CN109081030B - A configuration optimization method for a mother-child shuttle-type dense storage system - Google Patents
A configuration optimization method for a mother-child shuttle-type dense storage system Download PDFInfo
- Publication number
- CN109081030B CN109081030B CN201811142944.7A CN201811142944A CN109081030B CN 109081030 B CN109081030 B CN 109081030B CN 201811142944 A CN201811142944 A CN 201811142944A CN 109081030 B CN109081030 B CN 109081030B
- Authority
- CN
- China
- Prior art keywords
- time
- warehousing
- primary
- shelf
- goods
- Prior art date
- Legal status (The legal status is an assumption and is not a legal conclusion. Google has not performed a legal analysis and makes no representation as to the accuracy of the status listed.)
- Active
Links
- 238000005457 optimization Methods 0.000 title claims abstract description 57
- 238000000034 method Methods 0.000 title claims abstract description 20
- 238000005265 energy consumption Methods 0.000 claims abstract description 19
- 238000004422 calculation algorithm Methods 0.000 claims abstract description 12
- 230000002068 genetic effect Effects 0.000 claims abstract description 9
- 239000010410 layer Substances 0.000 claims description 40
- 230000001133 acceleration Effects 0.000 claims description 7
- 239000002356 single layer Substances 0.000 claims description 7
- 238000013178 mathematical model Methods 0.000 claims description 6
- 230000006870 function Effects 0.000 claims description 4
- 230000035772 mutation Effects 0.000 claims description 4
- 230000003993 interaction Effects 0.000 claims description 2
- 238000013461 design Methods 0.000 abstract description 4
- 230000000694 effects Effects 0.000 abstract description 2
- 230000008569 process Effects 0.000 description 6
- 238000004364 calculation method Methods 0.000 description 5
- 230000008901 benefit Effects 0.000 description 4
- 210000000349 chromosome Anatomy 0.000 description 2
- 239000003814 drug Substances 0.000 description 2
- 238000005516 engineering process Methods 0.000 description 2
- 238000011160 research Methods 0.000 description 2
- 238000004088 simulation Methods 0.000 description 2
- 241000208125 Nicotiana Species 0.000 description 1
- 235000002637 Nicotiana tabacum Nutrition 0.000 description 1
- 238000004458 analytical method Methods 0.000 description 1
- 230000009286 beneficial effect Effects 0.000 description 1
- 230000002950 deficient Effects 0.000 description 1
- 238000010586 diagram Methods 0.000 description 1
- 230000005611 electricity Effects 0.000 description 1
- 230000007613 environmental effect Effects 0.000 description 1
- 238000002474 experimental method Methods 0.000 description 1
- 230000002452 interceptive effect Effects 0.000 description 1
- 230000014759 maintenance of location Effects 0.000 description 1
- RKWPZPDLTYBKCL-RVZGXXANSA-N meproscillarin Chemical compound O[C@@H]1[C@H](O)[C@@H](OC)[C@H](C)O[C@H]1O[C@@H]1C=C2CC[C@H]3[C@@]4(O)CC[C@H](C5=COC(=O)C=C5)[C@@]4(C)CC[C@@H]3[C@@]2(C)CC1 RKWPZPDLTYBKCL-RVZGXXANSA-N 0.000 description 1
- 108090000623 proteins and genes Proteins 0.000 description 1
- 230000032258 transport Effects 0.000 description 1
Images
Classifications
-
- B—PERFORMING OPERATIONS; TRANSPORTING
- B65—CONVEYING; PACKING; STORING; HANDLING THIN OR FILAMENTARY MATERIAL
- B65G—TRANSPORT OR STORAGE DEVICES, e.g. CONVEYORS FOR LOADING OR TIPPING, SHOP CONVEYOR SYSTEMS OR PNEUMATIC TUBE CONVEYORS
- B65G1/00—Storing articles, individually or in orderly arrangement, in warehouses or magazines
- B65G1/02—Storage devices
- B65G1/04—Storage devices mechanical
- B65G1/0492—Storage devices mechanical with cars adapted to travel in storage aisles
-
- B—PERFORMING OPERATIONS; TRANSPORTING
- B65—CONVEYING; PACKING; STORING; HANDLING THIN OR FILAMENTARY MATERIAL
- B65G—TRANSPORT OR STORAGE DEVICES, e.g. CONVEYORS FOR LOADING OR TIPPING, SHOP CONVEYOR SYSTEMS OR PNEUMATIC TUBE CONVEYORS
- B65G43/00—Control devices, e.g. for safety, warning or fault-correcting
Landscapes
- Engineering & Computer Science (AREA)
- Mechanical Engineering (AREA)
- Warehouses Or Storage Devices (AREA)
Abstract
The invention discloses a configuration optimization method of a primary-secondary shuttle type intensive warehousing system, which aims at the shortest throughput time, the minimum system energy consumption and the minimum warehousing cost of the warehousing system, adopts a non-dominated sorting genetic algorithm with an elite strategy to carry out multi-objective optimization, seeks an optimal warehousing system configuration scheme, provides an early decision basis for enterprise personnel to plan a warehouse, ensures that each operation in warehousing activities is carried out efficiently and coordinately, reduces the risk of the primary-secondary shuttle type intensive warehousing system caused by improper planning design, and has great practical application significance.
