CN109800617B - Method and equipment for detecting wedging tightness degree of bone file - Google Patents
Method and equipment for detecting wedging tightness degree of bone file Download PDFInfo
- Publication number
- CN109800617B CN109800617B CN201711128508.XA CN201711128508A CN109800617B CN 109800617 B CN109800617 B CN 109800617B CN 201711128508 A CN201711128508 A CN 201711128508A CN 109800617 B CN109800617 B CN 109800617B
- Authority
- CN
- China
- Prior art keywords
- signal
- power spectrum
- electric signal
- acoustic
- feature
- Prior art date
- Legal status (The legal status is an assumption and is not a legal conclusion. Google has not performed a legal analysis and makes no representation as to the accuracy of the status listed.)
- Active
Links
Images
Landscapes
- Measurement Of Mechanical Vibrations Or Ultrasonic Waves (AREA)
- Investigating Or Analyzing Materials By The Use Of Ultrasonic Waves (AREA)
Abstract
The embodiment of the invention provides a method and equipment for detecting the wedging tightness of a bone file, relates to the field of medical treatment, and aims to solve the problem that the method for judging the wedging tightness of the bone file through experience in the existing hip joint replacement surgery is unreliable. The method comprises the following steps: receiving an acoustic signal of the hammering bone file and converting the acoustic signal into a first electric signal; conditioning and converting the first electric signal to obtain a digital sound signal; preprocessing the digital sound signal to obtain an effective sound pulse signal; extracting the characteristics of the effective acoustic pulse signals to obtain characteristic parameters and generate characteristic vectors; performing pattern recognition on the feature vector to obtain a recognition result; and carrying out corresponding prompt according to the identification result. The embodiment of the invention can enable an operator to judge the wedging degree of the bone file more accurately, is beneficial to treating a patient and can also avoid causing more injuries to the patient.
Description
Technical Field
The invention relates to the field of medical treatment, in particular to a method and equipment for detecting the wedging tightness degree of a bone file.
Background
The artificial hip joint replacement surgery is one of the most effective methods for treating hip joint diseases at present, the difficulty of femoral side treatment in the process of the joint replacement surgery lies in the judgment of the size of a bone file, the traditional method is generally finished only by the experience of a doctor or by matching with X-ray fluoroscopy in the surgery, the judgment accuracy rate has great relation with the experience of the doctor and the perfection of modern supporting equipment in an operating room, on one hand, the development of the three-line urban orthopedics level is limited, on the other hand, the experience judgment has instability, the exposure amount of radioactive rays in the surgery of a patient is increased by adopting the fluoroscopy, and the patient is easily injured.
Disclosure of Invention
The embodiment of the invention provides a method and equipment for detecting the wedging tightness degree of a bone file, and aims to solve the problem that the method for judging the wedging tightness degree of the bone file through experience in the existing hip joint replacement surgery is unreliable.
In a first aspect, embodiments of the present invention provide a method for detecting the tightness of a file wedge, the method comprising:
receiving an acoustic signal of the hammering bone file and converting the acoustic signal into a first electric signal;
conditioning and converting the first electric signal to obtain a digital sound signal;
preprocessing the digital sound signal to obtain an effective sound pulse signal;
extracting the characteristics of the effective acoustic pulse signals to obtain characteristic parameters and generate characteristic vectors;
performing pattern recognition on the feature vector to obtain a recognition result;
carrying out corresponding prompt according to the identification result;
wherein the identification result comprises loose coupling, transition state and tight coupling.
Optionally, the conditioning and converting the first electrical signal to obtain a digitized acoustic signal includes: amplifying the first electric signal without distortion to obtain a second electric signal; low-pass filtering the second electric signal to obtain a third electric signal; and carrying out A/D conversion on the third electric signal to obtain the digitized acoustic signal.
Optionally, the preprocessing the digitized acoustic signal to obtain an effective acoustic pulse signal includes: and extracting the effective sound pulse signal from the digitized sound signal by an end point detection method.
