CN106456608B - 抗her2抗体-美登木素缀合物及其使用方法 - Google Patents
抗her2抗体-美登木素缀合物及其使用方法 Download PDFInfo
- Publication number
- CN106456608B CN106456608B CN201580026355.0A CN201580026355A CN106456608B CN 106456608 B CN106456608 B CN 106456608B CN 201580026355 A CN201580026355 A CN 201580026355A CN 106456608 B CN106456608 B CN 106456608B
- Authority
- CN
- China
- Prior art keywords
- substituted
- sub
- amino acid
- alkyl
- seq
- Prior art date
- Legal status (The legal status is an assumption and is not a legal conclusion. Google has not performed a legal analysis and makes no representation as to the accuracy of the status listed.)
- Active
Links
Images
Classifications
-
- A—HUMAN NECESSITIES
- A61—MEDICAL OR VETERINARY SCIENCE; HYGIENE
- A61K—PREPARATIONS FOR MEDICAL, DENTAL OR TOILETRY PURPOSES
- A61K47/00—Medicinal preparations characterised by the non-active ingredients used, e.g. carriers or inert additives; Targeting or modifying agents chemically bound to the active ingredient
- A61K47/50—Medicinal preparations characterised by the non-active ingredients used, e.g. carriers or inert additives; Targeting or modifying agents chemically bound to the active ingredient the non-active ingredient being chemically bound to the active ingredient, e.g. polymer-drug conjugates
- A61K47/51—Medicinal preparations characterised by the non-active ingredients used, e.g. carriers or inert additives; Targeting or modifying agents chemically bound to the active ingredient the non-active ingredient being chemically bound to the active ingredient, e.g. polymer-drug conjugates the non-active ingredient being a modifying agent
- A61K47/68—Medicinal preparations characterised by the non-active ingredients used, e.g. carriers or inert additives; Targeting or modifying agents chemically bound to the active ingredient the non-active ingredient being chemically bound to the active ingredient, e.g. polymer-drug conjugates the non-active ingredient being a modifying agent the modifying agent being an antibody, an immunoglobulin or a fragment thereof, e.g. an Fc-fragment
- A61K47/6801—Drug-antibody or immunoglobulin conjugates defined by the pharmacologically or therapeutically active agent
- A61K47/6803—Drugs conjugated to an antibody or immunoglobulin, e.g. cisplatin-antibody conjugates
- A61K47/6811—Drugs conjugated to an antibody or immunoglobulin, e.g. cisplatin-antibody conjugates the drug being a protein or peptide, e.g. transferrin or bleomycin
- A61K47/6817—Toxins
- A61K47/6819—Plant toxins
-
- A—HUMAN NECESSITIES
- A61—MEDICAL OR VETERINARY SCIENCE; HYGIENE
- A61K—PREPARATIONS FOR MEDICAL, DENTAL OR TOILETRY PURPOSES
- A61K31/00—Medicinal preparations containing organic active ingredients
- A61K31/33—Heterocyclic compounds
- A61K31/395—Heterocyclic compounds having nitrogen as a ring hetero atom, e.g. guanethidine or rifamycins
- A61K31/535—Heterocyclic compounds having nitrogen as a ring hetero atom, e.g. guanethidine or rifamycins having six-membered rings with at least one nitrogen and one oxygen as the ring hetero atoms, e.g. 1,2-oxazines
-
- A—HUMAN NECESSITIES
- A61—MEDICAL OR VETERINARY SCIENCE; HYGIENE
- A61K—PREPARATIONS FOR MEDICAL, DENTAL OR TOILETRY PURPOSES
- A61K47/00—Medicinal preparations characterised by the non-active ingredients used, e.g. carriers or inert additives; Targeting or modifying agents chemically bound to the active ingredient
- A61K47/50—Medicinal preparations characterised by the non-active ingredients used, e.g. carriers or inert additives; Targeting or modifying agents chemically bound to the active ingredient the non-active ingredient being chemically bound to the active ingredient, e.g. polymer-drug conjugates
- A61K47/51—Medicinal preparations characterised by the non-active ingredients used, e.g. carriers or inert additives; Targeting or modifying agents chemically bound to the active ingredient the non-active ingredient being chemically bound to the active ingredient, e.g. polymer-drug conjugates the non-active ingredient being a modifying agent
- A61K47/68—Medicinal preparations characterised by the non-active ingredients used, e.g. carriers or inert additives; Targeting or modifying agents chemically bound to the active ingredient the non-active ingredient being chemically bound to the active ingredient, e.g. polymer-drug conjugates the non-active ingredient being a modifying agent the modifying agent being an antibody, an immunoglobulin or a fragment thereof, e.g. an Fc-fragment
- A61K47/6801—Drug-antibody or immunoglobulin conjugates defined by the pharmacologically or therapeutically active agent
- A61K47/6803—Drugs conjugated to an antibody or immunoglobulin, e.g. cisplatin-antibody conjugates
-
- A—HUMAN NECESSITIES
- A61—MEDICAL OR VETERINARY SCIENCE; HYGIENE
- A61K—PREPARATIONS FOR MEDICAL, DENTAL OR TOILETRY PURPOSES
- A61K47/00—Medicinal preparations characterised by the non-active ingredients used, e.g. carriers or inert additives; Targeting or modifying agents chemically bound to the active ingredient
- A61K47/50—Medicinal preparations characterised by the non-active ingredients used, e.g. carriers or inert additives; Targeting or modifying agents chemically bound to the active ingredient the non-active ingredient being chemically bound to the active ingredient, e.g. polymer-drug conjugates
- A61K47/51—Medicinal preparations characterised by the non-active ingredients used, e.g. carriers or inert additives; Targeting or modifying agents chemically bound to the active ingredient the non-active ingredient being chemically bound to the active ingredient, e.g. polymer-drug conjugates the non-active ingredient being a modifying agent
- A61K47/68—Medicinal preparations characterised by the non-active ingredients used, e.g. carriers or inert additives; Targeting or modifying agents chemically bound to the active ingredient the non-active ingredient being chemically bound to the active ingredient, e.g. polymer-drug conjugates the non-active ingredient being a modifying agent the modifying agent being an antibody, an immunoglobulin or a fragment thereof, e.g. an Fc-fragment
- A61K47/6801—Drug-antibody or immunoglobulin conjugates defined by the pharmacologically or therapeutically active agent
- A61K47/6803—Drugs conjugated to an antibody or immunoglobulin, e.g. cisplatin-antibody conjugates
- A61K47/68033—Drugs conjugated to an antibody or immunoglobulin, e.g. cisplatin-antibody conjugates the drug being a maytansine
-
- A—HUMAN NECESSITIES
- A61—MEDICAL OR VETERINARY SCIENCE; HYGIENE
- A61K—PREPARATIONS FOR MEDICAL, DENTAL OR TOILETRY PURPOSES
- A61K47/00—Medicinal preparations characterised by the non-active ingredients used, e.g. carriers or inert additives; Targeting or modifying agents chemically bound to the active ingredient
- A61K47/50—Medicinal preparations characterised by the non-active ingredients used, e.g. carriers or inert additives; Targeting or modifying agents chemically bound to the active ingredient the non-active ingredient being chemically bound to the active ingredient, e.g. polymer-drug conjugates
- A61K47/51—Medicinal preparations characterised by the non-active ingredients used, e.g. carriers or inert additives; Targeting or modifying agents chemically bound to the active ingredient the non-active ingredient being chemically bound to the active ingredient, e.g. polymer-drug conjugates the non-active ingredient being a modifying agent
- A61K47/68—Medicinal preparations characterised by the non-active ingredients used, e.g. carriers or inert additives; Targeting or modifying agents chemically bound to the active ingredient the non-active ingredient being chemically bound to the active ingredient, e.g. polymer-drug conjugates the non-active ingredient being a modifying agent the modifying agent being an antibody, an immunoglobulin or a fragment thereof, e.g. an Fc-fragment
- A61K47/6835—Medicinal preparations characterised by the non-active ingredients used, e.g. carriers or inert additives; Targeting or modifying agents chemically bound to the active ingredient the non-active ingredient being chemically bound to the active ingredient, e.g. polymer-drug conjugates the non-active ingredient being a modifying agent the modifying agent being an antibody, an immunoglobulin or a fragment thereof, e.g. an Fc-fragment the modifying agent being an antibody or an immunoglobulin bearing at least one antigen-binding site
- A61K47/6851—Medicinal preparations characterised by the non-active ingredients used, e.g. carriers or inert additives; Targeting or modifying agents chemically bound to the active ingredient the non-active ingredient being chemically bound to the active ingredient, e.g. polymer-drug conjugates the non-active ingredient being a modifying agent the modifying agent being an antibody, an immunoglobulin or a fragment thereof, e.g. an Fc-fragment the modifying agent being an antibody or an immunoglobulin bearing at least one antigen-binding site the antibody targeting a determinant of a tumour cell
- A61K47/6855—Medicinal preparations characterised by the non-active ingredients used, e.g. carriers or inert additives; Targeting or modifying agents chemically bound to the active ingredient the non-active ingredient being chemically bound to the active ingredient, e.g. polymer-drug conjugates the non-active ingredient being a modifying agent the modifying agent being an antibody, an immunoglobulin or a fragment thereof, e.g. an Fc-fragment the modifying agent being an antibody or an immunoglobulin bearing at least one antigen-binding site the antibody targeting a determinant of a tumour cell the tumour determinant being from breast cancer cell
-
- A—HUMAN NECESSITIES
- A61—MEDICAL OR VETERINARY SCIENCE; HYGIENE
- A61K—PREPARATIONS FOR MEDICAL, DENTAL OR TOILETRY PURPOSES
- A61K47/00—Medicinal preparations characterised by the non-active ingredients used, e.g. carriers or inert additives; Targeting or modifying agents chemically bound to the active ingredient
- A61K47/50—Medicinal preparations characterised by the non-active ingredients used, e.g. carriers or inert additives; Targeting or modifying agents chemically bound to the active ingredient the non-active ingredient being chemically bound to the active ingredient, e.g. polymer-drug conjugates
- A61K47/51—Medicinal preparations characterised by the non-active ingredients used, e.g. carriers or inert additives; Targeting or modifying agents chemically bound to the active ingredient the non-active ingredient being chemically bound to the active ingredient, e.g. polymer-drug conjugates the non-active ingredient being a modifying agent
- A61K47/68—Medicinal preparations characterised by the non-active ingredients used, e.g. carriers or inert additives; Targeting or modifying agents chemically bound to the active ingredient the non-active ingredient being chemically bound to the active ingredient, e.g. polymer-drug conjugates the non-active ingredient being a modifying agent the modifying agent being an antibody, an immunoglobulin or a fragment thereof, e.g. an Fc-fragment
- A61K47/6889—Conjugates wherein the antibody being the modifying agent and wherein the linker, binder or spacer confers particular properties to the conjugates, e.g. peptidic enzyme-labile linkers or acid-labile linkers, providing for an acid-labile immuno conjugate wherein the drug may be released from its antibody conjugated part in an acidic, e.g. tumoural or environment
-
- A—HUMAN NECESSITIES
- A61—MEDICAL OR VETERINARY SCIENCE; HYGIENE
- A61K—PREPARATIONS FOR MEDICAL, DENTAL OR TOILETRY PURPOSES
- A61K47/00—Medicinal preparations characterised by the non-active ingredients used, e.g. carriers or inert additives; Targeting or modifying agents chemically bound to the active ingredient
- A61K47/50—Medicinal preparations characterised by the non-active ingredients used, e.g. carriers or inert additives; Targeting or modifying agents chemically bound to the active ingredient the non-active ingredient being chemically bound to the active ingredient, e.g. polymer-drug conjugates
- A61K47/51—Medicinal preparations characterised by the non-active ingredients used, e.g. carriers or inert additives; Targeting or modifying agents chemically bound to the active ingredient the non-active ingredient being chemically bound to the active ingredient, e.g. polymer-drug conjugates the non-active ingredient being a modifying agent
- A61K47/68—Medicinal preparations characterised by the non-active ingredients used, e.g. carriers or inert additives; Targeting or modifying agents chemically bound to the active ingredient the non-active ingredient being chemically bound to the active ingredient, e.g. polymer-drug conjugates the non-active ingredient being a modifying agent the modifying agent being an antibody, an immunoglobulin or a fragment thereof, e.g. an Fc-fragment
- A61K47/6891—Pre-targeting systems involving an antibody for targeting specific cells
-
- A—HUMAN NECESSITIES
- A61—MEDICAL OR VETERINARY SCIENCE; HYGIENE
- A61P—SPECIFIC THERAPEUTIC ACTIVITY OF CHEMICAL COMPOUNDS OR MEDICINAL PREPARATIONS
- A61P35/00—Antineoplastic agents
-
- C—CHEMISTRY; METALLURGY
- C07—ORGANIC CHEMISTRY
- C07K—PEPTIDES
- C07K16/00—Immunoglobulins [IGs], e.g. monoclonal or polyclonal antibodies
- C07K16/18—Immunoglobulins [IGs], e.g. monoclonal or polyclonal antibodies against material from animals or humans
- C07K16/32—Immunoglobulins [IGs], e.g. monoclonal or polyclonal antibodies against material from animals or humans against translation products of oncogenes
-
- C—CHEMISTRY; METALLURGY
- C07—ORGANIC CHEMISTRY
- C07K—PEPTIDES
- C07K16/00—Immunoglobulins [IGs], e.g. monoclonal or polyclonal antibodies
- C07K16/40—Immunoglobulins [IGs], e.g. monoclonal or polyclonal antibodies against enzymes
-
- C—CHEMISTRY; METALLURGY
- C07—ORGANIC CHEMISTRY
- C07K—PEPTIDES
- C07K2317/00—Immunoglobulins specific features
- C07K2317/90—Immunoglobulins specific features characterized by (pharmaco)kinetic aspects or by stability of the immunoglobulin
- C07K2317/94—Stability, e.g. half-life, pH, temperature or enzyme-resistance
Landscapes
- Health & Medical Sciences (AREA)
- Chemical & Material Sciences (AREA)
- Life Sciences & Earth Sciences (AREA)
- Bioinformatics & Cheminformatics (AREA)
- Engineering & Computer Science (AREA)
- Medicinal Chemistry (AREA)
- General Health & Medical Sciences (AREA)
- Immunology (AREA)
- Pharmacology & Pharmacy (AREA)
- Animal Behavior & Ethology (AREA)
- Public Health (AREA)
- Veterinary Medicine (AREA)
- Epidemiology (AREA)
- Organic Chemistry (AREA)
- Oncology (AREA)
- Cell Biology (AREA)
- Molecular Biology (AREA)
- Biochemistry (AREA)
- Biophysics (AREA)
- Genetics & Genomics (AREA)
- Proteomics, Peptides & Aminoacids (AREA)
- Chemical Kinetics & Catalysis (AREA)
- General Chemical & Material Sciences (AREA)
- Nuclear Medicine, Radiotherapy & Molecular Imaging (AREA)
- Toxicology (AREA)
- Botany (AREA)
- Peptides Or Proteins (AREA)
- Medicinal Preparation (AREA)
- Medicines Containing Antibodies Or Antigens For Use As Internal Diagnostic Agents (AREA)
- Pharmaceuticals Containing Other Organic And Inorganic Compounds (AREA)
Abstract
本公开内容提供了抗HER2抗体‑美登木素缀合物结构。本公开内容还涵盖此类缀合物的生产方法以及使用方法。
Description
对相关申请的交叉援引
依照35 U.S.C.§119(e),本申请要求2014年6月6日提交的美国临时申请No.62/008,980的提交日的优先权,通过援引将其公开内容收入本文。
引言
蛋白质-小分子治疗性缀合物领域进展很大,提供多种在临床上有益的药物及在未来几年中提供更多的承诺。蛋白质缀合物治疗剂可提供数项优点,这是由于例如特异性,功能多样性及相对低的脱靶活性,导致更少的副作用。对蛋白质的化学修饰可通过使它们更加有力,稳定,或多模态而扩充这些优点。
通常使用多种标准化学转化在蛋白质上创建及操作翻译后修饰。有多种方法,其中一种能够选择性修饰某些氨基酸的侧链。例如,可以通过首先用水溶性碳二亚胺试剂活化及随后与胺反应来靶向羧酸侧链(天冬氨酸和谷氨酸)。类似地,可以经由使用已活化的酯或异硫氰酸酯来靶向赖氨酸,而且可以用马来酰亚胺和α-卤代-羰基来靶向半胱氨酸硫醇。
对于创建在化学上改变的蛋白质治疗剂或试剂的一项重大障碍是以有生物学活性的,同质的形式生成蛋白质。药物或可检测标记物对多肽的缀合可能难以控制,产生在所附着的药物分子的数目和化学缀合的位置方面不同的缀合物的异质混合物。在一些情况中,可能想要使用合成有机化学的工具来控制缀合的位点和/或缀合至多肽的药物或可检测标记物以指导多肽上化学键的精确且选择性的形成。
概述
本公开内容提供了抗HER2抗体-美登木素缀合物结构。本公开内容还涵盖此类缀合物的生产方法以及使用方法。
本公开内容的多个方面包括一种缀合物,其包含至少一个式(I)的经修饰的氨基酸残基:
其中
Q1是C或N,其中若Q1是N,则Y1缺失;
Y1选自氢,卤素,烷基,取代的烷基,烯基,取代的烯基,炔基,取代的炔基,烷氧基,取代的烷氧基,氨基,取代的氨基,羧基,羧基酯,酰基,酰氧基,酰基氨基,氨基酰基,烷基酰胺,取代的烷基酰胺,磺酰基,硫代烷氧基,取代的硫代烷氧基,芳基,取代的芳基,杂芳基,取代的杂芳基,环烷基,取代的环烷基,杂环基,和取代的杂环基;
R1选自氢,烷基,取代的烷基,烯基,取代的烯基,炔基,取代的炔基,芳基,取代的芳基,杂芳基,取代的杂芳基,环烷基,取代的环烷基,杂环基,和取代的杂环基;
R2和R3每个独立选自氢,烷基,取代的烷基,烯基,取代的烯基,炔基,取代的炔基,烷氧基,取代的烷氧基,氨基,取代的氨基,羧基,羧基酯,酰基,酰氧基,酰基氨基,氨基酰基,烷基酰胺,取代的烷基酰胺,磺酰基,硫代烷氧基,取代的硫代烷氧基,芳基,取代的芳基,杂芳基,取代的杂芳基,环烷基,取代的环烷基,杂环基,和取代的杂环基,或R2和R3任选环状连接以形成5或6元杂环基;
L是包含-(T1-Z1)a-(T2-Z2)b-(T3-Z3)c-(T4-Z4)d-的接头,其中a,b,c和d每个独立是0或1,其中a,b,c和d的和是1至4;
T1,T2,T3和T4每个独立选自(C1-C12)烷基,取代的(C1-C12)烷基,(EDA)w,(PEG)n,(AA)p,-(CR13OH)h-,哌啶-4-氨基(4AP),乙缩醛基团,肼,和酯,其中EDA是乙二胺模块,PEG是聚乙二醇或经修饰的聚乙二醇,而AA是氨基酸残基,其中w是1至20的整数,n是1至30的整数,p是1至20的整数,而h是1至12的整数;
Z1,Z2,Z3和Z4每个独立选自下组:共价键,-CO-,-NR15-,-NR15(CH2)q-,-NR15(C6H4)-,-CONR15-,-NR15CO-,-C(O)O-,-OC(O)-,-O-,-S-,-S(O)-,-SO2-,-SO2NR15-,-NR15SO2-和-P(O)OH-,其中q是1至6的整数;
每个R13独立选自氢,烷基,取代的烷基,芳基,和取代的芳基;
每个R15独立选自氢,烷基,取代的烷基,烯基,取代的烯基,炔基,取代的炔基,羧基,羧基酯,酰基,芳基,取代的芳基,杂芳基,取代的杂芳基,环烷基,取代的环烷基,杂环基,和取代的杂环基;
W1是美登木素生物碱;且
W2是抗HER2抗体。
在某些实施方案中,
T1选自(C1-C12)烷基和取代的(C1-C12)烷基;
T2,T3和T4每个独立选自(EDA)w,(PEG)n,(C1-C12)烷基,取代的(C1-C12)烷基,(AA)p,-(CR13OH)h-,哌啶-4-氨基(4AP),乙缩醛基团,肼,和酯;且
Z1,Z2,Z3和Z4每个独立选自下组:共价键,-CO-,-NR15-,-NR15(CH2)q-,-NR15(C6H4)-,-CONR15-,-NR15CO-,-C(O)O-,-OC(O)-,-O-,-S-,-S(O)-,-SO2-,-SO2NR15-,-NR15SO2-,和-P(O)OH-;
其中:
每个R12和R15独立选自氢,烷基,取代的烷基,聚乙二醇模块,芳基和取代的芳基,其中任两个相邻的R12基团可以环状连接以形成哌嗪基环。
在某些实施方案中,T1,T2,T3和T4和Z1,Z2,Z3和Z4选自下表:
| T<sup>1</sup> | Z<sup>1</sup> | T<sup>2</sup> | Z<sup>2</sup> | T<sup>3</sup> | Z<sup>3</sup> | T<sup>4</sup> | Z<sup>4</sup> |
| (C<sub>1</sub>-C<sub>12</sub>)烷基 | -CONR<sup>15</sup>- | (PEG)<sub>n</sub> | -CO- | - | - | - | - |
| (C<sub>1</sub>-C<sub>12</sub>)烷基 | -CO- | (AA)<sub>p</sub> | -NR<sup>15</sup>- | (PEG)<sub>n</sub> | -CO- | - | - |
| (C<sub>1</sub>-C<sub>12</sub>)烷基 | -CO- | (AA)<sub>p</sub> | - | - | - | - | - |
| (C<sub>1</sub>-C<sub>12</sub>)烷基 | -CONR<sup>15</sup>- | (PEG)<sub>n</sub> | -NR<sup>15</sup>- | - | - | - | - |
| (C<sub>1</sub>-C<sub>12</sub>)烷基 | -CO- | (AA)<sub>p</sub> | -NR<sup>15</sup>- | (PEG)<sub>n</sub> | -NR<sup>15</sup>- | - | - |
| (C<sub>1</sub>-C<sub>12</sub>)烷基 | -CO- | (EDA)<sub>w</sub> | -CO- | - | - | - | - |
| (C<sub>1</sub>-C<sub>12</sub>)烷基 | -CONR<sup>15</sup>- | (C<sub>1</sub>-C<sub>12</sub>)烷基 | -NR<sup>15</sup>- | - | - | - | - |
| (C<sub>1</sub>-C<sub>12</sub>)烷基 | -CONR<sup>15</sup>- | (PEG)<sub>n</sub> | -CO- | (EDA)<sub>w</sub> | - | - | - |
| (C<sub>1</sub>-C<sub>12</sub>)烷基 | -CO- | (EDA)<sub>w</sub> | - | - | - | - | - |
| (C<sub>1</sub>-C<sub>12</sub>)烷基 | -CO- | (EDA)<sub>w</sub> | -CO- | (CR<sup>13</sup>OH)<sub>h</sub> | -CONR<sup>15</sup>- | (C<sub>1</sub>-C<sub>12</sub>)烷基 | -CO- |
| (C<sub>1</sub>-C<sub>12</sub>)烷基 | -CO- | (AA)<sub>p</sub> | -NR<sup>15</sup>- | (C<sub>1</sub>-C<sub>12</sub>)烷基 | -CO- | - | - |
| (C<sub>1</sub>-C<sub>12</sub>)烷基 | -CONR<sup>15</sup>- | (PEG)<sub>n</sub> | -CO- | (AA)<sub>p</sub> | - | - | - |
| (C<sub>1</sub>-C<sub>12</sub>)烷基 | -CO- | (EDA)<sub>w</sub> | -CO- | (CR<sup>13</sup>OH)<sub>h</sub> | -CO- | (AA)<sub>p</sub> | - |
| (C<sub>1</sub>-C<sub>12</sub>)烷基 | -CO- | (AA)<sub>p</sub> | -NR<sup>15</sup>- | (C<sub>1</sub>-C<sub>12</sub>)烷基 | -CO- | (AA)<sub>p</sub> | - |
| (C<sub>1</sub>-C<sub>12</sub>)烷基 | -CO- | (AA)<sub>p</sub> | -NR<sup>15</sup>- | (PEG)<sub>n</sub> | -CO- | (AA)<sub>p</sub> | - |
| (C<sub>1</sub>-C<sub>12</sub>)烷基 | -CO- | (AA)<sub>p</sub> | -NR<sup>15</sup>- | (PEG)<sub>n</sub> | -SO<sub>2</sub>- | (AA)<sub>p</sub> | - |
| (C<sub>1</sub>-C<sub>12</sub>)烷基 | -CO- | (EDA)<sub>w</sub> | -CO- | (CR<sup>13</sup>OH)<sub>h</sub> | -CONR<sup>15</sup>- | (PEG)<sub>n</sub> | -CO- |
| (C<sub>1</sub>-C<sub>12</sub>)烷基 | -CO- | (CR<sup>13</sup>OH)<sub>h</sub> | -CO- | - | - | - | - |
| (C<sub>1</sub>-C<sub>12</sub>)烷基 | -CONR<sup>15</sup>- | 取代的(C<sub>1</sub>-C<sub>12</sub>)烷基 | -NR<sup>15</sup>- | (PEG)<sub>n</sub> | -CO- | - | - |
| (C<sub>1</sub>-C<sub>12</sub>)烷基 | -SO<sub>2</sub>- | (C<sub>1</sub>-C<sub>12</sub>)烷基 | -CO- | - | - | - | - |
| (C<sub>1</sub>-C<sub>12</sub>)烷基 | -CONR<sup>15</sup>- | (C<sub>1</sub>-C<sub>12</sub>)烷基 | - | (CR<sup>13</sup>OH)<sub>h</sub> | -CONR<sup>15</sup>- | - | - |
| (C<sub>1</sub>-C<sub>12</sub>)烷基 | -CO- | (AA)<sub>p</sub> | -NR<sup>15</sup>- | (PEG)<sub>n</sub> | -CO- | (AA)<sub>p</sub> | -NR<sup>15</sup>- |
| (C<sub>1</sub>-C<sub>12</sub>)烷基 | -CO- | (AA)<sub>p</sub> | -NR<sup>15</sup>- | (PEG)<sub>n</sub> | -P(O)OH- | (AA)<sub>p</sub> | - |
| (C<sub>1</sub>-C<sub>12</sub>)烷基 | -CO- | (EDA)<sub>w</sub> | - | (AA)<sub>p</sub> | - | - | - |
| (C<sub>1</sub>-C<sub>12</sub>)烷基 | -CONR<sup>15</sup>- | (C<sub>1</sub>-C<sub>12</sub>)烷基 | -NR<sup>15</sup>- | - | -CO- | - | - |
| (C<sub>1</sub>-C<sub>12</sub>)烷基 | -CONR<sup>15</sup>- | (C<sub>1</sub>-C<sub>12</sub>)烷基 | -NR<sup>15</sup>- | - | -CO- | (C<sub>1</sub>-C<sub>12</sub>)烷基 | -NR<sup>15</sup>- |
| (C<sub>1</sub>-C<sub>12</sub>)烷基 | -CO- | 4AP | -CO- | (C<sub>1</sub>-C<sub>12</sub>)烷基 | -CO- | (AA)<sub>p</sub> | - |
| (C<sub>1</sub>-C<sub>12</sub>)烷基 | -CO- | 4AP | -CO- | (C<sub>1</sub>-C<sub>12</sub>)烷基 | -CO- | - | - |
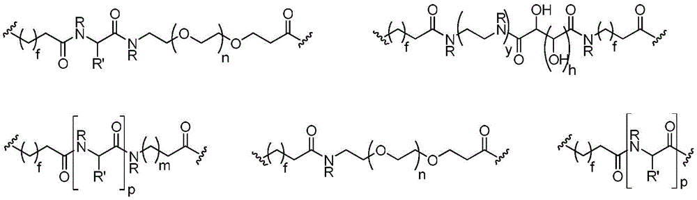
在某些实施方案中,L选自如下结构之一:
其中
每个f独立是0或1至12的整数;
每个y独立是0或1至20的整数;
每个n独立是0或1至30的整数;
每个p独立是0或1至20的整数;
每个h独立是0或1至12的整数;
每个R独立是氢,烷基,取代的烷基,烯基,取代的烯基,炔基,取代的炔基,烷氧基,取代的烷氧基,氨基,取代的氨基,羧基,羧基酯,酰基,酰氧基,酰基氨基,氨基酰基,烷基酰胺,取代的烷基酰胺,磺酰基,硫代烷氧基,取代的硫代烷氧基,芳基,取代的芳基,杂芳基,取代的杂芳基,环烷基,取代的环烷基,杂环基,和取代的杂环基;且
每个R’独立是H,氨基酸的侧链基团,烷基,取代的烷基,烯基,取代的烯基,炔基,取代的炔基,烷氧基,取代的烷氧基,氨基,取代的氨基,羧基,羧基酯,酰基,酰氧基,酰基氨基,氨基酰基,烷基酰胺,取代的烷基酰胺,磺酰基,硫代烷氧基,取代的硫代烷氧基,芳基,取代的芳基,杂芳基,取代的杂芳基,环烷基,取代的环烷基,杂环基,和取代的杂环基。
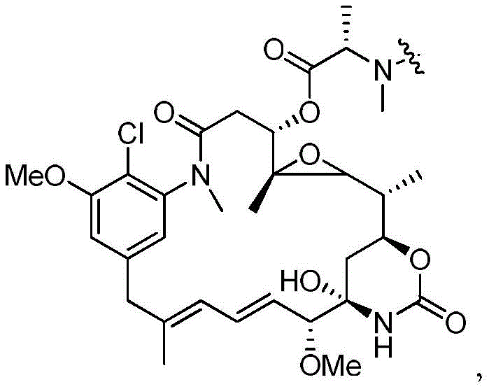
在某些实施方案中,所述美登木素生物碱是下式的:
在某些实施方案中,所述抗HER2抗体结合SEQ ID NO://氨基酸529-625内的表位。
在某些实施方案中,所述抗HER2抗体结合SEQ ID NO://氨基酸561-625内的表位。
在某些实施方案中,所述抗HER2抗体与包含SEQ ID NO://
(EVQLVESGGGLVQPGGSLRLSCAASGFNIKDTYIHWVRQAPGKGLEWVARIYPTNGYTRYADSVKGRFTISADTSKNTAYLQMNSLRAEDTAVYYCSRWGGDGFYAMDVWGQGTLVTVSS)的重链互补决定区(CDR)和SEQ ID NO://
(DIQMTQSPSSLSASVGDRVTITCRASQDVNTAVAWYQQKPGKAPKLLIYSASFLESGVPSRFSGSRSGTDFTLTISSLQPEDFATYYCQQHYTTPPTFGQGTKVEIKRT)的轻链CDR的抗体竞争结合。
在某些实施方案中,所述抗HER2抗体与具有包含互补决定区(CDR)SEQ ID NO://(DTYIH),SEQ ID NO://(RIYPTNGYTRYADSVKG),和SEQ ID NO://(WGGDGFYAMDV)的重链的抗体竞争结合。
在某些实施方案中,所述抗HER2抗体包含包含互补决定区(CDR)SEQ ID NO://(DTYIH),SEQ ID NO://(RIYPTNGYTRYADSVKG),和SEQ ID NO://(WGGDGFYAMDV)的重链和包含CDR SEQ ID NO://(RASQDVNTAVA),SEQ ID NO://(SASFLES),和SEQ ID NO://(QQHYTTPPT)的轻链。
在某些实施方案中,所述抗HER2抗体包含包含SEQ ID NO://
(EVQLVESGGGLVQPGGSLRLSCAASGFNIKDTYIHWVRQAPGKGLEWVARIYPTNGYTRYADSVKGRFTISADTSKNTAYLQMNSLRAEDTAVYYCSRWGGDGFYAMDVWGQGTLVTVSS)中所列氨基酸序列的重链和包含SEQ ID NO://
(DIQMTQSPSSLSASVGDRVTITCRASQDVNTAVAWYQQKPGKAPKLLIYSASFLESGVPSRFSGSRSGTDFTLTISSLQPEDFATYYCQQHYTTPPTFGQGTKVEIKRT)中所列氨基酸序列的轻链。
在某些实施方案中,所述抗HER2抗体是huMAb4D5-8。
在某些实施方案中,所述抗HER2抗体包含式(II)的序列:
X1(FGly’)X2Z20X3Z30 (II),
其中
FGly’是式(I)的经修饰的氨基酸残基;
Z20是脯氨酸或丙氨酸残基任一;
Z30是碱性氨基酸或脂肪族氨基酸;
X1可以存在或缺失,而且,当存在时,可以是任何氨基酸,前提是,当该序列处于缀合物的N端时,X1存在;且
X2和X3每个独立是任何氨基酸。
在某些实施方案中,所述序列是L(FGly’)TPSR。
在某些实施方案中,
Z30选自R,K,H,A,G,L,V,I,和P;
X1选自L,M,S,和V;且
X2和X3每个独立选自S,T,A,V,G,和C。
在某些实施方案中,所述经修饰的氨基酸残基位于所述抗HER2抗体的重链恒定区的C端。
在某些实施方案中,所述重链恒定区包含式(II)的序列:
X1(FGly’)X2Z20X3Z30 (II),
其中
FGly’是式(I)的经修饰的氨基酸残基;
Z20是脯氨酸或丙氨酸残基任一;
Z30是碱性氨基酸或脂肪族氨基酸;
X1可以存在或缺失,而且,当存在时,可以是任何氨基酸,前提是,当该序列处于缀合物的N端时,X1存在;且
X2和X3每个独立是任何氨基酸,且
其中所述序列处于氨基酸序列SLSLSPG的C端。
在某些实施方案中,所述重链恒定区包含序列SPGSL(FGly’)TPSRGS。
在某些实施方案中,
Z30选自R,K,H,A,G,L,V,I,和P;
X1选自L,M,S,和V;且
X2和X3每个独立选自S,T,A,V,G,和C。
在某些实施方案中,所述经修饰的氨基酸残基位于所述抗HER2抗体的轻链恒定区中。
在某些实施方案中,所述轻链恒定区包含式(II)的序列:
X1(FGly’)X2Z20X3Z30 (II),
其中
FGly’是式(I)的经修饰的氨基酸残基;
Z20是脯氨酸或丙氨酸残基任一;
Z30是碱性氨基酸或脂肪族氨基酸;
X1可以存在或缺失,而且,当存在时,可以是任何氨基酸,前提是,当该序列处于缀合物的N端时,X1存在;且
X2和X3每个独立是任何氨基酸,且
其中所述序列处于序列KVDNAL的C端和/或序列QSGNSQ的N端。
在某些实施方案中,所述轻链恒定区包含序列KVDNAL(FGly’)TPSRQSGNSQ。
在某些实施方案中,
Z30选自R,K,H,A,G,L,V,I,和P;
X1选自L,M,S,和V;且
X2和X3每个独立选自S,T,A,V,G,和C。
在某些实施方案中,所述经修饰的氨基酸残基位于所述抗HER2抗体的重链CH1区中。
在某些实施方案中,所述重链CH1区包含式(II)的序列:
X1(FGly’)X2Z20X3Z30 (II),
其中
FGly’是式(I)的经修饰的氨基酸残基;
Z20是脯氨酸或丙氨酸残基任一;
Z30是碱性氨基酸或脂肪族氨基酸;
X1可以存在或缺失,而且,当存在时,可以是任何氨基酸,前提是,当该序列处于缀合物的N端时,X1存在;且
X2和X3每个独立是任何氨基酸,且
其中所述序列处于氨基酸序列SWNSGA的C端和/或氨基酸序列GVHTFP的N端。
在某些实施方案中,所述重链CH1区包含序列SWNSGAL(FGly’)TPSRGVHTFP。
在某些实施方案中,
Z30选自R,K,H,A,G,L,V,I,和P;
X1选自L,M,S,和V;且
X2和X3每个独立选自S,T,A,V,G,和C。
在某些实施方案中,所述经修饰的氨基酸残基位于所述抗HER2抗体的重链CH2区中。
在某些实施方案中,所述经修饰的氨基酸残基位于所述抗HER2抗体的重链CH3区中。
本公开内容的多个方面包括一种药学组合物,其中所述药学组合物包括本公开内容的缀合物和药学可接受赋形剂。
本公开内容的多个方面包括一种方法,其中该方法包括对受试者施用有效量的本公开内容的缀合物。
本公开内容的多个方面包括一种治疗受试者中的癌症的方法,其中该方法包括对受试者施用治疗有效量的包含本公开内容的缀合物的药学组合物,其中该施用有效治疗受试者中的癌症。
本公开内容的多个方面包括一种将药物投递至受试者中的靶位点的方法,其中该方法包括对受试者施用包含本公开内容的缀合物的药学组合物,其中该施用有效在受试者中的靶位点处自缀合物释放治疗有效量的药物。
附图简述
图1,小图A,显示使用标准分子生物学技术沿着抗体主链在期望位置处插入的甲酰甘氨酸生成酶(FGE)识别序列。一旦表达,真核细胞内源的FGE就催化共有序列内的Cys转变成甲酰甘氨酸残基(FGly)。图1,小图B,显示携带醛模块(2个/抗体)的抗体与肼基-异-Pictet-Spengler(HIPS)接头和载荷反应以生成位点特异性缀合的ADC。图1,小图C,显示经由中间体肼离子进行的HIPS化学,接着是与亲核性吲哚的分子内烷基化以生成稳定的C-C键。
图2(顶部)显示轻链(LC)中的一个位置和重链中的七个位置(标注A-G)处的醛标签。生成并分析携带这些标签的抗体,作为生成在不同位点处缀合的ADC中的第一步。图2(底部)显示HIPS-Glu-PEG2-美登木素20的结构,其充当这些研究中使用的ADC的接头和细胞毒性载荷。
图3显示LC,CH1,和CT带标签的抗体转变成同质ADC的疏水相互作用层析(HIC)分析的图。未缀合的抗体作为一个峰洗脱。缀合至HIPS-Glu-PEG2-美登木素后,ADC作为二缀合材料洗脱(右边)。缀合与未缀合材料的这种清楚分开容许缀合物富集和简单测定药物对抗体比(DAR)。
图4提供人HER2受体的氨基酸序列。
图5A和5B提供人源化抗HER2抗体的VH(图5A)和VL(图5B)区的氨基酸序列。
图6A-E提供抗HER2抗体的野生型(WT)和经修饰的重链(HC)和轻链(LC)氨基酸序列。粗体残基是VH和VL区。粗体且标有下划线的LCTPSR残基包括转变成FGly的半胱氨酸。
图7显示大小排阻层析分析的图,显示多个位置处携带醛标签的αHER2 ADC制备物中最小限度的聚集。通过SEC分析未缀合的和HIPS-Glu-PEG2-美登木素缀合的在所示位置带标签的ADC。在所有情况中总聚集物≤5%。
图8A和8B显示HIPS-Glu-PEG2-AF488和HIPS-Glu-PEG2-美登木素结构的比较,显示它们在载荷附着点处具有不同化学键。图8A显示经芳基酰胺键附着至PEG2模块的AlexaFluor 488。图8B显示经酯键附着至PEG2模块的美登木素。
图9A和9B显示多幅图,指示带醛标签的HIPS缀合物于37℃在血浆中是稳定的,但是载荷附着发挥作用。测试使用HIPS-Glu-PEG2缀合至Alexa Fluor 488(AF488)(图9A)或美登木素(图9B)任一的LC,CH1,和CT带标签的抗体的血浆稳定性。缀合物于37℃在大鼠血浆中温育多至13天。当通过ELISA分析总载荷和总抗体时,对于AF488缀合物没有观察到总载荷信号相对于总抗体信号的损失,不管标签放置。对于美登木素缀合物,观察到于37℃随时间发生一些解缀合的证据。稳定性随标签放置而不同,CT标签显示载荷对抗体信号的最高保留(84%),接着是CH1(72%),和LC(65%)。
