CN109516999B - 用作蛋白质激酶调节剂的化合物及其应用 - Google Patents
用作蛋白质激酶调节剂的化合物及其应用 Download PDFInfo
- Publication number
- CN109516999B CN109516999B CN201811283367.3A CN201811283367A CN109516999B CN 109516999 B CN109516999 B CN 109516999B CN 201811283367 A CN201811283367 A CN 201811283367A CN 109516999 B CN109516999 B CN 109516999B
- Authority
- CN
- China
- Prior art keywords
- compound
- pharmaceutically acceptable
- formula
- acceptable salt
- compound according
- Prior art date
- Legal status (The legal status is an assumption and is not a legal conclusion. Google has not performed a legal analysis and makes no representation as to the accuracy of the status listed.)
- Active
Links
- 150000001875 compounds Chemical class 0.000 title claims abstract description 106
- 102000001253 Protein Kinase Human genes 0.000 title description 5
- 108060006633 protein kinase Proteins 0.000 title description 5
- 102100033793 ALK tyrosine kinase receptor Human genes 0.000 claims abstract description 34
- 206010028980 Neoplasm Diseases 0.000 claims abstract description 23
- 239000003814 drug Substances 0.000 claims abstract description 21
- 101000686031 Homo sapiens Proto-oncogene tyrosine-protein kinase ROS Proteins 0.000 claims abstract description 17
- 102100023347 Proto-oncogene tyrosine-protein kinase ROS Human genes 0.000 claims abstract description 17
- 102100035108 High affinity nerve growth factor receptor Human genes 0.000 claims abstract description 13
- 101000596894 Homo sapiens High affinity nerve growth factor receptor Proteins 0.000 claims abstract description 13
- 230000002401 inhibitory effect Effects 0.000 claims abstract description 13
- 206010061218 Inflammation Diseases 0.000 claims abstract description 4
- 230000004054 inflammatory process Effects 0.000 claims abstract description 4
- 208000023275 Autoimmune disease Diseases 0.000 claims abstract description 3
- 208000012902 Nervous system disease Diseases 0.000 claims abstract description 3
- 208000025966 Neurological disease Diseases 0.000 claims abstract description 3
- 208000002193 Pain Diseases 0.000 claims abstract description 3
- 230000036407 pain Effects 0.000 claims abstract description 3
- -1 inorganic acid salt Chemical class 0.000 claims description 37
- 150000003839 salts Chemical class 0.000 claims description 27
- 201000011510 cancer Diseases 0.000 claims description 17
- 208000002154 non-small cell lung carcinoma Diseases 0.000 claims description 10
- 208000029729 tumor suppressor gene on chromosome 11 Diseases 0.000 claims description 10
- YZCKVEUIGOORGS-OUBTZVSYSA-N Deuterium Chemical compound [2H] YZCKVEUIGOORGS-OUBTZVSYSA-N 0.000 claims description 8
- 229910052805 deuterium Inorganic materials 0.000 claims description 8
- 229910052736 halogen Inorganic materials 0.000 claims description 7
- 150000002367 halogens Chemical class 0.000 claims description 7
- 238000004519 manufacturing process Methods 0.000 claims description 7
- 229910052760 oxygen Inorganic materials 0.000 claims description 5
- 239000008194 pharmaceutical composition Substances 0.000 claims description 5
- CIWBSHSKHKDKBQ-JLAZNSOCSA-N Ascorbic acid Chemical compound OC[C@H](O)[C@H]1OC(=O)C(O)=C1O CIWBSHSKHKDKBQ-JLAZNSOCSA-N 0.000 claims description 4
- VEXZGXHMUGYJMC-UHFFFAOYSA-N Hydrochloric acid Chemical compound Cl VEXZGXHMUGYJMC-UHFFFAOYSA-N 0.000 claims description 4
- 229910019142 PO4 Inorganic materials 0.000 claims description 4
- 125000002496 methyl group Chemical group [H]C([H])([H])* 0.000 claims description 4
- NBIIXXVUZAFLBC-UHFFFAOYSA-K phosphate Chemical compound [O-]P([O-])([O-])=O NBIIXXVUZAFLBC-UHFFFAOYSA-K 0.000 claims description 4
- 239000010452 phosphate Substances 0.000 claims description 4
- VZCYOOQTPOCHFL-UHFFFAOYSA-N trans-butenedioic acid Natural products OC(=O)C=CC(O)=O VZCYOOQTPOCHFL-UHFFFAOYSA-N 0.000 claims description 4
- 125000001995 cyclobutyl group Chemical group [H]C1([H])C([H])([H])C([H])(*)C1([H])[H] 0.000 claims description 3
- 125000001559 cyclopropyl group Chemical group [H]C1([H])C([H])([H])C1([H])* 0.000 claims description 3
- 239000003937 drug carrier Substances 0.000 claims description 3
- 125000001495 ethyl group Chemical group [H]C([H])([H])C([H])([H])* 0.000 claims description 3
- 229910052717 sulfur Inorganic materials 0.000 claims description 3
- LSPHULWDVZXLIL-UHFFFAOYSA-N (+/-)-Camphoric acid Chemical compound CC1(C)C(C(O)=O)CCC1(C)C(O)=O LSPHULWDVZXLIL-UHFFFAOYSA-N 0.000 claims description 2
- QTBSBXVTEAMEQO-UHFFFAOYSA-M Acetate Chemical compound CC([O-])=O QTBSBXVTEAMEQO-UHFFFAOYSA-M 0.000 claims description 2
- KRKNYBCHXYNGOX-UHFFFAOYSA-K Citrate Chemical compound [O-]C(=O)CC(O)(CC([O-])=O)C([O-])=O KRKNYBCHXYNGOX-UHFFFAOYSA-K 0.000 claims description 2
- FEWJPZIEWOKRBE-JCYAYHJZSA-N Dextrotartaric acid Chemical compound OC(=O)[C@H](O)[C@@H](O)C(O)=O FEWJPZIEWOKRBE-JCYAYHJZSA-N 0.000 claims description 2
- BDAGIHXWWSANSR-UHFFFAOYSA-M Formate Chemical group [O-]C=O BDAGIHXWWSANSR-UHFFFAOYSA-M 0.000 claims description 2
- VZCYOOQTPOCHFL-OWOJBTEDSA-N Fumaric acid Chemical compound OC(=O)\C=C\C(O)=O VZCYOOQTPOCHFL-OWOJBTEDSA-N 0.000 claims description 2
- AEMRFAOFKBGASW-UHFFFAOYSA-M Glycolate Chemical compound OCC([O-])=O AEMRFAOFKBGASW-UHFFFAOYSA-M 0.000 claims description 2
- CPELXLSAUQHCOX-UHFFFAOYSA-N Hydrogen bromide Chemical compound Br CPELXLSAUQHCOX-UHFFFAOYSA-N 0.000 claims description 2
- WHUUTDBJXJRKMK-VKHMYHEASA-N L-glutamic acid Chemical compound OC(=O)[C@@H](N)CCC(O)=O WHUUTDBJXJRKMK-VKHMYHEASA-N 0.000 claims description 2
- JVTAAEKCZFNVCJ-UHFFFAOYSA-M Lactate Chemical compound CC(O)C([O-])=O JVTAAEKCZFNVCJ-UHFFFAOYSA-M 0.000 claims description 2
- OFOBLEOULBTSOW-UHFFFAOYSA-L Malonate Chemical compound [O-]C(=O)CC([O-])=O OFOBLEOULBTSOW-UHFFFAOYSA-L 0.000 claims description 2
- AFVFQIVMOAPDHO-UHFFFAOYSA-N Methanesulfonic acid Chemical compound CS(O)(=O)=O AFVFQIVMOAPDHO-UHFFFAOYSA-N 0.000 claims description 2
- 229910002651 NO3 Inorganic materials 0.000 claims description 2
- NHNBFGGVMKEFGY-UHFFFAOYSA-N Nitrate Chemical compound [O-][N+]([O-])=O NHNBFGGVMKEFGY-UHFFFAOYSA-N 0.000 claims description 2
- MUBZPKHOEPUJKR-UHFFFAOYSA-N Oxalic acid Chemical compound OC(=O)C(O)=O MUBZPKHOEPUJKR-UHFFFAOYSA-N 0.000 claims description 2
- XBDQKXXYIPTUBI-UHFFFAOYSA-M Propionate Chemical compound CCC([O-])=O XBDQKXXYIPTUBI-UHFFFAOYSA-M 0.000 claims description 2
- LCTONWCANYUPML-UHFFFAOYSA-M Pyruvate Chemical compound CC(=O)C([O-])=O LCTONWCANYUPML-UHFFFAOYSA-M 0.000 claims description 2
- QAOWNCQODCNURD-UHFFFAOYSA-L Sulfate Chemical compound [O-]S([O-])(=O)=O QAOWNCQODCNURD-UHFFFAOYSA-L 0.000 claims description 2
- DTQVDTLACAAQTR-UHFFFAOYSA-M Trifluoroacetate Chemical compound [O-]C(=O)C(F)(F)F DTQVDTLACAAQTR-UHFFFAOYSA-M 0.000 claims description 2
- 239000002253 acid Substances 0.000 claims description 2
- 229940072107 ascorbate Drugs 0.000 claims description 2
- 235000010323 ascorbic acid Nutrition 0.000 claims description 2
- 239000011668 ascorbic acid Substances 0.000 claims description 2
- 229940077388 benzenesulfonate Drugs 0.000 claims description 2
- SRSXLGNVWSONIS-UHFFFAOYSA-M benzenesulfonate Chemical compound [O-]S(=O)(=O)C1=CC=CC=C1 SRSXLGNVWSONIS-UHFFFAOYSA-M 0.000 claims description 2
- MIOPJNTWMNEORI-UHFFFAOYSA-N camphorsulfonic acid Chemical compound C1CC2(CS(O)(=O)=O)C(=O)CC1C2(C)C MIOPJNTWMNEORI-UHFFFAOYSA-N 0.000 claims description 2
- 230000004663 cell proliferation Effects 0.000 claims description 2
- 229940001468 citrate Drugs 0.000 claims description 2
- CCIVGXIOQKPBKL-UHFFFAOYSA-M ethanesulfonate Chemical compound CCS([O-])(=O)=O CCIVGXIOQKPBKL-UHFFFAOYSA-M 0.000 claims description 2
- 229930195712 glutamate Natural products 0.000 claims description 2
- 229940049906 glutamate Drugs 0.000 claims description 2
- XMBWDFGMSWQBCA-UHFFFAOYSA-N hydrogen iodide Chemical compound I XMBWDFGMSWQBCA-UHFFFAOYSA-N 0.000 claims description 2
- QAOWNCQODCNURD-UHFFFAOYSA-M hydrogensulfate Chemical compound OS([O-])(=O)=O QAOWNCQODCNURD-UHFFFAOYSA-M 0.000 claims description 2
- 229940001447 lactate Drugs 0.000 claims description 2
- 229940049920 malate Drugs 0.000 claims description 2
- VZCYOOQTPOCHFL-UPHRSURJSA-N maleic acid Chemical compound OC(=O)\C=C/C(O)=O VZCYOOQTPOCHFL-UPHRSURJSA-N 0.000 claims description 2
