CN108647419B - Low-altitude flame infrared radiation characteristic estimation method and device along with height change - Google Patents
Low-altitude flame infrared radiation characteristic estimation method and device along with height change Download PDFInfo
- Publication number
- CN108647419B CN108647419B CN201810413157.5A CN201810413157A CN108647419B CN 108647419 B CN108647419 B CN 108647419B CN 201810413157 A CN201810413157 A CN 201810413157A CN 108647419 B CN108647419 B CN 108647419B
- Authority
- CN
- China
- Prior art keywords
- height
- template
- flow field
- jet
- estimated
- Prior art date
- Legal status (The legal status is an assumption and is not a legal conclusion. Google has not performed a legal analysis and makes no representation as to the accuracy of the status listed.)
- Active
Links
Images
Classifications
-
- G—PHYSICS
- G06—COMPUTING OR CALCULATING; COUNTING
- G06F—ELECTRIC DIGITAL DATA PROCESSING
- G06F30/00—Computer-aided design [CAD]
- G06F30/20—Design optimisation, verification or simulation
-
- G—PHYSICS
- G06—COMPUTING OR CALCULATING; COUNTING
- G06F—ELECTRIC DIGITAL DATA PROCESSING
- G06F30/00—Computer-aided design [CAD]
- G06F30/10—Geometric CAD
- G06F30/17—Mechanical parametric or variational design
Landscapes
- Engineering & Computer Science (AREA)
- Physics & Mathematics (AREA)
- Theoretical Computer Science (AREA)
- Geometry (AREA)
- General Physics & Mathematics (AREA)
- Evolutionary Computation (AREA)
- General Engineering & Computer Science (AREA)
- Computer Hardware Design (AREA)
- Computational Mathematics (AREA)
- Mathematical Analysis (AREA)
- Mathematical Optimization (AREA)
- Pure & Applied Mathematics (AREA)
- Investigating Or Analysing Materials By Optical Means (AREA)
Abstract
The invention relates to the technical field of data processing, and provides a low-altitude flame infrared radiation characteristic estimation method and device along with height change, wherein the method comprises the following steps: acquiring jet flame flow field characteristic parameters under a first height and a second height based on simulation, and calculating the infrared radiation intensity of jet flames under the first height and the second height; calculating the jet flame flow field scale changing along with the height to be estimated according to jet flame flow field characteristic parameters under the first height and the second height obtained by simulation, and obtaining an infrared radiation intensity function changing along with the height to be estimated according to the jet flame flow field scale changing along with the height to be estimated and the spectral absorption coefficient of each subarea; and correcting by a formula to obtain the flame infrared radiation intensity. The method can realize the rapid estimation of the low-altitude flame infrared radiation characteristic along with the height change, and solves the problem of low calculation efficiency of the flame flow field and the radiation characteristic based on a detailed modeling method in the prior art.
Description
Technical Field
The invention relates to the technical field of data processing, in particular to a low-altitude flame infrared radiation characteristic estimation method and device along with height change.
Background
When the rocket engine is designed, the full-flow state of the rocket engine needs to be ensured, the expansion ratio (the ratio of the outlet pressure of the spray pipe to the ambient pressure) of the engine is about 1, when the rocket is launched and emptied from the ground, the expansion ratio is increased along with the reduction of the ambient pressure in the flying process, the engine is basically in a slight under-expansion state and an under-expansion state, and the rocket is in a gradual acceleration state. The reburning effect is an important parameter influencing the infrared radiation characteristic of the jet flame, the reburning effect is determined by the recovery temperature, the component concentration and the blending parameter, the expansion ratio is larger along with the increase of the height, the loss after the Mach disk is larger, the recovery temperature after the expansion is further reduced, the oxygen concentration is reduced along with the height, on the other hand, the jet flame outlet speed (about 2000m/s to 3000m/s) is higher along with the increase of the rocket speed, the speed difference is smaller, the blending is weaker, and under the assumed condition, the reburning effect is weakened along with the increase of the height and is characterized as the reduction of the highest temperature.
Thus, the low-altitude flame infrared radiation characteristics differ with changes in height. The flow field and radiation characteristics obtained under a certain typical height based on the simulation method have higher calculation time cost and lower efficiency, so the method is not suitable for estimating the low-altitude flame infrared radiation characteristics at all heights.
Disclosure of Invention
The invention aims to solve the technical problem that the calculation efficiency of a jet flame flow field and radiation characteristics based on a detailed modeling method in the prior art is low, and provides a low-altitude jet flame infrared radiation characteristic estimation method and device along with height change, which can quickly and effectively realize estimation.
In order to solve the technical problem, the invention provides a low-altitude flame infrared radiation characteristic estimation method along with height change, which comprises the following steps:
obtaining jet flame flow field characteristic parameters under a first height and a second height based on simulation, and calculating the infrared radiation intensity I of jet flames under the first height and the second heighttemplate(H1) And Itemplate(H2);
Calculating the jet flame flow field scale changing with the height to be estimated according to jet flame flow field characteristic parameters under the first height and the second height obtained by simulation, and obtaining an infrared radiation intensity function I changing with the height H to be estimated according to the jet flame flow field scale changing with the height to be estimated and the spectral absorption coefficient of each subareanew(H);
The jet flame infrared radiation intensity I is obtained by the following formula:
wherein, Inew(H1) And Inew(H2) Respectively is the first height H1And a second height H2Substitution of infrared radiationIntensity function Inew(H) The infrared radiation intensity obtained is then determined.
Optionally, the calculating a jet flame flow field dimension varying with the height to be estimated according to the jet flame flow field characteristic parameters at the first height and the second height obtained by the simulation includes:
calculating the corresponding expansion ratio N according to the height to be estimatedPRSelecting the expansion ratio N at the first height and the second heightPR1And NPR2The middle and closest height is used as a basic template, and the maximum equivalent radius R of the jet flame of the basic template is calculated according to the jet flame flow field characteristic parameters of the basic templatetemplateLength equivalent to that of the jet flame Ltemplate;
The maximum equivalent radius R of the jet flame according to the basic templatetemplateLength equivalent to that of the jet flame LtemplateCalculating the jet flame flow field dimension which changes along with the height H to be estimated by the following formula:
wherein R isnewMaximum equivalent radius of the flame for the height H variation to be estimated, LnewFor equivalent length of the jet, N, as a function of the height H to be estimatedPRAnd NPR_templateFor the expansion ratio of the height to be estimated and the expansion ratio of the base form, f (U)∞template) And g (U)∞template) And the accompanying flow velocity U of the basic template∞templateAs the accompanying flow velocity U∞Substituting into the high-speed accompanying flow influence function f (U)∞) And g (U)∞) To obtain kLAnd kRIs the fitting constant.
Optionally, the high speed companion flow influence function f (U)∞) And g (U)∞) Respectively as follows:
wherein, U∞To accompany the velocity of the flow, U*Is the limit expansion rate of the jet flame, andγexitis specific heat ratio at the outlet of the engine, R is the gas constant, TexitIs the engine nozzle exit temperature.
Optionally, the infrared radiation intensity function I varying with the height H to be estimated is obtained according to the jet flame flow field scale varying with the height to be estimated and the spectral absorption coefficient of each partitionnew(H) The method comprises the following steps:
calculating the spectral absorption coefficient of each jet flow field subarea according to the jet flow field scale changed along with the height H to be estimated;
obtaining an infrared radiation intensity function I which changes along with the height H to be estimated according to the spectral absorption coefficient of each jet flame flow field subareanew(H)。
Optionally, the function is dependent on accompanying flow velocity U∞Calculating the spectral absorption coefficient of each jet flow field partition by the changed jet flow field scale, wherein the calculation comprises the following steps:
calculating the spectral absorption coefficient of the area according to the outlet parameters of the jet pipe engine in the outlet area of the flow field;
calculating the spectral absorption coefficient of the region according to the flow field parameters of the incoming flow influence region;
according to a first height H1And a second height H2The flow field parameters of the reburning area with the height H to be estimated are calculated, and the spectral absorption coefficient of the reburning area is calculated according to the flow field parameters of the reburning area.
