对监测对象提出若干问题,并提供选项,根据监测对象的选择进行打分,例如“现在身体感觉如何?”,选项有“很好”、“好”、“一般”、“不好”、“很不好”。在一些实施例中,还可以让监测对象在一些形容精神状况的词中选择,根据选择的词评分,例如“愉快”、“平静”、“烦躁”、“疲倦”、“愤怒”等。
步骤103:计算所述肌电信号的无量纲特征。
在本发明实施例中,有左、右两路肌电信号。先将两路信号进行合并、平均,再根据平均后的信号样本计算无量纲特征。
在本发明实施例中,肌电信号的无量纲特征包括肌电信号样本的标准差的变化率、样本熵的变化率、信号样本的功率谱中能量峰值的变化率和能量峰值频率的变化率。能量峰值为信号样本的功率谱中能量的最大值,能量峰值频率为功率谱中能量为最大值时对应的频率。变化率为一次获取的信号样本相对于相邻上一次获取的信号样本所变化的比率。例如,每次采集5分钟,一次采集的信号样本的能量峰值为P1,上一次采集的信号样本的能量峰值为P0,则能量峰值的变化率为(P1-P0)/P0。
步骤104:根据所述第一精神压力指数及所述无量纲特征计算第二精神压力指数。
在本发明实施例中,首先,根据第一精神压力指数、肌电信号样本的标准差的变化率、样本熵的变化率、肌电信号样本的功率谱中能量峰值的变化率和能量峰值频率的变化率,计算第二精神压力指数参考值。计算式为:
若r1+r2+r3-r4≥0,
若r1+r2+r3-r4<0,
其中,N0为第一精神压力指数,r1为肌电信号的标准差的变化率,r2为肌电信号的样本熵的变化率,r3为肌电信号的功率谱中能量峰值的变化率,r4为肌电信号的功率谱中能量峰值频率的变化率,Score为第二精神压力指数参考值。
然后,基于第二精神压力指数参考值得到第二精神压力指数:若第二精神压力指数参考值小于或等于0,则第二精神压力指数为0;若第二精神压力指数参考值大于或等于100,则第二精神压力指数为100;若第二精神压力指数参考值大于0且小于100,则第二精神压力指数为第二精神压力指数参考值。
在本发明实施例中,通过采集颈部斜方肌的肌电信号,并根据监测对象自我精神压力评估和肌电信号的无量纲特征计算第二精神压力指数,可以实现精神压力的实时监测,且具有稳定可靠、无创、使用方便的特点,有助于用户了解跟踪自己的精神压力水平,从而保持良好的身心状态。
图2为本发明实施例一种监测精神压力的方法第一实施例中采集肌电信号的流程图。如图2所示,所述采集肌电信号包括以下步骤:
步骤1011:通过织物电极组采集原始肌电信号。
在本发明实施例中,织物电极组为多个织物电极,电极放置的位置为:公共右腿驱动电极放置在第七颈椎棘突,一对正负电极放置在第七颈椎棘突与左肩峰突之间靠近第七颈椎棘突的位置上,另一对正负电极放置在第七颈椎棘突与右肩峰突之间靠近第七颈椎棘突的位置上。每一对正负电极用于采集一路信号。织物电极组的材料为100%锦纶(含银),以确保与皮肤接触时的舒适度。
步骤1012:通过前置放大电路放大所述原始肌电信号,得到肌电信号。
在本发明实施例中,织物电极组所采集的原始肌电信号很微弱,须经过前置放大电路的放大,放大倍数(增益)是根据信号的强度实时地控制的。上述左、右两路采集的原始肌电信号各自经过相应的前置放大电路放大。
步骤1013:通过模数转换器对所述肌电信号进行模数转换,得到模数转换后的所述肌电信号。
在本发明实施例中,模数转换器是ΔΣADC,以500Hz的固定采样率对放大后的肌电信号进行采样。上述左、右两路放大后的肌电信号各自经过相应的模数转换器转换为数字信号。
图3为本发明实施例一种监测精神压力的方法第二实施例的流程图。如图3所示,该方法包括以下步骤:
步骤301:采集肌电信号。
步骤302:对所述肌电信号进行滤波。
在本发明实施例中,使用10-100Hz的FIR滤波器进行滤波,以去除低频噪声、基线漂移和高频噪声。为去除50Hz的工频干扰,还使用了IIR陷波器(Notch Filter)进行滤波。
步骤303:获取第一精神压力指数;
步骤304:计算所述肌电信号的无量纲特征;
步骤305:根据所述第一精神压力指数及所述无量纲特征计算第二精神压力指数。
步骤306:当所述第二精神压力指数超过预设阈值时,发出报警提示。
在本发明实施例中,当第二精神压力指数超过预设阈值时,播放提示音。在一些实施例中,还可以发出震动提醒、闪烁不同颜色的指示灯,或通过加热、播放放松音乐等方式让用户放松。
步骤307:将所述肌电信号、所述第一精神压力指数和所述第二精神压力指数中的一种或多种数据发送给智能终端或云服务器。
在本发明实施例中,可以通过蓝牙(BLE)或Wi-Fi发送数据到用户的智能终端如智能手机,也可以通过Wi-Fi或蜂窝移动网络如4G将数据发送到云服务器。
图4为本发明实施例一种监测精神压力的脖套第一实施例的结构框图。如图4所示,监测精神压力的脖套40包括:脖套本体401、传感器402、处理器403和存储器404。传感器402设置于脖套本体401内部,用于采集颈部斜方肌肌电信号。处理器403和传感器402、存储器404通过线路互联,用于执行存储器404中存储的程序指令,具体可以执行上述监测精神压力的方法的相关步骤。
