CN106909884B - Hand region detection method and device based on layered structure and deformable part model - Google Patents
Hand region detection method and device based on layered structure and deformable part model Download PDFInfo
- Publication number
- CN106909884B CN106909884B CN201710035087.XA CN201710035087A CN106909884B CN 106909884 B CN106909884 B CN 106909884B CN 201710035087 A CN201710035087 A CN 201710035087A CN 106909884 B CN106909884 B CN 106909884B
- Authority
- CN
- China
- Prior art keywords
- skin color
- area
- model
- hand
- skin
- Prior art date
- Legal status (The legal status is an assumption and is not a legal conclusion. Google has not performed a legal analysis and makes no representation as to the accuracy of the status listed.)
- Active
Links
Images
Classifications
-
- G—PHYSICS
- G06—COMPUTING OR CALCULATING; COUNTING
- G06V—IMAGE OR VIDEO RECOGNITION OR UNDERSTANDING
- G06V40/00—Recognition of biometric, human-related or animal-related patterns in image or video data
- G06V40/10—Human or animal bodies, e.g. vehicle occupants or pedestrians; Body parts, e.g. hands
- G06V40/107—Static hand or arm
- G06V40/113—Recognition of static hand signs
Landscapes
- Engineering & Computer Science (AREA)
- Human Computer Interaction (AREA)
- Physics & Mathematics (AREA)
- General Physics & Mathematics (AREA)
- Multimedia (AREA)
- Theoretical Computer Science (AREA)
- Image Analysis (AREA)
Abstract
本发明公开了一种基于分层结构和可变形部分模型的手部区域检测方法和装置,方法包括以下步骤:步骤1:建立手势图片库;步骤2:从输入的手势图像中检测并分割出人体上半身区域;步骤3:建立肤色模型,提取人体上半身图像中的类肤色区域;步骤4:通过删除二值图中的小面积区域、空洞填充等形态学操作和最小连通区域的长宽比和面积阈值从原始RGB图像分割出类肤色区域;步骤5:将原始图像分割出类肤色区域进行尺寸归一化,提取方向梯度直方图特征,使用支持向量机,建立手部检测模型,然后使用训练好的手部模型检测手部区域。
The invention discloses a method and device for detecting a hand area based on a hierarchical structure and a deformable part model. The method includes the following steps: Step 1: establishing a gesture picture library; Step 2: detecting and segmenting an input gesture image The upper body area of the human body; Step 3: Establish a skin color model, and extract the skin-like area in the upper body image of the human body; Step 4: Delete the small area in the binary image, fill holes and other morphological operations and the aspect ratio of the minimum connected area and The area threshold is used to segment the skin-like region from the original RGB image; Step 5: Segment the original image into a skin-like region for size normalization, extract the directional gradient histogram feature, use the support vector machine to establish a hand detection model, and then use the training Good hand models detect hand regions.
Description
技术领域technical field
本发明涉及计算机视觉中的特定对象检测领域,具体涉及一种基于分层结构和可变形部分模型的手部区域检测方法和装置。The invention relates to the field of specific object detection in computer vision, in particular to a hand area detection method and device based on a hierarchical structure and a deformable part model.
背景技术Background technique
手势作为一种自然交互的通道之一,有重要的研究价值和广泛的应用前景。而手势(静态手势和动态手势)识别和手部跟踪的第一步,也是重要一步,便是将手部区域从图像中分割出来。手部区域分割是手势(静态手势和动态手势)识别和手部跟踪的基础,分割的效果直接影响手势识别或手势跟踪的效果,因此,有必要对其进行研究。As one of the channels of natural interaction, gestures have important research value and broad application prospects. The first and most important step in gesture (static and dynamic) recognition and hand tracking is to segment the hand region from the image. Hand region segmentation is the basis of gesture (static gesture and dynamic gesture) recognition and hand tracking. The effect of segmentation directly affects the effect of gesture recognition or gesture tracking. Therefore, it is necessary to study it.
随着机器人的广泛应用,人机交互技术越来越多地受到人们的重视。基于视觉的手势识别具有交互自然的优点,有广泛的应用前景,是人机交互的重要组成部分[2]。手部检测和分割是手势识别和手势跟踪的基础,分割的效果直接影响手势识别或手势跟踪的效果[3]。With the widespread application of robots, human-computer interaction technology has attracted more and more attention. Vision-based gesture recognition has the advantages of natural interaction, has broad application prospects, and is an important part of human-computer interaction [2] . Hand detection and segmentation are the basis of gesture recognition and gesture tracking, and the effect of segmentation directly affects the effect of gesture recognition or gesture tracking [3] .
人与机器人交互过程中,机器人上安装的视频采集设备与人体有一定距离时,采集的照片包含人体全身。由于此类图片存在大量背景,手部区域只是图片中很小的一部分,如何从大量背景区域检测到手部,并将其分割出来,从而为手势识别奠定基础,是值得研究的问题。During the interaction between humans and robots, when the video capture device installed on the robot is at a certain distance from the human body, the captured photos include the entire body of the human body. Since there are a lot of backgrounds in such pictures, the hand area is only a very small part of the picture. How to detect the hand from a large number of background areas and segment it, so as to lay the foundation for gesture recognition, is a problem worth studying.
发明内容SUMMARY OF THE INVENTION
本发明的目的是为了解决上述问题,提出一种适用于复杂背景下,包含人体全身的手势图像,基于分层结构和可变形部分模型的手部区域检测方法,可以快速准确地检测手势图像中的手部区域。The purpose of the present invention is to solve the above problems, and propose a hand area detection method based on a hierarchical structure and a deformable part model, which is suitable for gesture images containing the whole body of the human body in a complex background, which can quickly and accurately detect the gesture images in the gesture images. hand area.