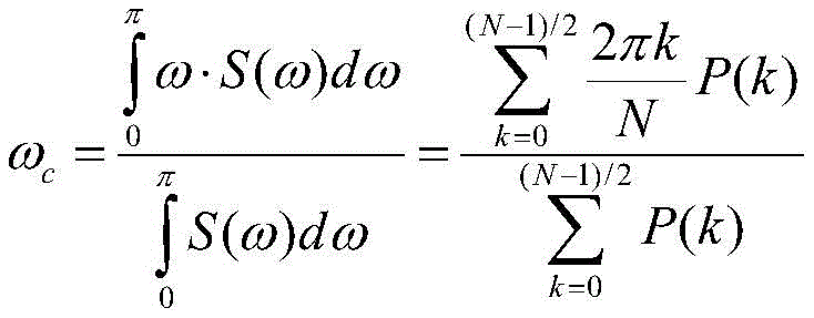
Optionally, the characteristic parameters include: spectral centroid, power spectral mean variance, and energy-duration ratio;
the spectrum centroid is used for describing the centroid position of the power spectrum of the effective sound pulse signal, and the calculation formula is as follows:
where ω is the frequency, S (ω) is the continuous signal power spectrum,is a discrete signal power spectrum, k is a discrete frequency, and N is a discrete power spectrum length;
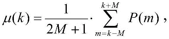
the power spectrum mean variation variance is used for describing the discrete degree of the power spectrum of the effective sound pulse signal relative to a smooth curve, and the calculation formula is as follows:
wherein μ (k) is the mean filtering result of the power spectrum P (k),k is discrete frequency, 2M +1 is the number of power spectrums participating in mean value calculation, and M is a power spectrum index;
the energy-duration ratio is used for describing the attenuation characteristic of the excited signal, and the calculation formula is as follows:
energy-duration ratio: PTR ═ RMS/T
Where x (T) is the signal sequence, T is the signal length, and T is the signal time index.
Optionally, the performing pattern recognition on the feature vector to obtain a recognition result includes: establishing a feature space; finding a separating hyperplane in the feature space according to an interval maximization principle, wherein the separating hyperplane is used for separating sample feature vectors in the feature space; the separation hyperplane firstly separates the loosely coupled sample and then separates the tightly coupled sample from the transition state; and mapping the characteristic vector to the characteristic space for pattern recognition to obtain a recognition result.
In a second aspect, an embodiment of the present invention provides a detection apparatus, including:
the microphone is used for receiving an acoustic signal of the hammering bone file and converting the acoustic signal into a first electric signal;
the signal conditioning/converting module is used for conditioning and converting the first electric signal to obtain a digital sound signal;
the digital signal processing DSP module is used for preprocessing the digital sound signals to obtain effective sound pulse signals, extracting features of the effective sound pulse signals to obtain feature parameters and generate feature vectors, performing mode recognition on the feature vectors to obtain recognition results and performing corresponding prompt according to the recognition results;
wherein the identification result comprises loose coupling, transition state and tight coupling.
Optionally, the DSP module includes a support vector machine SVM, configured to perform pattern recognition on the feature vector to obtain the recognition result.
Optionally, the detection apparatus further comprises:
a Field Programmable Gate Array (FPGA) for transmitting the first electrical signal from the microphone to the signal conditioning/conversion module and for transmitting the digitized acoustic signal from the signal conditioning/conversion module to the DSP module;
the battery and power supply management module is used for providing power supply and converting voltage values;
and the indicating lamp is electrically connected with the DSP module and used for carrying out corresponding prompt according to the identification result.
Optionally, the signal conditioning/converting module comprises:
the amplifying circuit is used for amplifying the first electric signal without distortion to obtain a second electric signal;
the low-pass filter is used for performing low-pass filtering on the second electric signal to obtain a third electric signal;
and the A/D converter is used for carrying out A/D conversion on the third electric signal to obtain the digitized acoustic signal.
Optionally, the preprocessing the digitized acoustic signal to obtain an effective acoustic pulse signal includes: and extracting the effective sound pulse signal from the digitized sound signal by an end point detection method.