在本发明实施例中,用户佩戴脖套,脖套中的传感器采集颈部斜方肌肌电信号,处理器根据肌电信号计算第二精神压力指数,可以实现精神压力的实时监测,且具有稳定可靠、无创、使用方便的特点,有助于用户了解跟踪自己的精神压力水平,从而保持良好的身心状态。
图5为本发明实施例一种监测精神压力的脖套第二实施例的工作流程图。在本发明实施例中,该脖套包括织物电极组、前置放大电路、模数转换器、MCU(微控制单元)、无线传输单元、报警提醒单元、以及电源管理单元。如图5所示,该脖套的工作流程包括以下步骤:
步骤501:启动脖套。
在本发明实施例中,打开该脖套的电源开关以启动工作。电源管理单元为该脖套其它部件提供5V电压和1A电流。
步骤502:判断织物电极组是否与皮肤接触,若是则执行步骤503,否则执行步骤510。
在本发明实施例中,MCU判断织物电极组是否与人体皮肤接触,若接触则采集肌电信号,若判断电极为脱落状态,则进入低功耗休眠。
步骤503:调节前置放大电路的增益。
在本发明实施例中,MCU根据信号的实时强度,闭环地控制前置放大电路的增益倍数。
步骤504:采集肌电信号。
在本发明实施例中,织物电极组采集颈部斜方肌的肌电信号,前置放大电路放大该信号,模数转换器将其转换为数字信号。
步骤505:判断所采集的肌电信号是否符合要求,若是则执行步骤506,否则执行步骤503。
在本发明实施例中,MCU判断采集的肌电信号幅度大小是否在预设的窗口范围内,若是则连续采集5分钟,否则调节前置放大电路的增益再采集。连续采集肌电信号的时间并不限于5分钟,在其他实施例中,还可以为其他时长,例如4分钟或6分钟等,本发明对此不做限制。
步骤506:计算第二精神压力指数。
在本发明实施例中,MCU按照上述监测精神压力的方法第一实施例的方法计算第二精神压力指数。
步骤507:判断计算出的第二精神压力指数是否高于预设阈值,若是则执行步骤508,否则执行步骤509。
在本发明实施例中,MCU在判断计算出的第二精神压力指数高于预设阈值时,使报警提醒单元发出报警提醒。
步骤508:发出报警提醒。
在本发明实施例中,报警提醒单元发出震动提醒并播放放松音乐。
步骤509:发送数据至智能终端或云服务器。
在本发明实施例中,无线传输单元发送有关数据到智能终端或云服务器。
步骤510:进入低功耗休眠。
在本发明实施例中,MCU进入低功耗休眠状态,等待电极接触后唤醒。
图6为本发明实施例一种监测精神压力的系统第一实施例的结构框图。如图6所示,监测精神压力的系统60包括监测精神压力的脖套601、智能终端602和云服务器603。
在本发明实施例中,监测精神压力的脖套601为根据图4或图5以及前述实施例的监测精神压力的脖套。监测精神压力的脖套601可将其数据上传到智能终端602或云服务器603。
智能终端602与监测精神压力的脖套601通过蓝牙或Wi-Fi配对。智能终端602可以显示实时的第二精神压力指数,以及历史的第二精神压力指数曲线。用户可以选择上传有关数据到云服务器603,以保存数据及获得云服务器603对数据进行分析的结果报告。
在本发明实施例中,可以在智能终端显示用户的精神压力信息,或将有关数据发送到云服务器进行保存和分析,可以实现精神压力的实时监测,且具有稳定可靠、无创、使用方便的特点,有助于用户了解跟踪自己的精神压力水平,以及获得关于饮食、运动等的健康生活的建议,从而保持良好的身心状态。
图7为本发明实施例一种监测精神压力的系统第一实施例中云服务器的结构框图。如图7所示,该云服务器包括数据库服务器701和数据分析服务器702。
在本发明实施例中,数据库服务器701用于保存监测精神压力的脖套601或智能终端602上传的数据,数据保存在数据库中用户专属的档案中。
在本发明实施例中,数据分析服务器702可以对数据库服务器701中的数据进行大数据分析,并结合单个用户的数据,对用户提供个性化的建议如按周、月或年显示的可视性强的图表,以及关于饮食、运动的建议等,并发送到智能终端602进行展现。如果分析发现用户的第二精神压力指数持续升高,则提醒用户及时就医检查。在一些实施例中,大数据分析还可以应用机器学习等技术,对计算第二精神压力指数的算法进行优化和改进,以实现对精神压力更准确的评价和度量。
Claims (8)
1.一种监测精神压力的方法,其特征在于,包括:
采集肌电信号;
获取第一精神压力指数;所述第一精神压力指数的取值范围为0至100;
计算所述肌电信号的无量纲特征;所述肌电信号的无量纲特征包括:所述肌电信号的标准差的变化率;所述肌电信号的样本熵的变化率;所述肌电信号的功率谱中能量峰值的变化率;所述肌电信号的功率谱中能量峰值频率的变化率;
根据所述第一精神压力指数及所述无量纲特征计算第二精神压力指数参考值,计算式为:
若r1+r2+r3-r4≥0,
