CN102918035A - 用作jnk的抑制剂的2-氨基-嘧啶衍生物 - Google Patents
用作jnk的抑制剂的2-氨基-嘧啶衍生物 Download PDFInfo
- Publication number
- CN102918035A CN102918035A CN2011800270842A CN201180027084A CN102918035A CN 102918035 A CN102918035 A CN 102918035A CN 2011800270842 A CN2011800270842 A CN 2011800270842A CN 201180027084 A CN201180027084 A CN 201180027084A CN 102918035 A CN102918035 A CN 102918035A
- Authority
- CN
- China
- Prior art keywords
- alkyl
- amino
- pyrimidine
- indoles
- propoxy
- Prior art date
- Legal status (The legal status is an assumption and is not a legal conclusion. Google has not performed a legal analysis and makes no representation as to the accuracy of the status listed.)
- Granted
Links
Classifications
-
- C—CHEMISTRY; METALLURGY
- C07—ORGANIC CHEMISTRY
- C07D—HETEROCYCLIC COMPOUNDS
- C07D403/00—Heterocyclic compounds containing two or more hetero rings, having nitrogen atoms as the only ring hetero atoms, not provided for by group C07D401/00
- C07D403/02—Heterocyclic compounds containing two or more hetero rings, having nitrogen atoms as the only ring hetero atoms, not provided for by group C07D401/00 containing two hetero rings
- C07D403/04—Heterocyclic compounds containing two or more hetero rings, having nitrogen atoms as the only ring hetero atoms, not provided for by group C07D401/00 containing two hetero rings directly linked by a ring-member-to-ring-member bond
-
- A—HUMAN NECESSITIES
- A61—MEDICAL OR VETERINARY SCIENCE; HYGIENE
- A61K—PREPARATIONS FOR MEDICAL, DENTAL OR TOILETRY PURPOSES
- A61K31/00—Medicinal preparations containing organic active ingredients
- A61K31/33—Heterocyclic compounds
- A61K31/395—Heterocyclic compounds having nitrogen as a ring hetero atom, e.g. guanethidine or rifamycins
- A61K31/495—Heterocyclic compounds having nitrogen as a ring hetero atom, e.g. guanethidine or rifamycins having six-membered rings with two or more nitrogen atoms as the only ring heteroatoms, e.g. piperazine or tetrazines
- A61K31/50—Pyridazines; Hydrogenated pyridazines
-
- A—HUMAN NECESSITIES
- A61—MEDICAL OR VETERINARY SCIENCE; HYGIENE
- A61K—PREPARATIONS FOR MEDICAL, DENTAL OR TOILETRY PURPOSES
- A61K31/00—Medicinal preparations containing organic active ingredients
- A61K31/33—Heterocyclic compounds
- A61K31/395—Heterocyclic compounds having nitrogen as a ring hetero atom, e.g. guanethidine or rifamycins
- A61K31/495—Heterocyclic compounds having nitrogen as a ring hetero atom, e.g. guanethidine or rifamycins having six-membered rings with two or more nitrogen atoms as the only ring heteroatoms, e.g. piperazine or tetrazines
- A61K31/505—Pyrimidines; Hydrogenated pyrimidines, e.g. trimethoprim
- A61K31/506—Pyrimidines; Hydrogenated pyrimidines, e.g. trimethoprim not condensed and containing further heterocyclic rings
-
- A—HUMAN NECESSITIES
- A61—MEDICAL OR VETERINARY SCIENCE; HYGIENE
- A61P—SPECIFIC THERAPEUTIC ACTIVITY OF CHEMICAL COMPOUNDS OR MEDICINAL PREPARATIONS
- A61P11/00—Drugs for disorders of the respiratory system
- A61P11/06—Antiasthmatics
-
- A—HUMAN NECESSITIES
- A61—MEDICAL OR VETERINARY SCIENCE; HYGIENE
- A61P—SPECIFIC THERAPEUTIC ACTIVITY OF CHEMICAL COMPOUNDS OR MEDICINAL PREPARATIONS
- A61P19/00—Drugs for skeletal disorders
- A61P19/02—Drugs for skeletal disorders for joint disorders, e.g. arthritis, arthrosis
-
- A—HUMAN NECESSITIES
- A61—MEDICAL OR VETERINARY SCIENCE; HYGIENE
- A61P—SPECIFIC THERAPEUTIC ACTIVITY OF CHEMICAL COMPOUNDS OR MEDICINAL PREPARATIONS
- A61P25/00—Drugs for disorders of the nervous system
-
- A—HUMAN NECESSITIES
- A61—MEDICAL OR VETERINARY SCIENCE; HYGIENE
- A61P—SPECIFIC THERAPEUTIC ACTIVITY OF CHEMICAL COMPOUNDS OR MEDICINAL PREPARATIONS
- A61P25/00—Drugs for disorders of the nervous system
- A61P25/14—Drugs for disorders of the nervous system for treating abnormal movements, e.g. chorea, dyskinesia
- A61P25/16—Anti-Parkinson drugs
-
- A—HUMAN NECESSITIES
- A61—MEDICAL OR VETERINARY SCIENCE; HYGIENE
- A61P—SPECIFIC THERAPEUTIC ACTIVITY OF CHEMICAL COMPOUNDS OR MEDICINAL PREPARATIONS
- A61P25/00—Drugs for disorders of the nervous system
- A61P25/28—Drugs for disorders of the nervous system for treating neurodegenerative disorders of the central nervous system, e.g. nootropic agents, cognition enhancers, drugs for treating Alzheimer's disease or other forms of dementia
-
- A—HUMAN NECESSITIES
- A61—MEDICAL OR VETERINARY SCIENCE; HYGIENE
- A61P—SPECIFIC THERAPEUTIC ACTIVITY OF CHEMICAL COMPOUNDS OR MEDICINAL PREPARATIONS
- A61P29/00—Non-central analgesic, antipyretic or antiinflammatory agents, e.g. antirheumatic agents; Non-steroidal antiinflammatory drugs [NSAID]
-
- A—HUMAN NECESSITIES
- A61—MEDICAL OR VETERINARY SCIENCE; HYGIENE
- A61P—SPECIFIC THERAPEUTIC ACTIVITY OF CHEMICAL COMPOUNDS OR MEDICINAL PREPARATIONS
- A61P3/00—Drugs for disorders of the metabolism
-
- A—HUMAN NECESSITIES
- A61—MEDICAL OR VETERINARY SCIENCE; HYGIENE
- A61P—SPECIFIC THERAPEUTIC ACTIVITY OF CHEMICAL COMPOUNDS OR MEDICINAL PREPARATIONS
- A61P3/00—Drugs for disorders of the metabolism
- A61P3/08—Drugs for disorders of the metabolism for glucose homeostasis
- A61P3/10—Drugs for disorders of the metabolism for glucose homeostasis for hyperglycaemia, e.g. antidiabetics
-
- A—HUMAN NECESSITIES
- A61—MEDICAL OR VETERINARY SCIENCE; HYGIENE
- A61P—SPECIFIC THERAPEUTIC ACTIVITY OF CHEMICAL COMPOUNDS OR MEDICINAL PREPARATIONS
- A61P37/00—Drugs for immunological or allergic disorders
- A61P37/02—Immunomodulators
- A61P37/06—Immunosuppressants, e.g. drugs for graft rejection
-
- A—HUMAN NECESSITIES
- A61—MEDICAL OR VETERINARY SCIENCE; HYGIENE
- A61P—SPECIFIC THERAPEUTIC ACTIVITY OF CHEMICAL COMPOUNDS OR MEDICINAL PREPARATIONS
- A61P43/00—Drugs for specific purposes, not provided for in groups A61P1/00-A61P41/00
-
- C—CHEMISTRY; METALLURGY
- C07—ORGANIC CHEMISTRY
- C07D—HETEROCYCLIC COMPOUNDS
- C07D401/00—Heterocyclic compounds containing two or more hetero rings, having nitrogen atoms as the only ring hetero atoms, at least one ring being a six-membered ring with only one nitrogen atom
- C07D401/02—Heterocyclic compounds containing two or more hetero rings, having nitrogen atoms as the only ring hetero atoms, at least one ring being a six-membered ring with only one nitrogen atom containing two hetero rings