图10显示一幅图,指示载荷位置不影响带醛标签的αHER2 ADC针对NCI-N87靶细胞的体外效力。使用过表达HER2的NCI-N87细胞作为6天测定法中体外细胞毒性的靶物。包括游离美登木素作为阳性对照,且使用同种型对照ADC作为阴性对照来指示特异性。在轻链(LC)上或在重链的CH1或C端(CT)区上携带醛标签的αHER2 HIPS-Glu-PEG2-美登木素ADC显示相当的活性。如下测量IC50值(反映抗体浓度,除了游离药物的情况):游离美登木素,214pM;同种型对照ADC,无法测定;LC ADC,87pM;CH1ADC,132pM;CT ADC,114pM。
图11A和11B显示多幅图,指示载荷放置改变带醛标签的αHER2 ADC针对小鼠中NCI-N87异种移植物的体内功效。对CB.17SCID小鼠(8只/组)皮下植入NCI-N87细胞。当肿瘤达到~113mm3时,给予动物单剂5mg/kg单独的曲妥珠单抗,同种型ADC,或缀合至轻链(LC)或重链的CH1或C端(CT)区任一的αHER2 HIPS-Glu-PEG2-美登木素ADC。包括αHER2-DM1作为比较物。图11A显示均值肿瘤体积(mm3)对给药后天数的图,每周两次监测肿瘤生长。图11B显示功效在所测试的标签放置间的差异的图,在存活曲线中反映。当肿瘤达到800mm3时对动物处以安乐死。
图12显示多幅图,指示αHER2 HIPS-Glu-PEG2-美登木素ADC在体内高度稳定,不管标签放置。对BALB/c小鼠给药5mg/kg缀合至轻链(LC)或重链的CH1或C端(CT)区任一的带醛标签的αHER2 HIPS-Glu-PEG2-美登木素ADC。包括αHER2-DM1作为比较物。在所示时间点对血浆采样并通过ELISA验定。使用GraphPad Prism确定曲线下面积(AUC)。总ADC AUC/总抗体AUC的比以百分比指示。
图13为依照本公开内容的实施方案的αHER ADC显示%存活力对Log ADC浓度(nM)的图。
图14A和14B显示多幅图,指示依照本公开内容的实施方案的,接头组成对带醛标签的αHER2 ADC在NCI-N87肿瘤模型中的体内功效的影响。
图15显示依照本公开内容的实施方案,小鼠体重(g)对处理后天数的图。用5mg/kg使用HIPS化学缀合至接头-美登木素载荷的αHER2 ADC处理SCID小鼠不影响体重。
图16A为依照本公开内容的实施方案的一项针对较小肿瘤(180mm3)的多剂功效研究显示均值肿瘤体积(mm3)对时间(天)的图,而图16B为一项针对较大肿瘤(400mm3)的多剂功效研究显示均值肿瘤体积(mm3)对时间(天)的图。
图17A描绘位点图,显示可能用于生成带醛标签的Ig多肽的修饰位点。上部序列是IgG1轻链多肽的保守区的氨基酸序列(SEQ ID NO://)并显示Ig轻链中可能的修饰位点;下部序列是Ig重链多肽的保守区的氨基酸序列(SEQ ID NO://;GenBank登录号AAG00909)并显示Ig重链中可能的修饰位点。重和轻链编号基于全长重和轻链。
图17B描绘IgG1(SEQ ID NO://),IgG2(SEQ ID NO://),IgG3(SEQ ID NO://),IgG4(SEQ ID NO://),和IgA(SEQ ID NO://)的免疫球蛋白重链恒定区的比对,显示免疫球蛋白重链中能提供醛标签的修饰位点。重和轻链编号基于全长重和轻链。
图17C描绘免疫球蛋白轻链恒定区(SEQ ID NO://)的比对,显示免疫球蛋白轻链中能提供醛标签的修饰位点。
图18显示依照本公开内容的实施方案,缀合至附着至HIPS-4AP接头的美登木素载荷的重链C端(CT)带标签的αHER2抗体的(见实施例4)的疏水相互作用层析(HIC)分析的图。粗制药物对抗体比(DAR)通过HIC测定为1.64。
图19显示依照本公开内容的实施方案,缀合至附着至HIPS-4AP接头的美登木素载荷的重链C端(CT)带标签的αHER2抗体(见实施例4)的疏水相互作用层析(HIC)分析的图。最终药物对抗体比(DAR)通过HIC测定为1.86。
图20显示依照本公开内容的实施方案,缀合至附着至HIPS-4AP接头的美登木素载荷的重链C端(CT)带标签的αHER2抗体的一个例子(见实施例4)的聚合反相(PLRP)层析分析的图。最终药物对抗体比(DAR)通过PLRP测定为1.84。
图21显示依照本公开内容的实施方案,缀合至附着至HIPS-4AP接头的美登木素载荷的重链C端(CT)带标签的αHER2抗体的一个例子(见实施例4)的分析性大小排阻层析(SEC)分析的图。
图22显示依照本公开内容的实施方案,于37℃在大鼠血浆中14天里的抗美登木素信号/抗人Fc信号(标准化)的图,以测定在CT处缀合至HIPS-4AP-美登木素的αHER2 ADC的体外稳定性。
图23显示依照本公开内容的实施方案,对于多种分析物浓度(缀合至HIPS-4AP-美登木素和美登木素的αHER2 ADC),%存活力对分析物浓度(nM)的图,指示αHER2 CT HIPS-4AP-美登木素针对NCI-N87细胞的体外效力。
图24显示依照本公开内容的实施方案,吸光度(A.U.)对浓度(ng/mL)的图,显示αHER2 CT HIPS-4AP-美登木素与野生型αHER2相比的抗原结合。
图25显示依照本公开内容的实施方案,肿瘤体积对天数的图,显示αHER2 CTHIPS-4AP-美登木素ADC针对NCI-N87异种移植物模型的体内功效。
定义
除非另有指示,以下术语具有以下含义。任何未定义的术语具有它们在技术上公认的含义。
“烷基”指的是具有1至10个碳原子(诸如1至6个碳原子,或1至5个,或1至4个,或1至3个碳原子)的单价饱和脂肪族烃基。举例而言,这个术语包括直链和支链烃基,诸如甲基(CH3-),乙基(CH3CH2-),正丙基(CH3CH2CH2-),异丙基((CH3)2CH-),正丁基(CH3CH2CH2CH2-),异丁基((CH3)2CHCH2-),仲丁基((CH3)(CH3CH2)CH-),叔丁基((CH3)3C-),正戊基(CH3CH2CH2CH2CH2-),和新戊基((CH3)3CCH2-)。
术语“取代的烷基”指的是如下的如本文中定义的烷基,其中烷基链中的一个或多个碳原子(C1碳原子除外)已经任选用杂原子(诸如-O-,-N-,-S-,-S(O)n-(其中n为0至2),-NR-(其中R为氢或烷基))替换且具有1至5个选自由以下组成的群组的取代基:烷氧基,取代的烷氧基,环烷基,取代的环烷基,环烯基,取代的环烯基,酰基,酰基氨基,酰氧基,氨基,氨基酰基,氨基酰氧基,氧基氨基酰基,叠氮基,氰基,卤素,羟基,氧代,硫酮基,羧基,羧基烷基,硫代芳氧基,硫代杂芳氧基,硫代杂环氧基,硫醇基,硫代烷氧基,取代的硫代烷氧基,芳基,芳氧基,杂芳基,杂芳氧基,杂环基,杂环氧基,羟基氨基,烷氧基氨基,硝基,-SO-烷基,-SO-芳基,-SO-杂芳基,-SO2-烷基,-SO2-芳基,-SO2-杂芳基,和-NRaRb,其中R'和R"可以是相同的或不同的且选自氢,任选取代的烷基,环烷基,烯基,环烯基,炔基,芳基,杂芳基,和杂环基。
“亚烷基”指的是优选具有1至6个且更优选1至3个碳原子的二价脂肪族烃基,其为直链或支链,且任选间杂有一个或多个选自以下的基团:-O-,-NR10-,-NR10C(O)-,-C(O)NR10-等等。举例而言,这个术语包括亚甲基(-CH2-),亚乙基(-CH2CH2-),亚正丙基(-CH2CH2CH2-),亚异丙基(-CH2CH(CH3)-),(-C(CH3)2CH2CH2-),(-C(CH3)2CH2C(O)-),(-C(CH3)2CH2C(O)NH-),(-CH(CH3)CH2-),等等。
“取代的亚烷基”指的是有1至3个氢用下文“取代的”的定义中关于碳描述的取代基替换的亚烷基。
术语“烷”指的是如本文中定义的烷基和亚烷基。
术语“烷基氨基烷基”,“烷基氨基烯基”和“烷基氨基炔基”指的是基团R'NHR"-,其中R'为如本文中定义的烷基且R"为如本文中定义的亚烷基,亚烯基或亚炔基。
术语“烷芳基”或“芳烷基”指的是基团-亚烷基-芳基和-取代的亚烷基-芳基,其中亚烷基,取代的亚烷基和芳基在本文中定义。
“烷氧基”指的是基团-O-烷基,其中烷基如本文中定义。举例而言,烷氧基包括甲氧基,乙氧基,正丙氧基,异丙氧基,正丁氧基,叔丁氧基,仲丁氧基,正戊氧基,等等。术语“烷氧基”还指的是基团烯基-O-,环烷基-O-,环烯基-O-,和炔基-O-,其中烯基,环烷基,环烯基,和炔基如本文中定义。
术语“取代的烷氧基”指的是基团取代的烷基-O-,取代的烯基-O-,取代的环烷基-O-,取代的环烯基-O-,和取代的炔基-O-,其中取代的烷基,取代的烯基,取代的环烷基,取代的环烯基和取代的炔基如本文中定义。
术语“烷氧基氨基”指的是基团-NH-烷氧基,其中烷氧基在本文中定义。
术语“卤代烷氧基”指的是如下的基团烷基-O-,其中烷基上的一个或多个氢原子已经用卤基取代,而且举例而言包括诸如三氟甲氧基等基团。
术语“卤代烷基”指的是如上文描述的取代的烷基,其中烷基上的一个或多个氢原子已经用卤基取代。此类基团的例子包括但不限于氟代烷基,诸如三氟甲基,二氟甲基,三氟乙基等等。
术语“烷基烷氧基”指的是基团-亚烷基-O-烷基,亚烷基-O-取代的烷基,取代的亚烷基-O-烷基,和取代的亚烷基-O-取代的烷基,其中烷基,取代的烷基,亚烷基和取代的亚烷基如本文中定义。
术语“烷基硫代烷氧基”指的是基团-亚烷基-S-烷基,亚烷基-S-取代的烷基,取代的亚烷基-S-烷基和取代的亚烷基-S-取代的烷基,其中烷基,取代的烷基,亚烷基和取代的亚烷基如本文中定义。
“烯基”指的是具有2至6个碳原子和优选2至4个碳原子且具有至少1个和优选1至2个双键不饱和位点的直链或支链烃基。举例而言,这个术语包括联乙烯基,烯丙基,和丁-3-烯-1-基。这个术语内包括顺式和反式异构体或这些异构体的混合物。
术语“取代的烯基”指的是具有1至5个取代基或1至3个取代基的如本文中定义的烯基,所述取代基选自烷氧基,取代的烷氧基,环烷基,取代的环烷基,环烯基,取代的环烯基,酰基,酰基氨基,酰氧基,氨基,取代的氨基,氨基酰基,氨基酰氧基,氧基氨基酰基,叠氮基,氰基,卤素,羟基,氧代,硫酮基,羧基,羧基烷基,硫代芳氧基,硫代杂芳氧基,硫代杂环氧基,硫醇基,硫代烷氧基,取代的硫代烷氧基,芳基,芳氧基,杂芳基,杂芳氧基,杂环基,杂环氧基,羟基氨基,烷氧基氨基,硝基,-SO-烷基,-SO-取代的烷基,-SO-芳基,-SO-杂芳基,-SO2-烷基,-SO2-取代的烷基,-SO2-芳基和-SO2-杂芳基。
“炔基”指的是具有2至6个碳原子和优选2至3个碳原子且具有至少1个和优选1至2个三键不饱和位点的直链或支链单价烃基。此类炔基的例子包括乙炔基(-C≡CH)和炔丙基(-CH2C≡CH)。
术语“取代的炔基”指的是具有1至5个取代基或1至3个取代基的如本文中定义的炔基,所述取代基选自烷氧基,取代的烷氧基,环烷基,取代的环烷基,环烯基,取代的环烯基,酰基,酰基氨基,酰氧基,氨基,取代的氨基,氨基酰基,氨基酰氧基,氧基氨基酰基,叠氮基,氰基,卤素,羟基,氧代,硫酮基,羧基,羧基烷基,硫代芳氧基,硫代杂芳氧基,硫代杂环氧基,硫醇基,硫代烷氧基,取代的硫代烷氧基,芳基,芳氧基,杂芳基,杂芳氧基,杂环基,杂环氧基,羟基氨基,烷氧基氨基,硝基,-SO-烷基,-SO-取代的烷基,-SO-芳基,-SO-杂芳基,-SO2-烷基,-SO2-取代的烷基,-SO2-芳基,和-SO2-杂芳基。
“炔氧基”指的是基团-O-炔基,其中炔基如本文中定义。举例而言,炔氧基包括乙炔氧基,丙炔氧基,等等。
“酰基”指的是基团H-C(O)-,烷基-C(O)-,取代的烷基-C(O)-,烯基-C(O)-,取代的烯基-C(O)-,炔基-C(O)-,取代的炔基-C(O)-,环烷基-C(O)-,取代的环烷基-C(O)-,环烯基-C(O)-,取代的环烯基-C(O)-,芳基-C(O)-,取代的芳基-C(O)-,杂芳基-C(O)-,取代的杂芳基-C(O)-,杂环基-C(O)-,和取代的杂环基-C(O)-,其中烷基,取代的烷基,烯基,取代的烯基,炔基,取代的炔基,环烷基,取代的环烷基,环烯基,取代的环烯基,芳基,取代的芳基,杂芳基,取代的杂芳基,杂环基,和取代的杂环基如本文中定义。例如,酰基包括“乙酰基”基团CH3C(O)-。
“酰基氨基”指的是基团-NR20C(O)烷基,-NR20C(O)取代的烷基,NR20C(O)环烷基,-NR20C(O)取代的环烷基,-NR20C(O)环烯基,-NR20C(O)取代的环烯基,-NR20C(O)烯基,-NR20C(O)取代的烯基,-NR20C(O)炔基,-NR20C(O)取代的炔基,-NR20C(O)芳基,-NR20C(O)取代的芳基,-NR20C(O)杂芳基,-NR20C(O)取代的杂芳基,-NR20C(O)杂环基,和-NR20C(O)取代的杂环基,其中R20为氢或烷基且其中烷基,取代的烷基,烯基,取代的烯基,炔基,取代的炔基,环烷基,取代的环烷基,环烯基,取代的环烯基,芳基,取代的芳基,杂芳基,取代的杂芳基,杂环基,和取代的杂环基如本文中定义。
“氨基羰基”或术语“氨基酰基”指的是基团-C(O)NR21R22,其中R21和R22独立选自由以下组成的群组:氢,烷基,取代的烷基,烯基,取代的烯基,炔基,取代的炔基,芳基,取代的芳基,环烷基,取代的环烷基,环烯基,取代的环烯基,杂芳基,取代的杂芳基,杂环基,和取代的杂环基且其中R21和R22任选与其所结合的氮连接在一起以形成杂环基或取代的杂环基,且其中烷基,取代的烷基,烯基,取代的烯基,炔基,取代的炔基,环烷基,取代的环烷基,环烯基,取代的环烯基,芳基,取代的芳基,杂芳基,取代的杂芳基,杂环基,和取代的杂环基如本文中定义。
“氨基羰基氨基”指的是基团-NR21C(O)NR22R23,其中R21,R22,和R23独立选自氢,烷基,芳基或环烷基,或其中两个R基团连接以形成杂环基。
术语“烷氧基羰基氨基”指的是基团-NRC(O)OR,其中每个R独立为氢,烷基,取代的烷基,芳基,杂芳基,或杂环基,其中烷基,取代的烷基,芳基,杂芳基,和杂环基如本文中定义。
术语“酰氧基”指的是基团烷基-C(O)O-,取代的烷基-C(O)O-,环烷基-C(O)O-,取代的环烷基-C(O)O-,芳基-C(O)O-,杂芳基-C(O)O-,和杂环基-C(O)O-,其中烷基,取代的烷基,环烷基,取代的环烷基,芳基,杂芳基,和杂环基如本文中定义。
“氨基磺酰基”指的是基团-SO2NR21R22,其中R21和R22独立选自由以下组成的群组:氢,烷基,取代的烷基,烯基,取代的烯基,炔基,取代的炔基,芳基,取代的芳基,环烷基,取代的环烷基,环烯基,取代的环烯基,杂芳基,取代的杂芳基,杂环基,取代的杂环基且其中R21和R22任选与其所结合的氮连接在一起以形成杂环基或取代的杂环基,且烷基,取代的烷基,烯基,取代的烯基,炔基,取代的炔基,环烷基,取代的环烷基,环烯基,取代的环烯基,芳基,取代的芳基,杂芳基,取代的杂芳基,杂环基和取代的杂环基如本文中定义。
“磺酰基氨基”指的是基团-NR21SO2R22,其中R21和R22独立选自由以下组成的群组:氢,烷基,取代的烷基,烯基,取代的烯基,炔基,取代的炔基,芳基,取代的芳基,环烷基,取代的环烷基,环烯基,取代的环烯基,杂芳基,取代的杂芳基,杂环基,和取代的杂环基且其中R21和R22任选与其所结合的原子连接在一起以形成杂环基或取代的杂环基,且其中烷基,取代的烷基,烯基,取代的烯基,炔基,取代的炔基,环烷基,取代的环烷基,环烯基,取代的环烯基,芳基,取代的芳基,杂芳基,取代的杂芳基,杂环基和取代的杂环基如本文中定义。
“芳基”或“Ar”指的是具有单环(诸如存在于苯基中)或具有多个缩合环的环系统(此类芳香族环系统的例子包括萘基,蒽基和茚满基)的6至18个碳原子的单价芳香族碳环基,所述缩合环可以是或不是芳香族的,前提是附着点经由芳香环的原子。举例而言,这个术语包括苯基和萘基。除非另外受到芳基取代基的定义约束,此类芳基可以任选用1至5个取代基或1至3个取代基取代,所述取代基选自酰氧基,羟基,硫醇基,酰基,烷基,烷氧基,烯基,炔基,环烷基,环烯基,取代的烷基,取代的烷氧基,取代的烯基,取代的炔基,取代的环烷基,取代的环烯基,氨基,取代的氨基,氨基酰基,酰基氨基,烷芳基,芳基,芳氧基,叠氮基,羧基,羧基烷基,氰基,卤素,硝基,杂芳基,杂芳氧基,杂环基,杂环氧基,氨基酰氧基,氧酰基氨基,硫代烷氧基,取代的硫代烷氧基,硫代芳氧基,硫代杂芳氧基,-SO-烷基,-SO-取代的烷基,-SO-芳基,-SO-杂芳基,-SO2-烷基,-SO2-取代的烷基,-SO2-芳基,-SO2-杂芳基和三卤代甲基。
“芳氧基”指的是基团-O-芳基,其中芳基如本文中定义,举例而言,包括苯氧基,萘氧基,等等,包括也如本文中定义的任选取代的芳基。
“氨基”指的是基团-NH2。
术语“取代的氨基”指的是基团-NRR,其中每个R独立选自由以下组成的群组:氢,烷基,取代的烷基,环烷基,取代的环烷基,烯基,取代的烯基,环烯基,取代的环烯基,炔基,取代的炔基,芳基,杂芳基,和杂环基,前提是至少一个R不是氢。
术语“叠氮基”指的是基团-N3。
“羧基”或“羧酸盐”指的是-CO2H或其盐。
“羧基酯”或术语“羧基烷基”指的是基团-C(O)O-烷基,-C(O)O-取代的烷基,-C(O)O-烯基,-C(O)O-取代的烯基,-C(O)O-炔基,-C(O)O-取代的炔基,-C(O)O-芳基,-C(O)O-取代的芳基,-C(O)O-环烷基,-C(O)O-取代的环烷基,-C(O)O-环烯基,-C(O)O-取代的环烯基,-C(O)O-杂芳基,-C(O)O-取代的杂芳基,-C(O)O-杂环基,和-C(O)O-取代的杂环基,其中烷基,取代的烷基,烯基,取代的烯基,炔基,取代的炔基,环烷基,取代的环烷基,环烯基,取代的环烯基,芳基,取代的芳基,杂芳基,取代的杂芳基,杂环基,和取代的杂环基如本文中定义。
“(羧基酯)氧基”或“碳酸酯”指的是基团-O-C(O)O-烷基,-O-C(O)O-取代的烷基,-O-C(O)O-烯基,-O-C(O)O-取代的烯基,-O-C(O)O-炔基,-O-C(O)O-取代的炔基,-O-C(O)O-芳基,-O-C(O)O-取代的芳基,-O-C(O)O-环烷基,-O-C(O)O-取代的环烷基,-O-C(O)O-环烯基,-O-C(O)O-取代的环烯基,-O-C(O)O-杂芳基,-O-C(O)O-取代的杂芳基,-O-C(O)O-杂环基,和-O-C(O)O-取代的杂环基,其中烷基,取代的烷基,烯基,取代的烯基,炔基,取代的炔基,环烷基,取代的环烷基,环烯基,取代的环烯基,芳基,取代的芳基,杂芳基,取代的杂芳基,杂环基,和取代的杂环基如本文中定义。
“氰基”或“腈”指的是基团-CN。
“环烷基”指的是具有单环或包括稠合,桥连,和螺式环系统的多环的3至10个碳原子的环状烷基。举例而言,合适的环烷基的例子包括金刚烷基,环丙基,环丁基,环戊基,环辛基等等。举例而言,此类环烷基包括单环结构,诸如环丙基,环丁基,环戊基,环辛基,等等;或多环结构,诸如金刚烷基,等等。
术语“取代的环烷基”指的是具有1至5个取代基或1至3个取代基的环烷基,所述取代基选自烷基,取代的烷基,烷氧基,取代的烷氧基,环烷基,取代的环烷基,环烯基,取代的环烯基,酰基,酰基氨基,酰氧基,氨基,取代的氨基,氨基酰基,氨基酰氧基,氧基氨基酰基,叠氮基,氰基,卤素,羟基,氧代,硫酮基,羧基,羧基烷基,硫代芳氧基,硫代杂芳氧基,硫代杂环氧基,硫醇基,硫代烷氧基,取代的硫代烷氧基,芳基,芳氧基,杂芳基,杂芳氧基,杂环基,杂环氧基,羟基氨基,烷氧基氨基,硝基,-SO-烷基,-SO-取代的烷基,-SO-芳基,-SO-杂芳基,-SO2-烷基,-SO2-取代的烷基,-SO2-芳基和-SO2-杂芳基。
“环烯基”指的是具有单环或多环且具有至少一个双键和优选1至2个双键的3至10个碳原子的非芳香族环状烷基。
术语“取代的环烯基”指的是具有1至5个取代基或1至3个取代基的环烯基,所述取代基选自烷氧基,取代的烷氧基,环烷基,取代的环烷基,环烯基,取代的环烯基,酰基,酰基氨基,酰氧基,氨基,取代的氨基,氨基酰基,氨基酰氧基,氧基氨基酰基,叠氮基,氰基,卤素,羟基,酮基,硫酮基,羧基,羧基烷基,硫代芳氧基,硫代杂芳氧基,硫代杂环氧基,硫醇基,硫代烷氧基,取代的硫代烷氧基,芳基,芳氧基,杂芳基,杂芳氧基,杂环基,杂环氧基,羟基氨基,烷氧基氨基,硝基,-SO-烷基,-SO-取代的烷基,-SO-芳基,-SO-杂芳基,-SO2-烷基,-SO2-取代的烷基,-SO2-芳基和-SO2-杂芳基。
“环炔基”指的是具有单环或多环且具有至少一个三键的5至10个碳原子的非芳香族环烷基。
“环烷氧基”指的是-O-环烷基。
“环烯氧基”指的是-O-环烯基。
“卤代”或“卤素”指的是氟代,氯代,溴代,和碘代。
“羟基”指的是基团-OH。
“杂芳基”指的是在环内具有1至15个碳原子(诸如1至10个碳原子)和1至10个选自由氧,氮,和硫组成的群组的杂原子的芳香族基团。此类杂芳基可以具有单环(诸如吡啶基,咪唑基或呋喃基)或环系统中的多个缩合环(例如,在诸如吲哚嗪基,喹啉基,苯并呋喃,苯并咪唑基或苯并噻吩基的基团中),其中环系统内的至少一个环是芳香族的且环系统内的至少一个环是芳香族的,前提是附着点经由芳香环的原子。在某些实施方案中,杂芳基的氮和/或硫环原子任选被氧化以提供N-氧化物(N→O),亚磺酰基,或磺酰基模块。举例而言,这个术语包括吡啶基,吡咯基,吲哚基,苯硫基,和呋喃基。除非另外受到杂芳基取代基的定义约束,此类杂芳基可以任选用1至5个取代基或1至3个取代基取代,所述取代基选自酰氧基,羟基,硫醇基,酰基,烷基,烷氧基,烯基,炔基,环烷基,环烯基,取代的烷基,取代的烷氧基,取代的烯基,取代的炔基,取代的环烷基,取代的环烯基,氨基,取代的氨基,氨基酰基,酰基氨基,烷芳基,芳基,芳氧基,叠氮基,羧基,羧基烷基,氰基,卤素,硝基,杂芳基,杂芳氧基,杂环基,杂环氧基,氨基酰氧基,氧酰基氨基,硫代烷氧基,取代的硫代烷氧基,硫代芳氧基,硫代杂芳氧基,-SO-烷基,-SO-取代的烷基,-SO-芳基,-SO-杂芳基,-SO2-烷基,-SO2-取代的烷基,-SO2-芳基和-SO2-杂芳基,和三卤代甲基。
术语“杂芳烷基”指的是基团-亚烷基-杂芳基,其中亚烷基和杂芳基定义于本文中。举例而言,这个术语包括吡啶基甲基,吡啶基乙基,吲哚基甲基,等等。
“杂芳氧基”指的是-O-杂芳基。
“杂环”,“杂环烷基”,和“杂环基”指的是具有单环或多个缩合环(包括稠合,桥连和螺式环系统)且具有3至20个环原子,包括1至10个杂原子的饱和或不饱和基团。这些环原子选自由氮,硫,或氧组成的群组,其中在稠合环系统中,一个或多个环可以是环烷基,芳基,或杂芳基,前提是附着点经由非芳香环。在某些实施方案中,杂环基的氮和/或硫原子任选被氧化以提供N-氧化物,-S(O)-,或-SO2-模块。
杂环和杂芳基的例子包括但不限于氮杂环丁烷,吡咯,咪唑,吡唑,吡啶,吡嗪,嘧啶,哒嗪,吲哚嗪,异吲哚,吲哚,二氢吲哚,吲唑,嘌呤,喹嗪,异喹啉,喹啉,酞嗪,萘基吡啶,喹喔啉,喹唑啉,噌啉,蝶啶,咔唑,咔啉,菲啶,吖啶,菲咯啉,异噻唑,吩嗪,异噁唑,吩噁嗪,吩噻嗪,咪唑烷,咪唑啉,哌啶,哌嗪,吲哚啉,邻苯二甲酰亚胺,1,2,3,4-四氢异喹啉,4,5,6,7-四氢苯并[b]噻吩,噻唑,噻唑烷,噻吩,苯并[b]噻吩,吗啉基,硫吗啉基(也称作噻吗啉基),1,1-二氧代硫吗啉基,哌啶基,吡咯烷,四氢呋喃基,等等。
除非另外受到杂环取代基的定义约束,此类杂环基可以任选用1至5个或1至3个取代基取代,所述取代基选自烷氧基,取代的烷氧基,环烷基,取代的环烷基,环烯基,取代的环烯基,酰基,酰基氨基,酰氧基,氨基,取代的氨基,氨基酰基,氨基酰氧基,氧基氨基酰基,叠氮基,氰基,卤素,羟基,氧代,硫酮基,羧基,羧基烷基,硫代芳氧基,硫代杂芳氧基,硫代杂环氧基,硫醇基,硫代烷氧基,取代的硫代烷氧基,芳基,芳氧基,杂芳基,杂芳氧基,杂环基,杂环氧基,羟基氨基,烷氧基氨基,硝基,-SO-烷基,-SO-取代的烷基,-SO-芳基,-SO-杂芳基,-SO2-烷基,-SO2-取代的烷基,-SO2-芳基,-SO2-杂芳基,和稠合杂环。
“杂环氧基”指的是基团-O-杂环基。
术语“杂环硫基”指的是基团杂环-S-。
术语“亚杂环基”指的是由如本文中定义的杂环形成的双根基团。
术语“羟基氨基”指的是基团-NHOH。
“硝基”指的是基团-NO2。
“氧代”指的是原子(=O)。
“磺酰基”指的是基团SO2-烷基,SO2-取代的烷基,SO2-烯基,SO2-取代的烯基,SO2-环烷基,SO2-取代的环烷基,SO2-环烯基,SO2-取代的环烯基,SO2-芳基,SO2-取代的芳基,SO2-杂芳基,SO2-取代的杂芳基,SO2-杂环基,和SO2-取代的杂环基,其中烷基,取代的烷基,烯基,取代的烯基,炔基,取代的炔基,环烷基,取代的环烷基,环烯基,取代的环烯基,芳基,取代的芳基,杂芳基,取代的杂芳基,杂环基,和取代的杂环基如本文中定义。举例而言,磺酰基包括甲基-SO2-,苯基-SO2-,和4-甲基苯基-SO2-。
“磺酰氧基”指的是基团-OSO2-烷基,OSO2-取代的烷基,OSO2-烯基,OSO2-取代的烯基,OSO2-环烷基,OSO2-取代的环烷基,OSO2-环烯基,OSO2-取代的环烯基,OSO2-芳基,OSO2-取代的芳基,OSO2-杂芳基,OSO2-取代的杂芳基,OSO2-杂环基,和OSO2取代的杂环基,其中烷基,取代的烷基,烯基,取代的烯基,炔基,取代的炔基,环烷基,取代的环烷基,环烯基,取代的环烯基,芳基,取代的芳基,杂芳基,取代的杂芳基,杂环基,和取代的杂环基如本文中定义。
术语“氨基羰氧基”指的是基团-OC(O)NRR,其中每个R独立为氢,烷基,取代的烷基,芳基,杂芳基,或杂环基,其中烷基,取代的烷基,芳基,杂芳基和杂环基如本文中定义。
“硫醇基”指的是基团-SH。
“硫代”或术语“硫酮基”指的是原子(=S)。
“烷硫基”或术语“硫代烷氧基”指的是基团-S-烷基,其中烷基如本文中定义。在某些实施方案中,硫可以被氧化成-S(O)-。亚砜可以作为一种或多种立体异构体存在。
术语“取代的硫代烷氧基”指的是基团-S-取代的烷基。
术语“硫代芳氧基”指的是基团芳基-S-,其中芳基如本文中定义,包括也在本文中定义的任选取代的芳基。
术语“硫代杂芳氧基”指的是基团杂芳基-S-,其中杂芳基如本文中定义,包括也如本文中定义的任选取代的芳基。
术语“硫代杂环氧基”指的是基团杂环基-S-,其中杂环基如本文中定义,包括也如本文中定义的任选取代的杂环基。
在本文中的公开内容之外,术语“取代的”当用于修饰指定基团或根时,也可以意味着指定基团或根的一个或多个氢原子每个彼此独立地用如下文定义的相同或不同取代基替换。
在关于本文中的个别术语公开的基团之外,除非另有规定,用于取代指定基团或根中的饱和碳原子上的一个或多个氢(单个碳上的任两个氢可以用=O,=NR70,=N-OR70,=N2或=S替换)的取代基为-R60,卤代,=O,-OR70,-SR70,-NR80R80,三卤代甲基,-CN,-OCN,-SCN,-NO,-NO2,=N2,-N3,-SO2R70,-SO2O-M+,-SO2OR70,-OSO2R70,-OSO2O-M+,-OSO2OR70,-P(O)(O-)2(M+)2,-P(O)(OR70)O-M+,-P(O)(OR70)2,-C(O)R70,-C(S)R70,-C(NR70)R70,-C(O)O-M+,-C(O)OR70,-C(S)OR70,-C(O)NR80R80,-C(NR70)NR80R80,-OC(O)R70,-OC(S)R70,-OC(O)O-M+,-OC(O)OR70,-OC(S)OR70,-NR70C(O)R70,-NR70C(S)R70,-NR70CO2 -M+,-NR70CO2R70,-NR70C(S)OR70,-NR70C(O)NR80R80,-NR70C(NR70)R70和-NR70C(NR70)NR80R80,其中R60选自由以下组成的群组:任选取代的烷基,环烷基,杂烷基,杂环烷基烷基,环烷基烷基,芳基,芳基烷基,杂芳基,和杂芳基烷基,每个R70独立是氢或R60;每个R80独立是R70,或者,两个R80’连同其所键结的氮原子一起形成5,6或7元杂环烷基,所述杂环烷基可以任选包括1至4个相同或不同的选自由O,N和S组成的群组的额外杂原子,其中N可以具有-H或C1-C3烷基取代;且每个M+是具有净的单正电荷的反离子。例如,每个M+可以独立是碱金属离子,诸如K+,Na+,Li+;铵离子,诸如+N(R60)4;或碱土金属离子,诸如[Ca2+]0.5,[Mg2+]0.5,或[Ba2+]0.5(下标0.5意味着此类二价碱土金属离子的一个反离子可以是本发明的化合物的离子化形式且另一个是典型的反离子诸如氯离子,或本文中公开的两个离子化化合物可以充当此类二价碱土金属离子的反离子,或本发明的双重离子化化合物可以充当此类二价碱土金属离子的反离子)。作为特定例子,-NR80R80意图包括-NH2,-NH-烷基,N-吡咯烷基,N-哌嗪基,4N-甲基-哌嗪-1-基和N-吗啉基。
在本文中的公开内容之外,除非另有规定,“取代的”烯,炔,芳基和杂芳基基团中的不饱和碳原子上的氢的取代基是-R60,卤代,-O-M+,-OR70,-SR70,-S-M+,-NR80R80,三卤代甲基,-CF3,-CN,-OCN,-SCN,-NO,-NO2,-N3,-SO2R70,-SO3 -M+,-SO3R70,-OSO2R70,-OSO3 -M+,-OSO3R70,-PO3 -2(M+)2,-P(O)(OR70)O-M+,-P(O)(OR70)2,-C(O)R70,-C(S)R70,-C(NR70)R70,-CO2 -M+,-CO2R70,-C(S)OR70,-C(O)NR80R80,-C(NR70)NR80R80,-OC(O)R70,-OC(S)R70,-OCO2 -M+,-OCO2R70,-OC(S)OR70,-NR70C(O)R70,-NR70C(S)R70,-NR70CO2 -M+,-NR70CO2R70,-NR70C(S)OR70,-NR70C(O)NR80R80,-NR70C(NR70)R70和-NR70C(NR70)NR80R80,其中R60,R70,R80和M+如先前定义,前提是在取代的烯或炔的情况中,取代基不是-O-M+,-OR70,-SR70,或-S-M+。
在关于本文中的个别术语公开的基团之外,除非另有规定,“取代的”杂烷基和环杂烷基中的氮原子上的氢的取代基是-R60,-O-M+,-OR70,-SR70,-S-M+,-NR80R80,三卤代甲基,-CF3,-CN,-NO,-NO2,-S(O)2R70,-S(O)2O-M+,-S(O)2OR70,-OS(O)2R70,-OS(O)2O-M+,-OS(O)2OR70,-P(O)(O-)2(M+)2,-P(O)(OR70)O-M+,-P(O)(OR70)(OR70),-C(O)R70,-C(S)R70,-C(NR70)R70,-C(O)OR70,-C(S)OR70,-C(O)NR80R80,-C(NR70)NR80R80,-OC(O)R70,-OC(S)R70,-OC(O)OR70,-OC(S)OR70,-NR70C(O)R70,-NR70C(S)R70,-NR70C(O)OR70,-NR70C(S)OR70,-NR70C(O)NR80R80,-NR70C(NR70)R70和-NR70C(NR70)NR80R80,其中R60,R70,R80和M+如先前定义。
在本文中的公开内容之外,在某个实施方案中,取代的基团具有1,2,3,或4个取代基,1,2,或3个取代基,1或2个取代基,或1个取代基。
应了解,在上文定义的所有取代的基团中,通过定义本身具有进一步取代基的取代基而得到的聚合物(例如,取代的芳基具有取代的芳基作为取代基,这个取代基本身用取代的芳基取代,而这个取代的芳基进一步用取代的芳基取代,等)不意图包括在本文中。在此类情况中,此类取代的最大数目是三个。例如,本文中具体涵盖的取代的芳基的系列取代限于取代的芳基-(取代的芳基)-取代的芳基。
除非另有指示,本文中未明确定义的取代基的命名通过叫出官能团的末端部分,接下来叫出接近附着点的相邻官能团来达成。例如,取代基“芳基烷氧基羰基”指的是基团(芳基)-(烷基)-O-C(O)-。
关于本文中公开的含有一个或多个取代基的任何基团,应了解,当然,此类基团不含空间上不可实现和/或合成上不可行的任何取代或取代样式。另外,主题化合物包括由这些化合物的取代而产生的所有立体化学异构体。
术语“药学可接受盐”意味着对于施用于患者,诸如哺乳动物可接受的盐(与对于给定的剂量方案具有可接受的哺乳动物安全性的反离子的盐)。此类盐可以衍生自药学可接受的无机或有机碱和药学可接受的无机或有机酸。“药学可接受盐”指的是化合物的药学可接受盐,所述盐衍生自本领域公知的各种有机和无机反离子,而且仅举例而言,包括钠,钾,钙,镁,铵,四烷基铵,等等;而且当分子含有碱性官能团时,包括有机或无机酸的盐,诸如盐酸或氢氯酸盐,氢溴酸盐,甲酸盐,酒石酸盐,苯磺酸盐,甲磺酸盐,乙酸盐,马来酸盐,草酸盐,等等。
术语“其盐”意味着当酸的质子用阳离子诸如金属阳离子或有机阳离子等等替换时形成的化合物。在适用的情况下,盐是药学可接受盐,虽然这对于不意图施用于患者的中间化合物的盐不是必需的。举例而言,本发明化合物的盐包括如下的那些盐,其中化合物被无机或有机酸质子化以形成阳离子,其中无机或有机酸的共轭碱作为盐的阴离子成分。
“溶剂合物”指的是通过溶剂分子与溶质的分子或离子组合而形成的复合物。溶剂可以是有机化合物,无机化合物,或二者的混合物。溶剂的一些例子包括但不限于甲醇,N,N-二甲基甲酰胺,四氢呋喃,二甲亚砜,和水。当溶剂是水时,所形成的溶剂合物是水合物。
“立体异构体”指的是在空间中具有相同的原子连接但不同的原子排列的化合物。立体异构体包括顺-反异构体,E和Z异构体,对映异构体,和非对映异构体。
“互变异构体”指的是仅在原子的电子键结和/或质子的位置方面不同的分子的变换形式,诸如烯醇-酮和亚胺-烯胺互变异构体;或含有-N=C(H)-NH-环原子排列的杂芳基的互变异构形式,诸如吡唑,咪唑,苯并咪唑,三唑,和四唑。本领域普通技术人员会认识到其它互变异构环原子排列是可能的。
应了解,术语“或其盐或溶剂合物或立体异构体”意图包括盐,溶剂合物和立体异构体的所有编排,诸如主题化合物的立体异构体的药学可接受盐的溶剂合物。
“药学有效量”和“治疗有效量”指的是足以治疗指定的病症或疾病或其一种或多种症状和/或预防疾病或病症发生的化合物的量。提到致瘤性增殖性病症时,药学或治疗有效量包含足以引起肿瘤缩小或降低肿瘤生长速率等的量。
“患者”指的是人类和非人类受试者,尤其是哺乳动物受试者。
如本文中使用的,术语“治疗”或“处理”意味着对患者,诸如哺乳动物(特别是人类)中的疾病或医学状况的治疗或处理,包括:(a)预防疾病或医学状况发生,诸如对受试者的预防性治疗;(b)改善疾病或医学状况,诸如消除患者中的疾病或医学状况或引起患者中的疾病或医学状况消退;(c)阻抑疾病或医学状况,例如通过减缓或阻滞患者中的疾病或医学状况的发展;或(d)减轻患者中的疾病或医学状况的症状。
术语“多肽”,“肽”,和“蛋白质”在本文中可互换使用,指的是任何长度的氨基酸的聚合形式。除非另有特别指示,“多肽”,“肽”,和“蛋白质”可以包括遗传编码的和非编码的氨基酸,化学或生物化学修饰或衍生的氨基酸,和具有经修饰的肽骨架的多肽。这个术语包括融合蛋白,包括但不限于具有异源氨基酸序列的融合蛋白,具有异源和同源前导序列的融合体,含有至少一个N端甲硫氨酸残基(例如,以推动在重组细菌宿主细胞中产生)的蛋白质;带有免疫学标签的蛋白质;等等。
“天然氨基酸序列”或“亲本氨基酸序列”在本文中可互换使用,指的是在进行修饰以包括修饰的氨基酸残基之前多肽的氨基酸序列。
术语“氨基酸类似物”,“非天然氨基酸”,等等可以互换使用,而且包括在结构和/或整体形状方面与天然存在的蛋白质中通常找到的一种或多种氨基酸(例如Ala或A,Cys或C,Asp或D,Glu或E,Phe或F,Gly或G,His或H,Ile或I,Lys或K,Leu或L,Met或M,Asn或N,Pro或P,Gln或Q,Arg或R,Ser或S,Thr或T,Val或V,Trp或W,Tyr或Y)相似的氨基酸样化合物。氨基酸类似物还包括具有修饰的侧链或骨架的天然氨基酸。氨基酸类似物还包括与天然存在的D型具有相同立体化学的氨基酸类似物,以及L型的氨基酸类似物。在一些情况中,氨基酸类似物分享骨架结构和/或一种或多种天然氨基酸的侧链结构,但是差异在于分子中的一个或多个修饰的基团。此类修饰可以包括但不限于原子(诸如N)取代相关原子(诸如S),添加基团(诸如甲基或羟基,等)或原子(诸如Cl或Br,等),删除基团,取代共价键(单键取代双键,等),或其组合。例如,氨基酸类似物可以包括α-羟基酸和α-氨基酸,等等。
术语“碳水化合物”诸如此类可用于指单糖,二糖,寡糖,和多糖的单体单元和/或聚合物。术语糖可用于指较小的碳水化合物,诸如单糖,二糖。术语“碳水化合物衍生物”包括如下的化合物,其中感兴趣碳水化合物的一个或多个官能团是取代的(用任何常规取代基替换),修饰的(使用任何常规化学转变成另一种基团)或缺失的(例如消除或用H替换)。多种碳水化合物和碳水化合物衍生物是可得的,而且可适应用于主题化合物和缀合物。
术语“抗体”以最广义使用,而且包括单克隆抗体(包括全长单克隆抗体),多克隆抗体,和多特异性抗体(例如双特异性抗体),人源化抗体,单链抗体,嵌合抗体,抗体片段(例如Fab片段),等等。抗体能够结合靶抗原(Janeway,C.,Travers,P.,Walport,M.,Shlomchik(2001)Immuno Biology,5th Ed.,Garland Publishing,New York)。靶抗原可以具有一个或多个结合位点,也称作表位,其受到由抗体的一个或多个可变区形成的互补决定区(CDR)识别。
术语“天然抗体”指的是如下抗体,其中抗体的重链和轻链已经由多细胞生物体的免疫系统生成并配对。脾,淋巴结,骨髓和血清是产生天然抗体的组织的例子。例如,由自经过抗原免疫的第一动物分离的抗体产生细胞产生的抗体是天然抗体。
术语“人源化抗体”或“人源化免疫球蛋白”指的是所含有的一个或多个氨基酸(例如在框架区,恒定区或CDR中)已经用来自人抗体的处于对应位置的氨基酸替代的非人(例如小鼠或家兔)抗体。一般而言,人源化抗体在人类宿主中产生与相同抗体的非人源化型式相比减小的免疫反应。抗体可以使用本领域已知的多种技术进行人源化,包括例如CDR嫁接(EP 239,400;PCT公开文本WO 91/09967;美国专利No.5,225,539;No.5,530,101;和No.5,585,089),镶饰或重建表面(EP 592,106;EP 519,596;Padlan,Molecular Immunology 28(4/5):489-498(1991);Studnicka等,Protein Engineering 7(6):805-814(1994);Roguska等,PNAS 91:969-973(1994)),和链改组(美国专利No.5,565,332)。在某些实施方案中,框架替代是通过对CDR和框架残基的相互作用进行建模以鉴定对于抗原结合重要的框架残基及进行序列比较以鉴定在特定位置处的非常见框架残基来鉴定的(参见例如美国专利No.5,585,089;Riechmann等,Nature 332:323(1988))。可用于本发明的人源化抗体的其它方法描述于美国专利No.5,750,078;No.5,502,167;No.5,705,154;No.5,770,403;No.5,698,417;No.5,693,493;No.5,558,864;No.4,935,496;和No.4,816,567,和PCT公开文本WO 98/45331和WO 98/45332。在特定实施方案中,可以依照US20040086979和US20050033031中列出的方法人源化主题家兔抗体。因而,可以使用本领域公知的方法人源化上文所述抗体。
术语“嵌合抗体”指的是轻链和重链基因已经通常通过遗传工程改造从属于不同物种的抗体可变区和恒定区基因来构建的抗体。例如,可以将来自小鼠单克隆抗体的基因的可变区段连接至人恒定区段,诸如伽马1和伽马3。治疗性嵌合抗体的一个例子是由来自小鼠抗体的可变域或抗原结合域和来自人抗体的恒定域或效应器域构成的杂合蛋白,虽然可以使用来自其它哺乳动物物种的域。
免疫球蛋白多肽的免疫球蛋白轻链或重链可变区由间插3个高变区(也称为“互补决定区”或“CDR”)的框架区(FR)构成。框架区和CDR的界限已被界定(参见“Sequences ofProteins of Immunological Interest,”E.Kabat等,U.S.Department of Health andHuman Services,1991)。作为组成轻链和重链的组合框架区的抗体的框架区用于定位和对齐(align)CDR。CDR主要负责对抗原的表位的结合。
贯穿本公开内容,免疫球蛋白重链和免疫球蛋白轻链中的残基的编号如Kabat等,Sequences of Proteins of Immunological Interest,5th Ed.Public Health Service,National Institutes of Health,Bethesda,Md.(1991)所述(通过援引明确收入本文)。
“亲本Ig多肽”是包含缺乏本文所述醛标记的恒定区的氨基酸序列的多肽。亲本多肽可包含天然序列恒定区,或可包含具有预先存在的氨基酸序列修饰(诸如添加,删除和/或替代)的恒定区。
在Ig多肽的背景中,术语“恒定区”在本领域被良好理解,是指Ig重链或Ig轻链的C端区域。Ig重链恒定区包括CH1,CH2,和CH3结构域(和CH4结构域,其中重链是μ或ε重链)。在天然Ig重链中,CH1、CH2、CH3(以及,如果存在,CH4)结构域正好始于重链可变(VH)区之后(C端),并且各自在长度上为约100个氨基酸至约130个氨基酸。在天然Ig轻链中,恒定区正好始于轻链可变(VL)区之后(C端),并且在长度上为约100个氨基酸至120个氨基酸。
如本文中使用的,术语“CDR”或“互补决定区”意图表示在重和轻链多肽二者的可变区中找到的非连续抗原结合位点。CDR已经记载于Kabat et al.,J.Biol.Chem.252:6609-6616(1977);Kabat et al.,U.S.Dept.of Health and Human Services,“Sequencesof proteins of immunological interest”(1991);Chothia et al.,J.Mol.Biol.196:901-917(1987);和MacCallum et al.,J.Mol.Biol.262∶732-745(1996),其中当彼此比较时定义包括氨基酸残基交叠或子集。无论如何,应用任一定义来指抗体或嫁接抗体或其变体的CDR意图在本文中定义和使用的术语的范围内。下文表1中作为比较列出了涵盖上文引用的每一篇参考文献定义的CDR的氨基酸残基。
表1:CDR定义
| Kabat<sup>1</sup> | Chothia<sup>2</sup> | MacCallum<sup>3</sup> | |
| V<sub>H</sub> CDR1 | 31-35 | 26-32 | 30-35 |
| V<sub>H</sub> CDR2 | 50-65 | 53-55 | 47-58 |
| V<sub>H</sub> CDR3 | 95-102 | 96-101 | 93-101 |
| V<sub>L</sub> CDR1 | 24-34 | 26-32 | 30-36 |
| V<sub>L</sub> CDR2 | 50-56 | 50-52 | 46-55 |
| V<sub>L</sub> CDR3 | 89-97 | 91-96 | 89-96 |
1残基编号遵循Kabat等,见上文的命名法
2残基编号遵循Chothia等,见上文的命名法
3残基编号遵循MacCallum等,见上文的命名法
如提到多肽,肽或蛋白质的氨基酸序列时使用的,“可遗传编码的”意味着氨基酸序列由能够通过编码氨基酸序列的核酸的转录和翻译而产生的氨基酸残基构成,其中转录和/或翻译可以在细胞中或无细胞体外转录/翻译系统中发生。
术语“控制序列”指的是推动可操作连接的编码序列在特定表达系统(例如哺乳动物细胞,细菌细胞,无细胞合成,等)中表达的DNA序列。例如,适合于原核生物系统的控制序列包括启动子,任选的操纵基因序列,和核糖体结合位点。真核细胞系统可以利用启动子,多腺苷酸化信号,和增强子。
核酸当置于与另一核酸序列的功能性关系时是“可操作连接的”。例如,如果前序列或分泌前导的DNA表达成参与多肽分泌的前蛋白,那么该前序列或分泌前导序列的DNA是可操作连接至该多肽的DNA的;如果启动子或增强子影响编码序列的转录,那么该启动子或增强子是可操作连接至该序列的;或者,如果核糖体结合位点的定位推动翻译起始,那么该核糖体结合位点是可操作连接至编码序列的。一般而言,“可操作连接”意味着所连接的DNA序列是相连的,而且在分泌前导的情况中,是相连且在阅读框中的。连接通过接合或经由扩增反应来实现。可以依照常规实践使用合成寡核苷酸衔接头或接头来连接序列。
如本文中使用的,术语“表达盒”指的是可以插入核酸中(例如通过使用与接合入感兴趣构建体中相容的限制性位点或通过同源重组入感兴趣构建体或宿主细胞基因组中)的核酸(通常是DNA)区段。一般而言,核酸区段包含编码感兴趣多肽的多核苷酸,而且盒和限制性位点设计成推动将盒插入正确的阅读框中进行转录和翻译。表达盒还可以包含推动在宿主细胞中表达编码感兴趣多肽的多核苷酸的元件。这些元件可以包括但不限于启动子,最小限度启动子,增强子,响应元件,终止子序列,聚腺苷酸化序列,等等。
如本文中使用的,术语“分离的”意图描述处于与化合物天然存在的环境不同的环境中的感兴趣化合物。“分离的”意图包括在实质性富集了感兴趣化合物和/或感兴趣化合物得到部分或实质性纯化的样品内的化合物。
如本文中使用的,术语“实质性纯化”指的是自其天然环境移出且至少60%不含,至少75%不含,至少80%不含,至少85%不含,至少90%不含,至少95%不含,至少98%不含,或超过98%不含与其天然相关的其它成分的化合物。
术语“生理条件”意图涵盖与活细胞相容的那些条件,例如与活细胞相容的温度,pH,盐度,等主要含水的条件。
“反应性配偶”意味着与另一反应性配偶特异性反应以产生反应产物的分子或分子模块。例示性的反应性配偶包括硫酸酯酶基序的半胱氨酸或丝氨酸和甲酰甘氨酸生成酶(FGE),它们反应形成含有甲酰甘氨酸(FGly)替代基序中的半胱氨酸或丝氨酸的转化醛标签的反应产物。其它例示性的反应性配偶包括转化醛标签(例如反应性醛基团)的fGly残基的醛和“醛反应性反应性配偶”,该醛反应性反应性配偶包含醛反应性基团和感兴趣部分,且反应形成反应产物带有修饰的醛标签的多肽,其中感兴趣模块经由修饰的fGly残基缀合至修饰的多肽。
“N端”指的是多肽中具有游离胺基团的末端氨基酸残基,在非N端氨基酸残基中的胺基团通常形成多肽的共价骨架的一部分。
“C端”指的是多肽中具有游离羧基基团的末端氨基酸残基,在非C端氨基酸残基中的羧基基团通常形成多肽的共价骨架的一部分。
如提到多肽或多肽的氨基酸序列时使用的,“内部位点”意味着多肽中不在N端或C端的区域。
在进一步描述本发明之前,应了解,本发明并不限于所描述的特定实施方案,所述实施方案当然可以有变化。还应了解,本文中使用的术语仅仅出于描述特定实施方案的目的,并不意图是限制性的,因为本发明的范围会仅受所附权利要求书的限制。
在提供数值的范围的情况下,应了解,除非上下文另有明确规定,本发明内涵盖介于该范围的上限和下限之间相隔下限单位十分之一的每个居间值和该规定范围内的任何其它规定值或居间值。这些较小范围的上限和下限可以独立包括在较小范围中,而且也涵盖于本发明内,服从于在规定范围内任何特定排除的界限。在规定范围包括两个界限之一或二者的情况下,排除那些所包括的界限中的任一或两者的范围也包括于本发明中。
应了解,为了清楚起见在分开的实施方案的上下文中描述的本发明的某些特征也可以在单个实施方案中组合提供。反之,为简便起见在单个实施方案的上下文中描述的本发明的各种特征也可以分开或以任何合适的子组合提供。本发明具体涵盖且本文中公开了属于本发明的实施方案的所有组合,就像个别且明确地公开每个和每一个组合一样,达到所述组合涵盖主题的程度,例如,作为稳定化合物的化合物(即,可以生成,分离,表征,及测试生物学活性的化合物)。另外,本发明也具体涵盖且本文中公开了各种实施方案及其要素(例如描述此类变量的实施方案中列出的化学基团的要素)的所有子组合,就像本文中个别且明确地公开每个和每一个此类子组合一样。
除非另有定义,本文中使用的所有技术和科学术语具有与本发明所属领域的普通技术人员通常理解的含义相同的含义。虽然也可以使用与本文中描述的方法和材料类似或等同的任何方法和材料来实施或测试本发明,但是现在描述优选的方法和材料。通过援引将本文中提到的所有出版物收入本文以披露和记载与所引用的出版物有关的方法和/或材料。
必须注意,除非上下文另有明确规定,如本文和所附权利要求书中使用的单数形式“一个”,“一种”,和“所述/该”包括复数指示物。应进一步注意,权利要求书可以撰写成排除任何任选要素。这样的话,这个陈述意图充当与列举权利要求的要素或使用“负向”限制相结合来使用诸如“只”,“仅”等排他性术语的在先基础。
应了解,为清楚起见在分开的实施方案的上下文中描述的本发明的某些特征也可以在单个实施方案中组合提供。反之,为简便起见在单个实施方案的上下文中描述的本发明的各种特征也可以分开或以任何合适的子组合提供。
本文中讨论的出版物仅仅因为它们在本申请的提交日之前公开而提供。本文中的任何内容都不应解释为承认本发明依据在先发明没有先于所述出版物的资格。而且,所提供的出版物的日期可能不同于实际的出版日期,这可能需要独立确认。
详述
本公开内容提供了抗HER2抗体-美登木素缀合物结构。本公开内容还涵盖此类缀合物的生产方法以及使用方法。在以下章节中更为详细地描述每一种的实施方案。
缀合物
本公开内容提供了缀合物。“缀合物”意味着第一模块与第二模块稳定联合。“稳定联合”意味着在标准条件下一个模块结合至另一个模块或结构。在某些实施方案中,第一和第二模块经由一个或多个共价键彼此结合。
在某些实施方案中,缀合物是多肽缀合物,其包括缀合至第二模块的多肽。在某些实施方案中,缀合至多肽的模块可以是多种感兴趣模块任一,诸如但不限于可检测标记物,药物,水溶性聚合物,或用于将多肽固定化至膜或表面的模块。感兴趣模块可以在多肽的任何期望位点处缀合至多肽。如此,例如,本公开内容提供了如下的经修饰的多肽,其具有在多肽的C端或C端附近的位点处缀合的模块。其它例子包括如下的经修饰的多肽,其具有在多肽的N端或N端附近的位置处缀合的模块。例子还包括如下的经修饰的多肽,其具有在多肽的C端和N端之间的位置处(例如在多肽的内部位点处)缀合的模块。在经修饰的多肽缀合至两个或更多个模块的情况下,上述的组合也是可能的。
本公开内容的实施方案包括如下的缀合物,其中多肽缀合至一个或多个模块,诸如2个模块,3个模块,4个模块,5个模块,6个模块,7个模块,8个模块,9个模块,或10个或更多个模块。模块可以在多肽中的一个或多个位点处缀合至多肽。例如,一个或多个模块可以缀合至多肽的单个氨基酸残基。在一些情况中,一个模块缀合至多肽的一个氨基酸残基。在其它实施方案中,两个模块可以缀合至多肽的同一氨基酸残基。在其它实施方案中,第一模块缀合至多肽的第一氨基酸残基且第二模块缀合至多肽的第二氨基酸残基。例如,在多肽在第一氨基酸残基处缀合至第一模块且在第二氨基酸残基处缀合至两个其它模块的情况下,上述的组合也是可能的。其它组合也是可能的,诸如但不限于在第一氨基酸残基处缀合至第一和第二模块且在第二氨基酸残基处缀合至第三和第四模块的多肽,等。
多肽中缀合至一个或多个模块的一个或多个氨基酸残基可以是天然存在氨基酸,非天然氨基酸,或其组合。例如,缀合物可以包括缀合至多肽的天然存在氨基酸残基的模块。在其它情况中,缀合物可以包括缀合至多肽的非天然氨基酸残基的模块。如上所述,一个或多个模块可以在单个天然或非天然氨基酸残基处缀合至多肽。如本文中描述的,多肽中的一个或多个天然或非天然氨基酸残基可以缀合至一个或多个模块。例如,多肽中的两个(或更多个)氨基酸残基(例如天然或非天然氨基酸残基)可以每个缀合至一个或两个模块,使得多肽中的多个位点是经过修饰的。
如本文中描述的,多肽可缀合至一个或多个模块。在某些实施方案中,感兴趣模块是化学实体,诸如药物或可检测标记物。例如,药物可缀合至多肽,或在其它实施方案中,可检测标记物可缀合至多肽。如此,例如,本公开内容的实施方案包括但不限于下述:一个多肽和一个药物的缀合物;一个多肽和一个可检测标记物的缀合物;两个或更多个药物和一个多肽的缀合物;两个或更多个可检测标记物和一个多肽的缀合物;等等。
在某些实施方案中,多肽和感兴趣模块经由偶联模块而缀合。例如,多肽和感兴趣模块可以每个结合(例如共价键结)至偶联模块,如此经由偶联模块将多肽和感兴趣模块间接地结合在一起。在一些情况中,偶联模块包括肼基-吡咯并化合物或肼基-吡咯并化合物的衍生物。例如,用于经由肼基-吡咯并偶联模块(例如肼基-异-Pictet-Spengler(HIPS)偶联模块)将感兴趣模块偶联至多肽的一种通用方案显示于下文通用反应方案中。
在上文反应方案中,R”’可以是缀合至多肽的感兴趣模块。如本文中描述的,所述模块可以是多种模块任一,诸如但不限于化学实体,诸如可检测标记物或药物(例如美登木素生物碱)。R’和R”可以每个独立是任何期望取代基,诸如但不限于氢,烷基,取代的烷基,烯基,取代的烯基,炔基,取代的炔基,烷氧基,取代的烷氧基,氨基,取代的氨基,羧基,羧基酯,酰基,酰氧基,酰基氨基,氨基酰基,烷基酰胺,取代的烷基酰胺,磺酰基,硫代烷氧基,取代的硫代烷氧基,芳基,取代的芳基,杂芳基,取代的杂芳基,环烷基,取代的环烷基,杂环基,和取代的杂环基。Q10,Q20,Q30和Q40可以是CR11,NR12,N,O或S,其中Q10,Q20,Q30和Q40中一项是任选的且R11和R12可以是任何期望取代基。
在某些实施方案中,多肽可缀合至感兴趣模块,其中多肽是在缀合至感兴趣模块之前修饰的。修饰多肽可产生含有一个或多个适合于缀合至感兴趣模块的反应性基团的经修饰的多肽。在一些情况中,可以在一个或多个氨基酸残基处修饰多肽以提供一个或多个适合于缀合至感兴趣模块(例如如上所述包括偶联模块,诸如肼基-吡咯并偶联模块的模块)的反应性基团。例如,可以修饰多肽以包括反应性醛基团(例如反应性醛)。反应性醛可以包括在“醛标签”或“ald标签”中,如本文中使用的,“醛标签”或“ald标签”指自已经通过甲酰甘氨酸生成酶(FGE)的作用转变成含有2-甲酰甘氨酸残基(在本文中称作“FGly”)的硫酸酯酶基序(例如L(C/S)TPSR)衍生的氨基酸序列。由FGE生成的FGly残基也可以称作“甲酰甘氨酸”。换言之,术语“醛标签”在本文中用于指包括“转变后的”硫酸酯酶基序的氨基酸序列(即其中的半胱氨酸或丝氨酸残基已经通过FGE的作用转变成FGly的硫酸酯酶基序,例如L(FGly)TPSR)。转变后的硫酸酯酶基序可衍生自包括“未转变的”硫酸酯酶基序的氨基酸序列(即其中的半胱氨酸或丝氨酸残基尚未被FGE转变成FGly,但能够转变的硫酸酯酶基序,例如具有序列L(C/S)TPSR的未转变的硫酸酯酶基序)。如在甲酰甘氨酸生成酶(FGE)作用于硫酸酯酶基序的语境中使用的,“转变”指硫酸酯酶基序中的半胱氨酸或丝氨酸残基变成甲酰甘氨酸(FGly)残基(例如,Cys变成FGly,或Ser变成FGly)的生化修饰。醛标签及其在位点特异性蛋白质修饰中的用途的别的方面记载于U.S.7,985,783和U.S.8,729,232中,通过援引将每一篇的公开内容收入本文。
在一些情况中,含有FGly残基的经修饰的多肽可以通过FGly与化合物(例如含有如上所述肼基-吡咯并偶联模块的化合物)的反应而缀合至感兴趣模块。例如,可以在适合于提供药物缀合至多肽的条件下使含有FGly的多肽接触含有反应性配偶的药物。在一些情况中,含有反应性配偶的药物可包括如上所述肼基-吡咯并偶联模块。
在某些实施方案中,本公开内容的缀合物包括具有至少一个经修饰的氨基酸残基的多肽(例如抗体,诸如抗HER2抗体)。多肽的经修饰的氨基酸残基可以偶联至含有如上所述肼基-吡咯并模块的药物。在某些实施方案中,多肽(例如抗HER2抗体)的经修饰的氨基酸残基可衍生自已经如上所述转变成FGly残基的半胱氨酸或丝氨酸残基。在某些实施方案中,FGly残基缀合至含有如上所述肼基-吡咯并模块的药物以提供本公开内容的缀合物,其中药物经由肼基-吡咯并模块缀合至多肽。如本文中使用的,术语FGly’指多肽(例如抗HER2抗体)中偶联至感兴趣模块(例如药物,诸如美登木素生物碱)的经修饰的氨基酸残基。
在某些实施方案中,缀合物包括至少一个式(I)的经修饰的氨基酸残基:
其中
Q1是C或N,其中若Q1是N,则Y1缺失;
Y1选自氢,卤素,烷基,取代的烷基,烯基,取代的烯基,炔基,取代的炔基,烷氧基,取代的烷氧基,氨基,取代的氨基,羧基,羧基酯,酰基,酰氧基,酰基氨基,氨基酰基,烷基酰胺,取代的烷基酰胺,磺酰基,硫代烷氧基,取代的硫代烷氧基,芳基,取代的芳基,杂芳基,取代的杂芳基,环烷基,取代的环烷基,杂环基,和取代的杂环基;
R1选自氢,烷基,取代的烷基,烯基,取代的烯基,炔基,取代的炔基,芳基,取代的芳基,杂芳基,取代的杂芳基,环烷基,取代的环烷基,杂环基,和取代的杂环基;
R2和R3每个独立选自氢,烷基,取代的烷基,烯基,取代的烯基,炔基,取代的炔基,烷氧基,取代的烷氧基,氨基,取代的氨基,羧基,羧基酯,酰基,酰氧基,酰基氨基,氨基酰基,烷基酰胺,取代的烷基酰胺,磺酰基,硫代烷氧基,取代的硫代烷氧基,芳基,取代的芳基,杂芳基,取代的杂芳基,环烷基,取代的环烷基,杂环基,和取代的杂环基,或R2和R3任选环状连接以形成5或6元杂环基;
L是包含-(T1-Z1)a-(T2-Z2)b-(T3-Z3)c-(T4-Z4)d-的接头,其中a,b,c和d每个独立是0或1,其中a,b,c和d的和是1至4;
T1,T2,T3和T4每个独立选自(C1-C12)烷基,取代的(C1-C12)烷基,(EDA)w,(PEG)n,(AA)p,-(CR13OH)h-,哌啶-4-氨基(4AP),乙缩醛基团,肼,和酯,其中EDA是乙二胺模块,PEG是聚乙二醇或经修饰的聚乙二醇,而AA是氨基酸残基,其中w是1至20的整数,n是1至30的整数,p是1至20的整数,而h是1至12的整数;
Z1,Z2,Z3和Z4每个独立选自下组:共价键,-CO-,-NR15-,-NR15(CH2)q-,-NR15(C6H4)-,-CONR15-,-NR15CO-,-C(O)O-,-OC(O)-,-O-,-S-,-S(O)-,-SO2-,-SO2NR15-,-NR15SO2-和-P(O)OH-,其中q是1至6的整数;
每个R13独立选自氢,烷基,取代的烷基,芳基,和取代的芳基;
每个R15独立选自氢,烷基,取代的烷基,烯基,取代的烯基,炔基,取代的炔基,羧基,羧基酯,酰基,芳基,取代的芳基,杂芳基,取代的杂芳基,环烷基,取代的环烷基,杂环基,和取代的杂环基;
W1是美登木素生物碱;且
W2是抗HER2抗体。
在某些实施方案中,Q1是C或N,其中若Q1是N,则Y1缺失。在某些实施方案中,Q1是C。在某些实施方案中,Q1是N且Y1缺失。