一种基于分层结构和可变形部分模型的手部区域检测方法,包括以下步骤:A hand region detection method based on hierarchical structure and deformable part model, comprising the following steps:
步骤1:建立手势图片库;Step 1: Create a gesture picture library;
手势图片库包含:y名测试者,预定义x种手势种类,每种手势两只手轮流做,每只手的手势分别在三种距离下拍摄,三种距离分别为照相机距被拍摄人d1m、d2m和d3m,每个人同种距离拍摄三次,分别使人在图像中央、左边和右边,在n种环境下拍摄;The gesture image library includes: y testers, pre-defined x types of gestures, each gesture is performed by two hands in turn, and the gestures of each hand are captured at three distances, the three distances are the distance between the camera and the person being photographed d. 1 m, d 2 m and d 3 m, each person was shot three times at the same distance, and the person was in the center, left and right of the image, and shot in n kinds of environments;
步骤2:从输入的手势图像中检测并分割出人体上半身区域;Step 2: Detect and segment the upper body region of the human body from the input gesture image;
首先,对提取的图像进行双边滤波,然后提取脸部、脖子、肩膀、胳膊肘和手部的Haar小波特征,使用Viola-Jones检测器,级联分类器训练得到人体上半身模型,然后使用训练好的人体上半身模型检测人体上半身区域;First, perform bilateral filtering on the extracted images, then extract the Haar wavelet features of the face, neck, shoulders, elbows and hands, use the Viola-Jones detector, and cascade the classifier to train the upper body model of the human body, and then use the trained The upper body model of the human body detects the area of the upper body of the human body;
步骤3:建立肤色模型,提取人体上半身图像中的类肤色区域;Step 3: establish a skin color model, and extract the skin color-like area in the upper body image of the human body;
步骤4:通过删除二值图中的小面积区域、空洞填充等形态学操作和最小连通区域的长宽比和面积阈值从原始RGB图像分割出类肤色区域;Step 4: Segment the skin-like area from the original RGB image by deleting morphological operations such as small area area and hole filling in the binary image, and the aspect ratio and area threshold of the minimum connected area;
步骤5:将原始图像上分割出类肤色区域进行尺寸归一化,将其作为可变形部分模型的输入,使用可变形部分模型训练手部模型,进而使用训练好的手部模型检测手部区域;其中,可变形部分模型采用HOG特征。Step 5: Segment the skin-like area on the original image for size normalization, use it as the input of the deformable part model, use the deformable part model to train the hand model, and then use the trained hand model to detect the hand area ; Among them, the deformable part model adopts HOG feature.
一种基于分层结构和可变形部分模型的手部区域检测装置,包括手势库模块、人体检测模块、肤色检测模块、区域调整模块和手部检测模块;A hand area detection device based on a hierarchical structure and a deformable part model, comprising a gesture library module, a human body detection module, a skin color detection module, an area adjustment module and a hand detection module;
手势库模块用于提供手势图片;The gesture library module is used to provide gesture pictures;
人体检测模块对输入的复杂背景下人体全身手势图像进行双边滤波后,然后提取脸部、脖子、肩膀、胳膊肘和手部的Haar小波特征,使用Viola-Jones检测器,级联分类器训练得到人体上半身模型,然后使用训练好的人体上半身模型检测人体上半身区域;The human body detection module performs bilateral filtering on the input complex background human body gesture images, and then extracts the Haar wavelet features of the face, neck, shoulders, elbows and hands, using the Viola-Jones detector and cascade classifier training to obtain Human upper body model, and then use the trained human upper body model to detect the upper body region of the human body;
肤色检测模块对人体检测模块检测出的人体上半身区域后,提取满足肤色模型的类肤色区域;The skin color detection module extracts the skin color-like area that satisfies the skin color model after the upper body area of the human body detected by the human body detection module;
区域调整模块将肤色检测模块检测到的类肤色区域,经过删除二值图中最小面积区域、填充空洞形态学操作、最小连通区域的长宽比和面积阈值,调整肤色检测的结果,将类肤色区域从原始RGB图像中分割出来;The area adjustment module adjusts the skin color detection result by deleting the minimum area area in the binary image, filling the cavity morphological operation, the aspect ratio and area threshold of the minimum connected area, and adjusting the skin color detection result. Regions are segmented from the original RGB image;
手部检测模块将区域调整模块分割出的类肤色区域进行尺寸归一化,将其作为可变形部分模型的输入,使用可变形部分模型训练手部模型,进而使用训练好的手部模型检测手部区域;其中,可变形部分模型采用HOG特征。The hand detection module normalizes the size of the skin-like region segmented by the region adjustment module, takes it as the input of the deformable part model, uses the deformable part model to train the hand model, and then uses the trained hand model to detect the hand. part region; among them, the deformable part model adopts HOG feature.
本发明的优点在于:The advantages of the present invention are:
(1)本发明所述基于分层结构和可变形部分模型的手部区域检测方法,基于ROS(Robot Operating Syestem,机器人操作系统),移植性好,可用于多种机器人系统;(1) The hand region detection method based on the layered structure and the deformable part model of the present invention is based on ROS (Robot Operating System, robot operating system), has good portability, and can be used in a variety of robot systems;
(2)本发明所述基于分层结构和可变形部分模型的手部区域检测方法,采用筛选策略,分层结构,逐层缩小区域,计算量较少。即,先检测出人体上半身区域,然后再使用肤色条件过滤出类肤色区域,并对其进行区域调整,接下来训练手部的可变形部分模型,并用训练好的手部可变形部分模型检测手部区域;(2) The hand area detection method based on the layered structure and the deformable part model of the present invention adopts a screening strategy, a layered structure, and reduces the area layer by layer, and requires less calculation. That is, the upper body region of the human body is detected first, and then the skin color-like region is filtered out using the skin color condition, and the region is adjusted. Next, the deformable part model of the hand is trained, and the trained hand deformable part model is used to detect the hand Ministry area;
(3)本发明所述基于分层结构和可变形部分模型的手部区域检测方法,采用分层结构,先检测出人体上半身区域,在一定程度上减少复杂环境对手部区域检测的影响;第二层检测人体上半身中的肤色,去除非肤色区域;第三层调整检测到的肤色区域,第四层检测手部。(3) The hand area detection method based on the layered structure and the deformable part model of the present invention adopts the layered structure to first detect the upper body area of the human body, thereby reducing the influence of the complex environment on the detection of the hand area to a certain extent; The second layer detects the skin color in the upper body of the human body, and removes the non-skin color area; the third layer adjusts the detected skin color area, and the fourth layer detects the hand.
(4)本发明提出一种基于肤色模型的手部检测方法,先通过肤色进行粗检测,去除非肤色区域,减少计算量,然后,对检测到的肤色区域,提取方向梯度直方图特征,使用支持向量机建立手部检测模型。(4) The present invention proposes a hand detection method based on a skin color model. First, the skin color is used for rough detection, and the non-skin color area is removed to reduce the amount of calculation. Then, for the detected skin color area, the directional gradient histogram feature is extracted, using Support vector machines to build hand detection models.
(5)本发明提出一种基于RGB-YCbCr色彩空间显式阈值与高斯模型相结合的肤色模型,该模型综合使用RGB-YCbCr显式阈值与统计学模型,可更好检测肤色区域。其中,RGB-YCbCr色彩空间使用阈值综合考虑经验阈值与样本计算阈值相结合的方法。(5) The present invention proposes a skin color model based on the combination of RGB-YCbCr color space explicit threshold and Gaussian model. The model comprehensively uses RGB-YCbCr explicit threshold and statistical model to better detect skin color regions. Among them, the RGB-YCbCr color space uses the threshold value to comprehensively consider the combination of the empirical threshold value and the sample calculation threshold value.
