CN108778452B - 包括包含合成纤维的过滤层的过滤介质 - Google Patents
包括包含合成纤维的过滤层的过滤介质 Download PDFInfo
- Publication number
- CN108778452B CN108778452B CN201780011721.4A CN201780011721A CN108778452B CN 108778452 B CN108778452 B CN 108778452B CN 201780011721 A CN201780011721 A CN 201780011721A CN 108778452 B CN108778452 B CN 108778452B
- Authority
- CN
- China
- Prior art keywords
- equal
- less
- microns
- nonwoven web
- fibers
- Prior art date
- Legal status (The legal status is an assumption and is not a legal conclusion. Google has not performed a legal analysis and makes no representation as to the accuracy of the status listed.)
- Expired - Fee Related
Links
Images
Classifications
-
- B—PERFORMING OPERATIONS; TRANSPORTING
- B01—PHYSICAL OR CHEMICAL PROCESSES OR APPARATUS IN GENERAL
- B01D—SEPARATION
- B01D39/00—Filtering material for liquid or gaseous fluids
- B01D39/14—Other self-supporting filtering material ; Other filtering material
- B01D39/16—Other self-supporting filtering material ; Other filtering material of organic material, e.g. synthetic fibres
- B01D39/1607—Other self-supporting filtering material ; Other filtering material of organic material, e.g. synthetic fibres the material being fibrous
- B01D39/1623—Other self-supporting filtering material ; Other filtering material of organic material, e.g. synthetic fibres the material being fibrous of synthetic origin
-
- D—TEXTILES; PAPER
- D04—BRAIDING; LACE-MAKING; KNITTING; TRIMMINGS; NON-WOVEN FABRICS
- D04H—MAKING TEXTILE FABRICS, e.g. FROM FIBRES OR FILAMENTARY MATERIAL; FABRICS MADE BY SUCH PROCESSES OR APPARATUS, e.g. FELTS, NON-WOVEN FABRICS; COTTON-WOOL; WADDING ; NON-WOVEN FABRICS FROM STAPLE FIBRES, FILAMENTS OR YARNS, BONDED WITH AT LEAST ONE WEB-LIKE MATERIAL DURING THEIR CONSOLIDATION
- D04H1/00—Non-woven fabrics formed wholly or mainly of staple fibres or like relatively short fibres
- D04H1/40—Non-woven fabrics formed wholly or mainly of staple fibres or like relatively short fibres from fleeces or layers composed of fibres without existing or potential cohesive properties
- D04H1/42—Non-woven fabrics formed wholly or mainly of staple fibres or like relatively short fibres from fleeces or layers composed of fibres without existing or potential cohesive properties characterised by the use of certain kinds of fibres insofar as this use has no preponderant influence on the consolidation of the fleece
- D04H1/4326—Condensation or reaction polymers
- D04H1/435—Polyesters
-
- D—TEXTILES; PAPER
- D04—BRAIDING; LACE-MAKING; KNITTING; TRIMMINGS; NON-WOVEN FABRICS
- D04H—MAKING TEXTILE FABRICS, e.g. FROM FIBRES OR FILAMENTARY MATERIAL; FABRICS MADE BY SUCH PROCESSES OR APPARATUS, e.g. FELTS, NON-WOVEN FABRICS; COTTON-WOOL; WADDING ; NON-WOVEN FABRICS FROM STAPLE FIBRES, FILAMENTS OR YARNS, BONDED WITH AT LEAST ONE WEB-LIKE MATERIAL DURING THEIR CONSOLIDATION
- D04H1/00—Non-woven fabrics formed wholly or mainly of staple fibres or like relatively short fibres
- D04H1/40—Non-woven fabrics formed wholly or mainly of staple fibres or like relatively short fibres from fleeces or layers composed of fibres without existing or potential cohesive properties
- D04H1/42—Non-woven fabrics formed wholly or mainly of staple fibres or like relatively short fibres from fleeces or layers composed of fibres without existing or potential cohesive properties characterised by the use of certain kinds of fibres insofar as this use has no preponderant influence on the consolidation of the fleece
- D04H1/4382—Stretched reticular film fibres; Composite fibres; Mixed fibres; Ultrafine fibres; Fibres for artificial leather
-
- D—TEXTILES; PAPER
- D04—BRAIDING; LACE-MAKING; KNITTING; TRIMMINGS; NON-WOVEN FABRICS
- D04H—MAKING TEXTILE FABRICS, e.g. FROM FIBRES OR FILAMENTARY MATERIAL; FABRICS MADE BY SUCH PROCESSES OR APPARATUS, e.g. FELTS, NON-WOVEN FABRICS; COTTON-WOOL; WADDING ; NON-WOVEN FABRICS FROM STAPLE FIBRES, FILAMENTS OR YARNS, BONDED WITH AT LEAST ONE WEB-LIKE MATERIAL DURING THEIR CONSOLIDATION
- D04H1/00—Non-woven fabrics formed wholly or mainly of staple fibres or like relatively short fibres
- D04H1/40—Non-woven fabrics formed wholly or mainly of staple fibres or like relatively short fibres from fleeces or layers composed of fibres without existing or potential cohesive properties
- D04H1/42—Non-woven fabrics formed wholly or mainly of staple fibres or like relatively short fibres from fleeces or layers composed of fibres without existing or potential cohesive properties characterised by the use of certain kinds of fibres insofar as this use has no preponderant influence on the consolidation of the fleece
- D04H1/4382—Stretched reticular film fibres; Composite fibres; Mixed fibres; Ultrafine fibres; Fibres for artificial leather
- D04H1/43835—Mixed fibres, e.g. at least two chemically different fibres or fibre blends
-
- D—TEXTILES; PAPER
- D04—BRAIDING; LACE-MAKING; KNITTING; TRIMMINGS; NON-WOVEN FABRICS
- D04H—MAKING TEXTILE FABRICS, e.g. FROM FIBRES OR FILAMENTARY MATERIAL; FABRICS MADE BY SUCH PROCESSES OR APPARATUS, e.g. FELTS, NON-WOVEN FABRICS; COTTON-WOOL; WADDING ; NON-WOVEN FABRICS FROM STAPLE FIBRES, FILAMENTS OR YARNS, BONDED WITH AT LEAST ONE WEB-LIKE MATERIAL DURING THEIR CONSOLIDATION
- D04H1/00—Non-woven fabrics formed wholly or mainly of staple fibres or like relatively short fibres
- D04H1/40—Non-woven fabrics formed wholly or mainly of staple fibres or like relatively short fibres from fleeces or layers composed of fibres without existing or potential cohesive properties
- D04H1/42—Non-woven fabrics formed wholly or mainly of staple fibres or like relatively short fibres from fleeces or layers composed of fibres without existing or potential cohesive properties characterised by the use of certain kinds of fibres insofar as this use has no preponderant influence on the consolidation of the fleece
- D04H1/4382—Stretched reticular film fibres; Composite fibres; Mixed fibres; Ultrafine fibres; Fibres for artificial leather
- D04H1/43838—Ultrafine fibres, e.g. microfibres
-
- D—TEXTILES; PAPER
- D04—BRAIDING; LACE-MAKING; KNITTING; TRIMMINGS; NON-WOVEN FABRICS
- D04H—MAKING TEXTILE FABRICS, e.g. FROM FIBRES OR FILAMENTARY MATERIAL; FABRICS MADE BY SUCH PROCESSES OR APPARATUS, e.g. FELTS, NON-WOVEN FABRICS; COTTON-WOOL; WADDING ; NON-WOVEN FABRICS FROM STAPLE FIBRES, FILAMENTS OR YARNS, BONDED WITH AT LEAST ONE WEB-LIKE MATERIAL DURING THEIR CONSOLIDATION
- D04H1/00—Non-woven fabrics formed wholly or mainly of staple fibres or like relatively short fibres
- D04H1/40—Non-woven fabrics formed wholly or mainly of staple fibres or like relatively short fibres from fleeces or layers composed of fibres without existing or potential cohesive properties
- D04H1/58—Non-woven fabrics formed wholly or mainly of staple fibres or like relatively short fibres from fleeces or layers composed of fibres without existing or potential cohesive properties by applying, incorporating or activating chemical or thermoplastic bonding agents, e.g. adhesives
-
- D—TEXTILES; PAPER
- D04—BRAIDING; LACE-MAKING; KNITTING; TRIMMINGS; NON-WOVEN FABRICS
- D04H—MAKING TEXTILE FABRICS, e.g. FROM FIBRES OR FILAMENTARY MATERIAL; FABRICS MADE BY SUCH PROCESSES OR APPARATUS, e.g. FELTS, NON-WOVEN FABRICS; COTTON-WOOL; WADDING ; NON-WOVEN FABRICS FROM STAPLE FIBRES, FILAMENTS OR YARNS, BONDED WITH AT LEAST ONE WEB-LIKE MATERIAL DURING THEIR CONSOLIDATION
- D04H1/00—Non-woven fabrics formed wholly or mainly of staple fibres or like relatively short fibres
- D04H1/70—Non-woven fabrics formed wholly or mainly of staple fibres or like relatively short fibres characterised by the method of forming fleeces or layers, e.g. reorientation of fibres
- D04H1/72—Non-woven fabrics formed wholly or mainly of staple fibres or like relatively short fibres characterised by the method of forming fleeces or layers, e.g. reorientation of fibres the fibres being randomly arranged
- D04H1/732—Non-woven fabrics formed wholly or mainly of staple fibres or like relatively short fibres characterised by the method of forming fleeces or layers, e.g. reorientation of fibres the fibres being randomly arranged by fluid current, e.g. air-lay
-
- B—PERFORMING OPERATIONS; TRANSPORTING
- B01—PHYSICAL OR CHEMICAL PROCESSES OR APPARATUS IN GENERAL
- B01D—SEPARATION
- B01D2239/00—Aspects relating to filtering material for liquid or gaseous fluids
- B01D2239/06—Filter cloth, e.g. knitted, woven non-woven; self-supported material
- B01D2239/0604—Arrangement of the fibres in the filtering material
- B01D2239/0636—Two or more types of fibres present in the filter material
-
- B—PERFORMING OPERATIONS; TRANSPORTING
- B01—PHYSICAL OR CHEMICAL PROCESSES OR APPARATUS IN GENERAL
- B01D—SEPARATION
- B01D2239/00—Aspects relating to filtering material for liquid or gaseous fluids
- B01D2239/06—Filter cloth, e.g. knitted, woven non-woven; self-supported material
- B01D2239/065—More than one layer present in the filtering material
-
- B—PERFORMING OPERATIONS; TRANSPORTING
- B01—PHYSICAL OR CHEMICAL PROCESSES OR APPARATUS IN GENERAL
- B01D—SEPARATION
- B01D2239/00—Aspects relating to filtering material for liquid or gaseous fluids
- B01D2239/12—Special parameters characterising the filtering material
- B01D2239/1233—Fibre diameter
-
- B—PERFORMING OPERATIONS; TRANSPORTING
- B01—PHYSICAL OR CHEMICAL PROCESSES OR APPARATUS IN GENERAL
- B01D—SEPARATION
- B01D2239/00—Aspects relating to filtering material for liquid or gaseous fluids
- B01D2239/12—Special parameters characterising the filtering material
- B01D2239/1291—Other parameters
-
- B—PERFORMING OPERATIONS; TRANSPORTING
- B01—PHYSICAL OR CHEMICAL PROCESSES OR APPARATUS IN GENERAL
- B01D—SEPARATION
- B01D39/00—Filtering material for liquid or gaseous fluids
- B01D39/14—Other self-supporting filtering material ; Other filtering material
- B01D39/16—Other self-supporting filtering material ; Other filtering material of organic material, e.g. synthetic fibres
