CN107734020B - Coordinated operation method for data transmission congestion of multiple photovoltaic power stations - Google Patents
Coordinated operation method for data transmission congestion of multiple photovoltaic power stations Download PDFInfo
- Publication number
- CN107734020B CN107734020B CN201710916626.0A CN201710916626A CN107734020B CN 107734020 B CN107734020 B CN 107734020B CN 201710916626 A CN201710916626 A CN 201710916626A CN 107734020 B CN107734020 B CN 107734020B
- Authority
- CN
- China
- Prior art keywords
- photovoltaic power
- power station
- priority
- data
- photovoltaic
- Prior art date
- Legal status (The legal status is an assumption and is not a legal conclusion. Google has not performed a legal analysis and makes no representation as to the accuracy of the status listed.)
- Active
Links
Images
Classifications
-
- H—ELECTRICITY
- H04—ELECTRIC COMMUNICATION TECHNIQUE
- H04L—TRANSMISSION OF DIGITAL INFORMATION, e.g. TELEGRAPHIC COMMUNICATION
- H04L67/00—Network arrangements or protocols for supporting network services or applications
- H04L67/01—Protocols
- H04L67/12—Protocols specially adapted for proprietary or special-purpose networking environments, e.g. medical networks, sensor networks, networks in vehicles or remote metering networks
-
- H02J13/0017—
-
- H02J3/383—
-
- H—ELECTRICITY
- H04—ELECTRIC COMMUNICATION TECHNIQUE
- H04L—TRANSMISSION OF DIGITAL INFORMATION, e.g. TELEGRAPHIC COMMUNICATION
- H04L47/00—Traffic control in data switching networks
- H04L47/70—Admission control; Resource allocation
- H04L47/80—Actions related to the user profile or the type of traffic
- H04L47/805—QOS or priority aware
-
- Y—GENERAL TAGGING OF NEW TECHNOLOGICAL DEVELOPMENTS; GENERAL TAGGING OF CROSS-SECTIONAL TECHNOLOGIES SPANNING OVER SEVERAL SECTIONS OF THE IPC; TECHNICAL SUBJECTS COVERED BY FORMER USPC CROSS-REFERENCE ART COLLECTIONS [XRACs] AND DIGESTS
- Y02—TECHNOLOGIES OR APPLICATIONS FOR MITIGATION OR ADAPTATION AGAINST CLIMATE CHANGE
- Y02B—CLIMATE CHANGE MITIGATION TECHNOLOGIES RELATED TO BUILDINGS, e.g. HOUSING, HOUSE APPLIANCES OR RELATED END-USER APPLICATIONS
- Y02B10/00—Integration of renewable energy sources in buildings
- Y02B10/10—Photovoltaic [PV]
-
- Y—GENERAL TAGGING OF NEW TECHNOLOGICAL DEVELOPMENTS; GENERAL TAGGING OF CROSS-SECTIONAL TECHNOLOGIES SPANNING OVER SEVERAL SECTIONS OF THE IPC; TECHNICAL SUBJECTS COVERED BY FORMER USPC CROSS-REFERENCE ART COLLECTIONS [XRACs] AND DIGESTS
- Y02—TECHNOLOGIES OR APPLICATIONS FOR MITIGATION OR ADAPTATION AGAINST CLIMATE CHANGE
- Y02E—REDUCTION OF GREENHOUSE GAS [GHG] EMISSIONS, RELATED TO ENERGY GENERATION, TRANSMISSION OR DISTRIBUTION
- Y02E10/00—Energy generation through renewable energy sources
- Y02E10/50—Photovoltaic [PV] energy
- Y02E10/56—Power conversion systems, e.g. maximum power point trackers
-
- Y—GENERAL TAGGING OF NEW TECHNOLOGICAL DEVELOPMENTS; GENERAL TAGGING OF CROSS-SECTIONAL TECHNOLOGIES SPANNING OVER SEVERAL SECTIONS OF THE IPC; TECHNICAL SUBJECTS COVERED BY FORMER USPC CROSS-REFERENCE ART COLLECTIONS [XRACs] AND DIGESTS
- Y02—TECHNOLOGIES OR APPLICATIONS FOR MITIGATION OR ADAPTATION AGAINST CLIMATE CHANGE
- Y02E—REDUCTION OF GREENHOUSE GAS [GHG] EMISSIONS, RELATED TO ENERGY GENERATION, TRANSMISSION OR DISTRIBUTION
- Y02E40/00—Technologies for an efficient electrical power generation, transmission or distribution
- Y02E40/70—Smart grids as climate change mitigation technology in the energy generation sector
-
- Y—GENERAL TAGGING OF NEW TECHNOLOGICAL DEVELOPMENTS; GENERAL TAGGING OF CROSS-SECTIONAL TECHNOLOGIES SPANNING OVER SEVERAL SECTIONS OF THE IPC; TECHNICAL SUBJECTS COVERED BY FORMER USPC CROSS-REFERENCE ART COLLECTIONS [XRACs] AND DIGESTS
- Y04—INFORMATION OR COMMUNICATION TECHNOLOGIES HAVING AN IMPACT ON OTHER TECHNOLOGY AREAS
- Y04S—SYSTEMS INTEGRATING TECHNOLOGIES RELATED TO POWER NETWORK OPERATION, COMMUNICATION OR INFORMATION TECHNOLOGIES FOR IMPROVING THE ELECTRICAL POWER GENERATION, TRANSMISSION, DISTRIBUTION, MANAGEMENT OR USAGE, i.e. SMART GRIDS
- Y04S10/00—Systems supporting electrical power generation, transmission or distribution
- Y04S10/12—Monitoring or controlling equipment for energy generation units, e.g. distributed energy generation [DER] or load-side generation
- Y04S10/123—Monitoring or controlling equipment for energy generation units, e.g. distributed energy generation [DER] or load-side generation the energy generation units being or involving renewable energy sources
Landscapes
- Engineering & Computer Science (AREA)
- Computer Networks & Wireless Communication (AREA)
- Signal Processing (AREA)
- Health & Medical Sciences (AREA)
- Computing Systems (AREA)
- General Health & Medical Sciences (AREA)
- Medical Informatics (AREA)
- Supply And Distribution Of Alternating Current (AREA)
- Photovoltaic Devices (AREA)
Abstract
Description
技术领域technical field
本发明涉及电网调度技术领域,尤其涉及一种多个光伏发电站数据传输拥堵的协调运行方法。The invention relates to the technical field of power grid scheduling, in particular to a coordinated operation method for data transmission congestion of multiple photovoltaic power stations.