在某些实施方案中,Y1选自氢,卤素,烷基,取代的烷基,烯基,取代的烯基,炔基,取代的炔基,烷氧基,取代的烷氧基,氨基,取代的氨基,羧基,羧基酯,酰基,酰氧基,酰基氨基,氨基酰基,烷基酰胺,取代的烷基酰胺,磺酰基,硫代烷氧基,取代的硫代烷氧基,芳基,取代的芳基,杂芳基,取代的杂芳基,环烷基,取代的环烷基,杂环基,和取代的杂环基。在某些实施方案中,Y1是氢。在某些实施方案中,Y1是卤素,诸如F,Cl,Br或I。在某些实施方案中,Y1是烷基或取代的烷基,诸如C1-6烷基或取代的C1-6烷基,或C1-4烷基或取代的C1-4烷基,或C1-3烷基或取代的C1-3烷基。在某些实施方案中,Y1是烯基或取代的烯基,诸如C2-6烯基或取代的C2-6烯基,或C2-4烯基或取代的C2-4烯基,或C2-3烯基或取代的C2-3烯基。在某些实施方案中,Y1是炔基或取代的炔基。在某些实施方案中,Y1是烷氧基或取代的烷氧基。在某些实施方案中,Y1是氨基或取代的氨基。在某些实施方案中,Y1是羧基或羧基酯。在某些实施方案中,Y1是酰基或酰氧基。在某些实施方案中,Y1是酰基氨基或氨基酰基。在某些实施方案中,Y1是烷基酰胺或取代的烷基酰胺。在某些实施方案中,Y1是磺酰基。在某些实施方案中,Y1是硫代烷氧基或取代的硫代烷氧基。在某些实施方案中,Y1是芳基或取代的芳基,诸如C5-8芳基或取代的C5-8芳基,诸如C5芳基或取代的C5芳基,或C6芳基或取代的C6芳基。在某些实施方案中,Y1是杂芳基或取代的杂芳基,诸如C5-8杂芳基或取代的C5-8杂芳基,诸如C5杂芳基或取代的C5杂芳基,或C6杂芳基或取代的C6杂芳基。在某些实施方案中,Y1是环烷基或取代的环烷基,诸如C3-8环烷基或取代的C3-8环烷基,诸如C3-6环烷基或取代的C3-6环烷基,或C3-5环烷基或取代的C3-5环烷基。在某些实施方案中,Y1是杂环基或取代的杂环基,诸如C3-8杂环基或取代的C3-8杂环基,诸如C3-6杂环基或取代的C3-6杂环基,或C3-5杂环基或取代的C3-5杂环基。
在某些实施方案中,R1选自氢,烷基,取代的烷基,烯基,取代的烯基,炔基,取代的炔基,芳基,取代的芳基,杂芳基,取代的杂芳基,环烷基,取代的环烷基,杂环基,和取代的杂环基。在某些实施方案中,R1是氢。在某些实施方案中,R1是烷基或取代的烷基,诸如C1-6烷基或取代的C1-6烷基,或C1-4烷基或取代的C1-4烷基,或C1-3烷基或取代的C1-3烷基。在某些实施方案中,R1是烯基或取代的烯基,诸如C2-6烯基或取代的C2-6烯基,或C2-4烯基或取代的C2-4烯基,或C2-3烯基或取代的C2-3烯基。在某些实施方案中,R1是炔基或取代的炔基,诸如C2-6烯基或取代的C2-6烯基,或C2-4烯基或取代的C2-4烯基,或C2-3烯基或取代的C2-3烯基。在某些实施方案中,R1是芳基或取代的芳基,诸如C5-8芳基或取代的C5-8芳基,诸如C5芳基或取代的C5芳基,或C6芳基或取代的C6芳基。在某些实施方案中,R1是杂芳基或取代的杂芳基,诸如C5-8杂芳基或取代的C5-8杂芳基,诸如C5杂芳基或取代的C5杂芳基,或C6杂芳基或取代的C6杂芳基。在某些实施方案中,R1是环烷基或取代的环烷基,诸如C3-8环烷基或取代的C3-8环烷基,诸如C3-6环烷基或取代的C3-6环烷基,或C3-5环烷基或取代的C3-5环烷基。在某些实施方案中,R1是杂环基或取代的杂环基,诸如C3-8杂环基或取代的C3-8杂环基,诸如C3-6杂环基或取代的C3-6杂环基,或C3-5杂环基或取代的C3-5杂环基。
在某些实施方案中,R2和R3每个独立选自氢,烷基,取代的烷基,烯基,取代的烯基,炔基,取代的炔基,烷氧基,取代的烷氧基,氨基,取代的氨基,羧基,羧基酯,酰基,酰氧基,酰基氨基,氨基酰基,烷基酰胺,取代的烷基酰胺,磺酰基,硫代烷氧基,取代的硫代烷氧基,芳基,取代的芳基,杂芳基,取代的杂芳基,环烷基,取代的环烷基,杂环基,和取代的杂环基,或R2和R3任选环状连接以形成5或6元杂环基。
在某些实施方案中,R2选自氢,烷基,取代的烷基,烯基,取代的烯基,炔基,取代的炔基,烷氧基,取代的烷氧基,氨基,取代的氨基,羧基,羧基酯,酰基,酰氧基,酰基氨基,氨基酰基,烷基酰胺,取代的烷基酰胺,磺酰基,硫代烷氧基,取代的硫代烷氧基,芳基,取代的芳基,杂芳基,取代的杂芳基,环烷基,取代的环烷基,杂环基,和取代的杂环基。在某些实施方案中,R2是氢。在某些实施方案中,R2是烷基或取代的烷基,诸如C1-6烷基或取代的C1-6烷基,或C1-4烷基或取代的C1-4烷基,或C1-3烷基或取代的C1-3烷基。在某些实施方案中,R2是烯基或取代的烯基,诸如C2-6烯基或取代的C2-6烯基,或C2-4烯基或取代的C2-4烯基,或C2-3烯基或取代的C2-3烯基。在某些实施方案中,R2是炔基或取代的炔基。在某些实施方案中,R2是烷氧基或取代的烷氧基。在某些实施方案中,R2是氨基或取代的氨基。在某些实施方案中,R2是羧基或羧基酯。在某些实施方案中,R2是酰基或酰氧基。在某些实施方案中,R2是酰基氨基或氨基酰基。在某些实施方案中,R2是烷基酰胺或取代的烷基酰胺。在某些实施方案中,R2是磺酰基。在某些实施方案中,R2是硫代烷氧基或取代的硫代烷氧基。在某些实施方案中,R2是芳基或取代的芳基,诸如C5-8芳基或取代的C5-8芳基,诸如C5芳基或取代的C5芳基,或C6芳基或取代的C6芳基。在某些实施方案中,R2是杂芳基或取代的杂芳基,诸如C5-8杂芳基或取代的C5-8杂芳基,诸如C5杂芳基或取代的C5杂芳基,或C6杂芳基或取代的C6杂芳基。在某些实施方案中,R2是环烷基或取代的环烷基,诸如C3-8环烷基或取代的C3-8环烷基,诸如C3-6环烷基或取代的C3-6环烷基,或C3-5环烷基或取代的C3-5环烷基。在某些实施方案中,R2是杂环基或取代的杂环基,诸如C3-6杂环基或取代的C3-6杂环基,或C3-5杂环基或取代的C3-5杂环基。
在某些实施方案中,R3是选自氢,烷基,取代的烷基,烯基,取代的烯基,炔基,取代的炔基,烷氧基,取代的烷氧基,氨基,取代的氨基,羧基,羧基酯,酰基,酰氧基,酰基氨基,氨基酰基,烷基酰胺,取代的烷基酰胺,磺酰基,硫代烷氧基,取代的硫代烷氧基,芳基,取代的芳基,杂芳基,取代的杂芳基,环烷基,取代的环烷基,杂环基,和取代的杂环基。在某些实施方案中,R3是氢。在某些实施方案中,R3是烷基或取代的烷基,诸如C1-6烷基或取代的C1-6烷基,或C1-4烷基或取代的C1-4烷基,或C1-3烷基或取代的C1-3烷基。在某些实施方案中,R3是烯基或取代的烯基,诸如C2-6烯基或取代的C2-6烯基,或C2-4烯基或取代的C2-4烯基,或C2-3烯基或取代的C2-3烯基。在某些实施方案中,R3是炔基或取代的炔基。在某些实施方案中,R3是烷氧基或取代的烷氧基。在某些实施方案中,R3是氨基或取代的氨基。在某些实施方案中,R3是羧基或羧基酯。在某些实施方案中,R3是酰基或酰氧基。在某些实施方案中,R3是酰基氨基或氨基酰基。在某些实施方案中,R3是烷基酰胺或取代的烷基酰胺。在某些实施方案中,R3是磺酰基。在某些实施方案中,R3是硫代烷氧基或取代的硫代烷氧基。在某些实施方案中,R3是芳基或取代的芳基,诸如C5-8芳基或取代的C5-8芳基,诸如C5芳基或取代的C5芳基,或C6芳基或取代的C6芳基。在某些实施方案中,R3是杂芳基或取代的杂芳基,诸如C5-8杂芳基或取代的C5-8杂芳基,诸如C5杂芳基或取代的C5杂芳基,或C6杂芳基或取代的C6杂芳基。在某些实施方案中,R3是环烷基或取代的环烷基,诸如C3-8环烷基或取代的C3-8环烷基,诸如C3-6环烷基或取代的C3-6环烷基,或C3-5环烷基或取代的C3-5环烷基。在某些实施方案中,R3是杂环基或取代的杂环基,诸如C3-8杂环基或取代的C3-8杂环基,诸如C3-6杂环基或取代的C3-6杂环基,或C3-5杂环基或取代的C3-5杂环基。
在某些实施方案中,R2和R3任选环状连接以形成5或6元杂环基。在某些实施方案中,R2和R3环状连接以形成5或6元杂环基。在某些实施方案中,R2和R3环状连接以形成5元杂环基。在某些实施方案中,R2和R3环状连接以形成6元杂环基。
在某些实施方案中,式(I)的化合物包括接头L。可以利用接头将偶联模块结合至一个或多个感兴趣模块和/或一个或多个多肽。在一些实施方案中,接头将偶联模块结合至多肽或化学实体任一。接头可以在任何便利的位置处结合(例如共价结合)至偶联模块(例如如本文所述)。
在某些实施方案中,L将偶联模块附着至W1,而且如此偶联模块经由接头L间接与W1成键。
可以在主题缀合物和化合物中利用任何便利的接头。在某些实施方案中,L包括选自烷基,取代的烷基,烯基,取代的烯基,炔基,取代的炔基,烷氧基,取代的烷氧基,氨基,取代的氨基,羧基,羧基酯,酰基氨基,烷基酰胺,取代的烷基酰胺,芳基,取代的芳基,杂芳基,取代的杂芳基,环烷基,取代的环烷基,杂环基,和取代的杂环基的基团。在某些实施方案中,L包括烷基或取代的烷基基团。在某些实施方案中,L包括烯基或取代的烯基基团。在某些实施方案中,L包括炔基或取代的炔基基团。在某些实施方案中,L包括烷氧基或取代的烷氧基基团。在某些实施方案中,L包括氨基或取代的氨基基团。在某些实施方案中,L包括羧基或羧基酯基团。在某些实施方案中,L包括酰基氨基基团。在某些实施方案中,L包括烷基酰胺或取代的烷基酰胺基团。在某些实施方案中,L包括芳基或取代的芳基基团。在某些实施方案中,L包括杂芳基或取代的杂芳基基团。在某些实施方案中,L包括环烷基或取代的环烷基基团。在某些实施方案中,L包括杂环基或取代的杂环基基团。
在某些实施方案中,L包括聚合物。例如,聚合物可以包括聚烷撑二醇及其衍生物,包括聚乙二醇,甲氧基聚乙二醇,聚乙二醇均聚物,聚丙二醇均聚物,乙二醇与丙二醇的共聚物(例如,其中均聚物和共聚物是未取代的或在一端用烷基取代的),聚乙烯醇,聚乙烯基乙基醚,聚乙烯吡咯烷酮,其组合,等等。在某些实施方案中,聚合物是聚烷撑二醇。在某些实施方案中,聚合物是聚乙二醇。其它接头也是可能的,如下文更为详细地描述的缀合物和化合物中显示的。
在一些实施方案中,L是通过式-(L1)a-(L2)b-(L3)c-(L4)d-来描述的接头,其中L1,L2,L3和L4每个独立是接头单元,且a,b,c和d每个独立是0或1,其中a,b,c和d的和是1至4。
在某些实施方案中,a,b,c和d的和是1。在某些实施方案中,a,b,c和d的和是2。在某些实施方案中,a,b,c和d的和是3。在某些实施方案中,a,b,c和d的和是4。在某些实施方案中,a,b,c和d每个是1。在某些实施方案中,a,b和c每个是1,且d是0。在某些实施方案中,a和b每个是1,且c和d是0。在某些实施方案中,a是1且b,c和d是0。
在某些实施方案中,L1附着至肼基-吡咯并模块(例如,如上文式(I)中所示)。在某些实施方案中,L2,若存在,则附着至W1。在某些实施方案中,L3,若存在,则附着至W1。在某些实施方案中,L4,若存在,则附着至W1。
可以在主题接头中利用任何便利的接头单元。感兴趣的接头单元包括但不限于聚合物,诸如聚乙二醇,聚乙烯和聚丙烯酸酯,氨基酸残基,基于碳水化合物的聚合物或碳水化合物残基及其衍生物,多核苷酸,烷基基团,芳基基团,杂环基团,其组合,和其取代型式的单元。在一些实施方案中,L1,L2,L3和L4(若存在的话)中每个包含一个或多个独立选自聚乙二醇,经修饰的聚乙二醇,氨基酸残基,烷基基团,取代的烷基,芳基基团,取代的芳基基团,和二胺(例如包括烷撑二胺的连接基团)的基团。
在一些实施方案中,L1(若存在的话)包含聚乙二醇,经修饰的聚乙二醇,氨基酸残基,烷基基团,取代的烷基,芳基基团,取代的芳基基团,或二胺。在一些实施方案中,L1包含聚乙二醇。在一些实施方案中,L1包含经修饰的聚乙二醇。在一些实施方案中,L1包含氨基酸残基。在一些实施方案中,L1包含烷基基团或取代的烷基。在一些实施方案中,L1包含芳基基团或取代的芳基基团。在一些实施方案中,L1包含二胺(例如包含烷撑二胺的连接基团)。
在一些实施方案中,L2(若存在的话)包含聚乙二醇,经修饰的聚乙二醇,氨基酸残基,烷基基团,取代的烷基,芳基基团,取代的芳基基团,或二胺。在一些实施方案中,L2包含聚乙二醇。在一些实施方案中,L2包含经修饰的聚乙二醇。在一些实施方案中,L2包含氨基酸残基。在一些实施方案中,L2包含烷基基团或取代的烷基。在一些实施方案中,L2包含芳基基团或取代的芳基基团。在一些实施方案中,L2包含二胺(例如包含烷撑二胺的连接基团)。
在一些实施方案中,L3(若存在的话)包含聚乙二醇,经修饰的聚乙二醇,氨基酸残基,烷基基团,取代的烷基,芳基基团,取代的芳基基团,或二胺。在一些实施方案中,L3包含聚乙二醇。在一些实施方案中,L3包含经修饰的聚乙二醇。在一些实施方案中,L3包含氨基酸残基。在一些实施方案中,L3包含烷基基团或取代的烷基。在一些实施方案中,L3包含芳基基团或取代的芳基基团。在一些实施方案中,L3包含二胺(例如包含烷撑二胺的连接基团)。
在一些实施方案中,L4(若存在的话)包含独立选自聚乙二醇,经修饰的聚乙二醇,氨基酸残基,烷基基团,取代的烷基,芳基基团,取代的芳基基团,或二胺的基团。在一些实施方案中,L4包含聚乙二醇。在一些实施方案中,L4包含经修饰的聚乙二醇。在一些实施方案中,L4包含氨基酸残基。在一些实施方案中,L4包含烷基基团或取代的烷基。在一些实施方案中,L4包含芳基基团或取代的芳基基团。在一些实施方案中,L4包含二胺(例如包含烷撑二胺的连接基团)。
在一些实施方案中,L是包含-(L1)a-(L2)b-(L3)c-(L4)d-的接头,其中:
-(L1)a-是-(T1-Z1)a-;
-(L2)b-是-(T2-Z2)b-;
-(L3)c-是-(T3-Z3)c-;且
-(L4)d-是-(T4-Z4)d-,
其中T1,T2,T3和T4,若存在的话,是拴系基团;
Z1,Z2,Z3和Z4,若存在的话,是共价键或连接官能团;且
a,b,c和d每个独立是0或1,其中a,b,c和d的和是1至4。
如上所述,在某些实施方案中,L1附着至肼基-吡咯并模块(例如,如上文式(I)中所示)。照此,在某些实施方案中,T1附着至肼基-吡咯并模块(例如,如上文式(I)中所示)。在某些实施方案中,Z1附着至W1。在某些实施方案中,L2,若存在,则附着至W1。照此,在某些实施方案中,T2,若存在,则附着至W1,或Z2,若存在,则附着至W1。在某些实施方案中,L3,若存在,则附着至W1。照此,在某些实施方案中,T3,若存在,则附着至W1,或Z3,若存在,则附着至W1。在某些实施方案中,L4,若存在,则附着至W1。照此,在某些实施方案中,T4,若存在,则附着至W1,或Z4,若存在,则附着至W1。
关于拴系基团T1,T2,T3和T4,可以在主题接头中利用任何便利的拴系基团。在一些实施方案中,T1,T2,T3和T4每个包含一个或多个独立选自(C1-C12)烷基,取代的(C1-C12)烷基,(EDA)w,(PEG)n,(AA)p,-(CR13OH)h-,哌啶-4-氨基(4AP),乙缩醛基团,肼,和酯的基团,其中w是1至20的整数,n是1至30的整数,p是1至20的整数,而h是1至12的整数。
在某些实施方案中,当a,b,c和d的和是2且T1-Z1,T2-Z2,T3-Z3,或T4-Z4中一项是(PEG)n-CO时,则n不是6。例如,在一些情况中,接头可具有下面的结构:
其中n不是6。
在某些实施方案中,当a,b,c和d的和是2且T1-Z1,T2-Z2,T3-Z3,或T4-Z4中一项是(C1-C12)烷基-NR11时,则(C1-C12)烷基不是C5烷基。例如,在一些情况中,接头可具有下面的结构:
其中g不是4。
在某些实施方案中,拴系基团(例如T1,T2,T3和/或T4)包括乙二胺(EDA)模块,例如含EDA拴系。在某些实施方案中,(EDA)w包括一个或多个EDA模块,诸如其中w是1至50,诸如1至40,1至30,1至20,1至12或1至6的整数,诸如1,2,3,4,5或6。所连接的乙二胺(EDA)模块可以任选是在一个或多个便利的位置处用任何便利的取代基,例如用烷基,取代的烷基,酰基,取代的酰基,芳基或取代的芳基取代的。在某些实施方案中,EDA模块由下面的结构描述:
其中y是1至6的整数,r是0或1,且每个R12独立选自氢,烷基,取代的烷基,烯基,取代的烯基,炔基,取代的炔基,烷氧基,取代的烷氧基,氨基,取代的氨基,羧基,羧基酯,酰基,酰氧基,酰基氨基,氨基酰基,烷基酰胺,取代的烷基酰胺,磺酰基,硫代烷氧基,取代的硫代烷氧基,芳基,取代的芳基,杂芳基,取代的杂芳基,环烷基,取代的环烷基,杂环基,和取代的杂环基。在某些实施方案中,y是1,2,3,4,5或6。在某些实施方案中,y是1且r是0。在某些实施方案中,y是1且r是1。在某些实施方案中,y是2且r是0。在某些实施方案中,y是2且r是1。在某些实施方案中,每个R12独立选自氢,烷基,取代的烷基,芳基和取代的芳基。在某些实施方案中,EDA中任两个相邻的R12基团可以环状连接,例如形成哌嗪基环。在某些实施方案中,y是1且两个相邻R12基团是烷基基团,环状连接以形成哌嗪基环。在某些实施方案中,y是1且相邻R12基团选自氢,烷基(例如甲基)和取代的烷基(例如低级烷基-OH,诸如乙基-OH或丙基-OH)。
在某些实施方案中,拴系基团包括哌啶-4-氨基(4AP)模块(在本文中也称作4-氨基-哌啶,4AP)。4AP模块可以任选是在一个或多个便利的位置处用任何便利的取代基,例如用烷基,取代的烷基,聚乙二醇模块,酰基,取代的酰基,芳基或取代的芳基取代的。在某些实施方案中,4AP模块由下面的结构描述:
其中R12选自氢,烷基,取代的烷基,聚乙二醇模块(例如聚乙二醇或经修饰的聚乙二醇),烯基,取代的烯基,炔基,取代的炔基,烷氧基,取代的烷氧基,氨基,取代的氨基,羧基,羧基酯,酰基,酰氧基,酰基氨基,氨基酰基,烷基酰胺,取代的烷基酰胺,磺酰基,硫代烷氧基,取代的硫代烷氧基,芳基,取代的芳基,杂芳基,取代的杂芳基,环烷基,取代的环烷基,杂环基,和取代的杂环基。在某些实施方案中,R12是聚乙二醇模块。在某些实施方案中,R12是羧基修饰的聚乙二醇。在某些实施方案中,R12包括通过式(PEG)k来描述的聚乙二醇模块,它可以通过如下来表示:
其中k是1至20,诸如1至18,或1至16,或1至14,或1至12,或1至10,或1至8,或1至6,或1至4,或1或2的整数,诸如1,2,3,4,5,6,7,8,9,10,11,12,13,14,15,16,17,18,19或20。在一些情况中,k是2。在某些实施方案中,R17选自OH,COOH,或COOR,其中R选自烷基,取代的烷基,烯基,取代的烯基,炔基,取代的炔基,芳基,取代的芳基,杂芳基,取代的杂芳基,环烷基,取代的环烷基,杂环基,和取代的杂环基。在某些实施方案中,R17是COOH。
在某些实施方案中,拴系基团(例如T1,T2,T3和/或T4)是(PEG)n,其中(PEG)n是聚乙二醇或经修饰的聚乙二醇连接单元。在某些实施方案中,(PEG)n由下面的结构描述:
其中n是1至50,诸如1至40,1至30,1至20,1至12或1至6的整数,诸如1,2,3,4,5,6,7,8,9,10,11,12,13,14,15,16,17,18,19或20。在一些情况中,n是3。在一些情况中,n是6。在一些情况中,n是12。
在某些实施方案中,拴系基团(例如T1,T2,T3和/或T4)包括(AA)p,其中AA是氨基酸残基。可以利用任何便利的氨基酸。感兴趣的氨基酸包括但不限于L-和D-氨基酸,天然发生氨基酸,诸如20种主要α-氨基酸和β-丙氨酸任一,非天然发生氨基酸(例如氨基酸类似物),诸如非天然发生α-氨基酸或非天然发生β-氨基酸,等。在某些实施方案中,p是1。在某些实施方案中,p是1至50,诸如1至40,1至30,1至20,1至12或1至6的整数,诸如1,2,3,4,5,6,7,8,9,10,11,12,13,14,15,16,17,18,19或20。
在某些实施方案中,拴系基团(例如T1,T2,T3和/或T4)包括由式-(CR13OH)h-描述的模块,其中h是0或n是1至50,诸如1至40,1至30,1至20,1至12或1至6的整数,诸如1,2,3,4,5,6,7,8,9,10,11或12。在某些实施方案中,R13选自氢,烷基,取代的烷基,烯基,取代的烯基,炔基,取代的炔基,烷氧基,取代的烷氧基,氨基,取代的氨基,羧基,羧基酯,酰基,酰氧基,酰基氨基,氨基酰基,烷基酰胺,取代的烷基酰胺,磺酰基,硫代烷氧基,取代的硫代烷氧基,芳基,取代的芳基,杂芳基,取代的杂芳基,环烷基,取代的环烷基,杂环基,和取代的杂环基。在某些实施方案中,R13是氢。在某些实施方案中,R13是烷基或取代的烷基,诸如C1-6烷基或取代的C1-6烷基,或C1-4烷基或取代的C1-4烷基,或C1-3烷基或取代的C1-3烷基。在某些实施方案中,R13是烯基或取代的烯基,诸如C2-6烯基或取代的C2-6烯基,或C2-4烯基或取代的C2-4烯基,或C2-3烯基或取代的C2-3烯基。在某些实施方案中,R13是炔基或取代的炔基。在某些实施方案中,R13是烷氧基或取代的烷氧基。在某些实施方案中,R13是氨基或取代的氨基。在某些实施方案中,R13是羧基或羧基酯。在某些实施方案中,R13是酰基或酰氧基。在某些实施方案中,R13是酰基氨基或氨基酰基。在某些实施方案中,R13是烷基酰胺或取代的烷基酰胺。在某些实施方案中,R13是磺酰基。在某些实施方案中,R13是硫代烷氧基或取代的硫代烷氧基。在某些实施方案中,R13是芳基或取代的芳基,诸如C5-8芳基或取代的C5-8芳基,诸如C5芳基或取代的C5芳基,或C6芳基或取代的C6芳基。在某些实施方案中,R13是杂芳基或取代的杂芳基,诸如C5-8杂芳基或取代的C5-8杂芳基,诸如C5杂芳基或取代的C5杂芳基,或C6杂芳基或取代的C6杂芳基。在某些实施方案中,R13是环烷基或取代的环烷基,诸如C3-8环烷基或取代的C3-8环烷基,诸如C3-6环烷基或取代的C3-6环烷基,或C3-5环烷基或取代的C3-5环烷基。在某些实施方案中,R13是杂环基或取代的杂环基,诸如C3-8杂环基或取代的C3-8杂环基,诸如C3-6杂环基或取代的C3-6杂环基,或C3-5杂环基或取代的C3-5杂环基。
在某些实施方案中,R13选自氢,烷基,取代的烷基,芳基,和取代的芳基。在这些实施方案中,烷基,取代的烷基,芳基,和取代的芳基如上文关于R13所述。
关于Z1,Z2,Z3和Z4,可以在主题接头中利用任何便利的连接官能团。感兴趣连接官能团包括但不限于氨基,羰基,酰胺基,氧羰基,羧基,磺酰基,亚砜,磺酰基氨基,氨基磺酰基,硫代,氧基,磷酸基,氨基磷酸酯,硫代氨基磷酸酯,等等。在一些实施方案中,Z1,Z2,Z3和Z4每个独立是共价键,-CO-,-NR15-,-NR15(CH2)q-,-NR15(C6H4)-,-CONR15-,-NR15CO-,-C(O)O-,-OC(O)-,-O-,-S-,-S(O)-,-SO2-,-SO2NR15-,-NR15SO2-和-P(O)OH-,其中q是1至6的整数。在某些实施方案中,q是1至6的整数(例如,1,2,3,4,5或6)。
在一些实施方案中,每个R15独立选自氢,烷基,取代的烷基,烯基,取代的烯基,炔基,取代的炔基,烷氧基,取代的烷氧基,氨基,取代的氨基,羧基,羧基酯,酰基,酰氧基,酰基氨基,氨基酰基,烷基酰胺,取代的烷基酰胺,磺酰基,硫代烷氧基,取代的硫代烷氧基,芳基,取代的芳基,杂芳基,取代的杂芳基,环烷基,取代的环烷基,杂环基,和取代的杂环基。在某些实施方案中,R15是氢。在某些实施方案中,R15是烷基或取代的烷基,诸如C1-6烷基或取代的C1-6烷基,或C1-4烷基或取代的C1-4烷基,或C1-3烷基或取代的C1-3烷基。在某些实施方案中,R15是烯基或取代的烯基,诸如C2-6烯基或取代的C2-6烯基,或C2-4烯基或取代的C2-4烯基,或C2-3烯基或取代的C2-3烯基。在某些实施方案中,R15是炔基或取代的炔基。在某些实施方案中,R15是烷氧基或取代的烷氧基。在某些实施方案中,R15是氨基或取代的氨基。在某些实施方案中,R15是羧基或羧基酯。在某些实施方案中,R15是酰基或酰氧基。在某些实施方案中,R15是酰基氨基或氨基酰基。在某些实施方案中,R15是烷基酰胺或取代的烷基酰胺。在某些实施方案中,R15是磺酰基。在某些实施方案中,R15是硫代烷氧基或取代的硫代烷氧基。在某些实施方案中,R15是芳基或取代的芳基,诸如C5-8芳基或取代的C5-8芳基,诸如C5芳基或取代的C5芳基,或C6芳基或取代的C6芳基。在某些实施方案中,R15是杂芳基或取代的杂芳基,诸如C5-8杂芳基或取代的C5-8杂芳基,诸如C5杂芳基或取代的C5杂芳基,或C6杂芳基或取代的C6杂芳基。在某些实施方案中,R15是环烷基或取代的环烷基,诸如C3-8环烷基或取代的C3-8环烷基,诸如C3-6环烷基或取代的C3-6环烷基,或C3-5环烷基或取代的C3-5环烷基。在某些实施方案中,R15是杂环基或取代的杂环基,诸如C3-8杂环基或取代的C3-8杂环基,诸如C3-6杂环基或取代的C3-6杂环基,或C3-5杂环基或取代的C3-5杂环基。
在某些实施方案中,每个R15独立选自氢,烷基,取代的烷基,烯基,取代的烯基,炔基,取代的炔基,羧基,羧基酯,酰基,芳基,取代的芳基,杂芳基,取代的杂芳基,环烷基,取代的环烷基,杂环基,和取代的杂环基。在这些实施方案中,氢,烷基,取代的烷基,烯基,取代的烯基,炔基,取代的炔基,羧基,羧基酯,酰基,芳基,取代的芳基,杂芳基,取代的杂芳基,环烷基,取代的环烷基,杂环基,和取代的杂环基取代基如上文关于R15所述。
在一些实施方案中,在主题接头中:
T1选自(C1-C12)烷基和取代的(C1-C12)烷基;
T2,T3和T4每个独立选自(C1-C12)烷基,取代的(C1-C12)烷基,(EDA)w,(PEG)n,(AA)p,-(CR13OH)h-,哌啶-4-氨基(4AP),乙缩醛基团,肼,和酯;且
Z1,Z2,Z3和Z4每个独立选自下组:共价键,-CO-,-NR15-,-NR15(CH2)q-,-NR15(C6H4)-,-CONR15-,-NR15CO-,-C(O)O-,-OC(O)-,-O-,-S-,-S(O)-,-SO2-,-SO2NR15-,-NR15SO2-和-P(O)OH-,其中q为1至6的整数;
其中:
AA是氨基酸残基,其中p是1至20的整数;
每个R11和R12独立选自氢,烷基,取代的烷基,芳基和取代的芳基,其中任两个相邻的R12基团可以环状连接以形成哌嗪基环;且
R13选自氢,烷基,取代的烷基,芳基,和取代的芳基。
在某些实施方案中,T1,T2,T3和T4和Z1,Z2,Z3和Z4选自下表,例如下表的一行:
| T<sup>1</sup> | Z<sup>1</sup> | T<sup>2</sup> | Z<sup>2</sup> | T<sup>3</sup> | Z<sup>3</sup> | T<sup>4</sup> | Z<sup>4</sup> |
| (C<sub>1</sub>-C<sub>12</sub>)烷基 | -CONR<sup>15</sup>- | (PEG)<sub>n</sub> | -CO- | - | - | - | - |
| (C<sub>1</sub>-C<sub>12</sub>)烷基 | -CO- | (AA)<sub>p</sub> | -NR<sup>15</sup>- | (PEG)<sub>n</sub> | -CO- | - | - |
| (C<sub>1</sub>-C<sub>12</sub>)烷基 | -CO- | (AA)<sub>p</sub> | - | - | - | - | - |
| (C<sub>1</sub>-C<sub>12</sub>)烷基 | -CONR<sup>15</sup>- | (PEG)<sub>n</sub> | -NR<sup>15</sup>- | - | - | - | - |
| (C<sub>1</sub>-C<sub>12</sub>)烷基 | -CO- | (AA)<sub>p</sub> | -NR<sup>15</sup>- | (PEG)<sub>n</sub> | -NR<sup>15</sup>- | - | - |
| (C<sub>1</sub>-C<sub>12</sub>)烷基 | -CO- | (EDA)<sub>w</sub> | -CO- | - | - | - | - |
| (C<sub>1</sub>-C<sub>12</sub>)烷基 | -CONR<sup>15</sup>- | (C<sub>1</sub>-C<sub>12</sub>)烷基 | -NR<sup>15</sup>- | - | - | - | - |
| (C<sub>1</sub>-C<sub>12</sub>)烷基 | -CONR<sup>15</sup>- | (PEG)<sub>n</sub> | -CO- | (EDA)<sub>w</sub> | - | - | - |
| (C<sub>1</sub>-C<sub>12</sub>)烷基 | -CO- | (EDA)<sub>w</sub> | - | - | - | - | - |
| (C<sub>1</sub>-C<sub>12</sub>)烷基 | -CO- | (EDA)<sub>w</sub> | -CO- | (CR<sup>13</sup>OH)<sub>h</sub> | -CONR<sup>15</sup>- | (C<sub>1</sub>-C<sub>12</sub>)烷基 | -CO- |
| (C<sub>1</sub>-C<sub>12</sub>)烷基 | -CO- | (AA)<sub>p</sub> | -NR<sup>15</sup>- | (C<sub>1</sub>-C<sub>12</sub>)烷基 | -CO- | - | - |
| (C<sub>1</sub>-C<sub>12</sub>)烷基 | -CONR<sup>15</sup>- | (PEG)<sub>n</sub> | -CO- | (AA)<sub>p</sub> | - | - | - |
| (C<sub>1</sub>-C<sub>12</sub>)烷基 | -CO- | (EDA)<sub>w</sub> | -CO- | (CR<sup>13</sup>OH)<sub>h</sub> | -CO- | (AA)<sub>p</sub> | - |
| (C<sub>1</sub>-C<sub>12</sub>)烷基 | -CO- | (AA)<sub>p</sub> | -NR<sup>15</sup>- | (C<sub>1</sub>-C<sub>12</sub>)烷基 | -CO- | (AA)<sub>p</sub> | - |
| (C<sub>1</sub>-C<sub>12</sub>)烷基 | -CO- | (AA)<sub>p</sub> | -NR<sup>15</sup>- | (PEG)<sub>n</sub> | -CO- | (AA)<sub>p</sub> | - |
| (C<sub>1</sub>-C<sub>12</sub>)烷基 | -CO- | (AA)<sub>p</sub> | -NR<sup>15</sup>- | (PEG)<sub>n</sub> | -SO<sub>2</sub>- | (AA)<sub>p</sub> | - |
| (C<sub>1</sub>-C<sub>12</sub>)烷基 | -CO- | (EDA)<sub>w</sub> | -CO- | (CR<sup>13</sup>OH)<sub>h</sub> | -CONR<sup>15</sup>- | (PEG)<sub>n</sub> | -CO- |
| (C<sub>1</sub>-C<sub>12</sub>)烷基 | -CO- | (CR<sup>13</sup>OH)<sub>h</sub> | -CO- | - | - | - | - |
| (C<sub>1</sub>-C<sub>12</sub>)烷基 | -CONR<sup>15</sup>- | 取代的(C<sub>1</sub>-C<sub>12</sub>)烷基 | -NR<sup>15</sup>- | (PEG)<sub>n</sub> | -CO- | - | - |
| (C<sub>1</sub>-C<sub>12</sub>)烷基 | -SO<sub>2</sub>- | (C<sub>1</sub>-C<sub>12</sub>)烷基 | -CO- | - | - | - | - |
| (C<sub>1</sub>-C<sub>12</sub>)烷基 | -CONR<sup>15</sup>- | (C<sub>1</sub>-C<sub>12</sub>)烷基 | - | (CR<sup>13</sup>OH)<sub>h</sub> | -CONR<sup>15</sup>- | - | - |
| (C<sub>1</sub>-C<sub>12</sub>)烷基 | -CO- | (AA)<sub>p</sub> | -NR<sup>15</sup>- | (PEG)<sub>n</sub> | -CO- | (AA)<sub>p</sub> | -NR<sup>15</sup>- |
| (C<sub>1</sub>-C<sub>12</sub>)烷基 | -CO- | (AA)<sub>p</sub> | -NR<sup>15</sup>- | (PEG)<sub>n</sub> | -P(O)OH- | (AA)<sub>p</sub> | - |
| (C<sub>1</sub>-C<sub>12</sub>)烷基 | -CO- | (EDA)<sub>w</sub> | - | (AA)<sub>p</sub> | - | - | - |
| (C<sub>1</sub>-C<sub>12</sub>)烷基 | -CONR<sup>15</sup>- | (C<sub>1</sub>-C<sub>12</sub>)烷基 | -NR<sup>15</sup>- | - | -CO- | - | - |
| (C<sub>1</sub>-C<sub>12</sub>)烷基 | -CONR<sup>15</sup>- | (C<sub>1</sub>-C<sub>12</sub>)烷基 | -NR<sup>15</sup>- | - | -CO- | (C<sub>1</sub>-C<sub>12</sub>)烷基 | -NR<sup>15</sup>- |
| (C<sub>1</sub>-C<sub>12</sub>)烷基 | -CO- | 4AP | -CO- | (C<sub>1</sub>-C<sub>12</sub>)烷基 | -CO- | (AA)<sub>p</sub> | - |
| (C<sub>1</sub>-C<sub>12</sub>)烷基 | -CO- | 4AP | -CO- | (C<sub>1</sub>-C<sub>12</sub>)烷基 | -CO- | - | - |
在某些实施方案中,L是包含-(L1)a-(L2)b-(L3)c-(L4)d-的接头,其中-(L1)a-是-(T1-Z1)a-;-(L2)b-是-(T2-Z2)b-;-(L3)c-是-(T3-Z3)c-;且-(L4)d-是-(T4-Z4)d-。
在某些实施方案中,T1是(C1-C12)烷基,Z1是-CO-,T2是(AA)p,Z2是-NR15-,T3是(PEG)n,Z3是-CO-,T4缺失且Z4缺失。
在某些实施方案中,T1是(C1-C12)烷基,Z1是-CO-,T2是(EDA)w,Z2是-CO-,T3是(CR13OH)h,Z3是-CONR15-,T4是(C1-C12)烷基且Z4是-CO-。
在某些实施方案中,T1是(C1-C12)烷基,Z1是-CO-,T2是(AA)p,Z2是-NR15-,T3是(C1-C12)烷基,Z3是-CO-,T4缺失且Z4缺失。
在某些实施方案中,T1是(C1-C12)烷基,Z1是-CONR15-,T2是(PEG)n,Z2是-CO-,T3缺失,Z3缺失,T4缺失且Z4缺失。
在某些实施方案中,T1是(C1-C12)烷基,Z1是-CO-,T2是(AA)p,Z2缺失,T3缺失,Z3缺失,T4缺失且Z4缺失。
在某些实施方案中,T1是(C1-C12)烷基,Z1是-CONR15-,T2是(PEG)n,Z2是-NR15-,T3缺失,Z3缺失,T4缺失且Z4缺失。
在某些实施方案中,T1是(C1-C12)烷基,Z1是-CO-,T2是(AA)p,Z2是-NR15-,T3是(PEG)n,Z3是-NR15-,T4缺失且Z4缺失。
在某些实施方案中,T1是(C1-C12)烷基,Z1是-CO-,T2是(EDA)w,Z2是-CO-,T3缺失,Z3缺失,T4缺失且Z4缺失。
在某些实施方案中,T1是(C1-C12)烷基,Z1是-CONR15-,T2是(C1-C12)烷基,Z2是-NR15-,T3缺失,Z3缺失,T4缺失且Z4缺失。
在某些实施方案中,T1是(C1-C12)烷基,Z1是-CONR15-,T2是(PEG)n,Z2是-CO-,T3是(EDA)w,Z3缺失,T4缺失且Z4缺失。
在某些实施方案中,T1是(C1-C12)烷基,Z1是-CO-,T2是(EDA)w,Z2缺失,T3缺失,Z3缺失,T4缺失且Z4缺失。
在某些实施方案中,T1是(C1-C12)烷基,Z1是-CONR15-,T2是(PEG)n,Z2是-CO-,T3是(AA)p,Z3缺失,T4缺失且Z4缺失。
在某些实施方案中,T1是(C1-C12)烷基,Z1是-CO-,T2是(EDA)w,Z2是-CO-,T3是(CR13OH)h,Z3是-CO-,T4是(AA)p且Z4缺失。
在某些实施方案中,T1是(C1-C12)烷基,Z1是-CO-,T2是(AA)p,Z2是-NR15-,T3是(C1-C12)烷基,Z3是-CO-,T4是(AA)p且Z4缺失。
在某些实施方案中,T1是(C1-C12)烷基,Z1是-CO-,T2是(AA)p,Z2是-NR15-,T3是(PEG)n,Z3是-CO-,T4是(AA)p且Z4缺失。
在某些实施方案中,T1是(C1-C12)烷基,Z1是-CO-,T2是(AA)p,Z2是-NR11-,T3是(PEG)n,Z3是-SO2-,T4是(AA)p且Z4缺失。
在某些实施方案中,T1是(C1-C12)烷基,Z1是-CO-,T2是(EDA)w,Z2是-CO-,T3是(CR13OH)h,Z3是-CONR15-,T4是(PEG)n且Z4是-CO-。
在某些实施方案中,T1是(C1-C12)烷基,Z1是-CO-,T2是(CR13OH)h,Z2是-CO-,T3缺失,Z3缺失,T4缺失且Z4缺失。
在某些实施方案中,T1是(C1-C12)烷基,Z1是-CONR15-,T2是取代的(C1-C12)烷基,Z2是-NR15-,T3是(PEG)n,Z3是-CO-,T4缺失且Z4缺失。
在某些实施方案中,T1是(C1-C12)烷基,Z1是-SO2-,T2是(C1-C12)烷基,Z2是-CO-,T3缺失,Z3缺失,T4缺失且Z4缺失。
在某些实施方案中,T1是(C1-C12)烷基,Z1是-CONR15-,T2是(C1-C12)烷基,Z2缺失,T3是(CR13OH)h,Z3是-CONR15-,T4缺失且Z4缺失。
在某些实施方案中,T1是(C1-C12)烷基,Z1是-CO-,T2是(AA)p,Z2是-NR15-,T3是(PEG)n,Z3是-CO-,T4是(AA)p且Z4是-NR15-。
在某些实施方案中,T1是(C1-C12)烷基,Z1是-CO-,T2是(AA)p,Z2是-NR15-,T3是(PEG)n,Z3是-P(O)OH-,T4是(AA)p且Z4缺失。
在某些实施方案中,T1是(C1-C12)烷基,Z1是-CO-,T2是(EDA)w,Z2缺失,T3是(AA)p,Z3缺失,T4缺失且Z4缺失。
在某些实施方案中,T1是(C1-C12)烷基,Z1是-CO-,T2是(EDA)w,Z2是-CO-,T3是(CR13OH)h,Z3是-CONR15-,T4是(C1-C12)烷基且Z4是-CO(AA)p-。
在某些实施方案中,T1是(C1-C12)烷基,Z1是-CONR15-,T2是(C1-C12)烷基,Z2是-NR15-,T3缺失,Z3是-CO-,T4缺失且Z4缺失。
在某些实施方案中,T1是(C1-C12)烷基,Z1是-CONR15-,T2是(C1-C12)烷基,Z2是-NR15-,T3缺失,Z3是-CO-,T4是(C1-C12)烷基且Z4是-NR15-。
在某些实施方案中,T1是(C1-C12)烷基,Z1是-CO-,T2是(EDA)w,Z2是-CO-,T3是(CR13OH)h,Z3是-CONR15-,T4是(PEG)n且Z4是-CO(AA)p-。
在某些实施方案中,T1是(C1-C12)烷基,Z1是-CO-,T2是4AP,Z2是-CO-,T3是(C1-C12)烷基,Z3是-CO-,T4是(AA)p且Z4缺失。
在某些实施方案中,T1是(C1-C12)烷基,Z1是-CO-,T2是4AP,Z2是-CO-,T3是(C1-C12)烷基,Z3是-CO-,T4缺失且Z4缺失。
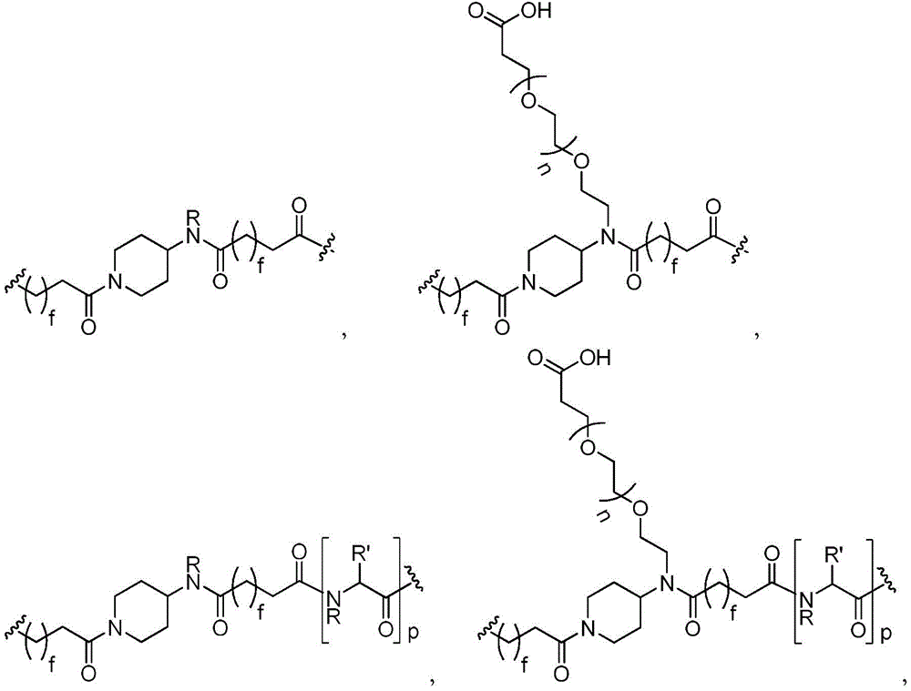
在某些实施方案中,所述接头通过如下结构之一来描述:
在上文所述接头结构的某些实施方案中,每个f独立是0或1至12的整数;每个y独立是0或1至20的整数;每个n独立是0或1至30的整数;每个p独立是0或1至20的整数;每个h独立是0或1至12的整数;每个R独立是氢,烷基,取代的烷基,烯基,取代的烯基,炔基,取代的炔基,烷氧基,取代的烷氧基,氨基,取代的氨基,羧基,羧基酯,酰基,酰氧基,酰基氨基,氨基酰基,烷基酰胺,取代的烷基酰胺,磺酰基,硫代烷氧基,取代的硫代烷氧基,芳基,取代的芳基,杂芳基,取代的杂芳基,环烷基,取代的环烷基,杂环基,和取代的杂环基;且每个R’独立是H,氨基酸的侧链,烷基,取代的烷基,烯基,取代的烯基,炔基,取代的炔基,烷氧基,取代的烷氧基,氨基,取代的氨基,羧基,羧基酯,酰基,酰氧基,酰基氨基,氨基酰基,烷基酰胺,取代的烷基酰胺,磺酰基,硫代烷氧基,取代的硫代烷氧基,芳基,取代的芳基,杂芳基,取代的杂芳基,环烷基,取代的环烷基,杂环基,和取代的杂环基。在上文所述接头结构的某些实施方案中,每个f独立是0,1,2,3,4,5或6;每个y独立是0,1,2,3,4,5或6;每个n独立是0,1,2,3,4,5或6;每个p独立是0,1,2,3,4,5或6;且每个h独立是0,1,2,3,4,5或6。在上文所述接头结构的某些实施方案中,每个R独立是H,甲基或-(CH2)m-OH,其中m是1,2,3或4(例如2)。
在某些实施方案中,W1是美登木素生物碱。美登木素生物碱在下文章节中更为详细地描述。
在某些实施方案中,W2是抗HER2抗体。抗HER2抗体在下文章节中更为详细地描述。
上文结构中列出的任何化学实体,接头和偶联模块可以适应在主题化合物和缀合物中使用。
涉及用于生成缀合物的肼基-吲哚化合物和方法的别的公开内容见2013年3月11日提交的美国申请No.13/794,159,其公开内容通过援引收入本文。
抗HER2抗体
如上所述,主题缀合物可包含抗HER2抗体作为取代基W2,其中该抗HER2抗体经过修饰包括2-甲酰甘氨酸(FGly)残基。如本文中使用的,氨基酸可以通过它们的标准名称,它们的标准三字母缩写和/或它们的标准单字母缩写来提到,诸如:丙氨酸或Ala或A;半胱氨酸或Cys或C;天冬氨酸或Asp或D;谷氨酸或Glu或E;苯丙氨酸或Phe或F;甘氨酸或Gly或G;组氨酸或His或H;异亮氨酸或Ile或I;赖氨酸或Lys或K;亮氨酸或Leu或L;甲硫氨酸或Met或M;天冬酰胺或Asn或N;脯氨酸或Pro或P;谷氨酰胺或Gln或Q;精氨酸或Arg或R;丝氨酸或Ser或S;苏氨酸或Thr或T;缬氨酸或Val或V;色氨酸或Trp或W;和酪氨酸或Tyr或Y。
在一些情况中,合适的抗HER2抗体结合HER2结构域I内,例如图4中所列HER2氨基酸序列的氨基酸23-217内的表位。在一些情况中,合适的抗HER2抗体结合HER2结构域II内,例如图4中所列HER2氨基酸序列的氨基酸218-341内的表位。在一些情况中,合适的抗HER2抗体结合HER2结构域III内例如图4中所列HER2氨基酸序列的氨基酸342-510内的表位。在一些情况中,合适的抗HER2抗体结合HER2结构域IV内,例如图4中所列HER2氨基酸序列的氨基酸511-636内的表位。
在一些情况中,合适的抗HER2抗体结合图4中所列SEQ ID NO://的氨基酸529-625内的表位。在一些情况中,合适的抗HER2抗体结合图4中所列SEQ ID NO://的氨基酸561-625内的表位。
在一些情况中,该抗HER2抗体是人源化的。在一些情况中,合适的抗HER2抗体与第二抗HER2抗体竞争结合HER2内的表位和/或与第二抗HER2抗体结合HER2内的相同表位。在一些情况中,与第二抗HER2抗体竞争结合HER2内的表位的抗HER2抗体也结合第二抗HER2抗体的表位。在一些情况中,与第二抗HER2抗体竞争结合HER2内的表位的抗HER2抗体结合与第二抗HER2抗体结合的表位交叠的表位。
在一些情况中,适合在主题缀合物中使用的抗HER2抗体会抑制过表达HER2的人肿瘤细胞的增殖,其中该抑制发生在体外,在体内,或在体外和在体内。例如,在一些情况中,适合在主题缀合物中使用的抗HER2抗体将过表达HER2的人肿瘤细胞的增殖抑制至少约15%,至少约20%,至少约25%,至少约30%,至少约40%,至少约50%,至少约60%,至少约70%,至少约80%,或超过80%,例如至少约85%,至少约90%,至少约95%,至少约98%,至少约99%,或100%。
在一些情况中,适合在主题缀合物中使用的抗HER2抗体抑制HER2与HER3和/或其它EGFR受体的二聚化。在一些情况中,适合在主题缀合物中使用的抗HER2抗体将HER2与HER3和/或其它EGFR受体的的二聚化抑制至少约15%,至少约20%,至少约25%,至少约30%,至少约40%,至少约50%,至少约60%,至少约70%,至少约80%,或超过80%,例如至少约85%,至少约90%,至少约95%,至少约98%,至少约99%,或100%。
4D5
在一些情况中,合适的抗HER2抗体结合图4中所列SEQ ID NO://的氨基酸511-636内的表位。在一些情况中,合适的抗HER2抗体结合图4中所列SEQ ID NO://的氨基酸529-625内的表位。在一些情况中,合适的抗HER2抗体结合图4中所列SEQ ID NO://的氨基酸561-625内的表位。
在一些情况中,合适的抗HER2抗体与包含选自DTYIH(VH CDR1;SEQ ID NO://),RIYPTNGYTRYADSVKG(VH CDR2;SEQ ID NO://),和WGGDGFYAMDV(VH CDR3;SEQ ID NO://)的重链互补决定区(CDR)的抗体竞争结合HER2表位(例如HER2结构域IV内;例如图4中所绘HER2氨基酸序列的氨基酸511-636内;例如图4中所绘HER2氨基酸序列的氨基酸529-625内;例如图4中所绘HER2氨基酸序列的氨基酸561-625内的表位)。在一些情况中,该抗HER2抗体是人源化的。在一些情况中,合适的抗HER2抗体与包含选自RASQDVNTAVA(VL CDR1;SEQ IDNO://),SASFLES(VL CDR2;SEQ ID NO://),和QQHYTTPPT(VL CDR3;SEQ ID NO://)的轻链CDR的抗体竞争结合HER2表位(例如HER2结构域IV内;例如图4中所绘HER2氨基酸序列的氨基酸511-636内;例如图4中所绘HER2氨基酸序列的氨基酸529-625内;例如图4中所绘HER2氨基酸序列的氨基酸561-625内的表位)。在一些情况中,该抗HER2抗体是人源化的。
在一些情况中,合适的抗HER2抗体与包含VH CDR DTYIH(VH CDR1;SEQ IDNO://),RIYPTNGYTRYADSVKG(VH CDR2;SEQ ID NO://),和WGGDGFYAMDV(VH CDR3;SEQ IDNO://)的抗体竞争结合HER2表位(例如HER2结构域IV内;例如图4中所绘HER2氨基酸序列的氨基酸511-636内;例如图4中所绘HER2氨基酸序列的氨基酸529-625内;例如图4中所绘HER2氨基酸序列的氨基酸561-625内的表位)。在一些情况中,该抗HER2抗体是人源化的。在一些情况中,合适的抗HER2抗体与包含VL CDR RASQDVNTAVA(VL CDR1;SEQ ID NO://),SASFLES(VL CDR2;SEQ ID NO://),和QQHYTTPPT(VL CDR3;SEQ ID NO://)的抗体竞争结合HER2表位(例如HER2结构域IV内;例如图4中所绘HER2氨基酸序列的氨基酸511-636内;例如图4中所绘HER2氨基酸序列的氨基酸529-625内;例如图4中所绘HER2氨基酸序列的氨基酸561-625内的表位)。在一些情况中,该抗HER2抗体是人源化的。在一些情况中,合适的抗HER2抗体与包含VH CDR DTYIH(VH CDR1;SEQ ID NO://),RIYPTNGYTRYADSVKG(VH CDR2;SEQ ID NO://),和WGGDGFYAMDV(VH CDR3;SEQ ID NO://)和VL CDR RASQDVNTAVA(VLCDR1;SEQ ID NO://),SASFLES(VL CDR2;SEQ ID NO://),和QQHYTTPPT(VL CDR3;SEQ IDNO://)的抗体竞争结合HER2表位(例如HER2结构域IV内;例如图4中所绘HER2氨基酸序列的氨基酸511-636内;例如图4中所绘HER2氨基酸序列的氨基酸529-625内;例如图4中所绘HER2氨基酸序列的氨基酸561-625内的表位)。在一些情况中,该抗HER2抗体是人源化的。
在一些情况中,合适的抗HER2抗体包含VH CDR DTYIH(VH CDR1;SEQ ID NO://),RIYPTNGYTRYADSVKG(VH CDR2;SEQ ID NO://),和WGGDGFYAMDV(VH CDR3;SEQ ID NO://)。在一些情况中,该抗HER2抗体是人源化的。在一些情况中,合适的抗HER2抗体包含VL CDRRASQDVNTAVA(VL CDR1;SEQ ID NO://),SASFLES(VL CDR2;SEQ ID NO://),和QQHYTTPPT(VL CDR3;SEQ ID NO://)。在一些情况中,该抗HER2抗体是人源化的。在一些情况中,合适的抗HER2抗体包含VH CDR DTYIH(VH CDR1;SEQ ID NO://),RIYPTNGYTRYADSVKG(VH CDR2;SEQ ID NO://),和WGGDGFYAMDV(VH CDR3;SEQ ID NO://)和VL CDR RASQDVNTAVA(VLCDR1;SEQ ID NO://),SASFLES(VL CDR2;SEQ ID NO://),和QQHYTTPPT(VL CDR3;SEQ IDNO://)。在一些情况中,该抗HER2抗体是人源化的。
在一些情况中,合适的抗HER2抗体包含包含如下氨基酸序列的抗HER2VH区中存在的VH CDR:
EVQLVESGGGLVQPGGSLRLSCAASGFNIKDTYIHWVRQAPGKGLEWVARIYPTNGYTRYADSVKGRFTISADTSKNTAYLQMNSLRAEDTAVYYCSRWGGDGFYAMDVWGQGTLVTVSS(SEQ ID NO://)。在一些情况中,该抗HER2抗体是人源化的。
在一些情况中,合适的抗HER2抗体包含包含如下氨基酸序列的抗HER2VL区中存在的VL CDR:
DIQMTQSPSSLSASVGDRVTITCRASQDVNTAVAWYQQKPGKAPKLLIYSASFLESGVPSRFSGSRSGTDFTLTISSLQPEDFATYYCQQHYTTPPTFGQGTKVEIKRT(SEQ ID NO://)。在一些情况中,该抗HER2抗体是人源化的。
在一些情况中,合适的抗HER2抗体包含
EVQLVESGGGLVQPGGSLRLSCAASGFNIKDTYIHWVRQAPGKGLEWVARIYPTNGYTRYADSVKGRFTISADTSKNTAYLQMNSLRAEDTAVYYCSRWGGDGFYAMDVWGQGTLVTVSS(SEQ ID NO://)中存在的VHCDR和
DIQMTQSPSSLSASVGDRVTITCRASQDVNTAVAWYQQKPGKAPKLLIYSASFLESGVPSRFSGSRSGTDFTLTISSLQPEDFATYYCQQHYTTPPTFGQGTKVEIKRT(SEQ ID NO://)中存在的VL CDR。在一些情况中,该抗HER2抗体是人源化的。
在一些情况中,合适的抗HER2抗体包含VH氨基酸序列
EVQLVESGGGLVQPGGSLRLSCAASGFNIKDTYIHWVRQAPGKGLEWVARIYPTNGYTRYADSVKGRFTISADTSKNTAYLQMNSLRAEDTAVYYCSRWGGDGFYAMDVWGQGTLVTVSS(SEQ ID NO://)。在一些情况中,合适的抗HER2抗体包含VL氨基酸序列DIQMTQSPSSLSASVGDRVTITCRASQDVNTAVAWYQQKPGKAPKLLIYSASFLESGVPSRFSGSRSGTDFTLTISSLQPEDFATYYCQQHYTTPPTFGQGTKVEIKRT(SEQ IDNO://)。在一些情况中,合适的抗HER2抗体包含VH氨基酸序列
EVQLVESGGGLVQPGGSLRLSCAASGFNIKDTYIHWVRQAPGKGLEWVARIYPTNGYTRYADSVKGRFTISADTSKNTAYLQMNSLRAEDTAVYYCSRWGGDGFYAMDVWGQGTLVTVSS(SEQ ID NO://);和VL氨基酸序列
DIQMTQSPSSLSASVGDRVTITCRASQDVNTAVAWYQQKPGKAPKLLIYSASFLESGVPSRFSGSRSGTDFTLTISSLQPEDFATYYCQQHYTTPPTFGQGTKVEIKRT(SEQ ID NO://)。
在一些情况中,合适的抗HER2抗体包含VH氨基酸序列
EVQLVESGGGLVQPGGSLRLSCAASGFNIKDTYIHWVRQAPGKGLEWVARIYPTNGYTRYADSVKGRFTISADTSKNTAYLQMNSLRAEDTAVYYCSRWGGDGFYAMDVWGQGTLVTVSS(SEQ ID NO://),其中该重链恒定区经过修饰包括FGly残基。在一些情况中,合适的抗HER2抗体包含VL氨基酸序列
DIQMTQSPSSLSASVGDRVTITCRASQDVNTAVAWYQQKPGKAPKLLIYSASFLESGVPSRFSGSRSGTDFTLTISSLQPEDFATYYCQQHYTTPPTFGQGTKVEIKRT(SEQ ID NO://),其中该轻链恒定区经过修饰包括FGly残基。
人源化2C4
在一些情况中,合适的抗HER2抗体结合HER2结构域II内,例如图4中所列氨基酸序列的氨基酸218-341内的表位。在一些情况中,该抗HER2抗体是人源化的。
在一些情况中,合适的抗HER2抗体与包含选自GFTFTDYTMX,其中X是D或S(VHCDR1;SEQ ID NO://);DVNPNSGGSIYNQRFKG(VH CDR2;SEQ ID NO://);和NLGPSFYFDY(VHCDR3;SEQ ID NO://)的重链互补决定区(CDR)的抗体竞争结合HER2中的表位(例如HER2结构域II内的表位;例如图4中所绘HER2氨基酸序列的氨基酸218-341内的表位)。在一些情况中,该抗HER2抗体是人源化的。在一些情况中,合适的抗HER2抗体与包含选自KASQDVSIGVA(VL CDR1;SEQ ID NO://);SASYX1X2X3,其中X1是R或L,X2是Y或E,且X3是T或S(VL CDR2;SEQID NO://);和QQYYIYPYT(VL CDR3;SEQ ID NO://)的轻链CDR的抗体竞争结合HER2中的表位(例如HER2结构域II内的表位;例如图4中所绘HER2氨基酸序列的氨基酸218-341内的表位)。在一些情况中,该抗HER2抗体是人源化的。
在一些情况中,合适的抗HER2抗体与包含重链CDR GFTFTDYTMX,其中X是D或S(VHCDR1;SEQ ID NO://);DVNPNSGGSIYNQRFKG(VH CDR2;SEQ ID NO://);和NLGPSFYFDY(VHCDR3;SEQ ID NO://)的抗体竞争结合HER2中的表位(例如HER2结构域II内的表位;例如图4中所绘HER2氨基酸序列的氨基酸218-341内的表位)。在一些情况中,该抗HER2抗体是人源化的。在一些情况中,合适的抗HER2抗体与包含轻链CDR KASQDVSIGVA(VL CDR1;SEQ IDNO://);SASYX1X2X3,其中X1是R或L,X2是Y或E,且X3是T或S(VL CDR2;SEQ ID NO://);和QQYYIYPYT(VL CDR3;SEQ ID NO://)的抗体竞争结合HER2中的表位(例如HER2结构域II内的表位;例如图4中所绘HER2氨基酸序列的氨基酸218-341内的表位)。在一些情况中,该抗HER2抗体是人源化的。在一些情况中,合适的抗HER2抗体与包含重链CDR GFTFTDYTMX,其中X是D或S(VH CDR1;SEQ ID NO://);DVNPNSGGSIYNQRFKG(VH CDR2;SEQ ID NO://);和NLGPSFYFDY(VH CDR3;SEQ ID NO://);且包含轻链CDR KASQDVSIGVA(VL CDR1;SEQ IDNO://);SASYX1X2X3,其中X1是R或L,X2是Y或E,且X3是T或S(VL CDR2;SEQ ID NO://);和QQYYIYPYT(VL CDR3;SEQ ID NO://)的抗体竞争结合HER2中的表位(例如HER2结构域II内的表位;例如图4中所绘HER2氨基酸序列的氨基酸218-341内的表位)。在一些情况中,该抗HER2抗体是人源化的。
在一些情况中,合适的抗HER2抗体包含重链CDR GFTFTDYTMX,其中X是D或S(VHCDR1;SEQ ID NO://);DVNPNSGGSIYNQRFKG(VH CDR2;SEQ ID NO://);和NLGPSFYFDY(VHCDR3;SEQ ID NO://)。在一些情况中,该抗HER2抗体是人源化的。在一些情况中,合适的抗HER2抗体包含轻链CDR KASQDVSIGVA(VL CDR1;SEQ ID NO://);SASYX1X2X3,其中X1是R或L,X2是Y或E,且X3是T或S(VL CDR2;SEQ ID NO://);和QQYYIYPYT(VL CDR3;SEQ ID NO://)。在一些情况中,该抗HER2抗体是人源化的。在一些情况中,合适的抗HER2抗体包含重链CDRGFTFTDYTMX,其中X是D或S(VH CDR1;SEQ ID NO://);DVNPNSGGSIYNQRFKG(VH CDR2;SEQ IDNO://);和NLGPSFYFDY(VH CDR3;SEQ ID NO://);且包含轻链CDR KASQDVSIGVA(VL CDR1;SEQ ID NO://);SASYX1X2X3,其中X1是R或L,X2是Y或E,且X3是T或S(VL CDR2;SEQ IDNO://);和QQYYIYPYT(VL CDR3;SEQ ID NO://)。在一些情况中,该抗HER2抗体是人源化的。
在一些情况中,合适的抗HER2抗体包含重链CDR GFTFTDYTMD(VH CDR1;SEQ IDNO://);DVNPNSGGSIYNQRFKG(VH CDR2;SEQ ID NO://);和NLGPSFYFDY(VH CDR3;SEQ IDNO://)。在一些情况中,该抗HER2抗体是人源化的。在一些情况中,合适的抗HER2抗体包含轻链CDR KASQDVSIGVA(VL CDR1;SEQ ID NO://);SASYRYT(VL CDR2;SEQ ID NO://);和QQYYIYPYT(VL CDR3;SEQ ID NO://)。在一些情况中,该抗HER2抗体是人源化的。在一些情况中,合适的抗HER2抗体包含重链CDR GFTFTDYTMD(VH CDR1;SEQ ID NO://);DVNPNSGGSIYNQRFKG(VH CDR2;SEQ ID NO://);和NLGPSFYFDY(VH CDR3;SEQ ID NO://);且包含轻链CDR KASQDVSIGVA(VL CDR1;SEQ ID NO://);SASYRYT(VL CDR2;SEQ ID NO://);和QQYYIYPYT(VL CDR3;SEQ ID NO://)。在一些情况中,该抗HER2抗体是人源化的。