Description
Technical Field
The invention belongs to the field of storage system configuration optimization, and particularly relates to a method for optimizing configuration of a primary and secondary shuttle type intensive storage system.
Background
With the continuous increase of the demand of the current enterprises for intensive and informatization warehouse logistics distribution, the application of the automatic stereoscopic warehouse is more and more extensive. The automatic and intelligent intensive storage technology is becoming the mainstream trend of the goods shelf industry, and the shuttle vehicle and the intensive goods shelf system are matched to operate, so that a new efficient logistics solution is formed, and the technology is widely applied to enterprises. In order to further improve the operation efficiency, a shuttling-Carrier type dense Warehousing System (SCWS) is adopted. The system has the advantages of high running speed, high positioning precision, large storage capacity and strong expandability, and has wide application in the industries of tobacco, medicine, cold-chain logistics and the like. Based on the advantages of the primary and secondary shuttle type intensive warehousing system, the research on how to carry out effective configuration planning on the system is carried out so as to reduce the investment cost of enterprises and the energy consumption of equipment, thereby improving the economic benefit and social environmental benefit of warehousing and having important practical significance and application value.
Most of the related researchers are involved in the layout of the warehousing facilities, the configuration of the shelves or the optimization of the number of the devices in one way when the related researchers plan the warehousing system in an early stage. Because the physical layout and the equipment device of the storage system are relatively lack of flexibility, and meanwhile, the higher the operating efficiency of the storage system is, the higher the equipment wear rate is correspondingly, therefore, it is necessary to balance the factors such as efficiency, cost and energy consumption in the initial planning stage of the storage system, and carry out comprehensive and reasonable configuration on the storage shelf and the equipment specification, but the research in the aspect is relatively deficient at present.
Disclosure of Invention
The invention aims to provide a configuration optimization method of a primary and secondary shuttle type dense warehousing system.
In order to achieve the purpose, the invention adopts the following technical scheme:
1) determining a plurality of optimization targets and decision variables related to configuration optimization of the warehousing system, wherein the decision variables are parameters related to the configuration of the warehousing system;
2) establishing a mathematical model of each optimization target determined in the step 1) according to a warehousing operation mode and a decision variable;
3) solving the decision variables by using a multi-objective optimization method according to the mathematical model established in the step 2), and optimizing the configuration of the warehousing system according to the solution result.
Preferably, the optimization objective is selected from the group consisting of throughput time, energy consumption and cost of the warehousing system.
Preferably, the decision variables are selected from the storage capacity of the storage system and the running parameters of the primary and secondary shuttles (specifically, the number of the layers M, the number of the columns C, the number of the rows A, the number of the racks N and the acceleration a of the lifter are included in the decision variablesyMaximum speed v of the elevatoryAcceleration a of the parent vehiclexMaximum speed v of parent carxAnd the maximum speed v of the sub-vehiclez)。
Preferably, the step 2) specifically comprises the following steps: converting the configuration optimization problem of the warehousing system related to the multiple optimization targets into a Pareto-based multi-target optimization problem; the Pareto-based multi-objective optimization problem is expressed as follows:
minf(X)=min{f1(X),f2(X),f3(X)}
wherein f is1(X)、f2(X) and f3(X) are the objective functions of the average throughput time of the warehousing system, the energy consumption of the warehousing system and the warehousing cost, QminFor minimum storage capacity requirement, Q (X) is storage capacity, Xl、XuAre decision variables X respectivelyLower bound, upper bound.
Preferably, said f1(X)、f2(X)、f3(X) is represented by:
f2(X)=P·N·Tshift·nwd·nweeks·ηSCWS
f3(X)=ISL+ISR+TP·(ISA+IEC)
wherein, E (DCC)SCWSRepresenting the expected travel time of the unit shelf system, k representing the transaction times, and N representing the number of shelves; p is the total power of the elevator and the primary and secondary shuttle vehicles in the unit shelf system, TshiftFor the working time of the unit shelf system per day, nwdFor the warehousing system working days per week, nweeksFor the storage system working cycle per year, etaSCWSThe efficiency of the warehousing system; i isSLFor investment costs of access equipment, ISRFor shelf investment costs, ISARent costs for shelf occupation, IECFor cost of energy consumption, TPThe expected service life of the warehousing system.
Preferably, the expected travel time of the unit shelf system E (DCC)SCWSThe maximum value of the expected travel time of the elevator and the expected travel time of the single-layer primary-secondary shuttle car of the shelf, the expected travel time E (DCC) of the elevatorliftCalculating according to the running time from the I/O station to the I/O point of the warehousing layer, from the I/O point of the ex-warehouse layer to the I/O station and from the I/O point of the warehousing layer and the ex-warehouse layer, the interaction time of the elevator and the primary and secondary shuttle cars and the positioning time of the elevator; shelf single-layer primary and secondary shuttle expected travel time according to the primary and secondary shuttle expected travel time E (DCC)shuttleAnd the number M of shelf layers is calculated to obtain the expected travel time E (DCC) of the primary and secondary shuttle vehiclesshuttleAccording to the driving time from the corresponding row opening of the warehousing goods position to the layer I/O point, the driving time from the corresponding row opening of the delivery goods position to the layer I/O point and the driving time from the corresponding row opening of the warehousing goods position to the delivery goods positionAnd calculating the running time of the corresponding row opening of the warehouse goods position, the round trip time from the entry of the sub vehicle to the corresponding row opening, the time of loading and unloading the sub vehicle by the main vehicle, the time of loading and unloading the goods by the sub vehicle, the positioning time of the main vehicle and the positioning time of the sub vehicle.