- BJEPYKJPYRNKOW-UHFFFAOYSA-N malic acid Chemical compound OC(=O)C(O)CC(O)=O BJEPYKJPYRNKOW-UHFFFAOYSA-N 0.000 claims description 2
- 229940075930 picrate Drugs 0.000 claims description 2
- OXNIZHLAWKMVMX-UHFFFAOYSA-M picrate anion Chemical compound [O-]C1=C([N+]([O-])=O)C=C([N+]([O-])=O)C=C1[N+]([O-])=O OXNIZHLAWKMVMX-UHFFFAOYSA-M 0.000 claims description 2
- YGSDEFSMJLZEOE-UHFFFAOYSA-M salicylate Chemical compound OC1=CC=CC=C1C([O-])=O YGSDEFSMJLZEOE-UHFFFAOYSA-M 0.000 claims description 2
- 229960001860 salicylate Drugs 0.000 claims description 2
- 229940095064 tartrate Drugs 0.000 claims description 2
- 108010065251 protein kinase modulator Proteins 0.000 claims 1
- 229940079593 drug Drugs 0.000 abstract description 8
- 239000000203 mixture Substances 0.000 description 47
- YMWUJEATGCHHMB-UHFFFAOYSA-N Dichloromethane Chemical compound ClCCl YMWUJEATGCHHMB-UHFFFAOYSA-N 0.000 description 34
- 239000000243 solution Substances 0.000 description 33
- 101710168331 ALK tyrosine kinase receptor Proteins 0.000 description 31
- IAZDPXIOMUYVGZ-UHFFFAOYSA-N Dimethylsulphoxide Chemical compound CS(C)=O IAZDPXIOMUYVGZ-UHFFFAOYSA-N 0.000 description 24
- 125000000217 alkyl group Chemical group 0.000 description 21
- XEKOWRVHYACXOJ-UHFFFAOYSA-N Ethyl acetate Chemical compound CCOC(C)=O XEKOWRVHYACXOJ-UHFFFAOYSA-N 0.000 description 15
- 230000015572 biosynthetic process Effects 0.000 description 15
- 125000000753 cycloalkyl group Chemical group 0.000 description 14
- 238000003786 synthesis reaction Methods 0.000 description 14
- 230000000694 effects Effects 0.000 description 12
- 125000001072 heteroaryl group Chemical group 0.000 description 12
- 125000005499 phosphonyl group Chemical group 0.000 description 12
- 125000003282 alkyl amino group Chemical group 0.000 description 11
- 125000001188 haloalkyl group Chemical group 0.000 description 11
- 239000007787 solid Substances 0.000 description 11
- IJGRMHOSHXDMSA-UHFFFAOYSA-N Atomic nitrogen Chemical compound N#N IJGRMHOSHXDMSA-UHFFFAOYSA-N 0.000 description 10
- 125000003545 alkoxy group Chemical group 0.000 description 10
- 125000003118 aryl group Chemical group 0.000 description 10
- 238000003556 assay Methods 0.000 description 10
- 125000000472 sulfonyl group Chemical group *S(*)(=O)=O 0.000 description 10
- 125000002252 acyl group Chemical group 0.000 description 9
- 238000006243 chemical reaction Methods 0.000 description 9
- 125000004438 haloalkoxy group Chemical group 0.000 description 9
- 239000002904 solvent Substances 0.000 description 9
- 238000012360 testing method Methods 0.000 description 9
- IAZDPXIOMUYVGZ-WFGJKAKNSA-N Dimethyl sulfoxide Chemical compound [2H]C([2H])([2H])S(=O)C([2H])([2H])[2H] IAZDPXIOMUYVGZ-WFGJKAKNSA-N 0.000 description 8
- TWRXJAOTZQYOKJ-UHFFFAOYSA-L Magnesium chloride Chemical compound [Mg+2].[Cl-].[Cl-] TWRXJAOTZQYOKJ-UHFFFAOYSA-L 0.000 description 8
- 238000005160 1H NMR spectroscopy Methods 0.000 description 7
- CSNNHWWHGAXBCP-UHFFFAOYSA-L Magnesium sulfate Chemical compound [Mg+2].[O-][S+2]([O-])([O-])[O-] CSNNHWWHGAXBCP-UHFFFAOYSA-L 0.000 description 7
- ZMXDDKWLCZADIW-UHFFFAOYSA-N N,N-Dimethylformamide Chemical compound CN(C)C=O ZMXDDKWLCZADIW-UHFFFAOYSA-N 0.000 description 7
- 108091000080 Phosphotransferase Proteins 0.000 description 7
- 125000003342 alkenyl group Chemical group 0.000 description 7
- 125000000304 alkynyl group Chemical group 0.000 description 7
- 238000012512 characterization method Methods 0.000 description 7
- 150000002148 esters Chemical class 0.000 description 7
- 125000005347 halocycloalkyl group Chemical group 0.000 description 7
- 125000000623 heterocyclic group Chemical group 0.000 description 7
- 229910052757 nitrogen Inorganic materials 0.000 description 7
- 102000020233 phosphotransferase Human genes 0.000 description 7
- FIKPXCOQUIZNHB-WDEREUQCSA-N repotrectinib Chemical compound C[C@H]1CNC(=O)C2=C3N=C(N[C@H](C)C4=C(O1)C=CC(F)=C4)C=CN3N=C2 FIKPXCOQUIZNHB-WDEREUQCSA-N 0.000 description 7
- HBAQYPYDRFILMT-UHFFFAOYSA-N 8-[3-(1-cyclopropylpyrazol-4-yl)-1H-pyrazolo[4,3-d]pyrimidin-5-yl]-3-methyl-3,8-diazabicyclo[3.2.1]octan-2-one Chemical class C1(CC1)N1N=CC(=C1)C1=NNC2=C1N=C(N=C2)N1C2C(N(CC1CC2)C)=O HBAQYPYDRFILMT-UHFFFAOYSA-N 0.000 description 6
- 239000002146 L01XE16 - Crizotinib Substances 0.000 description 6
- 229910021380 Manganese Chloride Inorganic materials 0.000 description 6
- GLFNIEUTAYBVOC-UHFFFAOYSA-L Manganese chloride Chemical compound Cl[Mn]Cl GLFNIEUTAYBVOC-UHFFFAOYSA-L 0.000 description 6
- OKKJLVBELUTLKV-UHFFFAOYSA-N Methanol Chemical compound OC OKKJLVBELUTLKV-UHFFFAOYSA-N 0.000 description 6
- HEDRZPFGACZZDS-MICDWDOJSA-N Trichloro(2H)methane Chemical compound [2H]C(Cl)(Cl)Cl HEDRZPFGACZZDS-MICDWDOJSA-N 0.000 description 6
- 239000007853 buffer solution Substances 0.000 description 6
- 229960005061 crizotinib Drugs 0.000 description 6
- KTEIFNKAUNYNJU-GFCCVEGCSA-N crizotinib Chemical compound O([C@H](C)C=1C(=C(F)C=CC=1Cl)Cl)C(C(=NC=1)N)=CC=1C(=C1)C=NN1C1CCNCC1 KTEIFNKAUNYNJU-GFCCVEGCSA-N 0.000 description 6
- HKSZLNNOFSGOKW-UHFFFAOYSA-N ent-staurosporine Natural products C12=C3N4C5=CC=CC=C5C3=C3CNC(=O)C3=C2C2=CC=CC=C2N1C1CC(NC)C(OC)C4(C)O1 HKSZLNNOFSGOKW-UHFFFAOYSA-N 0.000 description 6
- 238000002474 experimental method Methods 0.000 description 6
- 239000011565 manganese chloride Substances 0.000 description 6
- 235000002867 manganese chloride Nutrition 0.000 description 6
- 238000010898 silica gel chromatography Methods 0.000 description 6
- HKSZLNNOFSGOKW-FYTWVXJKSA-N staurosporine Chemical compound C12=C3N4C5=CC=CC=C5C3=C3CNC(=O)C3=C2C2=CC=CC=C2N1[C@H]1C[C@@H](NC)[C@@H](OC)[C@]4(C)O1 HKSZLNNOFSGOKW-FYTWVXJKSA-N 0.000 description 6
- CGPUWJWCVCFERF-UHFFFAOYSA-N staurosporine Natural products C12=C3N4C5=CC=CC=C5C3=C3CNC(=O)C3=C2C2=CC=CC=C2N1C1CC(NC)C(OC)C4(OC)O1 CGPUWJWCVCFERF-UHFFFAOYSA-N 0.000 description 6
- XLYOFNOQVPJJNP-UHFFFAOYSA-N water Substances O XLYOFNOQVPJJNP-UHFFFAOYSA-N 0.000 description 6
- 206010059866 Drug resistance Diseases 0.000 description 5
- 201000010099 disease Diseases 0.000 description 5
- 208000037265 diseases, disorders, signs and symptoms Diseases 0.000 description 5
- 238000000034 method Methods 0.000 description 5
- 230000035772 mutation Effects 0.000 description 5
- 239000012074 organic phase Substances 0.000 description 5
- 238000002360 preparation method Methods 0.000 description 5
- 125000002924 primary amino group Chemical group [H]N([H])* 0.000 description 5
- 238000010791 quenching Methods 0.000 description 5
- 125000006413 ring segment Chemical group 0.000 description 5
- 239000012453 solvate Substances 0.000 description 5
- 239000007858 starting material Substances 0.000 description 5
- 125000001424 substituent group Chemical group 0.000 description 5
- YNJCFDAODGKHAV-ZCFIWIBFSA-N tert-butyl n-[(2r)-2-hydroxypropyl]carbamate Chemical compound C[C@@H](O)CNC(=O)OC(C)(C)C YNJCFDAODGKHAV-ZCFIWIBFSA-N 0.000 description 5
- RTZKZFJDLAIYFH-UHFFFAOYSA-N Diethyl ether Chemical compound CCOCC RTZKZFJDLAIYFH-UHFFFAOYSA-N 0.000 description 4
- KCXVZYZYPLLWCC-UHFFFAOYSA-N EDTA Chemical compound OC(=O)CN(CC(O)=O)CCN(CC(O)=O)CC(O)=O KCXVZYZYPLLWCC-UHFFFAOYSA-N 0.000 description 4
- JGFZNNIVVJXRND-UHFFFAOYSA-N N,N-Diisopropylethylamine (DIPEA) Chemical compound CCN(C(C)C)C(C)C JGFZNNIVVJXRND-UHFFFAOYSA-N 0.000 description 4
- LRHPLDYGYMQRHN-UHFFFAOYSA-N N-Butanol Chemical compound CCCCO LRHPLDYGYMQRHN-UHFFFAOYSA-N 0.000 description 4
- WYURNTSHIVDZCO-UHFFFAOYSA-N Tetrahydrofuran Chemical compound C1CCOC1 WYURNTSHIVDZCO-UHFFFAOYSA-N 0.000 description 4
- 125000003178 carboxy group Chemical group [H]OC(*)=O 0.000 description 4
- 125000004663 dialkyl amino group Chemical group 0.000 description 4
- 235000011147 magnesium chloride Nutrition 0.000 description 4
- 229940002612 prodrug Drugs 0.000 description 4
- 239000000651 prodrug Substances 0.000 description 4
- 239000000523 sample Substances 0.000 description 4
- 238000012546 transfer Methods 0.000 description 4
- RIOQSEWOXXDEQQ-UHFFFAOYSA-N triphenylphosphine Chemical compound C1=CC=CC=C1P(C=1C=CC=CC=1)C1=CC=CC=C1 RIOQSEWOXXDEQQ-UHFFFAOYSA-N 0.000 description 4
- 125000004191 (C1-C6) alkoxy group Chemical group 0.000 description 3
