CN109068180B - Method for determining video fine selection set and related equipment - Google Patents
Method for determining video fine selection set and related equipment Download PDFInfo
- Publication number
- CN109068180B CN109068180B CN201811137712.2A CN201811137712A CN109068180B CN 109068180 B CN109068180 B CN 109068180B CN 201811137712 A CN201811137712 A CN 201811137712A CN 109068180 B CN109068180 B CN 109068180B
- Authority
- CN
- China
- Prior art keywords
- video
- target
- subset
- score
- videos
- Prior art date
- Legal status (The legal status is an assumption and is not a legal conclusion. Google has not performed a legal analysis and makes no representation as to the accuracy of the status listed.)
- Active
Links
- 238000000034 method Methods 0.000 title claims abstract description 41
- 238000011156 evaluation Methods 0.000 claims description 30
- 238000012545 processing Methods 0.000 claims description 13
- 238000005070 sampling Methods 0.000 claims description 6
- 238000004590 computer program Methods 0.000 description 16
- 238000010586 diagram Methods 0.000 description 14
- 230000006870 function Effects 0.000 description 5
- 230000008878 coupling Effects 0.000 description 3
- 238000010168 coupling process Methods 0.000 description 3
- 238000005859 coupling reaction Methods 0.000 description 3
- 230000003287 optical effect Effects 0.000 description 3
- 238000004891 communication Methods 0.000 description 2
- 238000007726 management method Methods 0.000 description 2
- 238000004364 calculation method Methods 0.000 description 1
- 239000012141 concentrate Substances 0.000 description 1
- 239000006063 cullet Substances 0.000 description 1
- 238000013500 data storage Methods 0.000 description 1
- 239000000835 fiber Substances 0.000 description 1
- 238000004519 manufacturing process Methods 0.000 description 1
- 238000012986 modification Methods 0.000 description 1
- 230000004048 modification Effects 0.000 description 1
- 239000004065 semiconductor Substances 0.000 description 1
- 239000007787 solid Substances 0.000 description 1
- 238000006467 substitution reaction Methods 0.000 description 1
Images
Classifications
-
- H—ELECTRICITY
- H04—ELECTRIC COMMUNICATION TECHNIQUE
- H04N—PICTORIAL COMMUNICATION, e.g. TELEVISION
- H04N21/00—Selective content distribution, e.g. interactive television or video on demand [VOD]
- H04N21/40—Client devices specifically adapted for the reception of or interaction with content, e.g. set-top-box [STB]; Operations thereof
- H04N21/47—End-user applications
- H04N21/475—End-user interface for inputting end-user data, e.g. personal identification number [PIN], preference data
- H04N21/4756—End-user interface for inputting end-user data, e.g. personal identification number [PIN], preference data for rating content, e.g. scoring a recommended movie
-
- H—ELECTRICITY
- H04—ELECTRIC COMMUNICATION TECHNIQUE
- H04N—PICTORIAL COMMUNICATION, e.g. TELEVISION
- H04N21/00—Selective content distribution, e.g. interactive television or video on demand [VOD]
- H04N21/40—Client devices specifically adapted for the reception of or interaction with content, e.g. set-top-box [STB]; Operations thereof
- H04N21/45—Management operations performed by the client for facilitating the reception of or the interaction with the content or administrating data related to the end-user or to the client device itself, e.g. learning user preferences for recommending movies, resolving scheduling conflicts
- H04N21/454—Content or additional data filtering, e.g. blocking advertisements
-
- H—ELECTRICITY
- H04—ELECTRIC COMMUNICATION TECHNIQUE
- H04N—PICTORIAL COMMUNICATION, e.g. TELEVISION
- H04N21/00—Selective content distribution, e.g. interactive television or video on demand [VOD]
- H04N21/40—Client devices specifically adapted for the reception of or interaction with content, e.g. set-top-box [STB]; Operations thereof
- H04N21/45—Management operations performed by the client for facilitating the reception of or the interaction with the content or administrating data related to the end-user or to the client device itself, e.g. learning user preferences for recommending movies, resolving scheduling conflicts
- H04N21/462—Content or additional data management, e.g. creating a master electronic program guide from data received from the Internet and a Head-end, controlling the complexity of a video stream by scaling the resolution or bit-rate based on the client capabilities
Landscapes
- Engineering & Computer Science (AREA)
- Databases & Information Systems (AREA)
- Multimedia (AREA)
- Signal Processing (AREA)
- Human Computer Interaction (AREA)
- Information Retrieval, Db Structures And Fs Structures Therefor (AREA)
- Two-Way Televisions, Distribution Of Moving Picture Or The Like (AREA)
- Television Signal Processing For Recording (AREA)
Abstract
The embodiment of the application provides a method and related equipment for determining a video selection set, which can ensure the content abundance of videos in the video selection set and the relevance and quality of each video in the video selection set, can save labor cost and are not easy to cause omission compared with the existing manual selection. The method comprises the following steps: acquiring a primary selection video set; traversing the primary selection video set to obtain a target video set; determining a target diversity score for each video subset in the target video set; determining a target relevance score for each video subset in the target video set; determining a target quality score for each video subset in the target video set; and determining the target video subset as a video selection set corresponding to the target subject.
Description
Technical Field
The present application relates to the field of live broadcast, and in particular, to a method for determining a video selection set and a related device.
Background
A video cullet is a collection of videos with similar subject matter or content. The purpose of the video selection set is to reduce the cost of a user for finding content, and if the user is interested in a video of a certain subject, the user can quickly see the better video below the subject through the selection set.
Usually, the method for forming the selection set is that an operator selects the videos according to own experience, however, the number of the videos on the live broadcast platform is very large, if a manual mode is adopted, very much labor cost is consumed, and the omission of the videos is easily caused by manual addition.
Disclosure of Invention
The embodiment of the application provides a method and related equipment for determining a video selection set, which are used for ensuring the content abundance of videos in the video selection set and simultaneously ensuring the relevance and quality of each video in the video selection set, and meanwhile, compared with the existing manual selection, the method and related equipment can save the labor cost and are not easy to cause omission.
