CN109061300B - Characteristic harmonic source positioning method for PCC (point of common coupling) - Google Patents
Characteristic harmonic source positioning method for PCC (point of common coupling) Download PDFInfo
- Publication number
- CN109061300B CN109061300B CN201811092358.6A CN201811092358A CN109061300B CN 109061300 B CN109061300 B CN 109061300B CN 201811092358 A CN201811092358 A CN 201811092358A CN 109061300 B CN109061300 B CN 109061300B
- Authority
- CN
- China
- Prior art keywords
- harmonic
- source
- characteristic
- pcc
- equivalent
- Prior art date
- Legal status (The legal status is an assumption and is not a legal conclusion. Google has not performed a legal analysis and makes no representation as to the accuracy of the status listed.)
- Active
Links
Images
Classifications
-
- G—PHYSICS
- G01—MEASURING; TESTING
- G01R—MEASURING ELECTRIC VARIABLES; MEASURING MAGNETIC VARIABLES
- G01R23/00—Arrangements for measuring frequencies; Arrangements for analysing frequency spectra
- G01R23/16—Spectrum analysis; Fourier analysis
Landscapes
- Physics & Mathematics (AREA)
- Mathematical Physics (AREA)
- General Physics & Mathematics (AREA)
- Measurement Of Resistance Or Impedance (AREA)
- Supply And Distribution Of Alternating Current (AREA)
Abstract
The invention provides a method for positioning a characteristic harmonic source of a PCC (point of common control) point, which is a qualitative analysis method, and is based on a Thevenin equivalent circuit identified by a harmonic source, the functional relation between the harmonic active power, the harmonic reactive power and the harmonic source parameter of the PCC point is obtained through mathematical derivation, and 6 sufficient conditions for positioning the harmonic source of the PCC point and 1 sufficient condition for positioning the main harmonic source of the PCC point are derived; further determining characteristic harmonics according to the harmonic current spectrogram, and temporarily disconnecting all power factor compensation capacitors when positioning a harmonic source to obtain system-side and load-side equivalent harmonic impedance parameters of the characteristic harmonics of the PCC points; and finally, according to the characteristic harmonic active power reactive trend graph, utilizing 7 sufficient conditions to realize PCC point harmonic source positioning. The method overcomes the defect of the existing qualitative analysis method that the theory is not strict, can position the characteristic harmonic source without accurate harmonic impedance, and is convenient for engineering application.
Description
Technical Field
The invention relates to the technical field of harmonic pollution treatment and harmonic source positioning, in particular to a characteristic harmonic source positioning method for PCC points.
Background
Because nonlinear loads are connected to a power grid in a large scale, a large amount of harmonic waves are injected into a public power grid, and huge influences are caused on the power grid and users. In order to realize accurate division of harmonic responsibility and further effectively treat harmonic pollution, a harmonic source needs to be accurately positioned.
Harmonic source positioning can be divided into two cases: one is PCC point harmonic source positioning and main harmonic source positioning; the other method is to calculate the harmonic voltage of each node of the system and the harmonic current of a branch by using a harmonic state estimation method for the whole system network, so as to judge that the branch contains a harmonic source, which is called a multi-line positioning method.
PCC point harmonic source location indicates: when a harmonic problem occurs at the PCC point, it is necessary to define whether the harmonic problem originates from the system side (power supply side) or the load side.
PCC point main harmonic source location indicates: when the harmonic problem occurs in the PCC, if harmonic sources exist on the system side and the load side, whether the system side or the load side is a main source of the harmonic problem of the PCC needs to be defined.
For the harmonic source positioning of the PCC points, the harmonic source positioning method can be divided into a quantitative analysis method and a qualitative analysis method according to whether the harmonic source responsibility is quantified or not.
The reference impedance method is one of the best known quantitative analysis methods for locating harmonic sources in the industry (w.xu and y.liu, "a method for determining a harmonic storage and utilization harmonic consistency," IEEE trans. power del, vol.15, pp.804-811, apr.2000 "), and provides a concept of reference impedance of the system and the load side, and the contribution rate of the system and the load side to the PCC harmonic problem can be obtained by combining the concept and a norton equivalent circuit model and using a circuit linearity superposition theory. The method has the following advantages: the contribution rate of the system and load side to the PCC point harmonic problem is decoupled, i.e. when the system or load side harmonic characteristics (impedance and harmonic voltage) are constant, their contribution rate to the PCC point harmonic problem is constant. But this method requires knowledge of the reference harmonic impedance of the system and load side.
An important branch of the harmonic source localization quantitative analysis method is that the core problem discussed in the branch is the solution of the harmonic impedance on the system side. The methods of the research branch can be classified into invasive and non-invasive according to the measurement mode.
The invasive characteristics are: the influence on the system is mainly achieved by injecting harmonic current of a certain frequency or switching switches into the system. The system side harmonic impedance obtained by the intrusive method has relatively high precision, but can affect the normal operation of a primary system.
The non-invasive method has no influence on the primary system, and the continuous measurement of the harmonic impedance at the system side can be realized by measuring the parameters of the PCC points. The main methods are fluctuation quantity method, linear regression method, random vector self-correlation characteristic method, data screening method and independent variable analysis method. The method does not affect a primary system, but in practical application, the method has low precision, complicated calculation and poor stability.