- IEQAICDLOKRSRL-UHFFFAOYSA-N 2-[2-[2-[2-[2-[2-[2-[2-[2-[2-[2-[2-[2-[2-[2-[2-[2-[2-[2-[2-[2-[2-(2-dodecoxyethoxy)ethoxy]ethoxy]ethoxy]ethoxy]ethoxy]ethoxy]ethoxy]ethoxy]ethoxy]ethoxy]ethoxy]ethoxy]ethoxy]ethoxy]ethoxy]ethoxy]ethoxy]ethoxy]ethoxy]ethoxy]ethoxy]ethanol Chemical compound CCCCCCCCCCCCOCCOCCOCCOCCOCCOCCOCCOCCOCCOCCOCCOCCOCCOCCOCCOCCOCCOCCOCCOCCOCCOCCOCCO IEQAICDLOKRSRL-UHFFFAOYSA-N 0.000 description 3
- JKMHFZQWWAIEOD-UHFFFAOYSA-N 2-[4-(2-hydroxyethyl)piperazin-1-yl]ethanesulfonic acid Chemical compound OCC[NH+]1CCN(CCS([O-])(=O)=O)CC1 JKMHFZQWWAIEOD-UHFFFAOYSA-N 0.000 description 3
- QTBSBXVTEAMEQO-UHFFFAOYSA-N Acetic acid Chemical compound CC(O)=O QTBSBXVTEAMEQO-UHFFFAOYSA-N 0.000 description 3
- WEVYAHXRMPXWCK-UHFFFAOYSA-N Acetonitrile Chemical compound CC#N WEVYAHXRMPXWCK-UHFFFAOYSA-N 0.000 description 3
- WKBOTKDWSSQWDR-UHFFFAOYSA-N Bromine atom Chemical compound [Br] WKBOTKDWSSQWDR-UHFFFAOYSA-N 0.000 description 3
- ZAMOUSCENKQFHK-UHFFFAOYSA-N Chlorine atom Chemical compound [Cl] ZAMOUSCENKQFHK-UHFFFAOYSA-N 0.000 description 3
- 239000007995 HEPES buffer Substances 0.000 description 3
- 101000850794 Homo sapiens Tropomyosin alpha-3 chain Proteins 0.000 description 3
- WMFOQBRAJBCJND-UHFFFAOYSA-M Lithium hydroxide Chemical compound [Li+].[OH-] WMFOQBRAJBCJND-UHFFFAOYSA-M 0.000 description 3
- 206010058467 Lung neoplasm malignant Diseases 0.000 description 3
- 108700020796 Oncogene Proteins 0.000 description 3
- 241000700159 Rattus Species 0.000 description 3
- VYPSYNLAJGMNEJ-UHFFFAOYSA-N Silicium dioxide Chemical compound O=[Si]=O VYPSYNLAJGMNEJ-UHFFFAOYSA-N 0.000 description 3
- HEMHJVSKTPXQMS-UHFFFAOYSA-M Sodium hydroxide Chemical compound [OH-].[Na+] HEMHJVSKTPXQMS-UHFFFAOYSA-M 0.000 description 3
- YXFVVABEGXRONW-UHFFFAOYSA-N Toluene Chemical compound CC1=CC=CC=C1 YXFVVABEGXRONW-UHFFFAOYSA-N 0.000 description 3
- 238000004458 analytical method Methods 0.000 description 3
- 239000008280 blood Substances 0.000 description 3
- 210000004369 blood Anatomy 0.000 description 3
- GDTBXPJZTBHREO-UHFFFAOYSA-N bromine Substances BrBr GDTBXPJZTBHREO-UHFFFAOYSA-N 0.000 description 3
- 229910052794 bromium Inorganic materials 0.000 description 3
- 125000002837 carbocyclic group Chemical group 0.000 description 3
- 210000004027 cell Anatomy 0.000 description 3
- 239000000460 chlorine Substances 0.000 description 3
- 229910052801 chlorine Inorganic materials 0.000 description 3
- 125000004786 difluoromethoxy group Chemical class [H]C(F)(F)O* 0.000 description 3
- 230000008034 disappearance Effects 0.000 description 3
- 229910052731 fluorine Inorganic materials 0.000 description 3
- 239000011737 fluorine Substances 0.000 description 3
- 125000001153 fluoro group Chemical group F* 0.000 description 3
- 125000003709 fluoroalkyl group Chemical group 0.000 description 3
- 230000005764 inhibitory process Effects 0.000 description 3
- 201000005202 lung cancer Diseases 0.000 description 3
- 208000020816 lung neoplasm Diseases 0.000 description 3
- 238000002156 mixing Methods 0.000 description 3
- 230000008569 process Effects 0.000 description 3
- 108090000623 proteins and genes Proteins 0.000 description 3
- QFLWZFQWSBQYPS-AWRAUJHKSA-N (3S)-3-[[(2S)-2-[[(2S)-2-[5-[(3aS,6aR)-2-oxo-1,3,3a,4,6,6a-hexahydrothieno[3,4-d]imidazol-4-yl]pentanoylamino]-3-methylbutanoyl]amino]-3-(4-hydroxyphenyl)propanoyl]amino]-4-[1-bis(4-chlorophenoxy)phosphorylbutylamino]-4-oxobutanoic acid Chemical compound CCCC(NC(=O)[C@H](CC(O)=O)NC(=O)[C@H](Cc1ccc(O)cc1)NC(=O)[C@@H](NC(=O)CCCCC1SC[C@@H]2NC(=O)N[C@H]12)C(C)C)P(=O)(Oc1ccc(Cl)cc1)Oc1ccc(Cl)cc1 QFLWZFQWSBQYPS-AWRAUJHKSA-N 0.000 description 2
- WORJRXHJTUTINR-UHFFFAOYSA-N 1,4-dioxane;hydron;chloride Chemical class Cl.C1COCCO1 WORJRXHJTUTINR-UHFFFAOYSA-N 0.000 description 2
- 241000282414 Homo sapiens Species 0.000 description 2
- 241001465754 Metazoa Species 0.000 description 2
- 229910003827 NRaRb Inorganic materials 0.000 description 2
- CDBYLPFSWZWCQE-UHFFFAOYSA-L Sodium Carbonate Chemical compound [Na+].[Na+].[O-]C([O-])=O CDBYLPFSWZWCQE-UHFFFAOYSA-L 0.000 description 2
- 229940096912 Trk tyrosine kinase inhibitor Drugs 0.000 description 2
- 230000008901 benefit Effects 0.000 description 2
- 125000002619 bicyclic group Chemical group 0.000 description 2
- 239000000872 buffer Substances 0.000 description 2
- 125000004432 carbon atom Chemical group C* 0.000 description 2
- 239000003795 chemical substances by application Substances 0.000 description 2
- 229940125773 compound 10 Drugs 0.000 description 2
- 229940125898 compound 5 Drugs 0.000 description 2
- 238000002425 crystallisation Methods 0.000 description 2
- 230000008025 crystallization Effects 0.000 description 2
- 125000000000 cycloalkoxy group Chemical group 0.000 description 2
- 238000011161 development Methods 0.000 description 2
- 238000010790 dilution Methods 0.000 description 2
- 239000012895 dilution Substances 0.000 description 2
- 239000002552 dosage form Substances 0.000 description 2
- 238000006911 enzymatic reaction Methods 0.000 description 2
- 125000004185 ester group Chemical group 0.000 description 2
- 125000005843 halogen group Chemical group 0.000 description 2
- 150000004677 hydrates Chemical class 0.000 description 2
- 229910052739 hydrogen Inorganic materials 0.000 description 2
- 125000004435 hydrogen atom Chemical group [H]* 0.000 description 2
- 125000002887 hydroxy group Chemical group [H]O* 0.000 description 2
- 238000000338 in vitro Methods 0.000 description 2
- ZLVXBBHTMQJRSX-VMGNSXQWSA-N jdtic Chemical compound C1([C@]2(C)CCN(C[C@@H]2C)C[C@H](C(C)C)NC(=O)[C@@H]2NCC3=CC(O)=CC=C3C2)=CC=CC(O)=C1 ZLVXBBHTMQJRSX-VMGNSXQWSA-N 0.000 description 2
- 229940043355 kinase inhibitor Drugs 0.000 description 2
- 230000007246 mechanism Effects 0.000 description 2
- 125000002950 monocyclic group Chemical group 0.000 description 2
- 230000037361 pathway Effects 0.000 description 2
- 125000001476 phosphono group Chemical group [H]OP(*)(=O)O[H] 0.000 description 2
- XHXFXVLFKHQFAL-UHFFFAOYSA-N phosphoryl trichloride Chemical compound ClP(Cl)(Cl)=O XHXFXVLFKHQFAL-UHFFFAOYSA-N 0.000 description 2
- 239000003757 phosphotransferase inhibitor Substances 0.000 description 2
- XOJVVFBFDXDTEG-UHFFFAOYSA-N pristane Chemical compound CC(C)CCCC(C)CCCC(C)CCCC(C)C XOJVVFBFDXDTEG-UHFFFAOYSA-N 0.000 description 2
- 108090000765 processed proteins & peptides Proteins 0.000 description 2
- 102000004169 proteins and genes Human genes 0.000 description 2
- 230000000171 quenching effect Effects 0.000 description 2
- 230000008707 rearrangement Effects 0.000 description 2
- 238000012216 screening Methods 0.000 description 2
- YLQBMQCUIZJEEH-UHFFFAOYSA-N tetrahydrofuran Natural products C=1C=COC=1 YLQBMQCUIZJEEH-UHFFFAOYSA-N 0.000 description 2
- 229940124597 therapeutic agent Drugs 0.000 description 2
- 229940126585 therapeutic drug Drugs 0.000 description 2
- JMXKSZRRTHPKDL-UHFFFAOYSA-N titanium ethoxide Chemical compound [Ti+4].CC[O-].CC[O-].CC[O-].CC[O-] JMXKSZRRTHPKDL-UHFFFAOYSA-N 0.000 description 2
- UVNPEUJXKZFWSJ-LMTQTHQJSA-N (R)-N-[(4S)-8-[6-amino-5-[(3,3-difluoro-2-oxo-1H-pyrrolo[2,3-b]pyridin-4-yl)sulfanyl]pyrazin-2-yl]-2-oxa-8-azaspiro[4.5]decan-4-yl]-2-methylpropane-2-sulfinamide Chemical compound CC(C)(C)[S@@](=O)N[C@@H]1COCC11CCN(CC1)c1cnc(Sc2ccnc3NC(=O)C(F)(F)c23)c(N)n1 UVNPEUJXKZFWSJ-LMTQTHQJSA-N 0.000 description 1
- OOWSDKUFKGVADH-UHFFFAOYSA-N 1-diphenylphosphoryloxy-2,3,4,5,6-pentafluorobenzene Chemical compound FC1=C(F)C(F)=C(F)C(F)=C1OP(=O)(C=1C=CC=CC=1)C1=CC=CC=C1 OOWSDKUFKGVADH-UHFFFAOYSA-N 0.000 description 1
- BWGRDBSNKQABCB-UHFFFAOYSA-N 4,4-difluoro-N-[3-[3-(3-methyl-5-propan-2-yl-1,2,4-triazol-4-yl)-8-azabicyclo[3.2.1]octan-8-yl]-1-thiophen-2-ylpropyl]cyclohexane-1-carboxamide Chemical compound CC(C)C1=NN=C(C)N1C1CC2CCC(C1)N2CCC(NC(=O)C1CCC(F)(F)CC1)C1=CC=CS1 BWGRDBSNKQABCB-UHFFFAOYSA-N 0.000 description 1
- 206010073478 Anaplastic large-cell lymphoma Diseases 0.000 description 1
- 229940122531 Anaplastic lymphoma kinase inhibitor Drugs 0.000 description 1
- 206010005003 Bladder cancer Diseases 0.000 description 1
- 206010006187 Breast cancer Diseases 0.000 description 1
- 208000026310 Breast neoplasm Diseases 0.000 description 1