(6)本发明所述基于ROS的模块化手部区域检测装置,采用定制式设计、模块化结构,各模块功能相对独立,用户可根据需要增加、删除或调换某些模块,提高了本发明的通用性。(6) The ROS-based modular hand area detection device of the present invention adopts a customized design and a modular structure, and the functions of each module are relatively independent. Users can add, delete or exchange some modules according to their needs, which improves the generality.
附图说明Description of drawings
图1为本发明提供的基于分层结构和可变形部分模型的手部区域检测方法流程图;Fig. 1 is the flow chart of the hand area detection method based on the layered structure and the deformable part model provided by the present invention;
图2为本发明提供的基于分层结构和可变形部分模型的手部区域检测装置;Fig. 2 is the hand area detection device based on layered structure and deformable part model provided by the present invention;
图3为本发明提供的手势库中的12种手势图像;Fig. 3 is 12 kinds of gesture images in the gesture library provided by the present invention;
图4为本发明实施实例使用的一张手势库中的照片;4 is a photo in a gesture library used in an example of the present invention;
图5为本发明实施实例中人体上半身区域的检测结果;Fig. 5 is the detection result of the upper body region of the human body in the embodiment of the present invention;
图6为本发明实施例步骤1的检测结果;其中,(a)为环境1中的物体,(b)为环境2中的物体,(c)为人体上半身区域;Fig. 6 is the detection result of the embodiment of the present invention step 1; wherein, (a) is the object in the environment 1, (b) is the object in the environment 2, (c) is the upper body area of the human body;
图7为本发明实施实例中填充空洞的结果;FIG. 7 is the result of filling voids in an embodiment of the present invention;
图8为本发明实施实例中标记最小连通区域的结果;Fig. 8 is the result of marking the minimum connected area in the embodiment of the present invention;
图9为本发明实施实例中类肤色区域检测结果;Fig. 9 is the skin color region detection result in the embodiment of the present invention;
图10为本发明实施实例中类肤色区域分割结果。FIG. 10 is a result of segmentation of skin-like regions in an embodiment of the present invention.
具体实施方式Detailed ways
下面将结合附图和实施例对本发明作进一步的详细说明。The present invention will be further described in detail below in conjunction with the accompanying drawings and embodiments.
本发明提供一种基于分层结构和可变形部分模型的手部区域检测方法,具体包括以下步骤,如图1所示:The present invention provides a hand region detection method based on a hierarchical structure and a deformable part model, which specifically includes the following steps, as shown in FIG. 1 :
步骤1:建立手势图片库;Step 1: Create a gesture picture library;
由于本发明基于机器人背景,手势检测为操作者使用手势控制机器人运动打下坚实基础。因此,本发明手势图片库包含:y名测试者,预定义x种手势种类,每种手势分别在三种距离(照相机分别距被拍摄人d1m,d2m和d3m)下拍摄,每个人每只手同种距离拍摄三次,分别使人在图像中央、左边和右边,在实验室和走廊两种环境下拍摄,如图3所示,采集的照片数共:2×3×3×2xy=36xy。图3为本发明手势图片库中提供的部分手势图像;图4本发明手势图片库中提供的同一种手势两只手在不同距离、不同位置的照片;图5为本发明实施实例使用的一张手势库中的照片;Since the present invention is based on the robot background, gesture detection lays a solid foundation for the operator to use gestures to control the movement of the robot. Therefore, the gesture picture library of the present invention includes: y testers, pre-defined x gesture types, and each gesture is taken at three distances (the camera is respectively d 1 m, d 2 m and d 3 m away from the person to be photographed) , each person shoots three times at the same distance with each hand, making the person in the center, left and right of the image to shoot in two environments, laboratory and corridor, as shown in Figure 3, the total number of photos collected: 2 × 3 × 3x2xy=36xy. 3 is a part of gesture images provided in the gesture picture library of the present invention; FIG. 4 is a photo of two hands of the same gesture at different distances and different positions provided in the gesture picture library of the present invention; photos from the gesture library;
步骤2:从输入的手势图像中检测并分割出人体上半身区域;Step 2: Detect and segment the upper body region of the human body from the input gesture image;
首先,对提取的图像进行双边滤波,然后提取脸部、脖子、肩膀、胳膊肘和手部的Haar小波特征,使用Viola-Jones检测器,级联分类器训练得到人体上半身模型,然后使用训练好的人体上半身模型检测人体上半身区域。该模型的优点是使用了人体形态学的先验知识:局部上下文信息,检测人体上半身的鲁棒性较强。First, perform bilateral filtering on the extracted images, then extract the Haar wavelet features of the face, neck, shoulders, elbows and hands, use the Viola-Jones detector, and cascade the classifier to train the upper body model of the human body, and then use the trained The upper body model of the human body detects areas of the upper body of the human body. The advantage of this model is that it uses the prior knowledge of human morphology: local context information, and it is more robust to detect the upper body of the human body.
步骤3:建立肤色模型,提取人体上半身图像中的类肤色区域。Step 3: Establish a skin color model, and extract the skin-like areas in the upper body image of the human body.
本发明采用肤色模型的目的,是将肤色检测作为手部检测的预处理,减少手部检测过程中的计算代价。The purpose of using the skin color model in the present invention is to use skin color detection as the preprocessing of hand detection, so as to reduce the computational cost in the process of hand detection.
本发明所用肤色模型综合采用RGB-YCbCr色彩空间显式阈值与高斯模型相结合的方法。其中,显式阈值采用RGB-YCbCr颜色空间的显式阈值,运算速度快。而高斯模型是基于统计的模型,将其结合,可更好检测肤色。The skin color model used in the present invention comprehensively adopts the method of combining the explicit threshold value of the RGB-YCbCr color space with the Gaussian model. Among them, the explicit threshold adopts the explicit threshold of the RGB-YCbCr color space, and the operation speed is fast. The Gaussian model is a statistical-based model, which can be combined to better detect skin color.
具体包括以下步骤:Specifically include the following steps:
综合使用RGB-YCbCr显式阈值和高斯模型,建立肤色模型。The skin color model is established by comprehensively using RGB-YCbCr explicit threshold and Gaussian model.