A first aspect of an embodiment of the present application provides a method for determining a video culling set, including:
acquiring a primary selection video set, wherein the primary selection video set is a set of videos corresponding to a target theme in a live broadcast platform;
traversing the primary selection video set to obtain a target video set, wherein the target video set at least comprises one video subset, and the number of videos in the video subset is less than or equal to that of videos in the primary selection video set;
determining a target diversity score for each video subset in the target video set;
determining a target relevance score for each video subset in the target video set;
determining a target quality score for each video subset in the target video set;
and determining a target video subset as a video fine selection set corresponding to the target theme, wherein the target video subset is a video subset in which a target diversity score, a target relevance score and a target quality score in the target video set meet preset conditions.
Optionally, the determining a target diversity score for each subset of videos in the target set of videos comprises:
calculating an initial diversity score for each subset of videos in the target video set by:
wherein S 'is any one video subset in the target video set, river (S') is an initial diversity score of the video subset S ', v is any one video in the video subset S', and l (v) is a tag set contained in the video v;
calculating a target diversity score for each subset of videos in the target video set based on the initial diversity score by:
wherein f (S ') is a target diversity score of the video subset S', min (diversity (S ')) is a minimum value of initial diversity scores of respective video subsets in the target video set, and max (diversity (S')) is a maximum value of initial sampling scores of respective video subsets in the target video set.
Optionally, the determining a target relevance score for each video subset in the target video set comprises:
calculating an initial relevance score for each subset of videos in the target video set by:
wherein relationship (S ', T) is the initial relevance score of the video subset S', LTA tag set contained in the target subject T, l is any one tag in the tag set contained in the target subject T, v is any one video in the video subset S', SvlThe score of the video v on the label l is obtained, and m is the product of the number of videos in the video subset S' and the number of labels in a label set contained in the target subject T;
calculating a target relevance score for each video subset in the target video set based on the initial relevance score for each video subset in the target video set by:
where sim (S ', T) is the target relevance score of the video subset S', min (relationship (S ', T)) is the minimum value of the initial relevance scores of the respective video subsets in the target video set, and max (relationship (S', T)) is the maximum value of the initial relevance scores of the respective video subsets in the target video set.
Optionally, the determining a target quality score for each video subset in the target video set comprises:
calculating a target quality score for each subset of videos in the target video set by:
wherein S ' is any one of the video subsets in the target video set, Quality (S ') is a target Quality score of the video subset S ', v is any one of the videos in the video subset S ', q (v) is a Quality score of the video v, and k is the number of the video subsets S ', and the Quality score of the video v is calculated by the following formula:
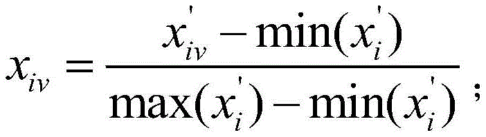
wherein, wiIs the weight of the ith index in the evaluation indexes corresponding to the video v, andn is the number of evaluation indexes corresponding to the video v, xivFor the i-th evaluation index target value, the x is calculated by the following formulaiv:
Wherein, x'ivInitial value of the i-th evaluation index, min (x'i) Is the minimum initial value, max (x'i) The maximum initial value of the ith evaluation indexes of all the videos in the target video set is obtained.
Optionally, the determining the target video subset as the video fine selection set corresponding to the primary selection video set includes:
determining the target video subset by:
max{f(S')+δsim(S',T)+γQuality(S')};
wherein S ' is any one of the video subsets in the target video set, f (S ') is a target diversity score of the video subset S ', sim (S ', T) is a target relevance score of the video subset S ' and the target topic T, and Quality (S ') is a target Quality score of the video subset S '.
A second aspect of the embodiments of the present application provides an apparatus for determining a video culling set, including:
the system comprises an acquisition unit, a processing unit and a display unit, wherein the acquisition unit is used for acquiring a primary selection video set, and the primary selection video set is a set of videos corresponding to a target theme in a live broadcast platform;
the processing unit is used for traversing the primary selection video set to obtain a target video set, the target video set at least comprises one video subset, and the number of videos in the video subset is less than or equal to that of videos in the primary selection video set;
a first determining unit for determining a target diversity score for each video subset in the target video set;
a second determining unit, configured to determine a target relevance score for each video subset in the target video set;
a third determining unit, configured to determine a target quality score for each video subset in the target video set;
and the fourth determining unit is used for determining a target video subset as a video fine selection set corresponding to the target theme, wherein the target video subset is a video subset of which the target diversity score, the target correlation score and the target quality score meet preset conditions in the target video set.
Optionally, the first determining unit is specifically configured to:
calculating an initial diversity score for each subset of videos in the target video set by:
wherein S 'is any one video subset in the target video set, river (S') is an initial diversity score of the video subset S ', v is any one video in the video subset S', and l (v) a tag set included in the video v;
calculating a target diversity score for each subset of videos in the target video set based on the initial diversity score by:
wherein f (S ') is a target diversity score of the video subset S', min (diversity (S ')) is a minimum value of initial diversity scores of respective video subsets in the target video set, and max (diversity (S')) is a maximum value of initial sampling scores of respective video subsets in the target video set.
Optionally, the second determining unit is specifically configured to:
calculating an initial relevance score for each subset of videos in the target video set by:
wherein relationship (S ', T) is the initial relevance score of the video subset S', LTA tag set contained in the target subject T, l is any one tag in the tag set contained in the target subject T, v is any one video in the video subset S', SvlThe score of the video v on the label l is obtained, and m is the product of the number of videos in the video subset S' and the number of labels in a label set contained in the target subject T;
calculating a target relevance score for each video subset in the target video set based on the initial relevance score for each video subset in the target video set by:
where sim (S ', T) is the target relevance score of the video subset S', min (relationship (S ', T)) is the minimum value of the initial relevance scores of the respective video subsets in the target video set, and max (relationship (S', T)) is the maximum value of the initial relevance scores of the respective video subsets in the target video set.
Optionally, the third determining unit is specifically configured to:
calculating a target quality score for each subset of videos in the target video set by:
wherein S 'is any one of the video subsets in the target video set, Quality (S') is a target Quality score of the video subset S ', v is any one of the videos in the video subset S', and q (v) is a Quality score of the video v, which is calculated by the following formula:
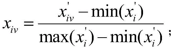
wherein, wiIs the weight of the ith index in the evaluation indexes corresponding to the video v, andn is the number of evaluation indexes corresponding to the video v, xivFor the i-th evaluation index target value, the x is calculated by the following formulaiv:
Wherein, x'ivInitial value of the i-th evaluation index, min (x'i) Is the minimum initial value, max (x'i) The maximum initial value of the ith evaluation indexes of all the videos in the target video set is obtained.