The purpose of the qualitative analysis method is: it is clear whether the PCC point harmonic problem is the dominant contribution to the system side or the load side. The method mainly comprises an active power direction method and a reactive power direction method.
The harmonic active power direction method is a main method for identifying harmonic sources in the electric power engineering field. The harmonic active power direction method considers that: the requirement that the h harmonic active power of the PCC is negative is a sufficient requirement that the h harmonic comes mainly from the load side. The h-harmonics are mainly from the load side (or system side) meaning that the load side (or system side) is the main h-harmonics source. Obviously, the harmonic active power direction method is a simple replica of the fundamental active power direction method. The literature (W.Xu, X.Liu and Y.Liu "An excitation on the amplitude of power direction method for harmonic source determination," IEEE trans. Power Delivery, vol.18, No.1, pp.214-219,2003.) finds that harmonic sources have a fundamental difference from fundamental sources: phase angle differences of 0-360 degrees may exist between the harmonic sources (in the same order) of the same system, and when the phase angle difference is large, the harmonic active power direction method is in principle wrong.
The document (c.li, w.xu, and t.tayjasanant "a critical impedance base method for identifying harmonic sources," IEEE trans.power Delivery, vol.19, No.2, pp.671-678,2004.) proposes a reactive power localization method, which determines the relative size of the harmonic sources on both sides by the reactive power direction to locate the main harmonic source. It can be demonstrated that: the functional relation between the harmonic reactive power and the harmonic source and the functional relation between the harmonic active power and the harmonic source are completely dual. Therefore, as with the sign of the harmonic active power, the sign of the harmonic reactive power also cannot determine where the primary harmonic source is coming from.
Chinese patent database, application number 201810077489.0, published 2018, 7 and 13, which discloses a method and a device for determining a main harmonic source based on an improved active power direction method. The method is a qualitative analysis method for harmonic source identification, and is used for PCC point main harmonic source identification. And determining that the main harmonic source in the power system is positioned on the system side or the load side according to the magnitude of the impedance angle between the harmonic voltage amplitude and the harmonic current amplitude of the sampling point and the preset impedance property of the system side and the preset impedance property of the load side. The method not only needs to measure the magnitude of the equivalent harmonic impedance phase angle of the PCC point, but also needs to know the magnitude of the harmonic impedance phase angle of the system side and the load side. The method is established and theoretically some basic conditions | Z must be satisfiedc|>|Zu|,|Xc|>|Rc|,|Xu|>|RuWhich makes practical application thereof very difficult.
In a Chinese patent database, application No. 201710244036.8, published 2018, 8 and 18, discloses a method for positioning a harmonic source. The method is a qualitative analysis method for harmonic source identification, based on the IEEE standard 1459-. The method needs to measure the apparent power when the harmonic sources on the system side and the load side act independently, and is very difficult to apply practically and not strict theoretically.
Chinese patent application No. 201610248382.9, published 2016, 8, 17, discloses a harmonic source identification and responsibility allocation method based on distortion power. The method is a multi-line harmonic source quantitative analysis method, distortion power of a harmonic source and distortion power of a non-harmonic source in a power grid are considered to be obviously different, harmonic responsibility is quantified by utilizing distortion power in the IEEE standard 1459-2014 power theory, and harmonic impedance estimation required by the existing method is avoided. However, this method requires measurement of distortion power of each line and is not theoretically rigorous.
The key to the practical application of the quantitative analysis method is the accurate measurement of the equivalent harmonic impedance of the system side and the load side. Theoretically, if quantitative analysis of PCC point harmonic source localization could be achieved, qualitative analysis would lose its significance. However, the actual harmonic impedance of the grid system side and the load side is time-varying, and it is very difficult to obtain accurate harmonic impedance, so that the engineering application of the method is very difficult.
The qualitative analysis method does not need precise harmonic impedance parameters, but the existing method is not strict in theory and difficult to apply practically.
Disclosure of Invention
The invention aims to provide a method for positioning a characteristic harmonic source of a PCC point, which overcomes the defect of the existing qualitative analysis method that the theory is not strict, can analyze and judge without accurate harmonic impedance and is convenient for engineering application.
The invention is realized by adopting the following scheme: a method for positioning a characteristic harmonic source of a PCC point specifically comprises the following steps:
s1, building a Thevenin equivalent circuit schematic diagram of a harmonic source of the electric power system of the public power grid;
step S2, calculating K harmonic current amplitudes of the PCC points, wherein K is a positive integer and is generally 1-50, and selecting a certain harmonic (for example, h) of the first several harmonics (for example, the first 10 harmonics) with the maximum amplitude in the 95% amplitudes as the characteristic harmonic of the PCC points by comparing the amplitudes of the harmonics with each other and the magnitude of 95% of the amplitudes;
s3, measuring the system side and load side harmonic equivalent impedance parameters of the characteristic harmonic of the PCC;
step S4, obtaining a harmonic active power and a harmonic reactive power trend chart of the characteristic harmonic of the PCC;
step S5, judging whether the harmonic source exists on the system side or the load side;
and step S6, when the system side and the load side both have harmonic sources, judging whether the main harmonic source is from the load side. In step S1, the system user equivalent circuit for harmonic source identification is a thevenin equivalent circuit.
