CN109879907B - 三源一体膨胀阻燃剂、用其接枝的杂化膨胀阻燃剂及它们的制备方法和应用 - Google Patents
三源一体膨胀阻燃剂、用其接枝的杂化膨胀阻燃剂及它们的制备方法和应用 Download PDFInfo
- Publication number
- CN109879907B CN109879907B CN201910124168.6A CN201910124168A CN109879907B CN 109879907 B CN109879907 B CN 109879907B CN 201910124168 A CN201910124168 A CN 201910124168A CN 109879907 B CN109879907 B CN 109879907B
- Authority
- CN
- China
- Prior art keywords
- flame retardant
- intumescent flame
- source
- hybrid
- raw material
- Prior art date
- Legal status (The legal status is an assumption and is not a legal conclusion. Google has not performed a legal analysis and makes no representation as to the accuracy of the status listed.)
- Active
Links
- 239000003063 flame retardant Substances 0.000 title claims abstract description 175
- RNFJDJUURJAICM-UHFFFAOYSA-N 2,2,4,4,6,6-hexaphenoxy-1,3,5-triaza-2$l^{5},4$l^{5},6$l^{5}-triphosphacyclohexa-1,3,5-triene Chemical compound N=1P(OC=2C=CC=CC=2)(OC=2C=CC=CC=2)=NP(OC=2C=CC=CC=2)(OC=2C=CC=CC=2)=NP=1(OC=1C=CC=CC=1)OC1=CC=CC=C1 RNFJDJUURJAICM-UHFFFAOYSA-N 0.000 title claims abstract description 160
- 238000002360 preparation method Methods 0.000 title claims abstract description 14
- 229920001971 elastomer Polymers 0.000 claims abstract description 33
- XLYOFNOQVPJJNP-UHFFFAOYSA-M hydroxide Chemical compound [OH-] XLYOFNOQVPJJNP-UHFFFAOYSA-M 0.000 claims abstract description 25
- 229920005989 resin Polymers 0.000 claims abstract description 6
- 239000011347 resin Substances 0.000 claims abstract description 6
- 239000003822 epoxy resin Substances 0.000 claims abstract description 5
- 229920000647 polyepoxide Polymers 0.000 claims abstract description 5
- 229920003232 aliphatic polyester Polymers 0.000 claims abstract description 4
- 229920003023 plastic Polymers 0.000 claims abstract description 4
- 239000004033 plastic Substances 0.000 claims abstract description 4
- 229920000098 polyolefin Polymers 0.000 claims abstract description 4
- 239000005060 rubber Substances 0.000 claims abstract description 4
- 229920002725 thermoplastic elastomer Polymers 0.000 claims abstract description 4
- LNEPOXFFQSENCJ-UHFFFAOYSA-N haloperidol Chemical compound C1CC(O)(C=2C=CC(Cl)=CC=2)CCN1CCCC(=O)C1=CC=C(F)C=C1 LNEPOXFFQSENCJ-UHFFFAOYSA-N 0.000 claims abstract description 3
- ZMANZCXQSJIPKH-UHFFFAOYSA-N Triethylamine Chemical compound CCN(CC)CC ZMANZCXQSJIPKH-UHFFFAOYSA-N 0.000 claims description 78
- XHXFXVLFKHQFAL-UHFFFAOYSA-N phosphoryl trichloride Chemical compound ClP(Cl)(Cl)=O XHXFXVLFKHQFAL-UHFFFAOYSA-N 0.000 claims description 76
- LFQSCWFLJHTTHZ-UHFFFAOYSA-N Ethanol Chemical compound CCO LFQSCWFLJHTTHZ-UHFFFAOYSA-N 0.000 claims description 66
- 239000004433 Thermoplastic polyurethane Substances 0.000 claims description 44
- 229920002803 thermoplastic polyurethane Polymers 0.000 claims description 44
- XLYOFNOQVPJJNP-UHFFFAOYSA-N water Substances O XLYOFNOQVPJJNP-UHFFFAOYSA-N 0.000 claims description 39
- JUJWROOIHBZHMG-UHFFFAOYSA-N Pyridine Chemical compound C1=CC=NC=C1 JUJWROOIHBZHMG-UHFFFAOYSA-N 0.000 claims description 36
- YXFVVABEGXRONW-UHFFFAOYSA-N Toluene Chemical compound CC1=CC=CC=C1 YXFVVABEGXRONW-UHFFFAOYSA-N 0.000 claims description 36
- WEVYAHXRMPXWCK-UHFFFAOYSA-N Acetonitrile Chemical compound CC#N WEVYAHXRMPXWCK-UHFFFAOYSA-N 0.000 claims description 30
- YMWUJEATGCHHMB-UHFFFAOYSA-N Dichloromethane Chemical group ClCCl YMWUJEATGCHHMB-UHFFFAOYSA-N 0.000 claims description 30
- 239000000806 elastomer Substances 0.000 claims description 29
- 238000005406 washing Methods 0.000 claims description 26
- 238000000034 method Methods 0.000 claims description 25
- 238000000967 suction filtration Methods 0.000 claims description 25
- HEDRZPFGACZZDS-UHFFFAOYSA-N Chloroform Chemical compound ClC(Cl)Cl HEDRZPFGACZZDS-UHFFFAOYSA-N 0.000 claims description 24
- 125000002947 alkylene group Chemical group 0.000 claims description 23
- 238000002390 rotary evaporation Methods 0.000 claims description 23