RGB色彩空间虽然常用,但RGB色彩空间受光线强度影响较大,而肤色在YCbCr色彩空间聚类性较好,肤色与非肤色分布范围交叉区域较小。因此,本发明在RGB和YCbCr色彩空间综合使用显式阈值检测肤色,为了更好检测肤色,同时结合高斯肤色模型,建立本发明所述肤色模型。Although the RGB color space is commonly used, the RGB color space is greatly affected by the light intensity, and the skin color has a good clustering in the YCbCr color space, and the intersection area between the skin color and the non-skin color distribution is small. Therefore, the present invention comprehensively uses an explicit threshold to detect skin color in the RGB and YCbCr color spaces. In order to better detect skin color, a Gaussian skin color model is combined to establish the skin color model of the present invention.
(1)使用RGB颜色空间显式阈值,检测肤色区域。(1) Use an explicit threshold in the RGB color space to detect skin color regions.
提取所建手势库的手部肤色区域,并读取这些肤色像素值,并分析这些像素点RGB三通道间的以下关系:Extract the hand skin color area of the created gesture library, read the skin color pixel values, and analyze the following relationship between the RGB three channels of these pixels:
其中,pR,pG,pB分别为某一像素点R,G,B三通道的像素值;分别为提取手部肤色样本R,G,B三通道的最小值;分别为提取手部肤色样本R,G,B三通道的最大值。Among them, p R , p G , and p B are the pixel values of the three channels of R, G, and B of a certain pixel point; are the minimum values of the three channels of R, G, and B for extracting hand skin color samples; are the maximum values of the R, G, and B channels of the extracted hand skin color samples, respectively.
其中,pR,pG,pB分别为某一像素点R,G,B三通道的像素值;分别为手部肤色样本R-G,R-B,G-B通道差值的最小值;分别为手部肤色样本R-G,R-B,G-B通道差值的最大值。Among them, p R , p G , and p B are the pixel values of the three channels of R, G, and B of a certain pixel point; are the minimum values of the difference between the RG, RB, and GB channels of the skin color samples of the hand; are the maximum values of the channel difference between RG, RB, and GB of the skin color samples of the hand, respectively.
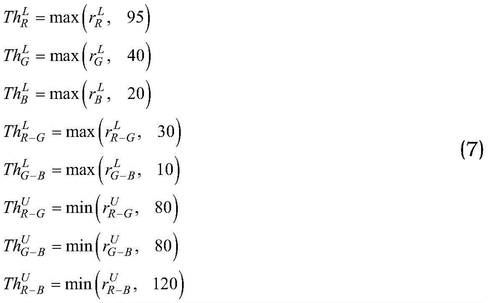
由于文献中,在RGB颜色空间使用的显式肤色阈值如下所示:As in the literature, the explicit skin tone threshold used in the RGB color space is as follows:
文献[4,5]采用公式(5)所示的阈值,References [4, 5] use the threshold shown in formula (5),
文献[6]采用公式(6)的所示阈值,Reference [6] adopts the threshold shown in formula (6),
因此,本发明肤色模型在RGB颜色空间采用公式(7)所示阈值,Therefore, the skin color model of the present invention adopts the threshold shown in formula (7) in the RGB color space,
在RGB颜色空间的肤色像素点Srgb(r,g,b)满足以下公式(8)要求:The skin color pixel S rgb (r, g, b) in the RGB color space satisfies the requirements of the following formula (8):
其中,r(r,g,b)为某像素在RGB色彩空间的值。Among them, r(r,g,b) is the value of a pixel in the RGB color space.
(2)使用YCbCr显式阈值检测肤色。(2) Use YCbCr explicit threshold to detect skin color.
对于YCbCr,其中Y是亮度分量;Cb是指蓝色分量;Cr指红色色度分量。根据文献[7],YCbCr色彩空间可由RGB色彩空间经公式(9)矩阵变换得到,For YCbCr, where Y is the luma component; Cb refers to the blue component; Cr refers to the red chrominance component. According to the literature [7], the YCbCr color space can be obtained by the matrix transformation of the RGB color space by formula (9),
根据文献[8],肤色区域在YCbCr颜色空间满足的阈值为:According to the literature [8], the threshold that the skin color area satisfies in the YCbCr color space is:
(80≤Cb≤120)∩(133≤Cr≤173)(10)(80≤Cb≤120)∩(133≤Cr≤173)(10)
由经公式(9)可得到其中,分别为提取手部肤色样本Y,Cb,Cr分量的最小值;分别为提取手部肤色样本Y,Cb,Cr分量的最大值。Depend on It can be obtained by formula (9) in, are the minimum values of the Y, Cb, and Cr components of the extracted hand skin color samples, respectively; are the maximum values of the Y, Cb, and Cr components of the extracted hand skin color samples, respectively.
在YCbCr色彩空间,满足肤色条件的区域Sycbcr(cb,cr)满足公式(12)的条件,In the YCbCr color space, the area S ycbcr (cb,cr) that satisfies the skin color condition satisfies the condition of formula (12),
其中,分别为肤色像素在YCbCr颜色空间,Cb通道的最低阈值,最高阈值,Cr通道的最低阈值,最高阈值。c(cb,cr)为某像素在YCbCr色彩空间中Cb,Cr分量的值。in, Respectively, in the YCbCr color space of the skin color pixel, the lowest threshold and the highest threshold of the Cb channel, the lowest threshold and the highest threshold of the Cr channel. c(cb,cr) is the value of the Cb and Cr components of a pixel in the YCbCr color space.
(3)建立高斯肤色模型进行肤色检测(3) Establish a Gaussian skin color model for skin color detection
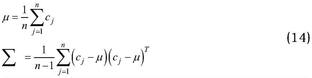
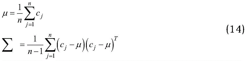
由于肤色像素在YCbCr色彩空间的统计分布,可近似看作高斯分布。因此,在YCbCr色彩空间建立高斯肤色模型,并使用建立的高斯肤色模型进行肤色检测。Due to the statistical distribution of skin color pixels in the YCbCr color space, it can be approximated as a Gaussian distribution. Therefore, a Gaussian skin color model is established in the YCbCr color space, and the established Gaussian skin color model is used for skin color detection.
具体包括以下两个步骤:Specifically, it includes the following two steps:
步骤a:首先,手工剪裁出本发明构造手势图片库中的手部肤色样本,利用公式(9),将肤色像素从RGB转换到YCbCr色彩空间后,并对其进行统计分析,通过椭圆高斯联合概率密度函数(pdf),贝叶斯最大似然估计得到高斯模型的均值μ(μcbμcr)和协方差∑(∑cb∑cr)。Step a: First, manually cut out the hand skin color sample in the hand gesture picture library of the present invention, and use formula (9) to convert the skin color pixels from RGB to YCbCr color space, and perform statistical analysis on it, through ellipse Gaussian joint. Probability density function (pdf), Bayesian maximum likelihood estimation to obtain the mean μ(μ cb μ cr ) and covariance ∑(∑ cb ∑ cr ) of the Gaussian model.