在一些情况中,合适的抗HER2抗体包含包含如下氨基酸序列的抗HER2 VH区中存在的VH CDR:
EVQLVESGGGLVQPGGSLRLSCAASGFTFTDYTMDWVRQAPGKGLEWVADVNPNSGGSIYNQRFKGRFTLSVDRSKNTLYLQMNSLRAEDTAVYYCARNLGPSFYFDYWGQGTLVTVSS(SEQ ID NO://)。在一些情况中,该抗HER2抗体是人源化的。
在一些情况中,合适的抗HER2抗体包含包含如下氨基酸序列的抗HER2VL区中存在的VL CDR:
DIQMTQSPSSLSASVGDRVTITCKASQDVSIGVAWYQQKPGKAPKLLIYSASYRYTGVPSRFSGSGSGTDFTLTISSLQPEDFATYYCQQYYIYPYTFGQGTKVEIK(SEQ ID NO://)。在一些情况中,该抗HER2抗体是人源化的。
在一些情况中,合适的抗HER2抗体包含包含如下氨基酸序列的抗HER2VH区中存在的VH CDR:
EVQLVESGGGLVQPGGSLRLSCAASGFTFTDYTMDWVRQAPGKGLEWVADVNPNSGGSIYNQRFKGRFTLSVDRSKNTLYLQMNSLRAEDTAVYYCARNLGPSFYFDYWGQGTLVTVSS(SEQ ID NO://);且包含包含如下氨基酸序列的抗HER2VL区中存在的VL CDR:DIQMTQSPSSLSASVGDRVTITCKASQDVSIGVAWYQQKPGKAPKLLIYSASYRYTGVPSRFSGSGSGTDFTLTISSLQPEDFATYYCQQYYIYPYTFGQGTKVEIK(SEQID NO://)。在一些情况中,该抗HER2抗体是人源化的。
在一些情况中,合适的抗HER2抗体包含包含氨基酸序列
EVQLVESGGGLVQPGGSLRLSCAASGFTFTDYTMDWVRQAPGKGLEWVADVNPNSGGSIYNQRFKGRFTLSVDRSKNTLYLQMNSLRAEDTAVYYCARNLGPSFYFDYWGQGTLVTVSS(SEQ ID NO://)的VH区。在一些情况中,合适的抗HER2抗体包含包含氨基酸序列
DIQMTQSPSSLSASVGDRVTITCKASQDVSIGVAWYQQKPGKAPKLLIYSASYRYTGVPSRFSGSGSGTDFTLTISSLQPEDFATYYCQQYYIYPYTFGQGTKVEIK(SEQ ID NO://)的VL区。在一些情况中,合适的抗HER2抗体包含包含氨基酸序列
EVQLVESGGGLVQPGGSLRLSCAASGFTFTDYTMDWVRQAPGKGLEWVADVNPNSGGSIYNQRFKGRFTLSVDRSKNTLYLQMNSLRAEDTAVYYCARNLGPSFYFDYWGQGTLVTVSS(SEQ ID NO://)的VH区;且包含包含氨基酸序列
DIQMTQSPSSLSASVGDRVTITCKASQDVSIGVAWYQQKPGKAPKLLIYSASYRYTGVPSRFSGSGSGTDFTLTISSLQPEDFATYYCQQYYIYPYTFGQGTKVEIK(SEQ ID NO://)的VL区。
在一些情况中,合适的抗HER2抗体包含包含氨基酸序列
EVQLVESGGGLVQPGGSLRLSCAASGFTFTDYTMDWVRQAPGKGLEWVADVNPNSGGSIYNQRFKGRFTLSVDRSKNTLYLQMNSLRAEDTAVYYCARNLGPSFYFDYWGQGTLVTVSS(SEQ ID NO://)的VH区,其中该重链恒定区经过修饰包括FGly残基。在一些情况中,合适的抗HER2抗体包含包含氨基酸序列
DIQMTQSPSSLSASVGDRVTITCKASQDVSIGVAWYQQKPGKAPKLLIYSASYRYTGVPSRFSGSGSGTDFTLTISSLQPEDFATYYCQQYYIYPYTFGQGTKVEIK(SEQ ID NO://)的VL区,其中该轻链恒定区经过修饰包括FGly残基。
Symphogen抗HER2
在一些情况中,合适的抗HER2抗体与包含选自GFTFSSYG(SEQ ID NO://),GFNIKDIF(SEQ ID NO://),GYTFTNYW(SEQ ID NO://),GYTFTDYY(SEQ ID NO://),GYTFTDYS(SEQ ID NO://),GYTFTSHW(SEQ ID NO://),GYTFTGYW(SEQ ID NO://),GYTFTSYW(SEQ IDNO://),和GYSFTDYN(SEQ ID NO://)的VH CDR1;和/或选自ISGGGSYT(SEQ ID NO://),IDPANDNP(SEQ ID NO://),IHPSDSDV(SEQ ID NO://),INPNNGGT(SEQ ID NO://),INTATGEP(SEQ ID NO://),INPSNGGT(SEQ ID NO://),ILPGSGST(SEQ ID NO://),IHPNSGSI(SEQ IDNO://),ILPGGYT(SEQ ID NO://),和IDPYNGGT(SEQ ID NO://)的VH CDR2;和/或选自CARKGNYGNYGKLAYW(SEQ ID NO://),CAGGPAYFDYW(SEQ ID NO://),CAKSYYDSAMDYW(SEQ IDNO://),CVPGGLRSYFDYW(SEQ ID NO://),CTAWAYEPYFDYW(SEQ ID NO://),CARAYYDFSWFVYW(SEQ ID NO://),CARWGDGSFAYW(SEQ ID NO://),CAGYGNGPMDYW(SEQ ID NO://),CARGSSGYPYYFDYW(SEQ ID NO://),和CARGAGYALDYW(SEQ ID NO://)的VH CDR3的抗体竞争结合HER2多肽中的表位。在一些情况中,合适的抗HER2抗体与包含选自ENIYSN(SEQ IDNO://),QDVIAA(SEQ ID NO://),KSVTTSGYSY(SEQ ID NO://),QDVSAA(SEQ ID NO://),QDVFTA(SEQ ID NO://),QDISNY(SEQ ID NO://),QNVGTA(SEQ ID NO://),SSVSY(SEQ IDNO://),和QDVGTA(SEQ ID NO://)的VL CDR1;和/或选自AAT,WAS,VAS,SAS,IS,STS,RTS,和LTS的VL CDR2;和/或选自CQHFWGTPWTF(SEQ ID NO://),CQQHYSTPWTF(SEQ ID NO://),CHHSRELPWTF(SEQ ID NO://),CQQHYTTPPTF(SEQ ID NO://),CQQHFGIPWTF(SEQ IDNO://),CQQGNTLPLTF(SEQ ID NO://),CQQYRSYPFTF(SEQ ID NO://),CQQYHNYPLTF(SEQ IDNO://),CQQYSSYPYMYTF(SEQ ID NO://),和CQQWSSTPYTF(SEQ ID NO://)的VL CDR3的抗体竞争结合HER2多肽中的表位。在一些情况中,该抗HER2抗体是人源化的。
在一些情况中,合适的抗HER2抗体与包含下述VH CDR1,CDR2,和CDR3序列的抗体竞争结合HER2多肽中的表位。在一些情况中,合适的抗HER2抗体与包含VH CDR序列GFTFSSYG(SEQ ID NO://),ISGGGSYT(SEQ ID NO://),和CARKGNYGNYGKLAYW(SEQ IDNO://)的抗体竞争结合HER2多肽中的表位。在一些情况中,合适的抗HER2抗体与包含VHCDR序列GFNIKDIF(SEQ ID NO://),IDPANDNP(SEQ ID NO://),和CAGGPAYFDYW(SEQ IDNO://)的抗体竞争结合HER2多肽中的表位。在一些情况中,合适的抗HER2抗体与包含VHCDR序列GYTFTNYW(SEQ ID NO://),IHPSDSDV(SEQ ID NO://),和CAKSYYDSAMDYW(SEQ IDNO://)的抗体竞争结合HER2多肽中的表位。在一些情况中,合适的抗HER2抗体与包含VHCDR序列GYTFTDYY(SEQ ID NO://),INPNNGGT(SEQ ID NO://),和CVPGGLRSYFDYW(SEQ IDNO://)的抗体竞争结合HER2多肽中的表位。在一些情况中,合适的抗HER2抗体与包含VHCDR序列GYTFTDYS(SEQ ID NO://),INTATGEP(SEQ ID NO://),和CTAWAYEPYFDYW(SEQ IDNO://)的抗体竞争结合HER2多肽中的表位。在一些情况中,合适的抗HER2抗体与包含VHCDR序列GYTFTSHW(SEQ ID NO://),INPSNGGT(SEQ ID NO://),和CARAYYDFSWFVYW(SEQ IDNO://)的抗体竞争结合HER2多肽中的表位。在一些情况中,合适的抗HER2抗体与包含VHCDR序列GYTFTGYW(SEQ ID NO://),ILPGSGST(SEQ ID NO://),和CARWGDGSFAYW(SEQ IDNO://)的抗体竞争结合HER2多肽中的表位。在一些情况中,合适的抗HER2抗体与包含VHCDR序列GYTFTSYW(SEQ ID NO://),IHPNSGSI(SEQ ID NO://),和CAGYGNGPMDYW(SEQ IDNO://)的抗体竞争结合HER2多肽中的表位。在一些情况中,合适的抗HER2抗体与包含VHCDR序列GYTFTNYW(SEQ ID NO://),ILPGGYT(SEQ ID NO://),和CARGSSGYPYYFDYW(SEQ IDNO://)的抗体竞争结合HER2多肽中的表位。在一些情况中,合适的抗HER2抗体与包含VHCDR序列GYSFTDYN(SEQ ID NO://),IDPYNGGT(SEQ ID NO://),CARGAGYALDYW(SEQ IDNO://)的抗体竞争结合HER2多肽中的表位。在任何上述实施方案中,该抗体可以是人源化的。
在一些情况中,合适的抗HER2抗体与包含下述VL CDR1,CDR2,和CDR3序列的抗体竞争结合HER2多肽中的表位。在一些情况中,合适的抗HER2抗体与包含VL CDR序列ENIYSN(SEQ ID NO://),AAT,和CQHFWGTPWTF(SEQ ID NO://)的抗体竞争结合HER2多肽中的表位。在一些情况中,合适的抗HER2抗体与包含VL CDR序列QDVIAA(SEQ ID NO://),WAS,和CQQHYSTPWTF(SEQ ID NO://)的抗体竞争结合HER2多肽中的表位。在一些情况中,合适的抗HER2抗体与包含VL CDR序列KSVTTSGYSY(SEQ ID NO://),VAS,和CHHSRELPWTF(SEQ IDNO://)的抗体竞争结合HER2多肽中的表位。在一些情况中,合适的抗HER2抗体与包含VLCDR序列QDVSAA(SEQ ID NO://),WAS,和CQQHYTTPPTF(SEQ ID NO://)的抗体竞争结合HER2多肽中的表位。在一些情况中,合适的抗HER2抗体与包含VL CDR序列QDVFTA(SEQ IDNO://),SAS,和CQQHFGIPWTF(SEQ ID NO://)的抗体竞争结合HER2多肽中的表位。在一些情况中,合适的抗HER2抗体与包含VL CDR序列QDISNY(SEQ ID NO://),IS,和CQQGNTLPLTF(SEQ ID NO://)的抗体竞争结合HER2多肽中的表位。在一些情况中,合适的抗HER2抗体与包含VL CDR序列QNVGTA(SEQ ID NO://),STS,和CQQYRSYPFTF(SEQ ID NO://)的抗体竞争结合HER2多肽中的表位。在一些情况中,合适的抗HER2抗体与包含VL CDR序列SSVSY(SEQID NO://),RTS,和CQQYHNYPLTF(SEQ ID NO://)的抗体竞争结合HER2多肽中的表位。在一些情况中,合适的抗HER2抗体与包含VL CDR序列QDVGTA(SEQ ID NO://),WAS,和CQQYSSYPYMYTF(SEQ ID NO://)的抗体竞争结合HER2多肽中的表位。在一些情况中,合适的抗HER2抗体与包含VL CDR序列SSVSY(SEQ ID NO://),LTS,和CQQWSSTPYTF(SEQ ID NO://)的抗体竞争结合HER2多肽中的表位。在任何上述实施方案中,该抗体可以是人源化的。
在一些情况中,合适的抗HER2抗体与包含下述VH CDR1,CDR2,和CDR3序列且包含下述VL CDR1,CDR2,和CDR3序列的抗体竞争结合HER2多肽中的表位。在一些情况中,合适的抗HER2抗体与包含VH CDR GFTFSSYG(SEQ ID NO://),ISGGGSYT(SEQ ID NO://),和CARKGNYGNYGKLAYW(SEQ ID NO://);且包含VL CDR ENIYSN(SEQ ID NO://),AAT,和CQHFWGTPWTF(SEQ ID NO://)的抗体竞争结合HER2多肽中的表位。在一些情况中,合适的抗HER2抗体与包含VH CDR GFNIKDIF(SEQ ID NO://),IDPANDNP(SEQ ID NO://),和CAGGPAYFDYW(SEQ ID NO://);且包含VL CDR QDVIAA(SEQ ID NO://),WAS,和CQQHYSTPWTF(SEQ ID NO://)的抗体竞争结合HER2多肽中的表位。在一些情况中,合适的抗HER2抗体与包含VH CDR GYTFTNYW(SEQ ID NO://),IHPSDSDV(SEQ ID NO://),和CAKSYYDSAMDYW(SEQID NO://);且包含VL CDR KSVTTSGYSY(SEQ ID NO://),VAS,和CHHSRELPWTF(SEQ IDNO://)的抗体竞争结合HER2多肽中的表位。在一些情况中,合适的抗HER2抗体与包含VHCDR GYTFTDYY(SEQ ID NO://),INPNNGGT(SEQ ID NO://),和CVPGGLRSYFDYW(SEQ IDNO://);且包含VL CDR QDVSAA(SEQ ID NO://),WAS,和CQQHYTTPPTF(SEQ ID NO://)的抗体竞争结合HER2多肽中的表位。在一些情况中,合适的抗HER2抗体与包含VH CDR GYTFTDYS(SEQ ID NO://),INTATGEP(SEQ ID NO://),和CTAWAYEPYFDYW(SEQ ID NO://);且包含VLCDR QDVFTA(SEQ ID NO://),SAS,和CQQHFGIPWTF(SEQ ID NO://)的抗体竞争结合HER2多肽中的表位。在一些情况中,合适的抗HER2抗体与包含VH CDR GYTFTSHW(SEQ ID NO://),INPSNGGT(SEQ ID NO://),和CARAYYDFSWFVYW(SEQ ID NO://);且包含VL CDR QDISNY(SEQID NO://),IS,和CQQGNTLPLTF(SEQ ID NO://)的抗体竞争结合HER2多肽中的表位。在一些情况中,合适的抗HER2抗体与包含VH CDR GYTFTGYW(SEQ ID NO://),ILPGSGST(SEQ IDNO://),和CARWGDGSFAYW(SEQ ID NO://);且包含VL CDR QNVGTA(SEQ ID NO://),STS,和CQQYRSYPFTF(SEQ ID NO://)的抗体竞争结合HER2多肽中的表位。在一些情况中,合适的抗HER2抗体与包含VH CDR GYTFTSYW(SEQ ID NO://),IHPNSGSI(SEQ ID NO://),和CAGYGNGPMDYW(SEQ ID NO://);且包含VL CDR SSVSY(SEQ ID NO://),RTS,和CQQYHNYPLTF(SEQ ID NO://)的抗体竞争结合HER2多肽中的表位。在一些情况中,合适的抗HER2抗体与包含VH CDR GYTFTNYW(SEQ ID NO://),ILPGGYT(SEQ ID NO://),和CARGSSGYPYYFDYW(SEQID NO://);且包含VL CDR QDVGTA(SEQ ID NO://),WAS,和CQQYSSYPYMYTF(SEQ ID NO://)的抗体竞争结合HER2多肽中的表位。在一些情况中,合适的抗HER2抗体与包含VH CDRGYSFTDYN(SEQ ID NO://),IDPYNGGT(SEQ ID NO://),CARGAGYALDYW(SEQ ID NO://);且包含VL CDR SSVSY(SEQ ID NO://),LTS,和CQQWSSTPYTF(SEQ ID NO://)的抗体竞争结合HER2多肽中的表位。在任何上述实施方案中,该抗体可以是人源化的。
Alper BioTech 2HE
在一些情况中,合适的抗HER2抗体结合HER2多肽结构域II内的表位,例如图4中所绘HER2氨基酸序列的氨基酸LVTYNTDTFE内,氨基酸SMPNPEGRYT内,或氨基酸YNYLSTDVGS内的表位。在一些情况中,合适的抗HER2抗体结合HER2多肽结构域III内的表位,例如图4中所绘HER2氨基酸序列的氨基酸ETLEEITGYL内,氨基酸YISAWPDSLP内,或氨基酸YSLTLQGLGI内的表位。在一些情况中,合适的抗HER2抗体结合HER2多肽结构域IV内的表位,例如图4中所绘HER2氨基酸序列的氨基酸PREYVNARHC内,氨基酸ADQCVACAHY内,或氨基酸PSGVKPDLSY内的表位。
在一些情况中,合适的抗HER2抗体与包含选自GFSLTSYV(VH CDR1;SEQ IDNO://),IWTGGGT(VH CDR2;SEQ ID NO://),和ASLSYDGFDYW(VH CDR3;SEQ ID NO://)的重链互补决定区(CDR)的抗体竞争结合HER2表位。在一些情况中,该抗HER2抗体是人源化的。在一些情况中,合适的抗HER2抗体与包含选自SSVSY(VL CDR1;SEQ ID NO://),DTS(VLCDR2),和QQWSSNPLT(VL CDR3;SEQ ID NO://)的轻链CDR的抗体竞争结合HER2表位。在一些情况中,该抗HER2抗体是人源化的。
在一些情况中,合适的抗HER2抗体与包含VH CDR GFSLTSYV(VH CDR1;SEQ IDNO://),IWTGGGT(VH CDR2;SEQ ID NO://),和ASLSYDGFDYW(VH CDR3;SEQ ID NO://)的抗体竞争结合HER2表位。在一些情况中,该抗HER2抗体是人源化的。在一些情况中,合适的抗HER2抗体与包含VL CDR SSVSY(VL CDR1;SEQ ID NO://),DTS(VL CDR2),和QQWSSNPLT(VLCDR3;SEQ ID NO://)的抗体竞争结合HER2表位。在一些情况中,该抗HER2抗体是人源化的。在一些情况中,合适的抗HER2抗体与包含VH CDR GFSLTSYV(VH CDR1;SEQ ID NO://),IWTGGGT(VH CDR2;SEQ ID NO://),和ASLSYDGFDYW(VH CDR3;SEQ ID NO://);且包含VLCDR SSVSY(VL CDR1;SEQ ID NO://),DTS(VL CDR2),和QQWSSNPLT(VL CDR3;SEQ IDNO://)的抗体竞争结合HER2表位。在一些情况中,该抗HER2抗体是人源化的。
在一些情况中,合适的抗HER2抗体包含VH CDR GFSLTSYV(VH CDR1;SEQ IDNO://),IWTGGGT(VH CDR2;SEQ ID NO://),和ASLSYDGFDYW(VH CDR3;SEQ ID NO://)。在一些情况中,该抗HER2抗体是人源化的。在一些情况中,合适的抗HER2抗体包含VL CDR SSVSY(VL CDR1;SEQ ID NO://),DTS(VL CDR2),和QQWSSNPLT(VL CDR3;SEQ ID NO://)。在一些情况中,该抗HER2抗体是人源化的。在一些情况中,合适的抗HER2抗体包含VH CDRGFSLTSYV(VH CDR1;SEQ ID NO://),IWTGGGT(VH CDR2;SEQ ID NO://),和ASLSYDGFDYW(VHCDR3;SEQ ID NO://);且包含VL CDR SSVSY(VL CDR1;SEQ ID NO://),DTS(VL CDR2),和QQWSSNPLT(VL CDR3;SEQ ID NO://)。在一些情况中,该抗HER2抗体是人源化的。
在一些情况中,合适的抗HER2抗体包含下述VH氨基酸序列中存在的VH CDR:
GPGLAAPSQSLSITCTVSGFSLTSYVISWVRQPPGKGLEWLGVIWTGGGTNYNSALKSRLSISKDNSKSQVSLKMNSLQTDDTARYYCASLSYDGFDYWGQGTTVT(SEQ ID NO://)。在一些情况中,该抗HER2抗体是人源化的。在一些情况中,合适的抗HER2抗体包含下述VL氨基酸序列中存在的VL CDR:
ILMTQSPAIMSASPGEKVTMTCSASSSVSYMHWYQQKSGTSPKRWIYDTSKLASGVPARFSGSGSGTSYSLTISSMEAEDAATYYCQQWSSNPLTFGAGTKLEIK(SEQ ID NO://)。在一些情况中,该抗HER2抗体是人源化的。在一些情况中,合适的抗HER2抗体包含下述VH氨基酸序列中存在的VH CDR:
GPGLAAPSQSLSITCTVSGFSLTSYVISWVRQPPGKGLEWLGVIWTGGGTNYNSALKSRLSISKDNSKSQVSLKMNSLQTDDTARYYCASLSYDGFDYWGQGTTVT(SEQ ID NO://);且包含下述VL氨基酸序列中存在的VL CDR:
ILMTQSPAIMSASPGEKVTMTCSASSSVSYMHWYQQKSGTSPKRWIYDTSKLASGVPARFSGSGSGTSYSLTISSMEAEDAATYYCQQWSSNPLTFGAGTKLEIK(SEQ ID NO://)。在一些情况中,该抗HER2抗体是人源化的。
经修饰的恒定区序列
如上所述,抗HER2抗体的氨基酸序列经过修饰包括硫酸酯酶基序,其含有丝氨酸或半胱氨酸残基,能够在体内(例如在细胞中翻译含有ald标签的蛋白质时)或在体外(例如通过在无细胞系统中使含有ald标签的蛋白质接触FGE)通过甲酰甘氨酸生成酶(FGE)的作用而转化(氧化)成2-甲酰甘氨酸(FGly)残基。此类硫酸酯酶基序在本文中也可以称作FGE修饰位点。
硫酸酯酶基序
醛标签的最小限度硫酸酯酶基序通常长度为5或6个氨基酸残基,通常长度不超过6个氨基酸残基。Ig多肽中提供的硫酸酯酶基序长度为至少5或6氨基酸残基,而且可以是例如5-16,6-16,5-15,6-15,5-14,6-14,5-13,6-13,5-12,6-12,5-11,6-11,5-10,6-10,5-9,6-9,5-8,或6-8个氨基酸残基,从而限定长度小于16,15,14,13,12,11,10,9,8或7个氨基酸残基的硫酸酯酶基序。
在某些实施方案中,感兴趣多肽包括那些其中相对于天然氨基酸序列已经插入,删除,替代(替换)一个或多个氨基酸残基,诸如2个或更多,或3个或更多,或4个或更多,或5个或更多,或6个或更多,或7个或更多,或8个或更多,或9个或更多,或10个或更多,或11个或更多,或12个或更多,或13个或更多,或14个或更多,或15个或更多,或16个或更多,或17个或更多,或18个或更多,或19个或更多,或20个或更多氨基酸残基以在多肽中提供硫酸酯酶基序的序列。在某些实施方案中,该多肽相对于该多肽的天然氨基酸序列包括氨基酸序列的小于20,19,18,17,16,15,14,13,12,11,10,9,8,7,6,5,4,3或2个氨基酸残基的修饰(插入,添加,删除,和/或替代/替换)。在多肽(例如抗HER2抗体)的天然氨基酸序列含有期望的硫酸酯酶基序的一个或多个残基的情况中,残基修饰的总数可以减少,例如通过天然氨基酸残基侧翼的氨基酸残基的位点规定修饰(插入,添加,删除,替代/替换)来提供期望的硫酸酯酶基序的序列。在某些实施方案中,将靶抗HER2多肽的天然氨基酸序列的修饰程度降至最低,以使插入,删除,替代(替换),或添加(例如至N或C端)的氨基酸残基的数目降至最低。将靶抗HER2多肽的氨基酸序列修饰程度降至最低可将此类修饰可能对抗HER2功能和/或结构具有的影响降至最低。
应当指出,虽然特别感兴趣的醛标签是那些包含至少最小限度硫酸酯酶基序(也称作“共有硫酸酯酶基序”)的,但是会容易领会本公开内容涉及且涵盖更长的醛标签,它们可用于本公开内容的组合物和方法。醛标签可以如此包含5或6个残基的最小限度硫酸酯酶基序,或者可以更长,包含最小限度硫酸酯酶基序且该基序的N和/或C端侧可以侧翼有额外的氨基酸残基。例如,涵盖5或6个氨基酸残基的醛标签,以及超过5,6,7,8,9,10,11,12,13,14,15,16,17,18,19,20或更多个氨基酸残基的更长的氨基酸序列。
醛标签可以存在于Ig重链的C端或附近;例如,醛标签可以存在于天然,野生型Ig重链C端的1,2,3,4,5,6,7,8,9,或10个氨基酸内。醛标签可以存在于Ig重链的CH1结构域内。醛标签可以存在于Ig重链CH2结构域内。醛标签可以存在于Ig重链的CH3结构域内。醛标签可以存在于Ig轻链恒定区中,例如卡帕轻链恒定区或拉姆达轻链恒定区中。
在某些实施方案中,所使用的硫酸酯酶基序可以通过下式来描述的:
X1Z10X2Z20X3Z30 (I’)
其中
Z10是半胱氨酸或丝氨酸(它还可以通过(C/S)来表示);
Z20是脯氨酸或丙氨酸残基任一(它还可以通过(P/A)来表示);
Z30是碱性氨基酸(例如精氨酸(R),而且可以是赖氨酸(K)或组氨酸(H),例如赖氨酸),或脂肪族氨基酸(丙氨酸(A),甘氨酸(G),亮氨酸(L),缬氨酸(V),异亮氨酸(I),或脯氨酸(P),例如,A,G,L,V,或I;
X1存在或缺失,而且,当存在时,可以是任何氨基酸,例如脂肪族氨基酸,含硫氨基酸,或极性,不带电荷氨基酸,(即,芳香族氨基酸或带电荷氨基酸以外的),例如L,M,V,S或T,例如L,M,S或V,前提是,当硫酸酯酶基序处于靶多肽的N端时,X1存在;且
X2和X3可以独立是任何氨基酸,虽然通常是脂肪族氨基酸,极性,不带电荷氨基酸,或含硫氨基酸(即,芳香族氨基酸或带电荷氨基酸以外的),例如S,T,A,V,G或C,例如S,T,A,V或G。
可以修饰抗HER2重和/或轻链的氨基酸序列以提供式X1Z10X2Z20X3Z30的至少5个氨基酸的序列,其中
Z10是半胱氨酸或丝氨酸;
Z20是脯氨酸或丙氨酸残基;
Z30是脂肪族氨基酸或碱性氨基酸;
X1存在或缺失,而且,当存在时,是任何氨基酸,前提是,当该异源硫酸酯酶基序处于多肽的N端时,X1存在;
X2和X3每个独立是任何氨基酸,
其中该序列在Ig恒定区的溶剂可及环区内或附近,且其中该序列不在Ig重链的C端。
硫酸酯酶基序通常选择成能够被选定FGE所转变,例如带醛标签的多肽在其中表达的宿主细胞中存在的FGE或要在无细胞体外方法中与带醛标签的多肽接触的FGE。
例如,其中该FGE是真核FGE(例如哺乳动物FGE,包括人FGE),该硫酸酯酶基序可以是下式的:
X1CX2PX3Z30 (I”)
其中
X1可以存在或缺失,而且,当存在时,可以是任何氨基酸,例如脂肪族氨基酸,含硫氨基酸,或极性,不带电荷氨基酸,(即,芳香族氨基酸或带电荷氨基酸以外的),例如L,M,S或V,前提是,当硫酸酯酶基序处于靶多肽的N端时,X1存在;
X2和X3可以独立是任何氨基酸,例如脂肪族氨基酸,含硫氨基酸,或极性,不带电荷氨基酸,(即,芳香族氨基酸或带电荷氨基酸以外的),例如S,T,A,V,G,或C,例如S,T,A,V或G;且
Z30是碱性氨基酸(例如精氨酸(R),而且可以是赖氨酸(K)或组氨酸(H),例如赖氨酸),或脂肪族氨基酸(丙氨酸(A),甘氨酸(G),亮氨酸(L),缬氨酸(V),异亮氨酸(I),或脯氨酸(P),例如A,G,L,V,或I。
硫酸酯酶基序的具体例子包括LCTPSR(SEQ ID NO:17),MCTPSR(SEQ ID NO://),VCTPSR(SEQ ID NO://),LCSPSR(SEQ ID NO://),LCAPSR(SEQ ID NO://),LCVPSR(SEQ IDNO://),LCGPSR(SEQ ID NO://),ICTPAR(SEQ ID NO://),LCTPSK(SEQ ID NO://),MCTPSK(SEQ ID NO://),VCTPSK(SEQ ID NO://),LCSPSK(SEQ ID NO://),LCAPSK(SEQ IDNO://),LCVPSK(SEQ ID NO://),LCGPSK(SEQ ID NO://),LCTPSA(SEQ ID NO://),ICTPAA(SEQ ID NO://),MCTPSA(SEQ ID NO://),VCTPSA(SEQ ID NO://),LCSPSA(SEQ IDNO://),LCAPSA(SEQ ID NO://),LCVPSA(SEQ ID NO://),和LCGPSA(SEQ ID NO://)。
含FGly序列
一旦FGE作用于经修饰的抗HER2重和/或轻链,硫酸酯酶基序中的丝氨酸或半胱氨酸就被修饰成FGly。如此,含FGly硫酸酯酶基序可以是下式的:
X1(FGly)X2Z20X3Z30 (I”’)
其中
FGly是甲酰甘氨酸残基;
Z20是脯氨酸或丙氨酸残基任一(还可以通过(P/A)来表示);
Z30是碱性氨基酸(例如精氨酸(R),而且可以是赖氨酸(K)或组氨酸(H),通常是赖氨酸),或脂肪族氨基酸(丙氨酸(A),甘氨酸(G),亮氨酸(L),缬氨酸(V),异亮氨酸(I),或脯氨酸(P),例如A,G,L,V,或I;
X1可以存在或缺失,而且,当存在时,可以是任何氨基酸,例如脂肪族氨基酸,含硫氨基酸,或极性,不带电荷氨基酸,(即,芳香族氨基酸或带电荷氨基酸以外的),例如L,M,V,S或T,例如L,M或V,前提是,当硫酸酯酶基序处于靶多肽的N端时,X1存在;且
X2和X3可以独立是任何氨基酸,例如脂肪族氨基酸,含硫氨基酸,或极性,不带电荷氨基酸(即,芳香族氨基酸或带电荷氨基酸以外的),例如S,T,A,V,G或C,例如S,T,A,V或G。
如上所述,通过FGly与药物(例如如上所述含有肼基-吡咯并偶联模块的药物)的反应以生成含FGly’硫酸酯酶基序,含有FGly残基的经修饰的多肽可以缀合至药物(例如美登木素生物碱)。如本文中使用的,术语FGly’指硫酸酯酶基序中偶联至药物,诸如美登木素生物碱的经修饰的氨基酸残基(例如式(I)的经修饰的氨基酸残基)。如此,含FGly’硫酸酯酶基序可以是下式的:
X1(FGly’)X2Z20X3Z30 (II)
其中
FGly’是式(I)的经修饰的氨基酸残基;
Z20是脯氨酸或丙氨酸残基任一(还可以通过(P/A)来表示);
Z30是碱性氨基酸(例如精氨酸(R),而且可以是赖氨酸(K)或组氨酸(H),通常是赖氨酸),或脂肪族氨基酸(丙氨酸(A),甘氨酸(G),亮氨酸(L),缬氨酸(V),异亮氨酸(I),或脯氨酸(P),例如A,G,L,V,或I;
X1可以存在或缺失,而且,当存在时,可以是任何氨基酸,例如脂肪族氨基酸,含硫氨基酸,或极性,不带电荷氨基酸(即,芳香族氨基酸或带电荷氨基酸以外的),例如L,M,V,S或T,例如L,M或V,前提是,当硫酸酯酶基序处于靶多肽的N端时,X1存在;且
X2和X3可以独立是任何氨基酸,例如脂肪族氨基酸,含硫氨基酸,或极性,不带电荷氨基酸(即,芳香族氨基酸或带电荷氨基酸以外的),例如S,T,A,V,G或C,例如S,T,A,V或G。
在某些实施方案中,式(I)的经修饰的氨基酸残基位于抗HER2抗体的重链恒定区的C端。在一些情况中,该重链恒定区包含式(II)的序列:
X1(FGly’)X2Z20X3Z30 (II)
其中
FGly’是式(I)的经修饰的氨基酸残基;
Z20是脯氨酸或丙氨酸残基任一(还可以通过(P/A)来表示);
Z30是碱性氨基酸(例如精氨酸(R),而且可以是赖氨酸(K)或组氨酸(H),通常是赖氨酸),或脂肪族氨基酸(丙氨酸(A),甘氨酸(G),亮氨酸(L),缬氨酸(V),异亮氨酸(I),或脯氨酸(P),例如A,G,L,V,或I;
X1可以存在或缺失,而且,当存在时,可以是任何氨基酸,例如脂肪族氨基酸,含硫氨基酸,或极性,不带电荷氨基酸(即,芳香族氨基酸或带电荷氨基酸以外的),例如L,M,V,S或T,例如L,M或V,前提是,当硫酸酯酶基序处于靶多肽的N端时,X1存在;
X2和X3可以独立是任何氨基酸,例如脂肪族氨基酸,含硫氨基酸,或极性,不带电荷氨基酸(即,芳香族氨基酸或带电荷氨基酸以外的),例如S,T,A,V,G或C,例如S,T,A,V或G;且
其中该序列在氨基酸序列QKSLSLSPGS的C端,且其中该序列可包括天然,野生型Ig重链恒定区中不存在的1,2,3,4,5,或5至10个氨基酸。
在某些实施方案中,该重链恒定区在Ig重链的C端包含序列SLSLSPGSL(FGly’)TPSRGS,例如替换天然SLSLSPGK(SEQ ID NO://)序列。
在某些实施方案中,式(I)的经修饰的氨基酸残基位于抗HER2抗体的轻链恒定区中。在某些实施方案中,该轻链恒定区包含式(II)的序列:
X1(FGly’)X2Z20X3Z30 (II)
其中
FGly’是式(I)的经修饰的氨基酸残基;
Z20是脯氨酸或丙氨酸残基任一(还可以通过(P/A)来表示);
Z30是碱性氨基酸(例如精氨酸(R),而且可以是赖氨酸(K)或组氨酸(H),通常是赖氨酸),或脂肪族氨基酸(丙氨酸(A),甘氨酸(G),亮氨酸(L),缬氨酸(V),异亮氨酸(I),或脯氨酸(P),例如A,G,L,V,或I;
X1可以存在或缺失,而且,当存在时,可以是任何氨基酸,例如脂肪族氨基酸,含硫氨基酸,或极性,不带电荷氨基酸(即,芳香族氨基酸或带电荷氨基酸以外的),例如L,M,V,S或T,例如L,M或V,前提是,当硫酸酯酶基序处于靶多肽的N端时,X1存在;
X2和X3可以独立是任何氨基酸,例如脂肪族氨基酸,含硫氨基酸,或极性,不带电荷氨基酸(即,芳香族氨基酸或带电荷氨基酸以外的),例如S,T,A,V,G或C,例如S,T,A,V或G;且
其中该序列在氨基酸序列KVDNAL(SEQ ID NO://)的C端和/或在氨基酸序列QSGNSQ(SEQ ID NO://)的N端。
在某些实施方案中,该轻链恒定区包含序列KVDNAL(FGly’)TPSRQSGNSQ(SEQ IDNO://)。
在某些实施方案中,式(I)的经修饰的氨基酸残基位于抗HER2抗体的重链CH1区中。在某些实施方案中,该重链CH1区包含式(II)的序列:
X1(FGly’)X2Z20X3Z30 (II)
其中
FGly’是式(I)的经修饰的氨基酸残基;
Z20是脯氨酸或丙氨酸残基任一(还可以通过(P/A)来表示);
Z30是碱性氨基酸(例如精氨酸(R),而且可以是赖氨酸(K)或组氨酸(H),通常是赖氨酸),或脂肪族氨基酸(丙氨酸(A),甘氨酸(G),亮氨酸(L),缬氨酸(V),异亮氨酸(I),或脯氨酸(P),例如A,G,L,V,或I;
X1可以存在或缺失,而且,当存在时,可以是任何氨基酸,例如脂肪族氨基酸,含硫氨基酸,或极性,不带电荷氨基酸(即,芳香族氨基酸或带电荷氨基酸以外的),例如L,M,V,S或T,例如L,M或V,前提是,当硫酸酯酶基序处于靶多肽的N端时,X1存在;
X2和X3可以独立是任何氨基酸,例如脂肪族氨基酸,含硫氨基酸,或极性,不带电荷氨基酸(即,芳香族氨基酸或带电荷氨基酸以外的),例如S,T,A,V,G或C,例如S,T,A,V或G;且
其中该序列在氨基酸序列SWNSGA(SEQ ID NO://)的C端和/或在氨基酸序列GVHTFP(SEQ ID NO://)的N端。
在某些实施方案中,该重链CH1区包含序列SWNSGAL(FGly’)TPSRGVHTFP(SEQ IDNO://)。
修饰位点
如上所述,抗HER2抗体的氨基酸序列经过修饰包括硫酸酯酶基序,其含有丝氨酸或半胱氨酸残基,能够在体内(例如在细胞中翻译含有ald标签的蛋白质时)或在体外(例如通过在无细胞系统中使含有ald标签的蛋白质接触FGE)通过FGE的作用而转化(氧化)成FGly残基。用于生成本公开内容的缀合物的抗HER2多肽包括至少一个Ig恒定区,例如Ig重链恒定区(例如至少CH1域;至少CH1和CH2域;CH1,CH2,和CH3域;或CH1,CH2,CH3,和CH4域),或Ig轻链恒定区。此类Ig多肽在本文中称作“靶Ig多肽”或“靶抗HER2抗体”或“靶抗HER2Ig多肽”。
抗HER2抗体中引入硫酸酯酶基序的位点可以是任何方便的位点。如上所述,在一些情况中,将靶抗HER2多肽的天然氨基酸序列的修饰程度降至最低,以使插入,删除,替代(替换),和/或添加(例如至N或C端)的氨基酸残基的数目降至最低。将靶抗HER2多肽的氨基酸序列修饰程度降至最低可将此类修饰可能对抗HER2功能和/或结构具有的影响降至最低。
抗HER2抗体重链恒定区可包括任何重链同种型的Ig恒定区、非天然存在的Ig重链恒定区(包括共有Ig重链恒定区)。Ig恒定区可被修饰以包括醛标签,其中醛标签存在于Ig恒定区的溶剂可及性环区内或与其相邻。Ig恒定区可被1、2、3、4、5、6、7、8、9、10、11、12、13、14、15或16个氨基酸,或超过16个氨基酸的插入和/或替代修饰,以提供上述硫酸酯酶基序的氨基酸序列。
在一些情况下,醛标记抗HER2抗体包含醛标记Ig重链恒定区(例如,至少CH1结构域;至少CH1和CH2结构域;CH1、CH2和CH3结构域;或CH1、CH2、CH3和CH4结构域)。醛标记Ig重链恒定区可包括IgA、IgM、IgD、IgE、IgG1、IgG2、IgG3或IgG4同种型重链或所述重链的任何同种异型变体的重链恒定区序列,例如,人重链恒定区序列或小鼠重链恒定区序列、杂合重链恒定区、合成重链恒定区或共有重链恒定区序列等,所述重链恒定区经修饰包括至少一个可被FGE修饰以产生FGly-修饰Ig多肽的硫酸酯酶基序。Ig重链的同种异型变体在本领域是已知的。参见,例如,Jefferis和Lefranc(2009)MAbs 1:4。
在一些情况下,醛标记抗HER2抗体包含醛标记Ig轻链恒定区。醛标记Ig轻链恒定区可包括κ轻链、λ轻链的恒定区序列,例如,人k或λ轻链恒定区、杂合轻链恒定区、合成的轻链恒定区或共有轻链恒定区序列等,所述轻链恒定区序列经修饰包括至少一个可被FGE修饰以产生FGly-修饰抗HER2抗体多肽的硫酸酯酶基序。示例性恒定区包括人γ1和γ3区域。除硫酸酯酶基序外,修饰恒定区可具有野生型氨基酸序列或其可具有与野生型氨基酸序列具有至少70%的同一性(例如,至少80%、至少90%或至少95%的同一性)的氨基酸序列。
在一些实施方案中,硫酸酯酶基序位于不同于或除Ig多肽重链的C-末端以外的位置。如上文中所指出的,分离的醛标记抗HER多肽可包含经修饰以包括上述硫酸酯酶基序的重链恒定区,其中硫酸酯酶基序位于抗HER2多肽重链恒定区的表面可及性环区内或与其相邻。
在一些情况下,靶抗HER2免疫球蛋白经修饰以包括上述硫酸酯酶基序,其中修饰包括一处或多处氨基酸残基插入,删除,和/或替代。在某些实施方案中,硫酸酯酶基序位于对应于如下区域的一个或多个区域的IgG1重链恒定区的区域内或与其相邻:1)氨基酸122-127;2)氨基酸137-143;3)氨基酸155-158;4)氨基酸163-170;5)氨基酸163-183;6)氨基酸179-183;7)氨基酸190-192;8)氨基酸200-202;9)氨基酸199-202;10)氨基酸208-212;11)氨基酸220-241;12)氨基酸247-251;13)氨基酸257-261;14)氨基酸269-277;15)氨基酸271-277;16)氨基酸284-285;17)氨基酸284-292;18)氨基酸289-291;19)氨基酸299-303;20)氨基酸309-313;21)氨基酸320-322;22)氨基酸329-335;23)氨基酸341-349;24)氨基酸342-348;25)氨基酸356-365;26)氨基酸377-381;27)氨基酸388-394;28)氨基酸398-407;29)氨基酸433-451;和30)氨基酸446-451;其中氨基酸编号基于图17B中所述的人IgG1的氨基酸编号。
在一些情况下,靶抗HER2免疫球蛋白经修饰以包括上述硫酸酯酶基序,其中修饰包括一处或多处氨基酸残基插入,删除,和/或替代。在某些实施方案中,硫酸酯酶基序位于对应于如下区域的一个或多个区域的IgG1重链恒定区的区域内或与其相邻:1)氨基酸1-6;2)氨基酸16-22;3)氨基酸34-47;4)氨基酸42-49;5)氨基酸42-62;6)氨基酸34-37;7)氨基酸69-71;8)氨基酸79-81;9)氨基酸78-81;10)氨基酸87-91;11)氨基酸100-121;12)氨基酸127-131;13)氨基酸137-141;14)氨基酸149-157;15)氨基酸151-157;16)氨基酸164-165;17)氨基酸164-172;18)氨基酸169-171;19)氨基酸179-183;20)氨基酸189-193;21)氨基酸200-202;22)氨基酸209-215;23)氨基酸221-229;24)氨基酸22-228;25)氨基酸236-245;26)氨基酸217-261;27)氨基酸268-274;28)氨基酸278-287;29)氨基酸313-331;和30)氨基酸324-331;其中氨基酸编号基于SEQ ID NO://(人IgG1恒定区;图17B中所示的序列)所列的人IgG1的氨基酸编号。
IgG1重链的示例性表面可及性环区包括:1)ASTKGP(SEQ ID NO://);2)KSTSGGT(SEQ ID NO://);3)PEPV(SEQ ID NO://);4)NSGALTSG(SEQ ID NO://);5)NSGALTSGVHTFPAVLQSSGL(SEQ ID NO://);6)QSSGL(SEQ ID NO://);7)VTV;8)QTY;9)TQTY(SEQ ID NO://);10)HKPSN(SEQ ID NO://);11)EPKSCDKTHTCPPCPAPELLGG(SEQ IDNO://);12)FPPKP(SEQ ID NO://);13)ISRTP(SEQ ID NO://);14)DVSHEDPEV(SEQ IDNO://);15)SHEDPEV(SEQ ID NO://);16)DG;17)DGVEVHNAK(SEQ ID NO://);18)HNA;19)QYNST(SEQ ID NO://);20)VLTVL(SEQ ID NO://);21)GKE;22)NKALPAP(SEQ ID NO://);23)SKAKGQPRE(SEQ ID NO://);24)KAKGQPR(SEQ ID NO://);25)PPSRKELTKN(SEQ IDNO://);26)YPSDI(SEQ ID NO://);27)NGQPENN(SEQ ID NO://);28)TPPVLDSDGS(SEQ IDNO://);29)HEALHNHYTQKSLSLSPGK(SEQ ID NO://);和30)SLSPGK(SEQ ID NO://),如图17A和17B中所示。
在一些情况下,靶免疫球蛋白经修饰以包括上述硫酸酯酶基序,其中修饰包括一处或多处氨基酸残基插入,删除,和/或替代。在某些实施方案中,硫酸酯酶基序在对应于如下区域的一个或多个区域的IgG2重链恒定区的区域内或与其相邻:1)氨基酸1-6;2)氨基酸13-24;3)氨基酸33-37;4)氨基酸43-54;5)氨基酸58-63;6)氨基酸69-71;7)氨基酸78-80;8)87-89;9)氨基酸95-96;10)114-118;11)122-126;12)134-136;13)144-152;14)159-167;15)175-176;16)184-188;17)195-197;18)204-210;19)216-224;20)231-233;21)237-241;22)252-256;23)263-269;24)273-282;25)氨基酸299-302;其中氨基酸编号基于SEQ IDNO//(人IgG2;也在图17B中描绘)中所示的氨基酸序列的编号。
IgG2重链的示例性表面可及性环区包括1)ASTKGP(SEQ ID NO://);2)PCSRSTSESTAA(SEQ ID NO://);3)FPEPV(SEQ ID NO://);4)SGALTSGVHTFP(SEQ IDNO://);5)QSSGLY(SEQ ID NO://);6)VTV;7)TQT;8)HKP;9)DK;10)VAGPS(SEQ ID NO://);11)FPPKP(SEQ ID NO://);12)RTP;13)DVSHEDPEV(SEQ ID NO://);14)DGVEVHNAK(SEQ IDNO://);15)FN;16)VLTVV(SEQ ID NO://);17)GKE;18)NKGLPAP(SEQ ID NO://);19)SKTKGQPRE(SEQ ID NO://);20)PPS;21)MTKNQ(SEQ ID NO://);22)YPSDI(SEQ ID NO://);23)NGQPENN(SEQ ID NO://);24)TPPMLDSDGS(SEQ ID NO://);25)GNVF(SEQ ID NO://);和26)HEALHNHYTQKSLSLSPGK(SEQ ID NO://),如图17B中所示。
在一些情况下,靶免疫球蛋白经修饰以包括上述硫酸酯酶基序,其中修饰包括一处或多处氨基酸残基插入,删除,和/或替代。在某些实施方案中,硫酸酯酶基序在对应于如下区域的一个或多个的IgG3重链恒定区的区域内或与其相邻:1)氨基酸1-6;2)氨基酸13-22;3)氨基酸33-37;4)氨基酸43-61;5)氨基酸71;6)氨基酸78-80;7)87-91;8)氨基酸97-106;9)111-115;10)147-167;11)173-177;16)185-187;13)195-203;14)210-218;15)226-227;16)238-239;17)246-248;18)255-261;19)267-275;20)282-291;21)氨基酸303-307;22)氨基酸313-320;23)氨基酸324-333;24)氨基酸350-352;25)氨基酸359-365和26)氨基酸372-377;其中氨基酸编号基于SEQ ID NO://(人IgG3;也在图17B中描绘)中所示的氨基酸序列的编号。
IgG3重链的示例性表面可及性环区包括1)ASTKGP(SEQ ID NO://);2)PCSRSTSGGT(SEQ ID NO://);3)FPEPV(SEQ ID NO://);4)SGALTSGVHTFPAVLQSSG(SEQ ID NO://);5)V;6)TQT;7)HKPSN(SEQ ID NO://);8)RVELKTPLGD(SEQ ID NO://);9)CPRCPKP(SEQ IDNO://);10)PKSCDTPPPCPRCPAPELLGG(SEQ ID NO://);11)FPPKP(SEQ ID NO://);12)RTP;13)DVSHEDPEV(SEQ ID NO://);14)DGVEVHNAK(SEQ ID NO://);15)YN;16)VL;17)GKE;18)NKALPAP(SEQ ID NO://);19)SKTKGQPRE(SEQ ID NO://);20)PPSREEMTKN(SEQ ID NO://);21)YPSDI(SEQ ID NO://);22)SSGQPENN(SEQ ID NO://);23)TPPMLDSDGS(SEQ ID NO://);24)GNI;25)HEALHNR(SEQ ID NO://);和26)SLSPGK(SEQ ID NO://),如图17B中所示。
在一些情况下,靶免疫球蛋白经修饰以包括上述硫酸酯酶基序,其中修饰包括一处或多处氨基酸残基插入,删除,和/或替代。在某些实施方案中,硫酸酯酶基序在对应于如下区域的一个或多个的IgG4重链恒定区的区域内或与其相邻:1)氨基酸1-5;2)氨基酸12-23;3)氨基酸32-36;4)氨基酸42-53;5)氨基酸57-62;6)氨基酸68-70;7)氨基酸77-79;8)氨基酸86-88;9)氨基酸94-95;10)氨基酸101-102;11)氨基酸108-118;12)氨基酸122-126;13)氨基酸134-136;14)氨基酸144-152;15)氨基酸159-167;16)氨基酸175-176;17)氨基酸185-186;18)氨基酸196-198;19)氨基酸205-211;20)氨基酸217-226;21)氨基酸232-241;22)氨基酸253-257;23)氨基酸264-265;24)269-270;25)氨基酸274-283;26)氨基酸300-303;27)氨基酸399-417;其中氨基酸编号基于SEQ ID NO://(人IgG4;也在图17B中描绘)所示的氨基酸序列的编号。
IgG4重链的示例性表面可及性环区包括1)STKGP(SEQ ID NO://);2)PCSRSTSESTAA(SEQ ID NO://);3)FPEPV(SEQ ID NO://);4)SGALTSGVHTFP(SEQ IDNO://);5)QSSGLY(SEQ ID NO://);6)VTV;7)TKT;8)HKP;9)DK;10)YG;11)CPAPEFLGGPS(SEQID NO://);12)FPPKP(SEQ ID NO://);13)RTP;14)DVSQEDPEV(SEQ ID NO://);15)DGVEVHNAK(SEQ ID NO://);16)FN;17)VL;18)GKE;19)NKGLPSS(SEQ ID NO://);20)SKAKGQPREP(SEQ ID NO://);21)PPSQEEMTKN(SEQ ID NO://);22)YPSDI(SEQ ID NO://);23)NG;24)NN;25)TPPVLDSDGS(SEQ ID NO://);26)GNVF(SEQ ID NO://);和27)HEALHNHYTQKSLSLSLGK(SEQ ID NO://),如图17B中所示。
在一些情况下,靶免疫球蛋白经修饰以包括如上所述的硫酸酯酶基序,其中修饰包括一处或多处氨基酸残基插入,删除,和/或替代。在某些实施方案中,硫酸酯酶基序在对应于如下区域的一个或多个的IgA重链恒定区的区域内或与其相邻:1)氨基酸1-13;2)氨基酸17-21;3)氨基酸28-32;4)氨基酸44-54;5)氨基酸60-66;6)氨基酸73-76;7)氨基酸80-82;8)氨基酸90-91;9)氨基酸123-125;10)氨基酸130-133;11)氨基酸138-142;12)氨基酸151-158;13)氨基酸165-174;14)氨基酸181-184;15)氨基酸192-195;16)氨基酸199;17)氨基酸209-210;18)氨基酸222-245;19)氨基酸252-256;20)氨基酸266-276;21)氨基酸293-294;22)氨基酸301-304;23)氨基酸317-320;24)氨基酸329-353;其中所述氨基酸编号基于SEQ ID NO://(人IgA;也在图17B中描绘)所示的氨基酸序列的编号。
IgA重链的示例性表面可及性环区包括1)ASPTSPKVFPLSL(SEQ ID NO://);2)QPDGN(SEQ ID NO://);3)VQGFFPQEPL(SEQ ID NO://);4)SGQGVTARNFP(SEQ ID NO://);5)SGDLYTT(SEQ ID NO://);6)PATQ(SEQ ID NO://);7)GKS;8)YT;9)CHP;10)HRPA(SEQ IDNO://);11)LLGSE(SEQ ID NO://);12)GLRDASGV(SEQ ID NO://);13)SSGKSAVQGP(SEQ IDNO://);14)GCYS(SEQ ID NO://);15)CAEP(SEQ ID NO://);16)PE;17)SGNTFRPEVHLLPPPSEELALNEL(SEQ ID NO://);18)ARGFS(SEQ ID NO://);19)QGSQELPREKY(SEQ ID NO://);20)AV;21)AAED(SEQ ID NO://);22)HEAL(SEQ ID NO://);和23)IDRLAGKPTHVNVSVVMAEVDGTCY(SEQ ID NO://),如图17B中所示的。
可在Ig重链的此类修饰位点的这些氨基酸序列的一个或多个序列内或邻近提供硫酸酯酶基序。例如,可在这些氨基酸序列的一个或多个序列上修饰(例如其中修饰包括一处或多处氨基酸残基插入,删除,和/或替代)Ig重链多肽以在这些修饰位点的N-末端和其邻近和/或C-末端和其邻近提供硫酸酯酶基序。或者或此外,可在这些氨基酸序列的一个或多个上修饰(例如其中修饰包括一处或多处氨基酸残基插入,删除,和/或替代)Ig重链多肽以在Ig重链修饰位点的任意两个残基之间提供硫酸酯酶基序。在一些实施方案中,可修饰Ig重链多肽以包括两个基序,所述基序可彼此相邻,或可间隔1、2、3、4或更多个(例如,约1至约25个,约25至约50个或约50至约100个,或更多个)氨基酸。或者或此外,当天然氨基酸序列提供硫酸酯酶基序序列的一个或多个氨基酸残基时,可修饰(例如其中修饰包括一处或多处氨基酸残基插入,删除,和/或替代)Ig重链多肽氨基酸序列的修饰位点的选择的氨基酸残基以在修饰位点上提供硫酸酯酶基序。
因此可修饰表面可及性环区的氨基酸序列以提供硫酸酯酶基序,其中修饰可包括插入,删除,和/或替代。例如,当修饰在CH1结构域中时,表面可及性环区可具有氨基酸序列NSGALTSG(SEQ ID NO://),并且醛标记序列可为例如NSGALCTPSRG(SEQ ID NO://),例如,当NSGALTSG(SEQ ID NO://)序列的“TS”残基被“CTPSR”(SEQ ID NO://)替代以便硫酸酯酶基序具有序列LCTPSR(SEQ ID NO://)时。作为其中修饰在CH2结构域中的另一个实例,表面可及性环区可具有氨基酸序列NKALPAP(SEQ ID NO://),并且醛标记序列可为例如NLCTPSRAP(SEQ ID NO://),例如,当NKALPAP(SEQ ID NO://)序列的“KAL”残基被“LCTPSR”(SEQ ID NO://)替代以便硫酸酯酶基序具有序列LCTPSR(SEQ ID NO://)时。作为其中修饰在CH2/CH3结构域中的另一个实例,表面可及性环区可具有氨基酸序列KAKGQPR(SEQ IDNO://),并且醛标记序列可为例如KAKGLCTPSR(SEQ ID NO://),例如,当KAKGQPR(SEQ IDNO://)序列的“GQP”残基被“LCTPS”(SEQ ID NO://)替代以便硫酸酯酶基序具有序列LCTPSR(SEQ ID NO://)时。
如上文中所指出的,分离的醛标记抗HER2Ig多肽可包含经修饰以包括上述硫酸酯酶基序的轻链恒定区,其中硫酸酯酶基序存在于Ig多肽轻链恒定区的表面可及性环区中或与其相邻。轻链恒定区的表面可及性环区的说明性实例示于图17A和17C中。
在一些情况下,靶免疫球蛋白经修饰以包括上述硫酸酯酶基序,其中修饰包括一处或多处氨基酸残基插入,删除,和/或替代。在某些实施方案中,硫酸酯酶基序存在于对应于如下区域的一个或多个的Ig轻链恒定区的区域中或与其相邻:1)氨基酸130-135;2)氨基酸141-143;3)氨基酸150;4)氨基酸162-166;5)氨基酸163-166;6)氨基酸173-180;7)氨基酸186-194;8)氨基酸211-212;9)氨基酸220-225;10)氨基酸233-236;其中氨基酸编号基于图17C中所述的人κ轻链的氨基酸编号。在一些情况下,靶免疫球蛋白经修饰以包括上述硫酸酯酶基序,其中修饰包括一处或多处氨基酸残基插入,删除,和/或替代。在某些实施方案中,硫酸酯酶基序存在于对应于如下区域的一个或多个的Ig轻链恒定区的区域中或与其相邻:1)氨基酸1-6;2)氨基酸12-14;3)氨基酸21;4)氨基酸33-37;5)氨基酸34-37;6)氨基酸44-51;7)氨基酸57-65;8)氨基酸83-83;9)氨基酸91-96;10)氨基酸104-107;其中氨基酸编号基于SEQ ID NO://(人κ轻链;图17C中所示的氨基酸序列)。
Ig轻链的示例性表面可及性环区(例如,人κ轻链)包括:1)RTVAAP(SEQ IDNO://);2)PPS;3)Gly(参见,例如,图17C中描绘的人κ轻链序列的位置150上的Gly);4)YPREA(SEQ ID NO://);5)PREA(SEQ ID NO://);6)DNALQSGN(SEQ ID NO://);7)TEQDSKDST(SEQ ID NO://);8)HK;9)HQGLSS(SEQ ID NO://);和10)RGEC(SEQ ID NO://),如图17A和17C中所示。
Igλ轻链的示例性表面可及性环区包括QPKAAP(SEQ ID NO://),PPS,NK,DFYPGAV(SEQ ID NO://),DSSPVKAG(SEQ ID NO://),TTP,SN,HKS,EG,和APTECS(SEQ ID NO://),如图17C中所示。
在一些情况下,靶免疫球蛋白经修饰以包括上述硫酸酯酶基序,其中修饰包括一处或多处氨基酸残基插入,删除,和/或替代。在某些实施方案中,硫酸酯酶基序位于对应于如下区域的一个或多个的大鼠Ig轻链恒定区的区域内或与其相邻:1)氨基酸1-6;2)氨基酸12-14;3)氨基酸121-22;4)氨基酸31-37;5)氨基酸44-51;6)氨基酸55-57;7)氨基酸61-62;8)氨基酸81-83;9)氨基酸91-92;10)氨基酸102-105;其中氨基酸编号基于SEQ ID NO:10(图17C中描绘的序列)中所示的大鼠轻链的氨基酸编号。
在一些情况中,将硫酸酯酶基序引入抗HER2重链恒定区的CH1区中。在一些情况中,在抗HER2重链的C端处或附近(例如在1至10个氨基酸内)引入硫酸酯酶基序。在一些情况中,在轻链恒定区中引入硫酸酯酶基序。
在一些情况中,将硫酸酯酶基序引入抗HER2重链恒定区的CH1区中,例如图6A中所绘氨基酸序列的氨基酸121-219内。例如,在一些情况中,将硫酸酯酶基序引入氨基酸序列:
ASTKGPSVFPLAPSSKSTSGGTAALGCLVKDYFPEPVTVSWNSGALTSGVHTFPAVLQSSGLYSLSSVVTVPSSSLGTQTYICNVNHKPSNTKVDKKVE(SEQ ID NO://)中。例如,在一些这些实施方案中,将氨基酸序列GALTSGVH(SEQ ID NO://)修饰成GALCTPSRGVH(SEQ ID NO://),其中硫酸酯酶基序是LCTPSR(SEQ ID NO://)。在一个非限制性实施方案中,抗HER2抗体包含包含硫酸酯酶基序的重链恒定区,其中该重链恒定区包含图6C中所绘氨基酸序列,例如,该重链恒定区包含图6C中所绘氨基酸序列的氨基酸121-453。