- 238000003756 stirring Methods 0.000 claims description 23
- 238000002156 mixing Methods 0.000 claims description 22
- 239000002994 raw material Substances 0.000 claims description 22
- CSCPPACGZOOCGX-UHFFFAOYSA-N Acetone Chemical compound CC(C)=O CSCPPACGZOOCGX-UHFFFAOYSA-N 0.000 claims description 20
- UMJSCPRVCHMLSP-UHFFFAOYSA-N pyridine Natural products COC1=CC=CN=C1 UMJSCPRVCHMLSP-UHFFFAOYSA-N 0.000 claims description 18
- 239000007864 aqueous solution Substances 0.000 claims description 17
- 229910052760 oxygen Inorganic materials 0.000 claims description 17
- QVGXLLKOCUKJST-UHFFFAOYSA-N atomic oxygen Chemical compound [O] QVGXLLKOCUKJST-UHFFFAOYSA-N 0.000 claims description 16
- 239000001301 oxygen Substances 0.000 claims description 16
- 239000002253 acid Substances 0.000 claims description 15
- VHUUQVKOLVNVRT-UHFFFAOYSA-N Ammonium hydroxide Chemical compound [NH4+].[OH-] VHUUQVKOLVNVRT-UHFFFAOYSA-N 0.000 claims description 13
- 235000011114 ammonium hydroxide Nutrition 0.000 claims description 13
- 239000011230 binding agent Substances 0.000 claims description 12
- 239000002270 dispersing agent Substances 0.000 claims description 12
- FZHAPNGMFPVSLP-UHFFFAOYSA-N silanamine Chemical compound [SiH3]N FZHAPNGMFPVSLP-UHFFFAOYSA-N 0.000 claims description 11
- RYHBNJHYFVUHQT-UHFFFAOYSA-N 1,4-Dioxane Chemical compound C1COCCO1 RYHBNJHYFVUHQT-UHFFFAOYSA-N 0.000 claims description 8
- 229920002873 Polyethylenimine Polymers 0.000 claims description 8
- 239000007822 coupling agent Substances 0.000 claims description 8
- 239000006087 Silane Coupling Agent Substances 0.000 claims description 5
- 229920003225 polyurethane elastomer Polymers 0.000 claims description 4
- 125000002924 primary amino group Chemical group [H]N([H])* 0.000 claims description 4
- 238000012545 processing Methods 0.000 claims description 4
- 238000006243 chemical reaction Methods 0.000 claims description 3
- 125000003277 amino group Chemical group 0.000 claims 2
- 230000008878 coupling Effects 0.000 claims 1
- 238000010168 coupling process Methods 0.000 claims 1
- 238000005859 coupling reaction Methods 0.000 claims 1
- 230000007062 hydrolysis Effects 0.000 claims 1
- 238000006460 hydrolysis reaction Methods 0.000 claims 1
- 229910052799 carbon Inorganic materials 0.000 abstract description 9
- OKTJSMMVPCPJKN-UHFFFAOYSA-N Carbon Chemical compound [C] OKTJSMMVPCPJKN-UHFFFAOYSA-N 0.000 abstract description 7
- IJGRMHOSHXDMSA-UHFFFAOYSA-N Atomic nitrogen Chemical compound N#N IJGRMHOSHXDMSA-UHFFFAOYSA-N 0.000 abstract description 4
- 238000000354 decomposition reaction Methods 0.000 abstract description 4
- OAICVXFJPJFONN-UHFFFAOYSA-N Phosphorus Chemical compound [P] OAICVXFJPJFONN-UHFFFAOYSA-N 0.000 abstract description 3
- 229910052757 nitrogen Inorganic materials 0.000 abstract description 3
- 229910052698 phosphorus Inorganic materials 0.000 abstract description 3
- 239000011574 phosphorus Substances 0.000 abstract description 3
- 238000001816 cooling Methods 0.000 description 21
- 238000010438 heat treatment Methods 0.000 description 20
- QGZKDVFQNNGYKY-UHFFFAOYSA-N Ammonia Chemical compound N QGZKDVFQNNGYKY-UHFFFAOYSA-N 0.000 description 19
- 239000000243 solution Substances 0.000 description 13
- 238000002485 combustion reaction Methods 0.000 description 11
- 229910021529 ammonia Inorganic materials 0.000 description 9
- 229920000642 polymer Polymers 0.000 description 9
- GLUUGHFHXGJENI-UHFFFAOYSA-N Piperazine Chemical compound C1CNCCN1 GLUUGHFHXGJENI-UHFFFAOYSA-N 0.000 description 8
- 239000000463 material Substances 0.000 description 8
- PIICEJLVQHRZGT-UHFFFAOYSA-N Ethylenediamine Chemical compound NCCN PIICEJLVQHRZGT-UHFFFAOYSA-N 0.000 description 5
- 230000000052 comparative effect Effects 0.000 description 5
- 239000000203 mixture Substances 0.000 description 5
- 230000004048 modification Effects 0.000 description 5
- 238000012986 modification Methods 0.000 description 5
