CN107990502B - Method and device for controlling water supply temperature - Google Patents
Method and device for controlling water supply temperature Download PDFInfo
- Publication number
- CN107990502B CN107990502B CN201711207645.2A CN201711207645A CN107990502B CN 107990502 B CN107990502 B CN 107990502B CN 201711207645 A CN201711207645 A CN 201711207645A CN 107990502 B CN107990502 B CN 107990502B
- Authority
- CN
- China
- Prior art keywords
- temperature
- water supply
- outdoor
- larger
- indoor
- Prior art date
- Legal status (The legal status is an assumption and is not a legal conclusion. Google has not performed a legal analysis and makes no representation as to the accuracy of the status listed.)
- Active
Links
- XLYOFNOQVPJJNP-UHFFFAOYSA-N water Substances O XLYOFNOQVPJJNP-UHFFFAOYSA-N 0.000 title claims abstract description 107
- 238000000034 method Methods 0.000 title claims abstract description 28
- 230000006978 adaptation Effects 0.000 abstract description 2
- 238000010438 heat treatment Methods 0.000 description 20
- 238000001816 cooling Methods 0.000 description 15
- 238000004364 calculation method Methods 0.000 description 5
- 238000009423 ventilation Methods 0.000 description 5
- 238000010586 diagram Methods 0.000 description 4
- 230000003044 adaptive effect Effects 0.000 description 3
- 239000008400 supply water Substances 0.000 description 3
- 235000006506 Brasenia schreberi Nutrition 0.000 description 1
- 238000004378 air conditioning Methods 0.000 description 1
- 230000007613 environmental effect Effects 0.000 description 1
- 239000008236 heating water Substances 0.000 description 1
- 238000012986 modification Methods 0.000 description 1
- 230000004048 modification Effects 0.000 description 1
- 238000005057 refrigeration Methods 0.000 description 1
Images
Landscapes
- Air Conditioning Control Device (AREA)
Abstract
The invention discloses a method and a device for controlling the temperature of supplied water, wherein the method comprises the following steps: acquiring indoor temperature Tn, s set by a user and indoor design temperature Tn, d; acquiring an outdoor environment temperature Tw; calibrating Tw according to the difference between Tn, d and Tn, s to obtain an outdoor environment calibration temperature Tw ', wherein the larger the Tn, s is, the smaller the Tn, d, Tw' is, the smaller the Tw is; the smaller the Tn, s is, the larger the Tn, d, Tw' is, the larger the Tw is; controlling the water supply target temperature Tg, s according to Tw'. The invention realizes the adaptation of the water supply target temperature Tg, s to the indoor temperature Tn, s set by the user.
Description
Technical Field
The invention relates to the technical field of water supply temperature control of a cooling and heating system, in particular to a method and a device for controlling water supply temperature.
Background
The heat pump cold and hot water unit is mainly used for generating cold water or hot water, providing the cold water or the hot water for the fan coil or the floor heating coil and other terminals, and transferring heat to the indoor space through the terminals so as to supply cold or heat.
In the related art, the indoor temperature is usually set indirectly by manually setting the temperature of the hot water supplied by the heat pump chiller-heater unit by a user, and many users usually set a fixed temperature. The indoor temperature can change along with the change of outdoor temperature, but the heat pump hot and cold water unit heating water temperature keeps unchangeable, and this kind of condition leads to indoor temperature fluctuation to reduce user's comfort.
Chinese patent publication No. CN104896649A discloses a method and a system for controlling a set temperature of outlet water of an air conditioning system, wherein the method comprises the following steps: the method comprises the steps of obtaining a detected outdoor environment temperature value and an upper limit value and a lower limit value of a set environment temperature set by a user, judging whether the outdoor environment temperature value is larger than or equal to the upper limit value of the set environment temperature or smaller than or equal to the lower limit value of the set environment temperature, and controlling the set outlet water temperature according to the judgment and comparison result.
According to the technical scheme, the set outlet water temperature can be associated with the outdoor environment temperature, and the set outlet water temperature is changed along with the change of the outdoor environment temperature. However, according to the technical scheme of the patent, a user needs to set an upper limit value and a lower limit value of the ambient temperature, and the user cannot determine whether the set upper limit value and the set lower limit value are accurate or not. In addition, it is directly assumed that the indoor temperature set by the user is constant, and the upper limit value and the lower limit value of the environmental temperature set by the user can only set the indoor temperature for one user, and the water supply temperature cannot be adaptively adjusted according to the indoor temperature set by different users.
