CN109438517B - Complex of bifunctional linking agent coordinated with carbonyl metal core and preparation method thereof - Google Patents
Complex of bifunctional linking agent coordinated with carbonyl metal core and preparation method thereof Download PDFInfo
- Publication number
- CN109438517B CN109438517B CN201811611294.6A CN201811611294A CN109438517B CN 109438517 B CN109438517 B CN 109438517B CN 201811611294 A CN201811611294 A CN 201811611294A CN 109438517 B CN109438517 B CN 109438517B
- Authority
- CN
- China
- Prior art keywords
- bis
- hydroxy
- solution
- ethylenediamine
- complex
- Prior art date
- Legal status (The legal status is an assumption and is not a legal conclusion. Google has not performed a legal analysis and makes no representation as to the accuracy of the status listed.)
- Active
Links
- 238000002360 preparation method Methods 0.000 title claims abstract description 38
- 230000001588 bifunctional effect Effects 0.000 title claims abstract description 22
- 229910052751 metal Inorganic materials 0.000 title claims abstract description 16
- 239000002184 metal Substances 0.000 title claims abstract description 16
- 125000002915 carbonyl group Chemical group [*:2]C([*:1])=O 0.000 title claims abstract description 8
- -1 carboxyethyl Chemical group 0.000 claims abstract description 79
- 229910052757 nitrogen Inorganic materials 0.000 claims abstract description 44
- IFQUWYZCAGRUJN-UHFFFAOYSA-N ethylenediaminediacetic acid Chemical compound OC(=O)CNCCNCC(O)=O IFQUWYZCAGRUJN-UHFFFAOYSA-N 0.000 claims abstract description 26
- 125000001797 benzyl group Chemical group [H]C1=C([H])C([H])=C(C([H])=C1[H])C([H])([H])* 0.000 claims abstract description 18
- 229910052713 technetium Inorganic materials 0.000 claims abstract description 17
- 229910052702 rhenium Inorganic materials 0.000 claims abstract description 8
- WUAPFZMCVAUBPE-UHFFFAOYSA-N rhenium atom Chemical compound [Re] WUAPFZMCVAUBPE-UHFFFAOYSA-N 0.000 claims abstract description 7
- 239000000243 solution Substances 0.000 claims description 79
- OKKJLVBELUTLKV-UHFFFAOYSA-N Methanol Chemical compound OC OKKJLVBELUTLKV-UHFFFAOYSA-N 0.000 claims description 45
- XLYOFNOQVPJJNP-UHFFFAOYSA-N water Substances O XLYOFNOQVPJJNP-UHFFFAOYSA-N 0.000 claims description 44
- XEKOWRVHYACXOJ-UHFFFAOYSA-N Ethyl acetate Chemical compound CCOC(C)=O XEKOWRVHYACXOJ-UHFFFAOYSA-N 0.000 claims description 38
- 239000000047 product Substances 0.000 claims description 37
- WEVYAHXRMPXWCK-UHFFFAOYSA-N acetonitrile Substances CC#N WEVYAHXRMPXWCK-UHFFFAOYSA-N 0.000 claims description 35
- VEXZGXHMUGYJMC-UHFFFAOYSA-N Hydrochloric acid Chemical compound Cl VEXZGXHMUGYJMC-UHFFFAOYSA-N 0.000 claims description 34
- 239000000203 mixture Substances 0.000 claims description 31
- 125000000325 methylidene group Chemical group [H]C([H])=* 0.000 claims description 30
- 239000000706 filtrate Substances 0.000 claims description 25
- RTZKZFJDLAIYFH-UHFFFAOYSA-N Diethyl ether Chemical compound CCOCC RTZKZFJDLAIYFH-UHFFFAOYSA-N 0.000 claims description 21
- 238000003818 flash chromatography Methods 0.000 claims description 21
- 238000006243 chemical reaction Methods 0.000 claims description 20
- 150000001875 compounds Chemical class 0.000 claims description 20
- 125000001424 substituent group Chemical group 0.000 claims description 19
- 238000001914 filtration Methods 0.000 claims description 17
- 125000005647 linker group Chemical group 0.000 claims description 17
- HEMHJVSKTPXQMS-UHFFFAOYSA-M Sodium hydroxide Chemical compound [OH-].[Na+] HEMHJVSKTPXQMS-UHFFFAOYSA-M 0.000 claims description 15
- ZMANZCXQSJIPKH-UHFFFAOYSA-N Triethylamine Chemical compound CCN(CC)CC ZMANZCXQSJIPKH-UHFFFAOYSA-N 0.000 claims description 15
- 238000001035 drying Methods 0.000 claims description 15
- CDBYLPFSWZWCQE-UHFFFAOYSA-L sodium carbonate Substances [Na+].[Na+].[O-]C([O-])=O CDBYLPFSWZWCQE-UHFFFAOYSA-L 0.000 claims description 15
- 239000002904 solvent Substances 0.000 claims description 15
- 235000019439 ethyl acetate Nutrition 0.000 claims description 14
- 238000002372 labelling Methods 0.000 claims description 14
- CSNNHWWHGAXBCP-UHFFFAOYSA-L magnesium sulphate Substances [Mg+2].[O-][S+2]([O-])([O-])[O-] CSNNHWWHGAXBCP-UHFFFAOYSA-L 0.000 claims description 13
- XRAMJHXWXCMGJM-UHFFFAOYSA-N methyl 3-(4-hydroxyphenyl)propionate Chemical compound COC(=O)CCC1=CC=C(O)C=C1 XRAMJHXWXCMGJM-UHFFFAOYSA-N 0.000 claims description 12
- 239000012044 organic layer Substances 0.000 claims description 12
- 239000002504 physiological saline solution Substances 0.000 claims description 12
- 229910000029 sodium carbonate Inorganic materials 0.000 claims description 12
- 238000003756 stirring Methods 0.000 claims description 12
- 239000011541 reaction mixture Substances 0.000 claims description 11
- 125000002496 methyl group Chemical group [H]C([H])([H])* 0.000 claims description 10
- 229910052943 magnesium sulfate Inorganic materials 0.000 claims description 9
- 239000012279 sodium borohydride Substances 0.000 claims description 9
- 229910000033 sodium borohydride Inorganic materials 0.000 claims description 9
- 238000001816 cooling Methods 0.000 claims description 8
- 229940017219 methyl propionate Drugs 0.000 claims description 8
- CDHGVSBTBATDKO-UHFFFAOYSA-N carbon monoxide;technetium Chemical compound [Tc].[O+]#[C-] CDHGVSBTBATDKO-UHFFFAOYSA-N 0.000 claims description 7
- 238000010438 heat treatment Methods 0.000 claims description 7
- LJCNRYVRMXRIQR-OLXYHTOASA-L potassium sodium L-tartrate Chemical compound [Na+].[K+].[O-]C(=O)[C@H](O)[C@@H](O)C([O-])=O LJCNRYVRMXRIQR-OLXYHTOASA-L 0.000 claims description 7
- 238000010992 reflux Methods 0.000 claims description 7
- 235000011006 sodium potassium tartrate Nutrition 0.000 claims description 7
- 238000007865 diluting Methods 0.000 claims description 6
- 238000000034 method Methods 0.000 claims description 6
- PIICEJLVQHRZGT-UHFFFAOYSA-N Ethylenediamine Chemical compound NCCN PIICEJLVQHRZGT-UHFFFAOYSA-N 0.000 claims description 5
- NMHMNPHRMNGLLB-UHFFFAOYSA-N phloretic acid Chemical compound OC(=O)CCC1=CC=C(O)C=C1 NMHMNPHRMNGLLB-UHFFFAOYSA-N 0.000 claims description 5
- BNWCETAHAJSBFG-UHFFFAOYSA-N tert-butyl 2-bromoacetate Chemical compound CC(C)(C)OC(=O)CBr BNWCETAHAJSBFG-UHFFFAOYSA-N 0.000 claims description 5
- CPELXLSAUQHCOX-UHFFFAOYSA-M Bromide Chemical compound [Br-] CPELXLSAUQHCOX-UHFFFAOYSA-M 0.000 claims description 4
- 239000002262 Schiff base Substances 0.000 claims description 4
- 238000006482 condensation reaction Methods 0.000 claims description 4
- 239000012267 brine Substances 0.000 claims description 3
- ZIZHEHXAMPQGEK-UHFFFAOYSA-N dirhenium decacarbonyl Chemical group [Re].[Re].[O+]#[C-].[O+]#[C-].[O+]#[C-].[O+]#[C-].[O+]#[C-].[O+]#[C-].[O+]#[C-].[O+]#[C-].[O+]#[C-].[O+]#[C-] ZIZHEHXAMPQGEK-UHFFFAOYSA-N 0.000 claims description 3
- HPALAKNZSZLMCH-UHFFFAOYSA-M sodium;chloride;hydrate Chemical compound O.[Na+].[Cl-] HPALAKNZSZLMCH-UHFFFAOYSA-M 0.000 claims description 3
- 239000001476 sodium potassium tartrate Substances 0.000 claims description 2
- ZXTHWIZHGLNEPG-UHFFFAOYSA-N 2-phenyl-4,5-dihydro-1,3-oxazole Chemical compound O1CCN=C1C1=CC=CC=C1 ZXTHWIZHGLNEPG-UHFFFAOYSA-N 0.000 claims 1
- 125000003698 tetramethyl group Chemical group [H]C([H])([H])* 0.000 claims 1
- 238000002603 single-photon emission computed tomography Methods 0.000 abstract description 14
- 108090000765 processed proteins & peptides Proteins 0.000 abstract description 12
- 230000008685 targeting Effects 0.000 abstract description 12
- 239000003814 drug Substances 0.000 abstract description 8
- 238000003384 imaging method Methods 0.000 abstract description 8
- 239000012217 radiopharmaceutical Substances 0.000 abstract description 8
- 229940121896 radiopharmaceutical Drugs 0.000 abstract description 8
- 230000002799 radiopharmaceutical effect Effects 0.000 abstract description 8
- GKLVYJBZJHMRIY-UHFFFAOYSA-N technetium atom Chemical compound [Tc] GKLVYJBZJHMRIY-UHFFFAOYSA-N 0.000 abstract description 8
- 102000004196 processed proteins & peptides Human genes 0.000 abstract description 7
- 238000011160 research Methods 0.000 abstract description 7
- 150000003384 small molecules Chemical class 0.000 abstract description 7
- 229920001184 polypeptide Polymers 0.000 abstract description 6
- 230000002285 radioactive effect Effects 0.000 abstract description 6
- 238000011161 development Methods 0.000 abstract description 5
- 239000002243 precursor Substances 0.000 abstract description 5
- 239000003795 chemical substances by application Substances 0.000 abstract description 4
- 239000000700 radioactive tracer Substances 0.000 abstract description 4
- 108090000623 proteins and genes Proteins 0.000 abstract description 3
- 102000004169 proteins and genes Human genes 0.000 abstract description 2
- 229940126585 therapeutic drug Drugs 0.000 abstract description 2
- 230000000295 complement effect Effects 0.000 abstract 1
- 229920002521 macromolecule Polymers 0.000 abstract 1
- 238000001959 radiotherapy Methods 0.000 abstract 1
- JGFZNNIVVJXRND-UHFFFAOYSA-N N,N-Diisopropylethylamine (DIPEA) Chemical compound CCN(C(C)C)C(C)C JGFZNNIVVJXRND-UHFFFAOYSA-N 0.000 description 18
- ZMXDDKWLCZADIW-UHFFFAOYSA-N N,N-Dimethylformamide Chemical compound CN(C)C=O ZMXDDKWLCZADIW-UHFFFAOYSA-N 0.000 description 15
- 238000004458 analytical method Methods 0.000 description 15
- YMWUJEATGCHHMB-UHFFFAOYSA-N Dichloromethane Chemical compound ClCCl YMWUJEATGCHHMB-UHFFFAOYSA-N 0.000 description 13
- 239000003446 ligand Substances 0.000 description 13
- HEDRZPFGACZZDS-MICDWDOJSA-N Trichloro(2H)methane Chemical compound [2H]C(Cl)(Cl)Cl HEDRZPFGACZZDS-MICDWDOJSA-N 0.000 description 12
- 238000003786 synthesis reaction Methods 0.000 description 12
- 238000004811 liquid chromatography Methods 0.000 description 11
- 239000012074 organic phase Substances 0.000 description 11
- 239000007787 solid Substances 0.000 description 11
- 239000004472 Lysine Substances 0.000 description 10
- LFQSCWFLJHTTHZ-UHFFFAOYSA-N Ethanol Chemical compound CCO LFQSCWFLJHTTHZ-UHFFFAOYSA-N 0.000 description 9
- 230000015572 biosynthetic process Effects 0.000 description 9
- XEEYBQQBJWHFJM-UHFFFAOYSA-N iron Substances [Fe] XEEYBQQBJWHFJM-UHFFFAOYSA-N 0.000 description 9
- 239000001632 sodium acetate Substances 0.000 description 9
- 238000005160 1H NMR spectroscopy Methods 0.000 description 7
- IYMAXBFPHPZYIK-BQBZGAKWSA-N Arg-Gly-Asp Chemical compound NC(N)=NCCC[C@H](N)C(=O)NCC(=O)N[C@@H](CC(O)=O)C(O)=O IYMAXBFPHPZYIK-BQBZGAKWSA-N 0.000 description 7
- 239000012216 imaging agent Substances 0.000 description 7
- 238000009206 nuclear medicine Methods 0.000 description 7
- REQCZEXYDRLIBE-UHFFFAOYSA-N procainamide Chemical compound CCN(CC)CCNC(=O)C1=CC=C(N)C=C1 REQCZEXYDRLIBE-UHFFFAOYSA-N 0.000 description 7
- QJUIUFGOTBRHKP-LQJZCPKCSA-N (2s)-2-[[(1s)-1-carboxy-5-[6-[3-[3-[[2-[[5-(2-carboxyethyl)-2-hydroxyphenyl]methyl-(carboxymethyl)amino]ethyl-(carboxymethyl)amino]methyl]-4-hydroxyphenyl]propanoylamino]hexanoylamino]pentyl]carbamoylamino]pentanedioic acid Chemical compound OC(=O)CC[C@@H](C(O)=O)NC(=O)N[C@H](C(O)=O)CCCCNC(=O)CCCCCNC(=O)CCC1=CC=C(O)C(CN(CCN(CC(O)=O)CC=2C(=CC=C(CCC(O)=O)C=2)O)CC(O)=O)=C1 QJUIUFGOTBRHKP-LQJZCPKCSA-N 0.000 description 6
- VYPSYNLAJGMNEJ-UHFFFAOYSA-N Silicium dioxide Chemical compound O=[Si]=O VYPSYNLAJGMNEJ-UHFFFAOYSA-N 0.000 description 6
- VMHLLURERBWHNL-UHFFFAOYSA-M Sodium acetate Chemical compound [Na+].CC([O-])=O VMHLLURERBWHNL-UHFFFAOYSA-M 0.000 description 6