背景技术Background technique
目前,随着环境保护话题的逐渐升温,新能源的开发成为能源开发的重点项目,太阳能作为最具代表的新能源,已成为能源发展的战略重点。在电网的安全运行系统中,光伏发电站应具备向电力系统调度端传送远端信息,上传光伏发电站内的光伏发电功率预测参数、电能质量信息,太阳光照强度、太阳入射角度、光伏阵列的安装角度、转换效率、大气压、温度等环境参数以及一些随机因素参数。然后接受电力系统的调度,执行电力系统调度传送的有功无功控制。然而太阳能光伏作为新能源发电具有间歇性和不稳定性,其精确预测具有一定的困难,给电网调度的智能控制也带来困难,特别是在多个光伏电站数据传输时。因此对电网中光伏系统的调度研究至关重要。At present, with the gradual warming of the topic of environmental protection, the development of new energy has become a key project of energy development. As the most representative new energy, solar energy has become the strategic focus of energy development. In the safe operation system of the power grid, the photovoltaic power station should have the ability to transmit remote information to the dispatching terminal of the power system, upload the photovoltaic power generation power prediction parameters, power quality information, solar light intensity, solar incidence angle, and installation of photovoltaic arrays in the photovoltaic power station. Angle, conversion efficiency, atmospheric pressure, temperature and other environmental parameters, as well as some random factor parameters. Then, it accepts the dispatch of the power system, and executes the active and reactive power control transmitted by the power system dispatch. However, as a new energy generation, solar photovoltaic is intermittent and unstable, and its accurate prediction has certain difficulties, which also brings difficulties to the intelligent control of grid dispatching, especially when data transmission of multiple photovoltaic power stations. Therefore, it is very important to study the dispatching of photovoltaic systems in the power grid.
目前大规模的光伏并网系统已经得到大量应用。现有的电网调度中,大多是提前对太阳能光伏发电的输出功率进行预测,电网调度部门根据输出功率曲线进行协调统筹。在各个光伏电站同时传输参数信息时,会发生信息处理不及时,重要参数不能优先得到处理,产生数据的“拥堵”问题,解决这个问题,可以有效的提高对各个光伏电站数据利用效率和处理速度。At present, large-scale photovoltaic grid-connected systems have been widely used. In the existing power grid dispatching, most of them predict the output power of solar photovoltaic power generation in advance, and the power grid dispatching department will coordinate and coordinate according to the output power curve. When each photovoltaic power station transmits parameter information at the same time, information processing is not timely, and important parameters cannot be processed first, resulting in the problem of data "congestion". Solving this problem can effectively improve the data utilization efficiency and processing speed of each photovoltaic power station. .
发明内容SUMMARY OF THE INVENTION
针对现有技术的缺陷,本发明提供一种多个光伏发电站数据传输拥堵的协调运行方法,解决调度时出现的数据拥堵问题。In view of the defects of the prior art, the present invention provides a coordinated operation method for data transmission congestion of multiple photovoltaic power stations, so as to solve the problem of data congestion during scheduling.
一种多个光伏发电站数据传输拥堵的协调运行方法,包括以下步骤:A coordinated operation method for data transmission congestion of multiple photovoltaic power stations, comprising the following steps:
步骤1:根据不同光伏发电站的实际运行状态、具体的动态性能、当地的地理条件,以光伏发电站向调度中心传输的数据为依据,选取影响光伏发电站优先级分级的参数指标;Step 1: According to the actual operating state, specific dynamic performance, and local geographical conditions of different photovoltaic power stations, and based on the data transmitted by the photovoltaic power stations to the dispatch center, select the parameter indicators that affect the priority classification of photovoltaic power stations;
所选参数指标包括,各个光伏发电站距离调度站的地理距离Li,各光伏发电站的发电功率系数Pi、电能质量指标Zi、传输数据的精确度指标Ci、光伏电池板阵列的安装角度θi、光伏电池板单位面积转换效率χi、光伏电池板平均温度Tbi,各光伏发电站所在地区的大气压qi、环境温度Tri和太阳光照强度Ii,其中i=1,2....n为第i个光伏发电站,n为需要进行优先级分级的光伏发电站总数;The selected parameter indicators include the geographic distance Li between each photovoltaic power station and the dispatch station, the power generation power coefficient P i of each photovoltaic power station, the power quality index Z i , the accuracy index C i of the transmitted data , and the photovoltaic panel array. Installation angle θ i , conversion efficiency per unit area of photovoltaic panels χ i , average temperature of photovoltaic panels T bi , atmospheric pressure qi in the area where each photovoltaic power station is located, ambient temperature Tri and sunlight intensity I i , where i =1, 2....n is the ith photovoltaic power station, n is the total number of photovoltaic power stations that need to be prioritized;
步骤2:求出描述各光伏发电站初始优先级的动态变化与其不同时间传输数据的紧急程度之间关系的初始优先级函数Ui,并判断各进程初始优先级函数Ui是否大于零,如果大于零则执行步骤3,否则停止对初始优先级函数Ui小于等于零的光伏发电站信息数据的处理;Step 2: Find the initial priority function U i that describes the relationship between the dynamic change of the initial priority of each photovoltaic power station and the urgency of data transmission at different times, and determine whether the initial priority function U i of each process is greater than zero, if If it is greater than zero, perform step 3, otherwise stop processing the information data of photovoltaic power stations whose initial priority function U i is less than or equal to zero;
描述各光伏发电站初始优先级的动态变化与其不同时间传输数据的紧急程度之间关系的初始优先级函数Ui,计算公式如下所示:The initial priority function U i , which describes the relationship between the dynamic change of the initial priority of each photovoltaic power station and the urgency of the data transmitted at different times, is calculated as follows:
式中,△ti是第i个光伏发电站相邻两次数据传输的时间间隔;T为调度中心所调度的所有光伏发电站全部完成数据传输一个周期的时间,α和β分别为各光伏电站关于时间和距离的衰减因子,0<α<1,0<β<1。In the formula, Δt i is the time interval between two adjacent data transmissions of the i-th photovoltaic power station; T is the time for all photovoltaic power stations dispatched by the dispatch center to complete one cycle of data transmission, and α and β are the respective photovoltaic power stations. The attenuation factor of the power station with respect to time and distance, 0<α<1, 0<β<1.