在一些情况中,在抗HER2重链的C端处或附近引入硫酸酯酶基序,例如,在抗HER2重链的C端1个氨基酸,2个氨基酸,3个氨基酸,4个氨基酸,5个氨基酸,6个氨基酸,7个氨基酸,8个氨基酸,9个氨基酸,或10个氨基酸内引入硫酸酯酶基序。作为一个非限制性例子,可以用氨基酸序列SLCTPSRGS(SEQ ID NO://)替换抗HER2重链的C端赖氨酸残基。在一个非限制性实施方案中,抗HER2抗体包含包含硫酸酯酶基序的重链恒定区,其中该重链恒定区包含图6D中所绘氨基酸序列,例如,该重链恒定区包含图6D中所绘氨基酸序列的氨基酸121-458。
在一些情况中,将硫酸酯酶基序引入抗HER2抗体的轻链恒定区中。作为一个非限制性例子,在一些情况中,将硫酸酯酶基序引入抗HER2抗体的轻链恒定区中,其中硫酸酯酶基序在KVDNAL(SEQ ID NO://)的C端和/或在QSGNSQ(SEQ ID NO://)的N端。例如,在一些情况中,硫酸酯酶基序是LCTPSR(SEQ ID NO://),且抗HER2轻链包含氨基酸序列KVDNALLCTPSRQSGNSQ(SEQ ID NO://)。作为一个非限制性例子,抗HER2轻链包含包含图6E中所绘氨基酸序列的硫酸酯酶基序,例如,其中轻链恒定区包含图6E中所绘氨基酸序列的氨基酸108-219。
例示性抗HER2抗体
在一些情况中,合适的抗HER2抗体与包含选自DTYIH(VH CDR1;SEQ ID NO://),RIYPTNGYTRYADSVKG(VH CDR2;SEQ ID NO://),和WGGDGFYAMDV(VH CDR3;SEQ ID NO://)的重链CDR的抗体竞争结合HER2表位(例如HER2结构域IV内;例如图4中所绘HER2氨基酸序列的氨基酸511-636内;例如图4中所绘HER2氨基酸序列的氨基酸529-625内;例如图4中所绘HER2氨基酸序列的氨基酸561-625内的表位)。在一些情况中,该抗HER2抗体是人源化的。在一些情况中,该抗HER2抗体经过修饰包括如上所述硫酸酯酶基序,其中该修饰包括一个或多个氨基酸残基插入,删除,和/或替代。在某些实施方案中,硫酸酯酶基序位于IgG1重链恒定区中对应于下述一项或多项的区域内或附近:1)氨基酸1-6;2)氨基酸16-22;3)氨基酸34-47;4)氨基酸42-49;5)氨基酸42-62;6)氨基酸34-37;7)氨基酸69-71;8)氨基酸79-81;9)氨基酸78-81;10)氨基酸87-91;11)氨基酸100-121;12)氨基酸127-131;13)氨基酸137-141;14)氨基酸149-157;15)氨基酸151-157;16)氨基酸164-165;17)氨基酸164-172;18)氨基酸169-171;19)氨基酸179-183;20)氨基酸189-193;21)氨基酸200-202;22)氨基酸209-215;23)氨基酸221-229;24)氨基酸22-228;25)氨基酸236-245;26)氨基酸217-261;27)氨基酸268-274;28)氨基酸278-287;29)氨基酸313-331;和30)氨基酸324-331;其中氨基酸编号基于SEQ ID NO://(图17B中所绘人IgG1恒定区)中所列人IgG1的氨基酸编号。在一些情况中,该抗HER2抗体包含图6C中所绘氨基酸序列的氨基酸121-453中所列重链恒定区氨基酸序列。在一些情况中,该抗HER2抗体包含图6D中所绘氨基酸序列的氨基酸121-458中所列重链恒定区氨基酸序列。在一些情况中,该抗HER2抗体经过修饰包括如上所述硫酸酯酶基序,其中该修饰包括一个或多个氨基酸残基插入,删除,和/或替代;例如,其中硫酸酯酶基序位于Ig卡帕恒定区中对应于下述一项或多项的区域内或附近:1)氨基酸1-6;2)氨基酸12-14;3)氨基酸21;4)氨基酸33-37;5)氨基酸34-37;6)氨基酸44-51;7)氨基酸57-65;8)氨基酸83-83;9)氨基酸91-96;10)氨基酸104-107;其中氨基酸编号是基于SEQ ID NO://(人卡帕轻链;图17C中所绘氨基酸序列)。在一些情况中,该抗HER2抗体包含图6E中所绘氨基酸序列的氨基酸108-219中所列轻链恒定区氨基酸序列。
在一些情况中,合适的抗HER2抗体与包含选自RASQDVNTAVA(VL CDR1;SEQ IDNO://),SASFLES(VL CDR2;SEQ ID NO://),和QQHYTTPPT(VL CDR3;SEQ ID NO://)的轻链CDR的抗体竞争结合HER2表位(例如HER2结构域IV内;例如图4中所绘HER2氨基酸序列的氨基酸511-636内;例如图4中所绘HER2氨基酸序列的氨基酸529-625内;例如图4中所绘HER2氨基酸序列的氨基酸561-625内的表位)。在一些情况中,该抗HER2抗体是人源化的。在一些情况中,该抗HER2抗体经过修饰包括如上所述硫酸酯酶基序,其中该修饰包括一个或多个氨基酸残基插入,删除,和/或替代。在某些实施方案中,硫酸酯酶基序位于IgG1重链恒定区中对应于下述一项或多项的区域内或附近:1)氨基酸122-127;2)氨基酸137-143;3)氨基酸155-158;4)氨基酸163-170;5)氨基酸163-183;6)氨基酸179-183;7)氨基酸190-192;8)氨基酸200-202;9)氨基酸199-202;10)氨基酸208-212;11)氨基酸220-241;12)氨基酸247-251;13)氨基酸257-261;14)氨基酸269-277;15)氨基酸271-277;16)氨基酸284-285;17)氨基酸284-292;18)氨基酸289-291;19)氨基酸299-303;20)氨基酸309-313;21)氨基酸320-322;22)氨基酸329-335;23)氨基酸341-349;24)氨基酸342-348;25)氨基酸356-365;26)氨基酸377-381;27)氨基酸388-394;28)氨基酸398-407;29)氨基酸433-451;和30)氨基酸446-451;其中氨基酸编号基于图17B中所绘人IgG1的氨基酸编号。在一些情况中,该抗HER2抗体包含图6C中所绘氨基酸序列的氨基酸121-453中所列重链恒定区氨基酸序列。在一些情况中,该抗HER2抗体包含图6D中所绘氨基酸序列的氨基酸121-458中所列重链恒定区氨基酸序列。在一些情况中,该抗HER2抗体经过修饰包括如上所述硫酸酯酶基序,其中该修饰包括一个或多个氨基酸残基插入,删除,和/或替代;例如,其中硫酸酯酶基序位于Ig卡帕恒定区中对应于下述一项或多项的区域内或附近:1)氨基酸1-6;2)氨基酸12-14;3)氨基酸21;4)氨基酸33-37;5)氨基酸34-37;6)氨基酸44-51;7)氨基酸57-65;8)氨基酸83-83;9)氨基酸91-96;10)氨基酸104-107;其中氨基酸编号基于SEQ ID NO://(人卡帕轻链;图17C中所绘氨基酸序列)。在一些情况中,该抗HER2抗体包含图6E中所绘氨基酸序列的氨基酸108-219中所列轻链恒定区氨基酸序列。
在一些情况中,合适的抗HER2抗体与包含VH CDR DTYIH(VH CDR1;SEQ IDNO://),RIYPTNGYTRYADSVKG(VH CDR2;SEQ ID NO://),和WGGDGFYAMDV(VH CDR3;SEQ IDNO://)的抗体竞争结合HER2表位(例如HER2结构域IV内;例如图4中所绘HER2氨基酸序列的氨基酸511-636内;例如图4中所绘HER2氨基酸序列的氨基酸529-625内;例如图4中所绘HER2氨基酸序列的氨基酸561-625内的表位)。在一些情况中,该抗HER2抗体是人源化的。在一些情况中,该抗HER2抗体经过修饰包括如上所述硫酸酯酶基序,其中该修饰包括一个或多个氨基酸残基插入,删除,和/或替代。在某些实施方案中,硫酸酯酶基序位于IgG1重链恒定区中对应于下述一项或多项的区域内或附近:1)氨基酸1-6;2)氨基酸16-22;3)氨基酸34-47;4)氨基酸42-49;5)氨基酸42-62;6)氨基酸34-37;7)氨基酸69-71;8)氨基酸79-81;9)氨基酸78-81;10)氨基酸87-91;11)氨基酸100-121;12)氨基酸127-131;13)氨基酸137-141;14)氨基酸149-157;15)氨基酸151-157;16)氨基酸164-165;17)氨基酸164-172;18)氨基酸169-171;19)氨基酸179-183;20)氨基酸189-193;21)氨基酸200-202;22)氨基酸209-215;23)氨基酸221-229;24)氨基酸22-228;25)氨基酸236-245;26)氨基酸217-261;27)氨基酸268-274;28)氨基酸278-287;29)氨基酸313-331;和30)氨基酸324-331;其中氨基酸编号基于SEQ ID NO://(图17B中所绘人IgG1恒定区)中所列人IgG1的氨基酸编号。在一些情况中,该抗HER2抗体包含图6C中所绘氨基酸序列的氨基酸121-453中所列重链恒定区氨基酸序列。在一些情况中,该抗HER2抗体包含图6D中所绘氨基酸序列的氨基酸121-458中所列重链恒定区氨基酸序列。在一些情况中,该抗HER2抗体经过修饰包括如上所述硫酸酯酶基序,其中该修饰包括一个或多个氨基酸残基插入,删除,和/或替代;例如,其中硫酸酯酶基序位于Ig卡帕恒定区中对应于下述一项或多项的区域内或附近:1)氨基酸1-6;2)氨基酸12-14;3)氨基酸21;4)氨基酸33-37;5)氨基酸34-37;6)氨基酸44-51;7)氨基酸57-65;8)氨基酸83-83;9)氨基酸91-96;10)氨基酸104-107;其中氨基酸编号是基于SEQ ID NO://(人卡帕轻链;图17C中所绘氨基酸序列)。在一些情况中,该抗HER2抗体包含图6E中所绘氨基酸序列的氨基酸108-219中所列轻链恒定区氨基酸序列。
在一些情况中,合适的抗HER2抗体与包含VL CDR RASQDVNTAVA(VL CDR1;SEQ IDNO://),SASFLES(VL CDR2;SEQ ID NO://),和QQHYTTPPT(VL CDR3;SEQ ID NO://)的抗体竞争结合HER2表位(例如HER2结构域IV内;例如图4中所绘HER2氨基酸序列的氨基酸511-636内;例如图4中所绘HER2氨基酸序列的氨基酸529-625内;例如图4中所绘HER2氨基酸序列的氨基酸561-625内的表位)。在一些情况中,该抗HER2抗体是人源化的。在一些情况中,该抗HER2抗体经过修饰包括如上所述硫酸酯酶基序,其中该修饰包括一个或多个氨基酸残基插入,删除,和/或替代。在某些实施方案中,硫酸酯酶基序位于IgG1重链恒定区中对应于下述一项或多项的区域内或附近:1)氨基酸1-6;2)氨基酸16-22;3)氨基酸34-47;4)氨基酸42-49;5)氨基酸42-62;6)氨基酸34-37;7)氨基酸69-71;8)氨基酸79-81;9)氨基酸78-81;10)氨基酸87-91;11)氨基酸100-121;12)氨基酸127-131;13)氨基酸137-141;14)氨基酸149-157;15)氨基酸151-157;16)氨基酸164-165;17)氨基酸164-172;18)氨基酸169-171;19)氨基酸179-183;20)氨基酸189-193;21)氨基酸200-202;22)氨基酸209-215;23)氨基酸221-229;24)氨基酸22-228;25)氨基酸236-245;26)氨基酸217-261;27)氨基酸268-274;28)氨基酸278-287;29)氨基酸313-331;和30)氨基酸324-331;其中氨基酸编号基于SEQ IDNO://(图17B中所绘人IgG1恒定区)中所列人IgG1的氨基酸编号。在一些情况中,该抗HER2抗体包含图6C中所绘氨基酸序列的氨基酸121-453中所列重链恒定区氨基酸序列。在一些情况中,该抗HER2抗体包含图6D中所绘氨基酸序列的氨基酸121-458中所列重链恒定区氨基酸序列。在一些情况中,该抗HER2抗体经过修饰包括如上所述硫酸酯酶基序,其中该修饰包括一个或多个氨基酸残基插入,删除,和/或替代;例如,其中硫酸酯酶基序位于Ig卡帕恒定区中对应于下述一项或多项的区域内或附近:1)氨基酸1-6;2)氨基酸12-14;3)氨基酸21;4)氨基酸33-37;5)氨基酸34-37;6)氨基酸44-51;7)氨基酸57-65;8)氨基酸83-83;9)氨基酸91-96;10)氨基酸104-107;其中氨基酸编号基于SEQ ID NO://(人卡帕轻链;图17C中所绘氨基酸序列)。在一些情况中,该抗HER2抗体包含图6E中所绘氨基酸序列的氨基酸108-219中所列轻链恒定区氨基酸序列。
在一些情况中,合适的抗HER2抗体与包含VH CDR DTYIH(VH CDR1;SEQ IDNO://),RIYPTNGYTRYADSVKG(VH CDR2;SEQ ID NO://),和WGGDGFYAMDV(VH CDR3;SEQ IDNO://)和VL CDR RASQDVNTAVA(VL CDR1;SEQ ID NO://),SASFLES(VL CDR2;SEQ IDNO://),和QQHYTTPPT(VL CDR3;SEQ ID NO://)的抗体竞争结合HER2表位(例如HER2结构域IV内的表位;例如图4中所绘HER2氨基酸序列的氨基酸511-636内;例如图4中所绘HER2氨基酸序列的氨基酸529-625内;例如图4中所绘HER2氨基酸序列的氨基酸561-625内)。在一些情况中,该抗HER2抗体是人源化的。在一些情况中,该抗HER2抗体经过修饰包括如上所述硫酸酯酶基序,其中该修饰包括一个或多个氨基酸残基插入,删除,和/或替代。在某些实施方案中,硫酸酯酶基序位于IgG1重链恒定区中对应于下述一项或多项的区域内或附近:1)氨基酸1-6;2)氨基酸16-22;3)氨基酸34-47;4)氨基酸42-49;5)氨基酸42-62;6)氨基酸34-37;7)氨基酸69-71;8)氨基酸79-81;9)氨基酸78-81;10)氨基酸87-91;11)氨基酸100-121;12)氨基酸127-131;13)氨基酸137-141;14)氨基酸149-157;15)氨基酸151-157;16)氨基酸164-165;17)氨基酸164-172;18)氨基酸169-171;19)氨基酸179-183;20)氨基酸189-193;21)氨基酸200-202;22)氨基酸209-215;23)氨基酸221-229;24)氨基酸22-228;25)氨基酸236-245;26)氨基酸217-261;27)氨基酸268-274;28)氨基酸278-287;29)氨基酸313-331;和30)氨基酸324-331;其中氨基酸编号基于SEQ ID NO://(图17B中所绘人IgG1恒定区)中所列人IgG1的氨基酸编号。在一些情况中,该抗HER2抗体包含图6C中所绘氨基酸序列的氨基酸121-453中所列重链恒定区氨基酸序列。在一些情况中,该抗HER2抗体包含图6D中所绘氨基酸序列的氨基酸121-458中所列重链恒定区氨基酸序列。在一些情况中,该抗HER2抗体经过修饰包括如上所述硫酸酯酶基序,其中该修饰包括一个或多个氨基酸残基插入,删除,和/或替代;例如,其中硫酸酯酶基序位于Ig卡帕恒定区中对应于下述一项或多项的区域内或附近:1)氨基酸1-6;2)氨基酸12-14;3)氨基酸21;4)氨基酸33-37;5)氨基酸34-37;6)氨基酸44-51;7)氨基酸57-65;8)氨基酸83-83;9)氨基酸91-96;10)氨基酸104-107;其中氨基酸编号基于SEQ ID NO://(人卡帕轻链;图17C中所绘氨基酸序列)。在一些情况中,该抗HER2抗体包含图6E中所绘氨基酸序列的氨基酸108-219中所列轻链恒定区氨基酸序列。
在一些情况中,合适的抗HER2抗体包含VH CDR DTYIH(VH CDR1;SEQ ID NO://),RIYPTNGYTRYADSVKG(VH CDR2;SEQ ID NO://),和WGGDGFYAMDV(VH CDR3;SEQ ID NO://)。在一些情况中,该抗HER2抗体是人源化的。在一些情况中,该抗HER2抗体经过修饰包括如上所述硫酸酯酶基序,其中该修饰包括一个或多个氨基酸残基插入,删除,和/或替代。在某些实施方案中,硫酸酯酶基序位于IgG1重链恒定区中对应于下述一项或多项的区域内或附近:1)氨基酸1-6;2)氨基酸16-22;3)氨基酸34-47;4)氨基酸42-49;5)氨基酸42-62;6)氨基酸34-37;7)氨基酸69-71;8)氨基酸79-81;9)氨基酸78-81;10)氨基酸87-91;11)氨基酸100-121;12)氨基酸127-131;13)氨基酸137-141;14)氨基酸149-157;15)氨基酸151-157;16)氨基酸164-165;17)氨基酸164-172;18)氨基酸169-171;19)氨基酸179-183;20)氨基酸189-193;21)氨基酸200-202;22)氨基酸209-215;23)氨基酸221-229;24)氨基酸22-228;25)氨基酸236-245;26)氨基酸217-261;27)氨基酸268-274;28)氨基酸278-287;29)氨基酸313-331;和30)氨基酸324-331;其中氨基酸编号基于SEQ ID NO://(图17B中所绘人IgG1恒定区)中所列人IgG1的氨基酸编号。在一些情况中,该抗HER2抗体包含图6C中所绘氨基酸序列的氨基酸121-453中所列重链恒定区氨基酸序列。在一些情况中,该抗HER2抗体包含图6D中所绘氨基酸序列的氨基酸121-458中所列重链恒定区氨基酸序列。在一些情况中,该抗HER2抗体经过修饰包括如上所述硫酸酯酶基序,其中该修饰包括一个或多个氨基酸残基插入,删除,和/或替代;例如,其中硫酸酯酶基序位于Ig卡帕恒定区中对应于下述一项或多项的区域内或附近:1)氨基酸1-6;2)氨基酸12-14;3)氨基酸21;4)氨基酸33-37;5)氨基酸34-37;6)氨基酸44-51;7)氨基酸57-65;8)氨基酸83-83;9)氨基酸91-96;10)氨基酸104-107;其中氨基酸编号基于SEQ ID NO://(人卡帕轻链;图17C中所绘氨基酸序列)。在一些情况中,该抗HER2抗体包含图6E中所绘氨基酸序列的氨基酸108-219中所列轻链恒定区氨基酸序列。
在一些情况中,合适的抗HER2抗体包含VL CDR RASQDVNTAVA(VL CDR1;SEQ IDNO://),SASFLES(VL CDR2;SEQ ID NO://),和QQHYTTPPT(VL CDR3;SEQ ID NO://)。在一些情况中,该抗HER2抗体是人源化的。在一些情况中,该抗HER2抗体经过修饰包括如上所述硫酸酯酶基序,其中该修饰包括一个或多个氨基酸残基插入,删除,和/或替代。在某些实施方案中,硫酸酯酶基序位于IgG1重链恒定区中对应于下述一项或多项的区域内或附近:1)氨基酸1-6;2)氨基酸16-22;3)氨基酸34-47;4)氨基酸42-49;5)氨基酸42-62;6)氨基酸34-37;7)氨基酸69-71;8)氨基酸79-81;9)氨基酸78-81;10)氨基酸87-91;11)氨基酸100-121;12)氨基酸127-131;13)氨基酸137-141;14)氨基酸149-157;15)氨基酸151-157;16)氨基酸164-165;17)氨基酸164-172;18)氨基酸169-171;19)氨基酸179-183;20)氨基酸189-193;21)氨基酸200-202;22)氨基酸209-215;23)氨基酸221-229;24)氨基酸22-228;25)氨基酸236-245;26)氨基酸217-261;27)氨基酸268-274;28)氨基酸278-287;29)氨基酸313-331;和30)氨基酸324-331;其中氨基酸编号基于SEQ ID NO://(图17B中所绘人IgG1恒定区)中所列人IgG1的氨基酸编号。在一些情况中,该抗HER2抗体包含图6C中所绘氨基酸序列的氨基酸121-453中所列重链恒定区氨基酸序列。在一些情况中,该抗HER2抗体包含图6D中所绘氨基酸序列的氨基酸121-458中所列重链恒定区氨基酸序列。在一些情况中,该抗HER2抗体经过修饰包括如上所述硫酸酯酶基序,其中该修饰包括一个或多个氨基酸残基插入,删除,和/或替代;例如,其中硫酸酯酶基序位于Ig卡帕恒定区中对应于下述一项或多项的区域内或附近:1)氨基酸1-6;2)氨基酸12-14;3)氨基酸21;4)氨基酸33-37;5)氨基酸34-37;6)氨基酸44-51;7)氨基酸57-65;8)氨基酸83-83;9)氨基酸91-96;10)氨基酸104-107;其中氨基酸编号基于SEQ ID NO://(人卡帕轻链;图17C中所绘氨基酸序列)。在一些情况中,该抗HER2抗体包含图6E中所绘氨基酸序列的氨基酸108-219中所列轻链恒定区氨基酸序列。
在一些情况中,合适的抗HER2抗体包含VH CDR DTYIH(VH CDR1;SEQ ID NO://),RIYPTNGYTRYADSVKG(VH CDR2;SEQ ID NO://),和WGGDGFYAMDV(VH CDR3;SEQ ID NO://)和VL CDR RASQDVNTAVA(VL CDR1;SEQ ID NO://),SASFLES(VL CDR2;SEQ ID NO://),和QQHYTTPPT(VL CDR3;SEQ ID NO://)。在一些情况中,该抗HER2抗体是人源化的。在一些情况中,该抗HER2抗体经过修饰包括如上所述硫酸酯酶基序,其中该修饰包括一个或多个氨基酸残基插入,删除,和/或替代。在某些实施方案中,硫酸酯酶基序位于IgG1重链恒定区中对应于下述一项或多项的区域内或附近:1)氨基酸1-6;2)氨基酸16-22;3)氨基酸34-47;4)氨基酸42-49;5)氨基酸42-62;6)氨基酸34-37;7)氨基酸69-71;8)氨基酸79-81;9)氨基酸78-81;10)氨基酸87-91;11)氨基酸100-121;12)氨基酸127-131;13)氨基酸137-141;14)氨基酸149-157;15)氨基酸151-157;16)氨基酸164-165;17)氨基酸164-172;18)氨基酸169-171;19)氨基酸179-183;20)氨基酸189-193;21)氨基酸200-202;22)氨基酸209-215;23)氨基酸221-229;24)氨基酸22-228;25)氨基酸236-245;26)氨基酸217-261;27)氨基酸268-274;28)氨基酸278-287;29)氨基酸313-331;和30)氨基酸324-331;其中氨基酸编号基于SEQ ID NO://(图17B中所绘人IgG1恒定区)中所列人IgG1的氨基酸编号。在一些情况中,该抗HER2抗体包含图6C中所绘氨基酸序列的氨基酸121-453中所列重链恒定区氨基酸序列。在一些情况中,该抗HER2抗体包含图6D中所绘氨基酸序列的氨基酸121-458中所列重链恒定区氨基酸序列。在一些情况中,该抗HER2抗体经过修饰包括如上所述硫酸酯酶基序,其中该修饰包括一个或多个氨基酸残基插入,删除,和/或替代;例如,其中硫酸酯酶基序位于Ig卡帕恒定区中对应于下述一项或多项的区域内或附近:1)氨基酸1-6;2)氨基酸12-14;3)氨基酸21;4)氨基酸33-37;5)氨基酸34-37;6)氨基酸44-51;7)氨基酸57-65;8)氨基酸83-83;9)氨基酸91-96;10)氨基酸104-107;其中氨基酸编号基于SEQ ID NO://(人卡帕轻链;图17C中所绘氨基酸序列)。在一些情况中,该抗HER2抗体包含图6E中所绘氨基酸序列的氨基酸108-219中所列轻链恒定区氨基酸序列。
在一些情况中,合适的抗HER2抗体包含包含如下氨基酸序列的抗HER2VH区中存在的VH CDR:
EVQLVESGGGLVQPGGSLRLSCAASGFNIKDTYIHWVRQAPGKGLEWVARIYPTNGYTRYADSVKGRFTISADTSKNTAYLQMNSLRAEDTAVYYCSRWGGDGFYAMDVWGQGTLVTVSS(SEQ ID NO://)。在一些情况中,该抗HER2抗体是人源化的。在一些情况中,该抗HER2抗体经过修饰包括如上所述硫酸酯酶基序,其中该修饰包括一个或多个氨基酸残基插入,删除,和/或替代。在某些实施方案中,硫酸酯酶基序位于IgG1重链恒定区中对应于下述一项或多项的区域内或附近:1)氨基酸1-6;2)氨基酸16-22;3)氨基酸34-47;4)氨基酸42-49;5)氨基酸42-62;6)氨基酸34-37;7)氨基酸69-71;8)氨基酸79-81;9)氨基酸78-81;10)氨基酸87-91;11)氨基酸100-121;12)氨基酸127-131;13)氨基酸137-141;14)氨基酸149-157;15)氨基酸151-157;16)氨基酸164-165;17)氨基酸164-172;18)氨基酸169-171;19)氨基酸179-183;20)氨基酸189-193;21)氨基酸200-202;22)氨基酸209-215;23)氨基酸221-229;24)氨基酸22-228;25)氨基酸236-245;26)氨基酸217-261;27)氨基酸268-274;28)氨基酸278-287;29)氨基酸313-331;和30)氨基酸324-331;其中氨基酸编号基于SEQ ID NO://(图17B中所绘人IgG1恒定区)中所列人IgG1的氨基酸编号。在一些情况中,该抗HER2抗体包含图6C中所绘氨基酸序列的氨基酸121-453中所列重链恒定区氨基酸序列。在一些情况中,该抗HER2抗体包含图6D中所绘氨基酸序列的氨基酸121-458中所列重链恒定区氨基酸序列。在一些情况中,该抗HER2抗体经过修饰包括如上所述硫酸酯酶基序,其中该修饰包括一个或多个氨基酸残基插入,删除,和/或替代;例如,其中硫酸酯酶基序位于Ig卡帕恒定区中对应于下述一项或多项的区域内或附近:1)氨基酸1-6;2)氨基酸12-14;3)氨基酸21;4)氨基酸33-37;5)氨基酸34-37;6)氨基酸44-51;7)氨基酸57-65;8)氨基酸83-83;9)氨基酸91-96;10)氨基酸104-107;其中氨基酸编号基于SEQ ID NO://(人卡帕轻链;图17C中所绘氨基酸序列)。在一些情况中,该抗HER2抗体包含图6E中所绘氨基酸序列的氨基酸108-219中所列轻链恒定区氨基酸序列。
在一些情况中,合适的抗HER2抗体包含包含如下氨基酸序列的抗HER2VL区中存在的VL CDR:
DIQMTQSPSSLSASVGDRVTITCRASQDVNTAVAWYQQKPGKAPKLLIYSASFLESGVPSRFSGSRSGTDFTLTISSLQPEDFATYYCQQHYTTPPTFGQGTKVEIKRT(SEQ ID NO://)。在一些情况中,该抗HER2抗体是人源化的。在一些情况中,该抗HER2抗体经过修饰包括如上所述硫酸酯酶基序,其中该修饰包括一个或多个氨基酸残基插入,删除,和/或替代。在某些实施方案中,硫酸酯酶基序位于IgG1重链恒定区中对应于下述一项或多项的区域内或附近:1)氨基酸1-6;2)氨基酸16-22;3)氨基酸34-47;4)氨基酸42-49;5)氨基酸42-62;6)氨基酸34-37;7)氨基酸69-71;8)氨基酸79-81;9)氨基酸78-81;10)氨基酸87-91;11)氨基酸100-121;12)氨基酸127-131;13)氨基酸137-141;14)氨基酸149-157;15)氨基酸151-157;16)氨基酸164-165;17)氨基酸164-172;18)氨基酸169-171;19)氨基酸179-183;20)氨基酸189-193;21)氨基酸200-202;22)氨基酸209-215;23)氨基酸221-229;24)氨基酸22-228;25)氨基酸236-245;26)氨基酸217-261;27)氨基酸268-274;28)氨基酸278-287;29)氨基酸313-331;和30)氨基酸324-331;其中氨基酸编号基于SEQ ID NO://(图17B中所绘人IgG1恒定区)中所列人IgG1的氨基酸编号。在一些情况中,该抗HER2抗体包含图6C中所绘氨基酸序列的氨基酸121-453中所列重链恒定区氨基酸序列。在一些情况中,该抗HER2抗体包含图6D中所绘氨基酸序列的氨基酸121-458中所列重链恒定区氨基酸序列。在一些情况中,该抗HER2抗体经过修饰包括如上所述硫酸酯酶基序,其中该修饰包括一个或多个氨基酸残基插入,删除,和/或替代;例如,其中硫酸酯酶基序位于Ig卡帕恒定区中对应于下述一项或多项的区域内或附近:1)氨基酸1-6;2)氨基酸12-14;3)氨基酸21;4)氨基酸33-37;5)氨基酸34-37;6)氨基酸44-51;7)氨基酸57-65;8)氨基酸83-83;9)氨基酸91-96;10)氨基酸104-107;其中氨基酸编号基于SEQ IDNO://(人卡帕轻链;图17C中所绘氨基酸序列)。在一些情况中,该抗HER2抗体包含图6E中所绘氨基酸序列的氨基酸108-219中所列轻链恒定区氨基酸序列。
在一些情况中,合适的抗HER2抗体包含
EVQLVESGGGLVQPGGSLRLSCAASGFNIKDTYIHWVRQAPGKGLEWVARIYPTNGYTRYADSVKGRFTISADTSKNTAYLQMNSLRAEDTAVYYCSRWGGDGFYAMDVWGQGTLVTVSS(SEQ ID NO://)中存在的VHCDR和
DIQMTQSPSSLSASVGDRVTITCRASQDVNTAVAWYQQKPGKAPKLLIYSASFLESGVPSRFSGSRSGTDFTLTISSLQPEDFATYYCQQHYTTPPTFGQGTKVEIKRT(SEQ ID NO://)中存在的VL CDR。在一些情况中,该抗HER2抗体是人源化的。在一些情况中,该抗HER2抗体经过修饰包括如上所述硫酸酯酶基序,其中该修饰包括一个或多个氨基酸残基插入,删除,和/或替代。在某些实施方案中,硫酸酯酶基序位于IgG1重链恒定区中对应于下述一项或多项的区域内或附近:1)氨基酸1-6;2)氨基酸16-22;3)氨基酸34-47;4)氨基酸42-49;5)氨基酸42-62;6)氨基酸34-37;7)氨基酸69-71;8)氨基酸79-81;9)氨基酸78-81;10)氨基酸87-91;11)氨基酸100-121;12)氨基酸127-131;13)氨基酸137-141;14)氨基酸149-157;15)氨基酸151-157;16)氨基酸164-165;17)氨基酸164-172;18)氨基酸169-171;19)氨基酸179-183;20)氨基酸189-193;21)氨基酸200-202;22)氨基酸209-215;23)氨基酸221-229;24)氨基酸22-228;25)氨基酸236-245;26)氨基酸217-261;27)氨基酸268-274;28)氨基酸278-287;29)氨基酸313-331;和30)氨基酸324-331;其中氨基酸编号基于SEQ ID NO://(图17B中所绘人IgG1恒定区)中所列人IgG1的氨基酸编号。在一些情况中,该抗HER2抗体包含图6C中所绘氨基酸序列的氨基酸121-453中所列重链恒定区氨基酸序列。在一些情况中,该抗HER2抗体包含图6D中所绘氨基酸序列的氨基酸121-458中所列重链恒定区氨基酸序列。在一些情况中,该抗HER2抗体经过修饰包括如上所述硫酸酯酶基序,其中该修饰包括一个或多个氨基酸残基插入,删除,和/或替代;例如,其中硫酸酯酶基序位于Ig卡帕恒定区中对应于下述一项或多项的区域内或附近:1)氨基酸1-6;2)氨基酸12-14;3)氨基酸21;4)氨基酸33-37;5)氨基酸34-37;6)氨基酸44-51;7)氨基酸57-65;8)氨基酸83-83;9)氨基酸91-96;10)氨基酸104-107;其中氨基酸编号基于SEQ ID NO://(人卡帕轻链;图17C中所绘氨基酸序列)。在一些情况中,该抗HER2抗体包含图6E中所绘氨基酸序列的氨基酸108-219中所列轻链恒定区氨基酸序列。
在一些情况中,合适的抗HER2抗体包含VH氨基酸序列
EVQLVESGGGLVQPGGSLRLSCAASGFNIKDTYIHWVRQAPGKGLEWVARIYPTNGYTRYADSVKGRFTISADTSKNTAYLQMNSLRAEDTAVYYCSRWGGDGFYAMDVWGQGTLVTVSS(SEQ ID NO://)。在一些情况中,合适的抗HER2抗体包含VL氨基酸序列DIQMTQSPSSLSASVGDRVTITCRASQDVNTAVAWYQQKPGKAPKLLIYSASFLESGVPSRFSGSRSGTDFTLTISSLQPEDFATYYCQQHYTTPPTFGQGTKVEIKRT(SEQ IDNO://)。在一些情况中,合适的抗HER2抗体包含VH氨基酸序列
EVQLVESGGGLVQPGGSLRLSCAASGFNIKDTYIHWVRQAPGKGLEWVARIYPTNGYTRYADSVKGRFTISADTSKNTAYLQMNSLRAEDTAVYYCSRWGGDGFYAMDVWGQGTLVTVSS(SEQ ID NO://);和VL氨基酸序列
DIQMTQSPSSLSASVGDRVTITCRASQDVNTAVAWYQQKPGKAPKLLIYSASFLESGVPSRFSGSRSGTDFTLTISSLQPEDFATYYCQQHYTTPPTFGQGTKVEIKRT(SEQ ID NO://)。在一些情况中,该抗HER2抗体经过修饰包括如上所述硫酸酯酶基序,其中该修饰包括一个或多个氨基酸残基插入,删除,和/或替代。在某些实施方案中,硫酸酯酶基序位于IgG1重链恒定区中对应于下述一项或多项的区域内或附近:1)氨基酸1-6;2)氨基酸16-22;3)氨基酸34-47;4)氨基酸42-49;5)氨基酸42-62;6)氨基酸34-37;7)氨基酸69-71;8)氨基酸79-81;9)氨基酸78-81;10)氨基酸87-91;11)氨基酸100-121;12)氨基酸127-131;13)氨基酸137-141;14)氨基酸149-157;15)氨基酸151-157;16)氨基酸164-165;17)氨基酸164-172;18)氨基酸169-171;19)氨基酸179-183;20)氨基酸189-193;21)氨基酸200-202;22)氨基酸209-215;23)氨基酸221-229;24)氨基酸22-228;25)氨基酸236-245;26)氨基酸217-261;27)氨基酸268-274;28)氨基酸278-287;29)氨基酸313-331;和30)氨基酸324-331;其中氨基酸编号基于SEQ ID NO://(图17B中所绘人IgG1恒定区)中所列人IgG1的氨基酸编号。
在一些情况中,该抗HER2抗体包含包含图6C中所绘氨基酸序列的重链。在一些情况中,该抗HER2抗体包含包含图6D中所绘氨基酸序列的重链。在一些情况中,该抗HER2抗体包含包含图6E中所绘氨基酸序列的轻链。在一些情况中,该抗HER2抗体包含包含图6C中所绘氨基酸序列的重链;且包含包含图6E中所绘氨基酸序列的轻链。在一些情况中,该抗HER2抗体包含包含图6D中所绘氨基酸序列的重链;且包含包含图6E中所绘氨基酸序列的轻链。
别的例示性抗HER2抗体
在一些情况中,合适的抗HER2抗体与包含选自GFTFTDYTMX,其中X是D或S(VHCDR1;SEQ ID NO://);DVNPNSGGSIYNQRFKG(VH CDR2;SEQ ID NO://);和NLGPSFYFDY(VHCDR3;SEQ ID NO://)的重链互补决定区(CDR)的抗体竞争结合HER2中的表位(例如HER2结构域II内的表位;例如图4中所绘HER2氨基酸序列的氨基酸218-341内的表位)。在一些情况中,该抗HER2抗体是人源化的。在一些情况中,该抗HER2抗体是人源化的。在一些情况中,该抗HER2抗体经过修饰包括如上所述硫酸酯酶基序,其中该修饰包括一个或多个氨基酸残基插入,删除,和/或替代。在某些实施方案中,硫酸酯酶基序位于IgG1重链恒定区对应于下述一项或多项的区域内或附近:1)氨基酸1-6;2)氨基酸16-22;3)氨基酸34-47;4)氨基酸42-49;5)氨基酸42-62;6)氨基酸34-37;7)氨基酸69-71;8)氨基酸79-81;9)氨基酸78-81;10)氨基酸87-91;11)氨基酸100-121;12)氨基酸127-131;13)氨基酸137-141;14)氨基酸149-157;15)氨基酸151-157;16)氨基酸164-165;17)氨基酸164-172;18)氨基酸169-171;19)氨基酸179-183;20)氨基酸189-193;21)氨基酸200-202;22)氨基酸209-215;23)氨基酸221-229;24)氨基酸22-228;25)氨基酸236-245;26)氨基酸217-261;27)氨基酸268-274;28)氨基酸278-287;29)氨基酸313-331;和30)氨基酸324-331;其中氨基酸编号基于SEQ IDNO://(图17B中所绘人IgG1恒定区)中所列人IgG1的氨基酸编号。在一些情况中,该抗HER2抗体包含图6C中所绘氨基酸序列的氨基酸121-453中所列重链恒定区氨基酸序列。在一些情况中,该抗HER2抗体包含图6D中所绘氨基酸序列的氨基酸121-458中所列重链恒定区氨基酸序列。在一些情况中,该抗HER2抗体经过修饰包括如上所述硫酸酯酶基序,其中该修饰包括一个或多个氨基酸残基插入,删除,和/或替代;例如,其中硫酸酯酶基序位于Ig卡帕恒定区中对应于下述一项或多项的区域内或附近:1)氨基酸1-6;2)氨基酸12-14;3)氨基酸21;4)氨基酸33-37;5)氨基酸34-37;6)氨基酸44-51;7)氨基酸57-65;8)氨基酸83-83;9)氨基酸91-96;10)氨基酸104-107;其中氨基酸编号基于SEQ ID NO://(人卡帕轻链;图17C中所绘氨基酸序列)。在一些情况中,该抗HER2抗体包含图6E中所绘氨基酸序列的氨基酸108-219中所列轻链恒定区氨基酸序列。
在一些情况中,合适的抗HER2抗体与包含选自KASQDVSIGVA(VL CDR1;SEQ IDNO://);SASYX1X2X3,其中X1是R或L,X2是Y或E,且X3是T或S(VL CDR2;SEQ ID NO://);和QQYYIYPYT(VL CDR3;SEQ ID NO://)的轻链CDR的抗体竞争结合HER2中的表位(例如HER2结构域II内的表位;例如图4中所绘HER2氨基酸序列的氨基酸218-341内的表位)。在一些情况中,该抗HER2抗体是人源化的。在一些情况中,该抗HER2抗体是人源化的。在一些情况中,该抗HER2抗体经过修饰包括如上所述硫酸酯酶基序,其中该修饰包括一个或多个氨基酸残基插入,删除,和/或替代。在某些实施方案中,硫酸酯酶基序位于IgG1重链恒定区对应于下述一项或多项的区域内或附近:1)氨基酸1-6;2)氨基酸16-22;3)氨基酸34-47;4)氨基酸42-49;5)氨基酸42-62;6)氨基酸34-37;7)氨基酸69-71;8)氨基酸79-81;9)氨基酸78-81;10)氨基酸87-91;11)氨基酸100-121;12)氨基酸127-131;13)氨基酸137-141;14)氨基酸149-157;15)氨基酸151-157;16)氨基酸164-165;17)氨基酸164-172;18)氨基酸169-171;19)氨基酸179-183;20)氨基酸189-193;21)氨基酸200-202;22)氨基酸209-215;23)氨基酸221-229;24)氨基酸22-228;25)氨基酸236-245;26)氨基酸217-261;27)氨基酸268-274;28)氨基酸278-287;29)氨基酸313-331;和30)氨基酸324-331;其中氨基酸编号基于SEQ IDNO://(图17B中所绘人IgG1恒定区)中所列人IgG1的氨基酸编号。在一些情况中,该抗HER2抗体包含图6C中所绘氨基酸序列的氨基酸121-453中所列重链恒定区氨基酸序列。在一些情况中,该抗HER2抗体包含图6D中所绘氨基酸序列的氨基酸121-458中所列重链恒定区氨基酸序列。在一些情况中,该抗HER2抗体经过修饰包括如上所述硫酸酯酶基序,其中该修饰包括一个或多个氨基酸残基插入,删除,和/或替代;例如,其中硫酸酯酶基序位于Ig卡帕恒定区中对应于下述一项或多项的区域内或附近:1)氨基酸1-6;2)氨基酸12-14;3)氨基酸21;4)氨基酸33-37;5)氨基酸34-37;6)氨基酸44-51;7)氨基酸57-65;8)氨基酸83-83;9)氨基酸91-96;10)氨基酸104-107;其中氨基酸编号基于SEQ ID NO://(人卡帕轻链;图17C中所绘氨基酸序列)。在一些情况中,该抗HER2抗体包含图6E中所绘氨基酸序列的氨基酸108-219中所列轻链恒定区氨基酸序列。
在一些情况中,合适的抗HER2抗体与包含重链CDR GFTFTDYTMX,其中X是D或S(VHCDR1;SEQ ID NO://);DVNPNSGGSIYNQRFKG(VH CDR2;SEQ ID NO://);和NLGPSFYFDY(VHCDR3;SEQ ID NO://)的抗体竞争结合HER2中的表位(例如HER2结构域II内的表位;例如图4中所绘HER2氨基酸序列的氨基酸218-341内的表位)。在一些情况中,该抗HER2抗体是人源化的。在一些情况中,该抗HER2抗体是人源化的。在一些情况中,该抗HER2抗体经过修饰包括如上所述硫酸酯酶基序,其中该修饰包括一个或多个氨基酸残基插入,删除,和/或替代。在某些实施方案中,硫酸酯酶基序位于IgG1重链恒定区对应于下述一项或多项的区域内或附近:1)氨基酸1-6;2)氨基酸16-22;3)氨基酸34-47;4)氨基酸42-49;5)氨基酸42-62;6)氨基酸34-37;7)氨基酸69-71;8)氨基酸79-81;9)氨基酸78-81;10)氨基酸87-91;11)氨基酸100-121;12)氨基酸127-131;13)氨基酸137-141;14)氨基酸149-157;15)氨基酸151-157;16)氨基酸164-165;17)氨基酸164-172;18)氨基酸169-171;19)氨基酸179-183;20)氨基酸189-193;21)氨基酸200-202;22)氨基酸209-215;23)氨基酸221-229;24)氨基酸22-228;25)氨基酸236-245;26)氨基酸217-261;27)氨基酸268-274;28)氨基酸278-287;29)氨基酸313-331;和30)氨基酸324-331;其中氨基酸编号基于SEQ ID NO://(图17B中所绘人IgG1恒定区)中所列人IgG1的氨基酸编号。在一些情况中,该抗HER2抗体包含图6C中所绘氨基酸序列的氨基酸121-453中所列重链恒定区氨基酸序列。在一些情况中,该抗HER2抗体包含图6D中所绘氨基酸序列的氨基酸121-458中所列重链恒定区氨基酸序列。在一些情况中,该抗HER2抗体经过修饰包括如上所述硫酸酯酶基序,其中该修饰包括一个或多个氨基酸残基插入,删除,和/或替代;例如,其中硫酸酯酶基序位于Ig卡帕恒定区中对应于下述一项或多项的区域内或附近:1)氨基酸1-6;2)氨基酸12-14;3)氨基酸21;4)氨基酸33-37;5)氨基酸34-37;6)氨基酸44-51;7)氨基酸57-65;8)氨基酸83-83;9)氨基酸91-96;10)氨基酸104-107;其中氨基酸编号基于SEQ ID NO://(人卡帕轻链;图17C中所绘氨基酸序列)。在一些情况中,该抗HER2抗体包含图6E中所绘氨基酸序列的氨基酸108-219中所列轻链恒定区氨基酸序列。
在一些情况中,合适的抗HER2抗体与包含轻链CDR KASQDVSIGVA(VL CDR1;SEQ IDNO://);SASYX1X2X3,其中X1是R或L,X2是Y或E,且X3是T或S(VL CDR2;SEQ ID NO://);和QQYYIYPYT(VL CDR3;SEQ ID NO://)的抗体竞争结合HER2中的表位(例如HER2结构域II内的表位;例如图4中所绘HER2氨基酸序列的氨基酸218-341内的表位)。在一些情况中,该抗HER2抗体是人源化的。在一些情况中,该抗HER2抗体是人源化的。在一些情况中,该抗HER2抗体经过修饰包括如上所述硫酸酯酶基序,其中该修饰包括一个或多个氨基酸残基插入,删除,和/或替代。在某些实施方案中,硫酸酯酶基序位于IgG1重链恒定区对应于下述一项或多项的区域内或附近:1)氨基酸1-6;2)氨基酸16-22;3)氨基酸34-47;4)氨基酸42-49;5)氨基酸42-62;6)氨基酸34-37;7)氨基酸69-71;8)氨基酸79-81;9)氨基酸78-81;10)氨基酸87-91;11)氨基酸100-121;12)氨基酸127-131;13)氨基酸137-141;14)氨基酸149-157;15)氨基酸151-157;16)氨基酸164-165;17)氨基酸164-172;18)氨基酸169-171;19)氨基酸179-183;20)氨基酸189-193;21)氨基酸200-202;22)氨基酸209-215;23)氨基酸221-229;24)氨基酸22-228;25)氨基酸236-245;26)氨基酸217-261;27)氨基酸268-274;28)氨基酸278-287;29)氨基酸313-331;和30)氨基酸324-331;其中氨基酸编号基于SEQ ID NO://(图17B中所绘人IgG1恒定区)中所列人IgG1的氨基酸编号。在一些情况中,该抗HER2抗体包含图6C中所绘氨基酸序列的氨基酸121-453中所列重链恒定区氨基酸序列。在一些情况中,该抗HER2抗体包含图6D中所绘氨基酸序列的氨基酸121-458中所列重链恒定区氨基酸序列。在一些情况中,该抗HER2抗体经过修饰包括如上所述硫酸酯酶基序,其中该修饰包括一个或多个氨基酸残基插入,删除,和/或替代;例如,其中硫酸酯酶基序位于Ig卡帕恒定区中对应于下述一项或多项的区域内或附近:1)氨基酸1-6;2)氨基酸12-14;3)氨基酸21;4)氨基酸33-37;5)氨基酸34-37;6)氨基酸44-51;7)氨基酸57-65;8)氨基酸83-83;9)氨基酸91-96;10)氨基酸104-107;其中氨基酸编号基于SEQ ID NO://(人卡帕轻链;图17C中所绘氨基酸序列)。在一些情况中,该抗HER2抗体包含图6E中所绘氨基酸序列的氨基酸108-219中所列轻链恒定区氨基酸序列。
在一些情况中,合适的抗HER2抗体与包含重链CDR GFTFTDYTMX,其中X是D或S(VHCDR1;SEQ ID NO://);DVNPNSGGSIYNQRFKG(VH CDR2;SEQ ID NO://);和NLGPSFYFDY(VHCDR3;SEQ ID NO://);且包含轻链CDR KASQDVSIGVA(VL CDR1;SEQ ID NO://);SASYX1X2X3,其中X1是R或L,X2是Y或E,且X3是T或S(VL CDR2;SEQ ID NO://);和QQYYIYPYT(VL CDR3;SEQID NO://)的抗体竞争结合HER2中的表位(例如HER2结构域II内的表位;例如图4中所绘HER2氨基酸序列的氨基酸218-341内的表位)。在一些情况中,该抗HER2抗体是人源化的。在一些情况中,该抗HER2抗体是人源化的。在一些情况中,该抗HER2抗体经过修饰包括如上所述硫酸酯酶基序,其中该修饰包括一个或多个氨基酸残基插入,删除,和/或替代。在某些实施方案中,硫酸酯酶基序位于IgG1重链恒定区对应于下述一项或多项的区域内或附近:1)氨基酸1-6;2)氨基酸16-22;3)氨基酸34-47;4)氨基酸42-49;5)氨基酸42-62;6)氨基酸34-37;7)氨基酸69-71;8)氨基酸79-81;9)氨基酸78-81;10)氨基酸87-91;11)氨基酸100-121;12)氨基酸127-131;13)氨基酸137-141;14)氨基酸149-157;15)氨基酸151-157;16)氨基酸164-165;17)氨基酸164-172;18)氨基酸169-171;19)氨基酸179-183;20)氨基酸189-193;21)氨基酸200-202;22)氨基酸209-215;23)氨基酸221-229;24)氨基酸22-228;25)氨基酸236-245;26)氨基酸217-261;27)氨基酸268-274;28)氨基酸278-287;29)氨基酸313-331;和30)氨基酸324-331;其中氨基酸编号基于SEQ ID NO://(图17B中所绘人IgG1恒定区)中所列人IgG1的氨基酸编号。在一些情况中,该抗HER2抗体包含图6C中所绘氨基酸序列的氨基酸121-453中所列重链恒定区氨基酸序列。在一些情况中,该抗HER2抗体包含图6D中所绘氨基酸序列的氨基酸121-458中所列重链恒定区氨基酸序列。在一些情况中,该抗HER2抗体经过修饰包括如上所述硫酸酯酶基序,其中该修饰包括一个或多个氨基酸残基插入,删除,和/或替代;例如,其中硫酸酯酶基序位于Ig卡帕恒定区中对应于下述一项或多项的区域内或附近:1)氨基酸1-6;2)氨基酸12-14;3)氨基酸21;4)氨基酸33-37;5)氨基酸34-37;6)氨基酸44-51;7)氨基酸57-65;8)氨基酸83-83;9)氨基酸91-96;10)氨基酸104-107;其中氨基酸编号基于SEQ ID NO://(人卡帕轻链;图17C中所绘氨基酸序列)。在一些情况中,该抗HER2抗体包含图6E中所绘氨基酸序列的氨基酸108-219中所列轻链恒定区氨基酸序列。
在一些情况中,合适的抗HER2抗体包含重链CDR GFTFTDYTMX,其中X是D或S(VHCDR1;SEQ ID NO://);DVNPNSGGSIYNQRFKG(VH CDR2;SEQ ID NO://);和NLGPSFYFDY(VHCDR3;SEQ ID NO://)。在一些情况中,该抗HER2抗体是人源化的。在一些情况中,该抗HER2抗体是人源化的。在一些情况中,该抗HER2抗体经过修饰包括如上所述硫酸酯酶基序,其中该修饰包括一个或多个氨基酸残基插入,删除,和/或替代。在某些实施方案中,硫酸酯酶基序位于IgG1重链恒定区对应于下述一项或多项的区域内或附近:1)氨基酸1-6;2)氨基酸16-22;3)氨基酸34-47;4)氨基酸42-49;5)氨基酸42-62;6)氨基酸34-37;7)氨基酸69-71;8)氨基酸79-81;9)氨基酸78-81;10)氨基酸87-91;11)氨基酸100-121;12)氨基酸127-131;13)氨基酸137-141;14)氨基酸149-157;15)氨基酸151-157;16)氨基酸164-165;17)氨基酸164-172;18)氨基酸169-171;19)氨基酸179-183;20)氨基酸189-193;21)氨基酸200-202;22)氨基酸209-215;23)氨基酸221-229;24)氨基酸22-228;25)氨基酸236-245;26)氨基酸217-261;27)氨基酸268-274;28)氨基酸278-287;29)氨基酸313-331;和30)氨基酸324-331;其中氨基酸编号基于SEQ ID NO://(图17B中所绘人IgG1恒定区)中所列人IgG1的氨基酸编号。在一些情况中,该抗HER2抗体包含图6C中所绘氨基酸序列的氨基酸121-453中所列重链恒定区氨基酸序列。在一些情况中,该抗HER2抗体包含图6D中所绘氨基酸序列的氨基酸121-458中所列重链恒定区氨基酸序列。在一些情况中,该抗HER2抗体经过修饰包括如上所述硫酸酯酶基序,其中该修饰包括一个或多个氨基酸残基插入,删除,和/或替代;例如,其中硫酸酯酶基序位于Ig卡帕恒定区中对应于下述一项或多项的区域内或附近:1)氨基酸1-6;2)氨基酸12-14;3)氨基酸21;4)氨基酸33-37;5)氨基酸34-37;6)氨基酸44-51;7)氨基酸57-65;8)氨基酸83-83;9)氨基酸91-96;10)氨基酸104-107;其中氨基酸编号基于SEQ IDNO://(人卡帕轻链;图17C中所绘氨基酸序列)。在一些情况中,该抗HER2抗体包含图6E中所绘氨基酸序列的氨基酸108-219中所列轻链恒定区氨基酸序列。
在一些情况中,合适的抗HER2抗体包含轻链CDR KASQDVSIGVA(VL CDR1;SEQ IDNO://);SASYX1X2X3,其中X1是R或L,X2是Y或E,且X3是T或S(VL CDR2;SEQ ID NO://);和QQYYIYPYT(VL CDR3;SEQ ID NO://)。在一些情况中,该抗HER2抗体是人源化的。在一些情况中,该抗HER2抗体是人源化的。在一些情况中,该抗HER2抗体经过修饰包括如上所述硫酸酯酶基序,其中该修饰包括一个或多个氨基酸残基插入,删除,和/或替代。在某些实施方案中,硫酸酯酶基序位于IgG1重链恒定区对应于下述一项或多项的区域内或附近:1)氨基酸1-6;2)氨基酸16-22;3)氨基酸34-47;4)氨基酸42-49;5)氨基酸42-62;6)氨基酸34-37;7)氨基酸69-71;8)氨基酸79-81;9)氨基酸78-81;10)氨基酸87-91;11)氨基酸100-121;12)氨基酸127-131;13)氨基酸137-141;14)氨基酸149-157;15)氨基酸151-157;16)氨基酸164-165;17)氨基酸164-172;18)氨基酸169-171;19)氨基酸179-183;20)氨基酸189-193;21)氨基酸200-202;22)氨基酸209-215;23)氨基酸221-229;24)氨基酸22-228;25)氨基酸236-245;26)氨基酸217-261;27)氨基酸268-274;28)氨基酸278-287;29)氨基酸313-331;和30)氨基酸324-331;其中氨基酸编号基于SEQ ID NO://(图17B中所绘人IgG1恒定区)中所列人IgG1的氨基酸编号。在一些情况中,该抗HER2抗体包含图6C中所绘氨基酸序列的氨基酸121-453中所列重链恒定区氨基酸序列。在一些情况中,该抗HER2抗体包含图6D中所绘氨基酸序列的氨基酸121-458中所列重链恒定区氨基酸序列。在一些情况中,该抗HER2抗体经过修饰包括如上所述硫酸酯酶基序,其中该修饰包括一个或多个氨基酸残基插入,删除,和/或替代;例如,其中硫酸酯酶基序位于Ig卡帕恒定区中对应于下述一项或多项的区域内或附近:1)氨基酸1-6;2)氨基酸12-14;3)氨基酸21;4)氨基酸33-37;5)氨基酸34-37;6)氨基酸44-51;7)氨基酸57-65;8)氨基酸83-83;9)氨基酸91-96;10)氨基酸104-107;其中氨基酸编号基于SEQ ID NO://(人卡帕轻链;图17C中所绘氨基酸序列)。在一些情况中,该抗HER2抗体包含图6E中所绘氨基酸序列的氨基酸108-219中所列轻链恒定区氨基酸序列。
在一些情况中,合适的抗HER2抗体包含重链CDR GFTFTDYTMX,其中X是D或S(VHCDR1;SEQ ID NO://);DVNPNSGGSIYNQRFKG(VH CDR2;SEQ ID NO://);和NLGPSFYFDY(VHCDR3;SEQ ID NO://);且包含轻链CDR KASQDVSIGVA(VL CDR1;SEQ ID NO://);SASYX1X2X3,其中X1是R或L,X2是Y或E,且X3是T或S(VL CDR2;SEQ ID NO://);和QQYYIYPYT(VL CDR3;SEQID NO://)。在一些情况中,该抗HER2抗体是人源化的。在一些情况中,该抗HER2抗体是人源化的。在一些情况中,该抗HER2抗体经过修饰包括如上所述硫酸酯酶基序,其中该修饰包括一个或多个氨基酸残基插入,删除,和/或替代。在某些实施方案中,硫酸酯酶基序位于IgG1重链恒定区对应于下述一项或多项的区域内或附近:1)氨基酸1-6;2)氨基酸16-22;3)氨基酸34-47;4)氨基酸42-49;5)氨基酸42-62;6)氨基酸34-37;7)氨基酸69-71;8)氨基酸79-81;9)氨基酸78-81;10)氨基酸87-91;11)氨基酸100-121;12)氨基酸127-131;13)氨基酸137-141;14)氨基酸149-157;15)氨基酸151-157;16)氨基酸164-165;17)氨基酸164-172;18)氨基酸169-171;19)氨基酸179-183;20)氨基酸189-193;21)氨基酸200-202;22)氨基酸209-215;23)氨基酸221-229;24)氨基酸22-228;25)氨基酸236-245;26)氨基酸217-261;27)氨基酸268-274;28)氨基酸278-287;29)氨基酸313-331;和30)氨基酸324-331;其中氨基酸编号基于SEQ ID NO://(图17B中所绘人IgG1恒定区)中所列人IgG1的氨基酸编号。在一些情况中,该抗HER2抗体包含图6C中所绘氨基酸序列的氨基酸121-453中所列重链恒定区氨基酸序列。在一些情况中,该抗HER2抗体包含图6D中所绘氨基酸序列的氨基酸121-458中所列重链恒定区氨基酸序列。在一些情况中,该抗HER2抗体经过修饰包括如上所述硫酸酯酶基序,其中该修饰包括一个或多个氨基酸残基插入,删除,和/或替代;例如,其中硫酸酯酶基序位于Ig卡帕恒定区中对应于下述一项或多项的区域内或附近:1)氨基酸1-6;2)氨基酸12-14;3)氨基酸21;4)氨基酸33-37;5)氨基酸34-37;6)氨基酸44-51;7)氨基酸57-65;8)氨基酸83-83;9)氨基酸91-96;10)氨基酸104-107;其中氨基酸编号基于SEQ ID NO://(人卡帕轻链;图17C中所绘氨基酸序列)。在一些情况中,该抗HER2抗体包含图6E中所绘氨基酸序列的氨基酸108-219中所列轻链恒定区氨基酸序列。
在一些情况中,合适的抗HER2抗体包含重链CDR GFTFTDYTMD(VH CDR1;SEQ IDNO://);DVNPNSGGSIYNQRFKG(VH CDR2;SEQ ID NO://);和NLGPSFYFDY(VH CDR3;SEQ IDNO://)。在一些情况中,该抗HER2抗体是人源化的。在一些情况中,该抗HER2抗体是人源化的。在一些情况中,该抗HER2抗体经过修饰包括如上所述硫酸酯酶基序,其中该修饰包括一个或多个氨基酸残基插入,删除,和/或替代。在某些实施方案中,硫酸酯酶基序位于IgG1重链恒定区对应于下述一项或多项的区域内或附近:1)氨基酸1-6;2)氨基酸16-22;3)氨基酸34-47;4)氨基酸42-49;5)氨基酸42-62;6)氨基酸34-37;7)氨基酸69-71;8)氨基酸79-81;9)氨基酸78-81;10)氨基酸87-91;11)氨基酸100-121;12)氨基酸127-131;13)氨基酸137-141;14)氨基酸149-157;15)氨基酸151-157;16)氨基酸164-165;17)氨基酸164-172;18)氨基酸169-171;19)氨基酸179-183;20)氨基酸189-193;21)氨基酸200-202;22)氨基酸209-215;23)氨基酸221-229;24)氨基酸22-228;25)氨基酸236-245;26)氨基酸217-261;27)氨基酸268-274;28)氨基酸278-287;29)氨基酸313-331;和30)氨基酸324-331;其中氨基酸编号基于SEQ ID NO://(图17B中所绘人IgG1恒定区)中所列人IgG1的氨基酸编号。在一些情况中,该抗HER2抗体包含图6C中所绘氨基酸序列的氨基酸121-453中所列重链恒定区氨基酸序列。在一些情况中,该抗HER2抗体包含图6D中所绘氨基酸序列的氨基酸121-458中所列重链恒定区氨基酸序列。在一些情况中,该抗HER2抗体经过修饰包括如上所述硫酸酯酶基序,其中该修饰包括一个或多个氨基酸残基插入,删除,和/或替代;例如,其中硫酸酯酶基序位于Ig卡帕恒定区中对应于下述一项或多项的区域内或附近:1)氨基酸1-6;2)氨基酸12-14;3)氨基酸21;4)氨基酸33-37;5)氨基酸34-37;6)氨基酸44-51;7)氨基酸57-65;8)氨基酸83-83;9)氨基酸91-96;10)氨基酸104-107;其中氨基酸编号基于SEQ ID NO://(人卡帕轻链;图17C中所绘氨基酸序列)。在一些情况中,该抗HER2抗体包含图6E中所绘氨基酸序列的氨基酸108-219中所列轻链恒定区氨基酸序列。