- B01D39/1607—Other self-supporting filtering material ; Other filtering material of organic material, e.g. synthetic fibres the material being fibrous
- B01D39/1623—Other self-supporting filtering material ; Other filtering material of organic material, e.g. synthetic fibres the material being fibrous of synthetic origin
- B01D39/163—Other self-supporting filtering material ; Other filtering material of organic material, e.g. synthetic fibres the material being fibrous of synthetic origin sintered or bonded
Landscapes
- Engineering & Computer Science (AREA)
- Textile Engineering (AREA)
- Chemical & Material Sciences (AREA)
- Chemical Kinetics & Catalysis (AREA)
- Filtering Materials (AREA)
Abstract
提供了包括包含合成纤维的过滤层(例如,可打褶的背衬层)的过滤介质以及与其相关的有关组件、系统和方法。在一些实施方案中,包含合成纤维的过滤层可以是包含粗直径纤维和细直径纤维的共混物的非织造网。包含合成纤维的过滤层可被设计成具有期望的性能特性而不损害某些机械特性,例如介质的可打褶性。在一些实施方案中,本文所述的过滤介质可包括包含合成纤维的过滤层和效率层。如本文所述的过滤介质可特别适用于涉及过滤空气的应用,尽管所述介质也可用于其他应用中。
Description
技术领域
本发明的实施方案一般地涉及包括包含合成纤维的过滤层的过滤介质,并且具体地,涉及具有增强的过滤特性的过滤介质。
背景技术
可以使用多种过滤介质来移除多种应用中的污染物。过滤介质可根据其期望的用途而被设计成具有不同的性能特征。例如,相对较低效率的过滤介质可用于加热、通风、制冷、空气调节应用。对于需要不同性能特征(例如,非常高的效率)的应用,例如对于洁净室或生物医学应用,可使用高效颗粒空气(high efficiency particulate air,HEPA)过滤器或超低穿透率空气(ultra-low penetration air,ULPA)过滤器。
可以使用过滤介质来移除多种应用中的污染物。通常,过滤介质包括一个或更多个纤维网。纤维网提供允许流体(例如,空气)流过该网的多孔结构。包含在流体中的污染物颗粒可被捕获在纤维网上。纤维网特征(例如,孔径、纤维尺寸、纤维组成、基重等)影响介质的过滤性能。虽然不同类型的过滤介质是可用的,但仍需要改进。
发明内容
提供了包括包含合成纤维的过滤层(例如,可打褶的背衬层)的过滤介质以及与其相关的有关组件、系统和方法。在一些情况下,本申请的主题涉及相关产品、特定问题的替代解决方案和/或结构和组成的多种不同用途。
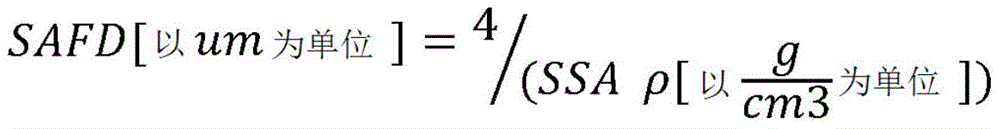
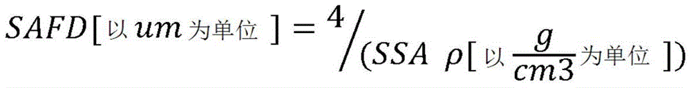
在一组实施方案中,提供了过滤介质。在一个实施方案中,过滤介质包括非织造网,所述非织造网包含:平均纤维直径大于或等于约15微米的第一合成纤维,其中所述第一合成纤维的重量百分比为所述非织造网中全部纤维的大于或等于约40重量%;以及平均纤维直径大于或等于约0.5微米且小于约15微米的第二合成纤维,其中所述第二合成纤维的重量百分比为所述非织造网中全部纤维的小于或等于约50重量%,并且其中所述非织造网的表面平均纤维直径大于或等于约13微米且小于或等于约17微米并使用下式来测量:
其中SSA是以m2/g为单位的过滤层的BET表面,以及ρ是以g/cm3为单位的所述层的密度。过滤介质还可包括效率层,并且过滤介质的容尘量大于或等于约20g/m2。
在另一个实施方案中,过滤介质包括非织造网,所述非织造网包含:平均纤维直径大于或等于约15微米的第一合成纤维,其中所述第一合成纤维的重量百分比为所述非织造网中全部纤维的大于或等于约40重量%;以及平均纤维直径大于或等于约0.5微米且小于约15微米的第二合成纤维,其中所述第二合成纤维的重量百分比为所述非织造网中全部纤维的小于或等于约50重量%,其中所述非织造网的表面平均纤维直径大于或等于约13微米且小于或等于约17微米并使用下式来测量:
其中SSA是以m2/g为单位的过滤层的BET表面,以及ρ是以g/cm3为单位的所述层的密度,并且其中所述非织造网的基重小于或等于约110g/m2。过滤介质还可包括效率层。
在另一组实施方案中,提供了湿法成网非织造网。在一个实施方案中,湿法成网非织造网包含:平均纤维直径大于或等于约15微米的第一合成纤维,其中所述第一合成纤维的重量百分比为所述湿法成网非织造网中全部纤维的大于或等于约40重量%;以及平均纤维直径大于或等于约0.5微米且小于约15微米的第二合成纤维,其中所述第二合成纤维的重量百分比为所述湿法成网非织造网中全部纤维的小于或等于约50重量%,并且其中所述湿法成网非织造网的表面平均纤维直径大于或等于约13微米且小于或等于约17微米并使用下式来测量:
其中SSA是以m2/g为单位的过滤层的BET表面,以及ρ是以g/cm3为单位的所述层的密度。
在又一组实施方案中,提供了方法。在一个实施方案中,制造非织造网的方法包括:提供平均纤维直径大于或等于约15微米的第一合成纤维;提供平均纤维直径大于或等于约0.5微米且小于约15微米的第二合成纤维;以及使用湿法成网工艺形成非织造网,其中所述第一合成纤维的重量百分比为所述非织造网中全部纤维的大于或等于约40重量%,所述第二合成纤维的重量百分比为所述非织造网中全部纤维的小于或等于约50重量%,并且所述非织造网的表面平均纤维直径大于或等于约13微米且小于或等于约17微米并使用下式来测量:
其中SSA是以m2/g为单位的过滤层的BET表面,以及ρ是以g/cm3为单位的所述层的密度。
当结合附图考虑时,本发明的其他优点和新特征将由以下本发明的多个非限制性实施方案的详细描述而变得显而易见。在本说明书和通过引用并入的文献包含冲突和/或不一致的公开内容的情况下,应当以本说明书为准。如果通过引用并入的两个或更多个文献包含相对于彼此冲突和/或不一致的公开内容,则应当以生效日期在后的文献为准。
附图说明
将参考附图通过示例的方式来描述本发明的非限制性实施方案,附图为示意性的并且不旨在按比例绘制。在附图中,所示出的每个相同或几乎相同的组件通常用单一附图标记表示。出于清楚的目的,在图示对使本领域普通技术人员理解本发明来说不必要的情况下,并未在每个图中标记出每个组件,也并未示出本发明的每个实施方案的每个组件。在附图中:
图1A-1D示出了根据某些实施方案的过滤介质的截面;以及
图2示出了多种过滤介质的容尘量对表面平均纤维直径的图。
具体实施方式
提供了包括包含合成纤维的过滤层(例如,可打褶的背衬层)的过滤介质以及与其相关的有关组件、系统和方法。在一些实施方案中,过滤层可以是包含粗直径合成纤维和细直径合成纤维的共混物的非织造网(例如,湿法成网非织造网)。包含合成纤维的过滤层可被设计成具有期望的性能特性而不损害某些机械特性,例如介质的可打褶性。例如,可选择层的纤维特征(例如,直径、组成)和层中的相对重量百分比以赋予有益的特性,例如高容尘量。在一些实施方案中,过滤层可包含相对高重量百分比的合成纤维和/或基本上不含玻璃纤维以赋予耐久性和/或对某些应用的适用性。在一些情况下,包含合成纤维的过滤层可包含赋予刚度的粘合剂(例如,树脂、纤维)。在一些实施方案中,本文所述的过滤介质可包括包含合成纤维的过滤层和效率层。这样的过滤介质可具有相对高的容尘量和/或是可打褶的。本文所述的过滤介质可特别适用于涉及过滤空气的应用,尽管所述介质也可用于其他应用中。
在一些常规过滤介质中,使用玻璃纤维来实现期望的特性,例如高容尘量和可打褶性。然而,包含玻璃纤维的过滤介质可能不适用于某些应用。例如,这样的过滤介质可能不适用于需要焚烧过滤材料的生物危害应用。此外,在一些环境中,玻璃纤维可能浸出钠离子(例如,Na+),这可以导致物理磨损或皂形成。在一些情况下,包含一定量的玻璃纤维的过滤介质对于某些干燥和潮湿的环境可能不足够耐用。
一些现有的过滤介质已经试图通过用纤维素和/或合成纤维简单地替换玻璃纤维来解决该问题。然而,在这样的现有的过滤介质中,在某些性能特性(例如,容尘量)与某些机械特性(例如,耐久性、刚度)之间可能存在折衷。因此,需要具有期望的性能特性以及机械特性的过滤介质,特别是包含相对低重量百分比的玻璃纤维或不含玻璃纤维的过滤介质。
如以下将更详细地描述的,包含粗直径合成纤维和细直径合成纤维的合适的共混物(例如,以产生一定的表面平均纤维直径)的过滤层可具有有益的性能特性(例如,容尘量)而不包含某些机械特性(例如,刚度、耐久性)。在一些实施方案中,包括这样的过滤层的过滤介质不受到现有和/或常规的过滤介质的一个或更多个限制。例如,这样的过滤层可具有相对高的容尘量并且具有用于可打褶性的足够的刚度。
在一些实施方案中,这样的过滤层可以是包含粗直径合成纤维和细直径合成纤维的非织造网。如以下更详细地描述的,可选择合成纤维的纤维直径和相对重量百分比使得非织造网具有一定的表面平均纤维直径。例如,包含合成纤维的过滤层可包含大于或等于约40重量%的一种或更多种粗直径纤维(例如,大于或等于约15微米)和小于或等于约50重量%的一种或更多种细直径纤维(例如,小于约15微米),以产生期望范围内的表面平均纤维直径,例如大于或等于约13微米且小于或等于约17微米。在这样的实施方案中,过滤介质可具有大于或等于约20g/m2的容尘量和/或在横向上具有例如大于或等于约50mg且小于或等于约1,500mg的Gurley刚度。如以下更详细地描述的,与具有相同表面平均纤维直径但不同纤维特征(例如,相对重量百分比、直径)的过滤层相比,本文所述的包含合成纤维的过滤层可具有更高的容尘量和/或透气率。
包括包含合成纤维的过滤层(例如,可打褶的背衬层)的过滤介质的非限制性实例示于图1A-1D中。在一些实施方案中,过滤介质10可包括包含合成纤维的过滤层15和第二层20(例如,效率层)。在一些实施方案中,过滤层15与第二层20可直接相邻,如图1A和1C所示。在另一些实施方案中,层15和层20可彼此间接相邻,并且一个或更多个中间层(例如,预过滤层)可分隔层,如图1B和1D所示。在一些实施方案中,过滤介质10可包括位于层15和层20上游和/或下游的一个或更多个任选的层(例如,预过滤层),如图1B-D所示。例如,如图1B所示,在一些实施方案中,过滤介质可包括在包含合成纤维的过滤层(例如,可打褶的背衬层)下游且在第二层上游的第三层25。在一些情况下,第三层可与第二层(例如,效率层)直接相邻。在另一些实施方案中,层20和层25可彼此间接相邻,并且一个或更多个中间层可分隔层。
无论过滤介质是否包括层25,过滤介质10可包括在第二层下游的层30,如图1D所示。在一些情况下,层30可与第二层直接相邻。在另一些实施方案中,一个或更多个中间层可分隔层15和层30。在一些实施方案中,过滤介质10可包括过滤层15、第二层20、第三层25和第四层30,如图1D中示例性示出的。在另一些实施方案中,过滤介质10可包括过滤层15、第二层20以及第三层25或第四层30。
通常,一个或更多个任选的层可为任何合适的层(例如,稀松布层、基底层、效率层、容量层、间隔层、支撑层)。
如本中使用的,当层被称为与另一层“相邻”时,其可以与该层直接相邻,或者还可存在中间层。与另一个层“直接相邻”的层意指不存在中间层。
在一些实施方案中,过滤介质中的一个或更多个层可设计成独立于另一个层。也就是说,来自一个层的纤维基本上不与来自另一个层的纤维混合(例如,完全不混合)。例如,对于图1A-1D,在一组实施方案中,来自包含合成纤维的过滤层的纤维基本上不与第二层(例如,效率层)的纤维混合。独立的层可通过任何合适的工艺(包括例如层合、热点粘合、轧光、超声处理)或者通过粘合剂接合,如下文更详细地描述的。然而,应当理解,某些实施方案可包括相对于彼此不独立的一个或更多个层。
应当理解,图中所示的层的构造仅为示例,并且在另一些实施方案中,包括其他构造的层的过滤介质是可能的。例如,虽然在图1A-1D中以特定顺序示出了第一层、任选的第二层、任选的第三层和任选的第四层,但是其他构造也是可能的。例如,过滤介质可包括过滤层15,并且可不包括第二层20(例如,效率层)。在一些这样的实施方案中,制品(例如,过滤介质)可基本上由过滤层15(例如,可打褶的背衬层)组成。在某些实施方案中,制品可包括过滤层15。应当理解,如本文中使用的术语“第二”、“第三”和“第四”层是指介质中不同的层,并不意味着对该层的位置进行限制。此外,在一些实施方案中,除了图中所示的层之外,还可存在附加层(例如,“第五”、“第六”或“第七”层)。还应当理解,在一些实施方案中,并非图中所示的所有层都需要存在。
在一些实施方案中,可选择过滤层(例如,可打褶的背衬层)的结构特征以产生这样的层:其赋予过滤介质有益的性能特性,同时对过滤介质的另一特性(例如,刚度)具有相对最小的不利影响或无不利影响。在某些实施方案中,过滤层可具有粗直径纤维和细直径纤维的共混物,其产生在相对低的基重下赋予足够的容尘量和/或透气率的表面平均纤维直径。以下更详细地描述术语“表面平均纤维直径”。在一些实施方案中,包含合成纤维的过滤层可用作可打褶的过滤介质中的背衬层。
例如,在一些实施方案中,包含合成纤维的过滤层可用作在层中捕捉颗粒的深度过滤层。在一些实施方案中,需要表面平均纤维直径、粗直径纤维重量百分比和细直径重量百分比的合适的范围以允许深度过滤。例如,如果表面平均纤维直径高于合适的范围,则包含合成纤维的过滤层捕获颗粒的能力可大大降低。如果表面平均纤维直径低于合适的范围,则层的过滤机理可变为在层的上游表面上捕获许多颗粒的表面过滤,因此,层可具有较高的压降。在一些实施方案中,高压降可以降低过滤介质的使用寿命。不受理论束缚,认为表面平均纤维直径可用作预测层的效率和过滤机理(例如,深度过滤、表面过滤)的参数。
即使表面平均纤维直径在合适的范围内,高于合适的范围的细直径纤维的重量百分比也可导致透气率和容尘量降低,至少部分由于在某些粘合剂的存在下和/或在网制造过程期间细直径纤维的成网和/或成束。细直径纤维的成网和/或成束可导致层中大量百分比的孔的堵塞。在表面平均纤维直径在合适的范围内的实施方案中,高于合适的范围的粗直径纤维的重量百分比可导致具有降低的捕获颗粒的能力的层。在某些实施方案中,可能需要粗直径纤维和细直径纤维的共混物以实现合适的表面平均纤维直径。
通常,过滤层可包含具有不同平均纤维直径和/或纤维直径分布的多种纤维。在这样的情况下,层中的纤维的平均直径可使用加权平均值例如表面平均纤维直径来表征。表面平均纤维直径定义为mi
d=∑(mi/ρi)/∑(mi/diρi);
其中d是以微米为单位的表面平均纤维直径,mi是过滤层中具有以微米为单位的直径di和以g/cm3为单位的密度ρi的纤维的数量分数。该方程式假定纤维是圆柱形的,纤维具有圆形截面,以及纤维长度显著大于纤维直径。应当理解,当非织造网包含大致圆柱形且具有大致圆形截面的纤维时,该方程式还提供了有意义的表面平均纤维直径值。
表面平均纤维直径可使用以上的方程式计算或者如以下进一步描述的测量。在已知过滤层中纤维的直径、密度和质量百分比的实施方案中,可计算表面平均纤维直径。
在另一些实施方案中,可通过测量过滤层的BET表面平均值(即SSA)和层的密度ρ来确定过滤层的表面平均纤维直径,如以下更详细地描述的。在这样的情况下,表面平均纤维直径SAFD可使用以下经修正的公式来确定:
其中SSA是以m2/g为单位的过滤层的BET表面,以及ρ是以g/cm3为单位的层的密度。
如本中使用的,BET表面积通过使用标准BET表面积测量技术来测量。BET表面积根据电池协会国际标准(Battery Council International Standard)BCIS-03A“推荐的电池材料规格:阀控式重组电池(Recommended Battery Materials Specifications ValveRegulated Recombinant Batteries)”第10节测量,第10节为“重组电池隔离件垫的表面积的标准测试方法(Standard Test Method for Surface Area of Recombinant BatterySeparator Mat)”。按照该技术,使用BET表面分析仪(例如,Micromeritics Gemini III2375表面积分析仪)用氮气经由吸附分析来测量BET表面积;在例如3/4”管中样品量为0.5克至0.6克;并使样品在75℃下脱气至少3小时。
如本文中使用的,可通过精确测量层的质量和体积(例如,排除空隙体积)然后计算层的密度来确定层的密度。层的质量可通过称量层来确定。层的体积可使用精确测量体积的任何已知的方法来确定。例如,体积可使用测比重术来确定。作为另一个实例,层的体积可使用阿基米德法来确定,前提条件是产生精确的体积测量值。例如,体积可通过将层完全浸入润湿流体中并测量由于完全浸没层而导致的润湿流体的体积置换来确定。
在一些实施方案中,包含合成纤维的过滤层的表面平均纤维直径可大于或等于约10微米、大于或等于约11微米、大于或等于约12微米、大于或等于约13微米、大于或等于约14微米、大于或等于约15微米、大于或等于约16微米、大于或等于约17微米、大于或等于约18微米、或者大于或等于约19微米。在一些情况下,表面平均纤维直径可小于或等于约20微米、小于或等于约19微米、小于或等于约18微米、小于或等于约18微米、小于或等于约17微米、小于或等于约16微米、小于或等于约15微米、小于或等于约14微米、小于或等于约13微米、或者小于或等于约12微米。上述参考范围的所有合适的组合也是可能的(例如,大于或等于约13微米且小于或等于约17微米、大于或等于约14微米且小于或等于约16微米)。在一些实施方案中,大于或等于约13微米且小于或等于约17微米的表面平均纤维直径可以是优选的。
如上所指出的,包含合成纤维的过滤层包含产生合适的表面平均纤维直径的粗直径纤维和细直径纤维的共混物。例如,在一些实施方案中,包含合成纤维的过滤层可包含相对高重量百分比的粗直径纤维(例如,大于或等于约40重量%)。在某些实施方案中,包含合成纤维的过滤层中的粗直径纤维的总重量百分比和/或过滤层中全部纤维的粗直径纤维的总重量百分比可大于或等于约10重量%、大于或等于约20重量%、大于或等于约30重量%、大于或等于约40重量%、大于或等于约50重量%、大于或等于约60重量%、大于或等于约70重量%、大于或等于约80重量%、或者大于或等于约85重量%。在一些情况下,包含合成纤维的过滤层中的粗直径纤维的总重量百分比和/或过滤层中全部纤维的粗直径纤维的总重量百分比可小于或等于约90重量%、小于或等于约80重量%、小于或等于约70重量%、小于或等于约60重量%、小于或等于约50重量%、小于或等于约40重量%、小于或等于约30重量%、小于或等于约20重量%、或者小于或等于约15重量%。上述参考范围的所有合适的组合也是可能的(例如,大于或等于约10重量%且小于或等于约90重量%、大于或等于约40重量%且小于或等于约80重量%)。在一些实施方案中,大于或等于约40重量%的粗直径纤维的总重量百分比可以是优选的。
在一些实施方案中,包含合成纤维的过滤层中的粗直径纤维的总重量百分比和/或过滤层中全部纤维的粗直径纤维的总重量百分比可包含两个或更多个具有不同平均纤维直径的粗直径纤维群。例如,粗直径纤维的总重量百分比大于或等于约40重量%且小于或等于约80重量%的包含合成纤维的过滤层可包含重量百分比大于或等于约5重量%且小于或等于约95重量%(例如,大于或等于约10重量%且小于或等于约60重量%)的平均纤维直径大于或等于约15微米且小于或等于约25微米的第一粗直径纤维群和重量百分比大于或等于约5重量%且小于或等于约95重量%(例如,大于或等于约10重量%且小于或等于约60重量%)的平均纤维直径大于或等于约25微米且小于或等于约50微米的第二粗直径纤维群。在某些实施方案中,粗直径纤维的共混物可用于帮助实现期望的表面平均纤维直径。通常,可使用任何合适数量的具有不同平均纤维直径的粗直径纤维群。在另一些实施方案中,粗直径纤维的总重量百分比由一个粗直径纤维群构成。也就是说,层不包含两个或更多个具有不同平均纤维直径的粗直径纤维群。
在一些实施方案中,用于包含合成纤维的过滤层中的粗直径纤维的平均纤维直径可大于或等于约15微米、大于或等于约17微米、大于或等于约20微米、大于或等于约25微米、大于或等于约30微米、大于或等于约35微米、大于或等于约40微米、大于或等于约45微米、大于或等于约50微米、或者大于或等于约55微米。在一些情况下,平均纤维直径可小于或等于约60微米、小于或等于约55微米、小于或等于约50微米、小于或等于约45微米、小于或等于约40微米、小于或等于约35微米、小于或等于约30微米、小于或等于约25微米、小于或等于约20微米、或者小于或等于约17微米。上述参考范围的所有合适的组合也是可能的(例如,大于或等于约10微米且小于或等于约60微米、大于或等于约17微米且小于或等于约35微米)。
在一些实施方案中,包含合成纤维的过滤层中的粗直径纤维的平均长度可大于或等于约3mm、大于或等于约6mm、大于或等于约9mm、大于或等于约12mm、大于或等于约15mm、大于或等于约18mm、大于或等于约20mm、大于或等于约22mm、或者大于或等于约25mm。在一些情况下,粗直径纤维的平均长度可小于或等于约30mm、小于或等于约27mm、小于或等于约25mm、小于或等于约22mm、小于或等于约20mm、小于或等于约18mm、小于或等于约15mm、小于或等于约12mm、小于或等于约9mm、或者小于或等于约6mm。上述参考范围的所有合适的组合也是可能的(例如,大于或等于约3mm且小于或等于约30mm、大于或等于约6mm且小于或等于约12mm)。
如上所指出的,包含合成纤维的过滤层可包含粗直径纤维和细直径纤维的共混物以产生合适的表面平均纤维直径。在某些实施方案中,包含合成纤维的过滤层中的细直径纤维的总重量百分比和/或过滤层中全部纤维的细直径纤维的总重量百分比可小于或等于约50重量%、小于或等于约45重量%、小于或等于约40重量%、小于或等于约35重量%、小于或等于约30重量%、小于或等于约25重量%、小于或等于约20重量%、或者小于或等于约15重量%。在一些情况下,包含合成纤维的过滤层中的细直径纤维的总重量百分比和/或过滤层中全部纤维的细直径纤维的总重量百分比可大于或等于约0.5重量%、大于或等于约5重量%、大于或等于约10重量%、大于或等于约15重量%、大于或等于约20重量%、大于或等于约25重量%、大于或等于约30重量%、大于或等于约35重量%、大于或等于约40重量%、或者大于或等于约45重量%。上述参考范围的所有合适的组合也是可能的(例如,大于或等于约0.5重量%且小于或等于约50重量%、大于或等于约10重量%且小于或等于约30重量%)。