步骤3:由各光伏发电站的发电功率系数Pi、环境变化因子ηi、电能质量指标Zi和传输数据精确度指标Ci,计算初始优先级函数Ui大于零的各光伏发电站的综合初始优先级系数Ki;Step 3: Calculate the power generation power coefficient P i of each photovoltaic power station, the environmental change factor η i , the power quality index Z i and the transmission data accuracy index C i , calculate the value of each photovoltaic power station whose initial priority function U i is greater than zero. Comprehensive initial priority coefficient K i ;
各光伏发电站的发电功率系数Pi,根据各光伏电站的实际发电功率PiW、光照强度Ii、光伏电源转换效率χi和环境温度Tri计算得到,计算公式如下所示:The power generation coefficient P i of each photovoltaic power station is calculated according to the actual power generation power P iW , light intensity I i , photovoltaic power conversion efficiency χ i and ambient temperature Tri of each photovoltaic power station, and the calculation formula is as follows:
其中,ki1、ki2、ki3分别为反映光照强度、光伏电源转换效率和环境温度对第i个光伏发电站影响程度的加权系数,PiN为第i个光伏发电站的额定发电功率,PiW为第i个光伏发电站的实际发电功率,其计算公式如下式所示:Among them, k i1 , k i2 , and k i3 are the weighting coefficients reflecting the influence of light intensity, photovoltaic power conversion efficiency and ambient temperature on the i-th photovoltaic power station respectively, P iN is the rated power generation of the i-th photovoltaic power station, P iW is the actual power generation of the i-th photovoltaic power station, and its calculation formula is as follows:
PiW=χiSiIi[1-0.0046(Tri+18)]P iW =χ i S i I i [1-0.0046(T ri +18)]
式中,Si为第i个光伏发电站电池板的总面积。In the formula, S i is the total area of the i-th photovoltaic power station panel.
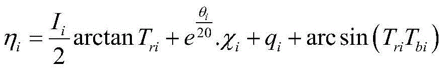
各光伏发电站的环境变化因子ηi,根据各光伏发电站的光伏阵列的安装角度θi、转换效率χi、大气压qi、环境温度Tri和光伏电池板平均温度Tbi计算得到,计算公式如下:The environmental change factor η i of each photovoltaic power station is calculated according to the installation angle θ i of the photovoltaic array of each photovoltaic power station, the conversion efficiency χ i , the atmospheric pressure q i , the ambient temperature Tri and the average temperature T bi of the photovoltaic cell panel. The formula is as follows:
其中,ηi为第i个光伏发电站的环境变化因子。Among them, η i is the environmental change factor of the ith photovoltaic power station.
根据计算得到的各光伏发电站的发电功率系数Pi、环境变化因子ηi及电能质量指标Zi和传输数据精确度指标Ci得到各光伏发电站的综合初始优先级系数Ki,其计算公式如下所示:According to the calculated power generation power coefficient P i of each photovoltaic power station, the environmental change factor η i , the power quality index Z i and the transmission data accuracy index C i , the comprehensive initial priority coefficient K i of each photovoltaic power station is obtained. The formula looks like this:
步骤4:由步骤2中各光伏发电站建立的优先级动态变化函数Ui和步骤3中各光伏发电站的综合初始优先级系数Ki,以及环境变化因子ηi对初始优先级函数Ui大于零的各光伏发电站建立调度最优分配函数Qi,调度最优分配函数Qi如下式所示:Step 4: The priority dynamic change function U i established by each photovoltaic power station in step 2, the comprehensive initial priority coefficient K i of each photovoltaic power station in step 3, and the environmental change factor η i to the initial priority function U i Each photovoltaic power station greater than zero establishes an optimal dispatch allocation function Qi , and the dispatch optimal allocation function Qi is shown in the following formula:
式中,为调度站实现调度的时间段,σ为数据传输调节系数;In the formula, is the time period for the scheduling station to achieve scheduling, σ is the data transmission adjustment coefficient;
步骤5:根据各光伏发电站建立的调度最优分配函数Qi,对初始优先级函数Ui大于零的各个光伏发电站的数据信息进行统一调度,具体方法为:Step 5: According to the scheduling optimal allocation function Q i established by each photovoltaic power station, uniformly schedule the data information of each photovoltaic power station whose initial priority function U i is greater than zero. The specific method is as follows:
步骤5.1:接受各光伏发电站发送的信息数据,使用调度最优分配函数Qi计算各信息数据的优先级;Step 5.1: Accept the information data sent by each photovoltaic power station, and use the scheduling optimal allocation function Qi to calculate the priority of each information data;
步骤5.2:根据各光伏电站传输的历史数据,设定一个优先级阈值W,将各光伏发电站的最优函数Qi值与优先级阈值W的取值范围进行比较,如果光伏发电站信息数据的最优分配函数Qi值在优先级阈值W的取值范围内,则将该光伏发电站的信息数据置于高优先级序列;若光伏发电站信息数据的最优分配函数Qi值小于优先级阈值W的最小值,则将该光伏发电站的信息数据置于低优先级序列;若光伏发电站信息数据的最优分配函数Qi值大于优先级阈值W的最大值,则将该光伏发电站的信息数据置于中间优先级序列;Step 5.2: According to the historical data transmitted by each photovoltaic power station, set a priority threshold W, and compare the optimal function Qi value of each photovoltaic power station with the value range of the priority threshold W. If the photovoltaic power station information data The optimal distribution function Qi value of the photovoltaic power station is within the value range of the priority threshold W, then the information data of the photovoltaic power station is placed in the high priority sequence; if the optimal distribution function Qi value of the photovoltaic power station information data is less than If the minimum value of the priority threshold W, the information data of the photovoltaic power station is placed in the low priority sequence; if the optimal distribution function Qi value of the information data of the photovoltaic power station is greater than the maximum value of the priority threshold W, the information data of the photovoltaic power station is placed in the low priority sequence; The information data of the photovoltaic power station is placed in the middle priority sequence;
用Y表示优先级分级序列,则光伏发电站优先级分级序列的表达式为:Using Y to represent the priority grading sequence, the expression of the PV power station priority grading sequence is:
步骤5.3:将各光伏发电站的数据信息按照优先级分级排序,实现对各光伏发电站的数据信息进行统一调度。Step 5.3: Sort the data information of each photovoltaic power station according to the priority, so as to realize unified scheduling of the data information of each photovoltaic power station.