- OKTJSMMVPCPJKN-UHFFFAOYSA-N Carbon Chemical compound [C] OKTJSMMVPCPJKN-UHFFFAOYSA-N 0.000 description 1
- 208000024172 Cardiovascular disease Diseases 0.000 description 1
- 206010009944 Colon cancer Diseases 0.000 description 1
- FKLJPTJMIBLJAV-UHFFFAOYSA-N Compound IV Chemical compound O1N=C(C)C=C1CCCCCCCOC1=CC=C(C=2OCCN=2)C=C1 FKLJPTJMIBLJAV-UHFFFAOYSA-N 0.000 description 1
- SNRUBQQJIBEYMU-UHFFFAOYSA-N Dodecane Natural products CCCCCCCCCCCC SNRUBQQJIBEYMU-UHFFFAOYSA-N 0.000 description 1
- 206010052804 Drug tolerance Diseases 0.000 description 1
- 206010058314 Dysplasia Diseases 0.000 description 1
- 208000000461 Esophageal Neoplasms Diseases 0.000 description 1
- PXGOKWXKJXAPGV-UHFFFAOYSA-N Fluorine Chemical compound FF PXGOKWXKJXAPGV-UHFFFAOYSA-N 0.000 description 1
- 102000003746 Insulin Receptor Human genes 0.000 description 1
- 108010001127 Insulin Receptor Proteins 0.000 description 1
- 208000008839 Kidney Neoplasms Diseases 0.000 description 1
- 208000032004 Large-Cell Anaplastic Lymphoma Diseases 0.000 description 1
- 206010025323 Lymphomas Diseases 0.000 description 1
- 206010027476 Metastases Diseases 0.000 description 1
- NUGPIZCTELGDOS-QHCPKHFHSA-N N-[(1S)-3-[4-(3-methyl-5-propan-2-yl-1,2,4-triazol-4-yl)piperidin-1-yl]-1-pyridin-3-ylpropyl]cyclopentanecarboxamide Chemical compound C(C)(C)C1=NN=C(N1C1CCN(CC1)CC[C@@H](C=1C=NC=CC=1)NC(=O)C1CCCC1)C NUGPIZCTELGDOS-QHCPKHFHSA-N 0.000 description 1
- LFZAGIJXANFPFN-UHFFFAOYSA-N N-[3-[4-(3-methyl-5-propan-2-yl-1,2,4-triazol-4-yl)piperidin-1-yl]-1-thiophen-2-ylpropyl]acetamide Chemical compound C(C)(C)C1=NN=C(N1C1CCN(CC1)CCC(C=1SC=CC=1)NC(C)=O)C LFZAGIJXANFPFN-UHFFFAOYSA-N 0.000 description 1
- 208000001894 Nasopharyngeal Neoplasms Diseases 0.000 description 1
- 206010061306 Nasopharyngeal cancer Diseases 0.000 description 1
- 206010030155 Oesophageal carcinoma Diseases 0.000 description 1
- 102000043276 Oncogene Human genes 0.000 description 1
- 206010061902 Pancreatic neoplasm Diseases 0.000 description 1
- 241000233805 Phoenix Species 0.000 description 1
- 206010060862 Prostate cancer Diseases 0.000 description 1
- 208000000236 Prostatic Neoplasms Diseases 0.000 description 1
- 208000015634 Rectal Neoplasms Diseases 0.000 description 1
- 206010038389 Renal cancer Diseases 0.000 description 1
- 206010070834 Sensitisation Diseases 0.000 description 1
- 208000005718 Stomach Neoplasms Diseases 0.000 description 1
- 208000024770 Thyroid neoplasm Diseases 0.000 description 1
- 102000003929 Transaminases Human genes 0.000 description 1
- 108090000340 Transaminases Proteins 0.000 description 1
- 208000007097 Urinary Bladder Neoplasms Diseases 0.000 description 1
- 208000002495 Uterine Neoplasms Diseases 0.000 description 1
- 206010047571 Visual impairment Diseases 0.000 description 1
- 230000001594 aberrant effect Effects 0.000 description 1
- 125000002777 acetyl group Chemical group [H]C([H])([H])C(*)=O 0.000 description 1
- 125000000641 acridinyl group Chemical group C1(=CC=CC2=NC3=CC=CC=C3C=C12)* 0.000 description 1
- 229960001611 alectinib Drugs 0.000 description 1
- KDGFLJKFZUIJMX-UHFFFAOYSA-N alectinib Chemical compound CCC1=CC=2C(=O)C(C3=CC=C(C=C3N3)C#N)=C3C(C)(C)C=2C=C1N(CC1)CCC1N1CCOCC1 KDGFLJKFZUIJMX-UHFFFAOYSA-N 0.000 description 1
- 125000004414 alkyl thio group Chemical group 0.000 description 1
- 238000010171 animal model Methods 0.000 description 1
- 239000002246 antineoplastic agent Substances 0.000 description 1
- 229940041181 antineoplastic drug Drugs 0.000 description 1
- 239000008346 aqueous phase Substances 0.000 description 1
- 230000006399 behavior Effects 0.000 description 1
- 125000003785 benzimidazolyl group Chemical group N1=C(NC2=C1C=CC=C2)* 0.000 description 1
- 125000004618 benzofuryl group Chemical group O1C(=CC2=C1C=CC=C2)* 0.000 description 1
- 125000004619 benzopyranyl group Chemical group O1C(C=CC2=C1C=CC=C2)* 0.000 description 1
- 125000005874 benzothiadiazolyl group Chemical group 0.000 description 1
- 125000001164 benzothiazolyl group Chemical group S1C(=NC2=C1C=CC=C2)* 0.000 description 1
- 125000004196 benzothienyl group Chemical group S1C(=CC2=C1C=CC=C2)* 0.000 description 1
- 125000004600 benzothiopyranyl group Chemical group S1C(C=CC2=C1C=CC=C2)* 0.000 description 1
- 230000004071 biological effect Effects 0.000 description 1
- 238000010241 blood sampling Methods 0.000 description 1
- 230000037396 body weight Effects 0.000 description 1
- 125000001246 bromo group Chemical group Br* 0.000 description 1
- FJDQFPXHSGXQBY-UHFFFAOYSA-L caesium carbonate Chemical compound [Cs+].[Cs+].[O-]C([O-])=O FJDQFPXHSGXQBY-UHFFFAOYSA-L 0.000 description 1
- 229910000024 caesium carbonate Inorganic materials 0.000 description 1
- 238000004364 calculation method Methods 0.000 description 1
- 125000000609 carbazolyl group Chemical group C1(=CC=CC=2C3=CC=CC=C3NC12)* 0.000 description 1
- 229910052799 carbon Inorganic materials 0.000 description 1
- 238000005119 centrifugation Methods 0.000 description 1
- 229960001602 ceritinib Drugs 0.000 description 1
- VERWOWGGCGHDQE-UHFFFAOYSA-N ceritinib Chemical compound CC=1C=C(NC=2N=C(NC=3C(=CC=CC=3)S(=O)(=O)C(C)C)C(Cl)=CN=2)C(OC(C)C)=CC=1C1CCNCC1 VERWOWGGCGHDQE-UHFFFAOYSA-N 0.000 description 1
- 238000002512 chemotherapy Methods 0.000 description 1
- 125000001309 chloro group Chemical group Cl* 0.000 description 1
- 208000029742 colonic neoplasm Diseases 0.000 description 1
- 201000010989 colorectal carcinoma Diseases 0.000 description 1
- 238000002648 combination therapy Methods 0.000 description 1
- 229940125904 compound 1 Drugs 0.000 description 1
- 229940125782 compound 2 Drugs 0.000 description 1
- 229940126214 compound 3 Drugs 0.000 description 1
- 239000012141 concentrate Substances 0.000 description 1
- 239000013068 control sample Substances 0.000 description 1
- 238000001816 cooling Methods 0.000 description 1
- 125000006310 cycloalkyl amino group Chemical group 0.000 description 1
- 125000000582 cycloheptyl group Chemical group [H]C1([H])C([H])([H])C([H])([H])C([H])([H])C([H])(*)C([H])([H])C1([H])[H] 0.000 description 1
- 125000000113 cyclohexyl group Chemical group [H]C1([H])C([H])([H])C([H])([H])C([H])(*)C([H])([H])C1([H])[H] 0.000 description 1
- 125000001511 cyclopentyl group Chemical group [H]C1([H])C([H])([H])C([H])([H])C([H])(*)C1([H])[H] 0.000 description 1
- 230000034994 death Effects 0.000 description 1
- 231100000517 death Toxicity 0.000 description 1
- 238000001514 detection method Methods 0.000 description 1
- 238000007865 diluting Methods 0.000 description 1
- 208000016097 disease of metabolism Diseases 0.000 description 1
- 125000003438 dodecyl group Chemical group [H]C([H])([H])C([H])([H])C([H])([H])C([H])([H])C([H])([H])C([H])([H])C([H])([H])C([H])([H])C([H])([H])C([H])([H])C([H])([H])C([H])([H])* 0.000 description 1
- 239000003596 drug target Substances 0.000 description 1
- 238000003821 enantio-separation Methods 0.000 description 1
- 102000052116 epidermal growth factor receptor activity proteins Human genes 0.000 description 1
- 108700015053 epidermal growth factor receptor activity proteins Proteins 0.000 description 1
- 201000004101 esophageal cancer Diseases 0.000 description 1
- ITQFPVUDTFABDH-AATRIKPKSA-N ethyl (e)-3-ethoxyprop-2-enoate Chemical compound CCO\C=C\C(=O)OCC ITQFPVUDTFABDH-AATRIKPKSA-N 0.000 description 1
- 239000012065 filter cake Substances 0.000 description 1
- 125000002541 furyl group Chemical group 0.000 description 1
- 206010017758 gastric cancer Diseases 0.000 description 1
- 230000002496 gastric effect Effects 0.000 description 1
- 201000010536 head and neck cancer Diseases 0.000 description 1
- 208000014829 head and neck neoplasm Diseases 0.000 description 1
- 230000036541 health Effects 0.000 description 1
- 125000005842 heteroatom Chemical group 0.000 description 1
- 125000001183 hydrocarbyl group Chemical group 0.000 description 1
- 125000002883 imidazolyl group Chemical group 0.000 description 1
- 208000026278 immune system disease Diseases 0.000 description 1
- 125000001041 indolyl group Chemical group 0.000 description 1
- 208000015181 infectious disease Diseases 0.000 description 1
- 230000002757 inflammatory effect Effects 0.000 description 1