Optionally, the characteristic parameters include: spectral centroid, power spectral mean variance, and energy-duration ratio;
the spectrum centroid is used for describing the centroid position of the power spectrum of the effective sound pulse signal, and the calculation formula is as follows:
where ω is the frequency, S (ω) is the continuous signal power spectrum,is a discrete signal power spectrum, k is a discrete frequency, and N is a discrete power spectrum length;
the power spectrum mean variation variance is used for describing the discrete degree of the power spectrum of the effective sound pulse signal relative to a smooth curve, and the calculation formula is as follows:
wherein μ (k) is the mean filtering result of the power spectrum P (k),k is discrete frequency, 2M +1 is the number of power spectrums participating in mean value calculation, and M is a power spectrum index;
the energy-duration ratio is used for describing the attenuation characteristic of the excited signal, and the calculation formula is as follows:
energy-duration ratio: PTR ═ RMS/T
Where x (T) is the signal sequence, T is the signal length, and T is the signal time index.
Optionally, the performing pattern recognition on the feature vector to obtain a recognition result includes: establishing a feature space; finding a separating hyperplane in the feature space according to an interval maximization principle, wherein the separating hyperplane is used for separating sample feature vectors in the feature space; the separation hyperplane firstly separates the loosely coupled sample and then separates the tightly coupled sample from the transition state; and mapping the characteristic vector to the characteristic space for pattern recognition to obtain a recognition result.
The embodiment of the invention has the following beneficial effects:
firstly, a microphone in the detection equipment receives an acoustic signal of a hammering bone file and converts the acoustic signal into a first electric signal, and the first electric signal is processed by a signal conditioning/converting module to obtain a digital acoustic signal; then, the digital sound signal enters a DSP module to be preprocessed, extracted and generated into a feature vector; finally, the SVM in the DSP module is used for carrying out mode recognition on the characteristic vector to obtain a recognition result, the recognition result is divided into a loose coupling state, a transition state and a tight coupling state, and corresponding prompt is carried out according to the recognition result, so that an operating doctor can judge the wedging degree of the bone file accurately, the treatment on a patient is facilitated, and more injuries to the patient can be avoided.
Drawings
FIG. 1 is a flow chart of a method for detecting the degree of tightness of the file wedge according to an embodiment of the present invention;
FIG. 2 is a schematic flow chart of step 102 of FIG. 1;
FIG. 3 is a schematic flow chart of step 105 in FIG. 1;
fig. 4 is a schematic structural diagram of a detection apparatus according to an embodiment of the present invention.
Detailed Description
In order to more clearly illustrate the technical solutions of the embodiments of the present invention, the drawings needed to be used in the description of the embodiments of the present invention will be briefly introduced below, and it is obvious that the drawings in the following description are only some embodiments of the present invention, and it is obvious for those skilled in the art that other drawings can be obtained according to these drawings without inventive labor.
Referring to fig. 1, there is shown a method of detecting the tightness of the file wedge, comprising the following steps:
101, receiving an acoustic signal of a hammering bone file, and converting the acoustic signal into a first electric signal;
in the embodiment of the invention, the detection device is placed at a position about 1 meter away from the bone file, and the sound signal of the hammering bone file is received by the microphone in the detection device and converted into the first electric signal.
The sound signal is mainly from the holder and the bone file because the mass of the hammer head is relatively concentrated, the mode of the hammer head is mainly at high frequency and is not easy to be excited. Along with the bone file step by step wedges in the bone chamber, the pretightning force grow that it received leads to the resonant frequency of bone file to receive the influence, and then shows on the sound. Meanwhile, as the spongy bone tissue and the compact bone tissue are different and the acoustic impedances thereof are different, when longitudinal waves excited by hammering axially propagate along the bone file, the reflection condition when the longitudinal waves meet the spongy bone interface or the compact bone interface is also changed, so that the sound waves are changed.
the first electrical signal from the microphone is an analog signal that needs to be a/D converted to a digital signal for subsequent processing and identification.
In an alternative embodiment, referring to fig. 2, said step 102 comprises:
in the embodiment of the invention, because the acquired first electrical signal has weak signal strength and a larger error when directly used, proper amplification is required to reduce the error. The first electrical signal is amplified by an amplifying circuit to obtain a second electrical signal.
in the embodiment of the invention, the sound wave mode of the hammer head is at high frequency, the sound radiated by the hammer belongs to interference factors, and the high-frequency part in the second electric signal is filtered by the low-pass filter to obtain a third electric signal, so that the anti-aliasing filtering is realized.