Aiming at the technical problem of how to self-adaptively determine the water supply temperature according to the outdoor temperature and the indoor temperature set by a user in the related art, an effective solution is not provided at present.
Disclosure of Invention
The invention provides a method and a device for controlling water supply temperature, which at least solve the technical problem of self-adaptively determining the water supply temperature according to outdoor temperature and indoor temperature set by a user in the prior art.
In order to solve the above technical problem, according to an aspect of an embodiment of the present invention, there is provided a method for controlling a temperature of supplied water, including: acquiring indoor temperature Tn, s set by a user and indoor design temperature Tn, d; acquiring an outdoor environment temperature Tw; calibrating Tw according to the difference between Tn, d and Tn, s to obtain an outdoor environment calibration temperature Tw ', wherein the larger the Tn, s is, the smaller the Tn, d, Tw' is, the smaller the Tw is; the smaller the Tn, s is, the larger the Tn, d, Tw' is, the larger the Tw is; controlling the water supply target temperature Tg, s according to Tw'.
In some embodiments, the outdoor environment calibration temperature Tw' is obtained according to the following equation: tw ═ Tw-Tn, s + Tn, d.
In certain embodiments, controlling the feed water target temperature Tg, s according to Tw' comprises: determining an outdoor temperature interval to which Tw' belongs; and determining Tg, s under Tw' according to the control function corresponding to the determined outdoor temperature interval.
In some embodiments, the outdoor temperature interval and corresponding control function comprises:
(1)Tg,s=T04,Tw'∈(-∞,T01);
(6)Tg,s=T03,Tw'∈(T02,+∞);
wherein T1 is the lower limit of outdoor temperature of a place, T2 is the upper limit of outdoor temperature of the place, T10 is the target temperature of water supply under T1, T20 is the target temperature of water supply under T2, T01 is the lowest temperature of the working chamber, T02 is the highest temperature of the working chamber, T03 is the lowest temperature of water supply, T04 is the highest temperature of water supply, Tg, d is the design temperature of water supply, Tw and d are the design temperature of the outside.
In order to solve the above technical problem, according to another aspect of an embodiment of the present invention, there is provided a control apparatus for controlling a temperature of supplied water, including: the acquisition module is used for acquiring indoor temperatures Tn and s and indoor design temperatures Tn and d set by a user; and obtaining an outdoor ambient temperature Tw; the calibration module is used for calibrating Tw according to the difference between Tn, d and Tn, s to obtain the outdoor environment calibration temperature Tw ', wherein the Tn, s is more than Tn, d, and the Tw' is more than Tw; the smaller the Tn, s is, the larger the Tn, d, Tw' is, the larger the Tw is; and the control module is used for controlling the water supply target temperature Tg, s according to Tw'.
In some embodiments, the calibration module is configured to obtain the outdoor environment calibration temperature Tw' according to the following formula: tw ═ Tw-Tn, s + Tn, d.
In some embodiments, the control module is configured to determine an outdoor temperature interval to which Tw 'belongs, and determine Tg, s under Tw' according to a control function corresponding to the determined outdoor temperature interval.
In some embodiments, the outdoor temperature interval and corresponding control function used by the control module includes:
(1)Tg,s=T04,Tw'∈(-∞,T01);
(6)Tg,s=T03,Tw'∈(T02,+∞);
wherein T1 is the lower limit of outdoor temperature of a place, T2 is the upper limit of outdoor temperature of the place, T10 is the target temperature of water supply under T1, T20 is the target temperature of water supply under T2, T01 is the lowest temperature of the working chamber, T02 is the highest temperature of the working chamber, T03 is the lowest temperature of water supply, T04 is the highest temperature of water supply, Tg, d is the design temperature of water supply, Tw and d are the design temperature of the outside.
In the invention, indoor temperature Tn, s and indoor design temperature Tn, d set by a user are obtained; acquiring an outdoor environment temperature Tw; calibrating Tw according to the difference between Tn, d and Tn, s to obtain an outdoor environment calibration temperature Tw ', wherein the larger the Tn, s is, the smaller the Tn, d, Tw' is, the smaller the Tw is; the smaller the Tn, s is, the larger the Tn, d, Tw' is, the larger the Tw is; controlling the water supply target temperature Tg, s according to Tw'. The invention utilizes the principle that the building load is the same under the same temperature difference, and calibrates the outdoor temperature Tw according to the indoor temperature Tn, s set by the user, so that the water supply target temperature Tg, s is adaptive to the indoor temperature Tn, s set by the user.