在一些情况中,合适的抗HER2抗体包含轻链CDR KASQDVSIGVA(VL CDR1;SEQ IDNO://);SASYRYT(VL CDR2;SEQ ID NO://);和QQYYIYPYT(VL CDR3;SEQ ID NO://)。在一些情况中,该抗HER2抗体是人源化的。在一些情况中,该抗HER2抗体是人源化的。在一些情况中,该抗HER2抗体经过修饰包括如上所述硫酸酯酶基序,其中该修饰包括一个或多个氨基酸残基插入,删除,和/或替代。在某些实施方案中,硫酸酯酶基序位于IgG1重链恒定区对应于下述一项或多项的区域内或附近:1)氨基酸1-6;2)氨基酸16-22;3)氨基酸34-47;4)氨基酸42-49;5)氨基酸42-62;6)氨基酸34-37;7)氨基酸69-71;8)氨基酸79-81;9)氨基酸78-81;10)氨基酸87-91;11)氨基酸100-121;12)氨基酸127-131;13)氨基酸137-141;14)氨基酸149-157;15)氨基酸151-157;16)氨基酸164-165;17)氨基酸164-172;18)氨基酸169-171;19)氨基酸179-183;20)氨基酸189-193;21)氨基酸200-202;22)氨基酸209-215;23)氨基酸221-229;24)氨基酸22-228;25)氨基酸236-245;26)氨基酸217-261;27)氨基酸268-274;28)氨基酸278-287;29)氨基酸313-331;和30)氨基酸324-331;其中氨基酸编号基于SEQ ID NO://(图17B中所绘人IgG1恒定区)中所列人IgG1的氨基酸编号。在一些情况中,该抗HER2抗体包含图6C中所绘氨基酸序列的氨基酸121-453中所列重链恒定区氨基酸序列。在一些情况中,该抗HER2抗体包含图6D中所绘氨基酸序列的氨基酸121-458中所列重链恒定区氨基酸序列。在一些情况中,该抗HER2抗体经过修饰包括如上所述硫酸酯酶基序,其中该修饰包括一个或多个氨基酸残基插入,删除,和/或替代;例如,其中硫酸酯酶基序位于Ig卡帕恒定区中对应于下述一项或多项的区域内或附近:1)氨基酸1-6;2)氨基酸12-14;3)氨基酸21;4)氨基酸33-37;5)氨基酸34-37;6)氨基酸44-51;7)氨基酸57-65;8)氨基酸83-83;9)氨基酸91-96;10)氨基酸104-107;其中氨基酸编号基于SEQ ID NO://(人卡帕轻链;图17C中所绘氨基酸序列)。在一些情况中,该抗HER2抗体包含图6E中所绘氨基酸序列的氨基酸108-219中所列轻链恒定区氨基酸序列。
在一些情况中,合适的抗HER2抗体包含重链CDR GFTFTDYTMD(VH CDR1;SEQ IDNO://);DVNPNSGGSIYNQRFKG(VH CDR2;SEQ ID NO://);和NLGPSFYFDY(VH CDR3;SEQ IDNO://);且包含轻链CDR KASQDVSIGVA(VL CDR1;SEQ ID NO://);SASYRYT(VL CDR2;SEQ IDNO://);和QQYYIYPYT(VL CDR3;SEQ ID NO://)。在一些情况中,该抗HER2抗体是人源化的。在一些情况中,该抗HER2抗体是人源化的。在一些情况中,该抗HER2抗体经过修饰包括如上所述硫酸酯酶基序,其中该修饰包括一个或多个氨基酸残基插入,删除,和/或替代。在某些实施方案中,硫酸酯酶基序位于IgG1重链恒定区对应于下述一项或多项的区域内或附近:1)氨基酸1-6;2)氨基酸16-22;3)氨基酸34-47;4)氨基酸42-49;5)氨基酸42-62;6)氨基酸34-37;7)氨基酸69-71;8)氨基酸79-81;9)氨基酸78-81;10)氨基酸87-91;11)氨基酸100-121;12)氨基酸127-131;13)氨基酸137-141;14)氨基酸149-157;15)氨基酸151-157;16)氨基酸164-165;17)氨基酸164-172;18)氨基酸169-171;19)氨基酸179-183;20)氨基酸189-193;21)氨基酸200-202;22)氨基酸209-215;23)氨基酸221-229;24)氨基酸22-228;25)氨基酸236-245;26)氨基酸217-261;27)氨基酸268-274;28)氨基酸278-287;29)氨基酸313-331;和30)氨基酸324-331;其中氨基酸编号基于SEQ ID NO://(图17B中所绘人IgG1恒定区)中所列人IgG1的氨基酸编号。在一些情况中,该抗HER2抗体包含图6C中所绘氨基酸序列的氨基酸121-453中所列重链恒定区氨基酸序列。在一些情况中,该抗HER2抗体包含图6D中所绘氨基酸序列的氨基酸121-458中所列重链恒定区氨基酸序列。在一些情况中,该抗HER2抗体经过修饰包括如上所述硫酸酯酶基序,其中该修饰包括一个或多个氨基酸残基插入,删除,和/或替代;例如,其中硫酸酯酶基序位于Ig卡帕恒定区中对应于下述一项或多项的区域内或附近:1)氨基酸1-6;2)氨基酸12-14;3)氨基酸21;4)氨基酸33-37;5)氨基酸34-37;6)氨基酸44-51;7)氨基酸57-65;8)氨基酸83-83;9)氨基酸91-96;10)氨基酸104-107;其中氨基酸编号基于SEQ ID NO://(人卡帕轻链;图17C中所绘氨基酸序列)。在一些情况中,该抗HER2抗体包含图6E中所绘氨基酸序列的氨基酸108-219中所列轻链恒定区氨基酸序列。
在一些情况中,合适的抗HER2抗体包含包含如下氨基酸序列的抗HER2VH区中存在的VH CDR:
EVQLVESGGGLVQPGGSLRLSCAASGFTFTDYTMDWVRQAPGKGLEWVADVNPNSGGSIYNQRFKGRFTLSVDRSKNTLYLQMNSLRAEDTAVYYCARNLGPSFYFDYWGQGTLVTVSS(SEQ ID NO://)。在一些情况中,该抗HER2抗体是人源化的。在一些情况中,该抗HER2抗体是人源化的。在一些情况中,该抗HER2抗体经过修饰包括如上所述硫酸酯酶基序,其中该修饰包括一个或多个氨基酸残基插入,删除,和/或替代。在某些实施方案中,硫酸酯酶基序位于IgG1重链恒定区对应于下述一项或多项的区域内或附近:1)氨基酸1-6;2)氨基酸16-22;3)氨基酸34-47;4)氨基酸42-49;5)氨基酸42-62;6)氨基酸34-37;7)氨基酸69-71;8)氨基酸79-81;9)氨基酸78-81;10)氨基酸87-91;11)氨基酸100-121;12)氨基酸127-131;13)氨基酸137-141;14)氨基酸149-157;15)氨基酸151-157;16)氨基酸164-165;17)氨基酸164-172;18)氨基酸169-171;19)氨基酸179-183;20)氨基酸189-193;21)氨基酸200-202;22)氨基酸209-215;23)氨基酸221-229;24)氨基酸22-228;25)氨基酸236-245;26)氨基酸217-261;27)氨基酸268-274;28)氨基酸278-287;29)氨基酸313-331;和30)氨基酸324-331;其中氨基酸编号基于SEQ IDNO://(图17B中所绘人IgG1恒定区)中所列人IgG1的氨基酸编号。在一些情况中,该抗HER2抗体包含图6C中所绘氨基酸序列的氨基酸121-453中所列重链恒定区氨基酸序列。在一些情况中,该抗HER2抗体包含图6D中所绘氨基酸序列的氨基酸121-458中所列重链恒定区氨基酸序列。在一些情况中,该抗HER2抗体经过修饰包括如上所述硫酸酯酶基序,其中该修饰包括一个或多个氨基酸残基插入,删除,和/或替代;例如,其中硫酸酯酶基序位于Ig卡帕恒定区中对应于下述一项或多项的区域内或附近:1)氨基酸1-6;2)氨基酸12-14;3)氨基酸21;4)氨基酸33-37;5)氨基酸34-37;6)氨基酸44-51;7)氨基酸57-65;8)氨基酸83-83;9)氨基酸91-96;10)氨基酸104-107;其中氨基酸编号基于SEQ ID NO://(人卡帕轻链;图17C中所绘氨基酸序列)。在一些情况中,该抗HER2抗体包含图6E中所绘氨基酸序列的氨基酸108-219中所列轻链恒定区氨基酸序列。
在一些情况中,合适的抗HER2抗体包含包含如下氨基酸序列的抗HER2VL区中存在的VL CDR:
DIQMTQSPSSLSASVGDRVTITCKASQDVSIGVAWYQQKPGKAPKLLIYSASYRYTGVPSRFSGSGSGTDFTLTISSLQPEDFATYYCQQYYIYPYTFGQGTKVEIK(SEQ ID NO://)。在一些情况中,该抗HER2抗体是人源化的。在一些情况中,该抗HER2抗体是人源化的。在一些情况中,该抗HER2抗体经过修饰包括如上所述硫酸酯酶基序,其中该修饰包括一个或多个氨基酸残基插入,删除,和/或替代。在某些实施方案中,硫酸酯酶基序位于IgG1重链恒定区对应于下述一项或多项的区域内或附近:1)氨基酸1-6;2)氨基酸16-22;3)氨基酸34-47;4)氨基酸42-49;5)氨基酸42-62;6)氨基酸34-37;7)氨基酸69-71;8)氨基酸79-81;9)氨基酸78-81;10)氨基酸87-91;11)氨基酸100-121;12)氨基酸127-131;13)氨基酸137-141;14)氨基酸149-157;15)氨基酸151-157;16)氨基酸164-165;17)氨基酸164-172;18)氨基酸169-171;19)氨基酸179-183;20)氨基酸189-193;21)氨基酸200-202;22)氨基酸209-215;23)氨基酸221-229;24)氨基酸22-228;25)氨基酸236-245;26)氨基酸217-261;27)氨基酸268-274;28)氨基酸278-287;29)氨基酸313-331;和30)氨基酸324-331;其中氨基酸编号基于SEQ ID NO://(图17B中所绘人IgG1恒定区)中所列人IgG1的氨基酸编号。在一些情况中,该抗HER2抗体包含图6C中所绘氨基酸序列的氨基酸121-453中所列重链恒定区氨基酸序列。在一些情况中,该抗HER2抗体包含图6D中所绘氨基酸序列的氨基酸121-458中所列重链恒定区氨基酸序列。在一些情况中,该抗HER2抗体经过修饰包括如上所述硫酸酯酶基序,其中该修饰包括一个或多个氨基酸残基插入,删除,和/或替代;例如,其中硫酸酯酶基序位于Ig卡帕恒定区中对应于下述一项或多项的区域内或附近:1)氨基酸1-6;2)氨基酸12-14;3)氨基酸21;4)氨基酸33-37;5)氨基酸34-37;6)氨基酸44-51;7)氨基酸57-65;8)氨基酸83-83;9)氨基酸91-96;10)氨基酸104-107;其中氨基酸编号基于SEQ ID NO://(人卡帕轻链;图17C中所绘氨基酸序列)。在一些情况中,该抗HER2抗体包含图6E中所绘氨基酸序列的氨基酸108-219中所列轻链恒定区氨基酸序列。
在一些情况中,合适的抗HER2抗体包含包含如下氨基酸序列的抗HER2VH区中存在的VH CDR:
EVQLVESGGGLVQPGGSLRLSCAASGFTFTDYTMDWVRQAPGKGLEWVADVNPNSGGSIYNQRFKGRFTLSVDRSKNTLYLQMNSLRAEDTAVYYCARNLGPSFYFDYWGQGTLVTVSS(SEQ ID NO://);且包含包含如下氨基酸序列的抗HER2VL区中存在的VL CDR:DIQMTQSPSSLSASVGDRVTITCKASQDVSIGVAWYQQKPGKAPKLLIYSASYRYTGVPSRFSGSGSGTDFTLTISSLQPEDFATYYCQQYYIYPYTFGQGTKVEIK(SEQID NO://)。在一些情况中,该抗HER2抗体是人源化的。在一些情况中,该抗HER2抗体是人源化的。在一些情况中,该抗HER2抗体经过修饰包括如上所述硫酸酯酶基序,其中该修饰包括一个或多个氨基酸残基插入,删除,和/或替代。在某些实施方案中,硫酸酯酶基序位于IgG1重链恒定区对应于下述一项或多项的区域内或附近:1)氨基酸1-6;2)氨基酸16-22;3)氨基酸34-47;4)氨基酸42-49;5)氨基酸42-62;6)氨基酸34-37;7)氨基酸69-71;8)氨基酸79-81;9)氨基酸78-81;10)氨基酸87-91;11)氨基酸100-121;12)氨基酸127-131;13)氨基酸137-141;14)氨基酸149-157;15)氨基酸151-157;16)氨基酸164-165;17)氨基酸164-172;18)氨基酸169-171;19)氨基酸179-183;20)氨基酸189-193;21)氨基酸200-202;22)氨基酸209-215;23)氨基酸221-229;24)氨基酸22-228;25)氨基酸236-245;26)氨基酸217-261;27)氨基酸268-274;28)氨基酸278-287;29)氨基酸313-331;和30)氨基酸324-331;其中氨基酸编号基于SEQ ID NO://(图17B中所绘人IgG1恒定区)中所列人IgG1的氨基酸编号。在一些情况中,该抗HER2抗体包含图6C中所绘氨基酸序列的氨基酸121-453中所列重链恒定区氨基酸序列。在一些情况中,该抗HER2抗体包含图6D中所绘氨基酸序列的氨基酸121-458中所列重链恒定区氨基酸序列。在一些情况中,该抗HER2抗体经过修饰包括如上所述硫酸酯酶基序,其中该修饰包括一个或多个氨基酸残基插入,删除,和/或替代;例如,其中硫酸酯酶基序位于Ig卡帕恒定区中对应于下述一项或多项的区域内或附近:1)氨基酸1-6;2)氨基酸12-14;3)氨基酸21;4)氨基酸33-37;5)氨基酸34-37;6)氨基酸44-51;7)氨基酸57-65;8)氨基酸83-83;9)氨基酸91-96;10)氨基酸104-107;其中氨基酸编号基于SEQ ID NO://(人卡帕轻链;图17C中所绘氨基酸序列)。在一些情况中,该抗HER2抗体包含图6E中所绘氨基酸序列的氨基酸108-219中所列轻链恒定区氨基酸序列。
在一些情况中,合适的抗HER2抗体包含包含氨基酸序列
EVQLVESGGGLVQPGGSLRLSCAASGFTFTDYTMDWVRQAPGKGLEWVADVNPNSGGSIYNQRFKGRFTLSVDRSKNTLYLQMNSLRAEDTAVYYCARNLGPSFYFDYWGQGTLVTVSS(SEQ ID NO://)的VH区。在一些情况中,合适的抗HER2抗体包含包含氨基酸序列
DIQMTQSPSSLSASVGDRVTITCKASQDVSIGVAWYQQKPGKAPKLLIYSASYRYTGVPSRFSGSGSGTDFTLTISSLQPEDFATYYCQQYYIYPYTFGQGTKVEIK(SEQ ID NO://)的VL区。在一些情况中,合适的抗HER2抗体包含包含氨基酸序列
EVQLVESGGGLVQPGGSLRLSCAASGFTFTDYTMDWVRQAPGKGLEWVADVNPNSGGSIYNQRFKGRFTLSVDRSKNTLYLQMNSLRAEDTAVYYCARNLGPSFYFDYWGQGTLVTVSS(SEQ ID NO://)的VH区;且包含包含氨基酸序列
DIQMTQSPSSLSASVGDRVTITCKASQDVSIGVAWYQQKPGKAPKLLIYSASYRYTGVPSRFSGSGSGTDFTLTISSLQPEDFATYYCQQYYIYPYTFGQGTKVEIK(SEQ ID NO://)的VL区。在一些情况中,该抗HER2抗体是人源化的。在一些情况中,该抗HER2抗体经过修饰包括如上所述硫酸酯酶基序,其中该修饰包括一个或多个氨基酸残基插入,删除,和/或替代。在某些实施方案中,硫酸酯酶基序位于IgG1重链恒定区对应于下述一项或多项的区域内或附近:1)氨基酸1-6;2)氨基酸16-22;3)氨基酸34-47;4)氨基酸42-49;5)氨基酸42-62;6)氨基酸34-37;7)氨基酸69-71;8)氨基酸79-81;9)氨基酸78-81;10)氨基酸87-91;11)氨基酸100-121;12)氨基酸127-131;13)氨基酸137-141;14)氨基酸149-157;15)氨基酸151-157;16)氨基酸164-165;17)氨基酸164-172;18)氨基酸169-171;19)氨基酸179-183;20)氨基酸189-193;21)氨基酸200-202;22)氨基酸209-215;23)氨基酸221-229;24)氨基酸22-228;25)氨基酸236-245;26)氨基酸217-261;27)氨基酸268-274;28)氨基酸278-287;29)氨基酸313-331;和30)氨基酸324-331;其中氨基酸编号基于SEQ ID NO://(图17B中所绘人IgG1恒定区)中所列人IgG1的氨基酸编号。在一些情况中,该抗HER2抗体包含图6C中所绘氨基酸序列的氨基酸121-453中所列重链恒定区氨基酸序列。在一些情况中,该抗HER2抗体包含图6D中所绘氨基酸序列的氨基酸121-458中所列重链恒定区氨基酸序列。在一些情况中,该抗HER2抗体经过修饰包括如上所述硫酸酯酶基序,其中该修饰包括一个或多个氨基酸残基插入,删除,和/或替代;例如,其中硫酸酯酶基序位于Ig卡帕恒定区中对应于下述一项或多项的区域内或附近:1)氨基酸1-6;2)氨基酸12-14;3)氨基酸21;4)氨基酸33-37;5)氨基酸34-37;6)氨基酸44-51;7)氨基酸57-65;8)氨基酸83-83;9)氨基酸91-96;10)氨基酸104-107;其中氨基酸编号基于SEQ ID NO://(人卡帕轻链;图17C中所绘氨基酸序列)。在一些情况中,该抗HER2抗体包含图6E中所绘氨基酸序列的氨基酸108-219中所列轻链恒定区氨基酸序列。
在一些情况中,合适的抗HER2抗体包含包含氨基酸序列
EVQLVESGGGLVQPGGSLRLSCAASGFTFTDYTMDWVRQAPGKGLEWVADVNPNSGGSIYNQRFKGRFTLSVDRSKNTLYLQMNSLRAEDTAVYYCARNLGPSFYFDYWGQGTLVTVSS(SEQ ID NO://)的VH区,其中该重链恒定区经过修饰包括FGly残基。在一些情况中,合适的抗HER2抗体包含包含氨基酸序列
DIQMTQSPSSLSASVGDRVTITCKASQDVSIGVAWYQQKPGKAPKLLIYSASYRYTGVPSRFSGSGSGTDFTLTISSLQPEDFATYYCQQYYIYPYTFGQGTKVEIK(SEQ ID NO://)的VL区,其中该轻链恒定区经过修饰包括FGly残基。在一些情况中,该抗HER2抗体是人源化的。在一些情况中,该抗HER2抗体经过修饰包括如上所述硫酸酯酶基序,其中该修饰包括一个或多个氨基酸残基插入,删除,和/或替代。在某些实施方案中,硫酸酯酶基序位于IgG1重链恒定区对应于下述一项或多项的区域内或附近:1)氨基酸1-6;2)氨基酸16-22;3)氨基酸34-47;4)氨基酸42-49;5)氨基酸42-62;6)氨基酸34-37;7)氨基酸69-71;8)氨基酸79-81;9)氨基酸78-81;10)氨基酸87-91;11)氨基酸100-121;12)氨基酸127-131;13)氨基酸137-141;14)氨基酸149-157;15)氨基酸151-157;16)氨基酸164-165;17)氨基酸164-172;18)氨基酸169-171;19)氨基酸179-183;20)氨基酸189-193;21)氨基酸200-202;22)氨基酸209-215;23)氨基酸221-229;24)氨基酸22-228;25)氨基酸236-245;26)氨基酸217-261;27)氨基酸268-274;28)氨基酸278-287;29)氨基酸313-331;和30)氨基酸324-331;其中氨基酸编号基于SEQ ID NO://(图17B中所绘人IgG1恒定区)中所列人IgG1的氨基酸编号。在一些情况中,该抗HER2抗体包含图6C中所绘氨基酸序列的氨基酸121-453中所列重链恒定区氨基酸序列。在一些情况中,该抗HER2抗体包含图6D中所绘氨基酸序列的氨基酸121-458中所列重链恒定区氨基酸序列。在一些情况中,该抗HER2抗体经过修饰包括如上所述硫酸酯酶基序,其中该修饰包括一个或多个氨基酸残基插入,删除,和/或替代;例如,其中硫酸酯酶基序位于Ig卡帕恒定区中对应于下述一项或多项的区域内或附近:1)氨基酸1-6;2)氨基酸12-14;3)氨基酸21;4)氨基酸33-37;5)氨基酸34-37;6)氨基酸44-51;7)氨基酸57-65;8)氨基酸83-83;9)氨基酸91-96;10)氨基酸104-107;其中氨基酸编号基于SEQ ID NO://(人卡帕轻链;图17C中所绘氨基酸序列)。在一些情况中,该抗HER2抗体包含图6E中所绘氨基酸序列的氨基酸108-219中所列轻链恒定区氨基酸序列。
用于缀合至多肽的药物
本公开内容提供了药物-多肽缀合物。药物的例子包括小分子药物,诸如癌症化疗剂。例如,在多肽是对肿瘤细胞具有特异性的抗体(或其片段)的情况中,可以如本文中描述的那样修饰抗体以包括经修饰的氨基酸,它可以随后缀合至癌症化疗剂,诸如影响微管的药剂。在某些实施方案中,药物是具有抗增殖活性的影响微管的药剂,诸如美登木素生物碱。在某些实施方案中,药物是如下结构的美登木素生物碱:
其中指示式(I)中美登木素生物碱和接头L之间的附着点。“附着点”意味着符号指示式(I)中美登木素生物碱的N和接头L之间的键。例如,在式(I)中,W1是美登木素生物碱,诸如上述结构的美登木素生物碱,其中指示美登木素生物碱和接头L之间的附着点。
在某些实施方案中,L1附着至肼基-吡咯并模块(例如,如上文式(I)中所示)。在某些实施方案中,L2,若存在,则附着至W1(美登木素生物碱)。在某些实施方案中,L3,若存在,则附着至W1(美登木素生物碱)。在某些实施方案中,L4,若存在,则附着至W1(美登木素生物碱)。
如上所述,在某些实施方案中,L1附着至肼基-吡咯并模块(例如,如上文式(I)中所示)。照此,在某些实施方案中,T1附着至肼基-吡咯并模块(例如,如上文式(I)中所示)。在某些实施方案中,Z1附着至W1(美登木素生物碱)。在某些实施方案中,L2,若存在,则附着至W1(美登木素生物碱)。照此,在某些实施方案中,T2,若存在,则附着至W1(美登木素生物碱),或Z2,若存在,则附着至W1(美登木素生物碱)。在某些实施方案中,L3,若存在,则附着至W1(美登木素生物碱)。照此,在某些实施方案中,T3,若存在,则附着至W1(美登木素生物碱),或Z3,若存在,则附着至W1(美登木素生物碱)。在某些实施方案中,L4,若存在,则附着至W1(美登木素生物碱)。照此,在某些实施方案中,T4,若存在,则附着至W1(美登木素生物碱),或Z4,若存在,则附着至W1(美登木素生物碱)。
本公开内容的实施方案包括如下缀合物,其中多肽(例如抗HER2抗体)缀合至一个或多个药物模块(例如美登木素生物碱),诸如2个药物模块,3个药物模块,4个药物模块,5个药物模块,6个药物模块,7个药物模块,8个药物模块,9个药物模块,或10个或更多个药物模块。药物模块可以在多肽中的一个或多个位点处缀合至多肽,如本文中描述的。在某些实施方案中,缀合物具有0.1至10,或0.5至10,或1至10,诸如1至9,或1至8,或1至7,或1至6,或1至5,或1至4,或1至3,或1至2范围中的平均药物对抗体比(DAR)(摩尔比)。在某些实施方案中,缀合物具有1至2,诸如1,1.1,1.2,1.3,1.4,1.5,1.6,1.7,1.8,1.9或2的平均DAR。在某些实施方案中,缀合物具有1.7的平均DAR。在某些实施方案中,缀合物具有3至4,诸如3,3.1,3.2,3.3,3.4,3.5,3.6,3.7,3.8,3.9或4的平均DAR。在某些实施方案中,缀合物具有3.4的平均DAR。平均意味着算术均值。
配制剂
可以以多种不同方式配制本公开内容的缀合物(包括抗体缀合物)。一般而言,在缀合物是多肽-药物缀合物的情况下,以与缀合至多肽的药物,要治疗的状况,和要使用的施用路径相容的方式配制缀合物。
可以以任何合适的形式(例如以药学可接受盐的形式)提供缀合物(例如多肽-药物缀合物),而且可以配制成用于任何合适的施用路径,例如口服,表面或胃肠外施用。在缀合物作为液体可注射剂提供的情况下(诸如在它们静脉内施用或直接施用入组织中的那些实施方案中),可以作为即用剂型,或作为由药学可接受载剂和赋形剂构成的可重建的储存稳定的粉剂或液体来提供缀合物。
用于配制缀合物的方法可以自容易得到的那些方法加以适应。例如,可以在包含治疗有效量的缀合物和药学可接受载剂(例如盐水)的药学组合物中提供缀合物。药学组合物可以任选地包括其它添加剂(例如缓冲剂,稳定剂,防腐剂,等等)。在一些实施方案中,配制剂适合施用于哺乳动物,诸如适合施用于人的那些。
治疗方法
本公开内容的多肽-药物缀合物可用于治疗受试者中适合通过施用亲本药物(即缀合至多肽之前的药物)来治疗的疾患或疾病。“治疗”意味着至少实现与困扰宿主的疾患有关的症状的改善,其中改善在广义使用,指的是至少降低与所治疗的疾患有关的参数(例如症状)的量级。这样的话,治疗还包括病理疾患或至少与其有关的症状完全受到抑制(例如防止发生),或停止(例如终止)的情况,使得宿主不再罹患所述疾患,或至少表征所述疾患的症状。如此,治疗包括:(i)预防,即降低临床症状发生的风险,包括引起临床症状不发生,例如防止疾病进展至有害的状态;(ii)抑制,即阻滞临床症状发生或进一步发展,例如减轻或完全抑制活动性疾病;和/或(iii)缓解,即引起临床症状消退。
在癌症的背景中,术语“治疗”包括下述任一或全部:降低实体瘤的生长,抑制癌细胞复制,降低总体肿瘤负荷,和改善一种或多种与癌症有关的症状。
要治疗的受试者可以是需要治疗的受试者,其中要治疗的宿主是适合使用亲本药物治疗的宿主。因而,多种受试者可以适合使用本文中公开的多肽-药物缀合物来治疗。一般而言,此类受试者是“哺乳动物”,其中人是感兴趣的。其它受试者可以包括驯养的宠物(例如犬和猫),牲畜(例如牛,猪,山羊,马,等等),啮齿动物(例如小鼠,豚鼠,和大鼠,例如在疾病的动物模型中),以及非人灵长动物(例如黑猩猩和猴)。
所施用的多肽-药物缀合物的量最初可以基于亲本药物的剂和/或剂量方案的指导来确定。一般而言,多肽-药物缀合物能给所结合的药物提供靶向投递和/或延长的血清半衰期,如此提供剂量方案中减少的剂或减少的施用中至少一项。如此,相对于在本公开内容的多肽-药物缀合物中缀合之前的亲本药物,多肽-药物缀合物能提供剂量方案中减少的剂和/或减少的施用。
而且,如上文所述,因为多肽-药物缀合物能提供受控化学计量的药物投递,所以多肽-药物缀合物的剂量可以基于以每个多肽-药物缀合物基础上提供的药物分子的数目来计算。
在一些实施方案中,施用多剂多肽-药物缀合物。多肽-药物缀合物的施用频率可以随多种因素任一而变化,例如症状的严重程度,受试者的状况,等。例如,在一些实施方案中,多肽-药物缀合物每月一次,每月两次,每月三次,每隔一周(qow),每周一次(qw),每周两次(biw),每周三次(tiw),每周四次,每周五次,每周六次,每隔一天(qod),每天(qd),每天两次(qid),或每天三次(tid)施用。
治疗癌症的方法
本公开内容提供了用于将癌症化疗剂投递至具有癌症的个体的方法。所述方法对于治疗极其多种癌症是有用的,包括癌瘤,肉瘤,白血病,和淋巴瘤。
能使用主题方法治疗的癌瘤包括但不限于食道癌,肝细胞癌,基底细胞癌(皮肤癌的一种形式),鳞状细胞癌(各种组织),膀胱癌(包括移行细胞癌(膀胱的恶性肿瘤)),支气管源性癌,结肠癌,结直肠癌,胃癌,肺癌(包括肺的小细胞癌和非小细胞癌),肾上腺皮质癌,甲状腺癌,胰腺癌,乳腺癌,卵巢癌,前列腺癌,腺癌,汗腺癌,皮脂腺癌,乳头状癌,乳头状腺癌,囊腺癌,髓样癌,肾细胞癌,导管原位癌或胆管癌,绒毛膜癌,精原细胞瘤,胚胎性癌,威尔姆氏瘤(Wilm's tumor),宫颈癌,子宫癌,睾丸癌,骨源性癌,上皮癌,和鼻咽癌,等。
能使用主题方法治疗的肉瘤包括但不限于纤维肉瘤,粘液肉瘤,脂肪肉瘤,软骨肉瘤,脊索瘤,骨源性肉瘤,骨肉瘤,血管肉瘤,内皮肉瘤,淋巴管肉瘤,淋巴管内皮肉瘤,滑膜瘤,间皮瘤,尤文氏肉瘤(Ewing's sarcoma),平滑肌肉瘤,横纹肌肉瘤,和其它软组织肉瘤。
能使用主题方法治疗的其它实体肿瘤包括但不限于神经胶质瘤,星形细胞瘤,成神经管细胞瘤,颅咽管瘤,室管膜瘤,松果体瘤,成血管细胞瘤,听神经瘤,少突神经胶质瘤,脑膜瘤,黑素瘤,成神经细胞瘤,和成视网膜细胞瘤。
能使用主题方法治疗的白血病包括但不限于:a)慢性骨髓增生综合症(多能造血干细胞的肿瘤性病症);b)急性骨髓性白血病(多能造血干细胞或限制谱系潜能的造血细胞的肿瘤性转化);c)慢性淋巴细胞性白血病(CLL;免疫学上不成熟且功能上不胜任的小淋巴细胞的克隆性增殖),包括B细胞CLL,T细胞CLL,前淋巴细胞性白血病,和毛细胞白血病;和d)急性成淋巴细胞性白血病(特征为成淋巴细胞的积累)。能使用主题方法治疗的淋巴瘤包括但不限于B细胞淋巴瘤(例如伯基特氏淋巴瘤(Burkitt's lymphoma));霍奇金氏淋巴瘤(Hodgkin's lymphoma);非霍奇金氏B细胞淋巴瘤(non-Hodgkin's B cell lymphoma);等等。
实施例
提出以下实施例以向本领域普通技术人员提供如何生成和使用本发明的全面公开和描述,并非意图限制发明人视为其发明的范围,也并非意图宣称下面的实验是所实施的所有或唯一实验。已经做出了努力来确保关于所用数值(例如量,温度,等)的准确性,但是一些实验误差和偏差应当考虑在内。除非另有指示,份是重量份,分子量是重量平均分子量,温度是摄氏度,而压力是处于或接近大气压。“平均值”表示算术均值。可以使用标准缩写,例如,bp,碱基对;kb,千碱基;pl,皮升;s或sec,秒;min,分钟;h或hr,小时;aa,氨基酸;kb,千碱基;bp,碱基对;nt,核苷酸;i.m.,肌肉内;i.p.,腹膜内;s.c.,皮下;等等。
通用合成规程
提供对于合成所公开的化合物有用的普遍知道的化学合成方案和条件的许多一般参考文献是可得的(参见例如Smith and March,March’s Advanced OrganicChemistry:Reactions,Mechanisms,and Structure,Fifth Edition,Wiley-Interscience,2001;或Vogel,A Textbook of Practical Organic Chemistry,IncludingQualitative Organic Analysis,Fourth Edition,New York:Longman,1978)。
本文所述化合物可以通过本领域已知的任何纯化方案来纯化,包括层析,诸如HPLC,制备型薄层层析,急骤柱层析和离子交换层析。可以使用任何合适的静止相,包括正相和反相以及离子型树脂。在某些实施方案中,所公开的化合物是经由硅胶和/或氧化铝层析来纯化的。参见例如Introduction to Modern Liquid Chromatography,2nd Edition,ed.L.R.Snyder and J.J.Kirkland,John Wiley and Sons,1979;及Thin LayerChromatography,ed.E.Stahl,Springer-Verlag,New York,1969。
在用于制备主题化合物的任何工艺期间,保护任何关注分子上的敏感性或反应性基团可能是必需和/或想要的。这可以借助如标准著作中描述的常规保护基团来实现,诸如J.F.W.McOmie,“Protective Groups in Organic Chemistry”,Plenum Press,London andNew York 1973;T.W.Greene and P.G.M.Wuts,“Protective Groups in OrganicSynthesis”,Third edition,Wiley,New York 1999;“The Peptides”;Volume 3(editors:E.Gross and J.Meienhofer),Academic Press,London and New York 1981;“Methodender organischenChemie”,Houben-Weyl,4th edition,Vol.15/l,Georg Thieme Verlag,Stuttgart 1974;H.-D.Jakubke and H.Jescheit,“Aminosauren,Peptide,Proteine”,Verlag Chemie,Weinheim,Deerfield Beach,and Basel 1982;和/或Jochen Lehmann,“Chemie der Kohlenhydrate:Monosaccharide and Derivate”,Georg Thieme Verlag,Stuttgart 1974。可以在方便的后续阶段使用本领域已知方法去除保护基团。
可以经由多种不同合成途径使用商品化起始材料和/或通过常规合成方法制备的起始材料来合成主题化合物。下面的方案中描述了可用于合成本文中公开的化合物的合成途径的多个例子。
实施例1
实施了实验来创建位点特异性缀合的抗体-药物缀合物(ADC)。位点特异性ADC生成包括将非天然氨基酸甲酰甘氨酸(FGly)并入蛋白质序列。为了安置FGly(图1),使用标准分子生物学克隆技术在抗体重或轻链的保守区中的期望位置处插入短共有序列CXPXR,其中X是丝氨酸,苏氨酸,丙氨酸,或甘氨酸。在共表达甲酰甘氨酸生成酶(FGE)的细胞中重组生成这种“带标签的”构建物,该酶共翻译地将标签内的半胱氨酸转变成FGly残基,生成醛官能团(在本文中也称作醛标签)。醛官能团充当生物正交缀合的化学把手。使用肼基-异-Pictet-Spengler(HIPS)连接将载荷(例如药物,诸如细胞毒素)连接至FGly,导致细胞毒素载荷和抗体之间形成稳定的共价C-C键。此C-C键预期对ADC在循环和FcRn再循环期间遭遇的生理学相关挑战(例如蛋白酶,低pH,和还原剂)是稳定的。可以在多个位置生成携带醛标签的抗体。实施了实验来测试在轻链中的一个位点和重链中的七个位点处插入醛标签的影响。对通过经HIPS接头缀合至美登木素载荷而生成的所得ADC中的三种实施了生物物理和功能表征。调控缀合位点对抗体功效和PK具有显著影响。
实验规程
通用的
鼠抗美登木素抗体是内部生成并验证的。家兔抗AF488抗体购自LifeTechnologies(Grand Island,NY)。山羊抗人IgG特异性和山羊抗人Fab特异性抗体,和驴抗家兔,山羊抗小鼠IgG亚类I特异性,和山羊抗人Fc特异性HRP缀合物来自JacksonImmunoresearch(West Grove,PA)。
带标签的抗体的克隆,表达,和纯化
使用标准分子生物学技术在轻和重链共有区中的多个点处插入醛标签序列。对于小规模生成,用人FGE表达构建物转染CHO-S细胞并使用过表达FGE的细胞的集合进行抗体的瞬时生成。对于大规模生成,使用GPEx技术(Catalent,Inc.,Somerset,NJ)来生成过表达人FGE的克隆细胞系(GPEx)。然后,使用FGE克隆来生成表达抗体的细胞的大批稳定集合。使用蛋白A层析(MabSelect,GE Healthcare Life Sciences,Pittsburgh,PA)自条件化培养基纯化抗体。将纯化后的抗体骤冻并保存于-80℃直至进一步使用。
生物缀合,纯化,和HPLC分析学
于37℃在含有0.85%DMA和0.085%Triton X-100的50mM柠檬酸钠,50mM NaCl pH5.5中将带醛标签的抗体(15mg/mL)缀合至HIPS-Glu-PEG2-美登木素(8个摩尔当量的药物:抗体)达72小时。使用切向流过滤去除游离药物。使用制备规模的疏水相互作用层析(HIC;GE Healthcare 17-5195-01)去除未缀合的抗体,流动相A:1.0M硫酸铵,25mM磷酸钠pH7.0,而流动相B:25%异丙醇,18.75mM磷酸钠pH 7.0。使用33%B的等度梯度来洗脱未缀合的材料,接着使用41-95%B的线性梯度来洗脱单缀合种类和双缀合种类。为了测定最终产物的DAR,通过分析性HIC(Tosoh#14947)检查ADC,流动相A:1.5M硫酸铵,25mM磷酸钠pH7.0,而流动相B:25%异丙醇,18.75mM磷酸钠pH 7.0。为了测定聚集,使用分析性大小排阻层析(SEC;Tosoh#08541)分析样品,流动相为300mM NaCl,25mM磷酸钠pH 6.8。
体外稳定性
以~1pmol(载荷)/mL将抗体-荧光团和抗体-药物缀合物掺入大鼠血浆。将样品分小样并保存于-80℃直至使用。将小样于37℃在5%CO2下放置指定时间,然后通过ELISA进行分析以评估抗美登木素和抗Fab信号。作为分析的第一步,实施分析物在1%牛血清清蛋白中的连续稀释以确保分析物浓度在测定法的线性范围(20-40ng/mL)内。一旦确定适宜稀释度,自温箱取出样品并测试。使用新鲜融化的小样作为缀合的参照起始值。在一块板上一起测量所有分析物从而能够在各时间点之间进行比较。在用抗人Fab特异性抗体包被的板上捕捉分析物。然后,用抗AF488或抗美登木素抗体任一,接着用HRP缀合的二抗检测载荷;用直接缀合的抗人Fc特异性抗体检测总的抗体。用TMB底物显现结合的二抗。用H2SO4终止显色反应,并使用读板仪测定450nm处的吸光度。在Excel中实施数据分析。一式四份分析每份样品,并使用平均值。对于抗体缀合的测量,使用抗美登木素信号对抗Fab信号的比率。
体外细胞毒性
HER2阳性乳腺癌细胞系NCI-N87自ATCC获得并在补充有10%胎牛血清(Invitrogen,Grand Island,NY)和Glutamax(Invitrogen)的RPMI-1640培养基(Cellgro,Manassas,VA)中维持。分配前24小时,将细胞传代以确保对数期生长。在分配那天,在90μL补充有10IU青霉素和10μg/mL链霉素(Cellgro)的普通生长培养基中将5000个细胞/孔接种到96孔板上。以各种浓度用10μL稀释的分析物处理细胞,并将板于37℃在5%CO2气氛中温育。6天后,添加100μL/孔CellTiter-Glo试剂(Promega,Madison,WI),并使用MolecularDevices SpectraMax M5读板仪测量发光。使用GraphPad Prism软件进行数据分析,包括IC50计算。异种移植物研究
在50%Matrigel中给雌性C.B-17SCID小鼠皮下接种1x 107个NCI-N87肿瘤细胞。当肿瘤达到平均112mm3时,给予动物单剂5mg/kg ADC,曲妥珠单抗抗体(不带标签的),或单独的媒介。一周两次对动物监测体重和肿瘤尺寸。使用下式计算肿瘤体积:
其中w=肿瘤宽度,而l=肿瘤长度。
通过对来自四组小鼠的肿瘤生长速率曲线取平均来获得肿瘤加倍时间。然后,使用下式估算log10细胞杀伤:
PK分析
对雄性BALB/c小鼠静脉内给药单次推注5mg/kg抗体缀合物。给药后1小时,8小时和20小时,和2,4,6,8,10,14,21,和28天收集血浆,每个时间点三只动物。无一动物取样超过每周两次。血浆样品保存于-80℃,并通过ELISA对总抗体和总ADC的浓度定量。对于前者,用抗人IgG特异性抗体捕捉缀合物并用HRP缀合的抗Fc特异性抗体检测。对于后者,用抗人Fab特异性抗体捕捉缀合物并用小鼠抗美登木素一抗,接着用HRP缀合的抗小鼠IgG亚类1特异性二抗检测。使用Ultra TMB一步式ELISA底物(Thermo Fisher,Waltham,MA)检测结合的二抗。用硫酸淬灭反应后,通过在配备有SoftMax Pro软件的Molecular Devices SpectraMax M5读板仪上采集450nm处的吸光度来读取信号。使用GraphPad Prism软件分析数据。通过用如下方程对Y值均值(加权1/Y2)的非线性回归,将随时间测量的浓度拟合至两隔室模型:
[mAb](t)=Ae-kαt+Be-kβt。
使用所得指数式衰减常数(τβ)来计算t1/2。
热荧光
FcRN
使用NHS-LC-生物素(Pierce,#21336)依照制造商的说明书生物素化FcRn(SinoBiologicals,#CT009-H08H)。FcRn测定法的所有稀释和结合步骤在“动力学缓冲液”:20mM磷酸盐,150mM NaCl,0.02%Tween-20,0.05%叠氮化钠,0.1mg/mL牛血清清蛋白中进行。缓冲液处于pH 6.0,另外指明处除外。SA生物传感器(ForteBio,#1305291)在黑色96孔板中在200μL动力学缓冲液中预水合10分钟。然后将尖头加载入ForteBio Octet Red生物传感器并建立基线信号1分钟。然后,将尖头放置在1.5μg/mL生物素化FcRn中,捕捉320秒。再有两个1分钟基线步骤后,容许IgG(100nM)结合5分钟。最后,将尖头移动至装有处于pH 7.3的动力学缓冲液的孔,并监测解离5分钟。
免疫原性
用跨越含有标签的区域的交叠9聚物实施使用iTopeTM分析带标签的和不带标签的序列,针对34种人MHC II类等位基因中的每一种测试它们。基于潜在‘拟合’和与MHC II类分子的相互作用对每种9聚物打分。通过软件计算的肽得分介于0和1之间。突显产生高均值结合得分(在iTopeTM打分功能中>0.55)的肽。若≥50%的MHC II类结合肽(即34种等位基因中有17种)具有高结合亲和力(得分>0.6),则此类肽定义为“混杂的高亲和力”。以>0.55的得分结合≥50%的等位基因的MHC II类结合肽定义为“混杂的中等亲和力”。还通过BLAST搜索使用该序列来查询TCEDTM(T细胞表位数据库)以鉴定任何与先前鉴定的T细胞表位的同一性或高序列同源性。
HIPS-Glu-PEG2-美登木素的合成
方案1
(S)-5-(3-(叔丁氧基)-3-氧代丙基)-1-(9H-芴-9-基)-3,6-二氧代-2,10,13-三氧杂-4,7-二氮杂十六烷-16-酸(3)的制备
对带有搅动棒的20mL玻璃闪烁管添加胺2(710.3mg,4.0mmol),和Na2CO3(637.9mg,6.0mmol)。添加水(10.0mL)并将溶液于20℃搅动5分钟,给出清澈,无色溶液。对另一20mL玻璃闪烁管添加五氟苯基酯1(1185.7mg,2.0mmol),并在10.0mL 1,4-二氧杂环己烷中溶解。将管漩涡震荡1分钟,给出清澈,无色溶液,逐滴添加至上文制备的溶液,给出白色沉淀物。将反应于20℃搅动4小时,添加至70mL水,通过逐滴添加1M HCl酸化至pH 3,用2x 50mLEtOAc萃取,并在Na2SO4上干燥。将有机级分过滤,蒸发,并使用0-100%CH3CN-H2O梯度作为洗脱液在C18上通过急骤层析纯化。纯化产物在高真空下干燥以提供1137.3mg(97%)化合物3,为粘性,吸湿,白色固体。
(S)-7-氨基-2,2-二甲基-4,8-二氧代-3,12,15-三氧杂-9-氮杂十八烷-18-酸(4)的制备
在哌啶(2.23mL,22.57mmol)在DMF(8.92mL)中的溶液(20%v/v哌啶)中溶解胺化合物3(2638.7mg,4.513mmol),并于20℃搅动1小时。形成白色沉淀物。将反应过滤,给出清澈,浅黄色溶液。将溶液蒸发并使用0-100%CH3CN-H2O梯度作为洗脱液在C18上通过急骤层析纯化。分离的产物在高真空下干燥以给出813.1mg(50%)化合物4,为清澈,粘性油。
方案2
(S)-7-(3-(2-((2-(((9H-芴-9-基)甲氧基)羰基)-1,2-二甲基肼基)甲基)-1H-吲哚-1-基)丙酰胺基)-2,2-二甲基-4,8-二氧代-3,12,15-三氧杂-9-氮杂十八烷-18-酸(6)的制备
对带有干燥的搅动棒的干燥的20mL玻璃闪烁管添加胺化合物4(582.4mg,1.607mmol)。添加无水DMF(5mL)和(i-Pr)2NEt,(0.84mL,4.82mmol),并将溶液于20℃搅动5分钟,给出清澈,很浅的黄色溶液。在5分钟里逐步添加酯5(1253.7mg,1.930mmol),并将反应于20℃搅动2小时。在没有另外操作的情况下使用0-100%CH3CN-H2O梯度作为洗脱液在C18上通过急骤层析纯化反应混合物。纯化产物在高真空下干燥以提供406.3mg(49%)化合物6,为白色薄膜。
方案3
2-(((叔丁基二甲基甲硅烷基)氧基)甲基)-1H-吲哚(8)
给烘箱干燥的烧瓶装上吲哚-2-甲醇7(1.581g,10.74mmol),TBSCl(1.789g,11.87mmol),和咪唑(2.197g,32.27mmol),并在CH2Cl2(40mL,无水)中悬浮此混合物。16小时后,将反应混合物浓缩成橙色残留物。将粗制混合物在Et2O(50mL)中提取,用含水AcOH(5%v/v,3x 50mL)和盐水(25mL)清洗。合并的有机层在Na2SO4上干燥并浓缩以给出2.789g(99%)化合物8,为结晶固体,没有进一步纯化就使用。
1H NMR(500MHz,CDCl3)δ8.29(s,1H),7.57(d,J=7.7Hz,1H),7.37(dd,J=8.1,0.6Hz,1H),7.19–7.14(m,1H),7.12–7.07(m,1H),6.32(d,J=1.0Hz,1H),4.89(s,2H),0.95(s,9H),0.12(s,6H)。13C NMR(101MHz,CDCl3)δ138.3,136.0,128.6,121.7,120.5,119.8,110.9,99.0,59.4,26.1,18.5,-5.2。C15H24NOSi[M+H]+的HRMS(ESI),计算:262.1627;发现:262.1625。
3-(2-(((叔丁基二甲基甲硅烷基)氧基)甲基)-1H-吲哚-1-基)丙酸甲酯(10)
对吲哚8(2.789g,10.67mmol)在CH3CN(25mL)中的溶液添加丙烯酸甲酯9(4.80mL,53.3mmol),接着是1,8-二氮杂双环[5.4.0]十一碳-7-烯(800μL,5.35mmol),并将所得混合物回流。18小时后,将溶液冷却并浓缩成橙色油,通过硅胶层析(9:1己烷:EtOAc)纯化以产生3.543g(96%)化合物10,为无色油。
1H NMR(400MHz,CDCl3)δ7.58(d,J=7.8Hz,1H),7.34(d,J=8.2Hz,1H),7.23–7.18(m,1H),7.12–7.07(m,1H),6.38(s,1H),4.84(s,2H),4.54–4.49(m,2H),2.89–2.84(m,2H),0.91(s,9H),0.10(s,6H)。13C NMR(101MHz,CDCl3)δ172.0,138.5,137.1,127.7,122.0,121.0,119.8,109.3,101.8,58.2,51.9,39.5,34.6,26.0,18.4,-5.2。C19H30NO3Si[M+H]+的HRMS(ESI),计算:348.1995;发现:348.1996。
3-(2-(羟基甲基)-1H-吲哚-1-基)丙酸甲酯(11)
于0℃对化合物10(1.283g,3.692mmol)在THF(20mL)中的溶液添加氟化四丁基铵在THF中的1.0M溶(3.90mL,3.90mmol)液。15分钟后,将反应混合物用Et2O(20mL)稀释,用NaHCO3(饱和水溶液,3x 20mL)清洗,并浓缩成浅绿色油。通过硅胶层析(2:1己烷:EtOAc)纯化油以产生822mg(95%)化合物11,为白色结晶固体。
1H NMR(500MHz,CDCl3)δ7.60(d,J=7.8Hz,1H),7.34(dd,J=8.2,0.4Hz,1H),7.27–7.23(m,1H),7.16–7.11(m,1H),6.44(s,1H),4.77(s,2H),4.49(t,J=7.3Hz,2H),3.66(s,3H),2.87(t,J=7.3Hz,2H),2.64(s,1H)。13C NMR(126MHz,CDCl3)δ172.3,138.5,137.0,127.6,122.2,121.1,119.9,109.3,102.3,57.1,52.0,39.1,34.3。C13H15NNaO3[M+Na]+的HRMS(ESI),计算:256.0950;发现:256.0946。
3-(2-甲酰基-1H-吲哚-1-基)丙酸甲酯(12)
在CH2Cl2(20mL)和吡啶(2.70mL,33.5mmol)的混合物中悬浮戴斯-马丁过碘烷(5.195g,12.25mmol)。5分钟后,将所得白色悬浮液转移至3-(2-(羟基甲基)-1H-吲哚-1-基)丙酸甲酯(化合物11;2.611g,11.19mmol)在CH2Cl2(10mL)中的溶液,产生红褐色悬浮液。1小时后,用硫代硫酸钠(10%水溶液,5mL)和NaHCO3(饱和水溶液,5mL)淬灭反应。用CH2Cl2(3x 20mL)萃取水层;将合并的提取物在Na2SO4上干燥,过滤,并浓缩成褐色油。通过硅胶层析(5-50%EtOAc,在己烷中)的纯化产生2.165g(84%)化合物12,为无色油。
1H NMR(400MHz,CDCl3)δ9.87(s,1H),7.73(dt,J=8.1,1.0Hz,1H),7.51(dd,J=8.6,0.9Hz,1H),7.45–7.40(m,1H),7.29(d,J=0.9Hz,1H),7.18(ddd,J=8.0,6.9,1.0Hz,1H),4.84(t,J=7.2Hz,2H),3.62(s,3H),2.83(t,J=7.2Hz,2H)。13C NMR(101MHz,CDCl3)δ182.52,171.75,140.12,135.10,127.20,126.39,123.46,121.18,118.55,110.62,51.83,40.56,34.97。C13H13NO3Na[M+Na]+的HRMS(ESI),计算:254.0793;发现:254.0786。3-(2-甲酰基-1H-吲哚-1-基)丙酸(13)
对吲哚12(2.369g,10.24mmol)在二氧杂环己烷(100mL)中溶解的溶液添加LiOH(4M水溶液,7.68mL,30.73mmol)。在数个小时的过程里逐渐形成浓稠白色沉淀物。21小时后,逐滴添加HCl(1M水溶液,30mL)以给出pH=4的溶液。浓缩溶液,在EtOAc(50mL)中溶解所得浅褐色油,并用水(2x 50mL)和盐水(20mL)清洗。将有机层在Na2SO4上干燥,过滤,并浓缩成橙色固体。通过硅胶层析(10-50%EtOAc,在含0.1%乙酸的己烷中)的纯化产生1.994g(84%)化合物13,为浅黄色固体。
1H NMR(400MHz,CDCl3)δ9.89(s,1H),7.76(dt,J=8.1,0.9Hz,1H),7.53(dd,J=8.6,0.9Hz,1H),7.48–7.43(m,1H),7.33(d,J=0.8Hz,1H),7.21(ddd,J=8.0,6.9,1.0Hz,1H),4.85(t,J=7.2Hz,2H),2.91(t,J=7.2Hz,2H)。13C NMR(101MHz,CDCl3)δ182.65,176.96,140.12,135.02,127.33,126.42,123.53,121.27,118.76,110.55,40.19,34.82。C12H10NO3[M-H]-的HRMS(ESI),计算:216.0666;发现:216.0665。
3-(2-((2-(((9H-芴-9-基)甲氧基)羰基)-1,2-二甲基肼基)甲基)-1H-吲哚-1-基)丙酸(15)
对化合物13(1.193g,5.492mmol)和1,2-二甲基肼羧酸(9H-芴-9-基)甲基酯14(2.147g,7.604mmol)在1,2-二氯乙烷(无水,25mL)中的溶液添加三乙酸基硼氢化钠(1.273g,6.006mmol)。将所得黄色悬浮液搅动2小时,然后用NaHCO3(饱和水溶液,10mL)淬灭,接着添加HCl(1M水溶液)至pH 4。分出有机层,并用CH2Cl2(5x 10mL)萃取水层。将合并的有机提取物在Na2SO4上干燥,过滤,并浓缩成橙色油。通过C18硅胶层析(20-90%CH3CN,在水中)的纯化产生1.656g(62%)化合物15,为蜡质粉色固体。
1H NMR(400MHz,CDCl3)δ7.76(d,J=7.4Hz,2H),7.70–7.47(br m,3H),7.42–7.16(br m,6H),7.12–7.05(m,1H),6.37(s,0.6H),6.05(s,0.4H),4.75–4.30(br m,4H),4.23(m,1H),4.10(br s,1H),3.55(br d,1H),3.11–2.69(m,5H),2.57(br s,2H),2.09(br s,1H)。13C NMR(101MHz,CDCl3)δ174.90,155.65,143.81,141.42,136.98,134.64,127.75,127.48,127.12,124.92,122.00,120.73,120.01,119.75,109.19,103.74,67.33,66.80,51.39,47.30,39.58,39.32,35.23,32.10。C29H30N3O4[M+H]+的HRMS(ESI),计算:484.2236;发现:484.2222。
1,2-二甲基-2-((1-(3-氧代-3-(全氟苯氧基)丙基)-1H-吲哚-2-基)甲基)肼-1-羧酸(9H-芴-9-基)甲基酯(5)
将化合物15(5.006g,10.4mmol)添加至带有干燥的搅动棒的干燥的100mL双颈圆底烧瓶。通过注射器添加40mL无水EtOAc,并将溶液于20℃搅动5分钟,给出清澈,浅色,黄色-绿色溶液。在冰水浴中将溶液冷却至0℃,并逐滴添加3mL无水EtOAc中的五氟酚(2098.8mg,11.4mmol)。将溶液于0℃搅动5分钟。通过注射器缓慢地逐滴添加7mL无水EtOAc中的DCC(2348.0mg,11.4mmol)。将溶液于0℃搅动5分钟,然后自浴中取出并升温至20℃。将反应搅动2小时,冷却至0℃,并过滤以给出清澈,浅色,黄色-绿色溶液。将溶液用50mLEtOAc稀释,用2x 25mL H2O,1x 25mL 5M NaCl清洗,并在Na2SO4上干燥。将溶液过滤,蒸发,并在高真空下干燥,给出6552.5mg(97%)化合物5,为稍带绿色-白色固体。
1H NMR(400MHz,CDCl3)δ780(d,J=7.2Hz,2H),7.58(m,3H),7.45-7.22(m,6H),7.14(dd(appt.t),J=7.4Hz,1H),6.42&6.10(2br s,1H),4.74(dd(appt.t),J=5.4Hz,2H),3.65-3.18(br,3H),3.08&2.65(2br s,3H),2.88(s,3H)。
方案4
1,2-二甲基肼-1-羧酸(9H-芴-9-基)甲基酯(14)
在MeCN(80mL)中溶解MeNHNHMe·2HCl(化合物16)(5.0g,37.6mmol)。添加Et3N(22mL,158mmol),并通过过滤去除形成的沉淀物。对剩余的MeNHNHMe溶液,于-20℃在2.5小时里逐滴添加FmocCl(0.49g,18.9mmol,0.5eq)溶液。然后将反应混合物用EtOAc稀释,用H2O,盐水清洗,在Na2SO4上干燥,并在真空中浓缩。在硅土上通过急骤层析(己烷/EtOAc=3:2)纯化残留物以给出3.6g(34%)化合物14。
1H NMR(400MHz,CDCl3)δ7.75-7.37(m,8H),4.48(br s,2H),4.27(t,J=6.0Hz,1H),3.05(s,3H),2.55(br s,3H)。
方案5
3-(2S,15R)-19-(2-((2-(((9H-芴-9-基)甲氧基)羰基)-1,2-二甲基肼基)甲基)-1H-吲哚-1-基)-15-(2-(叔丁氧基羰基)乙基)-2,3-二甲基-4,14,17-三氧代-7,10-二氧杂-3,13,16-三氮杂十九烷酸美登醇酯(18)
于室温搅动3-(S)-α-N-甲基氨基丙酸美登醇酯(化合物17)(0.426g,0.655mmol),羧酸6(0.597g,0.721mmol),和(i-Pr)2NEt(0.35mL,2.00mmol)在3.0mL DMF中的溶液,同时添加HATU(0.277g,0.729mmol)。将反应混合物搅动2.5小时,并通过旋转蒸发来浓缩。使用0-10%MeOH-CH2Cl2梯度在硅胶上通过急骤层析分离产物。合并含有产物的级分,浓缩,并再次使用0-100%CH3CN-H2O梯度在C18上进行急骤层析以产生0.721g(75%)美登木素生物碱18,为白色固体。
C75H95ClN8O17[M+Na]+的MS(ESI),计算:1458.7;发现:1481.8。
3-(2S,15R)-19-(2-((2-(((9H-芴-9-基)甲氧基)羰基)-1,2-二甲基肼基)甲基)-1H-吲哚-1-基)-15-(2-(羧基)乙基)-2,3-二甲基-4,14,17-三氧代-7,10-二氧杂-3,13,16-三氮杂十九烷酸美登醇酯(19)
于0℃搅动美登木素生物碱18(110.5mg,0.08mmol)在1.0mL无水CH2Cl2中的溶液,同时逐滴添加SnCl4在CH2Cl2中的1.0M溶液(0.378mL,0.378mmol)。形成黄色沉淀物。在没有另外操作的情况下使用0-100%CH3CN-H2O梯度作为洗脱液在C18上通过急骤层析纯化反应混合物以提供65.6mg(62%)美登木素生物碱19,为白色薄膜。
C73H91ClN8O18[M-H]-的MS(ESI),计算:1401.6;发现:1401.1。
3-(2S,15R)-19-(2-(2-(1,2-二甲基肼基)甲基)-1H-吲哚-1-基)-15-(2-(羧基)乙基)-2,3-二甲基-4,14,17-三氧代-7,10-二氧杂-3,13,16-三氮杂十九烷酸美登醇酯(20)
于室温搅动哌啶(90.7μL,0.92mmol)在453.6mL DMA中的溶液,同时添加美登木素生物碱19(64.5mg,0.05mmol)。将反应混合物搅动20分钟。在没有另外操作的情况下使用0-100%CH3CN-H2O梯度作为洗脱液在C18上通过急骤层析纯化反应混合物以提供49.1mg(90%)美登木素生物碱20,为白色薄膜。
C58H82ClN8O16[M+H]+的MS(ESI),计算:1181.6;发现:1181.3。
结果和讨论
抗体标签放置文库的开发和初步筛选
查看人IgG1晶体结构以鉴定重和轻链恒定区内暴露的,相对非结构化的区域。在最小限度扰乱天然IgG结构,但对于缀合保持可到达的位置安置标签。选择了八个位点进行醛标签放置。将每个标签并入重或轻链任一一次,使得每个抗体会包括两个醛基团。选择了轻链中的一个内部位点和重链中的七个位点:CH1中三个,CH2中两个,CH3中一个,和C端处一个(图2,顶部)。这些位点依照它们自N端至C端的次序按字母顺序标记(即标签A-G)。轻链标签命名为“LC”。将选定的标签位点克隆入原型人IgG1重链和卡帕轻链的恒定区。在过表达人FGE的细胞的大批集合中瞬时生成蛋白质以确保共有序列内的Cys有效转变成fGly。使用蛋白A纯化抗体并保存在PBS中。