若r1+r2+r3-r4<0,
其中,N0为所述第一精神压力指数,r1为所述肌电信号的标准差的变化率,r2为所述肌电信号的样本熵的变化率,r3为所述肌电信号的功率谱中能量峰值的变化率,r4为所述肌电信号的功率谱中能量峰值频率的变化率,Score为所述第二精神压力指数参考值;
基于所述第二精神压力指数参考值得到第二精神压力指数:
若所述第二精神压力指数参考值小于或等于0,则所述第二精神压力指数为0;
若所述第二精神压力指数参考值大于或等于100,则所述第二精神压力指数为100;
若所述第二精神压力指数参考值大于0且小于100,则所述第二精神压力指数为所述第二精神压力指数参考值。
2.根据权利要求1所述的监测精神压力的方法,其特征在于,所述采集肌电信号的步骤具体包括:
通过织物电极组采集原始肌电信号;
通过前置放大电路放大所述原始肌电信号,得到所述肌电信号;
通过模数转换器对所述肌电信号进行模数转换,得到模数转换后的所述肌电信号。
3.根据权利要求1所述的监测精神压力的方法,其特征在于,所述方法还包括:在所述采集肌电信号的步骤之后对所述肌电信号进行滤波。
4.根据权利要求1所述的监测精神压力的方法,其特征在于,所述方法还包括:当所述第二精神压力指数超过预设阈值时,发出报警提示。
5.根据权利要求1所述的监测精神压力的方法,其特征在于,所述方法还包括:将所述肌电信号、所述第一精神压力指数和所述第二精神压力指数中的一种或多种数据发送给智能终端或云服务器。
6.一种监测精神压力的脖套,其特征在于,所述脖套包括脖套本体以及传感器,所述传感器设置于所述脖套本体,所述传感器用于采集颈部斜方肌肌电信号,所述脖套还包括处理器和存储器,所述处理器和所述传感器、所述存储器通过线路互联;其中,所述存储器存储有程序指令,所述程序指令被所述处理器执行时,使所述处理器执行如权利要求1、3-5中任一项所述的监测精神压力的方法中除所述采集肌电信号以外的步骤。
7.一种监测精神压力的系统,其特征在于,包括:
根据权利要求6所述的脖套、智能终端和云服务器,所述脖套、智能终端和云服务器之间通信连接;
所述智能终端用于展示所述脖套发送的所述第二精神压力指数信息,将所述脖套发送的所述肌电信号、所述第一精神压力指数和所述第二精神压力指数中的一种或多种数据发送给所述云服务器,并展示所述云服务器反馈的信息;
所述云服务器用于保存所述脖套发送的所述肌电信号、所述第一精神压力指数和所述第二精神压力指数中的一种或多种数据,对所述数据进行分析得到分析结果,并将所述分析结果发送到所述智能终端进行展示。
8.根据权利要求7所述的监测精神压力的系统,其特征在于,所述云服务器包括:
数据库服务器,用于保存所述脖套发送的所述肌电信号、所述第一精神压力指数和所述第二精神压力指数中的一种或多种数据;以及
数据分析服务器,用于对所述数据进行分析得到分析结果并将所述分析结果发送到所述智能终端进行展示。
Priority Applications (1)
| Application Number | Priority Date | Filing Date | Title |
|---|---|---|---|
| CN201910116775.8A CN109938756B (zh) | 2019-02-15 | 2019-02-15 | 一种监测精神压力的方法、脖套及系统 |
Applications Claiming Priority (1)
| Application Number | Priority Date | Filing Date | Title |
|---|---|---|---|
| CN201910116775.8A CN109938756B (zh) | 2019-02-15 | 2019-02-15 | 一种监测精神压力的方法、脖套及系统 |
Publications (2)
| Publication Number | Publication Date |
|---|---|
| CN109938756A CN109938756A (zh) | 2019-06-28 |
| CN109938756B true CN109938756B (zh) | 2022-04-12 |
Family
ID=67007885
Family Applications (1)
| Application Number | Title | Priority Date | Filing Date |
|---|---|---|---|
| CN201910116775.8A Active CN109938756B (zh) | 2019-02-15 | 2019-02-15 | 一种监测精神压力的方法、脖套及系统 |
Country Status (1)
| Country | Link |
|---|---|
| CN (1) | CN109938756B (zh) |
