CN107172125B - A Fair Bandwidth Allocation Algorithm for Cross-layer P2P Resource Sharing Network - Google Patents
A Fair Bandwidth Allocation Algorithm for Cross-layer P2P Resource Sharing Network Download PDFInfo
- Publication number
- CN107172125B CN107172125B CN201710266019.4A CN201710266019A CN107172125B CN 107172125 B CN107172125 B CN 107172125B CN 201710266019 A CN201710266019 A CN 201710266019A CN 107172125 B CN107172125 B CN 107172125B
- Authority
- CN
- China
- Prior art keywords
- service
- service provider
- bandwidth
- network
- price
- Prior art date
- Legal status (The legal status is an assumption and is not a legal conclusion. Google has not performed a legal analysis and makes no representation as to the accuracy of the status listed.)
- Active
Links
- 238000013468 resource allocation Methods 0.000 claims description 12
- 230000005540 biological transmission Effects 0.000 claims description 9
- 230000002776 aggregation Effects 0.000 claims description 3
- 238000004220 aggregation Methods 0.000 claims description 3
- 238000012804 iterative process Methods 0.000 claims description 3
- 101150034680 Lis-1 gene Proteins 0.000 claims 1
- 101150084844 PAFAH1B1 gene Proteins 0.000 claims 1
- 238000001914 filtration Methods 0.000 claims 1
- 230000008901 benefit Effects 0.000 abstract description 5
- 238000005457 optimization Methods 0.000 description 6
- 238000010586 diagram Methods 0.000 description 5
- 238000009826 distribution Methods 0.000 description 3
- 230000007246 mechanism Effects 0.000 description 3
- 238000004883 computer application Methods 0.000 description 2
- 238000004088 simulation Methods 0.000 description 2
- 238000004458 analytical method Methods 0.000 description 1
- 230000008878 coupling Effects 0.000 description 1
- 238000010168 coupling process Methods 0.000 description 1
- 238000005859 coupling reaction Methods 0.000 description 1
- 238000005516 engineering process Methods 0.000 description 1
- 230000010354 integration Effects 0.000 description 1
- 238000007726 management method Methods 0.000 description 1
- 238000000034 method Methods 0.000 description 1
- 238000003860 storage Methods 0.000 description 1
Images
Classifications
-
- H—ELECTRICITY
- H04—ELECTRIC COMMUNICATION TECHNIQUE
- H04L—TRANSMISSION OF DIGITAL INFORMATION, e.g. TELEGRAPHIC COMMUNICATION
- H04L67/00—Network arrangements or protocols for supporting network services or applications
- H04L67/01—Protocols
- H04L67/10—Protocols in which an application is distributed across nodes in the network
- H04L67/104—Peer-to-peer [P2P] networks
- H04L67/1074—Peer-to-peer [P2P] networks for supporting data block transmission mechanisms
-
- H—ELECTRICITY
- H04—ELECTRIC COMMUNICATION TECHNIQUE
- H04L—TRANSMISSION OF DIGITAL INFORMATION, e.g. TELEGRAPHIC COMMUNICATION
- H04L41/00—Arrangements for maintenance, administration or management of data switching networks, e.g. of packet switching networks
- H04L41/08—Configuration management of networks or network elements
- H04L41/0896—Bandwidth or capacity management, i.e. automatically increasing or decreasing capacities
Landscapes
- Engineering & Computer Science (AREA)
- Computer Networks & Wireless Communication (AREA)
- Signal Processing (AREA)
- Data Exchanges In Wide-Area Networks (AREA)
Abstract
Description
技术领域technical field
本发明涉及计算机网络技术领域,尤其是一种基于价格机制的跨层P2P资源共享网络带宽公平分配算法。The invention relates to the technical field of computer networks, in particular to a cross-layer P2P resource sharing network bandwidth fair allocation algorithm based on a price mechanism.
背景技术Background technique
P2P网络是一种通过整合网络边缘的存储、计算、文件等各类资源从而实现资源共享的系统。不同于传统的客户/服务器模式,P2P采取了分布式资源共享的工作模式,网络中每个节点都可以为整个网络贡献资源,如提供文件共享与下载。因此,随着网络中节点的增多,网络可提供的服务能力也会增加,系统规模的增大反而容易满足用户获取资源的需求。A P2P network is a system that realizes resource sharing by integrating various resources such as storage, computing, and files at the edge of the network. Different from the traditional client/server model, P2P adopts the working model of distributed resource sharing. Each node in the network can contribute resources to the entire network, such as providing file sharing and downloading. Therefore, with the increase of nodes in the network, the service capability provided by the network will also increase, and the increase of the system scale can easily meet the needs of users to obtain resources.
P2P资源共享网络中,一个需求资源的节点可以由多个其他节点提供服务,从而克服了集中式服务器的局限性,极大地提高了网络资源的使用效率,改善了需求网络资源的用户的服务质量。目前,已有成熟的软件实现了P2P网络资源共享与下载,如BT(BitToiTent)、eMuIe(VeryCd)、迅雷(Thunder)等软件通过提供丰富的影像、文件、图书资料等资源以及良好的用户体验,吸引了庞大的用户群体,从而实现了大范围内的资源共享。In a P2P resource sharing network, a node that requires resources can be served by multiple other nodes, thus overcoming the limitations of centralized servers, greatly improving the efficiency of network resources, and improving the quality of service for users who demand network resources. . At present, there are mature software to realize P2P network resource sharing and downloading, such as BT (BitToiTent), eMuIe (VeryCd), Thunder (Thunder) and other software by providing rich images, files, books and other resources and a good user experience , attracting a huge user group, so as to achieve a wide range of resource sharing.