- 239000003112 inhibitor Substances 0.000 description 1
- 238000007918 intramuscular administration Methods 0.000 description 1
- 238000001990 intravenous administration Methods 0.000 description 1
- 125000002346 iodo group Chemical group I* 0.000 description 1
- 125000000959 isobutyl group Chemical group [H]C([H])([H])C([H])(C([H])([H])[H])C([H])([H])* 0.000 description 1
- 125000000904 isoindolyl group Chemical group C=1(NC=C2C=CC=CC12)* 0.000 description 1
- 125000001449 isopropyl group Chemical group [H]C([H])([H])C([H])(*)C([H])([H])[H] 0.000 description 1
- 125000005956 isoquinolyl group Chemical group 0.000 description 1
- 230000000155 isotopic effect Effects 0.000 description 1
- 201000010982 kidney cancer Diseases 0.000 description 1
- 208000032839 leukemia Diseases 0.000 description 1
- 238000004895 liquid chromatography mass spectrometry Methods 0.000 description 1
- 210000004185 liver Anatomy 0.000 description 1
- 201000007270 liver cancer Diseases 0.000 description 1
- 208000014018 liver neoplasm Diseases 0.000 description 1
- 201000005249 lung adenocarcinoma Diseases 0.000 description 1
- 208000015486 malignant pancreatic neoplasm Diseases 0.000 description 1
- 239000000463 material Substances 0.000 description 1
- 238000005259 measurement Methods 0.000 description 1
- 201000001441 melanoma Diseases 0.000 description 1
- 208000030159 metabolic disease Diseases 0.000 description 1
- 230000009401 metastasis Effects 0.000 description 1
- 239000011259 mixed solution Substances 0.000 description 1
- 238000012986 modification Methods 0.000 description 1
- 230000004048 modification Effects 0.000 description 1
- YOHYSYJDKVYCJI-UHFFFAOYSA-N n-[3-[[6-[3-(trifluoromethyl)anilino]pyrimidin-4-yl]amino]phenyl]cyclopropanecarboxamide Chemical compound FC(F)(F)C1=CC=CC(NC=2N=CN=C(NC=3C=C(NC(=O)C4CC4)C=CC=3)C=2)=C1 YOHYSYJDKVYCJI-UHFFFAOYSA-N 0.000 description 1
- SYSQUGFVNFXIIT-UHFFFAOYSA-N n-[4-(1,3-benzoxazol-2-yl)phenyl]-4-nitrobenzenesulfonamide Chemical class C1=CC([N+](=O)[O-])=CC=C1S(=O)(=O)NC1=CC=C(C=2OC3=CC=CC=C3N=2)C=C1 SYSQUGFVNFXIIT-UHFFFAOYSA-N 0.000 description 1
- 125000001280 n-hexyl group Chemical group C(CCCCC)* 0.000 description 1
- 125000004593 naphthyridinyl group Chemical group N1=C(C=CC2=CC=CN=C12)* 0.000 description 1
- 239000012299 nitrogen atmosphere Substances 0.000 description 1
- 125000002347 octyl group Chemical group [H]C([*])([H])C([H])([H])C([H])([H])C([H])([H])C([H])([H])C([H])([H])C([H])([H])C([H])([H])[H] 0.000 description 1
- 210000000056 organ Anatomy 0.000 description 1
- 229940000673 orphan drug Drugs 0.000 description 1
- 239000002859 orphan drug Substances 0.000 description 1
- 201000008968 osteosarcoma Diseases 0.000 description 1
- 201000002528 pancreatic cancer Diseases 0.000 description 1
- 208000008443 pancreatic carcinoma Diseases 0.000 description 1
- 238000007911 parenteral administration Methods 0.000 description 1
- 125000001147 pentyl group Chemical group C(CCCC)* 0.000 description 1
- 230000003285 pharmacodynamic effect Effects 0.000 description 1
- 239000012071 phase Substances 0.000 description 1
- 230000004962 physiological condition Effects 0.000 description 1
- 239000002244 precipitate Substances 0.000 description 1
- 238000004237 preparative chromatography Methods 0.000 description 1
- 238000012545 processing Methods 0.000 description 1
- 230000002062 proliferating effect Effects 0.000 description 1
- 125000001436 propyl group Chemical group [H]C([*])([H])C([H])([H])C([H])([H])[H] 0.000 description 1
- 125000006239 protecting group Chemical group 0.000 description 1
- 125000001042 pteridinyl group Chemical group N1=C(N=CC2=NC=CN=C12)* 0.000 description 1
- 125000000561 purinyl group Chemical group N1=C(N=C2N=CNC2=C1)* 0.000 description 1
- 125000004309 pyranyl group Chemical group O1C(C=CC=C1)* 0.000 description 1
- 125000003373 pyrazinyl group Chemical group 0.000 description 1
- 125000003226 pyrazolyl group Chemical group 0.000 description 1
- 125000004076 pyridyl group Chemical group 0.000 description 1
- 125000000714 pyrimidinyl group Chemical group 0.000 description 1
- 125000000168 pyrrolyl group Chemical group 0.000 description 1
- 125000002294 quinazolinyl group Chemical group N1=C(N=CC2=CC=CC=C12)* 0.000 description 1
- 125000005493 quinolyl group Chemical group 0.000 description 1
- 125000001567 quinoxalinyl group Chemical group N1=C(C=NC2=CC=CC=C12)* 0.000 description 1
- 206010038038 rectal cancer Diseases 0.000 description 1
- 201000001275 rectum cancer Diseases 0.000 description 1
- 230000001105 regulatory effect Effects 0.000 description 1
- 238000011160 research Methods 0.000 description 1
- 230000008261 resistance mechanism Effects 0.000 description 1
- 238000002390 rotary evaporation Methods 0.000 description 1
- 102220197960 rs1057519783 Human genes 0.000 description 1
- 102220197961 rs1057519784 Human genes 0.000 description 1
- 229930195734 saturated hydrocarbon Natural products 0.000 description 1
- 125000002914 sec-butyl group Chemical group [H]C([H])([H])C([H])([H])C([H])(*)C([H])([H])[H] 0.000 description 1
- 230000008313 sensitization Effects 0.000 description 1
- 238000013207 serial dilution Methods 0.000 description 1
- 239000000741 silica gel Substances 0.000 description 1
- 229910002027 silica gel Inorganic materials 0.000 description 1
- 150000003384 small molecules Chemical class 0.000 description 1
- 229910000029 sodium carbonate Inorganic materials 0.000 description 1
- 238000003756 stirring Methods 0.000 description 1
- 201000011549 stomach cancer Diseases 0.000 description 1
- 238000003860 storage Methods 0.000 description 1
- 238000007920 subcutaneous administration Methods 0.000 description 1
- 238000006467 substitution reaction Methods 0.000 description 1
- 230000009885 systemic effect Effects 0.000 description 1
- 238000002626 targeted therapy Methods 0.000 description 1
- 230000008685 targeting Effects 0.000 description 1
- 125000000999 tert-butyl group Chemical group [H]C([H])([H])C(*)(C([H])([H])[H])C([H])([H])[H] 0.000 description 1
- 230000001225 therapeutic effect Effects 0.000 description 1
- 238000002560 therapeutic procedure Methods 0.000 description 1
- 125000001113 thiadiazolyl group Chemical group 0.000 description 1
- 125000000335 thiazolyl group Chemical group 0.000 description 1
- 125000001544 thienyl group Chemical group 0.000 description 1
- 201000002510 thyroid cancer Diseases 0.000 description 1
- 230000000699 topical effect Effects 0.000 description 1
- 238000002054 transplantation Methods 0.000 description 1
- 125000004306 triazinyl group Chemical group 0.000 description 1
- 125000001425 triazolyl group Chemical group 0.000 description 1
- 125000006168 tricyclic group Chemical group 0.000 description 1
- 210000004881 tumor cell Anatomy 0.000 description 1
- 201000005112 urinary bladder cancer Diseases 0.000 description 1
- 206010046766 uterine cancer Diseases 0.000 description 1
- 230000003612 virological effect Effects 0.000 description 1
- 208000029257 vision disease Diseases 0.000 description 1
- 230000004393 visual impairment Effects 0.000 description 1
Classifications
-
- C—CHEMISTRY; METALLURGY
- C07—ORGANIC CHEMISTRY
- C07D—HETEROCYCLIC COMPOUNDS
- C07D498/00—Heterocyclic compounds containing in the condensed system at least one hetero ring having nitrogen and oxygen atoms as the only ring hetero atoms
- C07D498/12—Heterocyclic compounds containing in the condensed system at least one hetero ring having nitrogen and oxygen atoms as the only ring hetero atoms in which the condensed system contains three hetero rings
- C07D498/18—Bridged systems
-
- A—HUMAN NECESSITIES
- A61—MEDICAL OR VETERINARY SCIENCE; HYGIENE
- A61P—SPECIFIC THERAPEUTIC ACTIVITY OF CHEMICAL COMPOUNDS OR MEDICINAL PREPARATIONS
- A61P25/00—Drugs for disorders of the nervous system
-
- A—HUMAN NECESSITIES
- A61—MEDICAL OR VETERINARY SCIENCE; HYGIENE
- A61P—SPECIFIC THERAPEUTIC ACTIVITY OF CHEMICAL COMPOUNDS OR MEDICINAL PREPARATIONS
- A61P29/00—Non-central analgesic, antipyretic or antiinflammatory agents, e.g. antirheumatic agents; Non-steroidal antiinflammatory drugs [NSAID]
-
- A—HUMAN NECESSITIES
- A61—MEDICAL OR VETERINARY SCIENCE; HYGIENE