Drawings
FIG. 1 is a schematic diagram of a system according to an embodiment of the present invention;
FIG. 2 is a flow chart of a method for controlling the temperature of the supplied water according to an embodiment of the present invention;
FIG. 3 is a flow chart of a method for controlling a preferred water supply temperature according to an embodiment of the present invention;
FIG. 4 is a graph of a preferred control function provided by an embodiment of the present invention; and
fig. 5 is a block diagram of a control device for water supply temperature according to an embodiment of the present invention.
Detailed Description
Reference will now be made in detail to the exemplary embodiments, examples of which are illustrated in the accompanying drawings. When the following description refers to the accompanying drawings, like numbers in different drawings represent the same or similar elements unless otherwise indicated. The embodiments described in the following exemplary embodiments do not represent all embodiments consistent with the present invention. Rather, they are merely examples of apparatus and methods consistent with certain aspects of the invention, as detailed in the appended claims.
Fig. 1 is a schematic diagram of a system according to an embodiment of the present invention, as shown in fig. 1, the system includes: a heat pump water cooling and heating machine 10 for providing a heat source or a refrigeration source; a heat exchange end 20; the manual operator 30 is used for setting parameters such as indoor temperature and the like by a user; a controller 40 for controlling a water supply target temperature; a feed water temperature sensor 50 for detecting an actual feed water temperature; an indoor temperature sensor 60 for detecting an indoor actual temperature; an ambient temperature sensor or weather forecast data interface 70 for obtaining outdoor temperature.
In the examples of the present invention, the terms are explained as follows:
(1) outdoor temperature related terms:
outdoor design temperature Tw, d: the heating and ventilation manual can be inquired to obtain the heating and ventilation manual, and the heating and ventilation manual is divided into heating outdoor design temperature Tw and dh and cooling outdoor design temperature Tw and dc.
Outdoor temperature Tw: which can be detected by the ambient temperature sensor 70.
(2) Indoor temperature related terms:
indoor design temperature Tn, d: the heating and ventilation manual can be inquired to obtain the heating and ventilation temperature Tn, dh and the cooling and indoor design temperature Tn, dc.
User-set indoor temperature Tn, s: set by the user on the hand operator 30.
Indoor temperature Tn: can be measured by the indoor temperature sensor 60.
(3) The term relating to the temperature of the supplied water:
feed water design temperature Tg, d: the water supply temperature required by the tail end when the heat balance is achieved is determined by a certain building and the tail end at the outdoor design temperature and the indoor design temperature; the design water supply temperature Tg, dh is divided into a heating design water supply temperature Tg, dc is divided into a cooling design water supply temperature Tg, dc.
The target water supply temperature Tg, s is calculated by the controller 40 according to a program.
Actual feed water temperature Tg: the objective existing temperature can be obtained by the test of the water supply temperature sensor 5.
For a certain building, when the tail end is configured, load calculation needs to be carried out on the building; then selecting the heat exchange area at the tail end and the water supply temperature according to the calculation result;
if the heating design of the building mainly based on heating is carried out, the design heat load of the building can be calculated by knowing the outdoor design temperature Tw, dh of the heating in a certain place, the indoor design temperature Tn, dh of the heating and the parameters of the enclosure structure provided by a user; the end heating design water supply temperature Tg, dh and area are selected according to the design heat load. If the same end is needed for cooling in summer, the design cooling load and the cooling design water supply temperature of the building can be calculated to be Tg and dc according to the local cooling outdoor design temperature Tw and dc and the cooling indoor design temperature target value Tn and dc.
The calculation method of the cooling-based building is similar, and the calculation order of the cooling and heating loads is exchanged, namely the end area is determined by the design cooling load.
In the system shown in fig. 1, a heat pump water chiller/heater 10 supplies cold/hot water to a heat exchange end 20 for cooling/heating a room. The hand operator 30 is generally installed indoors for inputting a user-set indoor temperature Tn, s; parameters Tw, d, Tg, d, Tn, d are set professionally. The water supply temperature sensor 50 is generally arranged on a water supply pipeline of the unit and used for detecting the actual outlet water temperature; an indoor temperature sensor 60 is disposed indoors for detecting an indoor temperature Tn. An ambient temperature sensor 70, typically disposed on the outboard machine; alternatively, the weather data interface 70 may download weather forecast data in real time for providing the outdoor temperature data Tw. The controller 40 controls the operation of the heat pump water chiller/heater 10 after a series of calculations.