- GKLVYJBZJHMRIY-OUBTZVSYSA-N Technetium-99 Chemical compound [99Tc] GKLVYJBZJHMRIY-OUBTZVSYSA-N 0.000 description 6
- 229940079593 drug Drugs 0.000 description 6
- OVBPIULPVIDEAO-LBPRGKRZSA-N folic acid Chemical compound C=1N=C2NC(N)=NC(=O)C2=NC=1CNC1=CC=C(C(=O)N[C@@H](CCC(O)=O)C(O)=O)C=C1 OVBPIULPVIDEAO-LBPRGKRZSA-N 0.000 description 6
- 239000007789 gas Substances 0.000 description 6
- 238000004128 high performance liquid chromatography Methods 0.000 description 6
- 239000012535 impurity Substances 0.000 description 6
- VLKZOEOYAKHREP-UHFFFAOYSA-N n-Hexane Chemical compound CCCCCC VLKZOEOYAKHREP-UHFFFAOYSA-N 0.000 description 6
- 239000011347 resin Substances 0.000 description 6
- 229920005989 resin Polymers 0.000 description 6
- 239000000741 silica gel Substances 0.000 description 6
- 229910002027 silica gel Inorganic materials 0.000 description 6
- 235000017281 sodium acetate Nutrition 0.000 description 6
- 229940056501 technetium 99m Drugs 0.000 description 6
- WHUUTDBJXJRKMK-UHFFFAOYSA-N Glutamic acid Natural products OC(=O)C(N)CCC(O)=O WHUUTDBJXJRKMK-UHFFFAOYSA-N 0.000 description 5
- 125000004429 atom Chemical group 0.000 description 5
- 229910052796 boron Inorganic materials 0.000 description 5
- 239000011724 folic acid Substances 0.000 description 5
- 235000013922 glutamic acid Nutrition 0.000 description 5
- 239000004220 glutamic acid Substances 0.000 description 5
- 230000014759 maintenance of location Effects 0.000 description 5
- 238000012636 positron electron tomography Methods 0.000 description 5
- 229940074439 potassium sodium tartrate Drugs 0.000 description 5
- 239000001433 sodium tartrate Substances 0.000 description 5
- 125000000999 tert-butyl group Chemical group [H]C([H])([H])C(*)(C([H])([H])[H])C([H])([H])[H] 0.000 description 5
- 206010028980 Neoplasm Diseases 0.000 description 4
- 108010073235 asparagine-glycine-arginine Proteins 0.000 description 4
- 239000003638 chemical reducing agent Substances 0.000 description 4
- 238000005516 engineering process Methods 0.000 description 4
- 235000019152 folic acid Nutrition 0.000 description 4
- 238000004949 mass spectrometry Methods 0.000 description 4
- 229960000244 procainamide Drugs 0.000 description 4
- JFLSOKIMYBSASW-UHFFFAOYSA-N 1-chloro-2-[chloro(diphenyl)methyl]benzene Chemical compound ClC1=CC=CC=C1C(Cl)(C=1C=CC=CC=1)C1=CC=CC=C1 JFLSOKIMYBSASW-UHFFFAOYSA-N 0.000 description 3
- USSVFPGZPWIWLZ-UHFFFAOYSA-N 2,3,5-trifluoropyrazine Chemical compound FC1=CN=C(F)C(F)=N1 USSVFPGZPWIWLZ-UHFFFAOYSA-N 0.000 description 3
- BIAWAXVRXKIUQB-UHFFFAOYSA-N 2-(2-phenylethenyl)pyridine Chemical compound C=1C=CC=CC=1C=CC1=CC=CC=N1 BIAWAXVRXKIUQB-UHFFFAOYSA-N 0.000 description 3
- VHUUQVKOLVNVRT-UHFFFAOYSA-N Ammonium hydroxide Chemical compound [NH4+].[OH-] VHUUQVKOLVNVRT-UHFFFAOYSA-N 0.000 description 3
- WSFSSNUMVMOOMR-UHFFFAOYSA-N Formaldehyde Chemical compound O=C WSFSSNUMVMOOMR-UHFFFAOYSA-N 0.000 description 3
- 235000001014 amino acid Nutrition 0.000 description 3
- 150000001413 amino acids Chemical class 0.000 description 3
- 235000011114 ammonium hydroxide Nutrition 0.000 description 3
- 239000008346 aqueous phase Substances 0.000 description 3
- 229940125904 compound 1 Drugs 0.000 description 3
- 238000013461 design Methods 0.000 description 3
- 238000003745 diagnosis Methods 0.000 description 3
- 201000010099 disease Diseases 0.000 description 3
- 208000037265 diseases, disorders, signs and symptoms Diseases 0.000 description 3
- 230000009977 dual effect Effects 0.000 description 3
- 239000012467 final product Substances 0.000 description 3
- 229940014144 folate Drugs 0.000 description 3
- 239000012948 isocyanate Substances 0.000 description 3
- 230000004060 metabolic process Effects 0.000 description 3
- 239000011259 mixed solution Substances 0.000 description 3
- 238000002953 preparative HPLC Methods 0.000 description 3
- 238000000746 purification Methods 0.000 description 3
- 229910052717 sulfur Inorganic materials 0.000 description 3
- 239000003643 water by type Substances 0.000 description 3
- KXDAEFPNCMNJSK-UHFFFAOYSA-N Benzamide Chemical compound NC(=O)C1=CC=CC=C1 KXDAEFPNCMNJSK-UHFFFAOYSA-N 0.000 description 2
- KZMGYPLQYOPHEL-UHFFFAOYSA-N Boron trifluoride etherate Chemical compound FB(F)F.CCOCC KZMGYPLQYOPHEL-UHFFFAOYSA-N 0.000 description 2
- LYCAIKOWRPUZTN-UHFFFAOYSA-N Ethylene glycol Chemical compound OCCO LYCAIKOWRPUZTN-UHFFFAOYSA-N 0.000 description 2
- 102100041003 Glutamate carboxypeptidase 2 Human genes 0.000 description 2
- 101000892862 Homo sapiens Glutamate carboxypeptidase 2 Proteins 0.000 description 2
- 101000610640 Homo sapiens U4/U6 small nuclear ribonucleoprotein Prp3 Proteins 0.000 description 2
- YNAVUWVOSKDBBP-UHFFFAOYSA-N Morpholine Chemical compound C1COCCN1 YNAVUWVOSKDBBP-UHFFFAOYSA-N 0.000 description 2
- OVBPIULPVIDEAO-UHFFFAOYSA-N N-Pteroyl-L-glutaminsaeure Natural products C=1N=C2NC(N)=NC(=O)C2=NC=1CNC1=CC=C(C(=O)NC(CCC(O)=O)C(O)=O)C=C1 OVBPIULPVIDEAO-UHFFFAOYSA-N 0.000 description 2
- 238000012879 PET imaging Methods 0.000 description 2
- NQRYJNQNLNOLGT-UHFFFAOYSA-N Piperidine Chemical compound C1CCNCC1 NQRYJNQNLNOLGT-UHFFFAOYSA-N 0.000 description 2
- 101001110823 Saccharomyces cerevisiae (strain ATCC 204508 / S288c) 60S ribosomal protein L6-A Proteins 0.000 description 2
- 101000712176 Saccharomyces cerevisiae (strain ATCC 204508 / S288c) 60S ribosomal protein L6-B Proteins 0.000 description 2
- 102100040374 U4/U6 small nuclear ribonucleoprotein Prp3 Human genes 0.000 description 2
- 108010073929 Vascular Endothelial Growth Factor A Proteins 0.000 description 2
- 102000005789 Vascular Endothelial Growth Factors Human genes 0.000 description 2
- 108010019530 Vascular Endothelial Growth Factors Proteins 0.000 description 2
- SGWAPZJTBKLCBY-UHFFFAOYSA-N [Re].[C]=O Chemical group [Re].[C]=O SGWAPZJTBKLCBY-UHFFFAOYSA-N 0.000 description 2
- 125000003277 amino group Chemical group 0.000 description 2
- QGZKDVFQNNGYKY-UHFFFAOYSA-N ammonia Natural products N QGZKDVFQNNGYKY-UHFFFAOYSA-N 0.000 description 2
- 239000007864 aqueous solution Substances 0.000 description 2
- 230000004071 biological effect Effects 0.000 description 2
- 210000004556 brain Anatomy 0.000 description 2
- 201000011510 cancer Diseases 0.000 description 2
- 230000008859 change Effects 0.000 description 2
- 239000002738 chelating agent Substances 0.000 description 2
- 238000004587 chromatography analysis Methods 0.000 description 2
- 238000003776 cleavage reaction Methods 0.000 description 2
- 239000012230 colorless oil Substances 0.000 description 2
- 229940125782 compound 2 Drugs 0.000 description 2
- 229940126214 compound 3 Drugs 0.000 description 2
- 229940125898 compound 5 Drugs 0.000 description 2
- 150000004696 coordination complex Chemical class 0.000 description 2
- 238000013399 early diagnosis Methods 0.000 description 2
- 230000000694 effects Effects 0.000 description 2
- 238000002474 experimental method Methods 0.000 description 2
- 229960000304 folic acid Drugs 0.000 description 2
- NPZTUJOABDZTLV-UHFFFAOYSA-N hydroxybenzotriazole Substances O=C1C=CC=C2NNN=C12 NPZTUJOABDZTLV-UHFFFAOYSA-N 0.000 description 2
- 239000005457 ice water Substances 0.000 description 2
- 238000001727 in vivo Methods 0.000 description 2
- 229910052742 iron Inorganic materials 0.000 description 2
- 239000003550 marker Substances 0.000 description 2
- 238000002156 mixing Methods 0.000 description 2
- 239000003068 molecular probe Substances 0.000 description 2
- 238000002414 normal-phase solid-phase extraction Methods 0.000 description 2
- 229910052760 oxygen Inorganic materials 0.000 description 2
- 125000006239 protecting group Chemical group 0.000 description 2
- 238000000163 radioactive labelling Methods 0.000 description 2
- 238000011894 semi-preparative HPLC Methods 0.000 description 2
- UCPYLLCMEDAXFR-UHFFFAOYSA-N triphosgene Chemical compound ClC(Cl)(Cl)OC(=O)OC(Cl)(Cl)Cl UCPYLLCMEDAXFR-UHFFFAOYSA-N 0.000 description 2
- TXUICONDJPYNPY-UHFFFAOYSA-N (1,10,13-trimethyl-3-oxo-4,5,6,7,8,9,11,12,14,15,16,17-dodecahydrocyclopenta[a]phenanthren-17-yl) heptanoate Chemical compound C1CC2CC(=O)C=C(C)C2(C)C2C1C1CCC(OC(=O)CCCCCC)C1(C)CC2 TXUICONDJPYNPY-UHFFFAOYSA-N 0.000 description 1
- OJBNDXHENJDCBA-QFIPXVFZSA-N (2s)-2-(9h-fluoren-9-ylmethoxycarbonylamino)-6-(prop-2-enoxycarbonylamino)hexanoic acid Chemical compound C1=CC=C2C(COC(=O)N[C@@H](CCCCNC(=O)OCC=C)C(=O)O)C3=CC=CC=C3C2=C1 OJBNDXHENJDCBA-QFIPXVFZSA-N 0.000 description 1
- UHPQFNXOFFPHJW-UHFFFAOYSA-N (4-methylphenyl)-phenylmethanamine Chemical compound C1=CC(C)=CC=C1C(N)C1=CC=CC=C1 UHPQFNXOFFPHJW-UHFFFAOYSA-N 0.000 description 1
- 125000003088 (fluoren-9-ylmethoxy)carbonyl group Chemical group 0.000 description 1
- BDNKZNFMNDZQMI-UHFFFAOYSA-N 1,3-diisopropylcarbodiimide Chemical compound CC(C)N=C=NC(C)C BDNKZNFMNDZQMI-UHFFFAOYSA-N 0.000 description 1
- PJUPKRYGDFTMTM-UHFFFAOYSA-N 1-hydroxybenzotriazole;hydrate Chemical compound O.C1=CC=C2N(O)N=NC2=C1 PJUPKRYGDFTMTM-UHFFFAOYSA-N 0.000 description 1
- WGPFDZRLUUOFTI-UHFFFAOYSA-N 2-(2-nitroimidazol-1-yl)ethanamine Chemical compound NCCN1C=CN=C1[N+]([O-])=O WGPFDZRLUUOFTI-UHFFFAOYSA-N 0.000 description 1
- SUNGDGGBMRCEEG-UHFFFAOYSA-N 2-[2-(2-aminoethoxy)ethoxy]-3-(9h-fluoren-1-ylmethoxy)-3-oxopropanoic acid Chemical compound C1C2=CC=CC=C2C2=C1C(COC(=O)C(C(O)=O)OCCOCCN)=CC=C2 SUNGDGGBMRCEEG-UHFFFAOYSA-N 0.000 description 1
- FPQQSJJWHUJYPU-UHFFFAOYSA-N 3-(dimethylamino)propyliminomethylidene-ethylazanium;chloride Chemical compound Cl.CCN=C=NCCCN(C)C FPQQSJJWHUJYPU-UHFFFAOYSA-N 0.000 description 1
- WDBQJSCPCGTAFG-QHCPKHFHSA-N 4,4-difluoro-N-[(1S)-3-[4-(3-methyl-5-propan-2-yl-1,2,4-triazol-4-yl)piperidin-1-yl]-1-pyridin-3-ylpropyl]cyclohexane-1-carboxamide Chemical compound FC1(CCC(CC1)C(=O)N[C@@H](CCN1CCC(CC1)N1C(=NN=C1C)C(C)C)C=1C=NC=CC=1)F WDBQJSCPCGTAFG-QHCPKHFHSA-N 0.000 description 1
- BWGRDBSNKQABCB-UHFFFAOYSA-N 4,4-difluoro-N-[3-[3-(3-methyl-5-propan-2-yl-1,2,4-triazol-4-yl)-8-azabicyclo[3.2.1]octan-8-yl]-1-thiophen-2-ylpropyl]cyclohexane-1-carboxamide Chemical compound CC(C)C1=NN=C(C)N1C1CC2CCC(C1)N2CCC(NC(=O)C1CCC(F)(F)CC1)C1=CC=CS1 BWGRDBSNKQABCB-UHFFFAOYSA-N 0.000 description 1
- 208000024827 Alzheimer disease Diseases 0.000 description 1
- WWZKQHOCKIZLMA-UHFFFAOYSA-N Caprylic acid Natural products CCCCCCCC(O)=O WWZKQHOCKIZLMA-UHFFFAOYSA-N 0.000 description 1
- OUYCCCASQSFEME-MRVPVSSYSA-N D-tyrosine Chemical compound OC(=O)[C@H](N)CC1=CC=C(O)C=C1 OUYCCCASQSFEME-MRVPVSSYSA-N 0.000 description 1
- GYHNNYVSQQEPJS-UHFFFAOYSA-N Gallium Chemical compound [Ga] GYHNNYVSQQEPJS-UHFFFAOYSA-N 0.000 description 1
- GYHNNYVSQQEPJS-YPZZEJLDSA-N Gallium-68 Chemical compound [68Ga] GYHNNYVSQQEPJS-YPZZEJLDSA-N 0.000 description 1
- 229910021578 Iron(III) chloride Inorganic materials 0.000 description 1
- OWIKHYCFFJSOEH-UHFFFAOYSA-N Isocyanic acid Chemical class N=C=O OWIKHYCFFJSOEH-UHFFFAOYSA-N 0.000 description 1
- KDXKERNSBIXSRK-UHFFFAOYSA-N Lysine Natural products NCCCCC(N)C(O)=O KDXKERNSBIXSRK-UHFFFAOYSA-N 0.000 description 1
- 238000005481 NMR spectroscopy Methods 0.000 description 1
- 229910021626 Tin(II) chloride Inorganic materials 0.000 description 1
- 230000002159 abnormal effect Effects 0.000 description 1
- 230000004913 activation Effects 0.000 description 1
- 150000001408 amides Chemical class 0.000 description 1
- 239000002246 antineoplastic agent Substances 0.000 description 1
- GONOPSZTUGRENK-UHFFFAOYSA-N benzyl(trichloro)silane Chemical compound Cl[Si](Cl)(Cl)CC1=CC=CC=C1 GONOPSZTUGRENK-UHFFFAOYSA-N 0.000 description 1