1023, carrying out A/D conversion on the third electric signal to obtain a digital sound signal;
in the embodiment of the invention, the third electric signal is converted into the digitized acoustic signal through the A/D converter, so that the conversion from the analog signal to the digital signal is realized.
in the embodiment of the invention, the digitized acoustic Signal enters a DSP (Digital Signal Processing) module for preprocessing to obtain an effective acoustic pulse Signal.
The preprocessing method is end point detection, which is commonly used to detect valid speech segments from a continuous speech stream, i.e. in the present embodiment, valid ping signals from digitized acoustic signals.
104, extracting the characteristics of the effective acoustic pulse signals to obtain characteristic parameters and generate characteristic vectors;
in an embodiment of the present invention, the characteristic parameters include: spectral centroid, power spectral mean variance, and energy-duration ratio.
The spectrum centroid is used for describing the centroid position of the power spectrum of the effective sound pulse signal, and the calculation formula is as follows:
where ω is the frequency, S (ω) is the continuous signal power spectrum,is a discrete signal power spectrum, k is a discrete frequency, and N is a discrete power spectrum length;
the power spectrum mean variance is used for describing the discrete degree of the power spectrum of the effective sound pulse signal relative to a smooth curve, and the calculation formula is as follows:
wherein μ (k) is the mean filtering result of the power spectrum P (k),k is discrete frequency, 2M +1 is the number of power spectrums participating in mean value calculation, and M is a power spectrum index;
the energy-duration ratio is used to describe the attenuation characteristics of the excited signal and is calculated by the formula:
energy-duration ratio: PTR ═ RMS/T
Where x (T) is the signal sequence, T is the signal length, and T is the signal time index.
And establishing a corresponding feature vector according to the feature parameter calculation result.
105, performing pattern recognition on the feature vectors to obtain recognition results;
in the embodiment of the present invention, the pattern recognition is performed by a Support Vector Machine (SVM) in the DSP module.
The SVM is a two-class classifier and is suitable for establishing a classification model under the condition of limited samples, and a basic model of the SVM is a maximum interval linear classifier defined on a feature space. The SVM maps the sample space into a high-dimensional or infinite-dimensional feature space through nonlinear mapping, so that the problem of nonlinear divisibility in the original sample space is converted into the problem of linear divisibility in the feature space. In the embodiment of the invention, the sample space is a loosely-coupled sample, a tightly-coupled sample and a transition state sample, the samples in the sample space can be from the hammering acoustic signal in the operation and can also be from research experiments carried out on a bone model, and a large number of samples can be collected for establishing the sample space at the early stage.
In an alternative embodiment, referring to fig. 3, said step 105 comprises:
1051, establishing a feature space;
in the embodiment of the invention, a high-dimensional feature space is established, the feature signals of three samples in the sample space are extracted, the sample feature vector is generated according to the feature signals, and the sample feature vector is mapped into the feature space.
in the embodiment of the invention, the separation hyperplane separates the characteristic vector of the loosely-coupled sample, the characteristic vector of the tightly-coupled sample and the characteristic vector of the transition state sample step by step, and three modes are obtained through training a large number of samples in a sample space: loose coupling, tight coupling, and transitional states.
in the embodiment of the invention, the feature vector of the effective acoustic pulse signal is mapped into the feature space, and the feature vector and the three patterns obtained through training are subjected to pattern recognition to obtain a recognition result.
in the embodiment of the invention, the DSP module sends a control instruction to the indicator light according to the recognition result obtained from the SVM.
Alternatively, the indicator light may indicate a tight coupling with a red light, a transition state with a yellow light, and a loose coupling with a green light, although not limited thereto.
After the step 106 is executed, the operation returns to the step 101, so that the acoustic signal of the hammering bone file is detected in real time, and the doctor can confirm the degree of tightness of wedging of the bone file in time.