According to an aspect of an embodiment of the present invention, there is provided a control method of a supply water temperature to realize adaptive adjustment of the supply water temperature according to an outdoor temperature and a user-set indoor temperature.
Fig. 2 is a flowchart of a method for controlling a temperature of supplied water according to an embodiment of the present invention, and as shown in fig. 2, the method includes steps S202 to S206.
Step S202, acquiring the indoor temperature Tn, S set by the user, the indoor design temperature Tn, d, and the outdoor environment temperature Tw.
In some embodiments, the outdoor ambient temperature Tw may be detected by an ambient temperature sensor 70 disposed outdoors or read through the weather data interface 70.
Step S204, calibrating Tw according to the difference between Tn, d and Tn, S to obtain an outdoor environment calibration temperature Tw ', wherein the larger the Tn, S is, the smaller the Tn, d, Tw' is, the smaller the Tw is; the smaller Tn, s is, the larger Tn, d, Tw' is.
Step S206, controlling the water supply target temperature Tg, S according to Tw'.
In the embodiment of the invention, the outdoor temperature Tw is calibrated according to the indoor temperature Tn, s set by the user by utilizing the principle that the building load is the same under the same temperature difference, so that the water supply target temperature Tg, s is adaptive to the indoor temperature Tn, s set by the user.
As an exemplary illustration, in heating, when Tn, s is set to be larger, the temperature difference between the indoor and outdoor is larger when heat balance is achieved, and a higher heat source needs to be provided.
In some embodiments, in the step S204, the outdoor environment calibration temperature Tw' may be obtained according to the following formula: tw ═ Tw-Tn, s + Tn, d.
In certain embodiments, the step S206 of controlling the water supply target temperature Tg, S according to Tw' includes: determining an outdoor temperature interval to which Tw' belongs; and determining Tg, s under Tw' according to the control function corresponding to the determined outdoor temperature interval.
In some embodiments, the outdoor temperature interval and corresponding control function comprises:
(1)Tg,s=T04,Tw'∈(-∞,T01);
(6)Tg,s=T03,Tw'∈(T02,+∞);
wherein T1 is the lower limit of outdoor temperature of a place, T2 is the upper limit of outdoor temperature of the place, T10 is the target temperature of water supply under T1, T20 is the target temperature of water supply under T2, T01 is the lowest temperature of the working chamber, T02 is the highest temperature of the working chamber, T03 is the lowest temperature of water supply, T04 is the highest temperature of water supply, Tg, d is the design temperature of water supply, Tw and d are the design temperature of the outside.
In this embodiment, the supply water temperature regulation of the full temperature section is realized.
A preferred control method according to an embodiment of the present invention will be described below with heating taken as an example. In the cooling mode, the control method is the same and will not be described again.
For the unit, in the heating mode, the operating outdoor temperature range and the water supply temperature range are shown in table 1.
TABLE 1
When installing the unit in a certain area, the installer can input the following professional setting parameters in the manual operator 3 according to the data provided by the user: outdoor design temperature Tw, d ═ Tw, dh; indoor design temperature Tn, d is Tn, dh; water supply design temperature Tg, d ═ Tg, dh; lower outdoor temperature limit T1; an upper outdoor temperature limit T2; target temperature T10 of water supply corresponding to T1; and T2, corresponding to the target temperature T20 of the supplied water. When the user uses the temperature control device 30, the user can set the indoor temperature Tn, s.
Fig. 3 is a flowchart of a method for controlling a preferred water supply temperature according to an embodiment of the present invention, as shown in fig. 3, the method includes the following steps:
step S302, obtaining Tn, S, T1, T2, T10, T20, Tw, d, Tg, d, Tn, d and built-in parameters T01, T02, T03 and T04.
In step S304, Tw is detected.
Step S306: and judging whether Tw is in the outdoor temperature range [ T01, T02] in which the unit can operate.
If not, the process goes to step S308, the shutdown process is performed, and a prompt is given, and after a certain time interval, the process goes to step S304 again.
If so, the process proceeds to step S310.
In step S310, Tw ═ (Tw-Tn, S) + Tn, d is calculated.