Optionally, said first height H1And a second height H2The flow field parameter calculation of the reburning zone of the height H to be estimated comprises the following steps:
(1) the reburning zone being calculated by the formulaTemperature Tafterburning:
Tafterburning=T1_max+(T2_max-T1_max)(H-H1)/(H2-H1);
Wherein T is1_maxIs a first height H1Maximum temperature in the form of (1), T2_maxIs a second height H2Maximum temperature in the template of (1);
(2) the pressure P of the reburning zone is calculated by the following formulaafterburning:
Pafterburning=0.5*(P1(x″,0)+P2(x″′,0));
Wherein P is1(x', 0) is a first height H1At a position corresponding to the maximum temperature in the template, P2(x' ", 0) is a second height H2The pressure at the position corresponding to the maximum temperature value in the template;
(3) the density ρ of the reburning zone is calculated by the following formulaafterburning:
ρafterburning=0.5*(ρ1(x″,0)+ρ2(x″′,0));
Where ρ is1(x', 0) is a first height H1The density, p, of the location corresponding to the temperature maximum in the template2(x' ", 0) is a second height H2The density of the position corresponding to the maximum temperature value in the template;
(4) the velocity U of the reburning zone is calculated by the following formulaafterburning:
Uafterburning=0.5*(U1(x″,0)+U2(x″′,0));
Wherein U is1(x', 0) is a first height H1Speed of the position corresponding to the maximum temperature value in the template, U2(x' ", 0) is a second height H2The speed of the position corresponding to the maximum temperature value in the template;
CO in the reburning zone is calculated by the following formula2Component mass concentration XCO2_afterburning:
XCO2_afterburning=(X1_co2(x″,0)-X1_co2(x′,0))*αafterburning/α1+X1_co2(x′,0);
Wherein, X1_co2(x', 0) is a first height H1At the (x', 0) position of the template of (A)2Mass concentration of component X1_co2(x', 0) is a first height H1At the (x', 0) position CO in the template2Mass concentration of the components, wherein (x', 0) is a first height H1The mass concentration X of OH component in the template1_OHPosition where (x,0) is not less than 0, alphaafterburningAccording to the velocity U of the reburning zoneafterburningAnd temperature T of the reheat zoneafterburningCalculated entrainment coefficient, α1According to a first height H1Speed U of the position corresponding to the maximum temperature value in the template1(x', 0) and temperature T1_max(ii) a calculated entrainment coefficient; the mass concentration X of the CO component in the reburning area is calculated by the same methodCO_afterburningAnd H2Mass concentration X of O componentH2O_afterburning。
The invention also provides a low-altitude flame infrared radiation characteristic pre-estimating device along with the height change, which comprises: the device comprises a simulation unit, a change estimation unit and an intensity correction unit;
the simulation unit obtains jet flame flow field characteristic parameters under a first height and a second height based on simulation, and calculates the infrared radiation intensity I of jet flames under the first height and the second heighttemplate(H1) And Itemplate(H2);;
The change pre-estimating unit is used for calculating the jet flame flow field scale changing along with the height to be estimated according to jet flame flow field characteristic parameters under the first height and the second height obtained by simulation, and obtaining an infrared radiation intensity function I changing along with the height H to be estimated according to the jet flame flow field scale changing along with the height to be estimated and the spectral absorption coefficient of each subareanew(H);
The intensity correction unit is used for
The jet flame infrared radiation intensity I is obtained by the following formula:
wherein, Inew(H1) And Inew(H2) Respectively is the first height H1And a second height H2Substitution into an infrared radiation intensity function Inew(H) The infrared radiation intensity obtained is then determined.
Optionally, the change estimation unit is configured to perform the following operations to calculate the flow field dimension of the flame as a function of the height to be estimated:
calculating the corresponding expansion ratio N according to the height to be estimatedPRSelecting the expansion ratio N at the first height and the second heightPR1And NPR2The middle and closest height is used as a basic template, and the maximum equivalent radius R of the jet flame of the basic template is calculated according to the jet flame flow field characteristic parameters of the basic templatetemplateLength equivalent to that of the jet flame Ltemplate;
The maximum equivalent radius R of the jet flame according to the basic templatetemplateLength equivalent to that of the jet flame LtemplateCalculating the jet flame flow field dimension which changes along with the height H to be estimated by the following formula:
wherein R isnewMaximum equivalent radius of the flame for the height H variation to be estimated, LnewFor equivalent length of the jet, N, as a function of the height H to be estimatedPRAnd NPR_templateFor the expansion ratio of the height to be estimated and the expansion ratio of the base form, f (U)∞template) And g (U)∞template) And the accompanying flow velocity U of the basic template∞templateAs the accompanying flow velocity U∞Substituting into the high-speed accompanying flow influence function f (U)∞) And g (U)∞) To obtain kLAnd kRIs the fitting constant.
Optionally, the high speed companion flow influence function f (U)∞) And g (U)∞) Respectively as follows:
wherein, U∞To accompany the velocity of the flow, U*Is the limit expansion rate of the jet flame, andγexitis specific heat ratio at the outlet of the engine, R is the gas constant, TexitIs the engine nozzle exit temperature.
Optionally, the variation estimation unit is configured to perform the following operation to change the infrared radiation intensity function I with the height H to be estimatednew(H):
Calculating the spectral absorption coefficient of each jet flow field subarea according to the jet flow field scale changed along with the height H to be estimated;
obtaining an infrared radiation intensity function I which changes along with the height H to be estimated according to the spectral absorption coefficient of each jet flame flow field subareanew(U∞)。
The method and the device for estimating the infrared radiation characteristic of the low-altitude flame along with the height change, provided by the embodiment of the invention, have the following beneficial effects:
1. according to the method, the flow field and radiation change rules under the condition of different altitudes can be solved based on the infrared radiation intensity of the flame at the first height and the second height obtained by simulation and the infrared radiation intensity function which is obtained based on the self-emission principle and changes along with the height to be estimated, the flame infrared radiation characteristic of each height can be rapidly estimated, and the problem of low calculation efficiency of the flame flow field and radiation characteristic based on a detailed modeling method in the prior art is solved.
2. The invention constructs a jet flame flow field scale correction formula, and can calculate the jet flame flow field scale which changes along with the height H to be estimated according to the jet flame flow field scale of the basic template, thereby converting the simulation result under the fixed height into different altitudes H, and being convenient for solving the infrared radiation characteristics of different altitudes.
3. The invention also fits a high-speed adjoint flow influence function f (U) by analyzing the statistical characteristics of the jet flame flow field∞) And g (U)∞) The jet flow field size of the low-altitude jet flow field along with the velocity U of the accompanying flow is obtained by the formula∞The change rule of (2).
4. The invention estimates the intensity I of the infrared radiation at a new height Hnew(HH) after the above, to obtain a spectral radiation intensity with higher accuracy, I obtained by simulation was further usednew(H1) And Itemplate(H2) And correcting to calculate the spectral radiation intensity at different heights with higher precision.
Drawings
FIG. 1 is a flow chart of a method for estimating the infrared radiation characteristic of a low-altitude flame according to the variation of height according to an embodiment of the present invention;
FIG. 2 is a schematic view of a low altitude flame flow field;
FIGS. 3a and 3b are graphs of a fitted low altitude flame infrared radiation characteristic in accordance with the present invention;
FIG. 4 is a plot of predicted distribution characteristics of a low-altitude flame flow field according to the present disclosure;
FIG. 5 is a schematic diagram of an apparatus for estimating the infrared radiation characteristic of a low-altitude flame according to a fifth embodiment of the present invention;
in the figure: 501: a simulation unit; 502: a change estimation unit; 503: and an intensity correction unit.