- -1 polypropylene Polymers 0.000 description 5
- 239000004743 Polypropylene Substances 0.000 description 4
- 230000000694 effects Effects 0.000 description 4
- 239000007789 gas Substances 0.000 description 4
- LELOWRISYMNNSU-UHFFFAOYSA-N hydrogen cyanide Chemical compound N#C LELOWRISYMNNSU-UHFFFAOYSA-N 0.000 description 4
- VTHJTEIRLNZDEV-UHFFFAOYSA-L magnesium dihydroxide Chemical compound [OH-].[OH-].[Mg+2] VTHJTEIRLNZDEV-UHFFFAOYSA-L 0.000 description 4
- 229920001155 polypropylene Polymers 0.000 description 4
- 229910000831 Steel Inorganic materials 0.000 description 3
- IMUDHTPIFIBORV-UHFFFAOYSA-N aminoethylpiperazine Chemical compound NCCN1CCNCC1 IMUDHTPIFIBORV-UHFFFAOYSA-N 0.000 description 3
- JFDZBHWFFUWGJE-UHFFFAOYSA-N benzonitrile Chemical compound N#CC1=CC=CC=C1 JFDZBHWFFUWGJE-UHFFFAOYSA-N 0.000 description 3
- 230000015572 biosynthetic process Effects 0.000 description 3
- 239000010410 layer Substances 0.000 description 3
- 229910001862 magnesium hydroxide Inorganic materials 0.000 description 3
- 239000000347 magnesium hydroxide Substances 0.000 description 3
- 239000011259 mixed solution Substances 0.000 description 3
- 229920002635 polyurethane Polymers 0.000 description 3
- 239000004814 polyurethane Substances 0.000 description 3
- 238000011160 research Methods 0.000 description 3
- 239000007858 starting material Substances 0.000 description 3
- 239000010959 steel Substances 0.000 description 3
- 239000000126 substance Substances 0.000 description 3
- 238000012360 testing method Methods 0.000 description 3
- FAGUFWYHJQFNRV-UHFFFAOYSA-N tetraethylenepentamine Chemical compound NCCNCCNCCNCCN FAGUFWYHJQFNRV-UHFFFAOYSA-N 0.000 description 3
- RPNUMPOLZDHAAY-UHFFFAOYSA-N Diethylenetriamine Chemical compound NCCNCCN RPNUMPOLZDHAAY-UHFFFAOYSA-N 0.000 description 2
- 229920002943 EPDM rubber Polymers 0.000 description 2
- 239000004593 Epoxy Substances 0.000 description 2
- JXASPPWQHFOWPL-UHFFFAOYSA-N Tamarixin Natural products C1=C(O)C(OC)=CC=C1C1=C(OC2C(C(O)C(O)C(CO)O2)O)C(=O)C2=C(O)C=C(O)C=C2O1 JXASPPWQHFOWPL-UHFFFAOYSA-N 0.000 description 2
- 230000004888 barrier function Effects 0.000 description 2
- 239000002131 composite material Substances 0.000 description 2
- 238000001035 drying Methods 0.000 description 2
- 125000001495 ethyl group Chemical group [H]C([H])([H])C([H])([H])* 0.000 description 2
- 238000001914 filtration Methods 0.000 description 2
- 230000007246 mechanism Effects 0.000 description 2
- 125000000325 methylidene group Chemical group [H]C([H])=* 0.000 description 2
- QJGQUHMNIGDVPM-UHFFFAOYSA-N nitrogen group Chemical group [N] QJGQUHMNIGDVPM-UHFFFAOYSA-N 0.000 description 2
- 230000008569 process Effects 0.000 description 2
- AOHJOMMDDJHIJH-UHFFFAOYSA-N propylenediamine Chemical compound CC(N)CN AOHJOMMDDJHIJH-UHFFFAOYSA-N 0.000 description 2
- 230000002195 synergetic effect Effects 0.000 description 2
- 238000003786 synthesis reaction Methods 0.000 description 2
- 239000002341 toxic gas Substances 0.000 description 2
- WYTZZXDRDKSJID-UHFFFAOYSA-N (3-aminopropyl)triethoxysilane Chemical compound CCO[Si](OCC)(OCC)CCCN WYTZZXDRDKSJID-UHFFFAOYSA-N 0.000 description 1
- SJECZPVISLOESU-UHFFFAOYSA-N 3-trimethoxysilylpropan-1-amine Chemical compound CO[Si](OC)(OC)CCCN SJECZPVISLOESU-UHFFFAOYSA-N 0.000 description 1
- XVMSFILGAMDHEY-UHFFFAOYSA-N 6-(4-aminophenyl)sulfonylpyridin-3-amine Chemical compound C1=CC(N)=CC=C1S(=O)(=O)C1=CC=C(N)C=N1 XVMSFILGAMDHEY-UHFFFAOYSA-N 0.000 description 1
- NLHHRLWOUZZQLW-UHFFFAOYSA-N Acrylonitrile Chemical compound C=CC#N NLHHRLWOUZZQLW-UHFFFAOYSA-N 0.000 description 1
- UGFAIRIUMAVXCW-UHFFFAOYSA-N Carbon monoxide Chemical compound [O+]#[C-] UGFAIRIUMAVXCW-UHFFFAOYSA-N 0.000 description 1
- 229920000742 Cotton Polymers 0.000 description 1
- 244000043261 Hevea brasiliensis Species 0.000 description 1
- UFHFLCQGNIYNRP-UHFFFAOYSA-N Hydrogen Chemical compound [H][H] UFHFLCQGNIYNRP-UHFFFAOYSA-N 0.000 description 1