Preferably, the step 3) specifically comprises the following steps: solving the Pareto-based multi-objective optimization problem by adopting a non-dominated sorting genetic algorithm with an elite strategy to obtain a Pareto optimal solution set.
Preferably, in the non-dominated sorting genetic algorithm with the elite strategy, the cross probability is 0.7-0.9, and the mutation probability is 0.1-0.2.
The invention has the beneficial effects that:
the invention establishes a multi-objective optimization mathematical model aiming at the configuration optimization of the primary and secondary shuttle type intensive warehousing systems, provides an early decision basis for enterprise personnel when planning the warehousing system by solving and seeking an optimal warehousing system configuration scheme set, ensures that various operations in warehousing activities are carried out efficiently and coordinately, reduces the risk of the primary and secondary shuttle type intensive warehousing systems caused by improper planning and design, and has greater practical application significance.
Furthermore, the method is guided by practical problems, finally establishes three corresponding targets of throughput capacity, energy consumption and cost of the warehousing system, establishes a specific expression form of an objective function, and combines selected decision variables to obtain an effective mathematical model, so that an optimization result of the configuration of the warehousing system can be obtained through the solution of a Pareto-based multi-objective optimization problem.
Furthermore, the invention adopts the non-dominated sorting genetic algorithm with the elite strategy to carry out multi-objective optimization, the non-inferior optimal solution of the algorithm is uniformly distributed, a plurality of different equivalent solutions are allowed to exist, the complexity of the solution is reduced, and the superiority of the solution is ensured.
Furthermore, the Pareto solution sets are wide in distribution range and uniform in distribution through optimization (cross probability and variation probability) of algorithm parameters.
Drawings
FIG. 1 is a model diagram of a shuttle-type bulk storage system (unit shelf);
in fig. 1: the system comprises a vertical elevator 1, a mother vehicle 2, a child vehicle 3, goods 4, a goods shelf row 5, a transverse rail 6, a lifting platform 7, a layer I/O point 8 and an I/O platform 9.
FIG. 2 is a Pareto frontier plot of a configuration optimization problem.
Detailed Description
The present invention will be described in detail below with reference to the accompanying drawings and examples.
The invention provides a configuration optimization method of a primary and secondary shuttle type dense warehousing system, which comprises the following specific steps of:
1.1 analyzing and researching the secondary shuttle type intensive warehousing system, and determining decision variables and optimizing targets.
Referring to fig. 1, the primary and secondary shuttle-type dense warehousing system is converted into a model under an xyz coordinate system, the primary and secondary shuttle-type dense warehousing system comprises a plurality of unit shelves capable of simultaneously performing warehouse entry/exit operations, and the unit shelf system formed based on the unit shelves comprises a plurality of layers of shelves (each layer of shelf can be divided into a plurality of shelf rows 5), a vertical elevator 1, a primary and secondary shuttle vehicle (comprising a primary vehicle 2 and a secondary vehicle 3), goods 4, a transverse rail 6, a lifting platform 7, a layer of I/O points 8 and an I/O platform 9. The I/O platform 9 is taken as an original point (O), the elevator drives the lifting platform 7 to move vertically in the Y-axis direction (namely layers with different shelves can be achieved), the primary vehicle 2 conveys the secondary vehicle 3 and the goods 4 in the X-axis direction along the transverse rail 6 (namely different shelf rows can be achieved), and the secondary vehicle 3 conveys the goods 4 in the Z-axis direction (namely rows with different shelves can be achieved).
Specific warehousing, ex-warehouse, and picking operations may be described as:
(1) warehousing operation: the vertical lift 1 transports the goods to be stored to the corresponding layer I/O position (namely, layer I/O point 8), the layer parent vehicle 2 carries the goods to be stored and then transfers the goods 4 to the row mouth of the shelf corresponding to the shelf row 5 through the transverse track 6, then the parent vehicle 2 releases the child vehicle 3, and after the goods to be stored are transported to the corresponding goods position (namely, the goods grid at the intersection position of the shelf row and the shelf corresponding row), the parent vehicle 2 carries the child vehicle 3 again to return to the layer I/O point.
(2) And (4) ex-warehouse operation: the primary and secondary shuttle vehicles on the layer where the goods are delivered out of the warehouse are moved to the row openings of the goods shelf rows 5, after the secondary vehicles 3 finish taking the goods, the secondary vehicles 3 carrying the goods 4 are conveyed to the layer I/O points 8 by the primary vehicles 2, the goods are conveyed to the I/O platform 9 through the connection of the vertical elevator 1, and finally the goods are loaded and the like.
In addition, in order to ensure the efficient operation of the warehousing system, a Double Command Cycle (DCC for short) mode can be adopted for warehousing operation, that is, the vertical lift 1 and the primary and secondary shuttle cars can cooperate to complete warehousing operation of one cargo and ex-warehouse operation of another cargo in one operation.
The invention takes the shortest average throughput time, the minimum energy consumption and the minimum storage cost of the storage system as the targets of the configuration optimization of the storage system, and takes the number of layers M, the number of columns C, the number of rows A, the number of units N of the storage racks in the storage system and the acceleration a of the lifteryMaximum speed v of the elevatoryAcceleration a of the parent vehiclexMaximum speed v of parent carxAnd the maximum speed v of the sub-vehiclezAnd configuring optimized decision variables for the warehousing system.