Detailed Description
In order to make the objects, technical solutions and advantages of the embodiments of the present invention clearer, the technical solutions in the embodiments of the present invention will be clearly and completely described below with reference to the drawings in the embodiments of the present invention, and it is obvious that the described embodiments are some, but not all, embodiments of the present invention. All other embodiments, which can be obtained by a person skilled in the art without any inventive step based on the embodiments of the present invention, are within the scope of the present invention.
Example one
As shown in fig. 1, the method for estimating the infrared radiation characteristic of the low-altitude flame according to the embodiment of the invention may include the following steps:
step S101: obtaining a first height H based on simulation1And a second height H2The characteristic parameters of the lower jet flame flow field are calculated, and the first height H is calculated1And a second height H2Intensity of infrared radiation of lower jet flame Itemplate(H1) And Itemplate(H2);
Step S102: calculating the jet flame flow field scale changing with the height to be estimated according to jet flame flow field characteristic parameters under the first height and the second height obtained by simulation, and obtaining an infrared radiation intensity function I changing with the height H to be estimated according to the jet flame flow field scale changing with the height to be estimated and the spectral absorption coefficient of each subareanew(H);H1≤H≤H2;
Step S103: the jet flame infrared radiation intensity I is obtained by the following formula:
wherein, Inew(H1) And Inew(H2) Respectively is the first height H1And a second height H2Substitution into an infrared radiation intensity function Inew(H) The infrared radiation intensity obtained is then determined.
The method for estimating the infrared radiation characteristic of the low-altitude flame changing along with the height, provided by the embodiment of the invention, can be used for solving the flow field and radiation change rule under the condition of different altitudes based on the infrared radiation intensity of the flame at the first height and the second height obtained by simulation and the infrared radiation intensity function changing along with the height to be estimated obtained based on the self-emission principle, and can be used for rapidly estimating the infrared radiation characteristic of the flame at each height.
Example two
Based on the method for estimating the infrared radiation characteristic of the low-altitude flame with height variation provided in the first embodiment, the first height H is obtained based on simulation in step S1011And a second height H2The characteristic parameters of the lower jet flame flow field are calculated, and the first height H is calculated1And a second height H2Intensity of infrared radiation of lower jet flame Itemplate(H1) And Itemplate(H2) The process of (2) can be specifically realized by the following modes:
a1 simulating two different heights (first height H) based on CFD + + method and using engine nozzle outlet parameters and environment parameters as input1A second height H2) And (3) jet flame flow field characteristic parameters under the conditions. First height H in the present invention1A second height H2And the height H to be estimated both refer to the altitude. Wherein the engine nozzle exit parameters include: nozzle exit radius Rexit_templateOutlet pressure Pexit_templateOutlet temperature Texit_templateOutlet density ρexit_templateOutlet velocity Uexit_templateSpecific heat ratio at outlet gammaexit_templateAnd mass concentration of the components (e.g. co)2Mass fractionco mass fraction xcoexit_template、h2o mass fraction). The environmental parameters include: pressure P of accompanying flow∞_templateTemperature T of the accompanying stream∞_templateAnd accompanying flow velocity U∞_template. The characteristic parameters of the jet flame flow field comprise: temperature T (X, y), pressure P (X, y), density ρ (X, y), component mass concentration distribution X (X, y), where X and y represent the position in the flow field, respectively, the above parameters characterizing the parameters varying with position. In the present invention, subscript template represents template, exit represents export, and ∞ represents environmental companion stream.
Wherein the altitude is a first altitude H1When the corresponding ambient pressure is P∞1Ambient temperature T∞1And the incoming flow velocity U∞1At this time, the expansion ratio NPR1=Pexit/P∞1(ii) a When the altitude is the second altitude H2When the corresponding ambient pressure is P∞2Ambient temperature T∞2And the incoming flow velocity U∞2At this time, the expansion ratio NPR2=Pexit/P∞2。
A2, taking characteristic parameters of the jet flame flow field as input, solving the absorption coefficient of gas in the jet flame flow field based on a line-by-line integration method, solving the radiation transmission equation of the jet flame flow field based on an apparent light method (LOS), and obtaining two different heights (a first height H)1And a second height H2) The intensity of the infrared radiation (i.e., the intensity of the spectral radiation) of the jet flame. The invention can adopt CFD + + and line-by-line integration and LOS method to simulate the jet flame flow field and the template of the infrared radiation characteristic under the typical height, extract the characteristic parameter of the jet flame flow field, and is beneficial to obtaining the infrared radiation intensity function I which changes along with the height H to be estimated subsequentlynew(H) In that respect The invention does not limit the concrete form of the template, and the flow field and radiation characteristics obtained by simulation or actual measurement under typical speed and typical two heights can be used as the template.
EXAMPLE III
On the basis of the method for estimating the infrared radiation characteristic of the low-altitude flame with height change provided in the second embodiment, the step S102 is a process of calculating the flame flow field dimension with height change to be estimated according to the flame flow field characteristic parameters at the first height and the second height obtained by simulation, and the method can be specifically implemented by the following steps:
b1, calculating the corresponding expansion ratio N according to the height to be estimatedPRSelecting the expansion ratio N at the first height and the second heightPR1And NPR2The middle and closest height is used as a basic template, and the maximum equivalent radius R of the jet flame of the basic template is calculated according to the jet flame flow field characteristic parameters of the basic templatetemplateLength equivalent to that of the jet flame Ltemplate。
The jet flame flow field is determined by the jet nozzle outlet flow parameters and the incident flow (i.e., the ambient atmospheric incident flow), which can be attributed to the expansion ratio NPR(ratio of nozzle outlet pressure to ambient pressure),Specific heat ratio gamma of spray pipe outletexitAnd accompanying flow velocity U∞。
When the height to be estimated is H, the corresponding ambient pressure is P∞Ambient temperature T∞And the incoming flow velocity U∞At this time, the expansion ratio N corresponding to the height H to be estimatedPR=Pexit/P∞Since the height H to be estimated is between the first height H1And a second height H2In between, i.e. NPRBetween NPR1And NPR2In which N isPRThe closest height is the base template, assuming | NPR-NPR1|<|NPR-NPR2Taking the basic template as the first height H1Otherwise, the basic template is taken as the second height H2。
The parameter R is determined in the template by the following relationshiptemplateAnd LtemplateThe generation method comprises the following steps: taking the temperature of the jet flame boundary and reducing it to the ambient incoming flow temperature T∞_template1.05 times of the jet flame, namely the maximum equivalent radius R of the jet flametemplateFrom the nozzle outlet to the oxygen x in the ambient gaso2∞_templateThe distance when the mass fraction is reduced to 0.1 is the equivalent length L of the flametemplate。
The invention determines the maximum equivalent radius R of the jet flame from the basic template according to the distribution characteristics of the low-altitude jet flame flow field characteristics and the following relationtemplateLength equivalent to that of the jet flame Ltemplate: taking the temperature T of the jet flame boundary and reducing to the ambient incoming flow temperature T∞_templateRadius 1.05 times that of the jet flame, namely the maximum equivalent radius R of the jet flametemplate(ii) a Oxygen x from the nozzle outlet to the ambient gaso2∞_templateMass fraction YaThe distance reduced to 0.1 is the equivalent length L of the flametemplate. As shown in fig. 2, a schematic view of a low-altitude flame flow field is shown. Thus, the parameter RtemplateAnd LtemplateCan be obtained by processing the template according to the method.