- 238000002441 X-ray diffraction Methods 0.000 description 1
- 238000004833 X-ray photoelectron spectroscopy Methods 0.000 description 1
- 238000000026 X-ray photoelectron spectrum Methods 0.000 description 1
- 238000010521 absorption reaction Methods 0.000 description 1
- 230000009471 action Effects 0.000 description 1
- 230000006978 adaptation Effects 0.000 description 1
- WNROFYMDJYEPJX-UHFFFAOYSA-K aluminium hydroxide Chemical compound [OH-].[OH-].[OH-].[Al+3] WNROFYMDJYEPJX-UHFFFAOYSA-K 0.000 description 1
- 238000004458 analytical method Methods 0.000 description 1
- 150000001450 anions Chemical class 0.000 description 1
- 230000009286 beneficial effect Effects 0.000 description 1
- 239000006229 carbon black Substances 0.000 description 1
- 229910002091 carbon monoxide Inorganic materials 0.000 description 1
- 230000015556 catabolic process Effects 0.000 description 1
- 238000006731 degradation reaction Methods 0.000 description 1
- 231100000086 high toxicity Toxicity 0.000 description 1
- 239000001257 hydrogen Substances 0.000 description 1
- 229910052739 hydrogen Inorganic materials 0.000 description 1
- 150000004679 hydroxides Chemical class 0.000 description 1
- 239000012796 inorganic flame retardant Substances 0.000 description 1
- 238000009413 insulation Methods 0.000 description 1
- 239000011229 interlayer Substances 0.000 description 1
- 238000002844 melting Methods 0.000 description 1
- 230000008018 melting Effects 0.000 description 1
- WSFSSNUMVMOOMR-NJFSPNSNSA-N methanone Chemical compound O=[14CH2] WSFSSNUMVMOOMR-NJFSPNSNSA-N 0.000 description 1
- 230000005012 migration Effects 0.000 description 1
- 238000013508 migration Methods 0.000 description 1
- 238000005065 mining Methods 0.000 description 1
- INJVFBCDVXYHGQ-UHFFFAOYSA-N n'-(3-triethoxysilylpropyl)ethane-1,2-diamine Chemical compound CCO[Si](OCC)(OCC)CCCNCCN INJVFBCDVXYHGQ-UHFFFAOYSA-N 0.000 description 1
- 229920003052 natural elastomer Polymers 0.000 description 1
- 229920001194 natural rubber Polymers 0.000 description 1
- 238000000655 nuclear magnetic resonance spectrum Methods 0.000 description 1
- 239000003960 organic solvent Substances 0.000 description 1
- 239000004626 polylactic acid Substances 0.000 description 1
- 239000002861 polymer material Substances 0.000 description 1
- 238000001556 precipitation Methods 0.000 description 1
- 230000000979 retarding effect Effects 0.000 description 1
- 238000001878 scanning electron micrograph Methods 0.000 description 1
- 238000001228 spectrum Methods 0.000 description 1
- 238000013112 stability test Methods 0.000 description 1
- 238000001308 synthesis method Methods 0.000 description 1
- 230000002194 synthesizing effect Effects 0.000 description 1
- 238000004154 testing of material Methods 0.000 description 1
Images
Landscapes
- Compositions Of Macromolecular Compounds (AREA)
- Fireproofing Substances (AREA)
Abstract
本发明公开了一种三源一体的膨胀阻燃剂、用其接枝层状双氢氧化物形成的杂化膨胀阻燃剂及它们的制备方法和应用,其中三源一体的膨胀阻燃剂或其接枝改性的杂化膨胀阻燃剂阻燃的结构通式分别如下:
Description
技术领域
本发明属于三源一体的膨胀阻燃剂、用其接枝改性的杂化膨胀阻燃剂和聚氨酯弹性体以及它们的制备技术领域,具体涉及一类三源一体的膨胀阻燃剂、用其接枝层状双氢氧化物形成的有机无机杂化膨胀阻燃剂及它们的制备方法和应用。
背景技术
热塑性聚氨酯弹性体(thermoplastic polyurethane),缩写为TPU。TPU优异的综合性能决定了其具有广泛的应用,可应用于电线电缆、汽车、建筑、矿山开采、机械装置、鞋类制品、医用和航空航天等领域。但是聚与大多数高分子材料一样,TPU具有易燃的特性,燃烧迅速猛烈,火焰传播较快,燃烧过程释放大量的热量和有毒气体(如苯甲腈、丙烯腈和氰化氢等毒性较大的含氮化合物,进一步分解还会产生对人体危害性更大的一氧化碳、甲醛、氰化氢等有毒气体)。因此对TPU的阻燃改性是十分必要的。
目前TPU的阻燃改性大多采用的是添加膨胀阻燃剂或者添加大量的氢氧化镁或者氢氧化铝等。
传统氢氧化物等阻燃剂的阻燃效率低,要达到阻燃要求时添加量远大于膨胀型阻燃剂,较大的添加量对聚合物性能尤其是力学性能会有明显的影响。如CN102276899B公开了一种氢氧化镁复合阻燃材料及其制备方法。在该方法的实施例1中,当聚丙烯70份、改性氢氧化镁40份、聚乙烯辛烯弹性体15份时,所得的阻燃聚丙烯复合材料的拉伸强度只有12.8MPa,远低于纯样的强度。为了降低氢氧化物等无机阻燃剂的添加量,通常的解决方式是将氢氧化物与含磷阻燃剂进行复配使用。
而传统的膨胀阻燃体系主要由三部分构成:酸源、气源和碳源。膨胀阻燃体系的阻燃机理为:在受热或火焰作用下,酸源、碳源与气源通过化学反应,迅速形成具有隔热、隔质功能的多孔状炭阻隔层,该组隔层可阻止火焰的传播,使基材免于进一步降解和燃烧,从而获得良好的阻燃效果。由于形成膨胀型阻燃剂的这三源物质在添加到聚合物中都是相对独立的,三种组分在聚合物基材中往往无法得到均匀分散,使各组分之间很难达到良好的协同作用,从而降低了其阻燃效率。另外大部分的阻燃剂与基材的相容性不好,易析出、易吸潮。为了解决这三源各自独立的膨胀阻燃体系存在的问题,本领域的科技工作者开始将合成具酸源、碳源和气源三位一体的膨胀型阻燃剂作为今后阻燃研究的一个重点方向。但是目前不仅关于三源一体的膨胀阻燃剂报道较少,而且在有限的报道中,三源一体的膨胀阻燃剂依然存在添加量高,热稳定性低,水溶性高与聚合物相容性差等问题。如CN107652324A公布了一种三源一体的合成方法和应用,虽然证实了三源一体的膨胀阻燃剂相比各自独立添加形成的膨胀阻燃剂具有更好的阻燃效果,但是一方面添加量依然较高,对聚合物力学性能有明显的影响,另一方面其初始分解温度较低,不太适用于大多数聚合物的阻燃,加之由于其结构中含有较多的离子键,其水溶性较高,导致阻燃剂容易吸潮失效。