- 230000017531 blood circulation Effects 0.000 description 1
- 210000000988 bone and bone Anatomy 0.000 description 1
- 239000007795 chemical reaction product Substances 0.000 description 1
- 239000007805 chemical reaction reactant Substances 0.000 description 1
- 239000003153 chemical reaction reagent Substances 0.000 description 1
- 230000000052 comparative effect Effects 0.000 description 1
- 230000008878 coupling Effects 0.000 description 1
- 238000010168 coupling process Methods 0.000 description 1
- 238000005859 coupling reaction Methods 0.000 description 1
- 238000001514 detection method Methods 0.000 description 1
- 238000002059 diagnostic imaging Methods 0.000 description 1
- 229940010982 dotatate Drugs 0.000 description 1
- 238000009510 drug design Methods 0.000 description 1
- 150000002148 esters Chemical class 0.000 description 1
- 238000011156 evaluation Methods 0.000 description 1
- 238000012854 evaluation process Methods 0.000 description 1
- 230000006870 function Effects 0.000 description 1
- 229910052733 gallium Inorganic materials 0.000 description 1
- WGCNASOHLSPBMP-UHFFFAOYSA-N hydroxyacetaldehyde Natural products OCC=O WGCNASOHLSPBMP-UHFFFAOYSA-N 0.000 description 1
- 230000010354 integration Effects 0.000 description 1
- 150000002505 iron Chemical class 0.000 description 1
- RBTARNINKXHZNM-UHFFFAOYSA-K iron trichloride Chemical compound Cl[Fe](Cl)Cl RBTARNINKXHZNM-UHFFFAOYSA-K 0.000 description 1
- 150000002513 isocyanates Chemical class 0.000 description 1
- 230000003907 kidney function Effects 0.000 description 1
- 239000007788 liquid Substances 0.000 description 1
- 235000019341 magnesium sulphate Nutrition 0.000 description 1
- 238000001819 mass spectrum Methods 0.000 description 1
- 230000007246 mechanism Effects 0.000 description 1
- 238000012544 monitoring process Methods 0.000 description 1
- 230000010016 myocardial function Effects 0.000 description 1
- SYSQUGFVNFXIIT-UHFFFAOYSA-N n-[4-(1,3-benzoxazol-2-yl)phenyl]-4-nitrobenzenesulfonamide Chemical class C1=CC([N+](=O)[O-])=CC=C1S(=O)(=O)NC1=CC=C(C=2OC3=CC=CC=C3N=2)C=C1 SYSQUGFVNFXIIT-UHFFFAOYSA-N 0.000 description 1
- KFYKZKISJBGVMR-UHFFFAOYSA-N n-ethylbutan-2-amine Chemical compound CCNC(C)CC KFYKZKISJBGVMR-UHFFFAOYSA-N 0.000 description 1
- FUZZWVXGSFPDMH-UHFFFAOYSA-N n-hexanoic acid Natural products CCCCCC(O)=O FUZZWVXGSFPDMH-UHFFFAOYSA-N 0.000 description 1
- 201000011519 neuroendocrine tumor Diseases 0.000 description 1
- 210000000056 organ Anatomy 0.000 description 1
- BWUXDKMMCZJFAB-UHFFFAOYSA-N oxotechnetium Chemical group [Tc]=O BWUXDKMMCZJFAB-UHFFFAOYSA-N 0.000 description 1
- 125000004430 oxygen atom Chemical group O* 0.000 description 1
- 230000020477 pH reduction Effects 0.000 description 1
- 230000010412 perfusion Effects 0.000 description 1
- 125000004437 phosphorous atom Chemical group 0.000 description 1
- 229920001481 poly(stearyl methacrylate) Polymers 0.000 description 1
- 238000002600 positron emission tomography Methods 0.000 description 1
- 125000002924 primary amino group Chemical group [H]N([H])* 0.000 description 1
- 235000018102 proteins Nutrition 0.000 description 1
- 239000002994 raw material Substances 0.000 description 1
- 238000001953 recrystallisation Methods 0.000 description 1
- 238000004007 reversed phase HPLC Methods 0.000 description 1
- 230000000630 rising effect Effects 0.000 description 1
- 230000007017 scission Effects 0.000 description 1
- 238000000926 separation method Methods 0.000 description 1
- WWGXHTXOZKVJDN-UHFFFAOYSA-M sodium;n,n-diethylcarbamodithioate;trihydrate Chemical compound O.O.O.[Na+].CCN(CC)C([S-])=S WWGXHTXOZKVJDN-UHFFFAOYSA-M 0.000 description 1
- 238000001228 spectrum Methods 0.000 description 1
- 239000001119 stannous chloride Substances 0.000 description 1
- 235000011150 stannous chloride Nutrition 0.000 description 1
- 239000000126 substance Substances 0.000 description 1
- 238000006467 substitution reaction Methods 0.000 description 1
- 125000004434 sulfur atom Chemical group 0.000 description 1
- CVKJXWOUXWRRJT-UHFFFAOYSA-N technetium dioxide Chemical compound O=[Tc]=O CVKJXWOUXWRRJT-UHFFFAOYSA-N 0.000 description 1
- 230000001225 therapeutic effect Effects 0.000 description 1
- 210000001519 tissue Anatomy 0.000 description 1
- 238000005406 washing Methods 0.000 description 1
Images
Classifications
-
- C—CHEMISTRY; METALLURGY
- C07—ORGANIC CHEMISTRY
- C07F—ACYCLIC, CARBOCYCLIC OR HETEROCYCLIC COMPOUNDS CONTAINING ELEMENTS OTHER THAN CARBON, HYDROGEN, HALOGEN, OXYGEN, NITROGEN, SULFUR, SELENIUM OR TELLURIUM
- C07F13/00—Compounds containing elements of Groups 7 or 17 of the Periodic Table
- C07F13/005—Compounds without a metal-carbon linkage
-
- A—HUMAN NECESSITIES
- A61—MEDICAL OR VETERINARY SCIENCE; HYGIENE
- A61K—PREPARATIONS FOR MEDICAL, DENTAL OR TOILETRY PURPOSES
- A61K51/00—Preparations containing radioactive substances for use in therapy or testing in vivo
- A61K51/02—Preparations containing radioactive substances for use in therapy or testing in vivo characterised by the carrier, i.e. characterised by the agent or material covalently linked or complexing the radioactive nucleus
- A61K51/04—Organic compounds
- A61K51/0404—Lipids, e.g. triglycerides; Polycationic carriers
- A61K51/0406—Amines, polyamines, e.g. spermine, spermidine, amino acids, (bis)guanidines
-
- A—HUMAN NECESSITIES
- A61—MEDICAL OR VETERINARY SCIENCE; HYGIENE
- A61K—PREPARATIONS FOR MEDICAL, DENTAL OR TOILETRY PURPOSES
- A61K51/00—Preparations containing radioactive substances for use in therapy or testing in vivo
- A61K51/02—Preparations containing radioactive substances for use in therapy or testing in vivo characterised by the carrier, i.e. characterised by the agent or material covalently linked or complexing the radioactive nucleus
- A61K51/04—Organic compounds
- A61K51/041—Heterocyclic compounds
- A61K51/044—Heterocyclic compounds having nitrogen as a ring hetero atom, e.g. guanethidine, rifamycins
- A61K51/0453—Heterocyclic compounds having nitrogen as a ring hetero atom, e.g. guanethidine, rifamycins having five-membered rings with two or more ring hetero atoms, at least one of which being nitrogen, e.g. tetrazole
-
- A—HUMAN NECESSITIES
- A61—MEDICAL OR VETERINARY SCIENCE; HYGIENE
- A61K—PREPARATIONS FOR MEDICAL, DENTAL OR TOILETRY PURPOSES
- A61K51/00—Preparations containing radioactive substances for use in therapy or testing in vivo
- A61K51/02—Preparations containing radioactive substances for use in therapy or testing in vivo characterised by the carrier, i.e. characterised by the agent or material covalently linked or complexing the radioactive nucleus
- A61K51/04—Organic compounds
- A61K51/08—Peptides, e.g. proteins, carriers being peptides, polyamino acids, proteins
- A61K51/082—Peptides, e.g. proteins, carriers being peptides, polyamino acids, proteins the peptide being a RGD-containing peptide
-
- C—CHEMISTRY; METALLURGY
- C07—ORGANIC CHEMISTRY
- C07B—GENERAL METHODS OF ORGANIC CHEMISTRY; APPARATUS THEREFOR
- C07B59/00—Introduction of isotopes of elements into organic compounds ; Labelled organic compounds per se
- C07B59/004—Acyclic, carbocyclic or heterocyclic compounds containing elements other than carbon, hydrogen, halogen, oxygen, nitrogen, sulfur, selenium or tellurium
-
- C—CHEMISTRY; METALLURGY
- C07—ORGANIC CHEMISTRY
- C07B—GENERAL METHODS OF ORGANIC CHEMISTRY; APPARATUS THEREFOR
- C07B59/00—Introduction of isotopes of elements into organic compounds ; Labelled organic compounds per se
- C07B59/008—Peptides; Proteins
-
- C—CHEMISTRY; METALLURGY
- C07—ORGANIC CHEMISTRY
- C07K—PEPTIDES
- C07K14/00—Peptides having more than 20 amino acids; Gastrins; Somatostatins; Melanotropins; Derivatives thereof
- C07K14/435—Peptides having more than 20 amino acids; Gastrins; Somatostatins; Melanotropins; Derivatives thereof from animals; from humans
- C07K14/475—Growth factors; Growth regulators
- C07K14/515—Angiogenesic factors; Angiogenin
-
- C—CHEMISTRY; METALLURGY
- C07—ORGANIC CHEMISTRY
- C07K—PEPTIDES
- C07K19/00—Hybrid peptides, i.e. peptides covalently bound to nucleic acids, or non-covalently bound protein-protein complexes
-
- C—CHEMISTRY; METALLURGY
- C07—ORGANIC CHEMISTRY
- C07K—PEPTIDES
- C07K5/00—Peptides containing up to four amino acids in a fully defined sequence; Derivatives thereof
- C07K5/04—Peptides containing up to four amino acids in a fully defined sequence; Derivatives thereof containing only normal peptide links
- C07K5/08—Tripeptides
- C07K5/0815—Tripeptides with the first amino acid being basic
- C07K5/0817—Tripeptides with the first amino acid being basic the first amino acid being Arg
-
- C—CHEMISTRY; METALLURGY
- C07—ORGANIC CHEMISTRY
- C07K—PEPTIDES
- C07K5/00—Peptides containing up to four amino acids in a fully defined sequence; Derivatives thereof
- C07K5/04—Peptides containing up to four amino acids in a fully defined sequence; Derivatives thereof containing only normal peptide links
- C07K5/08—Tripeptides
- C07K5/0819—Tripeptides with the first amino acid being acidic
-
- C—CHEMISTRY; METALLURGY
- C07—ORGANIC CHEMISTRY
- C07K—PEPTIDES
- C07K7/00—Peptides having 5 to 20 amino acids in a fully defined sequence; Derivatives thereof
- C07K7/04—Linear peptides containing only normal peptide links
- C07K7/06—Linear peptides containing only normal peptide links having 5 to 11 amino acids
-
- C—CHEMISTRY; METALLURGY
- C07—ORGANIC CHEMISTRY
- C07B—GENERAL METHODS OF ORGANIC CHEMISTRY; APPARATUS THEREFOR
- C07B2200/00—Indexing scheme relating to specific properties of organic compounds
- C07B2200/05—Isotopically modified compounds, e.g. labelled
Landscapes
- Chemical & Material Sciences (AREA)
- Organic Chemistry (AREA)
- Health & Medical Sciences (AREA)
- Life Sciences & Earth Sciences (AREA)
- Proteomics, Peptides & Aminoacids (AREA)
- General Health & Medical Sciences (AREA)
- Medicinal Chemistry (AREA)
- Biophysics (AREA)
- Molecular Biology (AREA)
- Biochemistry (AREA)
- Genetics & Genomics (AREA)
- Pharmacology & Pharmacy (AREA)
- Animal Behavior & Ethology (AREA)
- Epidemiology (AREA)
- Public Health (AREA)
- Veterinary Medicine (AREA)
- Optics & Photonics (AREA)
- Physics & Mathematics (AREA)
- Vascular Medicine (AREA)
- Toxicology (AREA)
- Zoology (AREA)
- Gastroenterology & Hepatology (AREA)
- Medicines Containing Antibodies Or Antigens For Use As Internal Diagnostic Agents (AREA)
Abstract
The invention relates to a complex of a bifunctional linking agent coordinated with a carbonyl metal core and a preparation method thereof, belonging to the technical field of radiopharmaceutical chemistry; the bifunctional linking agent is N, N' -bis [ 2-hydroxy-5- (carboxyethyl) benzyl]ethylenediamine-N, N' -diacetic acid, which has the following structural formula:wherein, R is1And R2At least one of the two is targeting small molecule or polypeptide or protein macromolecule, and the metal is technetium or rhenium. The invention successfully obtains the HBED-CC complex labeled by the technetium carbonyl/rhenium core for the first time, and thus realizes different nuclides (i.e., (ii) of the same labeled precursor68Ga、99mTc/Re) targeting the same targetThe two imaging modes (PET/SPECT) complement each other,188/186the Re complex can be used for research of radioactive therapeutic drugs. Provides a new idea for the development of Tc-99m single-photon radioactive tracers and Re-188/186 radiotherapy medicaments, and also widens the application range of HBED-CC derivatives as radiopharmaceutical labeled precursors.