- A61P—SPECIFIC THERAPEUTIC ACTIVITY OF CHEMICAL COMPOUNDS OR MEDICINAL PREPARATIONS
- A61P3/00—Drugs for disorders of the metabolism
-
- A—HUMAN NECESSITIES
- A61—MEDICAL OR VETERINARY SCIENCE; HYGIENE
- A61P—SPECIFIC THERAPEUTIC ACTIVITY OF CHEMICAL COMPOUNDS OR MEDICINAL PREPARATIONS
- A61P31/00—Antiinfectives, i.e. antibiotics, antiseptics, chemotherapeutics
- A61P31/12—Antivirals
-
- A—HUMAN NECESSITIES
- A61—MEDICAL OR VETERINARY SCIENCE; HYGIENE
- A61P—SPECIFIC THERAPEUTIC ACTIVITY OF CHEMICAL COMPOUNDS OR MEDICINAL PREPARATIONS
- A61P35/00—Antineoplastic agents
-
- A—HUMAN NECESSITIES
- A61—MEDICAL OR VETERINARY SCIENCE; HYGIENE
- A61P—SPECIFIC THERAPEUTIC ACTIVITY OF CHEMICAL COMPOUNDS OR MEDICINAL PREPARATIONS
- A61P35/00—Antineoplastic agents
- A61P35/02—Antineoplastic agents specific for leukemia
-
- A—HUMAN NECESSITIES
- A61—MEDICAL OR VETERINARY SCIENCE; HYGIENE
- A61P—SPECIFIC THERAPEUTIC ACTIVITY OF CHEMICAL COMPOUNDS OR MEDICINAL PREPARATIONS
- A61P37/00—Drugs for immunological or allergic disorders
- A61P37/02—Immunomodulators
-
- A—HUMAN NECESSITIES
- A61—MEDICAL OR VETERINARY SCIENCE; HYGIENE
- A61P—SPECIFIC THERAPEUTIC ACTIVITY OF CHEMICAL COMPOUNDS OR MEDICINAL PREPARATIONS
- A61P37/00—Drugs for immunological or allergic disorders
- A61P37/02—Immunomodulators
- A61P37/06—Immunosuppressants, e.g. drugs for graft rejection
-
- C—CHEMISTRY; METALLURGY
- C07—ORGANIC CHEMISTRY
- C07D—HETEROCYCLIC COMPOUNDS
- C07D498/00—Heterocyclic compounds containing in the condensed system at least one hetero ring having nitrogen and oxygen atoms as the only ring hetero atoms
- C07D498/12—Heterocyclic compounds containing in the condensed system at least one hetero ring having nitrogen and oxygen atoms as the only ring hetero atoms in which the condensed system contains three hetero rings
- C07D498/20—Spiro-condensed systems
-
- C—CHEMISTRY; METALLURGY
- C07—ORGANIC CHEMISTRY
- C07D—HETEROCYCLIC COMPOUNDS
- C07D498/00—Heterocyclic compounds containing in the condensed system at least one hetero ring having nitrogen and oxygen atoms as the only ring hetero atoms
- C07D498/22—Heterocyclic compounds containing in the condensed system at least one hetero ring having nitrogen and oxygen atoms as the only ring hetero atoms in which the condensed system contains four or more hetero rings
-
- C—CHEMISTRY; METALLURGY
- C07—ORGANIC CHEMISTRY
- C07D—HETEROCYCLIC COMPOUNDS
- C07D513/00—Heterocyclic compounds containing in the condensed system at least one hetero ring having nitrogen and sulfur atoms as the only ring hetero atoms, not provided for in groups C07D463/00, C07D477/00 or C07D499/00 - C07D507/00
- C07D513/12—Heterocyclic compounds containing in the condensed system at least one hetero ring having nitrogen and sulfur atoms as the only ring hetero atoms, not provided for in groups C07D463/00, C07D477/00 or C07D499/00 - C07D507/00 in which the condensed system contains three hetero rings
- C07D513/18—Bridged systems
Landscapes
- Health & Medical Sciences (AREA)
- Organic Chemistry (AREA)
- Chemical & Material Sciences (AREA)
- Life Sciences & Earth Sciences (AREA)
- Veterinary Medicine (AREA)
- Animal Behavior & Ethology (AREA)
- Medicinal Chemistry (AREA)
- Nuclear Medicine, Radiotherapy & Molecular Imaging (AREA)
- Chemical Kinetics & Catalysis (AREA)
- Pharmacology & Pharmacy (AREA)
- General Chemical & Material Sciences (AREA)
- Public Health (AREA)
- General Health & Medical Sciences (AREA)
- Immunology (AREA)
- Engineering & Computer Science (AREA)
- Bioinformatics & Cheminformatics (AREA)
- Hematology (AREA)
- Oncology (AREA)
- Diabetes (AREA)
- Biomedical Technology (AREA)
- Neurology (AREA)
- Neurosurgery (AREA)
- Obesity (AREA)
- Transplantation (AREA)
- Virology (AREA)
- Communicable Diseases (AREA)
- Pain & Pain Management (AREA)
- Rheumatology (AREA)
- Pharmaceuticals Containing Other Organic And Inorganic Compounds (AREA)
Abstract
本发明公开了一种式Ⅰ所示的化合物,其中的各符号如权利要求中所定义。本发明的式Ⅰ所示化合物对ALK、ROS1和/或TRK激酶具有良好的抑制活性,可用于制备抑制ALK、ROS1和/或TRK激酶的药物,用于治疗癌症、疼痛、神经疾病、自身免疫疾病或发炎。
Description
技术领域
本发明涉及医药技术领域,具体涉及用作蛋白质激酶调节剂的化合物,以及 含有该化合物的药物组合物,同时还涉及其在制备用于调节蛋白质激酶活性或治 疗蛋白质激酶相关疾病的药物方面的应用。
背景技术
恶性肿瘤是人类健康的主要杀手之一,最新版的《世界癌症报告》预测全球 癌症病例将呈现迅猛增长态势,由2012年的1400万人,逐年递增至2025年的 1900万人,到2035年将达到2400万人。报告还显示,非洲、亚洲和中南美洲 的发展中国家癌症发病形势最为严峻。2012年全世界共新增1400万癌症病例并 有820万人死亡。其中,中国新增307万癌症患者并造成约220万人死亡,分别 占全球总量的21.9%和26.8%(全球癌症报告2014)。目前人类对肿瘤的认识水 平和治疗手段都有了瞩目的进展,对部分肿瘤已经可以做到有效地控制。但是由 于肿瘤的形成机制非常复杂,大部分恶性肿瘤细胞的生长都有多种通路,导致癌 细胞有极强的生命力,抑制其中一条或部分通路并不能完全消灭癌细胞。反之除通常的病灶转移外,化疗经常导致癌细胞基因发生突变,致使其产生抗药性。
非小细胞肺癌(NSCLC)是最常见的肺癌类型,占所有肺癌患者的80%至85%, 其中部分患者伴随有基因突变。NSCLC中有2-5%的病例为间变性淋巴瘤激酶 (ALK)重排型,间变性淋巴瘤激酶是胰岛素受体超家族的一个受体型蛋白质酪 氨酸磷酸激酶。最初人们是在间变性大细胞淋巴瘤中以一种激活的融合癌基因的 形式发现了ALK,随后连续的研究在多种癌症中发现了ALK的融合形式,其中包 括系统性组织异常增生、炎性肌纤维细胞癌、非小细胞肺癌等。ALK在多种癌症 中的突变和异常的活性,已经使其成为一个治疗ALK阳性癌症的药物靶点。
由美国辉瑞制药有限公司研发的克里唑蒂尼(Crizotinib)经临床验证可有效 缩小晚期基因突变型非小细胞肺癌(NSCLC)患者的恶性肿瘤大小。但是,克里 唑蒂尼会出现如下副作用:视觉障碍、胃肠道副作用,16%的患者发生3-4级肝 转氨酶水平升高,此外,ALK阳性患者经过开始阶段的克里唑蒂尼治疗敏感期后 患者一般在经1-2年的治疗后产生耐药性。目前,FDA相继批准了ceritinib、 alectinib和brigatinib等三个第二代ALK抑制剂,用于克里唑蒂尼耐药性患者的 治疗。虽然,获得性耐药患者在这些上市的药物中得到了很多益处,可是由于一 些副作用或肿瘤再次获得性的耐药性问题,往往会限制这些疗法的效果,因此, 急需开发新的、高效、广谱的激酶抑制剂。
专利文献WO2017004342A1中公开了一系列高活性的化合物,其对克里唑 蒂尼产生的耐药性突变有很高的抑制剂活性,并且对使用二代ALK抑制剂产生的 耐药性突变也有很好的抑制剂作用。其中公开的化合物TPX-0005是针对ALK、 ROS1和TRK家族的有效口服型生物可利用小分子激酶抑制剂。这款分子能够有 效结合ALK、ROS1、TRK激酶的ATP结合位点,对这些蛋白起到抑制的作用。更 关键的是,它能结合这些蛋白的突变型,如ALKG1202R、ALK L1196M、ROS1 G2032R、TRKA G595R,同时,有潜力综合解决在靶向ALK,ROS1,NTRK家族后, 与获得性耐药突变有关的药物耐受问题,并且能解决旁路与EMT机制。由于在靶向疗法中,旁路与EMT是常见的药物耐受机制,所以TPX-0005将来会很有潜 力通过组合疗法,去攻克如EGFR等其他治疗靶点产生的耐药性问题。目前,其 已经开展临床Ⅰ/Ⅱ实验且被FDA授予用于治疗携带ALK、ROS1或NTRK致癌基 因重排的非小细胞肺腺癌患者的孤儿药资格。
虽然TPX-0005已经在临床Ⅰ/Ⅱ实验中取得了比较好的效果,但是为了满足 急需的抗耐药性临床需求,造福广大患者,开发新的高活性的和/或具有更好药 效学/药代动力学性能的化合物已成为急需解决的开发新型抗肿瘤药物的关键问 题。
发明内容
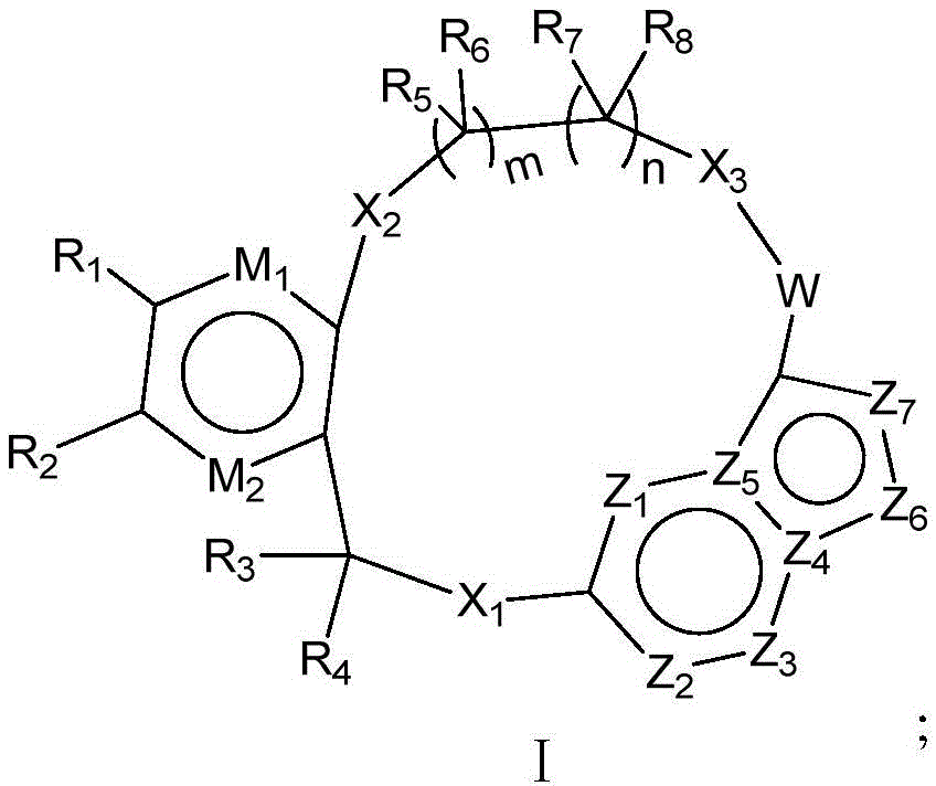
本发明提供了如式Ⅰ所示的化合物,或其互变异构体,或其内消旋体、外消 旋体及内消旋体和外消旋体的混合物,或其对映异构体、非对映异构体及对映异 构体和非对映异构体的混合物,或其可药用的盐:
式Ⅰ中:
M1选自CR9或N;
M2选自CR10或N;
X1、X2和X3各自独立的选自O、S、NR11、S(O)或S(O)2;
W选自C(O)、S(O)、C(S)或S(O)2;
Z1、Z2、Z3、Z4、Z5、Z6和Z7各自独立的选自N、NH或CR11,且Z1、Z2、Z3、 Z4、Z5、Z6和Z7中至少一个为N或NH;
R1、R2、R9、R10和R11各自独立的选自H、氘、卤素、烷基、卤代烷基、环 烷基、卤代环烷基、烷氧基、卤代烷氧基、羟基、氰基、氨基、烷氨基、酰基、 酯基、烯基、炔基、芳基、杂芳基、磺酰基、膦酰基、其 中所述的烷基、卤代烷基、环烷基、卤代环烷基、烷氧基、卤代烷氧基、烷氨基、 酰基、酯基、烯基、炔基、芳基、杂芳基、磺酰基、膦酰基中的H可以被单取代 或多取代,取代基选自氟、氯、溴、氨基、乙酰基、氰基、羧基、磺酰基、膦酰 基、C1-6的烷氧基、C1-4的烷基、C3-6的环烷基、氟代烷基、单氟甲氧基、二氟甲 氧基、三氟甲氧基、三氟乙氧基、氘代单氟甲氧基或氘代二氟甲氧基;
R3、R4、R5、R6、R7和R8各自独立的选自H、氘、卤素、烷基、卤代烷基、 环烷基、卤代环烷基、烷氧基、卤代烷氧基、羟基、氰基、氨基、烷氨基、酰基、 酯基、烯基、炔基、芳基、杂芳基、磺酰基、膦酰基、其 中所述的烷基、卤代烷基、环烷基、卤代环烷基、烷氧基、卤代烷氧基、烷氨基、 酰基、酯基、烯基、炔基、芳基、杂芳基、磺酰基、膦酰基中的H可以被单取代 或多取代,取代基选自氟、氯、溴、氨基、乙酰基、氰基、羧基、磺酰基、膦酰基、C1-6的烷氧基、C1-4的烷基、C3-6的环烷基、氟代烷基、单氟甲氧基、二氟甲 氧基、三氟甲氧基、三氟乙氧基、氘代单氟甲氧基或氘代二氟甲氧基;
R12和R13各自独立的选自烷基、卤代烷基、环烷基、卤代环烷基、芳基或杂 芳基;
m为1或2;
n为1或2。
本发明还提供了式Ⅱ所示的化合物,或其互变异构体,或其内消旋体、外消 旋体及内消旋体和外消旋体的混合物,或其对映异构体、非对映异构体及对映异 构体和非对映异构体的混合物,或其可药用的盐:
式Ⅱ中:
A为3~8元环,其中所述的环选自碳环或杂环;
M1、M2、X1、X2、X3、W、Z1、Z2、Z3、Z4、Z5、Z6、Z7、R1、R2、R3、R4、R5、 R6、R7、R8、m、n如式Ⅰ中所定义。
本发明还提供了式Ⅲ所示的化合物,或其互变异构体,或其内消旋体、外消 旋体及内消旋体和外消旋体的混合物,或其对映异构体、非对映异构体及对映异 构体和非对映异构体的混合物,或其可药用的盐:
式Ⅲ中:
B为3~8元环,其中所述的环选自碳环或杂环;
M1、M2、X1、X2、X3、W、Z1、Z2、Z3、Z4、Z5、Z6、Z7、R1、R2、R3、R4、R5、 R6、R7、R8、m、n如式Ⅰ中所定义。
本发明还提供了式Ⅳ所示的化合物,或其互变异构体,或其内消旋体、外消 旋体及内消旋体和外消旋体的混合物,或其对映异构体、非对映异构体及对映异 构体和非对映异构体的混合物,或其可药用的盐:
式Ⅳ中:
C为3~8元环,其中所述的环选自碳环或杂环;
M1、M2、X1、X2、X3、W、Z1、Z2、Z3、Z4、Z5、Z6、Z7、R1、R2、R3、R4、R5、 R6、R7、R8、m、n如式Ⅰ中所定义。
本发明还提供了式Ⅴ所示的化合物,或其互变异构体,或其内消旋体、外消 旋体及内消旋体和外消旋体的混合物,或其对映异构体、非对映异构体及对映异 构体和非对映异构体的混合物,或其可药用的盐:
式Ⅴ中:
A、B各自独立的为3~8元环,其中所述的环选自碳环或杂环;
M1、M2、X1、X2、X3、W、Z1、Z2、Z3、Z4、Z5、Z6、Z7、R1、R2、R3、R4、R5、 R6、R7、R8、m、n如式Ⅰ中所定义。
本发明还提供了式Ⅵ所示的化合物,或其互变异构体,或其内消旋体、外消 旋体及内消旋体和外消旋体的混合物,或其对映异构体、非对映异构体及对映异 构体和非对映异构体的混合物,或其可药用的盐:
式Ⅵ中:
B、C各自独立的为3~8元环,其中所述的环选自碳环或杂环;
M1、M2、X1、X2、X3、W、Z1、Z2、Z3、Z4、Z5、Z6、Z7、R1、R2、R3、R4、R5、 R6、R7、R8、m、n如式Ⅰ中所定义。
本发明还提供了式Ⅶ所示的化合物,或其互变异构体,或其内消旋体、外消 旋体及内消旋体和外消旋体的混合物,或其对映异构体、非对映异构体及对映异 构体和非对映异构体的混合物,或其可药用的盐:
式Ⅶ中:
A、C各自独立的为3~8元环,其中所述的环选自碳环或杂环;
M1、M2、X1、X2、X3、W、Z1、Z2、Z3、Z4、Z5、Z6、Z7、R1、R2、R3、R4、R5、 R6、R7、R8、m、n如式Ⅰ中所定义。
本发明还提供了式Ⅷ所示的化合物,或其互变异构体,或其内消旋体、外消 旋体及内消旋体和外消旋体的混合物,或其对映异构体、非对映异构体及对映异 构体和非对映异构体的混合物,或其可药用的盐:
式Ⅷ中:
A、B、C各自独立的为3~8元环,其中所述的环选自碳环或杂环;
M1、M2、X1、X2、X3、W、Z1、Z2、Z3、Z4、Z5、Z6、Z7、R1、R2、R3、R4、R5、 R6、R7、R8、m、n如式Ⅰ中所定义。
进一步限定,式Ⅰ-式Ⅷ中,R1选自氘、卤素、烷基、卤代烷基、环烷基、 卤代环烷基、烷氧基、卤代烷氧基、羟基、氰基、氨基、烷氨基、酰基、酯基、 烯基、炔基、芳基、杂芳基、磺酰基、膦酰基、其中所述 的烷基、卤代烷基、环烷基、卤代环烷基、烷氧基、卤代烷氧基、烷氨基、酰基、 酯基、烯基、炔基、芳基、杂芳基、磺酰基、膦酰基、中的 H可以被单取代或多取代,取代基选自氟、氯、溴、氨基、乙酰基、氰基、羧基、 磺酰基、膦酰基、C1-6的烷氧基、C1-4的烷基、C3-6的环烷基、氟代烷基、单氟甲 氧基、二氟甲氧基、三氟甲氧基、三氟乙氧基、氘代单氟甲氧基或氘代二氟甲氧 基。