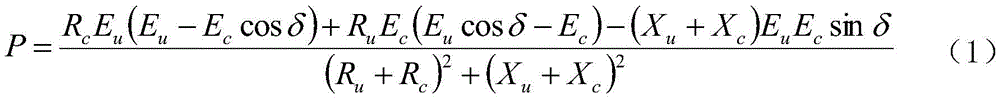
Further, in step S1, deriving the h-th harmonic active power P and the reactive power Q of the PCC point as
Wherein E isuIs the system side equivalent harmonic source electromotive force amplitude, RuAnd XuIs the system side equivalent harmonic resistance and reactance, EcIs the electromotive force amplitude of the equivalent harmonic source on the load side, RcAnd XcThe phase difference is the relative phase difference between the load-side equivalent harmonic source electromotive force and the system-side harmonic source electromotive force.
Further, in step S2, obtaining the current amplitude of each harmonic of the PCC point: by fourier transforming the current sample values over a 200ms time window.
Further, in step S2, the characteristic harmonic of the PCC point is obtained: and (3) obtaining a large value of 95% of each harmonic current within the monitoring time after monitoring for more than 24 hours, comparing the large values of 95% of each harmonic current, and selecting a certain harmonic (for example, h) from the first 10 harmonics with the largest amplitude in the large values of 95% as the characteristic harmonic of the PCC.
Further, in step S3, when the harmonic source is located, all the power factor compensation capacitors are temporarily disconnected to obtain qualitative information of the system-side and load-side equivalent harmonic impedance values of the characteristic harmonic (h-order harmonic) of the PCC point, which includes two types of information:
(1) the signs of the system's equivalent harmonic reactances and resistances, i.e. the signs of X, Xc, Xu, R, Rc, Ru, where RuAnd XuIs the system side equivalent harmonic reactance and resistance, RcAnd XcIs the equivalent harmonic reactance and resistance on the load side, X ═ Xu+Xc,R=Ru+Rc。
(2) The relative magnitudes of the system's equivalent harmonic reactances and resistances, e.g., Xc > Xu, or Xc < Xu, Rc > Ru, or Rc < Ru.
Further, in step S4, a trend graph of harmonic active power and harmonic reactive power of the characteristic harmonic of the PCC point is obtained: and measuring the harmonic active power and the harmonic reactive power of the characteristic harmonic (h-th harmonic) of the PCC point for more than 24 hours, and storing the measured values to obtain a trend graph of the harmonic active power and the harmonic reactive power.
Further, in step S5, it is determined whether or not h harmonic sources are present on the load side and the system side, and the presence of h harmonic sources on the load side is equivalent to EcNot equal to 0, the existence of h harmonic sources on the system side is equivalent to Eu≠0。
Further, in step S5, it is determined whether the harmonic source exists on the system side or the load side, and the determination is made based on one or more of the following criteria 1 to 6,
criterion 1: if the load side characteristic harmonic equivalent resistance RcIf the active power P of the characteristic harmonic wave of the PCC point is more than 0, the characteristic harmonic wave source is certainly arranged on the load side.
Further, in the step S5, it is verified by the inverse method that the hypothesis is that R iscOn the premise that P is more than 0 and less than 0, no h-order harmonic source, namely E, exists on the load side c0. Will EcSubstituting 0 into formula (1) to obtain:
because R iscIf > 0, P.gtoreq.0 is obtained from formula (3), which contradicts the precondition that P < 0. Therefore, a load side is provided with h harmonic sources;
criterion 2: if the system side characteristic harmonic equivalent resistance RuIf the active power P of the characteristic harmonic wave of the PCC point is larger than 0, a characteristic harmonic wave source is certainly arranged on the system side.
Criterion 3: if the load side characteristic harmonic equivalent reactance XcIf the power is more than 0 and the characteristic harmonic reactive power Q of the PCC point is less than 0, a characteristic harmonic source is certainly arranged on the load side.
Criterion 4. if the load side characteristic harmonic equivalent reactance XcCharacteristic harmonic reactive of < 0 and PCC pointWhen the power Q is larger than 0, a characteristic harmonic source is always arranged on the load side.
Criterion 5: if the system side characteristic harmonic equivalent reactance XuIf the reactive power Q is larger than 0 and the characteristic harmonic of the PCC point is larger than 0, a characteristic harmonic source is required to exist on the system side.
Criterion 6: if the load side characteristic harmonic equivalent reactance XuIf the characteristic harmonic reactive power Q of the PCC points is less than 0, a characteristic harmonic source is certainly arranged on the system side.
Further, in the step S6, if the h-order harmonic source exists on both the load side and the system side, the load side h-order harmonic source is the main harmonic source and is equivalent to Ec>EuThe h-order harmonic source on the system side is a main harmonic source and is equivalent to Eu>Ec。
Further, in step S6, if the system-side equivalent impedance, the load-side equivalent impedance, the PCC point harmonic active power and the harmonic reactive power of the characteristic harmonic satisfy at the same time: (1) rc≥Ru>0,(2)Xc≥XuIf the harmonic wave source is more than 0, (3) P is less than 0, and (4) Q is less than 0, then the characteristic harmonic wave source on the load side is a main harmonic wave source.