在一些实施方案中,包含合成纤维的过滤层中的细直径纤维的总重量百分比和/或过滤层中全部纤维的细直径纤维的总重量百分比可包含两个或更多个具有不同平均纤维直径的细直径纤维群。例如,细直径纤维的总重量百分比大于或等于约10重量%且小于或等于约30重量%的包含合成纤维的过滤层可包含重量百分比大于或等于约5重量%且小于或等于约95重量%(例如,大于或等于约10重量%且小于或等于约60重量%)的平均纤维直径大于或等于约0.1微米且小于或等于约10微米的第一细直径纤维群和重量百分比大于或等于约5重量%且小于或等于约95重量%(例如,大于或等于约10重量%且小于或等于约60重量%)的平均纤维直径大于或等于约10微米且小于约15微米的第二细直径纤维群。在某些实施方案中,细直径纤维的共混物可用于帮助实现期望的表面平均纤维直径。通常,可使用任何合适数量的具有不同平均纤维直径的细纤维群。在另一些实施方案中,细直径纤维的总重量百分比由一个细直径纤维群构成。也就是说,层不包含两个或更多个具有不同平均纤维直径的细直径纤维群。
在一些实施方案中,用于包含合成纤维的过滤层中的细直径纤维的平均纤维直径可小于约15微米、小于或等于约12微米、小于或等于约10微米、小于或等于约8微米、小于或等于约6微米、小于或等于约5微米、小于或等于约4微米、小于或等于约3微米、小于或等于约2微米、或者小于或等于约1微米。在一些情况下,平均纤维直径可大于或等于约0.5微米、大于或等于约1微米、大于或等于约2微米、大于或等于约3微米、大于或等于约4微米、大于或等于约5微米、大于或等于约6微米、大于或等于约8微米、大于或等于约10微米、或者大于或等于约12微米。上述参考范围的所有合适的组合也是可能的(例如,大于或等于约0.5微米且小于约15微米、大于或等于约2微米且小于或等于约10微米)。
在一些实施方案中,包含合成纤维的过滤层中的细直径纤维的平均长度可大于或等于约0.1mm、大于或等于约0.3mm、大于或等于约0.5mm、大于或等于约0.8mm、大于或等于约1mm、大于或等于约3mm、大于或等于约6mm、大于或等于约9mm、大于或等于约12mm、大于或等于约15mm、大于或等于约18mm、大于或等于约20mm、大于或等于约22mm、或者大于或等于约25mm。在一些情况下,细直径纤维的平均长度可小于或等于约30mm、小于或等于约27mm、小于或等于约25mm、小于或等于约22mm、小于或等于约20mm、小于或等于约18mm、小于或等于约15mm、小于或等于约12mm、小于或等于约9mm、小于或等于约6mm、小于或等于约3mm、或者小于或等于约1mm。上述参考范围的所有合适的组合也是可能的(例如,大于或等于约0.1mm且小于或等于约30mm、大于或等于约0.3mm且小于或等于约12mm)。
在一些实施方案中,粗直径纤维和/或细直径纤维不是玻璃纤维。在某些实施方案中,包含合成纤维的过滤层中的相对高重量百分比的总粗直径纤维和/或细直径纤维可为合成纤维。例如,在一些实施方案中,合成纤维的重量百分比可为过滤层中全部纤维的大于或等于约80重量%、大于或等于约85重量%、大于或等于约88重量%、大于或等于约90重量%、大于或等于约92重量%、大于或等于约95重量%、大于或等于约97重量%、或者大于或等于约99重量%。在一些实施方案中,包含合成纤维的过滤层可包含100重量%的合成纤维。在一些实施方案中,包含合成纤维的过滤层可基本上不含玻璃纤维。
在某些实施方案中,包含合成纤维的过滤层中全部粗直径纤维的粗合成纤维的重量百分比可大于或等于约80重量%、大于或等于约85重量%、大于或等于约88重量%、大于或等于约90重量%、大于或等于约92重量%、大于或等于约95重量%、大于或等于约97重量%、或者大于或等于约99重量%。在某些实施方案中,包含合成纤维的过滤层中全部粗直径纤维的粗合成纤维的重量百分比可为100重量%。在一些实施方案中,包含合成纤维的过滤层中全部细直径纤维的合成纤维的重量百分比可大于或等于约80重量%、大于或等于约85重量%、大于或等于约88重量%、大于或等于约90重量%、大于或等于约92重量%、大于或等于约95重量%、大于或等于约97重量%、或者大于或等于约99重量%。在一些实施方案中,包含合成纤维的过滤层中全部细直径纤维的合成纤维的重量百分比可为100重量%。
通常,合成纤维可包括任何合适类型的合成聚合物。合适的合成纤维的实例包括聚酯(例如,聚对苯二甲酸乙二醇酯、聚对苯二甲酸丁二醇酯)、聚碳酸酯、聚酰胺(例如,多种尼龙聚合物)、聚芳酰胺、聚酰亚胺、聚乙烯、聚丙烯、聚醚醚酮、聚烯烃、丙烯酸类、聚乙烯醇、再生纤维素(例如合成纤维素,如莱赛尔、人造丝)、聚丙烯腈、聚偏二氟乙烯(PVDF)、聚乙烯与PVDF的共聚物、聚醚砜及其组合。在一些实施方案中,合成纤维为有机聚合物纤维。合成纤维还可包括多组分纤维(即,具有多个组分的纤维,例如双组分纤维)。在一些情况下,合成纤维可包括熔喷纤维、熔纺纤维、静电纺丝(例如,熔融静电纺丝、溶剂静电纺丝)纤维或离心纺丝纤维,其可由本文所述的聚合物(例如,聚酯、聚丙烯)形成。在一些实施方案中,合成纤维可为短纤维。在一些实施方案中,合成纤维可为阻燃纤维。过滤介质以及过滤介质中的每个层也可包括多于一种类型的合成纤维的组合。应当理解,也可使用其他类型的合成纤维。
在一些实施方案中,包含合成纤维的过滤层可包含阻燃纤维,例如含磷纤维、含氮纤维和/或含卤素纤维。在一些实施方案中,阻燃纤维可为合成纤维。通常,粗直径纤维和/或细直径纤维的总重量百分比可包括阻燃纤维。在一些实施方案中,包含合成纤维的过滤层中的阻燃纤维的总重量百分比和/或过滤层中全部纤维的阻燃纤维的总重量百分比可大于或等于约0.5重量%、大于或等于约1重量%、大于或等于约5重量%、大于或等于约10重量%、大于或等于约20重量%、大于或等于约30重量%、大于或等于约40重量%、大于或等于约50重量%、大于或等于约60重量%、大于或等于约70重量%、大于或等于约80重量%、或者大于或等于约90重量%。在一些情况下,总重量百分比可小于或等于约100重量%、小于或等于约90重量%、小于或等于约80重量%、小于或等于约70重量%、小于或等于约60重量%、小于或等于约50重量%、小于或等于约40重量%、小于或等于约30重量%、小于或等于约20重量%、小于或等于约15重量%、小于或等于约10重量%、或者小于或等于约5重量%。上述参考范围的所有合适的组合也是可能的(例如,大于或等于约0.5重量%且小于或等于约100重量%)。在另一些实施方案中,包含合成纤维的过滤层可包含0重量%的阻燃纤维。
在一些实施方案中,包含合成纤维的过滤层可包含一种或更多种粘合剂(例如,粘合剂树脂、粘合纤维),其用于赋予过滤层结构完整性,以及向介质提供重要的机械特性,例如Gurley刚度、马伦顶破(Mullen burst)和/或拉伸强度。
在一些实施方案中,粘合剂可为一种或更多种粘合纤维。通常,粘合纤维可用于接合层中的纤维。在一些实施方案中,粘合纤维包含具有比层中的一种或更多种主要组分(例如某些纤维)低的熔点的聚合物。粘合纤维可以是单组分(例如,聚乙烯纤维、共聚酯纤维)或多组分(例如,双组分纤维)。例如,粘合纤维可以是双组分纤维。双组分纤维可包含热塑性聚合物。双组分纤维的各组分可具有不同的熔融温度。例如,纤维可以包含核和鞘,其中鞘的活化温度低于核的熔融温度。这使鞘在核之前熔化,使得鞘与层中的其他纤维粘合,而核保持其结构完整性。核/鞘粘合纤维可以是同轴或非同轴的。其他示例性双组分纤维可以包括裂膜纤维纤维、并列(side-by-side)纤维和/或“海岛型”纤维。通常,粗直径纤维和/或细直径纤维的总重量百分比可包括粘合纤维。
在一些实施方案中,粘合剂可为一种或更多种粘合剂树脂。通常,粘合剂树脂可用于接合层中的纤维。通常,粘合剂树脂可具有任何合适的组成。例如,粘合剂树脂可包括热塑性塑料(例如,丙烯酸类、聚乙酸乙烯酯、聚酯、聚酰胺)、热固性塑料(例如,环氧树脂、酚树脂)、或其组合。在一些情况下,粘合剂树脂包括乙酸乙烯酯树脂、环氧树脂、聚酯树脂、共聚酯树脂、聚乙烯醇树脂、丙烯酸树脂(例如苯乙烯丙烯酸树脂)和酚树脂中的一种或更多种。其他树脂也是可能的。
如下文进一步描述的,树脂可以以任何合适的方式(包括例如以湿润状态)添加到纤维中。在一些实施方案中,树脂涂覆纤维并用于将纤维彼此粘合以促进纤维之间的粘合。可使用任何合适的方法和设备来涂覆纤维,例如,使用幕涂、凹版涂覆、熔融涂覆、浸涂、刮刀辊涂或旋涂等。在一些实施方案中,粘合剂在添加到纤维共混物中时沉淀。在适当的时候,可向纤维中提供任何合适的沉淀剂(例如,表氯醇、碳氟化合物),例如,通过注射到共混物中。在一些实施方案中,在添加到纤维中时,树脂以使得一个或更多个层或者整个过滤介质浸渍有树脂(例如,树脂渗透整体)的方式进行添加。在多层网中,可在组合层之前将树脂分别添加到各层中,或者可在组合层之后将树脂添加到层中。在一些实施方案中,将树脂例如通过喷洒或饱和浸渍或任何上述方法添加到干燥状态下的纤维中。在另一些实施方案中,将树脂添加到湿层中。
在某些实施方案中,树脂可包含粘合纤维和粘合剂树脂两者。
无论粘合剂是粘合纤维、粘合剂树脂还是两者,包含合成纤维的过滤层中的粘合剂的总重量百分比可大于或等于约0.5重量%、大于或等于约1重量%、大于或等于约5重量%、大于或等于约10重量%、大于或等于约20重量%、大于或等于约30重量%、大于或等于约40重量%、大于或等于约50重量%、大于或等于约60重量%、大于或等于约70重量%、或者大于或等于约80重量%。在一些情况下,总重量百分比可小于或等于约90重量%、小于或等于约80重量%、小于或等于约70重量%、小于或等于约60重量%、小于或等于约50重量%、小于或等于约40重量%、小于或等于约30重量%、小于或等于约20重量%、小于或等于约15重量%、小于或等于约10重量%、或者小于或等于约5重量%。上述参考范围的所有合适的组合也是可能的(例如,大于或等于约0.5重量%且小于或等于约90重量%、大于或等于约5重量%且小于或等于约15重量%)。
在粘合剂包含粘合纤维和任选的粘合剂树脂的实施方案中,包含合成纤维的过滤层中的粘合纤维(例如,双组分纤维)的总重量百分比可大于或等于约0.5重量%、大于或等于约1重量%、大于或等于约3重量%、大于或等于约5重量%、大于或等于约8重量%、大于或等于约10重量%、大于或等于约20重量%、大于或等于约25重量%、大于或等于约30重量%、大于或等于约40重量%、大于或等于约50重量%、大于或等于约60重量%、大于或等于约70重量%、或者大于或等于约80重量%。在一些情况下,粘合纤维(例如,双组分纤维)的总重量百分比可小于或等于约90重量%、小于或等于约80重量%、小于或等于约70重量%、小于或等于约60重量%、小于或等于约50重量%、小于或等于约40重量%、小于或等于约30重量%、小于或等于约25重量%、小于或等于约20重量%、小于或等于约18重量%、小于或等于约15重量%、小于或等于约12重量%、小于或等于约10重量%、小于或等于约8重量%、小于或等于约5重量%、小于或等于约3重量%、或者小于或等于约1重量%。上述参考范围的所有合适的组合也是可能的(例如,大于或等于约0.5重量%且小于或等于约90重量%、大于或等于约5重量%且小于或等于约15重量%、大于或等于约0.5重量%且小于或等于约10重量%)。在一些实施方案中,一个或更多个层(例如,包含合成纤维的过滤层、第二层)和/或整个过滤介质可包含相对低百分比(例如,小于或等于约10重量%、小于或等于约5重量%、小于或等于约1重量%、0重量%)的粘合纤维(例如,双组分纤维)。
在粘合剂包含粘合剂树脂和任选的粘合纤维的实施方案中,包含合成纤维的过滤层中的粘合剂树脂的总重量百分比可大于或等于约0.5重量%、大于或等于约1重量%、大于或等于约3重量%、大于或等于约5重量%、大于或等于约8重量%、大于或等于约10重量%、大于或等于约20重量%、大于或等于约25重量%、大于或等于约30重量%、大于或等于约40重量%、大于或等于约50重量%、大于或等于约60重量%、大于或等于约70重量%、或者大于或等于约80重量%。在一些情况下,粘合剂树脂的总重量百分比可小于或等于约90重量%、小于或等于约80重量%、小于或等于约70重量%、小于或等于约60重量%、小于或等于约50重量%、小于或等于约40重量%、小于或等于约30重量%、小于或等于约25重量%、小于或等于约20重量%、小于或等于约18重量%、小于或等于约15重量%、小于或等于约12重量%、小于或等于约10重量%、小于或等于约8重量%、小于或等于约5重量%、小于或等于约3重量%、或者小于或等于约1重量%。上述参考范围的所有合适的组合也是可能的(例如,大于或等于约0.5重量%且小于或等于约90重量%、大于或等于约5重量%且小于或等于约15重量%)。
在一些实施方案中,用于包含合成纤维的过滤层中的粘合纤维的纤维直径可大于或等于约1微米、大于或等于约2微米、大于或等于约5微米、大于或等于约8微米、大于或等于约10微米、大于或等于约12微米、大于或等于约15微米、大于或等于约18微米、大于或等于约20微米、大于或等于约22微米、或者大于或等于约25微米。在一些情况下,纤维直径可小于或等于约30微米、小于或等于约28微米、小于或等于约25微米、小于或等于约22微米、小于或等于约20微米、小于或等于约18微米、小于或等于约15微米、小于或等于约12微米、小于或等于约10微米、小于或等于约5微米、或者小于或等于约2微米。上述参考范围的所有合适的组合也是可能的(例如,大于或等于约1微米且小于或等于约30微米、大于或等于约2微米且小于或等于约20微米)。
在一些实施方案中,包含合成纤维的过滤层中的粘合纤维的平均长度可大于或等于约3mm、大于或等于约6mm、大于或等于约9mm、大于或等于约12mm、大于或等于约15mm、大于或等于约18mm、大于或等于约20mm、大于或等于约22mm、或者大于或等于约25mm。在一些情况下,粘合纤维的平均长度可小于或等于约30mm、小于或等于约27mm、小于或等于约25mm、小于或等于约22mm、小于或等于约20mm、小于或等于约18mm、小于或等于约15mm、小于或等于约12mm、小于或等于约9mm、或者小于或等于约6mm。上述参考范围的所有合适的组合也是可能的(例如,大于或等于约3mm且小于或等于约30mm、大于或等于约6mm且小于或等于约12mm)。
如本文所述,过滤介质10可包括包含合成纤维的过滤层。在一些实施方案中,包含合成纤维的过滤层可具有某些增强的机械特性,例如Gurley刚度、拉伸强度和/或马伦顶破强度。通常,包含合成纤维的过滤层可提供足够的Gurley刚度,使得过滤介质可以被打褶成包含尖锐的轮廓分明的峰,所述峰可以在使用期间保持稳定的构造。
包含合成纤维的过滤层可具有相对高的Gurley刚度。例如,在一些实施方案中,包含合成纤维的过滤层在横向上的Gurley刚度可大于或等于约50mg、大于或等于约100mg、大于或等于约200mg、大于或等于约300mg、大于或等于约500mg、大于或等于约800mg、大于或等于约1,000mg、大于或等于约1,200mg、或者大于或等于约1,400mg。在一些实施方案中,包含合成纤维的过滤层在横向上的Gurley刚度可小于或等于约1,500mg、小于或等于约1,400mg、小于或等于约1,200mg、小于或等于约1,000mg、小于或等于约800mg、小于或等于约500mg、小于或等于约300mg、小于或等于约200mg、或者小于或等于约100mg。上述参考范围的所有合适的组合也是可能的(例如,大于或等于约50mg且小于或等于约1,500mg、大于或等于约200mg且小于或等于约1,000mg)。刚度可根据TAPPI T543om-94使用以mm(相当于gu)为单位记录的Gurley刚度(抗弯性)来确定。
在一些实施方案中,包含合成纤维的过滤层在机器方向上的Gurley刚度可大于或等于约200mg、大于或等于约350mg、大于或等于约500mg、大于或等于约750mg、大于或等于约1,000mg、大于或等于约1,500mg、大于或等于约2,000mg、大于或等于约2,500mg、或者大于或等于约3,000mg。在一些实施方案中,包含合成纤维的过滤层在机器方向上的Gurley刚度可小于或等于约3,500mg、小于或等于约3,000mg、小于或等于约2,500mg、小于或等于约2,000mg、小于或等于约1,500mg、小于或等于约1,000mg、小于或等于约750mg、或者小于或等于约500mg。上述参考范围的所有合适的组合也是可能的(例如,大于或等于约200mg且小于或等于约3,500mg、大于或等于约350mg且小于或等于约2,000mg)。
在一些实施方案中,包含合成纤维的过滤层在机器方向(MD)上的干拉伸强度可大于或等于约2磅/英寸、大于或等于约4磅/英寸、大于或等于约5磅/英寸、大于或等于约10磅/英寸、大于或等于约15磅/英寸、大于或等于约20磅/英寸、大于或等于约30磅/英寸、大于或等于约40磅/英寸、大于或等于约50磅/英寸、或者大于或等于约55磅/英寸。在一些情况下,在机器方向上的干拉伸强度可小于或等于约60磅/英寸、小于或等于约50磅/英寸、小于或等于约40磅/英寸、小于或等于约30磅/英寸、小于或等于约20磅/英寸、小于或等于约10磅/英寸、或者小于或等于约5磅/英寸。上述参考范围的所有合适的组合也是可能的(例如,大于或等于约2磅/英寸且小于或等于约60磅/英寸、大于或等于约10磅/英寸且小于或等于约40磅/英寸)。在机器方向上的干拉伸强度的其他值也是可能的。在机器方向上的干拉伸强度可根据标准T494om-96使用4英寸的测试跨距和1英寸/分钟的夹口(jaw)分离速度来确定。
在一些实施方案中,包含合成纤维的过滤层在横向(CD)上的干拉伸强度可大于或等于约1磅/英寸、大于或等于约2磅/英寸、大于或等于约5磅/英寸、大于或等于约6磅/英寸、大于或等于约8磅/英寸、大于或等于约10磅/英寸、大于或等于约12磅/英寸、大于或等于约15磅/英寸、或者大于或等于约18磅/英寸。在一些情况下,在横向上的干拉伸强度可小于或等于约20磅/英寸、小于或等于约18磅/英寸、小于或等于约15磅/英寸、小于或等于约12磅/英寸、小于或等于约10磅/英寸、小于或等于约8磅/英寸、小于或等于约6磅/英寸、或者小于或等于约5磅/英寸。上述参考范围的所有合适的组合也是可能的(例如,大于或等于约1磅/英寸且小于或等于约20磅/英寸、大于或等于约6磅/英寸且小于或等于约15磅/英寸)。在横向上的干拉伸强度的其他值也是可能的。在横向上的干拉伸强度可根据标准T494om-96使用4英寸的测试跨距和1英寸/分钟的夹口分离速度来确定。
在一些实施方案中,包含合成纤维的过滤层的干马伦顶破强度可大于或等于约5psi、大于或等于约20psi、大于或等于约25psi、大于或等于约30psi、大于或等于约50psi、大于或等于约75psi、大于或等于约100psi、大于或等于约125psi、大于或等于约150psi、大于或等于约175psi、大于或等于约200psi、大于或等于约225psi、或者大于或等于约240psi。在一些情况下,干马伦顶破强度可小于或等于约250psi、小于或等于约240psi、小于或等于约225psi、小于或等于约200psi、小于或等于约175psi、小于或等于约150psi、小于或等于约125psi、小于或等于约100psi、小于或等于约75psi、小于或等于约50psi、或者小于或等于约25psi。上述参考范围的所有合适的组合也是可能的(例如,大于或等于约20psi且小于或等于约250psi、大于或等于约30psi且小于或等于约150psi)。干马伦顶破强度的其他值也是可能的。干马伦顶破强度可根据标准T403om-91确定。
在一些实施方案中,过滤层15可具有相对高的透气率。例如,在一些实施方案中,包含合成纤维的过滤层的透气率可大于或等于约50英尺3/分钟/英尺2(CFM)、大于或等于约75CFM、大于或等于约100CFM、大于或等于约150CFM、大于或等于约200CFM、大于或等于约250CFM、大于或等于约300CFM、大于或等于350CFM、大于或等于约400CFM、大于或等于约450CFM、大于或等于约500CFM、大于或等于550CFM、大于或等于约600CFM、大于或等于约650CFM、大于或等于约700CFM、或者大于或等于约750CFM。在一些情况下,包含合成纤维的过滤层的透气率可小于或等于约800CFM、小于或等于约750CFM、小于或等于约700CFM、小于或等于约650CFM、小于或等于约600CFM、小于或等于约550CFM、小于或等于约500CFM、小于或等于约450CFM、小于或等于约400CFM、小于或等于约350CFM、小于或等于约300CFM、小于或等于约250CFM、小于或等于约200CFM、小于或等于约150CFM、或者小于或等于约100CFM。应当理解,上述参考范围的所有合适的组合是可能的(例如,大于或等于约50CFM且小于或等于约800CFM、大于或等于约200CFM且小于或等于约500CFM)。
如本文中使用的透气率根据标准ASTM D737-75测量。在透气率测试装置中,以至少50+/-5N的力(不使样品变形并具有最小的边缘泄漏)将样品夹在提供38.3cm2的圆形测试面积的测试头(被称为喷嘴)上。然后供应垂直于样品测试区域的稳定的空气流,在跨越所测试的材料上提供了12.5mm H2O的压差。该压差从连接至测试头的压力表或压力计处进行记录。使用流量计或体积计数器以英尺3/分钟/英尺2来测量穿过测试区域的透气率。Frazier透气率测试仪是用于这样的测量的示例性装置。
在一些实施方案中,包含合成纤维的过滤层可具有相对小的基重。例如,在一些实施方案中,过滤层的基重可小于或等于约110g/m2、小于或等于约100g/m2、小于或等于约97g/m2、小于或等于约95g/m2、小于或等于约92g/m2、小于或等于约90g/m2、小于或等于约87g/m2、小于或等于约85g/m2、小于或等于约82g/m2、小于或等于约80g/m2、小于或等于约70g/m2、小于或等于约60g/m2、小于或等于约50g/m2、小于或等于约40g/m2、或者小于或等于约30g/m2。在一些情况下,包含合成纤维的过滤层的基重可大于或等于约20g/m2、大于或等于约30g/m2、大于或等于约40g/m2、大于或等于约50g/m2、大于或等于约60g/m2、大于或等于约70g/m2、大于或等于约80g/m2、大于或等于约90g/m2、或者大于或等于约100g/m2。上述参考范围的所有合适的组合也是可能的(例如,大于或等于约20g/m2且小于或等于约110g/m2、大于或等于约20g/m2且小于或等于约90g/m2)。基重的其他值也是可能的。基重可根据标准ASTM D-13776确定。