发明内容
本发明的目的是针对现有技术存在的问题,首先提供一种三源一体膨胀阻燃剂。
本发明的另一目的是提供一种上述三源一体膨胀阻燃剂的制备方法。
本发明的再一目的是提供一种用上述三源一体膨胀阻燃剂接枝改性的杂化膨胀阻燃剂。
本发明的又一目的是提供一种用上述三源一体膨胀阻燃剂接枝改性的杂化膨胀阻燃剂的制备方法。
本发明的最后一个目的是提供上述三源一体膨胀阻燃剂或接枝改性的杂化膨胀阻燃剂的应用。
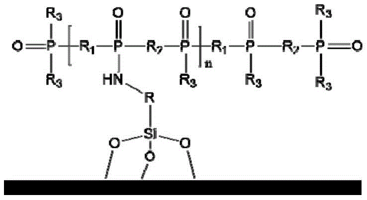
本发明提供的一种三源一体的膨胀阻燃剂,其特征在于该膨胀阻燃剂的结构通式如下:
式中的R1和R2为或-NH-Q2-NH-中的任一种,可相同或不相同,Q1和Q2为C1~C12的直链或支链亚烷基及含有-NH或者-NH2取代的直链或者支链亚烷基,R3为-O-NH4 +、-O-NH+(CH2CH3)3或中的任一种,R4为C1~C6的直链或支链亚烷基,n≥1,n1≥1。
本发明提供的上述三源一体膨胀阻燃剂的制备方法,其特征在于该方法的工艺步骤和条件如下:
先将原料1与缚酸剂加入到分散剂中,然后在搅拌条件下,于0~10℃逐滴加入三氯氧磷,并于10~70℃继续反应4~10h;旋蒸除去分散剂后,再加入原料2的水溶液,于70~100℃反应6~14h,降温至0~5℃下抽滤除去水后乙醇洗涤至少三次即可得到三源一体的膨胀阻燃剂。其中三氯氧磷与原料1中的氨基的摩尔比为1:1~2;三氯氧磷与缚酸剂的摩尔比为1:1~2;三氯氧磷与原料2的摩尔比为1:2~4。
以上方法中所用的原料2为三乙胺、吡啶或者氨水中的任一种。
以上方法中所用的缚酸剂为三乙胺或吡啶。
以上方法中所用的分散剂为二氯甲烷、氯仿、乙腈、丙酮、1,4-二氧六环或甲苯中的任一种。
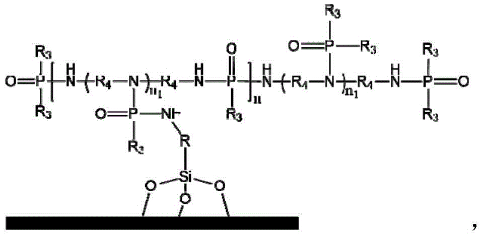
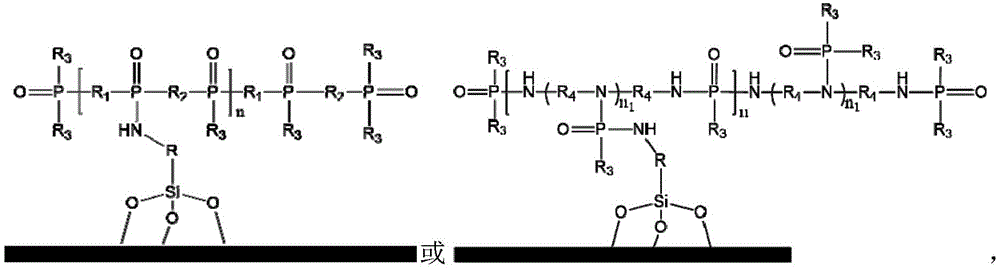
本发明提供的一种用上述三源一体膨胀阻燃剂接枝改性的杂化膨胀阻燃剂,其特征在于该接枝改性的杂化膨胀阻燃剂的结构通式如下:
或式中R为C1~C7的直链或支链亚烷基或含有-NH或者-NH2取代的直链或者支链的亚烷基,R1和R2为 或-NH-Q2-NH-中的任一种,可相同或不相同,Q1和Q2为C1~C12的直链或支链亚烷基以及含有-NH或者-NH2取代的直链或者支链的亚烷基,R3为-O-NH4 +、-O-NH+(CH2CH3)3或中的任一种,R4为C1~C6的直链或支链亚烷基,n≥1,n1≥1,黑色粗横线代表层状双氢氧化物。
本发明提供的上述用三源一体膨胀阻燃剂接枝改性的杂化膨胀阻燃剂的制备方法,其特征在于该方法的工艺步骤和条件如下:
(1)按照现有技术公开的方法制备氨基硅烷偶联剂改性层状双氢氧化物;
(2)先将制备的氨基硅烷偶联剂改性层状双氢氧化物、原料1与缚酸剂加入到分散剂中,使之均匀分散,然后在搅拌条件下,于0~10℃逐滴加入三氯氧磷,并于10~70℃继续反应4~10h;旋蒸除去分散剂后,再加入原料2的水溶液,于70~100℃反应6~14h,降温至0~5℃下抽滤除去水后乙醇洗涤至少三次即可得到接枝改性的杂化膨胀阻燃剂,其中氨基硅烷偶联剂改性层状双氢氧化物与三氯氧磷的质量比为1:5~20;三氯氧磷与原料1中的氨基的摩尔比为1:0.95~2;三氯氧磷与缚酸剂的比例为1:1~2;三氯氧磷与原料2的摩尔比为1:2~4。
以上方法中第(1)步骤制备氨基硅烷偶联剂改性层状双氢氧化物的现有技术可采用文献【兰生杰,氢氧化镁表面改性机理及其在EVA中的应用研究,青海,中科院盐湖研究所,2017】所公开的方法,具体采用的方案如下:将1份含氨基的硅烷偶联剂在乙醇与水的环境中预水解后加到含有10份层状双氢氧化物的水溶液中,55℃下反应2h,抽滤,乙醇和水各洗涤三次即可得到氨基硅烷偶联剂改性层状双氢氧化物。
以上方法中所用的原料2为三乙胺、吡啶或者氨水中的任一种。
以上方法中所用的缚酸剂为三乙胺或吡啶。
以上方法中所用的分散剂为二氯甲烷、氯仿、乙腈、丙酮、1,4-二氧六环或甲苯中的任一种。
本发明提供的一种上述三源一体膨胀阻燃剂或经接枝改性的杂化膨胀阻燃剂的应用是用于热塑性弹性体、橡胶、聚烯烃塑料、脂肪族聚酯以及环氧树脂和不饱和树脂的阻燃。
当采用上述三源一体膨胀阻燃剂或经接枝改性的杂化膨胀阻燃剂阻燃的热塑性聚氨酯弹性体时,该阻燃热塑性聚氨酯弹性体按质量份计是由如下组分经熔融共混而成:
热塑性聚氨酯弹性体98~85份、三源一体膨胀阻燃剂2~15份,所得阻燃热塑性聚氨酯弹性体的极限氧指数LOI为25.5~30.0%,垂直燃烧UL-94等级为V-0级,拉伸强度为11.2~22.7MPa,或
热塑性聚氨酯弹性体98~85份、接枝改性的杂化膨胀阻燃剂2~15份,所得阻燃热塑性聚氨酯弹性体的极限氧指数LOI为27.5~33.0%,垂直燃烧UL-94等级为V-2~V-0级,拉伸强度为16.3~24.5MPa。
当上述三源一体膨胀阻燃剂阻燃的热塑性聚氨酯弹性体中三源一体膨胀阻燃剂4~15份,所得阻燃热塑性聚氨酯弹性体的极限氧指数LOI为27.0~30.0%,垂直燃烧UL-94等级为V-0级,拉伸强度为11.2~20.8MPa,或
热塑性聚氨酯弹性体94~85份、接枝改性的杂化膨胀阻燃剂6~15份,所得阻燃热塑性聚氨酯弹性体的极限氧指数LOI为29.3~33.0%,垂直燃烧UL-94等级为V-0级,拉伸强度为16.3~22.3MPa。
当上述三源一体膨胀阻燃剂阻燃的热塑性聚氨酯弹性体中三源一体的膨胀阻燃剂4~10份,所得阻燃热塑性聚氨酯弹性体的极限氧指数LOI为27.0~29.0%,垂直燃烧UL-94等级为V-0级,拉伸强度为15.8~20.8MPa,或
热塑性聚氨酯弹性体94~88份、接枝改性的杂化膨胀阻燃剂6~12份,所得阻燃热塑性聚氨酯弹性体的极限氧指数LOI为29.3~32.1%,垂直燃烧UL-94等级为V-0级,拉伸强度为18.4~22.3MPa。
当用上述三源一体膨胀阻燃剂或经接枝改性的杂化膨胀阻燃剂阻燃热塑性聚氨酯弹性体时,其制备方法是先将热塑性聚氨酯弹性体98~85份、三源一体膨胀阻燃剂2~15份进行预混,然后加入密炼机中,在转速50~130rpm下,于160~200℃密炼5~10min即可,或
先将热塑性聚氨酯弹性体98~85份、接枝改性杂化膨胀阻燃剂2~15份进行预混,然后加入密炼机中,在转速为50~130rpm下,于160~200℃密炼5~10min即可。
以上方法中所用的三源一体膨胀阻燃剂优选4~15份,更优选4~10份;所用的接枝改性杂化膨胀阻燃剂优选6~15份,更优选6~12份
本发明与现有技术相比,具有以下有益效果:
1、由于本发明不仅提供了一种三源一体的膨胀阻燃剂,还提供了一种用该三源一体的膨胀阻燃剂进行接枝改性的杂化膨胀阻燃剂,与传统膨胀阻燃剂相比,使用时不仅无需进行复配,还能适用于大多数的高分子材料,同时阻燃剂中的磷、氮、炭元素的比例恰当,因而阻燃效率高,成炭性好,2wt%的添加量即可使TPU通过垂直燃烧V-0级别,可大大减少阻燃剂的添加量,降低成本。
2、由于本发明提供的三源一体的膨胀阻燃剂,其分子量较大且结构中含有的离子键更低,因而其耐水性更好,不会导致阻燃剂吸潮失效,且其初始分解温度更高,也能应用于更多聚合物的阻燃。
3、由于本发明提供的接枝改性的杂化膨胀阻燃剂中层状双氢氧化物的不溶特性,以及与三元一体的阻燃剂有明显的协效作用,因而所得的阻燃剂不仅阻燃效果更好,而且水溶性也更低,同时也不溶于常见的有机溶剂。
4、由于本发明提供的阻燃剂与聚氨酯基材的相容性好,可以直接与聚氨酯基材共混,因而不仅对聚氨酯基材的力学性能影响较小,也避免了阻燃剂迁移析出等情况,同时对聚合物加工性能影响小,可直接在现有设备上生产。
5、本发明提供的制备方法简单,易于控制,便于推广使用。
附图说明
图1为本发明实施2所制备的阻燃剂FR-2和原料1的核磁共振氢谱对比图。图中,2.5~2.7ppm的峰归属于乙二胺中的亚甲基的H,与三氯氧磷反应后亚甲基上的H的化学位移出现明显的向高化学位移方向的移动,位于3.2ppm附近,证明了FR-2的成功制备。
图2为本发明实施例2所制备的FR-2的X射线光电子能谱图。从图中可以看出,FR-2所含的元素(C,N,O,P)均能在谱图中的找到对应的出峰,证明了FR-2的成功合成。
图3为本发明实施例2所制备的FR-2的N1s轨道X射线光电子能谱分析的精细谱图。从谱图中可以看出P-N-C与NH4 +对应的结合能,证明FR-2中存在NH4 +的结构,且NH4 +能作为膨胀体系的气源,也能证明FR-2的成功合成且能作为三源一体的膨胀阻燃剂。
