CN102812167A - 蛋白的配体-介导的共价修饰 - Google Patents
蛋白的配体-介导的共价修饰 Download PDFInfo
- Publication number
- CN102812167A CN102812167A CN2010800649727A CN201080064972A CN102812167A CN 102812167 A CN102812167 A CN 102812167A CN 2010800649727 A CN2010800649727 A CN 2010800649727A CN 201080064972 A CN201080064972 A CN 201080064972A CN 102812167 A CN102812167 A CN 102812167A
- Authority
- CN
- China
- Prior art keywords
- independently
- alkyl
- compound
- hydrogen
- formula
- Prior art date
- Legal status (The legal status is an assumption and is not a legal conclusion. Google has not performed a legal analysis and makes no representation as to the accuracy of the status listed.)
- Pending
Links
- 0 CC(C(CC1=C2COC=C1)C1*=*)(C2=O)OC1=O Chemical compound CC(C(CC1=C2COC=C1)C1*=*)(C2=O)OC1=O 0.000 description 85
- BJTQQJARYCCBGG-UHFFFAOYSA-N CC(CC(CC1=O)O)=C1C(OC=C1CC2)=CC1=CC2=O Chemical compound CC(CC(CC1=O)O)=C1C(OC=C1CC2)=CC1=CC2=O BJTQQJARYCCBGG-UHFFFAOYSA-N 0.000 description 2
- OZRMHUUKHVFHPC-UHFFFAOYSA-N CC(C)(C(N)=O)C(NCCCC1CC1)=O Chemical compound CC(C)(C(N)=O)C(NCCCC1CC1)=O OZRMHUUKHVFHPC-UHFFFAOYSA-N 0.000 description 1
- HRLMBHOYXLZRCX-UHFFFAOYSA-N CC(C)(C)OC(N(CC1)CCC1NC(c1c(C)[nH]nc1-c1nc2cc(N)ccc2[nH]1)=O)=O Chemical compound CC(C)(C)OC(N(CC1)CCC1NC(c1c(C)[nH]nc1-c1nc2cc(N)ccc2[nH]1)=O)=O HRLMBHOYXLZRCX-UHFFFAOYSA-N 0.000 description 1
- TZNBTMCEMLXYEM-ZDUSSCGKSA-N CC(C)(C)OC(N([C@@H](CC1)C(OCc2ccccc2)=O)C1=O)=O Chemical compound CC(C)(C)OC(N([C@@H](CC1)C(OCc2ccccc2)=O)C1=O)=O TZNBTMCEMLXYEM-ZDUSSCGKSA-N 0.000 description 1
- JERVCKGFSCNCOT-ZDUSSCGKSA-N CC(C)(C)OC(NCc1cc(C(N[C@@H](CCO2)C2=O)=O)ccc1)=O Chemical compound CC(C)(C)OC(NCc1cc(C(N[C@@H](CCO2)C2=O)=O)ccc1)=O JERVCKGFSCNCOT-ZDUSSCGKSA-N 0.000 description 1
- KTVMRXNFCRJGLM-WNXIJDNUSA-N CC(C)(C)OC(N[C@@H](CC(N(C[C@@H](C1)O2)[C@H]1C2=O)=N)C(N(C[C@@H](C1)OC(N(Cc2ccc3)Cc2c3F)=O)[C@@H]1C(N[C@](C1)(C1C=C)C(NS(C1CC1)(=O)=O)=O)=O)=O)=O Chemical compound CC(C)(C)OC(N[C@@H](CC(N(C[C@@H](C1)O2)[C@H]1C2=O)=N)C(N(C[C@@H](C1)OC(N(Cc2ccc3)Cc2c3F)=O)[C@@H]1C(N[C@](C1)(C1C=C)C(NS(C1CC1)(=O)=O)=O)=O)=O)=O KTVMRXNFCRJGLM-WNXIJDNUSA-N 0.000 description 1
- QDHIOGFCRBWOJY-BWXLJAPASA-N CC(C)(C)OC(N[C@@H](CCN)C(N(CC(C1)OC(N(Cc2ccc3)Cc2c3F)=O)[C@@H]1C(N[C@](C1)([C@@H]1C=C)C(NS(C1CC1)(=O)=O)=O)=O)=O)=O Chemical compound CC(C)(C)OC(N[C@@H](CCN)C(N(CC(C1)OC(N(Cc2ccc3)Cc2c3F)=O)[C@@H]1C(N[C@](C1)([C@@H]1C=C)C(NS(C1CC1)(=O)=O)=O)=O)=O)=O QDHIOGFCRBWOJY-BWXLJAPASA-N 0.000 description 1
- GFWANCIGIDNJCL-VIFPVBQESA-N CC(C)(C)OC(N[C@@H](CNS(c(cccc1)c1[N+]([O-])=O)(=O)=O)C(O)=O)=O Chemical compound CC(C)(C)OC(N[C@@H](CNS(c(cccc1)c1[N+]([O-])=O)(=O)=O)C(O)=O)=O GFWANCIGIDNJCL-VIFPVBQESA-N 0.000 description 1
- JLYJGFNLKLXHTN-ZBPFIGKBSA-N CC(C)(Cc1c2[s]c(N(CCOC3=C)/C3=C/SC(C=C)C(N(C[C@@H](C3)O4)[C@H]3CC4=O)=O)n1)NC2=O Chemical compound CC(C)(Cc1c2[s]c(N(CCOC3=C)/C3=C/SC(C=C)C(N(C[C@@H](C3)O4)[C@H]3CC4=O)=O)n1)NC2=O JLYJGFNLKLXHTN-ZBPFIGKBSA-N 0.000 description 1
- IYWHTNWXUSVQGJ-UHFFFAOYSA-N CC(C)(Cc1c2[s]c(N3c(cc(cc4)-c(cc56)ccc5OC=CC6=O)c4OCC3)n1)NC2=O Chemical compound CC(C)(Cc1c2[s]c(N3c(cc(cc4)-c(cc56)ccc5OC=CC6=O)c4OCC3)n1)NC2=O IYWHTNWXUSVQGJ-UHFFFAOYSA-N 0.000 description 1
- YNPBLTUSIYXYRO-BWZZGGPESA-N CC(C)(Cc1c2[s]c(N3c(cc(cc4)NC([C@@H](CC5)O/C5=[O]/[C@@]5([C@@H]6C7)C6C7C5)=O)c4OCC3)n1)NC2=O Chemical compound CC(C)(Cc1c2[s]c(N3c(cc(cc4)NC([C@@H](CC5)O/C5=[O]/[C@@]5([C@@H]6C7)C6C7C5)=O)c4OCC3)n1)NC2=O YNPBLTUSIYXYRO-BWZZGGPESA-N 0.000 description 1
- XVUMEMDTZZIHAM-DNVGVPOPSA-N CC/C=C\C(\C(N)=O)=C/N Chemical compound CC/C=C\C(\C(N)=O)=C/N XVUMEMDTZZIHAM-DNVGVPOPSA-N 0.000 description 1
- ZXYOQRXZXDPDIG-FJSUWTOSSA-N CCC(C)S(NC[C@@](C1)(C1C=C)NC([C@H](C[C@H](C1)OC(N(Cc2ccc3)Cc2c3I)=O)N1C(CNC([C@H](CC1)OC1=O)=O)=C=C)=O)(=O)=O Chemical compound CCC(C)S(NC[C@@](C1)(C1C=C)NC([C@H](C[C@H](C1)OC(N(Cc2ccc3)Cc2c3I)=O)N1C(CNC([C@H](CC1)OC1=O)=O)=C=C)=O)(=O)=O ZXYOQRXZXDPDIG-FJSUWTOSSA-N 0.000 description 1
- MDVOEWMVMCNPHG-UHFFFAOYSA-N CCC(CC)NC(C)=O Chemical compound CCC(CC)NC(C)=O MDVOEWMVMCNPHG-UHFFFAOYSA-N 0.000 description 1
- RQZMYWUHMSNRLZ-UHFFFAOYSA-N CCNCCCCC#C Chemical compound CCNCCCCC#C RQZMYWUHMSNRLZ-UHFFFAOYSA-N 0.000 description 1
- USJRPEMSJIRWOD-UHFFFAOYSA-N CCOC(c1c(C)[nH]nc1COCC(C)C)=O Chemical compound CCOC(c1c(C)[nH]nc1COCC(C)C)=O USJRPEMSJIRWOD-UHFFFAOYSA-N 0.000 description 1
- JWNPDZNEKVCWMY-VQHVLOKHSA-N CCOc(c(NC(/C=C/CN(C)C)=O)cc1c2Nc(cc3)cc(Cl)c3OCc3ncccc3)cc1ncc2C#N Chemical compound CCOc(c(NC(/C=C/CN(C)C)=O)cc1c2Nc(cc3)cc(Cl)c3OCc3ncccc3)cc1ncc2C#N JWNPDZNEKVCWMY-VQHVLOKHSA-N 0.000 description 1
- JUHAOWVQJQNKRP-UHFFFAOYSA-N CN(Cc1cc(nc(-c2cc(O)ccc2)nc2N3CCOCC3)c2[s]1)S(C=C)(=O)=O Chemical compound CN(Cc1cc(nc(-c2cc(O)ccc2)nc2N3CCOCC3)c2[s]1)S(C=C)(=O)=O JUHAOWVQJQNKRP-UHFFFAOYSA-N 0.000 description 1
- QXXGBTZDELXNOT-DHUJRADRSA-N CN(Cc1cc2nc(-c3cccc(O)c3)nc(N3CCOCC3)c2[s]1)C([C@H](CC1)O/C1=[O]\Oc1cc(-c(nc2N3CCOCC3)nc3c2[s]c(CN(C)C(C=C)=O)c3)ccc1)=O Chemical compound CN(Cc1cc2nc(-c3cccc(O)c3)nc(N3CCOCC3)c2[s]1)C([C@H](CC1)O/C1=[O]\Oc1cc(-c(nc2N3CCOCC3)nc3c2[s]c(CN(C)C(C=C)=O)c3)ccc1)=O QXXGBTZDELXNOT-DHUJRADRSA-N 0.000 description 1
- CQRHKYLSFBRXMY-UHFFFAOYSA-N CNCCOc(ccc1c2N=C(NCc3cccnc3)N3C1=NCC3)c2OC Chemical compound CNCCOc(ccc1c2N=C(NCc3cccnc3)N3C1=NCC3)c2OC CQRHKYLSFBRXMY-UHFFFAOYSA-N 0.000 description 1
- ODFYFXNQNSKXMK-UHFFFAOYSA-N COC(C1)=C(C=NC(I)=C2)C2=CC1=O Chemical compound COC(C1)=C(C=NC(I)=C2)C2=CC1=O ODFYFXNQNSKXMK-UHFFFAOYSA-N 0.000 description 1
- LIYSXQHWRTYOCB-UHFFFAOYSA-N CON(CC1NC(c2cc(nc(-c3cccc4c3cn[nH]4)nc3N4CCOCC4)c3[s]2)=O)C1=O Chemical compound CON(CC1NC(c2cc(nc(-c3cccc4c3cn[nH]4)nc3N4CCOCC4)c3[s]2)=O)C1=O LIYSXQHWRTYOCB-UHFFFAOYSA-N 0.000 description 1
- PIBCZOYSFGAUOX-QBWOJQTASA-N COc(c(OCCCC(N(C[C@](C1)(C23)O)[C@H]1[C@H]2C3O)=O)ccc12)c1NN1C2=NCC1 Chemical compound COc(c(OCCCC(N(C[C@](C1)(C23)O)[C@H]1[C@H]2C3O)=O)ccc12)c1NN1C2=NCC1 PIBCZOYSFGAUOX-QBWOJQTASA-N 0.000 description 1
- VMYFCQVWUYYKOF-KRWDZBQOSA-N COc(c(OCCNC([C@H](CC1)OC1=O)=O)ccc12)c1N=C(NC(c1cccnc1)=O)N1C2=NCC1 Chemical compound COc(c(OCCNC([C@H](CC1)OC1=O)=O)ccc12)c1N=C(NC(c1cccnc1)=O)N1C2=NCC1 VMYFCQVWUYYKOF-KRWDZBQOSA-N 0.000 description 1
- IXEIMFIDFQEJTF-CQSZACIVSA-N COc(c1c(cc2)C3=NCCN3C(NC(c3cccnc3)=O)=N1)c2OC(N[C@H](CN1OC)C1=O)=O Chemical compound COc(c1c(cc2)C3=NCCN3C(NC(c3cccnc3)=O)=N1)c2OC(N[C@H](CN1OC)C1=O)=O IXEIMFIDFQEJTF-CQSZACIVSA-N 0.000 description 1
- RNRVGIKULNWVPB-UHFFFAOYSA-N COc(c1c(cc2)C3=NCCN3C(NC(c3cccnc3)=O)=N1)c2OCCNC(C=C)=O Chemical compound COc(c1c(cc2)C3=NCCN3C(NC(c3cccnc3)=O)=N1)c2OCCNC(C=C)=O RNRVGIKULNWVPB-UHFFFAOYSA-N 0.000 description 1
- YXTZLBCUZFRTIY-RDTXWAMCSA-N COc(ccc(C(N(C[C@@H](C1)O2)[C@H]1C2=O)=O)c1)c1N(C(CSc1ncnc2c1nc[nH]2)=Nc1c2c(Cl)ccc1)C2=O Chemical compound COc(ccc(C(N(C[C@@H](C1)O2)[C@H]1C2=O)=O)c1)c1N(C(CSc1ncnc2c1nc[nH]2)=Nc1c2c(Cl)ccc1)C2=O YXTZLBCUZFRTIY-RDTXWAMCSA-N 0.000 description 1
- WGZNOKULWYNACJ-NYINWKKBSA-N C[C@@H](C(/N=C(\CCCC[C@@H](CC1)N2[C@@H]1C(NCc1cccc(NC([C@H](C3)NC3=O)=O)c1)=O)/C2=O)=O)NC Chemical compound C[C@@H](C(/N=C(\CCCC[C@@H](CC1)N2[C@@H]1C(NCc1cccc(NC([C@H](C3)NC3=O)=O)c1)=O)/C2=O)=O)NC WGZNOKULWYNACJ-NYINWKKBSA-N 0.000 description 1
- UARFRPUOTBNVQB-AYOQOUSVSA-N C[C@@H](C(C)(C)C)C(N(CCC1)[C@@H]1C(NCc1cccc(NC([C@@H](CC2)OC2=O)=O)c1)=O)=O Chemical compound C[C@@H](C(C)(C)C)C(N(CCC1)[C@@H]1C(NCc1cccc(NC([C@@H](CC2)OC2=O)=O)c1)=O)=O UARFRPUOTBNVQB-AYOQOUSVSA-N 0.000 description 1
- KWPVJKAJLBVNRI-KVJIRVJXSA-N C[C@@H](C(NC[C@@H](C(C)(C)C)C(N(CCC1)[C@@H]1C(NCc1cccc(NC([C@@H](CC2)OC2=O)=O)c1)=O)=O)=O)NC Chemical compound C[C@@H](C(NC[C@@H](C(C)(C)C)C(N(CCC1)[C@@H]1C(NCc1cccc(NC([C@@H](CC2)OC2=O)=O)c1)=O)=O)=O)NC KWPVJKAJLBVNRI-KVJIRVJXSA-N 0.000 description 1
- HJMYTGHHHGKBEN-GWZZBQBDSA-N C[C@@H](C(NC[C@@H](CCCC[C@@H](CC1)N2C1C(NCc1cccc(C(N(CCC(C3)O4)C3C4=O)=O)c1)=O)C2=O)=O)NC Chemical compound C[C@@H](C(NC[C@@H](CCCC[C@@H](CC1)N2C1C(NCc1cccc(C(N(CCC(C3)O4)C3C4=O)=O)c1)=O)C2=O)=O)NC HJMYTGHHHGKBEN-GWZZBQBDSA-N 0.000 description 1
- UYMSAEMVTYIKOL-IXSCZATISA-N C[C@@H](C(N[C@@H](CCCC(C1)C1(CC1)N2[C@@H]1C(NCc1cc(C(/[O]=C(/C(C)(C)CO3)\C3=O)=O)ccc1)=O)C2=O)=O)NC Chemical compound C[C@@H](C(N[C@@H](CCCC(C1)C1(CC1)N2[C@@H]1C(NCc1cc(C(/[O]=C(/C(C)(C)CO3)\C3=O)=O)ccc1)=O)C2=O)=O)NC UYMSAEMVTYIKOL-IXSCZATISA-N 0.000 description 1
- PFIWKBXUMLDEKL-WWIDVBPXSA-N C[C@@H](C(N[C@@H](CCCC(C1)C1(CC1)N2[C@@H]1C(NCc1cc(C(NC[C@H](CC3)OC3=O)=O)ccc1)=O)C2=O)=O)NC Chemical compound C[C@@H](C(N[C@@H](CCCC(C1)C1(CC1)N2[C@@H]1C(NCc1cc(C(NC[C@H](CC3)OC3=O)=O)ccc1)=O)C2=O)=O)NC PFIWKBXUMLDEKL-WWIDVBPXSA-N 0.000 description 1
- IJJOFKCMLHPVRR-VATOHLFCSA-N C[C@@H](C(N[C@@H](CCCC(C1)C1(CC1)N2[C@@H]1C(NCc1cc(COC(CC3(C)OC3)=O)ccc1)=O)C2=O)=O)NC Chemical compound C[C@@H](C(N[C@@H](CCCC(C1)C1(CC1)N2[C@@H]1C(NCc1cc(COC(CC3(C)OC3)=O)ccc1)=O)C2=O)=O)NC IJJOFKCMLHPVRR-VATOHLFCSA-N 0.000 description 1
- IWSVOFIQCNSEMC-AIMZRJJKSA-N C[C@@H](C(N[C@@H](CCCC(C1)C1(CC1)N2[C@@H]1C(NCc1cc(NC(C(CCC3)OC3=O)=O)ccc1)=O)C2=O)=O)NC Chemical compound C[C@@H](C(N[C@@H](CCCC(C1)C1(CC1)N2[C@@H]1C(NCc1cc(NC(C(CCC3)OC3=O)=O)ccc1)=O)C2=O)=O)NC IWSVOFIQCNSEMC-AIMZRJJKSA-N 0.000 description 1
- AQBQELDUEMLHOH-JSMBAXIOSA-N C[C@@H](C(N[C@@H](CCCC(C1)C1(CC1)N2[C@@H]1C(NCc1cc(NC(C=C)=O)ccc1)=O)C2=O)=O)NC Chemical compound C[C@@H](C(N[C@@H](CCCC(C1)C1(CC1)N2[C@@H]1C(NCc1cc(NC(C=C)=O)ccc1)=O)C2=O)=O)NC AQBQELDUEMLHOH-JSMBAXIOSA-N 0.000 description 1
- PYGSEGPWLAZZCD-ABDCRPQVSA-N C[C@@H](C(N[C@@H](CCCC(C1)C1(CC1)N2[C@@H]1C(NCc1cccc(C(C(C)=O)C(C)=O)c1)=O)C2=O)=O)NC Chemical compound C[C@@H](C(N[C@@H](CCCC(C1)C1(CC1)N2[C@@H]1C(NCc1cccc(C(C(C)=O)C(C)=O)c1)=O)C2=O)=O)NC PYGSEGPWLAZZCD-ABDCRPQVSA-N 0.000 description 1
- QWQKJOQXRICKGI-YVIXXOANSA-N C[C@@H](C(N[C@@H](CCCC(C1)C1(CC1)N2[C@@H]1C(NCc1cccc(NC(C(CCO3)C3=O)=O)c1)=O)C2=O)=O)NC Chemical compound C[C@@H](C(N[C@@H](CCCC(C1)C1(CC1)N2[C@@H]1C(NCc1cccc(NC(C(CCO3)C3=O)=O)c1)=O)C2=O)=O)NC QWQKJOQXRICKGI-YVIXXOANSA-N 0.000 description 1
- PXPRNRUUDFAIIA-JHMFPGRKSA-N C[C@@H](C(N[C@@H](CCCCC(CC1)N2[C@@H]1C(NCc1cc(NC(C=C(C)C)=O)ccc1)=O)C2=O)=O)NC Chemical compound C[C@@H](C(N[C@@H](CCCCC(CC1)N2[C@@H]1C(NCc1cc(NC(C=C(C)C)=O)ccc1)=O)C2=O)=O)NC PXPRNRUUDFAIIA-JHMFPGRKSA-N 0.000 description 1
- RCHZZLBFGFNNGU-CZIXKKEKSA-N C[C@@H](C(N[C@@H](CCCC[C@@H](CC1)N2[C@@H]1C(NCc1cc(C(NC[C@@H](CC3)OC3=O)=O)ccc1)=O)C2=O)=O)NC Chemical compound C[C@@H](C(N[C@@H](CCCC[C@@H](CC1)N2[C@@H]1C(NCc1cc(C(NC[C@@H](CC3)OC3=O)=O)ccc1)=O)C2=O)=O)NC RCHZZLBFGFNNGU-CZIXKKEKSA-N 0.000 description 1
- KTHNBYOSOYIKRY-UBLBMGLWSA-N C[C@@H](C(N[C@@H](CCCC[C@@H](CC1)N2[C@@H]1C(NCc1cccc(C(C(C)=O)C(C)=O)c1)=O)C2=O)=O)N(C)C(OC(C)(C)C)=O Chemical compound C[C@@H](C(N[C@@H](CCCC[C@@H](CC1)N2[C@@H]1C(NCc1cccc(C(C(C)=O)C(C)=O)c1)=O)C2=O)=O)N(C)C(OC(C)(C)C)=O KTHNBYOSOYIKRY-UBLBMGLWSA-N 0.000 description 1
- HDEOKTLPFCTDSC-MQGJPIDWSA-N C[C@@H](C(N[C@@H](CCCC[C@@H](CC1)N2[C@@H]1C(NCc1cccc(NC(C(C)=C)=O)c1)=O)C2=O)=O)NC Chemical compound C[C@@H](C(N[C@@H](CCCC[C@@H](CC1)N2[C@@H]1C(NCc1cccc(NC(C(C)=C)=O)c1)=O)C2=O)=O)NC HDEOKTLPFCTDSC-MQGJPIDWSA-N 0.000 description 1
- AJYLIZBKARBOQF-ADNIJMRFSA-N C[C@@H](C(N[C@@H](CCCC[C@@H](CC1)N2[C@@H]1C(NCc1cccc(NC([C@@H](CC3)OC3=O)=O)c1)=O)C2=O)=O)NC Chemical compound C[C@@H](C(N[C@@H](CCCC[C@@H](CC1)N2[C@@H]1C(NCc1cccc(NC([C@@H](CC3)OC3=O)=O)c1)=O)C2=O)=O)NC AJYLIZBKARBOQF-ADNIJMRFSA-N 0.000 description 1
- ITCYLLLTQWFVIH-VJBMBRPKSA-N C[C@@H](C(N[C@@H](CNC(C=C)=O)C(N(CCC1)[C@@H]1C(NCc1cccc(NC(C=C)=O)c1)=O)=O)=O)N(C)C(OC(C)(C)C)=O Chemical compound C[C@@H](C(N[C@@H](CNC(C=C)=O)C(N(CCC1)[C@@H]1C(NCc1cccc(NC(C=C)=O)c1)=O)=O)=O)N(C)C(OC(C)(C)C)=O ITCYLLLTQWFVIH-VJBMBRPKSA-N 0.000 description 1
- JVOZYXBXDUGXIJ-VDGAXYAQSA-N C[C@@H](C(N[C@@H](CNC(C=C)=O)C(N(CCC1)[C@@H]1C(NCc1cccc(NC(C=C)=O)c1)=O)=O)=O)NC Chemical compound C[C@@H](C(N[C@@H](CNC(C=C)=O)C(N(CCC1)[C@@H]1C(NCc1cccc(NC(C=C)=O)c1)=O)=O)=O)NC JVOZYXBXDUGXIJ-VDGAXYAQSA-N 0.000 description 1
- ARLVTMVJYRWLCG-DVWBAYGPSA-N C[C@@H](CCCC[C@@H](CC1)N2[C@@H]1C(NCc1cc(C(NC[C@@H](CC3)OC3=O)=O)ccc1)=O)C2=O Chemical compound C[C@@H](CCCC[C@@H](CC1)N2[C@@H]1C(NCc1cc(C(NC[C@@H](CC3)OC3=O)=O)ccc1)=O)C2=O ARLVTMVJYRWLCG-DVWBAYGPSA-N 0.000 description 1
- YUCSAYTZVNHBHU-BLFQGETASA-N C[C@H](C(CC1)(CC(CCc2c3)C1c2ccc3O)O)C#C Chemical compound C[C@H](C(CC1)(CC(CCc2c3)C1c2ccc3O)O)C#C YUCSAYTZVNHBHU-BLFQGETASA-N 0.000 description 1
- GCEHLIQGBSTENM-NEGSROCKSA-N C[C@](CC1)(CC(CCc2c3)C1c2ccc3O)C(C#CC(F)(F)F)O Chemical compound C[C@](CC1)(CC(CCc2c3)C1c2ccc3O)C(C#CC(F)(F)F)O GCEHLIQGBSTENM-NEGSROCKSA-N 0.000 description 1
- YDSMVVNYVJZDET-VOTSOKGWSA-N Cc(cc(/C=C/c1cccc(C(Oc(cc2)ccc2F)=O)c1)cc1C)c1O Chemical compound Cc(cc(/C=C/c1cccc(C(Oc(cc2)ccc2F)=O)c1)cc1C)c1O YDSMVVNYVJZDET-VOTSOKGWSA-N 0.000 description 1
- FXFWECMBRQGCCF-VAWYXSNFSA-N Cc(cc(/C=C/c1cccc(C(Sc2ccccc2)=O)c1)cc1C)c1O Chemical compound Cc(cc(/C=C/c1cccc(C(Sc2ccccc2)=O)c1)cc1C)c1O FXFWECMBRQGCCF-VAWYXSNFSA-N 0.000 description 1
- KDUIXXOPYISWDC-QGZVFWFLSA-N Cc1c(C(NC2CCNCC2)=O)c(-c2nc3cc(NC(CNC([C@@H](CC4)OC4=O)=O)=O)ccc3[nH]2)n[nH]1 Chemical compound Cc1c(C(NC2CCNCC2)=O)c(-c2nc3cc(NC(CNC([C@@H](CC4)OC4=O)=O)=O)ccc3[nH]2)n[nH]1 KDUIXXOPYISWDC-QGZVFWFLSA-N 0.000 description 1
- CJBLHNOJOCBNNJ-ZHACJKMWSA-O Cc1cc(/C=C/c2cccc(C(Oc(cccc3)c3[N+](O)=O)=O)c2)cc(C)c1O Chemical compound Cc1cc(/C=C/c2cccc(C(Oc(cccc3)c3[N+](O)=O)=O)c2)cc(C)c1O CJBLHNOJOCBNNJ-ZHACJKMWSA-O 0.000 description 1
- PCUPUZPXEWUMFO-UHFFFAOYSA-N Cc1cccc(N=C(CSc2c3nc[nH]c3ncn2)N2c(cc(cc3)C(O)=O)c3OC)c1C2=O Chemical compound Cc1cccc(N=C(CSc2c3nc[nH]c3ncn2)N2c(cc(cc3)C(O)=O)c3OC)c1C2=O PCUPUZPXEWUMFO-UHFFFAOYSA-N 0.000 description 1
- MZUZUZRHGNWDAH-UHFFFAOYSA-N Nc(nc1)ncc1-c(nc1N2CCOCC2)nc2c1[s]c(CN(CC1)CCN1C(C(C1)CSC1=O)=O)c2 Chemical compound Nc(nc1)ncc1-c(nc1N2CCOCC2)nc2c1[s]c(CN(CC1)CCN1C(C(C1)CSC1=O)=O)c2 MZUZUZRHGNWDAH-UHFFFAOYSA-N 0.000 description 1
- WPKVDLUPRYJEHW-QFIPXVFZSA-N O=C([C@H](CC1)OC1=O)N1CCN(Cc2cc3nc(-c4cccc5c4cn[nH]5)nc(N4CCOCC4)c3[s]2)CC1 Chemical compound O=C([C@H](CC1)OC1=O)N1CCN(Cc2cc3nc(-c4cccc5c4cn[nH]5)nc(N4CCOCC4)c3[s]2)CC1 WPKVDLUPRYJEHW-QFIPXVFZSA-N 0.000 description 1
- UEDLWIRTZPFMMQ-MDZDMXLPSA-N Oc(c(Br)cc(/C=C/c1cccc(C(Sc2ccccc2)=O)c1)c1)c1Br Chemical compound Oc(c(Br)cc(/C=C/c1cccc(C(Sc2ccccc2)=O)c1)c1)c1Br UEDLWIRTZPFMMQ-MDZDMXLPSA-N 0.000 description 1
- WKVNDEDBUOGCCR-MUMRKEEXSA-N Oc1cc(-c(nc2N3CCOCC3)nc3c2[s]c(C(CC2)=CCC2C([C@H](CC2)CC2=O)=O)c3)ccc1 Chemical compound Oc1cc(-c(nc2N3CCOCC3)nc3c2[s]c(C(CC2)=CCC2C([C@H](CC2)CC2=O)=O)c3)ccc1 WKVNDEDBUOGCCR-MUMRKEEXSA-N 0.000 description 1
Images
Classifications
-
- C—CHEMISTRY; METALLURGY
- C12—BIOCHEMISTRY; BEER; SPIRITS; WINE; VINEGAR; MICROBIOLOGY; ENZYMOLOGY; MUTATION OR GENETIC ENGINEERING
- C12N—MICROORGANISMS OR ENZYMES; COMPOSITIONS THEREOF; PROPAGATING, PRESERVING, OR MAINTAINING MICROORGANISMS; MUTATION OR GENETIC ENGINEERING; CULTURE MEDIA
- C12N9/00—Enzymes; Proenzymes; Compositions thereof; Processes for preparing, activating, inhibiting, separating or purifying enzymes
- C12N9/96—Stabilising an enzyme by forming an adduct or a composition; Forming enzyme conjugates
-
- A—HUMAN NECESSITIES
- A61—MEDICAL OR VETERINARY SCIENCE; HYGIENE
- A61P—SPECIFIC THERAPEUTIC ACTIVITY OF CHEMICAL COMPOUNDS OR MEDICINAL PREPARATIONS
- A61P31/00—Antiinfectives, i.e. antibiotics, antiseptics, chemotherapeutics
- A61P31/12—Antivirals
- A61P31/14—Antivirals for RNA viruses
-
- A—HUMAN NECESSITIES
- A61—MEDICAL OR VETERINARY SCIENCE; HYGIENE
- A61P—SPECIFIC THERAPEUTIC ACTIVITY OF CHEMICAL COMPOUNDS OR MEDICINAL PREPARATIONS
- A61P43/00—Drugs for specific purposes, not provided for in groups A61P1/00-A61P41/00
-
- C—CHEMISTRY; METALLURGY
- C07—ORGANIC CHEMISTRY
- C07D—HETEROCYCLIC COMPOUNDS
- C07D207/00—Heterocyclic compounds containing five-membered rings not condensed with other rings, with one nitrogen atom as the only ring hetero atom
- C07D207/02—Heterocyclic compounds containing five-membered rings not condensed with other rings, with one nitrogen atom as the only ring hetero atom with only hydrogen or carbon atoms directly attached to the ring nitrogen atom
- C07D207/04—Heterocyclic compounds containing five-membered rings not condensed with other rings, with one nitrogen atom as the only ring hetero atom with only hydrogen or carbon atoms directly attached to the ring nitrogen atom having no double bonds between ring members or between ring members and non-ring members
- C07D207/10—Heterocyclic compounds containing five-membered rings not condensed with other rings, with one nitrogen atom as the only ring hetero atom with only hydrogen or carbon atoms directly attached to the ring nitrogen atom having no double bonds between ring members or between ring members and non-ring members with hetero atoms or with carbon atoms having three bonds to hetero atoms with at the most one bond to halogen, e.g. ester or nitrile radicals, directly attached to ring carbon atoms
- C07D207/16—Carbon atoms having three bonds to hetero atoms with at the most one bond to halogen, e.g. ester or nitrile radicals
-
- C—CHEMISTRY; METALLURGY
- C07—ORGANIC CHEMISTRY
- C07D—HETEROCYCLIC COMPOUNDS
- C07D239/00—Heterocyclic compounds containing 1,3-diazine or hydrogenated 1,3-diazine rings
- C07D239/02—Heterocyclic compounds containing 1,3-diazine or hydrogenated 1,3-diazine rings not condensed with other rings
- C07D239/24—Heterocyclic compounds containing 1,3-diazine or hydrogenated 1,3-diazine rings not condensed with other rings having three or more double bonds between ring members or between ring members and non-ring members
- C07D239/28—Heterocyclic compounds containing 1,3-diazine or hydrogenated 1,3-diazine rings not condensed with other rings having three or more double bonds between ring members or between ring members and non-ring members with hetero atoms or with carbon atoms having three bonds to hetero atoms with at the most one bond to halogen, directly attached to ring carbon atoms
- C07D239/46—Two or more oxygen, sulphur or nitrogen atoms
- C07D239/48—Two nitrogen atoms
- C07D239/49—Two nitrogen atoms with an aralkyl radical, or substituted aralkyl radical, attached in position 5, e.g. trimethoprim
-
- C—CHEMISTRY; METALLURGY
- C07—ORGANIC CHEMISTRY
- C07D—HETEROCYCLIC COMPOUNDS
- C07D401/00—Heterocyclic compounds containing two or more hetero rings, having nitrogen atoms as the only ring hetero atoms, at least one ring being a six-membered ring with only one nitrogen atom
- C07D401/02—Heterocyclic compounds containing two or more hetero rings, having nitrogen atoms as the only ring hetero atoms, at least one ring being a six-membered ring with only one nitrogen atom containing two hetero rings
- C07D401/04—Heterocyclic compounds containing two or more hetero rings, having nitrogen atoms as the only ring hetero atoms, at least one ring being a six-membered ring with only one nitrogen atom containing two hetero rings directly linked by a ring-member-to-ring-member bond
-
- C—CHEMISTRY; METALLURGY
- C07—ORGANIC CHEMISTRY
- C07D—HETEROCYCLIC COMPOUNDS
- C07D401/00—Heterocyclic compounds containing two or more hetero rings, having nitrogen atoms as the only ring hetero atoms, at least one ring being a six-membered ring with only one nitrogen atom
- C07D401/14—Heterocyclic compounds containing two or more hetero rings, having nitrogen atoms as the only ring hetero atoms, at least one ring being a six-membered ring with only one nitrogen atom containing three or more hetero rings
-
- C—CHEMISTRY; METALLURGY
- C07—ORGANIC CHEMISTRY
- C07D—HETEROCYCLIC COMPOUNDS
- C07D403/00—Heterocyclic compounds containing two or more hetero rings, having nitrogen atoms as the only ring hetero atoms, not provided for by group C07D401/00
- C07D403/02—Heterocyclic compounds containing two or more hetero rings, having nitrogen atoms as the only ring hetero atoms, not provided for by group C07D401/00 containing two hetero rings
- C07D403/12—Heterocyclic compounds containing two or more hetero rings, having nitrogen atoms as the only ring hetero atoms, not provided for by group C07D401/00 containing two hetero rings linked by a chain containing hetero atoms as chain links
-
- C—CHEMISTRY; METALLURGY
- C07—ORGANIC CHEMISTRY
- C07D—HETEROCYCLIC COMPOUNDS
- C07D403/00—Heterocyclic compounds containing two or more hetero rings, having nitrogen atoms as the only ring hetero atoms, not provided for by group C07D401/00
- C07D403/14—Heterocyclic compounds containing two or more hetero rings, having nitrogen atoms as the only ring hetero atoms, not provided for by group C07D401/00 containing three or more hetero rings
-
- C—CHEMISTRY; METALLURGY
- C07—ORGANIC CHEMISTRY
- C07D—HETEROCYCLIC COMPOUNDS
- C07D405/00—Heterocyclic compounds containing both one or more hetero rings having oxygen atoms as the only ring hetero atoms, and one or more rings having nitrogen as the only ring hetero atom
- C07D405/02—Heterocyclic compounds containing both one or more hetero rings having oxygen atoms as the only ring hetero atoms, and one or more rings having nitrogen as the only ring hetero atom containing two hetero rings
- C07D405/12—Heterocyclic compounds containing both one or more hetero rings having oxygen atoms as the only ring hetero atoms, and one or more rings having nitrogen as the only ring hetero atom containing two hetero rings linked by a chain containing hetero atoms as chain links
-
- C—CHEMISTRY; METALLURGY
- C07—ORGANIC CHEMISTRY
- C07D—HETEROCYCLIC COMPOUNDS
- C07D405/00—Heterocyclic compounds containing both one or more hetero rings having oxygen atoms as the only ring hetero atoms, and one or more rings having nitrogen as the only ring hetero atom
- C07D405/14—Heterocyclic compounds containing both one or more hetero rings having oxygen atoms as the only ring hetero atoms, and one or more rings having nitrogen as the only ring hetero atom containing three or more hetero rings
-
- C—CHEMISTRY; METALLURGY
- C07—ORGANIC CHEMISTRY
- C07D—HETEROCYCLIC COMPOUNDS
- C07D409/00—Heterocyclic compounds containing two or more hetero rings, at least one ring having sulfur atoms as the only ring hetero atoms
- C07D409/02—Heterocyclic compounds containing two or more hetero rings, at least one ring having sulfur atoms as the only ring hetero atoms containing two hetero rings
- C07D409/12—Heterocyclic compounds containing two or more hetero rings, at least one ring having sulfur atoms as the only ring hetero atoms containing two hetero rings linked by a chain containing hetero atoms as chain links
-
- C—CHEMISTRY; METALLURGY
- C07—ORGANIC CHEMISTRY
- C07D—HETEROCYCLIC COMPOUNDS
- C07D417/00—Heterocyclic compounds containing two or more hetero rings, at least one ring having nitrogen and sulfur atoms as the only ring hetero atoms, not provided for by group C07D415/00
- C07D417/02—Heterocyclic compounds containing two or more hetero rings, at least one ring having nitrogen and sulfur atoms as the only ring hetero atoms, not provided for by group C07D415/00 containing two hetero rings
- C07D417/06—Heterocyclic compounds containing two or more hetero rings, at least one ring having nitrogen and sulfur atoms as the only ring hetero atoms, not provided for by group C07D415/00 containing two hetero rings linked by a carbon chain containing only aliphatic carbon atoms
-
- C—CHEMISTRY; METALLURGY
- C07—ORGANIC CHEMISTRY
- C07D—HETEROCYCLIC COMPOUNDS
- C07D417/00—Heterocyclic compounds containing two or more hetero rings, at least one ring having nitrogen and sulfur atoms as the only ring hetero atoms, not provided for by group C07D415/00
- C07D417/14—Heterocyclic compounds containing two or more hetero rings, at least one ring having nitrogen and sulfur atoms as the only ring hetero atoms, not provided for by group C07D415/00 containing three or more hetero rings
-
- C—CHEMISTRY; METALLURGY
- C07—ORGANIC CHEMISTRY
- C07D—HETEROCYCLIC COMPOUNDS
- C07D487/00—Heterocyclic compounds containing nitrogen atoms as the only ring hetero atoms in the condensed system, not provided for by groups C07D451/00 - C07D477/00
- C07D487/02—Heterocyclic compounds containing nitrogen atoms as the only ring hetero atoms in the condensed system, not provided for by groups C07D451/00 - C07D477/00 in which the condensed system contains two hetero rings
- C07D487/04—Ortho-condensed systems
-
- C—CHEMISTRY; METALLURGY
- C07—ORGANIC CHEMISTRY
- C07D—HETEROCYCLIC COMPOUNDS
- C07D491/00—Heterocyclic compounds containing in the condensed ring system both one or more rings having oxygen atoms as the only ring hetero atoms and one or more rings having nitrogen atoms as the only ring hetero atoms, not provided for by groups C07D451/00 - C07D459/00, C07D463/00, C07D477/00 or C07D489/00
- C07D491/02—Heterocyclic compounds containing in the condensed ring system both one or more rings having oxygen atoms as the only ring hetero atoms and one or more rings having nitrogen atoms as the only ring hetero atoms, not provided for by groups C07D451/00 - C07D459/00, C07D463/00, C07D477/00 or C07D489/00 in which the condensed system contains two hetero rings
- C07D491/08—Bridged systems
-
- C—CHEMISTRY; METALLURGY
- C07—ORGANIC CHEMISTRY
- C07D—HETEROCYCLIC COMPOUNDS
- C07D493/00—Heterocyclic compounds containing oxygen atoms as the only ring hetero atoms in the condensed system
- C07D493/02—Heterocyclic compounds containing oxygen atoms as the only ring hetero atoms in the condensed system in which the condensed system contains two hetero rings
- C07D493/04—Ortho-condensed systems
-
- C—CHEMISTRY; METALLURGY
- C07—ORGANIC CHEMISTRY
- C07D—HETEROCYCLIC COMPOUNDS
- C07D495/00—Heterocyclic compounds containing in the condensed system at least one hetero ring having sulfur atoms as the only ring hetero atoms
- C07D495/02—Heterocyclic compounds containing in the condensed system at least one hetero ring having sulfur atoms as the only ring hetero atoms in which the condensed system contains two hetero rings
- C07D495/04—Ortho-condensed systems
-
- C—CHEMISTRY; METALLURGY
- C07—ORGANIC CHEMISTRY
- C07D—HETEROCYCLIC COMPOUNDS
- C07D513/00—Heterocyclic compounds containing in the condensed system at least one hetero ring having nitrogen and sulfur atoms as the only ring hetero atoms, not provided for in groups C07D463/00, C07D477/00 or C07D499/00 - C07D507/00
- C07D513/02—Heterocyclic compounds containing in the condensed system at least one hetero ring having nitrogen and sulfur atoms as the only ring hetero atoms, not provided for in groups C07D463/00, C07D477/00 or C07D499/00 - C07D507/00 in which the condensed system contains two hetero rings
- C07D513/04—Ortho-condensed systems
-
- C—CHEMISTRY; METALLURGY
- C07—ORGANIC CHEMISTRY
- C07D—HETEROCYCLIC COMPOUNDS
- C07D519/00—Heterocyclic compounds containing more than one system of two or more relevant hetero rings condensed among themselves or condensed with a common carbocyclic ring system not provided for in groups C07D453/00 or C07D455/00
-
- C—CHEMISTRY; METALLURGY
- C12—BIOCHEMISTRY; BEER; SPIRITS; WINE; VINEGAR; MICROBIOLOGY; ENZYMOLOGY; MUTATION OR GENETIC ENGINEERING
- C12N—MICROORGANISMS OR ENZYMES; COMPOSITIONS THEREOF; PROPAGATING, PRESERVING, OR MAINTAINING MICROORGANISMS; MUTATION OR GENETIC ENGINEERING; CULTURE MEDIA
- C12N9/00—Enzymes; Proenzymes; Compositions thereof; Processes for preparing, activating, inhibiting, separating or purifying enzymes
- C12N9/10—Transferases (2.)