P2P资源共享网络中,每个节点在获取其他节点提供的服务时,都想最大化自己的下载带宽,从而提高自己的用户体验和满意度。因此,如何将提供资源服务的节点的上传带宽在服务请求者之间进行公平分配就变得非常重要。目前也有相关文献提出P2P资源共享网络的带宽分配方案。例如,中国专利申请号201510778746.X,公开日2016.03.30,名称为“一种基于价格机制的P2P文件共享网络中带宽分配算法”的专利,设计了一类基于价格机制的P2P文件共享网络中带宽分配算法,用于实现资源提供者的上传带宽在资源需求者间的公平分配。中国专利申请号2016100813716,公开日2016.06.29,名称为“基于效用优化的P2P文件共享网络带宽公平分配算法”的专利,设计了基于效用优化的P2P文件共享网络带宽公平分配算法,可以实现耦合型和非耦合型的带宽资源分配效用优化问题的最优点。In a P2P resource sharing network, each node wants to maximize its download bandwidth when obtaining services provided by other nodes, thereby improving its user experience and satisfaction. Therefore, how to fairly distribute the upload bandwidth of the nodes providing resource services among service requesters becomes very important. At present, there are also related literatures that propose bandwidth allocation schemes for P2P resource sharing networks. For example, Chinese Patent Application No. 201510778746.X, published on 2016.03.30, the patent titled "A Bandwidth Allocation Algorithm in P2P File Sharing Network Based on Price Mechanism", designed a kind of price mechanism based P2P file sharing network The bandwidth allocation algorithm is used to realize the fair distribution of the upload bandwidth of the resource provider among the resource demanders. Chinese Patent Application No. 2016100813716, published on 2016.06.29, the patent titled "Utility-optimized P2P file sharing network bandwidth fair allocation algorithm", designed a utility-optimized P2P file sharing network bandwidth fair allocation algorithm, which can realize coupling type and the optimal point of the uncoupled bandwidth resource allocation utility optimization problem.
在学术论文方面,《东南大学学报(自然科学版)》2008第S1期“一种基于博弈论的对等网络带宽分配方案”为解决对等网络中多个异构下载节点从多个源节点下载的带宽分配问题,提出一种基于注水算法及能够容纳自私节点的对等网络带宽分配方案。《计算机应用》2015第6期“基于网络编码的对等网流媒体网络中优化的带宽分配策略”针对采用了网络编码技术的P2P流媒体系统应用,提出一种基于负载转移的节点带宽资源均衡策略,尽可能避免节点选择邻居节点并请求带宽资源的随意性形成的节点过载。《计算机应用》2015第9期“基于纳什议价的对等网络资源分配”提出了保证节点最小服务质量的一种基于纳什议价的资源分配方案,得到合作节点比非合作节点获得更多的资源,而且证明了合作博弈中节点的相对议价权力越大,节点获得的资源越多,收益越大。In terms of academic papers, "Journal of Southeast University (Natural Science Edition)" 2008 No. S1 "A Game Theory-Based Peer-to-Peer Network Bandwidth Allocation Scheme" aims to solve the problem of multiple heterogeneous download nodes in a peer-to-peer network from multiple source nodes. To solve the problem of bandwidth allocation for downloading, a water-filling algorithm and a peer-to-peer network bandwidth allocation scheme capable of accommodating selfish nodes are proposed. "Computer Applications" 2015 No. 6 "Optimized Bandwidth Allocation Strategy in Peer-to-Peer Streaming Media Network Based on Network Coding" Aiming at the application of P2P streaming media system using network coding technology, a node bandwidth resource balancing based on load transfer is proposed. The strategy is to avoid the node overload caused by the randomness of nodes selecting neighbor nodes and requesting bandwidth resources as much as possible. "Computer Applications" 2015 No. 9 "Peer-to-Peer Network Resource Allocation Based on Nash Bargaining" proposes a resource allocation scheme based on Nash bargaining to ensure the minimum service quality of nodes, and the cooperative nodes obtain more resources than non-cooperative nodes. Moreover, it is proved that the greater the relative bargaining power of the nodes in the cooperative game, the more resources the nodes obtain and the greater the benefits.
上述文献基本上都是从对等网络应用层角度设计带宽分配算法、流量控制算法和资源管理算法等,并没有考虑这些带宽分配算法如何与现有骨干网络如IP网络融合,即没有将应用层的带宽分配算法与IP网络中流量控制结合起来。实际上,P2P应用已经成为IP网络资源的最大消耗者,很大程度上超过了Web、E-mail、FTP等的数据流量而成为骨干网络的主要负担,甚至会引起网络拥塞,从而降低和影响其它业务的性能。本专利将对等网络的带宽公平分配和IP网络链路带宽分配结合起来,实现了P2P网络和IP网络的跨层带宽分配,在满足对等网络中节点资源共享和下载的同时,有效控制骨干网中的流量,避免骨干网络拥塞,提高网络性能。The above literature basically designs bandwidth allocation algorithms, flow control algorithms and resource management algorithms from the perspective of the application layer of the peer-to-peer network, and does not consider how these bandwidth allocation algorithms are integrated with the existing backbone networks such as IP networks, that is, the application layer is not integrated. The bandwidth allocation algorithm is combined with flow control in IP networks. In fact, P2P applications have become the largest consumer of IP network resources, largely exceeding the data traffic of Web, E-mail, FTP, etc. and becoming the main burden on the backbone network, even causing network congestion, thereby reducing and affecting performance of other services. This patent combines fair bandwidth allocation of peer-to-peer network with bandwidth allocation of IP network link, realizes cross-layer bandwidth allocation of P2P network and IP network, and effectively controls backbone network while satisfying node resource sharing and downloading in peer-to-peer network. network traffic, avoid backbone network congestion, and improve network performance.
发明内容SUMMARY OF THE INVENTION
本发明目的在于提供一种分配公平合理、节点资源有效共享和下载、同时又能控制骨干网络流量的跨层P2P资源共享网络带宽分配算法。The purpose of the invention is to provide a cross-layer P2P resource sharing network bandwidth allocation algorithm with fair and reasonable allocation, effective sharing and downloading of node resources, and control of backbone network traffic at the same time.