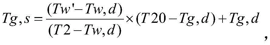
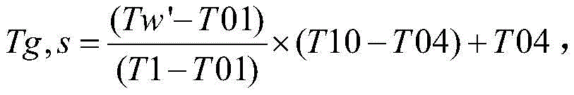
In step S312, the temperature interval where Tw 'is located is determined, and the water supply target temperature Tg, S at each equivalent outdoor temperature Tw' can be determined by interpolation according to the curve shown in fig. 4:
1) tw'. epsilon (- ∞, T01), the water supply target temperature is set to T04.
2) Tw' ∈ [ T01, T1), water supply target temperature:
3) tw' e [ T1, Tw, d), water supply target temperature:
4) tw' ∈ [ Tw, d, T2), water supply target temperature:
5) tw' e [ T2, T02], water supply target temperature:
6) tw' ∈ (T02, + ∞), the target water supply temperature is set to T03.
In step S314, after N times, the process returns to step S304.
In order to solve the above technical problem, according to another aspect of an embodiment of the present invention, there is provided a control apparatus for a temperature of supplied water.
Fig. 5 is a block diagram of a control device for controlling the temperature of supplied water according to an embodiment of the present invention, as shown in fig. 5, the device includes: an obtaining module 50, configured to obtain an indoor temperature Tn, s and an indoor design temperature Tn, d set by a user; and obtaining an outdoor ambient temperature Tw; a calibration module 52 connected to the obtaining module 50, configured to calibrate Tw according to a difference between Tn, d and Tn, s, and obtain an outdoor environment calibration temperature Tw ', where the larger Tn, s is, the smaller Tw' is; the smaller the Tn, s is, the larger the Tn, d, Tw' is, the larger the Tw is; and a control module 54 connected to the calibration module 52 for controlling the water supply target temperature Tg, s according to Tw'.
In some embodiments, the calibration module 52 is configured to obtain the outdoor environment calibration temperature Tw' according to the following formula: tw ═ Tw-Tn, s + Tn, d.
In some embodiments, the control module 54 is configured to determine an outdoor temperature interval to which Tw 'belongs, and determine Tg, s at Tw' according to a control function corresponding to the determined outdoor temperature interval.
In some embodiments, the outdoor temperature interval and corresponding control functions used by the control module 54 include:
(1)Tg,s=T04,Tw'∈(-∞,T01);
(6)Tg,s=T03,Tw'∈(T02,+∞);
wherein T1 is the lower limit of outdoor temperature of a place, T2 is the upper limit of outdoor temperature of the place, T10 is the target temperature of water supply under T1, T20 is the target temperature of water supply under T2, T01 is the lowest temperature of the working chamber, T02 is the highest temperature of the working chamber, T03 is the lowest temperature of water supply, T04 is the highest temperature of water supply, Tg, d is the design temperature of water supply, Tw and d are the design temperature of the outside.
With regard to the apparatus in the above embodiments, the specific manner in which each unit and each module performs operations has been described in detail in the embodiments related to the method, and will not be described in detail herein.
Other embodiments of the invention will be apparent to those skilled in the art from consideration of the specification and practice of the invention disclosed herein. This application is intended to cover any variations, uses, or adaptations of the invention following, in general, the principles of the invention and including such departures from the present disclosure as come within known or customary practice within the art to which the invention pertains. It is intended that the specification and examples be considered as exemplary only, with a true scope and spirit of the invention being indicated by the following claims.
It will be understood that the invention is not limited to the precise arrangements described above and shown in the drawings and that various modifications and changes may be made without departing from the scope thereof. The scope of the invention is limited only by the appended claims.
Claims (4)
1. A method for controlling the temperature of a supply of water, comprising:
acquiring indoor temperature Tn, s set by a user and indoor design temperature Tn, d;
acquiring an outdoor environment temperature Tw;
calibrating the Tw according to the difference between the Tn, d and the Tn, s to obtain an outdoor environment calibration temperature Tw ', wherein the larger the Tn, s is, the smaller the Tw' is, the Tw is; the smaller the Tn, s is, the larger the Tn, d is, the larger the Tw' is, the Tw;
controlling the water supply target temperature Tg, s according to the Tw';
controlling a water supply target temperature Tg, s according to the Tw', including:
determining an outdoor temperature interval to which the Tw' belongs;
determining the Tg, s under the Tw' according to a control function corresponding to the determined outdoor temperature interval;
the outdoor temperature interval and corresponding control function comprises:
Tg,s=T04,Tw'∈(-∞,T01);
Tg,s=T03,Tw'∈(T02,+∞);
wherein T1 is a lower limit of outdoor temperature of a place, T2 is an upper limit of outdoor temperature of the place, T10 is a target temperature of water supply under T1, T20 is a target temperature of water supply under T2, T01 is a lower limit of outdoor temperature when a unit normally operates, T02 is an upper limit of outdoor temperature when the unit normally operates, T03 is a minimum temperature of water supply, T04 is a maximum temperature of water supply, Tg, d is a design temperature of water supply, Tw and d are outdoor design temperatures.