实施了实验通过计算机分析对带醛标签的抗体测试免疫原性。使用并入已知的MHC II类肽结合基序(iTopeTM)和先前鉴定的免疫原性序列(TCEDTM)二者的软件来鉴定可以以高和中等亲和力在多种MHC背景中混杂结合的肽。基于此分析,确定标签B生成有可能是免疫原性的肽。接下来,为了解决标签放置对抗体稳定性的影响,通过大小排阻层析(SEC)分析聚集。带标签的抗体中的六种显示无至很少的聚集(表2)。分别在CH2和CH3域中含有标签D和F的两种抗体显示显著的聚集。
表2。当插入沿着抗体主链的多个位置时醛标签得到较好耐受。
| 标签命名 | 标签域 | 标签边界残基* | %聚集 |
| A | CH1 | G118,V121 | 0 |
| B | CH1 | P123,S128 | 0 |
| C | CH1 | A165,G169 | 2.3 |
| D | CH2 | D283,E285 | 31.5 |
| E | CH2 | N344,A349 | 4.5 |
| F | CH3 | G361,E366 | 76 |
| G | C端 | K478 | 7 |
| LC | LC | A153,Q155 | 0 |
*Kabat编号方式。
实施了实验以生成位点特异性ADC,它们包括抗体曲妥珠单抗和细胞毒素载荷美登木素。曲妥珠单抗表达成在LC,标签C,或标签G位置处具有醛标签,它们代表跨越抗体结构域分布的缀合位点。这些标签放置生成较好的抗体滴度,具有低聚集,且经历容易缀合以生成性能较好的ADC,如通过层析分析,以及生物物理和功能测试测定的。另外,通过将曲妥珠单抗经由常规赖氨酸化学缀合至SMCC-DM来生成ADC(αHER2-DM1),以用作实验中的比较物。
细胞毒性载荷对带醛标签的αHER2抗体上的三个不同位置的位点特异性缀合产生稳定的ADC
在过表达人甲酰甘氨酸生成酶(FGE)的细胞的大批集合中生成经修饰在轻链(LC),CH1域(标签C)任一中,或在重链C端处(CT,标签G)含有醛标签的曲妥珠单抗抗体。对在LC,CH1,或CT处带标签的抗体分别获得165,546,和660mg/L的U滴度。就Cys变成fGly的转变效率而言,在LC,CH1,和CT处分别获得86%,92%,和98%转变,如通过质谱术测量的。通过于37℃在含有0.85%DMA和0.085%Triton X-100的50mM柠檬酸钠,50mM NaCl pH 5.5中用HIPS-Glu-PEG2-美登木素处理带fGly标签的抗体来进行缀合反应,并通过分析性疏水相互作用层析(HIC)跟踪反应的进行。一旦完成,通过切向流过滤去除过量的载荷并通过制备性HIC去除未缀合的抗体。这些反应产生CH1和CT标签位点处>90%缀合效率,和LC标签位点处75%缀合效率的HIPS接头载荷缀合至fGly。最终产物的HIC分析显示于图3。缀合物的SEC分析显示最小限度的聚集(图7)。通过SEC分析未缀合的和HIPS-Glu-PEG2-美登木素缀合的在指定位置处带标签的ADC。总聚集体在所有情况中≤5%。
为了评估标签并入对抗体结构的影响,通过热荧光检查这些抗体的热稳定性。Tm1(观察到的最低热转变)在所测试的αHER2抗体间没有可检测差异(范围67.6–68℃),所测试的αHER2抗体包括不带标签的序列以及在LC,CH1,或CT位置处带标签的抗体(表3)。
表3。醛标签插入和ADC生成不影响热稳定性,如通过热荧光测量的。
*数字指示第一次观察到热转变的℃。
CT带标签的抗体与HIPS-Glu-PEG2-美登木素的缀合对Tm1具有微小影响,与不带标签的抗体相比仅将熔点降低1度。接下来,通过表面等离振子共振分析来测定标签放置和载荷缀合对FcRn结合的影响。FcRn可以在抗体药动学中发挥重大作用,pH 6.0处的结合和pH 7.3处的解离二者与抗体的循环半衰期有关,后者的值比前者具有更大影响。测定了这两种参数(表4)。
表4。醛标签插入和载荷缀合最小限度地影响抗体FcRn结合特征,而且于pH 7.3显示相对于αHER2-DM1改善的解离。
a均值Ka值不是统计学显著不同的,如通过单因素ANOVA确定的。
b显著不同于αHER2不带标签的,p<0.03,双尾t检验。
c显著不同于所有其它分析物,p<0.04,双尾t检验。
对照包括不带标签的αHER2和αHER2-DM1。没有发现醛标签放置或载荷缀合对pH6.0处FcRn KD的影响。比较而言,pH 7.3处的解离显示5秒后保持结合的抗体的百分比中的差异。曲妥珠单抗具有最小量的保留抗体,而且包括醛标签略微提高保留,但不显著。缀合抗体确实影响pH 7.3处的解离,尽管带醛标签的ADC受到的影响与αHER2-DM1相比要小。后一种缀合物的保留显著不同于所有其它测量的分析物。这些趋势指示将醛标签插入抗体并非显著调控FcRn结合,而且与非特异性缀合的αHER2-DM1相比,醛介导的位点特异性ADC生成产生具有与野生型抗体更加相似的FcRn解离特征的ADC。
为了进一步探索LC,CH1,和CT标签的免疫原性概况,实施离体人T细胞测定法(EpiScreenTM),其中将未缀合和ADC型式二者的这些构建物与来自代表HLA同种异型的世界群体的50名健康供体的白细胞一起温育。通过评估增殖和IL-2细胞因子分泌来测量T细胞应答。通过此功能测量,未缀合和ADC型式的LC,CH1,和CT带标签的抗体免疫原性较差(表5)。分析物只在2-10%的供体白细胞中诱导T细胞增殖,比较而言,阳性对照人源化A33在22%的样品中诱导增殖,它是临床免疫原性数据可得的相对免疫原性的单克隆抗体。
表5。LC,CH1,和CT醛标签在来自代表世界MHC II类同种异型的供体的T细胞中不诱导免疫应答。
| 样品 | %响应* |
| 野生型αHER2 | 4 |
| αHER2 CH1未缀合的 | 8 |
| αHER2 CT未缀合的 | 10 |
| αHER2 LC未缀合的 | 2 |
| αHER2 CH1 ADC | 4 |
| αHER2 CT ADC | 6 |
| αHER2 LC ADC | 8 |
| 对照1,人源化A33** | 22 |
| 对照2,KLH*** | 74 |
*%响应汇总T细胞增殖测定法的结果。
**基准临床免疫原性数据可得的相对免疫原性的抗体。
***受到广泛识别的免疫刺激性蛋白质。
在使用不同的抗体主链但相同的三种标签放置的一组平行实验中,测试带醛标签的HIPS缀合物于37℃在血浆中的稳定性。测试携带附着至荧光团(Alexa Fluor 488,AF488)或细胞毒素载荷(美登木素)任一的HIPS-Glu-PEG2接头的抗体。实施了实验以确定附着至接头(例如酯对芳基酰胺键,见图8A和8B)的载荷的差异如何影响稳定性。结果指示HIPS化学是高度稳定的。对于AF488缀合物,在大鼠血浆中于37℃12天里没有观察到载荷信号的损失,不管标签放置(图9A)。然而,此稳定性没有完全传递至美登木素缀合物,它们确实随时间显示一些载荷信号损失(图9B)。载荷损失的量依照标签放置而不同,CT位点显示最大的稳定性,接着是CH1和LC位点。AF488和美登木素缀合物之间稳定性的差异可能与将载荷连接至接头的PEG2部分的不同键有关(图8A和8B)。虽然AF488通过稳定的芳基酰胺键附着至PEG2,但是连接美登木素载荷的酯键在高pH是化学上不稳定的。因此,在三种ADC的稳定性中观察到的差异可能反映三个附着位点处截然不同的局部环境,包括pH效应。
LC,CH1,和CT带标签的ADC在体外和在体内显示有力的针对肿瘤靶物的活性。
为了测量功效,在体外针对过表达HER2的细胞系NCI-N87测试ADC。使用游离美登木素作为比较物。所有三种αHER2 HIPS-Glu-PEG2-美登木素ADC缀合物显示pM活性,与游离美登木素相当(图10)。IC50测量在这些分析物间没有显著不同。比较而言,同种型对照CT带标签的缀合物显示基本上无活性。
使用SCID小鼠中的NCI-N87异种移植物模型评估LC,CH1,和CT带标签的αHER2 ADC的体内功效。使用单独的曲妥珠单抗和同种型对照CT带标签的HIPS-Glu-PEG2-美登木素ADC作为阴性对照,而且包括αHER2-DM1(DAR 3.4)作为比较物。在研究开始时作为单剂5mg/kg施用所有化合物。虽然肿瘤在用曲妥珠单抗或同种型对照ADC任一处理的小鼠中继续生长,但是单剂αHER2靶向ADC足以在接受处理的动物中停止肿瘤生长~30天(图11A)。当肿瘤最终确实开始回来生长时,与那些用LC或CT带标签的ADC处理的相比,用CH1带标签的ADC或αHER2-DM1任一处理的动物中的肿瘤尺寸更大。为了调查这种效果,对用各种处理给药的肿瘤测定log10细胞杀伤(表6)。结果指示与用其它ADC处理相比,用CH1带标签的ADC处理杀死更少的肿瘤细胞。CT带标签的ADC看来是最有效的缀合物,导致最高的log10细胞杀伤。这种升高的效力对于用CT带标签的ADC处理的动物转化成显著的存活优势(图11B)。
表6。单剂5mg/kg ADC对NCI-N87肿瘤细胞实现的体内log10细胞杀伤。
| 处理 | Log<sub>10</sub>细胞杀伤 |
| αHER2 CT ADC | 1.24 |
| αHER2 CH1 ADC | 0.83 |
| αHER2 LC ADC | 1.08 |
| αHER2-DM1 ADC | 1.03 |
在抗体上的不同位置处携带载荷的ADC显示截然不同的药动学
实施了实验以评估ADC的PK概况。对小鼠给药5mg/kg LC,CH1,或CT带标签的ADC,或作为比较物的曲妥珠单抗或αHER2-DM1。自小鼠收集血浆并通过ELISA分析以定量总ADC和总抗体浓度。为了测量总ADC,用抗人Fab特异性抗体捕捉分析物并用抗美登木素抗体检测。为了测量总抗体,用抗人IgG特异性抗体捕捉分析物并用抗人Fc特异性抗体检测。通过非线性回归将随时间测量的浓度拟合至两隔室模型以确定半衰期(表7)。每种带醛标签的ADC的总抗体半衰期与曲妥珠单抗相同或比曲妥珠单抗要长,指示醛标签插入和HIPS缀合不改变抗体的基础PK特性。比较而言,αHER2-DM1缀合物的总抗体半衰期显著更短,指示非特异性缀合化学(其导致过缀合种类)对PK具有负面影响。还测量缀合的抗体(总ADC)半衰期,其显示对携带肿瘤的小鼠赋予最好的存活好处的CT带标签的ADC也具有最长的总ADC半衰期。αHER2-DM1,和CH1和LC带标签的ADC的缀合物半衰期比CT带标签的缀合物要短。这些数值指示缀合位点在控制ADC半衰期中发挥重大作用。在所有情况中,带醛标签的缀合物在循环中是稳定的,总ADC对总抗体浓度的百分比曲线下面积比的范围为76-81%(图12)。αHER2-DM1缀合物具有72%的比。
表7。总抗体和总ADC半衰期受到标签放置和缀合化学影响。
*比(总ADC/总抗体)曲线下面积。
**不适用。
ADC结构-活性相关性作图
实施了实验,其显示用HIPS化学偶联的醛标签可用于将细胞毒性载荷位点特异性缀合至抗体重和轻链。实验包括在内部,以及N或C端位点改变缀合放置,这容许就探索SAR空间和优化ADC结构而言的灵活性。这种办法生成了与常规缀合物相比具有改善的PK和相当或更好的功效及降低的药物负载的ADC。带醛标签的ADC还是在体内高度稳定的,如通过在PK实验中测试的较高的总ADC对总抗体浓度的曲线下面积比显示的。观察到的这种稳定性有可能是由于HIPS化学,其在抗体和载荷之间产生C-C键。
测试了缀合位点在截然不同的抗体结构域中的三种带醛标签的ADC,并且观察到与CH1和LC带标签的ADC相比CT带标签的ADC具有卓越的PK和体内功效。我们在三个标签位置处观察到的ADC稳定性的差异可能是由于将美登木素连接至PEG2接头的酯键,而非将接头/载荷连接至抗体的HIPS化学的影响。酯键可能对较高pH处的切割易感;因此,在LC,CH1,和CT位置处缀合的美登木素的稳定性的差异可能反映那些位点处局部pH效应的变化。例如,观察到1)通过稳定的芳基酰胺键连接至PEG2的AF488缀合物在体外稳定性测定法中显示没有载荷损失,不管标签放置;和2)最稳定的缀合位点CT标签预期溶剂暴露最多的,且因而会是更有可能经历周围溶剂的pH,而非局部蛋白质影响的pH效应。
实施例2
生成了接头部分不同的抗HER2ADC。ADC是使用肼基-异-Pictet-Spengler(HIPS)连接将带醛标签的抗HER2蛋白质缀合至美登木素载荷而生成的。所得ADC是同质的,具有较好限定的药物对抗体比(DAR),如通过疏水相互作用层析(HIC)评估的。接头设计的差异影响这些缀合物在单剂和多剂功效异种移植物研究中的功效。
使用醛标签将蛋白质位点特异性官能化以进行化学修饰。遗传编码的标签包括受到甲酰甘氨酸生成酶(FGE)特异性识别的五肽序列(CXPXR)。在细胞中的蛋白质表达期间,该序列中的半胱氨酸残基受到FGE识别并共翻译氧化成甲酰甘氨酸。所得醛用作连接的生物正交化学把手。以2-((1,2-二甲基肼基)甲基)-1H-吲哚结束的接头通过异-Pictet-Spengler反应与醛反应以形成氮杂咔啉,产生稳定的连接抗体和载荷的C-C键。
含有美登木素的药物-接头构建物的结构
通用合成方案
方案6
为了检查改变接头组成的影响,制备了五种不同的共价连接至带醛标签的αHER2抗体的C端的美登木素缀合物。ADC就它们的接头组成而言是不同的,如上文化合物101-105的结构中所示。包括官能团来帮助溶解性。接头构建物101,102,103,和104含有PEG2间隔物,而接头105中使用C3间隔物。接头以反应性2-((1,2-二甲基肼基)甲基)吲哚(HIPS)(101,102,103,和105)或2-((1,2-二甲基肼基)甲基)吡咯并[2,3-b]吡啶(azaHIPS)(104)任一结束。接头包括具有带负电荷的或中性的侧链任一的氨基酸。接头的一种代表性合成显示于上文通用合成方案,方案6。在描绘接头101的该例子中,将一个PEG化的,受到保护的氨基酸偶联至五氟苯基酯109。然后使用HATU将产物110偶联至N-脱乙酰基美登木素,接着水解叔丁基酯并用哌啶去除Fmoc保护基团。
通过于37℃在含有0.85%DMA和0.085%Triton X-100的50mM柠檬酸钠,50mMNaCl pH 5.5中用8-10个当量的接头-美登木素处理抗体来进行将药物/接头缀合至C端带标签的αHER2抗体,并通过分析性疏水相互作用层析(HIC)来观察反应的进行。一旦完成,通过切向流过滤去除过量的载荷并通过制备性HIC去除未缀合的抗体。这些反应具有>90%的缀合效率。纯化后,ADC含有1.7的平均药物对抗体比(DAR),如通过疏水相互作用层析测定的(数据未显示)。制备物有≥95%的单体,如通过大小排阻层析评估的(数据未显示)。
通过使用基于ELISA的方法比较抗载荷对抗Fc信号比,测定HIPS连接的ADC于37℃在血浆中14天的稳定性。作为一个组,缀合物展现高度的稳定性,只有微小差异(见表8)。针对过表达HER2的细胞系NCI-N87测试ADC的体外细胞毒性。所有ADC具有皮摩尔活性(图13),IC50值类似或好于用游离美登木素处理后观察到的。
使用过表达HER2的NCI-N87细胞作为6天测定法中体外细胞毒性的靶物。包括游离美登木素作为阳性对照,并使用同种型对照ADC作为阴性对照以指示特异性。如下测量IC50值(反映抗体浓度,游离药物的情况除外):游离美登木素,250pM;接头101,170pM;接头102,160pM;接头103,110pM;接头104,96pM;接头105,120pM;同种型对照ADC,无法测定。见图13。
表8。用不同接头生成的ADC显示于37℃在血浆中相似的稳定性
| ADC | 7天后剩余的%缀合物 | 14天后剩余的%缀合物 |
| αHER2-接头101 | 93 | 81 |
| αHER2-接头102 | 85 | 74 |
| αHER2-接头103 | 93 | 77 |
| αHER2-接头104 | 97 | 83 |
| αHER2-接头105 | 95 | 77 |
使用SCID小鼠中的小鼠NCI-N87异种移植物模型来评估ADC的体内功效。在研究开始时作为单剂5mg/kg施用化合物。用αHER2 ADC处理后,肿瘤生长受到阻滞,而且一些肿瘤尺寸缩小(图14A),但是用同种型对照ADC(使用接头101缀合)处理后不然。最终,肿瘤在所有动物中开始重新生长,在一些组中比其它组要早,这取决于用于处理的ADC。到给药后60-70天,均值肿瘤体积在用αHER2 ADC处理的组间存在差异;具体而言,第60天时的均值肿瘤体积的范围为249至487(图14A)。测定接受各种处理给药的肿瘤的log10细胞杀伤(表9)。结果指示与用其它ADC处理相比,用缀合至接头101和104的ADC处理杀死更多的肿瘤细胞。这两种接头彼此的区别在于连接期间形成的氮杂咔啉中的氮基团。这种升高的效力对用缀合至接头101或104的ADC处理的动物导致显著的存活优势(图14B)。与共享谷氨酸模块的接头101和104相比,接头105的功效降低。这一系列接头的结果指示在此背景中与PEG2间隔物相比包括C3间隔物降低效力。并入不同氨基酸的另两种接头具有不同的功效。接头102显示中等log10细胞杀伤值(反映贯穿研究过程杀死的细胞),但是在研究的头10天具有最高的体内功效,缩小肿瘤体积比其它处理要多(图14A)。具有最低体内功效的接头103还导致在体外对NCI-N87靶细胞的不完全杀伤,尽管IC50值为110pM。所有ADC得到较好耐受,没有动物直至处理后40天显示>15%的重量损失(图15)。第0天对小鼠给药单剂5mg/kg ADC,并且头5天每天,然后其后每两周监测体重(图15)。用5mg/kg使用HIPS化学缀合至接头-美登木素载荷的αHER2 ADC处理SCID小鼠对体重没有影响。
对CB.17 SCID小鼠(8只/组)皮下植入NCI-N87细胞。当肿瘤达到~113mm3时,对动物给药单剂5mg/kg缀合至接头101-105的αHER2或缀合至接头101的同种型对照抗体。图14A显示一周两次监测的肿瘤生长的图。图14B显示存活曲线的图,其显示所测试的标签放置间功效的差异。当肿瘤达到800mm3时或在研究的第112天,以先发生者为准,对动物处以安乐死。
表9。单剂5mg/kg ADC对NCI-N87肿瘤细胞的体内log10细胞杀伤
| αHER2 ADC接头组成 | log<sub>10</sub>细胞杀伤 |
| 接头101 | 1.24 |
| 接头102 | 0.82 |
| 接头103 | 0.65 |
| 接头104 | 1.22 |
| 接头105 | 0.92 |
使用两种接头进行多剂功效研究。使用接头101是因为它的总体效力,如通过肿瘤生长,log10细胞杀伤,和存活测量的。使用接头102是因为它显示最快的初始肿瘤缩小,它可导致多剂设置中升高的功效。多剂研究使用SCID小鼠中的NCI-N87肿瘤。一周一次对动物给药(5mg/kg),持续四周。实验使用两个分支–当肿瘤达到平均体积180或400mm3任一时开始给药。用接头101和102二者生成的αHER2 ADC针对较小的肿瘤高度有活性(图16A),而且导致相似水平的肿瘤控制。针对较大的肿瘤,与用接头101生成的ADC相比,用接头102生成的αHER2 ADC显示更大的功效,导致更大水平的肿瘤抑制(图16B)。对于接头101和102,第42天时的处理/对照肿瘤体积分别为0.39和0.26。
如上文讨论的,生成了一组携带不同接头的C端缀合的αHER2 ADC,而且观察到接头的结构变化导致ADC在体外和在体内二者针对NCI-N87肿瘤模型的效力的显著差异。
实验规程
生物缀合,纯化,和HPLC分析学
于37℃在含有0.85%DMA和0.085%Triton X-100的50mM柠檬酸钠,50mM NaCl pH5.5中将带醛标签的抗体(15mg/mL)缀合至含有美登木素的药物接头(8个摩尔当量的药物:抗体)达72小时。使用切向流过滤去除游离药物。使用制备规模的疏水相互作用层析(HIC;GE Healthcare 17-5195-01)去除未缀合的抗体,流动相A:1.0M硫酸铵,25mM磷酸钠pH7.0,而流动相B:25%异丙醇,18.75mM磷酸钠pH 7.0。使用33%B的等度梯度来洗脱未缀合的材料,接着使用41-95%B的线性梯度来洗脱单缀合种类和双缀合种类。为了测定最终产物的DAR,通过分析性HIC(Tosoh#14947)检查ADC,流动相A:1.5M硫酸铵,25mM磷酸钠pH7.0,而流动相B:25%异丙醇,18.75mM磷酸钠pH 7.0。为了测定聚集,使用分析性大小排阻层析(SEC;Tosoh#08541)分析样品,流动相为300mM NaCl,25mM磷酸钠pH 6.8。
体外稳定性
以~1pmol(载荷)/mL将ADC掺入大鼠血浆。将样品分小样并保存于-80℃直至使用。将小样于37℃在5%CO2下放置指定时间,然后通过ELISA进行分析以评估抗美登木素和抗Fab信号。使用新鲜融化的小样作为缀合的参照起始值。在一块板上一起测量所有分析物从而能够在各时间点之间进行比较。首先,在封闭缓冲液中稀释分析物至20ng/mL(在测定法的线性范围内)。然后,在用抗人Fab特异性抗体包被的板上捕捉分析物。接下来,用抗美登木素抗体,接着用HRP缀合的二抗检测载荷;用直接缀合的抗人Fc特异性抗体检测总的抗体。用TMB底物显现结合的二抗。用H2SO4终止显色反应,并使用Molecular DevicesSpectraMax M5读板仪测定450nm处的吸光度。在Excel中实施数据分析。一式四份分析每份样品,并使用平均值。对于抗体缀合的测量,使用抗美登木素信号对抗Fab信号的比率。
体外细胞毒性
HER2阳性乳腺癌细胞系NCI-N87自ATCC获得并在补充有10%胎牛血清(Invitrogen)和Glutamax(Invitrogen)的RPMI-1640培养基(Cellgro)中维持。分配前24小时,将细胞传代以确保对数期生长。在分配那天,在90μL补充有10IU青霉素和10μg/mL链霉素(Cellgro)的普通生长培养基中将5000个细胞/孔接种到96孔板上。以各种浓度用10μL稀释的分析物处理细胞,并将板于37℃在5%CO2气氛中温育。6天后,添加100μL/孔CellTiter-Glo试剂(Promega,Madison,WI),并使用Molecular Devices SpectraMax M5读板仪测量发光。使用GraphPad Prism软件进行数据分析,包括IC50计算。
异种移植物研究
在50%Matrigel中给雌性C.B-17SCID小鼠皮下接种1x 107个NCI-N87肿瘤细胞。当肿瘤达到平均112mm3时,给予动物单剂5mg/kg ADC,曲妥珠单抗抗体(不带标签的),或单独的媒介。一周两次对动物监测体重和肿瘤尺寸。使用下式计算肿瘤体积:
其中w=肿瘤宽度,而l=肿瘤长度。
通过对来自四组小鼠的肿瘤生长速率曲线取平均来获得肿瘤加倍时间。然后,使用下式估算log10细胞杀伤:
合成规程
方案7
(S)-5-(3-(叔丁氧基)-3-氧代丙基)-1-(9H-芴-9-基)-3,6-二氧代-2,10,13-三氧杂-4,7-二氮杂十六烷-16-酸(110)的制备
对带有搅动棒的20mL玻璃闪烁管添加胺109(710.3mg,4.0mmol),和Na2CO3(637.9mg,6.0mmol)。添加水(10.0mL)并将溶液于20℃搅动5分钟,给出清澈,无色溶液。对另一20mL玻璃闪烁管添加五氟苯基酯108(1185.7mg,2.0mmol),并在10.0mL 1,4-二氧杂环己烷中溶解。将管漩涡震荡1分钟,给出清澈,无色溶液,逐滴添加至上文制备的溶液,给出白色沉淀物。将反应于20℃搅动4小时,添加至70mL水,通过逐滴添加1M HCl酸化至pH 3,用2x 50mL EtOAc萃取,并在Na2SO4上干燥。将有机级分过滤,蒸发,并使用0-100%CH3CN-H2O梯度作为洗脱液在C18上通过急骤层析纯化。纯化产物在高真空下干燥以提供1137.3mg(97%)化合物110,为粘性,吸湿,白色固体。
(S)-7-氨基-2,2-二甲基-4,8-二氧代-3,12,15-三氧杂-9-氮杂十八烷-18-酸(111)的制备
在哌啶(2.23mL,22.57mmol)在DMF(8.92mL)中的溶液(20%v/v哌啶)中溶解化合物110(2638.7mg,4.513mmol),并于20℃搅动1小时。形成白色沉淀物。将反应过滤,给出清澈,浅黄色溶液。将溶液蒸发并使用0-100%CH3CN-H2O梯度作为洗脱液在C18上通过急骤层析纯化。分离的产物在高真空下干燥以给出813.1mg(50%)化合物111,为清澈,粘性油。
(S)-7-(3-(2-((2-(((9H-芴-9-基)甲氧基)羰基)-1,2-二甲基肼基)甲基)-1H-吲哚-1-基)丙酰胺基)-2,2-二甲基-4,8-二氧代-3,12,15-三氧杂-9-氮杂十八烷-18-酸(113)的制备
对带有干燥的搅动棒的干燥的20mL玻璃闪烁管添加化合物111(582.4mg,1.607mmol)。添加无水DMF(5mL)和(i-Pr)2NEt(0.84mL,4.82mmol),并将溶液于20℃搅动5分钟,给出清澈,很浅的黄色溶液。在5分钟里逐步添加酯112(1253.7mg,1.930mmol),并将反应于20℃搅动2小时。在没有另外操作的情况下使用0-100%CH3CN-H2O梯度作为洗脱液在C18上通过急骤层析纯化反应混合物。纯化产物在高真空下干燥以提供406.3mg(49%)化合物113,为白色薄膜。
1H NMR(400MHz,CDCl3)δ7.78(d,J=6.8Hz,2H),7.62(m,2H),7.54(d,J=7.6Hz,1H),7.42(m,1H),7.41(dd(app.t),J=7.4Hz,2H),7.32(m,2H),7.23(m,1H),7.10(dd(app.t),J=7.4Hz,1H),7.06(m,1H),4.76(m,1H),4.70-4.42(m,4H),4.26(m,1H),4.03(m,2H),3.80(m,1H),3.75(m,1H),3.70-3.42(m,9H),3.37(m,1H),2.81(s,3H),2.70-2.48(m,5H),2.25-1.80(m,4H),1.42(s,9H)。
方案8
2-(((叔丁基二甲基甲硅烷基)氧基)甲基)-1H-吲哚(115)
给烘箱干燥的烧瓶装上吲哚-2-甲醇114,(1.581g,10.74mmol),TBSCl(1.789g,11.87mmol),和咪唑(2.197g,32.27mmol),并在CH2Cl2(40mL,无水)中悬浮此混合物。16小时后,将反应混合物浓缩成橙色残留物。将粗制混合物在Et2O(50mL)中提取,用含水AcOH(5%v/v,3x 50mL)和盐水(25mL)清洗。合并的有机层在Na2SO4上干燥并浓缩以给出2.789g(99%)化合物115,为结晶固体,没有进一步纯化就使用。
1H NMR(500MHz,CDCl3)δ8.29(s,1H),7.57(d,J=7.7Hz,1H),7.37(dd,J=8.1,0.6Hz,1H),7.19–7.14(m,1H),7.12–7.07(m,1H),6.32(d,J=1.0Hz,1H),4.89(s,2H),0.95(s,9H),0.12(s,6H)。13C NMR(101MHz,CDCl3)δ138.3,136.0,128.6,121.7,120.5,119.8,110.9,99.0,59.4,26.1,18.5,-5.2。C15H24NOSi[M+H]+的HRMS(ESI),计算:262.1627;发现:262.1625。
3-(2-(((叔丁基二甲基甲硅烷基)氧基)甲基)-1H-吲哚-1-基)丙酸甲酯(117)
对吲哚115(2.789g,10.67mmol)在CH3CN(25mL)中的溶液添加丙烯酸甲酯116(4.80mL,53.3mmol),接着是1,8-二氮杂双环[5.4.0]十一碳-7-烯(800μL,5.35mmol),并将所得混合物回流。18小时后,将溶液冷却并浓缩成橙色油,通过硅胶层析(9:1己烷:EtOAc)纯化以产生3.543g(96%)化合物117,为无色油。
1H NMR(400MHz,CDCl3)δ7.58(d,J=7.8Hz,1H),7.34(d,J=8.2Hz,1H),7.23–7.18(m,1H),7.12–7.07(m,1H),6.38(s,1H),4.84(s,2H),4.54–4.49(m,2H),2.89–2.84(m,2H),0.91(s,9H),0.10(s,6H)。13C NMR(101MHz,CDCl3)δ172.0,138.5,137.1,127.7,122.0,121.0,119.8,109.3,101.8,58.2,51.9,39.5,34.6,26.0,18.4,-5.2。C19H30NO3Si[M+H]+的HRMS(ESI),计算:348.1995;发现:348.1996。
3-(2-(羟基甲基)-1H-吲哚-1-基)丙酸甲酯(118)
于0℃对化合物117(1.283g,3.692mmol)在THF(20mL)中的溶液添加氟化四丁基铵在THF中的1.0M溶液(3.90mL,3.90mmol)。15分钟后,将反应混合物用Et2O(20mL)稀释,用NaHCO3(饱和水溶液,3x 20mL)清洗,并浓缩成浅绿色油。通过硅胶层析(2:1己烷:EtOAc)纯化油以产生822mg(95%)化合物118,为白色结晶固体。
1H NMR(500MHz,CDCl3)δ7.60(d,J=7.8Hz,1H),7.34(dd,J=8.2,0.4Hz,1H),7.27–7.23(m,1H),7.16–7.11(m,1H),6.44(s,1H),4.77(s,2H),4.49(t,J=7.3Hz,2H),3.66(s,3H),2.87(t,J=7.3Hz,2H),2.64(s,1H)。13C NMR(126MHz,CDCl3)δ172.3,138.5,137.0,127.6,122.2,121.1,119.9,109.3,102.3,57.1,52.0,39.1,34.3。C13H15NNaO3[M+Na]+的HRMS(ESI),计算:256.0950;发现:256.0946。
3-(2-甲酰基-1H-吲哚-1-基)丙酸甲酯(119)
在CH2Cl2(20mL)和吡啶(2.70mL,33.5mmol)的混合物中悬浮戴斯-马丁过碘烷(5.195g,12.25mmol)。5分钟后,将所得白色悬浮液转移至3-(2-(羟基甲基)-1H-吲哚-1-基)丙酸甲酯(化合物118;2.611g,11.19mmol)在CH2Cl2(10mL)中的溶液,产生红褐色悬浮液。1小时后,用硫代硫酸钠(10%水溶液,5mL)和NaHCO3(饱和水溶液,5mL)淬灭反应。用CH2Cl2(3x 20mL)萃取水层;将合并的提取物在Na2SO4上干燥,过滤,并浓缩成褐色油。通过硅胶层析(5-50%EtOAc,在己烷中)的纯化产生2.165g(84%)化合物119,为无色油。
1H NMR(400MHz,CDCl3)δ9.87(s,1H),7.73(dt,J=8.1,1.0Hz,1H),7.51(dd,J=8.6,0.9Hz,1H),7.45–7.40(m,1H),7.29(d,J=0.9Hz,1H),7.18(ddd,J=8.0,6.9,1.0Hz,1H),4.84(t,J=7.2Hz,2H),3.62(s,3H),2.83(t,J=7.2Hz,2H)。13C NMR(101MHz,CDCl3)δ182.52,171.75,140.12,135.10,127.20,126.39,123.46,121.18,118.55,110.62,51.83,40.56,34.97。C13H13NO3Na[M+Na]+的HRMS(ESI),计算:254.0793;发现:254.0786。
3-(2-甲酰基-1H-吲哚-1-基)丙酸(120)
对吲哚119(2.369g,10.24mmol)在二氧杂环己烷(100mL)中溶解的溶液添加LiOH(4M水溶液,7.68mL,30.73mmol)。在数个小时的过程里逐渐形成浓稠白色沉淀物。21小时后,逐滴添加HCl(1M水溶液,30mL)以给出pH=4的溶液。浓缩溶液,在EtOAc(50mL)中溶解所得浅褐色油,并用水(2x 50mL)和盐水(20mL)清洗。将有机层在Na2SO4上干燥,过滤,并浓缩成橙色固体。通过硅胶层析(10-50%EtOAc,在含0.1%乙酸的己烷中)的纯化产生1.994g(84%)化合物120,为浅黄色固体。
1H NMR(400MHz,CDCl3)δ9.89(s,1H),7.76(dt,J=8.1,0.9Hz,1H),7.53(dd,J=8.6,0.9Hz,1H),7.48–7.43(m,1H),7.33(d,J=0.8Hz,1H),7.21(ddd,J=8.0,6.9,1.0Hz,1H),4.85(t,J=7.2Hz,2H),2.91(t,J=7.2Hz,2H)。13C NMR(101MHz,CDCl3)δ182.65,176.96,140.12,135.02,127.33,126.42,123.53,121.27,118.76,110.55,40.19,34.82。C12H10NO3[M-H]-的HRMS(ESI),计算:216.0666;发现:216.0665。
3-(2-((2-(((9H-芴-9-基)甲氧基)羰基)-1,2-二甲基肼基)甲基)-1H-吲哚-1-基)丙酸(122)
对120(1.193g,5.492mmol)和1,2-二甲基肼羧酸(9H-芴-9-基)甲基酯121,(2.147g,7.604mmol)在1,2-二氯乙烷(无水,25mL)中的溶液添加三乙酸基硼氢化钠(1.273g,6.006mmol)。将所得黄色悬浮液搅动2小时,然后用NaHCO3(饱和水溶液,10mL)淬灭,接着添加HCl(1M水溶液)至pH 4。分出有机层,并用CH2Cl2(5x 10mL)萃取水层。将合并的有机提取物在Na2SO4上干燥,过滤,并浓缩成橙色油。通过C18硅胶层析(20-90%CH3CN,在水中)的纯化产生1.656g(62%)化合物122,为蜡质粉色固体。
1H NMR(400MHz,CDCl3)δ7.76(d,J=7.4Hz,2H),7.70–7.47(br m,3H),7.42–7.16(br m,6H),7.12–7.05(m,1H),6.37(s,0.6H),6.05(s,0.4H),4.75–4.30(br m,4H),4.23(m,1H),4.10(br s,1H),3.55(br d,1H),3.11–2.69(m,5H),2.57(br s,2H),2.09(br s,1H)。13C NMR(101MHz,CDCl3)δ174.90,155.65,143.81,141.42,136.98,134.64,127.75,127.48,127.12,124.92,122.00,120.73,120.01,119.75,109.19,103.74,67.33,66.80,51.39,47.30,39.58,39.32,35.23,32.10。C29H30N3O4[M+H]+的HRMS(ESI),计算:484.2236;发现:484.2222。
1,2-二甲基-2-((1-(3-氧代-3-(全氟苯氧基)丙基)-1H-吲哚-2-基)甲基)肼-1-羧酸(9H-芴-9-基)甲基酯(112)
将化合物122(5.006g,10.4mmol)添加至带有干燥的搅动棒的干燥的100mL双颈圆底烧瓶。通过注射器添加40mL无水EtOAc,并将溶液于20℃搅动5分钟,给出清澈,浅色,黄色-绿色溶液。在冰水浴中将溶液冷却至0℃,并逐滴添加3mL无水EtOAc中的五氟酚(2098.8mg,11.4mmol)。将溶液于0℃搅动5分钟。通过注射器缓慢地逐滴添加7mL无水EtOAc中的DCC(2348.0mg,11.4mmol)。将溶液于0℃搅动5分钟,然后自浴中取出并升温至20℃。将反应搅动2小时,冷却至0℃,并过滤以给出清澈,浅色,黄色-绿色溶液。将溶液用50mLEtOAc稀释,用2x 25mL H2O,1x 25mL 5M NaCl清洗,并在Na2SO4上干燥。将溶液过滤,蒸发,并在高真空下干燥,给出6552.5mg(97%)化合物112,为稍带绿色-白色固体。
1H NMR(400MHz,CDCl3)δ780(d,J=7.2Hz,2H),7.58(m,3H),7.45-7.22(m,6H),7.14(dd(appt.t),J=7.4Hz,1H),6.42&6.10(2br s,1H),4.74(dd(appt.t),J=5.4Hz,2H),3.65-3.18(br,3H),3.08&2.65(2br s,3H),2.88(s,3H)。
方案9
1,2-二甲基肼-1-羧酸(9H-芴-9-基)甲基酯(121)
在MeCN(80mL)中溶解MeNHNHMe·2HCl,化合物123,(5.0g,37.6mmol)。添加Et3N(22mL,158mmol),并通过过滤去除形成的沉淀物。对剩余的MeNHNHMe溶液,于-20℃在2.5小时里逐滴添加FmocCl(0.49g,18.9mmol,0.5eq)溶液。然后将反应混合物用EtOAc稀释,用H2O,盐水清洗,在Na2SO4上干燥,并在真空中浓缩。在硅土上通过急骤层析(己烷/EtOAc=3:2)纯化残留物以给出3.6g(34%)化合物121。
1H NMR(400MHz,CDCl3)δ7.75-7.37(m,8H),4.48(br s,2H),4.27(t,J=6.0Hz,1H),3.05(s,3H),2.55(br s,3H)。
方案10
3-(2S,15R)-19-(2-((2-(((9H-芴-9-基)甲氧基)羰基)-1,2-二甲基肼基)甲基)-1H-吲哚-1-基)-15-(2-(叔丁氧基羰基)乙基)-2,3-二甲基-4,14,17-三氧代-7,10-二氧杂-3,13,16-三氮杂十九烷酸美登醇酯(125)
于室温搅动3-(S)-α-N-甲基氨基丙酸美登醇酯(化合物124)(0.426g,0.655mmol),羧酸113(0.597g,0.721mmol),和(i-Pr)2NEt(0.35mL,2.00mmol)在3.0mL DMF中的溶液,同时添加HATU(0.277g,0.729mmol)。将反应混合物搅动2.5小时,并通过旋转蒸发来浓缩。使用0-10%MeOH-CH2Cl2梯度在硅胶上通过急骤层析分离产物。合并含有产物的级分,浓缩,并再次使用0-100%CH3CN-H2O梯度在C18上进行急骤层析以产生0.721g(75%)美登木素生物碱125,为白色固体。
C75H95ClN8O17[M+Na]+的MS(ESI),计算:1458.7;发现:1481.8。
3-(2S,15R)-19-(2-((2-(((9H-芴-9-基)甲氧基)羰基)-1,2-二甲基肼基)甲基)-1H-吲哚-1-基)-15-(2-(羧基)乙基)-2,3-二甲基-4,14,17-三氧代-7,10-二氧杂-3,13,16-三氮杂十九烷酸美登醇酯(126)
于0℃搅动美登木素生物碱125(110.5mg,0.08mmol)在1.0mL无水CH2Cl2中的溶液,同时逐滴添加SnCl4在CH2Cl2中的1.0M溶液(0.378mL,0.378mmol)。形成黄色沉淀物。在没有另外操作的情况下使用0-100%CH3CN-H2O梯度作为洗脱液在C18上通过急骤层析纯化反应混合物以提供65.6mg(62%)美登木素生物碱126,为白色薄膜。
C73H91ClN8O18[M-H]-的MS(ESI),计算:1401.6;发现:1401.1。
3-(2S,15R)-19-(2-(2-(1,2-二甲基肼基)甲基)-1H-吲哚-1-基)-15-(2-(羧基)乙基)-2,3-二甲基-4,14,17-三氧代-7,10-二氧杂-3,13,16-三氮杂十九烷酸美登醇酯(101)
于室温搅动哌啶(90.7μL,0.92mmol)在453.6mL DMA中的溶液,同时添加美登木素生物碱126(64.5mg,0.05mmol)。将反应混合物搅动20分钟。在没有另外操作的情况下使用0-100%CH3CN-H2O梯度作为洗脱液在C18上通过急骤层析纯化反应混合物以提供49.1mg(90%)接头101,为白色薄膜。
C58H82ClN8O16[M+H]+的MS(ESI),计算:1181.6;发现:1181.3。
方案11
(2S,15S)-1-(((14S,16S,32S,33S,2R,4S,10E,12E,14R)-86-氯-14-羟基-85,14-二甲氧基-33,2,7,10-四甲基-12,6-二氧代-7-氮杂-1(6,4)-夹氧氮杂环己烷-3(2,3)-夹氧杂环丙烷-8(1,3)-夹苯环十四烷-10,12-二烯-4-基)氧基)-15-(3-(2-((1,2-二甲基肼基)甲基)-1H-吲哚-1-基)丙酰胺基)-2,3-二甲基-1,4,14-三氧代-7,10-二氧杂-3,13-二氮杂十七烷-17-酸(102)
于室温搅动0.492g(0.35mmol)化合物127在3.0mL DMF中的溶液,同时添加0.7mL(7.09mmol)哌啶。将反应混合物搅动1小时,并使用0-100%CH3CN-H2O梯度作为洗脱液在C18上通过直接急骤层析分离产物以提供0.335g(81%)接头102,为浅黄色固体。
C57H79ClN8O16[M+H]+的MS-ESI(m/z),计算:1167.5;发现:1167.0;[M+Na]+,计算:1189.5,发现:1189.0。
方案12
(2S,15S)-19-(2-((1,2-二甲基肼基)甲基)-1H-吲哚-1-基)-2,3-二甲基-4,14,17-三氧代-15-(4-(膦酰基氧基)苄基)-7,10-二氧杂-3,13,16-三氮杂十九烷酸
(14S,16S,32S,33S,2R,4S,10E,12E,14R)-86-氯-14-羟基-85,14-二甲氧基-33,2,7,10-四甲基-12,6-二氧代-7-氮杂-1(6,4)-夹氧氮杂环己烷-3(2,3)-夹氧杂环丙烷-8(1,3)-夹苯环十四烷-10,12-二烯-4-基酯(103)
于室温搅动0.2mL(2.0mmol)哌啶在0.8mL DMA中的溶液,同时添加0.141g(0.1mmol)化合物128。将反应混合物搅动20分钟并使用0-100%CH3CN-H2O梯度作为洗脱液在C18上通过直接急骤层析分离产物以提供0.108g(90%)接头103,为白色薄膜。
C62H84ClN8O18P[M-H]-的MS-ESI(m/z),计算:1293.5;发现:1293.1。
方案13
(+/-)-3-((2S,3R)-4-((2-(3-(2-((2-(((9H-芴-9-基)甲氧基)羰基)-1,2-二甲基肼基)甲基)-1H-吲哚-1-基)丙酰胺基)乙基)氨基)-2,3-二((叔丁基二甲基甲硅烷基)氧基)-4-氧代丁酰胺基)丙酸(130)的合成
于室温搅动0.206g(0.3mmol)吲哚112,0.236g(0.5mmol)化合物129,和0.134g(1.6mmol)NaHCO3在5mL DMA中的溶液1小时。将反应混合物倒入水中并用EtOAc萃取。将有机层用盐水清洗,在Na2SO4上干燥,并倒出。通过旋转蒸发去除溶剂并使用0-100%CH3CN-H2O梯度在C18上纯化残留物以提供0.23g羧酸130(76%),为白色固体。
C50H72N6O9Si2[M+H]+的MS-ESI(m/z),计算:957.5;发现:957.0;[M+Na]+,计算:979.5,发现:979.5。
方案14
(2S,9R,10S)-18-(2-((2-(((9H-芴-9-基)甲氧基)羰基)-1,2-二甲基肼基)甲基)-1H-吲哚-1-基)-9,10-二((叔丁基二甲基甲硅烷基)氧基)-2,3-二甲基-4,8,11,16-四氧代-3,7,12,15-四氮杂十八烷酸(14S,16S,32S,33S,2R,4S,10E,12E,14R)-86-氯-14-羟基-85,14-二甲氧基-33,2,7,10-四甲基-12,6-二氧代-7-氮杂-1(6,4)-夹氧氮杂环己烷-3(2,3)-夹氧杂环丙烷-8(1,3)-夹苯环十四烷-10,12-二烯-4-基酯(131)的合成
于室温搅动0.129g(0.1mmol)羧酸130和0.096g(0.1mmol)N-脱乙酰基美登木素124,0.052g(0.1mmol)HATU,和0.036mL(0.3mmol)Hunig氏碱在0.5mL DMA中的溶液3小时。使用0-100%CH3CN-H2O梯度作为洗脱液在C18上通过直接急骤层析分离产物。对分离物的分析指示<90%的纯度。对材料使用0-10%MeOH-CH2Cl2梯度在硅胶上进行第二急骤层析以提供0.103g(48%)化合物131,为白色固体。
C82H114ClN9O17Si2[M+Na]+的MS-ESI(m/z),计算:1610.8,发现:1610.7。
方案15
(2S,9R,10S)-18-(2-((1,2-二甲基肼基)甲基)-1H-吲哚-1-基)-9,10-二羟基-2,3-二甲基-4,8,11,16-四氧代-3,7,12,15-四氮杂十八烷酸(14S,16S,32S,33S,2R,4S,10E,12E,14R)-86-氯-14-羟基-85,14-二甲氧基-33,2,7,10-四甲基-12,6-二氧代-7-氮杂-1(6,4)-夹氧氮杂环己烷-3(2,3)-夹氧杂环丙烷-8(1,3)-夹苯环十四烷-10,12-二烯-4-基酯(106)
于0℃搅动0.102g(0.06mmol)化合物131在0.6mL THF中的溶液,同时添加0.225mL(0.23mmol)TBAF在THF中的1.0M溶液。35分钟后,使用0-75%CH3CN-H2O梯度作为洗脱液在C18上通过直接急骤层析分离反应混合物以提供0.045g(60%)接头106,为灰白色固体。
C55H76ClN9O15[M+H]+的MS-ESI(m/z),计算:1138.5;发现:1138.3;[M+Na]+,计算:1160.5,发现:1160.5。
方案16
(S)-5-((4-(((S)-1-(((14S,16S,32S,33S,2R,4S,10E,12E,14R)-86-氯-14-羟基-85,14-二甲氧基-33,2,7,10-四甲基-12,6-二氧代-7-氮杂-1(6,4)-夹氧氮杂环己烷-3(2,3)-夹氧杂环丙烷-8(1,3)-夹苯环十四烷-10,12-二烯-4-基)氧基)-1-氧代丙-2-基)(甲基)氨基)-4-氧代丁基)氨基)-4-(3-(2-((1,2-二甲基肼基)甲基)-1H-吲哚-1-基)丙酰胺基)-5-氧代戊酸(105)
于室温搅动0.1mL(1.0mmol)哌啶在0.4mL DMA中的溶液,同时添加0.049g(0.04mmol)化合物132。将反应混合物搅动20分钟并使用0-100%CH3CN-H2O梯度作为洗脱液在C18上通过直接急骤层析分离产物以提供0.040g(99%)接头105,为白色薄膜。
C55H75ClN8O14[M+H]+的MS-ESI(m/z),计算:1107.5;发现:1107.3;[M+Na]+,计算:1129.5,发现:1129.4。
方案17
2-羟基-2,3-二氢-1H-吡咯并[2,3-b]吡啶-1,2-二羧酸1-(叔丁基)酯2-乙基酯(134)
将(3-甲基-吡啶-2-基)-氨基甲酸叔丁基酯(化合物133;60g,288mmol,1.0eq)和THF(900mL)置于配有磁搅拌器的2L三颈烧瓶中并在氮气下维持。逐滴添加t-BuLi(600mL,1.3M,777mmol,2.7eq),同时保持温度低于-78℃。于-45℃搅动1小时后,将如此获得的锂化衍生物添加至于温度-80℃维持的草酸二乙酯(126.5g,865mmol,3.0eq)在干的四氢呋喃(50mL)中的溶液。容许反应液升温至-50℃达2小时,然后升温至室温并搅动过夜。添加水,用EA萃取混合物,在Na2SO4上干燥并浓缩,在硅土上通过急骤层析(PE/EA=40∶1-2∶1)纯化以产生化合物134(19.3g,22%),为黄色油。
1H NMR(400MHz,CDCl3)δ8.24(d,J=4.4Hz,1H),7.39(d,J=7.6Hz,1H),6.87(t,J=6.0Hz,1H),4.57(br s,1H),4.25-4.23(m,2H),3.35(d,J=17.2Hz,1H),3.14(d,J=17.2Hz,1H),1.49(s,9H),1.23(t,J=6.8Hz,3H)。
1H-吡咯并[2,3-b]吡啶-2-羧酸乙酯(135)
将化合物134(9.7g,31.4mmol,1eq)在HCl溶液(50mL,6N)中的混合物于50℃搅动2小时并于室温搅动过夜。将反应混合物用固体K2CO3调节至pH 13并用EA萃取。将有机相在硫酸钠上干燥,过滤并在减压下蒸发以给出化合物135(6.0g,100%)。
1H NMR(400MHz,DMSO)δ11.12(br s,1H),8.59(d,J=4.8Hz,1H),8.05(dd,J=8.0,1.6Hz,1H),7.19(s,1H),7.18-7.15(m,1H),4.46(q,J=6.8Hz,2H),1.44(t,J=6.8Hz,3H)。(1H-吡咯并[2,3-b]吡啶-2-基)甲醇(136)
在N2下于0℃对酯135(9g,47.3mmol,1.0eq)在THF(200mL)中的溶液缓慢添加LiAIH4(3.0g,78.9mmol,1.5eq)并升温至室温达1小时。用水淬灭悬浮液并通过过滤去除白色沉淀物。将滤出液在Na2SO4上干燥并浓缩。在硅土上通过急骤层析(PE/EA=9:1)纯化残留物以给出化合物136(6.5g,93%),为略微黄色的固体。
1H NMR(400MHz,DMSO-d6)δ11.47(s,1H),8.10(dd,J=6.4,1.2Hz,1H),7.82(d,J=7.6Hz,1H),6.97(dd,J=7.6,4.8Hz,1H),6.27(s,1H),5.23(t,J=5.2Hz,1H),4.57(d,J=5.6Hz,2H)。
2-(((叔丁基二甲基甲硅烷基)氧基)甲基)-1H-吡咯并[2,3-b]吡啶(137)
给烘箱干燥的烧瓶装上化合物136(7.5g,50.6mmol,1.0eq),TBSCl(8.4g,55.7mmol,1.1eq),和咪唑(10.3g,152.0mmol,3.0eq),并在CH2Cl2(100mL)中悬浮此混合物。16小时后,将反应混合物浓缩成橙色残留物。将粗制混合物在Et2O(50mL)中提取,用盐水(25mL)清洗。浓缩有机层以给出结晶固体(化合物137;11.8g,89%),没有进一步纯化就使用。
1H NMR(400MHz,CDCl3)δ9.56(br s,1H),8.25(s,1H),7.84(d,J=8.0Hz,1H),7.04(dd,J=7.6,4.4Hz,1H),6.27(s,1H),4.90(s,2H),0.93(s,9H),0.11(s,6H)。
3-(2-(((叔丁基二甲基甲硅烷基)氧基)甲基)-1H-吡咯并[2,3-b]吡啶-1-基)丙酸甲酯(138)
对氮杂吲哚137(11.5g,43.9mmol,1.0eq)在乙腈(120mL)中的溶液添加丙烯酸甲酯(18.9g,220mmol,5.0eq),接着是1,8-二氮杂双环[5.4.0]-十一碳-7-烯(DBU,335μL,22mmol,0.50eq),并将所得混合物回流18小时。将溶液冷却并浓缩成橙色油,在硅土上通过急骤层析(PE/EA=9:1)纯化以产生无色油,为化合物138(15g,98%)。
1H NMR(400MHz,CDCl3)δ8.28(d,J=3.6Hz,1H),7.83(dd,J=8.0,0.8Hz,1H),7.03(dd,J=7.6,4.8Hz,1H),6.33(s,1H),4.87(s,2H),4.62(t,J=7.2Hz,2H),3.66(s,3H),2.98(t,J=7.2Hz,2H),0.91(s,9H),0.10(s,6H)。
3-(2-(羟基甲基)-1H-吡咯并[2,3-b]吡啶-1-基)丙酸甲酯(139)
于0℃对化合物138(15g,43.1mmol,1.0eq)在THF(150mL)中的溶液添加氟化四丁基铵(1.0M,在THF中,45.6mL,45.6mmol,1.06equiv)。15分钟后,将反应混合物用二乙醚(100mL)稀释,用含水NaHCO3清洗,并浓缩成油残留物,在硅土上通过急骤柱层析(PE/EA=4:1)纯化以产生化合物139,为白色固体(8g,80%)。
LC-MS:235(M+1)。1H NMR(400MHz,CDCl3)δ8.28(dd,J=4.8,1.6Hz,1H),7.84(dd,J=8.0,1.2Hz,1H),7.05(dd,J=7.8,4.4Hz,1H),6.40(s,1H),4.85(s,2H),4.61(t,J=6.8Hz,2H),3.63(s,3H),3.10(t,J=6.8Hz,2H),3.03(br s,1H)。
3-(2-甲酰基-1H-吡咯并[2,3-b]吡啶-1-基)丙酸甲酯(140)
于室温搅动2.335g(5.5mmol)戴斯-马丁过碘烷和1.21mL(15.0mmol)吡啶在40mLCH2Cl2中的溶液,同时逐滴添加1.171g(5.0mmol)化合物139在20mL CH2Cl2中的溶液。将反应混合物搅动1小时并用20mL 10%Na2S2O3水溶液和20mL 1.2M NaHCO3水溶液的混合物淬灭。分开各层并用CH2Cl2萃取水层。合并有机层,在Na2SO4上干燥,并过滤。通过旋转蒸发去除溶剂并使用30%EtOAc-己烷作为洗脱液在硅胶上通过急骤层析分离产物以提供1.005g(87%)化合物140,为浅黄色油。
2-((1-(3-甲氧基-3-氧代丙基)-1H-吡咯并[2,3-b]吡啶-2-基)甲基)-1,2-二甲基肼-1-羧酸(9H-芴-9-基)甲基酯(141)
于室温对0.129g(0.56mmol)醛140在3.0mL DCE中的溶液逐步添加0.228g(0.81mmol)肼121,接着是0.129g(0.60mmol)NaB(OAc)3H。将反应混合物搅动24小时并添加10mL H2O淬灭。用CH2Cl2萃取混合物。将有机层在Na2SO4上干燥,过滤,并浓缩。使用0-100%CH3CN:H2O梯度作为洗脱液在C18上通过急骤层析分离产物以提供0.197g(73%)化合物141。
3-(2-((2-(((9H-芴-9-基)甲氧基)羰基)-1,2-二甲基肼基)甲基)-1H-吡咯并[2,3-b]吡啶-1-基)丙酸(142)
于0℃搅动269.7mg(0.50mmol)化合物141在1.54mL THF中的溶液,同时逐滴添加0.51mL 1.0M LiOH水溶液。将反应混合物搅动1小时并使用0-100%CH3CN:H2O梯度作为洗脱液在C18上通过直接层析分离产物以给出124.5mg(50%)化合物142,为白色薄膜。
方案18
(2S,15S)-15-(3-(2-((2-(((9H-芴-9-基)甲氧基)羰基)-1,2-二甲基肼基)甲基)-1H-吡咯并[2,3-b]吡啶-1-基)丙酰胺基)-2,3-二甲基-4,14-二氧代-7,10-二氧杂-3,13-二氮杂十八烷二酸18-(叔丁基)酯1-((14S,16S,32R,33R,2R,4S,10E,12E,14R)-86-氯-14-羟基-85,14-二甲氧基-33,2,7,10-四甲基-12,6-二氧代-7-氮杂-1(6,4)-夹氧氮杂环己烷-3(2,3)-夹氧杂环丙烷-8(1,3)-夹苯环十四烷-10,12-二烯-4-基)酯(144)
于室温搅动69.4mg(1.3mmol)PyAOP和0.65mL(3.7mmol)二异丙基乙基胺在0.3mL无水DMF中的溶液,同时逐滴添加64.1mg(0.06mmol)化合物143在0.2mL无水DMF中的溶液。2小时后,使用0-100%CH3CN:H2O梯度作为洗脱液在C18上通过直接层析分离产物以给出133.2mg(74%)化合物144,为白色薄膜。
方案19
(2S,15S)-15-(3-(2-((2-(((9H-芴-9-基)甲氧基)羰基)-1,2-二甲基肼基)甲基)-1H-吡咯并[2,3-b]吡啶-1-基)丙酰胺基)-1-(((14S,16S,33S,2R,4S,10E,12E,14R)-86-氯-14-羟基-85,14-二甲氧基-33,2,7,10-四甲基-12,6-二氧代-7-氮杂-1(6,4)-夹氧氮杂环己烷-3(2,3)-夹氧杂环丙烷-8(1,3)-夹苯环十四烷-10,12-二烯-4-基)氧基)-2,3-二甲基-1,4,14-三氧代-7,10-二氧杂-3,13-二氮杂十八烷-18-酸(146)
在1.0mL无水CH2Cl2中溶解0.133g(0.09mmol)化合物145的溶液并于0℃搅动,同时逐滴添加0.456mL(0.46mmol)1.0M SnCl4在CH2Cl2中的溶液。形成黄色沉淀物。在N2下搅动反应混合物1小时。使用0-100%CH3CN:H2O梯度作为洗脱液在C18上通过直接层析分离产物以给出0.112g(87%)化合物146,为白色固体。
方案20
(2S,15S)-1-(((14S,16S,32S,33S,2R,4S,10E,12E,14R)-86-氯-14-羟基-85,14-二甲氧基-33,2,7,10-四甲基-12,6-二氧代-7-氮杂-1(6,4)-夹氧氮杂环己烷-3(2,3)-夹氧杂环丙烷-8(1,3)-夹苯环十四烷-10,12-二烯-4-基)氧基)-15-(3-(2-((1,2-二甲基肼基)甲基)-1H-吡咯并[2,3-b]吡啶-1-基)丙酰胺基)-2,3-二甲基-1,4,14-三氧代-7,10-二氧杂-3,13-二氮杂十八烷-18-酸(104)
于室温搅动0.1mL(1.0mmol)哌啶在0.4mL DMA中的溶液,同时添加0.048g(0.04mmol)化合物147。将反应混合物搅动20分钟并使用0-100%CH3CN:H2O梯度作为洗脱液在C18上通过直接急骤层析分离产物以提供0.034g(85%)接头104,为白色薄膜。
C57H80ClN9O16[M+H]+的MS-ESI(m/z),计算:1182.6;发现:1182.5;[M+Na]+,计算:1204.5,发现:1204.5。
方案21
2-(叔丁基二甲基甲硅烷基氧基)乙胺(149)
对2-氨基乙醇(50g,0.82mol),三乙基胺(124g,1.23mol),和DMAP(2g)在干的DCM(1L)中的搅动溶液添加TBSCl(135g,0.9016mol)。将反应混合物于室温搅动过夜,并用含水NH4Cl淬灭。用DCM(3x)萃取混合物。将合并的有机层用水清洗,并在MgSO4上干燥。在减压下去除溶剂以给出残留物,通过急骤柱层析纯化以给出30.5g(22%)化合物149。
1H NMR(400MHz,CDCl3)δ3.6(t,J=5.5Hz,2H),2.74(t,J=5.5Hz,2H),1.36(brs,1H),0.87(s,9H),0.04(s,6H)。
3-((2-((叔丁基二甲基甲硅烷基)氧基)乙基)氨基)丙酸苄酯(151)
在10分钟里于0℃对氯化锂(20mg)和2-(叔丁基二甲基甲硅烷基氧基)乙胺(1.0g,5.71mmol)在甲醇(25mL)和THF(25mL)中的搅动溶液逐滴添加丙烯酸酯150(1.0g,6.28mmol)。容许反应混合物逐渐升温至室温并于室温搅动过夜。将反应混合物在减压下浓缩至干燥,并用EtOAc(250mL),和盐水(200mL)萃取。将有机层在无水硫酸钠上干燥,并在减压下蒸发至干燥。通过急骤柱层析(石油醚:EtOAc=5:1至0:1)纯化残留物以提供化合物151(0.7g,37%)。
3-(2-溴-N-(2-((叔丁基二甲基甲硅烷基)氧基)乙基)乙酰胺基)丙酸苄酯(153)