- C07D401/04—Heterocyclic compounds containing two or more hetero rings, having nitrogen atoms as the only ring hetero atoms, at least one ring being a six-membered ring with only one nitrogen atom containing two hetero rings directly linked by a ring-member-to-ring-member bond
-
- C—CHEMISTRY; METALLURGY
- C07—ORGANIC CHEMISTRY
- C07D—HETEROCYCLIC COMPOUNDS
- C07D401/00—Heterocyclic compounds containing two or more hetero rings, having nitrogen atoms as the only ring hetero atoms, at least one ring being a six-membered ring with only one nitrogen atom
- C07D401/14—Heterocyclic compounds containing two or more hetero rings, having nitrogen atoms as the only ring hetero atoms, at least one ring being a six-membered ring with only one nitrogen atom containing three or more hetero rings
-
- C—CHEMISTRY; METALLURGY
- C07—ORGANIC CHEMISTRY
- C07D—HETEROCYCLIC COMPOUNDS
- C07D403/00—Heterocyclic compounds containing two or more hetero rings, having nitrogen atoms as the only ring hetero atoms, not provided for by group C07D401/00
- C07D403/14—Heterocyclic compounds containing two or more hetero rings, having nitrogen atoms as the only ring hetero atoms, not provided for by group C07D401/00 containing three or more hetero rings
-
- C—CHEMISTRY; METALLURGY
- C07—ORGANIC CHEMISTRY
- C07D—HETEROCYCLIC COMPOUNDS
- C07D409/00—Heterocyclic compounds containing two or more hetero rings, at least one ring having sulfur atoms as the only ring hetero atoms
- C07D409/14—Heterocyclic compounds containing two or more hetero rings, at least one ring having sulfur atoms as the only ring hetero atoms containing three or more hetero rings
-
- C—CHEMISTRY; METALLURGY
- C07—ORGANIC CHEMISTRY
- C07D—HETEROCYCLIC COMPOUNDS
- C07D487/00—Heterocyclic compounds containing nitrogen atoms as the only ring hetero atoms in the condensed system, not provided for by groups C07D451/00 - C07D477/00
- C07D487/02—Heterocyclic compounds containing nitrogen atoms as the only ring hetero atoms in the condensed system, not provided for by groups C07D451/00 - C07D477/00 in which the condensed system contains two hetero rings
Landscapes
- Chemical & Material Sciences (AREA)
- Organic Chemistry (AREA)
- Health & Medical Sciences (AREA)
- Medicinal Chemistry (AREA)
- Engineering & Computer Science (AREA)
- Bioinformatics & Cheminformatics (AREA)
- Pharmacology & Pharmacy (AREA)
- Life Sciences & Earth Sciences (AREA)
- Animal Behavior & Ethology (AREA)
- General Health & Medical Sciences (AREA)
- Public Health (AREA)
- Veterinary Medicine (AREA)
- Chemical Kinetics & Catalysis (AREA)
- General Chemical & Material Sciences (AREA)
- Nuclear Medicine, Radiotherapy & Molecular Imaging (AREA)
- Neurosurgery (AREA)
- Neurology (AREA)
- Biomedical Technology (AREA)
- Immunology (AREA)
- Diabetes (AREA)
- Epidemiology (AREA)
- Hematology (AREA)
- Obesity (AREA)
- Pulmonology (AREA)
- Rheumatology (AREA)
- Transplantation (AREA)
- Hospice & Palliative Care (AREA)
- Pain & Pain Management (AREA)
- Psychiatry (AREA)
- Psychology (AREA)
- Emergency Medicine (AREA)
- Orthopedic Medicine & Surgery (AREA)
- Physical Education & Sports Medicine (AREA)
- Endocrinology (AREA)
- Pharmaceuticals Containing Other Organic And Inorganic Compounds (AREA)
- Plural Heterocyclic Compounds (AREA)
- Nitrogen Condensed Heterocyclic Rings (AREA)
Abstract
式I的化合物或其药用盐,其中R5是式(a)或(b)的基团;并且其中m、n、p、q、X、Y、R1、R2、R3、R4、R5、R6、R7、R8和R9如本文所定义。本文公开的化合物和组合物可用于调节JNK的活性和治疗与JNK活性相关的疾病。
Description
本发明主要涉及药物化学和炎性病症治疗领域。更具体地,本发明涉及JNK抑制剂的前药,制备所述抑制剂的工艺和相应的用于抑制JNK和治疗JNK介导的病症的方法、制剂和组合物等。
JNK,c-Jun N-末端激酶(JNK)连同p38和细胞外信号调节激酶(ERK)是促分裂原活化蛋白激酶家族的成员。已经鉴定了三个截然不同的基因(jnk1,jnk2和jnk3),它们编码10种剪接变体。JNK1和JNK2在广泛多样的组织中表达,而JNK3主要在神经元中表达,和较小程度地在心脏和睾丸中表达。JNK家族的成员通过促炎细胞因子如肿瘤坏死因子α(TNF-α)和白介素-1β(IL-1β)以及环境应激活化。JNK的活化通过它的上游激酶,MKK4和MKK7,经由Thr-183和Tyr-185的双重磷酸化而介导。已经显示,MKK4和MMK7可以通过不同的上游激酶激活,所述不同的上游激酶包括MEKK1和MEKK4,这取决于外部刺激和细胞环境。JNK信号转导的特异性是通过使用称为JNK-相互作用蛋白的支架蛋白形成JNK-特异的信号转导复合物来实现的,所述复合物含有激酶级联的多个组分。通过磷酸化特异底物,JNK已经显示在炎症、T细胞功能、凋亡和细胞存活中发挥重要作用,所述底物包括转录因子如c-Jun,激活蛋白-1(AP1)家族成员,和ATF2,以及非转录因子如IRS-1和Bcl-2。据认为JNK的过度活化是自身免疫、炎性、代谢、神经学疾病以及癌症中的重要机制。
类风湿性关节炎(RA)是一种系统自身免疫疾病,其特征在于关节的慢性炎症。除了由炎症过程导致的关节肿胀和疼痛以外,大多数RA患者最终发展使人衰弱的关节损伤和变形。在细胞和动物模型中几条令人信服的药理学和遗传学证据强烈提示活化的JNK在RA发病机理中的相关性和重要性。首先,在来自RA患者的人关节炎关节和来自关节炎动物模型的啮齿动物的关节炎关节中都检测到JNK的异常激活。另外,通过选择性JNK抑制剂抑制JNK的激活阻断了人滑膜细胞、巨噬细胞和淋巴细胞中的促炎细胞因子和MMP的生成。重要地,在具有佐剂性关节炎的大鼠中或在具有胶原诱导性关节炎的小鼠中给予选择性JNK抑制剂,通过抑制细胞因子和胶原酶表达,有效地保护关节免于破坏并且显著地减轻了爪肿胀。
哮喘是一种气道慢性炎性疾病,其特征在于细胞炎症过程的存在和与气道结构变化相关的支气管高反应性。该病症已经显示由气道中的许多细胞类型所驱动,所述细胞包括T淋巴细胞,嗜酸性粒细胞,肥大细胞,嗜中性粒细胞和上皮细胞。基于最近的概念验证研究,JNK已经显现为对于哮喘的有希望的治疗靶标:已经显示,JNK抑制剂显著阻断在活化的人气道平滑细胞中的RANTES生产。更重要地,JNK抑制剂在慢性大鼠和小鼠模型中由于它们减少细胞浸润、炎症、高反应性、平滑肌增生和IgE生产的能力而显示良好的功效。这些观察结果提示JNK在变应性炎症、与高反应性相关的气道重塑过程中的重要作用。因此,预计JNK活性的阻断将对哮喘的治疗有益。
2型糖尿病是最严重和普遍的代谢疾病,其特征在于胰岛素抗性和胰岛素分泌损害,其是长期低水平炎症和与氧化应激相关的异常脂质代谢的结果。已经报道,JNK活性在肥胖和糖尿病病症下的各种糖尿病靶组织中异常升高。JNK途径被促炎细胞因子和氧化应激的激活通过在Ser307处磷酸化胰岛素受体底物-1(IRS-1)来负向地调节胰岛素信号转导,由此促进胰岛素抗性和葡萄糖耐量。有说服力的遗传学证据来自精细的动物模型研究,该研究使用与遗传性(ob/ob)肥胖小鼠或饮食性肥胖小鼠杂交的jnk-/-小鼠。JNK1丧失(JNK1-/-),但是JNK2功能未丧失(jnk2-/-),保护肥胖小鼠免于体重增加,增加血糖稳态水平,和降低血浆胰岛素水平。这些研究证明了JNK抑制剂在治疗肥胖/2型糖尿病中的潜在效用。
神经变性疾病,如阿尔茨海默病(AD),帕金森病(PD)和中风,是CNS疾病,其特征在于突触损失,神经元萎缩和死亡。导致c-Jun活化的JNK途径已经显示在分离的原代胚胎神经元和多种神经元细胞系在引入各种各样的刺激之后的凋亡中发挥因果作用。在AD患者的人脑或啮齿动物的脑切片中观察到了JNK的过度激活,所述啮齿动物的脑切片来源于神经变性疾病的动物模型。例如,在来自AD患者的事后检查的脑中检测到增加的磷酸-JNK。在啮齿动物的AD模型中施用JNK抑制性肽(JIP-1肽)防止突触可塑性的损害,所述AD是通过给予□-淀粉样蛋白肽来诱导的。在PD的动物模型(MPTP模型)中,与神经元细胞死亡同时观察到升高的磷酸-MKK4和磷酸-JNK。将JNK抑制性肽(JIP-1肽)用腺病毒基因转移到小鼠纹状体中,减轻了行为损伤,其中通过抑制MPTP-介导的JNK、c-Jun和胱天蛋白酶活化,因此阻断了黑质中的神经元细胞死亡。另外,在由谷氨酸兴奋毒性诱导的缺血性中风的动物模型中,缺失JNK3但是不缺失JNK1或JNK2的小鼠对于红藻氨酸(谷氨酸受体激动剂)-介导的发作或神经元死亡具有抗性。这些数据提示,JNK3主要负责谷氨酸兴奋毒性,谷氨酸兴奋毒性是缺血性病症中的一个重要成分。总之,这些数据提示JNK是对于与神经元细胞死亡相关的多种CNS疾病的有吸引力的靶标。
不受控制的细胞生长,增殖和迁移以及脱调节的血管发生导致恶性肿瘤形成。JNK信号转导途径可能在凋亡中不是独自起作用,持续的JNK活化导致AP1活化最近已经暗示促进特定癌症类型的细胞存活,所述癌症如神经胶质肿瘤和BCL-ABL转化的B淋巴母细胞。在神经胶质肿瘤的情形中,在大多数原发性脑瘤样品中看到增强的JNK/AP1活性。对于转化的B淋巴母细胞,显示BCL-ABL激活JNK途径,其又上调抗凋亡bcl-2基因的表达。有趣地,在难治性AML(急性髓细胞白血病)患者中看到的多药耐药性和过度增殖已经与这些AML样品中存在的持续的JNK活性因果关联。白血病细胞中JNK的激活导致外排泵的诱导表达,所述外排泵如负责多药耐药性的mdr1和MRP1。此外,激活的JNK途径还上调响应于氧化应激具有生存益处的基因,包括谷胱甘肽-S-转移酶□和□-谷氨酰半胱氨酸合成酶。