为实现上述目的,采用了以下技术方案:本发明算法主要包括P2P对等网络、服务请求者s、服务提供者p及IP网络链路l,在P2P对等网络中,服务请求者s要获得服务提供者p提供的服务,如文件共享与下载等,为此服务提供者p就要为服务请求者s分配其上传带宽,并通过现有IP网络完成数据传输服务。服务提供者p根据服务请求者s支付的价格和链路l收取的价格,计算得到服务提供者p为服务请求者s分配的最优带宽。In order to achieve the above object, the following technical solutions are adopted: the algorithm of the present invention mainly includes a P2P peer-to-peer network, a service requester s, a service provider p and an
所述算法步骤如下:The algorithm steps are as follows:
步骤1,在P2P对等网络中,提供下载业务的服务提供者p初始化带宽分配,在t时刻为每一个服务请求者s初始化分配的带宽xps[t];
步骤2,若此时带宽分配xps[t]已经是资源分配模型的最优点,则算法结束,服务提供者p按照此速率向服务请求者s传输数据,否则向下进行步骤3;
步骤3,在t时刻,每一个服务请求者s根据各个服务提供者p为其分配的带宽xps[t],计算其得到的聚合带宽ys[t];
式中,s是服务请求者;p是服务提供者;P(s)是为服务请求者s提供下载业务的服务提供者集合;In the formula, s is the service requester; p is the service provider; P(s) is the set of service providers that provide download services for the service requester s;
步骤4,在t时刻,每一个服务请求者s根据其得到的聚合带宽ys[t],计算其应该支付给整个网络的价格λs[t];Step 4: At time t, each service requester s calculates the price λ s [t] that it should pay to the entire network according to the aggregated bandwidth y s [t] obtained by it;
式中,ws是服务请求者s支付的费用;ε>0是一个小的正数,从而避免服务请求者s支付的价格λs[t]过大;In the formula, ws is the fee paid by the service requester s ; ε > 0 is a small positive number, so as to avoid the price λ s [t] paid by the service requester s from being too large;
步骤5,在t时刻,IP网络中的链路l初始化其收取的价格μl[t];
步骤6,IP网络中的链路l根据途经其链路的流量xps[t]计算得到该链路上的聚合流量zl[t];
式中,S(p)是服务提供者p提供下载业务的所有服务请求者的集合;P是所有服务提供者的集合;xps[t]是服务提供者p为服务请求者s分配的带宽,是0-1函数,若服务提供者p为服务请求者s提供服务时的流量经过链路l,则为1,否则为0;where S(p) is the set of all service requesters that service provider p provides download services; P is the set of all service providers; x ps [t] is the bandwidth allocated by service provider p to service requester s , is a 0-1 function, if the traffic when the service provider p serves the service requester s passes through the link l, then is 1, otherwise is 0;
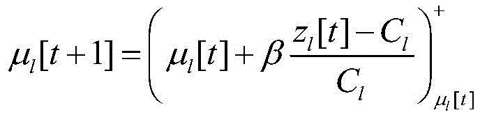
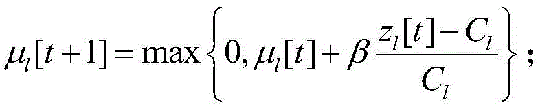
步骤7,链路l根据该链路上的聚合流量zl[t]与其本身的链路带宽Cl,调整在t+1时刻其收取的价格μl[t+1];
式中,β>0是迭代步长;Cl是链路l的带宽;In the formula, β>0 is the iterative step size; C l is the bandwidth of link l;
意味着, mean,
若μl[t]>0,则 If μ l [t]>0, then
若μl[t]=0,则 If μ l [t]=0, then
步骤8,服务请求者s根据其支付给网络的价格λs[t]和IP网络中链路l收取的价格μl[t],计算得到应支付给服务提供者p的实际价格γps[t];Step 8: According to the price λ s [t] paid by the service requester to the network and the price μ l [t] charged by the link l in the IP network, the actual price γ ps [ t];
式中,L(p,s)是从服务提供者p到服务请求者s的路径,该路径是链路集合L的非空子集;价格γps[t]是服务请求者s支付给网络的价格λs[t]与从服务提供者p到服务请求者s的传输路径收取的价格之差;where L(p,s) is the path from the service provider p to the service requester s, which is a non-empty subset of the link set L; the price γ ps [t] is what the service requester s pays to the network The price λs [t] and the price charged for the transmission path from the service provider p to the service requester s Difference;
步骤9,服务提供者p根据为每一个服务请求者s分配的带宽xps[t],及每一个服务请求者s支付给服务提供者p的价格γps[t],计算得到服务提供者p的期望价格ξp[t];
式中,S(p)是服务提供者p提供下载业务的所有服务请求者的集合;xps[t]是服务提供者p为服务请求者s分配的带宽;γps[t]是服务请求者s支付给服务提供者p的实际价格;Cp是服务提供者p的上传带宽;In the formula, S(p) is the set of all service requesters that the service provider p provides download services; x ps [t] is the bandwidth allocated by the service provider p to the service requester s; γ ps [t] is the service request is the actual price paid by s to service provider p; C p is the upload bandwidth of service provider p;
步骤10,服务提供者p根据为每一个服务请求者s分配的带宽xps[t],及每一个服务请求者s支付给服务提供者p的价格γps[t],及服务提供者p的期望价格ξp[t],调整t+1时刻为服务请求者s分配的带宽xps[t+1]
式中,α>0是迭代步长;xps[t]是服务提供者p为服务请求者s分配的带宽;是对时刻t带宽分配xps[t]的估值;是对服务提供者p为服务请求者s分配的带宽xps[t+1]的估值;θ是低通滤波因子,且0<θ<1,能够有效消除最优点不唯一而引起的算法波动问题;In the formula, α>0 is the iteration step size; x ps [t] is the bandwidth allocated by the service provider p to the service requester s; is an estimate of the bandwidth allocation x ps [t] at time t; is the estimation of the bandwidth x ps [t+1] allocated by the service provider p to the service requester s; θ is the low-pass filter factor, and 0<θ<1, which can effectively eliminate the algorithm caused by the non-unique optimal point volatility problem;
意味着 mean
若xps[t]>0,则 If x ps [t] > 0, then
若xps[t]=0,则 If xps [t]=0, then
步骤11,各个服务提供者p根据步骤3至步骤10迭代直至达到最优点,即服务提供者上传带宽在服务请求者间的最优分配;Step 11, each service provider p iterates according to
步骤12,如果网络中有新的服务提供者或服务请求者加入,或者原有的服务提供者或服务请求者退出,则迭代过程步骤1至步骤10重新进行直至达到新的最优点。
与现有技术相比,本发明具有如下优点:Compared with the prior art, the present invention has the following advantages:
1、本发明算法能够有效收敛到P2P资源共享网络中服务提供者的上传带宽分配的最优点,实现服务提供者的上传带宽在服务请求者之间的公平分配。1. The algorithm of the present invention can effectively converge to the optimal point of upload bandwidth allocation of service providers in the P2P resource sharing network, so as to realize fair allocation of the upload bandwidth of service providers among service requesters.