进一步限定,式Ⅰ、式Ⅲ、式Ⅳ、式Ⅵ中,R3为氘。
进一步限定,式Ⅰ、式Ⅱ、式Ⅳ、式Ⅶ中,R5为氘。
进一步限定,式Ⅰ、式Ⅳ中,R3、R5均为氘。
本发明进一步提供了任选自以下的具体化合物,或其互变异构体,或其内消 旋体、外消旋体及内消旋体和外消旋体的混合物,或其对映异构体、非对映异构 体及对映异构体和非对映异构体的混合物,或其可药用的盐:
以上这些具体的化合物可以有效抑制ALK、ROS1和/或TRK激酶的活性。可 用作ALK/ROS1/TRK激酶抑制剂,治疗ALK/ROS1/TRK相关疾病。尤其是非小细胞 肺癌的治疗药物。
其中,可药用的盐可以为无机酸盐或有机酸盐,例如无机酸盐可选自盐酸盐、 氢溴酸盐、氢碘酸盐、硫酸盐、硫酸氢盐、硝酸盐、磷酸盐、酸式磷酸盐;有机 酸盐可选自甲酸盐、乙酸盐、三氟乙酸盐、丙酸盐、丙酮酸盐、羟乙酸盐、乙二 酸盐、丙二酸盐、富马酸盐、马来酸盐、乳酸盐、苹果酸盐、柠檬酸盐、酒石酸 盐、甲磺酸盐、乙磺酸盐、苯磺酸盐、水杨酸盐、苦味酸盐、谷氨酸盐、抗坏血 酸盐、樟脑酸盐、樟脑磺酸盐。
一种药物组合物,其包含:
药学上可接受的载体;
以及,
以上所述的化合物,或其互变异构体,或其内消旋体、外消旋体及内消旋体 和外消旋体的混合物,或其对映异构体、非对映异构体及对映异构体和非对映异 构体的混合物,或其可药用的盐,或其晶型、水合物或溶剂化物、前药或同位素 变体。
以上所述的化合物,或其互变异构体,或其内消旋体、外消旋体及内消旋体 和外消旋体的混合物,或其对映异构体、非对映异构体及对映异构体和非对映异 构体的混合物,或其可药用的盐的用途,用于制备治疗癌症、疼痛、神经疾病、 自身免疫疾病或发炎的药物方面的用途。所述的癌症包括但并不限于:肺癌、头 颈癌、乳腺癌、前列腺癌、食道癌、直肠癌、结肠癌、鼻咽癌、子宫癌、胰腺癌、 淋巴瘤、血癌、骨肉瘤、黑色素瘤、肾癌、胃癌、肝癌、膀胱癌、甲状腺癌或大 肠癌。
以上所述的化合物,或其互变异构体,或其内消旋体、外消旋体及内消旋体 和外消旋体的混合物,或其对映异构体、非对映异构体及对映异构体和非对映异 构体的混合物,或其可药用的盐的用途,用于制备抑制细胞增殖的药物方面的用 途。
以上所述的化合物,或其互变异构体,或其内消旋体、外消旋体及内消旋体 和外消旋体的混合物,或其对映异构体、非对映异构体及对映异构体和非对映异 构体的混合物,或其可药用的盐的用途,用于制备治疗癌症的药物方面的用途。
以上所述的化合物,或其互变异构体,或其内消旋体、外消旋体及内消旋体 和外消旋体的混合物,或其对映异构体、非对映异构体及对映异构体和非对映异 构体的混合物,或其可药用的盐的用途,用于制备抑制ALK、ROS1和/或TRK激 酶的药物方面的用途。
以上所述的化合物,或其互变异构体,或其内消旋体、外消旋体及内消旋体 和外消旋体的混合物,或其对映异构体、非对映异构体及对映异构体和非对映异 构体的混合物,或其可药用的盐的用途,用于制备治疗非小细胞肺癌的药物方面 的用途。
除非特别说明,否则在本申请(包括说明书和权利要求书)所用的以下术语 具有下面所给出的定义。
“烷基”指的是仅由碳和氢原子组成的含有1至12个碳原子的单价直链或支 链饱和烃基团。“烷基”优选为1至6个碳原子的烷基基团,即C1-C6烷基,更优 选为C1-C4烷基。烷基基团的实例包括但不限于甲基、乙基、丙基、异丙基、异 丁基、仲丁基、叔丁基、戊基、正己基、辛基、十二烷基等。
“烷氧基”指的是式-OR基团,其中R是本文所定义的烷基基团。烷氧基基团 的实例包括但不限于甲氧基、乙氧基、异丙氧基、叔丁氧基等。
“卤素(卤代)”是指氟、氯、溴或碘取代基。
“卤代烷基”指的是其中一个或多个氢被相同或不同的卤素代替的本文所定 义的烷基。卤代烷基的实例包括-CH2Cl、-CH2CF3、-CH2CCl3、全氟烷基(例如,-CF3) 等。
“卤代烷氧基”指的是式-OR基团,其中R是本文所定义的卤代烷基基团。卤 代烷氧基基团的实例包括但不限于三氟甲氧基、二氟甲氧基、2,2,2-三氟乙氧基 等。
“环烷基”指的是由单-或二环组成的单价饱和碳环基团,其具有3-12个、优 选3-10个、更优选3-6个环原子。环烷基可以任选地被一个或多个取代基所取 代,其中各取代基独立地为羟基、烷基、烷氧基、卤素、卤代烷基、氨基、单烷 基氨基或二烷基氨基。环烷基基团的实例包括但不限于环丙基、环丁基、环戊基、 环己基、环庚基等。
“环烷氧基”指的是式-OR基团,其中R为如本文所定义的环烷基。示例性的 环烷基氧基包括环丙基氧基、环丁基氧基、环戊基氧基、环己基氧基等。
“酰基”指的是式-C(O)R基团,其中R为如本文所定义的烷基。示例性的酰基 包括乙酰基、正丙酰基、异丙酰基、正丁酰基、异丁酰基、叔丁酰基等。
酯基是指式-C(O)OR的基团,其中R为如本文所定义的烷基。示例性的酯基 包括-C(O)OMe、-C(O)OEt等。
“烷硫基”指的是式-SRa基团,其中Ra为H或如本文所定义的烷基。
“烷氨基”指的是式-NRaRb基团,其中Ra为H或如本文所定义的烷基,Rb 为如本文所定义的烷基。
“环烷氨基”指的是式-NRaRb基团,其中Ra为H、如本文所定义的烷基或如 本文所定义的环烷基,Rb为如本文所定义的环烷基。
“杂芳基”指的是5至12个环原子的单环、二环或三环基团,其含有至少1 个包含1、2或3个选自N、O或S的环杂原子、剩余的环原子是C的芳环,应 当清楚地是,杂芳基的连接点应当位于芳环上。杂芳基优选具体5-8个环原子, 更优选具有5-6个环原子。杂芳基基团的实例包括但不限于:咪唑基、唑基、 异唑基、噻唑基、异噻唑基、二唑基、噻二唑基、吡嗪基、噻吩基、呋喃基、 吡喃基、吡啶基、吡咯基、吡唑基、嘧啶基、喹啉基、异喹啉基、苯并呋喃基、 苯并呋喃基、苯并噻吩基、苯并噻喃基、苯并咪唑基、苯并唑基、苯并二唑 基、苯并噻唑基、苯并噻二唑基、苯并吡喃基、吲哚基、异吲哚基、三唑基、三 嗪基、喹喔啉基、嘌呤基、喹唑啉基、喹嗪基、萘啶基、蝶啶基、咔唑基、氮杂基、二氮杂基、吖啶基等。
本发明中所提及的溶剂化物是指本发明的化合物与溶剂形成的配合物。它们 或者在溶剂中反应或者从溶剂中沉淀析出或者结晶出来。例如,与水形成的配合 物称为水合物;其他还包括醇合物、酮合物等。本发明所述的溶剂化物包括本发 明式Ⅰ-式Ⅷ所示的化合物及其盐、立体异构体的溶剂化物。
本发明所提及的立体异构体是指本发明中式Ⅰ-式Ⅷ所示的化合物可以含有 一个或多个手性中心,并以不同的光学活性形式存在。当化合物含有一个手性中 心时,化合物包含对映异构体。本发明包括这两种异构体和异构体的混合物,如 外消旋混合物。对映异构体可以通过本技术领域已知的方法拆分,例如结晶以及 手性色谱等方法。当式Ⅰ-式Ⅷ所示的化合物含有多于一个手性中心时,可以存 在非对应异构体。本发明的立体异构体包括拆分过的光学纯的特定异构体以及非 对应异构体的混合物。非对映异构体可以由本技术领域已知方法拆分,比如结晶 以及制备色谱。
本发明所提及的前药是指包括已知的氨基保护基和羧基保护基,在生理条件 下被水解或经由酶反应释放得到的母体化合物。具体的前药制备方法可参照现有 技术(Saulnier,M.G.;Frennesson,D.B.;Deshpande,M.S.;Hansel,S.B and Vysa,D.M.Bioorg.Med.ChemLett.1994,4,1985-1990;和Greenwald,R.B.;Choe,Y.H.; Conover,C.D.;Shum,K.;Wu,D.;Royzen,M.J.Med.Chem.2000,43,475.)。
本发明的式Ⅰ-式Ⅷ所示的化合物,该化合物可以有效抑制ALK、ROS1和/ 或TRK激酶的活性。可用作ALK/ROS1/TRK激酶抑制剂,治疗ALK/ROS1/TRK相关 疾病。尤其是非小细胞肺癌的治疗药物。
可将本发明的式Ⅰ-式Ⅷ所示化合物,或其药学上可接受的盐、立体异构体、 溶剂化物或前药,与一种或多种药用载体制成适合的剂型施用。这些剂型包括适 用于口服、直肠给药、局部给药、口内给药以及其他非胃肠道施用(例如,皮下、 肌肉、静脉等)的那些。
本发明的药物组合物可以以符合医学实践规范的方式配制,定量和给药。给 予化合物的“有效量”由要治疗的具体病症、治疗的个体、病症的起因、药物的靶 点以及给药方式等因素决定。
所述的药物组合物还可含有另外的治疗药物,另外的治疗药物为癌症、心血 管疾病、炎症、感染、免疫性疾病、细胞增殖性疾病、病毒性疾病、代谢性疾病 或器官移植的药物。
具体实施方式
下面结合具体实施例对本发明的技术方案作进一步的说明,但本发明的保护 范围不限于此。
实施例1
目标化合物:
合成路线为:
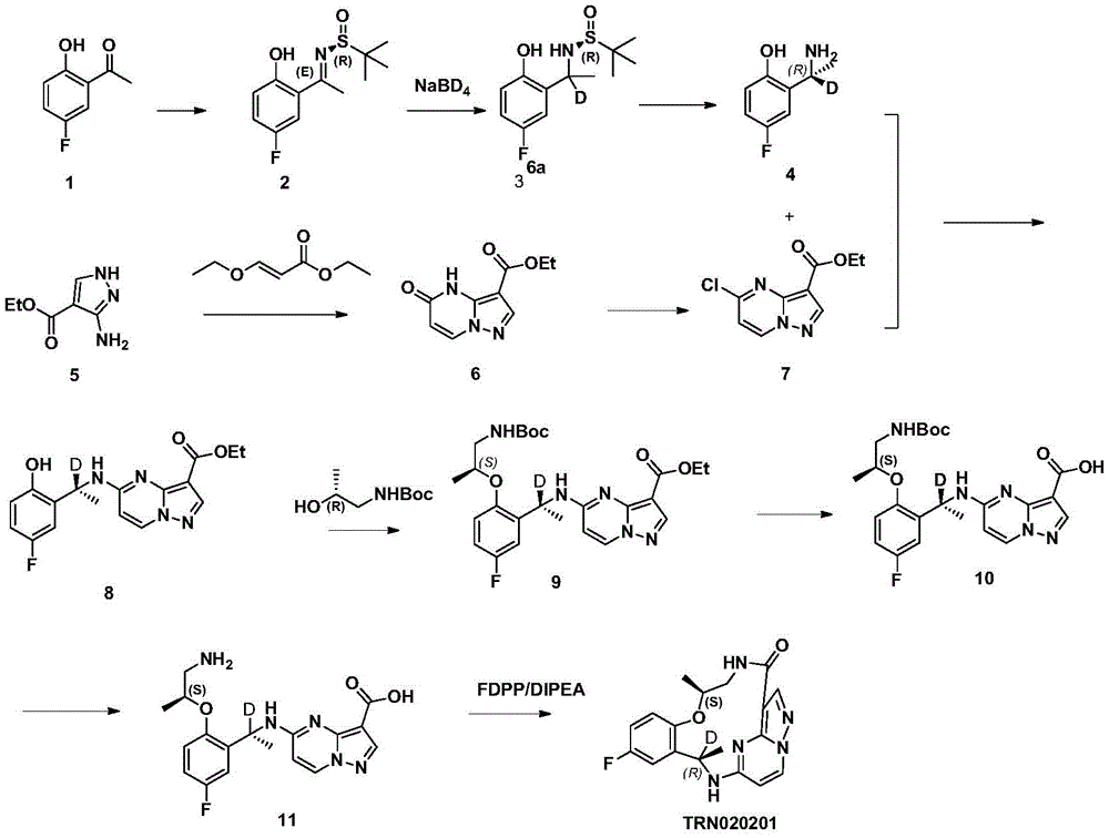
具体合成过程
化合物2的合成
氮气氛围,室温搅拌下,将钛酸四乙酯(24g,84mmol)滴加到化合物1(5.0g,32.4mmol)和R-叔丁基亚磺酰胺(3.9g,32.4mmol)的二氯甲烷(150mL)溶液 中,滴加完毕后室温搅拌过夜,加水(100mL)淬灭反应,硅藻土过滤,并用二 氯甲烷(300mL)洗涤滤饼,分液,并用二氯甲烷萃取水相,合并有机相,无水 硫酸镁干燥,硅胶柱层析(PE:EA=1:1),得到2.8g黄色固体。
表征数据:1H NMR(400MHz,CDCl3):δ12.78(s,1H),7.32(dd,J=3.2,9.6Hz, 1H),7.26(m,1H),6.93(dd,J=3.2,9.6Hz,1H),2.79(s,3H),1.34(s,9H)。 MS m/z(ESI):258.1[M+H]+。
化合物3的合成
将化合物2(9g,35mmol)溶解于无水四氢呋喃(50mL)中,氮气保护下, 降温至-50℃,分批次加入NaBD4(4.5g,105mmol),加完后升至室温,搅拌2 小时,取样点TLC板,原料消失,加入水(50mL),乙酸乙酯(100mL*3)萃取, 合并有机相,无水硫酸镁干燥,浓缩,硅胶柱层析(PE:EA=2:1)得到7.5g黄色 固体,氘代率97%。
表征数据:1H NMR(400MHz,CDCl3):δ9.05(s,1H),6.77(dd,J=3.2,8.8Hz, 1H),6.56(m,1H),6.42(dd,J=3.2,8.8Hz,1H),5.01(s,1H),1.50(s,3H),1.26(s,9H)。MS m/z(ESI):261.1[M+H]+。
化合物4的合成
室温下,将饱和的盐酸1,4-二氧六环溶液(20mL)缓慢加入到化合物3(7.5g,28.8mmol)的二氯甲烷(100mL)溶液中,室温搅拌2小时,原料消失,除去溶 液,向残留物加入乙醚,搅拌10分钟,过滤得到5.2g灰色固体。
表征数据:1H NMR(400MHz,DMSO-d6):δ10.19(br s,1H),8.42(br s,3H),7.29(d,J=3.2,9.6Hz,1H),7.01(m,1H),6.92(m,1H),1.45(s,3H)。MS m/z(ESI):157.1[M+H]+。
化合物6的合成
氮气保护下,在室温将碳酸铯(65.7g,202mmol)加入到化合物5(15g, 108mmol)和3-乙氧基丙烯酸乙酯(29.2g,203mmol)的N,N-二甲基甲酰胺溶 液中,升温至110℃搅拌8h,TLC(PE:EA=1:1)显示化合物5消失。将反应液冷 却至室温,硅藻土过滤,滤饼用乙酸乙酯(200mL)冲洗,旋蒸除去大部分乙酸 乙酯,剩余液中加入水(200mL),并用醋酸调至pH=4,有固体析出,过滤并干 燥得到白色固体6(17g,85%)。
表征数据:1H NMR(400MHz,DMSO-d6):δ8.54(d,J=8.0Hz,1H),8.12(s,1H),6.13(d,J=8.0Hz,1H),4.27(q,J=7.2Hz,2H),1.28(t,J=7.2Hz,3H)。MS m/z(ESI):208.1 [M+H]+。
化合物7的合成
氮气保护下,在室温将三氯氧磷(58g,380mmol)加入到化合物6(16g, 76mmol)的乙腈溶液中,升温至100℃搅拌2h,TLC(PE:EA=1:1)显示化合物6 消失。将反应液冷却至室温,导入碎冰中,搅拌20分钟,乙酸乙酯萃取,无水 硫酸镁干燥,过滤,浓缩,硅胶柱层析得到白色固体7(10g,62%)。
表征数据:1H NMR(400MHz,DMSO-d6):δ9.33(d,J=7.2Hz,1H),8.66(s,1H), 7.41(d,J=7.2Hz,1H),4.31(q,J=7.2Hz,2H),1.32(t,J=7.2Hz,3H)。MS m/z(ESI):226.1 [M+H]+。
化合物8的合成
先将化合物4(2g,10.5mmol)和化合物7(2.4g,10.5mmol)依次加入到 正丁醇(50mL)中,然后加入二异丙基乙胺(10.8g,84mmol),升温至120℃搅 拌过夜,TLC显示原料消失,减压除去正丁醇,向剩余物中加入水(50mL),用 乙酸乙酯(50mL*3)萃取,合并有机相,无水硫酸镁干燥,过滤,浓缩,硅胶 柱层析(PE:EA=1:1)得到白色固体8(3.1g),氘代率97%。
表征数据:1H NMR(400MHz,CDCl3):δ9.10(br s,1H),8.25(s,1H),,8.16(d,J=7.6Hz,1H),6.94(m,1H),6.94(m,1H),6.84(m,1H),6.08(d,J=7.6Hz,1H),5.52(br s,1H),4.43(m,2H),1.42(t,J=7.2Hz,3H)。MS m/z(ESI):346.1[M+H]+。
化合物9的合成
先将化合物8(2.5g,7.2mmol)和化合物(R)-1-(BOC-氨基)-2-丙醇(1.9g,10.8mmol)依次加入到无水二氯甲烷(10mL),然后加入甲苯(50mL),加热浓 缩除水,然后加入无水二氯甲烷(50mL)。氮气保护下,加入三苯基膦,搅拌至 完全溶解,滴加DEAD,此过程有热量释放。滴加完毕后,室温搅拌过夜,加入 2N的氢氧化钠水溶液(30mL),二氯甲烷萃取(50mL*3),合并有机相,无水硫 酸镁干燥,过滤,浓缩,硅胶柱层析(PE:EA=5:1)得到白色固体9(1.8g)。80% 纯度,直接用于下一步。MS m/z(ESI):503.1[M+H]+。
化合物10的合成
先将上一步得到的粗产品化合物9(2.6g)溶解于甲醇/四氢呋喃(60mL/20mL) 中,然后加入2N的氢氧化锂水溶液(20mL),升温至70℃搅拌过夜,点TLC板 显示原料9消失,将溶液旋干,用2N的盐酸水溶液调制pH=5,二氯甲烷萃取 (50mL*3),合并有机相,无水硫酸镁干燥,过滤,浓缩,硅胶柱层析(PE:EA=2:1) 得到白色固体10(1.8g)。90%纯度,直接用于下一步。MS m/z(ESI):475.2[M+H]+。
化合物11的合成
先将上一步得到的粗产品化合物10(1.8g)溶解到二氯甲烷(100mL)中, 室温下,将饱和的盐酸1,4-二氧六环溶液(20mL)缓慢加入,室温搅拌2小时, 原料消失,除去溶液,向残留物加入乙醚,搅拌10分钟,过滤得到1.2g灰色固 体。95%纯度,直接用于下一步。MSm/z(ESI):375.1[M+H]+。
目标化合物TRN020201的合成
氮气保护下,将化合物11(200mg,0.42mmol)的DMF溶液(3mL)加入 到二异丙基乙胺(426mg,3.3mmol)的DMF(6mL)和DCM(14mL)的混合溶 液中,然后加入FDPP(169mg,0.44mmol),室温搅拌2小时,向反应液中加入 2N的碳酸钠水溶液(10mL),二氯甲烷萃取,无水硫酸镁干燥,过滤,浓缩, 硅胶柱层析(DCM:MeOH=20:1)得到白色固体TRN020201(108mg)。
表征数据:1H NMR(400MHz,DMSO-d6):δ9.81(d,J=6.4Hz,1H),8.81(s,1H),8.57(d,J=7.6Hz,1H),8.04(s,1H),7.14(d,J=3.2,9.6Hz,1H),6.98(m,2H),,6.36(d,J=7.6Hz, 1H),4.48(m,1H),3.90(m,1H),3.13(m,1H),1.45(m,6H)。LC-MS m/z(ESI):357.1[M+H]+。
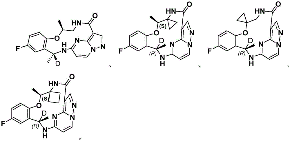
实施例2
目标化合物:
实施例2目标化合物:MS m/z(ESI):383.1[M+H]+。
实施例3
目标化合物:
实施例3目标化合物:MS m/z(ESI):369.2[M+H]+。
实施例4
目标化合物:
实施例4目标化合物:MS m/z(ESI):397.2[M+H]+。
实施例5
目标化合物:
实施例5目标化合物:MS m/z(ESI):411.2[M+H]+。
合成的具体化合物包括以下化合物:
效果实验例生物活性的测定
使用Caliper Mobility Shift Assay方法在ATP Km浓度下检测目标化合物TRN020201对间变性淋巴瘤激酶(ALK)的活性。Caliper Mobility Shift Assay方法即Caliper公司的迁移率检测技术(Mobility-Shift Assay)。
使用Caliper Mobility Shift Assay方法在Km浓度下检测各化合物对间变性淋巴瘤激酶(ALK)的体外活性,并使用星孢菌素(Staurosporine)做对照品,化合物 的生物活性筛选将在10个浓度下重复测定。
实验材料:
间变性淋巴瘤激酶(ALK)(Carna,Cat.No.08-105,Lot.No.08CBS-0112);
肽FAM-P22(GL Biochem,Cat.No.112393,Lot.No.P080401-XY112393);
ATP(Sigma,Cat.No.A7699-1G,CAS No.987-65-5);
DMSO(Sigma,Cat.No.D2650,Lot.No.474382);
EDTA(Sigma,Cat.No.E5134,CAS No.60-00-4);
96-孔测试盘(Corning公司,Cat.3365,Lot.No.22008026);
384-孔测试盘(Corning公司,Cat.3573,Lot.No.12608008);
星孢菌素(Staurosporine)(Sigma,Cat.No.S4400-1MG,Lot.No.046K4080)。
受试样品
各样品分别配成浓度为10mM的溶液。
实验方法
一、为实验用激酶准备1.25x的激酶基本缓冲溶液和淬灭缓冲溶液
1、不含二氯化锰(MnCl2)的1.25x激酶基本缓冲溶液
浓度为62.5mM的HEPES溶液,pH=7.5,
浓度为0.001875%的Brij-35,
浓度为12.5mM的二氯化镁(MgCl2)溶液,
浓度为2.5mM的DTT溶液;
2、含二氯化锰(MnCl2)的1.25x激酶基本缓冲溶液
浓度为62.5mM的HEPES溶液,pH=7.5,
浓度为0.001875%的Brij-35,
浓度为12.5mM的二氯化镁(MgCl2)溶液,
浓度为12.5mM的二氯化锰(MnCl2)溶液,
浓度为2.5mM的DTT溶液;