The invention has strict theory and convenient engineering application, and has the outstanding advantages of distinguishing the prior similar products: the method is a qualitative analysis method, and based on a Thevenin equivalent circuit identified by a harmonic source, accurate functional relations of the active power and the reactive power of the harmonic of the PCC point and the parameters of the harmonic source are firstly obtained by strict mathematical derivation. The method overcomes the defect of the existing qualitative analysis method that the method is not strict, and provides 6 sufficient conditions for PCC point harmonic source positioning and 1 sufficient condition for PCC point dominant harmonic source positioning. The invention only needs to obtain qualitative information of the system side and load side harmonic equivalent impedance values of the characteristic harmonic of the PCC points, the qualitative information is far easier to obtain than quantitative information, and the qualitative information can be conveniently obtained by temporarily disconnecting all power factor compensation capacitors, and the engineering application is convenient. The invention adopts the trend chart of the harmonic active power P and the harmonic reactive power Q of the characteristic harmonic, so that the engineering application is more stable.
Drawings
FIG. 1 is a flow chart of the present invention.
Fig. 2 is a main wiring diagram of the 220kv substation of the invention.
Fig. 3 is a schematic diagram of the equivalent circuit of the harmonic source thevenin of the present invention.
Fig. 4 is a thevenin equivalent circuit of a harmonic source of the substation line 1 of the present invention.
Fig. 5 is a diagram of a phase harmonic current spectrum of the present invention.
Fig. 6 is a trend graph of the active power of the 35 th harmonic of each line of the present invention.
Fig. 7 is a trend graph of 35 th harmonic reactive power for each line of the present invention.
Detailed Description
The invention is further described with reference to the accompanying drawings and an embodiment for positioning a harmonic source of a PCC point of a 220KV substation, and as shown in fig. 1, a method for positioning a characteristic harmonic source of a PCC point is performed according to the following steps:
and step S1, building a Thevenin equivalent circuit schematic diagram of the harmonic source of the power system of the public power grid.
Deducing the h-th harmonic active power P and the reactive power Q of the PCC point as
Wherein E isuIs the system side equivalent harmonic source electromotive force amplitude, RuAnd XuIs the system side equivalent harmonic resistance and reactance, EcIs the electromotive force amplitude of the equivalent harmonic source on the load side, RcAnd XcThe phase difference is the relative phase difference between the load-side equivalent harmonic source electromotive force and the system-side harmonic source electromotive force.
And step S2, calculating the amplitude of each (2-50) harmonic current of the PCC point, and selecting a certain harmonic (for example, the h-th harmonic) in the first 10 harmonics with the maximum amplitude in the 95% amplitudes as the characteristic harmonic of the PCC point by comparing the amplitudes of each harmonic with the amplitude of 95%.
In step S2, a characteristic harmonic of the PCC point is obtained: and (3) obtaining a large value of 95% of each harmonic current within the monitoring time after monitoring for more than 24 hours, comparing the large values of 95% of each harmonic current, and selecting a certain harmonic (for example, h) from the first 10 harmonics with the largest amplitude in the large values of 95% as the characteristic harmonic of the PCC. In step S2, the obtained harmonic current amplitudes of the PCC points are obtained by performing fourier transform on the current sampling values in the 200ms time window.
And step S3, measuring the system side and load side harmonic equivalent impedance parameters of the characteristic harmonic of the PCC.
In step S3, when the harmonic source is located, all the power factor compensation capacitors are temporarily disconnected to obtain qualitative information of the system-side and load-side equivalent harmonic impedance values of the characteristic harmonic (h-order harmonic) of the PCC point, including two types of information:
(1) the signs of the system's equivalent harmonic reactances and resistances, i.e. the signs of X, Xc, Xu, R, Rc, Ru, where RuAnd XuIs the system side equivalent harmonic reactance and resistance, RcAnd XcIs the equivalent harmonic reactance and resistance on the load side, X ═ Xu+Xc,R=Ru+Rc。
(2) Relative magnitudes of system equivalent harmonic reactances and resistances, e.g., Xc > Xu, or Xc < Xu, Rc > Ru, or Rc < Ru
And step S4, obtaining a harmonic active power and a harmonic reactive power trend chart of the characteristic harmonic of the PCC.
In step S4, a harmonic active power and a harmonic reactive power trend chart of the characteristic harmonic of the PCC point are obtained: and measuring the harmonic active power and the harmonic reactive power of the characteristic harmonic (h-th harmonic) of the PCC point for more than 24 hours, and storing the measured values to obtain a trend graph of the harmonic active power and the harmonic reactive power.
Step S5 is a step of determining whether the harmonic source is present on the system side or the load side.