B2, maximum equivalent radius R of flame according to the basic templatetemplateLength equivalent to that of the jet flame LtemplateIs calculated by the following formulaThe jet flame flow field dimension of the height H change to be estimated:
wherein R isnewMaximum equivalent radius of the flame for the height H variation to be estimated, LnewFor equivalent length of the jet, N, as a function of the height H to be estimatedPRAnd NPR_templateFor the expansion ratio of the height to be estimated and the expansion ratio of the base form, f (U)∞template) And g (U)∞template) And the accompanying flow velocity U of the basic template∞templateAs the accompanying flow velocity U∞Substituting into the high-speed accompanying flow influence function f (U)∞) And g (U)∞) To obtain kLAnd kRIs the fitting constant. For liquid rocket engines, preferably kL=1.54,kR1.2; for solid rocket engines, preferably kL=1.32,kR=1.1。
The invention analyzes the statistical characteristics of the jet flame flow field through a large amount of experimental data, and finds that the specific heat ratio gamma is givenexitAnd U∞<U*/2, velocity U with accompanying flow∞The corresponding equivalent length of the jet flame is increased, and the accompanying flow velocity approaches the limit expansion velocity U of the jet flame*The jet equivalent length reaches its maximum value when it is time, and then decreases as the incident flow increases. As shown in fig. 3a and 3b, fitting graphs are fitted to the infrared radiation characteristics of the low-air flame according to the present invention. The curve is based on L of statistics in 100 groups of flow fields corresponding to different incoming flow velocities of numerical simulationtemplateFitting on the basis of data, wherein gammaexit=1.2。
FIG. 3a shows the equivalent length L of the flametemplateExpansion ratio NPRFIG. 3b is the equivalent length L of the flametemplateVelocity U with accompanying flow∞The fitted curve of (1).
From the fitted curve, a high-speed adjoint flow influence function f (U) can be obtained∞) And g (U)∞) Respectively as follows:
wherein, U∞To accompany the velocity of the flow, U*Is the limit expansion rate of the jet flame, andγexitis specific heat ratio at the outlet of the engine, R is the gas constant, TexitIs the engine nozzle exit temperature.
Obtaining the maximum equivalent radius R of the flame of the calculated basic templatetemplateLength equivalent to that of the jet flame LtemplateAnd a high speed companion flow influence function f (U)∞) And g (U)∞) Then, the jet flame flow field dimension R of the height H change to be estimated can be obtained through the formulas (2) and (3)newAnd Lnew。
The invention constructs a jet flame flow field scale correction formula, and can calculate the jet flame flow field scale which changes along with the height H to be estimated according to the jet flame flow field scale of the basic template, thereby converting the simulation result under the fixed height into different altitudes H, and being convenient for solving the infrared radiation characteristics of different altitudes.
Furthermore, the invention also fits a high-speed adjoint flow influence function f (U) by analyzing the statistical characteristics of the jet flame flow field∞) And g (U)∞) The jet flow field size of the low-altitude jet flow field along with the velocity U of the accompanying flow is obtained by the formula∞The change rule of (2).
Example four
Low altitude flame IR as provided in example IIIBased on the radiation characteristic estimation method, in step S102, an infrared radiation intensity function I changing with the height H to be estimated is obtained according to the jet flame flow field scale changing with the height to be estimated and the spectral absorption coefficient of each subareanew(H) The process can be specifically realized by the following steps:
c1, calculating the spectral absorption coefficient k of each jet flow field subarea according to the jet flow field scale changing along with the height H to be estimatedm,ηWhere m is the partition number and η is the wavelength. The jet flame flow field subarea comprises a reburning area, an incoming flow influence area and a flow field outlet area, and the corresponding spectral absorption coefficients are respectively k1,η、k2,ηAnd k3,η。
C2, obtaining an infrared radiation intensity function I changing with the height to be estimated according to the spectral absorption coefficient of each jet flame flow field subareanew(H)。
Fig. 4 is a diagram of the predicted distribution characteristics of the low-pressure flame flow field according to the present invention. As shown in fig. 4, the flame flow field of the present invention is divided into 3 flame flow field zones, and the area and corresponding characteristic parameters of each zone are respectively:
1. and (3) a flow field outlet area: l is more than or equal to 0 and less than or equal to k1*Lnew,0≤R≤Rexit_template;
The parameter of the outlet region of the flow field has an outlet temperature Texit_templateOutlet pressure Pexit_templateOutlet density ρexit_template、co2Mass fractionh2o mass fractionco mass fraction xcoexit_templateThe parameters of the nozzle engine outlet are input parameters in the basic template. In FIG. 4, the above parameters are abbreviated as Te、Pe、ρe、XCO、XH2O、XCO2。
2. The incoming flow influence area: l is more than or equal to 0 and less than or equal to k1*Lnew,Rexit_template≤R≤Rnew;
Parameters of the inflow influencing zone the temperature, pressure, density, co mass fraction, h of the influencing zone2o mass fraction and co2Mass fraction, i.e. Ti、Pi、ρi、XCO_i、XH2O_i、XCO2_i. The parameters are the variation parameters of the environment from the outlet of the spray pipe to the incoming flow, and are linearly changed along with the radial distance R,
for example: when the radial distance R is equal to Rexit_templateAt this time Ti=Texit_templateWhen the radial distance R is equal to RnewAt this time Ti=1.05T∞_template;
When the distance R is between Rexit_templateAnd RnewIn the meantime:
Ti=Texit_template+(R-Rexit_template)*(1.05T∞_template-Texit_template)/(Rnew-Rexit_template) (6)
the remaining parameters are solved in the same way.
3. A reburning area: k is a radical of1*Lnew≤l≤Lnew,0≤R≤Rnew。
Temperature, pressure, density, co mass fraction, h of reburning zone2o mass fraction and co2Mass fraction Tafterburning、Pafterburning、ρafterburning、XCO_afterburning、XH2O_afterburning、XCO2_afterburningTo take into account the flow field parameters of the afterburning effect.
I in the above subdivision is the length across the flow field, i.e. in the direction of flight of the aircraft, and R is the radial distance (i.e. radius). Rexit_templateIs the nozzle exit radius in the known engine nozzle exit parameters. k is a radical of1The calculation method of (2) is as follows: the expansion ratio N at the first height and the second height selected in step S101PR1And NPR2Taking X from the nearest templateoh(X, y) representing the mass concentration of the hydroxide (oh) component as a function of the coordinates (X, y), and making y 0, when X isoh(x,0)>When 0 appears, x at this position is obtained from the template, then k1=x/Rtemplate。
The invention is based on a first height H1And a second height H2The method for calculating the flow field parameters of the reburning area of the height H to be estimated comprises the following steps:
1) the temperature T of the reheat zone is calculated by the following formulaafterburning:
Tafterburning=T1_max+(T2_max-T1_max)(H-H1)/(H2-H1) (7)
Wherein T is1_maxIs a first height H1Maximum temperature in the form of (1), T2_maxIs a second height H2Maximum temperature in the template of (1);
at a first height H1Known jet flame flow field temperature distribution T in template1(X, y) and OH component mass concentration distribution X1_OH(x, y) with y equal to 0, there is a temperature distribution function T of temperature along the axis (i.e., L direction)1(X,0) and OH component Mass concentration distribution function X1_OH(X,0) when X1_OHWhen (x ', 0) is more than or equal to 0, the position x ' is obtained, and x ' is more than or equal to x and less than or equal to LtemplateWithin the interval, obtaining the maximum value T1(x', 0) (denoted T1_max) Obtaining the second height H in the same way2Maximum value of intermediate temperature T2(x' ", 0) (denoted T2_max). Since the expansion ratio (outlet pressure to ambient pressure) is greater with increasing altitude, the losses after passing through the mach disk are greater, and the recovery temperature after expansion is reduced, the oxygen concentration decreases with altitude, on the other hand, the jet flame outlet velocity (about 2000m/s to 3000m/s), the velocity difference is smaller with increasing rocket velocity, the mixing is weaker, and the afterburning effect becomes weaker with increasing altitude under the assumed conditions, characterized by a reduction in the maximum temperature. Therefore, the altitude H is between H1And H2So that T isafterburningBetween T1_maxAnd T2_maxIn between, linear interpolation is performed on the height to obtain the T calculated by the above formula (7)afterburning:
2) By passingThe pressure P of the reburning zone is calculated by the following formulaafterburning:
Pafterburning=0.5*(P1(x″,0)+P2(x″′,0)) (8)
Wherein P is1(x', 0) is a first height H1At a position corresponding to the maximum temperature in the template, P2(x' ", 0) is a second height H2The pressure at the position corresponding to the maximum temperature value in the template;
3) the density ρ of the reburning zone is calculated by the following formulaafterburning:
ρafterburning=0.5*(ρ1(x″,0)+ρ2(x″′,0)) (9)
Where ρ is1(x', 0) is a first height H1The density, p, of the location corresponding to the temperature maximum in the template2(x' ", 0) is a second height H2The density of the position corresponding to the maximum temperature value in the template;
since the pressure and density do not change much, the pressure and density in the reburning zone can be calculated by using the above (8) and (9).