在氮下于0℃对化合物151(0.7g,2.07mmol)在THF(20mL)中的溶液添加Et3N(1.2equiv,0.25g,2.49mmol)和溴化物152(1.2equiv,0.5g,2.49mmol)。于0℃搅动1小时后,将所得混合物用EtOAc(10mL)稀释并过滤。用EtOAc漂洗固体,将滤出液浓缩并在真空中干燥以产生粗制溴乙酰基酰胺153,通过急骤柱层析(石油醚:EtOAc=10:1至5:1)纯化以给出纯的化合物153(0.3g,31%)。
MS+:459[M+H]+。
10-(2-((叔丁基二甲基甲硅烷基)氧基)乙基)-2,2,3,3-四甲基-9-氧代-4-氧杂-7,10-二氮杂-3-硅杂十三烷-13酸苄酯(154)
在氮下于0℃对化合物153(36.8g,80.3mmol,1.0eq)在THF(350mL)中的溶液添加Et3N(16.3g,160.7mmol,2eq)和2-(叔丁基二甲基甲硅烷基氧基)乙胺(28.1g,160.7mmol,2eq)。于室温搅动过夜后,将所得混合物用EtOAc(100mL)稀释并过滤。用EtOAc漂洗固体,将滤出液浓缩并在真空中干燥以产生粗制胺,通过急骤柱层析(石油醚:EtOAc=3:1)纯化以提供化合物154(27g,60%)。
7-(((苄基氧基)羰基)甘氨酰基)-10-(2-((叔丁基二甲基甲硅烷基)氧基)乙基)-2,2,3,3-四甲基-9-氧代-4-氧杂-7,10-二氮杂-3-硅杂十三烷-13酸苄酯(156)
于0℃对Cbz-甘氨酸(2.5g,12mmol)和EDCI(2.5g,13mmol)HOBT(1.75g,13mmol)在DCM(20mL)中的溶液添加iPR2NEt(4.2g,32.5mmol)。于0℃搅动混合物30分钟。对溶液逐滴添加胺154(6g,11mmol)。于室温搅动混合物过夜,蒸发至干燥,在DCM中悬浮。过滤混合物,并将滤出液用水和盐水清洗,在硫酸钠上干燥,并浓缩。通过急骤柱层析纯化残留物以提供化合物156(3.01g,38%)。
10-(2-((叔丁基二甲基甲硅烷基)氧基)乙基)-7-甘氨酰基-2,2,3,3-四甲基-9-氧代-4-氧杂-7,10-二氮杂-3-硅杂十三烷-13-酸(157)
于室温在H2(50psi)下在Parr混合器中搅动化合物156(1.9g,2.55mmol)和Pd/C(500mg)在EtOAc(50mL)中的混合物过夜。穿过硅藻土垫过滤混合物,并浓缩以给出化合物157(730mg,55%)。
LC-MS:520(M+1)。
方案22
7-((3-(2-((2-(((9H-芴-9-基)甲氧基)羰基)-1,2-二甲基肼基)甲基)-1H-吲哚-1-基)丙酰基)甘氨酰基)-10-(2-((叔丁基二甲基甲硅烷基)氧基)乙基)-2,2,3,3-四甲基-9-氧代-4-氧杂-7,10-二氮杂-3-硅杂十三烷-13-酸(158)的合成
于室温搅动0.220g(0.3mmol)吲哚112和0.264g(0.5mmol)类肽157在5.0mL DMA中的溶液,同时添加0.120g(1.4mmol)NaHCO3。6小时后,将反应混合物用水稀释并用EtOAc萃取。在Na2SO4上干燥有机层,并倒出。通过旋转蒸发去除溶剂。使用0-100%CH3CN:H2O梯度在C18上通过急骤层析分离产物以给出0.184g(55%)羧酸158,为白色固体。
1H NMR(400MHz,CDCl3)δ7.80(d,J=6.8Hz,2H),7.62(m,2H),7.55(d,J=7.6Hz,1H),7.41(dd(app.t),J=7.4Hz,2H),7.30(m,4H),7.22(m,1H),7.10(m,1H),4.72-4.30(m,5H),4.29-4.08(m,3H),3.95-3.66(m,7H),3.62-3.41(m,5H),2.86(m,4H),2.63(m,6H),2.11(m,1H),0.90(m,18H),0.60(m,12H)。
方案23
(S)-7-((3-(2-((2-(((9H-芴-9-基)甲氧基)羰基)-1,2-二甲基肼基)甲基)-1H-吲哚-1-基)丙酰基)甘氨酰基)-10-(2-((叔丁基二甲基甲硅烷基)氧基)乙基)-2,2,3,3,14,15-六甲基-9,13-二氧代-4-氧杂-7,10,14-三氮杂-3-硅杂十六烷-16-酸(14S,16S,32S,33S,2R,4S,10E,12E,14R)-86-氯-14-羟基-85,14-二甲氧基-33,2,7,10-四甲基-12,6-二氧代-7-氮杂-1(6,4)-夹氧氮杂环己烷-3(2,3)-夹氧杂环丙烷-8(1,3)-夹苯环十四烷-10,12-二烯-4-基酯(159)的合成
于室温搅动0.180g(0.2mmol)羧酸158和0.123g N-脱酰基美登木素124(0.2mmol),0.072g(0.2mmol)HATU,和0.051mL(0.4mmol)Hunig氏碱在0.8mL DMA中的溶液3小时。使用0-100%CH3CN-H2O梯度在C18上通过直接急骤层析分离产物以给出0.235g(80%)化合物159,为白色固体。
C84H118ClN9O17Si2[M+Na]+的MS-ESI(m/z),计算:1638.8,发现:1638.8。
方案24
N-(3-(2-(2-(3-(2-((1,2-二甲基肼基)甲基)-1H-吲哚-1-基)丙酰胺基)-N-(2-羟基乙基)乙酰胺基)-N-(2-羟基乙基)乙酰胺基)丙酰基)-N-甲基-L-丙氨酸
(14S,16S,32S,33S,2R,4S,10E,12E,14R)-86-氯-14-羟基-85,14-二甲氧基-33,2,7,10-四甲基-12,6-二氧代-7-氮杂-1(6,4)-夹氧氮杂环己烷-3(2,3)-夹氧杂环丙烷-8(1,3)-夹苯环十四烷-10,12-二烯-4-基酯(107)的合成
用氮喷射0.114g(0.07mmol)化合物159在0.5mL THF中的溶液10分钟。添加1.0MTBAF在THF中的溶液(0.30mL,0.3mmol)并将反应混合物搅动1小时。使用0-100%CH3CN-H2O梯度在C18上通过直接层析分离产物以给出0.0417g(51%)接头107,为灰白色固体。
C57H80ClN9O15[M+H]+的MS-ESI(m/z),计算:1166.6;发现:1166.4;[M+Na]+,计算:1188.5,发现:1188.4。
实施例3
依照下文所示方案25合成含有哌啶-4-氨基(4AP)基团的接头。
方案25
4-氧代哌啶-1-羧酸(9H-芴-9-基)甲基酯(200)的合成
对带有磁搅动棒的100mL圆底烧瓶添加哌啶-4-酮氢氯化物单水合物(1.53g,10mmol),Fmoc氯化物(2.58g,10mmol),碳酸钠(3.18g,30mmol),二氧杂环己烷(20mL),和水(2mL)。于室温搅动反应混合物1小时。将混合物用EtOAc(100mL)稀释并用水(1x100mL)萃取。将有机层在Na2SO4上干燥,过滤,并在减压下浓缩。所得材料在真空中干燥以产生化合物200,为白色固体(3.05g,95%产率)。
1H NMR(CDCl3)δ7.78(d,2H,J=7.6),7.59(d,2H,J=7.2),7.43(t,2H,J=7.2),7.37(t,2H,J=7.2),4.60(d,2H,J=6.0),4.28(t,2H,J=6.0),3.72(br,2H),3.63(br,2H),2.39(br,2H),2.28(br,2H)。
C20H20NO3的MS(ESI)m/z:[M+H]+,计算322.4;发现:322.2。
4-((2-(2-(3-(叔丁氧基)-3-氧代丙氧基)乙氧基)乙基)氨基)哌啶-1-羧酸(9H-芴-9-基)甲基酯(201)的合成
对带有磁搅动棒的干燥的闪烁管添加哌啶酮200(642mg,2.0mmol),H2N-PEG2-CO2t-Bu(560mg,2.4mmol),分子筛(经过活化的粉,500mg),和1,2-二氯乙烷(5mL)。于室温搅动混合物1小时。对反应混合物添加三乙酸基硼氢化钠(845mg,4.0mmol)。于室温搅动混合物5天。用EtOAc稀释所得混合物。将有机层用饱和NaHCO3(1x 50mL),和盐水(1x 50mL)清洗,在Na2SO4上干燥,过滤,并在减压下浓缩以产生化合物201,为油,在没有进一步表征的情况下结转。
13-(1-(((9H-芴-9-基)甲氧基)羰基)哌啶-4-基)-2,2-二甲基-4,14-二氧代-3,7,10-三氧杂-13-氮杂十七烷-17-酸(202)的合成
对带有磁搅动棒的干燥的闪烁管添加来自先前步骤的N-Fmoc-哌啶-4-氨基-PEG2-CO2t-Bu(201),琥珀酸酐(270mg,2.7mmol),和二氯甲烷(5mL)。于室温搅动混合物18小时。在EtOAc和饱和NaHCO3之间分配反应混合物。用EtOAc(3x)萃取水层。用HCl(1M)酸化水层直至pH~3。用DCM萃取水层(3x)。将合并的有机层在Na2SO4上干燥,过滤,并在减压下浓缩。通过C18急骤层析(洗脱液10-100%MeCN/含0.1%乙酸的水)纯化反应混合物。将含有产物的级分在减压下浓缩,然后与甲苯(3x 50mL)一起共沸以去除残余的乙酸以提供534mg(42%,2个步骤)化合物202,为白色固体。
1H NMR(DMSO-d6)δ11.96(br,1H),7.89(d,2H,J=7.2),7.63(d,2H,J=7.2),7.42(t,2H,J=7.2),7.34(t,2H,J=7.2),4.25-4.55(m,3H),3.70-4.35(m,3H),3.59(t,2H,J=6.0),3.39(m,5H),3.35(m,3H),3.21(br,1H),2.79(br,2H),2.57(m,2H),2.42(q,4H,J=6.0),1.49(br,3H),1.37(s,9H)。
C35H47N2O9的MS(ESI)m/z:[M+H]+,计算639.3;发现639.2。
(2S)-1-(((14S,16S,33S,2R,4S,10E,12E,14R)-86-氯-14-羟基-85,14-二甲氧基-33,2,7,10-四甲基-12,6-二氧代-7-氮杂-1(6,4)-夹氧氮杂环己烷-3(2,3)-夹氧杂环丙烷-8(1,3)-夹苯环十四烷-10,12-二烯-4-基)氧基)-2,3-二甲基-1,4,7-三氧代-8-(哌啶-4-基)-11,14-二氧杂-3,8-二氮杂十七烷-17-酸(203)的合成
对酯202(227mg,0.356mmol),二异丙基乙基胺(174μL,1.065mmol),N-脱乙酰基美登木素124(231mg,0.355mmol)在2mL DMF中的溶液添加PyAOP(185mg,0.355mmol)。搅动溶液30分钟。将哌啶(0.5mL)添加至反应混合物并再搅动20分钟。使用梯度0-100%乙腈:水通过C18反相层析纯化粗制反应混合物,提供203.2mg(55%,2个步骤)化合物203。
(2S)-8-(1-(3-(2-((2-(((9H-芴-9-基)甲氧基)羰基)-1,2-二甲基肼基)甲基)-1H-吲哚-1-基)丙酰基)哌啶-4-基)-2,3-二甲基-4,7-二氧代-11,14-二氧杂-3,8-二氮杂十七烷二酸17-(叔丁基)酯1-((14S,16S,33S,2R,4S,10E,12E,14R)-86-氯-14-羟基-85,14-二甲氧基-33,2,7,10-四甲基-12,6-二氧代-7-氮杂-1(6,4)-夹氧氮杂环己烷-3(2,3)-夹氧杂环丙烷-8(1,3)-夹苯环十四烷-10,12-二烯-4-基)酯(204)的合成
搅动哌啶203(203.2mg,0.194mmol),酯5(126.5mg,0.194mmol),2,4,6-三甲基吡啶(77μL,0.582mmol),HOAT(26.4mg,0.194mmol)在1mL DMF中的溶液30分钟。使用梯度0-100%乙腈:含0.1%甲酸的水通过C18反相层析纯化粗制反应,提供280.5mg(97%产率)化合物204。
C81H106ClN8O18的MS(ESI)m/z:[M+H]+,计算1513.7;发现1514.0。
(2S)-8-(1-(3-(2-((2-(((9H-芴-9-基)甲氧基)羰基)-1,2-二甲基肼基)甲基)-1H-吲哚-1-基)丙酰基)哌啶-4-基)-1-(((14S,16S,33S,2R,4S,10E,12E,14R)-86-氯-14-羟基-85,14-二甲氧基-33,2,7,10-四甲基-12,6-二氧代-7-氮杂-1(6,4)-夹氧氮杂环己烷-3(2,3)-夹氧杂环丙烷-8(1,3)-夹苯环十四烷-10,12-二烯-4-基)氧基)-2,3-二甲基-1,4,7-三氧代-11,14-二氧杂-3,8-二氮杂十七烷-17-酸(205)的合成
对化合物204(108mg,0.0714mmol)在500μL无水DCM中的溶液添加357μL SnCl4在DCM中的1M溶液。将异质混合物搅动1小时,然后使用梯度0-100%乙腈:含0.1%甲酸的水通过C18反相层析纯化,提供78.4mg(75%产率)化合物205。
C77H96ClN8O18的MS(ESI)m/z:[M-H]-,计算1455.7;发现1455.9。
实施例4
依照下文所示方案26合成含有哌啶-4-氨基(4AP)基团的接头。
方案26
4-氧代哌啶-1-羧酸叔丁酯(210)的合成
对带有磁搅动棒的100mL圆底烧瓶添加哌啶-4-酮氢氯化物单水合物(1.53g,10mmol),一缩二碳酸二叔丁酯(2.39g,11mmol),碳酸钠(1.22g,11.5mmol),二氧杂环己烷(10mL),和水(1mL)。于室温搅动反应混合物1小时。将混合物用水(100mL)稀释并用EtOAc(3x 100mL)萃取。将合并的有机层用盐水清洗,在Na2SO4上干燥,过滤,并在减压下浓缩。在真空中干燥所得材料以产生1.74g(87%)化合物210,为白色固体。
1H NMR(CDCl3)δ3.73(t,4H,J=6.0),2.46(t,4H,J=6.0),1.51(s,9H)。
C10H18NO3的MS(ESI)m/z:[M+H]+,计算200.3;发现200.2。
4-((2-(2-(3-(叔丁氧基)-3-氧代丙氧基)乙氧基)乙基)氨基)哌啶-1-羧酸叔丁酯(211)的合成
对带有磁搅动棒的干燥的闪烁管添加4-氧代哌啶-1-羧酸叔丁酯(399mg,2mmol),H2N-PEG2-COOt-Bu(550mg,2.4mmol),分子筛(经过活化的粉,200mg),和1,2-二氯乙烷(5mL)。于室温搅动混合物1小时。对反应混合物添加三乙酸基硼氢化钠(845mg,4mmol)。于室温搅动混合物3天。在EtOAc和饱和NaHCO3水溶液之间分配所得混合物。将有机层用盐水清洗,在Na2SO4上干燥,过滤,并在减压下浓缩以提供850mg化合物211,为粘性油。
C21H41N2O6的MS(ESI)m/z:[M+H]+,计算417.3;发现417.2。
13-(1-(叔丁氧基羰基)哌啶-4-基)-2,2-二甲基-4,14-二氧代-3,7,10-三氧杂-13-氮杂十七烷-17-酸(212)的合成
对带有磁搅动棒的干燥的闪烁管添加4-((2-(2-(3-(叔丁氧基)-3-氧代丙氧基)乙氧基)乙基)氨基)哌啶-1-羧酸叔丁酯211(220mg,0.5mmol),琥珀酸酐(55mg,0.55mmol),4-(二甲基氨基)吡啶(5mg,0.04mmol),和二氯甲烷(3mL)。于室温搅动混合物24小时。通过急骤层析(洗脱液50-100%EtOAc/己烷)部分纯化反应混合物以产生117mg化合物212,为清澈油,在没有进一步表征的情况下结转。
C25H45N2O9的MS(ESI)m/z:[M+H]+,计算517.6;发现517.5。
(2S)-8-(1-(叔丁氧基羰基)哌啶-4-基)-2,3-二甲基-4,7-二氧代-11,14-二氧杂-3,8-二氮杂十七烷二酸17-(叔丁基)酯1-((14S,16S,33S,2R,4S,10E,12E,14R)-86-氯-14-羟基-85,14-二甲氧基-33,2,7,10-四甲基-12,6-二氧代-7-氮杂-1(6,4)-夹氧氮杂环己烷-3(2,3)-夹氧杂环丙烷-8(1,3)-夹苯环十四烷-10,12-二烯-4-基)酯(213)的合成
对带有磁搅动棒的干燥的闪烁管添加13-(1-(叔丁氧基羰基)哌啶-4-基)-2,2-二甲基-4,14-二氧代-3,7,10-三氧杂-13-氮杂十七烷-17-酸212(55mg,0.1mmol),N-脱酰基美登木素124(65mg,0.1mmol),HATU(43mg,0.11mmol),DMF(1mL),和二氯甲烷(0.5mL)。于室温搅动混合物8小时。通过C18急骤层析(洗脱液5-100%MeCN/水)直接纯化反应混合物以给出18mg(16%)化合物213,为白色薄膜。
C57H87ClN5O17的MS(ESI)m/z:[M+H]+,计算1148.6;发现1148.7。
(2S)-1-(((14S,16S,33S,2R,4S,10E,12E,14R)-86-氯-14-羟基-85,14-二甲氧基-33,2,7,10-四甲基-12,6-二氧代-7-氮杂-1(6,4)-夹氧氮杂环己烷-3(2,3)-夹氧杂环丙烷-8(1,3)-夹苯环十四烷-10,12-二烯-4-基)氧基)-2,3-二甲基-1,4,7-三氧代-8-(哌啶-4-基)-11,14-二氧杂-3,8-二氮杂十七烷-17-酸(214)的合成
对带有磁搅动棒的干燥的闪烁管添加美登木素生物碱213(31mg,0.027mmol)和二氯甲烷(1mL)。将溶液冷却至0℃并添加四氯化锡(IV)(1.0M溶液,在二氯甲烷中,0.3mL,0.3mmol)。于0℃搅动反应混合物1小时。通过C18急骤层析(洗脱液5-100%MeCN/水)直接纯化反应混合物以产生16mg(60%)化合物214,为白色固体(16mg,60%产率)。
C48H71ClN5O15的MS(ESI)m/z:[M+H]+,计算992.5;发现992.6。
(2S)-8-(1-(3-(2-((2-(((9H-芴-9-基)甲氧基)羰基)-1,2-二甲基肼基)甲基)-1H-吲哚-1-基)丙酰基)哌啶-4-基)-1-(((14S,16S,33S,2R,4S,10E,12E,14R)-86-氯-14-羟基-85,14-二甲氧基-33,2,7,10-四甲基-12,6-二氧代-7-氮杂-1(6,4)-夹氧氮杂环己烷-3(2,3)-夹氧杂环丙烷-8(1,3)-夹苯环十四烷-10,12-二烯-4-基)氧基)-2,3-二甲基-1,4,7-三氧代-11,14-二氧杂-3,8-二氮杂十七烷-17-酸(215)的合成
对带有磁搅动棒的干燥的闪烁管添加美登木素生物碱214(16mg,0.016mmol),1,2-二甲基-2-((1-(3-氧代-3-(全氟苯氧基)丙基)-1H-吲哚-2-基)甲基)肼-1-羧酸(9H-芴-9-基)甲基酯(5)(13mg,0.02mmol),DIPEA(8μL,0.05mmol),和DMF(1mL)。于室温搅动溶液18小时。通过C18急骤层析(洗脱液5-100%MeCN/水)直接纯化反应混合物以产生18mg(77%)化合物215,为白色固体。
C77H98ClN8O18的MS(ESI)m/z:[M+H]+,计算1457.7;发现1457.9。
(2S)-1-(((14S,16S,33S,2R,4S,10E,12E,14R)-86-氯-14-羟基-85,14-二甲氧基-33,2,7,10-四甲基-12,6-二氧代-7-氮杂-1(6,4)-夹氧氮杂环己烷-3(2,3)-夹氧杂环丙烷-8(1,3)-夹苯环十四烷-10,12-二烯-4-基)氧基)-8-(1-(3-(2-((1,2-二甲基肼基)甲基)-1H-吲哚-1-基)丙酰基)哌啶-4-基)-2,3-二甲基-1,4,7-三氧代-11,14-二氧杂-3,8-二氮杂十七烷-17-酸(216)的合成
对带有磁搅动棒的干燥的闪烁管添加美登木素生物碱215(18mg,0.012mmol),哌啶(20μL,0.02mmol),和DMF(1mL)。于室温搅动溶液20分钟。通过C18急骤层析(洗脱液1-60%MeCN/水)直接纯化反应混合物以产生15mg(98%)化合物216(在本文中也称作HIPS-4AP-美登木素或HIPS-4-氨基-哌啶-美登木素),为白色固体。
C62H88ClN8O16的MS(ESI)m/z:[M+H]+,计算1235.6;发现1236.0。
实施例5
生物缀合,纯化,和HPLC分析学
方法:
于37℃在含有0.85%DMA的50mM柠檬酸钠,50mM NaCl pH 5.5中将C端带醛标签的αHER2抗体(15mg/mL)缀合至HIPS-4AP-美登木素(见实施例4)(8个摩尔当量的药物:抗体)达72小时。使用制备规模的疏水相互作用层析(HIC;GE Healthcare 17-5195-01)去除未缀合的抗体,流动相A:1.0M硫酸铵,25mM磷酸钠pH 7.0,而流动相B:25%异丙醇,18.75mM磷酸钠pH 7.0。使用33%B的等度梯度来洗脱未缀合的材料,接着使用41-95%B的线性梯度来洗脱单缀合种类和双缀合种类。为了测定最终产物的DAR,通过分析性HIC(Tosoh#14947)检查抗体-药物缀合物(ADC),流动相A:1.5M硫酸铵,25mM磷酸钠pH 7.0,而流动相B:25%异丙醇,18.75mM磷酸钠pH 7.0。为了测定聚集,使用分析性大小排阻层析(SEC;Tosoh#08541)分析样品,流动相为300mM NaCl,25mM磷酸钠pH 6.8。
结果:
如上所述将经修饰于重链C端(CT)含有醛标签的αHER2抗体缀合至附着至HIPS-4AP接头的美登木素载荷。一旦完成,通过制备性HIC去除未缀合的抗体并通过切向流过滤在缓冲液交换期间去除任何剩余游离药物。这些反应具有高产率,缀合效率≥84%且总产率>50%。所得ADC具有1.6-1.9的药物对抗体比(DAR)且单体占优势。图18-21显示粗制反应和纯化ADC的例子的DAR,是通过HIC和反相PLRP层析测定的,而且显示了单体完整性,是通过SEC测定的。
图18显示缀合至附着至HIPS-4AP接头的美登木素载荷的重链C端(CT)带标签的αHER2抗体的一个例子(见实施例4)的疏水相互作用层析(HIC)分析的图。粗制产物药物对抗体比(DAR)通过HIC测定为1.64。
图19显示缀合至附着至HIPS-4AP接头的美登木素载荷的重链C端(CT)带标签的αHER2抗体的一个例子(见实施例4)的疏水相互作用层析(HIC)分析的图。最终产物的药物对抗体比(DAR)通过HIC测定为1.86。
图20显示缀合至附着至HIPS-4AP接头的美登木素载荷的重链C端(CT)带标签的αHER2抗体的一个例子(见实施例4)的聚合反相(PLRP)层析分析的图。最终产物的药物对抗体比(DAR)通过PLRP测定为1.84。
图21显示缀合至附着至HIPS-4AP接头的美登木素载荷的重链C端(CT)带标签的αHER2抗体的一个例子(见实施例4)的分析性大小排阻层析(SEC)分析的图。分析性SEC指示最终产物为98.5%单体。
体外稳定性
方法:
以40μg/mL将抗体-药物缀合物掺入大鼠血浆。将样品分小样并保存于-80℃直至使用。将小样于37℃在5%CO2下放置指定时间,然后通过ELISA进行分析以评估抗美登木素和抗Fc信号。使用新鲜融化的小样作为缀合的参照起始值。在测定法的线性范围(20-40ng/mL)内在封闭缓冲液(酪蛋白缓冲液,Thermo Fisher)中稀释样品。在一块板上一起测量所有分析物从而能够在各时间点之间进行比较。在用抗人Fab特异性抗体包被顶部四行(用于抗美登木素读出)和用抗人IgG特异性抗体包被底部四行(用于抗Fc读出)的板上捕捉分析物。然后,用抗美登木素抗体(内部生成和验证),接着用HRP缀合的二抗检测载荷;用直接缀合的抗人Fc特异性抗体检测总的抗体。用Ultra TMB一步式ELISA底物(Thermo Fisher)显现结合的二抗。用H2SO4终止显色反应,并使用Molecular Devices SpectraMax M5读板仪测定450nm处的吸光度。在Excel中实施数据分析。一式四份分析每份样品,并使用平均值。对于抗体缀合的测量,使用抗美登木素信号对抗Fc信号的比率。
结果:
测试于CT处缀合至HIPS-4AP-美登木素的αHER2 ADC的稳定性。于37℃在血浆中7天里没有观察到解缀合的证据,而且在相同条件下14天后只观察到最小限度(5%)的载荷损失(图22)。
体外细胞毒性
方法:
HER2阳性胃癌细胞系NCI-N87自ATCC获得并在补充有10%胎牛血清(Invitrogen)和Glutamax(Invitrogen)的RPMI-1640培养基(Cellgro)中维持。分配前24小时,将细胞传代以确保对数期生长。在分配那天,在90μL补充有10IU青霉素和10μg/mL链霉素(Cellgro)的普通生长培养基中将5000个细胞/孔接种到96孔板上。以各种浓度用10μL稀释的分析物(缀合至HIPS-4AP-美登木素和美登木素的αHER2 ADC)处理细胞,并将板于37℃在5%CO2气氛中温育。6天后,添加100μL/孔CellTiter-Glo试剂(Promega),并使用Molecular DevicesSpectraMax M5读板仪测量发光。使用GraphPad Prism软件进行数据分析。
结果:
与游离美登木素相比,αHER2 CT HIPS-4AP-美登木素在体外展现非常有力的针对NCI-N87细胞的活性(图23)。ADC和游离药物的IC50浓度分别为0.032和0.35nM。
直接ELISA HER2抗原结合
方法:
于4℃用PBS中的1μg/mL人HER2-His(Sino Biological)包被Maxisorp 96孔板(Nunc)过夜。用酪蛋白缓冲液(ThermoFisher)封闭板,然后以始于200ng/mL的11步连续2倍稀释液分配αHER2野生型抗体和ADC。于室温摇动温育板2小时。在PBS 0.1%Tween-20中清洗后,用驴抗人Fc-γ特异性辣根过氧化物酶(HRP)缀合的二抗检测结合的分析物。用UltraTMB(Pierce)显现信号并用2N H2SO4淬灭。使用分子Devices SpectraMax M5读板仪测定450nm处的吸光度并使用GraphPad Prism分析数据。
结果:
如图24中所示,没有观察到醛标签放置或HIPS-4AP-美登木素缀合对抗原结合的影响。来自这些数据的野生型和4AP缀合的抗体的计算EC50浓度分别为6.0和5.3ng/mL。
异种移植物研究
方法:
给雄性BALB/c裸小鼠皮下接种4.5x 106个NCI-N87肿瘤细胞。当肿瘤达到平均269mm3时开始处理,此时对动物静脉内给药CT带标签的αHER2 HIPS-4AP-美登木素(3或6mg/kg)或CT带标签的同种型对照HIPS-4AP-美登木素缀合物(6mg/kg)。一周一次进行给药,持续四周。一周两次对动物监测体重和肿瘤尺寸。当肿瘤达到1500mm3时对动物处以安乐死。
结果:
处理18天后,服用αHER2 ADC的动物中的所有肿瘤均响应药物(图25)。在服用6mg/kg的动物中观察到生长的最大降低,其具有25%(T/C)的肿瘤生长抑制率。服用同种型对照ADC的动物显示与媒介处理对照相似的肿瘤生长(95%T/C率)。
虽然已经参考其具体实施方案描述了本发明,但是本领域技术人员应当了解,在不违背本发明的真正精神和范围的情况下可以做出各种变化且可以取代等效方案。另外,可以做出许多修改以使特定的情况,材料,物质组合物,工艺,一个或多个工艺步骤适应本发明的目的,精神和范围。所有这些修改意图在本发明所附权利要求的范围内。
Claims (28)
1.一种缀合物,其包含至少一个式(I)的经修饰的氨基酸残基:
其中
Q1是C或N,其中若Q1是N,则Y1缺失;
Y1选自氢,卤素,烷基,取代的烷基,烯基,取代的烯基,炔基,取代的炔基,烷氧基,取代的烷氧基,氨基,取代的氨基,羧基,羧基酯,酰基,酰氧基,酰基氨基,氨基酰基,烷基酰胺,取代的烷基酰胺,磺酰基,硫代烷氧基,取代的硫代烷氧基,芳基,取代的芳基,杂芳基,取代的杂芳基,环烷基,取代的环烷基,杂环基,和取代的杂环基;
R1选自氢,烷基,取代的烷基,烯基,取代的烯基,炔基,取代的炔基,芳基,取代的芳基,杂芳基,取代的杂芳基,环烷基,取代的环烷基,杂环基,和取代的杂环基;
R2和R3每个独立选自氢,烷基,取代的烷基,烯基,取代的烯基,炔基,取代的炔基,烷氧基,取代的烷氧基,氨基,取代的氨基,羧基,羧基酯,酰基,酰氧基,酰基氨基,氨基酰基,烷基酰胺,取代的烷基酰胺,磺酰基,硫代烷氧基,取代的硫代烷氧基,芳基,取代的芳基,杂芳基,取代的杂芳基,环烷基,取代的环烷基,杂环基,和取代的杂环基,或R2和R3任选环状连接以形成5或6元杂环基;
L是包含-(T1-Z1)a-(T2-Z2)b-(T3-Z3)c-(T4-Z4)d的接头,其中a,b,c,和d每个独立是0或1,其中a,b,c,和d的和是3或4;
T1选自(C1-C12)烷基和取代的(C1-C12)烷基;
T2是哌啶-4-氨基(4AP);
T3选自(C1-C12)烷基和取代的(C1-C12)烷基;
T4如果存在的话是(AA)p,其中p是1至20的整数;
Z1,Z2,Z3,和Z4每个独立选自下组:共价键和-CO-;
W1是美登木素生物碱;且
W2是包含经修饰的硫酸酯酶基序的抗HER2抗体,该经修饰的硫酸酯酶基序包含式(I)的经修饰的氨基酸残基。
3.权利要求1的缀合物,其中T1,T2,T3,和T4和Z1,Z2,Z3,和Z4选自下表:
。
4.权利要求1的缀合物,其中L选自如下结构之一:
其中
每个f独立是0或1至12的整数;
每个n独立是0或1至30的整数;
每个p独立是0或1至20的整数;
每个R独立是氢,烷基,取代的烷基,聚乙二醇模块,烯基,取代的烯基,炔基,取代的炔基,烷氧基,取代的烷氧基,氨基,取代的氨基,羧基,羧基酯,酰基,酰氧基,酰基氨基,氨基酰基,烷基酰胺,取代的烷基酰胺,磺酰基,硫代烷氧基,取代的硫代烷氧基,芳基,取代的芳基,杂芳基,取代的杂芳基,环烷基,取代的环烷基,杂环基,和取代的杂环基;且
每个R’独立是H,氨基酸的侧链基团,烷基,取代的烷基,烯基,取代的烯基,炔基,取代的炔基,烷氧基,取代的烷氧基,氨基,取代的氨基,羧基,羧基酯,酰基,酰氧基,酰基氨基,氨基酰基,烷基酰胺,取代的烷基酰胺,磺酰基,硫代烷氧基,取代的硫代烷氧基,芳基,取代的芳基,杂芳基,取代的杂芳基,环烷基,取代的环烷基,杂环基,和取代的杂环基。
6.权利要求1的缀合物,其中所述抗HER2抗体结合HER2结构域I,结构域II,结构域III,或结构域IV内的表位。
7.权利要求1的缀合物,其中所述抗HER2抗体结合SEQ ID NO:1氨基酸561-625内或氨基酸529-625内的表位。
8.权利要求1的缀合物,其中所述抗HER2抗体是huMAb4D5-8。
9.权利要求1的缀合物,其中所述抗HER2抗体的经修饰的硫酸酯酶基序包含式(II)的序列:
X1(FGly’)X2Z20X3Z30 (II),
其中
FGly’是式(I)的经修饰的氨基酸残基;
Z20是脯氨酸或丙氨酸残基任一;
Z30是碱性氨基酸或脂肪族氨基酸;
X1可以存在或缺失,而且,当存在时,可以是任何氨基酸,前提是,当该序列处于缀合物的N端时,X1存在;且
X2和X3每个独立是任何氨基酸。
10.权利要求9的缀合物,其中所述序列是L(FGly’)TPSR。
11.权利要求9的缀合物,其中
Z30选自R,K,H,A,G,L,V,I,和P;
X1选自L,M,S,和V;且
X2和X3每个独立选自S,T,A,V,G,和C。
12.权利要求1的缀合物,其中所述经修饰的氨基酸残基位于所述抗HER2抗体的重链恒定区的C端。
13.权利要求12的缀合物,其中所述重链恒定区包含所述经修饰的硫酸酯酶基序,该经修饰的硫酸酯酶基序包含式(II)的序列:
X1(FGly’)X2Z20X3Z30 (II),
其中
FGly’是式(I)的经修饰的氨基酸残基;
Z20是脯氨酸或丙氨酸残基任一;
Z30是碱性氨基酸或脂肪族氨基酸;
X1可以存在或缺失,而且,当存在时,可以是任何氨基酸,前提是,当该序列处于缀合物的N端时,X1存在;且
X2和X3每个独立是任何氨基酸,且
其中该序列处于氨基酸序列SLSLSPG的C端。
14.权利要求13的缀合物,其中所述重链恒定区包含序列SPGSL(FGly’)TPSRGS。
15.权利要求13的缀合物,其中
Z30选自R,K,H,A,G,L,V,I,和P;
X1选自L,M,S,和V;且
X2和X3每个独立选自S,T,A,V,G,和C。
16.权利要求1的缀合物,其中所述经修饰的氨基酸残基位于所述抗HER2抗体的轻链恒定区中。
17.权利要求16的缀合物,其中所述轻链恒定区包含所述经修饰的硫酸酯酶基序,该经修饰的硫酸酯酶基序包含式(II)的序列:
X1(FGly’)X2Z20X3Z30 (II),
其中
FGly’是式(I)的经修饰的氨基酸残基;
Z20是脯氨酸或丙氨酸残基任一;
Z30是碱性氨基酸或脂肪族氨基酸;
X1可以存在或缺失,而且,当存在时,可以是任何氨基酸,前提是,当该序列处于缀合物的N端时,X1存在;且
X2和X3每个独立是任何氨基酸,且
其中该序列处于序列KVDNAL的C端和/或序列QSGNSQ的N端。
18.权利要求17的缀合物,其中所述轻链恒定区包含序列KVDNAL(FGly’)TPSRQSGNSQ。
19.权利要求17的缀合物,其中
Z30选自R,K,H,A,G,L,V,I,和P;
X1选自L,M,S,和V;且
X2和X3每个独立选自S,T,A,V,G,和C。
20.权利要求1的缀合物,其中所述经修饰的氨基酸残基位于所述抗HER2抗体的重链CH1区中。
21.权利要求20的缀合物,其中所述重链CH1区包含所述经修饰的硫酸酯酶基序,该经修饰的硫酸酯酶基序包含式(II)的序列:
X1(FGly’)X2Z20X3Z30 (II),
其中
FGly’是式(I)的经修饰的氨基酸残基;
Z20是脯氨酸或丙氨酸残基任一;
Z30是碱性氨基酸或脂肪族氨基酸;
X1可以存在或缺失,而且,当存在时,可以是任何氨基酸,前提是,当该序列处于缀合物的N端时,X1存在;且
X2和X3每个独立是任何氨基酸,且
其中该序列处于氨基酸序列SWNSGA的C端和/或氨基酸序列GVHTFP的N端。
22.权利要求21的缀合物,其中所述重链CH1区包含序列SWNSGAL(FGly’)TPSRGVHTFP。
23.权利要求21的缀合物,其中
Z30选自R,K,H,A,G,L,V,I,和P;
X1选自L,M,S,和V;且
X2和X3每个独立选自S,T,A,V,G,和C。
24.权利要求1的缀合物,其中所述经修饰的氨基酸残基位于所述抗HER2抗体的重链CH2区中。
25.权利要求1的缀合物,其中所述经修饰的氨基酸残基位于所述抗HER2抗体的重链CH3区中。
26.一种药学组合物,其包含:
权利要求1至25任一项的缀合物;和
药学可接受赋形剂。
27.权利要求1至25任一项的缀合物或包含权利要求1至25任一项的缀合物的药学组合物在制备供一种治疗受试者中的癌症的方法使用的药物中的用途,其中该方法包括:
对受试者施用治疗有效量的权利要求1至25任一项的缀合物或包含权利要求1至25任一项的缀合物的药学组合物,其中该施用有效治疗受试者中的癌症,其中所述癌症过表达HER2。
28.权利要求1至25任一项的缀合物或包含权利要求1至25任一项的缀合物的药学组合物在制备供一种将药物投递至受试者中的靶位点的方法使用的药物中的用途,其中该方法包括:
对受试者施用权利要求1至25任一项的缀合物或包含权利要求1至25任一项的缀合物的药学组合物,其中该施用有效在受试者的靶位点处自缀合物释放治疗有效量的药物,其中所述靶位点包含过表达HER2的细胞。
Applications Claiming Priority (3)
| Application Number | Priority Date | Filing Date | Title |
|---|---|---|---|
| US201462008980P | 2014-06-06 | 2014-06-06 | |
| US62/008,980 | 2014-06-06 | ||
| PCT/US2015/032746 WO2015187428A1 (en) | 2014-06-06 | 2015-05-27 | Anti-her2 antibody-maytansine conjugates and methods of use thereof |
Publications (2)
| Publication Number | Publication Date |
|---|---|
| CN106456608A CN106456608A (zh) | 2017-02-22 |
| CN106456608B true CN106456608B (zh) | 2020-08-28 |
Family
ID=54767195
Family Applications (1)
| Application Number | Title | Priority Date | Filing Date |
|---|---|---|---|
| CN201580026355.0A Active CN106456608B (zh) | 2014-06-06 | 2015-05-27 | 抗her2抗体-美登木素缀合物及其使用方法 |
Country Status (8)
| Country | Link |
|---|---|
| US (3) | US10124070B2 (zh) |
| EP (1) | EP3151830A4 (zh) |
| JP (1) | JP6668260B2 (zh) |
| KR (2) | KR102486180B1 (zh) |
| CN (1) | CN106456608B (zh) |
| AU (1) | AU2015271100B2 (zh) |
| CA (1) | CA2947484C (zh) |
| WO (1) | WO2015187428A1 (zh) |
Families Citing this family (23)
| Publication number | Priority date | Publication date | Assignee | Title |
|---|---|---|---|---|
| CA2824143C (en) | 2011-01-14 | 2018-12-18 | Redwood Bioscience, Inc. | Aldehyde-tagged immunoglobulin polypeptides and method of use thereof |
| CA2859755C (en) | 2011-12-23 | 2021-04-20 | Pfizer Inc. | Engineered antibody constant regions for site-specific conjugation and methods and uses therefor |
| AU2014354643B2 (en) | 2013-11-27 | 2020-03-05 | Redwood Bioscience, Inc. | Hydrazinyl-pyrrolo compounds and methods for producing a conjugate |
| CN106456608B (zh) * | 2014-06-06 | 2020-08-28 | 雷德伍德生物科技股份有限公司 | 抗her2抗体-美登木素缀合物及其使用方法 |
| KR102783230B1 (ko) | 2015-11-09 | 2025-03-19 | 알.피.쉐러 테크놀러지즈 엘엘씨 | 항-cd22 항체-메이탄신 콘쥬게이트 및 그것의 사용 방법 |
| CA2949032A1 (en) * | 2015-11-30 | 2017-05-30 | Pfizer Inc. | Site specific her2 antibody drug conjugates |
| EP3448885A4 (en) * | 2016-04-26 | 2020-01-08 | R.P. Scherer Technologies, LLC | ANTIBODY CONJUGATES AND METHOD FOR THE PRODUCTION AND USE THEREOF |
| AR108377A1 (es) * | 2016-05-06 | 2018-08-15 | Medimmune Llc | Proteínas de unión biespecíficas y sus usos |
| CN109563160B (zh) | 2016-06-24 | 2023-02-28 | 豪夫迈·罗氏有限公司 | 抗聚泛素多特异性抗体 |
| CN107913410B (zh) * | 2016-10-08 | 2021-02-02 | 浙江大学 | 两亲性共聚物-美登素类共价偶联药物、制备方法及应用 |
| KR20250171447A (ko) | 2017-02-28 | 2025-12-08 | 이뮤노젠 아이엔씨 | 자기희생적 펩티드 링커 및 이들의 접합체를 갖는 메이탄시노이드 유도체 |
| WO2018169953A1 (en) | 2017-03-17 | 2018-09-20 | R.P. Scherer Technologies, Llc | Antibody conjugates and methods of making and using the same |
| KR20200064085A (ko) | 2017-09-07 | 2020-06-05 | 큐 바이오파마, 인크. | 접합 부위를 갖는 t-세포 조절 다량체 폴리펩타이드 및 이의 사용 방법 |
| US11364303B2 (en) | 2017-09-29 | 2022-06-21 | Pfizer Inc. | Cysteine engineered antibody drug conjugates |
| CN108610415B (zh) * | 2018-05-15 | 2025-08-29 | 康元大工生物技术(大连)有限公司 | 一种抗体复合物的制备方法 |
| CA3100712A1 (en) * | 2018-05-17 | 2019-11-21 | Immunome, Inc. | Ch3 domain epitope tags |
| KR102871791B1 (ko) | 2018-09-10 | 2025-10-15 | 미라티 테라퓨틱스, 인크. | 병용 요법 |
| KR20200034369A (ko) | 2018-09-21 | 2020-03-31 | 건국대학교 글로컬산학협력단 | Her2에 특이적으로 결합하는 항체단편 및 이의 용도 |
| CN111228508B (zh) * | 2018-11-29 | 2023-02-17 | 暨南大学 | 一种多靶点抗肿瘤的多肽药物偶联物及其制备方法与应用 |
| WO2021066840A1 (en) | 2019-10-04 | 2021-04-08 | R.P. Scherer Technologies, Llc | Anti-cd25 antibody-maytansine conjugates and methods of use thereof |
| KR102247908B1 (ko) * | 2020-10-08 | 2021-05-06 | 주식회사 엠디엡투스 | Her2 압타머-항암 약물 복합체 및 이의 용도 |
| KR102393776B1 (ko) * | 2020-12-30 | 2022-05-04 | (주)이노베이션바이오 | Cd22에 특이적인 인간화 항체 및 이를 이용한 키메라 항원 수용체 |
| WO2022271771A2 (en) * | 2021-06-22 | 2022-12-29 | The General Hospital Corporation | Therapeutic targeting of cadherin 11 in cancer |
Family Cites Families (32)
| Publication number | Priority date | Publication date | Assignee | Title |
|---|---|---|---|---|
| US4816567A (en) | 1983-04-08 | 1989-03-28 | Genentech, Inc. | Recombinant immunoglobin preparations |
| JPS61134325A (ja) | 1984-12-04 | 1986-06-21 | Teijin Ltd | ハイブリツド抗体遺伝子の発現方法 |
| US5618920A (en) | 1985-11-01 | 1997-04-08 | Xoma Corporation | Modular assembly of antibody genes, antibodies prepared thereby and use |
| GB8607679D0 (en) | 1986-03-27 | 1986-04-30 | Winter G P | Recombinant dna product |
| US5225539A (en) | 1986-03-27 | 1993-07-06 | Medical Research Council | Recombinant altered antibodies and methods of making altered antibodies |
| US5530101A (en) | 1988-12-28 | 1996-06-25 | Protein Design Labs, Inc. | Humanized immunoglobulins |
| GB8928874D0 (en) | 1989-12-21 | 1990-02-28 | Celltech Ltd | Humanised antibodies |
| DE69233153T2 (de) | 1991-03-06 | 2004-05-27 | Merck Patent Gmbh | Humanisierte monoklonale antikörper |
| EP0519596B1 (en) | 1991-05-17 | 2005-02-23 | Merck & Co. Inc. | A method for reducing the immunogenicity of antibody variable domains |
| CA2078539C (en) | 1991-09-18 | 2005-08-02 | Kenya Shitara | Process for producing humanized chimera antibody |
| ES2136092T3 (es) | 1991-09-23 | 1999-11-16 | Medical Res Council | Procedimientos para la produccion de anticuerpos humanizados. |
| GB9125979D0 (en) | 1991-12-06 | 1992-02-05 | Wellcome Found | Antibody |
| IL104782A0 (en) | 1992-02-19 | 1993-06-10 | Schering Corp | Cloning and expression of humanized monoclonal antibodies against human interleukin-4 |
| US5639641A (en) | 1992-09-09 | 1997-06-17 | Immunogen Inc. | Resurfacing of rodent antibodies |
| US5705154A (en) | 1995-03-08 | 1998-01-06 | Schering Corporation | Humanized monoclonal antibodies against human interleukin-4 |
| NZ500078A (en) | 1997-04-07 | 2001-10-26 | Genentech Inc | Humanized anti-VEGF antibodies and their use in inhibiting VEGF-induced angiogenesis in mammals |
| ATE501170T1 (de) | 1997-04-07 | 2011-03-15 | Genentech Inc | Verfahren zur herstellung humanisierter antikörper durch randomisierte mutagenese |
| PT2283866E (pt) * | 1999-06-25 | 2015-07-20 | Genentech Inc | Métodos de tratamento utilizando conjugados de anticorpo anti-erbb-maitansinóide |
| US7097840B2 (en) | 2000-03-16 | 2006-08-29 | Genentech, Inc. | Methods of treatment using anti-ErbB antibody-maytansinoid conjugates |
| US7585491B2 (en) * | 2002-12-13 | 2009-09-08 | Immunomedics, Inc. | Immunoconjugates with an intracellularly-cleavable linkage |
| US20050276812A1 (en) * | 2004-06-01 | 2005-12-15 | Genentech, Inc. | Antibody-drug conjugates and methods |
| EP1539947A4 (en) | 2002-08-15 | 2006-09-06 | Epitomics Inc | HUMANIZED RABBIT ANTIBODIES |
| JP2007520991A (ja) | 2003-08-07 | 2007-08-02 | エピトミクス インコーポレーティッド | ウサギ単クローン抗体をヒト型化する方法 |
| NZ553500A (en) * | 2004-09-23 | 2009-11-27 | Genentech Inc Genentech Inc | Cysteine engineered antibodies and conjugates withCysteine engineered antibodies and conjugates with a free cysteine amino acid in the heavy chain a free cysteine amino acid in the heavy chain |
| US7985783B2 (en) | 2006-09-21 | 2011-07-26 | The Regents Of The University Of California | Aldehyde tags, uses thereof in site-specific protein modification |
| US8729232B2 (en) | 2008-03-27 | 2014-05-20 | The Regents Of The University Of California | Aldehyde tags, uses thereof in site-specific protein modification |
| ES2532635T3 (es) * | 2008-07-15 | 2015-03-30 | Genentech, Inc. | Conjugados de antraciclina, proceso para su preparación y su uso como compuestos antitumorales |
| CA2824143C (en) | 2011-01-14 | 2018-12-18 | Redwood Bioscience, Inc. | Aldehyde-tagged immunoglobulin polypeptides and method of use thereof |
| AU2013341711A1 (en) * | 2012-11-12 | 2015-05-21 | Redwood Bioscience, Inc. | Compounds and methods for producing a conjugate |
| US9310374B2 (en) | 2012-11-16 | 2016-04-12 | Redwood Bioscience, Inc. | Hydrazinyl-indole compounds and methods for producing a conjugate |
| AU2014354643B2 (en) * | 2013-11-27 | 2020-03-05 | Redwood Bioscience, Inc. | Hydrazinyl-pyrrolo compounds and methods for producing a conjugate |
| CN106456608B (zh) * | 2014-06-06 | 2020-08-28 | 雷德伍德生物科技股份有限公司 | 抗her2抗体-美登木素缀合物及其使用方法 |
-
2015
- 2015-05-27 CN CN201580026355.0A patent/CN106456608B/zh active Active
- 2015-05-27 JP JP2016570072A patent/JP6668260B2/ja not_active Expired - Fee Related
- 2015-05-27 CA CA2947484A patent/CA2947484C/en active Active
- 2015-05-27 KR KR1020167035312A patent/KR102486180B1/ko active Active
- 2015-05-27 KR KR1020237000324A patent/KR102557615B1/ko active Active
- 2015-05-27 AU AU2015271100A patent/AU2015271100B2/en not_active Ceased
- 2015-05-27 WO PCT/US2015/032746 patent/WO2015187428A1/en not_active Ceased
- 2015-05-27 EP EP15803360.5A patent/EP3151830A4/en active Pending
- 2015-05-27 US US14/723,393 patent/US10124070B2/en active Active
-
2018
- 2018-09-26 US US16/143,141 patent/US11097013B2/en active Active
-
2021
- 2021-07-22 US US17/383,076 patent/US12076411B2/en active Active
Also Published As
| Publication number | Publication date |
|---|---|
| KR102557615B1 (ko) | 2023-07-20 |
| US20190111151A1 (en) | 2019-04-18 |
| AU2015271100B2 (en) | 2020-07-30 |
| KR20170007806A (ko) | 2017-01-20 |
| CA2947484A1 (en) | 2015-12-10 |
| US20220023440A1 (en) | 2022-01-27 |
| US10124070B2 (en) | 2018-11-13 |
| WO2015187428A1 (en) | 2015-12-10 |
| JP2017520533A (ja) | 2017-07-27 |
| KR20230008917A (ko) | 2023-01-16 |
| US12076411B2 (en) | 2024-09-03 |
| CN106456608A (zh) | 2017-02-22 |
| AU2015271100A1 (en) | 2016-11-24 |
| KR102486180B1 (ko) | 2023-01-11 |
| EP3151830A1 (en) | 2017-04-12 |
| JP6668260B2 (ja) | 2020-03-18 |
| EP3151830A4 (en) | 2018-02-07 |
| US20150352225A1 (en) | 2015-12-10 |
| US11097013B2 (en) | 2021-08-24 |
| CA2947484C (en) | 2023-05-09 |
Similar Documents
| Publication | Publication Date | Title |
|---|---|---|
| CN106456608B (zh) | 抗her2抗体-美登木素缀合物及其使用方法 | |
| JP2024041959A (ja) | 抗cd22抗体-メイタンシンコンジュゲートおよびその使用方法 | |
| JP7109613B2 (ja) | 抗cd22抗体-メイタンシンコンジュゲートおよびその使用方法 | |
| CN114641283B (zh) | 抗cd25抗体-美登素偶联物及其使用方法 | |
| JP2022553579A (ja) | 抗cd37抗体-マイタンシンコンジュゲートおよびその使用方法 | |
| US20240245794A1 (en) | Anti-cd37 antibody-maytansine conjugates and methods of use thereof | |
| HK1258409B (zh) | 抗cd22抗体-美登木素缀合物及其使用方法 |
Legal Events
| Date | Code | Title | Description |
|---|---|---|---|
| C06 | Publication | ||
| PB01 | Publication | ||
| SE01 | Entry into force of request for substantive examination | ||
| SE01 | Entry into force of request for substantive examination | ||
| GR01 | Patent grant | ||
| GR01 | Patent grant |




































