椭圆高斯联合概率密度函数如下所示:The elliptic Gaussian joint probability density function looks like this:
其中,c为肤色向量,μ为均值向量,∑为协方差矩阵。Among them, c is the skin color vector, μ is the mean vector, and ∑ is the covariance matrix.
其中,in,
手工剪裁出本发明构造手势图片库中的手部肤色样本由RGB转换到YCbCr色彩空间后(cj),通过贝叶斯最大似然估计可得到参数μ(μcb μcr)和∑(∑cb ∑cr)。After the hand skin color samples in the hand gesture image library constructed by the present invention are manually cut out and converted from RGB to YCbCr color space (c j ), parameters μ(μ cb μ cr ) and ∑ (∑ (∑) can be obtained through Bayesian maximum likelihood estimation. cb ∑ cr ).
步骤b:计算所给像素点与肤色相似的程度,即肤色似然度,进而可得到待检测图像的最大肤色似然度,两者的比值即为肤色概率值,由此得到肤色似然图,再对肤色似然图进行阈值化,以便将肤色区域分割出来。Step b: Calculate the degree of similarity between the given pixel and the skin color, that is, the skin color likelihood, and then obtain the maximum skin color likelihood of the image to be detected, and the ratio of the two is the skin color probability value, thereby obtaining the skin color likelihood map. , and then threshold the skin color likelihood map to segment the skin color region.
肤色的灰度分布可近似用一维高斯曲线拟合,CbCr空间的波峰区域是肤色部分,其他分布较少的是非肤色部分。利用这种对应关系,用像素点的肤色相似度作为对应像素点灰度值的权值,建立肤色模型。The gray distribution of skin color can be approximated by a one-dimensional Gaussian curve fitting, the peak area of the CbCr space is the skin color part, and the other less distributed parts are the non-skin color part. Using this correspondence, the skin color model is established by using the similarity of the skin color of the pixel as the weight of the gray value of the corresponding pixel.
根据建立的高斯肤色模型,计算待测矢量c(Cb,Cr)与肤色的似然度D(Cb,Cr),计算公式如下:According to the established Gaussian skin color model, calculate the likelihood D(Cb, Cr) between the vector to be measured c(Cb, Cr) and the skin color, and the calculation formula is as follows:
D(Cb,Cr)=exp[-0.5(c-μ)T∑-1(c-μ)] (16)D(Cb,Cr)=exp[-0.5(c-μ) T ∑ -1 (c-μ)] (16)
相似度D计算出来后,可得到待检测图像的最大肤色似然度,两者的比值为肤色概率值,由此,可得到肤色似然图,再对其阈值化后得到肤色图像的二值图。After the similarity D is calculated, the maximum skin color likelihood of the image to be detected can be obtained, and the ratio of the two is the skin color probability value. From this, the skin color likelihood map can be obtained, and then thresholded to obtain the binary value of the skin color image. picture.
本发明肤色模型中的肤色区域Sskin为满足肤色高斯模型Sg(Cb,Cr)、YCbCr显式阈值Sycbcr(cb,cr)和RGB显式阈值Srgb(r,g,b)的交集,即The skin color area S skin in the skin color model of the present invention is the intersection that satisfies the skin color Gaussian model S g (Cb, Cr), the YCbCr explicit threshold S ycbcr (cb, cr) and the RGB explicit threshold S rgb (r, g, b) ,Right now
Sskin=Sg(Cb,Cr)∩Sycbcr(cb,cr)∩Srgb(r,g,b) (17)S skin =S g (Cb,Cr)∩S ycbcr (cb,cr)∩S rgb (r,g,b) (17)
如果某区域同时满足RGB显示阈值、YCbCr显式阈值和肤色高斯模型,则认为该区域是肤色区域。If an area satisfies the RGB display threshold, the YCbCr explicit threshold and the skin color Gaussian model at the same time, the area is considered to be a skin color area.
满足肤色模型的区域进入步骤4,对其进行形态学处理。不满足要求的图像,不进行处理。The regions that satisfy the skin color model go to step 4, and perform morphological processing on them. Images that do not meet the requirements are not processed.
步骤4:通过删除二值图中的小面积区域、空洞填充等形态学操作和最小连通区域的长宽比和面积阈值从原始RGB图像分割出类肤色区域。Step 4: Segment the skin-like region from the original RGB image by removing morphological operations such as small-area areas and hole filling in the binary image, and the aspect ratio and area threshold of the minimum connected area.
对满足肤色条件的区域进行形态学处理和区域调整,包括:删除二值图中的小面积区域、填充空洞、标记最小连通区域、根据最小连通区域的长宽比和面积阈值,在原始图像上分割出类肤色区域。Morphological processing and area adjustment are performed on the areas that meet the skin color conditions, including: deleting small areas in the binary image, filling holes, marking the smallest connected area, and according to the aspect ratio and area threshold of the smallest connected area, on the original image Segment the skin-like regions.
步骤5:将原始图像上分割出类肤色区域(即步骤4得到的结果)进行尺寸归一化,将其作为可变形部分模型的输入,使用可变形部分模型训练手部模型,进而使用训练好的手部模型检测手部区域。其中,可变形部分模型采用Pedro F.Felzenszwalb等[9]使用的HOG 特征,潜在支持向量机分类器训练的多尺度可变形模板进行手部检测。Step 5: Normalize the size of the skin-like region (that is, the result obtained in step 4) from the original image, use it as the input of the deformable part model, use the deformable part model to train the hand model, and then use the trained model. The hand model detects the hand region. Among them, the deformable part model adopts the HOG feature used by Pedro F. Felzenszwalb et al. [9], and the multi-scale deformable template trained by the latent support vector machine classifier is used for hand detection.
步骤5包括模型训练和手部检测两部分,具体如下所示:Step 5 includes two parts, model training and hand detection, as follows:
(1)模型训练(1) Model training
步骤4分割出来肤色区域进行归一化后,作为训练样本。其中,训练样本包含正样本和负样本,具体来说,正样本为包含手部区域的照片,负样本为不包含手部区域的照片。将标注后的正负样本信息作为可变形部分模型的输入,使用可变形部分模型[9]训练手部检测模型,生成用户需要的手部检测模型。Step 4 The skin color region is segmented and normalized as a training sample. Among them, the training samples include positive samples and negative samples. Specifically, the positive samples are photos that include the hand region, and the negative samples are photos that do not include the hand region. The labeled positive and negative sample information is used as the input of the deformable part model, and the deformable part model [9] is used to train the hand detection model to generate the hand detection model required by the user.