(4) The velocity U of the reburning zone is calculated by the following formulaafterburning:
Uafterburning=0.5*(U1(x″,0)+U2(x″′,0)) (10)
Wherein U is1(x', 0) is a first height H1Speed of the position corresponding to the maximum temperature value in the template, U2(x' ", 0) is a second height H2The speed of the position corresponding to the maximum temperature value in the template;
CO in the reburning zone is calculated by the following formula2Component mass concentration XCO2_afterburning:
XCO2_afterburning=(X1_co2(x″,0)-X1_co2(x′,0))*αafterburning/α1+X1_co2(x′,0) (11)
Wherein, X1_co2(x', 0) is a first height H1At a position CO in the template2Mass concentration of component X1_co2(x', 0) is the first heightDegree H1At the (x', 0) position CO in the template2Mass concentration of the components, wherein (x', 0) is a first height H1The mass concentration X of OH component in the template1_OHPosition where (x,0) is not less than 0, alphaafterburningAccording to the velocity U of the reburning zoneafterburningAnd temperature T of the reheat zoneafterburningCalculated entrainment coefficient, α1According to a first height H1Speed U of the position corresponding to the maximum temperature value in the template1(x', 0) and temperature T1_maxCalculated entrainment coefficient.
In order to characterize the afterburning effect, the empirical coefficient of the entrainment of gas mixture from the ambient atmosphere by the jet flame is described by the entrainment coefficient α, which is a parameter that varies with mach number. The entrainment coefficient can be calculated by the following equation (12):
in the formula MexitMach number, p, at the nozzle outletexitI.e., the density at the nozzle exit, u is the velocity at the entrainment location, and T is the temperature at the entrainment location.
Thus, changing U to U1(x″,0),T=T1_maxSubstituting into formula (12) to obtain entrainment coefficient alpha1(ii) a Changing U to Uafterburning,T=TafterburningSubstituting into formula (12) to obtain entrainment coefficient alphaafterburning。
Mass concentration X of CO component in reburning zoneCO_afterburningAnd H2Mass concentration X of O componentH2O_afterburningThe process is similar to the above-described CO2The solving method of the mass concentration of the components is the same, and the details are not repeated herein.
Preferably, said function is dependent on the accompanying flow velocity U∞The method comprises the following steps of calculating the spectral absorption coefficient of each jet flow field subarea by the changed jet flow field scale, wherein the method comprises the following steps:
(1) calculating the spectral absorption coefficient of the area according to the outlet parameters of the jet pipe engine in the outlet area of the flow field;
(2) calculating the spectral absorption coefficient of the region according to the flow field parameters of the incoming flow influence region;
(3) according to a first height H1And a second height H2The flow field parameters of the reburning area with the height H to be estimated are calculated, and the spectral absorption coefficient of the reburning area is calculated according to the flow field parameters of the reburning area.
After 3 jet flow field partitions are divided, a HITRAN/HITEMP spectral database can be adopted to calculate the gas absorption coefficient k of each jet flow field partitionm,η. The specific calculation method is as follows:
for the same gas, its spectral absorption coefficient k at wave number etaηIs equal to the linear absorption coefficient k of the mutually overlapped spectral lines at the wave number etaη,iAnd (c) the sum, i.e.:
in the formula, kηIs the absorption coefficient, F (. eta. -eta.)0,i) Is a linear function of the spectral line, η0,iTo calculate the wavenumber at the center of the ith line in the domain, SiN is the number density of molecules of a single component, normalized to the integrated intensity of the line of a single molecule.
The standard state (P) is given in the HITRAN/HITEMP spectral database0=1.01325×105pa、T0296K) of the components in the atmosphere*(T0) (normalized to 296K single molecules). Single molecule spectral line intensity expression at other temperatures:
in the formula: eta0At the center of the spectral line, E' is a low-state spectral term, QV(T) is a vibration distribution function, QR(T) is a rotational distribution function, S*(T) is the integral intensity of the spectral line of a single molecule at the temperature T, c is the speed of light, h is the Planckian constant, and k is the Boltzmann constant.
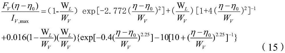
Wherein the line linear function has Lorentz line type (Lorentz) and Doppler line type (Doppler), the invention uses Foott (Viogt) line type, and the calculation formula is as follows:
in the formula, WLIs the full linewidth of the Lorentzian line, WDIs the full line width, W, of the Doppler lineVIs the full line width of the Foott line, IV,maxThe value of the Foott line function at the center of the line.
Obtaining the temperature, pressure, density, co mass fraction, h of each jet flame flow field subarea2o mass fraction and co2After the mass fractions, the integrated intensity of the spectral line S of a single molecule can be calculated by substituting the respective temperatures as the temperatures T into equation (14)*(T) is S in the formula (13)i. Will Si、F(η-η0,i) Substituting N into formula (13) to obtain the spectral absorption coefficient k of a single gasη. Wherein the molecular number density N is obtained by density conversion of a flame flow field partition.
Total absorption coefficient for a mixture of n' components (i.e., gas absorption coefficient for a burner flow field zone)Wherein k isη,jThe spectral absorption coefficient of the j-th gas in this division is expressed by the above formula (13). Preferably, the gas component of primary concern in the present invention is co2、co、h2o three components, wherein n' is 3.
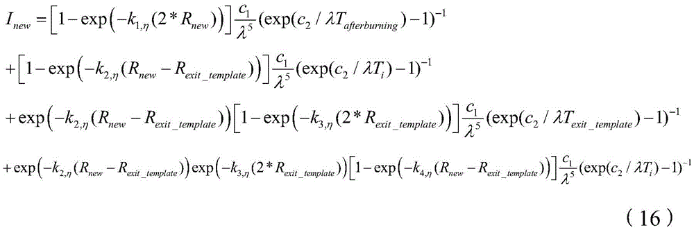
Since the spectral radiation is different when observed along different directions, a person skilled in the art can calculate the infrared radiation intensity function I which changes along with the height H to be estimated by using the spectral absorption coefficient of each jet flow field subarea according to different observation anglesnew(H) In that respect For example, in a radial direction (upwards)The above R direction) is taken as an example, then it is:
in the formula k1,ηIs the spectral absorption coefficient, k, of the reburning zone2,ηIs the spectral absorption coefficient, k, of the region of influence of the incoming flow3,ηIs the spectral absorption coefficient of the outlet region of the flow field, where k4,η=k2,η。c1Is a first radiation constant, c2And λ is the second radiation constant, and λ is the radiation wavelength λ 10000/η.