Description
Technical Field
The invention relates to a complex of a bifunctional linker coordinated with a carbonyl metal core and a preparation method thereof, in particular to a complex of a bifunctional linker labeled with a carbonyl technetium/rhenium core and a preparation method thereof, belonging to the technical field of radiopharmaceutical chemistry.
Background
Molecular nuclear medicine utilizes radionuclide tracing technology to recognize diseases from molecular level, elucidates the mechanisms of blood flow, metabolism, receptor density and function change, gene abnormal expression, biochemical metabolism change, cell information conduction and the like of target organs or tissues, provides relevant information on molecular level for early diagnosis, curative effect evaluation and basic research of diseases, is a leading-edge and hot topic of the research in the world medical field at present, and is a pursuit target of modern molecular medicine. Therefore, it is an important component of molecular imaging and an important marker for the development of modern medical imaging. The core technology of molecular nuclear medicine is the design and development of highly specific molecular probes, i.e., imaging agents (imaging drugs), which are important factors that restrict the development of nuclear medicine.
The most commonly used nuclear medicine molecular imaging techniques at present are PET/CT (positron emission tomography) and SPECT/CT (single photon emission computed tomography). The most widely used PET imaging agent is18F-deoxyglucose (FDG), which has a wide range of applications in the diagnosis and monitoring of cancer progression. But in the last decade, with68Ge/68Commercialization of Ga generators, positron emitting radionuclides Ga-68 (t)1/2=68min,β+511keV) has becomeThe new hot nuclide for PET imaging drug research, namely the nuclide of Ga-68, has convenient source and relatively low cost, and does not need a cyclotron. The molecular probe labeled by the metal radionuclide is formed by connecting a targeting group molecule and a radioactive metal nuclide through a bifunctional linker to form a targeting stable metal complex, as shown in figure 8. 2016 (long), and68Ga]Ga-DOTA-TATE has been approved by the FDA for the diagnosis of neuroendocrine tumors, and this fact fully represents the importance of metal complexes in various clinical applications.
N, N '-bis [ 2-hydroxy-5- (carboxyethyl) benzyl ] ethylenediamine-N, N' -diacetic acid (HBED-CC) is a commonly used bifunctional linker in the preparation of Ga-68 labeled radiopharmaceuticals. The Ga-68 can be used for carrying out rapid and effective radioactive labeling on the HBED-CC and the derivatives thereof at room temperature, and the label has high in-vivo stability.
In recent years, a tumor imaging agent taking prostate specific membrane antigen as target68Ga-PSMA-11 has received a great deal of worldwide attention due to its excellent biological properties. (Afshhar-Oromieh et al, Eur J Nucl Med Mol Imaging (2017)44: 1258-1268) the bifunctional linker used in the molecular structure of this radiotracer is HBED-CC.
Subsequently, HBED-CC has rapidly developed as a bifunctional linker labeling Ga-68 drugs, such as:68Ga-HBED-CC-CAA(Zha Z,Song J,Choi S R,et al.Bioconjug Chem,2016,27(5):1314-1323)、68Ga-HBED-CC-Tetrafluorophenolate(Eder M,et al.European Journal of Nuclear Medicine&Molecular Imaging,2008,35(10):1878-1886)、68Ga-HBED-CC-PEG-scVEGF(Eder M,Krivoshein AV,Backer M,et al.Nuclear Medicine&Biology,2010,37(4):405-412)、68Ga-HBED-CC-PCA(Trencsényi G,Dénes N,Nagy G,et al.Journal of Pharmaceutical&Biomedical Analysis,2017,139:54-64)、68Ga-HBED-CC-EDBE-folate(Choi P S,Lee J Y,Park J H,et al.Journal of Labelled Compounds&Radiopharmaceuticals,2018,61(1),4-10)、68Ga-HBED-CC-c(NGR)、68Ga-HBED-CC-c(RGD)(Satpati D,Sharma R,Sarma H D,et al.Chemical Biology&Drug Design,2017,8(3),673-679)、68Ga-HBED-CC-AE105(Vats K,Sharma R,Sarma H D,et al.Anticancer Agents Med Chem,2018,18.)。
Tc-99m(t1/26h, gamma-140 keV) labeled single photon radioactive tracer has been applied to clinical SPECT imaging for over 40 years, and has important application value in a plurality of research fields such as early diagnosis and cancer stage of tumors, brain serious diseases such as Alzheimer's disease, myocardial function, renal function and the like. Its use cost is much more economical than PET/CT. In China, the PET/CT technology is mainly applied to various major cities at present, and according to statistics, the number of PET instruments in the whole country is about 300. The SPECT/CT technology is widely applied to most of two-three-line cities in China, and according to statistics, the number of SPECT instruments in the whole country is about 800.
Among the technetium-99 m radiopharmaceuticals commonly used in clinical practice, the technetium-99 m has the common valence states +5, +3 and + 1. +5 valent technetium-99 m may form TcO, TcO2、TcN(K.E.Baidoo and S.Z.Lever,Bioconjugate chemistry,1990,1,132.C.J.Smith,N.Li,K.V.Katti,C.Higginbotham and W.A.Volkert,Nuclear Medicine&Biology,1997,24, 685-. Such as brain perfusion imaging agents99mTc-D, L-HMPAO and bone imaging agents99mTc-MDP, which is used for millions of clinical scans each year worldwide. TcN the core of the labeling compound uses coordinating atoms that are predominantly S or P atoms. The common structural core of + 3-valent technetium-99 m is [ Tc (NS)3)[(*CNR)](H.Spies, M.Glaser, H.J.Pietzsch, F.E.Hahn and T.L ü gger, Inorganica Chimica Acta,1995,240,465 and 478.). The common structural core of the +1 valent technetium-99 m is technetium carbonyl ([ Tc (CO))3]+) The core can coordinate with a coordination atom such as N, O, S, and a common ligand is a N, O, S-containing small molecule.
So far, many researchers have conducted many researches on labeling metal technetium by HBED-CC, but most of them focus on TcO core to label HBED-CC, and none of them are successful; furthermore, due to the complex structure of HBED-CC, it is widely recognized by those skilled in the art that it is not suitable for core labeling of technetium carbonyl.
The present inventors have attempted to label HBED-CC with a technetium carbonyl core, and have unexpectedly found that HBED-CC can be labeled with technetium carbonyl by adjusting the reaction conditions and group substitution, and that HBED-CC can also be labeled with rhenium carbonyl.
Disclosure of Invention
One of the objects of the present invention is to provide a complex of a bifunctional linker coordinated to a metal carbonyl core, which is simple to prepare and has the potential to become a superior SPECT imaging agent.
In order to achieve the purpose, the invention adopts the following technical scheme:
a complex of a bifunctional linker coordinated to a metal carbonyl core, characterized in that: the bifunctional linking agent is N, N '-bis [ 2-hydroxy-5- (carboxyethyl) benzyl ] ethylenediamine-N, N' -diacetic acid, and the structural formula is as follows:
wherein, R is1And R2At least one is a targeting small molecule or polypeptide.
Preferably, the metal is technetium and its isotope(s) (ii)99mTc) or rhenium and isotopes thereof (188/186Re)。
Preferably, the targeting small molecule or polypeptide is mAb425, Cys-tagged vascular endothelial growth factor (ScVEGF), glu-urea-lysine (PSMA targeting group), procainamide (procainamide), 4-amino-N- (2-diethylaminoethyl) benzamide (PCA, 4-amino-N- (2-diazepamine) benzamide), folic acid (folate), pegylated Styrylpyridine Conjugates (pegylated Styrylpyridine Conjugates), Asparagine-glycine-arginine (NGR, Asparagine-glycine-arginine), arginine-glycine-aspartic acid (RGD, arginine-glycine-aspartic acid), and derivatives thereof.
Another object of the present invention is to provide a method for preparing a complex of a bifunctional linker coordinated to a metal carbonyl core that is simple and has the potential to be a superior SPECT imaging agent.
Technical solution 1
A preparation method of a coordination compound of a carbonyl technetium core marked bifunctional linker comprises the following steps:
(1) preparation of N, N '-bis [ 2-hydroxy-5- (carboxyethyl) benzyl ] ethylenediamine-N, N' -diacetic acid containing substituent groups
Adding BF to methanol solution of 3- (4-hydroxyphenyl) propionic acid3·Et2O, stirring at room temperature, removing the solvent, and purifying by flash chromatography to obtain a methylated product, namely methyl 3- (4-hydroxyphenyl) propionate;
adding MgCl into 3- (4-hydroxyphenyl) methyl propionate in acetonitrile2Paraformaldehyde and triethylamine, heating the mixture to reflux, diluting with water, and diluting with waterAcidifying with hydrochloric acid, extracting with diethyl ether, and separating the organic layer with MgSO4Drying and filtering, concentrating the filtrate, and purifying the residue by flash chromatography to give methyl 3- (3-formyl-4-hydroxyphenyl) propionate;
adding ethylenediamine into 3- (3-formyl-4-hydroxyphenyl) methyl propionate dissolved in MeOH at room temperature, stirring overnight at 50 ℃, cooling the bis-Schiff base obtained by condensation reaction in ice bath, and adding NaBH in batches4And stirred at room temperature overnight, the mixture was extracted with ethyl acetate, and the organic layer was then extracted with MgSO4Drying, filtering, concentrating the filtrate and purifying the resulting residue by flash chromatography to obtain 3,3' - ((ethane-1, 2-diylbis (azenediyl)) bis-dimethyl (methylene)) bis (4-hydroxy-3, 1-phenylene)) dipropionate;
to a solution of 3,3' - ((ethane-1, 2-diylbis (azenediyl)) bis-dimethyl (methylene)) bis (4-hydroxy-3, 1-phenylene)) dipropionate in acetonitrile was added tert-butyl bromoacetate and Na2CO3Then the mixture is heated at 60 ℃, overnight, cooled to room temperature and filtered, the filtrate is concentrated and the residue is purified by flash chromatography to give 3,3' - (((2,2,13, 13-tetramethyl-4, 11-dioxo-3, 12-) dimethyldioxa-6, 9-diazatetetradecane-6, 9-diyl) di (methylene)) bis (4-hydroxy-3, 1-phenylene)) dipropionate;
a methanol/sodium hydroxide (1N) (1/1) solution of 3,3' - (((2,2,13, 13-tetramethyl-4, 11-dioxo-3, 12-) dimethyldioxa-6, 9-diazatetradecane-6, 9-diyl) di (methylene)) bis (4-hydroxy-3, 1-phenylene)) dipropionate was stirred at room temperature to remove the methyl group, then hydrochloric acid was added to the reaction mixture to adjust the pH to 4-5, the resulting mixture was extracted with EtOAc, and then the organic layer was extracted with MgSO 44Drying and filtering, concentrating the filtrate to obtain a residue which is purified by flash chromatography to obtain 3,3' - ((((2, 2,13, 13-tetramethyl-4, 11-dioxo-3, 12-dioxa-6, 9-diazacyclotetradecane-6, 9-diyl) di (methylene)) di (4-hydroxy-3, 1-phenylene)) dipropionate;
then, N ' -bis [ 2-hydroxy-5- (carboxyethyl) benzyl ] ethylenediamine-N, N ' -diacetic acid containing a substituent group was prepared separately from 3,3' - ((((2, 2,13,13 tetramethyl-4, 11-dioxo-3, 12-dioxa-6, 9-diazacyclotetradecane-6, 9-diyl) di (methylene)) di (4-hydroxy-3, 1-phenylene)) dipropionate;
(2)[99mTc][Tc(CO)3(H2O)3]+preparation of intermediate solutions
The reaction ratio of Na2CO3,NaBH4And sodium potassium tartrate are dissolved in the brine, CO gas is introduced, and then an appropriate amount of [ alpha ], [ alpha ] is added99mTc]NaTcO4The physiological saline solution of (1), reacting the mixture at 60 to 90 ℃, cooling to room temperature, and then acidifying the solution to pH 7 to 8 to obtain the product99mTc][Tc(CO)3(H2O)3]+An intermediate solution;
(3) preparation of complex of carbonyl technetium core marked bifunctional linker
To the [2 ] prepared in step (2)99mTc][Tc(CO)3(H2O)3]+Respectively adding proper amount of the N, N' -bis [ 2-hydroxy-5- (carboxyethyl) benzyl containing substituent groups prepared in the step (1) into the intermediate solution]ethylenediamine-N, N' -diacetic acid (dissolved in 1ml of 0.05M sodium acetate solution at pH 5) and the reaction mixture was heated to obtain a complex of the carbonyl technetium core-labeled bifunctional linker.