肾病特征在于由进行性肾小球硬化和肾小管间质纤维化导致肾单位功能丧失。肾病可能由于包括炎症,高血压,糖尿病或由抗生素,造影剂或其它肾毒性物质导致的急性组织损伤的许多病症而发展。JNK信号传导已经显示在来自许多人肾病的病理样本中被上调,所述人肾病包括免疫和非免疫介导的肾小球肾炎,糖尿病肾病,高血压,急性损伤(1),并且似乎在多囊肾病中起到信号转导作用(2)。对于JNK的重要作用和JNK抑制剂治疗潜力的具有说服力的证据得到了肾损伤动物模型研究的支持。JNK在大鼠抗肾小球基膜诱导的肾小球肾炎模型中增加,并且在急性和慢性疾病范例中肾功能都通过特定抑制剂得到改善(3)。JNK在Dahl盐敏感高血压大鼠,一种高血压肾病的模型中增加(4),以及在肾缺血再灌注损伤的模型中增加(5,6)。JNK可以有助于肾损伤的细胞机理部分地在于上调巨噬细胞中的促炎介质,以及在肾小球和管状上皮的细胞中直接活化促纤维化和促凋亡途径(7)。在多种疾病模型中通过抑制JNK改善肾功能的能力暗示JNK为治疗各种病因的肾病的有吸引力的标靶。
本发明提供式I的化合物
或其药用盐,
其中:
m是0至2;
n是0至2;
p是0至3;
X是CH或N;
各个R1独立地是:氢;或C1-6烷基;
各个R2独立地是:C1-6烷基;C1-6烷氧基卤代-C1-6烷基;或卤代-C1-6烷氧基;
R3是:C1-6烷基磺酰基-C1-6烷基;四氢噻吩基-1,1-氧化物(1,1-oxide)-C1-6烷基;或四氢噻喃-1,1-氧化物-C1-6烷基;
各个R4独立地是:C1-6烷基;C1-6烷氧基卤代-C1-6烷基;或卤代-C1-6烷氧基;
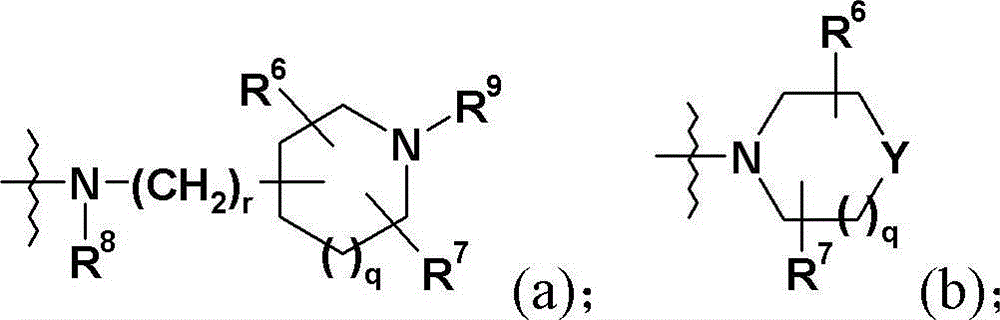
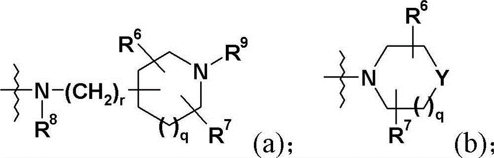
R5是式(a)或(b)的基团:
其中:
q是0或1;
r是0或1;
Y是:NR9;或CR10R11;
R6和R7各自独立地是:氢,羧基;羧基-C1-6烷基酯或C1-6烷基;或者R6和R7一起形成C1-2亚烷基;
R8是:氢;或C1-6烷基;
R9是:氢;或C1-6烷基;
R10是:氢;或C1-6烷基;并且
R11是:氢,C1-6烷氧基,NH2C(O)-,C1-6烷基;羟基-C1-6烷基;羧基;羧基-C1-6烷基;羧基-C1-6烷基酯;或羧基-C1-6烷基C1-6烷基酯。
本发明还提供制备所述主题化合物的方法,以及使用所述主题化合物来治疗JNK介导的疾病和病症的方法。
本公开内容中引用的所有出版物通过引用以其整体结合于本文中。
定义
除非另外声明,在本申请包括说明书和权利要求书中使用的以下术语具有下面给出的定义。必须指出,如说明书和后附权利要求书中使用的,单数形式“一个”、“一种”和“该”包括复数指代,除非上下文清楚地另外指示。因此,如本文中使用的短语“一个”或“一种”实体是指一个或多个该实体;例如,一种化合物指一种或多种化合物或至少一种化合物。因此,术语“一个”(或“一种”),“一个或多个”和“至少一个”可以在本文中互换使用。
如在此说明书中使用的,不管在过渡性短语中或在权利要求的主体中,术语“包含”和“包括”应当被解释为具有开放式的含义。即,这些术语应当被解释为与短语“至少具有”或“至少包括”同义。当在方法的上下文中使用时,术语“包含”是指该方法至少包括所述的步骤,但是可以包括另外的步骤。当在化合物或组合物的上下文中使用时,术语“包含”是指该化合物或组合物至少包括所述的特征或组分,但是还可以包括另外的特征或组分。
如本文中所用的,除非另外具体指出,单词“或”的使用是“和/或”的“包括”意思,而不是“或/或”的“排它”意思。
本文中使用的术语“独立地”是指变量被用于任何一种情况,而不考虑在相同的化合物内存在或不存在具有相同或不同定义的变量。因此,在其中R″出现两次并且被定义为“独立地为碳或氮”的化合物中,两个R″可以都是碳,两个R″可以都是氮,或者一个R″可以是碳并且另一个是氮。
在描绘或描述本发明中采用的或要求保护的化合物的任何部分或式中,任何变量(例如m、n、p、q、Q、r、R1、R2、R3、R4、X、X1、X2、X3、X4、X5、Y1、Y2、Z1和Z2)出现多于一次时,其在每一次出现时的定义独立于其在每一次另外出现时的定义。而且,取代基和/或变量的组合只有在这样的化合物导致稳定的化合物下是允许的。
在键末端处的符号″*″或划过键的″------″分别是指官能团或其它化学部分与其作为分子一部分的分子的余下部分的连接点。因此,例如:
划入环体系中的键(与在明确的顶点处连接相反的)是指该键可以连接到任何适宜的环原子。
如本文中所用的术语“任选的”或“任选地”是指随后描述的事件或情形可以、但不是必须发生,并且是指该描述包括事件或情形发生的情况,和它不发生的情况。例如,“任选取代的”是指任选取代的部分可以结合氢或取代基。
本文使用的术语“约”是指大致地、在...的左右、粗略地或大约。当术语“约”与一个数值范围一起使用时,它通过将边界延伸高于和低于所列出的数值而改变该范围。通常,本文使用术语“约”将数值改变到高于和低于所述的值20%的变化。
本发明的某些化合物可以显示出互变异构现象。互变异构的化合物可以以两种或更多种可以相互转化的物种存在。质子转移的互变异构体由共价结合的氢原子在两个原子之间的迁移得到。互变异构体通常存在着平衡并且分离单个互变异构体的尝试通常制备出其化学和物理性质与化合物的混合物一致的混合物。平衡的位置依赖于分子内的化学特征。例如,在许多脂族醛和酮如乙醛的情况下,酮形式占优势,而在酚类中,烯醇形式占优势。
本文使用的技术和科学术语具有本发明所属技术领域内的技术人员所通常理解的含义,除非另外定义。本文参考本领域技术人员已知的各种方法和材料。列出药理学的通用原理的标准参考作品包括Goodman和Gilman的The Pharmacological Basis of Therapeutics,第10版,McGraw HillCompanies Inc.,New York(2001)。可以将本领域技术人员已知的任何适宜材料和/或方法用于实施本发明。但是,描述的是优选的材料和方法。在下面的说明和实施例中涉及的材料、试剂等可获自商业来源,除非另外指出。
本文所述的定义可以被附加以形成化学上相关的组合,如“杂烷基芳基”,“卤代烷基杂芳基”,“芳基烷基杂环基”,“烷基羰基”,“烷氧基烷基”等。当术语“烷基”被用作另一个术语之后的后缀时,如在“苯基烷基”或“羟烷基”中时,它意在表示如上定义的烷基,其被一个至两个选自所述的另外具体指定的基团的取代基取代。因此,例如“苯基烷基”是指具有1至2个苯基取代基的烷基,并且因此包括苄基,苯基乙基,和联苯基。“烷基氨基烷基”是具有1至2个烷基氨基取代基的烷基。“羟烷基”包括2-羟基乙基,2-羟基丙基,1-(羟甲基)-2-甲基丙基,2-羟基丁基,2,3-二羟基丁基,2-(羟甲基),3-羟基丙基等。因而,如本文中所用的,术语“羟烷基”用来定义下面定义的杂烷基的子集。术语-(芳)烷基是指未取代的烷基或芳烷基。术语(杂(hetero))芳基或(杂(het))芳基是指芳基或杂芳基。
如本文中所用的术语“酰基”表示式-C(=O)R的基团,其中R是氢或如本文中定义的低级烷基。如本文中所用的术语“烷基羰基”表示式C(=O)R的基团,其中R是如本文中定义的烷基。术语C1-6酰基是指基团-C(=O)R,含6个碳原子。如本文中所用的术语“芳基羰基”表示式C(=O)R的基团,其中R是芳基;如本文中所用的术语“苯甲酰基”是指其中R是苯基的“芳基羰基”。
如本文中所用的术语“烷基”表示含有1至10个碳原子的未支化或支化的饱和一价烃残基。术语“低级烷基”表示含有1至6个碳原子的直链或支链烃残基。如本文中所用的“C1-10烷基”是指由1至10个碳构成的烷基。烷基的实例包括但不限于低级烷基,包括:甲基,乙基,丙基,异丙基,正丁基,异丁基,叔丁基或戊基,异戊基,新戊基,己基,庚基和辛基。
当术语“烷基”被用作另一个术语之后的后缀时,如在“苯基烷基”或“羟烷基”中时,它意在表示如上定义的烷基,其被一个至两个选自所述的另外具体指定的基团的取代基取代。因此,例如“苯基烷基”表示基团R′R″-,其中R′是苯基,并且R″是如本文中定义的亚烷基,其中理解的是苯基烷基部分的连接点将在亚烷基上。芳基烷基的实例包括但是不限于苄基,苯基乙基,3-苯基丙基。术语“芳基烷基”或“芳烷基”被类似地解释,不同之处在于R′是芳基。术语“(杂)芳基烷基”或“(杂)芳烷基”被类似地解释,不同之处在于R′任选是芳基或杂芳基。
除非另外指出,如本文中所用的术语“亚烷基”表示1至10个碳原子的二价饱和直链烃基(例如(CH2)n)或2至10个碳原子的支链饱和二价烃基(例如-CHMe-或-CH2CH(i-Pr)CH2-)。除了在亚甲基的情况下之外,亚烷基的开放价不连接到相同的原子上。亚烷基的实例包括但是不限于:亚甲基,亚乙基,亚丙基,2-甲基-亚丙基,1,1-二甲基-亚乙基,亚丁基,2-乙基亚丁基。
术语″烯基″表示包含至少一个双键的二至六个碳原子的直链单价烃基或三至六个碳原子的支链单价烃基,例如,乙烯基,丙烯基等。
如本文中所用的术语“烷氧基”表示-O-烷基基团,其中烷基如上定义,如甲氧基,乙氧基,正丙氧基,异丙氧基,正丁氧基,异丁氧基,叔丁氧基,戊氧基,己氧基,包括它们的异构体。如本文中所用的“低级烷氧基”表示具有如之前定义的“低级烷基”的烷氧基。如本文中所用的“C1-10烷氧基”是指-O-烷基,其中烷基是C1-10。
如本文中所使用的术语″烷基磺酰基″表示基团-SO2R,其中R是如本文中所定义的烷基。
如本文中所使用的术语″烷基磺酰基烷基″表示基团-R′SO2R,其中如本文中所定义的,R是烷基并且R′是亚烷基。示例性烷基磺酰基烷基包括3-甲磺酰基-丙氧基,2-甲磺酰基-乙氧基等。
如本文中所使用的术语″四氢噻吩基-1,1-氧化物-C1-6烷基″表示基团-RR′,其中R是如本文中所定义的亚烷基并且R′是四氢噻吩基-1,1-氧化物。示例性四氢噻吩基-1,1-氧化物-C1-6烷基包括1,1-二氧代-四氢-1λ6-噻吩-3-基甲基和2-(1,1-二氧代-四氢-1λ6-噻吩-3-基)-乙基。
如本文中所使用的术语″四氢噻喃-1,1-氧化物-C1-6烷基″表示基团-RR′,其中R是如本文中所定义的亚烷基并且R′是四氢噻喃-1,1-氧化物。示例性四氢噻喃-1,1-氧化物-C1-6烷基包括1,1-二氧代-六氢-1λ*6*-噻喃-3-基甲基和2-(1,1-二氧代-六氢-1λ*6*-噻喃-3-基)-乙基。
如本文中所使用的术语″羧基″表示式-COOH的基团。
如本文中所使用的术语″羧基烷基酯″表示式-COOR的基团,其中R是如本文中所定义的烷基。
如本文中所使用的术语″羧基-烷基″表示式-R′-COOH的基团,其中R′是如本文所述的亚烷基。
如本文中所使用的术语″羧基-烷基烷基酯″表示式-R′-COOR的基团,其中如本文所述的,R是烷基并且R′是亚烷基。
“芳基”表示一价环状芳族烃部分,其由单-、二-或三环芳环组成。芳基可以如本文定义被任选地取代。芳基部分的实例包括但不限于,任选取代的苯基,萘基,菲基,芴基,茚基,并环戊二烯基,薁基,氧联二苯基,联苯基,亚甲基二苯基,氨基二苯基,二苯基硫基,二苯磺酰基,二苯基亚异丙基,苯并二烷基,苯并呋喃基,苯并间二氧杂环戊烯基(benzodioxylyl),苯并吡喃基,苯并嗪基,苯并嗪酮基,苯并哌啶基(benzopiperadinyl),苯并哌嗪基,苯并吡咯烷基,苯并吗啉基,亚甲二氧基苯基,亚乙二氧基苯基等,包括它们的部分氢化衍生物。
术语“碱”包括但不限于NaOH,KOH,LiOH和碱金属碳酸盐如碳酸钾,碳酸钠,碳酸锂,碳酸氢钠,碳酸铯等。
“环烷基”或“碳环”是指由单环或二环构成的一价饱和碳环部分。环烷基可以任选地被一个或多个取代基取代,其中每个取代基独立地为羟基,烷基,烷氧基,卤素,卤代烷基,氨基,单烷基氨基,或二烷基氨基,除非另外具体指出。环烷基部分的实例包括但不限于环丙基,环丁基,环戊基,环己基,环庚基等,包括它们的部分不饱和衍生物。
“杂环烷基低级烷基”是指式-Ra-Rb的部分,其中Ra是低级亚烷基并且Rb是本文定义的杂环烷基。
如本文中所用的术语″杂芳基”或″杂芳族基(heteroaromatic)″是指5至12个环原子的单环或双环基团,其具有至少一个芳族环,每个环含有四至八个原子,结合有一个或多个N、O或S杂原子,其余环原子是碳,其中理解的是杂芳基的连接点将在芳族环上。如本领域中技术人员周知的,杂芳基环比它们的全碳对应物具有更低的芳族特性。因此,对于本发明而言,杂芳基只需要具有一定程度的芳族特性。杂芳基部分的实例包括具有5至6个环原子和1至3个杂原子的单环芳族杂环,包括但不限于,吡啶基,嘧啶基,吡嗪基,吡咯基,吡唑基,咪唑基,唑,异唑,噻唑,异噻唑,三唑啉,噻二唑和二唑啉(oxadiaxoline),它们可以任选地被一个或多个,优选一个或两个取代基取代,所述的取代基选自:羟基,氰基,烷基,烷氧基,硫代,低级卤代烷氧基,烷硫基,卤代,卤代烷基,烷基亚磺酰基,烷基磺酰基,卤素,氨基,烷基氨基,二烷基氨基,氨基烷基,烷基氨基烷基和二烷基氨基烷基,硝基,烷氧基羰基和氨基甲酰基,烷基氨基甲酰基,二烷基氨基甲酰基,芳基氨基甲酰基,烷基羰基氨基和芳基羰基氨基。二环部分的实例包括但不限于,喹啉基,异喹啉基,苯并呋喃基,苯并噻吩基,苯并唑,苯并异唑,苯并噻唑和苯并异噻唑。二环部分可以在任一环上被任选地取代;然而连接点在含杂原子的环上。
如本文中所用的术语″杂环基″、″杂环″或“杂环烷基”表示一价饱和环状基团,其由一个或多个环(优选一至两个环)组成,每个环有三至八个原子,结合一个或多个环杂原子(选自N、O或S(O)0-2),并且其可以任选地被一个或多个(优选一个或两个)选自以下基团的取代基独立地取代:羟基、氧代、氰基、低级烷基、低级烷氧基、低级卤代烷氧基、烷硫基、卤素、卤代烷基、羟烷基、硝基、烷氧基羰基、氨基、烷基氨基、烷基磺酰基、芳基磺酰基、烷基氨基磺酰基、芳基氨基磺酰基、烷基磺酰基氨基、芳基磺酰基氨基、烷基氨基羰基、芳基氨基羰基、烷基羰基氨基、芳基羰基氨基,除非另外说明。杂环基的实例包括,但不限于,氮杂环丁烷基、吡咯烷基、六氢氮杂基、氧杂环丁烷基、四氢呋喃基、四氢噻吩基、唑烷基、噻唑烷基、异唑烷基、吗啉基、哌嗪基、哌啶基、四氢吡喃基、硫代吗啉基、奎宁环基和咪唑啉基。
如本文中使用的术语″羟烷基″表示如本文中定义的烷基基团,其中不同碳原子上的一至三个氢原子被羟基取代。