Thus, in the embodiment of the invention, the microphone in the detection device receives the acoustic signal of the hammering bone file and converts the acoustic signal into the first electric signal, and the first electric signal is processed by the signal conditioning/converting module to obtain a digitized acoustic signal; then, the digital sound signal enters a DSP module to be preprocessed, extracted and generated into a feature vector; finally, the SVM in the DSP module is used for carrying out mode recognition on the characteristic vector to obtain a recognition result, the recognition result is divided into a loose coupling state, a transition state and a tight coupling state, and corresponding prompt is carried out according to the recognition result, so that an operating doctor can judge the wedging degree of the bone file accurately, the treatment on a patient is facilitated, and more injuries to the patient can be avoided.
Referring to fig. 4, there is shown a configuration of a detection device 400 comprising a microphone 401, a signal conditioning/conversion module 402, a DSP module 403, an FPGA404, a battery and power management module 405 and an indicator light 406;
the microphone 401 is used for receiving an acoustic signal of the hammering bone file and converting the acoustic signal into a first electric signal;
a signal conditioning/converting module 402, configured to condition and convert the first electrical signal to obtain a digitized acoustic signal;
the DSP module 403 is configured to pre-process the digitized acoustic signal to obtain an effective acoustic pulse signal, perform feature extraction on the effective acoustic pulse signal to obtain feature parameters and generate feature vectors, perform pattern recognition on the feature vectors to obtain recognition results, and perform corresponding prompting according to the recognition results;
wherein, the identification result comprises loose coupling, transition state and tight coupling.
Optionally, the DSP module 403 includes: and the SVM4031 is used for performing pattern recognition on the feature vector to obtain a recognition result.
The signal conditioning/conversion module 402 includes:
the amplifying circuit 4021 is configured to amplify the first electrical signal without distortion to obtain a second electrical signal;
a low-pass filter 4022, configured to perform low-pass filtering on the second electrical signal to obtain a third electrical signal;
an a/D converter 4023, configured to perform an a/D conversion on the third electrical signal to obtain a digitized acoustic signal.
Optionally, the detection apparatus 400 further comprises:
an FPGA (Field-Programmable Gate Array) 404 for transmitting the first electrical signal from the microphone to the signal conditioning/converting module and for transmitting the digitized acoustic signal from the signal conditioning/converting module to the DSP module;
a battery and power management module 405 for providing power and voltage value conversion;
and the indicator light 406 is electrically connected with the DSP module 403 and is used for performing corresponding prompt according to the identification result.
Thus, in the embodiment of the invention, the microphone in the detection device receives the acoustic signal of the hammering bone file and converts the acoustic signal into the first electric signal, and the first electric signal is processed by the signal conditioning/converting module to obtain a digitized acoustic signal; then, the digital sound signal enters a DSP module to be preprocessed, extracted and generated into a feature vector; finally, the SVM in the DSP module is used for carrying out mode recognition on the characteristic vector to obtain a recognition result, the recognition result is divided into a loose coupling state, a transition state and a tight coupling state, and corresponding prompt is carried out according to the recognition result, so that an operating doctor can judge the wedging degree of the bone file accurately, the treatment on a patient is facilitated, and more injuries to the patient can be avoided.
The above description is only an embodiment of the present application, but the scope of the present application is not limited thereto, and any changes or substitutions within the technical scope of the present disclosure should be covered by the scope of the present application. Therefore, the protection scope of the present application shall be subject to the protection scope of the claims.
Claims (10)
1. A method of detecting the tightness of wedging of a bone file, comprising:
receiving an acoustic signal of the hammering bone file and converting the acoustic signal into a first electric signal;
conditioning and converting the first electric signal to obtain a digital sound signal;
preprocessing the digital sound signal to obtain an effective sound pulse signal;
extracting the characteristics of the effective acoustic pulse signals to obtain characteristic parameters and generate characteristic vectors;
performing pattern recognition on the feature vector to obtain a recognition result;
carrying out corresponding prompt according to the identification result;
wherein the identification result comprises loose coupling, transition state and tight coupling;
the pattern recognition of the feature vector to obtain a recognition result includes:
establishing a feature space;
finding a separating hyperplane in the feature space according to an interval maximization principle, wherein the separating hyperplane is used for separating sample feature vectors in the feature space, and the sample feature vectors comprise loosely-coupled sample feature vectors, tightly-coupled sample feature vectors and transition state sample feature vectors;
the separation hyperplane firstly separates the characteristic vector of the loosely coupled sample, and then separates the characteristic vector of the tightly coupled sample from the characteristic vector of the transition state sample;
and mapping the characteristic vector to the characteristic space for pattern recognition to obtain a recognition result.