Technical solution 2
A method for preparing a complex of a carbonyl rhenium core labeled bifunctional linker comprises the following steps:
(1) preparation of N, N '-bis [ 2-hydroxy-5- (carboxyethyl) benzyl ] ethylenediamine-N, N' -diacetic acid containing substituent groups
Adding BF to methanol solution of 3- (4-hydroxyphenyl) propionic acid3·Et2O, stirring at room temperature, removing the solvent, and purifying by flash chromatography to obtain a methylated product, namely methyl 3- (4-hydroxyphenyl) propionate;
adding MgCl into 3- (4-hydroxyphenyl) methyl propionate in acetonitrile2Paraformaldehyde and triethylamine, heating and refluxing the mixture, diluting with water, acidifying with hydrochloric acid, extracting with diethyl ether, and collecting the organic layer with MgSO4Drying and filtering, concentrating the filtrate, andpurifying the residue by flash chromatography to give methyl 3- (3-formyl-4-hydroxyphenyl) propionate;
adding ethylenediamine into 3- (3-formyl-4-hydroxyphenyl) methyl propionate dissolved in MeOH at room temperature, stirring overnight at 50 ℃, cooling the bis-Schiff base obtained by condensation reaction in ice bath, and adding NaBH in batches4And stirred at room temperature overnight, the mixture was extracted with ethyl acetate, and the organic layer was then extracted with MgSO4Drying, filtering, concentrating the filtrate and purifying the resulting residue by flash chromatography to obtain 3,3' - ((ethane-1, 2-diylbis (azenediyl)) bis-dimethyl (methylene)) bis (4-hydroxy-3, 1-phenylene)) dipropionate;
to a solution of 3,3' - ((ethane-1, 2-diylbis (azenediyl)) bis-dimethyl (methylene)) bis (4-hydroxy-3, 1-phenylene)) dipropionate in acetonitrile was added tert-butyl bromoacetate and Na2CO3Then the mixture is heated at 60 ℃, overnight, cooled to room temperature and filtered, the filtrate is concentrated and the residue is purified by flash chromatography to give 3,3' - (((2,2,13, 13-tetramethyl-4, 11-dioxo-3, 12-) dimethyldioxa-6, 9-diazatetetradecane-6, 9-diyl) di (methylene)) bis (4-hydroxy-3, 1-phenylene)) dipropionate;
a methanol/sodium hydroxide (1N) (1/1) solution of 3,3' - (((2,2,13, 13-tetramethyl-4, 11-dioxo-3, 12-) dimethyldioxa-6, 9-diazatetradecane-6, 9-diyl) di (methylene)) bis (4-hydroxy-3, 1-phenylene)) dipropionate was stirred at room temperature to remove the methyl group, then hydrochloric acid was added to the reaction mixture to adjust the pH to 4-5, the resulting mixture was extracted with EtOAc, and then the organic layer was extracted with MgSO 44Drying and filtering, concentrating the filtrate to obtain a residue which is purified by flash chromatography to obtain 3,3' - ((((2, 2,13, 13-tetramethyl-4, 11-dioxo-3, 12-dioxa-6, 9-diazacyclotetradecane-6, 9-diyl) di (methylene)) di (4-hydroxy-3, 1-phenylene)) dipropionate;
then, N ' -bis [ 2-hydroxy-5- (carboxyethyl) benzyl ] ethylenediamine-N, N ' -diacetic acid containing a substituent group was prepared separately from 3,3' - ((((2, 2,13,13 tetramethyl-4, 11-dioxo-3, 12-dioxa-6, 9-diazacyclotetradecane-6, 9-diyl) di (methylene)) di (4-hydroxy-3, 1-phenylene)) dipropionate;
(2) preparation of carbonyl rhenium core marking complex of N, N '-bis [ 2-hydroxy-5- (carboxyethyl) benzyl ] ethylenediamine-N, N' -diacetic acid containing substituent group
Refluxing under water solution of rhenium pentacarbonyl bromide, and then carrying out the N, N' -bis [ 2-hydroxy-5- (carboxyethyl) benzyl group containing the substituent group prepared in the step (1)]ethylenediamine-N, N' -diacetic acid to a solution containing Re (CO)3(H2O)3In the reaction solution of the Br intermediate, the mixture was acidified to pH 4 to 6, and heated to obtain N, N' -bis [ 2-hydroxy-5- (carboxyethyl) benzyl group having a substituent group]Carbonyl rhenium core labeling complex of ethylenediamine-N, N' -diacetic acid.
Preferably, the structure of the substituted group-containing N, N '-bis [ 2-hydroxy-5- (carboxyethyl) benzyl ] ethylenediamine-N, N' -diacetic acid in the step (1) is as follows:
wherein, R is1And R2At least one of them is a targeting small molecule or polypeptide or protein.
Preferably, the targeting small molecule or polypeptide is mAb425, Cys-tagged vascular endothelial growth factor (ScVEGF), glu-urea-lysine, procainamide (procainamide), 4-amino-N- (2-diethylaminoethyl) benzamide (PCA, 4-amino-N- (2-diethylaminoethyl) benzamide), folic acid (folate), pegylated Styrylpyridine Conjugates (RGD), Asparagine-glycine-arginine (Asparagine-glycine-arginine), arginine-glycine-aspartic acid (RGD), and derivatives thereof.
Preferably, the acidification in step (2) is with hydrochloric acid.
Preferably, the concentration of the hydrochloric acid in the step (2) is 0.05 mol/L.
Preferably, the heating temperature in the step (3) is 95 ℃ and the time is 30 minutes.
Has the advantages that:
the present invention first utilizes99mTc][Tc/Re(CO)3(H2O)3]+The HBED-CC derivative with good biological properties is subjected to radioactive labeling, and the inventor finds that N, N' -bis [ 2-hydroxy-5- (carboxyethyl) benzyl group containing substituent]ethylenediamine-N, N' -diacetic acid can realize the labeling of technetium carbonyl or rhenium; and, N' -bis [ 2-hydroxy-5- (carboxyethyl) benzyl group having a disubstituted group]The ethylenediamine-N, N' -diacetic acid is coordinated with the Tc-99m/Re carbonyl technetium/rhenium core marker, and the effect is particularly good; thus achieving different species for the same label precursor68Ga、99mTc/Re), and the mutual complementation of two imaging modes (PET/SPECT) is expected to be realized aiming at the same target point; provides a new idea for the development of Tc-99m single-photon radioactive tracers, and also widens the application range of HBED-CC derivatives as radioactive drug labeling precursors. In addition, the ligand capable of coordinating with Tc can also coordinate with the same family element Re, and Re-186 and Re-188 are therapeutic nuclides which are widely applied clinically at present. Thus, Re (CO) in the present invention3the-HBED-CC derivative can also be developed as a therapeutic drug, thereby realizing the real diagnosis and treatment integration.
The invention is further illustrated by the following figures and detailed description of the invention, which are not meant to limit the scope of the invention.
Drawings
FIG. 1 is the [2 ] prepared in example 1 of the present invention99mTc]Tc(CO)3-L2Radioactive liquid chromatography analysis of (1).
FIG. 2 is the value of [2 ] prepared in example 2 of the present invention99mTc]Tc(CO)3-L3Radioactive liquid chromatography analysis chart of
FIG. 3 shows Re (CO) prepared in example 3 of the present invention3-L2Ultraviolet liquid chromatography analysis chart of (1).
FIG. 4 shows Re (CO) prepared in example 4 of the present invention3-L3Ultraviolet liquid chromatography analysis chart of the complex.
FIG. 5 is the [2 ] prepared in example 5 of the present invention99mTc]Tc(CO)3-L4Radioactive liquid chromatography analysis of the complex.
FIG. 6 is the value of [2 ] prepared in example 6 of the present invention99mTc]Tc(CO)3-L1Radioactive liquid chromatography analysis of the complex.
FIG. 7 the [2 ] prepared in example 7 of the present invention99mTc]Tc(CO)3-radioactive liquid chromatography profile of PSMA-11 complex.
FIG. 8 shows a targeting stable metal complex of Ga-68.
The specific implementation mode is as follows:
the following is N, N' -bis [ 2-hydroxy-5- (carboxyethyl) benzyl]The structural formula of each compound in the preparation process of ethylenediamine-N, N '-diacetic acid and derivatives thereof is shown in the specification, wherein the compound 1 is HBED-CC, and the compound 2 is 2,2' - (ethane-1, 2-diyl bis ((2-hydroxy-5- (3- ((2- (2-nitro-1H-imidazol-1-yl) ethyl) amino) -3-oxopropyl) benzyl) -azepindiyl)) diacetic acid (L)2) Compound 3 is methyl 3- (4-hydroxyphenyl) propionate, compound 4 is methyl 3- (3-formyl-4-hydroxyphenyl) propionate, compound 5 is 3,3'- (((ethane-1, 2-diylbis (azepindiyl)) bis-dimethyl (methylene)) bis (4-hydroxy-3, 1-phenylene)) dipropionate, compound 6 is 3,3' - ((2,2,13, 13-tetramethyl-4, 11-dioxo-3, 12-) dimethylbis (dipropionate)Oxa-6, 9-diazatetetradecane-6, 9-diyl) di (methylene)) di (4-hydroxy-3, 1-phenylene)) dipropionate, compound 7 is 3,3' - ((((2, 2,13, 13-tetramethyl-4, 11-dioxo-3, 12-dioxa-6, 9-diazatetetradecane-6, 9-diyl) di (methylene)) bis (4-hydroxy-3, 1-phenylene)) dipropionate, compound 8 is 2,2' - (ethane-1, 2-diyl bis ((2-hydroxy-5- (3- ((2- (2-nitro-1H-imidazol-1-yl) ethyl) amino) -3-oxopropyl) benzyl) -azepindiyl)) diacetic acid.
Unless otherwise specified, reagents and raw materials used in the preparation methods and detection methods described in the following examples and comparative examples are commercially available, and all the equipment used are conventional equipment.
Example 1
99mTc(CO)3-L2Preparation of the complex:
(1) ligand L2Synthesis of (2)
Synthesis of Compound 3 (methyl 3- (4-hydroxyphenyl) propionate): after p-hydroxyphenylpropionic acid (3g, 18.1mmol) and 50mL of methanol were charged in a round-bottom flask, and boron trifluoride diethyl etherate (0.3mL) was then added dropwise to the mixed solution, and stirred at room temperature for 6 hours, the organic phase in the filtrate was removed under reduced pressure using a rotary evaporator, separated by a silica gel column using n-hexane/ethyl acetate (v/v, 2/8), the objective component was collected, and the solvent was removed under reduced pressure to obtain 2.72g of a white solid (yield: 84%);
1HNMR(400MHz,CDCl3) δ 7.07(d,2H, J ═ 8.4Hz),6.76(d,2H, J ═ 8.4Hz),4.72(s,1H),3.68(s,3H),2.89(t,2H, J ═ 7.6Hz),2.60(t,2H, J ═ 7.6 Hz); HRMS (ESI) theoretical molecular weight C10H13O3(M+H)+181.0865; measured molecular weight, 181.0815;
synthesis of Compound 4 (methyl 3- (3-formyl-4-hydroxyphenyl) propionate): a round-bottomed flask was charged with Compound 3(2.72g, 15.1mmol), magnesium sulfate (2.87g, 30.2mmol), triethylamine (6.1g, 60.4mmol), and poly (N-ethyl-L-methyl-L-propylamine)Formaldehyde (3.66g, 120.8mmol) and 70mL of anhydrous acetonitrile were refluxed for 8 hours, heated to room temperature, added with 25mL of water and 100mL of hydrochloric acid solution (5%), the aqueous phase was extracted with diethyl ether 3 times (50 mL. times.3), the organic phases were combined, dried over anhydrous magnesium sulfate, filtered to remove solid impurities, the organic phase in the filtrate was removed under reduced pressure using a rotary evaporator, the filtrate was subjected to silica gel column separation using n-hexane/ethyl acetate (v/v, 2/8), the objective fraction was collected, and the solvent was removed under reduced pressure to give 2.85g of a white solid L2(yield: 90%);
1HNMR(400MHz,CDCl3) δ 10.89(s,1H),9.88(s,1H),7.37-7.40(m,2H),6.94(d,1H, J ═ 9.6Hz),3.68(s,3H),2.95(t,2H, J ═ 7.4Hz),2.64(t,2H, J ═ 7.4 Hz); HRMS (ESI) theoretical molecular weight C11H13O4(M+H)+209.0814; measured molecular weight, 209.0825;
synthesis of compound 5(3,3' - (((ethane-1, 2-diylbis (azenediyl)) bis-dimethyl (methylene)) bis (4-hydroxy-3, 1-phenylene)) dipropionate): dissolving compound 4(2.84g, 13.6mmol) in 60mL of methanol, adding ethylenediamine (0.371g, 6.18mmol) dropwise to the mixed solution, heating at 50 ℃ under reflux overnight, then cooling to 0 ℃ with an ice-water bath, adding sodium borohydride (1.05g, 27.81mmol) in 3 batches to the reaction solution, slowly raising to room temperature, after 24 hours of reaction, adding 100mL of water to terminate the reaction, extracting the aqueous phase 3 times with ethyl acetate (150 mL. times.3), combining the organic phases, drying with anhydrous magnesium sulfate, filtering to remove solid impurities, removing the organic phase from the filtrate under reduced pressure with a rotary evaporator, separating with a silica gel column using dichloromethane/ethanol/aqueous ammonia (v/v/v, 90/9/1), collecting the target component, removing the solvent under reduced pressure, 2.08g of colorless oil (yield: 69%);
1HNMR(400MHz,CDCl3) δ 7.00(dd,2H, J ═ 2.0Hz, J ═ 8.4Hz),6.82(d,2H, J ═ 2.0Hz),6.76(d,2H, J ═ 8.4Hz),3.97(s,4H),2.67(s,6H),2.83-2.87(m,8H),2.58(t,4H, J ═ 7.8 Hz); HRMS (ESI) theoretical molecular weight C24H33N2O6(M+H)+445.2339; measured molecular weight, 445.2139;