According to the above method, I can be calculatednew(H) For a first height H1,H=H1Can obtain Inew(H1) For the second height H2,H=H2Then, I can also be calculatednew(H2) In order to obtain higher precision spectral radiation intensity, the value of I obtained in step S101 is usedtemplate(H1) And Itemplate(H2) And correcting to calculate the spectral radiation intensity at different heights with higher precision, wherein the method comprises the following steps:
from a first height H1Template Itemplate(H1) Corrected to obtainnew(H)*Itemplate(H1)/Inew(H1) (ii) a From the second height H2Template Itemplate(H2) Corrected to obtainnew(H)*Itemplate(H2)/Inew(H2)。
The jet flame infrared radiation intensity I in the interval along with the height can be obtained by taking the mean value:
wherein I is the spectral radiation intensity of height H estimated and obtained by the method, and I istemplate(H1) And Itemplate(H2) First height H generated based on fine simulation for first step1And the second highestDegree H2Intensity of jet flame infrared radiation, Inew(H1) And Inew(H2) Respectively is the first height H1And a second height H2Substituting the estimated infrared radiation intensity function Inew(H) The infrared radiation intensity obtained is then determined.
In order to verify the efficiency of the low-altitude flame infrared radiation characteristic estimation method along with the change of height under the influence of the accompanying flow, the invention calculates the flame flow field and the infrared radiation characteristic of 40 typical heights at the interval of 1km to 40km based on simulation platform simulation configured by Dell Optiplex 780 software and hardware, the CFD method (CFD + + software) is adopted to simulate and generate the flame flow field and the infrared radiation characteristic of about 11 hours under each height state, and the total consumed time is about 40 multiplied by 11 hours under the condition of not adopting a parallel algorithm. By adopting the estimation method, about 2 multiplied by 11hour preparation templates in the total time consumption of typical states (1km and 40km) are calculated, 15 minutes are consumed for generating the flame infrared radiation characteristics of other heights, and the time cost is greatly reduced, so that the low-altitude flame infrared radiation characteristic estimation method can realize the rapid calculation of the low-altitude flame flow field and the infrared radiation characteristics along with the height change.
EXAMPLE five
As shown in fig. 5, the device for estimating the infrared radiation characteristic of the low-altitude flame according to the embodiment of the invention may include: a simulation unit 501, a change estimation unit 502 and an intensity correction unit 503;
a simulation unit 501, configured to obtain flow field characteristic parameters of the jet flame at the first height and the second height based on simulation, and calculate an infrared radiation intensity I of the jet flame at the first height and the second heighttemplate(H1) And Itemplate(H2). The simulation unit 501 performs the same operation as step S101 in the foregoing method.
A change estimation unit 502, configured to calculate a jet flame flow field dimension that changes with the height to be estimated according to the jet flame flow field characteristic parameters at the first height and the second height obtained through simulation, and obtain an infrared radiation intensity function I that changes with the height H to be estimated according to the jet flame flow field dimension that changes with the height to be estimated and the spectral absorption coefficient of each partitionnew(H) In that respect The changeThe operation performed by the prediction unit 502 is the same as step S102 in the method described above.
An intensity correction unit 503, configured to correct the flame infrared radiation intensity I according to the following formula:
wherein, Inew(H1) And Inew(H2) Respectively is the first height H1And a second height H2Substitution into an infrared radiation intensity function Inew(H) The infrared radiation intensity obtained is then determined. The intensity correction unit 503 performs the same operation as step S103 in the foregoing method.
Optionally, the variation estimation unit 502 is configured to perform the following operations to calculate the flow field dimension of the flame as a function of the height to be estimated:
calculating the corresponding expansion ratio N according to the height to be estimatedPRSelecting the expansion ratio N at the first height and the second heightPR1And NPR2The middle and closest height is used as a basic template, and the maximum equivalent radius R of the jet flame of the basic template is calculated according to the jet flame flow field characteristic parameters of the basic templatetemplateLength equivalent to that of the jet flame Ltemplate;
The maximum equivalent radius R of the jet flame according to the basic templatetemplateLength equivalent to that of the jet flame LtemplateCalculating the jet flame flow field dimension which changes along with the height H to be estimated by the following formula:
wherein R isnewMaximum equivalent radius of the flame for the height H variation to be estimated, LnewFor equivalent length of the jet, N, as a function of the height H to be estimatedPRAnd NPR_templateFor the expansion ratio of the height to be estimated and the expansion ratio of the base form, f (U)∞template) And g (U)∞template) And the accompanying flow velocity U of the basic template∞templateAs the accompanying flow velocity U∞Substituting the high-speed adjoint flow influence functions f (U infinity) and g (U infinity) to obtain kL and kRIs the fitting constant.
Optionally, the high speed companion flow influence function f (U)∞) And g (U)∞) Respectively as follows:
wherein, U∞For accompanying flow velocity, U is the flame limit expansion velocity, andgamma exit is specific heat ratio of engine outlet, R is gas constant, TexitIs the engine nozzle exit temperature.
Optionally, the variation estimation unit 502 is configured to perform the following operations to obtain an infrared radiation intensity function I varying with the height H to be estimatednew(H):
Calculating the spectral absorption coefficient of each jet flow field subarea according to the jet flow field scale changed along with the height H to be estimated;
obtaining an infrared radiation intensity function I which changes along with the height H to be estimated according to the spectral absorption coefficient of each jet flame flow field subareanew(U∞)。
It should be noted that, because the embodiments of the method of the present invention are based on the same concept, specific contents may be referred to the description of the embodiments of the method of the present invention, and details thereof are not repeated herein.
In addition, the low-altitude flame infrared radiation characteristic estimation device provided by the embodiment of the invention can be realized by software, or by hardware or a combination of hardware and software. From a hardware aspect, the device for estimating the infrared radiation characteristic of the low-altitude flame spraying according to the embodiment of the present invention may further include other hardware, such as a forwarding chip responsible for processing a message, in addition to the processor, the memory, the network interface, and the nonvolatile memory. Taking a software implementation as an example, as shown in fig. 5, as a logical apparatus, the apparatus is formed by reading a corresponding computer program instruction in a non-volatile memory into a memory by a CPU of a device in which the apparatus is located and running the computer program instruction.
In summary, the method and the device for estimating the low-altitude flame infrared radiation characteristic along with the height change provided by the embodiment of the invention establish a quick and effective estimation method for the low-altitude flame infrared radiation characteristic along with the height change based on the low-altitude flame flow field characteristic of the liquid rocket engine, and are mainly applied to a real-time/quasi-real-time generation system of a target infrared scene.
Finally, it should be noted that: the above examples are only intended to illustrate the technical solution of the present invention, but not to limit it; although the present invention has been described in detail with reference to the foregoing embodiments, it will be understood by those of ordinary skill in the art that: the technical solutions described in the foregoing embodiments may still be modified, or some technical features may be equivalently replaced; and such modifications or substitutions do not depart from the spirit and scope of the corresponding technical solutions of the embodiments of the present invention.