2、考虑了P2P网络与IP骨干网络的融合,实现了基于跨层优化思想的带宽最优分配,在满足对等网络中节点资源共享和下载的同时,有效控制骨干网中的流量,避免骨干网络拥塞,提高网络性能。2. Considering the integration of the P2P network and the IP backbone network, the optimal bandwidth allocation based on the idea of cross-layer optimization is realized. While satisfying the node resource sharing and downloading in the peer-to-peer network, it can effectively control the traffic in the backbone network and avoid the backbone network. Network congestion, improve network performance.
附图说明Description of drawings
图1是本发明算法的P2P客户端流程图。FIG. 1 is a flowchart of the P2P client of the algorithm of the present invention.
图2是本发明算法的IP链路端流程图。FIG. 2 is a flow chart of the IP link end of the algorithm of the present invention.
图3本发明算法的6个用户网络拓扑结构图。Fig. 3 is a topological structure diagram of 6 user networks of the algorithm of the present invention.
图4是图2中服务请求者s1获得的最优带宽分配图。FIG. 4 is an optimal bandwidth allocation diagram obtained by the service requester s1 in FIG. 2 .
图5是图2中服务请求者s2获得的最优带宽分配图。FIG. 5 is an optimal bandwidth allocation diagram obtained by the service requester s2 in FIG. 2 .
图6是图2中服务请求者s3获得的最优带宽分配图。FIG. 6 is an optimal bandwidth allocation diagram obtained by the service requester s3 in FIG. 2 .
图7是图2中服务请求者s4获得的最优带宽分配图。FIG. 7 is an optimal bandwidth allocation diagram obtained by the service requester s4 in FIG. 2 .
图8是不同网络规模时的网络聚合效用图。Figure 8 is a graph of network aggregation utility at different network sizes.
具体实施方式Detailed ways
下面结合附图对本发明做进一步说明:The present invention will be further described below in conjunction with the accompanying drawings:
本发明算法主要包括P2P对等网络、服务请求者s、服务提供者p及IP网络链路l,在P2P对等网络中,服务请求者s要获得服务提供者p提供的服务,如文件共享与下载等,为此服务提供者p就要为服务请求者s分配其上传带宽,并通过现有IP网络完成数据传输服务。服务提供者p根据服务请求者s支付的价格和链路l收取的价格,计算得到服务提供者p为服务请求者s分配的最优带宽。The algorithm of the present invention mainly includes a P2P peer-to-peer network, a service requester s, a service provider p and an IP network link l. In the P2P peer-to-peer network, the service requester s wants to obtain the services provided by the service provider p, such as file sharing. For this purpose, the service provider p allocates its upload bandwidth to the service requester s, and completes the data transmission service through the existing IP network. The service provider p calculates the optimal bandwidth allocated by the service provider p to the service requester s according to the price paid by the service requester s and the price charged by the link l.
所述算法步骤如下:The algorithm steps are as follows:
步骤1,在P2P对等网络中,提供下载业务的服务提供者p初始化带宽分配,在t时刻为每一个服务请求者s初始化分配的带宽xps[t];
步骤2,若此时带宽分配xps[t]已经是资源分配模型的最优点,则算法结束,服务提供者p按照此速率向服务请求者s传输数据,否则向下进行步骤3;
步骤3,在t时刻,每一个服务请求者s根据各个服务提供者p为其分配的带宽xps[t],计算其得到的聚合带宽ys[t];
式中,s是服务请求者;p是服务提供者;P(s)是为服务请求者s提供下载业务的服务提供者集合;In the formula, s is the service requester; p is the service provider; P(s) is the set of service providers that provide download services for the service requester s;
步骤4,在t时刻,每一个服务请求者s根据其得到的聚合带宽ys[t],计算其应该支付给整个网络的价格λs[t];Step 4: At time t, each service requester s calculates the price λ s [t] that it should pay to the entire network according to the aggregated bandwidth y s [t] obtained by it;
式中,ws是服务请求者s支付的费用;ε>0是一个小的正数,从而避免服务请求者s支付的价格λs[t]过大;In the formula, ws is the fee paid by the service requester s ; ε > 0 is a small positive number, so as to avoid the price λ s [t] paid by the service requester s from being too large;
步骤5,在t时刻,IP网络中的链路l初始化其收取的价格μl[t];
步骤6,IP网络中的链路l根据途经其链路的流量xps[t]计算得到该链路上的聚合流量zl[t];
式中,S(p)是服务提供者p提供下载业务的所有服务请求者的集合;P是所有服务提供者的集合;xps[t]是服务提供者p为服务请求者s分配的带宽,是0-1函数,若服务提供者p为服务请求者s提供服务时的流量经过链路l,则为1,否则为0;where S(p) is the set of all service requesters that service provider p provides download services; P is the set of all service providers; x ps [t] is the bandwidth allocated by service provider p to service requester s , is a 0-1 function, if the traffic when the service provider p serves the service requester s passes through the link l, then is 1, otherwise is 0;