The criteria for the determination include one or more of the following criteria,
criterion 1: if the load side characteristic harmonic (h harmonic) equivalent resistance RcIf the active power P of the characteristic harmonic wave of the PCC point is more than 0, a characteristic harmonic wave source (h-order harmonic wave source) is certainly arranged on the load side;
criterion 2: if the system side characteristic harmonic (h harmonic) equivalent resistance RuIf the active power P of the characteristic harmonic wave of the PCC point is larger than 0, a characteristic harmonic wave source (h-order harmonic wave source) is certainly arranged on the system side;
criterion 3: if the load side characteristic harmonic (h-th harmonic) equivalent reactance XcIf the power is more than 0 and the characteristic harmonic reactive power Q of the PCC point is less than 0, a characteristic harmonic source (h-order harmonic source) is certainly arranged on the load side;
criterion 4: if the load side characteristic harmonic (h-th harmonic) equivalent reactance XcIf the power is less than 0 and the characteristic harmonic reactive power Q of the PCC point is more than 0, a characteristic harmonic source (h-order harmonic source) is certainly arranged on the load side;
criterion 5: if the system side characteristic harmonic (h harmonic) equivalent reactance XuIf the power is more than 0 and the characteristic harmonic reactive power Q of the PCC point is more than 0, a characteristic harmonic source (h-order harmonic source) is certainly arranged on the system side;
criterion 6: if the load side characteristic harmonic (h-th harmonic) equivalent reactance XuIf the characteristic harmonic reactive power Q of the PCC points is less than 0, a characteristic harmonic source (h-order harmonic source) is certainly arranged on the system side.
The accuracy of positioning the harmonic source can be verified mutually according to the criteria 1, 3 and 4. The accuracy of the positioning of the harmonic source can be mutually verified according to the criteria 2, 5 and 6.
And step S6, when the system side and the load side both have harmonic sources, judging whether the main harmonic source is from the load side. If the system side equivalent impedance, the load side equivalent impedance, the PCC point harmonic active power and the harmonic reactive power of the characteristic harmonic (h harmonic) simultaneously satisfy: (1) rc≥Ru>0,(2)Xc≥XuIf the harmonic wave source is more than 0, (3) P is less than 0, and (4) Q is less than 0, the characteristic harmonic wave source at the load side is a main harmonic wave source; otherwise, the characteristic harmonic source at the system side is the main harmonic source.
Specifically, the method comprises the following steps:
in step S1, the transformer substation main wiring diagram is shown in fig. 2, where there are 7 outgoing lines (1-7 lines) for the 220kV bus, 6 outgoing lines (8-13 lines) for the 110kV bus, and the 35kV bus is only connected with the compensation capacitor. Further, in step S1, a schematic diagram of the dovinan equivalent circuit of the harmonic source of the power system is shown in fig. 3. Wherein E isuIs the system side equivalent harmonic source electromotive force amplitude, RuAnd XuIs the system side equivalent harmonic resistance and reactance, EcIs the electromotive force amplitude of the equivalent harmonic source on the load side, RcAnd XcIs the equivalent harmonic resistance and reactance of the load side, is the relative phase difference of the equivalent harmonic source electromotive force of the load side relative to the harmonic source electromotive force of the system side,is the harmonic voltage of the PCC in the frequency domain,is the harmonic current of the PCC in the current,the positive direction of (c) is shown in fig. 3.
In step S1, a schematic diagram of a harmonic source thevenin equivalent circuit of the substation line 1 may be obtained, and as shown in fig. 4, schematic diagrams of harmonic source thevenin equivalent circuits of other lines may also be obtained in the same manner.
In step S2, a dedicated power quality monitoring terminal is installed at each connection Point (PCC) between each outgoing line (13 lines in total) and the bus of the substation, and the harmonic current of each connection point is synchronously recorded. After long-term measurement (one month), the abnormal high-order harmonic current of the substation is recorded, wherein the 35 th harmonic is the most serious, and the 35 th harmonic is selected as the characteristic harmonic of the PCC point, as shown in fig. 5.
In step S3, when the harmonic source is located, all the power factor compensation capacitors are temporarily disconnected to obtain qualitative information of the system-side and load-side 35-order harmonic equivalent impedance values of the PCC points.
In step S4, active and reactive trend graphs of 35 th harmonic of each line of the substation within the monitoring time are obtained, as shown in fig. 6 and 7, respectively.
In step S5, as can be seen from fig. 6, the active power of the 35 th harmonic of the PCC on the No. 4 line is all negative in the whole time period, the active power of the 35 th harmonic of the PCC on the No.2 line and the PCC on the No. 7 line is negative in a part of the time period, and the load-side 35 th equivalent harmonic resistance R of the No. 4 line, the No.2 line and the PCC on the No. 7 line is known from step S3c> 0, according to criterion 1: there must be 35 harmonic sources on the load side of line No. 4 for the entire time period, and 35 harmonic sources on the load side of line No.2 and line No. 7 for a partial time period.
In step S6, as can be seen from fig. 6 and 7, the active power and the reactive power of the 35 th harmonic of the PCC on the 4 th line are simultaneously negative in the whole time period, and it can be seen from step S3 that the impedance parameter of the 35 th equivalent harmonic of the PCC on the 4 th line satisfies Rc≥Ru> 0 and Xc≥Xu> 0, according to criterion 7: the 35 th harmonic source on the load side of line 4 is the primary harmonic source for the entire time period.
In step S6, through investigation, it is found that there is a very busy traction substation on the line No. 4, and many harmonious electric locomotives are operated in the electrified railway powered by this traction substation, and the harmonious electric locomotives adopt an 'ac-dc-ac' speed regulation mode, which allows low harmonics to be significantly suppressed, higher harmonics to be often large, and characteristic harmonics to be often near 35, indicating the effectiveness of the method.