(2)使用可变形部分模型检测手部区域(2) Detect hand region using deformable part model
步骤3分割出来肤色区域进行归一化后,使用步骤(1)训练好的可变形部分模型检测手部区域。Step 3 After the skin color area is segmented and normalized, the deformable part model trained in step (1) is used to detect the hand area.
一种基于分层结构和可变形部分模型的手部区域检测装置,如图2所示,包括手势库模块、人体检测模块、肤色检测模块、区域调整模块和手部检测模块;A hand area detection device based on a hierarchical structure and a deformable part model, as shown in Figure 2, includes a gesture library module, a human body detection module, a skin color detection module, an area adjustment module and a hand detection module;
手势库模块用于提供手势图片;The gesture library module is used to provide gesture pictures;
人体检测模块对输入的复杂背景下人体全身手势图像进行双边滤波后,然后提取脸部、脖子、肩膀、胳膊肘和手部的Haar小波特征,使用Viola-Jones检测器,级联分类器训练得到人体上半身模型,然后使用训练好的人体上半身模型检测人体上半身区域;The human body detection module performs bilateral filtering on the input complex background human body gesture images, and then extracts the Haar wavelet features of the face, neck, shoulders, elbows and hands, using the Viola-Jones detector and cascade classifier training to obtain Human upper body model, and then use the trained human upper body model to detect the upper body region of the human body;
肤色检测模块对人体检测模块检测出的人体上半身区域后,提取满足肤色模型的类肤色区域;The skin color detection module extracts the skin color-like area that satisfies the skin color model after the upper body area of the human body detected by the human body detection module;
区域调整模块将肤色检测模块检测到的类肤色区域,经过删除二值图中最小面积区域、填充空洞形态学操作、最小连通区域的长宽比和面积阈值,调整肤色检测的结果,将类肤色区域从原始RGB图像中分割出来;The area adjustment module adjusts the skin color detection result by deleting the minimum area area in the binary image, filling the cavity morphological operation, the aspect ratio and area threshold of the minimum connected area, and adjusting the skin color detection result. Regions are segmented from the original RGB image;
手部检测模块将区域调整模块分割出的类肤色区域进行尺寸归一化,将其作为可变形部分模型的输入,使用可变形部分模型训练手部模型,进而使用训练好的手部模型检测手部区域;其中,可变形部分模型采用HOG特征。The hand detection module normalizes the size of the skin-like region segmented by the region adjustment module, takes it as the input of the deformable part model, uses the deformable part model to train the hand model, and then uses the trained hand model to detect the hand. part region; among them, the deformable part model adopts HOG feature.
本发明针对人体全身手势图像,采用分层结构检测手部,去除复杂背景,在第一层,检测包含人脸的人体上半身区域。经过第一层的人体上半身区域检测,去除复杂背景的影响,第二层手部检测所面临的图片检测区域将显著减少。Aiming at the whole body gesture image of the human body, the present invention adopts a layered structure to detect the hand, removes the complex background, and detects the upper body region of the human body including the human face in the first layer. After the detection of the upper body area of the human body in the first layer, the influence of the complex background is removed, and the image detection area faced by the second layer of hand detection will be significantly reduced.
在第二层,基于已检测出的人体上半身图像,通过肤色模型检测类肤色区域;In the second layer, based on the detected image of the upper body of the human body, the skin-color-like region is detected by the skin-color model;
在第三层,通过形态学操作,最小连通区域的长宽比限制和面积阈值,调整检测出的类肤色区域;In the third layer, through morphological operations, the aspect ratio limit of the minimum connected region and the area threshold, the detected skin-like regions are adjusted;
在第四层,将检测出的类肤色区域进行归一化后,使用可变形部分模型检测手部区域。In the fourth layer, after normalizing the detected skin-like regions, the deformable part model is used to detect hand regions.
实施例:Example:
本发明提供一种基于分层结构和可变形部分模型的手部区域检测方法,如图1所示,所述基于分层结构和可变形部分模型的手部区域检测方法,基于Linux Ubuntu 12.04上安装的Robot Operating System(ROS)的hydro版本。将本发明的基于分层结构和可变形部分模型的手部区域检测方法抽象为ROS的一个结点(node),该结点通过ROS中话题(topic)和消息(message)与其他结点(如,控制机器人腿部运动的结点)通信。The present invention provides a hand area detection method based on a layered structure and a deformable part model, as shown in FIG. 1 , the hand area detection method based on a layered structure and a deformable part model is based on Linux Ubuntu 12.04 Installed the hydro version of Robot Operating System (ROS). The hand region detection method based on the hierarchical structure and the deformable part model of the present invention is abstracted as a node (node) of ROS, which communicates with other nodes (topic) and message (message) in ROS through For example, nodes that control the movement of the robot's legs) communication.
本发明实施实例以图5作为输入图像,检测手部区域。图5为手势库中的一张照片。由图5可知,该图像为复杂背景(并且人体背后有类肤色背景)人体全身照。The embodiment of the present invention uses FIG. 5 as the input image to detect the hand region. Figure 5 is a photo in the gesture library. It can be seen from FIG. 5 that the image is a full-body photograph of a human body with a complex background (and there is a skin-like background behind the human body).
本发明提供一种基于ROS的模块化手部区域检测方法,如图1所示,具体包括以下步骤:The present invention provides a ROS-based modular hand region detection method, as shown in Figure 1, which specifically includes the following steps:
步骤1:从输入的手势图像中检测并分割出人体上半身区域;Step 1: Detect and segment the upper body region of the human body from the input gesture image;
首先,对提取的图像进行双边滤波,然后采用提取脸部、脖子、肩膀、胳膊和手部的Haar小波特征,基于Viola-Jones检测器框架,使用级联分类器瀑布式算法训练得到人体上半身模型,然后使用训练好的人体上半身模型检测人体上半身区域。该模型的优点是使用了脸、脖子、肩膀、胳膊和手部相连的局部上下文信息,检测人体上半身的鲁棒性较强。First, bilateral filtering is performed on the extracted images, and then the Haar wavelet features of the face, neck, shoulders, arms and hands are extracted. Based on the Viola-Jones detector framework, the cascaded classifier waterfall algorithm is used to train the upper body model of the human body. , and then use the trained human upper body model to detect the upper body region of the human body. The advantage of this model is that it uses the local context information connected to the face, neck, shoulders, arms and hands, and is more robust to detect the upper body of the human body.