通常使用的缩写包括:乙酰基(Ac),偶氮二异丁腈(AIBN),大气压(Atm),9-硼杂双环[3.3.1]壬烷(9-BBN或BBN),叔丁氧羰基(Boc),焦碳酸二叔丁酯或boc酸酐(BOC2O),苄基(Bn),丁基(Bu),化学文摘登记号(CASRN),苄氧羰基(CBZ或Z),羰基二咪唑(CDI),1,4-二氮杂双环[2.2.2]辛烷(DABCO),三氟化二乙氨基硫(DAST),二亚苄基丙酮(dba),1,5-二氮杂双环[4.3.0]壬-5-烯(DBN),1,8-二氮杂双环[5.4.0]十一碳-7-烯(DBU),N,N′-二环己基碳二亚胺(DCC),1,2-二氯乙烷(DCE),二氯甲烷(DCM),偶氮二羧酸二乙酯(DEAD),偶氮二羧酸二异丙酯(DIAD),氢化二异丁基铝(DIBAL或DIBAL-H),二异丙基乙胺(DIPEA),N,N-二甲基乙酰胺(DMA),4-N,N-二甲基氨基吡啶(DMAP),N,N-二甲基甲酰胺(DMF),二甲亚砜(DMSO),1,1′-双-(二苯基膦基)乙烷(dppe),1,1′-双-(二苯基膦基)二茂铁(dppf),1-(3-二甲基氨基丙基)-3-乙基碳二亚胺盐酸盐(EDCI),乙基(Et),乙酸乙酯(EtOAc),乙醇(EtOH),2-乙氧基-2H-喹啉-1-甲酸乙酯(EEDQ),二乙醚(Et2O),O-(7-氮杂苯并三唑-1-基)-N,N,N’N’-四甲基脲六氟磷酸盐乙酸(HATU),乙酸(HOAc),1-N-羟基苯并三唑(HOBt),高压液相色谱(HPLC),异丙醇(IPA),六甲基二硅氮化锂(lithium hexamethyl disilazane)(LiHMS),甲醇(MeOH),熔点(mp),MeSO2-(甲磺酰基或Ms),甲基(Me),乙腈(MeCN),间氯过苯甲酸(MCPBA),质谱(ms),甲基叔丁基醚(MTBE),N-溴代琥珀酰亚胺(NBS),N-羧基酸酐(NCA),N-氯代琥珀酰亚胺(NCS),N-甲基吗啉(NMM),N-甲基吡咯烷酮(NMP),氯铬酸吡啶(PCC),重铬酸吡啶(PDC),苯基(Ph),丙基(Pr),异丙基(i-Pr),磅/平方英寸(psi),吡啶(pyr),室温(rt或RT),叔丁基二甲基甲硅烷基或t-BuMe2Si(TBDMS),三乙胺(TEA或Et3N),2,2,6,6-四甲基哌啶1-氧基(TEMPO),三氟甲磺酸根或CF3SO2-(Tf),三氟乙酸(TFA),1,1′-双-2,2,6,6-四甲基庚烷-2,6-二酮(TMHD),O-苯并三唑-1-基-N,N,N′,N′-四甲基脲四氟硼酸盐(TBTU),薄层色谱(TLC),四氢呋喃(THF),三甲代甲硅烷基或Me3Si(TMS),一水合对甲苯磺酸(TsOH或pTsOH),4-Me-C6H4SO2-或甲苯磺酰基(Ts),N-氨基甲酸乙酯-N-羧基酸酐(UNCA)。当用于烷基部分时,包括前缀正(n),异(i-),仲(sec-),叔(tert-)和新(neo)的常规命名法具有它们的惯用含义(J.Rigaudy和D.P.Klesney,Nomenclature in Organic Chemistry(有机化学中的命名法),IUPAC 1979 Pergamon Press,牛津)。
″杂芳基”是指5至12个环原子的单环或双环部分,其具有至少一个芳族环,该芳族环含有一、二或三个选自N、O或S的环杂原子,其余环原子是C,其中理解的是杂芳基基团的连接点将在芳族环上。杂芳基环可以如本文中定义的被任选取代。杂芳基部分的实例包括但不限于,任选取代的咪唑基,唑基,异唑基,噻唑基,异噻唑基,二唑基,噻二唑基,吡嗪基,噻吩基(thienyl),噻吩基(thiophenyl),呋喃基,吡喃基,吡啶基,吡咯基,吡唑基,嘧啶基,哒嗪基,喹啉基,异喹啉基,苯并呋喃基(benzofuryl),苯并呋喃基(benzofuranyl),苯并噻吩基,苯并噻喃基,苯并咪唑基,苯并唑基,苯并二唑基,苯并噻唑基,苯并噻二唑基,苯并吡喃基,吲哚基,异吲哚基,吲唑基,三唑基,三嗪基,喹喔啉基,嘌呤基,喹唑啉基,喹嗪基,萘啶基,蝶啶基,咔唑基,氮杂基,二氮杂基,吖啶基等,包括它们的部分氢化衍生物。
术语“卤代”、“卤素”和“卤化物”在本文中可互换使用并且是指氟、氯、溴和碘。
“卤代烷基”表示如本文中定义的烷基,其中一个或多个氢已被相同或不同的卤素代替。术语“低级卤代烷基”是指被一个或多个卤素原子取代的含有1至6个碳原子的直链或支链烃残基。示例性卤代烷基包括-CH2Cl,-CH2CF3,-CH2CCl3,-CF2CF3,-CF3等。
“杂环基”或“杂环烷基”是指由一至二个环组成的、结合一个、两个或三个或四个杂原子(选自氮、氧或硫)的单价饱和部分。杂环基环可以如本文定义被任选地取代。杂环基部分的实例包括但不限于任选取代的哌啶基,哌嗪基,高哌嗪基(homopiperazinyl),氮杂基,吡咯烷基,吡唑烷基,咪唑啉基,咪唑烷基,吡啶基,哒嗪基,嘧啶基,唑烷基,异唑烷基,吗啉基,噻唑烷基,异噻唑烷基,奎宁环基,喹啉基,异喹啉基,苯并咪唑基,噻二唑烷基,苯并噻唑烷基,苯并唑烷基(benzoazolylidinyl),二氢呋喃基,四氢呋喃基,二氢吡喃基,四氢吡喃基,硫吗啉基(thiamorpholinyl),硫吗啉基亚砜,硫吗啉基砜,二氢喹啉基,二氢异喹啉基,四氢喹啉基,四氢异喹啉基等。
对于以上给出其定义的化学基团的优选基团是实施例中具体例举的那些。
“任选取代的”是指独立地被选自低级烷基,卤代,OH,氰基,氨基,硝基,低级烷氧基或卤代-低级烷基的0-3个取代基取代的取代基。
优选的“氧化剂”包括过酸如间-氯过苯甲酸(MCPBA)和过乙酸,但是其它氧化剂如过氧化氢,高锰酸盐或过硫酸盐也可以用于将硫醚氧化成砜。
“离去基团”是指具有与它在合成有机化学中常规相关的含义的基团,即在取代反应条件下可替换的原子或基团。离去基团的实例包括但不限于卤素,烷-或亚芳基磺酰基氧基,如甲磺酰基氧基,乙磺酰基氧基,甲硫基,苯磺酰基氧基,甲苯磺酰基氧基和噻吩基氧基,二卤代膦酰基氧基,任选取代的苄氧基,异丙基氧基,酰氧基等。
“任选的”或“任选地”是指随后描述的事件或情形可以发生但不一定发生,并且所述描述包括其中事件或情形发生的情况和它不发生的情况。
“激动剂”是指增强另一化合物或受体位点的活性的化合物。
“拮抗剂”是指减小或防止另一化合物或受体位点的作用的化合物。
术语“药物候选物”是指即将测试在动物的疾病状态治疗中的可能效果的化合物或制剂,无论所述药物候选物是否具有任何已知的生物活性。
如本文中使用的术语“同源的(homologous)”是指在另一受试者物种中基本上行使相同的功能并且共享基本的序列同源性达到以下程度的蛋白:它们在本领域中被认为是相同蛋白的不同形式,不同之处主要在于在其中找到它们的物种。因此,例如,人ERG,小鼠ERG和大鼠ERG都被认为彼此是同源的。
“调节剂”表示与靶相互作用的分子。这种相互作用包括但不限于如本文中定义的激动剂,拮抗剂等。
“疾病”和“疾病状态”是指任何疾病,病症,症状,障碍或适应症。
术语“细胞系”是指无限增殖化哺乳动物细胞的克隆。“稳定的”细胞系是随时间(例如,在每次复制时)表现出基本上一致的特性的细胞系。在本发明范围内的稳定的细胞系提供显著比例的能够提供大于约50MOhm的紧密电阻(seal resistance)、大于约200pA的电流幅度并且提供在控制条件下在1小时内变化不超过约20%的电流幅度的细胞。
化合物的“药用盐”是指如本文定义的药学上可接受的盐,并且该盐具有母体化合物的期望药理学活性。这样的盐包括:
(1)与无机酸形成的酸加成盐或与有机酸形成的酸加成盐,所述无机酸如盐酸,氢溴酸,硫酸,硝酸,磷酸等;所述有机酸如乙酸,苯磺酸,苯甲酸,樟脑磺酸,柠檬酸,乙磺酸,富马酸,葡庚糖酸,葡糖酸,谷氨酸,羟基乙酸,羟萘甲酸(hydroxynaphtoic acid),2-羟基乙磺酸,乳酸,马来酸,苹果酸,丙二酸,苦杏仁酸,甲磺酸,粘康酸,2-萘磺酸,丙酸,水杨酸,琥珀酸,酒石酸,对甲苯磺酸,三甲基乙酸等;或
(2)当在母体化合物中存在的酸性质子被金属离子例如碱金属离子,碱土离子,或铝离子替代时或与有机或无机碱配位形成的盐。可接受的有机碱包括二乙醇胺,乙醇胺,N-甲基葡糖胺,三乙醇胺,氨基丁三醇(tromethamine)等。可接受的无机碱包括氢氧化铝,氢氧化钙,氢氧化钾,碳酸钠和氢氧化钠。
应理解,所有药用盐的引述包括同一酸加成盐的如本文定义的溶剂加成形式(溶剂化物)或晶体形式(多晶型物)。
优选的药用盐是从乙酸、盐酸、硫酸、甲磺酸、马来酸、磷酸、酒石酸、柠檬酸、钠、钾、钙、锌和镁形成的盐。
“溶剂化物”表示含有化学计量的或非化学计量的量的溶剂的溶剂加成形式。某些化合物有以结晶固态形式俘获固定摩尔比的溶剂分子,由此形成溶剂化物的趋势。如果溶剂是水,则形成的溶剂化物是水合物,当溶剂是醇时,形成的溶剂化物是醇化物。水合物是通过将一分子或多分子的水与一种其中水以H2O的分子状态保留的物质结合形成的,这样的结合能够形成一种或多种水合物。
“受试者”包括哺乳动物和鸟类。“哺乳动物”表示哺乳纲的任何成员,包括但不限于:人类;非人类灵长类如黑猩猩和其它类人猿以及猴种;农畜如牛,马,绵羊,山羊,和猪;家畜如兔,狗,和猫;实验室动物,包括啮齿动物,如大鼠,小鼠和豚鼠;等。术语“受试者”不表示具体年龄或性别。
“治疗有效量”指当向受试者给药以治疗疾病状态时,足以实现对该疾病状态的这种治疗的化合物的量。“治疗有效量”将根据化合物、被治疗的疾病状态、严重性或被治疗的疾病、受试者的年龄和相对健康、给药途径和形式、主治医师或兽医从业者的判断、和其它因素而改变。
如本文中使用的″药理学效果″包括在实现预期治疗目的的受试者中产生的效果。例如,药理学效果将为导致受治对象的尿失禁的预防、减轻或减少的效果。
″疾病状态″指任何疾病,病症,症状或适应症。
疾病状态的“治疗”或“疗法”包括:(i)预防疾病状态,也就是使疾病状态的临床症状不会在受试者中发展,所述的受试者可能暴露于该疾病状态或易患有该疾病状态但还不曾经历或显现出疾病状态的症状;(ii)抑制疾病状态,即,阻止该疾病状态或其临床症状的发展;或(iii)缓解疾病状态,也就是引起疾病状态或其临床症状的暂时或永久消退。
本文确认的所有专利和出版物通过引用以其全文形式结合在此。
命名法和结构
通常,本申请中使用的命名法基于AUTONOMTM v.4.0,一种用于产生IUPAC系统命名的Beilstein Institute计算机化的系统。本文所示的化学结构使用版本2.2制作。除非另外说明,本文的结构中出现在碳、氧、硫或氮原子上的任何开放价指示存在氢原子。在含氮的杂芳环显示在氮原子上具有开放价,并且变量如Ra、Rb或Rc显示在该杂芳环上的情况下,这样的变量可以键合或结合到该开放价氮。在手性中心存在于结构中但是该手性中心没有显示特殊的立体化学的情况下,与该手性中心相关的两种对映体都被该结构所涵盖。在本文显示的结构可以以多种互变异构形式存在的情况下,所有这样的互变异构体都被该结构所涵盖。本文的结构中表示的原子意在涵盖这些原子的所有天然同位素。因此,例如,本文中表示的氢原子意在包括氘和氚,而碳原子意在包括C13和C14同位素。
在式I或其药用盐的某些实施方案中,
其中:
m是0至2;
n是0至2;
p是0至3;
X是CH或N;
各个R1独立地是:氢;或C1-6烷基;
各个R2独立地是:C1-6烷基;C1-6烷氧基卤代-C1-6烷基;或卤代-C1-6烷氧基;
R3是:C1-6烷基磺酰基-C1-6烷基;噻吩基-1,1-氧化物-C1-6烷基;或四氢噻喃-1,1-氧化物-C1-6烷基;
各个R4独立地是:C1-6烷基;C1-6烷氧基卤代-C1-6烷基;或卤代-C1-6烷氧基;
R5是式(a)或(b)的基团:
其中:
q是0或1;
r是0或1;
Y是:NR9;或CR10R11;
R6和R7各自独立地是:氢;或C1-6烷基;或者R6和R7一起形成C1-2亚烷基;
R8是:氢;或C1-6烷基;
R9是:氢;或C1-6烷基;
R10是:氢;或C1-6烷基;并且
R11是:C1-6烷基;羟基-C1-6烷基;羧基;羧基-C1-6烷基;羧基-C1-6烷基酯;或羧基-C1-6烷基C1-6烷基酯。
在式I的某些实施方案中,m是0或1。
在式I的某些实施方案中,m是0。
在式I的某些实施方案中,m是1。
在式I的某些实施方案中,n是0或1。
在式I的某些实施方案中,n是0。
在式I的某些实施方案中,n是1。
在式I的某些实施方案中,p是0至2。
在式I的某些实施方案中,p是0或1。
在式I的某些实施方案中,p是0。
在式I的某些实施方案中,p是1。
在式I的某些实施方案中,q是0。
在式I的某些实施方案中,q是1。
在式I的某些实施方案中,r是0。
在式I的某些实施方案中,r是1。
在式I的某些实施方案中,X是CH。
在式I的某些实施方案中,X是N。
在式I的某些实施方案中,R1是氢。
在式I的某些实施方案中,R1是C1-6烷基。
在式I的某些实施方案中,各个R2独立地是C1-6烷基,C1-6烷氧基或卤素。
在式I的某些实施方案中,各个R2独立地是C1-6烷基或卤素。
在式I的某些实施方案中,R2是C1-6烷基。
在式I的某些实施方案中,R3是C1-6烷基磺酰基-C1-6烷基。
在式I的某些实施方案中,R3是四氢噻吩基-1,1-氧化物-C1-6烷基。
在式I的某些实施方案中,R3是四氢噻喃-1,1-氧化物-C1-6烷基。
在式I的某些实施方案中,R3是:3-甲磺酰基-丙基;或1,1-二氧代-四氢-1λ6-噻吩-3-基甲基。
在式I的某些实施方案中,R3是3-甲磺酰基-丙基。
在式I的某些实施方案中,R3是1,1-二氧代-四氢-1λ6-噻吩-3-基甲基。
在式I的某些实施方案中,各个R4独立地是C1-6烷基或卤素。
在式I的某些实施方案中,R4是C1-6烷基。
在式I的某些实施方案中,R5是式(a)的基团。
在式I的某些实施方案中,R5是式(b)的基团。
在式I的某些实施方案中,R6和R7各自独立地是:氢;或C1-6烷基;或者R6和R7一起形成C1-2亚烷基。
在式I的某个实施方案中,R6是:氢;羧基;羧基-C1-6烷基酯。
在式I的某些实施方案中,R6是氢。
在式I的某些实施方案中,R6是C1-6烷基。
在式I的某些实施方案中,R7是氢或甲基。
在式I的某些实施方案中,R7是氢。
在式I的某些实施方案中,R7是C1-6烷基。
在式I的某些实施方案中,R6和R7一起形成C1-2亚烷基。
在式I的某些实施方案中,R6和R7一起形成亚甲基。
在式I的某些实施方案中,R6和R7一起形成亚乙基。
在式I的某些实施方案中,R8是氢。
在式I的某些实施方案中,R8是C1-6烷基。
在式I的某些实施方案中,Y是NR9。
在式I的某些实施方案中,Y是CR10R11。
在式I的某些实施方案中,R9是氢。
在式I的某些实施方案中,R9是C1-6烷基。
在式I的某些实施方案中,R10是氢。
在式I的某些实施方案中,R10是C1-6烷基。
在式I的某些实施方案中,R11是:C1-6烷基;羟基-C1-6烷基;羧基;羧基-C1-6烷基;羧基-C1-6烷基酯;或羧基-C1-6烷基C1-6烷基酯。
在式I的某些实施方案中,R11是:C1-6烷基;或羟基-C1-6烷基。