1.2 establishing average throughput time model of warehousing system
The average throughput time of the warehousing system comprises the running time of the vertical lift and the running time of the operation of the primary and secondary shuttle vehicles. Under the DCC mode, after the vertical lift 1 in the unit shelf finishes the warehousing task of a cargo, the lifting platform can go to the next cargo space layer to be warehoused for warehouse-out operation without returning to the I/O platform 9. Similarly, after the primary and secondary shuttle vehicles finish the warehousing operation of the goods, the primary and secondary shuttle vehicles do not need to return to the layer I/O point again, and can continue to go to the goods column to be ex-warehoused for ex-warehouse operation.
Defining: e (DCC)liftFor the expected travel time of the elevator, E (DCC)shuttleExpected travel time for Primary and Secondary shuttle, E (DCC)SCWSIs the expected travel time of the unit shelf system.
(1) Expected travel time model of elevator
When the elevator executes the warehouse-in/warehouse-out operation in the DCC mode, the DCC mode comprises two one-way driving time and two target driving time of the elevator, namely the driving time from an I/O platform to a warehouse-in layer I/O point, from the warehouse-out layer I/O point to the I/O platform and from the warehouse-in layer I/O point to the warehouse-out layer I/O point, and meanwhile, the interactive time and 3 positioning time for loading or releasing goods by 4 elevators are also used. According to the above time, the following results are obtained:
where H is the shelf height (H × M in the Y-axis direction, H is the shelf height), and t is the shelf heightsrInteraction time, t, for loading or releasing goods for a liftsfTime is located for the elevator.
(2) Expected travel time model of primary and secondary shuttle vehicles
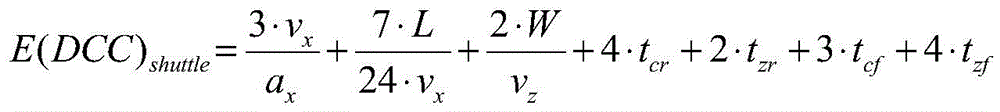
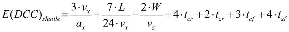
When the primary and secondary shuttle vehicles carry out the warehouse-in/warehouse-out operation in the DCC mode, the method comprises two one-way running time of the primary vehicle (running time from a corresponding row port of a warehouse goods position to a layer I/O point, and running time from a corresponding row port of a warehouse goods position to the layer I/O point), two-target running time (running time from a corresponding row port of the warehouse goods position to a corresponding row port of a warehouse goods position) and four one-way running time of the secondary vehicle (running time from the corresponding row port of the warehouse goods position to the corresponding row port), and meanwhile, 4 primary vehicle loading (unloading) time, 2 secondary vehicle loading (unloading) time, 3 primary vehicle positioning time and 4 secondary vehicle positioning time are experienced. According to the above time, the following results are obtained:
wherein, tcrTime of loading (unloading) the child car for the mother car, tzrTime of loading (unloading) goods for sub-vehicle, tcfFor the parent car positioning time, tzfFor the sub-vehicle positioning time, L is the shelf length (L × C along the X-axis, L is the shelf length), and W is the shelf width (W × a along the Z-axis, W is the shelf width).
Because the primary and secondary shuttle type intensive storage system is usually completed by the cooperation of the lifter and the primary and secondary shuttle when the primary and secondary shuttle type intensive storage system carries out the warehouse-in/warehouse-out operation, the expected travel time E (DCC) of the whole unit shelf systemSCWSThe maximum value of the expected travel time of the elevator and the single-layer primary-secondary shuttle cars is obtained, and the unit shelf comprises one elevator and M sets of primary-secondary shuttle cars, so that the primary-secondary shuttle cars on each layer of the shelf can operate simultaneously, and the expected travel time of the single-layer primary-secondary shuttle cars needs to be averaged. Namely:
where M represents the number of layers of the unit shelf.
In summary, the average throughput time TR of the whole warehousing systemSCWS(s) is as follows:
where k represents the number of transactions, k is 2 in the double command cycle, and N represents the number of unit shelves.
1.3 establishing storage System energy consumption model
In the primary and secondary shuttle type intensive storage system, the energy consumption of the storage system mainly comprises the motion energy consumption of the lifter, the primary vehicle and the secondary vehicle. Annual power consumption EC of whole primary-secondary shuttle type dense warehousing systemSCWS(kw · h/year) is as follows:
ECSCWS=P·N·Tshift·nwd·nweeks·ηSCWS
wherein P is the total power of the lifter and the primary and secondary shuttle vehicles in the unit shelf system, TshiftFor the working time (h), n) of the unit shelf system per daywdFor the warehousing system working days per week, nweeksFor the storage system working cycle (week) per yearSCWSThe efficiency of the warehousing system.