采用步骤1的方法以本发明自建手势图片库中的照片为实施实例,实施实例使用图片如图4所示,但同时存在一定误检测,即,除了检测出人体上半身区域,如图6(c),还把环境中一些物体,如图6中的(a)和(b),检测出来。但相比原图像(即图5),大大缩小了手部候选区域,减少了计算量。Adopt the method of step 1 to take the photos in the self-built gesture picture library of the present invention as an implementation example, and the pictures used in the implementation example are shown in Figure 4, but there is a certain false detection at the same time, that is, except for the detection of the upper body region of the human body, as shown in Figure 6 ( c), and also detect some objects in the environment, such as (a) and (b) in Figure 6. However, compared with the original image (ie, Figure 5), the hand candidate area is greatly reduced and the amount of calculation is reduced.
步骤2:使用RGB-YCbCr色彩空间显式阈值与高斯模型相结合的肤色模型,提取人体上半身图像中的类肤色区域;Step 2: Use the skin color model combining the explicit threshold of the RGB-YCbCr color space and the Gaussian model to extract the skin-like area in the upper body image of the human body;
步骤3:通过删除二值图中的小面积区域、空洞填充等形态学操作和最小连通区域的长宽比和面积阈值从原始RGB图像分割出类肤色区域。Step 3: Segment the skin-like region from the original RGB image by removing morphological operations such as small-area areas and hole filling in the binary image, and the aspect ratio and area threshold of the minimum connected area.
对满足肤色条件的区域进行形态学处理和区域调整,包括:删除二值图中小面积区域、填充空洞、标记最小连通区域、根据最小连通区域的长宽比和面积阈值,在原始图像上分割出类肤色区域。填充空洞后的结果、标记最小连通区域、根据最小连通区域的面积和长宽比检测出类肤色区域,从原始图片中分割出类肤色区域,分别如图7、图8、图9和图10所示。Morphological processing and area adjustment are performed on the areas that meet the skin color conditions, including: deleting small areas in the binary image, filling holes, marking the smallest connected area, and segmenting the original image according to the aspect ratio and area threshold of the smallest connected area. Skin-like areas. The result after filling the hole, mark the minimum connected area, detect the skin-like area according to the area and aspect ratio of the minimum connected area, and segment the skin-like area from the original image, as shown in Figure 7, Figure 8, Figure 9 and Figure 10 respectively shown.
步骤4:将从原始图像分割出类肤色区域(即步骤3得到的结果)进行尺寸归一化,如,200*200,使用4.1所述方法训练手部的可变形部分模型,然后,使用训练好的手部可变形部分模型检测手部,即,对步骤3得到的结果进行尺寸归一化后,使用训练好的手部模型,检测手部区域。Step 4: Segment the skin-like region from the original image (that is, the result obtained in step 3) for size normalization, such as 200*200, use the method described in 4.1 to train the deformable part model of the hand, and then use the training method A good deformable part model of the hand detects the hand, that is, after normalizing the size of the result obtained in step 3, the trained hand model is used to detect the hand region.
参考文献:references:
1.Hasan,H.and S.Abdul-Kareem,Human–computer interaction using vision-based hand gesture recognition systems:a survey.Neural Computing andApplications,2014.25(2):p.251-261.1. Hasan, H. and S. Abdul-Kareem, Human–computer interaction using vision-based hand gesture recognition systems: a survey. Neural Computing and Applications, 2014.25(2):p.251-261.
2.Pisharady,P.K.and M.Saerbeck,Recent methods and databases invision-based hand gesture recognition:A review.Computer Vision and ImageUnderstanding,2015.141:p.152-165.2. Pisharady, P.K. and M. Saerbeck, Recent methods and databases invision-based hand gesture recognition: A review. Computer Vision and Image Understanding, 2015.141:p.152-165.
3.Rautaray,S.S.and A.Agrawal,Vision based hand gesture recognitionfor human computer interaction:a survey.Artificial Intelligence Review,2015.43(1):p.1-54.3. Rautaray, S.S. and A. Agrawal, Vision based hand gesture recognition for human computer interaction: a survey. Artificial Intelligence Review, 2015.43(1):p.1-54.
4.Peer,P.and F.Solina,An automatic human face detection method.1999.4. Peer, P. and F. Solina, An automatic human face detection method. 1999.
5.Solina,F.,et al.15seconds of fame-an interactive,computer-visionbased art installation.in Control,Automation,Robotics and Vision,2002.ICARCV2002.7th International Conference on.2002.IEEE.5.Solina,F.,et al.15seconds of fame-an interactive,computer-visionbased art installation.in Control,Automation,Robotics and Vision,2002.ICARCV2002.7th International Conference on.2002.IEEE.
6.Chen,W.-C.and M.-S.Wang,Region-based and content adaptive skindetection in color images.Internationaljournal of pattern recognition andartificial intelligence,2007.21(05):p.831-853.6. Chen, W.-C. and M.-S. Wang, Region-based and content adaptive skindetection in color images. International journal of pattern recognition and artificial intelligence, 2007.21(05): p.831-853.
7.Ban,Y.,et al.,Face detection based on skin color likelihood.PatternRecognition,2014.47(4):p.1573-1585.7. Ban, Y., et al., Face detection based on skin color likelihood. Pattern Recognition, 2014. 47(4): p.1573-1585.
8.Basilio,J.A.M.,et al.,Explicit image detection using YCbCr spacecolor model as skin detection.Applications of Mathematics and ComputerEngineering,2011:p.123-128.8. Basilio, J.A.M., et al., Explicit image detection using YCbCr spacecolor model as skin detection. Applications of Mathematics and Computer Engineering, 2011: p.123-128.
9.Felzenszwalb,P.F.,et al.,Object detection with discriminativelytrained part-based models.IEEE transactions on pattern analysis and machineintelligence,2010.32(9):p.1627-1645.9. Felzenszwalb, P.F., et al., Object detection with discriminatively trained part-based models. IEEE transactions on pattern analysis and machineintelligence, 2010.32(9):p.1627-1645.