Optionally, the fourth determining unit is specifically configured to:
determining the target video subset by:
max{f(S')+δsim(S',T)+γQuality(S')};
wherein S ' is any one of the video subsets in the target video set, f (S ') is a target diversity score of the video subset S ', δ is a weight coefficient of sim (S ', T), γ is a weight coefficient of Quality (S '), sim (S ', T) is a target correlation score of the video subset S ' and the target topic T, and Quality (S ') is a target Quality score of the video subset S '.
A third aspect of the present application provides an electronic device comprising a memory and a processor, wherein the processor is configured to implement the steps of the method for determining a video selection set according to any one of the above items when executing a computer management class program stored in the memory.
A fourth aspect of the present application provides a computer-readable storage medium having a computer management-like program stored thereon, characterized in that: the computer management like program when executed by a processor performs the steps of the method of determining a fine selection of videos as described in any one of the above.
To sum up, in the embodiment of the present application, first, a primary selection video set corresponding to a target topic is obtained, then, a target video set is determined from traversing the primary selection video set, where the target video set includes at least one video subset, the number of videos in the video subset is less than or equal to the number of videos in the primary selection video set, then, a relevance score, a diversity score, and a quality score of each video subset in the target video set are determined, and a video subset with the largest sum of the relevance score, the diversity score, and the quality score in the target video set is used as a video fine selection set corresponding to the target topic. Therefore, the video subset with the maximum relevance score, diversity score and quality score is used as the video selection set, the content abundance degree of the videos is guaranteed, the relevance and quality of each video in the video selection set are guaranteed, meanwhile, compared with the existing manual selection, the labor cost can be saved, and meanwhile, omission is not prone to being caused.
Drawings
Fig. 1 is a schematic flowchart of a method for determining a video selection set according to an embodiment of the present application;
fig. 2 is a schematic diagram of an embodiment of an apparatus for determining a video selection set according to an embodiment of the present application;
fig. 3 is a schematic hardware configuration diagram of an apparatus for determining a video fine selection set according to an embodiment of the present application;
fig. 4 is a schematic diagram of an embodiment of an electronic device according to an embodiment of the present application;
fig. 5 is a schematic diagram of an embodiment of a computer-readable storage medium provided in an embodiment of the present application.
Detailed Description
The embodiment of the application provides a method and related equipment for determining a video selection set, which are used for ensuring the content abundance of videos in the video selection set and simultaneously ensuring the relevance and quality of each video in the video selection set, and meanwhile, compared with the existing manual selection, the method and related equipment can save the labor cost and are not easy to cause omission.
The terms "first," "second," "third," "fourth," and the like in the description and in the claims of the present application and in the drawings described above, if any, are used for distinguishing between similar elements and not necessarily for describing a particular sequential or chronological order. It will be appreciated that the data so used may be interchanged under appropriate circumstances such that the embodiments described herein may be practiced otherwise than as specifically illustrated or described herein. Furthermore, the terms "comprises," "comprising," and "having," and any variations thereof, are intended to cover a non-exclusive inclusion, such that a process, method, system, article, or apparatus that comprises a list of steps or elements is not necessarily limited to those steps or elements expressly listed, but may include other steps or elements not expressly listed or inherent to such process, method, article, or apparatus. The technical solutions in the embodiments of the present application will be clearly and completely described below with reference to the drawings in the embodiments of the present application, and it is obvious that the described embodiments are only a part of the embodiments of the present application, and not all of the embodiments.
The method for determining a video selection set according to the embodiment of the present application is described below from the perspective of a device for determining a video selection set, where the device for determining a video selection set may be a server, or may be a service unit in the server, and is not particularly limited.
Referring to fig. 1, fig. 1 is a schematic diagram of an embodiment of a method for determining a video selection set according to an embodiment of the present application, including:
101. and acquiring a primary selection video set.
In this embodiment, the device for determining the video fine selection set may obtain a primary selection video set, where the primary selection video set is a set of videos corresponding to a target topic in a live broadcast platform. That is, videos in the live platform that have an association relationship with the target topic may be used as the primary selection video set. How to obtain is not particularly limited here.
102. And traversing the primary selection video set to obtain a target video set.
In this embodiment, the device for determining the video fine selection set may traverse the primary selection video set to obtain a target video set, where the target video set includes at least one video subset, and the number of videos in the video subset is less than or equal to the number of videos in the primary selection video set. That is, k videos can be selected from the initial video set, and all possible video subsets are used as the target video set.
103. A target diversity score is determined for each subset of videos in the target video set.
In this embodiment, the apparatus for determining a video culling set may determine a target diversity score for each video subset in the target video set. In order to make the target diversity score between 0 and 1, the initial diversity score needs to be normalized to obtain the target diversity score, which is as follows:
calculating an initial diversity score for each video subset in the target video set by the following formula:
wherein S 'is any one video subset in the target video set, Diverse (S') is the initial diversity score of the video subset S ', v is any one video in the video subset S', and l (v) is a label set contained in the video v;
calculating a target diversity score for each video subset in the target video set based on the initial diversity score by:
wherein f (S ') is the target diversity score of the video subset S', min (diversity (S ')) is the minimum value of the initial diversity score in each video subset of the target video set, and max (diversity (S')) is the maximum value of the initial sampling score in each video subset of the target video set.
104. A target relevance score is determined for each subset of videos in the target video set.
In this embodiment, the means for determining the video concentrate may determine a target relevance score for each video subset in the target video set. In order to make the target relevance score between 0 and 1, the initial relevance score needs to be normalized to obtain the target relevance score, which is as follows:
calculating an initial relevance score for each video subset in the target video set by the following formula:
wherein, relationship (S ', T) is the initial correlation score of the video subset S', LTA tag set contained in the target subject T, l is any one tag in the tag set contained in the target subject T, v is any one video in the video subset S', SvlThe score of the video v to the label l is shown, and m is the product of the number of videos in the video subset S' and the number of labels in the label set contained in the target subject T;
Calculating a target relevance score for each video subset in the target video set based on the initial relevance score for each video subset in the target video set by:
where sim (S ', T) is the target correlation score of the video subset S', min (relationship (S ', T)) is the minimum value of the initial correlation scores of the respective video subsets in the target video set, and max (relationship (S', T)) is the maximum value of the initial correlation scores of the respective video subsets in the target video set.