Because the running process of the elevator in the Y-axis direction and the running process of the primary vehicle in the X-axis direction both comprise an acceleration process, a uniform speed process and a deceleration-to-stop process, and the secondary vehicle runs at a uniform speed all the time in the Z-axis direction, the power of the elevator and the primary vehicle during acceleration, deceleration and uniform speed needs to be considered, and the power of the secondary vehicle during uniform speed motion only needs to be considered. The calculation method of P is as follows:
P=(Px+Pz)·M+Py
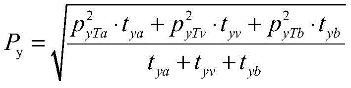
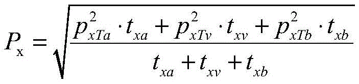
wherein M represents the number of layers of the unit shelf, Px、Py、PzRespectively representing the power of a mother vehicle, an elevator and a child vehicle which move in the X-axis direction, the Y-axis direction and the Z-axis direction, and the calculation method comprises the following steps:
wherein, PxTa、PyTaRepresenting the maximum power, t, of the parent car, elevator, in accelerated motionxa、tyaIndicating the time, P, at which the parent car, lift, accelerates to maximum speedxTv、PyTvIndicating the power t of the parent car and the elevator in uniform motionxv、tyvIndicates the time P of the uniform motion of the parent car and the elevatorxTb、PyTbRepresents the maximum power t of the parent car and the elevator in the process of deceleration movementxb、tybIndicating the time from deceleration of the parent car, lift to stop movement, FzTvAs tractive effort of the sub-vehicle, vzRepresenting the running speed (i.e. maximum speed), eta of the sub-vehiclez_shuttleIndicating the efficiency of the sub-vehicle.
1.4 establishing a warehousing cost model
The warehousing cost of the primary and secondary shuttle type intensive warehousing system mainly comprises four aspects of investment cost of storing and taking equipment, investment cost of goods shelves, rent cost of occupied land of the goods shelves and energy consumption cost.
Warehousing cost TC of whole primary-secondary shuttle type intensive warehousing systemSCWSAs follows:
TCSCWS=ISL+ISR+TP·(ISA+IEC)
in the formula ISLDenotes the investment cost of the access facility, ISRIndicating shelf investment cost, ISAIndicating shelf floor rent cost, IECRepresents the cost of energy consumption, TPThe expected service life of the primary and secondary shuttle type dense warehousing system is shown. And the cost calculation method is as follows:
ISL=(Clift+M·Cshuttle)·N
ISR=CSR·M·C·A·N
ISA=CSA·L·W·N
IEC=CEC·ECSCWS
wherein, CliftRepresenting the cost of one lift, CshuttleRepresents the cost of a set of primary and secondary shuttles, CSRRepresenting the cost of a single cargo space, CSARepresenting land rental costs per square meter area, CECRepresents the cost, EC, of industrial electricity per degree of electricitySCWSAnd the annual power consumption of the whole primary and secondary shuttle type dense warehousing system is represented.
1.5 converting the configuration optimization model into a Pareto-based multi-objective optimization problem
The configuration optimization of the primary-secondary shuttle type intensive warehousing system relates to average throughput time optimization, energy consumption optimization and warehousing cost optimization, so that the configuration optimization problem of the warehousing system is converted into a Pareto-based multi-objective optimization problem. The purpose of solving the multi-objective optimization problem is to solve a Pareto optimal solution set, provide the Pareto optimal solution set for a decision maker, and determine a final solution according to needs and requirements by the decision maker. The multi-objective optimization problem can be described in a mathematical language as:
minf(X)=min{f1(X),f2(X),f3(X)}
wherein f is1(X)、f2(X)、f3And (X) is an objective function of the average throughput time of the warehousing system, the energy consumption of the warehousing system and the warehousing cost respectively. Introducing a minimum storage capacity QminEnsure reasonable warehouse capacity Q (X), Q (X) are calculated (M, C, A, all take the minimum value) according to decision variables, and each decision variable X should not exceed its design space boundary value, Xu、XlRespectively an upper and a lower bound. M, C, A, N, vx,vy,ax,ay,vzThe representative decision variables in the optimization of the warehousing system configuration (related to the hardware configuration and equipment operation parameter conditions of the warehousing system) are respectively: number of layers M, number of columns C, number of rows A, number of unit shelves N, acceleration a of elevatoryMaximum speed v of the elevatoryAcceleration a of the parent vehiclexMaximum speed v of parent carxAnd the maximum speed v of the sub-vehiclez。
The Pareto-based multi-objective optimization problem is solved by adopting a non-dominated sorting genetic algorithm (NSGA-II) with an elite strategy. The specific steps are as follows, the maximum iteration number Gen is 200:
(1) encoding
And coding the configuration planning scheme by adopting a mixed integer coding mode. A complete deployment plan is considered as a chromosome, whose individual constitution is (M, C, A, N, v)x,vy,ax,ay,vz) All genes on each chromosome correspond to one possible deployment scenario.
(2) Initializing a population
Random generation of an initial parent population P in MATLAB0(population n is 100).And non-dominated sorting is performed on the population, so that each individual is given a rank, i.e., each solution (individual) is assigned a fitness value corresponding to the non-dominated level (1 is the optimal level).
(3) Generating a progeny population
Optimizing the initial population by adopting selection, crossing and mutation operations in a basic genetic algorithm, wherein the crossing probability Pc is 0.9, the mutation probability Pm is 0.1, and obtaining a new filial generation population Q with the population size n0。
(4) Non-dominant ordering
Merging parent and offspring into new population Rt=Pt∪Qt( t 0,1, …), for RtPerforming non-dominant sorting to obtain a non-dominant solution set Z in sequence1,Z2,…,Zi,…。
(5) Congestion distance ranking
Set the non-dominant solution ZiSorting according to the crowding distance, selecting the first n individuals with the highest crowding distance to form a new parent population Pt+1This step is the elite retention strategy. And sorting the winning individuals in the population according to the crowding distance to enter the next operation.