Families Citing this family (2)
| Publication number | Priority date | Publication date | Assignee | Title |
|---|---|---|---|---|
| CN113194829B (zh) * | 2019-11-20 | 2023-07-07 | 广东徕康医疗科技有限公司 | 人体精神压力测试方法及系统 |
| CN116269391B (zh) * | 2023-05-22 | 2023-07-18 | 华南理工大学 | 一种心脑耦合分析评估方法及其系统 |
Citations (3)
| Publication number | Priority date | Publication date | Assignee | Title |
|---|---|---|---|---|
| JP2008212391A (ja) * | 2007-03-05 | 2008-09-18 | Isuzu Motors Ltd | ストレス検出装置 |
| CN201500129U (zh) * | 2009-10-15 | 2010-06-09 | 北京新科永创科技有限公司 | 带有肌电检测功能的心理测试仪 |
| CN106377248A (zh) * | 2016-10-14 | 2017-02-08 | 智爱亿慈(北京)科技有限公司 | 一种脑部信息采集装置、采集系统及方法 |
Family Cites Families (1)
| Publication number | Priority date | Publication date | Assignee | Title |
|---|---|---|---|---|
| CN106037764B (zh) * | 2016-05-20 | 2019-02-19 | 包磊 | 一种压力管理方法及系统 |
-
2019
- 2019-02-15 CN CN201910116775.8A patent/CN109938756B/zh active Active
Patent Citations (3)
| Publication number | Priority date | Publication date | Assignee | Title |
|---|---|---|---|---|
| JP2008212391A (ja) * | 2007-03-05 | 2008-09-18 | Isuzu Motors Ltd | ストレス検出装置 |
| CN201500129U (zh) * | 2009-10-15 | 2010-06-09 | 北京新科永创科技有限公司 | 带有肌电检测功能的心理测试仪 |
| CN106377248A (zh) * | 2016-10-14 | 2017-02-08 | 智爱亿慈(北京)科技有限公司 | 一种脑部信息采集装置、采集系统及方法 |
Non-Patent Citations (2)
| Title |
|---|
| 基于表面肌电信号的心理压力状态分析算法研究;张云鹏;《中国优秀硕士学位论文全文数据库 信息科技辑》;20150115(第01期);第6-45页 * |
| 心理压力指数测量系统研制及其分析方法研究;陈义峰;《中国优秀硕士学位论文全文数据库 信息科技辑》;20150415(第04期);第8-13页 * |
Also Published As
| Publication number | Publication date |
|---|---|
| CN109938756A (zh) | 2019-06-28 |
Similar Documents
| Publication | Publication Date | Title |
|---|---|---|
| CN108697390B (zh) | 睡眠状态测定装置、相位相干性计算装置及压力状态测定装置 | |
| JP7057284B6 (ja) | 被検者の1又は複数の生理的特徴の基準を決定する機器の作動方法及び機器及びコンピュータプログラム | |
| KR102413424B1 (ko) | 패치형전극을 이용한 수면상태 판단방법 | |
| JP7277970B2 (ja) | ウエアラブルデバイスを利用する心電図測定方法及びシステム | |
| JP2008532587A (ja) | 生理学的及び心理学的/生理学的モニタリングのための方法及びシステム並びにその使用 | |
| CA2335282A1 (en) | Non-invasive monitoring of physiological parameters | |
| JPH0795966A (ja) | 脈波解析装置 | |