- C12N9/12—Transferases (2.) transferring phosphorus containing groups, e.g. kinases (2.7)
-
- C—CHEMISTRY; METALLURGY
- C12—BIOCHEMISTRY; BEER; SPIRITS; WINE; VINEGAR; MICROBIOLOGY; ENZYMOLOGY; MUTATION OR GENETIC ENGINEERING
- C12N—MICROORGANISMS OR ENZYMES; COMPOSITIONS THEREOF; PROPAGATING, PRESERVING, OR MAINTAINING MICROORGANISMS; MUTATION OR GENETIC ENGINEERING; CULTURE MEDIA
- C12N9/00—Enzymes; Proenzymes; Compositions thereof; Processes for preparing, activating, inhibiting, separating or purifying enzymes
- C12N9/14—Hydrolases (3)
- C12N9/48—Hydrolases (3) acting on peptide bonds (3.4)
- C12N9/50—Proteinases, e.g. Endopeptidases (3.4.21-3.4.25)
- C12N9/503—Proteinases, e.g. Endopeptidases (3.4.21-3.4.25) derived from viruses
- C12N9/506—Proteinases, e.g. Endopeptidases (3.4.21-3.4.25) derived from viruses derived from RNA viruses
-
- C—CHEMISTRY; METALLURGY
- C12—BIOCHEMISTRY; BEER; SPIRITS; WINE; VINEGAR; MICROBIOLOGY; ENZYMOLOGY; MUTATION OR GENETIC ENGINEERING
- C12N—MICROORGANISMS OR ENZYMES; COMPOSITIONS THEREOF; PROPAGATING, PRESERVING, OR MAINTAINING MICROORGANISMS; MUTATION OR GENETIC ENGINEERING; CULTURE MEDIA
- C12N9/00—Enzymes; Proenzymes; Compositions thereof; Processes for preparing, activating, inhibiting, separating or purifying enzymes
- C12N9/93—Ligases (6)
-
- C—CHEMISTRY; METALLURGY
- C12—BIOCHEMISTRY; BEER; SPIRITS; WINE; VINEGAR; MICROBIOLOGY; ENZYMOLOGY; MUTATION OR GENETIC ENGINEERING
- C12Q—MEASURING OR TESTING PROCESSES INVOLVING ENZYMES, NUCLEIC ACIDS OR MICROORGANISMS; COMPOSITIONS OR TEST PAPERS THEREFOR; PROCESSES OF PREPARING SUCH COMPOSITIONS; CONDITION-RESPONSIVE CONTROL IN MICROBIOLOGICAL OR ENZYMOLOGICAL PROCESSES
- C12Q1/00—Measuring or testing processes involving enzymes, nucleic acids or microorganisms; Compositions therefor; Processes of preparing such compositions
- C12Q1/25—Measuring or testing processes involving enzymes, nucleic acids or microorganisms; Compositions therefor; Processes of preparing such compositions involving enzymes not classifiable in groups C12Q1/26 - C12Q1/66
-
- C—CHEMISTRY; METALLURGY
- C12—BIOCHEMISTRY; BEER; SPIRITS; WINE; VINEGAR; MICROBIOLOGY; ENZYMOLOGY; MUTATION OR GENETIC ENGINEERING
- C12Q—MEASURING OR TESTING PROCESSES INVOLVING ENZYMES, NUCLEIC ACIDS OR MICROORGANISMS; COMPOSITIONS OR TEST PAPERS THEREFOR; PROCESSES OF PREPARING SUCH COMPOSITIONS; CONDITION-RESPONSIVE CONTROL IN MICROBIOLOGICAL OR ENZYMOLOGICAL PROCESSES
- C12Q1/00—Measuring or testing processes involving enzymes, nucleic acids or microorganisms; Compositions therefor; Processes of preparing such compositions
- C12Q1/34—Measuring or testing processes involving enzymes, nucleic acids or microorganisms; Compositions therefor; Processes of preparing such compositions involving hydrolase
- C12Q1/37—Measuring or testing processes involving enzymes, nucleic acids or microorganisms; Compositions therefor; Processes of preparing such compositions involving hydrolase involving peptidase or proteinase
-
- C—CHEMISTRY; METALLURGY
- C12—BIOCHEMISTRY; BEER; SPIRITS; WINE; VINEGAR; MICROBIOLOGY; ENZYMOLOGY; MUTATION OR GENETIC ENGINEERING
- C12Q—MEASURING OR TESTING PROCESSES INVOLVING ENZYMES, NUCLEIC ACIDS OR MICROORGANISMS; COMPOSITIONS OR TEST PAPERS THEREFOR; PROCESSES OF PREPARING SUCH COMPOSITIONS; CONDITION-RESPONSIVE CONTROL IN MICROBIOLOGICAL OR ENZYMOLOGICAL PROCESSES
- C12Q1/00—Measuring or testing processes involving enzymes, nucleic acids or microorganisms; Compositions therefor; Processes of preparing such compositions
- C12Q1/48—Measuring or testing processes involving enzymes, nucleic acids or microorganisms; Compositions therefor; Processes of preparing such compositions involving transferase
- C12Q1/485—Measuring or testing processes involving enzymes, nucleic acids or microorganisms; Compositions therefor; Processes of preparing such compositions involving transferase involving kinase
-
- C—CHEMISTRY; METALLURGY
- C12—BIOCHEMISTRY; BEER; SPIRITS; WINE; VINEGAR; MICROBIOLOGY; ENZYMOLOGY; MUTATION OR GENETIC ENGINEERING
- C12Y—ENZYMES
- C12Y207/00—Transferases transferring phosphorus-containing groups (2.7)
- C12Y207/11—Protein-serine/threonine kinases (2.7.11)
- C12Y207/11001—Non-specific serine/threonine protein kinase (2.7.11.1), i.e. casein kinase or checkpoint kinase
-
- C—CHEMISTRY; METALLURGY
- C12—BIOCHEMISTRY; BEER; SPIRITS; WINE; VINEGAR; MICROBIOLOGY; ENZYMOLOGY; MUTATION OR GENETIC ENGINEERING
- C12Y—ENZYMES
- C12Y304/00—Hydrolases acting on peptide bonds, i.e. peptidases (3.4)
- C12Y304/21—Serine endopeptidases (3.4.21)
- C12Y304/21098—Hepacivirin (3.4.21.98)
-
- C—CHEMISTRY; METALLURGY
- C12—BIOCHEMISTRY; BEER; SPIRITS; WINE; VINEGAR; MICROBIOLOGY; ENZYMOLOGY; MUTATION OR GENETIC ENGINEERING
- C12Y—ENZYMES
- C12Y603/00—Ligases forming carbon-nitrogen bonds (6.3)
- C12Y603/02—Acid—amino-acid ligases (peptide synthases)(6.3.2)
-
- G—PHYSICS
- G01—MEASURING; TESTING
- G01N—INVESTIGATING OR ANALYSING MATERIALS BY DETERMINING THEIR CHEMICAL OR PHYSICAL PROPERTIES
- G01N33/00—Investigating or analysing materials by specific methods not covered by groups G01N1/00 - G01N31/00
- G01N33/48—Biological material, e.g. blood, urine; Haemocytometers
- G01N33/50—Chemical analysis of biological material, e.g. blood, urine; Testing involving biospecific ligand binding methods; Immunological testing
- G01N33/68—Chemical analysis of biological material, e.g. blood, urine; Testing involving biospecific ligand binding methods; Immunological testing involving proteins, peptides or amino acids
-
- G—PHYSICS
- G16—INFORMATION AND COMMUNICATION TECHNOLOGY [ICT] SPECIALLY ADAPTED FOR SPECIFIC APPLICATION FIELDS
- G16B—BIOINFORMATICS, i.e. INFORMATION AND COMMUNICATION TECHNOLOGY [ICT] SPECIALLY ADAPTED FOR GENETIC OR PROTEIN-RELATED DATA PROCESSING IN COMPUTATIONAL MOLECULAR BIOLOGY
- G16B15/00—ICT specially adapted for analysing two-dimensional or three-dimensional molecular structures, e.g. structural or functional relations or structure alignment
-
- G—PHYSICS
- G16—INFORMATION AND COMMUNICATION TECHNOLOGY [ICT] SPECIALLY ADAPTED FOR SPECIFIC APPLICATION FIELDS
- G16B—BIOINFORMATICS, i.e. INFORMATION AND COMMUNICATION TECHNOLOGY [ICT] SPECIALLY ADAPTED FOR GENETIC OR PROTEIN-RELATED DATA PROCESSING IN COMPUTATIONAL MOLECULAR BIOLOGY
- G16B15/00—ICT specially adapted for analysing two-dimensional or three-dimensional molecular structures, e.g. structural or functional relations or structure alignment
- G16B15/30—Drug targeting using structural data; Docking or binding prediction
-
- G—PHYSICS
- G16—INFORMATION AND COMMUNICATION TECHNOLOGY [ICT] SPECIALLY ADAPTED FOR SPECIFIC APPLICATION FIELDS
- G16C—COMPUTATIONAL CHEMISTRY; CHEMOINFORMATICS; COMPUTATIONAL MATERIALS SCIENCE
- G16C20/00—Chemoinformatics, i.e. ICT specially adapted for the handling of physicochemical or structural data of chemical particles, elements, compounds or mixtures
- G16C20/50—Molecular design, e.g. of drugs
Landscapes
- Chemical & Material Sciences (AREA)
- Organic Chemistry (AREA)
- Life Sciences & Earth Sciences (AREA)
- Health & Medical Sciences (AREA)
- Engineering & Computer Science (AREA)
- Bioinformatics & Cheminformatics (AREA)
- Zoology (AREA)
- Wood Science & Technology (AREA)
- General Health & Medical Sciences (AREA)
- Genetics & Genomics (AREA)
- Molecular Biology (AREA)
- Biochemistry (AREA)
- General Engineering & Computer Science (AREA)
- Biotechnology (AREA)
- Medicinal Chemistry (AREA)
- Physics & Mathematics (AREA)
- Microbiology (AREA)
- Biomedical Technology (AREA)
- Spectroscopy & Molecular Physics (AREA)
- Proteomics, Peptides & Aminoacids (AREA)
- Biophysics (AREA)
- Immunology (AREA)
- Virology (AREA)
- Crystallography & Structural Chemistry (AREA)
- Theoretical Computer Science (AREA)
- Bioinformatics & Computational Biology (AREA)
- Pharmacology & Pharmacy (AREA)
- Analytical Chemistry (AREA)
- Evolutionary Biology (AREA)
- Urology & Nephrology (AREA)
- Hematology (AREA)
- Medical Informatics (AREA)
- Food Science & Technology (AREA)
- Cell Biology (AREA)
- Pathology (AREA)
- Computing Systems (AREA)
- General Physics & Mathematics (AREA)
- Veterinary Medicine (AREA)
- Public Health (AREA)
- Animal Behavior & Ethology (AREA)
Abstract
本发明涉及酶抑制剂。更具体而言,本发明涉及蛋白的配体-介导的共价修饰;其设计方法;其药物制剂;及其使用方法。
Description
优先权
本申请要求2009年12月30日提交的美国临时申请61/335,043的利益,本申请依赖于其并将其全部内容并入本申请作为参考。
发明领域
本发明涉及酶抑制剂。更具体而言,本发明含赖氨酸蛋白的配体-介导的共价修饰。
发明背景
抑制蛋白(例如酶)活性的化合物是重要的治疗剂。大部分抑制剂与其靶蛋白可逆结合,因此可逆地抑制其靶蛋白的活性。尽管可逆抑制剂已经发展成为有效的治疗剂,但是可逆抑制剂具有某些缺陷。例如,许多激酶的可逆抑制剂与ATP-结合位点相互作用。因为ATP-结合位点的结构在激酶中是高度保守的,这对于发展选择性抑制一种或多种期望的激酶的可逆抑制剂具有很大的挑战。此外,因为可逆抑制剂与其靶蛋白是分离的,抑制持续时间可能短于期望值。因而,当使用可逆抑制剂作为治疗剂时,需要比期望的给予更高剂量和/或更频繁地给予,以便实现预期的生物效应。这种给予会产生毒性或导致其它非期望效应。
现有技术中已经描述了与其靶蛋白共价结合的不可逆抑制剂。相对于可逆的对应物,药物靶点的共价不可逆抑制剂用于治疗具有许多重要的优势。延长对药物靶点的抑制对于最大药效作用可能是需要的,而不可逆抑制剂可通过永久消除现有药物靶点的活性(仅在新靶蛋白被合成时会恢复)来提供这种优势。当给药不可逆抑制剂时,不可逆抑制剂的治疗血浆浓度仅需要足够长获得使靶蛋白短暂地暴露于抑制剂,其会不可逆地抑制靶点的活性,然后血浆水平会快速地下降,同时靶蛋白保持失活。该不可逆结合具有以下潜在优点:降低发生治疗活性出现的最小血浆浓度,最小化多次给药需求,并消除长的血浆半衰期的要求且没有妥协功效(compromisingefficacy)。所有这些事项可降低由于任何非特异性脱靶作用(off targetinteraction)引起的毒性,所述脱靶作用可在高或延长的血浆水平下出现。不可逆抑制剂还可具有以两种方式克服耐药性需求的优点。首先,非抑制剂消除长的血浆半衰期的要求且没有妥协功效的需求。其次,因为耐受性突变可损害非共价结合,而且即使面对非共价亲和性降低,灭活机制通常仍然会导致蛋白靶向修饰和不可逆抑制。所有这些事项可降低由于任何非特异性脱靶作用引起的毒性,所述脱靶作用可在高或延长的血浆水平下出现。不可逆抑制剂的另一个优点是驱动效应的灭活机制通常会导致选择性特性,其与仅仅使用非共价结合相互作用容易获得的那些是“相对的(orthogonal)”—其为药理学有利的且使用非共价抑制难于获得的特性。
目前已知蛋白的许多可逆抑制剂,可逆抑制剂结合在蛋白中许多其结合位点。这些可逆抑制剂的结合位点有时被能够用合适反应性配体共价修饰的氨基酸所占据。在其它实例中,氨基酸位于能够用合适的反应性配体共价修饰的可逆抑制剂的结合位点附近。能够共价修饰的氨基酸典型地为在侧链中具有杂原子比如O、S或N的那些,比如苏氨酸、半胱氨酸、组氨酸、丝氨酸、酪氨酸和赖氨酸。由于硫的亲核性,硫能接受共价修饰,因而,存在修饰感兴趣的蛋白中半胱氨酸的配体的实例。然而,氨基酸比如赖氨酸通常是完全无反应性的,配体在体内不会与赖氨酸发生反应。事实上,高度反应性无选择性(indiscriminate)试剂通常用于赖氨酸修饰。并且,因而,赖氨酸的配体-介导的修饰迄今仍然未能实现。因为该原因和其它原因,存在药用感兴趣的蛋白的不可逆抑制剂的需要,其中抑制剂通过赖氨酸的配体-介导的修饰发挥其生物学作用。
I.发明概述
在一个方面,本发明提供一种用于设计共价结合靶蛋白的配体的方法。所述方法包括(a)提供在靶蛋白的配体结合位点内或附近对接的可逆配体的结构模型;(b)当可逆配体对接在配体-结合位点内或附近时,鉴别与可逆配体小于约的配体结合位点内或附近的靶蛋白的赖氨酸残基;(c)建立在配体结合位点内或附近对接的至少一个配体-弹头(warhead)化合物的至少一个结构模型,其中所述配体-弹头化合物包括步骤(b)中的可逆配体或其部分,该弹头含有反应性化学部分和任选的连接体(Tether),和(d)鉴别其结构模型允许步骤(b)的赖氨酸残基容易采取使赖氨酸残基的侧链伯胺基位于弹头亲电基的成键附近内的配体弹头化合物。
在另一个方面,本发明提供一种用于设计共价结合靶蛋白的赖氨酸残基的配体的方法。所述方法包括(a)提供在靶蛋白的配体结合位点内或附近对接的可逆配体的结构模型,其中所述可逆配体与所述配体-结合位点进行至少一次非共价接触;(b)当可逆配体对接在配体-结合位点内或附近时,鉴别与可逆配体邻接的靶蛋白的配体结合位点内或附近的赖氨酸残基;(c)建立在配体-结合位点内或附近对接的多个配体-弹头化合物的结构模型,其中每个配体-弹头化合物包括共价连接步骤(b)中的可逆配体的可取代位置的弹头,该弹头含有反应性化学部分和任选的连接基;(d)在步骤(c)的结构模型内鉴别至少一种配体-弹头化合物,其结构模型允许步骤(b)的赖氨酸残基的侧链伯胺基位于弹头亲电基的成键距范围内;和(e)在步骤(d)中鉴别的结构模型中,进一步鉴别在所述配体-结合位点内或附近的含氢-键-供体的氨基酸残基,其中该氢-键供体部分在弹头亲电基的氢键距范围内。
在另一个方面,本发明提供一种用于鉴别至少一种蛋白内的至少一种可被共价修饰的赖氨酸残基的方法。所述方法包括(a)鉴别至少一种具有配体-结合位点的蛋白,(b)提供所述鉴别的蛋白的三维结构模型,(c)将可逆配体对接在所述结构模型中鉴别的蛋白的配体-结合位点内或附近,其中所述可逆配体与所述配体-结合位点进行至少一次非共价接触,由此建立结合或邻接鉴别的蛋白配体-结合位点的可逆配体的结构模型;和(d)在结合或邻接鉴别的蛋白配体-结合位点的可逆配体的结构模型中,鉴别所述鉴别的蛋白的配体-结合位点内或附近的一个或多个赖氨酸残基,所述赖氨酸残基距可逆配体小于约
在仍然另一个方面,本发明提供一种共价修饰蛋白的配体-结合位点内或附近的赖氨酸残基的方法,其包括用包含蛋白的配体-结合位点内或附近的赖氨酸残基的蛋白接触式I的化合物:
其中支架、连接体、弹头、x并且y为如本文定义的;
并在赖氨酸残基的侧链伯胺基和所述化合物的弹头之间形成共价键。
在另一个方面,本发明提供式I的化合物∶
其中支架、弹头、连接体、x和y为如本文定义的。
在一个进一步的方面,本发明提供式XIII的蛋白-调节剂-配体共轭物:
其中支架、多肽、连接体、M、Y1、x和y为如本文定义的。
在本发明的仍然另一个方面,公开了一种选择将靶赖氨酸结合在蛋白的配体-结合位点内的弹头的方法,所述方法包括(a)鉴别至少一种具有配体-结合位点的蛋白,(b)提供所述鉴别的蛋白的三维结构模型,(c)鉴别步骤(a)的配体结合位点内或附近的至少一个赖氨酸的位置;(d)提供邻接至少一个鉴别的赖氨酸的至少一个弹头;(e)将弹头的亲电原子定位(aligning)在至少一个鉴别的赖氨酸的伯胺的键距之内;(f)弹头的亲电原子和至少一个赖氨酸的伯胺之间形成共价键;(g)将可逆配体对接在步骤(f)的共价连接弹头的之内的鉴别的蛋白配体-结合位点中,其中所述可逆配体保持与所述配体-结合位点的大部分其已知的非共价相互作用;(h)定位与步骤(f)的共价结合弹头最近的配体原子,并提供设计所述配体和步骤(f)的共价结合弹头之间连接体的几何学要求。
II.附图简述
图1显示XIAP中关键赖氨酸接近结合Smac-模拟配体的X射线共晶体结构(2JK7)。
图2描述武器化(weaponizing)Smac-模拟配体的非限制性实例。
图3描述与HCV NS3蛋白酶接触的化合物XVI-26的质谱分析。
图4描述用HCV NS3蛋白酶(WT);HCV NS3蛋白酶(C159S);和HCVNS3蛋白酶(C159S/K136A)处理的化合物XVI-26的质谱分析。
图5描述用HCV NS3蛋白酶(WT1b)处理的化合物XVI-1的质谱分析。
图6描述与XIAP接触的化合物VII-1的质谱分析。
图7描述XIAP(上部)和与化合物VII-1接触的XIAP(下部)的糜蛋白酶消化的质谱分析。
图8描述与XIAP接触的化合物VII-21的质谱分析。
图9描述XIAP(上部)和与化合物VII-21接触的XIAP(下部)的糜蛋白酶消化的质谱分析。
图10描述探针化合物XVI-27修饰NS3/4A C159S。
图11描述XVI-26的延长作用时间。
图12描述与PDPK-1(全蛋白)接触的化合物XI-27的质谱分析。
图13描述与鉴别肽164NGELLKYIR172的化合物XI-27接触的PDPK-1(全蛋白)的胰蛋白酶消化的质谱分析。
图14描述由来自图13描述的消化的XI-27修饰的肽164NGELLKYIR172的MSMS分析,同时鉴别K169为XI-27修饰的赖氨酸。
图15描述与PDPK-1(全蛋白)接触的化合物XI-21的质谱分析。
图16描述与鉴别三种肽:164NGELLKYIR172、173KIGSFDETCTR183和84FGKILGEGSFSTVVLAR100的化合物XI-21接触的PDPK-1(全蛋白)的胰蛋白酶消化的质谱分析。
图17描述由来自图16描述的消化的肽164NGELLKYIR172的MSMS分析,同时鉴别K169为XI-21修饰的赖氨酸。
图18描述由来自图16描述的消化的肽173KIGSFDETCTR183的MSMS分析,同时鉴别K173为XI-21修饰的赖氨酸。
图19描述由来自图16描述的消化的肽84FGKILGEGSFSTVVLAR100的MSMS分析,同时鉴别K86为XI-21修饰的赖氨酸。
图20描述与PDPK-1(全蛋白)接触的化合物XXXVI-2的质谱分析。
图21描述与PDPK-1(全蛋白)接触的化合物XXXVI-1的质谱分析。
图22描述与PI3Kγ(全蛋白)接触的化合物XXII-33的质谱分析。
III.发明详述
A.定义
本发明的化合物包括上文一般性描述的那些,且由本文所公开的类、亚类和物质进一步阐释。除非另有说明,否则如本文使用的下列定义应适用。对本发明来说,化学元素与元素周期表CAS version,Handbook ofChemistry and Physics,75thEd一致。另外,有机化学的一般原理描述在"“Organic Chemistry,”Thomas Sorrell,University Science Books,Sausalito:1999和“March’s Advanced Organic Chemistry,”5th Ed.,Ed.:Smith,M.B.andMarch,J.,John Wiley&Sons,New York:2001中,将其全部内容并入本文作为参考。生物化学的定义可以在Structure and Mechanism in Protein Science:A Guide to Enzyme Catalysis and Protein Folding,Alan Fersht,W.H.Freeman,1998,1st Edition;Enzymatic Reaction Mechanisms,Perry A.Frey and Adrian D.Hegeman,Perry A.Frey(Author),Oxford University Press,2007,1st Edition;and Biochemistry,6th Edition,Jeremy M.Berg,W.H.Freeman,2007中找到,将其全部内容并入本文作为参考。
如本文使用的术语“蛋白”指由20种不同天然存在的L-α-氨基酸以及其它不常见的氨基酸组成的线型聚合物。聚合物中的氨基酸通过相邻氨基酸残基的羧基和氨基之间的肽键连接在一起。术语多肽在本文中与术语蛋白可互换地使用。多肽可以是全长度蛋白,以及蛋白的任何部分。如本文使用的术语蛋白和多肽用于描述包含配体结合位点的蛋白。本文预期的任何蛋白或多肽都将足够大至能够折叠和构成配体结合位点。
如本文使用的术语“脂肪族”或“脂肪族基团”指完全饱和或包含一或多个不饱和单元的直链(即,无支链)或支链的取代或未经取代的烃链,或完全饱和或包含一或多个不饱和单元的单环状烃或二环状烃,但其不是芳香族(在本文中其还被称为“碳环”、“环脂族”或“环烷基”),且通过单一点附接至分子的其它部分。除非另有说明,否则脂肪族基团包含1-8个脂肪族碳原子。在某些实施方案中,脂肪族基团包含1-5个脂肪族碳原子。在其它实施方案中,脂肪族基团包含1-4个脂肪族碳原子。在仍然其它实施方案中,脂肪族基团包含1-3个脂肪族碳原子,且在仍然其它实施方案中,脂肪族基团包含1-2个脂肪族碳原子。在某些实施方案中,“碳环”(或“环脂族”或“环烷基”)指完全饱和或包含一或多个不饱和单元的单环C3-C6烃,但其不是芳香族,且通过单一点附接至分子的其它部分。适宜的脂肪族基团包括,但不限于直链或支链的、取代的或未取代的烷基、烯基、炔基及其混合物,比如(环烷基)烷基、(环烯基)烷基或(环烷基)烯基。
如本文使用的术语“桥连二环”指饱和或部分不饱和的具有至少一个桥键的任何二环状环系统(即碳环或杂环)。如IUPAC所定义的,“桥键”是连接两个桥头(bridgehead)的任选取代的原子链或原子或价键,其中“桥头”是环系统的键合至三个或多个骨架原子(不包括氢)的任一骨架原子。在某些实施方案中,桥连二环基团具有7-12个环成员和0-4个独立地选自氮、氧或硫的杂原子。这种桥连二环基团为本领域所熟知的,且包括下文所述的那些基团,其中各个基团在任何可取代的碳或氮原子处连接至分子的其它部分。除非另有说明,否则桥连二环基团或桥任选地被一个或多个如对于脂肪族基团列举的取代基取代。另外或可选地,桥连二环基团的任何可取代的氮任选地被取代。示例性的桥连二环包括::
术语“低级烷基”指C1-4直链或支链烷基。示例性的低级烷基是甲基、乙基、丙基、异丙基、丁基、异丁基和叔丁基。
术语“低级卤代烷基”指被一个或多个卤素原子取代的C1-4直链或支链烷基。
术语“杂原子”指一个或多个氧、硫、氮、磷或硅(包括氮、硫、磷或硅的任何氧化形式;任何碱式氮的季铵化形式,或;杂环的可取代的氮,例如N(如在3,4-二氢-2H-吡咯基中)、NH(如在吡咯烷基中)或NR+(如在N-取代的吡咯烷基中))。
如本文使用的术语“不饱和的”指部分具有一个或多个不饱和单元。
如本文使用的术语“二价C1-8(或C1-6)饱和的或不饱和的、直链或支链的烃链”指如本文所定义的直链或支链的二价亚烷基、亚烯基和亚炔基链。
术语“亚烷基”指二价烷基。“亚烷基链”是聚亚甲基基团,即,-(CH2)n-,其中n是正整数,优选地为1至6、1至4、1至3、1至2或2至3。取代的亚烷基链是一个或多个亚甲基氢原子被取代基取代的聚亚甲基基团。适宜的取代基包括如下对于取代的脂肪族基团所述的那些。
术语“亚烯基”指二价烯基。取代的亚烯基链是包含至少一个双键且其中一个或多个氢原子被取代基取代的聚亚甲基基团。适宜的取代基包括如下对于取代的脂肪族基团所述的那些。
术语“卤素”指F、Cl、Br或I。
术语“芳基”单独使用或例如在“芳烷基”、“芳烷氧基”或“芳基氧基烷基”中作为较大部分的一部分使用时,指具有总共5个至14个环成员的单环状或二环系统,其中系统中的至少一个环是芳香环且其中系统中每个环包含3个至7个环成员。术语“芳基”可与术语“芳环”可互换地使用。在本发明的某些实施方案中,“芳基”指芳香环系统,包括但不限于苯基、联苯基、萘基、蒽基等,其可以载有一个或多个取代基。如本文使用的术语"芳基"的范围内还包括其中芳香环稠合至一个或多个非芳香环的基团,比如茚满基、邻苯二甲酰亚胺基(phthalimidyl)、萘酰亚胺基(naphthimidyl)、菲啶基或四氢萘基等。
术语“杂芳基”和“杂芳-(heteroar-)”单独使用或作为例如“杂芳烷基”或“杂芳烷氧基”的较大部分的一部分时,指具有5个至10个环原子、优选地5、6或9个环原子;在环阵列中享有6、10或14个π电子;且除碳原子外,还具有1个至5个杂原子的基团。如在该定义内使用的术语“杂原子”指氮、氧或硫,且包括氮或硫的任何氧化形式和碱式氮的任何季铵化形式。杂芳基包括,但不限于噻吩基、呋喃基、吡咯基、咪唑基、吡唑基、三唑基、四唑基、噁唑基、异噁唑基、噁二唑基、噻唑基、异噻唑基、噻二唑基、吡啶基、哒嗪基、嘧啶基、吡嗪基、吲嗪基、嘌呤基、萘啶基和蝶啶基。如本文使用的术语“杂芳基”和“杂芳-(heteroar-)”还包括杂芳香环稠合至一个或多个芳基、环脂族或杂环基环上的基团,其中所述基团或连接点位于所述杂芳香环上。非限制性实例包括吲哚基、异吲哚基、苯并噻吩基、苯并呋喃基、二苯并呋喃基、吲唑基、苯并咪唑基、苯并噻唑基、喹啉基、异喹啉基、噌啉基、酞嗪基、喹唑啉基、喹喔啉基、4H-喹嗪基、咔唑基、吖啶基、吩嗪基、吩噻嗪基、吩噁嗪基、四氢喹啉基、四氢异喹啉基和吡啶并[2,3-b]-1,4-噁嗪-3(4H)-酮。杂芳基可以是单环或二环。术语“杂芳基”可与术语“杂芳基环”、“杂芳基基团”或“杂芳香族”可互换地使用,所述术语的任一个均包括任选地取代的环。术语“杂芳烷基”指被杂芳基取代的烷基,其中所述烷基和杂芳基部分独立任选地被取代。
如本文使用的术语“杂环”、“杂环基”、“杂环基团”和“杂环”可互换地使用,指稳定的5-至7-元单环或7-至10-元二环杂环部分,其是饱和的或部分不饱和的,且除碳原子之外还具有一个或多个、优选地一个至四个如上文定义的杂原子当术语“氮”用于指杂环的环原子时,其包括取代的氮。作为一个实例,在具有0-3个选自氧、硫或氮的杂原子的饱和或部分不饱和的环中,所述氮可以是N(如在3,4-二氢-2H-吡咯基中)、NH(如在吡咯烷基中)或+NR(如在N-取代的吡咯烷基中)。
杂环可以在任何产生稳定结构的杂原子或碳原子处连接至其侧基,且任何环原子均可任选地被取代。这样的饱和或部分不饱和的杂环基的实例包括,但不限于四氢呋喃基、四氢苯硫基、吡咯烷基、哌啶基、吡咯啉基、四氢喹啉基、四氢异喹啉基、十氢喹啉基、噁唑烷基、哌嗪基、二噁烷基、二氧戊环基、二氮杂卓基(diazepinyl)、噁氮杂卓基(oxazepinyl)、硫氮杂卓基(thiazepinyl)、吗啉基和奎宁环基。术语“杂环”、“杂环基”、“杂环基环”、“杂环基团(heterocyclic group)”、“杂环部分”和“杂环基团(heterocyclicradical)”在本文中可互换地使用,且还包括其中杂环基环稠合至一个或多个芳基、杂芳基或环脂族环的基团,比如二氢吲哚基、3H-吲哚基、苯并二氢吡喃基、菲啶基或四氢喹啉基,其中所述基团或连接点位于所述杂环基环上。杂环基可以是单环或二环。术语“杂环基烷基”指杂环基取代的烷基,其中所述烷基和杂环基部分独立任选地被取代。
如本文使用的术语“部分不饱和的”指包括至少一个双键或三键的环部分。术语“部分不饱和的”意味着涵盖具有多个不饱和位点的环,但不意味着包括如本文定义的芳基或杂芳基部分。
如本文描述的,本发明的化合物可以包含“任选取代的”部分。一般而言,无论在术语“取代的”之前是否存在术语“任选”,术语“取代的”都指指定部分的一个或多个氢被合适的取代基取代。除非另有说明,“任选被取代的基团”可以在该基团的每个可取代的位置上具有合适的取代基,并且当在任意给定结构中的一个以上位置可以被一个以上的选自指定组的取代基所取代时,在每个位置上的取代基可以相同或不同。本发明所设想的取代基的组合优选为导致形成稳定或化学上可行的化合物的那些。如本文使用的术语“稳定”指当用于本文公开的一个或多个目的而使化合物经受允许其制备、检测且在某些实施例中允许其回收、纯化和使用的条件时,所述化合物基本上不改变。