(6) Population optimization
For new generation father group Pt+1Performing selection, crossing and variation operations (same parameter setting in step 3) to optimize the population to obtain a new filial generation population Qt+1。
(7) Termination conditions
If the iteration times are equal to the maximum iteration times Gen, outputting a result, and ending; otherwise, returning to the step (4).
Simulation example
In order to carry out example analysis of different configuration combination schemes on the configuration optimization problem of the primary and secondary shuttle type intensive warehousing systems, the invention designs corresponding scenes according to equipment parameters of the primary and secondary shuttle type intensive warehousing systems provided by a certain warehousing equipment company and actual operation data provided by a certain medicine logistics distribution center, and uses MATLAB to carry out numerical experiments and simulation. The minimum storage capacity requirement (i.e. l × w × h) of the primary and secondary shuttle type dense warehouse and the constraints and parameter values of the relevant conditions such as the motion parameters of the access equipment are shown in tables 1 and 2.
And (4) according to the NSGA-II algorithm step, using MATLAB R2016b software to solve the established primary and secondary shuttle type intensive warehouse configuration optimization model. After 200 iterations, a Pareto frontier of the configuration optimization problem is obtained. Referring to fig. 2, the Pareto front approximates to a smooth curve, and the solution sets are distributed widely and uniformly, so that each solution set on the Pareto front is a Pareto optimal solution set.
And obtaining 100 Pareto optimal solution sets through calculation results, wherein each solution set is an alternative configuration planning scheme, and the scheme is shown in a table 3. Enterprises can refer to the calculation results and select different configuration schemes according to self needs (different emphasis on three optimization targets of throughput capacity, energy consumption and cost).
TABLE 1 storage capacity and operating requirements
TABLE 2 storage Specifications and Equipment operational parameters
P in (1)xTa、PxTv、PxTbThe sum of the tractive effort F and the efficiency eta (e.g. of) Calculating F ═ G · k, G ═ m + load weight · G, Py、PzSimilarly. Calculating the riseK is k when loweringirK is calculated when the child car and the mother car are drivenr。
TABLE 3 optimal solution set for configuration planning scheme
Claims (3)
1. A configuration optimization method for a primary and secondary shuttle type dense warehousing system is characterized by comprising the following steps: the method comprises the following steps:
1) determining a plurality of optimization targets and decision variables related to configuration optimization of the warehousing system, wherein the decision variables are parameters related to the configuration of the warehousing system;
2) establishing a mathematical model of each optimization target determined in the step 1) according to a warehousing operation mode and a decision variable;
3) solving the decision variables by using a multi-objective optimization method according to the mathematical model established in the step 2), and optimizing the configuration of the warehousing system according to the solution result;
the optimization objective is selected from the group consisting of throughput time, energy consumption, and cost of the warehousing system;
the decision variables are selected from the storage capacity of the storage system and the running parameters of the primary and secondary shuttle vehicles;
the step 2) specifically comprises the following steps: converting the configuration optimization problem of the warehousing system related to the multiple optimization targets into a Pareto-based multi-target optimization problem; the Pareto-based multi-objective optimization problem is expressed as follows:
minf(X)=min{f1(X),f2(X),f3(X)}
wherein f is1(X)、f2(X) and f3(X) are the objective functions of the average throughput time of the warehousing system, the energy consumption of the warehousing system and the warehousing cost, QminFor minimum storage capacity requirement, Q (X) is storage capacity, Xl、XuRespectively a lower bound and an upper bound of a decision variable X, M is the number of layers of the goods shelf, C is the number of columns of the goods shelf, A is the number of rows of the goods shelf, N is the number of the goods shelf, ayIs the acceleration of the elevator, vyIs the maximum speed of the elevator, axIs the acceleration of the parent car, vxIs the maximum speed, v, of the parent carzThe maximum speed of the sub-vehicle;
the step 3) specifically comprises the following steps: solving a Pareto-based multi-objective optimization problem by adopting a non-dominated sorting genetic algorithm with an elite strategy to obtain a Pareto optimal solution set; for new generation father group Pt+1Performing selection, crossing and variation operations of the basic genetic algorithm to perform population optimization to obtain a new filial generation population Qt+1;
F is1(X)、f2(X)、f3(X) is represented by:
f2(X)=P·N·Tshift·nwd·nweeks·ηSCWS
f3(X)=ISL+ISR+TP·(ISA+IEC)
wherein, E (DCC)SCWSRepresents the expected travel time of the unit shelf system, and k representsThe transaction times are N, and the number of the goods shelves is represented; p is the total power of the elevator and the primary and secondary shuttle vehicles in the unit shelf system, TshiftFor the working time of the unit shelf system per day, nwdFor the warehousing system working days per week, nweeksFor the storage system working cycle per year, etaSCWSThe efficiency of the warehousing system; i isSLFor investment costs of access equipment, ISRFor shelf investment costs, ISARent costs for shelf occupation, IECFor cost of energy consumption, TPThe expected service life of the warehousing system;
expected travel time of the unit shelf system E (DCC)SCWSThe maximum value of the expected travel time of the elevator and the expected travel time of the single-layer primary-secondary shuttle vehicle of the goods shelf is as follows:
E(DCC)shuttleexpected travel time for Primary and Secondary shuttle, E (DCC)liftIs the expected travel time of the elevator; h is the shelf height, tsrInteraction time, t, for loading or releasing goods for a liftsfPositioning time for the elevator; t is tcrTime of loading/unloading the child car to/from the parent car, tzrFor the sub-truck loading/unloading time, tcfFor the parent car positioning time, tzfThe positioning time of the sub-vehicle is determined, L is the length of the goods shelf, and W is the width of the goods shelf.