由上述技术方案可知,本发明的有益效果在于:本发明提供的一种多个光伏发电站数据传输拥堵的协调运行方法,根据各光伏发电站的风电功率因数、电能质量因数、功率预测准这些影响对影响调度优先级的因素进行计算。通过建立初始优先级函数描述了各光伏发电站初始的优先级及不同时间传输数据的关系,参考已知的变量对影响最终优先级的参数进行计算,为建立数据处理优先级数学模型进行准备,通过进一步构建最终优先级函数的数学模型,得到各个光伏发电站数据的优先度分级。最终以不同光伏电站为变量构建目标函数,根据设计的优化协调方法处理数据传输,使优先级高的数据优先处理,解决了多个光伏电站在数据传输中的拥堵问题,提高了对各个光伏发电站的信息数据的利用效率和处理速度。As can be seen from the above technical solutions, the beneficial effect of the present invention is that: the present invention provides a coordinated operation method for data transmission congestion of multiple photovoltaic power stations, which is based on the wind power power factor, power quality factor, and power prediction of each photovoltaic power station. Impact Calculates factors that affect scheduling priority. By establishing the initial priority function, the initial priority of each photovoltaic power station and the relationship between the data transmitted at different times are described, and the parameters affecting the final priority are calculated with reference to the known variables, so as to prepare for the establishment of a mathematical model of data processing priority. By further constructing the mathematical model of the final priority function, the priority classification of the data of each photovoltaic power station is obtained. Finally, the objective function is constructed with different photovoltaic power stations as variables, and the data transmission is processed according to the designed optimization and coordination method, so that the data with high priority is processed first, which solves the congestion problem of multiple photovoltaic power stations in data transmission, and improves the performance of each photovoltaic power generation. The utilization efficiency and processing speed of the information data of the station.
附图说明Description of drawings
图1为本发明实施例提供的一种多个光伏发电站数据传输拥堵的协调运行方法的流程图。FIG. 1 is a flowchart of a coordinated operation method for data transmission congestion of multiple photovoltaic power stations according to an embodiment of the present invention.
具体实施方式Detailed ways
下面结合附图和实施例,对本发明的具体实施方式作进一步详细描述。以下实施例用于说明本发明,但不用来限制本发明的范围。The specific embodiments of the present invention will be described in further detail below with reference to the accompanying drawings and embodiments. The following examples are intended to illustrate the present invention, but not to limit the scope of the present invention.
步骤1:根据不同光伏发电站的实际运行状态、具体的动态性能、当地的地理条件,以光伏发电站向调度中心传输的数据为依据,选取影响光伏发电站优先级分级的参数指标;Step 1: According to the actual operating state, specific dynamic performance, and local geographical conditions of different photovoltaic power stations, and based on the data transmitted by the photovoltaic power stations to the dispatch center, select the parameter indicators that affect the priority classification of photovoltaic power stations;
所选参数指标包括,各个光伏发电站距离调度站的地理距离Li,各光伏发电站的发电功率系数Pi、电能质量指标Zi、传输数据的精确度指标Ci、光伏电池板阵列的安装角度θi、光伏电池板单位面积转换效率χi、光伏电池板平均温度Tbi,各光伏发电站所在地区的大气压qi、环境温度Tri和太阳光照强度Ii,其中i=1,2....n为第i个光伏发电站,n为需要进行优先级分级的光伏发电站总数;The selected parameter indicators include the geographic distance Li between each photovoltaic power station and the dispatch station, the power generation power coefficient P i of each photovoltaic power station, the power quality index Z i , the accuracy index C i of the transmitted data , and the photovoltaic panel array. Installation angle θ i , conversion efficiency per unit area of photovoltaic panels χ i , average temperature of photovoltaic panels T bi , atmospheric pressure qi in the area where each photovoltaic power station is located, ambient temperature Tri and sunlight intensity I i , where i =1, 2....n is the ith photovoltaic power station, n is the total number of photovoltaic power stations that need to be prioritized;
本实施例对某地区一座调度站调度的三座光伏发电站,2016年3月到2016年6月月份的数据进行收集和检测,得到影响光伏发电站优先级分级的参数指标。第一座光伏发电站距离调度站的地理距离L1=20km,光伏发电站电能质量指标Z1=8,传输数据的精确度指标C1=12.5,平均太阳光照强度I1=550km/m2,光伏电池板阵列的安装角度θ1=45°,单位面积光伏电池板转换效率χ1=12%、大气压q1=101kp、环境温度Tr1=23℃、光伏电池板平均温度Tb1=26℃;第二座光伏发电站距离调度站的地理距离L1=38km,光伏发电站电能质量指标Z2=10,光伏发电站传输数据的精确度指标C2=15,光伏发电站的平均太阳光照强度I2=500km/m2,光伏电池板阵列的安装角度θ2=40°,单位面积光伏电池板转换效率χ2=10%、大气压q2=101kp、环境温度Tr2=21℃、光伏电池板平均温度Tb2=25℃;第三座光伏发电站距离调度站的地理距离L3=40km,光伏发电站电能质量指标Z3=8,光伏发电站传输数据的精确度指标C3=13.5,光伏发电站的平均太阳光照强度I3=450km/m2,光伏电池板阵列的安装角度θ3=35°,单位面积光伏电池板转换效率χ3=11%、大气压q3=100kp、环境温度Tr3=24℃、光伏电池板平均温度Tb2=27℃。