It should be noted that q (v) is the quality score of the video v, and the calculation method is to evaluate the quality of the video v by using the indexes such as the watching time length and the number of people collecting the video v within a period of time.
105. A target quality score is determined for each subset of videos in the target video set.
In this embodiment, the apparatus for determining a video fine selection set may determine a target quality score of each video subset in the target video set. The method comprises the following specific steps:
calculating a target quality score for each video subset in the target video set by:
wherein S 'is any one of the video subsets in the target video set, Quality (S') is a target Quality score of the video subset S ', v is any one of the videos in the video subset S', and q (v) is a Quality score of the video v, and the Quality score of the video v is calculated by the following formula:
wherein, wiIs the weight of the i-th index in the evaluation indexes corresponding to the video vAnd is andn is the number of evaluation indexes corresponding to the video v, xivFor the ith evaluation index target value, x is calculated by the following formulaiv:
Wherein, x'ivInitial value of the i-th evaluation index, min (x'i) Is the minimum initial value, max (x'i) The maximum initial value of the ith evaluation indexes of all the videos in the target video set.
106. And determining the target video subset as a video fine selection set corresponding to the primary selection video set.
In this embodiment, after determining the target diversity score, the target correlation score, and the target quality score of each video in the target video set, the device for determining the video fine selection set may determine the target video subset as the video fine selection set corresponding to the primary selection video set, where the target video subset is a video subset in which the target diversity score, the target correlation score, and the target quality score in the target video set satisfy preset conditions. The method comprises the following specific steps:
determining the target video subset by:
max{f(S')+δsim(S',T)+γQuality(S')};
wherein S ' is any one of the video subsets in the target video set, f (S ') is a target diversity score of the video subset S ', sim (S ', T) is a target relevance score of the video subset S ' and the target topic T, and Quality (S ') is a target Quality score of the video subset S '.
It should be noted that, here, the preset condition is taken as the target video subset in which the sum of the target diversity score, the target relevance score and the target quality score in the target video set is the largest, but other manners are also possible, for example, a video subset in which the sum of the target diversity score, the target relevance score and the target quality score in the target video set is greater than a preset threshold is taken as the target video subset, and the method is not limited specifically.
To sum up, in the embodiment of the present application, first, a primary selection video set corresponding to a target topic is obtained, then, a target video set is determined from traversing the primary selection video set, where the target video set includes at least one video subset, the number of videos in the video subset is less than or equal to the number of videos in the primary selection video set, then, a relevance score, a diversity score, and a quality score of each video subset in the target video set are determined, and a video subset with the largest sum of the relevance score, the diversity score, and the quality score in the target video set is used as a video fine selection set corresponding to the target topic. Therefore, the video subset with the maximum relevance score, diversity score and quality score is used as the video selection set, the content abundance degree of the videos is guaranteed, the relevance and quality of each video in the video selection set are guaranteed, meanwhile, compared with the existing manual selection, the labor cost can be saved, and meanwhile, omission is not prone to being caused.
The above describes a method for determining a video selection set in the embodiment of the present application, and the following describes an apparatus for determining a video selection set in the embodiment of the present application.
Referring to fig. 2, an embodiment of an apparatus for determining a video selection set according to an embodiment of the present application includes:
an obtaining unit 201, configured to obtain a primary selection video set, where the primary selection video set is a set of videos corresponding to a target topic in a live broadcast platform;
a processing unit 202, configured to traverse the primary selection video set to obtain a target video set, where the target video set at least includes one video subset, and the number of videos in the video subset is less than or equal to the number of videos in the primary selection video set;
a first determining unit 203, configured to determine a target diversity score for each video subset in the target video set;
a second determining unit 204, configured to determine a target relevance score for each video subset in the target video set;
a third determining unit 205, configured to determine a target quality score for each video subset in the target video set;
a fourth determining unit 206, configured to determine a target video subset as the video fine selection set corresponding to the target topic, where the target video subset is a video subset in which a target diversity score, a target relevance score, and a target quality score in the target video set meet preset conditions.
Optionally, the first determining unit 203 is specifically configured to:
calculating an initial diversity score for each subset of videos in the target video set by:
wherein S 'is any one video subset in the target video set, river (S') is an initial diversity score of the video subset S ', v is any one video in the video subset S', and l (v) a tag set included in the video v;
calculating a target diversity score for each subset of videos in the target video set based on the initial diversity score by:
wherein f (S ') is a target diversity score of the video subset S', min (diversity (S ')) is a minimum value of initial diversity scores of respective video subsets in the target video set, and max (diversity (S')) is a maximum value of initial sampling scores of respective video subsets in the target video set.
Optionally, the second determining unit 204 is specifically configured to:
calculating an initial relevance score for each subset of videos in the target video set by:
wherein relationship (S ', T) is the initial relevance score of the video subset S', LTA tag set contained in the target subject T, l is any one tag in the tag set contained in the target subject T, v is any one video in the video subset S', SvlThe score of the video v on the label l is obtained, and m is the product of the number of videos in the video subset S' and the number of labels in a label set contained in the target subject T;
calculating a target relevance score for each video subset in the target video set based on the initial relevance score for each video subset in the target video set by:
where sim (S ', T) is the target relevance score of the video subset S', min (relationship (S ', T)) is the minimum value of the initial relevance scores of the respective video subsets in the target video set, and max (relationship (S', T)) is the maximum value of the initial relevance scores of the respective video subsets in the target video set.