2. The method for optimizing the configuration of a primary and secondary shuttle-type dense warehousing system as claimed in claim 1, wherein: what is needed isExpected travel time of the Unit shelf System E (DCC)SCWSThe maximum value of the expected travel time of the elevator and the expected travel time of the single-layer primary-secondary shuttle car of the shelf, the expected travel time E (DCC) of the elevatorliftCalculating according to the running time from the I/O station to the I/O point of the warehousing layer, from the I/O point of the ex-warehouse layer to the I/O station and from the I/O point of the warehousing layer and the ex-warehouse layer, the interaction time of the elevator and the primary and secondary shuttle cars and the positioning time of the elevator; shelf single-layer primary and secondary shuttle expected travel time according to the primary and secondary shuttle expected travel time E (DCC)shuttleAnd the number M of shelf layers is calculated to obtain the expected travel time E (DCC) of the primary and secondary shuttle vehiclesshuttleAnd calculating according to the driving time from the corresponding row port of the warehousing goods position to the layer I/O point, the driving time from the corresponding row port of the ex-warehouse goods position to the layer I/O point, the driving time from the corresponding row port of the warehousing goods position to the corresponding row port of the ex-warehouse goods position, the driving time from the corresponding row port of the child car to the corresponding row port, the round trip time from the entry goods position of the child car to the corresponding row port, the time for loading and unloading the child car by the parent car, the time for loading and unloading the goods by the child car, the positioning time of the parent car and the.
3. The method for optimizing the configuration of a primary and secondary shuttle-type dense warehousing system as claimed in claim 1, wherein: in the non-dominated sorting genetic algorithm with the elite strategy, the cross probability is 0.7-0.9, and the mutation probability is 0.1-0.2.
Priority Applications (1)
| Application Number | Priority Date | Filing Date | Title |
|---|---|---|---|
| CN201811142944.7A CN109081030B (en) | 2018-09-28 | 2018-09-28 | A configuration optimization method for a mother-child shuttle-type dense storage system |
Applications Claiming Priority (1)
| Application Number | Priority Date | Filing Date | Title |
|---|---|---|---|
| CN201811142944.7A CN109081030B (en) | 2018-09-28 | 2018-09-28 | A configuration optimization method for a mother-child shuttle-type dense storage system |
Publications (2)
| Publication Number | Publication Date |
|---|---|
| CN109081030A CN109081030A (en) | 2018-12-25 |
| CN109081030B true CN109081030B (en) | 2021-04-13 |
Family
ID=64842767
Family Applications (1)
| Application Number | Title | Priority Date | Filing Date |
|---|---|---|---|
| CN201811142944.7A Active CN109081030B (en) | 2018-09-28 | 2018-09-28 | A configuration optimization method for a mother-child shuttle-type dense storage system |
Country Status (1)
| Country | Link |
|---|---|
| CN (1) | CN109081030B (en) |
Families Citing this family (10)
| Publication number | Priority date | Publication date | Assignee | Title |
|---|---|---|---|---|
| CN109677830B (en) * | 2019-02-28 | 2021-04-16 | 陕西科技大学 | A resource allocation optimization method for a four-way shuttle-type dense storage system |
| CN111115076A (en) * | 2019-12-10 | 2020-05-08 | 浙江工业大学 | Composite operation three-dimensional path planning method for dense warehousing system of primary and secondary shuttle vehicles |
| CN111539118B (en) * | 2020-04-29 | 2023-04-25 | 昆船智能技术股份有限公司 | Simulation calculation method and computer program product of a circular shuttle vehicle system |
| CN111709565B (en) * | 2020-06-08 | 2024-06-14 | 山东大学深圳研究院 | Energy efficiency optimization method and system based on multi-layer shuttle system |
| CN112478553A (en) * | 2020-12-11 | 2021-03-12 | 陕西科技大学 | Compact robot automatic storing and taking system cargo box closing method |
| CN113312811A (en) * | 2021-05-10 | 2021-08-27 | 陕西科技大学 | Configuration method of compact storage and retrieval system of robot |
| CN113978992B (en) * | 2021-11-17 | 2023-09-19 | 江苏智库智能科技有限公司 | Ultrahigh-density storage system and storage method |
| CN119761968B (en) * | 2024-12-12 | 2025-10-21 | 华中科技大学 | A method for collaborative planning of warehouse replenishment and storage space |
| CN120087892A (en) * | 2025-05-08 | 2025-06-03 | 浙江理工大学 | A configuration optimization method for a cross-level and cross-aisle shuttle storage system |
| CN120440495B (en) * | 2025-07-14 | 2025-10-28 | 浙江立镖机器人有限公司 | Three-dimensional sorting method and system |
Family Cites Families (8)
| Publication number | Priority date | Publication date | Assignee | Title |
|---|---|---|---|---|
| CN103955818B (en) * | 2014-05-27 | 2018-02-02 | 山东大学 | The method for scheduling task of Multilayer shuttle car automated storage and retrieval system |