synthesis of Compound 6(3,3' - ((((2, 2,13, 13-tetramethyl-4, 11-dioxo-3, 12-) dimethyldioxa-6, 9-diazatetradecane-6, 9-diyl) di (methylene)) di (4-hydroxy-3, 1-phenylene)) dipropionate): compound 5(1.8g, 4.05mmol), tert-butyl bromoacetate (1.66g, 8.51mmol), sodium carbonate (1.71g, 16.2mmol) and 50mL of acetonitrile were added to a round-bottom flask, stirred at 60 ℃ overnight, cooled to room temperature, filtered to remove solid impurities, the organic phase in the filtrate was removed under reduced pressure using a rotary evaporator, separated on a silica gel column with n-hexane/ethyl acetate (v/v, 1/1), the desired fraction was collected and the solvent was removed under reduced pressure to give 2.36g of a colorless oil (yield: 87%);
1HNMR(400MHz,CDCl3) δ 9.55(s,2H),7.00(dd,2H, J ═ 2.0Hz, J ═ 8.4Hz),6.77(d,2H, J ═ 8.4Hz),6.74(d,2H, J ═ 2.0Hz),3.70(s,4H),3.67(s,6H),3.17(s,4H),2.83(t,4H, J ═ 7.8Hz),2.69(s,4H),2.57(t,4H, J ═ 7.8Hz),1.46(s, 18H); HRMS (ESI) theoretical molecular weight C36H53N2O10(M+H)+673.3700; measured molecular weight, 673.3662;
synthesis of Compound 7(3,3' - (((2,2,13,13 tetramethyl-4, 11-dioxo-3, 12-dioxa-6, 9-diazatetradecane-6, 9-diyl) di (methylene)) di (4-hydroxy-3, 1-phenylene)) dipropionate): adding compound 6(1.6g, 2.38mmol), 5mL of methanol and 5mL of sodium hydroxide solution (1N) into a round-bottomed flask, stirring at room temperature for 2 hours, cooling by means of an ice-water bath, adding hydrochloric acid solution (1N) to the reaction solution to a pH of 4-5, extracting the aqueous phase 3 times with ethyl acetate (50 mL. times.3), combining the organic phases, drying with anhydrous magnesium sulfate, filtering to remove solid impurities, removing the organic phase from the filtrate under reduced pressure by means of a rotary evaporator, filtering to remove the solid impurities, removing the organic phase from the filtrate under reduced pressure by means of a rotary evaporator, separating with a silica gel column using dichloromethane/ethanol/aqueous ammonia (v/v/v, 90/9/1), collecting the objective component, and removing the solvent under reduced pressure to obtain 1.2g of a white solid (yield: 78%);
1HNMR(400MHz,CDCl3) δ 7.03(dd,2H, J ═ 2.0Hz, J ═ 8.4Hz),6.80(d,2H, J ═ 8.4Hz),6.71(d,2H, J ═ 2.0Hz),3.56(s,4H),3.26(s,4H),2.84(t,4H, J ═ 7.0Hz),2.62(t,4H, J ═ 7.0Hz),2.56(s,4H),1.48(s, 18H); HRMS (ESI) theoretical molecular weight C34H49N2O10(M+H)+645.3387; measured molecular weight, 645.3417;
synthesis of compound 8(2,2' - (ethane-1, 2-diyl bis ((2-hydroxy-5- (3- ((2- (2-nitro-1H-imidazol-1-yl) ethyl) amino) -3-oxopropyl) benzyl) -azepindiyl)) diacetic acid): to a round bottom flask was added compound 7(433.8mg, 0.673mmol), N, N-diisopropylethylamine (DIPEA, 1.04g, 8mmol), 1-hydroxybenzotriazole hydrate (HOBt, 2mmol, 270mg), N- (3-dimethylaminopropyl) -N-ethylcarbodiimide hydrochloride (EDC, 381mg, 2mmol), 2- (2-nitro-1H-imidazol-1-yl) ethan-1-amine (235mg, 1.345mmol) and 10mL DMF, the mixture was stirred at room temperature for 4 hours, 30mL ethyl acetate was added to the reaction mixture, then the mixture was washed with water (10 mL. times.2) and brine (10mL), MgSO 2 was added4Drying and filtering, removing the organic phase in the filtrate under reduced pressure by using a rotary evaporator, filtering to remove solid impurities, removing the organic phase in the filtrate under reduced pressure by using a rotary evaporator, separating by using a silica gel column with dichloromethane/ethanol/ammonia water (v/v/v, 90/9/1), collecting the objective component, and removing the solvent under reduced pressure to obtain 1.2g of a white solid (yield: 78%);
1h NMR (400MHz, CDCl3) delta: 9.54(s, 2H), 7.02-7.00(m, 2H), 6.80(s, 2H), 6.71(t, 6H, J ═ 11.2), 6.58(s, 2H), 4.49(t, 4H, J ═ 11.0), 3.64-3.60(m, 8H), 4.21(s, 4H), 2.85(t, 4H, J ═ 14.1), 2.66(s, 4H), 2.48(t, 4H, J ═ 14.1), 1.47(s, 18H); LRMS calculates C44H60N10O12(M+H)+920.4, found 920.4;
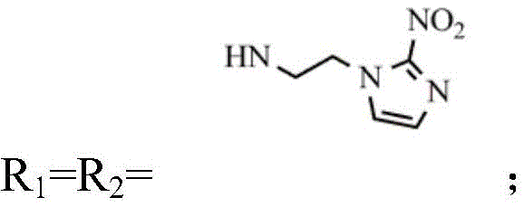
ligand L2The synthesis of (2): compound 8(375mg, 0.408mmol) was dissolved in 10mL TFA, stirred at room temperature for 4 hours, the solvent removed under reduced pressure, and the residue purified by preparative HPLC to give 197mg of compound 2 (L) as a white solid2) (yield: 59.8%);
1H NMR(400MHz,D2O)δ:7.11(d,2H,J=1.2),7.08-7.06(m,4H),7.04(d,2H,J=1.2),6.81(d,2H,J=8.8),4.52(t,4H,J=5.8),4.10(s,4H),3.67(s4H), 3.60(t, 4H, J ═ 5.6), 3.51-3.46(m, 4H),2, 77(t, 4H, J ═ 7.4), 2.394(t, 4H, J ═ 7.4); LRMS calculates C36H 44N 10O 12(M+H)+809.3, found 809.3;
(2)[99mTc][Tc(CO)3(H2O)3]+preparation of intermediate solutions
4mg of Na2CO35.6mg of NaBH4And 20mg of potassium sodium tartrate were dissolved in 1mL of physiological saline, and CO gas was introduced for 15 minutes, followed by addition of an appropriate amount of [ alpha ], [ beta ] -potassium sodium tartrate99mTc]NaTcO4The physiological saline solution of (1), the mixture is reacted at 80 ℃ for 30 minutes, cooled to room temperature, and then the solution is acidified with 0.05mol/L HCl to pH 7-8 to give a solution99mTc][Tc(CO)3(H2O)3]+An intermediate solution;
(3)[99mTc]Tc(CO)3-L2preparation of the Complex
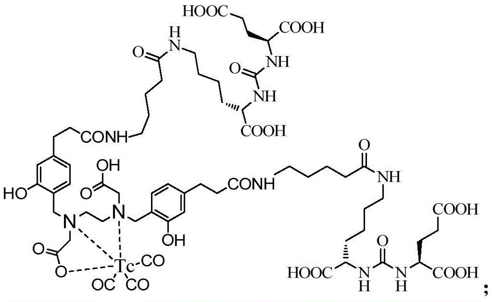
To the [2 ] prepared in step (2)99mTc][Tc(CO)3(H2O)3]+1mg of L prepared in step (1) was added to the solution2(dissolved in 1ml of a 0.05M sodium acetate solution having a pH of 5), and the reaction mixture was heated at 95 ℃ for 30 minutes to give [ alpha ], [ solution ] of sodium acetate99mTc]Tc(CO)3-L2A complex, whose possible structural formula is as follows:
as shown in FIG. 1, is the product of the present invention prepared in example 199mTc]Tc(CO)3-L2The analysis result shows that: the product had only one structure and a retention time of 13.7 minutes; the radiochemical purity is greater than 95%. The existence of a split peak indicates the existence of chiral isomers in the complex structure.
The radiochemical purity of the product is more than 95 percent.
Example 2
99mTc(CO)3-L3Preparation of the complex:
(1) ligand L3Preparation of
1) Dual activated (HBED-CC) TFP2The synthesis of (2):
from the compound 1(N, N' -bis [ 2-hydroxy-5- (carboxyethyl) benzyl]ethylenediamine-N, N' -diacetic acid) as a reaction starting material, mixing and stirring the compound 1 and ferric chloride at room temperature for 20 minutes according to an equivalent of 1:1.1, and purifying the product by flash chromatography to obtain [ Fe (HBEDCC)]–(ii) a To 1000. mu.L of [ Fe (HBED-CC) at a concentration of 0.01M]–Adding 10 equivalents of TFP (trifluoropyrazine) and 4 equivalents of N, N' -diisopropylcarbodiimide, reacting at room temperature for 3 days, and purifying the product by preparative HPLC to obtain [ Fe (HBED-CC)]TFP2Diluting with water, and mixing the diluted [ Fe (HBED-CC) ]]TFP2The solution was injected onto a RP18 column, and the RP18 filter column was washed with 3mL, 1M HCl and 4mL H2O washing to remove complexed Fe3 +Residual (HBED-CC) TFP2Eluted with 2mL of acetonitrile and evaporated to dryness to give bis-activated (HBED-CC) TFP2And actually measuring mass spectrum: 830.0[ M + H ] M/z]+;C32H33F4N2O10829.7;
2) preparation of tert-butyl protected glutamic acid-urea-lysine:
in the presence of triphosgene (1 equivalent, 1mmol) in CH2Cl2(150mL) of the solution was added tert-butyl protected glutamic acid 9(3 equiv.) and DIPEA (3.0mL) to give tert-butyl protected glutamic acid isocyanate 10; then, allyloxycarbonyl-protected lysine (amino group of the amino acid is immobilized by 2-chloro-trityl resin (Merck, Darmstadt, germany) and commercially available) was added to the mixed solution and reacted with stirring at room temperature for 16 hours to obtain a product 11; the 2-chloro-trityl resin was filtered off, the allyloxycarbonyl protecting group cleaved on the resin, and the coupling of the amino group with hexanoic acid was then performed using fluorenylmethoxycarbonyl (Fmoc) -protected 6-aminocaproic acid (Sigma-Aldrich, Germany) to give product 12 in CH2Cl2The product 12 is prepared from 30% 1,1,1,3,3, 3-hexafluoroisopropanolThe resin was cleaved and purified by chromatography on a Chromolith RP-18e column (100X 10 mm; Merck, Darmstadt, Germany) eluting with a gradient of solvent A (consisting of 0.1% aqueous TFA) and solvent B (0.1% TFA in acetonitrile) starting from 0% B and rising to 60% B in 6 minutes and then increasing to 100% B in 1 minute at a flow rate of 6mL/min to give product 13.
Bis-activated (HBED-CC) TFP in 2.4 equivalents of DIPEA (N, N-diisopropylethylamine) in DMF (N, N-dimethylformamide)2With 2.4 equivalents of t-butyl protected glutamic-urea-lysine; after HPLC purification, product 13 was hydrolyzed using TFA and after 1 hour of reaction the mixture was purified by HPLC to give L3The structure is as follows, and the yield is 29%;
purity > 98% by analytical HPLC analysis, molecular weight determined by mass spectrometry, calculated 1361.6, actual 1361.6;
(2)[99mTc][Tc(CO)3(H2O)3]+preparation of intermediate solutions
4mg of Na2CO35.6mg of NaBH4And 20mg of potassium sodium tartrate were dissolved in 1mL of physiological saline, and CO gas was introduced for 15 minutes, followed by addition of an appropriate amount of [ alpha ], [ beta ] -potassium sodium tartrate99mTc]NaTcO4The physiological saline solution of (1), the mixture is reacted at 80 ℃ for 30 minutes, cooled to room temperature, and then the solution is acidified with 0.05mol/L HCl to pH 7-8 to give a solution99mTc][Tc(CO)3(H2O)3]+An intermediate solution;
(3)[99mTc]Tc(CO)3-L3preparation of the Complex
To the [2 ] prepared in step (2)99mTc][Tc(CO)3(H2O)3]+1mg of L prepared in step (1) was added to the solution3(dissolved in 1ml of a 0.05M sodium acetate solution having a pH of 5), and the reaction mixture was heated at 95 ℃ for 30 minutes to give [ alpha ], [ solution ] of sodium acetate99mTc]Tc(CO)3-L3A possible structure of the complex is as follows:
as shown in FIG. 2, is the product of the preparation of example 2 of the present invention99mTc]Tc(CO)3-L3The analysis result shows that: the product had only one structure and a retention time of 13.7 minutes; the radiochemical purity of the product is more than 95 percent.
Example 3
Re(CO)3-L2Preparation of the Complex
10ml of an aqueous solution of rhenium pentacarbonyl bromide (80mg, 0.2mmol) were refluxed at 105 ℃ for 24 hours, after which L from example 1 was added2(30mg, 0.038mmol) was added to a solution containing Re (CO)3(H2O)3To the above reaction solution of Br intermediate (2mL), the mixture was acidified with 0.1N HCl to pH 5 and heated at 95 ℃ for 3 hours to give re (co)3-L2A complex; the possible structure is as follows, as shown in FIG. 3, Re (CO) prepared in example 3 of the present invention3-L2Ultraviolet liquid chromatography analysis chart of (1). The analysis result shows that: the product only has one structure, and the existence of a splitting peak indicates that chiral isomers exist in the complex structure.
Example 4
Re(CO)3-L3Preparation of the Complex
10ml of an aqueous solution of rhenium pentacarbonyl bromide (80mg, 0.2mmol) were refluxed at 105 ℃ for 24 hours, after which L from example 2 was added3(50mg, 0.038mmol) was added to a solution containing Re (CO)3(H2O)3To the above reaction solution of Br intermediate (2mL), the mixture was acidified with 0.1N HCl to pH 5 and heated at 95 ℃ for 3 hours to give re (co)3-L3A complex; the possible structure is as follows: as shown in FIG. 4, Re (CO) prepared in example 4 of the present invention3-L3Ultraviolet liquid chromatography analysis chart of the complex.
Example 5
[99mTc]Tc(CO)3-L4Preparation of the Complex
(1)L4Synthesis of (2)
1) Synthesis of BN peptides
BN peptide (H) synthesized using standard Fmoc-peptide chemistry on Rink amide, 4-methyl-benzhydrylamine resin (200-2N (amino) -PEG2(Dipolyethylene glycol) - [ D-Tyr6,βAla11,Thi13,Nle14]BN)
For amino acid (D-Tyr)6β Ala11, Thi13, Nle14) using the general formula below, with amino acids/O-benzotriazol-tetramethyluronium Hexafluorophosphate (HBTU)/DIPEA (4.0: 3.9: 4.0 equiv., 30 min, reaction at room temperature), Fmoc (fluorenylmethyloxycarbonyl) -8-amino-3, 6-dioxaoctanoic acid was finally added, the same procedure as above was followed, after which the product was deprotected using 50% piperidine and DMF, the resin was dried, TFA/TIPS/H was used2Cleavage of the peptide with a mixture of O (95: 2.5: 2.5, v/v/v), recrystallization from ether, purification by semi-preparative HPLC (retention time: 5.9min, B% of 8-60: 10min, flow rate 6mL/min) gave BN peptide (42% in overall yield, 0.95 equiv, 0.023mmol, 29.5 mg); identifying the product by mass spectrometry: m/z 1285.6[ M + H ]]+;C61H85N15O14S; calculated values: 1284.5.