图4为本发明实施例2所制备的FR-2的热稳定测试曲线图。从图中可以看出FR-2的热稳定较高,能用于加工温度低于250℃的聚合物的加工。
图5为本发明实施例18所制备的FR-18的扫描电子显微镜照片。从照片中可以看出,制备的FR-18为片状结构,而且片状结构上有很多小点,这些点状结构为硅烷偶联剂的位点。
图6为本发明实施例18所制备的FR-18与层状双氢氧化物(LDH)的X-射线衍射谱图。从图中可以看出其FR-18与LDH相比,其第一个出峰位置的2θ角较小,这是由于部分阴离子插入LDH层间,使得其层间距增加导致的。
图7、图8分别为本发明应用对比例1的纯热塑性聚氨酯弹性体与实施例1所制备的阻燃热塑性聚氨酯弹性体在氧指数为26.0%时的燃烧过程的数码照片。从照片对比可见,应用对比例1即TPU燃烧较为剧烈,在25秒时已经烧至5厘米处的横线处,但是随着阻燃剂FR-2的加入,TPU/FR-2在18秒时已经熄灭,且燃烧距离远小于5厘米,从以上结果中可以看出添加有本发明制备的阻燃剂后阻燃效果有明显的提升。
具体实施方式
下面通过实施例对本发明作进一步说明。值得指出的是,给出的实施例不能理解为对本发明保护范围的限制,该领域的技术人员根据本发明的内容对本发明作出的一些非本质的改进和调整仍应属于本发明保护范围。
另外,值得说明的是,以下应用例和应用对比例所制备阻燃样条的垂直燃烧(UL-94)是采用CZF-2型垂直燃烧仪按照GB/T2408-2008标准进行测试的,极限氧指数(LOI)是采用HC-2C型极限氧指数测定仪按照GB/T 2406.1-2008和GB/T 2406.2-2009标准进行测试的。力学性能是采用CMT2000型万能材料实验机按照GB/T 528-2009标准进行测试的。
实施例1
将1mol乙二胺、2mol三乙胺加入到甲苯中混匀,然后在搅拌条件下,于0℃逐滴加入1mol三氯氧磷,并加热至70℃继续反应6h;旋蒸除去甲苯后,再加入含有2mol的吡啶的水溶液,于100℃反应6h后,降温至5℃下抽滤除去水后乙醇洗涤三次即可得到三源一体的膨胀阻燃剂FR-1。
实施例2
将1mol乙二胺、2mol三乙胺加入到乙腈中混匀,然后在搅拌条件下,于3℃逐滴加入1mol三氯氧磷,并加热至70℃继续反应7h;旋蒸除去乙腈后加入含有2mol的氨的氨水溶液,于90℃反应12h后,降温至5℃下抽滤除去水后乙醇洗涤三次即可得到三源一体的膨胀阻燃剂FR-2。
实施例3
将1mol丙二胺、2mol三乙胺加入到甲苯中混匀,然后在搅拌条件下,于2℃逐滴加入1mol三氯氧磷,并加热至70℃继续反应6h;旋蒸除去甲苯后,再加入含有2mol的氨的氨水溶液,于90℃反应10h后,降温至5℃下抽滤除去水后乙醇洗涤三次即可得到三源一体的膨胀阻燃剂FR-3。
实施例4
将1mol丙二胺、2mol吡啶加入到1,4-二氧六环中混匀,然后在搅拌条件下,于5℃逐滴加入1mol三氯氧磷,并加热至60℃继续反应7h;旋蒸除去1,4-二氧六环后,再加入含有2mol吡啶的水溶液,于90℃反应12h后,降温至5℃下抽滤除去水后乙醇洗涤三次即可得到三源一体的膨胀阻燃剂FR-4。
实施例5
将1mol哌嗪、2mol三乙胺加入到1,4-二氧六环中混匀,然后在搅拌条件下,于5℃逐滴加入1mol三氯氧磷,并加热至60℃继续反应6h;旋蒸除去1,4-二氧六环后,再加入含有2mol三乙胺的水溶液,于80℃反应12h后,降温至5℃下抽滤除去水后乙醇洗涤三次即可得到三源一体的膨胀阻燃剂FR-5。
实施例6
将1mol哌嗪、2mol吡啶加入到丙酮中混匀,然后在搅拌条件下,于10℃逐滴加入1mol三氯氧磷,并加热至50℃继续反应4h;旋蒸除去丙酮后,再加入含有2mol吡啶的水溶液,于80℃反应14h后,降温至5℃下抽滤除去水后乙醇洗涤三次即可得到三源一体的膨胀阻燃剂FR-6。
实施例7
将1mol氨乙基哌嗪、2mol三乙胺加入到丙酮中混匀,然后在搅拌条件下,于0℃逐滴加入1mol三氯氧磷,并加热至50℃继续反应8h;旋蒸除去丙酮后,再加入含有2mol氨的氨水溶液,于80℃反应12h后,降温至5℃下抽滤除去水后乙醇洗涤三次即可得到三源一体的膨胀阻燃剂FR-7。
实施例8
将1mol氨乙基哌嗪、2mol吡啶加入到乙腈中混匀,然后在搅拌条件下,于0℃逐滴加入1mol三氯氧磷,并加热至70℃继续反应5h;旋蒸除去乙腈后,再加入含有2mol氨的氨水溶液,于100℃反应8h后,降温至5℃下抽滤除去水后乙醇洗涤三次即可得到三源一体的膨胀阻燃剂FR-8。
实施例9
将1mol二乙烯三胺、3mol三乙胺加入到氯仿中混匀,然后在搅拌条件下,于10℃逐滴加入2mol三氯氧磷,并加热至40℃继续反应8h;旋蒸除去氯仿后,再加入含有6mol三乙胺的水溶液,于100℃反应9h后,降温至5℃下抽滤除去水后乙醇洗涤三次即可得到三源一体的膨胀阻燃剂FR-9。
实施例10
将1mol二乙烯三胺、3mol吡啶加入到丙酮中混匀,然后在搅拌条件下,于0℃逐滴加入2mol三氯氧磷,并加热至40℃继续反应8h;旋蒸除去丙酮后,再加入含有6mol氨的氨水溶液,于90℃反应11h后,降温至5℃下抽滤除去水后乙醇洗涤三次即可得到三源一体的膨胀阻燃剂FR-10。
实施例11
将1mol四乙烯五胺、5mol三乙胺加入到甲苯中混匀,然后在搅拌条件下,于4℃逐滴加入4mol三氯氧磷,并加热至20℃继续反应10h;旋蒸除去甲苯后,再加入含有14mol吡啶的水溶液,于100℃反应10h后,降温至5℃下抽滤除去水后乙醇洗涤三次即可得到三源一体的膨胀阻燃剂FR-11。
实施例12
将1mol四乙烯五胺、5mol吡啶加入到氯仿中混匀,然后在搅拌条件下,于2℃逐滴加入4mol三氯氧磷,并加热至40℃继续反应7h;旋蒸除去氯仿后,再加入含有14mol三乙胺的水溶液,于90℃反应12h后,降温至5℃下抽滤除去水后乙醇洗涤三次即可得到三源一体的膨胀阻燃剂FR-12。
实施例13
将43gPEI、1mol三乙胺加入到二氯甲烷中混匀,然后在搅拌条件下,于0℃逐滴加入1mol三氯氧磷,并加热至10℃继续反应10h;旋蒸除去二氯甲烷后,再加入含有4mol三乙胺的水溶液,于90℃反应10h后,降温至5℃下抽滤除去水后乙醇洗涤三次即可得到三源一体的膨胀阻燃剂FR-13。
实施例14
将43gPEI、1mol吡啶加入到二氯甲烷中混匀,然后在搅拌条件下,于8℃逐滴加入1mol三氯氧磷,并加热至30℃继续反应4h;旋蒸除去二氯甲烷后,再加入含有4mol氨的氨水溶液,于100℃反应12h后,降温至5℃下抽滤除去水后乙醇洗涤三次即可得到三源一体的膨胀阻燃剂FR-14。
实施例15
将0.5mol乙二胺、0.5mol哌嗪、2mol三乙胺加入到氯仿中混匀,然后在搅拌条件下,于0℃逐滴加入1mol三氯氧磷,并加热至60℃继续反应6h;旋蒸除去氯仿后,再加入含有2mol三乙胺的水溶液,于90℃反应6h后,降温至5℃下抽滤除去水后乙醇洗涤三次即可得到三源一体的膨胀阻燃剂FR-15。
实施例16
将0.5mol哌嗪、0.5mol氨乙基哌嗪、2mol三乙胺加入到乙腈中混匀,然后在搅拌条件下,于0℃逐滴加入1mol三氯氧磷,并加热至40℃继续反应8h;旋蒸除去乙腈后,再加入含有2mol氨的氨水溶液,于90℃反应12h后,降温至5℃下抽滤除去水后乙醇洗涤三次即可得到三源一体的膨胀阻燃剂FR-16。
实施例17
将10g氨丙基三乙氧基硅烷在80ml乙醇与20ml水的混合溶液中预水解后加到100g层状双氢氧化物的水溶液中,55℃反应2h后,抽滤,乙醇和水依次各洗涤三次即可得到氨基硅烷偶联剂改性层状双氢氧化物(A110-LDH)。
先将30gA110-LDH、41gPEI与1mol三乙胺在二氯甲烷中,使之均匀分散,然后在搅拌条件下,于10℃逐滴加入1mol三氯氧磷,并加热至20℃继续反应4h;旋蒸除去二氯甲烷后,再加入含有4mol三乙胺的水溶液,于90℃反应14h后,降温至5℃下抽滤除去水后乙醇洗涤三次即可得到接枝改性的杂化膨胀阻燃剂FR-17。
实施例18
将10g氨丙基三甲氧基硅烷在80ml乙醇与20ml水的混合溶液中预水解后加到100g层状双氢氧化物的水溶液中,55℃反应2h后,抽滤,乙醇和水依次各洗涤三次即可得到氨基硅烷偶联剂改性层状双氢氧化物(A111-LDH)。
先将30gA111-LDH、0.99mol四乙烯五胺、5mol吡啶在甲苯中,使之均匀分散,然后在搅拌条件下,于8℃逐滴加入4mol三氯氧磷,并加热至70℃继续反应6h;旋蒸除去甲苯后,再加入含有14mol氨的氨水溶液,于90℃反应10h后,降温至5℃下抽滤除去水后乙醇洗涤三次即可得到接枝改性的杂化膨胀阻燃剂FR-18。
实施例19
将10g氨乙基氨丙基三乙氧基硅烷在80ml乙醇与20ml水的混合溶液中预水解后加到100g层状双氢氧化物的水溶液中,55℃反应2h后,抽滤,乙醇和水依次各洗涤三次即可得到氨基硅烷偶联剂改性层状双氢氧化物(A112-LDH)。
先将15gA112-LDH、0.95mol乙二胺、2mol三乙胺在氯仿中,使之均匀分散,然后在搅拌条件下,于0℃逐滴加入1mol三氯氧磷,并加热至10℃继续反应10h;旋蒸除去氯仿后,再加入含有2mol氨的氨水溶液,于80℃反应14h后,降温至5℃下抽滤除去水后乙醇洗涤三次即可得到接枝改性的杂化膨胀阻燃剂FR-19。