“任选取代的”基团的可取代碳原子上的合适的单价取代基独立地为卤素;-(CH2)0-4R°;-(CH2)0-4OR°;-O(CH2)0-4R°;-O-(CH2)0-4C(O)OR°;-(CH2)0-4CH(OR°)2;-(CH2)0-4SR°;-(CH2)0-4Ph,其可以被R°取代;-(CH2)0-4O(CH2)0-1Ph,其可以被R°取代;-CH=CHPh,其可以被R°取代;-(CH2)0-4O(CH2)0–1-吡啶基,其可以被R°取代;-NO2;-CN;-N3;-(CH2)0-4N(R°)2;-(CH2)0-4N(R°)C(O)R°;-N(R°)C(S)R°;-(CH2)0-4N(R°)C(O)NR°2;-N(R°)C(S)NR°2;-(CH2)0-4N(R°)C(O)OR°;-N(R°)N(R°)C(O)R°;-N(R°)N(R°)C(O)NR°2;-N(R°)N(R°)C(O)OR°;–(CH2)0-4C(O)R°;–C(S)R°;–(CH2)0-4C(O)OR°;–(CH2)0-4C(O)SR°;-(CH2)0-4C(O)OSiR°3;–(CH2)0-4OC(O)R°;–OC(O)(CH2)0-4SR-,SC(S)SR°;–(CH2)0-4SC(O)R°;–(CH2)0-4C(O)NR°2;–C(S)NR°2;–C(S)SR°;–SC(S)SR°,-(CH2)0-4OC(O)NR°2;-C(O)N(OR°)R°;–C(O)C(O)R°;–C(O)CH2C(O)R°;–C(NOR°)R°;-(CH2)0-4S SR°;–(CH2)0-4S(O)2R°;–(CH2)0-4S(O)2OR°;–(CH2)0-4OS(O)2R°;–S(O)2NR°2;-(CH2)0-4S(O)R°;-N(R°)S(O)2NR°2;-N(R°)S(O)2R°;-N(OR°)R°;–C(NH)NR°2;–P(O)2R°;-P(O)R°2;-OP(O)R°2;–OP(O)(OR°)2;SiR°3;–(C1-4直链或支链亚烷基)O-N(R°)2;或–(C1-4直链或支链亚烷基)C(O)O-N(R°)2,其中每个R°可以被如下定义的取代,且独立地为氢、C1–6脂肪族基,–CH2Ph,–O(CH2)0–1Ph,-CH2-(5-至6-元杂芳基环),或具有0-4个独立地选自氮、氧或硫的杂原子的5-至6-元饱和的、部分不饱和的或芳基环,或者,尽管上文给出定义,但两个独立出现的R°与其中插入的原子结合在一起,形成具有0-4个独立地选自氮、氧或硫的杂原子的3-至12-元饱和的、部分不饱和的或芳基单环或双环,其可以被如下定义的取代。
R°(或通过将两个独立出现的R°与其中插入的原子结合在一起所形成的环)上的合适的单价取代基独立地为卤素、–(CH2)0–2R●、–(卤代R●)、–(CH2)0–2OH、–(CH2)0–2OR●、–(CH2)0–2CH(OR●)2;-O(卤代R●)、–CN、–N3、-(CH2)0–2C(O)R●、-(CH2)0–2C(O)OH、-(CH2)0–2C(O)OR●、-(CH2)0-2SR●、-(CH2)0–2SH、-(CH2)0–2NH2、-(CH2)0–2NHR●、-(CH2)0-2NR● 2、-NO2、–SiR● 3、–OSiR● 3、-C(O)SR●、–(C1-4直链或支链亚烷基)C(O)OR●或–SSR●,其中每个R●为未取代的,或在之前具有“卤基”的情况下仅仅被一个或多个卤素取代,且其独立地选自C1-4脂肪族基、-CH2Ph、-O(CH2)0-1Ph或具有0-4独立地选自氮、氧或硫的杂原子的5-至6-元饱和的、部分不饱和的环或芳基环。R°的饱和的碳原子上合适的二价取代基包括=O和=S。
“任选取代的”基团的饱和碳原子上合适的二价取代基包括下述的:=O(“氧”)、=S、=NNR* 2、=NNHC(O)R*、=NNHC(O)OR*、=NNHS(O)2R*、=NR*、=NOR*、-O(C(R* 2))2-3O-或-S(C(R* 2))2-3S-,其中R*在每次独立出现时选自氢,如下定义可被取代的C1-6脂肪族基,或具有0-4个独立地选自氮、氧或硫的杂原子的未取代的5-到6-元饱和的、部分不饱和的环或芳基环。结合“任选取代的”基团的邻位可取代的碳原子的合适的二价取代基包括:-O(CR* 2)2-3O-,其中R*在每次独立出现时选自氢,如下定义可被取代的C1-6脂肪族基,或具有0-4个独立地选自氮、氧或硫的杂原子的未取代的5-6元饱和的、部分不饱和的环或芳基环。
R●的脂肪族基团上的合适的取代基包括卤素、–R●、-(卤代R●)、-OH、–OR●、–O(卤代R●)、–CN、–C(O)OH、–C(O)OR●、-NH2、-NHR●、-NR● 2或–NO2,其中每个R●为未取代的,或在之前具有“卤基”的情况下仅仅被一个或多个卤素取代,且其独立地为C1-4脂肪族基、–CH2Ph、–O(CH2)0–1Ph或具有0-4个独立地选自氮、氧或硫的杂原子的5–至6–元饱和的、部分不饱和的环或芳基环。
“任选取代的”基团的可取代氮上合适的取代基包括: 其中每个独立地为氢,如下定义可被取代的C1-6脂肪族基,未取代的–OPh,或具有0-4个独立地选自氮、氧或硫的杂原子的未取代的5-6元饱和的、部分不饱和的环或芳基环,或者,尽管上文给出定义,但两个独立出现的与其中插入的原子一起形成具有0-4个独立地选自氮、氧或硫的杂原子的未取代的3-至12-元饱和的、部分不饱和的或芳基的单环或双环。
R●的脂肪族基团上的合适的取代基独立地为卤素、–R●、-(卤代R●)、–OH、–OR●、–O(卤代R●)、–CN、–C(O)OH、–C(O)OR●、-NH2、-NHR●、-NR● 2或-NO2,其中每个R●为未取代的,或在之前具有“卤基”的情况下仅仅被一个或多个卤素取代,且其独立地为C1-4脂肪族基、-CH2Ph,-O(CH2)0–1Ph或具有0-4个独立地选自氮、氧或硫的杂原子的5-至6-元饱和的、部分不饱和的环或芳基环。
如本文使用的术语“可药用盐”指在合理医学判断范围内,适用于接触人类及低等动物组织而不会产生过度毒性、刺激、过敏反应等且与合理效益/风险比相称的那些盐。可药用盐是本领域所熟知的。例如,S.M.Berge等人在J.Pharmaceutical Sciences,1977,66,1-19中详细阐述可药用盐,将其并入本文作为参考。本发明化合物的可药用盐包括衍生自合适的无机及有机酸及碱的那些。可药用、无毒酸加成盐的实例是与无机酸(比如,盐酸、氢溴酸、磷酸、硫酸和高氯酸)或与有机酸(比如,乙酸、草酸、马来酸、酒石酸、柠檬酸、琥珀酸或丙二酸)或通过使用本领域中所用的其它方法(比如,离子交换)形成的氨基盐。其它可药用盐包括己二酸盐、藻酸盐、抗坏血酸盐、天冬氨酸盐、苯磺酸盐、苯甲酸盐、硫酸氢盐、硼酸盐、丁酸盐、樟脑酸盐、樟脑磺酸盐、柠檬酸盐、环戊烷丙酸盐、二葡萄糖酸盐、十二烷基硫酸盐、乙磺酸盐、甲酸盐、富马酸盐、葡庚糖酸盐、甘油磷酸盐、葡糖酸盐、半硫酸盐、庚酸盐、己酸盐、氢碘酸盐、2-羟基-乙磺酸盐、乳糖酸盐、乳酸盐、月桂酸盐、月桂基硫酸盐、苹果酸盐、马来酸盐、丙二酸盐、甲磺酸盐、2-萘磺酸盐、烟酸盐、硝酸盐、油酸盐、草酸盐、棕榈酸盐、双羟萘酸盐、果胶酸盐、过硫酸盐、3-苯基丙酸盐、磷酸盐、新戊酸盐、丙酸盐、硬脂酸盐、琥珀酸盐、硫酸盐、酒石酸盐、硫氰酸盐、对-甲苯磺酸盐、十一烷酸盐、戊酸盐等。
衍生自合适的碱的盐包括碱金属盐、碱土金属盐、铵盐及N+(C1-4烷基)4盐。代表性的碱金属或碱土金属盐包括钠盐、锂盐、钾盐、钙盐、镁盐等。进一步的可药用盐包括当合适时,使用抗衡离子形成无毒的铵、季铵和胺阳离子,比如卤化物、氢氧化物、羧酸盐、硫酸盐、磷酸盐、硝酸盐、低级烷基磺酸盐和芳基磺酸盐。
除非另有说明,否则本文描述的结构也意味着包括所述结构的所有的同分异构体(例如,对映异构体、非对映异构体和几何异构体(或构象异构体)形式;例如每个不对称中心的R和S构型,(Z)和(E)双键异构体、及(Z)和(E)构象异构体。因此,本发明化合物的单一立体化学同分异构体以及对映异构体、非对映异构体及几何异构体(或构象异构体)混合物均涵盖在本发明的范围之内。除非另有说明,否则本发明化合物的所有互变异构体形式均涵盖在本发明的范围之内。另外,除非另有说明,否则本文描述的结构也意味着包括区别仅在于存在一个或多个同位素富集原子的化合物。例如,包括氢被氘或氚代替或者碳被13C-或14C-富集的碳代替的本发明结构的化合物都在本发明的范围之内。这样的化合物例如用作生物学测定中的分析工具或探针、或用作根据本发明的治疗剂。
本文所用的术语“不可逆”或“不可逆抑制剂”指能够以实质上不可逆的方式共价结合至酶或其部分的抑制剂(即化合物)。即,尽管可逆抑制剂能够结合酶(但通常不能与酶形成共价键),且因此能够与酶分离,但不可逆抑制剂在形成共价键后将仍然实质上结合至酶。不可逆抑制剂通常显示出时间依赖性,由此抑制程度随抑制剂与酶的接触时间长度而增加。在某些实施方案中,一旦出现形成共价键,不可逆抑制剂将仍然实质上结合至酶,且将在较蛋白质比酶的寿命更长的一段时期内保持结合。
鉴别化合物是否作为不可逆抑制剂的方法是本领域普通技术人员已知的。所述方法包括,但不限于使用酶时化合物的抑制分布的酶动力学分析、在抑制剂化合物存在下使用修饰蛋白药物靶点的质谱、不连续暴露(也称为“清除”)实验、及使用标记(例如放射标记的抑制剂)来显示酶的共价修饰、以及本领域技术人员已知的其它方法。
本领域普通技术人员应当认识到某些反应性官能团可用作“弹头”。如本文使用的术语“弹头”或“弹头基团”指存在于本发明化合物上的官能团,其中所述官能团能够共价结合至靶蛋白的结合袋中或附近存在的,由此不可逆地抑制所述蛋白。应当理解,在某些实施方案中,如本文定义和描述的连接体-弹头基团提供共价且不可逆地抑制所述蛋白的这样的弹头基。
如本文使用的术语“抑制剂”定义为以可测量亲和性结合和/或抑制酶的化合物。在某些实施方案中,抑制剂具有小于约10μM、小于约1μM、小于约100nM或小于约10nM的IC50和/或结合常数。
如本文使用的术语“可测量的亲和性”和“可测量地抑制”指包含本发明化合物或其组合物以及XIAP、PI3Kβ/γ、PDPK1和HCV-NS3蛋白酶中至少一种的样品与包含XIAP、PI3Kβ/γ、PDPK1和HCV-NS3蛋白酶中至少一种且无所述化合物或其组合物存在的同等样品之间任何含赖氨酸蛋白(比如XIAP、PI3Kβ/γ、PDPK1和HCV-NS3蛋白酶)活性发生可测量的变化。
将2009年9月4日提交的美国申请系列号No.12/554,433,发明名称“Design Algorithm”的全部内容在此并入到本申请中作为参考。如其中描述的,该引入的申请描述设计用于修饰靶蛋白中一个或多个半胱氨酸残基的方法和算法,其中设计方法和算法同样适用于修饰靶蛋白中的一个或多个赖氨酸残基。任何结构和计算模型以及建立其中描述的模型使用的软件同样用于赖氨酸共价抑制剂的本发明设计,因此,将其全部内容在此并入本申请中作为参考。
B.包含可靶向赖氨酸残基的蛋白家族
一般而言,位于任何靶向蛋白家族中配体结合位点内或附近的赖氨酸残基都可以作为配体-介导的赖氨酸修饰的靶标。例如,不可逆抑制剂对配体介导的修饰的靶向蛋白家族成员的赖氨酸残基包括,但不限于下表1中概括的那些,其中“家族”栏指感兴趣的蛋白家族;“UniProtAC”栏指根据UniProt Knowledgebase(UniProtKB)登记号(www.uniprot.org)的具体蛋白的登记号标识符;“序列”栏指包括感兴趣的赖氨酸的家族成员蛋白氨基酸序列的识别片段;“残基号”栏指如序列中列举的赖氨酸残基号。然而,作为蛋白家族的抗体不属于本发明范围之内,因此被排除。(参见,例如Carlos F.Barbas,III,等人,Science 278,2085-2092(1997);Popkov等人,Proc NatlAcad Sci USA,106,4378-4383,(2009);Doppalapudi等人,Bioorganic&Medicinal Chemistry Letters 17,501-506,(2007);Li等人,J.Med.Chem.,47,5630-5640,(2004);Guo等人,Proc.Natl.Acad.Sci.USA,103,11009-11014,(2006);Rader等人,Proc Natl Acad Sci USA,100,5396-5400,(2003)。
1.蛋白家族表
1在蛋白数据库(PDB;www.pdb.org)中:另一个编号是K136。
在某些实施方案中,根据本发明具有可靶向赖氨酸残基的蛋白家族为BCL-2。在其它实施方案中,所述蛋白家族为钙蛋白酶。在其它实施方案中,所述蛋白家族为胱门蛋白酶。在其它实施方案中,所述蛋白家族为组织蛋白酶。在某些实施方案中,所述蛋白家族为HCV。在其它实施方案中,所述蛋白家族为HDAC。在其它实施方案中,所述蛋白家族为HSP70。在其它实施方案中,所述蛋白家族为HSP90。在其它实施方案中,所述蛋白家族为IAP。在其它实施方案中,所述蛋白家族为激酶。在其它实施方案中,所述蛋白家族为MDM2。在某些实施方案中,所述蛋白家族为MMP。在其它实施方案中,所述蛋白家族为NHR。在其它实施方案中,所述蛋白家族为PI3K。在其它实施方案中,所述蛋白家族为磷酸酶。在其它实施方案中,所述蛋白家族为甲状腺素运载蛋白。在其它实施方案中,所述蛋白家族为PARP。在其它实施方案中,所述蛋白家族为HIV蛋白酶。
在某些实施方案中,BCL-2家族的蛋白成员包括Bcl-2样蛋白13、Bcl-2-相关蛋白A1和Bcl-2-相关卵巢杀手蛋白。在这些实施方案中,靶赖氨酸是Bcl-2样蛋白13中的K110、K121和K152;Bcl-2-相关蛋白A1中的K046、K050、K077和K147;和Bcl-2-相关卵巢杀手蛋白中的K122。
在其它实施方案中,钙蛋白酶家族的蛋白成员包括钙蛋白酶-3、钙蛋白酶-5、钙蛋白酶-6和钙蛋白酶-9。在这些实施方案中,靶赖氨酸为钙蛋白酶3中的K220和K410;钙蛋白酶-5中的K233;钙蛋白酶-6中的K081和K336;和钙蛋白酶-9中的K188和K330。
在某些实施方案中,胱门蛋白酶家族的蛋白成员包括半胱天冬酶-2、半胱天冬酶-3、半胱天冬酶-6、半胱天冬酶-8、半胱天冬酶-9、半胱天冬酶-10、半胱天冬酶-14和粘膜-关联淋巴组织淋巴瘤转运蛋白1。在这些实施方案中,靶赖氨酸为半胱天冬酶-2中的K381;半胱天冬酶-3中的;半胱天冬酶-6中的K265;半胱天冬酶-8中的K253、K453、K456和K457;半胱天冬酶-9中的K358和K394;半胱天冬酶-10中的K298;半胱天冬酶-14中的K096,和粘膜-结合淋巴组织淋巴瘤转运蛋白1中的K358、K360、K466和K513。
在某些实施方案中,组织蛋白酶家族的蛋白成员包括组织蛋白酶F、组织蛋白酶H和组织蛋白酶W。在这些实施方案中,靶赖氨酸为组织蛋白酶F中的K238、K331和K374;组织蛋白酶H中的K278;和组织蛋白酶W中的K267。
在某些实施方案中,HCV家族的蛋白成员包括基因组多聚蛋白(NS3)、基因组多聚蛋白(NS5A)和基因组多聚蛋白(NS5B)。在这些实施方案中,靶赖氨酸为基因组多聚蛋白(NS3)中的K1236;基因组多聚蛋白(NS5A)中的K2016;和基因组多聚蛋白(NS5B)中的K2560。
在某些实施方案中,HCV家族的蛋白成员包括HCV-NS3、HCV-NS5A和HCV-NS5B。
在某些实施方案中,HDAC家族的蛋白成员包括组蛋白脱乙酰酶1、组蛋白脱乙酰酶11、组蛋白脱乙酰酶2、组蛋白脱乙酰酶3、组蛋白脱乙酰酶6和组蛋白脱乙酰酶8。在这些实施方案中,靶赖氨酸为组蛋白脱乙酰酶1中的K031;组蛋白脱乙酰酶11中的K306;组蛋白脱乙酰酶2中的K032;组蛋白脱乙酰酶3中的K025;组蛋白脱乙酰酶6中的K353;和组蛋白脱乙酰酶8中的K033。
在某些实施方案中,HSP70家族的蛋白成员包括70kDa热激蛋白6和71kDa的热激同族蛋白。在这些实施方案中,靶赖氨酸为70kDa热激蛋白6中的K058、K073和K273;和71kDa的热激同族蛋白中的K061、K071和K271。
在某些实施方案中,HSP90家族的蛋白成员包括热激蛋白HSP 90-α和热激蛋白HSP 90-β。在这些实施方案中,靶赖氨酸为热激蛋白HSP 90-α中的K058;和热激蛋白HSP 90-β中的K053。
在某些实施方案中,IAP家族的蛋白成员包括杆状病毒IAP含重复蛋白1(NAIP aka BIRC1),杆状病毒IAP含重复蛋白2(BIRC2 akaC-IAP1 aka API1 aka IAP2 aka MIHB),杆状病毒IAP含重复蛋白3(BIRC3aka C-IAP2 aka API2 aka IAP1 aka MIHC),杆状病毒IAP含重复蛋白4(XIAP aka ILP1 aka HILP aka API3 aka BIRC4 aka IAP3),杆状病毒IAP含重复蛋白5(BIRC5 aka Survivin aka API4 aka IAP4),杆状病毒IAP含重复蛋白7(BIRC7 aka ML-IAP aka livin aka K-IAP)和杆状病毒IAP含重复蛋白8(BIRC8 aka ILP2 aka TsIAP)。在这些实施方案中,靶赖氨酸为杆状病毒IAP含重复蛋白1中的K191和K199;杆状病毒IAP含重复蛋白2中的K305;杆状病毒IAP含重复蛋白3中的K291;杆状病毒IAP重复蛋白4中的K297、K299和K311;杆状病毒IAP含重复蛋白5中的K062和K079;杆状病毒IAP含重复蛋白7中的K121、K135和K146;和杆状病毒IAP含重复蛋白8中的K036、K050和K061。
在某些实施方案中,IAP家族的蛋白成员包括XIAP、cIAP1、cIAP2和ML-IAP。
在某些实施方案中,激酶家族的蛋白成员包括B-Raf原癌基因丝氨酸/苏氨酸-蛋白激酶、丝氨酸/苏氨酸-蛋白激酶Chk2、表皮生长因子受体、肝细胞生长因子受体、3-磷酸肌醇-依赖性蛋白激酶1(PDPK1)、原癌基因丝氨酸/苏氨酸-蛋白激酶Pim-1、碱性成纤维细胞生长因子受体1(FGFR1)、成纤维细胞生长因子受体2(FGFR2)、成纤维细胞生长因子受体3(FGFR3)、成纤维细胞生长因子受体4(FGFR4)、3-磷酸肌醇-依赖性蛋白激酶1(PDPK1)、丝氨酸/苏氨酸-蛋白激酶B-raf(b-RAF)、RAF原癌基因丝氨酸/苏氨酸-蛋白激酶(RAF1 aka c-RAF)和酪氨酸-蛋白激酶SYK。在这些实施方案中,靶赖氨酸为B-Raf原癌基因丝氨酸/苏氨酸-蛋白激酶中的K483;丝氨酸/苏氨酸-蛋白激酶Chk2中的K224、K245、K252和K349;表皮生长因子受体中的K716、K728和K745;肝细胞生长因子受体中的K1110和K1161;PDPK1中的K086、K163、K169和k207;原癌基因丝氨酸/苏氨酸-蛋白激酶Pim-1中的K260;碱性成纤维细胞生长因子受体1(FGFR1)中的K514、K566;碱性成纤维细胞生长因子受体2(FGFR2)中的K517、K569;碱性成纤维细胞生长因子受体3(FGFR3)中的K560、K508;碱性成纤维细胞生长因子受体4(FGFR4)中的K503、K555;3-磷酸肌醇-依赖性蛋白激酶1(PDPK1)中的K173;丝氨酸/苏氨酸-蛋白激酶B-raf(b-RAF)中的K473;RAF原癌基因丝氨酸/苏氨酸-蛋白激酶(RAF1 aka c-RAF)中的K365;RAF原癌基因丝氨酸/苏氨酸-蛋白激酶(RAF1 aka c RAF)中的K375和K431;和酪氨酸-蛋白激酶SYK中的K375、K387和K458。
在某些实施方案中,PDK家族的蛋白成员包括PDPK1。
在某些实施方案中,MDM2家族的蛋白成员包括E3泛素-蛋白连接酶Mdm2、蛋白Mdm4、染色质亚家族D成员1的SWI/SNF-相关基质-结合肌动蛋白-依赖性调节物、染色质亚家族D成员2的SWI/SNF-相关基质-结合肌动蛋白-依赖性调节物、和染色质亚家族D成员3的SWI/SNF-相关基质-结合肌动蛋白-依赖性调节物。在这些实施方案中,靶赖氨酸为E3泛素-蛋白连接酶Mdm2中的K051和K094;蛋白Mdm4中的K050和K093;染色质亚家族D成员1的SWI/SNF-相关基质-结合肌动蛋白-依赖性调节物中的K327;染色质亚家族D成员2的SWI/SNF-相关基质-结合肌动蛋白-依赖性调节物的K301;染色质亚家族D成员3的SWI/SNF-相关基质-结合肌动蛋白-依赖性调节物中的K302。
在某些实施方案中,MMP家族的蛋白成员包括巨噬细胞金属弹性蛋白酶、胶原酶3、基质金属蛋白酶-14、基质金属蛋白酶-15、和基质金属蛋白酶-20。在这些实施方案中,靶赖氨酸为巨噬细胞金属弹性蛋白酶中的K233和K241;胶原酶3中的K150和K249;基质金属蛋白酶-14中的K146;基质金属蛋白酶-15中的K284;和基质金属蛋白酶-20中的K251。
在某些实施方案中,NHR家族的蛋白成员包括雌激素受体、雌激素受体β、过氧化物酶体增殖子-活化的受体α和孕激素受体。在这些实施方案中,靶赖氨酸为雌激素受体中的K529;雌激素受体β中的K314;过氧化物酶体增殖子-活化的受体α中的K252和K358;和孕激素受体中的K919。
在某些实施方案中,PI3K蛋白家族的成员包括磷脂酰肌醇-4,5-二磷酸盐3-激酶催化亚基α同工型(PI3K-α aka PIK3CA)、磷脂酰肌醇-4,5-二磷酸盐3-激酶催化亚基β同工型(PI3K-β akaPIK3CB aka PIK3C1)和磷脂酰肌醇-4,5-二磷酸盐3-激酶催化亚基γ同工型(PI3Kγ aka PIK3CG)。在这些实施方案中,靶赖氨酸为磷脂酰肌醇-4,5-二磷酸盐3-激酶催化亚基α同工型中的K776和K802;磷脂酰肌醇-4,5-二磷酸盐3-激酶催化亚基β同工型中的K777和K805;磷脂酰肌醇-4,5-二磷酸盐3-激酶催化亚基γ同工型中的K802、K807、K833、K883和K890。
在某些实施方案中,PI3K家族的蛋白成员包括PI3Kα、PI3Kβ和PI3Kγ。如本文使用的术语P13K指作为本发明的配体-介导的弹头可互换的PI3Kβ和PI3Kγ,涉及P13K应当同时修饰PI3Kβ和PI3Kγ。
在某些实施方案中,磷酸酶家族的蛋白成员包括白细胞共同抗原、酪氨酸-蛋白磷酸酶非受体1型、酪氨酸-蛋白磷酸酶非受体11型、酪氨酸-蛋白磷酸酶非受体13型、酪氨酸-蛋白磷酸酶非受体14型、酪氨酸-蛋白磷酸酶非受体18型、酪氨酸-蛋白磷酸酶非受体2型、酪氨酸-蛋白磷酸酶非受体22型、酪氨酸-蛋白磷酸酶非受体3型、酪氨酸-蛋白磷酸酶非受体4型、酪氨酸-蛋白磷酸酶非受体5型、酪氨酸-蛋白磷酸酶非受体6型、酪氨酸-蛋白磷酸酶非受体7型、酪氨酸-蛋白磷酸酶非受体9型、和受体型酪氨酸-蛋白磷酸酶β。在这些实施方案中,靶赖氨酸为白细胞共同抗原中的K623和K759;酪氨酸-蛋白磷酸酶非受体1型中的K120;酪氨酸-蛋白磷酸酶非受体11型中的k260、K280、K364、K366;酪氨酸-蛋白磷酸酶非受体13型中的K2224、K2244、K2316和K2318;酪氨酸-蛋白磷酸酶非受体14型中的K918、K919和K1018;酪氨酸-蛋白磷酸酶非受体18型中的K041和K063;酪氨酸-蛋白磷酸酶非受体2型中的K038;酪氨酸-蛋白磷酸酶非受体22型中的K032、K039、K136和K138;酪氨酸-蛋白磷酸酶非受体3型中的K656、K666、K677和K753;酪氨酸-蛋白磷酸酶非受体4型中的k665和K762;酪氨酸-蛋白磷酸酶非受体5型中的K329和K407;酪氨酸-蛋白磷酸酶非受体6型中的K277;酪氨酸-蛋白磷酸酶非受体7型中的K277;酪氨酸-蛋白磷酸酶非受体9型中的K411;和受体型酪氨酸-蛋白磷酸酶β中的K1811。
在某些实施方案中,转甲状腺素蛋白家族的蛋白成员包括转甲状腺素蛋白(前清蛋白aka TBPA aka TTR aka ATTR aka PALB)。在这些实施方案中,靶赖氨酸为转甲状腺素蛋白中的K035。
在某些实施方案中,PARP家族的蛋白成员包括聚[ADP-核糖]聚合酶1(PARP1 aka ADPRT aka PPOL aka ADPRT),聚[ADP-核糖]聚合酶3(PARP3 aka ADPRT3 aka ADPRTL3 aka IRT1),聚[ADP-核糖]聚合酶10(PARP10),聚[ADP-核糖]聚合酶12(PARP12 aka ZC3HDC1),聚[ADP-核糖]聚合酶15(PARP15 aka BAL3)和端锚聚合酶-1(TNKS aka PARP5A,PARPLaka TIN1 aka TINF1 aka TNKS1)。在这些实施方案中,靶赖氨酸为聚[ADP-核糖]聚合酶1中的K903;聚[ADP-核糖]聚合酶3中的K421;聚[ADP-核糖]聚合酶10中的K941;聚[ADP-核糖]聚合酶12中的K609;聚[ADP-核糖]聚合酶15中的K566、K579和K636;和端锚聚合酶-1中的K1220和K1269。
在某些实施方案中,HIV蛋白酶家族的蛋白成员包括Gag-Pol多聚蛋白(HIV蛋白酶aka Retropepsin aka PR)。在这些实施方案中,靶赖氨酸为Gag-Pol多聚蛋白中的K535。
IV.用于设计共价结合靶蛋白的配体的方法
本发明的一个方面是一种用于设计共价结合靶蛋白的配体的方法。所述方法包括(a)提供在靶蛋白的配体结合位点内或附近对接的可逆配体的结构模型;(b)当可逆配体对接在配体-结合位点内或附近时,鉴别与可逆配体小于约的配体结合位点内或附近的靶蛋白的赖氨酸残基;(c)建立在配体结合位点内或附近对接的至少一个配体-弹头化合物的至少一个结构模型,其中所述配体-弹头化合物包括步骤(b)中的可逆配体或其部分,该弹头含有反应性化学部分和任选的连接体,和(d)鉴别其结构模型允许步骤(b)的赖氨酸残基容易采取使赖氨酸残基的侧链伯胺基位于弹头亲电基的成键附近内的配体弹头化合物。
如上所述方法的步骤(a)和(b)的非限制性实例描述在图1中。图1显示XIAP中关键赖氨酸接近结合Smac-模拟配体的X射线共晶体结构(2JK7)。评估相对于蛋白XIAP而言Smac-模拟配体所占据的空间,允许待鉴别的赖氨酸299和297距Smac-模拟配体分别为约和图2描述支架上设置的非限定性靶向赖氨酸的弹头,使它们向着靶赖氨酸,该靶赖氨酸战略定位在基于Smac-模拟配体的药效基团的化合物部分,所述Smac-模拟配体邻接上述鉴别的赖氨酸。反应性弹头(当需要时,与连接体一起)位于头部(silico),使得对接蛋白结合位点(上述步骤(a)提供的)的结构模型中配体的修饰药效基团,允许测定该反应性弹头相对于步骤(b)鉴别的赖氨酸的空间排列。
将2009年9月4日提交的美国申请系列号No.12/554,433,发明名称“Design Algorithm”的全部内容在此并入到本申请中作为参考。如其中描述的,该引入的申请描述设计用于修饰靶蛋白中一个或多个半胱氨酸残基的方法和算法,其中设计方法和算法同样适用于修饰蛋白靶点中的一个或多个赖氨酸残基。任何结构和计算模型以及建立其中描述的模型使用的软件同样用于赖氨酸共价抑制剂的本发明设计,因此,将其全部内容在此并入本申请中作为参考。
在某些实施方案中,所述方法进一步包括步骤(e):对于步骤(d)鉴别的配体-弹头化合物,通过步骤(b)中鉴别的赖氨酸残基的侧链伯胺基和步骤(d)中鉴别的配体-弹头化合物的弹头亲电基之间形成共价键,形成配体-蛋白共价加合物,同时基本上保持非共价结合配体靶蛋白所需的药效基团的结合元件(binding elements)。
在某些实施方案中,所述方法进一步包括步骤(f)∶通过分析得到的构型的总体能量(global energy)或通过分析连接体构型的能量,评估步骤(e)中形成的配体-蛋白共价加合物的构型。在其它实施方案中,所述方法包括另一个步骤(f)∶
当配体结合位点内或附近的赖氨酸残基的侧链伯胺基和弹头亲电基之间形成共价键时,测定该配体-结合位点是否被封闭。
在其它实施方案中,所述方法包括重复步骤(a)–(f),同时连接体和得到的构型的总体能量的变化小于前次重复。
在某些实施方案中,步骤(e)中形成的共价键是使用计算方法形成的,其中,弹头和赖氨酸残基的侧链是柔性的,而配体-弹头化合物和配体-结合位点的剩余结构是固定的。
在某些实施方案中,在所述方法的步骤(b)中,当可逆配体对接在配体-结合位点内或附近时,鉴别距可逆配体小于约的靶蛋白的配体-结合位点内或附近的每个赖氨酸残基。
在其它实施方案中,所述方法的步骤(c)进一步包括多个配体-弹头化合物的模型,其中在所述配体-弹头化合物的每个模型中,所述弹头与配体的不同可取代位置或配体的一部分结合,任选地在弹头和可取代位置之间有连接体。
在所述方法的某些实施方案中,靶蛋白为已鉴别的蛋白家族的一个鉴别的成员,并且在蛋白家族的鉴别的成员中赖氨酸残基不是保守的。
在所述方法的其它实施方案中,靶蛋白为已鉴别的蛋白家族的一个鉴别的成员,并且在已鉴别的蛋白家族的超过一个鉴别的成员中赖氨酸残基是保守的。
在某些实施方案中,在蛋白家族的鉴别的成员中赖氨酸残基是保守的。
在本文公开的方法的某些实施方案中,靶蛋白具有催化活性。
在其它实施方案中,靶蛋白家族选自BCL-2、钙蛋白酶、胱门蛋白酶、组织蛋白酶、HCV、HDAC、HSP70、HSP90、IAP、激酶、MDM2、MMP、NHR、PI3Kβ/γ、磷酸酶、甲状腺素运载蛋白、PARP和HIV蛋白酶。
在某些实施方案中,靶蛋白家族选自IAP、PI3K、PDPK1和HCV。
在其它实施方案中,靶蛋白选自XIAP、PI3Kβ/γ、PDPK1和HCV
。
在所述方法的某些实施方案中,所述配体-结合位点为底物或辅助因子的配体-结合位点。
在所述方法的其它实施方案中,用于共价修饰的赖氨酸残基不是催化残基。
在另一个方面,本发明提供一种用于设计共价结合靶蛋白的赖氨酸残基的配体的方法。所述方法包括(a)提供在靶蛋白的配体结合位点内或附近对接的可逆配体的结构模型,其中所述可逆配体与所述配体-结合位点进行至少一次非共价接触;(b)当可逆配体对接在配体-结合位点内或附近时,鉴别与可逆配体邻接的靶蛋白的配体结合位点内或附近的赖氨酸残基;(c)建立在配体-结合位点内或附近对接的多个配体-弹头化合物的一个或多个结构模型,其中每个配体-弹头化合物包括共价连接步骤(b)中的可逆配体的可取代位置的弹头,该弹头含有反应性化学部分和任选的连接基;(d)在步骤(c)的结构模型内鉴别至少一种配体-弹头化合物,其结构模型允许步骤(b)的赖氨酸残基的侧链伯胺基位于弹头亲电基的成键距范围内,和(e)在步骤(d)中鉴别的结构模型中,进一步鉴别在所述配体-结合位点内或附近的含氢-键-供体的氨基酸残基,其中该氢-键供体部分在弹头的氢键距范围内。
在某些实施方案中,所述氢键供体氨基酸可以参与配体-弹头的弹头和蛋白的靶赖氨酸之间的化学反应。例如,当供给氢键的氨基酸是赖氨酸或精氨酸时,赖氨酸和赖氨酸之间或赖氨酸和精氨酸之间的相互作用是低于靶赖氨酸的pKa的排斥作用,因而增强了其亲核性。在其它的实施例中,侧链或者甚至主链酰胺供给的氢键在许多情况下都可以增强弹头的亲电性。当这样的氢键供体也带正电荷时,库仑引力可以例如通过稳定形成烯醇化物加速该反应。在一个具体实施方案中,当所述配体-弹头的弹头包含丙烯酰胺时,弹头需要在配体-结合位点内或附近的氢键供体氨基酸残基,其中所述氢键供体基团位于包含丙烯酰胺的弹头的氢键距范围之内。
在某些实施方案中,所述方法进一步包括步骤(f):对于步骤(e)鉴别的配体-弹头化合物,通过步骤(b)中鉴别的赖氨酸残基的侧链伯胺基和弹头亲电基之间形成共价键;以及氢-键供体部分和弹头亲电基之间形成氢键;或氢-键供体部分和步骤(d)中鉴别的赖氨酸残基的侧链伯胺基之间的氢键,形成配体-蛋白共价加合物,同时基本上保持配体的药效基团和配体-结合位点之间的非共价相互作用。
在所述设计配体的方法的某些实施方案中,所述方法进一步包括步骤(g):通过分析得到的构型的总体能量,评估得到的配体-蛋白共价加合物的构型。
在所述方法的某些实施方案中,重复步骤(a)至(g),同时连接基和得到的构型的总体能量的变化小于前次重复。
在所述方法的其它实施方案中,所述含氢键供体的氨基酸残基为能够充当氢键供体的任何氨基酸残基。在所述方法的仍然其它实施方案中,所述含氢键供体的氨基酸残基选自精氨酸、赖氨酸、苏氨酸、丝氨酸、组氨酸和酪氨酸。
在所述方法的某些实施方案中,靶蛋白选自XIAP、PDPK1、PI3Kβ/γ和HCV。在其它实施方案中,当弹头包括丙烯酰胺部分时,弹头需要在配体-结合位点内或附近的含氢-键供体氨基酸残基,其中为了使所述弹头共价结合靶赖氨酸,所述氢-键供体基团在所述弹头的氢键距范围之内。在某些实施方案中,含氢-键供体的氨基酸残基为赖氨酸。
用于鉴别至少一种可以修饰的蛋白内的至少一种赖氨酸残基的方法
在仍然另一个方面,公开了用于鉴别至少一种可以共价修饰的蛋白内的至少一种赖氨酸残基的方法。所述方法包括:(a)鉴别至少一种具有配体-结合位点的蛋白,(b)提供用于鉴别蛋白的三维结构模型;(c)将可逆配体对接在鉴别的蛋白的配体-结合位点结构模型内或附近,其中所述可逆配体与所述配体-结合位点进行至少一次非共价接触,由此建立结合或邻接鉴别的蛋白配体-结合位点的可逆配体的结构模型;和(d)在结合或邻接鉴别的蛋白配体-结合位点的可逆配体的结构模型中,鉴别所述鉴别的蛋白的配体-结合位点内或附近的一个或多个赖氨酸残基,所述赖氨酸残基距可逆配体小于约
在某些实施方案中,所述方法进一步包括鉴别大量结构同源的具有配体-结合位点的蛋白。在此,所述方法进一步包括(a)提供至少一种鉴别的蛋白的三维结构模型;(b)将可逆配体对接在至少一个鉴别的蛋白的配体-结合位点结构模型内或附近,其中所述可逆配体与所述配体-结合位点进行至少一次非共价接触,由此建立结合或邻接鉴别的蛋白配体-结合位点的可逆配体的结构模型;和(c)在结合或邻接鉴别的蛋白配体-结合位点的可逆配体的结构模型中,鉴别所述鉴别的蛋白的配体-结合位点内或附近的一个或多个赖氨酸残基,所述赖氨酸残基距可逆配体小于约
在所述方法的某些实施方案中,所述方法包括比较多个鉴别的蛋白中超过一个的同源配体-结合位点的三维等效(three-dimensionally equivalent)氨基酸位置,并确定赖氨酸残基在所鉴别蛋白的配体结合部位内或附近的普遍性(prevalence)。
在所述方法的其它实施方案中,赖氨酸残基在所鉴别蛋白的配体结合部位内或附近的普遍性是在仅仅一个鉴别的蛋白内。
在某些实施方案中,赖氨酸残基在所鉴别蛋白的配体结合部位内或附近的普遍性是在超过一个鉴别的蛋白内。
在这些实施方案的一些中,赖氨酸残基在所鉴别蛋白的配体结合部位内或附近的普遍性是在小于10%的配体结合位点的鉴别蛋白内。在其它实施方案中,赖氨酸残基在所鉴别蛋白的配体结合部位内或附近的普遍性是在小于或大于50%的鉴别蛋白内。在某些实施方案中,超过50%的赖氨酸残基在所鉴别蛋白的配体结合部位内或附近的普遍性是在超过75%的鉴别蛋白内,而在其它实施方案中,赖氨酸残基在所鉴别蛋白的配体结合部位内或附近的普遍性是在所有鉴别蛋白内。
在所述方法的某些实施方案中,所述蛋白选自BCL-2、钙蛋白酶、胱门蛋白酶、组织蛋白酶、HCV、HDAC、HSP70、HSP90、IAP、激酶、MDM2、MMP、NHR、PI3Kβ/γ、磷酸酶、转甲状腺素蛋白、PARP和HIV蛋白酶。
在其它实施方案中,所述蛋白选自XIAP、PI3Kβ/γ、PDPK1和HCV。
V.用于设计结合蛋白配体结合位点之内的靶赖氨酸的弹头的方法
在本发明的仍然另一个方面,公开了一种选择将靶赖氨酸结合在蛋白的配体-结合位点内的弹头的方法。所述方法包括(a)鉴别至少一种具有配体-结合位点的蛋白,(b)提供所述鉴别的蛋白的三维结构模型,(c)鉴别步骤(a)的配体结合位点内或附近的至少一个赖氨酸的位置,(d)提供邻接至少一个鉴别的赖氨酸的至少一个弹头;(e)将弹头的亲电原子定位(aligning)在至少一个鉴别的赖氨酸的伯胺的键距范围之内;(f)弹头的亲电原子和至少一个赖氨酸的伯胺之间形成共价键;(g)将可逆配体对接在步骤(f)的共价连接弹头的之内的鉴别的蛋白配体-结合位点中,其中所述可逆配体保持与所述配体-结合位点的非共价相互作用;和(h)定位与步骤(f)的共价结合弹头最近的配体原子,并提供设计所述配体和步骤(f)的共价结合弹头之间连接体所需的空间要求。在步骤(h)中,当连接体和配体之间的区域与弹头和配体之间区域的蛋白质表面互补时是有利的。
VI.共价修饰赖氨酸的方法
在另一个方面,所述方法包括用包含在蛋白的配体-结合位点内或附近的赖氨酸残基蛋白接触式I的化合物,并且在赖氨酸残基的侧链伯胺基和所述化合物的弹头之间形成共价键。所述方法包括式I的化合物::
其中
支架为
a)除去能够结合或邻接所述配体-结合位点的配体的氢得到的基团;或
b)截短所述药效基团得到的配体的药效基团的一部分,使得该支架能够结合或邻接所述配体-结合位点;
弹头为任选地包含一个或多个选自O、N和S的杂原子的有机部分,具有的分子量为约14道尔顿至约200道尔顿,所述弹头能够与赖氨酸残基的侧链伯胺基反应,并且通过连接体连接至支架;
连接体为不存在、键或二价C1-C15饱和的、不饱和的、直链、支链、环状、二环、三环的烷基、烯基、炔基;桥连二环、杂环、杂芳基或芳基部分;其中任选地,所述烃链的一个或多个亚甲基单元独立地被-NR1-、-O-、-C(O)-、-S-、-SO-、-SO2-、-C(=S)-或C(=NR1)-取代;任选地,一个或多个氢独立地被杂原子取代;且任选地,C1-C15烷基的一个或多个次甲基(当存在时)独立地被取代;
x为0、1或2;
y为1、2或3;和
R1为氢或C1-C8烷基。
在某些实施方案中,式I的化合物为式I′的化合物,
应当理解,本发明中没有涉及或要求经由共价修饰赖氨酸的固有能力发挥其生物学效应的天然存在的化合物,也不涉及其中固有赖氨酸共价修饰机制基本上没有变化的合成修饰的其类似物。此外,本发明中也不涉及主要基于单一氨基酸、核苷/核苷酸衍生药物、酸酐、包含炔-酮的化合物。进一步,本发明中没有涉及基于不可逆抑制剂机制的化合物,即自杀抑制剂,比如例如氨己烯酸或carbaglucose-6-磷酸盐(拟-DL-葡萄糖,C-6-P)。(参见Structure and Mechanism in Protein Science:A Guide to Enzyme Catalysis and Protein Folding,Alan Fersht,W.H.Freeman,1998,1st Edition;Enzymatic Reaction Mechanisms,Perry A.Frey and Adrian D.Hegeman,Perry A.Frey(Author),Oxford University Press,2007,1st Edition,for a definition of the termmechanism-based irreversible inhibitors.)。作为蛋白家族的抗体不属于本发明范围之内,因此被排除。(参见,例如Carlos F.Barbas,III,等人,Science 278,2085-2092(1997);Popkov等人,Proc Natl Acad Sci USA,106,4378-4383,(2009);Doppalapudi等人,Bioorganic&Medicinal Chemistry Letters 17,501–506,(2007);Li等人,J.Med.Chem.,47,5630-5640,(2004);Guo等人,Proc.Natl.Acad.Sci.USA,103,11009-11014,(2006);Rader等人,Proc NatlAcad Sci USA,100,5396-5400,(2003)。