在一些实施方案中,包含合成纤维的过滤层可为相对薄的。例如,在一些实施方案中,包含合成纤维的过滤层的厚度可小于或等于约2.0mm、小于或等于约1.8mm、小于或等于约1.5mm、小于或等于约1.2mm、小于或等于约1.0mm、小于或等于约0.8mm、小于或等于约0.7mm、小于或等于约0.6mm、或者小于或等于约0.5mm、或者小于或等于约0.4mm。在一些情况下,包含合成纤维的过滤层的厚度可大于或等于约0.25mm、大于或等于约0.3mm、大于或等于约0.4mm、大于或等于约0.5mm、大于或等于约0.6mm、大于或等于约0.8mm、大于或等于约1.0mm、大于或等于约1.2mm、大于或等于约1.5mm、或者大于或等于约1.8mm。上述参考范围的所有合适的组合也是可能的(例如,大于或等于约0.25mm且小于或等于约2.0mm、大于或等于约0.4mm且小于或等于约1.0mm、大于或等于约0.25mm且小于或等于约0.7mm、大于或等于约0.4mm且小于或等于约0.8mm)。厚度根据标准ASTM D1777在0.3psi下确定。
如上所指出的,过滤介质可包括第二层。在一些实施方案中,第二层起提高过滤介质的颗粒捕获效率的作用,并且可被称为效率层。通常,当提及效率层的结构和性能特征和/或效率层内的层数时,效率层不包括间隔层(例如,纺粘层)。
通常,第二层和/或整个过滤介质的平均效率可基于应用而变化。在一些实施方案中,第二层和/或整个过滤介质在0.4微米下的DEHS平均效率可大于或等于约10%、大于或等于约20%、大于或等于约35%、大于或等于约50%、大于或等于约60%、大于或等于约70%、大于或等于约80%、大于或等于约90%、大于或等于约95%、大于或等于约97%、大于或等于约99%、大于或等于约99.5%、大于或等于约99.9%、大于或等于约99.95%、大于或等于约99.99%、大于或等于约99.995%、大于或等于99.999%、大于或等于99.9999%、或者大于或等于99.99999%。在一些情况下,第二层和/或整个过滤介质在0.4微米下的DEHS平均效率可小于或等于99.99999%、小于或等于99.9999%、小于或等于约99.999%、小于或等于约99.99%、小于或等于约99.997%、小于或等于约99.995%、小于或等于约99.9%、小于或等于约99.5%、小于或等于约99%、小于或等于约98%、小于或等于约97%、小于或等于约95%、小于或等于约90%、小于或等于约85%、小于或等于约75%、小于或等于约60%、小于或等于约50%、小于或等于约40%、小于或等于约30%、小于或等于约20%、或者小于或等于约10%。应当理解,上述参考范围的所有合适的组合是可能的(例如,大于或等于约20%且小于或等于约99.99999%)。DEHS平均效率可根据EN1822测量,对于效率<90%,可根据EN779:2012测量。在一些实施方案中,层(例如,第二层)和/或过滤介质的平均效率可按照EN779-2012标准来测试。测试使用0.944m3/秒(3400m3/小时)的空气流量和250Pa的最大最终测试压降(例如,对于粗或G过滤介质)或450Pa的最大最终测试压降(例如,对于中等或M或细或F过滤介质)。
如以下更详细地描述的,第二层(例如,效率层)可包含合成纤维等纤维类型。在一些情况下,第二层可包含相对高重量百分比的合成纤维(例如,100重量%)。在一些实施方案中,第二层可包含由熔喷工艺、熔融纺丝工艺、离心纺丝工艺或静电纺丝工艺形成的合成纤维。在一些情况下,如以下进一步描述的,合成纤维可为连续的。在一些实施方案中,第二层可包含合成短纤维。在一些实施方案中,第二层可包含相对少(例如,小于或等于约10重量%、小于或等于约5重量%、小于或等于约3重量%、小于或等于约1重量%)的玻璃纤维或不含玻璃纤维。
在一些实施方案中,第二层(例如,效率层)的平均纤维直径可小于或等于约5微米、小于或等于约4微米、小于或等于约3微米、小于或等于约2微米、小于或等于约1微米、小于或等于约0.9微米、小于或等于约0.8微米、小于或等于约0.7微米、小于或等于约0.6微米、小于或等于约0.5微米、小于或等于约0.4微米、小于或等于约0.3微米、小于或等于约0.2微米、小于或等于约0.1微米、小于或等于约0.08微米、或者小于或等于约0.06微米。在一些情况下,平均纤维直径可大于或等于约0.05微米、大于或等于约0.06微米、大于或等于约0.07微米、大于或等于约0.08微米、大于或等于约0.09微米、大于或等于约0.1微米、大于或等于约0.2微米、大于或等于约0.3微米、大于或等于约0.4微米、大于或等于约0.5微米、大于或等于约0.8微米、大于或等于约1微米、大于或等于约2微米、大于或等于约3微米、或者大于或等于约4微米。上述参考范围的所有合适的组合也是可能的(例如,大于或等于约0.05微米且小于或等于约5微米)。
在一些实施方案中,第二层中的纤维可具有可取决于纤维的形成方法的平均长度。在一些情况下,合成纤维可为连续的(例如,熔喷纤维、纺粘纤维、静电纺丝纤维、离心纺丝纤维等)。例如,合成纤维的平均长度可为至少约5cm、至少约10cm、至少约15cm、至少约20cm、至少约50cm、至少约100cm、至少约200cm、至少约500cm、至少约700cm、至少约1000、至少约1500cm、至少约2000cm、至少约2500cm、至少约5000cm、至少约10000cm;和/或小于或等于约10000cm、小于或等于约5000cm、小于或等于约2500cm、小于或等于约2000cm、小于或等于约1000cm、小于或等于约500cm、或者小于或等于约200cm。上述参考范围的所有合适的组合也是可能的(例如,大于或等于约100cm且小于或等于约2500cm)。平均纤维长度的其他值也是可能的。
在另一些实施方案中,合成纤维不是连续的(例如,短纤维)。通常,非连续合成纤维的特征可在于比连续合成纤维短。例如,在一些实施方案中,第二层中的纤维的平均长度可大于或等于约0.1mm、大于或等于约0.3mm、大于或等于约0.5mm、大于或等于约0.8mm、大于或等于约1mm、大于或等于约3mm、大于或等于约6mm、大于或等于约9mm、大于或等于约12mm、大于或等于约15mm、大于或等于约18mm、大于或等于约20mm、大于或等于约22mm、大于或等于约25mm、大于或等于约28mm、大于或等于约30mm、大于或等于约32mm、大于或等于约35mm、大于或等于约38mm、大于或等于约40mm、大于或等于约42mm、或者大于或等于约45mm。在一些情况下,第二层中的纤维的平均长度可小于或等于约50mm、小于或等于约48mm、小于或等于约45mm、小于或等于约42mm、小于或等于约40mm、小于或等于约38mm、小于或等于约35mm、小于或等于约32mm、小于或等于约30mm、小于或等于约27mm、小于或等于约25mm、小于或等于约22mm、小于或等于约20mm、小于或等于约18mm、小于或等于约15mm、小于或等于约12mm、小于或等于约9mm、小于或等于约6mm、小于或等于约3mm、或者小于或等于约1mm。上述参考范围的所有合适的组合也是可能的(例如,大于或等于约0.1mm且小于或等于约30mm、大于或等于约0.3mm且小于或等于约12mm)。
在其中合成纤维包含在第二层中的一些实施方案中,第二层中的合成纤维的重量百分比和/或第二层中全部纤维的合成纤维的重量百分比可大于或等于约1%、大于或等于约20%、大于或等于约40%、大于或等于约60%、大于或等于约80%、大于或等于约90%、或者大于或等于约95%。在一些情况下,在第二层中,第二层中合成纤维的重量百分比和/或全部纤维的合成纤维的重量百分比可小于或等于约100%、小于或等于约98%、小于或等于约85%、小于或等于约75%、小于或等于约50%、小于或等于约25%、或者小于或等于约10%。上述参考范围的所有合适的组合也是可能的(例如,大于或等于约80%且小于或等于约100%)。第二层中的合成纤维的重量百分比的其他值也是可能的。在一些实施方案中,第二层包含100%的合成纤维。
在一些实施方案中,第二层(例如,效率层)的基重可小于或等于约120g/m2、小于或等于约100g/m2、小于或等于约75g/m2、小于或等于约50g/m2、小于或等于约35g/m2、小于或等于约25g/m2、小于或等于约20g/m2、小于或等于约15g/m2、小于或等于约10g/m2、小于或等于约5g/m2、小于或等于约1g/m2、小于或等于约0.8g/m2、小于或等于约0.5g/m2、小于或等于约0.1g/m2、小于或等于约0.08g/m2、或者小于或等于约0.06g/m2。在一些情况下,第二层的基重可大于或等于约0.05g/m2、大于或等于约0.06g/m2、大于或等于约0.08g/m2、大于或等于约0.1g/m2、大于或等于约0.2g/m2、大于或等于约0.5g/m2、大于或等于约0.8g/m2、大于或等于约1g/m2、大于或等于约5g/m2、大于或等于约10g/m2、大于或等于约15g/m2、大于或等于约20g/m2、大于或等于约30g/m2、大于或等于约40g/m2、大于或等于约50g/m2、大于或等于约60g/m2、大于或等于约70g/m2、大于或等于约80g/m2、大于或等于约90g/m2、或者大于或等于约100g/m2。上述参考范围的所有合适的组合也是可能的(例如,大于或等于约0.05g/m2且小于或等于约75g/m2、大于或等于约0.05g/m2且小于或等于约120g/m2)。基重的其他值也是可能的。基重根据标准ASTM D-13776确定。
在一些实施方案中,第二层的厚度可小于或等于约5mm、小于或等于约4.5mm、小于或等于约4mm、小于或等于约3.5mm、小于或等于约3mm、小于或等于约2.5mm、小于或等于约2mm、小于或等于约1.5mm、小于或等于约1mm、小于或等于约0.5mm、小于或等于约0.1mm、小于或等于约0.05mm、或者小于或等于约0.01mm。在一些情况下,第二层的厚度可大于或等于约0.001mm、大于或等于约0.005mm、大于或等于约0.01mm、大于或等于约0.05mm、大于或等于约0.08mm、大于或等于约0.1mm、大于或等于约0.5mm、大于或等于约1mm、大于或等于约1.5mm、大于或等于约2mm、大于或等于约2.5mm、大于或等于约3mm、大于或等于约3.5mm、或者大于或等于约4mm。上述参考范围的所有合适的组合也是可能的(例如,大于或等于约0.005mm且小于或等于约5mm、大于或等于约0.01mm且小于或等于约1mm)。平均厚度的其他值也是可能的。厚度可根据标准ASTM D1777在0.3psi下确定。
在某些实施方案中,第二层(例如,效率层)可包括单个层。然而,在另一些实施方案中,第二层可包括多于一个层(即,子层)以形成多层结构。当层包括多于一个子层时,多个子层可基于某些特征(例如透气率、基重、纤维类型和/或颗粒效率)而不同。在某些情况下,多个子层可为独立的并通过任何合适的方法(例如层合、点粘合或整理)组合。在一些实施方案中,子层基本上彼此连接(例如,通过层合、点粘合、热点粘合、超声波结合、轧光、使用粘合剂(例如胶网)和/或共打褶)。在一些情况下,子层可形成为复合层(例如,通过湿法成网工艺)。
在一些实施方案中,效率层可为带静电的。可使用本领域普通技术人员已知的方法将静电荷赋予第二效率层或过滤介质,所述方法包括但不限于电晕充电、充电棒、水刺充电、摩擦带电、水力充电或使用添加剂。在另一些实施方案中,效率层可以不是带电的。
本文所述的具有包含合成纤维的过滤层的过滤介质可表现出有利且增强的过滤性能特征,例如容尘量(DHC)和效率。
本文所述的过滤介质可具有相对高的容尘量。容尘量为在暴露于一定量的细粉尘之前过滤介质的重量与在暴露于细粉尘之后在达到穿过过滤介质的特定压降时过滤介质的重量的差异除以纤维网的面积。容尘量可根据每平方厘米的介质(例如,通过100cm2测试面积)捕获的粉尘的重量(mg)来确定。如本文所确定的,使用以15fpm速度测试的ASHRAE52.2平板实验台使用雾化盐(例如,KCl)颗粒的气溶胶测量容尘量,其中当测量容尘量时的最终压降为1.5英寸的H2O柱。容尘量可使用ASHRAE 52.2标准确定。
在一些实施方案中,过滤介质的容尘量可大于或等于约10g/m2、大于或等于约20g/m2、大于或等于约25g/m2、大于或等于约50g/m2、大于或等于约75g/m2、大于或等于约100g/m2、大于或等于约125g/m2、大于或等于约150g/m2、大于或等于约175g/m2、大于或等于约200g/m2、大于或等于约225g/m2、大于或等于约250g/m2、或者大于或等于约275g/m2。在一些情况下,容尘量可小于或等于约300g/m2、小于或等于约275g/m2、小于或等于约250g/m2、小于或等于约225g/m2、小于或等于约200g/m2、小于或等于约175g/m2、小于或等于约150g/m2、小于或等于约125g/m2、小于或等于约100g/m2、小于或等于约80g/m2、小于或等于约60g/m2、或者小于或等于约50g/m2。上述参考范围的所有合适的组合是可能的(例如,大于或等于约10g/m2且小于或等于约300g/m2、大于或等于约20g/m2且小于或等于约80g/m2)。
在一些实施方案中,层(例如,第二层)和/或过滤介质的平均效率作为颗粒尺寸的函数而增加。在一些实施方案中,对于0.3微米至1.0微米尺寸的颗粒、对于1.0微米至3.0微米尺寸的颗粒、或者3.0微米至10.0微米尺寸的颗粒,平均效率可大于或等于约20%且小于或等于约100%(例如,大于或等于约40%且小于或等于约100%)。例如,在某些实施方案中,对于0.3微米至1.0微米尺寸的颗粒、对于1.0微米至3.0微米尺寸的颗粒、或者3.0微米至10.0微米尺寸的颗粒,过滤层(例如,第二层)和/或过滤介质的平均效率可大于或等于约10%、大于或等于约20%、大于或等于约35%、大于或等于约50%、大于或等于约60%、大于或等于约70%、大于或等于约80%、大于或等于约90%、大于或等于约95%、大于或等于约97%、大于或等于约99%、大于或等于约99.5%、大于或等于约99.9%、大于或等于约99.95%、大于或等于约99.99%、或者大于或等于约99.995%。在一些实施方案中,对于0.3微米至1.0微米尺寸的颗粒、对于1.0微米至3.0微米尺寸的颗粒、或者3.0微米至10.0微米尺寸的颗粒,平均效率可小于或等于约100%、小于或等于约99.999%、小于或等于约99.99%、小于或等于约99.997%、小于或等于约99.995%、小于或等于约99.9%、小于或等于约99.5%、小于或等于约99%、小于或等于约98%、小于或等于约97%、小于或等于约95%、小于或等于约90%、小于或等于约85%、小于或等于约75%、小于或等于约60%、小于或等于约50%、小于或等于约40%、小于或等于约30%、小于或等于约20%、或者小于或等于约10%。应当理解,上述参考范围的所有合适的组合是可能的(例如,大于或等于约20%且小于或等于约100%)。作为颗粒尺寸的函数的平均效率可根据EN 1822确定。在一些实施方案中,机械效率层和/或过滤介质的平均效率可使用EN 1822来测试。
在一些实施方案中,第二层或过滤介质的平均效率可按照ASHRAE 52.2标准来测试。例如,带电效率层和/或过滤介质的平均效率可使用ASHRAE 52.2标准来测试。测试使用25FPM的测试空气流量。测试在69°F的空气温度、25%的相对湿度和29.30英寸Hg的气压下进行。测试还使用颗粒尺寸范围为0.3微米至1.0微米、1.0微米至3.0微米或3.0微米至10.0微米的雾化盐(例如,KCl)颗粒的攻击气溶胶。
在某些实施方案中,本文所述的第二层(例如,效率层)和/或过滤介质可基于ASHRAE 52.2效率的结果按照MERV(Minimum Efficiency Reporting Value,最小效率报告值)评级进行分类。HVAC(Heating,Ventilating,and Air Conditioning,加热、通风和空气调节)工业通常使用MERV评级来描述过滤器从空气中除去微粒的能力。较高的MERV评级意味着较好的过滤和较高的性能。在一些实施方案中,本文所述的第二层或过滤介质的MERV评级在约5至12(例如,在约8至12之间、在约6至9之间)的范围内,然而,评级可以基于预期用途而变化。在一些实施方案中,本文所述的过滤层或过滤介质的MERV评级大于或等于约5、大于或等于约6、大于或等于约7、大于或等于约8、大于或等于约9、大于或等于约10、大于或等于约11、或者大于或等于约12。MERV评级可例如小于或等于15、小于或等于14、小于或等于13、小于或等于12、小于或等于11、或者小于或等于10。应当理解,上述参考范围的所有合适的组合是可能的(例如,大于或等于约5且小于或等于约15)。
在一些实施方案中,过滤介质的透气率可大于或等于约1CFM、大于或等于约5CFM、大于或等于约10CFM、大于或等于约25CFM、大于或等于约50CFM、大于或等于约75CFM、大于或等于约100CFM、大于或等于125CFM、大于或等于约150CFM、大于或等于约175CFM、大于或等于约200CFM、大于或等于225CFM、大于或等于约250CFM、或者大于或等于约275CFM。在一些情况下,过滤介质的透气率可小于或等于约300CFM、小于或等于约275CFM、小于或等于约250CFM、小于或等于约225CFM、小于或等于约200CFM、小于或等于约175CFM、小于或等于约150CFM、小于或等于约125CFM、小于或等于约100CFM、小于或等于约75CFM、小于或等于约50CFM、或者小于或等于约25CFM。应当理解,上述参考范围的所有合适的组合是可能的(例如,大于或等于约1CFM且小于或等于约300CFM、大于或等于约10CFM且小于或等于约250CFM)。
在一些实施方案中,过滤介质可具有相对低的压降。例如,在一些实施方案中,过滤介质的压降可小于或等于约1,300Pa、小于或等于约1,200Pa、小于或等于约1,000Pa、小于或等于约750Pa、小于或等于约500Pa、小于或等于约250Pa、小于或等于约150Pa、小于或等于约130Pa、小于或等于约100Pa、小于或等于约80Pa、小于或等于约60Pa、小于或等于约40Pa、小于或等于约20Pa、或者小于或等于约10Pa。在一些情况下,过滤介质的压降可大于或等于约4Pa、大于或等于约6Pa、大于或等于约10Pa、大于或等于约20Pa、大于或等于约40Pa、大于或等于约60Pa、大于或等于约80Pa、大于或等于约100Pa、大于或等于约150Pa、大于或等于约250Pa、大于或等于约500Pa、大于或等于约750Pa、大于或等于约1,000Pa、或者大于或等于约1,250Pa。上述参考范围的所有合适的组合也是可能的(例如,大于或等于约4Pa且小于或等于约1,300Pa、大于或等于约6Pa且小于或等于约130Pa)。如本文所述的压降可以根据ISO 3968使用TSI 8130过滤测试仪在10.5FPM面速度下确定。
在一些实施方案中,过滤介质的基重可大于或等于约20g/m2、大于或等于约25g/m2、大于或等于约50g/m2、大于或等于约75g/m2、大于或等于约100g/m2、大于或等于约125g/m2、大于或等于约150g/m2、或者大于或等于约175g/m2。在一些实施方案中,过滤介质的基重可小于或等于约200g/m2、小于或等于约175g/m2、小于或等于约150g/m2、小于或等于约125g/m2、小于或等于约100g/m2、小于或等于约75g/m2、小于或等于约50g/m2、小于或等于约40g/m2、或者小于或等于约30g/m2。上述参考范围的所有合适的组合也是可能的(例如,大于或等于约20g/m2且小于或等于约200g/m2、大于或等于约25g/m2且小于或等于约125g/m2)。基重的其他值也是可能的。基重可根据标准ASTM D-13776确定。
在一些实施方案中,过滤介质的厚度可大于或等于约0.25mm、大于或等于约0.3mm、大于或等于约0.4mm、大于或等于约0.5mm、大于或等于约0.6mm、大于或等于约0.8mm、大于或等于约1.0mm、大于或等于约1.2mm、大于或等于约1.5mm、大于或等于约1.8mm、大于或等于约2.0mm、或者大于或等于约2.2mm。在一些情况下,过滤介质的厚度可小于或等于约2.5mm、小于或等于约2.2mm、小于或等于约2.0mm、小于或等于约1.8mm、小于或等于约1.5mm、小于或等于约1.2mm、小于或等于约1.0mm、小于或等于约0.8mm、小于或等于约0.6mm、小于或等于约0.5mm、或者小于或等于约0.4mm。上述参考范围的所有合适的组合也是可能的(例如,大于或等于约0.25mm且小于或等于约2.5mm、大于或等于约0.4mm且小于或等于约1.2mm)。厚度根据标准ASTM D1777在0.3psi下确定。
在一些实施方案中,包含合成纤维的过滤层可包含相对高重量百分比的过滤介质(例如,大于或等于约65重量%)。在某些实施方案中,过滤介质中的包含合成纤维的过滤层的重量百分比可大于或等于约65重量%、大于或等于约70重量%、大于或等于约75重量%、大于或等于约80重量%、大于或等于约85重量%、大于或等于约90重量%、大于或等于约92重量%、大于或等于约95重量%、大于或等于约97重量%、或者大于或等于约99重量%。在一些情况下,过滤介质中的包含合成纤维的过滤层的重量百分比可小于或等于约99.5重量%、小于或等于约99重量%、小于或等于约98重量%、小于或等于约97重量%、小于或等于约95重量%、小于或等于约92重量%、小于或等于约90重量%、小于或等于约85重量%、小于或等于约80重量%、小于或等于约75重量%、或者小于或等于约70重量%。上述参考范围的所有合适的组合也是可能的(例如,大于或等于约65重量%且小于或等于约99.5重量%、大于或等于约80重量%且小于或等于约95重量%)。
在一些实施方案中,过滤介质可包含相对高重量百分比的粗直径纤维。在某些实施方案中,过滤介质中的粗直径纤维的总重量百分比和/或过滤介质中全部纤维的粗直径纤维的总重量百分比可大于或等于约20重量%、大于或等于约30重量%、大于或等于约40重量%、大于或等于约50重量%、大于或等于约60重量%、大于或等于约70重量%、或者大于或等于约80重量%。在一些情况下,过滤介质中的粗直径纤维的总重量百分比和/或过滤介质中全部纤维的粗直径纤维的总重量百分比可小于或等于约85重量%、小于或等于约80重量%、小于或等于约70重量%、小于或等于约60重量%、小于或等于约50重量%、小于或等于约40重量%、小于或等于约30重量%、小于或等于约20重量%、或者小于或等于约15重量%。上述参考范围的所有合适的组合也是可能的(例如,大于或等于约20重量%且小于或等于约85重量%、大于或等于约40重量%且小于或等于约70重量%)。