2. The method of claim 1, wherein the outdoor environment calibration temperature Tw' is obtained according to the following equation: tw ═ Tw-Tn, s + Tn, d.
3. A control device for the temperature of water supply, comprising:
the acquisition module is used for acquiring indoor temperatures Tn and s and indoor design temperatures Tn and d set by a user; and obtaining an outdoor ambient temperature Tw;
the calibration module is used for calibrating the Tw according to the difference between the Tn, d and the Tn, s to obtain an outdoor environment calibration temperature Tw ', wherein the larger the Tn, s is, the smaller the Tw ' is, the larger the Tn, d is, and the smaller the Tw ' is; the smaller the Tn, s is, the larger the Tn, d is, the larger the Tw' is, the Tw;
the control module is used for controlling the water supply target temperature Tg, s according to the Tw';
the control module is used for determining an outdoor temperature interval to which the Tw 'belongs, and determining the Tg, s under the Tw' according to a control function corresponding to the determined outdoor temperature interval;
the outdoor temperature interval and corresponding control function used by the control module includes:
Tg,s=T04,Tw'∈(-∞,T01);
Tg,s=T03,Tw'∈(T02,+∞);
wherein T1 is a lower limit of outdoor temperature of a place, T2 is an upper limit of outdoor temperature of the place, T10 is a target temperature of water supply under T1, T20 is a target temperature of water supply under T2, T01 is a lower limit of outdoor temperature when a unit normally operates, T02 is an upper limit of outdoor temperature when the unit normally operates, T03 is a minimum temperature of water supply, T04 is a maximum temperature of water supply, Tg, d is a design temperature of water supply, Tw and d are outdoor design temperatures.
4. The apparatus of claim 3, wherein the calibration module is configured to obtain the outdoor environment calibration temperature Tw' according to the following formula: tw ═ Tw-Tn, s + Tn, d.
Priority Applications (1)
| Application Number | Priority Date | Filing Date | Title |
|---|---|---|---|
| CN201711207645.2A CN107990502B (en) | 2017-11-27 | 2017-11-27 | Method and device for controlling water supply temperature |
Applications Claiming Priority (1)
| Application Number | Priority Date | Filing Date | Title |
|---|---|---|---|
| CN201711207645.2A CN107990502B (en) | 2017-11-27 | 2017-11-27 | Method and device for controlling water supply temperature |
Publications (2)
| Publication Number | Publication Date |
|---|---|
| CN107990502A CN107990502A (en) | 2018-05-04 |
| CN107990502B true CN107990502B (en) | 2020-06-05 |
Family
ID=62033529
Family Applications (1)
| Application Number | Title | Priority Date | Filing Date |
|---|---|---|---|
| CN201711207645.2A Active CN107990502B (en) | 2017-11-27 | 2017-11-27 | Method and device for controlling water supply temperature |
Country Status (1)
| Country | Link |
|---|---|
| CN (1) | CN107990502B (en) |
Families Citing this family (3)
| Publication number | Priority date | Publication date | Assignee | Title |
|---|---|---|---|---|
| CN109556241B (en) * | 2018-09-29 | 2021-05-25 | 青岛海尔空调电子有限公司 | Water system air conditioner control method |
| CN110894978B (en) * | 2019-04-10 | 2022-04-29 | 北京西门子西伯乐斯电子有限公司 | Air source heat pump heating system and controller and control method thereof |
| CN114251813A (en) * | 2021-12-21 | 2022-03-29 | 石家庄科林电气股份有限公司 | Control method of ground source heat pump central air-conditioning system |
Citations (5)
| Publication number | Priority date | Publication date | Assignee | Title |
|---|---|---|---|---|
| JPH04222346A (en) * | 1990-12-21 | 1992-08-12 | Gastar Corp | Detection of freezing and clogging of additional heating circulation pipe at the time of water supply |
| KR101105518B1 (en) * | 2011-05-17 | 2012-01-13 | 유종이 | Eco-friendly energy saving four seasons cooling system |