例如,已知天然产物渥曼青霉素共价修饰蛋白磷脂酰肌醇3-激酶(PI3K)中的赖氨酸。因而,渥曼青霉素是一种已知共价修饰赖氨酸且经由共价结合赖氨酸的固有能力发挥其生物学效应的天然存在的化合物。基本上经由与渥曼青霉素相同机制共价修饰赖氨酸的渥曼青霉素的已知类似物也从本发明中排除。这样的渥曼青霉素类似物的实例包括,但不限于:
本发明范围之内没有涵盖的被认为共价修饰赖氨酸的天然存在的化合物的另一个实例是Liphagal:
本发明范围之内没有涵盖的其它化合物为在Choi等人,NatureChemical Biology,advance online publication,December 20,(2009)中公开的下述化合物:
本发明范围之内没有涵盖的另外的化合物为在:Lawate等人,J.Med.Chem.33,2319,(1990)中公开的下述化合物:
本发明范围之内没有涵盖的其它化合物为在Nango等人,J.Org.Chem.69,593-600,(2004)中公开的下述化合物:
本发明中没有涉及主要基于氨基酸比如酪氨酸的化合物,比如结合FLAG的酪氨酸衍生的DpaTyr-Ni(II)复合物(Bioorganic and MedicinalChemistry Letters,19,6696,(2009)和氨己烯酸(也称为4-氨基己-5-烯酸或乙烯基GABA((Daniela De Biase,D.,等人,J.Biol.Chem.,266,20056,1991))。
本发明中也没有涉及核苷/核苷酸衍生药物,比如例如在Statsuk,A.V.,等人,JACS,130,17568,(2008)and Guillerm,G.,等人,J.Med.Chem.,49,1223,(2006)等中公开的那些。
本发明中没有涵盖的天然产物及其类似物的另一个实例是manolide及其类似物,其被认为共价修饰赖氨酸,比如manoalogue(Reynolds,L.J.,等人,J.Am.Chem.Soc.,1988,110,5172-5177):
本发明中没有涵盖的化合物及其类似物的另一个实例是共价修饰完整蛋白中的赖氨酸的来那替尼(aka HKI-272)(Wang,J.,等人,DrugMetabolism and Disposition,2010,38,1083-1093):
本发明中没有涵盖的天然产物及其类似物的另一个实例是azaphilone及其类似物,其被认为共价修饰赖氨酸。azaphilone内核的非限定说明性实例描述如下:
在某些实施方案中,式I的弹头为除去下式的化合物的氢得到的基团:式I-a、I-b、I-c、I-d、I-e、I-f、I-g、I-h、I-i、I-j、I-k、I-l、I-m、I-n、I-o、I-p、I-q、I-r、I-s和I-t:
其中:
X1和X8各自独立地为-O-、-S-或-NR6-;
每个X2独立地为-R6、-OR6或-NR6R7,;
每个X9独立地为
R2、R3、R4、R5、R6、R7和R8各自独立地为氢或C1-C6烷基;其中C1-C6烷基的一个或多个亚甲基可以被-NR1-、-O-、-C(O)-、-S-、-SO-、-SO2-或-C(=S)-取代;C1-C6烷基的一个或多个次甲基(当存在时)可以独立地被取代;
R1为氢或C1-C8烷基;
其中任选地当合适时,R2、R3、R4、R5、R6、R7和R8的任意两个结合在一起形成3-至8-元碳环或杂环或芳基或杂芳基;和任选地X2与R2、R3,和R4中任一个结合在一起形成3-至8-元碳环或杂环或芳基或杂芳基;
A和B各自独立地为任选地取代的单环、双环或三环芳基或杂芳基;和
n为2-4的整数;n1和n2各自独立地为0-2的整数;n3为1-2的整数;n4为1-3的整数;n9、n10、n11和n12各自独立地为0-1的整数;且n13为0-2的整数,其中当任何一个前述n整数大于1时,则该整数表示的相邻碳可以形成单键或双键。
在某些实施方案中,式I-b和I-c的化合物的R2和R3中的至少一个为氢。
在其它实施方案中,式I-a、I-d、I-e、I-j、I-k或I-l的化合物为式II-a、II-b、II-c、II-d、II-e、II-f、II-g、II-h、II-i、II-j、II-k、II-l、II-m、II-n、II-o、II-p、II-q、II-r、II-s、II-t、II-u、II-v、II-w、II-x、II-y、II-z、II-aa、II-bb、II-cc、II-dd、II-ee、II-ff、II-gg、II-hh、II-ii、II-jj、II-kk、II-ll、II-mm、II-nn、II-oo或II-pp的化合物:
其中
每个m独立地为0-4的整数
每个m5独立地为0-3的整数;
每个m4独立地为0-5的整数;
每个n2独立地为0-2的整数;
R2、R3、R4、R5、R6、R7、R8、R9、R10、R11、R12、R13、R14和R15各自独立地为氢或C1-C6烷基,和Rz为氢、C1-C6烷基、卤素、CF3或硝基,其中C1-C6烷基的一个或多个亚甲基可以被-NR1-、-O-、-C(O)-、-S-、-SO-、-SO2-或-C(=S)-取代,C1-C6烷基的一个或多个次甲基(当存在时)可以独立地被取代;
R1为氢或C1-C8烷基;和
任选地,当合适时,R2、R3、R4、R5、R6、R7、R8、R9、R10、R11、R12、R13、R14和R15的任意两个结合在一起形成3-至8-元碳环或杂环或芳基或杂芳基。
在仍然另一个实施方案中,式I-d或I-h的化合物为式III-a、III-b、III-c、III-d、III-e、III-f、III-g、III-h或III-i的化合物:
其中:
n3为0-2的整数;
R2、R3、R4、R5、R6、R7和R8各自独立地为氢或C1-C6烷基;
B1、B2、B4和B5各自独立地为CR7或N;
每个B3为NR7、O或S;
Rz1、Rz2、Rz3、Rz4和Rz5各自为氢、C1-C6烷基、卤素、CF3或硝基,其中C1-C6烷基的一个或多个亚甲基可以任选地被-NR1-、-O-、-C(O)-、-S-、-SO-、-SO2-或-C(=S)-取代,C1-C6烷基的一个或多个次甲基(当存在时)可以独立地被取代;
R1为氢或C1-C8烷基;和
任选地,当合适时,R2、R3、R4、R5、R6、R7和R8的任意两个结合在一起形成3-至8-元碳环或杂环或芳基或杂芳基。
在一些实施方案中,式I-h的化合物为式IV-a、IV-b、IV-c、IV-d、IV-e、IV-f、IV-g、IV-h或IV-i的化合物:
其中
R1、R2和R3为如上对于式I-h定义的;和
所述化合物的氮杂环上任一个可取代的氢可以被烷基、烷氧基、酰氨基、酰基、酰氧基、氧基酰基或卤素取代。
在其它实施方案中,除去式I-a、I-d、I-k或I-m的化合物的氢得到的基团为式V-a、V-b、V-c、V-d、V-e、V-f、V-g、V-h、V-i或V-j的基团:
其中:
m1和m2各自独立地为0至2的整数;
R2、R3、R4、R5、R6、R7、R8、R9、R10和R11各自独立地为氢或C1-C6烷基,其中C1-C6烷基的一个或多个亚甲基可以任选地被-NR1-、-O-、-C(O)-、-S-、-SO-、-SO2-或-C(=S)-取代;C1-C6烷基的一个或多个次甲基(当存在时)可以独立地被取代;
R1为氢或C1-C8烷基;和
任选地,当合适时,R2、R3、R4、R5、R6、R7、R8、R9、R10和R11的任意两个结合在一起形成3-至8-元碳环或杂环或芳基或杂芳基。
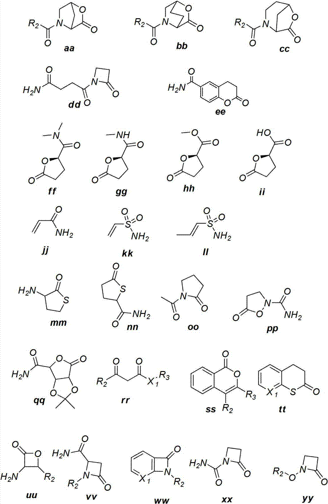
在某些示例性实施方案,式I-a、I-b、I-c、I-d、I-e、I-f、I-g、I-h、I-i、I-j、I-k、I-l、I-m、I-n、I-o、I-p、I-q、I-r、I-s和I-t的化合物为如下所述:
在前述化合物aa-ooo中,任一个可取代的氢都可以被如对于R2-R8所定义的那些取代基取代。
在一些实施方案中,除去式I-a、I-d、I-k或I-m的化合物的氢得到的基团为式VI-a、VI-b、VI-c、VI-d、VI-e、VI-f、VI-g、VI-h、VI-i、VI-j、VI-k、VI-l、VI-m、VI-n、VI-o、VI-p、VI-q、VI-r、VI-s或VI-t的基团:
其中,Rzz为氢、甲基、乙基、丙基、异丙基、环丙基、-CH2OCH3或-CH2CH2OCH3。
在某些实施方案中,连接体为不存在、键或二价C1-C15饱和的、不饱和的、直链、支链、环状、二环、三环的烷基、烯基、炔基;桥连二环、杂环、杂芳基或芳基部分;其中任选地,所述烃链的一个或多个亚甲基单元独立地被-NR1-、-O-、-C(O)-、-S-、-SO-、-SO2-、-C(=S)-或C(=NR1)-取代;R1为氢或C1-C8烷基;任选地一个或多个氢独立地被杂原子取代;和,任选地C1-C15烷基的一个或多个次甲基(当存在时)独立地被取代。
在某些实施方案中,所述支架选自式VII、VIII、IX-a、IX-b、XI、XII、XVI、XVII、XVIII、XIX、XX、XXI、XXII、XXIII、XXXIV、XXV、XXVI、XXVII、XXVIII、XXIX、XXXVi和XXXVII。
VII.本发明的化合物
本发明提供能够共价结合蛋白的赖氨酸残基从而抑制该蛋白功能的化合物。本文描述的化合物为式I的化合物:
其中支架、弹头、连接体、x、y为如上对于式I定义的,
条件是式I的化合物不是:
渥曼青霉素:
经由与渥曼青霉素基本上相同的机制共价修饰赖氨酸的渥曼青霉素的已知类似物:
azaphilone核类似物,比如
任何基于机制的不可逆抑制剂。
在一些实施方案中,式I的化合物为式I′的化合物,
其中支架、弹头和连接体为如上在式I的实施方案中定义的。
在某些实施方案中,弹头为除去下式的化合物的氢得到的基团:式I-a、I-b、I-c、I-d、I-e、I-f、I-g、I-h、I-i、I-j、I-k、I-l、I-m、I-n、I-o、I-p、I-q、I-r、I-s和I-t:
其中:
X1和X8各自独立地为-O-、-S-或-NR6-;
每个X2独立地为-R6、-OR6或-NR6R7,;
R2、R3、R4、R5、R6、R7和R8各自独立地为氢或C1-C6烷基;其中C1-C6烷基的一个或多个亚甲基可以被-NR1-、-O-、-C(O)-、-S-、-SO-、-SO2-或-C(=S)-取代;C1-C6烷基的一个或多个次甲基(当存在时)可以独立地被取代;
R1为氢或C1-C8烷基;
其中任选地当合适时,R2、R3、R4、R5、R6、R7和R8的任意两个结合在一起形成3-至8-元碳环或杂环或芳基或杂芳基;和任选地X2与R2、R3,和R4中任一个结合在一起形成3-至8-元碳环或杂环或芳基或杂芳基;
A和B各自独立地为任选地取代的单环、双环或三环芳基或杂芳基;和
n为2-4的整数;n1和n2各自独立地为0-2的整数;n3为1-2的整数;n4为1-3的整数;n9、n10、n11和n12各自独立地为0-1的整数;且n13为0-2的整数,其中当任何一个前述n整数大于1时,则该整数表示的相邻碳可以形成单键或双键。
在某些实施方案中,式I-b和I-c的化合物的R2和R3中的至少一个为氢。
在其它实施方案中,式I-a、I-d、I-e、I-j、I-k或I-1的化合物为式II-a、II-b、II-c、II-d、II-e、II-f、II-g、II-h、II-i、II-j、II-k、II-l、II-m、II-n、II-o、II-p、II-q、II-r、II-s、II-t、II-u、II-v、II-w、II-x、II-y、II-z、II-aa、II-bb、II-cc、II-dd、II-ee、II-ff、II-gg、II-hh、II-ii、II-jj、II-kk、II-ll、II-mm、II-nn、II-oo或II-pp的化合物。
其中:
每个m独立地为0-4的整数
每个m5独立地为0-3的整数;
每个m4独立地为0-5的整数;
每个n2独立地为0-2的整数;
R2、R3、R4、R5、R6、R7、R8、R9、R10、R11、R12、R13、R14和R15各自独立地为氢或C1-C6烷基;Rz为氢、C1-C6烷基、卤素、CF3或硝基;其中C1-C6烷基的一个或多个亚甲基可以被-NR1-、-O-、-C(O)-、-S-、-SO-、-SO2-或-C(=S)-取代;C1-C6烷基的一个或多个次甲基(当存在时)可以独立地被取代;任选地,当合适时,R2、R3、R4、R5、R6、R7、R8、R9、R10、R11、R12、R13、R14和R15的任意两个结合在一起形成3-至8-元碳环或杂环或芳基或杂芳;和
R1为氢或C1-C8烷基。
在仍然另一个实施方案中,式I-d或I-h的化合物为式III-a、III-b、III-c、III-d、III-e、III-f、III-g、III-h或III-i的化合物:
其中:
n3为0-2的整数;
R2、R3、R4、R5、R6、R7和R8各自独立地为氢或C1-C6烷基;
B1、B2、B4和B各自度地力为CR7或N,且每个B3为NR7、O或S;
Rz1、Rz2、Rz3、Rz4和Rz5各自为氢、C1-C6烷基、卤素、CF3或硝基;
R1为氢或C1-C8烷基;和
任选地当合适时,R2、R3、R4、R5、R6、R7和R8的任意两个结合在一起形成3-至8-元碳环或杂环或芳基或杂芳基。
在一些实施方案中,式I-h的化合物为式IV-a、IV-b、IV-c、IV-d、IV-e、IV-f、IV-g、IV-h或IV-i的化合物:
其中R2、R3和R4为如上对于式I-d或I-h定义的;式IV-a、IV-b和IV-c的化合物的氮杂环上的氢可以被烷基、烷氧基、酰氨基、酰基、酰氧基、氧基酰基和卤素取代。
在其它实施方案中,除去式I-a、I-d、I-k或I-m的化合物的氢得到的基团为式V-a、V-b、V-c、V-d、V-e、V-f、V-g、V-h、V-i或V-j的基团:
其中
m1和m2各自独立地为0至2的整数;
R2、R3、R4、R5、R6、R7、R8、R9、R10和R11各自独立地为氢或C1-C6烷基,其中C1-C6烷基的一个或多个亚甲基可以任选地被-NR1-、-O-、-C(O)-、-S-、-SO-、-SO2-或-C(=S)-;C1-C6烷基的一个或多个次甲基(当存在时)可以独立地被取代
R1为氢或C1-C8烷基;和
任选地,当合适时,R2、R3、R4、R5、R6、R7、R8、R9、R10和R11的任意两个结合在一起形成3-至8-元碳环或杂环或芳基或杂芳基。
在一些实施方案中,除去式I-a、I-d、I-k或I-m的化合物的氢得到的基团为式VI-a、VI-b、VI-c、VI-d、VI-e、VI-f、VI-g、VI-h、VI-i、VI-j、VI-k、VI-l、VI-m、VI-n、VI-o、VI-p或VI-q的基团:
其中
Rzz为氢、甲基、乙基、丙基、异丙基、环丙基、-CH2OCH3或-CH2CH2OCH3。
在式I的化合物的某些实施方案中,连接体为不存在、键或二价C1-C15饱和的、不饱和的、直链、支链、环状、二环、三环的烷基、烯基、炔基;桥连二环、杂环、杂芳基或芳基部分;其中任选地,所述烃链的一个或多个亚甲基单元独立地被-NR1-、-O-、-C(O)-、-S-、-SO-、-SO2-、-C(=S)-或C(=NR1)-取代;任选地,一个或多个氢独立地被杂原子取代;且任选地,C1-C15烷基的一个或多个次甲基(当存在时)独立地被取代;和R1为氢或C1-C8烷基。
在一些实施方案中,连接体为不存在、键或二价C1-C15饱和的、不饱和的、直链、支链、环状、二环、三环的烷基、烯基、炔基;其中任选地,所述烃链的一个或多个亚甲基单元独立地被-NR1-,-O-、-C(O)-、-S-、-SO-、-SO2-、-C(=S)-或C(=NR1)-取代;任选地,一个或多个氢独立地被杂原子取代;且任选地,C1-C15烷基的一个或多个次甲基(当存在时)独立地被取代;和
R1为氢或C1-C8烷基。
在一些实施方案中,所述支架选自式VII、VIII、IX-a、IX-b、XI、XII、XVI、XVII、XVIII、XIX、XX、XXI、XXII、XXIII、XXXIV、XXV、XXVI、XXVII、XXVIII、XXIX、XXXVi和XXXVII。
A.IAP蛋白支架
1.基于式的VII化合物的式I的化合物
在某些实施方案中,描述了式I的化合物,其中支架为除去式VII的化合物的一个或多个氢得到的基团:
其中
V和W各自独立地为-(CR14R15)qX3(CR16R17)r-;
q和r各自独立地为0、1、2、3或4;
X3为-CR18R19-或-NR20-;
Rx、Ry、R12、R13、R14、R15、R16、R17、R18、R19和R20各自独立地为氢或C1-C6烷基;其中C1-C6烷基的一个或多个亚甲基可以被-NR1-,-O-、-C(O)-、-S-、-SO-、-SO2-、-C(=S)-、任选取代的芳基或杂芳基取代;C1-C6烷基的一个或多个次甲基(当存在时)可以独立地被取代;
R1为氢或C1-C8烷基;和
连接体和弹头为如上在式I的实施方案中定义的。
在某些实施方案中,式VII的化合物为式VII-a的化合物:
其中:
V和W各自独立地为-(CR14R15)qX3(CR16R17)r-;
q和r各自独立地为0、1、2、3或4;
X3is-CR18R19-或-NR20-;
P为0、1、2、3或4;
R12、R13、R14、R15、R16、R17、R18、R19和R20各自独立地为氢或C1-C6烷基;其中C1-C6烷基的一个或多个亚甲基可以被-NR1-,-O-、-C(O)-、-S-、-SO-、-SO2-、-C(=S)-、任选取代的芳基或杂芳基取代;C1-C6烷基的一个或多个次甲基(当存在时)可以独立地被取代;
R1为氢或C1-C8烷基;和
R23为氢、C1-C6烷基、卤素、氨基或硝基;其中C1-C6烷基的一个或多个亚甲基可以任选地被-NR1-、-O-、-C(O)-、-S-、-SO-、-SO2-或-C(=S)-取代;C1-C6烷基的一个或多个次甲基(当存在时)可以独立地被取代;和
任选地,R21和R23结合在一起可以形成4-至8-元碳环或杂环。
在其它实施方案中,式I′的化合物为式VII-b的化合物:
其中R12、R13、R21、R22、R23、V、W、p为对于式VII-a如上定义的,T和Rwh为如上在式I的实施方案中定义的。
在某些实施方案中,式VII-b的化合物为式VII-h的化合物。
其中T、Rwh、p、R12、R13、R23和p为如上对于式VII-b定义的。
在其它实施方案中,式VII-h的化合物为式VII-j、VII-k、VII-l、VII-m、VII-n或VII-o的化合物:
其中R2、R3、R4、R5、R6、R7为如上对于式I的实施方案定义的,R12、R13、R23和p为如上对于式VII和VII-h定义的。
式VII的化合物的非限制性实例列举如下:
2.基于式VIII的化合物的式I的化合物
在其它实施方案中,描述式I的化合物,其中支架为除去式VIII的化合物的氢得到的基团:
其中
X4为-CR33-或-N-;
p和s各自独立地为0、1、2、3或4;
R12、R13、R21、R22、R24、R25、R26、R27、R28、R29、R30、R31、R32和R33各自独立地为氢或C1-C6烷基;
R23为氢、C1-C6烷基、卤素、氨基或硝基;其中C1-C6烷基的一个或多个亚甲基可以任选地被-NR1-、-O-、-C(O)-、-S-、-SO-、-SO2-或-C(=S)-取代;C1-C6烷基的一个或多个次甲基(当存在时)可以独立地被取代;
R1为氢或C1-C8烷基;和
任选地,R21和R23结合在一起可以形成4-至8-元碳环或杂环,和
连接体和弹头为如上在式I的实施方案中定义的。
在某些实施方案中,式I的化合物为式VIII-a或VIII-b的化合物。
其中X4、p、s、R12、R13、R21、R22、R23,R24、R25、R26、R27、R28、R29、R30、R31、R32、R33为如上对于式VIII定义的,T和Rwh为如上在式I的实施方案中定义的。
式VIII的化合物的非限制性实例列举如下:
3.基于式IX-A和IX-B的化合物的式I的化合物
在其它实施方案中,描述式I的化合物,其中支架为除去式IX-a或IX-b的化合物的氢得到的基团:
其中
X5为-O-、-CR42R43-或-NR42-;
R12、R13、R27、R28、R29、R30、R31、R32、R33、R34、R35、R36、R37、R38、R39、R40、R41、R42和R43各自独立地为氢或C1-C6烷基;其中C1-C6烷基的一个或多个亚甲基可以任选地被-NR1-、-O-、-C(O)-、-S-、-SO-、-SO2-或-C(=S)-取代;
D、E、F、G和H各自独立地为任选取代的芳基或杂芳基;
其中F和G稠合在一起形成二环任选取代的芳基或杂芳基;和
连接体和弹头为如上在式I的实施方案中定义的。
在仍然另一个实施方案中,式I的化合物为式IX-c或IX-d的化合物:
其中R12、R13、R31、F、G和H为如上对于式IX-a和IX-b定义的,T和Rwh分别为连接体和弹头,并且为如上在式I的实施方案中定义的。
4.式XVII的化合物
在某些实施方案中,通过式XVII的化合物描述式I的化合物:
其中T为连接体,Rwh为弹头,并且它们都为如上在式I的实施方案中定义的。
式XVII的化合物的非限制性性实例列举如下:
5.式XVIII的化合物
在某些实施方案中,通过式XVIII的化合物描述式I的化合物:
其中T为连接体,Rwh为弹头,并且它们都为如上在式I的实施方案中定义的。
式XVIII的化合物的非限制性性实例列举如下:
6.式XIX的化合物式XIX的化合物
在某些实施方案中,通过式XIX的化合物描述式I的化合物::
其中T为连接体,Rwh为弹头,并且它们都为如上在式I的实施方案中定义的。
式XIX的化合物的非限制性性实例列举如下:.
7.式XX-a和XX-b的化合物
在某些实施方案中,通过式XX-a和式XX-b的化合物描述式I的化合物:
其中
R1000为C(H)或N,其中–T-Rwh可以连接至式XX-a和式XX-b的杂芳基部分的任一个碳或NH;和
T和Rwh分别为连接体和弹头,并且为如上在式I的实施方案中定义的。
式XX-a和式XX-b的化合物的非限制性实例列举如下:
8.式XXI-a、XXI-b和XXI-c的化合物
在某些实施方案中,通过XXI-a、式XXI-b和式XXI-c的化合物描述式I的化合物:
其中T和Rwh分别为连接体和弹头,并且为如上在式I的实施方案中定义的。
式XXI-a、式XXI-b和式XXI-c的化合物的非限制性实例列举如下:
B.PDPK1蛋白支架
1.式XI的化合物
在某些实施方案中,通过式XI的化合物描述式I的化合物:
其中:
B6和B7各自独立地为CR7或N;
R69为氢、C1-C6烷基、卤素、氨基、硝基或-NH(CO)NR78R79;
R70为氢、C1-C6烷基、卤素、氨基、硝基;
R7、R71、R72、R73、R74、R75、R76、R77、R78和R79各自独立地为氢或C1-C6烷基;
R1为氢或C1-C8烷基;其中C1-C6烷基的一个或多个亚甲基可以被-NR1-、-O-、-C(O)-、-S-、-SO-、-SO2-或-C(=S)-取代;C1-C6烷基的一个或多个次甲基(当存在时)可以独立地被取代;
任选地,R78和R79结合在一起形成4-至8-元碳环或杂环;
p为0至4的整数,u为1至4的整数;和
T和Rwh分别为连接体和弹头,并且为如上在式I的实施方案中定义的;
在其它实施方案中,式XI的化合物为式XI-a、XI-b或XI-c的化合物:
其中,R69、R70、R74、R75、R76、R77、R78、R79、T、Rwh和p为如上对于式XI定义的。
在仍然另一个实施方案中,式XI-a、XI-b或XI-c的化合物为式XI-d、XI-e、XI-f、XI-g、XI-h、XI-i或XI-j的化合物:.
其中R70和T为如上对于式XI定义的;
R1、R2、R3、R4、R5、R6、R80、R81、R82、R83、R84、R85、R86和R87各自独立地为氢或C1-C6烷基,其中C1-C6烷基的一个或多个亚甲基可以被-NR1-、-O-、-C(O)-、-S-、-SO-、-SO2-或-C(=S)-取代;R1为氢或C1-C8烷基,C1-C6烷基的一个或多个次甲基(当存在时)可以独立地被取代。
在某些实施方案中,式XI-d、XI-e、XI-f、XI-g、XI-h、XI-i或XI-j的化合物为式XI-k、XI-l、XI-m、XI-n、XI-o、XI-p或XI-q的化合物:
其中R1-R8、R70、R88和R89为如上对于式XI-a、XI-b或XI-c定义的,;
X6为CH2、NH、O或S;和
n5为0至3的整数。
在某些实施方案中,式XI-e或XI-j的化合物为式XI-r、XI-s、XI-t、XI-u、XI-v、XI-w或XI-x的化合物:
其中R2、R3、R4、R5和R6为如上对于式XI-d、XI-e、XI-f、XI-g、XI-h、XI-i和XI-j定义的。
在其它实施方案中,式XI-e、XI-h、XI-i或XI-j的化合物为式XI-y、XI-z、XI-aa或XI-bb的化合物。
其中
R2-R9为如上对于式II-a定义的;和
X6为如上对于式XI-t定义的。
在某些实施方案中,式XI-h或XI-i的化合物为式XI-cc、XI-dd、XI-ee或XI-ff的化合物:
其中R2-R7、R8、R9为如上对于式II-a定义的。
式XI的化合物的非限制性性实例列举如下:.
2.式XII的化合物
在某些实施方案中,通过式XII的化合物描述式I的化合物:
其中T和Rwh分别为连接体和弹头,并且为如上在式I的实施方案中定义的;和
R1和R2各自独立地为氢或C1-C8烷基;其中C1-C6烷基的一个或多个亚甲基可以被-NR1-、-O-、-C(O)-、-S-、-SO-、-SO2-或-C(=S)-取代;C1-C6烷基的一个或多个次甲基(当存在时)可以独立地被取代。
1.式XXXVI的化合物心福苷
在某些实施方案中,通过式XXXVI的化合物描述式I的化合物:
其中
Rv为H、任选取代的C1-C3支链或直链烷基、或任选取代的C1-C3支链或直链酰基;和
T和Rwh分别为连接体和弹头,并且为如上在式I的实施方案中定义的。
式XXXVI的化合物的非限制性性实例列举如下::
C.HCV蛋白酶
1.基于式XVI-a、XVI-b和XVI-c的化合物的式I的化合物
在其它实施方案中,描述式I的化合物,其中支架为除去式XVI-a、XVI-b或XVI-c的化合物的氢得到的基团:
其中
R90、R91、R92、R93、R94、R95、R96、R97、R98、R99、R100、R102、R104、R105、R106、R107、R108、R109、R110、R111、R112、R113和R114各自独立地为氢或C1-C6烷基;其中C1-C6烷基的一个或多个亚甲基可以任选地被-NR1-、-O-、-C(O)-、-S-、-SO-、-SO2-或-C(=S)-取代;
R103为氢、C1-C6烷基或C2-C8烯基;
C1-C6烷基的一个或多个次甲基(当存在时)可以独立地被取代;
R1为氢或C1-C8烷基;
每个R101独立地为氢、C1-C6烷基、C2-C8烯基、卤素、氨基、硝基、任选取代的芳基或杂芳基;
n6和n7各自独立地为0至4的整数;n8为0至2的整数;和
弹头为除去下式的化合物的氢得到的基团:式I-b、I-c、I-e、I-i、I-j、I-k、I-l、I-n或I-o;
其中
X1和X8各自独立地为-O-或-NR6-;
R2、R3、R4、R5、R6、R7和R8各自独立地为氢或C1-C6烷基;其中C1-C6烷基的一个或多个亚甲基可以被-NR1-、-O-、-C(O)-、-S-、-SO-、-SO2-或-C(=S)-取代;
任选地,当合适时,R2、R3、R4、R5、R6、R7和R8的任意两个结合在一起形成3-至8-元碳环或杂环或芳基或杂芳基;
A和B各自独立地为任选取代的单环、二环或三环芳基或杂芳基;
n为2-4的整数;
n1和n2各自独立地为0-2的整数;
n3为1-2的整数;
n4为1-3的整数;
T为连接体,其为不存在、键、或二价C1-C15饱和的、不饱和的、直链、支链、环状、二环、三环的烷基、烯基、炔基;桥连二环、杂环、杂芳基或芳基部分;其中任选地,所述烃链的一个或多个亚甲基单元独立地被-NR1-,-O-、-C(O)-、-S-、-SO-、-SO2-、-C(=S)-或C(=NR1)-取代;任选地,一个或多个氢独立地被杂原子取代;且任选地,C1-C15烷基的一个或多个次甲基(当存在时)独立地被取代;和
R1为氢或C1-C8烷基。
在某些实施方案中,式I的化合物为式XVI-d、XVI-e或XVI-f的化合物:
其中
R90、R101、R114、n6、n8、T和Rwh为如上对于式XV-a定义的;和
R103为氢或C2-C8烯基。
在一些实施方案中,式XVI-d、XVI-e或XVI-f的化合物为式XVI-g、XVI-h或XVI-i的化合物:
其中,R2、R3、R4、R5、R101、R114为如上对于式XVI-a定义的。
式XVI-a、式XVI-b和式XVI-c的化合物的非限制性实例列举如下:
D.PI3Kβ和PI3Kγ蛋白支架
1.式XXII-a、式XXII-b或式XXII-c的化合物
在某些实施方案中,式I的化合物为式XXII-a、式XXII-b或式XXII-c的化合物:
其中
对于式XXII-a和式XXII-b,n、m、p和q各自独立地为0、1、2、3;条件是
n和q不同时为0,和
m和q不同时为0;
T和Rwh为如对于式I定义的,每个T可以相同或不同;
A2为任选取代的选自下述的环:具有一个或两个独立地选自氮、氧或硫的杂原子的4-8元饱和的或部分不饱和的杂环,或具有至少一个氮、至少一个氧和任选地1-2独立地选自氮、氧或硫的另外的杂原子的5-10元饱和的或部分不饱和的桥连二环杂环;
B为任选取代的基团,选自:苯基、8-至10-元二环芳基环,具有1-4个独立地选自氮、氧或硫的杂原子的5-至6-元杂芳基环,或具有1-4个独立地选自氮、氧或硫的杂原子的8-至10-元二环杂芳基环;或T-Rwh;和
C2为氢或任选取代的选自下述的环:3-至7-元饱和的或部分不饱和的碳环,7-至10-元饱和的或部分不饱和的二环碳环,具有1-2个独立地选自氮、氧或硫的杂原子的4-至7-元饱和的或部分不饱和的杂环,具有1-3个独立地选自氮、氧或硫的杂原子的7-至10-元饱和的或部分不饱和的二环杂环,苯基,8-至10-元二环芳基环,具有1-3个独立地选自氮、氧或硫的杂原子的5-至6-元杂芳基环,或具有1-4个独立地选自氮、氧或硫的杂原子的8-至10-元二环杂芳基环。
式XXII-a和式XXII-b的化合物的非限制性实例列举如下:.
2.式XXIII的化合物
在某些实施方案中,式I的化合物为式XXIII的化合物:
其中:
Rwh为弹头基,并且为如上在式I的实施方案中定义的;
R201为氢或C1-6烷基;
R202为氢或任选取代的选自C1-6烷基、C1-6烷氧基或(C1-6亚烷基)-R203的基团;或
R201和R202与插入的碳结合在一起形成任选取代的环,选自具有1-2个独立地选自氮、氧或硫的杂原子的3-至7-元碳环或4-至7-元杂环;
R203为3-至7-元饱和的或部分不饱和的碳环、7-至10-元饱和的或部分不饱和的二环碳环、具有1-2独立地选自氮、氧或硫的杂原子的4-至7-元饱和的或部分不饱和的杂环、具有1-3个独立地选自氮、氧或硫的杂原子的7-至10-元饱和的或部分不饱和的二环杂环,苯基,8-至10-元二环芳基环,具有1-3个独立地选自氮、氧或硫的杂原子的5-至6-元杂芳基环,或具有1-4个独立地选自氮、氧或硫的杂原子的8-至10-元二环杂芳基环;和
环A6不存在或为任选取代的选自下述的基团:具有1-2个独立地选自氮、氧或硫的杂原子的4-至7-元杂环,或具有1-3个独立地选自氮、氧或硫的5-至6-元杂芳基环。
式XXIII的化合物的非限制性实例列举如下:
3.式XXIV-a或式XXIV-b的化合物
在某些实施方案中,式I的化合物为式XXIV-a或式XXIV-b的化合物:
或其可药用盐,
其中:
Rwh为弹头基;
R204为氢或任选取代的选自下述的基团:C1-6脂肪基、-(CH2)m-(3-至7-元饱和的或部分不饱和的碳环)、-(CH2)m-(7-至10-元饱和的或部分不饱和的双环碳环)、-(CH2)m-(具有1-2个独立地选自氮、氧或硫的杂原子的4-至7-元饱和的或部分不饱和的杂环)、-(CH2)m-(具有1-3个独立地选自氮、氧或硫的杂原子的7-至10-饱和的或部分不饱和的二环杂环)、-(CH2)m-苯基、-(CH2)m-(8-至10-元二环芳基环)、-(CH2)m-(具有1-3个独立地选自氮、氧或硫的杂原子的5-至6-元杂芳基环)或-(CH2)m-(具有1-4个独立地选自氮、氧或硫的杂原子的8-至10-元二环杂芳基环);
R205和R206各自独立地为-R″、卤素、-NO2、-CN、-OR″、-SR″、-N(R″)2、-C(O)R″、–CO2R″、–C(O)C(O)R″、–C(O)CH2C(O)R″、–S(O)R″、–S(O)2R″、–C(O)N(R″)2、-SO2N(R″)2、–OC(O)R″、-N(R″)C(O)R″、-N(R″)N(R″)2、-N(R″)C(=NR″)N(R″)2、-C(=NR″)N(R″)2、–C=NOR″、-N(R″)C(O)N(R″)2、-N(R″)SO2N(R″)2、-N(R″)SO2R″或-OC(O)N(R″)2;
每个R″独立地为氢或任选地取代的选自下述的基团:C1–6脂肪族基、3-至7-元饱和的或部分不饱和的碳环、7-至10-元饱和的或部分不饱和的二环碳环、具有1-2独立地选自氮、氧或硫的杂原子的4-至7-元饱和的或部分不饱和的杂环、具有1-3个独立地选自氮、氧或硫的杂原子的7-至10-元饱和的或部分不饱和的二环杂环,苯基,8-至10-元二环芳基环,具有1-3个独立地选自氮、氧或硫的杂原子的5-至6-元杂芳基环,或具有1-4个独立地选自氮、氧或硫的杂原子的8-至10-元二环杂芳基环;或
同一氮上的两个R″基团与它们连接的氮结合在一起形成任选取代的具有1-4个独立地选自氮、氧或硫的杂原子的5–8元饱和的、部分不饱和的环或芳香环;
m为0至6的整数,包括端值;
对于式XXIV-a或式XXIV-b,每个n独立地为0、1或2;和
环A5为任选取代的具有1-2个氮的6-元杂环或杂芳基环。
式XXIV-a和XXIVb的化合物的非限制性实例列举如下::
4.式XXV的化合物
在某些实施方案中,式I的化合物为式XXV的化合物:
或其可药用盐;
其中
Rwh为弹头基;
R205和R206各自独立地为-R″、卤素、-NO2、-CN、-OR″、-SR″、-N(R″)2、-C(O)R″、-CO2R″、-C(O)C(O)R″、-C(O)CH2C(O)R″、-S(O)R″、-S(O)2R″、-C(O)N(R″)2、-SO2N(R″)2、-OC(O)R″、-N(R″)C(O)R″、-N(R″)N(R″)2、-N(R″)C(=NR″)N(R″)2、-C(=NR″)N(R″)2、-C=NOR″、-N(R″)C(O)N(R″)2、-N(R″)SO2N(R″)2、-N(R″)SO2R″或-OC(O)N(R″)2;
每个R″独立地为氢或任选地取代的选自下述的基团:C1-6脂肪族基、3-至7-元饱和的或部分不饱和的碳环、7-至10-元饱和的或部分不饱和的二环碳环、具有1-2独立地选自氮、氧或硫的杂原子的4-至7-元饱和的或部分不饱和的杂环、具有1-3个独立地选自氮、氧或硫的杂原子的7-至10-元饱和的或部分不饱和的二环杂环,苯基,8-至10-元二环芳基环,具有1-3个独立地选自氮、氧或硫的杂原子的5-至6-元杂芳基环,或具有1-4个独立地选自氮、氧或硫的杂原子的8-至10-元二环杂芳基环;或
任选地,同一氮上的两个R″基团与它们连接的氮结合在一起形成任选取代的具有1-4个独立地选自氮、氧或硫的杂原子的5–8元饱和的、部分不饱和的环或芳香环;
m为0至6的整数,包括端值;
每个n独立地为0、1或2;和
环A5为任选取代的具有1-2个氮的6-元杂环或杂芳基环。
在其它非限制性示例性实施方案中,式XXV的化合物显示如下∶
XXV-13 XXV-14 XXV-15
5式XXVI的化合物
在某些实施方案中,式I的化合物为式XXVI的化合物:
或其可药用盐;
其中:
Rwh为弹头基,并且为如上在式I的实施方案中定义的;
环A7为任选取代的环,选自:具有一个或两个独立地选自氮、氧或硫的杂原子的4-8元饱和的或部分不饱和的杂环、或具有至少一个氮、至少一个氧和任选地1-2独立地选自氮、氧或硫的另外的杂原子的5-10元饱和的或部分不饱和的桥连二环杂环;
R207为R”’、卤素、–OR”’、–CN、–NO2、-SO2R”’、-SO R”’、-C(O)R”’、-CO2R”’、-C(O)N(R”’)2、-NRC(O)R”’、-NR”’C(O)N(R”’)2、-NRSO2R”’或-N(R”’)2;
每个R”’独立地为氢或任选地取代的选自下述的基团:C1–6脂肪族基、芳基、具有1-2个独立地选自氮、氧或硫的杂原子的4-至7-元杂环,或具有1-4个独立地选自氮、氧或硫的杂原子的5-至6-元单环杂芳基环,或∶
任选地,同一氮上的两个R”’基团与它们连接的氮原子结合在一起形成任选取代的具有1-4个独立地选自氮、氧或硫的杂原子的4-至7-元饱和的、部分不饱和的环或杂芳基环;
环B7为任选取代的基团,选自:苯基、8-至10-元二环芳基环,具有1-4个独立地选自氮、氧或硫的杂原子的5-至6-元杂芳基环,或具有1-4个独立地选自氮、氧或硫的杂原子的8-至10-元二环杂芳基环;
T7为共价键或二价直链或支链、饱和的或不饱和的C1-6烃链,其中T7的一个或多个亚甲基单元任选地被-O-、-S-、-N(R”’)-、-C(O)-、-OC(O)-、-C(O)O-、-C(O)N(R”’)-、-N(R”’)C(O)-、-N(R”’)C(O)N(R”’)-、-SO2-、-SO2N(R”’)-、-N(R”’)SO2-或-N(R”’)SO2N(R”’)-取代;
环C7为任选取代的选自下述的环:3-至7-元饱和的或部分不饱和的碳环,7-至10-元饱和的或部分不饱和的二环碳环,具有0-4个独立地选自氮、氧或硫的杂原子的7-至12-元饱和的或部分不饱和的桥连二环,具有1-2个独立地选自氮、氧或硫的杂原子的4-至7-元饱和的或部分不饱和的杂环,具有1-3个独立地选自氮、氧或硫的杂原子的7-至10-元饱和的或部分不饱和的二环杂环,苯基,8-至10-元二环芳基环,具有1-3个独立地选自氮、氧或硫的杂原子的5-至6-元杂芳基环,或具有1-4个独立地选自氮、氧或硫的杂原子的8-至10-元二环杂芳基环;和
环D7为不存在或任选取代的选自下述的环:3-至7-元饱和的或部分不饱和的碳环,7-至10-元饱和的或部分不饱和的二环碳环,具有0-4个独立地选自氮、氧或硫的杂原子的7-至12-元饱和的或部分不饱和的桥连二环,具有1-2个独立地选自氮、氧或硫的杂原子的4-至7-元饱和的或部分不饱和的杂环,具有1-3个独立地选自氮、氧或硫的杂原子的7-至10-元饱和的或部分不饱和的二环杂环,苯基,8-至10-元二环芳基环,具有1-3个独立地选自氮、氧或硫的杂原子的5-至6-元杂芳基环,或具有1-4个独立地选自氮、氧或硫的杂原子的8-至10-元二环杂芳基环。
式XXVI的化合物的非限制性性实例列举如下:.