Optionally, the third determining unit 205 is specifically configured to:
calculating a target quality score for each subset of videos in the target video set by:
wherein S 'is any one of the video subsets in the target video set, Quality (S') is a target Quality score of the video subset S ', v is any one of the videos in the video subset S', and q (v) is a Quality score of the video v, which is calculated by the following formula:
wherein, wiIs the weight of the ith index in the evaluation indexes corresponding to the video v, andn is the number of evaluation indexes corresponding to the video v, xivFor the i-th evaluation index target value, the x is calculated by the following formulaiv:
Wherein, x'ivInitial value of the i-th evaluation index, min (x'i) Is the minimum initial value, max (x'i) The maximum initial value of the ith evaluation indexes of all the videos in the target video set is obtained.
Optionally, the fourth determining unit 206 is specifically configured to:
determining the target video subset by:
max{f(S')+δsim(S',T)+γQuality(S')};
wherein S ' is any one of the video subsets in the target video set, f (S ') is a target diversity score of the video subset S ', sim (S ', T) is a target relevance score of the video subset S ' and the target topic T, and Quality (S ') is a target Quality score of the video subset S '.
To sum up, in this application embodiment, first, a primary selection video set corresponding to a target topic is obtained, then, a target video set is determined from traversing the primary selection video set, the target video set at least includes one video subset, the number of videos in the video subset is less than or equal to the number of videos in the primary selection video set, then, a relevance score, a diversity score and a quality score of each video subset in the target video set are determined, and a video subset with the largest sum of the relevance score, the diversity score and the quality score in the target video set is used as a video fine selection set corresponding to the target topic. Therefore, the video subset with the maximum relevance score, diversity score and quality score is used as the video selection set, the content abundance degree of the videos is guaranteed, the relevance and quality of each video in the video selection set are guaranteed, meanwhile, compared with the existing manual selection, the labor cost can be saved, and meanwhile, omission is not prone to being caused.
Fig. 2 above describes the apparatus for determining a video selection set in the embodiment of the present application from the perspective of a modular functional entity, and the apparatus for determining a video selection set in the embodiment of the present application is described in detail below from the perspective of hardware processing, referring to fig. 3, an embodiment of a client 300 in the embodiment of the present application includes:
an input device 301, an output device 302, a processor 303 and a memory 304 (wherein the number of the processor 303 may be one or more, and one processor 303 is taken as an example in fig. 3). In some embodiments of the present application, the input device 301, the output device 302, the processor 303 and the memory 304 may be connected by a bus or other means, wherein fig. 3 illustrates the connection by the bus.
Wherein, by calling the operation instruction stored in the memory 304, the processor 303 is configured to perform the following steps:
acquiring a primary selection video set, wherein the primary selection video set is a set of videos corresponding to a target theme in a live broadcast platform;
traversing the primary selection video set to obtain a target video set, wherein the target video set at least comprises one video subset, and the number of videos in the video subset is less than or equal to that of videos in the primary selection video set;
determining a target diversity score for each video subset in the target video set;
determining a target relevance score for each video subset in the target video set;
determining a target quality score for each video subset in the target video set;
and determining a target video subset as a video fine selection set corresponding to the target theme, wherein the target video subset is a video subset in which a target diversity score, a target relevance score and a target quality score in the target video set meet preset conditions.
In a specific implementation process, the processor 303 may implement any implementation manner in the embodiment corresponding to fig. 1 by calling the operation instructions stored in the memory 304.
Referring to fig. 4, fig. 4 is a schematic view of an embodiment of an electronic device according to an embodiment of the present disclosure.
As shown in fig. 4, an electronic device provided in the embodiment of the present application includes a memory 410, a processor 420, and a computer program 411 stored in the memory 420 and executable on the processor 420, where the processor 420 executes the computer program 411 to implement the following steps:
acquiring a primary selection video set, wherein the primary selection video set is a set of videos corresponding to a target theme in a live broadcast platform;
traversing the primary selection video set to obtain a target video set, wherein the target video set at least comprises one video subset, and the number of videos in the video subset is less than or equal to that of videos in the primary selection video set;
determining a target diversity score for each video subset in the target video set;
determining a target relevance score for each video subset in the target video set;
determining a target quality score for each video subset in the target video set;
and determining a target video subset as a video fine selection set corresponding to the target theme, wherein the target video subset is a video subset in which a target diversity score, a target relevance score and a target quality score in the target video set meet preset conditions.
In a specific implementation, when the processor 420 executes the computer program 411, any of the embodiments corresponding to fig. 1 may be implemented.
Since the electronic device described in this embodiment is a device used for implementing one of the clients in this embodiment, based on the method described in this embodiment, a person skilled in the art can understand the specific implementation manner of the electronic device of this embodiment and various variations thereof, so that how to implement the method in this embodiment by the electronic device is not described in detail herein, and as long as the person skilled in the art implements the device used for implementing the method in this embodiment, the device is within the scope of the present application.
Referring to fig. 5, fig. 5 is a schematic diagram illustrating an embodiment of a computer-readable storage medium according to the present application.
As shown in fig. 5, the present embodiment provides a computer-readable storage medium 500 having a computer program 511 stored thereon, the computer program 511 implementing the following steps when executed by a processor:
acquiring a primary selection video set, wherein the primary selection video set is a set of videos corresponding to a target theme in a live broadcast platform;
traversing the primary selection video set to obtain a target video set, wherein the target video set at least comprises one video subset, and the number of videos in the video subset is less than or equal to that of videos in the primary selection video set;
determining a target diversity score for each video subset in the target video set;
determining a target relevance score for each video subset in the target video set;
determining a target quality score for each video subset in the target video set;
and determining a target video subset as a video fine selection set corresponding to the target theme, wherein the target video subset is a video subset in which a target diversity score, a target relevance score and a target quality score in the target video set meet preset conditions.
In a specific implementation, the computer program 511 may implement any of the embodiments corresponding to fig. 1 when executed by a processor.
It should be noted that, in the foregoing embodiments, the descriptions of the respective embodiments have respective emphasis, and reference may be made to relevant descriptions of other embodiments for parts that are not described in detail in a certain embodiment.
As will be appreciated by one skilled in the art, embodiments of the present application may be provided as a method, system, or computer program product. Accordingly, the present application may take the form of an entirely hardware embodiment, an entirely software embodiment or an embodiment combining software and hardware aspects. Furthermore, the present application may take the form of a computer program product embodied on one or more computer-usable storage media (including, but not limited to, disk storage, CD-ROM, optical storage, and the like) having computer-usable program code embodied therein.