Claims (8)
1. A low-altitude flame infrared radiation characteristic estimation method along with height change is characterized by comprising the following steps:
obtaining jet flame flow field characteristic parameters under a first height and a second height based on simulation, and calculating the infrared radiation intensity I of jet flames under the first height and the second heighttemplate(H1) And Itemplate(H2);
Is obtained according to simulationThe jet flame flow field characteristic parameters under the first height and the second height are calculated to obtain the jet flame flow field scale changing along with the height to be estimated, and an infrared radiation intensity function I changing along with the height H to be estimated is obtained according to the jet flame flow field scale changing along with the height to be estimated and the spectral absorption coefficient of each subareanew(H);
The jet flame infrared radiation intensity I is obtained by the following formula:
wherein, Inew(H1) And Inew(H2) Respectively is the first height H1And a second height H2Substitution into an infrared radiation intensity function Inew(H) The obtained infrared radiation intensity;
wherein, the calculating the jet flame flow field scale changing with the height to be estimated according to the jet flame flow field characteristic parameters under the first height and the second height obtained by simulation comprises the following steps:
calculating the corresponding expansion ratio N according to the height to be estimatedPRSelecting the expansion ratio N at the first height and the second heightPR1And NPR2The middle and closest height is used as a basic template, and the maximum equivalent radius R of the jet flame of the basic template is calculated according to the jet flame flow field characteristic parameters of the basic templatetemplateLength equivalent to that of the jet flame Ltemplate;
The maximum equivalent radius R of the jet flame according to the basic templatetemplateLength equivalent to that of the jet flame LtemplateCalculating the jet flame flow field dimension which changes along with the height H to be estimated by the following formula:
wherein R isnewMaximum equivalent radius of the flame for the height H variation to be estimated, LnewFor equivalent length of the jet, N, as a function of the height H to be estimatedPRAnd NPR_templateFor the expansion ratio of the height to be estimated and the expansion ratio of the base form, f (U)∞template) And g (U)∞template) For accompanying flow rate U of basic template∞templateAs the accompanying flow velocity U∞Substituting into the high-speed accompanying flow influence function f (U)∞) And g (U)∞) To obtain kLAnd kRIs the fitting constant.
2. The method of claim 1, wherein the high-speed companion stream impact function f (U)∞) And g (U)∞) Respectively as follows:
3. The method according to any one of claims 1-2, wherein the infrared radiation intensity function I varying with the height H to be estimated is obtained according to the jet flame flow field dimension varying with the height to be estimated and the spectral absorption coefficient of each subareanew(H) The method comprises the following steps:
calculating the spectral absorption coefficient of each jet flow field subarea according to the jet flow field scale changed along with the height H to be estimated;
obtaining an infrared radiation intensity function I which changes along with the height H to be estimated according to the spectral absorption coefficient of each jet flame flow field subareanew(H)。
4. The method of claim 3, wherein the function is based on accompanying flow velocity U∞Calculating the spectral absorption coefficient of each jet flow field partition by the changed jet flow field scale, wherein the calculation comprises the following steps:
calculating the spectral absorption coefficient of the area according to the outlet parameters of the jet pipe engine in the outlet area of the flow field;
calculating the spectral absorption coefficient of the region according to the flow field parameters of the incoming flow influence region;
according to a first height H1And a second height H2The flow field parameters of the reburning area with the height H to be estimated are calculated, and the spectral absorption coefficient of the reburning area is calculated according to the flow field parameters of the reburning area.
5. Method according to claim 4, characterized in that said first height H is defined by a first height H1And a second height H2The flow field parameter calculation of the reburning zone of the height H to be estimated comprises the following steps:
(1) the temperature T of the reheat zone is calculated by the following formulaafterburning:
Tafterburning=T1_max+(T2_max-T1_max)(H-H1)/(H2-H1);
Wherein T is1_maxIs a first height H1Maximum temperature in the form of (1), T2_maxIs a second height H2Maximum temperature in the template of (1);
(2) the pressure P of the reburning zone is calculated by the following formulaafterburning:
Pafterburning=0.5*(P1(x″,0)+P2(x″′,0));
Wherein P is1(x', 0) is a first height H1At a position corresponding to the maximum temperature in the template, P2(x' ", 0) is a second height H2The pressure at the position corresponding to the maximum temperature value in the template;
(3) the density ρ of the reburning zone is calculated by the following formulaafterburning:
ρafterburning=0.5*(ρ1(x″,0)+ρ2(x″′,0));
Where ρ is1(x', 0) is a first height H1The density, p, of the location corresponding to the temperature maximum in the template2(x' ", 0) is a second height H2The density of the position corresponding to the maximum temperature value in the template;
(4) the velocity U of the reburning zone is calculated by the following formulaafterburning:
Uafterburning=0.5*(U1(x″,0)+U2(x″′,0));
Wherein U is1(x', 0) is a first height H1Speed of the position corresponding to the maximum temperature value in the template, U2(x' ", 0) is a second height H2The speed of the position corresponding to the maximum temperature value in the template;
CO in the reburning zone is calculated by the following formula2Component mass concentration XCO2_afterburning:
XCO2_afterburning=(X1_co2(x″,0)-X1_co2(x′,0))*αafterburning/α1+X1_co2(x′,0)
Wherein, X1_co2(x', 0) is a first height H1At the (x', 0) position of the template of (A)2Mass concentration of component X1_co2(x', 0) is a first height H1At the (x', 0) position CO in the template2Mass concentration of the components, wherein (x', 0) is a first height H1The mass concentration X of OH component in the template1_OHPosition where (x,0) is not less than 0, alphaafterburningAccording to the velocity U of the reburning zoneafterburningAnd temperature T of the reheat zoneafterburningCalculated entrainment coefficient, α1According to a first height H1Speed U of the position corresponding to the maximum temperature value in the template1(x', 0) and temperature T1_max(ii) a calculated entrainment coefficient; calculating the reburning zone by the same methodMass concentration X of CO component(s)CO_afterburningAnd H2Mass concentration X of O componentH2O_afterburning。
6. A low-altitude flame infrared radiation characteristic estimation device along with height change is characterized by comprising the following components: the device comprises a simulation unit, a change estimation unit and an intensity correction unit;
the simulation unit obtains jet flame flow field characteristic parameters under a first height and a second height based on simulation, and calculates the infrared radiation intensity I of jet flames under the first height and the second heighttemplate(H1) And Itemplate(H2);
The change pre-estimating unit is used for calculating the jet flame flow field scale changing along with the height to be estimated according to jet flame flow field characteristic parameters under the first height and the second height obtained by simulation, and obtaining an infrared radiation intensity function I changing along with the height H to be estimated according to the jet flame flow field scale changing along with the height to be estimated and the spectral absorption coefficient of each subareanew(H);
The intensity correction unit is used for correcting the jet flame infrared radiation intensity I according to the following formula:
wherein, Inew(H1) And Inew(H2) Respectively is the first height H1And a second height H2Substitution into an infrared radiation intensity function Inew(H) The obtained infrared radiation intensity;
wherein the change estimation unit is used for executing the following operations to calculate the flow field scale of the jet flame along with the height to be estimated:
calculating the corresponding expansion ratio N according to the height to be estimatedPRSelecting the expansion ratio N at the first height and the second heightPR1And NPR2The middle and closest height is used as a basic template, and the maximum equivalent radius R of the jet flame of the basic template is calculated according to the jet flame flow field characteristic parameters of the basic templatetemplateLength equivalent to that of the jet flame Ltemplate;
The maximum equivalent radius R of the jet flame according to the basic templatetemplateLength equivalent to that of the jet flame LtemplateCalculating the jet flame flow field dimension which changes along with the height H to be estimated by the following formula:
wherein R isnewMaximum equivalent radius of the flame for the height H variation to be estimated, LnewFor equivalent length of the jet, N, as a function of the height H to be estimatedPRAnd NPR_templateFor the expansion ratio of the height to be estimated and the expansion ratio of the base form, f (U)∞template) And g (U)∞template) For accompanying flow rate U of basic template∞templateAs the accompanying flow velocity U∞Substituting into the high-speed accompanying flow influence function f (U)∞) And g (U)∞) To obtain kLAnd kRIs the fitting constant.