步骤7,链路l根据该链路上的聚合流量zl[t]与其本身的链路带宽Cl,调整在t+1时刻其收取的价格μl[t+1];
式中,β>0是迭代步长;Cl是链路l的带宽;In the formula, β>0 is the iterative step size; C l is the bandwidth of link l;
意味着, mean,
若μl[t]>0,则 If μ l [t]>0, then
若μl[t]=0,则 If μ l [t]=0, then
步骤8,服务请求者s根据其支付给网络的价格λs[t]和IP网络中链路l收取的价格μl[t],计算得到应支付给服务提供者p的实际价格γps[t];Step 8: According to the price λ s [t] paid by the service requester to the network and the price μ l [t] charged by the link l in the IP network, the actual price γ ps [ t];
式中,L(p,s)是从服务提供者p到服务请求者s的路径,该路径是链路集合L的非空子集;价格γps[t]是服务请求者s支付给网络的价格λs[t]与从服务提供者p到服务请求者s的传输路径收取的价格之差;where L(p,s) is the path from the service provider p to the service requester s, which is a non-empty subset of the link set L; the price γ ps [t] is what the service requester s pays to the network The price λs [t] and the price charged for the transmission path from the service provider p to the service requester s Difference;
步骤9,服务提供者p根据为每一个服务请求者s分配的带宽xps[t],及每一个服务请求者s支付给服务提供者p的价格γps[t],计算得到服务提供者p的期望价格ξp[t];
式中,S(p)是服务提供者p提供下载业务的所有服务请求者的集合;xps[t]是服务提供者p为服务请求者s分配的带宽;γps[t]是服务请求者s支付给服务提供者p的实际价格;Cp是服务提供者p的上传带宽;In the formula, S(p) is the set of all service requesters that the service provider p provides download services; x ps [t] is the bandwidth allocated by the service provider p to the service requester s; γ ps [t] is the service request is the actual price paid by s to service provider p; C p is the upload bandwidth of service provider p;
步骤10,服务提供者p根据为每一个服务请求者s分配的带宽xps[t],及每一个服务请求者s支付给服务提供者p的价格γps[t],及服务提供者p的期望价格ξp[t],调整t+1时刻为服务请求者s分配的带宽xps[t+1]
式中,α>0是迭代步长;xps[t]是服务提供者p为服务请求者s分配的带宽;是对时刻t带宽分配xps[t]的估值;是对服务提供者p为服务请求者s分配的带宽xps[t+1]的估值;θ是低通滤波因子,且0<θ<1,能够有效消除最优点不唯一而引起的算法波动问题;In the formula, α>0 is the iteration step size; x ps [t] is the bandwidth allocated by the service provider p to the service requester s; is an estimate of the bandwidth allocation x ps [t] at time t; is the estimation of the bandwidth x ps [t+1] allocated by the service provider p to the service requester s; θ is the low-pass filter factor, and 0<θ<1, which can effectively eliminate the algorithm caused by the non-unique optimal point volatility problem;
意味着 mean
若xps[t]>0,则 If x ps [t] > 0, then
若xps[t]=0,则 If xps [t]=0, then
步骤11,各个服务提供者p根据步骤3至步骤10迭代直至达到最优点,即服务提供者上传带宽在服务请求者间的最优分配;Step 11, each service provider p iterates according to
步骤12,如果网络中有新的服务提供者或服务请求者加入,或者原有的服务提供者或服务请求者退出,则迭代过程步骤1至步骤10重新进行直至达到新的最优点。
本发明将应用层的带宽分配算法与IP网络中流量控制结合起来。实际上,P2P应用已经成为IP网络资源的最大消耗者,很大程度上超过了Web、E-mail、FTP等的数据流量而成为骨干网络的主要负担,甚至会引起网络拥塞,从而降低和影响其它业务的性能。本专利则将对等网络的带宽公平分配和IP网络链路带宽分配结合起来,实现基于跨层优化的网络带宽公平分配方案,在满足对等网络中节点资源共享和下载的同时,有效控制骨干网中的流量,避免骨干网络拥塞,提高网络性能。The invention combines the bandwidth allocation algorithm of the application layer with the flow control in the IP network. In fact, P2P applications have become the largest consumer of IP network resources, largely exceeding the data traffic of Web, E-mail, FTP, etc. and becoming the main burden on the backbone network, even causing network congestion, thereby reducing and affecting performance of other services. This patent combines the fair bandwidth allocation of the peer-to-peer network with the bandwidth allocation of the IP network link to realize a network bandwidth fair allocation scheme based on cross-layer optimization. While satisfying the node resource sharing and downloading in the peer-to-peer network, it can effectively control the backbone network traffic, avoid backbone network congestion, and improve network performance.
跨层P2P资源分配模型实际上是一个跨层优化问题,同时研究了应用层的流量控制和传输层的拥塞控制两个问题。这里包含了三个不同实体,分别为服务请求者(即客户端)、服务提供者(即服务器)和服务承载者(即链路)。The cross-layer P2P resource allocation model is actually a cross-layer optimization problem, and the flow control of the application layer and the congestion control of the transport layer are studied at the same time. Three different entities are included here, namely the service requester (ie the client), the service provider (ie the server) and the service bearer (ie the link).