2. The method of claim 1, wherein conditioning and converting the first electrical signal to a digitized acoustic signal comprises:
amplifying the first electric signal without distortion to obtain a second electric signal;
low-pass filtering the second electric signal to obtain a third electric signal;
and carrying out A/D conversion on the third electric signal to obtain the digitized acoustic signal.
3. The method of claim 1, wherein pre-processing the digitized acoustic signal to obtain a valid acoustic pulse signal comprises:
and extracting the effective sound pulse signal from the digitized sound signal by an end point detection method.
4. The method of claim 1, wherein the characteristic parameters comprise: spectral centroid, power spectral mean variance, and energy-duration ratio;
the spectrum centroid is used for describing the centroid position of the power spectrum of the effective sound pulse signal, and the calculation formula is as follows:
where ω is the frequency, S (ω) is the continuous signal power spectrum,is a discrete signal power spectrum, k is a discrete frequency, and N is a discrete power spectrum length;
the power spectrum mean variation variance is used for describing the discrete degree of the power spectrum of the effective sound pulse signal relative to a smooth curve, and the calculation formula is as follows:
wherein μ (k) is the mean filtering result of the power spectrum P (k),k is discrete frequency, 2M +1 is the number of power spectrums participating in mean value calculation, and M is a power spectrum index;
the energy-duration ratio is used for describing the attenuation characteristic of the excited signal, and the calculation formula is as follows:
energy-duration ratio: PTR ═ RMS/T
Where x (T) is the signal sequence, T is the signal length, and T is the signal time index.
5. A detection apparatus, comprising:
the microphone is used for receiving an acoustic signal of the hammering bone file and converting the acoustic signal into a first electric signal;
the signal conditioning/converting module is used for conditioning and converting the first electric signal to obtain a digital sound signal;
the digital signal processing DSP module is used for preprocessing the digital sound signals to obtain effective sound pulse signals, extracting features of the effective sound pulse signals to obtain feature parameters and generate feature vectors, performing mode recognition on the feature vectors to obtain recognition results and performing corresponding prompt according to the recognition results;
wherein the identification result comprises loose coupling, transition state and tight coupling;
the pattern recognition of the feature vector to obtain a recognition result includes:
establishing a feature space;
finding a separating hyperplane in the feature space according to an interval maximization principle, wherein the separating hyperplane is used for separating sample feature vectors in the feature space;
the separation hyperplane firstly separates the loosely coupled sample and then separates the tightly coupled sample from the transition state;
and mapping the characteristic vector to the characteristic space for pattern recognition to obtain a recognition result.
6. The detection apparatus of claim 5, wherein the DSP module comprises:
and the Support Vector Machine (SVM) is used for carrying out pattern recognition on the feature vector to obtain the recognition result.
7. The detection apparatus according to claim 6, characterized in that the detection apparatus further comprises:
a Field Programmable Gate Array (FPGA) for transmitting the first electrical signal from the microphone to the signal conditioning/conversion module and for transmitting the digitized acoustic signal from the signal conditioning/conversion module to the DSP module;
the battery and power supply management module is used for providing power supply and converting voltage values;
and the indicating lamp is electrically connected with the DSP module and used for carrying out corresponding prompt according to the identification result.
8. The detection device of claim 5, wherein the signal conditioning/conversion module comprises:
the amplifying circuit is used for amplifying the first electric signal without distortion to obtain a second electric signal;
the low-pass filter is used for performing low-pass filtering on the second electric signal to obtain a third electric signal;
and the A/D converter is used for carrying out A/D conversion on the third electric signal to obtain a digitized sound signal.