| DE102014112994A1 (en) * | 2014-09-09 | 2016-03-10 | Ludwig Brandmüller | order picking |
| KR101933522B1 (en) * | 2016-02-29 | 2018-12-31 | 주식회사 씨엘 | Shuttle bus arrival indicating and service route optimizing method |
| CN105858043B (en) * | 2016-05-27 | 2017-12-05 | 陕西科技大学 | The warehousing system Optimization Scheduling that a kind of lift is combined with shuttle |
| CN105858044B (en) * | 2016-05-27 | 2017-12-05 | 陕西科技大学 | The warehousing system Optimization Scheduling that a kind of shuttle is combined with lift |
| EP4044083B1 (en) * | 2017-02-24 | 2023-09-13 | Walmart Apollo, Llc | Inventory management system and method |
| CN107416400B (en) * | 2017-07-04 | 2018-03-23 | 山东大学 | Model and its optimization method based on the intensive automatic storage system of cross-layer shuttle |
| CN108357848B (en) * | 2018-03-15 | 2018-11-30 | 山东大学 | Modeling optimization method based on Multilayer shuttle car automated storage and retrieval system |
-
2018
- 2018-09-28 CN CN201811142944.7A patent/CN109081030B/en active Active
Also Published As
| Publication number | Publication date |
|---|---|
| CN109081030A (en) | 2018-12-25 |
Similar Documents
| Publication | Publication Date | Title |
|---|---|---|
| CN109081030B (en) | A configuration optimization method for a mother-child shuttle-type dense storage system | |
| Azadeh et al. | Robotized warehouse systems: Developments and research opportunities | |
| CN105836356B (en) | A kind of intensive warehousing system hybrid optimization dispatching method | |
| CN109677830B (en) | A resource allocation optimization method for a four-way shuttle-type dense storage system | |
| CN110909930B (en) | Goods position distribution method of mobile goods shelf storage system for refrigeration house | |
| CN109230142B (en) | Scheduling path optimization method for composite operation of dense storage system | |
| CN111626516B (en) | Order Sequencing Optimization Method for Double-deep Four-way Shuttle System Considering Reversal Strategy | |
| CN103559396B (en) | Based on the automatic dispensary stock's allocation optimization method improving chaos particle cluster algorithm | |
| JP7532637B2 (en) | CONTROLLER AND METHOD FOR A TRANSPORT DEVICE - Patent application | |
| CN105858044B (en) | The warehousing system Optimization Scheduling that a kind of shuttle is combined with lift | |
| CN109345017A (en) | An optimization method for material distribution in workshop considering packing constraints | |
| CN113222410B (en) | A method for establishing a cargo space allocation model in a two-way layout mode | |
| CN107578119A (en) | A Global Optimization Method for Resource Allocation in Intelligent Scheduling System | |
| CN107480922A (en) | Both ends formula is unloaded goods bit allocation scheduling model method for building up with the double car operational modes of rail | |
| CN105858043B (en) | The warehousing system Optimization Scheduling that a kind of lift is combined with shuttle | |
| CN117875189B (en) | Three-dimensional warehouse space layout method based on GA optimization GRO | |
| CN116957249A (en) | Multi-task scheduling method for three-dimensional warehouse stacker based on improved NSGA-II algorithm | |
| CN118723389B (en) | A four-way shuttle warehousing system logistics equipment configuration method, system and equipment | |
| CN116596440A (en) | An intelligent scheduling method for inbound and outbound warehouses in an automated three-dimensional warehouse | |
| Lin et al. | A model and a task scheduling method for double-deep tier-captive SBS/RS with alternative elevator-patterns | |
| CN118134010A (en) | Goods space distribution optimization method of flexible automatic warehouse | |
| Hani et al. | Simulation based optimization of a train maintenance facility | |
| CN118655841A (en) | A discrete flexible layout workshop production scheduling and mobile robot dispatching method | |
| CN118014160A (en) | Multi-SM/RGV scheduling optimization method, equipment, medium and product for high-bay warehouse | |
| CN113312811A (en) | Configuration method of compact storage and retrieval system of robot |
Legal Events
| Date | Code | Title | Description |
|---|---|---|---|
| PB01 | Publication | ||
| PB01 | Publication | ||
| SE01 | Entry into force of request for substantive examination | ||
| SE01 | Entry into force of request for substantive examination | ||
| GR01 | Patent grant | ||
| GR01 | Patent grant | ||
| TR01 | Transfer of patent right |
Effective date of registration: 20241008 Address after: 201108 No. 505, Shen Nan Road, Xhenzhuang Industrial Zone, Shanghai, Minhang District Patentee after: Shanghai Jingxing Storage Equipment Engineering Co.,Ltd. Country or region after: China Address before: No. 1, Weiyang District university garden, Xi'an, Shaanxi Province, Shaanxi Patentee before: SHAANXI University OF SCIENCE & TECHNOLOGY Country or region before: China |
|
| TR01 | Transfer of patent right |