This embodiment collects and detects the data of three photovoltaic power stations dispatched by a dispatch station in a certain area from March 2016 to June 2016, and obtains parameter indicators that affect the priority classification of photovoltaic power stations. The geographical distance between the first photovoltaic power station and the dispatching station is L 1 =20km, the power quality index of the photovoltaic power station is Z 1 =8, the accuracy index of transmission data is C 1 =12.5, and the average solar light intensity I 1 =550km/m 2 , the installation angle of the photovoltaic panel array θ 1 =45°, the conversion efficiency of the photovoltaic panel per unit area χ 1 =12%, the atmospheric pressure q 1 =101kp, the ambient temperature T r1 =23°C, the average temperature of the photovoltaic panel T b1 =26 ℃; the geographic distance L 1 =38km from the second photovoltaic power station to the dispatching station, the power quality index of the photovoltaic power station Z 2 =10, the accuracy index of the data transmitted by the photovoltaic power station C 2 =15, the average solar power of the photovoltaic power station The light intensity I 2 =500km/m 2 , the installation angle of the photovoltaic panel array θ 2 =40°, the conversion efficiency of the photovoltaic panel per unit area χ 2 =10%, the atmospheric pressure q 2 =101kp, the ambient temperature T r2 =21°C, The average temperature of photovoltaic panels T b2 = 25°C; the geographic distance of the third photovoltaic power station from the dispatch station L 3 =40km, the power quality index of the photovoltaic power station Z 3 =8, and the accuracy index of the data transmitted by the photovoltaic power station C 3 =13.5, the average solar light intensity of the photovoltaic power station I 3 =450km/m 2 , the installation angle of the photovoltaic panel array θ 3 =35°, the conversion efficiency of the photovoltaic panel per unit area χ 3 =11%, the atmospheric pressure q 3 =100kp , the ambient temperature T r3 =24°C, and the average temperature of the photovoltaic cell panel T b2 =27°C.
步骤2:求出描述各光伏发电站初始优先级的动态变化与其不同时间传输数据的紧急程度之间关系的初始优先级函数Ui,并判断各进程初始优先级函数Ui是否大于零,如果大于零则执行步骤3,否则停止对初始优先级函数Ui小于等于零的光伏发电站信息数据的处理;Step 2: Find the initial priority function U i that describes the relationship between the dynamic change of the initial priority of each photovoltaic power station and the urgency of data transmission at different times, and determine whether the initial priority function U i of each process is greater than zero, if If it is greater than zero, perform step 3, otherwise stop processing the information data of photovoltaic power stations whose initial priority function U i is less than or equal to zero;
初始优先级函数Ui的计算公式如下式所示:The calculation formula of the initial priority function U i is as follows:
式中,△ti是第i个光伏发电站相邻两次数据传输的时间间隔;T为调度中心所调度的所有光伏发电站全部完成数据传输一个周期的时间,α和β分别为各光伏电站关于时间和距离的衰减因子,0<α<1,0<β<1;In the formula, Δt i is the time interval between two adjacent data transmissions of the i-th photovoltaic power station; T is the time for all photovoltaic power stations dispatched by the dispatch center to complete one cycle of data transmission, and α and β are the respective photovoltaic power stations. The attenuation factor of the power station with respect to time and distance, 0<α<1, 0<β<1;
本实施例中,根据光伏电站的数据采集平台得到第一座光伏电站相邻两次数据传输的时间间隔△t1=0.5s,第二座光伏电站相邻两次数据传输的时间间隔△t2=0.3s,第三座光伏电站相邻两次数据传输的时间间隔△t3=0.8s,三个光伏发电站全部完成数据传输的一个周期T=5s。时间和距离的衰减因子α和β分别取α=0.67,β=0.77。计算得到三个光伏发电站的初始优先级函数值分别为:U1=19.33375,U1=25.37556,U1=20.12778。本实施例中,计算得到的三座光伏发电站的初始优先级函数值U1、U2、U3均大于零,均需要对数据信息进行统一调度。In this embodiment, according to the data collection platform of the photovoltaic power station, the time interval Δt 1 =0.5s for the first two adjacent data transmissions of the photovoltaic power station, and the time interval Δt for the two adjacent data transmissions for the second photovoltaic power station 2 = 0.3s, the time interval Δt 3 = 0.8s for two adjacent data transmissions of the third photovoltaic power station, and one cycle T = 5s for all three photovoltaic power stations to complete data transmission. The attenuation factors α and β of time and distance are taken as α=0.67 and β=0.77, respectively. The initial priority function values of the three photovoltaic power stations are calculated as: U 1 =19.33375, U 1 =25.37556, U 1 =20.12778. In this embodiment, the calculated initial priority function values U 1 , U 2 , and U 3 of the three photovoltaic power stations are all greater than zero, and the data information needs to be scheduled uniformly.