The present application is described with reference to flowchart illustrations and/or block diagrams of methods, apparatus (systems), and computer program products according to embodiments of the application. It will be understood that each flow and/or block of the flow diagrams and/or block diagrams, and combinations of flows and/or blocks in the flow diagrams and/or block diagrams, can be implemented by computer program instructions. These computer program instructions may be provided to a processor of a general purpose computer, special purpose computer, embedded computer, or other programmable data processing apparatus to produce a machine, such that the instructions, which execute via the processor of the computer or other programmable data processing apparatus, create means for implementing the functions specified in the flowchart flow or flows and/or block diagram block or blocks.
These computer program instructions may also be stored in a computer-readable memory that can direct a computer or other programmable data processing apparatus to function in a particular manner, such that the instructions stored in the computer-readable memory produce an article of manufacture including instruction means which implement the function specified in the flowchart flow or flows and/or block diagram block or blocks.
These computer program instructions may also be loaded onto a computer or other programmable data processing apparatus to cause a series of operational steps to be performed on the computer or other programmable apparatus to produce a computer implemented process such that the instructions which execute on the computer or other programmable apparatus provide steps for implementing the functions specified in the flowchart flow or flows and/or block diagram block or blocks.
Embodiments of the present application further provide a computer program product, where the computer program product includes computer software instructions, and when the computer software instructions are executed on a processing device, the processing device is caused to execute the flow in the method for designing a wind farm digital platform in the embodiment corresponding to fig. 1.
The computer program product includes one or more computer instructions. When loaded and executed on a computer, cause the processes or functions described in accordance with the embodiments of the application to occur, in whole or in part. The computer may be a general purpose computer, a special purpose computer, a network of computers, or other programmable device. The computer instructions may be stored on a computer readable storage medium or transmitted from one computer readable storage medium to another, for example, from one website, computer, server, or data center to another website, computer, server, or data center via wire (e.g., coaxial cable, fiber optic, Digital Subscriber Line (DSL)) or wireless (e.g., infrared, wireless, microwave, etc.). The computer-readable storage medium can be any available medium that a computer can store or a data storage device, such as a server, a data center, etc., that is integrated with one or more available media. The usable medium may be a magnetic medium (e.g., floppy disk, hard disk, magnetic tape), an optical medium (e.g., DVD), or a semiconductor medium (e.g., Solid State Disk (SSD)), among others.
It is clear to those skilled in the art that, for convenience and brevity of description, the specific working processes of the above-described systems, apparatuses and units may refer to the corresponding processes in the foregoing method embodiments, and are not described herein again.
In the several embodiments provided in the present application, it should be understood that the disclosed system, apparatus and method may be implemented in other manners. For example, the above-described apparatus embodiments are merely illustrative, and for example, the division of the units is only one logical division, and other divisions may be realized in practice, for example, a plurality of units or components may be combined or integrated into another system, or some features may be omitted, or not executed. In addition, the shown or discussed mutual coupling or direct coupling or communication connection may be an indirect coupling or communication connection through some interfaces, devices or units, and may be in an electrical, mechanical or other form.
The units described as separate parts may or may not be physically separate, and parts displayed as units may or may not be physical units, may be located in one place, or may be distributed on a plurality of network units. Some or all of the units can be selected according to actual needs to achieve the purpose of the solution of the embodiment.
In addition, functional units in the embodiments of the present application may be integrated into one processing unit, or each unit may exist alone physically, or two or more units are integrated into one unit. The integrated unit can be realized in a form of hardware, and can also be realized in a form of a software functional unit.
The integrated unit, if implemented in the form of a software functional unit and sold or used as a stand-alone product, may be stored in a computer readable storage medium. Based on such understanding, the technical solution of the present application may be substantially implemented or contributed to by the prior art, or all or part of the technical solution may be embodied in a software product, which is stored in a storage medium and includes instructions for causing a computer device (which may be a personal computer, a server, or a network device) to execute all or part of the steps of the method according to the embodiments of the present application. And the aforementioned storage medium includes: various media capable of storing program codes, such as a usb disk, a removable hard disk, a Read-Only Memory (ROM), a Random Access Memory (RAM), a magnetic disk, or an optical disk.
The above embodiments are only used for illustrating the technical solutions of the present application, and not for limiting the same; although the present application has been described in detail with reference to the foregoing embodiments, it should be understood by those of ordinary skill in the art that: the technical solutions described in the foregoing embodiments may still be modified, or some technical features may be equivalently replaced; such modifications and substitutions do not depart from the spirit and scope of the corresponding technical solutions in the embodiments of the present application.