3、淬灭缓冲溶液
浓度为100mM的HEPES溶液,pH=7.5,
浓度为0.015%的Brij-35,
浓度为0.2%的3号表面试剂,
浓度为50mM的EDTA溶液。
二、为实验用激酶准备化合物
化合物系列(的连续)稀释
1、吸取5微升浓度为10mM的化合物溶液转移至试管中,加95微升DMSO, 稀释至化合物浓度为500μM;
2、将试管中的化合物转移至96-孔储存盘中的其中一孔,将其中30μL转移 到下一个相邻孔中,并加60μL的DMSO稀释,以此方法连续稀释,得到浓度从 500μM到0.025μM的10个化合物溶液;
3、在同一个96-孔的试验盘中,在每一排孔中都加入60μL的DMSO,做 DMSO控制;
4、从每一个孔中取5μL溶液转移至另一个96孔的测试盘中,并加45μL 的H2O;
5、转移70μL 250mM的EDTA作低控制;
6、在每一个孔中取5μL转移至384-孔分析盘中;96-孔盘中含有低控制的 A1转移到384-孔盘中的A1和A2,将96-孔盘中含最高化合物浓度的A2转入384- 孔盘的A3和A4,以此类推。
这样,这个分析盘中就含有5x化合物的10%DMSO溶液,化合物的起始浓 度为50μM。
三、激酶反应
1、准备2.5x酶溶液
将激酶加入1.25x的激酶基本缓冲溶液;
2、准备2.5x肽溶液
将FAM-标记的肽和ATP加入到1.25x的激酶基本缓冲溶液;
3、将2.5x激酶溶液转移至分析盘中
现在分析盘中已有5μL的化合物的10%DMSO溶液;
加10μL 2.5x酶溶液到384-孔分析盘的每一个孔中;
在室温下孵化10分钟;
4、将2.5x肽溶液转入分析盘中
加10μL 2.5x肽溶液到384-孔分析盘的每一个孔中;
5、酶反应和淬灭
在28℃下孵化一定时间,本实验中为1小时;
加25μL淬灭缓冲溶液以停止反应;
6、Caliper读取数据
Caliper收集数据;
7、曲线拟合
从Caliper上拷贝数据;
将转化值转变为抑制值:
抑制百分率=(最大值-转化值)/(最大值-最小值)*100,
其中,最大值代表DMSO控制(DMSO control);最小值代表低控制(low control);
在Xlfit里拟合数据以得到IC50值
使用如下方程式:
Y=Bottom+(Top-Bottom)/(1+10^((LogIC50-X)*HillSlope))。
得到的受试样品对间变性淋巴瘤激酶(ALK)的抑制活性IC50(nM)值如下表 所示:
| Compound ID | Top Conc.(uM) | ALK IC<sub>50</sub>(nM) |
| Staurosporine | 1 | 14.42 |
| TPX-0005 | 10 | 14.64 |
| 实施例1目标化合物 | 10 | 7.90 |
| 实施例2目标化合物 | 10 | 1.01 |
| 实施例3目标化合物 | 10 | 7.80 |
| 实施例4目标化合物 | 10 | 8.92 |
| 实施例5目标化合物 | 10 | 25.63 |
从上表可知,通过体外生物活性筛选,以Staurosporine及TPX-0005为对照 品。与对照品相比,我们所合成的化合物,如实施例1、实施例2、实施例3和 实施例4均显示对间变性淋巴瘤激酶(ALK)有更好的抑制能力。
经检测,本发明的化合物也可以有效抑制ROS1和TRK激酶的活性。
大鼠药代动力学实验
实验目的:研究大鼠给予实验的化合物后,药代动力学行为。
实验动物:SD大鼠等级,SPF级。
动物性别即数量:雄性,18只。
体重范围:180-250克。
来源:上海西普尔-必凯实验动物有限公司。
实验过程:
(1)动物给药量:每个化合物IV(静脉给药)给药量为2mg,PO(口服给 药)给药量为10mg。
(2)样品采集与处理:
经颈静脉穿刺采血,每个样品采集约0.25mL,EDTA-K2抗凝,采集后放置冰 上。采血时间点如下:
IV:给药前,给药后0.083h,0.25h,0.5h,1h,2h,4h,6h,8h,24h。
PO:给药前,给药后0.25h,0.5h,1h,2h,4h,6h,8h,24h。
血液样本采集后置于冰上,离心分离血浆(离心条件:8000转/分钟,6分 钟,2-8℃)。收集的血浆分析前存放于-80℃冰箱。
(3)药代动力学分析:
对于浓度低于定量下限的样品,在进行药代动力学参数计算时,以无法定量(BLQ)计算。
实验表明(见下表)本发明的化合物比对照样品TPX-0005有更好的药代动 力学性质。
实施例化合物与TPX-0005对照样的PK参数对比表
以上所述仅为本发明的实施例,并非因此限制本发明的专利范围,凡是利用 本发明说明书内容所作的等效变换,或直接或间接运用在其他相关的技术领域, 均包括在本发明的专利保护范围内。
Claims (11)
5.根据权利要求1-4任一所述的化合物或其可药用的盐,其特征在于,所述的可药用的盐为无机酸盐或有机酸盐,所述无机酸盐选自盐酸盐、氢溴酸盐、氢碘酸盐、硫酸盐、硫酸氢盐、硝酸盐、磷酸盐、酸式磷酸盐;所述有机酸盐选自甲酸盐、乙酸盐、三氟乙酸盐、丙酸盐、丙酮酸盐、羟乙酸盐、乙二酸盐、丙二酸盐、富马酸盐、马来酸盐、乳酸盐、苹果酸盐、柠檬酸盐、酒石酸盐、甲磺酸盐、乙磺酸盐、苯磺酸盐、水杨酸盐、苦味酸盐、谷氨酸盐、抗坏血酸盐、樟脑酸盐、樟脑磺酸盐。
6.一种药物组合物,其特征在于,其包含:
药学上可接受的载体;
以及,权利要求1-4中任一项所述的化合物或其可药用的盐。
7.一种如权利要求1-4中任一项所述的化合物或其可药用的盐的用途,用于制备治疗癌症、疼痛、神经疾病、自身免疫疾病或发炎的药物方面的用途。
8.一种如权利要求1-4中任一项所述的化合物或其可药用的盐的用途,用于制备抑制细胞增殖的药物方面的用途。
9.一种如权利要求1-4中任一项所述的化合物或其可药用的盐的用途,用于制备治疗癌症的药物方面的用途。
10.一种如权利要求1-4中任一项所述的化合物或其可药用的盐的用途,用于制备抑制ALK、ROS1和/或TRK激酶的药物方面的用途。
11.一种如权利要求1-4中任一项所述的化合物或其可药用的盐的用途,用于制备治疗非小细胞肺癌的药物方面的用途。
Applications Claiming Priority (2)
| Application Number | Priority Date | Filing Date | Title |
|---|---|---|---|
| CN2017110605945 | 2017-11-01 | ||
| CN201711060594 | 2017-11-01 |
Publications (2)
| Publication Number | Publication Date |
|---|---|
| CN109516999A CN109516999A (zh) | 2019-03-26 |
| CN109516999B true CN109516999B (zh) | 2021-08-17 |
Family
ID=65773018
Family Applications (1)
| Application Number | Title | Priority Date | Filing Date |
|---|---|---|---|
| CN201811283367.3A Active CN109516999B (zh) | 2017-11-01 | 2018-10-31 | 用作蛋白质激酶调节剂的化合物及其应用 |
Country Status (1)
| Country | Link |
|---|---|
| CN (1) | CN109516999B (zh) |
Families Citing this family (10)
| Publication number | Priority date | Publication date | Assignee | Title |
|---|---|---|---|---|
| US11555042B2 (en) * | 2018-03-28 | 2023-01-17 | Fochon Biosciences, Ltd. | Macrocyclic compounds as TRK kinases inhibitors |
| CN113773335B (zh) * | 2019-06-21 | 2024-12-03 | 成都海博为药业有限公司 | 一种作为蛋白质激酶抑制剂的化合物及其制备方法和用途 |
| WO2021027503A1 (zh) * | 2019-08-12 | 2021-02-18 | 罗欣药业(上海)有限公司 | 三环类化合物、其制备方法、中间体及应用 |
| WO2021042890A1 (zh) * | 2019-09-04 | 2021-03-11 | 罗欣药业(上海)有限公司 | 杂环化合物及其作为Trk激酶抑制剂的应用 |
| CN113527298B (zh) * | 2020-04-17 | 2025-01-03 | 浙江海正药业股份有限公司 | 大环内酰胺类衍生物、及其制备方法和用途 |
| CN113754682B (zh) * | 2020-06-04 | 2023-01-06 | 赛诺哈勃药业(成都)有限公司 | 具有大环结构的化合物及其用途 |
| CN114763360A (zh) * | 2021-01-15 | 2022-07-19 | 广州百霆医药科技有限公司 | 手性大环化合物作为蛋白激酶抑制剂及其用途 |
| CN115368379B (zh) * | 2021-05-18 | 2024-08-02 | 广州嘉越医药科技有限公司 | 一种含氰基取代的大环类化合物的晶型及其制备方法 |
| WO2023078267A1 (zh) * | 2021-11-02 | 2023-05-11 | 赛诺哈勃药业(成都)有限公司 | 作为蛋白激酶调节剂的含氨基大环化合物 |
| CN115746023B (zh) * | 2022-10-27 | 2024-08-09 | 复旦大学 | 一种作为蛋白激酶抑制剂的含吲唑结构的杂环大环化合物及其制备方法 |
Citations (6)
| Publication number | Priority date | Publication date | Assignee | Title |
|---|---|---|---|---|
| CN102971322A (zh) * | 2010-05-20 | 2013-03-13 | 阵列生物制药公司 | 作为trk激酶抑制剂的大环化合物 |
| CN106170289A (zh) * | 2014-01-24 | 2016-11-30 | Tp生物医药公司 | 作为蛋白质激酶的调节剂的二芳基巨环 |
| WO2017004342A1 (en) * | 2015-07-02 | 2017-01-05 | Tp Therapeutics, Inc. | Chiral diaryl macrocycles as modulators of protein kinases |
| WO2017015367A1 (en) * | 2015-07-21 | 2017-01-26 | Tp Therapeutics, Inc. | Chiral diaryl macrocycles and uses thereof |
| CN109715165A (zh) * | 2016-07-28 | 2019-05-03 | Tp生物医药公司 | 巨环激酶抑制剂 |
| CN111182903A (zh) * | 2017-07-28 | 2020-05-19 | 特普医药公司 | 巨环化合物及其用途 |
-
2018
- 2018-10-31 CN CN201811283367.3A patent/CN109516999B/zh active Active
Patent Citations (6)
| Publication number | Priority date | Publication date | Assignee | Title |
|---|---|---|---|---|
| CN102971322A (zh) * | 2010-05-20 | 2013-03-13 | 阵列生物制药公司 | 作为trk激酶抑制剂的大环化合物 |
| CN106170289A (zh) * | 2014-01-24 | 2016-11-30 | Tp生物医药公司 | 作为蛋白质激酶的调节剂的二芳基巨环 |
| WO2017004342A1 (en) * | 2015-07-02 | 2017-01-05 | Tp Therapeutics, Inc. | Chiral diaryl macrocycles as modulators of protein kinases |
| WO2017015367A1 (en) * | 2015-07-21 | 2017-01-26 | Tp Therapeutics, Inc. | Chiral diaryl macrocycles and uses thereof |
| CN109715165A (zh) * | 2016-07-28 | 2019-05-03 | Tp生物医药公司 | 巨环激酶抑制剂 |
| CN111182903A (zh) * | 2017-07-28 | 2020-05-19 | 特普医药公司 | 巨环化合物及其用途 |
Non-Patent Citations (1)
| Title |
|---|
| Neuronalleucine-richrepeat1 negatively regulates anaplastic lymphoma kinase in neuroblastoma;Shunpei Satoh et al.;《Scientific Reports》;20160908;第1-11页 * |
Also Published As
| Publication number | Publication date |
|---|---|
| CN109516999A (zh) | 2019-03-26 |
Similar Documents
| Publication | Publication Date | Title |
|---|---|---|
| CN109516999B (zh) | 用作蛋白质激酶调节剂的化合物及其应用 | |
| CN105884780B (zh) | 多环化合物、其药物组合物及应用 | |
| KR102120883B1 (ko) | 인간 히스톤 메틸트랜스퍼라제 ezh2 억제제의 염 형태 | |
| WO2020259432A1 (zh) | Kras-g12c抑制剂 | |
| CA3124952A1 (en) | Aza-heterobicyclic inhibitors of mat2a and methods of use for treating cancer | |
| CN105503827B (zh) | Egfr抑制剂及其制备方法和用途 | |
| WO2019007293A1 (zh) | 用作alk激酶抑制剂的化合物及其应用 | |
| HUE029275T2 (en) | Phthalazinone ketone derivative, method of preparation and therapeutic use | |
| BR112016008423B1 (pt) | Composto, composição farmacêutica compreendendo o mesmo e seu uso | |
| EP2881397B1 (en) | Compound and pharmaceutical composition for neuropsychological disorder or malignant tumor | |
| CN107266421A (zh) | 取代的苯并咪唑类衍生物 | |
| RS59782B1 (sr) | Hidroksietil sulfonat od ciklina zavisnog inhibitora kinaze proteina, njegov kristalni oblik, i postupak za njegovo dobijanje | |
| CN120225520A (zh) | 化合物和其用途 | |
| CN114763360A (zh) | 手性大环化合物作为蛋白激酶抑制剂及其用途 | |
| CN116655591B (zh) | 3,4-二氢酞嗪-1(2h)-酮类衍生物及制备方法和用途 | |
| EP3527566B1 (en) | Pharmaceutical salt of antitumor heterocyclic imidazole compound | |
| CN104557913B (zh) | 吡啶并嘧啶类化合物,其制备方法和用途 | |
| TWI786303B (zh) | 抑制cdk4/6活性化合物的晶型及其應用 | |
| CN104418867B (zh) | 作为PI3K/mTOR抑制剂的化合物,其制备方法和用途 | |
| CN109111439A (zh) | 一种酰胺类化合物及包含该化合物的组合物及其用途 | |
| JP7618575B2 (ja) | N-(5-((4-エチルピペラジン-1-イル)メチル)ピリジン-2-イル)-5-フルオロ-4-(3-イソプロピル-2-メチル-2h-インダゾール-5-イル)ピリミジン-2-アミンおよびその塩の結晶形態および非晶質形態、ならびにその製造方法および治療的使用 | |
| TWI535724B (zh) | 埃克替尼磷酸鹽的新晶型及其用途 | |
| EP3893872B1 (en) | Organophosphorus-substituted compounds as c-met inhibitors and therapeutic uses thereof | |
| WO2022002243A1 (zh) | 咪唑并嘧啶类衍生物、其制备方法及其在医药上的应用 | |
| CN111808080B (zh) | 取代的吡啶或嘧啶化合物、其制备方法及其在医药上的应用 |
Legal Events
| Date | Code | Title | Description |
|---|---|---|---|
| PB01 | Publication | ||
| PB01 | Publication | ||
| SE01 | Entry into force of request for substantive examination | ||
| SE01 | Entry into force of request for substantive examination | ||
| GR01 | Patent grant | ||
| GR01 | Patent grant |













