跨层P2P资源分配模型为:The cross-layer P2P resource allocation model is:
式中,s是服务请求者(即客户端);p是服务提供者(即服务器);l是网络中的服务承载者(即链路);S是服务请求者的集合;P是服务提供者的集合;L是网络中链路的集合;P(s)是为服务请求者s提供下载业务的服务提供者集合;S(p)是服务提供者p提供下载业务的所有服务请求者的集合;xps是服务请求者s从服务提供者p处获得的带宽,则服务请求者s获得的总带宽就是ys,同时,服务提供者p为所有服务请求者提供的带宽之和不超过其自身的上传带宽Cp;而Cl是链路l的带宽,是0-1函数,若服务提供者p为服务请求者s提供服务时的流量经过链路l,则为1,否则为0;Us(ys)是服务请求者s的效用函数,代表服务请求者s获得下载带宽ys后的满意度,为了实现服务提供者的上传带宽在服务请求者之间的公平分配,这里选择Us(ys)=ws log ys,其中wr描述了服务请求者s愿意支付的费用,该效用函数实现了服务提供者的上传带宽在服务请求者之间分配的比例公平性。In the formula, s is the service requester (ie the client); p is the service provider (ie the server); l is the service bearer (ie the link) in the network; S is the set of service requesters; P is the service provider L is the set of links in the network; P(s) is the set of service providers that provide download services for service requester s; S(p) is the set of all service requesters who provide download services for service provider p Set; x ps is the bandwidth obtained by service requester s from service provider p, then the total bandwidth obtained by service requester s is y s , and at the same time, the sum of bandwidth provided by service provider p for all service requesters does not exceed its own upload bandwidth C p ; and C l is the bandwidth of link l, is a 0-1 function, if the traffic when the service provider p serves the service requester s passes through the link l, then is 1, otherwise is 0; U s (y s ) is the utility function of the service requester s, representing the satisfaction of the service requester s after obtaining the download bandwidth y s , in order to realize the fair distribution of the upload bandwidth of the service provider among the service requesters , here we choose U s (y s )= ws log y s , where wr describes the fee that the service requester s is willing to pay, and the utility function realizes the proportion of the upload bandwidth of the service provider distributed among the service requesters fairness.
在多源下载的P2P业务中,一个服务请求者可以从多个服务提供者处下载同一文件,因此形成了目的地是同一个服务请求者的多个数据流,而每个数据流都有自己的传输路径。为此,定义从服务提供者p到服务请求者s的路径为L(p,s),该路径是链路集合L的非空子集,若链路l在路径L(p,s)上,则l∈L(p,s),否则 In the multi-source download P2P business, a service requester can download the same file from multiple service providers, thus forming multiple data streams destined to the same service requester, and each data stream has its own transmission path. To this end, define the path from service provider p to service requester s as L(p,s), which is a non-empty subset of link set L. If link l is on path L(p,s), but l∈L(p,s), otherwise
这里,最大化所有服务请求者的聚合效用是整个P2P网络的目标,该问题存在服务提供者的上传带宽和网络链路的传输带宽的约束条件,对于上述的效用函数Us(ys)=wslog ys,则该资源分配问题对于变量ys是严格凸优化问题,每个服务请求者s均存在全局最优的聚合带宽值而对于变量xps则不是严格凸优化的,每个服务请求者s会存在多个不同的最优带宽分配 Here, maximizing the aggregated utility of all service requesters is the goal of the entire P2P network. This problem has constraints on the upload bandwidth of the service provider and the transmission bandwidth of the network link. For the above utility function U s (y s ) = w s log y s , then the resource allocation problem is a strictly convex optimization problem for the variable y s , and each service requester s has a globally optimal aggregated bandwidth value For the variable x ps , it is not strictly convex optimization, and there will be multiple different optimal bandwidth allocations for each service requester s
上述资源分配问题的拉格朗日函数为The Lagrangian function of the above resource allocation problem is
式中,λs、νp和μl都是拉格朗日因子,np和ml是松弛变量。此处,拉格朗日因子可解释为网络中单位带宽的价格,则λs是服务请求者s所支付的单位带宽价格,νp是服务提供者p收取的单位带宽价格,μl是链路l收取的单位带宽价格。where λ s , ν p and μ l are Lagrangian factors, and n p and ml are slack variables. Here, the Lagrangian factor can be interpreted as the price per unit bandwidth in the network, then λ s is the unit bandwidth price paid by the service requester s, ν p is the unit bandwidth price charged by the service provider p, and μ l is the chain The price per unit bandwidth charged by the channel.
对上述拉格朗日函数分解可以得到三个子问题:Three sub-problems can be obtained by decomposing the above Lagrangian function:
CLIENT(s)CLIENT(s)
max Us(ys)-λsys max U s (y s )-λ s y s
over ys≥0,s∈Sover y s ≥0, s∈S
SERVER(p)SERVER(p)
over xps≥0,s∈S,p∈Pover x ps ≥0,s∈S,p∈P
LINK(l)LINK(l)
max μl(Cl-ml)max μ l (C l -m l )
over μl≥0,l∈Lover μ l ≥0,l∈L
可以从经济学的角度给出上述三个子问题的实际含义:The practical implications of the above three sub-problems can be given from an economic point of view:
子问题CLIENT(s):由于P2P网络中每个服务请求者都是自私的,都想使得自己的效用达到最大,而效用的大小依赖于它所获得的聚合带宽ys。同时,服务请求者在获得相应带宽时,要支付其使用该带宽的费用。由于λs可以理解为用户支付的每单位带宽的费用,那么Us(ys)-λsys就是服务请求者s获得的收益,即用户获得的效用与支付的费用之间的差值。Sub-problem CLIENT(s): Since each service requester in the P2P network is selfish, it wants to maximize its utility, and the utility depends on the aggregate bandwidth y s it obtains. At the same time, when the service requester obtains the corresponding bandwidth, it has to pay the fee for using the bandwidth. Since λ s can be understood as the fee per unit bandwidth paid by the user, then U s (y s )-λ s y s is the benefit obtained by the service requester s, that is, the difference between the utility obtained by the user and the fee paid .
子问题SERVER(p):λsxps是服务请求者s在获得服务提供者p提供的带宽为xps时而支付的费用。∑l:l∈L(p,s)μl是从服务提供者p到服务请求者s的路径L(p,s)收取的价格,xps∑l:l∈L(p,s)μl就是该路径为服务请求者s承载传输服务而收取的费用。该子问题的实际含义就是,在自身上传带宽一定的前提下,最大化为服务请求者提供文件下载服务而获得的收益。Subproblem SERVER(p): λ s x ps is the fee paid by the service requester s when the bandwidth provided by the service provider p is x ps . ∑ l:l∈L(p,s) μ l is the price charged for the path L(p,s) from service provider p to service requester s, x ps ∑ l:l∈L(p,s) μ l is the fee charged by the path for the service requester s to carry the transport service. The actual meaning of this sub-problem is to maximize the benefits obtained by providing file download services for service requesters under the premise of a certain upload bandwidth.