Claims (4)
1. A method for determining a fine selection of videos, comprising:
acquiring a primary selection video set, wherein the primary selection video set is a set of videos corresponding to a target theme in a live broadcast platform;
traversing the primary selection video set to obtain a target video set, wherein the target video set at least comprises one video subset, and the number of videos in the video subset is less than or equal to that of videos in the primary selection video set;
determining a target diversity score for each video subset in the target video set;
determining a target relevance score for each video subset in the target video set;
determining a target quality score for each video subset in the target video set;
determining a target video subset as a video fine selection set corresponding to the target subject, wherein the target video subset is a video subset with the maximum target diversity score, target relevance score and target quality score in the target video set;
the determining a target diversity score for each subset of videos in the target video set comprises:
calculating an initial diversity score for each subset of videos in the target video set by:
wherein S 'is any one video subset in the target video set, river (S') is an initial diversity score of the video subset S ', v is any one video in the video subset S', and l (v) is a tag set contained in the video v;
calculating a target diversity score for each subset of videos in the target video set based on the initial diversity score by:
wherein f (S ') is a target diversity score of the video subset S', min (diversity (S ')) is a minimum value of initial diversity scores of respective video subsets in the target video set, and max (diversity (S')) is a maximum value of initial sampling scores of respective video subsets in the target video;
the determining a target relevance score for each video subset of the target video set comprises:
calculating an initial relevance score for each subset of videos in the target video set by:
wherein relationship (S ', T) is the initial relevance score of the video subset S', LTA tag set contained in the target subject T, l is any one tag in the tag set contained in the target subject T, v is any one video in the video subset S', SvlThe score of the video v on the label l is obtained, and m is the product of the number of videos in the video subset S' and the number of labels in a label set contained in the target subject T;
calculating a target relevance score for each video subset in the target video set based on the initial relevance score for each video subset in the target video set by:
wherein sim (S ', T) is a target correlation score of the video subset S', min (relationship (S ', T)) is a minimum value of the initial correlation scores of the respective video subsets in the target video set, and max (relationship (S', T)) is a maximum value of the initial correlation scores of the respective video subsets in the target video set;
the determining a target quality score for each video subset in the target video set comprises:
calculating a target quality score for each subset of videos in the target video set by:
wherein S ' is any one of the video subsets in the target video set, Quality (S ') is a target Quality score of the video subset S ', v is any one of the videos in the video subset S ', q (v) is a Quality score of the video v, and k is the number of the video subsets S ', and the Quality score of the video v is calculated by the following formula:
wherein, wiIs the weight of the ith index in the evaluation indexes corresponding to the video v, andn is the number of evaluation indexes corresponding to the video v, xivFor the ith evaluation index target value, the x is calculated by the following formulaiv:
Wherein, x'ivInitial value of the i-th evaluation index, min (x'i) Is the minimum initial value, max (x'i) The maximum initial value of the ith evaluation indexes of all videos in the target video set is obtained;
the determining the target video subset as the video fine selection set corresponding to the primary selection video set comprises:
determining the target video subset by:
max{f(S')+δsim(S',T)+γQuality(S')};
wherein S ' is any one of the video subsets in the target video set, f (S ') is a target diversity score of the video subset S ', δ is a weight coefficient of sim (S ', T), γ is a weight coefficient of Quality (S '), sim (S ', T) is a target correlation score of the video subset S ' and the target topic T, and Quality (S ') is a target Quality score of the video subset S '.
2. An apparatus for determining a fine selection of videos, comprising:
the system comprises an acquisition unit, a processing unit and a display unit, wherein the acquisition unit is used for acquiring a primary selection video set, and the primary selection video set is a set of videos corresponding to a target theme in a live broadcast platform;
the processing unit is used for traversing the primary selection video set to obtain a target video set, the target video set at least comprises one video subset, and the number of videos in the video subset is less than or equal to that of videos in the primary selection video set;
a first determining unit for determining a target diversity score for each video subset in the target video set;
a second determining unit, configured to determine a target relevance score for each video subset in the target video set;
a third determining unit, configured to determine a target quality score for each video subset in the target video set;
a fourth determining unit, configured to determine a target video subset as a video fine selection set corresponding to the target topic, where the target video subset is a video subset with a maximum target diversity score, a maximum target relevance score, and a maximum target quality score in the target video set;
the first determining unit is specifically configured to:
calculating an initial diversity score for each subset of videos in the target video set by:
wherein S 'is any one video subset in the target video set, river (S') is an initial diversity score of the video subset S ', v is any one video in the video subset S', and l (v) is a tag set contained in the video v;
calculating a target diversity score for each subset of videos in the target video set based on the initial diversity score by:
wherein f (S ') is a target diversity score of the video subset S', min (diversity (S ')) is a minimum value of initial diversity scores of respective video subsets in the target video set, and max (diversity (S')) is a maximum value of initial sampling scores of respective video subsets in the target video;
the second determining unit is specifically configured to:
calculating an initial relevance score for each subset of videos in the target video set by:
wherein relationship (S ', T) is the initial relevance score of the video subset S', LTA tag set contained in the target subject T, l is any one tag in the tag set contained in the target subject T, v is any one video in the video subset S', SvlThe score of the video v on the label l is obtained, and m is the product of the number of videos in the video subset S' and the number of labels in a label set contained in the target subject T;
calculating a target relevance score for each video subset in the target video set based on the initial relevance score for each video subset in the target video set by:
wherein sim (S ', T) is a target correlation score of the video subset S', min (relationship (S ', T)) is a minimum value of the initial correlation scores of the respective video subsets in the target video set, and max (relationship (S', T)) is a maximum value of the initial correlation scores of the respective video subsets in the target video set;
the third determining unit is specifically configured to:
calculating a target quality score for each subset of videos in the target video set by:
wherein S ' is any one of the video subsets in the target video set, Quality (S ') is a target Quality score of the video subset S ', v is any one of the videos in the video subset S ', q (v) is a Quality score of the video v, and k is the number of the video subsets S ', and the Quality score of the video v is calculated by the following formula:
wherein, wiIs the weight of the ith index in the evaluation indexes corresponding to the video v, andn is the number of evaluation indexes corresponding to the video v, xivFor the ith evaluation index target value, the x is calculated by the following formulaiv:
Wherein, x'ivInitial value of the i-th evaluation index, min (x'i) Is the minimum initial value, max (x'i) The maximum initial value of the ith evaluation indexes of all videos in the target video set is obtained;
the fourth determining unit is specifically configured to:
determining the target video subset by:
max{f(S')+δsim(S',T)+γQuality(S')};
wherein S ' is any one of the video subsets in the target video set, f (S ') is a target diversity score of the video subset S ', δ is a weight coefficient of sim (S ', T), γ is a weight coefficient of Quality (S '), sim (S ', T) is a target correlation score of the video subset S ' and the target topic T, and Quality (S ') is a target Quality score of the video subset S '.
3. An electronic device comprising a memory, a processor, wherein the processor is configured to implement the steps of the method of determining a video selection set of claim 1 when executing a computer management class program stored in the memory.
4. A computer-readable storage medium having stored thereon a computer management-like program, characterized in that: the computer management class program when executed by a processor implements the steps of the method of determining a video selection set as claimed in claim 1.