6式XXVII的化合物
在某些实施方案中,式I的化合物为式XXVII的化合物:
或其可药用盐;
其中:
T和Rwh为如上在式I的实施方案中定义的。
R为H、烷基或烷氧基。
式XXVII的化合物的非限制性性实例列举如下:.
7.式XXVIII的化合物
在某些实施方案中,式I的化合物为式XXVIII的化合物:
及其可药用盐;
其中
T和Rwh都为如上在式I的实施方案中定义的。
式XXVIII的化合物的非限制性实例列举如下::
8.式XXIX的化合物
在某些实施方案中,式I的化合物为式XXIX的化合物:
及其可药用盐;
其中
T和Rwh分别为连接体和弹头,并且为如上对式I定义的;和
A8为任选取代的芳基、联芳基或杂芳基。
式XXIX的化合物的非限制性实例列举如下::
1式XXXVII的化合物
在某些实施方案中,式I的化合物为式XXXVII的化合物:
及其可药用盐;
其中
T和Rwh分别为连接体和弹头,并且为如上对式I定义的。
式XXXVII的化合物的非限制性实例列举如下::
本领域普通技术人员应当认识到如本文定义的各种弹头基适于共价结合赖氨酸。这样的Rwh基包括,但不限于本文描述的那些,并且描述在上述式VI-a-VI-t和aa-ooo中,包括端点的式。通过使用在如下实施例50-54、88、163-164和174-175中详细描述的试验设计进行质谱测定试验来确定适于共价结合赖氨酸残基的伯胺的这些弹头,将其结果描述在图3-9和12-22中。这些试验表明本文描述的化合物共价修饰HCV-NS3蛋白酶、XIAP、PI3K和PDPK-1中的靶赖氨酸残基。
VIII在一个进一步的方面,本发明提供式XIII的蛋白-调节物-配体共轭物:
其中
支架为
a)除去能够结合或邻接所述配体-结合位点的配体的氢得到的基团;或
b)截短所述药效基团得到的配体的药效基团的一部分,使得该支架能够结合或邻接所述配体-结合位点;
弹头为任选地包含一个或多个选自O、N和S的杂原子的有机部分;所述有机部分具有的分子量为约14道尔顿至约200道尔顿;弹头能够与赖氨酸残基的侧链伯胺基反应;并且弹头通过连接体连接至支架;和
连接体为不存在、键或二价C1-C15饱和的、不饱和的、直链、支链、环状、二环、三环的烷基、烯基、炔基;桥连二环、杂环、杂芳基或芳基部分;其中任选地,所述烃链的一个或多个亚甲基单元独立地被-NR1-,-O-、-C(O)-、-S-、-SO-、-SO2-、-C(=S)-或C(=NR1)-取代;任选地,一个或多个氢独立地被杂原子取代;且任选地,C1-C6烷基的一个或多个次甲基(当存在时)独立地被取代;
x为0、1或2;
y为1、2或3;
R1为氢或C1-C8烷基;和
Y1为除去下式的基团的氢得到的二价或三价部分:式XIV-a、XIV-b、XIV-c、XIV-d、XIV-e、XIV-f、XIV-g、XIV-h或XIV-i,
其中
X1和X2各自独立地为-CR2R3R4、-OR2或-NR2R3;
R2、R3、R4、R5、R6、R7和R8各自独立地为氢或C1-C6烷基;
任选地,当合适时,R2、R3、R4、R5、R6、R7和R8中任两个可以结合在一起形成3-至8-元碳环或杂环;
C1-C6烷基的一个或多个亚甲基可以被-NR1-、-O-、-C(O)-、-S-、-SO-、-SO2-或-C(=S)-取代;C1-C6烷基的一个或多个次甲基(当存在时)可以独立地被取代;和
n为2-4的整数,m4为1至2的整数;
A为任选取代的芳基或杂芳基;
式XIV-a、XIV-b、XIV-c、XIV-d、XIV-e、XIV-f、XIV-g、XIV-h或XIV-i的基团的氢被连接体-支架取代;和
M连接如“*”标记的位置,且为-NH-或=N-,M的氮原子为来自蛋白赖氨酸残基的侧链伯胺基的氮。
在某些实施方案中,式XIII的共轭物为式XIII′的共轭物,
在某些实施方案中,支架选自式VII、VIII、IX-a、IX-b、XI、XII、XVI、XVII、XVIII、XIX、XX、XXI、XXII、XXIII、XXXIV、XXV、XXVI、XXVII、XXVIII、XXIX、XXXVI和XXXVII。
在其它实施方案中,M(CH2)4-蛋白选自M(CH2)4-K1236-HCV-NS3、M(CH2)4-K2016-HCV-NS3、M(CH2)4-K2560-HCV-NS3、M(CH2)4-K191-(杆状病毒IAP含重复蛋白1)、M(CH2)4-K199-(杆状病毒IAP含重复蛋白1)、M(CH2)4-K305-(杆状病毒IAP含重复蛋白2)、M(CH2)4-K291-(杆状病毒IAP含重复蛋白3)、M(CH2)4-K297-(杆状病毒IAP含重复蛋白4)、M(CH2)4-K299-(杆状病毒IAP含重复蛋白4)、M(CH2)4-K311-(杆状病毒IAP含重复蛋白4)、M(CH2)4-K062-(杆状病毒IAP含重复蛋白5)、M(CH2)4-K079-(杆状病毒IAP含重复蛋白5)、M(CH2)4-K121-(杆状病毒IAP含重复蛋白7)、M(CH2)4-K135-(杆状病毒IAP含重复蛋白7)、M(CH2)4-K146-(杆状病毒IAP含重复蛋白7)、M(CH2)4-K036-(杆状病毒IAP含重复蛋白8)、M(CH2)4-K050-(杆状病毒IAP含重复蛋白8)、M(CH2)4-K061-(杆状病毒IAP含重复蛋白8)、M(CH2)4-K776-(磷脂酰肌醇-4,5-二磷酸盐3-激酶催化亚基α同工型)、、M(CH2)4-K802-(磷脂酰肌醇-4,5-二磷酸盐3-激酶催化亚基α同工型)、M(CH2)4-K777-(磷脂酰肌醇-4,5-二磷酸盐3-激酶催化亚基β同工型)、M(CH2)4-K805-(磷脂酰肌醇-4,5-二磷酸盐3-激酶催化亚基β同工型)、M(CH2)4-K802-(磷脂酰肌醇-4,5-二磷酸盐3-激酶催化亚基γ同工型)、M(CH2)4-K807-(磷脂酰肌醇-4,5-二磷酸盐3-激酶催化亚基γ同工型)、M(CH2)4-K833-(磷脂酰肌醇-4,5-二磷酸盐3-激酶催化亚基γ同工型)、M(CH2)4-K890-(磷脂酰肌醇-4,5-二磷酸盐3-激酶催化亚基γ同工型)、M(CH2)4-K086-(3-磷酸肌醇-依赖性蛋白激酶1),M(CH2)4-K163-(3-磷酸肌醇-依赖性蛋白激酶1),M(CH2)4-K169-(3-磷酸肌醇-依赖性蛋白激酶1)和M(CH2)4-K207-(3-磷酸肌醇-依赖性蛋白激酶1)。
在其它实施方案中,除去式XIV-a、XIV-d、XIV-h或XIV-i的基团的氢得到的二价或三价部分为式XV-a、XV-b、XV-c、XV-d、XV-e、XV-f或XV-g的部分:
其中
m4为1至2的整数;
R2、R3、R4、R5和R6各自独立地为氢或C1-C6烷基;其中
任选地,当合适时,R2、R3、R4、R5和R6中的任两个可以连接在一起形成3-至8-元碳环或杂环;和
C1-C6烷基的一个或多个亚甲基可以被-NR1-、-O-、-C(O)-、-S-、-SO-、-SO2-或-C(=S)-取代;
C1-C6烷基的一个或多个次甲基(当存在时)可以独立地被取代;
M连接如“*”标记的Y1的位置;和
连接体连接如“**”标记的Y1的位置。
在某些实施方案中,式XV-a、XV-b、XV-c、XV-d、XV-e、XV-f或XV-g的二价部分为式XV-h、XV-i、XV-j、XV-k、XV-l、XV-m、XV-n、XV-o、XV-p、XV-q、XV-r、XV-s或XV-t的二价部分:
其中
M连接如“*”标记的Y1的位置;和
连接体连接如“**”标记的Y1的位置。
如上一般定义的,Rwh为弹头基。不希望受到任何特定理论的束缚,据信这样的Rwh基团,即弹头基,特别适于共价结合例如但不限于XIAP、PDPK-1、HCV蛋白酶和PI3K的结合域中的关键赖氨酸残基。本领域普通技术人员应当理解XIAP、PDPK-1、HCV蛋白酶和PI3K及其突变体在每个蛋白结合域内具有至少一个赖氨酸残基。
在一些实施方案中,本发明的化合物具有弹头基,该弹头基的特征在于本发明的化合物可以靶向XIAP的K297赖氨酸残基。在某些实施方案中,本发明的化合物具有弹头基,该弹头基的特征在于本发明的化合物靶向PDPK-1的K86赖氨酸残基。在一些实施方案中,本发明的化合物具有弹头基,该弹头基的特征在于本发明的化合物靶向PDPK-1的K169赖氨酸残基。在一些实施方案中,本发明的化合物具有弹头基,该弹头基的特征在于本发明的化合物靶向PDPK-1的K173赖氨酸残基。在其它实施方案中,本发明的化合物具有弹头基,该弹头基的特征在于本发明的化合物靶向HCV蛋白酶的K136赖氨酸残基。在其它实施方案中,本发明的化合物具有弹头基,该弹头基的特征在于本发明的化合物靶向PI3Kβ的K777赖氨酸残基。在其它实施方案中,本发明的化合物具有弹头基,该弹头基的特征在于本发明的化合物靶向PI3Kγ的K802赖氨酸残基。在其它实施方案中,本发明的化合物具有弹头基,该弹头基的特征在于本发明的化合物靶向PI3Kγ的K890赖氨酸残基。
因而,在某些实施方案中,Rwh的特征在于T-Rwh部分能够共价结合赖氨酸残基,从而不可逆抑制所述酶。
根据另一个方面,本发明提供一种共轭物,其包含XIAP或其突变体,共价结合在K297的抑制剂。在某些实施方案中,抑制剂部分经由连接基部分结合。在一些实施方案中,本发明提供式K297-连接基-抑制剂部分的共轭物。本领域普通技术人员应当认识到“连接基”对应于如本文描述的-T-Rwh。因此,在一些实施方案中,连接基为如上对于T-Rwh定义的,并描述在本文的类或亚类中。然而,应当理解,所述连接基为二价,因此,相应-T-Rwh基团也指弹头与XIAP或其突变体的K297反应得到的二价基团。
在对于XIAP的一些实施方案中,抑制剂部分为式A的化合物::
其中
V和W各自独立地为-(CR14R15)qX3(CR16R17)r-;
p、q和r各自独立地为0、1、2、3或4;
X3为-CR18R19-或-NR20-;和
R21和R22各自独立地为氢或C1-C6烷基;
R23为氢、C1-C6烷基、卤素、氨基或硝基;其中C1-C6烷基的一个或多个亚甲基可以任选地被-NR1-、-O-、-C(O)-、-S-、-SO-、-SO2-或-C(=S)-取代;C1-C6烷基的一个或多个次甲基(当存在时)可以独立地被取代;
R1为氢或C1-C8烷基;和
任选地,R21和R23结合在一起可以形成4-至8-元碳环或杂环。
因此,在一些实施方案中,本发明提供下式的共轭物∶
其中R12、R13、R21、R22、R23、V、W和p为如上对于式A定义的。
在一些实施方案中,抑制剂部分为式B的化合物:
其中
X4为-CR33-或-N-;
p和s各自独立地为0、1、2、3或4;
R12、R13、R21、R22、R24、R25、R26、R27、R28、R29、R30、R31、R32和R33各自独立地为氢或C1-C6烷基;
R23为氢、C1-C6烷基、卤素、氨基或硝基;其中C1-C6烷基的一个或多个亚甲基可以任选地被-NR1-、-O-、-C(O)-、-S-、-SO-、-SO2-或-C(=S)-取代;C1-C6烷基的一个或多个次甲基(当存在时)可以独立地被取代;
R1为氢或C1-C8烷基;和
任选地,R21和R23结合在一起可以形成4-至8-元碳环或杂环。
因此,在一些实施方案中,本发明提供下式的共轭物∶
其中X4、p、s、R12、R13、R21、R22、R24、R25、R26、R27、R28、R29、R30、R31、R32、R33和R23为如上对于式B定义的。
PDPK-1
在一些实施方案中,本发明的化合物具有弹头基,该弹头基的特征在于本发明的化合物靶向PDPK-1的K86赖氨酸残基。在一些实施方案中,本发明的化合物具有弹头基,该弹头基的特征在于本发明的化合物靶向PDPK-1的K169赖氨酸残基。在一些实施方案中,本发明的化合物具有弹头基,该弹头基的特征在于本发明的化合物靶向PDPK-1的K173赖氨酸残基。
在某些实施方案中,Rwh的特征在于-T-Rwh部分能够共价结合赖氨酸残基,由此不可逆地抑制所述酶。在一些实施方案中,所述赖氨酸残基为PDPK-1或其突变体中的K86赖氨酸残基。
根据另一个方面,本发明提供一种共轭物,其包括共价结合在K86的抑制剂的PDPK-1或其突变体。在某些实施方案中,所述抑制剂经由连接基部分共价结合。
在一些实施方案中,本发明提供式K86-连接基-抑制剂部分的共轭物。在一些实施方案中,本发明提供式K169-连接基-抑制剂部分的共轭物。在一些实施方案中,本发明提供式K173-连接基-抑制剂部分的共轭物。本领域普通技术人员应当认识到“连接基”对应于如本文描述的-T-Rwh。因此,在一些实施方案中,连接基为如上对于T-Rwh定义的,并描述在本文的类和亚类中。然而,应当理解,所述连接基为二价,因此,相应-T-Rwh基团也指弹头与PDPK-1或其突变体的K86、K169或K173反应得到二价基团。
在对于PDPK-1的一些实施方案中,抑制剂部分为式C的化合物:
其中
B6和B7各自独立地为CR7或N;
R69为氢、C1-C6烷基、卤素、氨基、硝基或-NH(CO)NR78R79;
R70为氢、C1-C6烷基、卤素、氨基、硝基;
R7、R71、R72、R73、R74、R75、R76、R77、R78和R79各自独立地为氢或C1-C6烷基;
R1为氢或C1-C8烷基;其中C1-C6烷基的一个或多个亚甲基可以被-NR1-、-O-、-C(O)-、-S-、-SO-、-SO2-或-C(=S)-取代;C1-C6烷基的一个或多个次甲基(当存在时)可以独立地被取代;
任选地,R78和R79结合在一起形成4-至8-元碳环或杂环;和
p为0至4的整数,u为1至4的整数。
因此,在一些实施方案中,本发明提供下式的共轭物∶
其中B6、B7、R69、R70、R7、R71、R72、R73、R74、R75、R76、R77、R78、R79、R1和p为如上对于式C定义的,Kxxx为K86、K169或K173。
在某些实施方案中,Kxxx为PDPK-1的K86。
在某些实施方案中,Kxxx为PDPK-1的K169。
在某些实施方案中,Kxxx为PDPK-1的K173。
在对于PDPK-1的一些实施方案中,抑制剂部分为式D的化合物:
其中Rv为H、任选取代的C1-C3支链或直链烷基、或任选取代的C1-C3支链或直链酰基。
因此,在一些实施方案中,本发明提供下式的共轭物∶
其中Rv为如上对于式D定义的。
因此,在一些实施方案中,本发明提供下式的共轭物∶
其中Rv为如上对于式D定义的。
因此,在一些实施方案中,本发明提供下式的共轭物∶
其中Rv为如上对于式D定义的。
HCV蛋白酶
在一些实施方案中,本发明的化合物具有弹头基,该弹头基的特征在于本发明的化合物靶向HCV蛋白酶的K136赖氨酸残基。
在某些实施方案中,Rwh的特征在于–T-Rwh部分能够共价结合赖氨酸残基,由此不可逆地抑制所述酶。在一些实施方案中,所述赖氨酸残基为HCV蛋白酶或其突变体的K136赖氨酸残基。
根据另一个方面,本发明提供一种共轭物,其包括共价结合在K136的抑制剂的HCV蛋白酶或其突变体。在某些实施方案中,所述抑制剂经由连接基部分共价结合。
在一些实施方案中,本发明提供式K136-连接基-抑制剂部分的共轭物。本领域普通技术人员应当认识到“连接基”对应于如本文描述的–T-Rwh。因此,在一些实施方案中,连接基为如上对于T-Rwh定义的,并描述在本文的类和亚类中。然而,应当理解所述连接基为二价,因此,相应T-Rwh基团也指弹头与HCV蛋白酶或其突变体的K136反应得到的二价基团。
在对于HCV蛋白酶的一些实施方案中,抑制剂部分为E、F或G的化合物。
其中:
R90、R94、R95、R96、R97、R98、R99、R100、R102、R104、R105、R106、R107、R108、R109、R110、R111、R112、R113和R114各自独立地为氢或C1-C6烷基;其中C1-C6烷基的一个或多个亚甲基可以任选地被-NR1-、-O-、-C(O)-、-S-、-SO-、-SO2-或-C(=S)-取代;
R103为氢、C1-C6烷基或C2-C8烯基;
R1为氢或C1-C8烷基;
每个R101独立地为氢、C1-C6烷基、C2-C8烯基、卤素、氨基、硝基、任选取代的芳基或杂芳基;n6为0至4的整数;和n8为0至2的整数。
因此,在一些实施方案中,本发明提供下式的共轭物∶
其中,R1、R90、R94、R95、R96、R97、R98、R99、R100、R101、R102、R103、R104、R105、R106、R107、R108、R109、R110、R111、R112、R113、R114、n6和n8为如上对于式E定义的。
因此,在一些实施方案中,本发明提供下式的共轭物∶
其中,R1、R90、R94、R95、R96、R97、R98、R99、R100、R101、R102、R103、R104、R105、R106、R107、R108、R109、R110、R111、R112、R113、R114、n6和n8为如上对于式F定义的。
因此,在一些实施方案中,本发明提供下式的共轭物∶
其中,R1、R90、R94、R95、R96、R97、R98、R99、R100、R101、R102、R103、R104、R105、R106、R107、R108、R109、R110、R111、R112、R113、R114、n6和n8为如上对于式G定义的。
PI3K
在一些实施方案中,本发明的化合物具有弹头基,该弹头基的特征在于本发明的化合物靶向PI3Kβ的K777赖氨酸残基。在一些实施方案中,本发明的化合物具有弹头基,该弹头基的特征在于本发明的化合物靶向PI3Kγ的K802赖氨酸残基。在一些实施方案中,本发明的化合物具有弹头基,该弹头基的特征在于本发明的化合物靶向PI3Kγ的K890赖氨酸残基。
在某些实施方案中,Rwh的特征在于T-Rwh部分能够共价结合赖氨酸残基,从而不可逆抑制所述酶。在一些实施方案中,所述赖氨酸残基为PI3Kβ或其突变体的K777赖氨酸残基。
根据另一个方面,本发明提供一种共轭物,其包括共价结合在K777的抑制剂的PI3Kβ或其突变体。在某些实施方案中,所述抑制剂经由连接基部分共价结合。
在一些实施方案中,本发明提供式K777-连接基-抑制剂部分的共轭物。在一些实施方案中,本发明提供式K802-连接基-抑制剂部分的共轭物。在一些实施方案中,本发明提供式K890-连接基-抑制剂部分的共轭物。本领域普通技术人员应当认识到“连接基”对应于如本文描述的–T-Rwh。因此,在一些实施方案中,连接基为如上对于-T-Rwh定义的,并描述在本文的类和亚类中。然而,应当理解所述连接基为二价,因此,相应-T-Rwh基团也指弹头与PI3Kβ的K777反应得到的二价基团,或弹头与PI3Kγ或其突变体的K802或K890反应得到的二价基团。
在对于PI3K的一些实施方案中,抑制剂部分为式H、J或K的化合物:
其中
n、m、p和q各自独立地为0、1、2、3;条件是n和q不同时为0,且m和q不同时为0;
A2为任选取代的选自下述的环:具有一个或两个独立地选自氮、氧或硫的杂原子的4-8元饱和的或部分不饱和的杂环,或具有至少一个氮、至少一个氧和任选地1-2独立地选自氮、氧或硫的另外的杂原子的5-10元饱和的或部分不饱和的桥连二环杂环;
B为任选取代的基团,选自:苯基、8-至10-元二环芳基环,具有1-4个独立地选自氮、氧或硫的杂原子的5-至6-元杂芳基环,或具有1-4个独立地选自氮、氧或硫的杂原子的8-至10-元二环杂芳基环;或T-Rwh;和
C2为氢或任选取代的选自下述的环:3-至7-元饱和的或部分不饱和的碳环,7-至10-元饱和的或部分不饱和的二环碳环,具有1-2个独立地选自氮、氧或硫的杂原子的4-至7-元饱和的或部分不饱和的杂环,具有1-3个独立地选自氮、氧或硫的杂原子的7-至10-元饱和的或部分不饱和的二环杂环,苯基,8-至10-元二环芳基环,具有1-3个独立地选自氮、氧或硫的杂原子的5-至6-元杂芳基环,或具有1-4个独立地选自氮、氧或硫的杂原子的8-至10-元二环杂芳基环。
因此,在一些实施方案中,本发明提供下式的共轭物∶
其中m、n、o、p和B’为如上对于式H定义的,Kxxx为PI3Kβ的K777,或PI3Kγ的K802或K890。
在某些实施方案中,Kxxx为PI3Kβ的K777。
在某些实施方案中,Kxxx为PI3Kγ的K802。
在其它实施方案中,Kxxx为PI3Kγ的K890。
因此,在一些实施方案中,本发明提供下式的共轭物∶
其中B’和A2为如上对于式J定义的,Kxxx为PI3Kβ的K777,或PI3Kγ的K802或K890。
在某些实施方案中,Kxxx为PI3Kβ的K777。
在某些实施方案中,Kxxx为PI3Kγ的K802。
在其它实施方案中,Kxxx为PI3Kγ的K890。
因此,在一些实施方案中,本发明提供下式的共轭物∶
其中A2和C2为如上对于式K定义的,Kxxx为PI3Kβ的K777,或PI3Kγ的K802或K890。
在某些实施方案中,Kxxx为PI3Kβ的K777。
在某些实施方案中,Kxxx为PI3Kγ的K802。
在其它实施方案中,Kxxx为PI3Kγ的K890。
在对于PI3K的一些实施方案中,抑制剂部分为式L或M的化合物:
其中:
R204为氢或任选取代的选自下述的基团:C1–6脂肪基、-(CH2)m-(3-至7-元饱和的或部分不饱和的碳环)、-(CH2)m-(7-至10-元饱和的或部分不饱和的双环碳环)、-(CH2)m-(具有1-2个独立地选自氮、氧或硫的杂原子的4-至7-饱和的或部分不饱和的二环杂环)、-(CH2)m-(具有1-3个独立地选自氮、氧或硫的杂原子的7-至10-饱和的或部分不饱和的二环杂环)、-(CH2)m-苯基、-(CH2)m-(8-至10-元二环芳基环)、-(CH2)m-(具有1-3个独立地选自氮、氧或硫的杂原子的5-至6-元杂芳基环)或-(CH2)m-(具有1-4个独立地选自氮、氧或硫的杂原子的8-至10-元二环杂芳基环);
R205和R206各自独立地为-R″、卤素、-NO2、-CN、-OR″、-SR″、-N(R″)2、-C(O)R″、–CO2R″、–C(O)C(O)R″、–C(O)CH2C(O)R″、–S(O)R″、–S(O)2R″、–C(O)N(R″)2、-SO2N(R″)2、–OC(O)R″、-N(R″)C(O)R″、-N(R″)N(R″)2、-N(R″)C(=NR″)N(R″)2、-C(=NR″)N(R″)2、–C=NOR″、-N(R″)C(O)N(R″)2、-N(R″)SO2N(R″)2、-N(R″)SO2R″或-OC(O)N(R″)2;
每个R″独立地为氢或任选地取代的选自下述的基团:C1–6脂肪族基,3-至7-元饱和的或部分不饱和的碳环,7-至10-元饱和的或部分不饱和的二环碳环,具有1-2独立地选自氮、氧或硫的杂原子的4-至7-元饱和的或部分不饱和的杂环,具有1-3个独立地选自氮、氧或硫的杂原子的7-至10-元饱和的或部分不饱和的二环杂环,苯基,8-至10-元二环芳基环,具有1-3个独立地选自氮、氧或硫的杂原子的5-至6-元杂芳基环,或具有1-4个独立地选自氮、氧或硫的杂原子的8-至10-元二环杂芳基环;或
同一氮上的两个R″基团与它们连接的氮结合在一起形成任选取代的具有1-4个独立地选自氮、氧或硫的杂原子的5–8元饱和的、部分不饱和的环或芳香环;
m为0至6的整数,包括端值;
每个n独立地为0、1或2;和
环A5为任选取代的具有1-2个氮的6-元杂环或杂芳基环。
因此,在一些实施方案中,本发明提供下式的共轭物∶
其中R204、R205、R206、n和A5为如上对于式L定义的,Kxxx为PI3Kβ的k777、或PI3Kγ的K802或K890。
在某些实施方案中,Kxxx为PI3Kβ的K777。
在某些实施方案中,Kxxx为PI3Kγ的K802。
在其它实施方案中,Kxxx为PI3Kγ的K890。
因此,在一些实施方案中,本发明提供下式的共轭物∶
其中R204、R205、R206、n和A5为如上对于式M定义的,Kxxx为PI3Kβ的K777、或PI3Kγ的K802或K890。
在某些实施方案中,Kxxx为PI3Kβ的K777。
在某些实施方案中,Kxxx为PI3Kγ的K802。
在其它实施方案中,Kxxx为PI3Kγ的K890。
在对于PI3K的一些实施方案中,抑制剂部分为式N的化合物::
其中:
R201为氢或C1-6烷基;
R202为氢或任选取代的选自C1-6烷基、C1-6烷氧基或(C1-6亚烷基)-R203的基团;or
R201和R202与插入的碳结合在一起形成任选取代的环,选自具有1-2个独立地选自氮、氧或硫的杂原子的3-至7-元碳环或4-至7-元杂环;
R203为3-至7-元饱和的或部分不饱和的碳环,7-至10-元饱和的或部分不饱和的二环碳环,具有1-2独立地选自氮、氧或硫的杂原子的4-至7-元饱和的或部分不饱和的杂环,具有1-3个独立地选自氮、氧或硫的杂原子的7-至10-元饱和的或部分不饱和的二环杂环,苯基,8-至10-元二环芳基环,具有1-3个独立地选自氮、氧或硫的杂原子的5-至6-元杂芳基环,或具有1-4个独立地选自氮、氧或硫的杂原子的8-至10-元二环杂芳基环;和
环A6为不存在或为任选取代的选自下述的基团:具有1-2个独立地选自氮、氧或硫的杂原子的4-至7-元杂环,或具有1-3个独立地选自氮、氧或硫的5-至6-元杂芳基环。
因此,在一些实施方案中,本发明提供下式的共轭物∶
其中R201、R202、R203和A6为如上对于式N定义的,Kxxx为PI3Kβ的K777、或PI3Kγ的K802或K890。
在某些实施方案中,Kxxx为PI3Kβ的K777。
在某些实施方案中,Kxxx为PI3Kγ的K802。
在其它实施方案中,Kxxx为PI3Kγ的K890。
在对于PI3K的一些实施方案中,抑制剂部分为式O的化合物:
其中:
R205和R206各自独立地为-R″、卤素、-NO2、-CN、-OR″、-SR″、-N(R″)2、-C(O)R″、-CO2R″、-C(O)C(O)R″、-C(O)CH2C(O)R″、-S(O)R″、-S(O)2R″、-C(O)N(R″)2、-SO2N(R″)2、-OC(O)R″、-N(R″)C(O)R″、-N(R″)N(R″)2、-N(R″)C(=NR″)N(R″)2、-C(=NR″)N(R″)2、–C=NOR″、-N(R″)C(O)N(R″)2、-N(R″)SO2N(R″)2、-N(R″)SO2R″或-OC(O)N(R″)2;
每个R″独立地为氢或任选地取代的选自下述的基团:C1–6脂肪族基、3-至7-元饱和的或部分不饱和的碳环,7-至10-元饱和的或部分不饱和的二环碳环,具有1-2独立地选自氮、氧或硫的杂原子的4-至7-元饱和的或部分不饱和的杂环,具有1-3个独立地选自氮、氧或硫的杂原子的7-至10-元饱和的或部分不饱和的二环杂环,苯基,8-至10-元二环芳基环,具有1-3个独立地选自氮、氧或硫的杂原子的5-至6-元杂芳基环,或具有1-4个独立地选自氮、氧或硫的杂原子的8-至10-元二环杂芳基环;或
任选地,同一氮上的两个R″基团与它们连接的氮结合在一起形成任选取代的具有1-4个独立地选自氮、氧或硫的杂原子的5–8元饱和的、部分不饱和的环或芳香环;
m为0至6的整数,包括端值;
每个n独立地为0、1或2;和
环A5为任选取代的具有1-2个氮的6-元杂环或杂芳基环。
因此,在一些实施方案中,本发明提供下式的共轭物∶
其中R205、R206、n和A5为如上对于式O定义的,Kxxx为PI3Kβ的K777、或PI3Kγ的K802或K890。
在某些实施方案中,Kxxx为PI3Kβ的K777。
在某些实施方案中,Kxxx为PI3Kγ的K802。
在其它实施方案中,Kxxx为PI3Kγ的K890。
在对于PI3K的一些实施方案中,抑制剂部分为式P的化合物:
因此,在一些实施方案中,本发明提供下式的共轭物∶
其中Kxxx为PI3Kβ的K777、或PI3Kγ的K802或K890。
在某些实施方案中,Kxxx为PI3Kβ的K777。
在某些实施方案中,Kxxx为PI3Kγ的K802。
在其它实施方案中,Kxxx为PI3Kγ的K890。
如本文使用的术语“抑制剂部分”指结合在蛋白活性位点的支架基团。这样的支架基团为本领域熟知的,包括在例如但不限于式VII、VIII、IX-a、IX-b、XI、XII、XVI、XVII、XVIII、XIX、XX、XXI、XXII、XXIII、XXXIV、XXV、XXVI、XXVII、XXVIII、XXIX、XXXVI和XXXVII中描述的那些。
本领域普通技术人员应当认识到本文描述的一些化合物为可逆抑制剂。在一些实施方案中,这样的化合物用作测定比较化合物。在某些实施方案中,这样的可逆化合物用作本文公开的蛋白或其突变体的抑制剂,因而用于治疗一种或多种如本文描述的病症。在某些实施方案中,提供的化合物为提供不可逆抑制剂的可逆对应物。
A 药效基团的截短
在某些实施方案中,当将药效基团截短时,保留了非共价结合至靶蛋白所需药效基团的基本单元。无论是否保留用于结合的药效基团的基本单元,都已经证实支架赋予的非共价亲和力足够进一步赋予配体的选择性结合以及共价结合。
1.药效基团为GDC-0941
如在本发明中描述的,来源于药效基团截短的支架的非限制性实例为在下式XXX、XXXI、XXXII、XXXIII、XXXIV和XXXV中描述的。
在式XXX、XXXI和XXXII中,所述支架是基于将药效基团GDC-0941截短:
其中箭头指可能的截短位点。
GDC-0941的截短形式的一个非限制性实例为式XXX描述的:
其中
R200位于截短位点,并且为-连接体-Rwh,其中连接体和Rwh为对于式I定义的;和
环B为任选取代的基团,选自:苯基、8-至10-元二环芳基环,具有1-4个独立地选自氮、氧或硫的杂原子的5-至6-元杂芳基环,或具有1-4个独立地选自氮、氧或硫的杂原子的8-至10-元二环杂芳基环;.