在某些实施方案中,过滤介质中的细直径纤维的总重量百分比和/或过滤介质中全部纤维的细直径纤维的总重量百分比可小于或等于约40重量%、小于或等于约35重量%、小于或等于约30重量%、小于或等于约25重量%、小于或等于约20重量%、小于或等于约15重量%、或者小于或等于约10重量%。在一些情况下,包含合成纤维的过滤层中的细直径纤维的总重量百分比和/或过滤介质中全部纤维的细直径纤维的总重量百分比可大于或等于约5重量%、大于或等于约10重量%、大于或等于约15重量%、大于或等于约20重量%、大于或等于约25重量%、大于或等于约30重量%、或者大于或等于约35重量%。上述参考范围的所有合适的组合也是可能的(例如,大于或等于约5重量%且小于或等于约40重量%、大于或等于约10重量%且小于或等于约20重量%)。
在一些实施方案中,过滤介质可包含相对高重量百分比的合成纤维。例如,在一些实施方案中,过滤介质中的合成纤维的重量百分比和/或过滤介质中全部纤维的合成纤维的重量百分比可大于或等于约1%、大于或等于约20%、大于或等于约40%、大于或等于约60%、大于或等于约80%、大于或等于约90%、或者大于或等于约95%。在一些情况下,过滤介质中的合成纤维的重量百分比和/或过滤介质中全部纤维的合成纤维的重量百分比可小于或等于约100%、小于或等于约98%、小于或等于约85%、小于或等于约75%、小于或等于约50%、或者小于或等于约10%。上述参考范围的所有合适的组合也是可能的(例如,大于或等于约80%且小于或等于约100%)。在一些实施方案中,过滤介质包含100%的合成纤维。
在一些实施方案中,一个或更多个层(例如,包含合成纤维的过滤层、第二层)和/或整个过滤介质基本上不含玻璃纤维(例如,小于1重量%的玻璃纤维、约0重量%至约1重量%的玻璃纤维)。例如,包含合成纤维的过滤层、第二层和/或整个过滤介质可包含0重量%的玻璃纤维。
本文所述的过滤介质可使用合适的工艺来生产,例如湿法成网或非湿法成网工艺。在一些实施方案中,本文所述的包含合成纤维的过滤层和/或过滤介质可使用湿法成网工艺生产。通常,湿法成网工艺包括将一种或更多种类型的纤维混合在一起;例如,可将一种直径的粗合成纤维与另一种直径的粗合成纤维和/或细直径纤维混合在一起,以提供纤维浆料。浆料可为例如水基浆料。在某些实施方案中,纤维在混合到一起(例如,以在混合物中实现较大程度的均匀性)之前任选地单独储存或组合储存在不同的储存罐中。
例如,可使第一纤维在一个容器中混合在一起并制浆,并且可使第二纤维在单独的容器中混合并制浆。随后可将第一纤维和第二纤维组合到一起成为单一纤维混合物。在混合到一起之前和/或之后,适当的纤维可通过碎浆机进行处理。在一些实施方案中,在混合到一起之前,纤维的组合通过碎浆机和/或储存罐进行处理。可以理解,还可向混合物中引入其他组分。此外,应当理解,在纤维混合物中可使用纤维类型的其他组合,例如本文所述的纤维类型。
在某些实施方案中,通过湿法成网工艺形成包括两个或更多个层(例如,包含合成纤维的过滤层和第二层)的介质。例如,可以将溶剂(例如,水性溶剂,如水)中含有纤维的第一分散体(例如,纸浆)施加到造纸机(例如,长网造纸机或真空圆网抄纸机)中的网传送机上以形成由网传送机支撑的第一层。在第一层沉积到网上的同时或随后将溶剂(例如,水性溶剂,如水)中含有纤维的第二分散体(例如,另一纸浆)施加到第一层上。在上述过程期间向纤维的第一分散体和第二分散体持续地施加真空以从纤维中移除溶剂,从而产生包括第一层和第二层的制品。然后将由此形成的制品干燥,并且如有必要,通过使用已知的方法进一步处理(例如,轧光)以形成多层过滤介质。
其他湿法成网工艺也可能是合适的。可使用用于产生纤维浆料的任何合适的方法。在一些实施方案中,将另外的添加剂添加到浆料中以促进处理。也可将温度调节到合适的范围,例如,33°F至100°F(例如,50°F至85°F)。在一些情况下,保持浆料的温度。在一些情况下,不主动调节温度。
在一些实施方案中,湿法成网工艺使用与常规造纸工艺中类似的设备,例如,水力碎浆机、成形机或流浆箱、干燥机和任选的转换器。在使浆料在碎浆机中适当地混合之后,可将浆料泵送到流浆箱中,在流浆箱中浆料可以或可以不与其他浆料合并。可以或可以不添加其他添加剂。浆料还可用另外的水稀释,使纤维的最终浓度在合适的范围内,例如,约0.1重量%至0.5重量%。
在一些情况下,可根据需要调节纤维浆料的pH。例如,浆料的纤维可在通常中性的条件下分散。
在将浆料送至流浆箱之前,可任选地使浆料通过离心净化器和/或压力筛以除去未纤维化的材料。浆料可以或可以不通过另外的设备例如精制机或高频疏解机以进一步增强纤维的分散。例如,高频疏解机可用于平滑或移除可能在纤维浆料形成期间的任何点处出现的块或突出物。然后可使用任何合适的设备(例如,长网造纸机、真空圆网抄纸机、筒形造纸机或斜网长网造纸机)以适当的速率将纤维收集到筛或网上。
在一些实施方案中,将树脂添加到层(例如,通过湿法成网工艺形成的预成型层)中。例如,当层沿着适当的筛或网通过时,使用合适的技术将可为单独乳液形式的包含在树脂中的不同组分(例如,聚合物粘合剂和/或其他组分)添加到纤维层中。在一些情况下,在与其他组分和/或层合并之前,将树脂的各组分混合成乳液。可使用例如重力和/或真空将包含在树脂中的组分拉过层。在一些实施方案中,包含在树脂中的一种或更多种组分可用软化水稀释并泵送到层中。在一些实施方案中,可在向流浆箱中引入浆料之前将树脂施加到纤维浆料中。例如,可将树脂引入(例如,注射)到纤维浆料中并浸渍纤维和/或沉淀到纤维上。在一些实施方案中,可通过溶剂饱和方法将树脂添加到层中。
在一些实施方案中,本文所述的第二层可使用非湿法成网工艺(例如吹塑或纺丝工艺)生产。在一些实施方案中,第二层可通过静电纺丝工艺形成。在某些实施方案中,第二层可通过熔喷系统形成,所述熔喷系统例如2008年11月7日提交的题为“Meltblown FilterMedium”的美国公布第2009/0120048号和2010年12月17日提交的题为“Fine Fiber FilterMedia and Processes”的美国公布第2012-0152824号中描述的熔喷系统,其各自出于所有目的通过引用整体并入本文。在某些实施方案中,第二层可通过熔纺或离心纺丝工艺形成。在一些实施方案中,可使用非湿法成网工艺例如气流成网工艺或梳理工艺来形成第二层。例如,在气流成网工艺中,可将合成纤维混合,同时将空气吹送到传送机上。在梳理工艺中,在一些实施方案中,纤维通过辊和与辊连结的延伸部(例如,钩、针)操纵。在一些情况下,通过非湿法成网工艺形成层可能更适合于生产高度多孔的介质。如上所述,可用任何合适的树脂浸渍(例如,通过饱和、喷涂等)层。在一些实施方案中,可使用非湿法成网工艺(例如,熔喷、静电纺丝)来形成第二层,以及可使用湿法成网工艺来形成包含合成纤维的过滤层。第二层(例如,效率层)和包含合成纤维的过滤层可使用任何合适的方法(例如,粘合剂、层合、共打褶或整理)来组合。
在过滤介质形成期间或之后,可根据多种已知技术进一步处理过滤介质。例如,可使用涂覆法以使树脂包含在过滤介质中。任选地,可以使用诸如粘合剂、层合、共打褶或整理的方法来形成附加层和/或向过滤介质添加附加层。例如,在一些情况下,通过如上所述的湿法成网工艺使两个层(例如,包含合成纤维的过滤层和第二层)形成为复合制品,然后通过任何合适的方法(例如,粘合剂、层合、共打褶或整理)将该复合制品与第三层组合。可以理解,通过本文所述的方法形成的过滤介质或复合制品不仅可基于各层的组分,而且可根据以适当的组合使用不同特性的多个层的效果进行适当地定制,以形成具有本文所述的特征的过滤介质。
如本文所述,在一些实施方案中,过滤介质的两个或更多个层(例如,包含合成纤维的过滤层和第二层)可单独形成,并通过任何合适的方法(例如层合、整理或通过使用粘合剂)进行组合。两个或更多个层可使用不同的工艺或相同的工艺形成。例如,每个层可通过非湿法成网工艺(例如,熔喷工艺、熔融纺丝工艺、离心纺丝工艺、静电纺丝工艺、干法成网工艺、气流成网工艺)、湿法成网工艺或任何其他合适的工艺独立地形成。
可通过任何合适的方法将不同的层粘附在一起。例如,层可通过粘合剂粘附和/或在任一侧彼此熔融粘合。还可使用层合和轧光方法。在一些实施方案中,附加层可由任何类型的纤维或纤维的共混物通过添加的流浆箱或涂布机来形成,并适当地粘附到另一层上。
在一些实施方案中,进一步的处理可包括对过滤介质进行打褶。例如,两个层可通过共打褶方法接合。在一些情况下,过滤介质或其多个层可通过在彼此间隔适当的间距处形成划线而适当地打褶,从而使过滤介质被折叠。在一些情况下,一个层可以绕在褶状层上。应当理解,可使用任何合适的打褶技术。
在一些实施方案中,可以对过滤介质进行后处理(例如经历波纹成形过程)以增加网内的表面积。在另一些实施方案中,可对过滤介质进行压花。
过滤介质可包括任何合适数量的层,例如至少2个、至少3个、至少4个、至少5个、至少6个、至少7个层。在一些实施方案中,过滤介质可包括多至20个层。
本文所述的过滤介质可用于整个过滤布置或过滤元件中。在一些实施方案中,过滤介质包含一个或更多个附加层或组件。附加层(例如,第三层、第四层)的非限制性实例包括熔喷层、湿法成网层、纺粘层、梳理层、气流成网层、水刺层、力纺(forcespun)层或静电纺丝层。
应当理解,过滤介质除本文所述的一个或更多个层之外还可包括其他部分。在一些实施方案中,进一步的处理包括并入一个或更多个结构特征和/或加强元件。例如,过滤介质可与附加结构特征例如聚合物网和/或金属网组合。在一个实施方案中,筛网背衬可设置在过滤介质上,提供进一步的Gurley刚度。在一些情况下,筛网背衬可有助于保持经打褶的构造。例如,筛网背衬可为延展金属线或挤出塑料网。
在一些实施方案中,本文所述的层可为非织造网。非织造网可包含非定向纤维(例如,在网中无规布置的纤维)。非织造网的实例包括通过本文所述的湿法成网或非湿法成网工艺制成的网。
可将过滤介质并入多种合适的过滤元件中用于包括气体和液体过滤的多种应用。适用于气体过滤的过滤介质可用于HVAC、HEPA、面罩和ULPA过滤应用。例如,过滤介质可用于加热和空气调节管中。在另一个实例中,过滤介质可用于呼吸器和面罩应用(例如,外科面罩、工业面罩和工业呼吸器)。可以将过滤介质并入多种过滤元件中用于液压过滤应用。液压过滤器(例如,高压、中压和低压专用过滤器)的示例性用途包括移动和工业过滤器。
过滤元件可具有如本领域已知的任何合适的构造,包括袋式过滤器和板式过滤器。用于过滤应用的过滤组件可以包含多种过滤介质和/或过滤元件中的任一者。过滤元件可以包含上述过滤介质。过滤元件的实例包括燃气轮机过滤元件、集尘元件、重型空气过滤元件、汽车空气过滤元件、用于大排量汽油发动机(例如,SUV、皮卡车、卡车)的空气过滤元件、HVAC空气过滤元件、HEPA过滤元件、ULPA过滤元件、真空袋式过滤元件、燃料过滤元件和油过滤元件(例如,润滑油过滤元件或重型润滑油过滤元件)。
过滤元件可以并入相应的过滤系统(燃气轮机过滤系统、重型空气过滤系统、汽车空气过滤系统、HVAC空气过滤系统、HEPA过滤系统、ULPA过滤系统、真空袋式过滤系统、燃料过滤系统和油过滤系统)中。过滤介质可以任选地被打褶成多种构造(例如,板、柱形)中的任一种。
过滤元件还可以为任何合适的形式,例如径向过滤元件、板式过滤元件或槽流元件(channel flow element)。径向过滤元件可以包括被限制在两个柱形形状的开放网筛内的经打褶的过滤介质。在使用期间,流体可以从外部通过经打褶的介质流到径向元件的内部。
在一些情况下,过滤元件包括可设置在过滤介质周围的壳体。壳体可以具有多种构造,其中构造基于预期应用而变化。在一些实施方案中,壳体可由设置在过滤介质的周边周围的框形成。例如,框可围绕周边热密封。在一些情况下,框具有围绕大致矩形的过滤介质的全部四个侧面的大致矩形的构造。框可由多种材料形成,包括例如卡纸板、金属、聚合物或合适材料的任意组合。过滤元件还可包括本领域已知的多种其他特征,例如用于使过滤介质相对于框、间隔件稳定的稳定化特征,或任何其他合适的特征。
如上所指出的,在一些实施方案中,可以将过滤介质并入袋式(或口袋式)过滤元件中。袋式过滤元件可通过任何合适的方法形成,例如通过将两个过滤介质放置在一起(或对半折叠单个过滤介质),并且使三侧(或者如果是折叠的话,两侧)彼此匹配使得只有一侧保持打开,从而在过滤器内形成口袋。在一些实施方案中,可将多个过滤口袋附接到框上以形成过滤元件。应当理解,过滤介质和过滤元件可具有多种不同的结构,并且特定的结构取决于其中使用过滤介质和元件的应用。在一些情况下,可向过滤介质中添加基底。
过滤元件可具有和上述与过滤介质有关的那些过滤元件相同的特性值。例如,上述压降、厚度和/或基重也可见于过滤元件。
在使用期间,当流体(例如,空气)流动穿过过滤介质时,过滤介质机械地将污染物颗粒捕获在过滤介质上。过滤介质不需要带电以提高污染物的捕获。因此,在一些实施方案中,过滤介质不带电。然而,在一些实施方案中,过滤介质可以是带电的。在一些实施方案中,包含合成纤维的过滤层(例如,可打褶的背衬层)和/或过滤介质可用于非过滤应用。例如,包含合成纤维的过滤层(例如,可打褶的背衬层)和/或过滤介质可用于遮光帘应用。
实施例
该实施例描述了包括与包含合成纤维的过滤层粘合地结合的熔喷效率层的五种过滤介质的容尘量。在本实施例中,包含合成纤维的过滤层是可打褶的背衬层。可打褶的背衬层的表面平均纤维直径在各过滤介质中变化。当表面平均纤维直径(SAFD)在13微米至17微米的范围内时,观察到最佳容尘量。
形成了包括熔喷效率层和可打褶的背衬层的过滤介质。可打褶的背衬层在上游并且与熔喷效率层直接相邻。效率层是平均纤维直径为0.6微米的熔喷聚丙烯纤维网。效率层是具有根据EN779标准的F9效率评级的机械效率层。可打褶的背衬层包含以下的共混物:平均直径为25微米的第一粗聚酯纤维群、平均直径为15微米的第二粗聚酯纤维群、平均纤维直径为9微米的第一细聚酯纤维群、以及平均纤维直径为13微米的第二细聚酯纤维群和丙烯酸粘合剂。可打褶的背衬层通过湿法成网工艺形成,并且具有约80g/m2至85g/m2的基重。表1示出了可打褶的背衬层中每种纤维类型的全部纤维的重量百分比以及表面平均纤维直径和透气率。如本文所述计算表面平均纤维直径。除非另外指出,否则如本文所述测量层和整个过滤器的结构和性能特性。
表1.可打褶背衬层特性
将五种不同的可打褶背衬层与效率层组合。可打褶的背衬层在使用的细直径纤维和粗直径纤维的重量百分比以及表面平均纤维直径方面不同。对于表面平均纤维直径为13微米至17微米的过滤介质,容尘量最高。图2示出了实施例1中的过滤介质的容尘量与表面平均纤维直径。
已经由此描述了本发明的至少一个实施方案的几个方面,应当理解,本领域技术人员将容易想到多种改变、修改和改进。这样的改变、修改和改进旨在成为本公开内容的一部分,并且旨在在本发明的精神和范围内。因此,上述描述和附图仅作为示例。
Claims (46)
1.一种过滤介质,包括:
非织造网,所述非织造网包含:
平均纤维直径大于或等于15微米的第一合成纤维,其中所述非织造网的所有纤维中第一合成纤维的重量百分比为大于或等于30重量%;以及
平均纤维直径大于或等于0.5微米且小于15微米的第二合成纤维,其中所述非织造网的所有纤维中第二合成纤维的重量百分比为小于或等于50重量%,其中所述非织造网的表面平均纤维直径大于或等于10微米且小于或等于17微米并使用下式来测量:
SAFD=4/(SSA ρ)
其中SAFD是以微米为单位的所述非织造网的表面平均纤维直径,SSA是以m2/g为单位的所述非织造网的BET表面积,以及ρ是以g/cm3为单位的所述非织造网的密度;以及
其中所述非织造网包含大于或等于5重量%且小于或等于40重量%的粘合剂;以及
效率层;
其中所述过滤介质的容尘量大于或等于20g/m2。
2.一种过滤介质,包括:
非织造网,所述非织造网包含:
平均纤维直径大于或等于15微米的第一合成纤维,其中所述非织造网的所有纤维中第一合成纤维的重量百分比为大于或等于30重量%;以及
平均纤维直径大于或等于0.5微米且小于15微米的第二合成纤维,其中所述非织造网的所有纤维中第二合成纤维的重量百分比为小于或等于50重量%,
其中所述非织造网的表面平均纤维直径大于或等于10微米且小于或等于17微米并使用下式来测量:
SAFD=4/(SSA ρ)
其中SAFD是以微米为单位的所述非织造网的表面平均纤维直径,SSA是以m2/g为单位的所述非织造网的BET表面积,以及ρ是以g/cm3为单位的所述非织造网的密度,其中所述非织造网包含大于或等于5重量%且小于或等于40重量%的粘合剂,并且其中所述非织造网的基重小于或等于110g/m2;以及
效率层。
3.根据前述权利要求中任一项所述的过滤介质,其中所述第一合成纤维包含第一纤维群和第二纤维群。
4.根据权利要求3所述的过滤介质,其中所述第一纤维群的平均纤维直径大于或等于15微米且小于或等于25微米。
5.根据权利要求3所述的过滤介质,其中所述第二纤维群的平均纤维直径大于或等于25微米且小于或等于50微米。
6.根据权利要求1和2中任一项所述的过滤介质,其中所述第二合成纤维包含第三纤维群和第四纤维群。
7.根据权利要求6所述的过滤介质,其中所述第三纤维群的平均纤维直径大于或等于0.1微米且小于或等于10微米。
8.根据权利要求6所述的过滤介质,其中所述第四纤维群的平均纤维直径大于或等于10微米且小于15微米。
9.根据权利要求1和2中任一项所述的过滤介质,其中所述第一合成纤维的平均纤维直径大于或等于15微米且小于或等于60微米。
10.根据权利要求1和2中任一项所述的过滤介质,其中所述第一合成纤维的平均纤维直径大于或等于17微米且小于或等于35微米。
11.根据权利要求1和2中任一项所述的过滤介质,其中所述非织造网的所有纤维中第一合成纤维的重量百分比大于或等于40重量%。
12.根据权利要求1和2中任一项所述的过滤介质,其中第二合成纤维的平均纤维直径大于或等于2微米且小于或等于10微米。
13.根据权利要求1和2中任一项所述的过滤介质,其中所述非织造网包含大于或等于10重量%且小于或等于30重量%的粘合剂树脂。
14.根据权利要求1和2中任一项所述的过滤介质,其中所述非织造网的表面平均纤维直径大于或等于13微米且小于或等于17微米。
15.根据权利要求1和2中任一项所述的过滤介质,其中所述非织造网的表面平均纤维直径大于或等于14微米且小于或等于16微米。
16.根据权利要求1和2中任一项所述的过滤介质,其中所述非织造网的基重大于或等于20g/m2且小于或等于110g/m2。
17.根据权利要求1和2中任一项所述的过滤介质,其中所述非织造网的厚度大于或等于0.25mm且小于或等于2.0mm。
18.根据权利要求1和2中任一项所述的过滤介质,其中所述非织造网的透气率大于或等于50CFM且小于或等于800CFM。
19.根据权利要求18所述的过滤介质,其中所述非织造网的透气率大于或等于300CFM。
20.根据权利要求1和2中任一项所述的过滤介质,其中所述非织造网在横向上的干拉伸强度大于或等于6磅/英寸且小于或等于20磅/英寸。
21.根据权利要求1和2中任一项所述的过滤介质,其中所述非织造网在机器方向上的干Gurley刚度大于或等于200mg且小于或等于3,500mg。
22.根据权利要求1和2中任一项所述的过滤介质,其中所述非织造网在横向上的干Gurley刚度大于或等于50mg且小于或等于1,500mg。
23.根据权利要求1和2中任一项所述的过滤介质,其中所述过滤介质的效率大于或等于40%。
24.根据权利要求1和2中任一项所述的过滤介质,其中所述非织造网的厚度大于或等于0.25mm且小于或等于0.7mm。
25.根据权利要求1和2中任一项所述的过滤介质,其中所述非织造网的厚度大于或等于0.4mm且小于或等于0.8mm。
26.根据权利要求1和2中任一项所述的过滤介质,其中所述第一合成纤维包含阻燃纤维。
27.根据权利要求1和2中任一项所述的过滤介质,其中所述第二合成纤维包含阻燃纤维。
28.一种湿法成网非织造网,包含:
平均纤维直径大于或等于15微米的第一合成纤维,其中所述湿法成网非织造网的所有纤维中第一合成纤维的重量百分比为大于或等于30重量%;以及
平均纤维直径大于或等于0.5微米且小于15微米的第二合成纤维,其中所述湿法成网非织造网的所有纤维中第二合成纤维的重量百分比为小于或等于50重量%,
其中所述湿法成网非织造网的表面平均纤维直径大于或等于10微米且小于或等于17微米并使用下式来测量:
SAFD=4/(SSA ρ)
其中SAFD是以微米为单位的所述湿法成网非织造网的表面平均纤维直径,SSA是以m2/g为单位的所述湿法成网非织造网的BET表面积,以及ρ是以g/cm3为单位的所述湿法成网非织造网的密度,以及
其中所述湿法成网非织造网包含大于或等于5重量%且小于或等于40重量%的粘合剂。
29.根据权利要求28所述的湿法成网非织造网,其中所述第一合成纤维包含第一纤维群和第二纤维群。
30.根据权利要求28和29中任一项所述的湿法成网非织造网,其中所述第二合成纤维包含第三纤维群和第四纤维群。
31.根据权利要求28和29中任一项所述的湿法成网非织造网,其中所述第一合成纤维的平均纤维直径大于或等于15微米且小于或等于60微米。
32.根据权利要求28和29中任一项所述的湿法成网非织造网,其中所述第一合成纤维的平均纤维直径大于或等于17微米且小于或等于35微米。
33.根据权利要求28和29中任一项所述的湿法成网非织造网,其中所述湿法成网非织造网的所有纤维中第一合成纤维的重量百分比大于或等于40重量%。
34.根据权利要求28和29中任一项所述的湿法成网非织造网,其中所述第二合成纤维的平均纤维直径大于或等于2微米且小于或等于10微米。
35.根据权利要求28和29中任一项所述的湿法成网非织造网,其中所述湿法成网非织造网包含大于或等于10重量%且小于或等于30重量%的粘合剂树脂。
36.根据权利要求28和29中任一项所述的湿法成网非织造网,其中所述湿法成网非织造网的表面平均纤维直径大于或等于13微米且小于或等于17微米。
37.根据权利要求28和29中任一项所述的湿法成网非织造网,其中所述湿法成网非织造网的表面平均纤维直径大于或等于14微米且小于或等于16微米。
38.根据权利要求28和29中任一项所述的湿法成网非织造网,其中所述湿法成网非织造网的基重大于或等于20g/m2且小于或等于110g/m2。
39.根据权利要求28和29中任一项所述的湿法成网非织造网,其中所述湿法成网非织造网在机器方向上的干Gurley刚度大于或等于200mg且小于或等于3,500mg。
40.根据权利要求28和29中任一项所述的湿法成网非织造网,其中所述湿法成网非织造网的厚度大于或等于0.25mm且小于或等于0.7mm。
41.根据权利要求28和29中任一项所述的湿法成网非织造网,其中所述湿法成网非织造网的厚度大于或等于0.4mm且小于或等于0.8mm。
42.根据权利要求28和29中任一项所述的湿法成网非织造网,其中所述第一合成纤维包含阻燃纤维。
43.根据权利要求28和29中任一项所述的湿法成网非织造网,其中所述第二合成纤维包含阻燃纤维。
44.一种制造非织造网的方法,包括:
提供平均纤维直径大于或等于15微米的第一合成纤维;
提供平均纤维直径大于或等于0.5微米且小于15微米的第二合成纤维;以及
使用湿法成网工艺形成非织造网,其中所述非织造网的所有纤维中第一合成纤维的重量百分比为大于或等于30重量%,所述非织造网的所有纤维中第二合成纤维的重量百分比为小于或等于50重量%,所述非织造网的表面平均纤维直径大于或等于10微米且小于或等于17微米并使用下式来测量:
SAFD=4/(SSA ρ)
其中SAFD是以微米为单位的所述非织造网的表面平均纤维直径,SSA是以m2/g为单位的所述非织造网的BET表面积,以及ρ是以g/cm3为单位的所述非织造网的密度,以及
其中所述非织造网包含大于或等于5重量%且小于或等于40重量%的粘合剂。
45.根据权利要求44所述的方法,其中所述非织造网的所有纤维中第一合成纤维的重量百分比大于或等于40重量%。
46.根据权利要求44或45中任一项所述的方法,其中所述非织造网的表面平均纤维直径大于或等于13微米且小于或等于17微米。
Applications Claiming Priority (3)
| Application Number | Priority Date | Filing Date | Title |
|---|---|---|---|
| US15/045,538 | 2016-02-17 | ||
| US15/045,538 US10252200B2 (en) | 2016-02-17 | 2016-02-17 | Filter media including a filtration layer comprising synthetic fibers |
| PCT/US2017/018186 WO2017143074A1 (en) | 2016-02-17 | 2017-02-16 | Filter media including a filtration layer comprising synthetic fibers |
Publications (2)
| Publication Number | Publication Date |
|---|---|
| CN108778452A CN108778452A (zh) | 2018-11-09 |
| CN108778452B true CN108778452B (zh) | 2021-11-12 |
Family
ID=59560023
Family Applications (1)
| Application Number | Title | Priority Date | Filing Date |
|---|---|---|---|
| CN201780011721.4A Expired - Fee Related CN108778452B (zh) | 2016-02-17 | 2017-02-16 | 包括包含合成纤维的过滤层的过滤介质 |
Country Status (4)
| Country | Link |
|---|---|
| US (2) | US10252200B2 (zh) |
| EP (2) | EP3416735B1 (zh) |
| CN (1) | CN108778452B (zh) |
| WO (1) | WO2017143074A1 (zh) |
Families Citing this family (16)
| Publication number | Priority date | Publication date | Assignee | Title |
|---|---|---|---|---|
| US11014030B2 (en) | 2016-02-17 | 2021-05-25 | Hollingsworth & Vose Company | Filter media including flame retardant fibers |
| US10252200B2 (en) * | 2016-02-17 | 2019-04-09 | Hollingsworth & Vose Company | Filter media including a filtration layer comprising synthetic fibers |
| US10898838B2 (en) | 2016-12-15 | 2021-01-26 | Hollingsworth & Vose Company | Filter media including adhesives |
| US10543441B2 (en) | 2016-12-15 | 2020-01-28 | Hollingsworth & Vose Company | Filter media including adhesives and/or oleophobic properties |
| US10981096B2 (en) | 2017-03-29 | 2021-04-20 | Knowlton Technologies, Llc | Process for making high efficiency synthetic filter media |
| US11811086B2 (en) * | 2017-09-26 | 2023-11-07 | Swm Luxembourg Sarl | Alkaline battery separators having controlled pore size |
| CN112004587B (zh) * | 2018-04-16 | 2022-11-01 | 奥斯龙-明士克公司 | 高破裂强度的湿法成网的非织造过滤介质及其生产方法 |
| CN112218697A (zh) * | 2018-06-25 | 2021-01-12 | 泽费罗斯股份有限公司 | 用于非织造材料的功能性插入物 |
| WO2020198681A1 (en) | 2019-03-28 | 2020-10-01 | Donaldson Company, Inc. | Filter media with improved dust loading |
| EP3990687B1 (en) * | 2019-06-28 | 2023-11-15 | Owens Corning Intellectual Capital, LLC | Flexible non-woven mat |
| CN114423894A (zh) * | 2019-09-20 | 2022-04-29 | 富士胶片株式会社 | 无纺布、无纺布制造方法及过滤器 |
| CN114938636A (zh) | 2019-10-08 | 2022-08-23 | 唐纳森公司 | 包括混合直径细纤维的过滤介质层 |
| EP3895779A1 (en) * | 2020-04-16 | 2021-10-20 | Neenah Gessner GmbH | Glass fiber free filter medium with a densified layer made of synthetic fibers |
| US20210370218A1 (en) * | 2020-05-29 | 2021-12-02 | Hollingsworth & Vose Company | Filter media comprising adsorptive particles |
| WO2022162278A1 (en) * | 2021-01-29 | 2022-08-04 | Ahlstrom-Munksjö Oyj | A filter media and a process for producing the same |
| US20240399631A1 (en) * | 2023-05-31 | 2024-12-05 | Hollingsworth & Vose Company | Filter media and related foam forming methods |
Citations (5)
| Publication number | Priority date | Publication date | Assignee | Title |
|---|---|---|---|---|
| CN101688342A (zh) * | 2007-06-22 | 2010-03-31 | 3M创新有限公司 | 具有短纤维的熔喷纤维网 |
| CN101797457A (zh) * | 2010-03-10 | 2010-08-11 | 东丽纤维研究所(中国)有限公司 | 一种空气过滤材料 |
| CN102753127A (zh) * | 2010-02-10 | 2012-10-24 | 宝洁公司 | 用于吸收制品的材料纤维网 |
| CN102942750A (zh) * | 2012-10-23 | 2013-02-27 | 中南大学 | 一种软质pvc制品用环保型阻燃添加剂及其制备和应用方法 |
| US20140123613A1 (en) * | 2012-11-06 | 2014-05-08 | Lydall, Inc. | Air filtration media and processes for manufacturing the same |
Family Cites Families (189)
| Publication number | Priority date | Publication date | Assignee | Title |
|---|---|---|---|---|
| US3789047A (en) | 1969-05-23 | 1974-01-29 | Du Pont | Ethylene copolymer dispersions for flame retardation and fibrous articles coated therewith |
| BE758991A (fr) | 1969-11-18 | 1971-05-17 | Reeves Bros Inc | Procede de reticulation hydrodynamique d'une mousse de polyurethanne |
| US3613678A (en) | 1970-02-24 | 1971-10-19 | Minnesota Mining & Mfg | Filtration mask |
| US3682282A (en) | 1970-10-22 | 1972-08-08 | Cons Foods Corp | Clutch for printing device |
| US3816212A (en) | 1970-11-13 | 1974-06-11 | American Cyanamid Co | Process for bonding and flame proofing webs of synthetic fibers |
| GB1363650A (en) | 1971-11-17 | 1974-08-14 | Johnson & Johnson | Flame-retardant non-woven fabric |
| GB1453447A (en) | 1972-09-06 | 1976-10-20 | Kimberly Clark Co | Nonwoven thermoplastic fabric |
| US3808289A (en) | 1972-09-13 | 1974-04-30 | Teijin Ltd | Novel flame-resistant fibers and method of producing the same |
| US3877974A (en) | 1972-10-25 | 1975-04-15 | White Chemical Corp | Flame retardants for blends of natural and synthetic fibers |
| US4131594A (en) | 1974-05-25 | 1978-12-26 | Teijin Limited | Fire-resistant thermoplastic polyester resin compositions and process for rendering polyesters fire-resistant |
| DE2454189C3 (de) | 1974-11-15 | 1980-08-14 | Hoechst Ag, 6000 Frankfurt | Verfahren zur Herstellung von schwer entflammbaren linearen Polyestern |
| US4200488A (en) | 1975-02-20 | 1980-04-29 | International Paper Company | Viscous dispersion for forming wet-laid, non-woven fabrics |
| JPS5238680A (en) | 1975-08-26 | 1977-03-25 | Nippon Denso Co Ltd | Filter member for air filters |
| CA1094957A (en) | 1976-04-23 | 1981-02-03 | Harry M. Kennard | Filter medium |
| JPS539301A (en) | 1976-07-12 | 1978-01-27 | Mitsubishi Rayon Co | Production of leather like sheet structre |
| US4426417A (en) | 1983-03-28 | 1984-01-17 | Kimberly-Clark Corporation | Nonwoven wiper |
| US4589894A (en) | 1984-04-11 | 1986-05-20 | Minnesota Mining And Manufacturing Co. | Disposable filter for a vacuum cleaner |
| US4774125A (en) | 1985-10-02 | 1988-09-27 | Surgikos, Inc. | Nonwoven fabric with improved abrasion resistance |
| US4992327A (en) | 1987-02-20 | 1991-02-12 | Albany International Corp. | Synthetic down |
| US4775579A (en) | 1987-11-05 | 1988-10-04 | James River Corporation Of Virginia | Hydroentangled elastic and nonelastic filaments |
| US4891262A (en) | 1987-12-16 | 1990-01-02 | Asahi Kasei Kogyo Kabushiki Kaisha | High strength wet-laid nonwoven fabric and process for producing same |
| US4957795A (en) | 1988-05-13 | 1990-09-18 | Minnesota Mining And Manufacturing Company | Absorbent elastomeric wound dressing |
| US4961974A (en) | 1989-03-03 | 1990-10-09 | Ahlstrom Filtration, Inc. | Laminated filters |
| US5108827A (en) | 1989-04-28 | 1992-04-28 | Fiberweb North America, Inc. | Strong nonwoven fabrics from engineered multiconstituent fibers |
| US5026587A (en) | 1989-10-13 | 1991-06-25 | The James River Corporation | Wiping fabric |
| CA2027687C (en) * | 1989-11-14 | 2002-12-31 | Douglas C. Sundet | Filtration media and method of manufacture |
| US6171443B1 (en) | 1990-03-05 | 2001-01-09 | Polyweave International, Llc | Recyclable polymeric synthetic paper and method for its manufacture |
| JPH06341063A (ja) | 1990-09-19 | 1994-12-13 | E I Du Pont De Nemours & Co | 難燃性不織布 |
| JPH04313313A (ja) | 1991-04-12 | 1992-11-05 | Mitsubishi Paper Mills Ltd | 液体濾過用フィルター濾材 |
| US5503907A (en) | 1993-07-19 | 1996-04-02 | Fiberweb North America, Inc. | Barrier fabrics which incorporate multicomponent fiber support webs |
| US5273565A (en) | 1992-10-14 | 1993-12-28 | Exxon Chemical Patents Inc. | Meltblown fabric |
| GB9223562D0 (en) | 1992-11-10 | 1992-12-23 | Du Pont Canada | Strong discontinuous polyethylene fibres |
| US5580459A (en) | 1992-12-31 | 1996-12-03 | Hoechst Celanese Corporation | Filtration structures of wet laid, bicomponent fiber |
| US5455109A (en) | 1993-04-20 | 1995-10-03 | Hollingsworth & Vose Company | Disk lining material |
| US5336286A (en) | 1993-04-26 | 1994-08-09 | Hoechst Celanese Corporation | High efficiency air filtration media |
| US5397632A (en) | 1993-05-14 | 1995-03-14 | Reemay, Inc. | Nonwoven laminated composite article capable or readily undergoing pleating to form a stable pleated depth gaseous filtration medium |
| US5419953A (en) | 1993-05-20 | 1995-05-30 | Chapman; Rick L. | Multilayer composite air filtration media |
| JP3188796B2 (ja) | 1993-11-11 | 2001-07-16 | 旭化成株式会社 | 容器状多層フィルタの製造方法 |
| CA2124389C (en) | 1993-11-16 | 2005-08-23 | Richard D. Pike | Nonwoven filter media |
| US6169045B1 (en) | 1993-11-16 | 2001-01-02 | Kimberly-Clark Worldwide, Inc. | Nonwoven filter media |
| US5607491A (en) | 1994-05-04 | 1997-03-04 | Jackson; Fred L. | Air filtration media |
| US5480466A (en) | 1994-05-04 | 1996-01-02 | Schuller International, Inc. | Air filtration media |
| US5698298A (en) | 1994-05-04 | 1997-12-16 | Schuller International, Inc. | Fibrous, non-woven polymeric insulation |
| US5437922A (en) | 1994-05-04 | 1995-08-01 | Schuller International, Inc. | Fibrous, non-woven polymeric insulation |
| US5447788A (en) | 1994-05-16 | 1995-09-05 | Kimberly Clark Corporation | Porous, nonwoven liquid-activated barrier |
| US5505719A (en) | 1994-06-30 | 1996-04-09 | Mcneil-Ppc, Inc. | Multilayered absorbent structures |
| US6485811B1 (en) | 1994-09-28 | 2002-11-26 | Toray Industries, Inc. | Nonwoven fabric for pleated filters, and a production process therefor |
| US5472600A (en) | 1995-02-01 | 1995-12-05 | Minnesota Mining And Manufacturing Company | Gradient density filter |
| US5837621A (en) | 1995-04-25 | 1998-11-17 | Johns Manville International, Inc. | Fire resistant glass fiber mats |
| US5685897A (en) | 1995-07-06 | 1997-11-11 | Laroche Industries, Inc. | High strength, low pressure drop adsorbent wheel |
| EP0773313B1 (de) | 1995-10-11 | 2000-08-09 | ARTEVA TECHNOLOGIES S.à.r.l. | Schwerentflammbare Sicherheitsgurte enthaltend phosphor-modifizierte Polyesterfasern |