在式I的某些实施方案中,R11是C1-6烷基。
在式I的某些实施方案中,R11是羟基-C1-6烷基。
在式I的某些实施方案中,R11是羧基。
在式I的某些实施方案中,R11是羧基C1-6烷基酯。
在式I的某些实施方案中,R11是羧基-C1-6烷基。
在式I的某些实施方案中,R11是羧基-C1-6烷基-C1-6烷基酯。
以下表1中提供了本发明涵盖和在本发明范围内的代表性化合物,连同所选化合物的熔点和IC50亲和力值。
表1
表1
方法
在一方面,本申请提供一种治疗患有JNK介导的病症的受试者的JNK介导的病症的方法,所述方法包括向需要其的受试者给药治疗有效量的任何上述化合物。
在治疗JNK介导的病症的方法的某些实施方案中,所述JNK介导的病症以细胞增殖为特征。
在治疗JNK介导的病症的方法的某些实施方案中,所述JNK介导的病症是关节炎。
在治疗JNK介导的病症的方法的某些实施方案中,所述关节炎是类风湿性关节炎。
在治疗JNK介导的病症的方法的某些实施方案中,所述JNK介导的病症是哮喘。
在治疗JNK介导的病症的方法的某些实施方案中,所述JNK介导的病症是糖尿病。
在治疗JNK介导的病症的方法的某些实施方案中,所述JNK介导的病症是阿尔茨海默病。
在治疗JNK介导的病症的方法的某些实施方案中,所述JNK介导的病症是帕金森病。
在治疗JNK介导的病症的方法的某些实施方案中,所述JNK介导的病症是缺血性中风。
在治疗JNK介导的病症的方法的某些实施方案中,所述JNK介导的病症是癌症。
在治疗JNK介导的病症的方法的某些实施方案中,其中所述JNK介导的病症是癌症,所述癌症是脑癌。
在治疗JNK介导的病症的方法的某些实施方案中,其中所述JNK介导的病症是癌症,所述癌症是白血病。
在一方面,本申请提供一种药物组合物,其包含与至少一种药用载体、赋形剂或稀释剂混合的上述实施方案中任一项的化合物。
在另一方面,本申请提供上述化合物中的任一种用于制备药物的用途,所述药物用于治疗性和/或预防性治疗JNK介导的病症。
在上述化合物用于制备药物的用途的某些实施方案中,其中JNK介导的病症是自身免疫病症,炎性病症,代谢病症,神经性疾病或癌症。
在上述化合物用于制备药物的用途的某些实施方案中,其中JNK介导的病症是类风湿性关节炎,哮喘,II型糖尿病,阿尔茨海默病,帕金森病或中风。
在另一方面,本申请提供上述实施方案中任一个的化合物,其用于治疗JNK介导的病症。
本发明的化合物是JNK调节剂,因此预期有效用于治疗各种各样的JNK介导的疾病。示例性JNK介导的病症包括但不限于自身免疫疾病,炎性疾病,代谢疾病,神经疾病,和癌症。因此,本发明的化合物可以用于治疗一种或多种这样的病症。在一些实施方案中,本发明的化合物可以用于治疗JNK介导的疾病,如类风湿性关节炎,哮喘,II型糖尿病,阿尔茨海默病,帕金森病或中风。
给药和药物组合物
本发明包括药物组合物,该药物组合物包含本发明的至少一种化合物,或其单个的异构体、异构体的外消旋或非消旋混合物,或其药用盐或溶剂化物,以及至少一种药用载体,和任选的其它治疗和/或预防成分。
通常,本发明的化合物将以治疗有效量,通过所接受的起类似效用的药剂给药方式中的任何一种给药。适宜的剂量范围典型地为每天1-500mg,优选每天1-100mg,并且最优选每天1-30mg,这取决于众多因素,如待治疗疾病的严重性、受试者的年龄和相对健康,所使用化合物的效力,给药途径和形式,给药针对的适应症以及有关医师的偏好和经验。治疗这样的疾病的领域中的普通技术人员将能够在不经过多实验并且依靠个人知识和本申请的公开内容的情况下,确定本发明的化合物对于给定疾病的治疗有效量。
本发明化合物可以以药物制剂形式给药,所述的制剂包括适宜于下列的那些:口服(包括含服和舌下服用)、直肠、鼻、局部、肺、阴道或胃肠外(包括肌肉内、动脉内、鞘内、皮下和静脉内)给药,或以适宜于通过吸入或吹入给药的形式给药。优选的给药方式通常是口服,使用可以根据痛苦的程度而调节的方便的每日剂量方案。
可以将本发明的化合物与一种或多种常规的佐剂、载体或稀释剂放入药物组合物和单位剂量形式中。药物组合物和单位剂量形式可以包括常规比例的常规成分,具有或没有另外的活性化合物或要素,并且单位剂量形式可以含有与将采用的预定每日剂量范围相称的任何适宜有效量的活性成分。药物组合物的采用形式可以是固体如片剂或填充胶囊,半固体,粉剂,持续释放制剂,或液体如溶液剂、混悬剂、乳剂、酏剂,或口服用的填充胶囊;或者是用于直肠或阴道给药的栓剂形式;或者是胃肠外使用的无菌注射液形式。
每片含有约一(1)毫克活性成分,或者更广泛地,约0.01至约一百(100)毫克活性成分的制剂相应地是适宜的代表性单位剂量形式。
可以将本发明的化合物配制成各种各样的口服给药剂量形式。药物组合物和剂量形式可以包含本发明的一种或多种化合物或其药用盐作为活性组分。药用载体可以是固体或液体。固体形式的制剂包括粉剂、片剂、丸剂、胶囊、扁囊剂、栓剂和分散性颗粒。固体载体可以是一种或多种还可以用作以下的物质:稀释剂、调味剂、增溶剂、润滑剂、悬浮剂、粘合剂、防腐剂、片剂崩解剂或包封材料。粉剂中,载体通常是细碎的固体,其是与细碎的活性组分的混合物。在片剂中,活性组分通常与具有所需要粘合能力的载体以适宜比例混合并且压制为所需要的形状和大小。粉剂和片剂优选含有约一(1)至约七十(70)百分比的活性化合物。适宜的载体包括但不限于碳酸镁、硬脂酸镁、滑石、糖、乳糖、果胶、糊精、淀粉、明胶、黄蓍胶、甲基纤维素、羧甲基纤维素钠、低熔点蜡、可可脂等。术语“制剂”意在包括活性化合物与作为载体的包封材料的制剂,提供其中有或没有载体的活性组分被与它结合的载体包围的胶囊。类似地,包括扁囊剂和锭剂。片剂、粉剂、胶囊、丸剂、扁囊剂和锭剂可以是适宜于口服给药的固体形式。
适宜于口服给药的其它形式包括液体形式制剂,包括乳剂、糖浆剂、酏剂、水性溶液剂、水性混悬剂,或意欲在即将使用前转变为液体形式制剂的固体形式制剂。乳剂可以在溶液中制备,例如在丙二醇水溶液中制备,或者可以含有乳化剂,例如卵磷脂、脱水山梨糖醇一油酸酯或阿拉伯胶。水溶液可以通过将活性组分溶解于水中并且加入适宜的着色剂、调味剂、稳定剂和增稠剂来制备。水性混悬剂可以通过将细碎的活性组分分散在具有粘性物质的水中来制备,所述的粘性物质如天然或合成树胶、树脂、甲基纤维素、羧甲基纤维素钠和其它公知的悬浮剂。固体形式制剂包括溶液剂、混悬剂和乳剂,并且除了活性组分外,还可以含有着色剂、调味剂、稳定剂、缓冲剂、人工和天然甜味剂、分散剂、增稠剂、增溶剂等。
本发明的化合物可以配制用于肠胃外给药(例如,通过注射如推注或连续输注),并且可以以单位剂量形式存在于安瓿、预装注射器、小体积输注中,或者存在于加有防腐剂的多剂量容器中。该组合物可以采取的形式如在油性或水性赋形剂中的混悬剂、溶液剂或乳剂,例如在聚乙二醇水溶液中的溶液剂。油性或非水性载体、稀释剂、溶剂或赋形剂的实例包括丙二醇、聚乙二醇、植物油(例如,橄榄油)以及可注射的有机酯类(例如,油酸乙酯),并且可以含有配制剂如防腐剂、湿润剂、乳化剂或混悬剂、稳定剂和/或分散剂。备选地,活性成分可以是粉末形式,其是通过灭菌固体的无菌分离或通过从溶液的冻干而得到的,用于在使用前用适宜赋形剂如无菌的无热原水配制的。
可以配制本发明的化合物,作为软膏、霜剂或洗剂,或作为透皮贴片用于给表皮的局部给药。软膏和霜剂例如可以用水性或油性基质,在加入适宜的增稠剂和/或胶凝剂的情况下配制。洗剂可以用水性或油性基质配制,并且通常也将含有一种或多种乳化剂、稳定剂、分散剂、悬浮剂、增稠剂或着色剂。适宜于口中局部给药的制剂包括:锭剂,其在调味基质中包含活性药剂,所述的调味基质通常是蔗糖和阿拉伯胶或黄蓍胶;软锭剂,其在惰性基质中包含活性成分,所述的惰性基质如明胶和甘油或蔗糖和阿拉伯胶;以及漱口药,其在适宜液体载体中包含活性成分。
也可以配制本发明的化合物作为栓剂用于给药。首先将低熔点蜡如脂肪酸甘油酯或可可脂的混合物熔化,并且将活性组分通过例如搅拌均匀地分散。然后,将熔融的均匀混合物倾倒入适宜大小的模具中,使其冷却,并且固化。
可以配制本发明的化合物用于阴道给药。本领域中已知适宜的是阴道栓剂、棉塞、霜剂、凝胶、糊剂、泡沫或喷雾剂,其除了活性成分外还含有例如载体。
可以配制主题化合物用于经鼻给药。通过常规装置例如用滴管、吸管或喷雾器将溶液剂或混悬剂直接施用至鼻腔。制剂可以以单剂量或多剂量形式提供。在滴管或吸管的后一种情况下,这可以通过患者给药适宜的、预定体积的溶液剂或混悬剂来实现。在喷雾器的情况下,这可以通过例如计量的喷雾泵来实现。
可以配制本发明的化合物用于气雾剂给药,特别是对呼吸道给药,并且包括鼻内给药。该化合物通常具有小的粒子大小,例如约五(5)微米或更小。这样的粒子大小可以通过本领域中已知的方式获得,例如通过微粉化获得。将活性成分提供在具有适宜推进剂的加压容器中,所述的推进剂如氯氟烃(CFC),例如二氯二氟甲烷、三氯氟甲烷或二氯四氟乙烷,或二氧化碳或其它适宜的气体。气雾剂还可以方便地含有表面活性剂如卵磷脂。药物的剂量可以通过计量阀来控制。备选地,活性成分可以以干粉的形式提供,例如化合物在适宜粉末基质中的粉末混合物,所述的粉末基质如乳糖、淀粉、淀粉衍生物如羟丙基甲基纤维素和聚乙烯吡咯烷(PVP)。粉末载体将在鼻腔中形成凝胶。粉末组合物可以以单位剂量形式存在,例如在如明胶的胶囊或药筒中,或泡眼包装中,粉末剂可以从其中通过吸入器给药。
需要时,可以用适宜于活性成分的持续或受控释放给药的肠溶衣制备制剂。例如,可以将本发明的化合物配制在透皮或皮下药物递送装置中。当需要化合物的持续释放时,以及当患者对治疗方式的顺从性是关键时,这些递送系统是有利的。常常将透皮递送系统中的化合物粘附至皮肤-粘合性固体载体上。感兴趣的化合物也可以与渗透增强剂例如月桂氮酮(1-十二烷基氮杂环庚-2-酮)组合。将持续释放递送系统通过外科手术或注射而皮下插入至皮下层。皮下植入物将该化合物封装在脂溶性膜如硅橡胶或可生物降解的聚合物如聚乳酸中。
药物制剂优选为单位剂量形式。以这样的形式,将制剂再分成含有适宜量的活性组分的单位剂量。单位剂量形式可以是包装制剂,该包装含有离散量的制剂,如小包片剂、胶囊和在管瓶或安瓿中的粉剂。此外,单位剂量形式可以是胶囊、片剂、扁囊剂或锭剂本身,或者它可以是适宜数量的包装形式的这些中的任何一种。
其它适宜的药物载体以及它们的制剂描述于:雷明顿:药物科学与实践(Remington:The Science and Practice of Pharmacy)1995,由E.W.Martin编辑,Mack出版公司,第19版,伊斯顿,宾夕法尼亚州。下面描述了含有本发明化合物的代表性药物制剂。
在考察本发明的下列实施例后,本发明的另外的目的、优势和新特征对于本领域技术人员而言将是明显的,这些实施例不用于限制。
合成
本发明的化合物可以通过以下显示和描述的示例性合成反应方案中描绘的各种方法进行制备。
在制备这些化合物中使用的原料和试剂通常可以从商业供应商如奥尔德利希化学公司(Aldrich Chemical Co.)获得,或者通过本领域技术人员已知的方法,按照在参考文献中提出的程序制备,所述参考文献如Fieser andFieser’s Reagents for Organic Synthesis(用于有机合成的费尔舍和费尔舍氏试剂);Wiley & Sons:New York,1991,Volumes 1-15;Rodd’s Chemistry ofCarbon Compounds(罗德氏碳化合物化学),Elsevier Science Publishers,1989,Volumes 1-5和增刊;以及Organic Reactions(有机反应),Wiley & Sons:New York,1991,Volumes 1-40。下面的合成反应方案仅仅是可以合成本发明的化合物的一些方法的举例说明,并且可以对这些合成反应方案进行各种更改,而且本领域的技术人员在参考本文中所包含的公开内容后将受到启示。
如果需要,可以对合成反应方案中的原料和中间体使用常规技术进行分离和纯化,所述的常规技术包括但不限于,过滤、蒸馏、结晶、色谱法等。这样的材料可以使用常规手段,包括物理常数和光谱数据来表征。
除非有相反的规定,本文中描述的反应优选在以下条件下进行:惰性气氛,大气压下,反应温度范围为约-78℃至约150℃,更优选约0℃至约125℃,并且最优选和适宜地为大约室温(或环境温度),例如约20℃。
以下的方案A示例了可用于制备式I的具体化合物的一种合成程序,其中R是低级烷基并且在每次出现时可以是相同的或不同的,并且m、n、p、q、r、X、R1、R2、R3、R4、R5、R6、R7、R8和R9如本文中所定义。
方案A
在方案A的步骤1中,发生O-烷基化反应,其中羟基吲哚化合物a与卤化物化合物b反应而产生吲哚化合物c。该反应可以在例如碳酸钾和碘化钾存在下在极性非质子溶剂如乙腈中进行。
在步骤2中,吲哚c与二氯嘧啶d反应而产生吲哚嘧啶化合物e。步骤2的反应可以在HOBt和碳酸钾存在下在极性溶剂条件下实现。
在步骤3中,化合物e与环己基胺f反应而产生吲哚嘧啶胺化合物g。步骤3的反应可以在碳酸钾存在下在极性溶剂条件下进行。
化合物g的羧酸酯基团在步骤4中经历水解而产生相应的羧酸化合物h。该步骤中的水解可以例如在碱如氢氧化钠存在下以及在极性质子溶剂条件下完成。
酰胺形成发生在步骤5中,其中化合物h与胺i反应而得到酰胺化合物j,其是根据本发明的式I的化合物。酰胺形成可以经由酰基氯中间体(未显示),或通过使用各种酰胺偶联剂如ECDI或其它碳二亚胺来进行。
对于方案A的程序的许多变化是可能的并且它们对于本领域技术人员是有启示的。用于制备本发明化合物的具体细节描述于以下实施例中。
在以下的制备和实施例中可能使用以下缩写。
缩写列表
Ac2O 乙酸酐
AcOH 乙酸
BOP 苯并三唑-1-基-氧基-三-(二甲基氨基)-六氟磷酸盐
DBU 1,8-二氮杂双环[5.4.0]十一碳-7-烯
DCE 1,2-二氯乙烷
DCM 二氯甲烷/甲叉二氯
DIPEA 二异丙基乙胺
DMA 二甲基乙酰胺
DMF N,N-二甲基甲酰胺
DMSO 二甲亚砜
EDCI 1-(3-二甲氨基丙基)-3-乙基碳二亚胺盐酸盐
Et2O 二乙醚
EtOH 乙醇/酒精
EtOAc 乙酸乙酯
HOBt 1-羟基苯并三唑
LDA 二异丙氨基锂
LiHMDS 双(三甲代甲硅烷基)氨基锂
m-CPBA 3-氯过氧苯甲酸
MeOH 甲醇/木醇
MW 微波
NMP 1-甲基-2-吡咯烷酮
PMB 4-甲氧基苄基
RT 室温
TBME 叔丁基甲基醚
TFA 三氟乙酸
Tf2O 三氟甲磺酸酐
THF 四氢呋喃
TLC 薄层色谱
实施例