| Cecchi et al. | Physical stimuli and emotions: EDA features analysis from a wrist-worn measurement sensor | |
| KR20120094857A (ko) | 피복타입 무구속 생체신호 측정 및 이를 이용한 재활훈련 정도 판단방법 | |
| CN109350020A (zh) | 身心健康状况分析装置及方法 | |
| Affanni et al. | Design and characterization of a real-time, wearable, endosomatic electrodermal system | |
| CN113729624B (zh) | 意识水平测定方法及计算机程序 | |
| CN109567756A (zh) | 一种基于人工智能床垫的睡眠状态检测方法 | |
| CN209107350U (zh) | 生物反馈式意识障碍检测及唤醒系统 | |
| WO2018152757A1 (zh) | 一种儿童生理参数采集与情绪检测系统 | |
| CN109938756B (zh) | 一种监测精神压力的方法、脖套及系统 | |
| CN117796769B (zh) | 一种微型化穿戴式多导睡眠监测系统 | |
| EP4327743A1 (en) | Sleeping state estimation system | |
| KR100705984B1 (ko) | 마우스패드를 이용한 심리상태와 신체의 긴장도 측정 및이를 활용한 두뇌 스트레칭 훈련시스템 | |
| CN110782992B (zh) | 基于心电信号的康复效果量化评估智能实现方法及系统 | |
| US20230058011A1 (en) | Method apparatus and system of wearable synchronized multiple vital health sensors and data processing and applications | |
| CN111134641A (zh) | 一种睡眠监测芯片系统及睡眠监测芯片 | |
| CN205625901U (zh) | 一种基于云数据平台的心理健康监控系统 | |
| TWI516247B (zh) | 居家式憂鬱傾向生理訊號之情緒分析方法 | |
| CN103747722A (zh) | 紧张状态和疲劳分析及诊断仪 |
Legal Events
| Date | Code | Title | Description |
|---|---|---|---|
| PB01 | Publication | ||
| PB01 | Publication | ||
| SE01 | Entry into force of request for substantive examination | ||
| SE01 | Entry into force of request for substantive examination | ||
| GR01 | Patent grant | ||
| GR01 | Patent grant | ||
| CP01 | Change in the name or title of a patent holder |
Address after: 518000 Guangdong science and technology innovation and Research Institute, Shenzhen, Shenzhen, Nanshan District No. 6, science and technology innovation and Research Institute, Shenzhen, D 10, 1004, 10 Patentee after: Shenzhen Hetai intelligent home appliance controller Co.,Ltd. Address before: 518000 Guangdong science and technology innovation and Research Institute, Shenzhen, Shenzhen, Nanshan District No. 6, science and technology innovation and Research Institute, Shenzhen, D 10, 1004, 10 Patentee before: SHENZHEN H&T DATA RESOURCES AND CLOUD TECHNOLOGY Ltd. |
|
| CP01 | Change in the name or title of a patent holder |