上式XXX的支架的非限制性实例列举如下::
如在本文中描述的已经截短的支架的另一个非限制性实例为如下列举的式XXXI:
其中
R200位于截短位点,并且为-连接体-Rwh,其中连接体和Rwh为如对于式I定义的;和
环B为任选取代的基团,选自:苯基、8-至10-元二环芳基环,具有1-4个独立地选自氮、氧或硫的杂原子的5-至6-元杂芳基环,或具有1-4个独立地选自氮、氧或硫的杂原子的8-至10-元二环杂芳基环。
上式XXXI的支架的非限制性实例列举如下:
如在本文中描述的已经截短的支架的另一个非限制性实例为如下列举的式XXXII:
其中
R200位于截短位点,并且为-连接体-Rwh,其中连接体和Rwh为如上在式I的实施方案中定义的;
T2为共价键或二价直链或支链、饱和的或不饱和的C1-6烃链,其中T2的一个或多个亚甲基单元任选地被-O-、-S、-N(R1)-、-C(O)-、-OC(O)-、-C(O)O-、-C(O)N(R1)-、-N(R1)C(O)-、-N(R1)C(O)N(R1)-、-SO2-、-SO2N(R1)-、-N(R1)SO2-或-N(R1)SO2N(R1)-取代;
C2为氢或任选取代的选自下述的环:3-至7-元饱和的或部分不饱和的碳环,7-至10-元饱和的或部分不饱和的二环碳环,具有1-2个独立地选自氮、氧或硫的杂原子的4-至7-元饱和的或部分不饱和的杂环,具有1-3个独立地选自氮、氧或硫的杂原子的7-至10-元饱和的或部分不饱和的二环杂环,苯基,8-至10-元二环芳基环,具有1-3个独立地选自氮、氧或硫的杂原子的5-至6-元杂芳基环,或具有1-4个独立地选自氮、氧或硫的杂原子的8-至10-元二环杂芳基环;和
B为任选取代的基团,选自:苯基、8-至10-元二环芳基环,具有1-4个独立地选自氮、氧或硫的杂原子的5-至6-元杂芳基环,或具有1-4个独立地选自氮、氧或硫的杂原子的8-至10-元二环杂芳基环;
上式XXXII的支架的非限制性实例包括:
2.通过二氢咪唑并喹唑啉的截短得到的式XXXIII的支架:
在另一个实施方案中,式XXXIII描述的支架是基于截短药效基团二氢咪唑并喹唑啉:
其中箭头指可能的截短位点。
如在本文中描述的已经截短的支架的另一个非限制性实例为如下列举的式XXXIII:
其中
R200位于截短位点,并且为-连接体-Rwh,其中连接体和Rwh为如之前定义的;
X10为氢、烷氧基、杂环烷基、杂环烷烷氧基;
X11为任选取代的基团,选自:苯基、8-至10-元二环芳基环,具有1-4个独立地选自氮、氧或硫的杂原子的5-至6-元杂芳基环,或具有1-4个独立地选自氮、氧或硫的杂原子的8-至10-元二环杂芳基环;。
3通过SM-337和SM-122的截短得到的式XXXIV和式XXXV的 IAP支架
在另一个实施方案中,式XXXIV和式XXXV描述的支架是基于截短药效基团SM-337和SM-122:
其中箭头指可能的截短位点;和
R**为苯乙酰胺。
SM-337的截短形式的化合物由式XXXIV描述∶
其中R**为苯乙酰胺,箭头表示T-Rwh的连接位点,其中两者都为如本文描述的。
SM-122的截短形式的化合物由式XXXV描述∶
其中,箭头表示-T-Rwh的连接位点;其中T为连接体;和Rwh为弹头,和其中两者都为如本文定义的。
B使用方法
I.IAP
细胞凋亡蛋白的X-连接抑制剂(XIAP)是细胞凋亡蛋白家族抑制剂(IAP)的一个成员。其它IAP家族成员包括cIAP1、cIAP2和ML-IAP。IAP最初是在杆状病毒中鉴定的,但是XIAP是在哺乳动物中发现的同源蛋白之一。因为其首先是由X染色体上的273碱基对发现的,才得此称谓。
XIAP的脱调节(deregulation)可导致癌症、神经变性病症和自身免疫。高比例的XIAP可起肿瘤标记物的作用。在肺癌NCI-H460的发展中,XIAP的过表达不仅抑制半胱天冬酶,而且终止细胞色素C的细胞凋亡活性(细胞凋亡)。在显影前列腺癌中,XIAP是前列腺上皮细胞中过表达的四种IAP之一,表明抑制所有IAP的分子可能是有效治疗所必需的。
在与XIAP脱调节相关的疾病和病症中,包括但不限于急性髓性白血病(AML)、艾迪生氏病、肾上腺脑白质营养不良(ALD)、酒精中毒、亚历山大氏病、严重脱发(alopecia greata)、阿尔珀斯病、阿尔茨海默病、肌萎缩性侧索硬化症(Lou Gehrig's Disease)、脉管炎、强直性脊柱炎、抗磷脂综合征、运动失调性毛细血管扩张症、孤独症、自身免疫性溶血性贫血、自身免疫性肝炎、巴藤病(也称为Spielmeyer-Vogt--Batten病)、白塞氏综合征、Berger's disease、牛海绵样脑病(BSE)、大疱性类天疱疮、卡纳万病、心肌病、查加斯病、慢性疲劳综合征(CFS,CFIDS)、慢性炎症性多神经病、慢性阻塞性肺病、Churg-Strauss综合征、科凯恩综合征、腹部疾病、皮质基底节变性、CREST综合征、克罗伊茨费尔特-雅各布病、克隆病(特应性炎症性肠病或IBD的两种类型之一)、皮肌炎、1型糖尿病、子宫内膜异位、家族性致命性失眠、纤维肌痛、巨细胞性动脉炎、额颞叶退化、古德帕斯彻氏综合征、格雷夫斯病、Guillain-Barré综合征(GBS)、桥本氏甲状腺炎、化脓性汗腺炎、HIV相关性痴呆、亨廷顿氏疾病、特发性肺纤维化特发性血小板减少性紫癜(ITP)、特发性血小板减少性紫癜、IgA肾病、间质性膀胱炎、川崎病、Kennedy's disease、克拉伯病、乳酸性酸中毒和中风(MELAS)、路易体痴呆、扁平苔癣、肺癌、红斑狼疮、马-约病(3型脊髓小脑性共济失调)、恶性淋巴瘤、恶性神经胶质瘤、梅尼尔氏病、线粒体脑病、混合结缔组织病、硬斑病、多系统萎缩症、多发性硬化症、重症肌无力、发作性睡眠、神经莱姆病(neuroborreliosis)、神经性肌强直、尼曼-匹克氏病、帕金森症、佩-梅病、寻常天疱疮性恶性贫血、皮克氏病、多发性结节性动脉炎、风湿性多肌痛、多发性肌炎、原发性胆汁性肝硬变、原发性脊髓侧索硬化、朊病毒疾病、银屑病、银屑病关节炎、雷诺氏病、雷夫叙姆病、瑞特氏综合征、莱特尔综合征、复发性多软骨炎、进行性核上性麻痹、风湿热、类风湿性关节炎(RA)、桑德霍夫病、结节病、希尔德病、精神分裂症、硬皮病、综合征、施-伏-斯-巴廷病(Spielmeyer-Vogt-Sjogren-Battendisease)、脊髓性肌萎缩、脊髓小脑性共济失调(具有可变特征的多种类型)、史提尔-里查德森-奥尔泽斯基病(Steele-Richardson-Olszewski disease)、僵人综合征(stiff person syndrome)、恶性贫血继发的脊髓亚急性联合变性、脊髓痨、颞动脉炎(也称为巨细胞性动脉炎)、中毒性脑病和X-连接淋巴组织增生疾病(XLP)、溃疡性结肠炎(特发性炎症性肠病或IBD的两种类型之一)、葡萄膜炎、血管炎、白癫风和韦氏肉芽肿病。
在某些实施方案中,本发明提供用于治疗或预防增殖性病症或自身免疫疾病的组合物。所述组合物适于体内使用(internal use),其包括有效量的IAP抑制剂和生理学可接受的载体或赋形剂,用于治疗或预防癌症、神经变性病症和自身免疫。
XIAP抑制剂可以以治疗或预防或降低受试者中增殖性病症的严重程度的有效量给药。增殖性病症包括,但不限于实体瘤癌症,比如恶性淋巴瘤、恶性神经胶质瘤、X连接淋巴组织增生性疾病(XLP)、急性髓性白血病AML)、纤维肉瘤、粘液肉瘤、脂肪肉瘤、软骨肉瘤、骨肉瘤、脊索瘤、血管肉瘤、内皮肉瘤、淋巴管肉瘤、淋巴管内皮肉瘤、滑膜瘤、间皮瘤、尤因氏肉瘤、平滑肌肉瘤、横纹肌肉瘤、脑癌、结肠癌、结肠直肠癌、肾癌、肝癌、胰腺癌、骨癌、乳腺癌、卵巢癌、前列腺癌、食管癌、胃癌、口腔癌、鼻腔癌、咽喉癌、头和颈癌、鳞状细胞癌、基底细胞癌、腺癌、汗腺癌、皮脂腺癌、乳头状癌、乳头状腺癌、囊腺癌、髓样癌、支气管癌、肾细胞癌、肝细胞瘤、胆管癌、绒毛膜癌、精原细胞瘤、胚胎性癌、维耳姆斯肿瘤、子宫颈癌、子宫癌、睾丸癌、小细胞肺癌、膀胱癌、肺癌、中枢神经系统癌、上皮癌、皮肤癌、黑素瘤、成神经细胞瘤和成视网膜细胞瘤。
在某些实施方案中,本发明提供用于治疗或预防自身免疫疾病的IAP抑制剂。自身免疫疾病包括,但不限于自身免疫血液病症(例如溶血性贫血、再生障碍性贫血、纯红细胞性贫血和特发性血小板减少症)、系统性红斑狼疮、类风湿性关节炎、多软骨炎、硬化病、韦格纳肉芽肿、皮肌炎、慢性活动性肝炎、重症肌无力、斯-约综合征、特发性口炎性腹泻、急性胰炎、自身免疫性炎症性肠病(例如溃疡性结肠炎和克隆病)、内分泌眼病变(endocrine opthalmopathy)、格雷夫斯病、结节病、肺泡炎、慢性过敏性肺炎、多发性硬化、原发性胆汁性肝硬变、葡萄膜炎(前葡萄膜炎和后葡萄膜炎)、干燥性角膜结膜炎和春季角膜结膜炎、肺间质纤维化、银屑病关节炎和肾小球肾炎(有和没有肾病综合征,例如包括特发性肾病综合征或微小变化性肾病)。
XIAP抑制剂可以以治疗或预防受试者中自身免疫疾病的有效量给药。根据本发明的方法可以治疗的神经变性疾病包括,但不限于阿尔茨海默病、帕金森症、肌萎缩性侧索硬化症、亨廷顿氏疾病和脑缺血、及外伤性损伤引起的神经变性疾病、谷氨酸神经毒性和缺氧。
cIAP抑制剂可以以治疗或预防或降低受试者中增殖性病症的有效量给药。增殖性病症包括,但不限于粘膜相关性淋巴组织淋巴瘤(MALT淋巴瘤),其为非霍杰金淋巴瘤、乳腺癌、前列腺癌、胰腺癌、肺癌、卵巢癌、结肠癌、恶性神经胶质瘤和急性髓性白血病(AML)。
II.PI3Kβ/γ
磷脂酰肌醇3-激酶(“PI3Kβ/γ”)通路是一种中枢性信号通路,其对许多细胞功能发挥作用,包括细胞周期进展、增殖、运动性、代谢和存活(Marone,等人,Biochim.Biophys.Acta(2008)1784:159-185)。在IA类PI3Ks的情况下受体酪氨酸激酶的活化,或在IB类PI3Kγ的情况下G蛋白,都会导致磷脂酰肌醇-(4,5)-二磷酸的磷酸化,产生膜-结合的磷脂酰肌醇(3,4,5)-三磷酸盐。后者通过将磷脂酰肌醇-(3,4,5)-三磷酸盐结合到激酶的普列克底物蛋白(pleckstrin)-同源(PH)结构域,而促进多种蛋白激酶从细胞质转运到质膜。
作为PI3K的下游靶的激酶包括磷脂酰基肌醇磷脂-依赖性激酶1(PI3K)和Akt(也称为蛋白激酶B或PKB)。然后,这类激酶磷酸化使活化或去活化许多其它途径,包括介质比如GSK3、mTOR、PRAS40、FKHD、NF-κB、BAD、半胱天冬酶-9等。这些途径参与许多细胞代谢过程,比如细胞周期进展、细胞存活和细胞凋亡、细胞生长、转录、翻译、代谢、脱粒和细胞运动性。
对于PI3K途径的一个重要的负反馈机制是PTEN,一种催化磷脂酰肌醇-(3,4,5)-三磷酸盐脱磷酸成磷脂酰肌醇-(4,5)-二磷酸的磷酸酶。在超过60%的全部实体瘤中,PTEN突变成非活性形式,允许PI3K途径的组成性活化。由于许多癌症为实体瘤,这样的观察结果提供了靶向PI3K本身或PI3K通路中的独立下游激酶的证据,提供了一种缓解或者甚至消除许多癌症失调节(disregulation)从而恢复正常细胞功能和行为的有前途的方法。
通过调节PI3K的功能可治疗的疾病和病症包括,但不限于患者中的癌症、神经纤维瘤、眼部血管生成、中风、糖尿病、肝肥大、心血管疾病、阿尔茨海默病、囊性纤维化病、病毒病、自身免疫疾病、动脉粥样硬化、再狭窄、银屑病、变应性病症、炎症、神经障碍、血管生成性病症、激素相关疾病、与器官移植相关的疾病、免疫缺陷病症、恶性骨骼病症、增殖性病症、传染病、与细胞死亡相关的病症、凝血酶-诱导的血小板凝集、慢性粒性白血病(CML)、肝疾病、涉及T细胞活化的病理性免疫病症和患者中的CNS病症。这样的增殖性疾病/病症包括,但不限于实体瘤癌症比如纤维肉瘤、粘液肉瘤、脂肪肉瘤、软骨肉瘤、骨肉瘤、脊索瘤、血管肉瘤、内皮肉瘤、淋巴管肉瘤、淋巴管内皮肉瘤、滑膜瘤、间皮瘤、尤因氏肉瘤、平滑肌肉瘤、横纹肌肉瘤、脑癌、结肠癌、结肠直肠癌、肾癌、肝癌、胰腺癌、骨癌、乳腺癌、卵巢癌、前列腺癌、食管癌、胃癌、口腔癌、鼻腔癌、咽喉癌、头和颈癌、鳞状细胞癌、基底细胞癌、腺癌、汗腺癌、皮脂腺癌、乳头状癌、乳头状腺癌、囊腺癌、髓样癌、支气管癌、肾细胞癌、肝细胞瘤、胆管癌、绒毛膜癌、精原细胞瘤、胚胎性癌、维耳姆斯肿瘤、子宫颈癌、子宫癌、睾丸癌、小细胞肺癌、膀胱癌、肺癌、中枢神经系统癌、上皮癌、皮肤癌、黑素瘤、成神经细胞瘤和成视网膜细胞瘤。
PI3K抑制剂可以以治疗或预防或降低受试者中增殖性病症的严重程度的有效量给药。更具体而言,本发明的化合物用于治疗选自下述的增殖性疾病:良性或恶性肿瘤、脑癌、肾癌、肝癌、胆管癌、肾上腺癌、膀胱癌、乳腺癌、食道癌、胃癌、胃肿瘤、卵巢癌、结肠癌、直肠癌、前列腺癌、胰腺癌、肺癌(包括小细胞肺癌、非小细胞肺癌和支气管癌(bronchioalveolar cancer))、胃癌、阴道癌、子宫内膜癌、子宫癌、子宫颈癌和外阴癌、睾丸癌、泌尿生殖道癌、喉癌、皮肤癌、骨癌或甲状腺癌、肉瘤、成胶质细胞瘤、成神经细胞瘤、多发性骨髓瘤和淋巴瘤、胃肠癌(特别是结肠癌或结肠直肠腺瘤)、颈和头的肿瘤、中枢神经系统癌症、表皮过度增殖、银屑病、前列腺增生、瘤形成、上皮特征性瘤形成、腺瘤、腺癌、角化棘皮瘤、鳞状细胞癌、大细胞癌、非小细胞肺癌、淋巴瘤、霍奇金癌、乳腺癌、滤泡性癌、未分化癌、乳头状癌、精原细胞瘤、黑素瘤或白血病(包括ALL和CML)。其它疾病包括Cowden综合征、Lhermitte-Dudos疾病和Bannayan-Zonana综合征、或其中PI3K/PKB通路被异常活化的疾病。
PI3K抑制剂可以以治疗或预防或降低受试者中神经变性疾病/病症的严重程度的有效量给药。根据本发明的方法可以治疗的神经变性疾病包括,但不限于阿尔茨海默病、帕金森症、肌萎缩性侧索硬化症、亨廷顿氏疾病和脑缺血、及外伤性损伤引起的神经变性疾病、谷氨酸神经毒性和缺氧。
PI3K抑制剂可以以治疗或预防受试者中自身免疫疾病的有效量给药。自身免疫疾病包括,但不限于自身免疫血液病症(例如溶血性贫血、再生障碍性贫血、纯红细胞性贫血和特发性血小板减少症)、系统性红斑狼疮、类风湿性关节炎、多软骨炎、硬化病、韦格纳肉芽肿、皮肌炎、慢性活动性肝炎、重症肌无力、斯-约综合征、特发性口炎性腹泻、急性胰炎、自身免疫性炎症性肠病(例如溃疡性结肠炎和克隆病)、内分泌眼病变(endocrineopthalmopathy)、格雷夫斯病、结节病、肺泡炎、慢性过敏性肺炎、多发性硬化、原发性胆汁性肝硬变、葡萄膜炎(前葡萄膜炎和后葡萄膜炎)、干燥性角膜结膜炎和春季角膜结膜炎、肺间质纤维化、银屑病关节炎和肾小球肾炎(有和没有肾病综合征,例如包括特发性肾病综合征或微小变化性肾病)。
在一些实施方案中,本发明提供一种使用所公开的化合物预防、治疗或降低I型神经纤维瘤(NF1)、II型神经纤维瘤(NF2)、施旺细胞瘤(例如MPNST's)或神经鞘瘤的方法。
而且,本文公开的化合物用于预防、治疗或降低炎症或与PI3K相关的梗阻性气道疾病的严重程度。本发明适用的炎症或梗阻性气道疾病包括任何类型或来源的哮喘,包括内源性哮喘(非过敏性哮喘)和外源性哮喘(过敏性哮喘)、轻度哮喘、中度哮喘、重度哮喘、支气管炎哮喘、运动诱发的哮喘、职业性哮喘和细菌感染后诱发的哮喘。哮喘的治疗也应当理解为涵盖治疗小于4或5岁、表现出喘气症状且诊断或可诊断为“喘鸣婴儿”的受试者,"喘鸣婴儿"是主要的医学相关且目前通常鉴定为初期或早期哮喘的已证实患者类型。
在治疗哮喘中的预防性功效将通过有症状的发作(例如急性哮喘发作或支气管收缩发作)的频率或严重程度降低、改善肺功能或改善气道高反应性来证实。其可以进一步通过当其出现时降低对于其它针对症状的治疗,比如用于或预期限制或中止针对症状的发作治疗剂例如抗炎药或支气管扩张药的需求来证实。在有“晨降(morning dipping)”倾向的受试者中,在哮喘中的预防性益处可能特别明显。“晨降”是一种公认的哮喘综合征,通常在哮喘中占很大百分数,特征是例如在早晨约4至6点之间哮喘发作,即在通常距离之前针对症状给药哮喘治疗较远的时间发作。
在仍然另一个实施方案中,本发明的化合物可用于预防、治疗或降低其它炎症或梗阻性气道疾病和与PI3K相关的病症的严重程度,所述与PI3K相关的病症包括,但不限于急性肺损伤(ALI)、成人/急性呼吸窘迫综合征(ARDS)、慢性梗阻性肺部疾病、气道疾病或肺病(COPD、COAD或COLD)、包括慢性支气管炎或与其相关的呼吸困难、肺气肿、以及其它要雾治疗(特别是其它吸入药物治疗)继发的气道高反应性的病情恶化。本发明还可用于治疗任何类型或来源的支气管炎,急性支气管炎、花生仁吸入性支气管炎、卡他性支气管炎、croupus、慢性或痨病样支气管炎。本发明可适用的其它炎症或梗阻性气道疾病包括任何类型或来源的肺尘症(炎症、普通职业病、肺病,经常伴有气道阻塞(无论是慢性的或急性的)和重复吸入粉尘引起的),包括例如铝尘肺、炭肺、石棉肺、石末肺、驼鸟毛尘肺、铁尘肺、矽肺、烟草中毒和棉尘肺。
对于其抗炎活性,特别是对于抑制嗜曙红细胞活化,本文公开的方法可用于治疗与PI3K有关的嗜曙红细胞相关病症,例如eosinsophilia,特别是气道的嗜曙红细胞相关病症(例如涉及肺部组织的疾病引起的嗜曙红细胞浸润),包括影响气道和/或肺的嗜曙红细胞增多症,以及例如作为单纯性肺嗜酸细胞浸润症(Loffler's syndrome)的结果或伴随的气道嗜曙红细胞-相关病症、嗜曙红细胞性肺炎、寄生虫病(特别是后生动物的)感染(包括热带嗜曙红细胞增多症)、支气管肺曲霉病、多发性结节性动脉炎(包括丘-施二氏综合)、嗜曙红细胞肉芽肿和药物反应引起的影响气道的嗜曙红细胞相关病症。
由于PI3K参与炎症和变态反应,本文公开的方法也可用于预防、治疗或降低银屑病、接触性皮炎、特应性皮炎、斑秃、多形红斑、疱疹样皮炎、硬皮病、白癫风、变应性血管炎、荨麻疹、大疱性类天疱疮、系统性红斑狼疮、pemphisus、后天性大疱性表皮松解、及其它皮肤的炎症或过敏病症的严重程度。
而且,也可以通过本文公开的方法预防、治疗或用于降低具有由于PI3K异常引起的炎症组分的疾病或病症的严重程度。这些疾病和病症包括,但不限于眼睛的疾病或病症(比如结膜炎、干燥性角膜结膜炎和春季结膜炎),影响鼻的疾病(包括变应性鼻炎),和其中自身免疫反应参与或具有自身免疫组分或病因学的炎性疾病(包括自身免疫血液病症(例如溶血性贫血、再生障碍性贫血、纯红细胞贫血和特发性血小板减少症)、系统性红斑狼疮)、类风湿性关节炎、多软骨炎、硬化病、韦格纳肉芽肿、皮肌炎、慢性活动性肝炎、重症肌无力、斯-约综合征、特发性口炎性腹泻、急性胰炎、自身免疫性炎症性肠病(例如溃疡性结肠炎和克隆病)、内分泌眼病变(endocrineopthalmopathy)、格雷夫斯病、结节病、肺泡炎、慢性过敏性肺炎、多发性硬化、原发性胆汁性肝硬变、葡萄膜炎(前葡萄膜炎和后葡萄膜炎)、干燥性角膜结膜炎和春季角膜结膜炎、肺间质纤维化、银屑病关节炎和肾小球肾炎(有和没有肾病综合征,例如包括特发性肾病综合征或微小变化性肾病)。
根据本发明的方法可以预防、治疗或用于降低严重程度的心血管疾病包括,但不限于再狭窄、心肥大、动脉粥样硬化、心肌梗死、缺血性发作和充血性心力衰竭。
在一个实施方案中,本发明提供用于治疗或预防患者中下述疾病的组合物:癌症、神经纤维瘤、眼部血管生成、中风、糖尿病、肝肥大、心血管疾病、阿尔茨海默病、囊性纤维化病、病毒病、自身免疫疾病、动脉粥样硬化、再狭窄、银屑病、变应性病症、炎症、神经障碍、血管生成性病症、激素相关疾病、与器官移植相关的疾病、免疫缺陷病症、恶性骨病、增殖性病症、传染病、与细胞死亡相关的病症、凝血酶诱导的血小板凝集、慢性粒性白血病(CML)、肝病、涉及T细胞活化的病理性免疫病症和CNS病症。
因为PI3K是促血管生成的(Graupera等人Nature(2008)453(7195):662-6),本发明的方法对于抑制血管生成可能是有利的,例如治疗与眼部血管生成相关的眼病,比如通过向受试者局部给药化合物。根据本发明的化合物可以配制用于局部给药。例如,所述不可逆抑制剂可以配制用于局部递送至肺(例如,呈气雾剂,比如干粉末或液体制剂)以治疗哮喘,呈乳膏剂、软膏剂、洗剂等用于局部给药至皮肤以治疗银屑病,或者呈眼部制剂用于局部给药至眼睛以治疗眼部疾病。这样的制剂应包括目标抑制剂和可药用载体。也可以存在另外的组分,比如防腐剂和增加制剂粘度的试剂比如天然聚合物或合成聚合物。眼部制剂可以为任何合适的形式,比如液体、软膏剂、水凝胶或粉剂。本发明的化合物可以与另外的治疗剂一起给药,所述另外的治疗剂比如抗-VEGF剂,例如ranibizumab(结合VEGFA的抗体的Fab片段)或如下描述的另外的抗血管生成化合物。
III.PDPK1
3-磷酸肌醇-依赖性激酶1(PDPK1)磷酸化AGC激酶超家族的许多蛋白丝氨酸/苏氨酸激酶的活化环,所述AGC激酶超家族包括蛋白激酶B(PKB;也称为Akt)、血清和糖皮质激素-诱导激酶、蛋白激酶C同工型和p70核醣体S6激酶。磷酸肌醇3-激酶/3-磷酸肌醇-依赖性激酶1(PDPK1)/Akt信号通路起在癌细胞生长、存活和肿瘤血管生成中起关键作用,代表了抗癌药物的一个有前途的靶点。
可以通过向需要其的受试者给药有效量的PDPK1抑制剂来预防、治疗或降低增殖性病症的严重程度。可以通过给药有效量的PDPK1抑制剂预防、治疗或降低其严重程度的增殖性病症包括,但不限于癌症、子宫纤维瘤、良性前列腺肥大、家族性腺瘤病息肉病、神经纤维瘤病、动脉粥样硬化、肺纤维化、关节炎、银屑病、肾小球肾炎、血管成形术或血管手术后再狭窄、肥厚性瘢痕形成、炎症性肠病、移植排斥、内毒素性休克、真菌感染、缺陷性细胞凋亡相关病症、或取决于PDPK1活性的增殖性疾病。
因为PDPK1为PI3K的下游靶点,PI3K调节的疾病和病症也涉及PDPK1功能异常。因此,通过调节PDPK1活性的功能可治疗的疾病包括,但不限于患者中的癌症、神经纤维瘤、眼部血管生成、中风、糖尿病、肝肥大、心血管疾病、阿尔茨海默病、囊性纤维化病、病毒病、自身免疫疾病、动脉粥样硬化、再狭窄、银屑病、变应性病症、炎症、神经障碍、血管生成性病症、激素相关疾病、与器官移植相关的疾病、免疫缺陷病症、恶性骨病、增殖性病症、传染病、与细胞死亡相关的病症、凝血酶诱导的血小板凝集、慢性粒性白血病(CML)、肝病、涉及T细胞活化的病理性免疫病症和CNS病症。这样的增殖性疾病/病症包括,但不限于实体瘤癌症,比如纤维肉瘤、粘液肉瘤、脂肪肉瘤、软骨肉瘤、骨肉瘤、脊索瘤、血管肉瘤、内皮肉瘤、淋巴管肉瘤、淋巴管内皮肉瘤、滑膜瘤、间皮瘤、尤因氏肉瘤、平滑肌肉瘤、横纹肌肉瘤、脑癌、结肠癌、结肠直肠癌、肾癌、肝癌、胰腺癌、骨癌、乳腺癌、卵巢癌、前列腺癌、食管癌、胃癌、口腔癌、鼻腔癌、咽喉癌、头和颈癌、鳞状细胞癌、基底细胞癌、腺癌、汗腺癌、皮脂腺癌、乳头状癌、乳头状腺癌、囊腺癌、髓样癌、支气管癌、肾细胞癌、肝细胞瘤、胆管癌、绒毛膜癌、精原细胞瘤、胚胎性癌、维耳姆斯瘤、子宫颈癌、子宫癌、睾丸癌、小细胞肺癌、膀胱癌、肺癌、中枢神经系统癌症、上皮癌、皮肤癌、黑素瘤、成神经细胞瘤和成视网膜细胞瘤。
PDPK1抑制剂可以以治疗或预防或降低受试者中增殖性病症的严重程度的有效量给药。更具体而言,本发明的化合物用于治疗选自下述的增殖性疾病:良性或恶性肿瘤、脑癌、肾癌、肝癌、胆管癌、肾上腺癌、膀胱癌、乳腺癌、食道癌、胃癌、胃肿瘤、卵巢癌、结肠癌、直肠癌、前列腺癌、胰腺癌、肺癌(包括小细胞肺癌、非小细胞肺癌和支气管癌(bronchioalveolar cancer))、胃癌、阴道癌、子宫内膜癌、子宫癌、子宫颈癌和外阴癌、睾丸癌、泌尿生殖道癌、喉癌、皮肤癌、骨癌或甲状腺癌、肉瘤、成胶质细胞瘤、成神经细胞瘤、多发性骨髓瘤和淋巴瘤、胃肠癌(特别是结肠癌或结肠直肠腺瘤)、颈和头的肿瘤、中枢神经系统癌症、表皮过度增殖、银屑病、前列腺增生、瘤形成、上皮特征性瘤形成、腺瘤、腺癌、角化棘皮瘤、鳞状细胞癌、大细胞癌、非小细胞肺癌、淋巴瘤、霍奇金癌、乳腺癌、滤泡性癌、未分化癌、乳头状癌、精原细胞瘤、黑素瘤或白血病(包括ALL和CML)。其它疾病包括Cowden综合征、Lhermitte-Dudos疾病和Bannayan-Zonana综合征、或其中PI3K/PKB通路被异常活化的疾病。
PDPK1抑制剂可以以治疗或预防或降低受试者中神经变性疾病/病症的严重程度的有效量给药。根据本发明的方法可以治疗的神经变性疾病包括,但不限于阿尔茨海默病、帕金森症、肌萎缩性侧索硬化症、亨廷顿氏疾病和脑缺血、及外伤性损伤引起的神经变性疾病、谷氨酸神经毒性和缺氧。
PDPK1抑制剂可以以治疗或预防受试者中自身免疫疾病的有效量给药。自身免疫疾病包括,但不限于自身免疫血液病症(例如溶血性贫血、再生障碍性贫血、纯红细胞性贫血和特发性血小板减少症)、系统性红斑狼疮、类风湿性关节炎、多软骨炎、硬化病、韦格纳肉芽肿、皮肌炎、慢性活动性肝炎、重症肌无力、斯-约综合征、特发性口炎性腹泻、急性胰炎、自身免疫性炎症性肠病(例如溃疡性结肠炎和克隆病)、内分泌眼病变(endocrine opthalmopathy)、格雷夫斯病、结节病、肺泡炎、慢性过敏性肺炎、多发性硬化、原发性胆汁性肝硬变、葡萄膜炎(前葡萄膜炎和后葡萄膜炎)、干燥性角膜结膜炎和春季角膜结膜炎、肺间质纤维化、银屑病关节炎和肾小球肾炎(有和没有肾病综合征,例如包括特发性肾病综合征或微小变化性肾病)。
涉及PDPK1表达异常的血液产生的癌症(Blood-borne cancers)包括,但不限于急性淋巴母细胞性白血病、急性成淋巴细胞B细胞白血病、急性成淋巴细胞T细胞白血病、急性髓母细胞性白血病、急性早幼粒细胞性白血病、急性单核母细胞性白血病、急性红白血病(acute erythroleukemicleukemia)、急性成巨核细胞白血病(acute megakaryoblastic leukemia)、急性髓单核细胞白血病、急性非淋巴细胞白血病、急性未分化性白血病、慢性粒细胞性白血病(“CML”)、慢性淋巴细胞性白血病(“CLL”)、多毛细胞白血病和骨髓瘤。
其中PDPK1表达异常的CNS和脑癌包括,但不限于神经胶质瘤、纤维性星形细胞瘤、星形细胞瘤、退行性星形细胞瘤、多形性成胶质细胞瘤、髓母细胞瘤、颅咽管瘤、室管膜瘤、松果体瘤、成血管细胞瘤、听神经瘤、少突神经胶质瘤、脑膜瘤、前庭神经鞘瘤、腺瘤、转移性脑肿瘤和脑膜瘤。
Virally-介导的癌症也涉及PDPK1的过表达。这样的病毒包括人乳头状瘤病毒,其可导致子宫颈癌(参见,例如Hernandez-Avila等人,Archivesof Medical Research(1997)28:265-271);EB病毒(EBV),其可导致淋巴瘤(参见,例如Herrmann等人,J Pathol(2003)199(2):140-5);乙型肝炎或丙型肝炎病毒,其可导致肝癌瘤(参见,例如El-Serag,J Clin Gastroenterol(2002)35(5Suppl 2):S72-8);人T细胞白血病病毒(HTLV)-I,其可导致T细胞白血病(参见,例如Mortreux等人,Leukemia(2003)17(1):26-38);人疱疹病毒-8感染,其可导致卡波济氏肉瘤(参见,例如Kadow等人,Curr Opin InvestigDrugs(2002)3(11):1574-9);和人免疫缺陷病毒(HIV)感染,其可导致由免疫缺陷引起的癌症(参见,例如Dal Maso等人,Lancet Oncol(2003)4(2):110-9)。
本发明提供治疗或预防这些前述癌症、病症和疾病的方法,其包括向需要这样的治疗或预防的受试者给药有效量的PDPK1抑制剂。
IV.HCV
HCV为一种其基因组编码约3000的氨基酸的多聚蛋白的正链RNA病毒。该前体蛋白被处理成至少10种病毒结构性和非结构性蛋白∶C、E1、E2、p7、NS2、NS3、NS4A、NS4B、NS5A和NS5B (Blight,K.J.,等人,Antiviral Ther.3,Suppl.3:71-81,1998)。HCV非结构(NS)蛋白是由蛋白酶剪切多聚蛋白衍生的,推测其提供病毒复制的主要催化工具。
NS3是一种约68Kda的蛋白,在其C-末端同时具有N-末端丝氨酸蛋白酶结构域和RNA-依赖性ATP酶结构域。已经表明NS4A蛋白充当NS3的丝氨酸蛋白酶活性的辅因子。NS3起蛋白水解酶的作用,该蛋白水解酶切割位点释放HCV复制所必需的其它非结构蛋白,NS3是一种抗病毒化疗的已证实的治疗靶点。
对于HCV没有可用的疫苗,已知的干扰素治疗疗法仅仅在15-20%的患者中有效(Weiland,O.,FEMS Microbiol.Rev.14:279-88,1994),,且具有显著副作用(Walker,M.A.,等人,DDT 4:518-29,1999;Moradpour,D.,等人,Eur.J.Gastroenterol.Hepatol.11:1199-1202,1999)。虽然目前的护理标准,PEG基化的干扰素α与利巴韦林的组合更有效,似乎减少患有HCV-相关肝硬化的患者中的肝细胞癌(Hung,C.H.,等人,J Viral Hepatitis 13(6):409-414,2006),但是该治疗也显示出副作用,比如甲状腺功能障碍(Huang,J.F.,等人,J Viral Hepatitis 13(6):396-401,2006)。
HCV感染的症状可以是急性的或慢性的。急性症状包括食欲降低、疲劳腹痛、黄疸、发痒和流行性感冒样症状。诊断患有急性症状HCV感染的大多数患者最后发展为慢性症状,其包括疲劳、流行性感冒样症状、关节痛、发痒、睡眠障碍、食欲变化、恶心和抑郁。慢性HCV感染最后导致肝脏炎症、纤维化和最终肝硬化,所有这些都导致肝功能降低和最终肝衰竭。慢性丙型肝炎也可能与HCV存在有关的肝外表现相关,比如迟发性皮肤卟啉病、冷沉球蛋白血症(一种小血管性血管炎)和肾小球肾炎(肾脏炎症),特别是膜增殖性肾小球肾炎(MPGN)。
在一个实施方案中,本发明提供用于治疗或预防HCV感染的组合物。所述组合物适于体内使用,包括有效量的HCV抑制剂和生理学可接受的载体或赋形剂。
HCV抑制剂可以以治疗或预防或降低受试者中HCV感染的严重程度的有效量给药。
根据待治疗的具体病症或疾病,通常给药治疗所述病症的另外的治疗剂可以与本发明的化合物和组合物一起给药。如本文使用的通常给药以治疗或预防特定疾病或病症的另外的治疗剂被认为是"适于待治疗的疾病或病症"。
在一些实施方案中,提供的化合物或其组合物与HCV蛋白酶或其突变体的另外的抑制剂组合给药。在某些实施方案中,提供的化合物或其组合物与另外的抗病毒剂组合给药。这样的抗病毒剂包括,但不限于免疫调节剂,比如α-、β-、和γ-干扰素、PEG基化的衍生化干扰素-α化合物和胸腺素;其它抗病毒剂,比如利巴韦林、金刚烷胺和替比夫定;丙型肝炎蛋白酶类的其它抑制剂(NS2-NS3抑制剂和NS3-NS4A抑制剂,例如BILN2061和VX-950);HCV生命周期中的其它靶点抑制剂,包括解螺旋酶和聚合酶抑制剂;内部核糖体进入抑制剂;广谱的病毒抑制剂,比如IMPDH抑制剂(例如,麦考酚酸及其衍生物);或任何上述物质的组合。
在一些实施方案中,可以给药两种以上抗病毒剂的组合。在一些实施方案中,可以给药3种以上抗病毒剂的组合。在某些实施方案中,所述抗病毒剂选自利巴韦林或干扰素。在其它实施方案中,所述抗病毒剂为α-干扰素。
也可与本发明抑制剂组合的试剂的其它实例包括,但不限于∶阿尔茨海默病治疗剂,比如和和米托蒽醌;哮喘治疗剂,比如沙丁胺醇和用于治疗精神分裂症的试剂,比如再普乐、维思通、思瑞康和氟哌啶醇;抗炎剂,比如皮质类固醇、TNF阻断剂、IL-1RA、硫唑嘌呤、环磷酰胺和柳氮磺吡啶;免疫调节剂和免疫抑制剂,比如环孢素、他克莫司、雷帕霉素、霉酚酸酯、干扰素、皮质类固醇、环磷酰胺、硫唑嘌呤和柳氮磺吡啶;神经营养因子,比如乙酰胆碱酯酶抑制剂、MAO抑制剂、干扰素、抗惊厥药、离子通道阻断剂、利鲁唑和抗帕金森病试剂;用于治疗心血管疾病的试剂,比如β-阻断剂、ACE抑制剂、利尿剂、硝酸盐、钙通道阻断剂和他汀类(statins);用于治疗肝病的试剂,比如皮质类固醇、考来烯胺、干扰素和抗病毒剂;用于治疗血液病症的试剂,比如皮质类固醇、抗白血病剂和生长因子;用于延长或改善药代动力学的试剂,比如细胞色素P450抑制剂(即代谢破坏抑制剂)和CYP3A4抑制剂(例如ketokenozole和利托那韦),以及用于治疗免疫缺陷病症的试剂比如γ球蛋白。
在一些实施方案中,本发明化合物或其可药用组合物与单克隆抗体或siRNA治疗剂组合给药。
所述另外的试剂可作为多剂量方案的一部分与含本发明化合物的组合物分开给药。或者,那些试剂可作为单一剂型的一部分,与本发明化合物一起混合在单一组合物中。如果作为多剂量方案的一部分给药,则两种活性剂可以同时、依次或彼此隔开一段时间内(通常彼此隔开5小时以内)提供。
V.剂量
本发明的方法可用于预防、治疗或降低癌症、自身免疫病症、神经变性或神经障碍、精神分裂症、骨相关病症、肝病或心脏病症的严重程度。需要的精确量将在受试者间不同,取决于受试者的种类、年龄和一般状况、感染的严重性、使用的特定试剂、其给药方式等。本发明的化合物优选地配制成易于给药和剂量均匀的剂量单元形式。如本文使用的表述“剂量单元形式”指适于待治疗患者的试剂的物理分散单元。然而,应当理解,本发明化合物和组合物的总每日剂量应当由主治医师在合理的医学判断范畴内确定。用于任何特定患者或生物体的具体有效剂量水平将取决于各种因素,包括待治疗的病症和病症的严重程度;施用的具体活性剂的活性;施用的具体组合物;患者的年龄、体重、一般健康状况、性别和饮食;给药时间,给药途径、施用的具体活性剂的排泄速率;治疗的持续时间;与施用的具体化合物组合或同时使用的药物,以及医学领域中熟知的其它因素。如本文使用的术语“患者”指动物,优选哺乳动物,最优选人类。
可以经由用于治疗剂的任何给药方式实现本文描述的抑制剂或可药用活性剂的给药。这些方式包括全身给药和局部给药,比如口服、鼻腔、肠胃外、透皮、皮下、阴道、口腔、直肠或局部给药方式。在某些情况下,给药将引起将本文描述的抑制剂或可药用活性剂释放到血流内。
在一个实施方案中,口服给药本文描述的抑制剂或可药用活性剂。
根据预期的给药方式,所述组合物可以为固体、半固体或液体剂型,比如例如可注射制剂、片剂、栓剂、丸剂、定时释放胶囊剂、酏剂、酊剂、乳剂、糖浆剂、粉剂、液体剂、混悬剂等,优选地其为单元剂量,并且符合常规药物实践。同样,它们也可以以静脉内(推注和输注)、腹膜内、皮下或肌内形式给药,所有使用的形式都是药物领域的那些技术人员熟知的。
用于口服给药的液体剂型包括,但不限于可药用乳剂、微乳剂、溶液剂、混悬剂、糖浆剂和酏剂。除了活性化合物之外,所述液体剂型可以包含本领域常用的惰性稀释剂,比如例如水或其它溶剂、增溶剂和乳化剂,比如乙醇、异丙醇、碳酸乙酯、乙酸乙酯、苯甲醇、苯甲酸苄酯、丙二醇、1,3-丁二醇、二甲基甲酰胺、油(特别是棉籽油、花生油、玉米油、胚芽油、橄榄油、蓖麻油和芝麻油)、甘油、四氢呋喃醇、聚乙二醇和脱水山梨醇的脂肪酸酯、及其混合物。除了惰性稀释剂之外,所述口服组合物也可以包括助剂,比如润湿剂、乳化剂和助悬剂、甜味剂、着色剂、调味剂和芳香剂。
可以根据已知技术,使用溶解剂或合适的分散剂或润湿剂和助悬剂配制可注射的制剂,例如无菌可注射水性或油脂性混悬剂。所述无菌可注射的制剂也可以是在无毒肠胃外可接受的稀释剂或溶剂中的无菌可注射的溶液、混悬剂或乳剂,例如作为在1,3-丁二醇中的溶液。在可接受的载体和溶剂中,可以使用的为水、含水右旋糖、甘油、乙醇、林格溶液、U.S.P.和等渗氯化钠溶液。另外,无菌的不挥发油通常用作溶剂或悬浮介质。为此目的,可以使用任何温和的不挥发油,包括合成的甘油单酯或甘油二酯。另外,脂肪酸如油酸也可用在可注射的制剂中。
例如,可通过利用细菌截留过滤器进行过滤,或通过并入灭菌剂来将可注射制剂灭菌,呈可于使用前溶解或分散于无菌水或其它无菌可注射介质中的无菌固体组合物形式。
为了延长本发明的化合物的作用,通常需要减慢来自皮下或肌肉注射的本发明的化合物的吸收。这可通过使用具有低水溶性的结晶或无定形材料的液体悬浮液来实现。化合物的吸收率则取决于其溶出速率,而溶出速率依次可以取决于晶粒大小和结晶形式。可选地,通过将该化合物溶解或悬浮在油性载体中实现肠胃外给药给药化合物形式的延迟吸收。通过在可生物降解的聚合物比如聚交酯-聚乙醇酸交酯中形成化合物的微胶囊基质来制备可注射的贮库形式。根据化合物与聚合物的比例和使用的具体聚合物的性质,可以控制化合物释放的速率。其它可生物降解的聚合物的实例包括聚(原酸酯)和聚(酸酐)。也通过将化合物封装在与身体组织相容的脂质体或微乳剂中制备贮库可注射的制剂。