应用例1-10
将以上实施例中所制得的阻燃剂FR-2、FR-6、FR-10、FR-13和TPU在100℃烘干3h后,按表1的比例加入到密炼机中在转速为50~130rpm下,于160~200℃密炼5~10min。取出后进平板硫化机压板制样,测得的极限氧指数和UL-94等级结果见表1,力学性能结果参见表2。
应用例11-18
将以上实施例18-19所制得的阻燃剂FR-18,FR-19和TPU在100℃烘干3h后,按表1的比例加入到密炼机中在转速为50~130rpm下,于160~200℃密炼5~10min。取出后进平板硫化机压板制样,测得的极限氧指数和UL-94等级结果见表1,力学性能结果参见表2。
应用例19-28
将以上实施例13与实施例19所制得的阻燃剂FR-13,FR-19和三元乙丙橡胶(EPDM),聚丙烯(PP),聚乳酸(PLA),环氧(EP)或不饱和树脂(UPR)在100℃烘干3h后,按表4的比例加入到密炼机中在转速为50~130rpm下,于160~200℃密炼5~10min,取出后进平板硫化机压板制样,其中天然橡胶需要硫化和炭黑补强,环氧树脂与不饱和树脂是采用的常规固化成型方法。测得的极限氧指数和UL-94等级结果见表3。
应用对比例1
先将热塑性聚氨酯弹性体在100℃烘干3h,然后加入到密炼机中,在转速为50rpm下,于200℃密炼5min。取出后进平板硫化机压板制样,测得的极限氧指数和垂直燃烧见表1,力学性能结果参见表2。
应用对比例2
参见专利CN103756013A合成三源一体的膨胀阻燃剂PA-APP,然后将所制的PA-APP和TPU在100℃烘干3h后,按表1的比例加入到密炼机中在转速为50~130rpm下,于160~200℃密炼5~10min。取出后进平板硫化机压板制样,测得的极限氧指数和UL-94等级结果见表3.
表1
注:V-0a表示样条通过垂直燃烧V-0级别,但是仍有轻微的熔滴现象存在,但不会引燃样条下方的脱脂棉;V-0b表示样条通过垂直燃烧V-0级别,且完全没有熔滴。
表2
表3
Claims (10)
2.一种制备权利要求1所述三源一体膨胀阻燃剂的方法,其特征在于该方法的工艺步骤和条件如下:
先将原料1与缚酸剂加入到分散剂中,然后在搅拌条件下,于0~10℃逐滴加入三氯氧磷,并于10~70℃继续反应4~10h;旋蒸除去分散剂后,再加入原料2的水溶液,于70~100℃反应6~12h,降温至0~5℃下抽滤除去水后乙醇洗涤至少三次即可得到三源一体的膨胀阻燃剂,其中三氯氧磷与原料1中的氨基的摩尔比为1:1~2;三氯氧磷与缚酸剂的摩尔比为1:1~2;三氯氧磷与原料2的摩尔比为1:2~4,
3.根据权利要求2所述的三源一体膨胀阻燃剂的制备方法,其特征在于该方法中所用的缚酸剂为三乙胺或吡啶;所用的分散剂为二氯甲烷、氯仿、乙腈、丙酮、1,4-二氧六环或甲苯中的任一种。
5.一种制备用权利要求1所述三源一体膨胀阻燃剂接枝改性的杂化膨胀阻燃剂的方法,其特征在于该方法的工艺步骤和条件如下:
(1)将1份含氨基的硅烷偶联剂在乙醇与水的环境中预水解后加到含有10份层状双氢氧化物的水溶液中,55℃下反应2h,抽滤,乙醇和水各洗涤三次即可制备得到氨基硅烷偶联剂改性层状双氢氧化物;
(2)先将制备的氨基硅烷偶联剂改性层状双氢氧化物、原料1与缚酸剂加入到分散剂中,使之均匀分散,然后在搅拌条件下,于0~10℃逐滴加入三氯氧磷,并于10~70℃继续反应4~10h;旋蒸除去分散剂后,再加入原料2的水溶液,于70~100℃反应6~12h,降温至0~5℃下抽滤除去水后乙醇洗涤至少三次即可得到接枝改性的杂化膨胀阻燃剂,其中氨基硅烷偶联剂改性层状双氢氧化物与三氯氧磷的质量比为1:5~20;三氯氧磷与原料1中的氨基的摩尔比为1:0.95~2;三氯氧磷与缚酸剂的比例为1:1~2;三氯氧磷与原料2的摩尔比为1:2~4,
6.根据权利要求5所述的三源一体膨胀阻燃剂接枝改性的杂化膨胀阻燃剂的方法,其特征在于该方法中所用的缚酸剂为三乙胺或吡啶;所用的分散剂为二氯甲烷、氯仿、乙腈、丙酮、1,4-二氧六环或甲苯中的任一种。
7.一种权利要求1所述三源一体膨胀阻燃剂的应用是用于热塑性弹性体、橡胶、聚烯烃塑料、脂肪族聚酯,环氧树脂和不饱和树脂的阻燃。
8.根据权利要求7所述三源一体膨胀阻燃剂的应用,其特征在于当用于阻燃的热塑性聚氨酯弹性体时,按质量份计是由如下组分经熔融共混而成:
热塑性聚氨酯弹性98~85份、三源一体膨胀阻燃剂2~15份,所得热塑性聚氨酯弹性的极限氧指数LOI为25.5~30.0%,垂直燃烧UL-94等级为V-0级,拉伸强度为11.2~22.7Mpa。
9.一种权利要求4所述接枝改性的杂化膨胀阻燃剂的应用是用于热塑性弹性体、橡胶、聚烯烃塑料、脂肪族聚酯,环氧树脂和不饱和树脂的阻燃。
10.根据权利要求9所述接枝改性的杂化膨胀阻燃剂的应用,其特征在于当用于阻燃的热塑性聚氨酯弹性体时,按质量份计是由如下组分经熔融共混而成:
热塑性聚氨酯弹性体98~85份、接枝改性的杂化膨胀阻燃剂2~15份,所得阻燃聚氨酯弹性体的极限氧指数LOI为27.5~33.0%,垂直燃烧UL-94等级为V-2~V-0级,拉伸强度为16.3~24.5MPa。
Priority Applications (1)
| Application Number | Priority Date | Filing Date | Title |
|---|---|---|---|
| CN201910124168.6A CN109879907B (zh) | 2019-02-19 | 2019-02-19 | 三源一体膨胀阻燃剂、用其接枝的杂化膨胀阻燃剂及它们的制备方法和应用 |
Applications Claiming Priority (1)
| Application Number | Priority Date | Filing Date | Title |
|---|---|---|---|
| CN201910124168.6A CN109879907B (zh) | 2019-02-19 | 2019-02-19 | 三源一体膨胀阻燃剂、用其接枝的杂化膨胀阻燃剂及它们的制备方法和应用 |
Publications (2)
| Publication Number | Publication Date |
|---|---|
| CN109879907A CN109879907A (zh) | 2019-06-14 |
| CN109879907B true CN109879907B (zh) | 2021-09-14 |
Family
ID=66928355
Family Applications (1)
| Application Number | Title | Priority Date | Filing Date |
|---|---|---|---|
| CN201910124168.6A Active CN109879907B (zh) | 2019-02-19 | 2019-02-19 | 三源一体膨胀阻燃剂、用其接枝的杂化膨胀阻燃剂及它们的制备方法和应用 |
Country Status (1)
| Country | Link |
|---|---|
| CN (1) | CN109879907B (zh) |
Citations (7)
| Publication number | Priority date | Publication date | Assignee | Title |
|---|---|---|---|---|
| US3658791A (en) * | 1967-02-21 | 1972-04-25 | Stevens & Co Inc J P | Phosphorus-containing compounds |
| JPS5655343A (en) * | 1979-10-12 | 1981-05-15 | Asahi Chem Ind Co Ltd | Diester of 3,5,3',5'-tetrabromobisphenol a and halogenated aromatic carboxylic acid |
| CN102040630A (zh) * | 2010-12-07 | 2011-05-04 | 南昌航空大学 | 三位一体丙烯酸化含磷三聚氰胺膨胀阻燃剂寡聚物的制备方法 |
| CN102344510A (zh) * | 2011-07-13 | 2012-02-08 | 同济大学 | 一种三源一体膨胀型阻燃剂的制备方法 |
| CN106633022A (zh) * | 2016-11-28 | 2017-05-10 | 宋雪晶 | 一种三源一体超支化结构阻燃剂的制备方法及其应用 |
| CN106674592A (zh) * | 2016-12-31 | 2017-05-17 | 华南理工大学 | 一种磷酸酯密胺盐类氮磷膨胀阻燃剂及其制备方法和应用 |
| CN107652324A (zh) * | 2017-09-22 | 2018-02-02 | 东北林业大学 | 三源一体膨胀型阻燃剂及其合成方法和应用 |
-
2019