步骤3:由各光伏发电站的发电功率系数Pi、环境变化因子ηi、电能质量指标Zi和传输数据精确度指标Ci计算初始优先级函数Ui大于零的各光伏发电站的综合初始优先级系数Ki,具体方法为:Step 3: Calculate the synthesis of each photovoltaic power station whose initial priority function U i is greater than zero from the power generation power coefficient P i of each photovoltaic power station, the environmental change factor η i , the power quality index Z i and the transmission data accuracy index C i . The initial priority coefficient K i , the specific method is:
各光伏发电站的发电功率系数Pi的计算公式如下所示:The calculation formula of the power generation power coefficient P i of each photovoltaic power station is as follows:
其中,ki1、ki2、ki3分别为反应光照强度、光伏电源转换效率和环境温度对第i个光伏发电站影响程度的加权系数,PiN为第i个光伏发电站的额定发电功率,PiW为第i个光伏发电站的实际发电功率,其计算公式如下所示:Among them, k i1 , k i2 , and k i3 are the weighted coefficients of the influence of the reflected light intensity, photovoltaic power conversion efficiency and ambient temperature on the i-th photovoltaic power station, P iN is the rated power generation of the i-th photovoltaic power station, P iW is the actual power generation of the i-th photovoltaic power station, and its calculation formula is as follows:
PiW=χiSiIi[1-0.0046(Tri+18)]P iW =χ i S i I i [1-0.0046(T ri +18)]
式中,Si为第i个光伏发电站电池板的总面积;In the formula, S i is the total area of the i-th photovoltaic power station panel;
本实施例中,三座光伏发电站电池板的总面积分别为:S1=2200m2,S2=2800m2,S3=2400m2,计算得三座光伏发电站的发电功率分别为:P1W=830KW,P2W=1560KW,P3W=890KW。In this embodiment, the total areas of the panels of the three photovoltaic power stations are: S 1 =2200m 2 , S 2 =2800m 2 , S 3 =2400m 2 , and the calculated generating powers of the three photovoltaic power stations are: P 1W =830KW, P2W =1560KW, P3W =890KW.
本实施例中,三座光伏发电站的额定发电功率分别为:P1N=1000KW,P2N=1800KW,P3N=1300KW;第一座光伏发电站的加权系数分别为:k11=15,k12=10,k13=20;第二座光伏发电站的加权系数分别为:k21=24,k22=18,k23=10;第三座光伏发电站的加权系数分别为:k21=17,k22=18,k23=27。根据计算,各光伏发电站的发电功率系数分别为:P1=132.99,P2=148.84,P3=124.68。In this embodiment, the rated generating powers of the three photovoltaic power stations are: P 1N =1000KW, P 2N =1800KW, P 3N =1300KW; the weighting coefficients of the first photovoltaic power station are: k 11 =15, k 12 =10, k 13 =20; the weighting coefficients of the second photovoltaic power station are: k 21 =24, k 22 =18, k 23 =10; the weighting coefficients of the third photovoltaic power station are: k 21 =17, k 22 =18, k 23 =27. According to the calculation, the power generation coefficients of each photovoltaic power station are: P 1 =132.99, P 2 =148.84, and P 3 =124.68.
各光伏发电站的环境变化因子ηi的计算公式,计算公式如下:The calculation formula of the environmental change factor η i of each photovoltaic power station is as follows:
其中,ηi为第i个光伏发电站的环境变化因子;Among them, η i is the environmental change factor of the ith photovoltaic power station;
本实施例中,根据给出的公式和数据计算得,各光伏发电站的环境变化因子分别为:η1=25.66,η2=31.05,η3=18.29。In this embodiment, calculated according to the given formula and data, the environmental change factors of each photovoltaic power station are: η 1 =25.66, η 2 =31.05, and η 3 =18.29.
各光伏发电站的综合初始优先级系数Ki的计算公式如下所示:The calculation formula of the comprehensive initial priority coefficient K i of each photovoltaic power station is as follows:
本实施例中,计算得光伏发电站的环境变化因子为K1=15.88,K2=20.55,K3=22.58。In this embodiment, the calculated environmental change factors of the photovoltaic power station are K 1 =15.88, K 2 =20.55, and K 3 =22.58.
步骤4:由步骤2中各光伏发电站建立的优先级动态变化函数Ui和步骤3中各光伏发电站的综合初始优先级系数Ki,以及环境变化因子ηi对初始优先级函数Ui大于零的各光伏发电站建立调度最优分配函数Qi,调度最优分配函数Qi如下式所示:Step 4: The priority dynamic change function U i established by each photovoltaic power station in step 2, the comprehensive initial priority coefficient K i of each photovoltaic power station in step 3, and the environmental change factor η i to the initial priority function U i Each photovoltaic power station greater than zero establishes an optimal dispatch allocation function Qi , and the dispatch optimal allocation function Qi is shown in the following formula:
式中,为调度站实现调度的时间段,σ为数据传输调节系数;In the formula, is the time period for the scheduling station to achieve scheduling, σ is the data transmission adjustment coefficient;
本实施例中,根据数据采集的时间段,H取值为2.5,数据传输调节系数σ=0.6。经过计算得到各光伏发电站的调度最优分配函数值分别为:Q1=58,Q2=75,Q3=81。In this embodiment, according to the time period of data collection, the value of H is 2.5, and the data transmission adjustment coefficient σ=0.6. After calculation, the optimal dispatching distribution function values of each photovoltaic power station are obtained as: Q 1 =58, Q 2 =75, Q 3 =81.