用于直肠或阴道给药的本文描述的抑制剂或可药用活性剂的组合物优选地为栓剂,其可以通过将本发明的化合物与合适的无刺激性赋形剂或载体混合来制备,所述赋形剂或载体比如可可脂、聚乙二醇或栓剂蜡,其在环境温度下为固体,但在体温下为液体,因此在直肠或阴道腔中融化而释放出活性化合物。
用于口服给药的固体剂型包括胶囊、片剂、丸剂、粉剂和颗粒剂。在这样的固体剂型中,所述活性化合物与如下物质混合:至少一种惰性的、可药用赋形剂或载体,比如柠檬酸钠或磷酸二钙和/或a)填充剂或增量剂或稀释剂,比如淀粉、乳糖、蔗糖、葡萄糖、甘露醇、纤维素、糖精、甘氨酸和硅酸。b)粘合剂,比如例如硅酸铝镁、淀粉糊、西黄蓍胶、羧甲基纤维素、甲基纤维素、海藻酸盐、明胶、聚乙烯吡咯烷酮、碳酸镁、天然糖、玉米甜味剂、蔗糖、蜡和天然胶或合成胶比如阿拉伯胶,c)湿润剂,比如甘油,d)崩解剂,比如琼脂-琼脂、碳酸钙、马铃薯淀粉或木薯淀粉、海藻酸、某些硅酸盐、和碳酸钠,e)溶液阻滞剂,比如石蜡,f)吸收促进剂或崩解剂,比如季铵化合物、淀粉、琼脂、甲基纤维素、膨润土、黄原胶、海藻酸和泡腾混合物,g)润湿剂,比如例如鲸蜡醇和单硬脂酸甘油酯,h)吸附剂,比如高岭土和膨润土,和i)润滑剂,比如滑石粉、二氧化硅、硬脂酸、硬脂酸钙、硬脂酸镁、油酸钠、乙酸钠、氯化钠、固体聚乙二醇、十二烷基硫酸钠、及其混合物。在胶囊、片剂和丸剂的情况下,所述剂型也可包括缓冲剂。
使用这样的赋形剂如乳糖或乳糖以及高分子量聚乙二醇等,也可以将类似类型的固体组合物用作在软-和硬-填充明胶胶囊中的填充物。可以用包衣和壳比如肠溶衣及药物制剂领域众所周知的其它包衣制备片剂、锭剂、胶囊、丸剂和颗粒剂的固体剂型。它们可任选地包含遮光剂,并且也可以具有使得它们仅仅或优先在肠道的某一部分中任选地在延迟方式释放活性成分的组成。可以使用的包埋组合物的实例包括聚合物和蜡。使用这样的赋形剂如乳糖或乳糖以及高分子量聚乙二醇等,也可以将类似类型的固体组合物用作在软-和硬-填充明胶胶囊中的填充物。
活性化合物也可以呈与一种或多种如上所述赋形剂的微囊封装形式。可以用包衣和壳比如肠溶衣、释放控制包衣和药物制剂领域众所周知的其它包衣来制备片剂、锭剂、胶囊、丸剂和颗粒剂的固体剂型。在这样的固体剂型中,可以将活性化合物与至少一种惰性稀释剂比如蔗糖、乳糖或淀粉混合。在正常实施中,这样的剂型也可包括除惰性稀释剂之外的其它物质,例如,压片润滑剂和其它压片助剂,例如硬脂酸镁和微晶纤维素。在胶囊、片剂和丸剂的情况下,所述剂型也可包括缓冲剂。它们可任选地包含遮光剂,并且也可以具有使得它们仅仅或优先在肠道的某一部分中任选地在延迟方式释放活性成分的组成。可以使用的包埋组合物的实例包括聚合物和蜡。
本文描述的抑制剂或可药用活性剂也可以以脂质体递送系统形式给药,比如小单层脂质体、大单层脂质体和复层脂质体。可以由各种磷脂,包含胆固醇、硬脂酰胺或磷脂酰胆碱形成脂质体。在某些实施方案中,用药物水溶液水合脂质组分的层,形成封装药物的脂质层,如在美国专利No.5,262,564中描述的。
也可以使用单克隆抗体作为独立载体递送本文描述的抑制剂或可药用活性剂,其中本文描述的抑制剂或可药用活性剂与独立载体偶联。本文描述的抑制剂或可药用活性剂也可以与作为可靶向药物载体的可溶性聚合物偶联。这样的聚合物可以包括聚乙烯吡咯烷酮、吡喃共聚物、聚羟丙基-甲基丙烯酰胺-苯酚、聚羟乙基天冬酰胺苯酚(ethylaspanamidephenol)或聚氧化乙烯聚赖氨酸,其被棕榈酰残基取代。而且,本文描述的抑制剂或可药用活性剂可以偶联至一类可用于实现药物的控制释放的可生物降解的聚合物,例如聚乳酸、聚ε-己内酯、聚羟基丁酸、聚原酸酯、聚缩醛类、聚二氢吡喃类、聚氰基丙烯酸酯类以及水凝胶的交联的或两亲性的嵌段共聚物。
对于皮下、肌内或静脉注射和输注,可使用肠胃外可注射给药。可以按常规形式制备可注射剂,呈液体溶液或混悬剂或适于在注射前溶于液体中的固体形式。
根据美国专利号3,710,795,用于肠胃外给药的一个的实施方案施用植入缓慢释放或延缓释放体系,将其并入本文作为参考。
所述组合物可以被杀菌或包含无毒量的助剂,比如防腐剂、稳定剂、润湿剂或乳化剂、溶液促进剂、调节渗透压的盐、pH缓冲剂、及包括,但不限于乙酸钠或油酸三乙醇胺酯的其它物质。另外,它们也可以包含其它治疗可用的物质。
用于局部或透皮给药本发明的化合物的剂型包括软膏剂、糊剂、乳膏剂、洗剂、凝胶剂、粉剂、溶液、喷雾剂、吸入剂或贴剂。在无菌条件下,将活性组分与可药用载体和任一种需要的防腐剂或可能需要的缓冲液混合。眼科制剂、滴耳剂和滴眼剂也预期在本发明的范围之内。另外,本发明预期使用透皮贴剂,其具有提供向化合物控制递送到体内的附加优点。可以通过将化合物溶解或分散在合适的介质中制备这样的剂型。也可以使用吸收促进剂来增强化合物进入皮肤。可以通过提供速率控制膜或将化合物分散在聚合基质或凝胶中控制速率。
可以分别根据常规混合、制粒或包衣法制备组合物,本发明的药物组合物可以包含约0.1%至约99%、优选约1%至约70%重量或体积的本文描述的抑制剂或可药用活性剂。
利用本文描述的抑制剂或可药用活性剂的剂量方案可以根据多种因素选择,包括受试者的类型、种类、年龄、体重、性别和医学病症;待治疗病症的严重程度;给药途径;受试者的肾脏或肝脏功能;和施用的本文描述的具体抑制剂或可药用活性剂。本领域技术人员可以容易地确定和开处方用于治疗或预防增殖性病症的药物的有效量。
当向受试者给药时,本文描述的抑制剂或可药用活性剂的有效剂量范围为每天约0.05至约1000mg的本文描述的抑制剂或可药用活性剂。用于体内或体外用途的组合物可以包含约0.5、1.0、2.5、5.0、10.0、15.0、25.0、50.0、100.0、250.0、500.0、或1000.0mg的本文描述的抑制剂。在一个实施方案中,所述组合物为可以刻痕的片剂形式。本文描述的抑制剂或可药用活性剂的有效血浆水平可以为约0.002mg至约50mg/kg体重/天。可以根据本领域技术人员已知的临床技术确定治疗或预防癌症有效的本文描述的抑制剂或可药用活性剂的用量。另外,可以任选地采用体外和体内试验来帮助确定最佳剂量范围。施用的精确剂量也可取决于给药途径、待治疗的增殖性病症的严重性,并可以考虑例如已公布的临床研究,根据执业医师的判断和每个受试者的情形来确定。然而,合适的有效剂量范围可以为约每4小时约10微克至约5克,但是它们通常为每4小时约500mg以下。在一个实施方案中,有效剂量为每4小时约0.01mg、0.5mg、约1mg、约50mg、约100mg、约200mg、约300mg、约400mg、约500mg、约600mg、约700mg、约800mg、约900mg、约1g、约1.2g、约1.4g、约1.6g、约1.8g、约2.0g、约2.2g、约2.4g、约2.6g、约2.8g、约3.0g、约3.2g、约3.4g、约3.6g、约3.8g、约4.0g、约4.2g、约4.4g、约4.6g、约4.8g和约5.0g。可以以不同时间段给药等量剂量,包括,但不限于约每2小时、约每6小时、约每8小时、约每12小时、约每24小时、约每36小时、约每48小时、约每72小时、约每周、约每两周、约每三周、约每个月和约每两个月。本文描述的有效剂量指给药总量;即,如果给药多于一种本文描述的抑制剂或可药用活性剂,则有效剂量相当于总给药量。
利用本文描述的抑制剂或可药用活性剂的剂量方案可以根据多种因素选择,包括受试者的类型、种类、年龄、体重、性别和医学病症;待治疗增殖性病症的严重程度;给药途径;受试者的肾脏或肝脏功能;和施用的本文描述的具体抑制剂或可药用活性剂。本领域技术人员可以容易地确定和开处方用于预防、对抗或阻止增殖性病症发展的药物的有效量。
本文描述的抑制剂或可药用活性剂可以以每日单剂量给药,或者每日总剂量可以以每日两次、三次或四次的分剂量给药。而且,可以以鼻内形式经由局部使用合适的鼻内赋形剂、或经由使用透皮途径(使用本领域普通技术人员众所周知的透皮皮肤贴剂的那些形式)给药本文描述的抑制剂或可药用活性剂。对于以透皮递送系统形式给药,在整个剂量方案中,给药剂量可以是持续的而不是周期性的。其它示例性局部制剂包括乳膏剂、软膏剂、洗剂、气雾喷雾剂和凝胶剂,其中本文描述的抑制剂或可药用活性剂的浓度范围为约0.1%至约15%w/w或w/v。
VI.组合
根据待治疗的具体病症或疾病,通常给药以治疗所述病症的另外的治疗剂可以与本发明的化合物和组合物组合给药。如本文使用的通常给药以治疗或预防特定疾病或病症的另外的治疗剂被认为是"适于待治疗的疾病或病症"。在本文描述的抑制剂和另外的治疗剂的组合中,另外的治疗剂对于组合中使用的抑制剂的靶蛋白之内的活性结合位点而言是非竞争性结合剂。
在一些实施方案中,本文提供的抑制剂或可药用活性剂或其组合物与另外的可药用活性剂或其突变体组合给药。在某些实施方案中,提供的化合物或其组合物与一种或多种另外的可药用活性剂组合给药。这样的另外的可药用活性剂包括,但不限于阿尔茨海默病治疗剂,比如和HIV治疗剂,比如利托那韦;帕金森病治疗剂,比如L-DOPA/卡比多巴、恩他卡朋、罗吡尼洛、普拉克索、溴隐亭、培高利特、苯海索和金刚烷胺;用于治疗多发性硬化症(MS)的试剂,比如β干扰素(例如和)、和米托蒽醌;哮喘治疗剂,比如沙丁胺醇和用于治疗精神分裂症的试剂,比如再普乐、维思通、思瑞康和氟哌啶醇;抗炎剂,比如皮质类固醇、TNF阻断剂、IL-1RA、硫唑嘌呤、环磷酰胺和柳氮磺吡啶;免疫调节剂和免疫抑制剂,比如环孢素、他克莫司、雷帕霉素、霉酚酸酯、干扰素、皮质类固醇、环磷酰胺、硫唑嘌呤和柳氮磺吡啶;神经营养因子,比如乙酰胆碱酯酶抑制剂、MAO抑制剂、干扰素、抗惊厥药、离子通道阻断剂、利鲁唑和抗帕金森病试剂;用于治疗心血管疾病的试剂,比如β-阻断剂、ACE抑制剂、利尿剂、硝酸盐、钙通道阻断剂和他汀类(statins);用于治疗肝病的试剂,比如皮质类固醇、考来烯胺、干扰素和抗病毒剂;用于治疗血液病症的试剂,比如皮质类固醇、抗白血病剂和生长因子;用于延长或改善药代动力学的试剂,比如细胞色素P450抑制剂(即代谢破坏抑制剂)和CYP3A4抑制剂(例如ketokenozole和利托那韦),以及用于治疗免疫缺陷病症的试剂比如γ球蛋白。
在一些实施方案中,本发明化合物或其可药用组合物与单克隆抗体或siRNA治疗剂组合给药。
那些另外的试剂可以作为多剂量方案的一部分与包含本发明化合物的组合物分开给药。或者,那些试剂可作为单一剂型的一部分,与本发明化合物一起混合在单一组合物中。如果作为多剂量方案的一部分给药,则两种活性剂可以同时、依次或彼此隔开一段时间内(通常彼此隔开5小时以内)提供。
如本文使用的术语“组合”、“联合”和相关术语指同时或依次给药根据本发明的治疗剂。例如,本发明的化合物可以与另外的治疗剂同时给药或以独立单元剂型依次给药或在单一单元剂型中一起给药。因此,本发明提供单一单元剂型,其包含本发明的化合物、另外的治疗剂和可药用载体、助剂或赋形剂。
可以与载体物质混合的本发明化合物和另外的治疗剂(在包括如上所述另外的治疗剂的那些组合物中)的用量都根据待治疗的宿主和具体给药方式变化。优选地,本发明的组合物应当配制成使可以给药剂量为0.01-100mg/kg体重/天的本发明化合物。
在其包括另外的治疗剂的那些组合物中,本发明的另外的治疗剂和化合物可以协同作用。因此,另外的治疗剂在这样的组合物中的含量应当小于仅仅利用该治疗剂的单一疗法中所需用量。在这样的组合物中,可以给药剂量为0.01-100mg/kg体重/天的另外的治疗剂。
另外的治疗剂在本发明组合物中的含量应当不超过通常以包括该治疗剂作为唯一活性剂的组合物给药的用量。优选地,另外的治疗剂在本发明组合物中的含量应当为通常以包括该试剂作为唯一治疗活性剂的组合物中存在量的约50%至100%。
在某些实施方案中,所述组合物包括一定量的本文描述的抗癌抑制剂,例如XIAP抑制剂和另外的抗癌剂,二者一起对于治疗或预防癌症有效。在另一个实施方案中,本文描述的抗癌抑制剂和另外的抗癌剂的量为组合物重量的至少约0.01%的联合组合化疗试剂。当设计用于口服给药时,该用量可以为从组合物的约0.1%至约80%重量。某些口服组合物可以包括约4%至约50%的本文描述的抗癌抑制剂和另外的抗癌剂。制备本发明的其它组合物,使得肠胃外剂量单元包含约0.01%至约2%重量的组合物。
用于治疗或预防需要其的受试者中癌症的本发明方法可以进一步包括向正给药本文描述的抗癌抑制剂的受试者给药另外的预防或治疗剂。在一个实施方案中,其它预防剂或治疗剂以有效量给药。其它预防剂或治疗剂包括,但不限于抗炎剂、抗肾衰竭剂、抗糖尿病剂、抗心血管疾病剂、止吐剂、造血集落刺激因子、抗焦虑剂和阿片类或非阿片类镇痛剂。
在一个进一步的实施方案中,本文描述的抗癌抑制剂可以在给药止吐剂之前、同时或之后、或者在同一天、或者彼此相隔1小时、2小时、12小时、24小时、48小时或72小时之内给药。
在另一个实施方案中,本文描述的抗癌抑制剂可以在给药造血集落刺激因子之前、同时或之后、或者在同一天、或者彼此相隔1小时、2小时、1星期、24小时、48小时、72小时、1周、2周、3周或4周之内给药。
在仍然另一个实施方案中,本文描述的抗癌抑制剂可以在给药阿片类或非阿片类镇痛剂之前、同时或之后、或者在同一天、或者彼此相隔1小时、2小时、12小时、24小时、48小时或72小时之内给药。
在仍然另一个实施方案中,本文描述的抗癌抑制剂可以在给药抗焦虑剂之前、同时或之后、或者在同一天、或者彼此相隔1小时、2小时、12小时、24小时、48小时或72小时之内给药。
其它治疗剂的有效量是本领域技术人员熟知的。然而,确定其它治疗剂的最佳有效量范围是在本领域技术人员的权限内。在本发明的一个实施方案中,当向受试者给药另外的治疗剂时,本文描述的抗癌抑制剂的有效量小于当其中没有给药其它治疗剂时应当给予的其有效量。在这种情况下,不受理论的束缚,据信本文描述的抗癌抑制剂和其它治疗剂协同起治疗或预防癌症的作用。
用于本发明方法的止吐剂包括,但不限于甲氧氯普胺、多潘立酮、丙氯拉嗪、异丙嗪、氯丙嗪、曲美苄胺、昂丹司琼、格拉司琼、羟嗪、乙酰亮氨酸单乙醇胺、阿立必利、阿扎司琼、苯喹胺、氨醇醋茶碱、溴必利、布克立嗪、氯波必利、赛克力嗪、茶苯海明、地芬尼多、多拉司琼、美克洛嗪、美沙拉妥、美托哌丙嗪、大麻隆、奥昔喷地(oxyperndyl)、匹哌马嗪、东莨菪碱、舒必利、四氢大麻酚、硫乙拉嗪、硫丙拉嗪和托烷司琼。
用于本发明方法的造血集落刺激因子包括,但不限于非格司亭、沙莫司亭、莫拉司亭和α依泊汀。
用于本发明方法的阿片类镇痛剂包括,但不限于吗啡、海洛英、氢吗啡酮、氢可酮、氧吗啡酮、羟考酮、美托酮、阿扑吗啡、降吗啡、埃托啡、丁丙诺啡、哌替啶、lopermide、阿尼利定、乙庚嗪、匹米诺定、倍他罗定、地芬诺酯、芬太尼、舒芬太尼、阿芬太尼、瑞芬太尼、左啡诺、右甲吗喃、非那佐辛、喷他佐辛、环佐辛、美沙酮、异美沙酮和右丙氧芬。
用于本发明方法的非阿片类镇痛剂包括,但不限于阿司匹林、塞来考昔、罗非考昔、双氯芬酸(diclofinac)、双氟噻诺(diflusinal)、依托度酸、非诺洛芬、氟比洛芬、布洛芬、酮洛芬、吲哚美辛、酮咯酸、甲氯灭酸盐(meclofenamate)、甲氯灭酸、萘丁美酮、萘普生、吡罗昔康和舒林酸。
用于本发明方法的抗焦虑剂包括,但不限于丁螺环酮和苯二氮卓类,比如地西泮、劳拉西泮、奥沙西泮、氯氮卓盐(chlorazepate)、氯硝西泮、氯氮卓和阿普唑仑。
本发明涵盖可以简化向受试者给药配体的试剂盒,所述配体共价结合具有存在于活性位点的赖氨酸残基的靶多肽。
本发明的典型的试剂盒包括配体的单元剂型,所述配体共价结合具有存在于活性位点的赖氨酸残基的靶多肽。在一个实施方案中,所述单元剂型为容器,其可以为无菌的,包含有效量的共价结合具有存在于活性位点的赖氨酸残基的靶多肽的配体和生理学可接受的载体或赋形剂。所述试剂盒可以进一步包括指导使用具有存在于活性位点的赖氨酸残基的靶多肽的配体来治疗或预防癌症的标签或印刷的说明。所述试剂盒也可以进一步包括另外的预防剂或治疗剂的单元剂型,例如,包含有效量的另外的预防剂或治疗剂或另外的抗癌剂的容器。在一个实施方案中,试剂盒包括包含有效量的具有存在于活性位点的赖氨酸残基的靶多肽的配体和有效量的另外的预防剂或治疗剂的容器。其它预防剂或治疗剂及其它抗癌剂的实例包括,但不限于如上列举的那些。
C探针化合物
本发明的化合物可以连接至可检测部分。本领域普通技术人员应当认识到可检测部分可以经由合适的取代基连接至提供的化合物。如本文使用的术语“合适的取代基”指能够共价连接至可检测部分的部分。这样的部分是本领域普通技术人员熟知的,包括含有例如羧酸根部分、氨基部分、硫醇部分或羟基部分等的基团。应当理解这样的部分可以直接连接提供的化合物或经由连接体基团比如二价饱和的或不饱和的烃链连接至提供的化合物。在某些实施方案中,这样的部分可以经由点击化学(click chemistry)来连接。在某些实施方案中,这样的部分可以任选地在铜催化剂的存在下,经由叠氮化物与炔的1,3-环加成连接。使用点击化学的方法是本领域已知的,包括Rostovtsev等人Angew.Chem.Int.Ed.2002,41,2596-99and Sun等人,Bioconjugate Chem.,2006,17,52-57描塑的那些。
如本文使用的术语“可检测的部分”与术语“标记”和“报导体”可互换地使用,而且指能够进行检测的任何部分,例如一次标记和二次标记。可以使用定量(绝对、近似或相对地)所研究系统中的可检测部分的方法来测量可检测部分的存在。在一些实施例中,所述方法是本领域普通技术人员熟知的,并且包括定量报导体部分(例如标记、染料、光交联剂、细胞毒性化合物、药物、亲和标记、光亲和标记、反应性化合物、抗体或抗体片段、生物材料、纳米粒子、自旋标记、荧光团、含金属部分、放射性部分、量子点、新官能团、与其它分子共价或非共价相互作用的基团、光隔离部分(photocaged moiety)、光化辐射可激发部分、配体、可光异构化部分、生物素、生物素类似物(例如生物素亚砜)、并有重原子的部分、可化学裂解的基团、可光裂解的基团、氧化还原活性剂、同位素标记的部分、生物物理学探针、磷光基团、化学发光基团、电子致密基团、磁性基团、嵌入基团、发色团、能量转移剂、生物活性剂、可检测标记和上述的任何组合)的任何方法。
非限制性示例性探针化合物列举如下:.
一次标记(例如放射性同位素(例如氚、32P、33P、35S、14C、123I、124I、125I或131I)、质量标签(包括(但不限于)稳定同位素(例如13C、2H、17O、18O、15N、19F和127I)、正电子发射同位素(例如11C、18F、13N、124I和15O)和荧光标记是产生信号的报导基团,其可以在未经进一步修饰下进行检测。可检测部分可通过包括,但不限于下述方法来进行分析:荧光、正电子发射断层扫描、SPECT医学成像、化学发光、电子自旋共振、紫外/可见光吸收光谱分析、质谱分析、核磁共振、磁共振、流式细胞测量术、自动放射照相术、闪烁计数、磷成像和电化学方法。
本文使用的术语“二次标记”指需要存在能产生可检测信号的第二中间物的部分,比如生物素和各种蛋白质抗原。对于生物素,二次中间物可包括抗生蛋白链菌素-酶共轭物。对于抗原标记,二次中间物可包括抗体-酶共轭物。一些荧光基团可充当二次标记,因为其在非辐射性荧光共振能量转移(FRET)的过程中将能量转移到另一基团,而且第二基团会产生所检测的信号。
如本文使用的术语“荧光标记”、“荧光染料”和“荧光团”指吸收某一指定激发波长的光能并发射一种不同波长的光能的部分。荧光标记的实例包括,但不限于:Alexa Fluor染料(Alexa Fluor 350、Alexa Fluor 488、AlexaFluor 532、Alexa Fluor 546、Alexa Fluor 568、Alexa Fluor 594、Alexa Fluor633、Alexa Fluor 660和Alexa Fluor 680)、AMCA、AMCA-S、BODIPY dyes(BODIPY FL、BODIPY R6G、BODIPY TMR、BODIPY TR、BODIPY 493/503、BODIPY 530/550、BODIPY 558/568、BODIPY 564/570、BODIPY 576/589、BODIPY 581/591、BODIPY 630/650、BODIPY 650/665)、羧基罗丹明6G(Carboxyrhodamine 6G)、羧基-X-罗丹明(ROX)、瀑布蓝(Cascade Blue)、瀑布黄(Cascade Yellow)、香豆素343、花青染料(Cy3,Cy5,Cy3.5,Cy5.5),丹酰(Dansyl)、达坡(Dapoxyl)、二烷基氨基香豆素、4',5'-二氯-2',7'-二甲氧基-荧光素、DM-NERF、伊红、藻红、荧光素、FAM、羟基香豆素、IRDyes(IRD40,IRD 700,IRD 800),JOE,丽丝胺罗丹明B(Lissamine rhodamine B)、马里那蓝(Marina Blue)、甲氧基香豆素、萘并荧光素、俄勒冈绿488(Oregon Green488)、俄勒冈绿500、俄勒冈绿514、太平洋蓝(Pacific Blue)、PyMPO、芘、罗丹明B、罗丹明6G、罗丹明绿、罗丹明红、对甲氨基酚绿(Rhodol Green)、2',4',5',7'-四溴砜-荧光素、四甲基-罗丹明(TMR)、羧基四甲基罗丹明(TAMRA)、得克萨斯红(Texas Red)、得克萨斯红-X、5(6)-羧基荧光素、2,7-二氯荧光素、N,N-双(2,4,6-三甲基苯基)-3,4:9,10-苝双(二甲酰亚胺、HPTS、乙基伊红、DY-490XL MegaStokes、DY-485XL MegaStokes、阿第伦达克绿520(Adirondack green 520)、ATTO 465、ATTO 488、ATTO 495、YOYO-1,5-FAM、BCECF、二氯荧光素、罗丹明110、罗丹明123、YO-PRO-1、SYTOX绿、钠绿、SYBR绿I、Alexa Fluor 500、FITC、Fluo-3、Fluo-4、荧光-祖母绿、YoYo-1 ssDNA,YoYo-1 dsDNA,YoYo-1,SYTO RNASelect,Diversa绿-FP、龙绿(Dragon Green)、EvaGreen、冲浪绿EX(SurfGreen EX)、光谱绿(Spectrum Green)、NeuroTrace 500525、NBD-X、MitoTracker绿FM、LysoTracker绿DND-26、CBQCA、PA-GFP(活化后)、WEGFP(活化后)、FlASH-CCXXCC、单体阿兹米绿(Azami Green monomeric)、阿兹米绿、绿色荧光蛋白(GFP)、EGFP(坎培尔提森(Campbell Tsien)2003)、EGFP(帕特森(Patterson)2001)、枫绿(Kaede Green)、7-苯甲基氨基-4-硝基苯基-2-氧杂-1,3-二唑、Bexl、多柔比星、荧光绿(Lumio Green)和SuperGlo GFP。
如本文使用的术语“质量标签”指能够使用质谱分析(MS)检测技术根据质量唯一性检测的任何部分。质量标签的实例包括电泳释放标签,例如N-[3-[4′-[(对甲氧基四氟苯甲基)氧基]苯基]-3-甲基甘油基]异哌啶甲酸、4′-[2,3,5,6-四氟-4-(五氟苯氧基)]甲基苯乙酮,和其衍生物。这些质量标签的合成和效用描述在美国专利4,650,750、4,709,016、5,360,8191、5,516,931、5,602,273、5,604,104、5,610,020和5,650,270中。质量标签的其它实例包括,但不限于核苷酸、双脱氧核苷酸、具有不同长度和碱基组成的寡核苷酸、寡肽、寡糖,以及具有不同长度和单体组成的其它合成聚合物。具有合适的质量范围(100-2000道尔顿(Dalton))的大量中性与带电有机分子(生物分子或合成化合物)也可用作质量标签。稳定同位素(例如13C、2H、17O、18O、和15N)也可用作质量-标签。
如本文使用的术语“化学发光基团”指在不加热情况下因发生化学反应而发光的基团。例如,鲁米诺(5-氨基-2,3-二氢-1,4-酞嗪二酮)与如过氧化氢(H2O2)等氧化剂在碱和金属催化剂存在下反应,产生激发态产物(3-氨基邻苯二甲酸酯,3-APA)。
如本文使用的术语“发色团”指吸收可见波长、紫外(UV)波长或红外(IR)波长的光的分子。
如本文使用的术语“染料”指含有发色团的可溶性着色物质。
文使用的术语“电子致密基团”指当用电子束照射时会散射电子的基团。所述基团包括,但不限于钼酸铵、碱式硝酸铋、碘化镉、碳酰肼、六水合氯化铁、六亚甲基四胺、无水三氯化铟、硝酸镧、三水合乙酸铅、三水合柠檬酸铅、硝酸铅、高碘酸、磷钼酸、磷钨酸、铁氰化钾、亚铁氰化钾、钌红、硝酸银、“浓”蛋白银(silver proteinate)(Ag分析:8.0-8.5%)、四苯基卟吩银(S-TPPS)、氯金酸钠、钨酸钠、硝酸铊、氨基硫脲(TSC)、乙酸铀酰、硝酸铀酰和硫酸氧钒。
如本文使用的术语“能量转移剂”指可贡献能量或从另一分子接受能量的分子。仅举例来说,荧光共振能量转移(FRET)为偶极-偶极偶合过程,通过所述过程,荧光供体分子的激发态能量非辐射性地转移到未激发的受体分子,然后所述受体分子以较长波长将所贡献能量以荧光形式发射。
如本文使用的术语“并有重原子的部分”是指并有通常比碳重的原子的离子的基团。在某些实施方案中,所述离子或原子包括,但不限于硅、钨、金、铅和铀。
如本文使用的术语“光亲和标记”指一种标记,所述标记具有当暴露于光时,与所述标记具有亲和性的分子形成键联的基团。
如本文使用的术语“光隔离部分”指当在某些波长下光照时,共价或非共价结合其它离子或分子的基团。
如本文使用的术语“可光异构化部分”指当光照时,由一种异构形式变为另一种异构形式的基团。
如本文使用的术语“放射性部分”指核自发地放出核辐射(比如,α、β或γ粒子)的基团;其中α粒子为氦核,β粒子为电子,且γ粒子为高能量光子。
如本文使用的术语“自旋标记”指含有显示不成对电子自旋的原子或原子团的分子(即,稳定的顺磁性基团),在某些实施方案中,这些分子是借助电子自旋共振谱分析来进行检测,而在其它实施方案中,其连接到另一分子。所述白旋标记分子包括,但不限于硝酰基和氮氧化物,且在某些实施方案中,其为单自旋标记或双自旋标记。
如本文使用的术语“量子点”指胶状半导体纳米晶体,在某些实施方案中,其可在近红外范围内检测,并且具有极高量子产率(即,在适度光照时非常明亮)。
本领域普通技术人员应当认识到可检测部分可以经由合适的取代基连接至提供的化合物。如本文使用的术语“合适的取代基”指能够共价连接至可检测部分的部分。这样的部分是本领域普通技术人员熟知的,包括含有例如羧酸根部分、氨基部分、硫醇部分或羟基部分等的基团。应当理解这样的部分可以直接连接提供的化合物或经由连接体部分比如二价饱和的或不饱和的烃链连接至提供的化合物。
在某些实施方案中,可检测部分经由点击化学连接至提供的化合物。在某些实施方案中,这样的部分可以任选地在铜催化剂的存在下,经由叠氮化物与炔的1,3-环加成来连接。使用点击化学的方法是本领域已知的,并且包括Rostovtsev等人,Angew.Chem.Int.Ed.2002,41,2596-99和Sun等人,Bioconjugate Chem.,2006,17,52-57描述的那些。在某些实施方案中,提供预备点击(click ready)抑制剂部分,并使其与预备点击-Tp-Rp部分反应。如本文使用的“预备点击”指含有叠氮化物或炔烃以用于点击化学反应中的部分。在某些实施方案中,预备点击抑制剂部分包括叠氮化物。在某些实施方案中,预备点击-Tp-Rp部分包括用于无铜点击化学反应中的应变环辛炔(strained cyclooctyne)(例如,使用在Baskin等人,Proc.Natl.Acad.Sci.USA 2007,104,16793-16797中描述的方法)。
IX例证
通过下述实施例进一步阐述本发明,其不应当被看作是将本发明的范围或精神限制到本文描述的具体方法。应当理解,提供这些实施例用于举例说明一些实施方案,但并没有打算将本发明的范围限制于此。应当进一步理解,在不背离本发明的精神和/或附加权利要求书的范围下,本领域技术人员可以提出的各种其它实施方案、修饰及其等同物都是可以实施的方式。
A.XIAP的不可逆抑制剂的设计
实施例1
(3S,6S,10aR)-6-((S)-2-(甲基氨基)丙酰氨基(propanamido)))-5-氧代-N-((R)-1,2,3,4-四氢萘-1-基)十氢吡咯并[1,2-a]吖辛因(azocine)-3-甲酰胺(化合物A)是一种XIAP的可逆抑制剂(Ki 26nM)(Sun等人,J.Med.Chem.52,593–596(2009)。使用本文描述的结构基设计算法,由可逆抑制剂将化合物A转变成化合物VII-1,一种XIAP的高效不可逆抑制剂。化合物A转化成化合物VII-1的方法如下所述。
与化合物B(一种与化合物A相关的化合物)复合的XIAP的晶体X射线结构已经被报道(Sun,H.,等人,J.Med.Che m.51,7169-7180(2008)),并且从蛋白数据库可获得(在www.rcsb.org的pdbcode 2JK7)。利用本文描述的设计算法,使用与XIAP结合的化合物B的X射线复合物
设计XIAP的共价抑制剂。利用在Discovery Studio(www.accelrys.com)中的CDOCKER方法,将化合物B的三维结构对接到XIAP配体-结合位点。利用参照配体周围7.5埃半径的球限定XIAP的配体-结合位点。对接结果证实抑制剂化合物A以与在化合物B结合XIAP的X射线复合物中可见的类似方式结合XIAP。在化合物B对接到XIAP的配体-结合位点中之后,鉴别在XIAP-化合物B复合物中15埃之内XIAP的所有赖氨酸残基(Lys)∶Lys281、Lys297、Lys299、Lys311、Lys322、Lys328和Lys334。
利用化合物A的模型坐标,通过在如下所示模板X的A1(邻-、间-和对-)、A2和A3中每个位点构建丙烯酰胺弹头建立虚拟的共价抑制剂库。
为了对弹头和侧链位置的灵活性进行取样,对弹头和侧链位置实施进行分子动力学模拟,并分析以观察弹头是否处于任何所鉴别的结合位点上的赖氨酸残基的6埃之内。另外,进行弹头和残基之间的可能立体碰撞(steric clashes)的分析。在用于分子动力学模拟的Discovery Studio的标准动力学级联模拟方案与Merck Molecular Force Field中使用标准设置(www.accelrys.com)。在分子动力学模拟期间,非弹头位点和赖氨酸主链原子的坐标保持固定。该模拟证实VII-1(A1=间取代的丙烯酰胺)接近XIAP的Lys297和Lys299。为了证实VII-1能够与这些Lys残基的任一个形成键,构建XIAP和Lys297或Lys299之间反应产物的模型。在两种情形下,可以在模型的几何结构没有任何显著变化下形成反应产物都,由此支持形成结合。
接着,合成VII-1,其抑制XIAP,Ki为161nM(参见下表2),而一种无活性的对照化合物-化合物VII-2表现出的Ki为>10,000nM。用XIAP培养的VII-1反应产物的质谱分析证实VII-1共价修饰XIAP(参见如下实施例50和51)。
B XIAP抑制剂合成实施例
实施例1A
(3S,6S,10aS)-N-(3-丙烯酰胺基苄基)-6-((S)-2-(甲基氨基)丙酰氨基)-5-氧代十氢吡咯并[1,2-a]吖辛因-3-甲酰胺:根据如下描述的步骤和中间体制备标题化合物。
(S)-2-苄基1-叔丁基5-氧代吡咯烷-1,2-二羧酸酯(1a)
在0℃下,向L-焦谷氨酸(75g,0.58mol)和N,N-二异丙基-乙胺(87.3g,0.676mol)在无水二氯甲烷(1.0L)中的搅拌溶液中滴加溴化苄(98.84g,0.58mol)。将该反应混合物加热回流5h,冷却至RT,并用含水NaH2PO4洗涤。用CH2Cl2萃取水层;用盐水洗涤合并的有机层,经Na2SO4干燥,过滤并减压浓缩。然后,将得到的残余物收集在乙腈(1.5L)中加入4-二甲基氨基吡啶(7.09g,58.0mmol)和Boc-酸酐(150.0g,0.688mol),并在室温下搅拌3小时。浓缩反应混合物;将得到的残余物用水处理,并用乙酸乙酯萃取。将乙酸乙酯层用含水NaH2PO4和盐水洗涤,经Na2SO4干燥,过滤,并减压浓缩,得到浅黄色粘性油状物。将其用乙酸乙酯-石油醚结晶,得到呈浅黄色固体的1a(150g,80.8%)。
(2S)-2-苄基1-叔丁基5-羟基吡咯烷-1,2-二羧酸酯(1b)
在-78℃下,在氮气下,向1a(100.0g,313.1mmol)在THF(1000mL)中的搅拌溶液中慢慢地加入Super(在THF中1M,469mL,469mmol),并将该混合物在-78℃下搅拌2小时。加入饱和的碳酸氢钠水溶液(300mL),并将反应混合物在0℃下搅拌30分钟。将该反应混合物浓缩以除去大部分THF,用乙酸乙酯萃取残余物。将合并的有机萃取物经Na2SO4干燥,过滤,并减压浓缩,得到呈无色油状物的1b(100g,99.3%)。将其收集用于下一步,而无需进一步纯化。
(2S)-2-苄基1-叔丁基5-甲氧基吡咯烷-1,2-二羧酸酯(1c)
向1b(100g,311.1mmol)在甲醇(1000mL)中的搅拌溶液中加入对甲苯磺酸一水合物(5.89g,30.96mmol),并在室温下搅拌16小时。加入饱和的碳酸氢钠溶液(500mL),然后减压浓缩,以除去大部分甲醇。用MTBE萃取残余物,将合并的MTBE萃取物用盐水洗涤,经Na2SO4干燥,过滤,并减压浓缩,得到呈无色油状物的1c(88g,84.3%)。将其收集用于下一步,而无需进一步纯化。
(2S)-2-苄基1-叔丁基5-烯丙基吡咯烷-1,2-二羧酸酯(1d)
在-78℃下,向1c(25g,74.4mmol)在二氯甲烷(250mL)中的搅拌溶液中慢慢地加入三氟化硼-二乙醚合物(borontrifluoride-diethyletherate)(9.2mL,74.5mmol),并将该溶液在-78℃下搅拌1小时。慢慢地烯丙基三丁基氢化锡(28mL,90.3mmol),并将反应混合物在-78℃下进一步搅拌3h。加入去离子水(300mL),使该溶液升温至室温。将其通过Celite过滤,层分离,并用二氯甲烷萃取水层。将合并的有机萃取物用水和盐水洗涤,经Na2SO4干燥,过滤,并减压浓缩,得到粗物质。将得到的粗产物通过柱色谱层析(SiO2,乙酸乙酯∶石油醚,8:92)纯化,得到呈无色油状物的1d(15g,58.3%)。
(2S)-苄基5-烯丙基吡咯烷-2-羧酸酯(1e)
在0℃,向1d(30g,86.7mmol)在二氯甲烷(300mL)中的搅拌溶液中慢慢地加入三氟乙酸(45mL),并将该溶液在室温和氮气下搅拌2小时。减压浓缩该反应混合物,将得到的残余物收集在二氯甲烷-水(2:1,150mL)中,强力搅拌,并加入三乙胺(50mL,356.4mmol)。在室温下继续搅拌2小时。相分离,用二氯甲烷萃取水相。将合并的有机萃取物经Na2SO4干燥,过滤,并减压浓缩,得到呈浅黄色油状物的1e(20g,93.9%),将其收集用于下一步,而无需进一步纯化。
(2S)-苄基5-烯丙基-1-((S)-2-(叔-丁氧基羰基氨基)戊-4-烯酰基)吡咯烷-2-羧酸酯(1f)
向1e(11g,44.9mmol)在DMF(110mL)中的搅拌溶液中加入(S)-2-(叔-丁氧基羰基氨基)戊-4-烯酸(9.65g,44.9mmol)、EDC·HCl(12.87g,67.35mmol)、HOBt(2.42g,17.96mmol)和DIPEA(11.63mL,67.35mmol)。在氮气氛下,将该反应混合物在室温下搅拌18小时。将其用冷水稀释,并用乙酸乙酯萃取。将合并的有机萃取物用水和盐水洗涤,经Na2SO4干燥,过滤,并减压浓缩,得到残余物。将得到的粗产物与从另一个类似批料得到的粗物质混合,通过柱色谱层析(SiO2,在石油醚中的15-20%乙酸乙酯)纯化,得到呈浅黄色油状物的1f(25g,62.9%)。