Although the present invention has been described in detail with reference to the foregoing embodiments, it will be apparent to those skilled in the art that modifications may be made to the embodiments described above, or equivalents may be substituted for elements thereof. Any modification, equivalent replacement, or improvement made within the spirit and principle of the present invention should be included in the protection scope of the present invention.
Claims (10)
1. A method for locating a characteristic harmonic source of a PCC point is characterized by comprising the following steps:
s1, building a Thevenin equivalent circuit schematic diagram of a harmonic source of the electric power system of the public power grid;
step S2, K harmonic current amplitudes of the PCC points are calculated, wherein K is a positive integer, and certain harmonic among the first multiple harmonics with the largest amplitude in the 95% large values is selected as the characteristic harmonic of the PCC points by comparing the sizes of the 95% large values of the amplitudes of the harmonics;
s3, measuring equivalent harmonic impedance parameters of a system side and a load side of the characteristic harmonic of the PCC;
step S4, obtaining a harmonic active power and a harmonic reactive power trend chart of the characteristic harmonic of the PCC;
step S5, judging whether the harmonic source exists on the system side or the load side; the criteria for the determination include one or more of the following criteria,
criterion 1: if the load side characteristic harmonic equivalent resistance RcIf the active power P of the characteristic harmonic wave of the PCC point is more than 0, a characteristic harmonic wave source is certainly arranged on the load side;
criterion 2: if the system side characteristic harmonic equivalent resistance RuIf the active power P of the characteristic harmonic wave of the PCC point is greater than 0, a characteristic harmonic wave source is certainly present on the system side;
criterion 3: if the load side characteristic harmonic equivalent reactance XcIf the power is more than 0 and the characteristic harmonic reactive power Q of the PCC point is less than 0, a characteristic harmonic source is certainly arranged on the load side;
criterion 4. if the load side characteristic harmonic equivalent reactance XcIf the reactive power Q is less than 0 and the characteristic harmonic of the PCC point is more than 0, a characteristic harmonic source is certainly present on the load side;
criterion 5: if the system side characteristic harmonic equivalent reactance XuIf the reactive power Q is greater than 0 and the characteristic harmonic of the PCC point is greater than 0, a characteristic harmonic source is certainly present on the system side;
criterion 6: if the load side characteristic harmonic equivalent reactance XuIf the reactive power Q is less than 0 and the characteristic harmonic of the PCC point is less than 0, a characteristic harmonic source is certainly present at the system side;
and step S6, when the system side and the load side both have harmonic sources, judging whether the main harmonic source is from the load side.
2. The method according to claim 1, wherein the PCC points are located by a harmonic source, and the method comprises: in step S1, the harmonic active power P and the reactive power Q of the davinan equivalent circuit PCC point for identifying the harmonic source are:
wherein E isuIs the system side equivalent harmonic source electromotive force amplitude, RuAnd XuIs the system side equivalent harmonic resistance and reactance, EcIs the electromotive force amplitude of the equivalent harmonic source on the load side, RcAnd XcThe phase difference is the relative phase difference between the load-side equivalent harmonic source electromotive force and the system-side harmonic source electromotive force.
3. The method according to claim 1, wherein the PCC points are located by a harmonic source, and the method comprises: in step S2, the method for measuring the current amplitude of each harmonic of the PCC point includes: obtained by performing Fourier transform on the current sampling value of a 200ms time window.
4. The method according to claim 1, wherein the PCC points are located by a harmonic source, and the method comprises: in step S2, the characteristic harmonic of the PCC point is obtained by monitoring over 24 hours.
5. The method according to claim 1, wherein the PCC points are located by a harmonic source, and the method comprises: in step S3, when the harmonic source is located, all the power factor compensation capacitors are temporarily disconnected to obtain the system-side and load-side equivalent harmonic impedance parameters of the characteristic harmonics of the PCC points.
6. The method according to claim 1, wherein the PCC points are located by a harmonic source, and the method comprises: in step S4, the trend graphs of the harmonic active power P and the harmonic reactive power Q of the characteristic harmonic are: and measuring the harmonic active power and the harmonic reactive power of the characteristic harmonic of the PCC point for more than 24 hours, and storing the measured values to obtain a trend graph of the characteristic harmonic active power and the harmonic reactive power of the PCC point.
7. The method according to claim 1, wherein the PCC points are located by a harmonic source, and the method comprises: in step S5, the accuracy of the positioning of the characteristic harmonic source is mutually verified according to criteria 1, 3, and 4.
8. The method according to claim 1, wherein the PCC points are located by a harmonic source, and the method comprises: in step S5, the accuracy of the positioning of the characteristic harmonic source is mutually verified according to criteria 2, 5, and 6.
9. The method according to claim 1, wherein the PCC points are located by a harmonic source, and the method comprises: in step S6, if the system-side equivalent impedance, the load-side equivalent impedance, the PCC point harmonic active power, and the harmonic reactive power of the characteristic harmonic satisfy at the same time: (1) rc≥Ru>0,(2)Xc≥XuIf the harmonic wave source is more than 0, (3) P is less than 0, and (4) Q is less than 0, the characteristic harmonic wave source at the load side is a main harmonic wave source; otherwise, the characteristic harmonic source at the system side is the main harmonic source.