提供下面的制备和实施例使本领域的技术人员能够更清楚地理解和实践本发明。它们不应当被认为是限制本发明的范围,而仅为示例性的并且是其代表。
实施例1:(1,1-二氧代-四氢-1λ*6*-噻吩-3-基)-甲醇
向1,1-二氧代-四氢-1λ*6*-噻吩-3-甲酸(5.0g)在THF(100mL)中的溶液中逐滴加入LAH(35mL的1M THF溶液)。将混合物在室温搅拌5小时,然后在冰浴中冷却。加入水(3mL)和NaOH(6mL的15%水溶液),并将该混合物在室温搅拌60小时。将混合物过滤并将滤液在减压下浓缩,得到3.59g的(1,1-二氧代-四氢-1λ*6*-噻吩-3-基)-甲醇。
实施例2:甲苯-4-磺酸1,1-二氧代-四氢-1λ*6*-噻吩-3-基甲基酯
将(1,1-二氧代-四氢-1λ*6*-噻吩-3-基)-甲醇(3.59g)、4-甲苯磺酰氯(9.11g)和吡啶5.8mL)在氯仿(50mL)中的混合物加热至60℃并搅拌过夜。将反应混合物冷却并用100mL 1N HCl稀释并用二氯甲烷萃取。将合并的有机萃取物用盐水洗涤,干燥(MgSO4),过滤并在减压下浓缩。剩余物通过急骤色谱(60%EtOAc,在己烷中)纯化,得到4.012g的甲苯-4-磺酸1,1-二氧代-四氢-1λ*6*-噻吩-3-基甲基酯。
实施例3:4-(3-甲硫基-丙氧基)-1-(2-甲硫基-嘧啶-4-基)-1H-吲哚
将在250mL THF中的4-(3-甲硫基-丙氧基)-1H-吲哚(400.88g)、2L的1N KtBuO和在350mL THF中的381g的4-氯-2-甲硫基-嘧啶在冷却以保持在40℃以下合并,并使其在室温搅拌1小时。然后在真空下除去溶剂并将固体悬浮在MeOH中,过滤,用MeOH和水洗涤,并干燥,生成87.56%的4-(3-甲硫基-丙氧基)-1-(2-甲硫基-嘧啶-4-基)-1H-吲哚。
实施例4:1-(2-甲亚磺酰基-嘧啶-4-基)-4-(3-甲磺酰基-丙氧基)-1H-吲哚
在-5℃在1.5h内,将在DCM(310mL)和MeOH(155mL)中的MCPBA(204.3g,77%)逐滴加入到在DCM(590mL)和甲醇(145ml)中的100.0g4-(3-甲硫基-丙氧基)-1-(2-甲硫基-嘧啶-4-基)-1H-吲哚中。在2℃加入另外的MCPBA(12.0g),并在20分钟后用在12℃在20分钟内缓慢加入的900mL MTBE稀释该反应混合物。允许混合物在20-22℃搅拌1.5h。然后加入MTBE(300mL)并在20分钟后将混合物过滤,固体用MTBE(2x200mL)漂洗,并在真空下除去溶剂,生成1-(2-甲亚磺酰基-嘧啶-4-基)-4-(3-甲磺酰基-丙氧基)-1H-吲哚(90.2%)。
实施例5:4-{4-[4-(3-甲磺酰基-丙氧基)-吲哚-1-基]-嘧啶-2-基氨基}-环己烷甲酸甲酯
将4-氨基-环己烷甲酸乙酯(550g)和815mL DIPEA加入到在2.5LDMA中的1-(2-甲亚磺酰基-嘧啶-4-基)-4-(3-甲磺酰基-丙氧基)-1H-吲哚(746.7g)中,并允许混合物加热至120℃达4h,然后使其冷却至室温。逐滴加入水(3L)并通过过滤收集所得的沉淀物,用H2O和MeOH洗涤,并且在真空下在48℃干燥过夜,生成4-{4-[4-(3-甲磺酰基-丙氧基)-吲哚-1-基]-嘧啶-2-基氨基}-环己烷甲酸甲酯(90%)。
实施例6:4-(3-甲磺酰基-丙氧基)-1H-吲哚
将1-氯-3-(甲磺酰基)-丙烷(160g)加入到在1L MeCN中的1H-吲哚-4-醇(108.77g)中,并加入338g K2CO3和13.36g KI。将反应混合物在80℃搅拌过夜,然后冷却并通过硅藻土过滤。将滤液真空蒸馏并且溶剂用DCM(700mL)替代。将混合物过滤,并在真空下除去溶剂并用MeOH(600mL)替代。在真空下在40℃将溶剂部分除去并且发生结晶。冷却后,加入另外的MeOH并过滤淤浆。收集的固体用冷的MeOH漂洗并在35℃在真空下在N2下干燥过夜,得到4-(3-甲磺酰基-丙氧基)-1H-吲哚(82%)。
实施例7:1-(2-氯-嘧啶-4-基)-4-(3-甲磺酰基-丙氧基)-1H-吲哚
将4-(3-甲磺酰基-丙氧基)-1H-吲哚(188.1g),2,4-二氯嘧啶(221.25g),HOBT(20.08g),K2CO3(143.68g)和DMA(1.6L)加热至85℃达20h。然后加入IPA(5L)并将混合物搅拌20min,然后冷却至0℃达3h并过滤。收集的固体用IPA和水漂洗,并将固体在真空下在55℃干燥4天,生成1-(2-氯-嘧啶-4-基)-4-(3-甲磺酰基-丙氧基)-1H-吲哚(94%)。
实施例8:(2-丙硫基-嘧啶-4-基)-肼
将4-氯-2-丙硫基-嘧啶(15.03g)、肼(10.69g)和碳酸钾(15.37g)加入到乙醇(150mL)中并将混合物加热至80℃达3小时。将混合物冷却,过滤,并将滤液在减压下浓缩。对剩余物进行色谱纯化(CH2Cl2/己烷,通过二氧化硅),得到7.036g的(2-丙硫基-嘧啶-4-基)-肼。
实施例9:4-甲氧基-1-(2-丙硫基-嘧啶-4-基)-1H-吲唑
将(2-丙硫基-嘧啶-4-基)-肼(7.036g)、2-氟-6-甲氧基-4-丙硫基-苯甲醛5.524g)和DB 16.373g)加入到DMSO(70mL)中并将混合物在室温搅拌1小时,然后在80℃搅拌1小时。将混合物冷却,用水稀释,并过滤。收集的固体用水洗涤,然后在减压下干燥,得到4-甲氧基-1-(2-丙硫基-嘧啶-4-基)-1H-吲唑。
实施例10:1-(2-丙硫基-嘧啶-4-基)-1H-吲唑-4-醇
将4-甲氧基-1-(2-丙硫基-嘧啶-4-基)-1H-吲唑溶解在二氯甲烷(100mL)中,并将混合物冷却至-78℃并搅拌。加入BBR3(152.62uL),并将混合物在室温搅拌过夜。将混合物在水和二氯甲烷之间进行分配,并将合并的有机层用水、饱和的NaHCO3水溶液和盐水洗涤,干燥(MgSO4),过滤并在减压下浓缩,得到1-(2-丙硫基-嘧啶-4-基)-1H-吲唑-4-醇。
实施例11:4-(2-甲硫基-乙氧基)-1-(2-丙硫基-嘧啶-4-基)-1H-吲唑
将1-(2-丙硫基-嘧啶-4-基)-1H-吲唑-4-醇(600mg)、碳酸钾(1.104g)和1-氯-2-甲硫基-乙烷401.9mg)加入到NMP(6mL)中,并将混合物加热至80℃达3小时。将混合物冷却,用水稀释并过滤。收集的固体用水洗涤并在减压下干燥,得到705mg的4-(2-甲硫基-乙氧基)-1-(2-丙硫基-嘧啶-4-基)-1H-吲唑。
实施例12:甲磺酰基-乙氧基)-1-[2-(丙-1-磺酰基)-嘧啶-4-基]-1H-吲唑
将4-(2-甲硫基-乙氧基)-1-(2-丙硫基-嘧啶-4-基)-1H-吲唑(705mg)和间全氯苯甲酸(2.109g的77%固体)加入到二氯甲烷(10mL)中,并将混合物在室温搅拌过夜。通过加入10%亚硫酸氢钠水溶液猝灭反应混合物并用二氯甲烷萃取。合并的有机层用水、饱和的NaHCO3水溶液和盐水洗涤,干燥(MgSO4),过滤并在减压下浓缩,得到4-(2-甲磺酰基-乙氧基)-1-[2-(丙-1-磺酰基)-嘧啶-4-基]-1H-吲唑。
实施例13:4-{4-[4-(2-甲磺酰基-乙氧基)-吲唑-1-基]-嘧啶-2-基氨基}-环己烷甲酸乙酯
总体上遵照实施例5的程序,通过4-氨基-环己烷甲酸乙酯与4-(2-甲磺酰基-乙氧基)-1-[2-(丙-1-磺酰基)-嘧啶-4-基]-1H-吲唑的反应制备4-{4-[4-(2-甲磺酰基-乙氧基)-吲唑-1-基]-嘧啶-2-基氨基}-环己烷甲酸乙酯。
实施例14:4-{4-[4-(3-甲磺酰基-丙氧基)-吲哚-1-基]-嘧啶-2-基氨基}-环己烷甲酸甲酯
将在NMP(2.35L)中的1-(2-氯-嘧啶-4-基)-4-(3-甲磺酰基-丙氧基)-1H-吲哚(300g)、4-氨基-环己烷甲酸乙酯HCl盐(155g)和K2CO3(170g)在80℃搅拌5h,然后在室温搅拌过夜。然后将反应混合物在冰浴上搅拌,并在搅拌的同时缓慢加入2.5L水,并且继续冷却直至放热反应完成。冷却后,将混合物过滤,并将所得的固体用H2O漂洗并在真空下干燥过夜,生成4-{4-[4-(3-甲磺酰基-丙氧基)-吲哚-1-基]-嘧啶-2-基氨基}-环己烷甲酸甲酯(97%)。
实施例15:4-{4-[4-(3-甲磺酰基-丙氧基)-吲哚-1-基]-嘧啶-2-基氨基}-环己烷甲酸钠盐
将50%(w/w)的NaOH在H2O(198.95g)中的水溶液加入到在IPA(7.5L)中的4-{4-[4-(3-甲磺酰基-丙氧基)-吲哚-1-基]-嘧啶-2-基氨基}-环己烷甲酸甲酯(830.0g)中,并允许混合物在82℃搅拌1h,然后在室温搅拌过夜。然后过滤混合物,并将固体用IPA漂洗,并在真空下在60℃干燥3天,生成4-{4-[4-(3-甲磺酰基-丙氧基)-吲哚-1-基]-嘧啶-2-基氨基}-环己烷甲酸钠(96.9%)。
实施例16:4-(1,1-二氧代-四氢-1λ*6*-噻吩-3-基甲氧基)-1-(2-丙硫基-嘧啶-4-基)-1H-吲哚
将1-(2-丙硫基-嘧啶-4-基)-1H-吲哚-4-醇(1.56g)和甲苯-4-磺酸1,1-二氧代-四氢-1λ*6*-噻吩-3-基甲基酯(2.37g)加入到NMP(20mL)中,随后加入碳酸铯(5.08g)。将混合物在70℃搅拌60小时,之后通过蒸馏除去溶剂。剩余物用1N HCl稀释并用EtOAc萃取。合并的有机层用盐水洗涤,干燥(MgSO4),过滤并在减压下浓缩,得到2.96g的4-(1,1-二氧代-四氢-1λ*6*-噻吩-3-基甲氧基)-1-(2-丙硫基-嘧啶-4-基)-1H-吲哚。
实施例17:4-(1,1-二氧代-四氢-1λ*6*-噻吩-3-基甲氧基)-1-[2-(丙-1-亚磺酰基)-嘧啶-4-基]-1H-吲哚
将4-(1,1-二氧代-四氢-1λ*6*-噻吩-3-基甲氧基)-1-(2-丙硫基-嘧啶-4-基)-1H-吲哚(1.16g)在二氯甲烷(40mL)中的溶液冷却至0℃并加入间全氯代苯甲酸(3.58g)。将混合物搅拌45分钟,然后通过加入饱和的NaHCO3水溶液猝灭。混合物用二氯甲烷萃取,并将合并的有机层干燥(MgSO4),过滤并在减压下浓缩,得到1.2g的4-(1,1-二氧代-四氢-1λ*6*-噻吩-3-基甲氧基)-1-[2-(丙-1-亚磺酰基)-嘧啶-4-基]-1H-吲哚。
实施例18:4-{4-[4-(1,1-二氧代-四氢-1λ*6*-噻吩-3-基甲氧基)-吲哚-1-基]-嘧啶-2-基氨基}-环己烷甲酸乙酯
向4-(1,1-二氧代-四氢-1λ*6*-噻吩-3-基甲氧基)-1-[2-(丙-1-亚磺酰基)-嘧啶-4-基]-1H-吲哚1.2g)和4-氨基-环己烷甲酸乙酯HCl盐(1.12g)在NMP(5mL)中的溶液中加入二异丙基乙基胺(1.4mL)。将混合物加热至80℃达18小时,然后冷却并倒入75mL水中。将混合物用二氯甲烷萃取,并将合并的有机层干燥(MgSO4),过滤并在减压下浓缩。剩余物通过急骤色谱法(60%EtOAc,在己烷中)纯化,得到1.069g的4-{4-[4-(1,1-二氧代-四氢-1λ*6*-噻吩-3-基甲氧基)-吲哚-1-基]-嘧啶-2-基氨基}-环己烷甲酸乙酯
实施例19:4-{4-[4-(3-甲磺酰基-丙氧基)-吲哚-1-基]-嘧啶-2-基氨基}-环己烷甲酸钠盐
将50%(w/w)NaOH在H2O(198.95g)中的水溶液加入到在IPA(7.5L)中的4-{4-[4-(3-甲磺酰基-丙氧基)-吲哚-1-基]-嘧啶-2-基氨基}-环己烷甲酸甲酯(830.0g)中,并允许混合物在82℃搅拌1h,然后在室温搅拌过夜。然后将混合物过滤,并将固体用IPA漂洗,并在真空下在60℃干燥3天,生成4-{4-[4-(3-甲磺酰基-丙氧基)-吲哚-1-基]-嘧啶-2-基氨基}-环己烷甲酸钠(96.9%)。
实施例20:(R)-1-(4-{4-[4-(3-甲磺酰基-丙氧基)-吲哚-1-基]-嘧啶-2-基氨基}-环己烷羰基)-哌啶-3-甲酸乙酯
将4-{4-[4-(3-甲磺酰基-丙氧基)-吲哚-1-基]-嘧啶-2-基氨基}-环己烷甲酸钠(0.4g)、(R)-哌啶-3-甲酸乙酯(0.165g)、BOP(0.537g)和DIPEA(0.56mL)加入到DMF(3mL)中,并将混合物在室温搅拌过夜。将混合物用水稀释并通过过滤收集所得的沉淀,用水洗涤,在减压下干燥,并通过急骤色谱法(DCM/MeOH)纯化,得到39.6mg的(R)-1-(4-{4-[4-(3-甲磺酰基-丙氧基)-吲哚-1-基]-嘧啶-2-基氨基}-环己烷羰基)-哌啶-3-甲酸乙酯,MP=175.0-177.0℃。
使用以上程序制备的其它化合物显示在表1中。
生物测定
实施例21:体外JNK测定
通过用[γ-33P]ATP磷酸化GST-ATF2(19-96)来测量JNK活性。在缓冲液中以40μl的终体积以Km浓度的ATP和底物来进行酶反应,所述缓冲液含有25mM HEPES,pH 7.5,2mM二硫苏糖醇,150mM NaCl,20mMMgCl2,0.001%吐温20,0.1%BSA和10%DMSO。人JNK2α2测定含有1nM酶,1μM ATF2,8μM ATP与1uCi[γ-33P]ATP。人JNK1α1测定含有2nM酶,1μM ATF2,6μM ATP与1μCi[γ-33P]ATP。人JNK3(Upstate生物技术(Upstate Biotech)#14-501M)测定含有2nM酶,1μMATF2,4μM ATP与1μCi[γ-33P]ATP。在存在或不存在几种化合物浓度下进行该酶测定。将JNK和化合物预温育10min,接着通过加入ATP和底物引发酶促反应。将反应混合物在30℃温育30min。在温育结束时,通过将25μl反应混合物转移至150μl的含有135mM EDTA的10%谷胱甘肽淤浆(Amersham#27-4574-01)来终止反应。将反应产物捕获在亲和树脂上并在过滤板(Millipore,MABVNOB50)上用磷酸盐缓冲盐水洗涤6次以去除游离的放射性核苷酸。在微板闪烁计数器(PackardTopcount)上将33P对ATF2的结合定量。通过IC50值测量化合物对JNK的抑制效力,所述IC50值是从拟合到以下3-参数模型的10个浓度抑制曲线产生的:%抑制=最大值/(1+(IC50/[抑制剂])斜率)。在微软Excel上分析数据以用于参数评估。代表性的结果显示于下表1中:
实施例22:大鼠体内TNFα-诱导的IL-6产生测定:
在使用前,使获自查尔斯河实验室(Charles River Laboratories)的雌性Wistar-Han大鼠适应一周,并达到约101-130g的体重。在0.5μg重组大鼠TNF-α(Biosource)的腹膜内攻击之前30分钟,通过经口管饲法向大鼠给予试验化合物(N=8/化合物)。在TNF-α攻击之后90分钟通过心脏穿刺术收集血液。使用肝素锂分离管(BD microtainer)制备血浆,并在-80℃冷冻直至进行分析。使用大鼠特异性IL-6ELISA试剂盒(Biosource)测定IL-6水平。测定百分比抑制和ED50值(计算为当TNF-α产生是对照值的50%时的化合物的剂量)。
实施例23:大鼠体内TNFα-诱导的IL-6产生测定:
在使用前,使获自查尔斯河实验室(Charles River Laboratories)的雌性Wistar-Han大鼠适应一周,并达到约114-132g的体重。在0.5μg重组大鼠TNF-α(Biosource)的腹膜内攻击之前30分钟,向大鼠皮下给予化合物18(N=8/剂量)。在TNF-α攻击之后90分钟通过心脏穿刺术收集血液。使用肝素锂分离管(BD microtainer)制备血浆,并在-80℃冷冻直至进行分析。使用大鼠特异性IL-6ELISA试剂盒(Biosource)测定IL-6水平。测定百分比抑制和ED50值(计算为当TNF-α产生是对照值的50%时的化合物的剂量)。
实施例24:啮齿动物胶原诱导的关节炎:
在使用前使获自Harlan实验室(Harlan Laboratories)的7-8周龄的雌性Lewis大鼠适应一周,并达到约120-140g的体重。在研究的第0天,在背部几个部位上将大鼠皮内(i.d.)接触抗原,其中使用100μg II型牛胶原(Chondrex)在不完全弗氏佐剂中的乳液(IFA;在2-3个部位总共0.1ml)。在接触抗原后12-14天通常观察到关节炎诱导;然而,在约第7-10天在尾巴基部或背部的备选位点提供100μg胶原/IFA的加强注射(i.d.总共可达0.1ml),以使疾病诱导同步化。化合物剂量给药可以是预防性的(在加强时或之前1-2天开始)或治疗性的(在加强和符合1-2的初始疾病得分后开始-参见以下临床得分)。在接下来的21天内评估动物的疾病发展和进展。
使用得分系统(以下描述),对每个爪使用体积测量计测量爪体积,或用卡钳测量爪或关节厚度,对大鼠进行评估。在第0天进行基线测量,在第一个肿胀征候时再次开始,每周可达三次,直至实验结束。对于每个爪如下评估得分:
1=肿胀和/或发红的爪或一个趾。
2=两个以上关节肿胀。
3=爪的严重肿胀,涉及多于两个关节。
4=整个爪和趾的严重关节炎。
通过将四个单爪得分加和来评估每只大鼠的关节炎指数,得出最大分数为16。为了连续测量疾病发作和进展,还通过使用体积测量计测定后爪的爪体积。
在研究结束时,收集后爪(和其它组织)以进行重量测定、组织学、细胞和/或分子分析。另外,通过心脏穿刺术收集血液,使用肝素锂分离管(BDmicrotainer)制备血浆,并在-70℃冷冻直至进行分析。使用大鼠特异性ELISA试剂盒(R&D)测定来自所述血浆或来自均化关节组织的炎性细胞因子水平(例如,TNF-α,IL-1和IL-6)。综合相对于对照动物在临床得分、爪体积和组织病理学方面的变化来测定疾病防护或抑制水平。
实施例25:大鼠药代动力学研究:
使用重量在180至220g之间的雌性Wistar/Han(CRL:WI)大鼠(Charles River,Hollister,CA)。允许动物自由获取标准实验室食物和自来水,并且住在恒定的温度-湿度环境中。每个剂量组(dose regime)的三只大鼠给药单个的10mg/kg IV推注剂量(50%环糊精(cyclodextran)/水)或单个的10mg/kg经口悬浮液剂量,所述悬浮液是在含0.9%NaCl、0.5%羧甲基纤维素钠、0.4%聚山梨醇酯80和0.9%苯甲醇的水性赋形剂中制备的。从每只用CO2∶O2(60∶40)麻醉的大鼠经由眼窝窦或心脏穿刺在剂量给药后1、3、6、8和24h收集血液。通过LC/MS方法测定试验化合物的血浆水平。以这种方法,将血浆的等分试样通过与乙腈混合进行处理以沉淀蛋白,离心以使上清液澄清,然后进一步用甲酸盐缓冲液(50mM)稀释,并且注射到HPLC上。从内源性干扰物质中分离试验化合物并随后从HPLC柱洗脱,用于质谱定量。
尽管已经参考其具体实施方案描述了本发明,本领域技术人员应理解,在不背离本发明的真实精神和范围的情况下,可以进行各种变化并且可以进行等价取代。另外,可以对本发明的客观精神和范围进行许多修改以适合特定的情形、材料、物质的组成、工艺、一个或多个工艺步骤。所有这些修改意在包含在所附权利要求书的范围内。
Claims (24)
1.一种式I的化合物
或其药用盐,
其中:
m是0至2;
n是0至2;
p是0至3;
X是CH或N;
各个R1独立地是:氢;或C1-6烷基;
各个R2独立地是:C1-6烷基;C1-6烷氧基卤代-C1-6烷基;或卤代-C1-6烷氧基;
R3是:C1-6烷基磺酰基-C1-6烷基;四氢噻吩基-1,1-氧化物-C1-6烷基;或四氢噻喃-1,1-氧化物-C1-6烷基;
各个R4独立地是:C1-6烷基;C1-6烷氧基卤代-C1-6烷基;或卤代-C1-6烷氧基;
R5是式(a)或(b)的基团:
其中:
q是0或1;
r是0或1;
Y是:NR9;或CR10R11;
R6和R7各自独立地是:氢,羧基;羧基-C1-6烷基酯或C1-6烷基;或者R6和R7一起形成C1-2亚烷基;
R8是:氢;或C1-6烷基;
R9是:氢;或C1-6烷基;
R10是:氢;或C1-6烷基;并且
R11是氢,C1-6烷氧基,NH2C(O)-,C1-6烷基;羟基-C1-6烷基;羧基;羧基-C1-6烷基;羧基-C1-6烷基酯;或羧基-C1-6烷基C1-6烷基酯。
2.根据权利要求1所述的化合物,其中,
m是0至2;
n是0至2;
p是0至3;
X是CH或N;
各个R1独立地是:氢;或C1-6烷基;
各个R2独立地是:C1-6烷基;C1-6烷氧基卤代-C1-6烷基;或卤代-C1-6烷氧基;
R3是:C1-6烷基磺酰基-C1-6烷基;噻吩基-1,1-氧化物-C1-6烷基;或四氢噻喃-1,1-氧化物-C1-6烷基;
各个R4独立地是:C1-6烷基;C1-6烷氧基卤代-C1-6烷基;或卤代-C1-6烷氧基;
R5是式(a)或(b)的基团:
其中:
q是0或1;
r是0或1;
Y是:NR9;或CR10R11;
R6和R7各自独立地是:氢;或C1-6烷基;或者R6和R7一起形成C1-2亚烷基;
R8是:氢;或C1-6烷基;
R9是:氢;或C1-6烷基;
R10是:氢;或C1-6烷基;并且
R11是:C1-6烷基;羟基-C1-6烷基;羧基;羧基-C1-6烷基;羧基-C1-6烷基酯;或羧基-C1-6烷基C1-6烷基酯。
3.根据权利要求1或2所述的化合物,其中m是0。
4.根据权利要求1至3中任一项所述的化合物,其中n是0。
5.根据权利要求1至4中任一项所述的化合物,其中p是0。
6.根据权利要求1至5中任一项所述的化合物,其中q是1。
7.根据权利要求1至5中任一项所述的化合物,其中q是0。
8.根据权利要求1至7中任一项所述的化合物,其中X是CH。
9.根据权利要求1至7中任一项所述的化合物,其中X是N。
10.根据权利要求1至9中任一项所述的化合物,其中Y是NR9。
11.根据权利要求1至9中任一项所述的化合物,其中Y是CR10R11。
12.根据权利要求1至11中任一项所述的化合物,其中R3是C1-6烷基磺酰基-C1-6烷基。
13.根据权利要求1至11中任一项所述的化合物,其中R3是四氢噻吩基-1,1-氧化物-C1-6烷基。
14.根据权利要求1至13中任一项所述的化合物,其中R3是式(a)的基团。
15.根据权利要求1至13中任一项所述的化合物,其中R3是式(b)的基团。
16.根据权利要求1所述的化合物,其中所述化合物选自由下列各项组成的组:
[1-(4-{4-[4-(3-甲磺酰基-丙氧基)-吲哚-1-基]-嘧啶-2-基氨基}-环己烷羰基)-哌啶-4-基]-乙酸乙酯;
(R)-1-(4-{4-[4-(3-甲磺酰基-丙氧基)-吲哚-1-基]-嘧啶-2-基氨基}-环己烷羰基)-哌啶-3-甲酸乙酯;
(4-{4-[4-(1,1-二氧代-四氢-1λ6-噻吩-3-基甲氧基)-吲哚-1-基]-嘧啶-2-基氨基}-环己基)-((R)-4-乙基-3-甲基-哌嗪-1-基)-甲酮
(S)-1-(4-{4-[4-(3-甲磺酰基-丙氧基)-吲哚-1-基]-嘧啶-2-基氨基}-环己烷羰基)-哌啶-3-甲酸;
1-(4-{4-[4-(3-甲磺酰基-丙氧基)-吲哚-1-基]-嘧啶-2-基氨基}-环己烷羰基)-哌啶-4-甲酰胺;
[4-(1-羟基-1-甲基-乙基)-哌啶-1-基]-(4-{4-[4-(3-甲磺酰基-丙氧基)-吲哚-1-基]-嘧啶-2-基氨基}-环己基)-甲酮;
1-(4-{4-[4-(1,1-二氧代-四氢-1λ6-噻吩-3-基甲氧基)-吲哚-1-基]-嘧啶-2-基氨基}-环己烷羰基)-哌啶-4-甲酸乙酯;
1-(4-{4-[4-(1,1-二氧代-四氢-1λ6-噻吩-3-基甲氧基)-吲哚-1-基]-嘧啶-2-基氨基}-环己烷羰基)-哌啶-4-甲酸;
(4-{4-[4-(1,1-二氧代-四氢-1λ6-噻吩-3-基甲氧基)-吲哚-1-基]-嘧啶-2-基氨基}-环己基)-((S)-4-乙基-3-甲基-哌嗪-1-基)-甲酮;
1-(4-{4-[4-(3-甲磺酰基-丙氧基)-吲哚-1-基]-嘧啶-2-基氨基}-环己烷羰基)-4-甲基-哌啶-4-甲酸乙酯;
4-{4-[4-(3-甲磺酰基-丙氧基)-吲哚-1-基]-嘧啶-2-基氨基}-环己烷甲酸((R)-1-丙基-吡咯烷-3-基)-酰胺;
4-{4-[4-(3-甲磺酰基-丙氧基)-吲哚-1-基]-嘧啶-2-基氨基}-环己烷甲酸((R)-1-乙基-吡咯烷-3-基)-酰胺;
4-{4-[4-(3-甲磺酰基-丙氧基)-吲哚-1-基]-嘧啶-2-基氨基}-环己烷甲酸((S)-1-乙基-吡咯烷-3-基)-酰胺;
4-{4-[4-(3-甲磺酰基-丙氧基)-吲哚-1-基]-嘧啶-2-基氨基}-环己烷甲酸((R)-1-丙基-哌啶-3-基)-酰胺;
4-{4-[4-(3-甲磺酰基-丙氧基)-吲哚-1-基]-嘧啶-2-基氨基}-环己烷甲酸((R)-1-乙基-哌啶-3-基)-酰胺;
4-{4-[4-(3-甲磺酰基-丙氧基)-吲哚-1-基]-嘧啶-2-基氨基}-环己烷甲酸((S)-1-丙基-哌啶-3-基)-酰胺;
4-{4-[4-(3-甲磺酰基-丙氧基)-吲哚-1-基]-嘧啶-2-基氨基}-环己烷甲酸((S)-1-乙基-哌啶-3-基)-酰胺;
1-(4-{4-[4-(3-甲磺酰基-丙氧基)-吲哚-1-基]-嘧啶-2-基氨基}-环己烷羰基)-4-甲基-哌啶-4-甲酸;
4-{4-[4-(3-甲磺酰基-丙氧基)-吲哚-1-基]-嘧啶-2-基氨基}-环己烷甲酸甲基-(1-甲基-哌啶-2-基甲基)-酰胺;
4-{4-[4-(3-甲磺酰基-丙氧基)-吲哚-1-基]-嘧啶-2-基氨基}-环己烷甲酸(1-乙基-吡咯烷-2-基甲基)-酰胺;
(1R,4S)-2,5-二氮杂-二环[2.2.1]庚-2-基-(4-{4-[4-(3-甲磺酰基-丙氧基)-吲哚-1-基]-嘧啶-2-基氨基}-环己基)-甲酮;
(4-{4-[4-(3-甲磺酰基-丙氧基)-吲哚-1-基]-嘧啶-2-基氨基}-环己基)-(8-甲基-3,8-二氮杂-二环[3.2.1]辛-3-基)-甲酮;
(4-{4-[4-(3-甲磺酰基-丙氧基)-吲唑-1-基]-嘧啶-2-基氨基}-环己基)-((S)-3-甲基-哌嗪-1-基)-甲酮;
(4-{4-[4-(3-甲磺酰基-丙氧基)-吲唑-1-基]-嘧啶-2-基氨基}-环己基)-((R)-3-甲基-哌嗪-1-基)-甲酮;
(4-{4-[4-(1,1-二氧代-四氢-1λ6-噻吩-3-基甲氧基)-吲唑-1-基]-嘧啶-2-基氨基}-环己基)-((S)-3-甲基-哌嗪-1-基)-甲酮;
(3-乙氧基-8-氮杂-二环[3.2.1]辛-8-基)-(4-{4-[4-(3-甲磺酰基-丙氧基)-吲哚-1-基]-嘧啶-2-基氨基}-环己基)-甲酮;
(4-{4-[4-(1,1-二氧代-四氢-1λ6-噻吩-3-基甲氧基)-吲唑-1-基]-嘧啶-2-基氨基}-环己基)-((S)-3-甲基-哌嗪-1-基)-甲酮;
(3,3-二甲基-哌嗪-1-基)-(4-{4-[4-(1,1-二氧代-四氢-1λ6-噻吩-3-基甲氧基)-吲哚-1-基]-嘧啶-2-基氨基}-环己基)-甲酮;
4-{4-[4-(1,1-二氧代-四氢-1λ6-噻吩-3-基甲氧基)-吲哚-1-基]-嘧啶-2-基氨基}-环己烷甲酸(1-乙基-哌啶-3-基)-酰胺;
4-{4-[4-(3-甲磺酰基-丙氧基)-吲哚-1-基]-嘧啶-2-基氨基}-环己烷甲酸((S)-1-乙基-吡咯烷-2-基甲基)-酰胺;和
4-{4-[4-(3-甲磺酰基-丙氧基)-吲哚-1-基]-嘧啶-2-基氨基}-环己烷甲酸((R)-1-乙基-吡咯烷-2-基甲基)-酰胺。
17.一种治疗患有JNK介导的病症的受试者的JNK介导的病症的方法,所述方法包括向需要其的受试者给药治疗有效量的权利要求1-16中任一项所述的化合物。
18.根据权利要求17所述的方法,其中所述关节炎是类风湿性关节炎。
19.根据权利要求17所述的方法,其中所述JNK介导的病症是哮喘。
20.根据权利要求17所述的方法,其中所述JNK介导的病症是糖尿病。
21.一种组合物,所述组合物包含与至少一种药用载体、赋形剂或稀释剂混合的权利要求1-16中任一项所述的化合物。
22.根据权利要求1至16中任一项所述的化合物在制备用于治疗炎性病症的药物中的用途。
23.根据权利要求1至16中任一项所述的化合物,其用于治疗炎性病症。
24.如上所述的发明。
Applications Claiming Priority (3)
| Application Number | Priority Date | Filing Date | Title |
|---|---|---|---|
| US35165210P | 2010-06-04 | 2010-06-04 | |
| US61/351,652 | 2010-06-04 | ||
| PCT/EP2011/059005 WO2011151358A1 (en) | 2010-06-04 | 2011-06-01 | 2 -amino- pyrimidine derivatives useful as inhibitors of jnk |
Publications (2)