步骤5:根据各光伏发电站建立的调度最优分配函数Qi,对初始优先级函数Ui大于零的各个光伏发电站的数据信息进行统一调度,具体方法为:Step 5: According to the scheduling optimal allocation function Q i established by each photovoltaic power station, uniformly schedule the data information of each photovoltaic power station whose initial priority function U i is greater than zero. The specific method is as follows:
步骤5.1:接受各光伏发电站发送的信息数据,使用调度最优分配函数Qi分析计算各信息数据的优先级;Step 5.1: Accept the information data sent by each photovoltaic power station, and use the scheduling optimal allocation function Qi to analyze and calculate the priority of each information data;
步骤5.2:根据各光伏电站传输的历史数据,设定一个优先级阈值W,将各光伏发电站的最优函数Qi值与优先级阈值W的取值范围进行比较,如果光伏发电站信息数据的最优分配函数Qi值在优先级阈值W的取值范围内,则将该光伏发电站的信息数据置于高优先级序列;若光伏发电站信息数据的最优分配函数Qi值小于优先级阈值W的最小值,则将该光伏发电站的信息数据置于低优先级序列;若光伏发电站信息数据的最优分配函数Qi值大于优先级阈值W的最大值,则将该光伏发电站的信息数据置于中间优先级序列;Step 5.2: According to the historical data transmitted by each photovoltaic power station, set a priority threshold W, and compare the optimal function Qi value of each photovoltaic power station with the value range of the priority threshold W. If the photovoltaic power station information data The optimal distribution function Qi value of the photovoltaic power station is within the value range of the priority threshold W, then the information data of the photovoltaic power station is placed in the high priority sequence; if the optimal distribution function Qi value of the photovoltaic power station information data is less than If the minimum value of the priority threshold W, the information data of the photovoltaic power station is placed in the low priority sequence; if the optimal distribution function Qi value of the information data of the photovoltaic power station is greater than the maximum value of the priority threshold W, the information data of the photovoltaic power station is placed in the low priority sequence; The information data of the photovoltaic power station is placed in the middle priority sequence;
用Y表示优先级分级序列,则光伏发电站优先级分级序列的表达式为:Using Y to represent the priority grading sequence, the expression of the PV power station priority grading sequence is:
步骤5.3:将各光伏发电站的数据信息按照优先级分级排序,实现对各光伏发电站的数据信息进行统一调度。Step 5.3: Sort the data information of each photovoltaic power station according to the priority, so as to realize unified scheduling of the data information of each photovoltaic power station.
本实施例设定优先级阈值为50≤W≤80,根据给出的光伏电站优先级分级表达式,得出第一座光伏发电站的优先级为Y2,第二座光伏发电站的优先级为Y1,第三座光伏发电站的优先级为Y3。最后根据得出的优先级分级对各发电站进行排序,得到调度中心对三座光伏发电站的顺序为第二座光伏发电站-第一座光伏发电站-第三座光伏发电站。In this embodiment, the priority threshold is set to 50≤W≤80. According to the given PV power station priority classification expression, It is obtained that the priority of the first photovoltaic power station is Y 2 , the priority of the second photovoltaic power station is Y 1 , and the priority of the third photovoltaic power station is Y 3 . Finally, the power stations are sorted according to the obtained priority classification, and the order of the three photovoltaic power stations by the dispatch center is obtained as the second photovoltaic power station - the first photovoltaic power station - the third photovoltaic power station.
最后应说明的是:以上各实施例仅用以说明本发明的技术方案,而非对其限制;尽管参照前述各实施例对本发明进行了详细的说明,本领域的普通技术人员应当理解:其依然可以对前述各实施例所记载的技术方案进行修改,或者对其中部分或者全部技术特征进行等同替换;而这些修改或者替换,并不使相应技术方案的本质脱离本发明权利要求所限定的范围。Finally, it should be noted that the above embodiments are only used to illustrate the technical solutions of the present invention, but not to limit them; although the present invention has been described in detail with reference to the foregoing embodiments, those of ordinary skill in the art should understand that: The technical solutions described in the foregoing embodiments can still be modified, or some or all of the technical features thereof can be equivalently replaced; and these modifications or replacements do not make the essence of the corresponding technical solutions depart from the scope defined by the claims of the present invention .
Claims (1)
Priority Applications (1)
| Application Number | Priority Date | Filing Date | Title |
|---|---|---|---|
| CN201710916626.0A CN107734020B (en) | 2017-09-30 | 2017-09-30 | Coordinated operation method for data transmission congestion of multiple photovoltaic power stations |
Applications Claiming Priority (1)
| Application Number | Priority Date | Filing Date | Title |
|---|---|---|---|
| CN201710916626.0A CN107734020B (en) | 2017-09-30 | 2017-09-30 | Coordinated operation method for data transmission congestion of multiple photovoltaic power stations |
Publications (2)
| Publication Number | Publication Date |
|---|---|
| CN107734020A CN107734020A (en) | 2018-02-23 |
| CN107734020B true CN107734020B (en) | 2020-07-07 |
Family
ID=61209306
Family Applications (1)
| Application Number | Title | Priority Date | Filing Date |
|---|---|---|---|
| CN201710916626.0A Active CN107734020B (en) | 2017-09-30 | 2017-09-30 | Coordinated operation method for data transmission congestion of multiple photovoltaic power stations |
Country Status (1)
| Country | Link |
|---|---|
| CN (1) | CN107734020B (en) |
Families Citing this family (3)
| Publication number | Priority date | Publication date | Assignee | Title |
|---|---|---|---|---|
| CN109256770B (en) * | 2018-10-08 | 2020-09-25 | 清华大学 | Distributed power distribution network congestion control method based on demand side response |
| CN109612038A (en) * | 2018-11-23 | 2019-04-12 | 珠海格力电器股份有限公司 | Air conditioner parameter processing method and device, computer equipment and storage medium |
| CN111628492B (en) * | 2020-04-13 | 2021-11-09 | 四川大学 | Power grid blocking management and control method with cooperation of high-voltage distribution network partition reconstruction and energy storage |
Citations (8)
| Publication number | Priority date | Publication date | Assignee | Title |
|---|---|---|---|---|
| CN102072104A (en) * | 2010-11-25 | 2011-05-25 | 严政 | Large jet turbocharged generating system |