10. The method according to claim 1, wherein the PCC points are located by a harmonic source, and the method comprises: in step S2, K is 2 to 50, and h harmonic of the first 10 harmonics with the largest amplitude among the 95% magnitudes is selected as the characteristic harmonic of the PCC point by comparing the magnitudes of 95% of the magnitudes of the harmonics.
Priority Applications (1)
| Application Number | Priority Date | Filing Date | Title |
|---|---|---|---|
| CN201811092358.6A CN109061300B (en) | 2018-09-19 | 2018-09-19 | Characteristic harmonic source positioning method for PCC (point of common coupling) |
Applications Claiming Priority (1)
| Application Number | Priority Date | Filing Date | Title |
|---|---|---|---|
| CN201811092358.6A CN109061300B (en) | 2018-09-19 | 2018-09-19 | Characteristic harmonic source positioning method for PCC (point of common coupling) |
Publications (2)
| Publication Number | Publication Date |
|---|---|
| CN109061300A CN109061300A (en) | 2018-12-21 |
| CN109061300B true CN109061300B (en) | 2020-11-10 |
Family
ID=64762171
Family Applications (1)
| Application Number | Title | Priority Date | Filing Date |
|---|---|---|---|
| CN201811092358.6A Active CN109061300B (en) | 2018-09-19 | 2018-09-19 | Characteristic harmonic source positioning method for PCC (point of common coupling) |
Country Status (1)
| Country | Link |
|---|---|
| CN (1) | CN109061300B (en) |
Families Citing this family (8)
| Publication number | Priority date | Publication date | Assignee | Title |
|---|---|---|---|---|
| CN109541308B (en) * | 2019-01-25 | 2020-12-04 | 中国科学院电工研究所 | Harmonic analysis method based on distributed quasi-synchronous power grid measurement system |
| CN110045186B (en) * | 2019-04-25 | 2020-06-23 | 四川大学 | Method and system for estimating system harmonic impedance at common connection point of power system |
| CN110031680B (en) * | 2019-04-28 | 2020-06-12 | 四川大学 | System side harmonic impedance estimation method and system |
| CN110244121B (en) * | 2019-06-12 | 2021-06-01 | 国电南瑞南京控制系统有限公司 | Harmonic responsibility estimation method based on power quality statistical data |
| CN113484690A (en) * | 2021-07-27 | 2021-10-08 | 杭州得诚电力科技股份有限公司 | Harmonic source positioning method, device, equipment and storage medium of power supply system |
| CN114325107B (en) * | 2021-12-10 | 2024-11-22 | 国网西藏电力有限公司电力科学研究院 | A method for judging the accuracy of harmonic impedance calculation results |
| CN115065053B (en) * | 2022-08-19 | 2022-11-15 | 山东大学 | Station area harmonic responsibility qualitative assessment method and system based on source-load equivalent admittance |
| CN116068271B (en) * | 2023-04-06 | 2023-11-24 | 吉林大学 | Park power harmonic distribution and identification method based on virtual instrument |
Citations (9)
| Publication number | Priority date | Publication date | Assignee | Title |
|---|---|---|---|---|
| WO2000010017A1 (en) * | 1998-08-11 | 2000-02-24 | The Governor Of The University Of Alberta | Method and apparatus for differentiating contributions of harmonic pollution sources |
| CN104678219A (en) * | 2015-02-10 | 2015-06-03 | 华南理工大学 | Capacitance compensation matching method based on high-current test system |
| CN104833935A (en) * | 2015-05-15 | 2015-08-12 | 中国矿业大学 | Inspection method aimed at limitation of harmonic source positioning by using active power direction method |
| CN104898019A (en) * | 2015-05-11 | 2015-09-09 | 国家电网公司 | Harmonic source positioning and harmonic responsibility division method applied to active distribution network |
| CN106093571A (en) * | 2016-06-08 | 2016-11-09 | 南瑞(武汉)电气设备与工程能效测评中心 | The harmonic wave source tracing method that user side is main harmonic source is judged based on what impedance retrained |
| CN106093570A (en) * | 2016-06-08 | 2016-11-09 | 南瑞(武汉)电气设备与工程能效测评中心 | A kind of harmonic wave source tracing method judging that system side is major harmonic source |
| CN106383295A (en) * | 2016-10-26 | 2017-02-08 | 武汉大学 | Power supply and consumption system harmonic source identification method and power supply and consumption system harmonic source identification model |
| CN106405287A (en) * | 2016-08-31 | 2017-02-15 | 云南电网有限责任公司曲靖供电局 | Dominant harmonic wave source tracking method suitable for daily electric energy quality monitoring system application |
| CN107144732A (en) * | 2017-06-29 | 2017-09-08 | 西安科技大学 | User-side harmonic source localization method based on lumped power |
-
2018
- 2018-09-19 CN CN201811092358.6A patent/CN109061300B/en active Active
Patent Citations (9)
| Publication number | Priority date | Publication date | Assignee | Title |
|---|---|---|---|---|
| WO2000010017A1 (en) * | 1998-08-11 | 2000-02-24 | The Governor Of The University Of Alberta | Method and apparatus for differentiating contributions of harmonic pollution sources |
| CN104678219A (en) * | 2015-02-10 | 2015-06-03 | 华南理工大学 | Capacitance compensation matching method based on high-current test system |