子问题LINK(l):松弛因子ml是链路l的剩余带宽,则Cl-ml就是已经分配给各个服务请求者s用于传输数据而使用的带宽。由于μl是链路l收取的每单位带宽的价格,因此μl(Cl-ml)就是链路l的收益。Subproblem LINK(l): The relaxation factor m l is the remaining bandwidth of link l, then C l -m l is the bandwidth that has been allocated to each service requester s for data transmission. Since μ l is the price per unit bandwidth charged by link l, μ l (C l −m l ) is the revenue of link l.
收敛性分析Convergence Analysis
收敛性是衡量算法性能的重要指标。本发明首先考虑了2个服务提供者p1、p2,4个服务请求者s1、s2、s3、s4的情形,如图3所示,服务提供者p1、p2的上传带宽分别为20Mbps,25Mbps,IP骨干网络中链路带宽为1000Mbps,服务请求者s1、s2、s3、s4的支付费用分别为5,10,15,20,算法步长α=β=0.05,滤波因子θ=0.2,参数ε=0.01。Convergence is an important indicator to measure the performance of an algorithm. The present invention first considers the situation of two service providers p1, p2 and four service requesters s1, s2, s3, and s4. As shown in FIG. 3, the upload bandwidths of the service providers p1 and p2 are The link bandwidth in the IP backbone network is 1000Mbps, and the payment fees for service requesters s1, s2, s3, and s4 are 5, 10, 15, and 20, respectively. The algorithm step size is α=β=0.05, the filter factor θ=0.2, and the parameter ε =0.01.
本发明分析了服务提供者的上传带宽在服务请求者之间的公平分配,各仿真结果如图4、5、6、7所示,例如在图7中,当迭代次数仅为50次时,算法就已经收敛到了最优点,此时服务提供者p1为服务请求者s4分配的最优带宽为8.1704Mbps,服务提供者p2为服务请求者s4分配的最优带宽为9.8296Mbps,而服务请求者s4获得的最优总带宽为18Mbps。因此,算法能够在有限的迭代次数内有效的收敛到资源分配模型的最优点。The present invention analyzes the fair distribution of the upload bandwidth of the service provider among the service requesters. The simulation results are shown in Figures 4, 5, 6, and 7. For example, in Figure 7, when the number of iterations is only 50, The algorithm has converged to the optimal point. At this time, the optimal bandwidth allocated by the service provider p1 to the service requester s4 is 8.1704Mbps, and the optimal bandwidth allocated by the service provider p2 to the service requester s4 is 9.8296Mbps, while the service requester The optimal total bandwidth obtained by s4 is 18Mbps. Therefore, the algorithm can effectively converge to the optimal point of the resource allocation model within a limited number of iterations.
接下来分析当网络中节点数量增多时算法的性能,此时服务提供者的上传带宽均为20Mbps,服务请求者提供的支付费用均为10,仿真结果如图8所示。可以发现,随着网络规模(网络中服务请求者和服务提供者数量)的增大,算法仍能有效收敛到资源分配模型的最优点。Next, analyze the performance of the algorithm when the number of nodes in the network increases. At this time, the upload bandwidth of the service provider is 20Mbps, and the payment fee provided by the service requester is 10. The simulation results are shown in Figure 8. It can be found that as the network scale (the number of service requesters and service providers in the network) increases, the algorithm can still effectively converge to the optimal point of the resource allocation model.
以上所述的实施例仅仅是对本发明的优选实施方式进行描述,并非对本发明的范围进行限定,在不脱离本发明设计精神的前提下,本领域普通技术人员对本发明的技术方案做出的各种变形和改进,均应落入本发明权利要求书确定的保护范围内。The above-mentioned embodiments are only to describe the preferred embodiments of the present invention, and do not limit the scope of the present invention. On the premise of not departing from the design spirit of the present invention, those of ordinary skill in the art can Such deformations and improvements shall fall within the protection scope determined by the claims of the present invention.
Claims (1)
Priority Applications (1)
| Application Number | Priority Date | Filing Date | Title |
|---|---|---|---|
| CN201710266019.4A CN107172125B (en) | 2017-04-21 | 2017-04-21 | A Fair Bandwidth Allocation Algorithm for Cross-layer P2P Resource Sharing Network |
Applications Claiming Priority (1)
| Application Number | Priority Date | Filing Date | Title |
|---|---|---|---|
| CN201710266019.4A CN107172125B (en) | 2017-04-21 | 2017-04-21 | A Fair Bandwidth Allocation Algorithm for Cross-layer P2P Resource Sharing Network |
Publications (2)
| Publication Number | Publication Date |
|---|---|
| CN107172125A CN107172125A (en) | 2017-09-15 |
| CN107172125B true CN107172125B (en) | 2020-07-28 |
Family
ID=59813876
Family Applications (1)
| Application Number | Title | Priority Date | Filing Date |
|---|---|---|---|
| CN201710266019.4A Active CN107172125B (en) | 2017-04-21 | 2017-04-21 | A Fair Bandwidth Allocation Algorithm for Cross-layer P2P Resource Sharing Network |
Country Status (1)
| Country | Link |
|---|---|
| CN (1) | CN107172125B (en) |
Families Citing this family (2)
| Publication number | Priority date | Publication date | Assignee | Title |
|---|---|---|---|---|
| CN108966252A (en) * | 2018-07-19 | 2018-12-07 | 华北电力大学 | The alliance pricing and bandwidth allocation scheme of media stream in a kind of SDN |
| CN110096337B (en) * | 2019-05-06 | 2021-01-05 | 燕山大学 | Cloud data center resource allocation method and system for enterprise application cloud deployment |
Citations (5)
| Publication number | Priority date | Publication date | Assignee | Title |
|---|---|---|---|---|
| CN101577671A (en) * | 2008-05-07 | 2009-11-11 | 北京启明星辰信息技术股份有限公司 | Method and system for automatically controlling flow of peer-to-peer networking service |
| CN102026276A (en) * | 2010-12-21 | 2011-04-20 | 江苏省邮电规划设计院有限责任公司 | Method for guaranteeing mobile peer-to-peer network stream media service experience quality |
| CN105450738A (en) * | 2015-11-13 | 2016-03-30 | 燕山大学 | Price mechanism-based bandwidth allocation algorithm in P2P file sharing network |