- 2019-02-19 CN CN201910124168.6A patent/CN109879907B/zh active Active
Patent Citations (7)
| Publication number | Priority date | Publication date | Assignee | Title |
|---|---|---|---|---|
| US3658791A (en) * | 1967-02-21 | 1972-04-25 | Stevens & Co Inc J P | Phosphorus-containing compounds |
| JPS5655343A (en) * | 1979-10-12 | 1981-05-15 | Asahi Chem Ind Co Ltd | Diester of 3,5,3',5'-tetrabromobisphenol a and halogenated aromatic carboxylic acid |
| CN102040630A (zh) * | 2010-12-07 | 2011-05-04 | 南昌航空大学 | 三位一体丙烯酸化含磷三聚氰胺膨胀阻燃剂寡聚物的制备方法 |
| CN102344510A (zh) * | 2011-07-13 | 2012-02-08 | 同济大学 | 一种三源一体膨胀型阻燃剂的制备方法 |
| CN106633022A (zh) * | 2016-11-28 | 2017-05-10 | 宋雪晶 | 一种三源一体超支化结构阻燃剂的制备方法及其应用 |
| CN106674592A (zh) * | 2016-12-31 | 2017-05-17 | 华南理工大学 | 一种磷酸酯密胺盐类氮磷膨胀阻燃剂及其制备方法和应用 |
| CN107652324A (zh) * | 2017-09-22 | 2018-02-02 | 东北林业大学 | 三源一体膨胀型阻燃剂及其合成方法和应用 |
Also Published As
| Publication number | Publication date |
|---|---|
| CN109879907A (zh) | 2019-06-14 |
Similar Documents
| Publication | Publication Date | Title |
|---|---|---|
| Zhang et al. | A novel organic-inorganic hybrid K-HBPE@ APP performing excellent flame retardancy and smoke suppression for polypropylene | |
| Zhu et al. | Synthesis of an effective bio-based flame-retardant curing agent and its application in epoxy resin: Curing behavior, thermal stability and flame retardancy | |
| Liu et al. | A multi-element flame retardant on the basis of silicon-phosphorus-nitrogen for combustibility suppressing of epoxy | |
| Zhu et al. | An efficient flame retardant for silicone rubber: Preparation and application | |
| Liao et al. | An efficient halogen-free flame retardant for polyethylene: piperazinemodified ammonium polyphosphates with different structures | |
| Wu et al. | Self-assembled double core-shell structured zeolitic imidazole framework-8 as an effective flame retardant and smoke suppression agent for thermoplastic polyurethane | |
| Duan et al. | Phosphor nitrile functionalized UiO-66-NH2/graphene hybrid flame retardants for fire safety of epoxy | |
| CN102675895A (zh) | 一种dopo改性纳米介孔分子筛的阻燃复合材料 | |
| WO2020019596A1 (zh) | 一种磷腈类化合物、包括该磷腈类化合物的组合物、包含其的阻燃剂以及应用 | |
| Liu et al. | The investigation of intumescent flame-retarded polypropylene using poly (hexamethylene terephthalamide) as carbonization agent | |
| CN112646510B (zh) | 一种阻燃剂的制备及其在阻燃型胶粘剂中的应用 | |
| CN109438925A (zh) | 一种本征型无卤低烟阻燃环氧树脂复合材料的制备方法 | |
| CN111748091B (zh) | 一种P-N-Si协效阻燃聚酰胺6及其制备方法 | |
| CA3182436A1 (en) | Vanillin-derived flame retardant monomers, resins, prepolymers, and polymers | |
| Liu et al. | Synthesis and performance of three flame retardant additives containing diethyl phosphite/phenyl phosphonic moieties | |
| CN109824942B (zh) | 有机-无机杂化材料复合阻燃剂的制备及其应用 | |
| CN105330803B (zh) | 一种三嗪类超支化聚脲成炭剂及其制备方法 | |
| CN118878907A (zh) | 一种阻燃导电泡沫材料的制备方法 | |
| CN113444358A (zh) | 一种增材制造用阻燃tpu复合粉体材料及其制备方法 | |
| Zhou et al. | P/N/Si-containing hyperbranched polyamide-amine salt with adaptive interfaces: a solution to break the performance paradox in flame-retardant polypropylene | |
| CN109879907B (zh) | 三源一体膨胀阻燃剂、用其接枝的杂化膨胀阻燃剂及它们的制备方法和应用 | |
| CN107652324A (zh) | 三源一体膨胀型阻燃剂及其合成方法和应用 | |
| Lu et al. | Research Progress and Application Prospects of Reactive Flame‐Retardant Polyamide | |
| Wang et al. | Triethylenetetramine-modified ammonium polyphosphate as charring agent for enhanced flame retardancy in ethylene vinyl acetate copolymer | |
| Zhang et al. | The synergistic effect of inorganic hybrid nanofibers and phytic acid-based nanosheets towards improving the fire retardancy and comprehensive performance of epoxy resin |
Legal Events
| Date | Code | Title | Description |
|---|---|---|---|
| PB01 | Publication | ||
| PB01 | Publication | ||
| SE01 | Entry into force of request for substantive examination | ||
| SE01 | Entry into force of request for substantive examination | ||
| GR01 | Patent grant | ||
| GR01 | Patent grant |





