2) synthesis of glutamic acid-urea-lysine
The synthetic route of the glutamic acid-urea-lysine is shown in the following figure;
tert-butyl protected glutamic acid 14(3 equiv.) with triphosgene (1 equiv., 1mmol) and DIPEA (3.0mL) in CH2Cl2Isocyanate 15 reacted in (150mL) to give glutamic acid; isocyanate 15 of glutamic acid was immobilized with resin (2-chloro-trityl resin, 0.540g, 0.9mmol) with 3.0mmol of Fmoc-Lys (alloc) -OH under mild stirring (16 hours, room temperature) to give product 16; then, the reaction solution is reacted with Pd (PPh) at room temperature3) (7.2mM) and morpholine (1.5mM) to cleave the allyloxycarbonyl protecting group therein to provide product 17; the solvent was changed to DMF and the resin was washed with 1% DIPEA in DMF and sodium diethyldithiocarbamate trihydrate solution (10mL, 0.07M); then, with TFA/TIPS/H2O (95: 2.5: 2.5, v/v/v) cleavage of product 17 followed by purification by RP-HPLC with the following gradient: A-B, 0-60% B for 6 min, then 100% B for 1 min (A is H with 0.1% TFA)2O solution, B is CH with 0.1% TFA3CN solution; the retention time was: 6.2 minutes; flow rate of 6 mL/min); the final product 18 (glutamic acid-urea-lysine) was obtained in 30% overall yield, ms spectrum: m/z 320.1[ M + H ]]+;C12H21N3O7(ii) a Calculated values: 319.3;
3) dual activated (HBED-CC) TFP2Synthesis of (2)
Same as in example 2;
1-fold equivalent of BD peptide and 0.91 equivalent of dual activated (HBED-CC) TFP2In 1.0ml of DMF containing 2 times equivalent of DIPEA (0.044mmol) dissolved therein to obtain HBED-CCTFP-ester substituted by BN peptide, and reacting the ester with excess glutamic acid-urea-lysine 18(10 equivalent, 16 hours, room temperature) to obtain Fe-protected target ligand L4(HBED-CC chelator) after which the iron complexes were isolated by semi-preparative HPLC, in order to remove iron from the corresponding HBED-CC chelator, the following procedure was followed: 1) fe protected target ligand L4Trapped on a solid phase extraction column (C-18, Classic Short)WAT051910, Waters corporation, usa); 2) the solid phase extraction column was washed with 1M hydrochloric acid (2.0mL, Waters, USA), then with H2O (2mL, ultra pure, Waters corporation, USA) to remove iron; 3) eluting with 70:30(v/v, 5.0mL) acetonitrile/water solution from the column to obtain ligand L4The structure is as follows:
identification of compounds by mass spectrometry: m/z: 2100.5[ M + H]+;C99H134N20O29S, calculating a value: 2100.3, respectively;
(2)[99mTc][Tc(CO)3(H2O)3]+preparation of intermediate solutions
4mg of Na2CO35.6mg of NaBH4And 20mg of potassium sodium tartrate were dissolved in 1mL of physiological saline, and CO gas was introduced for 15 minutes, followed by addition of an appropriate amount of [ alpha ], [ beta ] -potassium sodium tartrate99mTc]NaTcO4The physiological saline solution of (1), the mixture is reacted at 80 ℃ for 30 minutes, cooled to room temperature, and then the solution is acidified with 0.05mol/L HCl to pH 7-8 to give a solution99mTc][Tc(CO)3(H2O)3]+An intermediate solution;
(3)[99mTc]Tc(CO)3-L4preparation of the Complex
To the [2 ] prepared in step (2)99mTc][Tc(CO)3(H2O)3]+To the solution was added 1mg of L4(dissolved in 1ml of a 0.05M sodium acetate solution having a pH of 5), and the reaction mixture was heated at 95 ℃ for 30 minutes to give [ alpha ], [ solution ] of sodium acetate99mTc]Tc(CO)3-L4A possible structure of the complex is as follows:
as shown in FIG. 5, is the product of example 5 of the present invention99mTc]Tc(CO)3-L4The radiochemical purity of the product is more than 95 percent according to the radioactive liquid chromatographic analysis chart of the complex.
Example 6
[99mTc]Tc(CO)3-L1Preparation of the complex:
(1) ligand L1Synthesis of (2)
Compound 7(433.8mg, 0.673mmol) was dissolved in 10mL TFA, stirred at room temperature for 4h, the solvent removed under reduced pressure and purified by preparative HPLC to give product 1 (L)1) The yield is 59.8%;
1H NMR(400MHz,D2o) δ: 7.17-7.14(m, 4H, J ═ 1.2Hz), 7.09(d, 2H, J ═ 4Hz), 4.27(s,4H), 3.78(s,4H), 3.61-3.55(m, 4H, J ═ 2.4)2.76(t, 4H, J ═ 1.6), 2.56(t, 4H, J ═ 1.6), HRMS mass spectrometry C26H32N2O10:[M+H]+M/z: 533.2 calculated as 533.2;
(2)[99mTc][Tc(CO)3(H2O)3]+preparation of intermediate solutions
4mg of Na2CO35.6mg of NaBH4And 20mg of potassium sodium tartrate were dissolved in 1mL of physiological saline, and CO gas was introduced for 15 minutes, followed by addition of an appropriate amount of [ alpha ], [ beta ] -potassium sodium tartrate99mTc]NaTcO4The physiological saline solution of (1), the mixture is reacted at 80 ℃ for 30 minutes, cooled to room temperature, and then the solution is acidified with 0.05mol/L HCl to pH 7-8 to give a solution99mTc][Tc(CO)3(H2O)3]+An intermediate solution;
(3)[99mTc]Tc(CO)3-L1preparation of the Complex
To the [2 ] prepared in step (2)99mTc][Tc(CO)3(H2O)3]+1mg of L prepared in step (1) was added to the solution1(0.05M in 1ml, pH ═5 in a sodium acetate solution) at 95 ℃ for 30 minutes to obtain [2 ], [99mTc]Tc(CO)3-L1And (3) a complex.
As shown in FIG. 6, is the product of the present invention prepared in example 6 of the present invention99mTc]Tc(CO)3-L1The results of the radioactive liquid chromatography analysis of the complex showed the presence of two structures (one for each peak) for the product, corresponding to two retention times (12.0 min and 13.2 min). The peaks of the two components are split peaks, indicating the presence of chiral isomers in the complex structure.
Example 7
[99mTc]Tc(CO)3Preparation of the PSMA-11 Complex:
(1)[99mTc][Tc(CO)3(H2O)3]+preparation of intermediate solutions
4mg of Na2CO35.6mg of NaBH4And 20mg of potassium sodium tartrate were dissolved in 1mL of physiological saline, and CO gas was introduced for 15 minutes, followed by addition of an appropriate amount of [ alpha ], [ beta ] -potassium sodium tartrate99mTc]NaTcO4The physiological saline solution of (1), the mixture is reacted at 80 ℃ for 30 minutes, cooled to room temperature, and then the solution is acidified with 0.05mol/L HCl to pH 7-8 to give a solution99mTc][Tc(CO)3(H2O)3]+An intermediate solution;
(2)[99mTc]Tc(CO)3preparation of (E) -PSMA-11 Complex
The term "prepared in step (1)99mTc][Tc(CO)3(H2O)3]+To the solution was added 1mg of PSMA-11 (glutamic acid-urea-lysine, available from ABXGmbh, Germany, cat # 9919) (dissolved in 1ml of a 0.05M sodium acetate solution having a pH of 5), and the reaction mixture was heated at 95 ℃ for 30 minutes to give99mTc]Tc(CO)3-a PSMA-11 complex.
As shown in FIG. 7, is the product of example 7 of the present invention99mTc]Tc(CO)3And (3) a radioactive liquid chromatography analysis chart of the PSMA-11 complex, wherein the analysis result shows that a plurality of groups of peaks indicate that the product has a plurality of isomers.
The present inventors have previously attempted to use different types of technetium core TcOs3+Labeling HBED-CC does not yield ideal results, mainly because these technetium cores require 4-5 coordinating atoms to form stable complexes with ligands, whereas HBED-CC has difficulty in providing 4-5 spatially close coordinating atoms to participate in coordination without creating a large molecular tension; in addition, the use of metal reducing agents in labeling is also a limiting factor; for example, the formation of technetium-oxygen core requires the use of stannous chloride as a reducing agent, and studies have found that stannous atoms can form stable complexes with HBED-CC, which inhibits the coordination of ligands to the technetium core.
Through experiments, the inventor unexpectedly found that HBED-CC can be labeled with technetium carbonyl, which may be analyzed as follows: 1. the reducing agent used in the reaction is a non-metallic reducing agent sodium borohydride; HBED-CC has a plurality of N, O atoms capable of participating in coordination, which can form a stable complex with technetium carbonyl by only providing 2-3 coordination sites, and the larger molecular structure of HBED-CC can not generate large steric hindrance on coordination, so that higher activation energy is not needed for realizing the coordination reaction; meanwhile, because the HBED-CC has a larger molecular structure, when a targeting group (small molecule or polypeptide) is coupled with a ligand through an amido bond, the targeting group can keep a large spatial degree of freedom and is not limited by the coordination with a technetium core, so that the influence of the coordination on the affinity of a target spot is weakened.
The inventor finds that the molecular structure of HBED-CC is complex, a plurality of sites for the coordination of technetium carbonyl are arranged in the molecular structure, and the difficulty of the sites participating in the coordination is greatly influenced by factors such as the acidity and alkalinity of a reaction solution, so that the control of reaction conditions has a decisive influence on the reaction product.
And the coordination constant of metal gallium and HBED-CC is very high (38.5), and a very stable complex can be formed at normal temperature. This is the difficulty in labeling HBED-CC with technetium-99 m compared to gallium-68.
The present inventors used a model compound (L) containing HBED-CC bifunctional linker in the early stages of the experiment1) With technetium carbonylPerforming coordination, and finding that the HPLC analysis result of the product has multiple peaks, namely the product has coordination isomers; however, the properties of the drugs with different structures, such as drug efficacy, metabolism, etc., in vivo also have certain differences, which requires research one by one in the evaluation process of the radiopharmaceuticals.
The inventor selects HBED-CC derivative PSMA-11 with substituent groups for carbonyl technetium labeling, and the experimental result shows that the HPLC analysis result of the product has 4 to 5 multi-peaks. In view of the above experimental results, the present inventors have analyzed that HBED-CC has multiple sites to which technetium carbonyl can coordinate, and therefore, the product obtained by coordinating HBED-CC with technetium carbonyl is of a non-unitary structure.
In order to obtain a product with a single structure, the inventor designs and synthesizes ligands L2, L3 and L4 which are not substituted by-OH in R1 and R2, and optimizes experimental conditions: the pH value, the reaction temperature and the amount of the labeled precursor of the reaction solution are changed, and a single peak is shown in an HPLC analysis spectrogram of the final product, so that the structure of the final product is clearer, and the design requirement of the radiopharmaceutical is better met.