7. The apparatus of claim 6, wherein the high-speed companion flow influence function f (U)∞) And g (U)∞) Respectively as follows:
8. The apparatus according to any one of claims 6 to 7, wherein the variation estimation unit is configured to perform the following operation to obtain the IR radiation intensity function I as a function of the height H to be estimatednew(H):
Calculating the spectral absorption coefficient of each jet flow field subarea according to the jet flow field scale changed along with the height H to be estimated;
obtaining an infrared radiation intensity function I which changes along with the height H to be estimated according to the spectral absorption coefficient of each jet flame flow field subareanew(U∞)。
Priority Applications (1)
| Application Number | Priority Date | Filing Date | Title |
|---|---|---|---|
| CN201810413157.5A CN108647419B (en) | 2018-05-03 | 2018-05-03 | Low-altitude flame infrared radiation characteristic estimation method and device along with height change |
Applications Claiming Priority (1)
| Application Number | Priority Date | Filing Date | Title |
|---|---|---|---|
| CN201810413157.5A CN108647419B (en) | 2018-05-03 | 2018-05-03 | Low-altitude flame infrared radiation characteristic estimation method and device along with height change |
Publications (2)
| Publication Number | Publication Date |
|---|---|
| CN108647419A CN108647419A (en) | 2018-10-12 |
| CN108647419B true CN108647419B (en) | 2022-01-28 |
Family
ID=63748613
Family Applications (1)
| Application Number | Title | Priority Date | Filing Date |
|---|---|---|---|
| CN201810413157.5A Active CN108647419B (en) | 2018-05-03 | 2018-05-03 | Low-altitude flame infrared radiation characteristic estimation method and device along with height change |
Country Status (1)
| Country | Link |
|---|---|
| CN (1) | CN108647419B (en) |
Families Citing this family (4)
| Publication number | Priority date | Publication date | Assignee | Title |
|---|---|---|---|---|
| CN109948284B (en) * | 2019-03-29 | 2023-01-20 | 北京环境特性研究所 | Fitting calculation method for infrared spectrum radiation intensity of tail jet flame along with viewing angle |
| CN113743033B (en) * | 2021-08-30 | 2023-12-12 | 北京航空航天大学 | A method for predicting the Mach disk height of supersonic jets |
| CN114386198B (en) * | 2022-01-19 | 2025-04-08 | 北京环境特性研究所 | Calculation method and calculation device for radiation intensity of flame spraying spectrum of engine |
| CN114896684B (en) * | 2022-04-02 | 2024-07-26 | 西安电子科技大学 | High-speed aircraft flame spraying infrared radiation characteristic calculation method based on correction function |
Citations (2)
| Publication number | Priority date | Publication date | Assignee | Title |
|---|---|---|---|---|
| CN1761588A (en) * | 2003-01-22 | 2006-04-19 | 瓦斯特能量系统有限公司 | Thermodynamic Cycles Using Hot Diluents |
| CN105096323A (en) * | 2015-07-28 | 2015-11-25 | 中国石油天然气股份有限公司 | A flame height measurement method for pool fires based on visible light image processing |
Family Cites Families (5)
| Publication number | Priority date | Publication date | Assignee | Title |
|---|---|---|---|---|
| CN101976275B (en) * | 2010-09-21 | 2012-11-07 | 北京航空航天大学 | Airplane infrared radiation and atmospheric transmittance modeling method |
| JP6256859B2 (en) * | 2014-02-27 | 2018-01-10 | Jfeエンジニアリング株式会社 | Waste incineration method |
| CN106570225A (en) * | 2016-10-19 | 2017-04-19 | 长春理工大学 | Analog simulation method for infrared jamming bomb |
| CN106570253B (en) * | 2016-10-26 | 2019-12-20 | 中国运载火箭技术研究院 | Real-time space-based infrared visual simulation method |
| CN107247823B (en) * | 2017-05-12 | 2020-08-18 | 北京环境特性研究所 | Flame flow field estimation method based on quasi-one-dimensional chemical dynamics process and self-modulus |
-
2018
- 2018-05-03 CN CN201810413157.5A patent/CN108647419B/en active Active
Patent Citations (2)
| Publication number | Priority date | Publication date | Assignee | Title |
|---|---|---|---|---|
| CN1761588A (en) * | 2003-01-22 | 2006-04-19 | 瓦斯特能量系统有限公司 | Thermodynamic Cycles Using Hot Diluents |
| CN105096323A (en) * | 2015-07-28 | 2015-11-25 | 中国石油天然气股份有限公司 | A flame height measurement method for pool fires based on visible light image processing |
Also Published As
| Publication number | Publication date |
|---|---|
| CN108647419A (en) | 2018-10-12 |
Similar Documents
| Publication | Publication Date | Title |
|---|---|---|
| CN108647419B (en) | Low-altitude flame infrared radiation characteristic estimation method and device along with height change | |
| CN108595867B (en) | Low-altitude flame infrared radiation characteristic estimation method and device under influence of accompanying flow | |
| York et al. | Turbofan engine sizing and tradeoff analysis via signomial programming | |
| CN109948284B (en) | Fitting calculation method for infrared spectrum radiation intensity of tail jet flame along with viewing angle | |
| Li et al. | A Unfied computational formulation for multi-component and multi-phase flows | |
| CN111079325A (en) | Real-time calculation and prediction method of jet noise of turbofan engine based on surrogate model | |
| Hendricks et al. | Simultaneous propulsion system and trajectory optimization | |
| Sun et al. | NIPC-based uncertainty analysis of infrared radiation from rocket exhaust plumes caused by nozzle exit conditions | |
| CN117725853A (en) | A method and device for predicting radiation heat flow in liquid rocket jet tail flame | |
| Mickan et al. | A primary standard for the volume flow rate of natural gas under high pressure based on laser Doppler velocimetry | |
| Daroukh et al. | Effect of distortion on turbofan tonal noise at cutback with hybrid methods | |
| Xie et al. | Rapid supersonic performance prediction for 2D ramjet inlets | |
| Johansson et al. | Calculation of IR signatures from airborne vehicles | |
| Petrosino et al. | Survey of semi-empirical jet noise models for preliminary aircraft engine design | |
| Shen et al. | High enthalpy non-equilibrium expansion effects in turbulent flow of the conical nozzle | |
| Moon et al. | Non-intrusive optical measurements of gas turbine engine inlet condensation using machine learning | |
| Gvozdeva et al. | Influence of the adiabatic index on switching between different types of shock wave reflection in a steady supersonic gas flow | |
| CN114896684B (en) | High-speed aircraft flame spraying infrared radiation characteristic calculation method based on correction function | |
| CN119359893B (en) | Aircraft tail flame infrared real-time rendering method and device based on voxelization method | |
| Doulgeris et al. | Effect of jet noise reduction on gas turbine engine efficiency | |
| CN115270460A (en) | Method, system and terminal for modeling and solving spectral radiation characteristics of tail flame of aircraft under gas-solid coupling | |
| Sventitskiy | Numerical Simulation of Infrared Radiation from Aircraft Engine Exhaust Plumes | |
| Huang et al. | Investigation of a Two‐Dimensional Hot Jet’s Infrared Radiation Using Four Different Turbulence Models | |
| Wang et al. | A novel performance adaptation method for aero-engine matching over a wide operating range | |
| CN115855264B (en) | Method, system, device and storage medium for inverting tail flame/shock wave vibration-rotation temperature based on non-equilibrium OH spectrum |
Legal Events
| Date | Code | Title | Description |
|---|---|---|---|
| PB01 | Publication | ||
| PB01 | Publication | ||
| SE01 | Entry into force of request for substantive examination | ||
| SE01 | Entry into force of request for substantive examination | ||
| GR01 | Patent grant | ||
| GR01 | Patent grant |















