| DE19537699A1 (de) | 1995-10-11 | 1997-04-17 | Hoechst Trevira Gmbh & Co Kg | Schwerentflammbare Gewebe enthaltend phosphor-modifizierte Polyesterfasern, Airbags daraus und deren Verwendung |
| US5709735A (en) | 1995-10-20 | 1998-01-20 | Kimberly-Clark Worldwide, Inc. | High stiffness nonwoven filter medium |
| US6171684B1 (en) | 1995-11-17 | 2001-01-09 | Donaldson Company, Inc. | Filter material construction and method |
| US5672399A (en) | 1995-11-17 | 1997-09-30 | Donaldson Company, Inc. | Filter material construction and method |
| US5817584A (en) | 1995-12-22 | 1998-10-06 | Kimberly-Clark Worldwide, Inc. | High efficiency breathing mask fabrics |
| US5885909A (en) | 1996-06-07 | 1999-03-23 | E. I. Du Pont De Nemours And Company | Low or sub-denier nonwoven fibrous structures |
| TW438678B (en) | 1996-08-09 | 2001-06-07 | Daikin Ind Ltd | Fire-retardant filter medium and air filter unit using the same |
| US5800586A (en) | 1996-11-08 | 1998-09-01 | Johns Manville International, Inc. | Composite filter media |
| US5879343A (en) | 1996-11-22 | 1999-03-09 | Kimberly-Clark Worldwide, Inc. | Highly efficient surge material for absorbent articles |
| US5851355A (en) | 1996-11-27 | 1998-12-22 | Bba Nonwovens Simpsonville, Inc. | Reverse osmosis support substrate and method for its manufacture |
| ES2216184T3 (es) | 1996-12-06 | 2004-10-16 | Weyerhaeuser Company | Material compuesto estratificado unitario. |
| JP2001505961A (ja) | 1996-12-06 | 2001-05-08 | ウェイアーヒューサー・カンパニー | 一体化吸収層 |
| US5935884A (en) | 1997-02-14 | 1999-08-10 | Bba Nonwovens Simpsonville, Inc. | Wet-laid nonwoven nylon battery separator material |
| US5785725A (en) | 1997-04-14 | 1998-07-28 | Johns Manville International, Inc. | Polymeric fiber and glass fiber composite filter media |
| US5820645A (en) | 1997-05-23 | 1998-10-13 | Reemay, Inc. | Pleatable nonwoven composite article for gas filter media |
| DE19752143A1 (de) | 1997-11-25 | 1999-05-27 | Mann & Hummel Filter | Filterelement |
| US6066235A (en) | 1998-04-03 | 2000-05-23 | E. I. Du Pont De Nemours And Company | Wetlay process for manufacture of highly-oriented fibrous mats |
| WO2000020675A1 (en) | 1998-10-01 | 2000-04-13 | Kimberly-Clark Worldwide, Inc. | Differential basis weight nonwoven webs |
| US6284680B1 (en) | 1998-11-17 | 2001-09-04 | Japan Vilene Company | Nonwoven fabric containing fine fibers, and a filter material |
| US6156680A (en) | 1998-12-23 | 2000-12-05 | Bba Nonwovens Simpsonville, Inc. | Reverse osmosis support substrate and method for its manufacture |
| DE19920983C5 (de) | 1999-05-06 | 2004-11-18 | Fibermark Gessner Gmbh & Co. Ohg | Zwei- oder mehrlagiges Filtermedium für die Luftfiltration und daraus hergestelltes Filterelement |
| US20050039836A1 (en) | 1999-09-03 | 2005-02-24 | Dugan Jeffrey S. | Multi-component fibers, fiber-containing materials made from multi-component fibers and methods of making the fiber-containing materials |
| US6254653B1 (en) | 1999-10-08 | 2001-07-03 | Aaf International | Pleated fluid filter medium blend |
| AU1440801A (en) | 1999-10-29 | 2001-05-14 | Hollingsworth And Vose Company | Filter media |
| US20020037679A1 (en) | 2000-08-01 | 2002-03-28 | Vishal Bansal | Meltblown web |
| US6419839B1 (en) | 2000-08-15 | 2002-07-16 | Hollingsworth & Vose Company | Pool and spa filter media |
| US6649547B1 (en) * | 2000-08-31 | 2003-11-18 | Kimberly-Clark Worldwide, Inc. | Integrated nonwoven laminate material |
| US7270693B2 (en) | 2000-09-05 | 2007-09-18 | Donaldson Company, Inc. | Polymer, polymer microfiber, polymer nanofiber and applications including filter structures |
| US6579350B2 (en) | 2000-11-14 | 2003-06-17 | Lydall, Inc. | Air laid/wet laid gas filtration media |
| US7896941B2 (en) | 2001-02-12 | 2011-03-01 | Aaf-Mcquay Inc. | Product and method of forming a gradient density fibrous filter |
| US6802315B2 (en) | 2001-03-21 | 2004-10-12 | Hollingsorth & Vose Company | Vapor deposition treated electret filter media |
| US20040058609A1 (en) | 2001-05-10 | 2004-03-25 | Vishal Bansal | Meltblown web |
| CN1166432C (zh) | 2001-08-17 | 2004-09-15 | 康那香企业股份有限公司 | 高透气性滤材的制法及其制品 |
| US6838149B2 (en) | 2001-12-13 | 2005-01-04 | 3M Innovative Properties Company | Abrasive article for the deposition and polishing of a conductive material |
| US20030186609A1 (en) | 2002-03-28 | 2003-10-02 | Booker Archer E. D. | Nonwoven fabric having low ion content and method for producing the same |
| US6758878B2 (en) | 2002-04-10 | 2004-07-06 | Aaf Mcquay, Inc. | Thermobondable filter medium and border frame and method of making same |
| US20030203696A1 (en) | 2002-04-30 | 2003-10-30 | Healey David Thomas | High efficiency ashrae filter media |
| DE10221694B4 (de) | 2002-05-16 | 2018-07-12 | Branofilter Gmbh | Mehrlagiger Filteraufbau, Verwendung eines solchen mehrlagigen Filteraufbaus, Staubfilterbeutel, Taschenfilterbeutel, plissierter Filter, flächiger Abluftfilter und Luftfilter für Kraftfahrzeuge |
| RU2283908C2 (ru) | 2002-07-01 | 2006-09-20 | Асахи Касеи Файберс Корпорейшн | Нетканый материал и чайный пакетик из такого материала |
| CN1681988B (zh) | 2002-09-17 | 2010-08-11 | 纳幕尔杜邦公司 | 阻液性能极高的织物 |
| US20040102112A1 (en) | 2002-11-18 | 2004-05-27 | Mcguire Sheri L. | Flame-retardant nonwovens |
| CA2507209C (en) | 2002-11-29 | 2011-08-30 | Neworld Fibers, Llc | Methods, systems and compositions for fire retarding substrates |
| EP3023136A1 (en) | 2002-12-02 | 2016-05-25 | Reemay, Inc. | Multilayer nonwovens incorporating differential cross-sections |
| DK1415699T3 (da) | 2002-12-06 | 2004-09-20 | Eurofilters Nv | Filtermedium til en stövsugerpose |
| US7994079B2 (en) | 2002-12-17 | 2011-08-09 | Kimberly-Clark Worldwide, Inc. | Meltblown scrubbing product |
| US6878427B2 (en) | 2002-12-20 | 2005-04-12 | Kimberly Clark Worldwide, Inc. | Encased insulation article |
| US20040192146A1 (en) | 2003-03-21 | 2004-09-30 | Sturgill Gary Lee | Multi-layer adhesive-bonded nonwoven sheet and process therefor |
| AU2004226533B2 (en) | 2003-03-31 | 2009-01-29 | Toray Industries, Inc. | Filter medium |
| CN100355562C (zh) | 2003-04-22 | 2007-12-19 | 旭化成纤维株式会社 | 高强度无纺布 |
| US20040242107A1 (en) | 2003-05-30 | 2004-12-02 | Collins Loren M. | Non-woven flame blocking fabric and method |
| US7008465B2 (en) | 2003-06-19 | 2006-03-07 | Donaldson Company, Inc. | Cleanable high efficiency filter media structure and applications for use |
| US20050136772A1 (en) | 2003-12-23 | 2005-06-23 | Kimberly-Clark Worldwide, Inc. | Composite structures containing tissue webs and other nonwovens |
| US7150774B2 (en) | 2003-12-24 | 2006-12-19 | 3M Innovative Properties Company | Self-spacing pleated filter insert |
| US20050148261A1 (en) | 2003-12-30 | 2005-07-07 | Kimberly-Clark Worldwide, Inc. | Nonwoven webs having reduced lint and slough |
| US7387976B2 (en) | 2004-04-26 | 2008-06-17 | Teijin Fibers Limited | Composite fiber structure and method for producing the same |
| US20050241745A1 (en) | 2004-05-03 | 2005-11-03 | Vishal Bansal | Process for making fine spunbond filaments |
| US20060068675A1 (en) | 2004-09-01 | 2006-03-30 | Handermann Alan C | Wet-lay flame barrier |
| US8057567B2 (en) | 2004-11-05 | 2011-11-15 | Donaldson Company, Inc. | Filter medium and breather filter structure |
| US8021457B2 (en) | 2004-11-05 | 2011-09-20 | Donaldson Company, Inc. | Filter media and structure |
| CN101934172B (zh) | 2004-11-05 | 2016-06-08 | 唐纳森公司 | 过滤介质和结构 |
| JP2006136809A (ja) | 2004-11-12 | 2006-06-01 | Toray Ind Inc | エアフィルター用非ハロゲンおよび非リン難燃性濾材並びにその製造方法 |
| KR101341293B1 (ko) | 2004-11-30 | 2013-12-12 | 프로펙스 지오솔루션즈 코포레이션 | 내연성 섬유 블렌드, 불 및 열 장벽 직물 및 관련 공정 |
| US20060116043A1 (en) | 2004-11-30 | 2006-06-01 | Doug Hope | Flame resistant fiber blend and fabrics made therefrom |
| US20060137317A1 (en) | 2004-12-28 | 2006-06-29 | Bryner Michael A | Filtration media for filtering particulate material from gas streams |
| US20060292947A1 (en) | 2005-06-24 | 2006-12-28 | Lavietes Daniel | Polyester fiber scrim and method for making same |
| JP4782489B2 (ja) | 2005-06-27 | 2011-09-28 | トヨタ紡織株式会社 | フィルタ用濾材 |
| US8308833B2 (en) | 2005-10-04 | 2012-11-13 | Toray Industries, Inc. | Nonwoven fabric for filters |
| US7441667B2 (en) | 2005-12-15 | 2008-10-28 | E.I. Du Pont De Nemours And Company | Composite membranes for liquid filtration having improved uniformity and adhesion of substrate to membrane |
| US20070141936A1 (en) | 2005-12-15 | 2007-06-21 | Bunyard William C | Dispersible wet wipes with improved dispensing |
| US20070141931A1 (en) | 2005-12-21 | 2007-06-21 | Malay Nandi | Faced board material having a smooth aesthetically pleasing outer surface and good adhesion of facer to core |
| US20070220852A1 (en) | 2006-03-27 | 2007-09-27 | Hollingsworth And Vose Company | High Capacity Filter Medium |
| US8410005B2 (en) | 2006-03-30 | 2013-04-02 | The Procter & Gamble Company | Stacks of pre-moistened wipes with unique fluid retention characteristics |
| US20080120954A1 (en) | 2006-05-16 | 2008-05-29 | Duello Leonard E | Tackified And Non-Tackified Nonwovens Of Controlled Stiffness And Retained Foldability |
| US20090288558A1 (en) | 2006-05-16 | 2009-11-26 | Duello Leonard E | Nonwovens of controlled stiffness and retained foldability |
| US20070270071A1 (en) | 2006-05-18 | 2007-11-22 | Greer J Travis | Nonwoven fabric towel |
| US9770058B2 (en) | 2006-07-17 | 2017-09-26 | 3M Innovative Properties Company | Flat-fold respirator with monocomponent filtration/stiffening monolayer |
| PL2049720T3 (pl) | 2006-07-31 | 2014-02-28 | 3M Innovative Properties Co | Sposób wytwarzania kształtowych produktów filtracyjnych |
| US7754041B2 (en) | 2006-07-31 | 2010-07-13 | 3M Innovative Properties Company | Pleated filter with bimodal monolayer monocomponent media |
| US7985275B2 (en) | 2006-10-02 | 2011-07-26 | General Electric Company | Filter media and devices for high temperature filtration and methods |