| CN105471997A (en) * | 2015-12-04 | 2016-04-06 | 燕山大学 | Method for controlling flow in P2P file sharing network based on price mechanism |
| CN105721573A (en) * | 2016-02-04 | 2016-06-29 | 燕山大学 | P2P file sharing network bandwidth fairness allocation algorithm based on utility optimization |
Family Cites Families (1)
| Publication number | Priority date | Publication date | Assignee | Title |
|---|---|---|---|---|
| US7796611B2 (en) * | 2004-06-07 | 2010-09-14 | Alcatel | Method for providing efficient multipoint network services |
-
2017
- 2017-04-21 CN CN201710266019.4A patent/CN107172125B/en active Active
Patent Citations (5)
| Publication number | Priority date | Publication date | Assignee | Title |
|---|---|---|---|---|
| CN101577671A (en) * | 2008-05-07 | 2009-11-11 | 北京启明星辰信息技术股份有限公司 | Method and system for automatically controlling flow of peer-to-peer networking service |
| CN102026276A (en) * | 2010-12-21 | 2011-04-20 | 江苏省邮电规划设计院有限责任公司 | Method for guaranteeing mobile peer-to-peer network stream media service experience quality |
| CN105450738A (en) * | 2015-11-13 | 2016-03-30 | 燕山大学 | Price mechanism-based bandwidth allocation algorithm in P2P file sharing network |
| CN105471997A (en) * | 2015-12-04 | 2016-04-06 | 燕山大学 | Method for controlling flow in P2P file sharing network based on price mechanism |
| CN105721573A (en) * | 2016-02-04 | 2016-06-29 | 燕山大学 | P2P file sharing network bandwidth fairness allocation algorithm based on utility optimization |
Also Published As
| Publication number | Publication date |
|---|---|
| CN107172125A (en) | 2017-09-15 |
Similar Documents
| Publication | Publication Date | Title |
|---|---|---|
| CN110099384B (en) | Multi-user and multi-MEC task offloading resource scheduling method based on edge-end collaboration | |
| CN109684075B (en) | Method for unloading computing tasks based on edge computing and cloud computing cooperation | |
| Ndikumana et al. | Collaborative cache allocation and computation offloading in mobile edge computing | |
| CN108990159A (en) | Federated resource distribution method based on layering game in mobile edge calculations system | |
| CN107249218A (en) | Radio Resource and the combined distributing method of cloud resource in a kind of MEC | |
| CN111193615B (en) | A method for selecting edge computing nodes in a mobile edge computing network | |
| CN104023277A (en) | Method of bandwidth allocation of video stream in P2P (Peer to Peer) overlay network based on Nash bargaining solution | |
| CN107172125B (en) | A Fair Bandwidth Allocation Algorithm for Cross-layer P2P Resource Sharing Network | |
| CN111082978A (en) | A utility bandwidth allocation method for SDN network | |
| Li et al. | A scheme of resource allocation for heterogeneous services in peer-to-peer networks using particle swarm optimization | |
| CN102076025A (en) | Stackeberg game-based cognitive network resource allocation method | |
| Li et al. | A mechanism for resource pricing and fairness in peer-to-peer networks | |
| CN110971707B (en) | A distributed service caching method in mobile edge network | |
| Zhu et al. | Stability of a peer-to-peer communication system | |
| CN105471997B (en) | Method for controlling flow in P2P file sharing network based on price mechanism | |
| CN104159128B (en) | A kind of video flowing bandwidth allocation methods based on auction in P2P overlay networks | |
| CN105450738A (en) | Price mechanism-based bandwidth allocation algorithm in P2P file sharing network | |
| Li et al. | An Optimal Resource Allocation Scheme for Elastic Applications in Multipath Networks via Particle Swarm Optimization. | |
| Eger et al. | Resource pricing in peer-to-peer networks | |
| CN105721573B (en) | A P2P File Sharing Network Bandwidth Fair Distribution Method Based on Utility Optimization | |
| Li et al. | A novel bandwidth allocation scheme for elastic and inelastic services in peer-to-peer networks | |
| Li et al. | Utility optimization-based bandwidth allocation for elastic and inelastic services in peer-to-peer networks | |
| CN113613261B (en) | Task unloading and distributing method in edge computing network based on cooperative queue game | |
| Kong et al. | Distributed optimal datacenter bandwidth allocation for dynamic adaptive video streaming | |
| Talebi et al. | A suboptimal network utility maximization approach for scalable multimedia applications |
Legal Events
| Date | Code | Title | Description |
|---|---|---|---|
| PB01 | Publication | ||
| PB01 | Publication | ||
| SE01 | Entry into force of request for substantive examination | ||
| SE01 | Entry into force of request for substantive examination | ||
| GR01 | Patent grant | ||
| GR01 | Patent grant | ||
| TR01 | Transfer of patent right | ||
| TR01 | Transfer of patent right |
Effective date of registration: 20220525 Address after: No. 9, Jiqing Road, Dingshan street, Jiangbei new district, Nanjing, Jiangsu 210000 Patentee after: Zhairenqiao (Nanjing) Network Technology Co.,Ltd. Address before: 066004 No. 438 west section of Hebei Avenue, seaport District, Hebei, Qinhuangdao Patentee before: Yanshan University |





































