| CN203324736U (en) * | 2013-07-04 | 2013-12-04 | 北京融泰盛亚科技有限公司 | Climate-compensation controller |
| CN107120721A (en) * | 2017-05-25 | 2017-09-01 | 河北健特建筑安装工程有限公司 | A kind of central heating dynamic gas candidate compensation method |
| CN107192003A (en) * | 2017-05-24 | 2017-09-22 | 青岛海尔空调器有限总公司 | method and device for heating regulation |
-
2017
- 2017-11-27 CN CN201711207645.2A patent/CN107990502B/en active Active
Patent Citations (5)
| Publication number | Priority date | Publication date | Assignee | Title |
|---|---|---|---|---|
| JPH04222346A (en) * | 1990-12-21 | 1992-08-12 | Gastar Corp | Detection of freezing and clogging of additional heating circulation pipe at the time of water supply |
| KR101105518B1 (en) * | 2011-05-17 | 2012-01-13 | 유종이 | Eco-friendly energy saving four seasons cooling system |
| CN203324736U (en) * | 2013-07-04 | 2013-12-04 | 北京融泰盛亚科技有限公司 | Climate-compensation controller |
| CN107192003A (en) * | 2017-05-24 | 2017-09-22 | 青岛海尔空调器有限总公司 | method and device for heating regulation |
| CN107120721A (en) * | 2017-05-25 | 2017-09-01 | 河北健特建筑安装工程有限公司 | A kind of central heating dynamic gas candidate compensation method |
Non-Patent Citations (2)
| Title |
|---|
| 《供水温度图表在锅炉供暖中的运用》;李立宇;《同煤科技》;19950515;第18-19页 * |
| 《气候补偿器在供暖方面的应用》;乔佳慧等;《区域供热》;20170302;第54-57页 * |
Also Published As
| Publication number | Publication date |
|---|---|
| CN107990502A (en) | 2018-05-04 |
Similar Documents
| Publication | Publication Date | Title |
|---|---|---|
| US8463444B2 (en) | Environment control system | |
| US8364318B2 (en) | Demand control ventilation with fan speed control | |
| US6964174B2 (en) | Method and system for determining relative duct sizes by zone in an HVAC system | |
| KR102104054B1 (en) | Air conditioning system for adaptive air volume control according to indoor environment | |
| US8718825B2 (en) | Environment control system | |
| CN102449406B (en) | Systems and methods for individual comfort based climate control set point optimization | |
| CN101809514B (en) | Application of microsystems for comfort control | |
| CN108006906B (en) | Air conditioner temperature control method, temperature control device and air conditioner | |
| US6892547B2 (en) | Cooling set point control | |
| CN104776561B (en) | Air conditioner dehumidification control method and device, air conditioner | |
| JP2008506922A (en) | Method and system for automatically optimizing the position of duct dampers in a zone | |
| US20150025693A1 (en) | System and method of temperature control | |
| CN107990502B (en) | Method and device for controlling water supply temperature | |
| JP2023166622A (en) | Air conditioning control device | |
| US11226109B2 (en) | Floor warming systems with weather compensation | |
| CN109323377B (en) | Air conditioner and control method and control device thereof | |
| CN109341015B (en) | Air conditioner and control method and device thereof | |
| CN107940546A (en) | Method and device for controlling water supply temperature | |
| CN109323409B (en) | Air conditioner and control method and device thereof | |
| CN109323422B (en) | Air conditioner and control method and device thereof | |
| CN112944635A (en) | Air conditioner control method and device | |
| CA2588422A1 (en) | Auto-balancing damper control | |
| CN110274357B (en) | Water multi-connected air conditioning system, control method and device thereof and storage medium | |
| US20220003450A1 (en) | Personal workspace air supply and comfort conditioning unit | |
| CN109323410B (en) | Air conditioner and control method and device thereof |
Legal Events
| Date | Code | Title | Description |
|---|---|---|---|
| PB01 | Publication | ||
| PB01 | Publication | ||
| SE01 | Entry into force of request for substantive examination | ||
| SE01 | Entry into force of request for substantive examination | ||
| GR01 | Patent grant | ||
| GR01 | Patent grant |




