| ATE507965T1 (de) | 2007-02-09 | 2011-05-15 | Polyester Fibers Llc | Mehrlagiger verbundvliesstoff, fluidfilter und verfahren zur herstellung des vliesstoffes |
| JP5037964B2 (ja) | 2007-02-13 | 2012-10-03 | Esファイバービジョンズ株式会社 | 湿式不織布用繊維 |
| WO2008106490A1 (en) | 2007-02-28 | 2008-09-04 | Hollingsworth & Vose Company | Waved filter media and elements |
| US7942948B2 (en) | 2007-03-05 | 2011-05-17 | Bha Group, Inc. | Filter element including a composite filter media |
| US20080315465A1 (en) | 2007-03-05 | 2008-12-25 | Alan Smithies | Method of manufacturing composite filter media |
| US20080236722A1 (en) | 2007-03-27 | 2008-10-02 | Mark William Charbonneau | Fibrous product and method and apparatus for making the product |
| ES2526819T3 (es) | 2007-03-29 | 2015-01-15 | Toray Industries, Inc. | Medio de filtro y unidad de filtro |
| WO2008130019A1 (ja) | 2007-04-17 | 2008-10-30 | Teijin Fibers Limited | 湿式不織布およびフィルター |
| US20090019825A1 (en) | 2007-07-17 | 2009-01-22 | Skirius Stephen A | Tacky allergen trap and filter medium, and method for containing allergens |
| US7819936B2 (en) | 2007-08-22 | 2010-10-26 | E.I. Du Pont De Nemours And Company | Filter felts and bag filters comprising blends of fibers derived from diamino diphenyl sulfone and heat resistant fibers |
| DE102007043946A1 (de) | 2007-09-14 | 2009-03-19 | Bayerisches Zentrum für Angewandte Energieforschung e.V. | Faserverbünde und deren Verwendung in Vakuumisolationssystemen |
| US7871947B2 (en) | 2007-11-05 | 2011-01-18 | Milliken & Company | Non-woven composite office panel |
| US8986432B2 (en) | 2007-11-09 | 2015-03-24 | Hollingsworth & Vose Company | Meltblown filter medium, related applications and uses |
| EP2227308A2 (en) | 2007-11-09 | 2010-09-15 | Hollingsworth & Vose Company | Meltblown filter medium |
| JP5221676B2 (ja) | 2007-12-31 | 2013-06-26 | スリーエム イノベイティブ プロパティズ カンパニー | 流体濾過物品とその作製方法及び使用方法 |
| US20110064928A1 (en) | 2008-05-05 | 2011-03-17 | Avgol Industries 1953 Ltd | Nonwoven material |
| JP2009275319A (ja) | 2008-05-15 | 2009-11-26 | Nippon Ester Co Ltd | 難燃性ポリエステル複合短繊維 |
| ITMI20081331A1 (it) | 2008-07-22 | 2010-01-23 | Ahlstroem Oy | Substrato non tessuto ad elevata uniformita' e procedimento di produzione |
| US7922959B2 (en) | 2008-08-01 | 2011-04-12 | E. I. Du Pont De Nemours And Company | Method of manufacturing a composite filter media |
| US8512432B2 (en) | 2008-08-01 | 2013-08-20 | David Charles Jones | Composite filter media |
| BRPI0917557A2 (pt) | 2008-08-04 | 2015-11-17 | Procter & Gamble | artigo absorvente com componente de barreira |
| PL2169110T3 (pl) | 2008-09-25 | 2013-11-29 | Trevira Gmbh | Lumenizowane włókna niepodtrzymujące palenia, z apreturą nadającą miękki chwyt nie zawierającą silikonów obejmującą polieter i produkt kondensacji kwasów tłuszczowych |
| US20100151760A1 (en) | 2008-12-15 | 2010-06-17 | E. I. Du Pont De Nemours And Company | Non-woven sheet containing fibers with sheath/core construction |
| US7833918B2 (en) | 2009-01-14 | 2010-11-16 | The Dial Corporation | Water-activated, disposable two-sided cleaning article |
| US9885154B2 (en) | 2009-01-28 | 2018-02-06 | Donaldson Company, Inc. | Fibrous media |
| US20120116338A1 (en) | 2009-01-29 | 2012-05-10 | Ferry William M | Polypropylene Nonwoven Fibers And Fabrics And Methods For Making Same |
| US20100212272A1 (en) | 2009-02-24 | 2010-08-26 | Hollingsworth & Vose Company | Filter media suitable for ashrae applications |
| CA2698841A1 (en) | 2009-04-03 | 2010-10-03 | John Pocher | Reinforced, pleated filter structure |
| US8950587B2 (en) | 2009-04-03 | 2015-02-10 | Hollingsworth & Vose Company | Filter media suitable for hydraulic applications |
| US20100272938A1 (en) | 2009-04-22 | 2010-10-28 | Bemis Company, Inc. | Hydraulically-Formed Nonwoven Sheet with Microfibers |
| US8062565B2 (en) | 2009-06-18 | 2011-11-22 | Usg Interiors, Inc. | Low density non-woven material useful with acoustic ceiling tile products |
| US8083828B2 (en) | 2009-06-19 | 2011-12-27 | Hollingsworth & Vose Company | Fiber web having a high stiffness |
| CN102470302B (zh) | 2009-07-08 | 2015-03-11 | Jnc株式会社 | 使用了层叠驻极体无纺布的空气过滤材料 |
| JP2011137267A (ja) | 2009-12-29 | 2011-07-14 | Nippon Ester Co Ltd | 湿式短繊維不織布 |
| RU2596738C9 (ru) | 2010-09-23 | 2016-11-10 | Инвиста Текнолоджиз С.А Р.Л. | Огнестойкие волокна, пряжа и ткани из них |
| KR20130117793A (ko) | 2010-10-14 | 2013-10-28 | 파이버웹 인코포레이티드 | 고-균일성 스펀본디드 부직포 |
| US20120152824A1 (en) | 2010-12-17 | 2012-06-21 | Hollingsworth & Vose Company | Fine fiber filter media and processes |
| WO2012129094A1 (en) | 2011-03-18 | 2012-09-27 | Donaldson Company, Inc. | High temperature treated media |
| US9666848B2 (en) | 2011-05-20 | 2017-05-30 | Dreamweaver International, Inc. | Single-layer lithium ion battery separator |
| JP6141836B2 (ja) | 2011-06-30 | 2017-06-07 | スリーエム イノベイティブ プロパティズ カンパニー | 不織布エレクトレット繊維ウェブ及びその製造方法 |
| US9498384B2 (en) | 2011-12-01 | 2016-11-22 | Leigh E. Wood | Assembled intermediate comprising staple fiber nonwoven web and articles |
| TW201339387A (zh) | 2011-12-16 | 2013-10-01 | Toray Industries | 混纖不織布與積層片及過濾器以及混纖不織布之製造方法 |
| US9662600B2 (en) * | 2012-03-09 | 2017-05-30 | Ahlstrom Corporation | High efficiency and high capacity glass-free fuel filtration media and fuel filters and methods employing the same |
| US9689097B2 (en) | 2012-05-31 | 2017-06-27 | Wm. T. Burnett Ip, Llc | Nonwoven composite fabric and panel made therefrom |
| US9267238B2 (en) * | 2012-07-25 | 2016-02-23 | Johns Manville | Glass fiber reinforced facer mat |
| US9186608B2 (en) | 2012-09-26 | 2015-11-17 | Milliken & Company | Process for forming a high efficiency nanofiber filter |
| US9446337B2 (en) | 2012-09-26 | 2016-09-20 | Southern Felt Company, Inc. | Filter media for long-term high temperature applications |
| DE102012220546A1 (de) | 2012-11-12 | 2014-05-15 | Neenah Gessner Gmbh | Flammhemmend ausgerüstetes Gasfiltermaterial mit hoher Staubspeicherfähigkeit |
| US9149749B2 (en) | 2012-11-13 | 2015-10-06 | Hollingsworth & Vose Company | Pre-coalescing multi-layered filter media |
| US20140360146A1 (en) | 2013-06-10 | 2014-12-11 | Lydall, Inc. | Wet-laid dual-layer air filtration media including a large diameter synthetic polymeric fiber in a top layer thereof |
| EP2821119B1 (en) | 2013-07-02 | 2016-06-29 | Ahlstrom Corporation | Filter medium |
| US9987578B2 (en) | 2013-08-02 | 2018-06-05 | Cummins Filtration Ip, Inc. | Gradient nanofiber filter media |
| US20160206984A1 (en) | 2013-09-03 | 2016-07-21 | 3M Innovative Properties Company | Melt-spinning process, melt-spun nonwoven fibrous webs and related filtration media |
| EP2865434A1 (en) | 2013-10-22 | 2015-04-29 | Ahlstrom Corporation | Method of filtering a fluid and a filter medium therefor |
| US10441909B2 (en) * | 2014-06-25 | 2019-10-15 | Hollingsworth & Vose Company | Filter media including oriented fibers |
| WO2016016848A1 (en) | 2014-07-30 | 2016-02-04 | Sabic Global Technologies B.V. | Spunbond polycarbonate resin filter media |
| US10343095B2 (en) | 2014-12-19 | 2019-07-09 | Hollingsworth & Vose Company | Filter media comprising a pre-filter layer |
| US10252200B2 (en) * | 2016-02-17 | 2019-04-09 | Hollingsworth & Vose Company | Filter media including a filtration layer comprising synthetic fibers |
| US11014030B2 (en) | 2016-02-17 | 2021-05-25 | Hollingsworth & Vose Company | Filter media including flame retardant fibers |
-
2016
- 2016-02-17 US US15/045,538 patent/US10252200B2/en active Active
-
2017
- 2017-02-16 CN CN201780011721.4A patent/CN108778452B/zh not_active Expired - Fee Related
- 2017-02-16 EP EP17753843.6A patent/EP3416735B1/en active Active
- 2017-02-16 WO PCT/US2017/018186 patent/WO2017143074A1/en not_active Ceased
- 2017-02-16 EP EP21159915.4A patent/EP3906991A1/en not_active Withdrawn
-
2019
- 2019-02-21 US US16/281,428 patent/US11123668B2/en not_active Expired - Fee Related
Patent Citations (5)
| Publication number | Priority date | Publication date | Assignee | Title |
|---|---|---|---|---|
| CN101688342A (zh) * | 2007-06-22 | 2010-03-31 | 3M创新有限公司 | 具有短纤维的熔喷纤维网 |
| CN102753127A (zh) * | 2010-02-10 | 2012-10-24 | 宝洁公司 | 用于吸收制品的材料纤维网 |
| CN101797457A (zh) * | 2010-03-10 | 2010-08-11 | 东丽纤维研究所(中国)有限公司 | 一种空气过滤材料 |
| CN102942750A (zh) * | 2012-10-23 | 2013-02-27 | 中南大学 | 一种软质pvc制品用环保型阻燃添加剂及其制备和应用方法 |
| US20140123613A1 (en) * | 2012-11-06 | 2014-05-08 | Lydall, Inc. | Air filtration media and processes for manufacturing the same |
Also Published As
| Publication number | Publication date |
|---|---|
| CN108778452A (zh) | 2018-11-09 |
| EP3416735A4 (en) | 2019-10-23 |
| EP3906991A1 (en) | 2021-11-10 |
| EP3416735B1 (en) | 2024-07-03 |
| US20190321760A1 (en) | 2019-10-24 |
| US20170232371A1 (en) | 2017-08-17 |
| EP3416735A1 (en) | 2018-12-26 |
| US10252200B2 (en) | 2019-04-09 |
| US11123668B2 (en) | 2021-09-21 |
| WO2017143074A1 (en) | 2017-08-24 |
Similar Documents
| Publication | Publication Date | Title |
|---|---|---|
| CN108778452B (zh) | 包括包含合成纤维的过滤层的过滤介质 | |
| US12011686B2 (en) | Filter media comprising a pre-filter layer | |
| US11738295B2 (en) | Filter media including flame retardant fibers | |
| US8282712B2 (en) | Air filtration medium with improved dust loading capacity and improved resistance to high humidity environment | |
| CN106687190B (zh) | 包含定向纤维的过滤介质 | |
| CN110753573A (zh) | 包括多相预过滤器的过滤介质 | |
| US10384156B2 (en) | Filter media comprising fibers including charged particles | |
| WO2018064500A1 (en) | Filter media including flame retardant fibers |
Legal Events
| Date | Code | Title | Description |
|---|---|---|---|
| PB01 | Publication | ||
| PB01 | Publication | ||
| SE01 | Entry into force of request for substantive examination | ||
| SE01 | Entry into force of request for substantive examination | ||
| GR01 | Patent grant | ||
| GR01 | Patent grant | ||
| CF01 | Termination of patent right due to non-payment of annual fee |
Granted publication date: 20211112 |