Priority Applications (1)
| Application Number | Priority Date | Filing Date | Title |
|---|---|---|---|
| CN201811137712.2A CN109068180B (en) | 2018-09-28 | 2018-09-28 | Method for determining video fine selection set and related equipment |
Applications Claiming Priority (1)
| Application Number | Priority Date | Filing Date | Title |
|---|---|---|---|
| CN201811137712.2A CN109068180B (en) | 2018-09-28 | 2018-09-28 | Method for determining video fine selection set and related equipment |
Publications (2)
| Publication Number | Publication Date |
|---|---|
| CN109068180A CN109068180A (en) | 2018-12-21 |
| CN109068180B true CN109068180B (en) | 2021-02-02 |
Family
ID=64766615
Family Applications (1)
| Application Number | Title | Priority Date | Filing Date |
|---|---|---|---|
| CN201811137712.2A Active CN109068180B (en) | 2018-09-28 | 2018-09-28 | Method for determining video fine selection set and related equipment |
Country Status (1)
| Country | Link |
|---|---|
| CN (1) | CN109068180B (en) |
Families Citing this family (1)
| Publication number | Priority date | Publication date | Assignee | Title |
|---|---|---|---|---|
| CN110611848A (en) * | 2019-09-30 | 2019-12-24 | 咪咕视讯科技有限公司 | Information processing method, system, terminal, server and readable storage medium |
Citations (8)
| Publication number | Priority date | Publication date | Assignee | Title |
|---|---|---|---|---|
| US8260117B1 (en) * | 2011-07-26 | 2012-09-04 | Ooyala, Inc. | Automatically recommending content |
| CN105389590A (en) * | 2015-11-05 | 2016-03-09 | Tcl集团股份有限公司 | Video clustering recommendation method and apparatus |
| CN106503731A (en) * | 2016-10-11 | 2017-03-15 | 南京信息工程大学 | A kind of based on conditional mutual information and the unsupervised feature selection approach of K means |
| CN107045693A (en) * | 2017-05-05 | 2017-08-15 | 北京媒立方传媒科技有限公司 | Media characteristic determination, Media Recommendation Method and device |
| CN108228911A (en) * | 2018-02-11 | 2018-06-29 | 北京搜狐新媒体信息技术有限公司 | The computational methods and device of a kind of similar video |
| CN108304512A (en) * | 2018-01-19 | 2018-07-20 | 北京奇艺世纪科技有限公司 | A kind of thick sort method of video search engine, device and electronic equipment |
| CN108509436A (en) * | 2017-02-24 | 2018-09-07 | 阿里巴巴集团控股有限公司 | A kind of method, apparatus and computer storage media of determining recommended |
| CN108509457A (en) * | 2017-02-28 | 2018-09-07 | 阿里巴巴集团控股有限公司 | A kind of recommendation method and apparatus of video data |
-
2018
- 2018-09-28 CN CN201811137712.2A patent/CN109068180B/en active Active
Patent Citations (8)
| Publication number | Priority date | Publication date | Assignee | Title |
|---|---|---|---|---|
| US8260117B1 (en) * | 2011-07-26 | 2012-09-04 | Ooyala, Inc. | Automatically recommending content |
| CN105389590A (en) * | 2015-11-05 | 2016-03-09 | Tcl集团股份有限公司 | Video clustering recommendation method and apparatus |
| CN106503731A (en) * | 2016-10-11 | 2017-03-15 | 南京信息工程大学 | A kind of based on conditional mutual information and the unsupervised feature selection approach of K means |
| CN108509436A (en) * | 2017-02-24 | 2018-09-07 | 阿里巴巴集团控股有限公司 | A kind of method, apparatus and computer storage media of determining recommended |
| CN108509457A (en) * | 2017-02-28 | 2018-09-07 | 阿里巴巴集团控股有限公司 | A kind of recommendation method and apparatus of video data |
| CN107045693A (en) * | 2017-05-05 | 2017-08-15 | 北京媒立方传媒科技有限公司 | Media characteristic determination, Media Recommendation Method and device |
| CN108304512A (en) * | 2018-01-19 | 2018-07-20 | 北京奇艺世纪科技有限公司 | A kind of thick sort method of video search engine, device and electronic equipment |
| CN108228911A (en) * | 2018-02-11 | 2018-06-29 | 北京搜狐新媒体信息技术有限公司 | The computational methods and device of a kind of similar video |
Also Published As
| Publication number | Publication date |
|---|---|
| CN109068180A (en) | 2018-12-21 |
Similar Documents
| Publication | Publication Date | Title |
|---|---|---|
| CN110134829B (en) | Video positioning method and device, storage medium and electronic device | |
| CN110896488B (en) | Recommendation method for live broadcast room and related equipment | |
| CN107404656B (en) | Live video recommended method, device and server | |
| CN108647245B (en) | Multimedia resource matching method and device, storage medium and electronic device | |
| CN112100221B (en) | Information recommendation method and device, recommendation server and storage medium | |
| CN109257617B (en) | Method for determining suspected user in live broadcast platform and related equipment | |
| WO2017181612A1 (en) | Personalized video recommendation method and device | |
| CN109379608B (en) | Recommendation method for live broadcast room and related equipment | |
| CN106570008A (en) | Recommendation method and device | |
| CN111428660B (en) | Video editing method and device, storage medium and electronic device | |
| CN109218769B (en) | Recommendation method for live broadcast room and related equipment | |
| CN108345601A (en) | Search result ordering method and device | |
| CN108628721B (en) | Abnormality detection method, device, storage medium and electronic device of user data value | |
| CN105574030A (en) | Information search method and device | |
| CN109213933B (en) | Content item recommendation method, device, equipment and storage medium | |
| JP2017033293A (en) | Image processing device, image processing method, program, and recording medium | |
| CN112565902B (en) | Video recommendation method and device and electronic equipment | |
| CN110895594A (en) | Page display method and related equipment | |
| CN109413439B (en) | Method for determining suspected user and related equipment | |
| CN109388693B (en) | Method for determining partition intention and related equipment | |
| CN109068180B (en) | Method for determining video fine selection set and related equipment | |
| CN109819002B (en) | Data pushing method and device, storage medium and electronic device | |
| CN114463658B (en) | Model training method and system, data processing method and system | |
| CN104679791A (en) | Processing method and device for acquiring data packets | |
| CN117097789A (en) | Data processing method and device, electronic equipment and storage medium |
Legal Events
| Date | Code | Title | Description |
|---|---|---|---|
| PB01 | Publication | ||
| PB01 | Publication | ||
| SE01 | Entry into force of request for substantive examination | ||
| SE01 | Entry into force of request for substantive examination | ||
| GR01 | Patent grant | ||
| GR01 | Patent grant |















