Claims (3)
2. a method of preparing a complex of a technetium carbonyl core-tagged bifunctional linker as defined in claim 1, comprising the steps of:
(1) preparation of N, N '-bis [ 2-hydroxy-5- (carboxyethyl) benzyl ] ethylenediamine-N, N' -diacetic acid containing substituent groups
Adding BF to methanol solution of 3- (4-hydroxyphenyl) propionic acid3·Et2O, stirring at room temperature, removing the solvent, and purifying by flash chromatography to obtain a methylated product, namely methyl 3- (4-hydroxyphenyl) propionate;
adding MgCl into 3- (4-hydroxyphenyl) methyl propionate in acetonitrile2Paraformaldehyde and triethylamine, heating and refluxing the mixture, diluting with water, acidifying with hydrochloric acid, extracting with diethyl ether, and collecting the organic layer with MgSO4Drying and filtering, concentrating the filtrate, and purifying the residue by flash chromatography to give methyl 3- (3-formyl-4-hydroxyphenyl) propionate;
adding ethylenediamine into 3- (3-formyl-4-hydroxyphenyl) methyl propionate dissolved in MeOH at room temperature, stirring overnight at 50 ℃, cooling the bis-Schiff base obtained by condensation reaction in ice bath, and adding NaBH in batches4And stirred at room temperature overnight, the mixture was extracted with ethyl acetate, and the organic layer was then extracted with MgSO4Drying, filtering, concentrating the filtrate and purifying the resulting residue by flash chromatography to give 3,3' - ((((ethane-1, 2-diylbis (azenediyl)) bis-dimethyl (methylene)) bis (4-hydroxy-3, 1-phenylene)) dipropionate;
in 3,3' - (((ethane-1, 2-diylbis (aza-N-phenyl))Diyl)) bis-dimethyl (methylene)) bis (4-hydroxy-3, 1-phenylene)) dipropionate in acetonitrile was added tert-butyl bromoacetate and Na2CO3Then the mixture is heated at 60 ℃, overnight, cooled to room temperature and filtered, the filtrate is concentrated and the residue is purified by flash chromatography to give 3,3' - (((2,2,13, 13-tetramethyl-4, 11-dioxo-3, 12-) dimethyldioxa-6, 9-diazatetetradecane-6, 9-diyl) di (methylene)) bis (4-hydroxy-3, 1-phenylene)) dipropionate;
a methanol/sodium hydroxide (1N) (1/1) solution of 3,3' - (((2,2,13, 13-tetramethyl-4, 11-dioxo-3, 12-) dimethyldioxa-6, 9-diazatetradecane-6, 9-diyl) di (methylene)) bis (4-hydroxy-3, 1-phenylene)) dipropionate was stirred at room temperature to remove the methyl group, then hydrochloric acid was added to the reaction mixture to adjust the pH to 4-5, the resulting mixture was extracted with EtOAc, and then the organic layer was extracted with MgSO 44Drying and filtering, concentrating the filtrate to obtain a residue which is purified by flash chromatography to obtain 3,3' - ((((2, 2,13, 13-tetramethyl-4, 11-dioxo-3, 12-dioxa-6, 9-diazacyclotetradecane-6, 9-diyl) di (methylene)) di (4-hydroxy-3, 1-phenylene)) dipropionate;
then, N ' -bis [ 2-hydroxy-5- (carboxyethyl) benzyl ] ethylenediamine-N, N ' -diacetic acid containing a substituent group was prepared separately from 3,3' - ((((2, 2,13,13 tetramethyl-4, 11-dioxo-3, 12-dioxa-6, 9-diazacyclotetradecane-6, 9-diyl) di (methylene)) di (4-hydroxy-3, 1-phenylene)) dipropionate;
(2)[99mTc][Tc(CO)3(H2O)3]+preparation of intermediate solutions
The reaction ratio of Na2CO3,NaBH4And sodium potassium tartrate are dissolved in the brine, CO gas is introduced, and then an appropriate amount of [ alpha ], [ alpha ] is added99mTc]NaTcO4The physiological saline solution of (1), reacting the mixture at 60 to 90 ℃, cooling to room temperature, and then acidifying the solution to pH 7 to 8 to obtain the product99mTc][Tc(CO)3(H2O)3]+An intermediate solution;
(3) preparation of carbonyl technetium nuclear labeling complex of N, N '-bis [ 2-hydroxy-5- (carboxyethyl) benzyl ] ethylenediamine-N, N' -diacetic acid containing substituent group
To the [2 ] prepared in step (2)99mTc][Tc(CO)3(H2O)3]+Respectively adding proper amount of the N, N' -bis [ 2-hydroxy-5- (carboxyethyl) benzyl group containing the substituent group prepared in the step (1) into the intermediate solution]Heating the reaction mixture to obtain N, N' -bis [ 2-hydroxy-5- (carboxyethyl) benzyl containing substituent groups]Carbonyl technetium nuclear labeling coordination compound of ethylenediamine-N, N' -diacetic acid;
the structure of the substituted group-containing N, N '-bis [ 2-hydroxy-5- (carboxyethyl) benzyl ] ethylenediamine-N, N' -diacetic acid in the step (1) is as follows:
3. A method for preparing a complex of a rhenium carbonyl core-tagged bifunctional linker as defined in claim 1, comprising the steps of:
(1) preparation of N, N '-bis [ 2-hydroxy-5- (carboxyethyl) benzyl ] ethylenediamine-N, N' -diacetic acid containing substituent groups
Adding BF to methanol solution of 3- (4-hydroxyphenyl) propionic acid3·Et2O, stirring at room temperature, removing the solvent, and purifying by flash chromatography to obtain a methylated product, namely methyl 3- (4-hydroxyphenyl) propionate;
adding MgCl into 3- (4-hydroxyphenyl) methyl propionate in acetonitrile2Paraformaldehyde and triethylamine, heating and refluxing the mixture, diluting with water, acidifying with hydrochloric acid, extracting with diethyl ether, and collecting the organic layer with MgSO4Drying and filtering, concentrating the filtrate, and purifying the residue by flash chromatography to give methyl 3- (3-formyl-4-hydroxyphenyl) propionate;
adding ethylenediamine into 3- (3-formyl-4-hydroxyphenyl) methyl propionate dissolved in MeOH at room temperature, stirring overnight at 50 ℃, cooling the bis-Schiff base obtained by condensation reaction in ice bath, and adding NaBH in batches4And stirred at room temperature overnight, the mixture was extracted with ethyl acetate, and the organic layer was then extracted with MgSO4Drying, filtering, concentrating the filtrate and purifying the resulting residue by flash chromatography to give 3,3' - ((((ethane-1, 2-diylbis (azenediyl)) bis-dimethyl (methylene)) bis (4-hydroxy-3, 1-phenylene)) dipropionate;
to a solution of 3,3' - (((ethane-1, 2-diylbis (azenediyl)) bis-dimethyl (methylene)) bis (4-hydroxy-3, 1-phenylene)) dipropionate in acetonitrile was added tert-butyl bromoacetate and Na2CO3Then the mixture is heated at 60 ℃, overnight, cooled to room temperature and filtered, the filtrate is concentrated and the residue is purified by flash chromatography to give 3,3' - (((2,2,13, 13-tetramethyl-4, 11-dioxo-3, 12-) dimethyldioxa-6, 9-diazatetetradecane-6, 9-diyl) di (methylene)) bis (4-hydroxy-3, 1-phenylene)) dipropionate;
a methanol/sodium hydroxide (1N) (1/1) solution of 3,3' - (((2,2,13, 13-tetramethyl-4, 11-dioxo-3, 12-) dimethyldioxa-6, 9-diazatetradecane-6, 9-diyl) di (methylene)) bis (4-hydroxy-3, 1-phenylene)) dipropionate was stirred at room temperature to remove the methyl group, then hydrochloric acid was added to the reaction mixture to adjust the pH to 4-5, the resulting mixture was extracted with EtOAc, and then the organic layer was extracted with MgSO 44Drying and filtering, concentrating the filtrate to obtain a residue, and purifying the residue by flash chromatography to obtain 3,3' - (((2,2,13,13 tetramethyl) 2Phenyl-4, 11-dioxo-3, 12-dioxa-6, 9-diazacyclotetradecane-6, 9-diyl) di (methylene)) bis (4-hydroxy-3, 1-phenylene)) dipropionate;
then, N ' -bis [ 2-hydroxy-5- (carboxyethyl) benzyl ] ethylenediamine-N, N ' -diacetic acid containing a substituent group was prepared separately from 3,3' - ((((2, 2,13,13 tetramethyl-4, 11-dioxo-3, 12-dioxa-6, 9-diazacyclotetradecane-6, 9-diyl) di (methylene)) di (4-hydroxy-3, 1-phenylene)) dipropionate;
(2) refluxing under water solution of rhenium pentacarbonyl bromide, and then carrying out the N, N' -bis [ 2-hydroxy-5- (carboxyethyl) benzyl group containing the substituent group prepared in the step (1)]ethylenediamine-N, N' -diacetic acid to a solution containing Re (CO)3(H2O)3In the reaction solution of the Br intermediate, the mixture was acidified to pH 4 to 6, and heated to obtain N, N' -bis [ 2-hydroxy-5- (carboxyethyl) benzyl group having a substituent group]A rhenium carbonyl core labeling complex of ethylenediamine-N, N' -diacetic acid;
the structure of the substituted group-containing N, N '-bis [ 2-hydroxy-5- (carboxyethyl) benzyl ] ethylenediamine-N, N' -diacetic acid in the step (1) is as follows:
Priority Applications (1)
| Application Number | Priority Date | Filing Date | Title |
|---|---|---|---|
| CN201811611294.6A CN109438517B (en) | 2018-12-27 | 2018-12-27 | Complex of bifunctional linking agent coordinated with carbonyl metal core and preparation method thereof |
Applications Claiming Priority (1)
| Application Number | Priority Date | Filing Date | Title |
|---|---|---|---|
| CN201811611294.6A CN109438517B (en) | 2018-12-27 | 2018-12-27 | Complex of bifunctional linking agent coordinated with carbonyl metal core and preparation method thereof |
Publications (2)
| Publication Number | Publication Date |
|---|---|
| CN109438517A CN109438517A (en) | 2019-03-08 |
| CN109438517B true CN109438517B (en) | 2021-01-08 |
Family
ID=65538283
Family Applications (1)
| Application Number | Title | Priority Date | Filing Date |
|---|---|---|---|
| CN201811611294.6A Active CN109438517B (en) | 2018-12-27 | 2018-12-27 | Complex of bifunctional linking agent coordinated with carbonyl metal core and preparation method thereof |
Country Status (1)
| Country | Link |
|---|---|
| CN (1) | CN109438517B (en) |
Families Citing this family (5)
| Publication number | Priority date | Publication date | Assignee | Title |
|---|---|---|---|---|
| CN110144471B (en) * | 2019-05-15 | 2020-10-09 | 中国原子能科学研究院 | Method for extracting technetium from nuclear fuel reprocessing waste liquid |
| CN112358422B (en) * | 2020-10-16 | 2023-06-23 | 中国辐射防护研究院 | Preparation method of novel chelating agent NBED |
| CN114436905A (en) * | 2022-01-24 | 2022-05-06 | 攀枝花学院 | The purification method of methyl 3-formyl-4-hydroxyphenylacetate |
| CN115572320B (en) * | 2022-09-09 | 2023-09-12 | 中南大学湘雅医院 | A kind of prostate cancer molecular probe and its preparation method and application |
| CN116550006B (en) * | 2023-07-07 | 2023-11-10 | 上海奥浦迈生物科技股份有限公司 | Formula, preparation method and application of chromatographic combination liquid |
Citations (6)
| Publication number | Priority date | Publication date | Assignee | Title |
|---|---|---|---|---|
| WO1995016663A1 (en) * | 1993-12-16 | 1995-06-22 | Ciba-Geigy Ag | N,n'-bis(2-hydroxybenzyl)ethylenediamine-n,n'-diacetic acid derivatives as chelating agents |
| CN101709060A (en) * | 2009-12-02 | 2010-05-19 | 北京师范大学 | F-triazole ring-polyethylene glycol-metronidazole compound and preparation method thereof |
| CN102603647A (en) * | 2012-03-22 | 2012-07-25 | 北京师范大学 | 18/19F-ester nitroimidazole compound and its preparation method and use as hypoxic tissue imaging agent |
| EP3064224A1 (en) * | 2015-03-03 | 2016-09-07 | Isotopia Molecular Imaging Ltd | Method for labeling a prostate-specific membrane antigen ligand with a radioactive isotope |
| CN107847618A (en) * | 2015-07-07 | 2018-03-27 | 五制药股份有限公司 | HBED-bisphosphonates, their radiometal conjugates and their use as theranostics |
| CN108541302A (en) * | 2015-12-31 | 2018-09-14 | 五制药股份有限公司 | Urea-based prostate-specific membrane antigen (PSMA) inhibitors for imaging and therapy |
Family Cites Families (1)
| Publication number | Priority date | Publication date | Assignee | Title |
|---|---|---|---|---|
| US10406246B2 (en) * | 2013-10-17 | 2019-09-10 | Deutsches Kresbsforschungszentrum | Double-labeled probe for molecular imaging and use thereof |
-
2018
- 2018-12-27 CN CN201811611294.6A patent/CN109438517B/en active Active
Patent Citations (6)
| Publication number | Priority date | Publication date | Assignee | Title |
|---|---|---|---|---|
| WO1995016663A1 (en) * | 1993-12-16 | 1995-06-22 | Ciba-Geigy Ag | N,n'-bis(2-hydroxybenzyl)ethylenediamine-n,n'-diacetic acid derivatives as chelating agents |
| CN101709060A (en) * | 2009-12-02 | 2010-05-19 | 北京师范大学 | F-triazole ring-polyethylene glycol-metronidazole compound and preparation method thereof |
| CN102603647A (en) * | 2012-03-22 | 2012-07-25 | 北京师范大学 | 18/19F-ester nitroimidazole compound and its preparation method and use as hypoxic tissue imaging agent |
| EP3064224A1 (en) * | 2015-03-03 | 2016-09-07 | Isotopia Molecular Imaging Ltd | Method for labeling a prostate-specific membrane antigen ligand with a radioactive isotope |
| CN107847618A (en) * | 2015-07-07 | 2018-03-27 | 五制药股份有限公司 | HBED-bisphosphonates, their radiometal conjugates and their use as theranostics |
| CN108541302A (en) * | 2015-12-31 | 2018-09-14 | 五制药股份有限公司 | Urea-based prostate-specific membrane antigen (PSMA) inhibitors for imaging and therapy |
Non-Patent Citations (2)
| Title |
|---|
| 68Ga-Chelation and comparative evaluation of N,N′-bis-[2-hydroxy-5-(carboxyethyl)benzyl]-ethylenediamine-N,N′-diacetic acid (HBED-CC) conjugated NGR and RGD peptides as tumor targeted molecular imaging probes;Drishty Satpati等,;《Med. Chem. Commun.》;20170216;全文 * |
| Monomeric and Dimeric 68Ga-Labeled Bombesin Analogues for Positron Emission Tomography (PET) Imaging of Tumors Expressing Gastrin-Releasing Peptide Receptors (GRPrs);Christos Liolios等,;《J. Med. Chem.》;20180212;第61卷;全文 * |
Also Published As
| Publication number | Publication date |
|---|---|
| CN109438517A (en) | 2019-03-08 |
Similar Documents
| Publication | Publication Date | Title |
|---|---|---|
| CN109438517B (en) | Complex of bifunctional linking agent coordinated with carbonyl metal core and preparation method thereof | |
| KR102850587B1 (en) | Prostate-specific membrane antigen-binding dual-mode radiotracer and therapeutics | |
| ES2986191T3 (en) | Radioactive drug | |
| CN115974962B (en) | FAP-targeted probe and preparation method and application thereof | |
| CN113372285B (en) | Prostate specific membrane antigen inhibitor, radionuclide marker, preparation method and application thereof | |
| US10646598B2 (en) | Cage-like bifunctional chelators, copper-64 radiopharmaceuticals and PET imaging using the same | |
| EP3212610B1 (en) | Methods for low temperature fluorine-18 radiolabeling of biomolecules | |
| CN112625065A (en) | Technetium-99 m marked FAPI (FAPI) derivative containing hydrazino nicotinamide and archaea, and preparation method and application thereof | |
| AU2023312021B2 (en) | Fap-alpha specific tumor diagnostic imaging agent | |
| CN119343151A (en) | A trifunctional compound and its use | |
| JP7541532B2 (en) | Novel radiolabeled cxcr4-targeted compounds for diagnosis and therapy - Patents.com | |
| KR20050033067A (en) | Radioactively labelled amino acid analogues, their preparation and use | |
| CN119390770B (en) | A cyclic peptide ligand and radionuclide-labeled compound targeting nectin-4 and its application | |
| JP5318874B2 (en) | Radiofluorination method | |
| EP0971748A2 (en) | Tetraaza- or n2s2- complexants, and their use in radiodiagnostics or radiotherapy | |
| EP2150514B1 (en) | 18f-labelled folates | |
| Davis et al. | Fully automated peptide radiolabeling from [18 F] fluoride | |
| Hirata et al. | Synthesis and evaluation of a multifunctional probe with a high affinity for prostate-specific membrane antigen (PSMA) and bone | |
| JP6410339B2 (en) | Radionuclide labeled octreotide derivatives | |
| WO2024021556A1 (en) | Radioactive metal complex targeting prostate specific membrane antigen and labeling ligand thereof | |
| PL239934B1 (en) | Derivatives of PSMA inhibitors for ⁹⁹ᵐTc labelling by HYNIC, radiopharmaceutical kit, radiopharmaceutical preparations and their use in the diagnosis of prostate cancer | |
| Gniazdowska et al. | Synthesis, radiochemistry and stability of the conjugates of technetium-99m complexes with Substance P | |
| Mushtaq et al. | Efficient 125 I-radiolabeling of biomolecules using a strain-promoted oxidation-controlled cyclooctyne–1, 2-quinone cycloaddition reaction | |
| RU2841304C2 (en) | Fibroblast activation protein inhibitor, modified by truncated blue evans, method for preparation and use thereof | |
| Shafira et al. | Radiosynthesis and Initial In Vitro Study of Radioiodinated-Labeled Oligo-Acidic Peptide Targeting Bone |
Legal Events
| Date | Code | Title | Description |
|---|---|---|---|
| PB01 | Publication | ||
| PB01 | Publication | ||
| SE01 | Entry into force of request for substantive examination | ||
| SE01 | Entry into force of request for substantive examination | ||
| GR01 | Patent grant | ||
| GR01 | Patent grant |





