9. The detection device of claim 5, wherein the pre-processing of the digitized acoustic signal to obtain a valid acoustic pulse signal comprises:
and extracting the effective sound pulse signal from the digitized sound signal by an end point detection method.
10. The detection apparatus according to claim 5, wherein the characteristic parameters include: spectral centroid, power spectral mean variance, and energy-duration ratio;
the spectrum centroid is used for describing the centroid position of the power spectrum of the effective sound pulse signal, and the calculation formula is as follows:
wherein ω is frequency and S (ω) isThe power spectrum of the continuous signal(s),is a discrete signal power spectrum, k is a discrete frequency, and N is a discrete power spectrum length;
the power spectrum mean variation variance is used for describing the discrete degree of the power spectrum of the effective sound pulse signal relative to a smooth curve, and the calculation formula is as follows:
wherein μ (k) is the mean filtering result of the power spectrum P (k),k is discrete frequency, 2M +1 is the number of power spectrums participating in mean value calculation, and M is a power spectrum index;
the energy-duration ratio is used for describing the attenuation characteristic of the excited signal, and the calculation formula is as follows:
energy-duration ratio: PTR ═ RMS/T
Where x (T) is the signal sequence, T is the signal length, and T is the signal time index.
Priority Applications (1)
| Application Number | Priority Date | Filing Date | Title |
|---|---|---|---|
| CN201711128508.XA CN109800617B (en) | 2017-11-15 | 2017-11-15 | Method and equipment for detecting wedging tightness degree of bone file |
Applications Claiming Priority (1)
| Application Number | Priority Date | Filing Date | Title |
|---|---|---|---|
| CN201711128508.XA CN109800617B (en) | 2017-11-15 | 2017-11-15 | Method and equipment for detecting wedging tightness degree of bone file |
Publications (2)
| Publication Number | Publication Date |
|---|---|
| CN109800617A CN109800617A (en) | 2019-05-24 |
| CN109800617B true CN109800617B (en) | 2021-04-16 |
Family
ID=66554667
Family Applications (1)
| Application Number | Title | Priority Date | Filing Date |
|---|---|---|---|
| CN201711128508.XA Active CN109800617B (en) | 2017-11-15 | 2017-11-15 | Method and equipment for detecting wedging tightness degree of bone file |
Country Status (1)
| Country | Link |
|---|---|
| CN (1) | CN109800617B (en) |
Citations (6)
| Publication number | Priority date | Publication date | Assignee | Title |
|---|---|---|---|---|
| CN102362812A (en) * | 2011-06-30 | 2012-02-29 | 江苏美德康信息科技有限公司 | Medical hole drilling device |
| CN103402450A (en) * | 2010-12-17 | 2013-11-20 | 阿韦尼尔医药公司 | Method and system for aligning a prosthesis during surgery |
| CN103810374A (en) * | 2013-12-09 | 2014-05-21 | 中国矿业大学 | Machine fault prediction method based on MFCC feature extraction |
| CN105796131A (en) * | 2016-05-22 | 2016-07-27 | 复旦大学 | Backscattering ultrasonic bone diagnosis system |
| CN107149490A (en) * | 2017-05-18 | 2017-09-12 | 汤向阳 | A kind of complete positioner of artificial full hip-joint replacement |
| JP2017164053A (en) * | 2016-03-14 | 2017-09-21 | 学校法人北里研究所 | System for preventing installation failure of femoral head receiving side component in artificial joint replacement |
Family Cites Families (1)
| Publication number | Priority date | Publication date | Assignee | Title |
|---|---|---|---|---|
| US10426541B2 (en) * | 2014-04-02 | 2019-10-01 | Centre National De La Recherche Scientifique (Cnrs) | Device for assisting with the placement of an orthopedic instrument |
-
2017
- 2017-11-15 CN CN201711128508.XA patent/CN109800617B/en active Active
Patent Citations (6)
| Publication number | Priority date | Publication date | Assignee | Title |
|---|---|---|---|---|
| CN103402450A (en) * | 2010-12-17 | 2013-11-20 | 阿韦尼尔医药公司 | Method and system for aligning a prosthesis during surgery |
| CN102362812A (en) * | 2011-06-30 | 2012-02-29 | 江苏美德康信息科技有限公司 | Medical hole drilling device |