Claims (2)
Priority Applications (1)
| Application Number | Priority Date | Filing Date | Title |
|---|---|---|---|
| CN201710035087.XA CN106909884B (en) | 2017-01-17 | 2017-01-17 | Hand region detection method and device based on layered structure and deformable part model |
Applications Claiming Priority (1)
| Application Number | Priority Date | Filing Date | Title |
|---|---|---|---|
| CN201710035087.XA CN106909884B (en) | 2017-01-17 | 2017-01-17 | Hand region detection method and device based on layered structure and deformable part model |
Publications (2)
| Publication Number | Publication Date |
|---|---|
| CN106909884A CN106909884A (en) | 2017-06-30 |
| CN106909884B true CN106909884B (en) | 2020-08-04 |
Family
ID=59207252
Family Applications (1)
| Application Number | Title | Priority Date | Filing Date |
|---|---|---|---|
| CN201710035087.XA Active CN106909884B (en) | 2017-01-17 | 2017-01-17 | Hand region detection method and device based on layered structure and deformable part model |
Country Status (1)
| Country | Link |
|---|---|
| CN (1) | CN106909884B (en) |
Families Citing this family (7)
| Publication number | Priority date | Publication date | Assignee | Title |
|---|---|---|---|---|
| CN107846555A (en) * | 2017-11-06 | 2018-03-27 | 深圳慧源创新科技有限公司 | Automatic shooting method, device, user terminal and computer-readable storage medium based on gesture identification |
| CN110070478B (en) * | 2018-08-24 | 2020-12-04 | 北京微播视界科技有限公司 | Deformation image generation method and device |
| CN110827308A (en) * | 2019-11-05 | 2020-02-21 | 中国医学科学院肿瘤医院 | Image processing method, device, electronic device and storage medium |
| CN111639641B (en) * | 2020-04-30 | 2022-05-03 | 中国海洋大学 | Method and device for acquiring clothing region not worn on human body |
| CN111679737B (en) * | 2020-05-27 | 2022-06-21 | 维沃移动通信有限公司 | Hand segmentation method and electronic device |
| CN112232282A (en) * | 2020-11-04 | 2021-01-15 | 苏州臻迪智能科技有限公司 | Gesture recognition method and device, storage medium and electronic equipment |
| US11488376B2 (en) * | 2021-02-15 | 2022-11-01 | Sony Group Corporation | Human skin detection based on human-body prior |
Citations (3)
| Publication number | Priority date | Publication date | Assignee | Title |
|---|---|---|---|---|
| CN101719015A (en) * | 2009-11-03 | 2010-06-02 | 上海大学 | Method for positioning finger tips of directed gestures |
| CN102142084A (en) * | 2011-05-06 | 2011-08-03 | 北京网尚数字电影院线有限公司 | Method for gesture recognition |
| CN103295021A (en) * | 2012-02-24 | 2013-09-11 | 北京明日时尚信息技术有限公司 | Method and system for detecting and recognizing feature of vehicle in static image |
Family Cites Families (3)
| Publication number | Priority date | Publication date | Assignee | Title |
|---|---|---|---|---|
| WO2012139241A1 (en) * | 2011-04-11 | 2012-10-18 | Intel Corporation | Hand gesture recognition system |
| US9524028B2 (en) * | 2013-03-08 | 2016-12-20 | Fastvdo Llc | Visual language for human computer interfaces |
| CN104680127A (en) * | 2014-12-18 | 2015-06-03 | 闻泰通讯股份有限公司 | Gesture identification method and gesture identification system |
-
2017
- 2017-01-17 CN CN201710035087.XA patent/CN106909884B/en active Active
Patent Citations (3)
| Publication number | Priority date | Publication date | Assignee | Title |
|---|---|---|---|---|
| CN101719015A (en) * | 2009-11-03 | 2010-06-02 | 上海大学 | Method for positioning finger tips of directed gestures |
| CN102142084A (en) * | 2011-05-06 | 2011-08-03 | 北京网尚数字电影院线有限公司 | Method for gesture recognition |
| CN103295021A (en) * | 2012-02-24 | 2013-09-11 | 北京明日时尚信息技术有限公司 | Method and system for detecting and recognizing feature of vehicle in static image |
Non-Patent Citations (2)
| Title |
|---|
| Deformable Part Model Based Hand Detection against Complex Backgrounds;Chunyu Zou;《IGTA 2016:Advances in image and Graphics Technologies》;20160809;第149-159页 * |
| 结合手指检测和HOG特征的分层静态手势识别;刘淑萍 等;《中国图象图形学报》;20150630;第20卷(第6期);第0781-0788页 * |
Also Published As
| Publication number | Publication date |
|---|---|
| CN106909884A (en) | 2017-06-30 |
Similar Documents
| Publication | Publication Date | Title |
|---|---|---|
| CN106909884B (en) | Hand region detection method and device based on layered structure and deformable part model | |
| Kumar et al. | Face detection techniques: a review | |
| Christa et al. | CNN-based mask detection system using openCV and MobileNetV2 | |
| Rahim et al. | Hand gesture recognition based on optimal segmentation in human-computer interaction | |
| US20070009159A1 (en) | Image recognition system and method using holistic Harr-like feature matching | |
| CN104318558B (en) | Hand Gesture Segmentation method based on Multi-information acquisition under complex scene | |
| CN108717524A (en) | It is a kind of based on double gesture recognition systems and method for taking the photograph mobile phone and artificial intelligence system | |
| Kalas | Real time face detection and tracking using OpenCV | |
| WO2019114145A1 (en) | Head count detection method and device in surveillance video | |
| CN106909883A (en) | A kind of modularization hand region detection method and device based on ROS | |
| CN103440035A (en) | Gesture recognition system in three-dimensional space and recognition method thereof | |
| Fang et al. | Real-time hand posture recognition using hand geometric features and fisher vector | |
| CN110046544A (en) | Digital gesture identification method based on convolutional neural networks | |
| Kheirkhah et al. | A hybrid face detection approach in color images with complex background | |
| Mohanty et al. | A new approach to face detection based on YCgCr color model and improved AdaBoost algorithm | |
| CN112464850A (en) | Image processing method, image processing apparatus, computer device, and medium | |
| Fernando et al. | Low cost approach for real time sign language recognition | |
| CN110807391A (en) | Vision-based human gesture command recognition method for human-UAV interaction | |
| CN110348272B (en) | Dynamic face recognition method, device, system and medium | |
| Nikam et al. | Bilingual sign recognition using image based hand gesture technique for hearing and speech impaired people | |
| Hiremath et al. | Detection of multiple faces in an image using skin color information and lines-of-separability face model | |
| Ghadi et al. | An intelligent healthcare monitoring framework for daily assistant living | |
| Singh et al. | Template matching for detection & recognition of frontal view of human face through Matlab | |
| Youlian et al. | Face detection method using template feature and skin color feature in rgb color space | |
| Singh et al. | Indian sign language recognition using color space model and thresholding |
Legal Events
| Date | Code | Title | Description |
|---|---|---|---|
| PB01 | Publication | ||
| PB01 | Publication | ||
| SE01 | Entry into force of request for substantive examination | ||
| SE01 | Entry into force of request for substantive examination | ||
| GR01 | Patent grant | ||
| GR01 | Patent grant |

































