| Publication Number | Publication Date |
|---|---|
| CN102918035A true CN102918035A (zh) | 2013-02-06 |
| CN102918035B CN102918035B (zh) | 2015-05-27 |
Family
ID=44201987
Family Applications (1)
| Application Number | Title | Priority Date | Filing Date |
|---|---|---|---|
| CN201180027084.2A Expired - Fee Related CN102918035B (zh) | 2010-06-04 | 2011-06-01 | 用作jnk的抑制剂的2-氨基-嘧啶衍生物 |
Country Status (11)
| Country | Link |
|---|---|
| US (1) | US8642601B2 (zh) |
| EP (1) | EP2576537B1 (zh) |
| JP (1) | JP5916719B2 (zh) |
| KR (1) | KR101800916B1 (zh) |
| CN (1) | CN102918035B (zh) |
| BR (1) | BR112012030931A2 (zh) |
| CA (1) | CA2799328C (zh) |
| ES (1) | ES2567828T3 (zh) |
| MX (1) | MX2012013589A (zh) |
| RU (1) | RU2572247C2 (zh) |
| WO (1) | WO2011151358A1 (zh) |
Cited By (2)
| Publication number | Priority date | Publication date | Assignee | Title |
|---|---|---|---|---|
| CN104036185A (zh) * | 2014-06-23 | 2014-09-10 | 常熟理工学院 | 基于虚拟化的宏内核操作系统载入模块权能隔离方法 |
| CN113956240A (zh) * | 2021-11-03 | 2022-01-21 | 陕西师范大学 | 一类嘧啶衍生物及其制备抗肿瘤药物的应用 |
Families Citing this family (2)
| Publication number | Priority date | Publication date | Assignee | Title |
|---|---|---|---|---|
| WO2018029336A1 (en) | 2016-08-12 | 2018-02-15 | INSERM (Institut National de la Santé et de la Recherche Médicale) | Methods for determining whether a subject was administered with an activator of the ppar beta/delta pathway. |
| US12540118B2 (en) | 2020-09-30 | 2026-02-03 | Jiangsu Flag Chemical Industry Co., Ltd. | Dendrene amide compound, bactericide and use thereof |
Citations (2)
| Publication number | Priority date | Publication date | Assignee | Title |
|---|---|---|---|---|
| WO2008068171A1 (en) * | 2006-12-08 | 2008-06-12 | F. Hoffmann-La Roche Ag | Substituted pyrimidines and their use as jnk modulators |
| WO2009138340A1 (en) * | 2008-05-16 | 2009-11-19 | F. Hoffmann-La Roche Ag | Inhibitors of jnk |
Family Cites Families (3)
| Publication number | Priority date | Publication date | Assignee | Title |
|---|---|---|---|---|
| AU2003233067B2 (en) * | 2002-04-25 | 2009-01-08 | Merck Serono Sa | Piperazine benzothiazoles as agents for the treatment of cerebral ischemic disorders or CNS disorders |
| WO2006038001A1 (en) * | 2004-10-06 | 2006-04-13 | Celltech R & D Limited | Aminopyrimidine derivatives as jnk inhibitors |
| CN101511359B (zh) * | 2006-09-08 | 2012-09-05 | 霍夫曼-拉罗奇有限公司 | 苯并三唑激酶调节剂 |
-
2011
- 2011-06-01 JP JP2013512882A patent/JP5916719B2/ja not_active Expired - Fee Related
- 2011-06-01 EP EP11723059.9A patent/EP2576537B1/en not_active Not-in-force
- 2011-06-01 KR KR1020137000098A patent/KR101800916B1/ko not_active Expired - Fee Related
- 2011-06-01 CN CN201180027084.2A patent/CN102918035B/zh not_active Expired - Fee Related
- 2011-06-01 ES ES11723059.9T patent/ES2567828T3/es active Active
- 2011-06-01 BR BR112012030931A patent/BR112012030931A2/pt not_active IP Right Cessation
- 2011-06-01 CA CA2799328A patent/CA2799328C/en not_active Expired - Fee Related
- 2011-06-01 WO PCT/EP2011/059005 patent/WO2011151358A1/en not_active Ceased
- 2011-06-01 MX MX2012013589A patent/MX2012013589A/es active IP Right Grant
- 2011-06-01 RU RU2012155143/04A patent/RU2572247C2/ru not_active IP Right Cessation
- 2011-06-02 US US13/151,326 patent/US8642601B2/en not_active Expired - Fee Related
Patent Citations (2)
| Publication number | Priority date | Publication date | Assignee | Title |
|---|---|---|---|---|
| WO2008068171A1 (en) * | 2006-12-08 | 2008-06-12 | F. Hoffmann-La Roche Ag | Substituted pyrimidines and their use as jnk modulators |
| WO2009138340A1 (en) * | 2008-05-16 | 2009-11-19 | F. Hoffmann-La Roche Ag | Inhibitors of jnk |
Cited By (4)
| Publication number | Priority date | Publication date | Assignee | Title |
|---|---|---|---|---|
| CN104036185A (zh) * | 2014-06-23 | 2014-09-10 | 常熟理工学院 | 基于虚拟化的宏内核操作系统载入模块权能隔离方法 |
| CN104036185B (zh) * | 2014-06-23 | 2017-04-12 | 常熟理工学院 | 基于虚拟化的宏内核操作系统载入模块权能隔离方法 |
| CN113956240A (zh) * | 2021-11-03 | 2022-01-21 | 陕西师范大学 | 一类嘧啶衍生物及其制备抗肿瘤药物的应用 |
| CN113956240B (zh) * | 2021-11-03 | 2023-02-14 | 陕西师范大学 | 一类嘧啶衍生物及其制备抗肿瘤药物的应用 |
Also Published As
| Publication number | Publication date |
|---|---|
| CA2799328C (en) | 2018-02-20 |
| BR112012030931A2 (pt) | 2016-11-08 |
| RU2012155143A (ru) | 2014-07-20 |
| HK1177931A1 (zh) | 2013-08-30 |
| KR101800916B1 (ko) | 2017-11-23 |
| JP2013527215A (ja) | 2013-06-27 |
| US8642601B2 (en) | 2014-02-04 |
| EP2576537B1 (en) | 2016-03-16 |
| US20110301171A1 (en) | 2011-12-08 |
| KR20130085406A (ko) | 2013-07-29 |
| EP2576537A1 (en) | 2013-04-10 |
| JP5916719B2 (ja) | 2016-05-11 |
| CA2799328A1 (en) | 2011-12-08 |
| RU2572247C2 (ru) | 2016-01-10 |
| MX2012013589A (es) | 2012-12-17 |
| CN102918035B (zh) | 2015-05-27 |
| ES2567828T3 (es) | 2016-04-26 |
| WO2011151358A1 (en) | 2011-12-08 |
Similar Documents
| Publication | Publication Date | Title |
|---|---|---|
| CN102015704A (zh) | Jnk的嘧啶基吡啶酮抑制剂 | |
| CN103476754A (zh) | 金刚烷基化合物 | |
| CN102471319B (zh) | Jnk的抑制剂 | |
| RU2653504C2 (ru) | Ингибиторы тирозинкиназы брутона | |
| CN102918035B (zh) | 用作jnk的抑制剂的2-氨基-嘧啶衍生物 | |
| CN102015689B (zh) | Jnk的抑制剂 | |
| CN102177161A (zh) | Jnk的嘧啶基吡啶酮抑制剂 | |
| CN102918046A (zh) | Jnk的抑制剂 | |
| TW201536773A (zh) | 布魯頓氏(bruton’s)酪胺酸激酶抑制劑 | |
| HK1177931B (zh) | 用作jnk的抑制剂的2-氨基-嘧啶衍生物 | |
| HK1177934A (zh) | Jnk的抑制剂 | |
| HK1192539A (zh) | 金刚烷基化合物 |
Legal Events
| Date | Code | Title | Description |
|---|---|---|---|
| C06 | Publication | ||
| PB01 | Publication | ||
| C10 | Entry into substantive examination | ||
| SE01 | Entry into force of request for substantive examination | ||
| REG | Reference to a national code |
Ref country code: HK Ref legal event code: DE Ref document number: 1177931 Country of ref document: HK |
|
| C14 | Grant of patent or utility model | ||
| GR01 | Patent grant | ||
| REG | Reference to a national code |
Ref country code: HK Ref legal event code: GR Ref document number: 1177931 Country of ref document: HK |
|
| CF01 | Termination of patent right due to non-payment of annual fee |
Granted publication date: 20150527 Termination date: 20180601 |
|
| CF01 | Termination of patent right due to non-payment of annual fee |





















