| WO2011066121A1 (en) * | 2009-11-25 | 2011-06-03 | American Superconductor Corporation | Reducing photovoltaic array voltage during inverter re-enablement |
| CN103545848A (en) * | 2013-10-16 | 2014-01-29 | 国家电网公司 | Coordinated control method for active power of photovoltaic power station group |
| CN105162132A (en) * | 2015-08-20 | 2015-12-16 | 国家电网公司 | Adjustment method for removing main transformer-crossing reactive circular power flow of photovoltaic power station |
| CN105226715A (en) * | 2015-11-05 | 2016-01-06 | 国家电网公司 | A kind of stage photovoltaic single grid-connection control system improving frequency dynamic response |
| CN105337415A (en) * | 2015-11-18 | 2016-02-17 | 深圳合纵能源技术有限公司 | Regional power grid dispatching system and method based on prediction control |
| CN105914886A (en) * | 2016-05-18 | 2016-08-31 | 李宁 | Distributed energy cloud networking intelligent control method and system |
| WO2017062913A1 (en) * | 2015-10-08 | 2017-04-13 | Johnson Controls Technology Company | Photovoltaic energy system with preemptive ramp rate control |
-
2017
- 2017-09-30 CN CN201710916626.0A patent/CN107734020B/en active Active
Patent Citations (8)
| Publication number | Priority date | Publication date | Assignee | Title |
|---|---|---|---|---|
| WO2011066121A1 (en) * | 2009-11-25 | 2011-06-03 | American Superconductor Corporation | Reducing photovoltaic array voltage during inverter re-enablement |
| CN102072104A (en) * | 2010-11-25 | 2011-05-25 | 严政 | Large jet turbocharged generating system |
| CN103545848A (en) * | 2013-10-16 | 2014-01-29 | 国家电网公司 | Coordinated control method for active power of photovoltaic power station group |
| CN105162132A (en) * | 2015-08-20 | 2015-12-16 | 国家电网公司 | Adjustment method for removing main transformer-crossing reactive circular power flow of photovoltaic power station |
| WO2017062913A1 (en) * | 2015-10-08 | 2017-04-13 | Johnson Controls Technology Company | Photovoltaic energy system with preemptive ramp rate control |
| CN105226715A (en) * | 2015-11-05 | 2016-01-06 | 国家电网公司 | A kind of stage photovoltaic single grid-connection control system improving frequency dynamic response |
| CN105337415A (en) * | 2015-11-18 | 2016-02-17 | 深圳合纵能源技术有限公司 | Regional power grid dispatching system and method based on prediction control |
| CN105914886A (en) * | 2016-05-18 | 2016-08-31 | 李宁 | Distributed energy cloud networking intelligent control method and system |
Non-Patent Citations (1)
| Title |
|---|
| 光伏发电站电能质量状况分析;林松辉;《中国高新技术企业》;20121201;全文 * |
Also Published As
| Publication number | Publication date |
|---|---|
| CN107734020A (en) | 2018-02-23 |
Similar Documents
| Publication | Publication Date | Title |
|---|---|---|
| WO2023201552A1 (en) | County-wide photovoltaic prediction method based on cluster division and data enhancement | |
| CN102930358B (en) | A kind of neural net prediction method of photovoltaic power station power generation power | |
| CN105680474B (en) | A control method for energy storage to suppress rapid power changes of photovoltaic power plants | |
| CN107862466A (en) | The source lotus complementary Benefit Evaluation Method spanning space-time of consideration system bilateral randomness | |
| CN103218673A (en) | Method for predicating short-period output power of photovoltaic power generation based on BP (Back Propagation) neural network | |
| CN111612244B (en) | QRA-LSTM-based method for predicting nonparametric probability of photovoltaic power before day | |
| CN107994595A (en) | A kind of system of peak load shifting control method and system and the application control method | |
| CN105005872A (en) | Capacity configuration method for peak-load-shifting energy storage system | |
| CN103632205A (en) | Optimized electric-vehicle dispatching method considering wind-electricity and load uncertainty | |
| CN104732296A (en) | Modeling method for distributed photovoltaic output power short-term prediction model | |
| CN112070311A (en) | Day-ahead light power prediction method based on similar day clustering and meteorological factor weighting | |
| CN110336333A (en) | A kind of scene prediction method of regional complex energy resource system | |
| CN115441447B (en) | A new energy generation power prediction method | |
| CN105391082B (en) | Photovoltaic plant theoretical power (horse-power) computational methods based on classification model inverter | |
| CN102545707A (en) | Power generation power forecasting method and system by taking power generation units as basic prediction units | |
| CN117236638B (en) | Distributed energy management system of canal microgrid based on multimodal network | |
| CN104701880A (en) | Method for calculating maximum photovoltaic capacity accepted by power grid based on peak regulation constraint | |
| CN110909310A (en) | A short-term photovoltaic power generation forecasting method and system based on model parameter optimization | |
| CN107734020B (en) | Coordinated operation method for data transmission congestion of multiple photovoltaic power stations | |
| CN120601427B (en) | A Real-Time Optimized Dispatch System and Method for Power Grids Based on Digital Twins | |
| CN120377231A (en) | Dynamic aggregation peak shaving method and system based on distributed photovoltaic power prediction and computing equipment | |
| CN114301089A (en) | Energy storage capacity configuration optimization method for wind-solar combined power generation system | |
| CN118554472A (en) | Source network lotus stores up integrated coordination control system | |
| Liu et al. | A weight-varying ensemble method for short-term forecasting PV power output | |
| CN116505591A (en) | A method and device for a virtual power plant to participate in the coordinated optimal dispatch of a distribution network |
Legal Events
| Date | Code | Title | Description |
|---|---|---|---|
| PB01 | Publication | ||
| PB01 | Publication | ||
| SE01 | Entry into force of request for substantive examination | ||
| SE01 | Entry into force of request for substantive examination | ||
| GR01 | Patent grant | ||
| GR01 | Patent grant |




