| CN104898019A (en) * | 2015-05-11 | 2015-09-09 | 国家电网公司 | Harmonic source positioning and harmonic responsibility division method applied to active distribution network |
| CN104833935A (en) * | 2015-05-15 | 2015-08-12 | 中国矿业大学 | Inspection method aimed at limitation of harmonic source positioning by using active power direction method |
| CN106093571A (en) * | 2016-06-08 | 2016-11-09 | 南瑞(武汉)电气设备与工程能效测评中心 | The harmonic wave source tracing method that user side is main harmonic source is judged based on what impedance retrained |
| CN106093570A (en) * | 2016-06-08 | 2016-11-09 | 南瑞(武汉)电气设备与工程能效测评中心 | A kind of harmonic wave source tracing method judging that system side is major harmonic source |
| CN106405287A (en) * | 2016-08-31 | 2017-02-15 | 云南电网有限责任公司曲靖供电局 | Dominant harmonic wave source tracking method suitable for daily electric energy quality monitoring system application |
| CN106383295A (en) * | 2016-10-26 | 2017-02-08 | 武汉大学 | Power supply and consumption system harmonic source identification method and power supply and consumption system harmonic source identification model |
| CN107144732A (en) * | 2017-06-29 | 2017-09-08 | 西安科技大学 | User-side harmonic source localization method based on lumped power |
Non-Patent Citations (3)
| Title |
|---|
| A "critical impedance"-based method for identifying harmonic sources;Chun Li et.al.;《IEEE Transactions on Power Delivery》;20040430;第19卷(第2期);第671-678页 * |
| An Investigation on the Validity of Power-Direction Method for Harmonic Source Determination;Wilsun Xu et.al.;《IEEE Transactions on Power Delivery》;20030131;第18卷(第1期);第214-219页 * |
| 基于功率预估和阻抗校正法的主导谐波源追踪;李瑞等;《广东电力》;20170630;第30卷(第6期);第73-79页 * |
Also Published As
| Publication number | Publication date |
|---|---|
| CN109061300A (en) | 2018-12-21 |
Similar Documents
| Publication | Publication Date | Title |
|---|---|---|
| CN109061300B (en) | Characteristic harmonic source positioning method for PCC (point of common coupling) | |
| CN106054023B (en) | A method for estimating system impedance on both sides of transmission line in single-ended ranging | |
| KR100872798B1 (en) | Distortion Power Quality Index Measurement Apparatus and Method | |
| CN106154040B (en) | A Method for Calculating Equivalent Harmonic Impedance at Single Point Equivalence of Power Grid | |
| CN101419254A (en) | Uhv transmission line parameter measuring systems and method | |
| Borkowski et al. | New method for noninvasive measurement of utility harmonic impedance | |
| CN106707007A (en) | Working method of power transformation equipment insulation online monitoring system | |
| CN102938130A (en) | Comprehensive assessment method for performance indexes of power quality based on PQView | |
| Abdullah et al. | A new vector draft method for harmonic source detection at point of common coupling | |
| de Almeida Coelho et al. | Power measurement using stockwell transform | |
| Vallés et al. | A new distributed measurement index for the identification of harmonic distortion and/or unbalance sources based on the IEEE Std. 1459 framework | |
| de Andrade Jr et al. | Estimation of the utility's and consumer's contribution to harmonic distortion | |
| Chen et al. | Research on a new type of overvoltages monitoring sensor and decoupling technology | |
| Han et al. | A new assessment for the total harmonic contributions at the point of common coupling | |
| Xu et al. | Aggregate harmonic fingerprint models of PV inverters. Part 1: Operation at different powers | |
| CN108919028A (en) | Cable line-hunting method and device based on Faraday's electromagnetic induction law | |
| Cataliotti et al. | A time domain approach for IEEE Std 1459-2000 powers measurement in distorted and unbalanced power systems | |
| Yonghai et al. | Partial least-squares regression based harmonic emission level assessing at the point of common coupling | |
| Chang et al. | A digital implementation of flickermeter in the hybrid time and frequency domains | |
| CN111007315A (en) | Circuit branch identification method based on current harmonic spectrum | |
| Tentzerakis et al. | Measurement of wind farm harmonic emissions | |
| Chen | A calibration test platform of power quality instruments for grid integration of wind energy system | |
| CN114460359A (en) | Method, device, equipment and storage medium for eliminating harmonic voltage measurement error of power grid | |
| Bazina et al. | Comparison of various methods for determining direction of harmonic distortion by measuring in point of common coupling | |
| CN206223872U (en) | Condenser type electric power equipment dielectric loss on-line detecting system |
Legal Events
| Date | Code | Title | Description |
|---|---|---|---|
| PB01 | Publication | ||
| PB01 | Publication | ||
| SE01 | Entry into force of request for substantive examination | ||
| SE01 | Entry into force of request for substantive examination | ||
| GR01 | Patent grant | ||
| GR01 | Patent grant |