| CN103810374A (en) * | 2013-12-09 | 2014-05-21 | 中国矿业大学 | Machine fault prediction method based on MFCC feature extraction |
| JP2017164053A (en) * | 2016-03-14 | 2017-09-21 | 学校法人北里研究所 | System for preventing installation failure of femoral head receiving side component in artificial joint replacement |
| CN105796131A (en) * | 2016-05-22 | 2016-07-27 | 复旦大学 | Backscattering ultrasonic bone diagnosis system |
| CN107149490A (en) * | 2017-05-18 | 2017-09-12 | 汤向阳 | A kind of complete positioner of artificial full hip-joint replacement |
Also Published As
| Publication number | Publication date |
|---|---|
| CN109800617A (en) | 2019-05-24 |
Similar Documents
| Publication | Publication Date | Title |
|---|---|---|
| CN104323769B (en) | Method, system and the external defibrillation instrument of a kind of electrocardio interference suppressing CPR to cause | |
| EP1256937A3 (en) | Emotion recognition method and device | |
| CN203502550U (en) | Partial discharge live detection device | |
| US9640193B2 (en) | Systems and methods for enhancing place-of-articulation features in frequency-lowered speech | |
| CN109883537B (en) | Ultrasonic transducer and method for determining resonant frequency based on direct current | |
| CN105942980A (en) | Method and system for stethoscopy sphygmomanometer feature extraction and classification | |
| TWI597720B (en) | Baby cry detection circuit and associated detection method | |
| CN106667473A (en) | Interference processing method and system for blood pressure measurement data and blood pressure measurement equipment | |
| CN109800617B (en) | Method and equipment for detecting wedging tightness degree of bone file | |
| CN112666393A (en) | Ultrasonic transducer resonant frequency detection method, system and device | |
| CN108735206A (en) | A kind of signal acquiring and processing system with speech recognition | |
| CN115299963A (en) | High-frequency oscillation signal automatic detection algorithm and system based on waveform characteristic template | |
| CN105054941A (en) | Fetus heart rate extraction device and method based on body vibration signals | |
| CN111150934B (en) | Evaluation system of Chinese tone coding strategy of cochlear implant | |
| CN103565479B (en) | Method and device for improving fetal heart sound signal collecting quality | |
| CN207751640U (en) | Sound signal acquisition and processing module with spectrum analysis function | |
| CN114812790B (en) | Method and device for resisting interference in acoustic signal processing | |
| CN119716269A (en) | Electromagnetic shielding effectiveness measuring device and method for micro electromagnetic shielding body | |
| JP2003334679A (en) | Laser welding diagnostic equipment | |
| KR100826630B1 (en) | Electromagnetic and acoustic wave simultaneous measurement device using complex sensor and method | |
| CN103278702B (en) | Extract intelligent detection unit, the method and system of PACE ripple | |
| CN1814322A (en) | Method and device for controlling image synchronization by using respiratory signal | |
| JP4718032B2 (en) | ECG information processing apparatus and ECG information processing method | |
| CN115032489B (en) | A rapid integrated testing system and method for cochlear implant simulation | |
| Seligman | Speech-processing strategies and their implementation |
Legal Events
| Date | Code | Title | Description |
|---|---|---|---|
| PB01 | Publication | ||
| PB01 | Publication | ||
| SE01 | Entry into force of request for substantive examination | ||
| SE01 | Entry into force of request for substantive examination | ||
| GR01 | Patent grant | ||
| GR01 | Patent grant | ||
| TR01 | Transfer of patent right |
Effective date of registration: 20230814 Address after: 100035 No. 31 East Xinjiekou street, Beijing, Xicheng District Patentee after: Beijing Jishuitan Hospital Affiliated to Capital Medical University Address before: Contemporary MOMA T5-2203, No.1 Xiangheyuan Road, Dongcheng District, Beijing, 100028 Patentee before: Zhang Haohua |
|
| TR01 | Transfer of patent right |
