(3S,6S,10aR,Z)-苄基6-(叔-丁氧基羰基氨基)-5-氧代-1,2,3,5,6,7,10,10a-八氢吡咯并[1,2-a]吖辛因-3-羧酸酯(1g)
向1f(25g,56.49mmol)在二氯甲烷(500mL)中的溶液中加入二(三环己基膦)亚苄基二氯化钌(IV)(Grubbs’催化剂)(9.3g,11.29mmol),并搅拌回流24小时。冷却至室温,减压浓缩,将残余物收集在MTBE中,通过Celite过滤,减压浓缩滤液,得到呈深绿色残余物的1g(50g)。将其收集用于下一步,而无需进一步纯化。
(3S,6S,10aR,Z)-苄基6-氨基-5-氧代-1,2,3,5,6,7,10,10a-八氢吡咯并[1,2-a]吖辛因-3-羧酸酯(1h)
在0℃,向1g(~50g,粗物质)在二氯甲烷(500mL)中的搅拌溶液中慢慢地加入三氟乙酸(50mL),并将该溶液在室温和氮气下搅拌2小时。将反应混合物减压浓缩,并将得到的残余物收集在水中。将其用MTBE洗涤;用10%NaOH溶液碱化水层,并用乙酸乙酯萃取。将合并的乙酸乙酯萃取物用水和盐水洗涤,经Na2SO4干燥,过滤,并减压浓缩,得到呈黄色油状物的1h(9g,两步产率50.7%),发现其非常纯。
(3S,6S,10aR,Z)-苄基6-((S)-2-(叔-丁氧基羰基(甲基)氨基)丙酰氨基)-5-氧代-1,2,3,5,6,7,10,10a-八氢吡咯并[1,2-a]吖辛因-3-羧酸酯(1i)
向1h(7.3g,23.22mmol)在二氯甲烷(150mL)中的搅拌溶液中加入(R)-2-(叔-丁氧基羰基(甲基)氨基)戊丙酸(4.71g,23.22mmol)、EDC·HCl(6.59g,34.5mmol)、HOBt(1.55g,11.5mmol)和DIPEA(5.96mL,34.5mmol),并在室温和氮气氛下搅拌18小时。减压浓缩该反应混合物,并将得到的残余物收集在水中,用乙酸乙酯萃取。将合并的有机萃取物用水和盐水洗涤,经Na2SO4干燥,过滤,并减压浓缩,得到残余物。将其通过柱色谱层析(SiO2,在氯仿中1-2%的甲醇)纯化,得到呈浅色油状物的1i(10g,86.2%)。
(3S,6S,10aS)-6-((S)-2-(叔-丁氧基羰基(甲基)氨基)丙酰氨基)-5-氧代十氢吡咯并[1,2-a]吖辛因-3-羧酸(1j)
向1i(2.5g,5.01mmol)在乙醇(100mL)中的溶液中加入10%钯碳(1.0g),并使用氢气球在室温下搅拌6小时。通过Celite过滤该反应混合物,减压浓缩滤液,得到残余物。将其溶于二氯甲烷中,通过Celite过滤以除去任何不溶性物质,减压浓缩滤液,得到呈白色固体的1j(1.8g,87.8%)。1HNMR(400MHz,DMSO-d6):=1.21(d,J=7.16Hz,3H),1.39(s,9H),1.53-1.92(m,10H),1.99-2.10(m,1H),2.18-2.28(m,1H),2.73(s,3H),4.16-4.24(m,2H),4.33-4.75(m,2H),7.76(d,J=7Hz,1H),12.45(brs,1H)。
(S)-1-((3S,6S,10aS)-3-(3-氨基苄基氨基甲酰基)-5-氧代十氢吡咯并[1,2-a]吖辛因-6-基氨基)-1-氧代丙烷-2-基(甲基)氨基甲酸叔丁酯(1k)
在室温下,将1j(488mg)、3-氨基苄胺(173mg)、EDC·HCl(272mg)、HOBt(192mg)、N-甲基吗啉(0.39mL)在乙腈(16mL)中的混合物搅拌过夜。在减压浓缩之后,将残余物通过柱色谱层析(SiO2,异丙醇∶二氯甲烷,7:93)直接纯化,得到420mg呈白色固体的期望的苯胺1k。1H NMR(400MHz,CDCl3):=7.08(m,2H),6.59(m,3H),4.88(m,1H),4.55(t,J=6.9Hz,1H),4.34(ddd,J=2.8,6.0,14.7Hz,2H),4.18(t,J=10.0Hz,1H),2.79(s,2H),2.5(m,1H),2.1-1.4(m),1.48(s,9H),1.32(d,J=7.3Hz,3H);LCMS:m/e516.3(M+1)。
(3S,6S,10aS)-N-(3-丙烯酰胺基苄基)-6-((S)-2-(甲基氨基)丙酰氨基)-5-氧代十氢吡咯并[1,2-a]吖辛因-3-甲酰胺(VII-1)
在0℃下,向苯胺1k(60mg)和三乙胺(80μl)在无水二氯甲烷(2mL)中的混合物中滴加丙烯酰基氯(19μl)。在0℃下搅拌10分钟之后,将三氟乙酸(1mL)加入到该反应混合物中,并在室温下搅拌10分钟。将该反应混合物浓缩,使用半制备HPLC(TFA调节剂)纯化残余物,得到呈TFA盐的白色固体(VII-1)。1H NMR(400MHz,DMSO-d6):=10.1(s,1H),8.70(m,2H),8.47(t,J=5.5Hz,1H),7.57(s,1H),7.50(d,J=9.2Hz,1H),7.24(t,J=7.8Hz,1H),6.98(d,J=7.8Hz,1H),6.42(dd,J=10.1,14.6Hz,1H),6.23(dd,J=2.3,17.0Hz,1H),5.72(dd,J=2.3Hz,10.1Hz,1H),4.78(m,1H),4.31(m,2H),4.17(m,2H),3.7-1.3(m),1.31(d,J=6.9Hz,3H);LCMS:m/e470.2(M+1)。
实施例2
(S)-1-((3S,6S,10aS)-3-(3-丙烯酰胺基benzyl氨基甲酰基)-5-氧代十氢吡咯并[1,2-a]吖辛因-6-基氨基)-1-氧代丙烷-2-基(甲基)氨基甲酸叔丁酯:根据如下描述的步骤和中间体制备标题化合物。
在0℃下,向苯胺1k(60mg)和三乙胺(80μl)在无水二氯甲烷(2mL)中的混合物中滴加丙烯酰基氯(19μl)。浓缩该反应混合物,并使用半制备HPLC(TFA调节剂)纯化残余物,得到白色固体。LCMS:m/e 470.3(M+1-tBu)。
实施例3
(3S,6S,10aS)-6-((S)-2-(甲基氨基)丙酰氨基)-5-氧代-N-(3-((S)-5-氧代四氢呋喃-2-羧酰氨基)苄基)十氢吡咯并[1,2-a]吖辛因-3-甲酰胺:根据如下描述的步骤和中间体制备标题化合物。
在室温下,将苯胺1k(19.8mg)、(S)-5-氧代-2-四氢呋喃羧酸(6mg)、EDC·HCl(12mg)、HOBt(9mg)、N-甲基吗啉(20μl)在二氯甲烷(1mL)中的混合物搅拌过夜.在0℃下搅拌10分钟之后,将三氟乙酸(0.3mL)加入到反应混合物中,并在室温下搅拌10分钟。浓缩该反应混合物,并使用半制备HPLC(TFA调节剂)纯化残余物,得到呈TFA盐的白色固体。LCMS:m/e 528.3(M+1)。
实施例4
(3S,6S,10aS)-6-((S)-2-(甲基氨基)丙酰氨基)-5-氧代-N-(3-((S)-4-氧代氮杂环丁烷-2-羧酰氨基)苄基)十氢吡咯并[1,2-a]吖辛因-3-甲酰胺:根据如下描述的步骤和中间体制备标题化合物。
在室温下,将苯胺1k(24.5mg)、(S)-4-氧代-2氮杂环丁烷羧酸(6.6mg)、EDC·HCl(12mg)、HOBt(9mg)、N-甲基吗啉(20μl)在二氯甲烷(1mL)中的混合物搅拌过夜。在0℃下搅拌10分钟之后,将三氟乙酸(0.3mL)加入到反应混合物中,并在室温下搅拌10分钟。浓缩该反应混合物,并使用半制备HPLC(TFA调节剂)纯化残余物,得到呈TFA盐的白色固体。LCMS:m/e 513.3(M+1)。
实施例5
(3S,6S,10aS)-N-(3-(2-异丙氧基-3,4-二氧环丁-1-烯基氨基)苄基)-6-((S)-2-(甲基氨基)丙酰氨基)-5-氧代十氢吡咯并[1,2-a]吖辛因-3-甲酰胺:根据如下描述的步骤和中间体制备标题化合物。
在室温下,将苯胺1k(37.7mg)、3,4-二异丙基-3-环丁烯-1,2-二酮(16mg)、三乙胺(20μl)在二氯甲烷(1mL)的混合物搅拌过夜。在0℃下搅拌10之后,将三氟乙酸(0.3mL)加入到该反应混合物中,并在室温下搅拌10分钟。浓缩该反应混合物,使用半制备HPLC(TFA调节剂)纯化残余物,得到呈TFA盐的白色固体(VII-1)。
LCMS:m/e 554.2(M+1)。
实施例6
(3S,6S,10aS)-6-((S)-2-(甲基氨基)丙酰氨基)-5-氧代-N-(3-(3-氧代丁酰胺基)苄基)十氢吡咯并[1,2-a]吖辛因-3-甲酰胺:根据如下描述的步骤和中间体制备标题化合物。
在80℃下,将苯胺1k(20mg)、2,2,4-三甲基-6-酮基-1,3-二噁英(10μl)在二噁烷(1mL)中的混合物搅拌过夜。浓缩该混合物,并用二氯甲烷(1mL)稀释。将三氟乙酸(0.3mL)加入到反应混合物中,并在室温下搅拌10分钟。浓缩该反应混合物,并使用半制备HPLC(TFA调节剂)纯化残余物,得到呈TFA盐的白色固体。LCMS:m/e 500.3(M+1)。
实施例7
[0001](3S,6S,10aS)-6-((S)-2-(甲基氨基)丙酰氨基)-5-氧代-N-(3-(4,4,4-三氟-3-氧代丁酰胺基)苄基)十氢吡咯并[1,2-a]吖辛因-3-甲酰胺:根据如下描述的步骤和中间体制备标题化合物。
在80℃下,将苯胺1k(12mg)、4,4,4-三氟乙酰醋酸乙酯(100μl)在甲苯(1mL)中的混合物搅拌2小时。浓缩该混合物,并用二氯甲烷(1mL)稀释。浓缩该混合物,并用二氯甲烷(1mL)稀释。将三氟乙酸(0.3mL)加入到反应混合物中,并在室温下搅拌10分钟。浓缩该反应混合物,并使用半制备HPLC(TFA调节剂)纯化残余物,得到呈TFA盐的白色固体。LCMS:m/e554.2(M+1)。
实施例8
(3S,6S,10aS)-N-(3-((E)-4-(二甲基氨基)丁-2-烯酰氨基)苄基)-6-((S)-2-(甲基氨基)丙酰氨基)-5-氧代十氢吡咯并[1,2-a]吖辛因-3-甲酰胺:根据如下描述的步骤和中间体制备标题化合物。
在0下,向苯胺1k(12.7mg)和二异丙基乙胺(100μl)在无水二氯甲烷(1mL)中的混合物中滴加(E)-4-(二甲基氨基)丁-2-烯酰基氯化物(20μl)。在0℃下搅拌10分钟之后,将三氟乙酸(1mL)加入到反应混合物中,并在室温下搅拌10分钟。浓缩该反应混合物,并使用半制备HPLC(TFA调节剂)纯化残余物,得到呈TFA盐的白色固体。LCMS:m/e 527.3(M+1)。
实施例9
VII-11
(3S,6S,10aS)-N-(3-甲基丙烯酰氨基(methacryl amido)苄基)-6-((S)-2-(甲基氨基)丙酰氨基)-5-氧代十氢吡咯并[1,2-a]吖辛因-3-甲酰胺:根据如下描述的步骤和中间体制备标题化合物。
在0℃下,向苯胺1k(10mg)和二异丙基乙胺(50μl)在无水二氯甲烷(1mL)中的混合物中滴加甲基丙烯酰基氯(20μl)。在0℃下搅拌10分钟之后,将三氟乙酸(1mL)加入到反应混合物中,并在室温下搅拌10分钟。浓缩该反应混合物,并使用半制备HPLC(TFA调节剂)纯化残余物,得到呈TFA盐的白色固体。LCMS:m/e 484.4(M+1)。
实施例10
(3S,6S,10aS)-6-((S)-2-(甲基氨基)丙酰氨基)-N-(3-(3-甲基丁-2-烯酰氨基)苄基)-5-氧代十氢吡咯并[1,2-a]吖辛因-3-甲酰胺:根据如下描述的步骤和中间体制备标题化合物。
在0℃下,向苯胺1k(10mg)和二异丙基乙胺(50μl)在无水二氯甲烷(1mL)中的混合物中滴加3-甲基丁-2-烯酰基氯(20μl)。在0℃下搅拌10分钟之后,将三氟乙酸(1mL)加入到反应混合物中,并在室温下搅拌10分钟。浓缩该反应混合物,并使用半制备HPLC(TFA调节剂)纯化残余物,得到呈TFA盐的白色固体。LCMS:m/e 498.3(M+1)。
实施例11
根据如下所述的步骤和中间体制备VII-16。
在室温下,将苯胺1k(13.2mg)、丙烯酸-d4(1.7μl)、EDC·HCl(8mg)、HOBt(6mg)、N-甲基吗啉(13μl)在二氯甲烷(1mL)中的混合物搅拌过夜。在0℃下搅拌10分钟之后,将三氟乙酸(0.3mL)加入到反应混合物中,并在室温下搅拌10分钟。浓缩该反应混合物,并使用半制备HPLC(TFA调节剂)纯化残余物,得到呈TFA盐的白色固体。LCMS:m/e 473.2(M+1)。
实施例12
(3S,6S,10aS)-6-((S)-2-(甲基氨基)丙酰氨基)-5-氧代-N-(3-((R)-5-氧代四氢呋喃-2-羧酰氨基)苄基)十氢吡咯并[1,2-a]吖辛因-3-甲酰胺:根据如下描述的步骤和中间体制备标题化合物。
在室温下,将苯胺1k(8.1mg)、(R)-5-氧代-2-四氢呋喃羧酸(2.4mg)、EDC·HCl(5mg)、HOBt(4mg)、N-甲基吗啉(10μl)在二氯甲烷(1mL)中的混合物搅拌过夜。在0℃下搅拌10分钟之后,将三氟乙酸(0.3mL)加入到反应混合物中,并在室温下搅拌10分钟。浓缩该反应混合物,并使用半制备HPLC(TFA调节剂)纯化残余物,得到呈TFA盐的白色固体。LCMS:m/e528.3(M+1)。
实施例13
(3S,6S,10aS)-6-((S)-2-(甲基氨基)丙酰氨基)-5-氧代-N-(3-(乙烯基亚磺酰氨基)苄基)十氢吡咯并[1,2-a]吖辛因-3-甲酰胺:根据如下描述的步骤和中间体制备标题化合物。
在0℃下,向苯胺1k(30mg)和二异丙基乙胺(50μl)在无水二氯甲烷(1mL)中的混合物中滴加2-氯-1-乙磺酰氯(5μl)。在0℃下搅拌30分钟之后,将三氟乙酸(1mL)加入到反应混合物中,并在室温下搅拌10分钟。浓缩该反应混合物,并使用半制备HPLC(TFA调节剂)纯化残余物,得到呈TFA盐的白色固体。LCMS:m/e 506.2(M+1)。
实施例14
(3S,6S,10aS)-6-((S)-2-(甲基氨基)丙酰氨基)-5-氧代-N-(3-((4R)-4,7,7-三甲基-3-氧代-2-氧杂二环[2.2.1]庚烷-1-羧酰氨基)苄基)十氢吡咯并[1,2-a]吖辛因-3-甲酰胺:根据如下描述的步骤和中间体制备标题化合物。
在室温下,将苯胺1k(8.0mg)、(1S)-(-)-樟脑酸(6.0mg)、EDC·HCl(8mg)、HOBt(6mg)、N-甲基吗啉(10μl)在二氯甲烷(1mL)中的混合物搅拌2天。在0℃下搅拌10分钟之后,将三氟乙酸(0.3mL)加入到反应混合物中,并在室温下搅拌10分钟。浓缩该反应混合物,并使用半制备HPLC(TFA调节剂)纯化残余物,得到呈TFA盐的白色固体。LCMS:m/e596.4(M+1)。
实施例15
(3S,6S,10aS)-6-((S)-2-(甲基氨基)丙酰氨基)-5-氧代-N-(3-((4S)-4,7,7-三甲基-3-氧代-2-氧杂二环[2.2.1]庚烷-1-羧酰氨基)苄基)十氢吡咯并[1,2-a]吖辛因-3-甲酰胺:根据如下描述的步骤和中间体制备标题化合物。
在室温下,将苯胺1k(8.1mg)、(1R)-(+)-樟脑酸(12mg)、EDC·HCl(16mg)、HOBt(12mg)、N-甲基吗啉(10μl)在二氯甲烷(1mL)中的混合物搅拌3天。在0℃下搅拌10分钟之后,将三氟乙酸(0.3mL)加入到反应混合物中,并在室温下搅拌10分钟。浓缩该反应混合物,并使用半制备HPLC(TFA调节剂)纯化残余物,得到呈TFA盐的白色固体。LCMS:m/e596.3(M+1)。
实施例16
(3S,6S,10aS)-N-(3-(1-乙酰基环丙烷羧酰氨基)苄基)-6-((S)-2-(甲基氨基)丙酰氨基)-5-氧代十氢吡咯并[1,2-a]吖辛因-3-甲酰胺:根据如下描述的步骤和中间体制备标题化合物。
在室温下,将苯胺1k(14.2mg)、1-乙酰基环丙烷羧酸(10mg)、HATU(20mg)、二异丙基乙胺(10μl)在二氯甲烷(1mL)中的混合物搅拌过夜。在0℃下搅拌10分钟之后,将三氟乙酸(0.3mL)加入到反应混合物中,并在室温下搅拌10分钟。浓缩该反应混合物,并使用半制备HPLC(TFA调节剂)纯化残余物,得到呈TFA盐的白色固体。LCMS:m/e 526.3(M+1)。
实施例17
(3S,6S,10aS)-6-((S)-2-(甲基氨基)丙酰氨基)-5-氧代-N-(3-((S)-5-氧代吡咯烷-2-羧酰氨基)苄基)十氢吡咯并[1,2-a]吖辛因-3-甲酰胺:根据如下描述的步骤和中间体制备标题化合物。
在室温下,将苯胺1k(8mg)、(S)-2-吡咯烷-5-羧酸(5mg)、EDC·HCl(10mg)、HOBt(7mg)、二异丙基乙胺(10μl)在二氯甲烷(1mL)中的混合物搅拌过夜。在0℃下搅拌10分钟之后,将三氟乙酸(0.3mL)加入到反应混合物中,并在室温下搅拌10分钟。浓缩该反应混合物,并使用半制备HPLC(TFA调节剂)纯化残余物,得到呈TFA盐的白色固体。LCMS:m/e527.2(M+1)。
实施例18
(3S,6S,10aS)-6-((S)-2-(甲基氨基)丙酰氨基)-5-氧代-N-(3-((R)-5-氧代吡咯烷-2-羧酰氨基)苄基)十氢吡咯并[1,2-a]吖辛因-3-甲酰胺:根据如下描述的步骤和中间体制备标题化合物。
在室温下,将苯胺1k(8mg)、(R)-2-吡咯烷-5-羧酸(5mg)、EDC·HCl(10mg)、HOBt(7mg)、二异丙基乙胺(10μl)在二氯甲烷(1mL)中的混合物搅拌过夜。在0℃下搅拌10分钟之后,将三氟乙酸(0.3mL)加入到反应混合物中,并在室温下搅拌10分钟。浓缩该反应混合物,并使用半制备HPLC(TFA调节剂)纯化残余物,得到呈TFA盐的白色固体。LCMS:m/e527.2(M+1)。
实施例19
(3S,6S,10aS)-6-((S)-2-(甲基氨基)丙酰氨基)-5-氧代-N-(3-(2-氧代四氢呋喃-3-羧酰氨基)苄基)十氢吡咯并[1,2-a]吖辛因-3-甲酰胺:根据如下描述的步骤和中间体制备标题化合物。
在室温下,将苯胺1k(8mg)、2-氧代-3-四氢呋喃羧酸(10mg)、EDC·HCl(10mg)、HOBt(7mg)、二异丙基乙胺(10μl)在二氯甲烷(1mL)中的混合物搅拌过夜。在0℃下搅拌10分钟之后,将三氟乙酸(0.3mL)加入到反应混合物中,并在室温下搅拌10分钟。浓缩该反应混合物,并使用半制备HPLC(TFA调节剂)纯化残余物,得到呈TFA盐的白色固体。LCMS:m/e528.3(M+1)。
实施例20
(3S,6S,10aS)-6-((S)-2-(甲基氨基)丙酰氨基)-5-氧代-N-(3-(5-氧代四氢呋喃-3-羧酰氨基)苄基)十氢吡咯并[1,2-a]吖辛因-3-甲酰胺:根据如下描述的步骤和中间体制备标题化合物。
在室温下,将苯胺1k(8mg)、2-氧代-4-四氢呋喃羧酸(10mg)、EDC·HCl(10mg)、HOBt(7mg)、二异丙基乙胺(10μl)在二氯甲烷(1mL)中的混合物搅拌过夜。在0℃下搅拌10分钟之后,将三氟乙酸(0.3mL)加入到反应混合物中,并在室温下搅拌10分钟。浓缩该反应混合物,并使用半制备HPLC(TFA调节剂)纯化残余物,得到呈TFA盐的白色固体。LCMS:m/e528.3(M+1)。
实施例21
(3S,6S,10aS)-6-((S)-2-(甲基氨基)丙酰氨基)-5-氧代-N-(3-((R)-4-氧代氮杂环丁烷-2-羧酰氨基)苄基)十氢吡咯并[1,2-a]吖辛因-3-甲酰胺:根据如下描述的步骤和中间体制备标题化合物。
在室温下,将苯胺1k(16mg)、(R)-4-氧代-2氮杂环丁烷羧酸(12mg)、EDC·HCl(20mg)、HOBt(14mg)、二异丙基乙胺(20μl)在二氯甲烷(1mL)中的混合物搅拌过夜。在0℃下搅拌10分钟之后,将三氟乙酸(0.3mL)加入到反应混合物中,并在室温下搅拌10分钟。浓缩该反应混合物,并使用半制备HPLC(TFA调节剂)纯化残余物,得到呈TFA盐的白色固体。LCMS:m/e 513.3(M+1)。
实施例22
(S)-1-((3S,6S,10aS)-3-(3-(2,4-二氧戊烷-3-基)苄基氨基甲酰基)-5-氧代十氢吡咯并[1,2-a]吖辛因-6-基氨基)-1-氧代丙烷-2-基(甲基)氨基甲酸叔丁酯:根据如下描述的步骤和中间体制备标题化合物。
在室温下,将1j(250mg)、3-碘代苄胺(97ul)、EDC·HCl(152mg)、HOBt(99mg)、N-甲基吗啉(0.20mL)在乙腈(10mL)中的混合物搅拌过夜。在减压浓缩之后,将残余物通过柱色谱层析(SiO2,异丙醇∶二氯甲烷,7:93)直接纯化,得到300mg期望的碘化物。LCMS:m/e 527.2(M+1-tBu)。
向在DMSO(1mL)中制备的碘化物(32mg)中加入碘化亚铜(1.0mg)、L-脯氨酸(1.2mg)、碳酸铯(66mg)和乙酰丙酮(10ul),并在90℃下搅拌2小时。过滤该反应混合物,并使用半制备HPLC(TFA调节剂)纯化滤液,得到固体。LCMS:m/e 499.2(M+1-tBu)。
实施例23
(3S,6S,10aS)-N-(3-(2,4-二氧戊烷-3-基)苄基)-6-((S)-2-(甲基氨基)丙酰氨基)-5-氧代十氢吡咯并[1,2-a]吖辛因-3-甲酰胺:根据如下描述的步骤和中间体制备标题化合物。
在向在二氯甲烷(1mL)中的(S)-1-((3S,6S,10aS)-3-(3-(2,4-二氧戊烷-3-基)苄基氨基甲酰基)-5-氧代十氢吡咯并[1,2-a]吖辛因-6-基氨基)-1-氧代丙烷-2-基(甲基)氨基甲酸叔丁酯(VII-7)(7mg)中加入三氟乙酸(0.3ml),并在室温下搅拌10分钟。浓缩该反应混合物,使用半制备HPLC(TFA调节剂)纯化残余物,得到呈TFA盐的白色固体。LCMS:m/e 499.2(M+1)。
实施例24
(3S,6S,10aS)-6-((S)-2-(甲基氨基)丙酰氨基)-5-氧代-N-(3-((S)-2-氧代四氢呋喃-3-yl氨基甲酰基)苄基)十氢吡咯并[1,2-a]吖辛因-3-甲酰胺:根据如下描述的步骤和中间体制备标题化合物。
(S)-叔丁基3-(2-氧代四氢呋喃-3-基氨基甲酰基)苄基氨基甲酸酯(2a)
在室温下,将3-((叔-丁氧基羰基氨基)甲基)苯甲酸(100mg)、(S)-3-氨基二氢呋喃-2(3H)-酮盐酸盐(55mg)、EDC·HCl(92mg)、HOBt(64mg)、N-甲基吗啉(0.13mL)在乙腈(2mL)中的混合物搅拌过夜。在减压浓缩之后,将残余物通过柱色谱层析(SiO2,庚烷:乙酸乙酯,10:90)直接纯化,得到120mg呈白色固体的期望的苯胺2a。1H NMR(400MHz,CDCl3):=7.7-7.2(m,6H),5.21(s,1H),4.96(m,1H),4.54(t,J=9.2Hz,1H),4.32(m,3H),2.86(m,1H),2.31(m,1H),1.47(s,9H)。
(3S,6S,10aS)-6-((S)-2-(甲基氨基)丙酰氨基)-5-氧代-N-(3-((S)-2-氧代四氢呋喃-3-基氨基甲酰基)苄基)十氢吡咯并[1,2-a]吖辛因-3-甲酰胺
在室温下,向在无水二氯甲烷(1mL)中的内酯2a(40mg)中加入三氟乙酸(0.3mL)。在室温下搅拌10分钟之后,将该反应混合物在减压下完全浓缩。向在无水二氯甲烷(1mL)中的残余物2b中加入1j(12mg)、EDC·HCl(5.6mg)、HOBt(4.3mg)、N-甲基吗啉(9.6μl),并在室温下,将得到的混合物搅拌过夜。将三氟乙酸(0.3mL)加入到反应混合物中,并在室温下搅拌10分钟。浓缩该反应混合物,并使用半制备HPLC(TFA调节剂)纯化残余物,得到呈TFA盐的白色固体VII-13。1H NMR(400MHz,DMSO-d6):=8.95(d,J=8.2Hz,1H),8.75(m,2H),8.70(d,J=6.8Hz,1H),8.55(t,J=6.0Hz,1H),7.72(m,2H),7.44(m,2H),4.76(m,2H),4.43-4.15(m,5H),3.80(q,J=6.4Hz,1H),2.5-1.4(m),1.31(d,J=6.8Hz,3H);LCMS:m/e528.3(M+1)。
实施例25
(3S,6S,10aS)-6-((S)-2-(甲基氨基)丙酰氨基)-5-氧代-N-(3-(6-氧代四氢-2H-吡喃-2-羧酰氨基)苄基)十氢吡咯并[1,2-a]吖辛因-3-甲酰胺:根据如下描述的步骤和中间体制备标题化合物。
向在无水二氯甲烷(1ml)中的叔丁基3-(6-氧代四氢-2H-吡喃-2-羧酰氨基)苄基氨基甲酸酯(20mg)中滴加三氟乙酸(0.3ml)。在室温下搅拌10分钟之后,将该反应混合物在减压下完全浓缩。向在无水二氯甲烷(1mL)中的该残余物中加入1j(12mg)、EDC·HCl(20mg)、HOBt(14mg)、N-甲基吗啉(20μl),并在室温下,将得到的混合物搅拌过夜。将三氟乙酸(0.3mL)加入到反应混合物中,并在室温下搅拌10分钟。浓缩该反应混合物,并使用半制备HPLC(TFA调节剂)纯化残余物,得到呈TFA盐的白色固体。LCMS:m/e 542.3(M+1)。
实施例26
4,4-二甲基2-氧代四氢呋喃-3-基3-(((3S,6S,10aS)-6-((S)-2-(甲基氨基)丙酰氨基)-5-氧代十氢吡咯并[1,2-a]吖辛因-3-羧酰氨基)甲基)苯甲酸酯:根据如下描述的步骤和中间体制备标题化合物。
在室温下,向在无水二氯甲烷(1mL)中的4,4-二甲基2-氧代四氢呋喃-3-基3-((叔-丁氧基羰基氨基)甲基)苯甲酸酯(40mg)中滴加三氟乙酸(0.3mL)。在室温下搅拌10分钟之后,将该反应混合物在减压下完全浓缩。向在无水二氯甲烷(1mL)中的该残余物中加入1j(12mg)、EDC·HCl(5.6mg)、HOBt(4.3mg)、N-甲基吗啉(9.6μl),并在室温下,将得到的混合物搅拌过夜。将三氟乙酸(0.3mL)加入到反应混合物中,并在室温下搅拌10分钟。浓缩该反应混合物,并使用半制备HPLC(TFA调节剂)纯化残余物,得到呈TFA盐的白色固体。LCMS:m/e 557.3(M+1)。
实施例27
2-氧代四氢呋喃-3-基3-(((3S,6S,10aS)-6-((S)-2-(甲基氨基)丙酰氨基)-5-氧代十氢吡咯并[1,2-a]吖辛因-3-羧酰氨基)甲基)苯甲酸酯:根据如下描述的步骤和中间体制备标题化合物。
在室温下,向在无水二氯甲烷(1mL)中的2-氧代四氢呋喃-3-基3-((叔-丁氧基羰基氨基)甲基)苯甲酸酯(40mg)中滴加三氟乙酸(0.3mL)。在室温下搅拌10分钟之后,将该反应混合物在减压下完全浓缩。向在无水二氯甲烷(1mL)中的该残余物中加入1j(12mg)、EDC·HCl(5.6mg)、HOBt(4.3mg)、N-甲基吗啉(9.6μl),并在室温下,将得到的混合物搅拌过夜。将三氟乙酸(0.3mL)加入到反应混合物中,并在室温下搅拌10分钟。浓缩该反应混合物,并使用半制备HPLC(TFA调节剂)纯化残余物,得到呈TFA盐的白色固体。LCMS:m/e 529.3(M+1)。
实施例28
(3S,6S,10aS)-6-((S)-2-(甲基氨基)丙酰氨基)-5-氧代-N-(3-(2-氧代四氢呋喃-3-基氧基)苄基)十氢吡咯并[1,2-a]吖辛因-3-甲酰胺:根据如下描述的步骤和中间体制备标题化合物。
向在无水二氯甲烷(1mL)中的3-(3-(氨基甲基)苯氧基)二氢呋喃-2(3H)-酮(10mg)中加入1j(12mg)、EDC·HCl(5.6mg)、HOBt(4.3mg)、N-甲基吗啉(9.6μl),并在室温下,将得到的混合物搅拌过夜。将三氟乙酸(0.3mL)加入到反应混合物中,并在室温下搅拌10分钟。浓缩该反应混合物,并使用半制备HPLC(TFA调节剂)纯化残余物,得到呈TFA盐的白色固体。LCMS:m/e 501.3(M+1)。
实施例29
(3S,6S,10aS)-N-(3-(丙烯醛基酰氨基甲基)苄基)-6-((S)-2-(甲基氨基)丙酰氨基)-5-氧代十氢吡咯并[1,2-a]吖辛因-3-甲酰胺:根据如下描述的步骤和中间体制备标题化合物。
向在无水二氯甲烷(1mL)中的1,3-亚苯基二甲烷胺(0.1mL)中加入1j(12mg)、EDC·HCl(5.6mg)、HOBt(4.3mg)、N-甲基吗啉(9.6μl),并在室温下,将得到的混合物搅拌过夜。在0℃下,加入丙烯酰氯,并在0℃下搅拌10分钟。将三氟乙酸(0.3mL)加入到反应混合物中,并在室温下搅拌10分钟。浓缩该反应混合物,并使用半制备HPLC(TFA调节剂)纯化残余物,得到呈TFA盐的白色固体。LCMS:m/e 484.3(M+1)。
实施例30
(3S,6S,10aS)-6-((S)-2-(甲基氨基)丙酰氨基)-N-(3-(3-甲基丁-2-烯酰基)苄基)-5-氧代十氢吡咯并[1,2-a]吖辛因-3-甲酰胺:根据如下描述的步骤和中间体制备标题化合物。
在室温下,向在无水二氯甲烷(1mL)中的叔丁基3-(3-甲基丁-2-烯酰基)苄基氨基甲酸酯(40mg)中滴加三氟乙酸(0.3mL)。在室温下搅拌10分钟之后,将该反应混合物在减压下完全浓缩。向在无水二氯甲烷(1mL)中的残余物中加入1j(28mg)、EDC·HCl(17.3mg)、HOBt(12.2mg)、N-甲基吗啉(25μl),并在室温下,将得到的混合物搅拌过夜。将三氟乙酸(0.3mL)加入到反应混合物中,并在室温下搅拌10分钟。浓缩该反应混合物,并使用半制备HPLC(TFA调节剂)纯化残余物,得到呈TFA盐的白色固体。LCMS:m/e 483.3(M+1)。
实施例31
(3S,6S,10aS)-6-((S)-2-(甲基氨基)丙酰氨基)-5-氧代-N-(3-((1S,4S)-3-氧代-2-氧杂-5-氮杂二环[2.2.1]庚烷-5-羰基)苄基)十氢吡咯并[1,2-a]吖辛因-3-甲酰胺:根据如下描述的步骤和中间体制备标题化合物。
在室温下,向在无水二氯甲烷(1mL)中的3-((1S,4S)-3-氧代-2-氧杂-5-氮杂二环[2.2.1]庚烷-5-羰基)苄基氨基甲酸叔丁酯(55mg)中滴加三氟乙酸(0.3mL)。在室温下搅拌10分钟之后,将该反应混合物在减压下完全浓缩。向在无水二氯甲烷(1mL)中的残余物中加入1j(28mg)、EDC·HCl(17.3mg)、HOBt(12.2mg)、N-甲基吗啉(25μl),并在室温下,将得到的混合物搅拌过夜。将三氟乙酸(0.3mL)加入到反应混合物中,并在室温下搅拌10分钟。浓缩该反应混合物,并使用半制备HPLC(TFA调节剂)纯化残余物,得到呈TFA盐的白色固体。LCMS:m/e 540.3(M+1)。VII-20
实施例32
(3S,6S,10aS)-6-((S)-2-(甲基氨基)丙酰氨基)-5-氧代-N-(3-((S)-5-氧代四氢呋喃-3-基氨基甲酰基)苄基)十氢吡咯并[1,2-a]吖辛因-3-甲酰胺:根据如下描述的步骤和中间体制备标题化合物。
在室温下,向在无水二氯甲烷(1mL)中的(S)-叔丁基3-(5-氧代四氢呋喃-3-基氨基甲酰基)苄基氨基甲酸酯(20mg)中滴加三氟乙酸(0.3mL)。在室温下搅拌10分钟之后,将该反应混合物在减压下完全浓缩。向在无水二氯甲烷(1mL)中的残余物中加入1j(20mg)、EDC·HCl(17.3mg)、HOBt(12.2mg)、N-甲基吗啉(50μl),并在室温下,将得到的混合物搅拌过夜。将三氟乙酸(0.3mL)加入到反应混合物中,并在室温下搅拌10分钟。浓缩该反应混合物,并使用半制备HPLC(TFA调节剂)纯化残余物,得到呈TFA盐的白色固体。LCMS:m/e 528.3(M+1)。
实施例33
(3S,6S,10aS)-6-((S)-2-(甲基氨基)丙酰氨基)-5-氧代-N-(3-((1R,4R)-3-氧代-2-氧杂-5-氮杂二环[2.2.1]庚烷-5-羰基)苄基)十氢吡咯并[1,2-a]吖辛因-3-甲酰胺:根据如下描述的步骤和中间体制备标题化合物。
在室温下,向在无水二氯甲烷(1mL)中的叔丁基3-((1R,4R)-3-氧代-2-氧杂-5-氮杂二环[2.2.1]庚烷-5-羰基)苄基氨基甲酸酯(30mg)中滴加三氟乙酸(0.3mL)。在室温下搅拌10分钟之后,将该反应混合物在减压下完全浓缩。向在无水二氯甲烷(1mL)中的残余物中加入1j(11.5mg)、EDC·HCl(17mg)、HOBt(12mg)、N-甲基吗啉(10μl),并在室温下,将得到的混合物搅拌过夜。将三氟乙酸(0.3mL)加入到反应混合物中,并在室温下搅拌10分钟。浓缩该反应混合物,并使用半制备HPLC(TFA调节剂)纯化残余物,得到呈TFA盐的白色固体。LCMS:m/e 540.3(M+1)。
实施例34
(3S,6S,10aS)-6-((S)-2-(甲基氨基)丙酰氨基)-5-氧代-N-(3-((R)-2-氧代四氢呋喃-3-基氨基甲酰基)苄基)十氢吡咯并[1,2-a]吖辛因-3-甲酰胺:根据如下描述的步骤和中间体制备标题化合物。
在室温下,向在无水二氯甲烷(1mL)中的(R)-叔丁基3-(5-氧代四氢呋喃-3-基氨基甲酰基)苄基氨基甲酸酯(37mg)中滴加三氟乙酸(0.3mL)。在室温下搅拌10分钟之后,将该反应混合物在减压下完全浓缩。向在无水二氯甲烷(1mL)中的残余物中加入1j(10mg)、EDC·HCl(17.3mg)、HOBt(12.2mg)、N-甲基吗啉(10μl),并在室温下,将得到的混合物搅拌过夜。将三氟乙酸(0.3mL)加入到反应混合物中,并在室温下搅拌10分钟。浓缩该反应混合物,并使用半制备HPLC(TFA调节剂)纯化残余物,得到呈TFA盐的白色固体。LCMS:m/e 528.3(M+1)。
实施例35
3-(((3S,6S,10aS)-6-((S)-2-(甲基氨基)丙酰氨基)-5-氧代十氢吡咯并[1,2-a]吖辛因-3-羧酰氨基)甲基)苄基3-氧代丁酸酯:根据如下描述的步骤和中间体制备标题化合物。
向在无水二氯甲烷(1mL)中的(3-(氨基甲基)苯基)甲醇(10mg)中加入1j(13.7mg)、EDC·HCl(7mg)、HOBt(5.0mg)、N-甲基吗啉(10μl),并使用半制备HPLC(TFA调节剂)纯化得到的混合物。在80℃下,将分离产物(5mg)、2,2,4-三甲基-6-酮基1,3-二噁英(10μl)在二甲氧基乙烷(1mL)中的混合物搅拌过夜。浓缩该混合物,并用二氯甲烷(1mL)稀释。将三氟乙酸(0.3mL)加入到反应混合物中,并在室温下搅拌10分钟。浓缩该反应混合物,并使用半制备HPLC(TFA调节剂)纯化残余物,得到呈TFA盐的白色固体。LCMS:m/e 515.2(M+1)。
实施例36
3S,6S,10aS)-6-((S)-2-(甲基氨基)丙酰氨基)-5-氧代-N-(3-(2-氧代吗啉-4-羰基)苄基)十氢吡咯并[1,2-a]吖辛因-3-甲酰胺:根据如下描述的步骤和中间体制备标题化合物。
在室温下,向在无水二氯甲烷(1mL)中的叔丁基3-(2-氧代吗啉-4-羰基)苄基氨基甲酸酯(20mg)中滴加三氟乙酸(0.3mL)。在室温下搅拌10分钟之后,将该反应混合物在减压下完全浓缩。向在无水二氯甲烷(1mL)中的残余物中加入1j(10mg)、EDC·HCl(10mg)、HOBt(7mg)、N-甲基吗啉(10μl),并在室温下,将得到的混合物搅拌过夜。将三氟乙酸(0.3mL)加入到反应混合物中,并在室温下搅拌10分钟。浓缩该反应混合物,并使用半制备HPLC(TFA调节剂)纯化残余物,得到呈TFA盐的白色固体。LCMS:m/e 528.3(M+1)。
实施例37
3S,6S,10aS)-6-((S)-2-(甲基氨基)丙酰氨基)-5-氧代-N-(3-(((S)-5-氧代四氢呋喃-2-羧酰氨基)甲基)苄基)十氢吡咯并[1,2-a]吖辛因-3-甲酰胺:根据如下描述的步骤和中间体制备标题化合物。
在室温下,向在无水二氯甲烷(1mL)中的(S)-叔丁基3-((5-氧代四氢呋喃-2-羧酰氨基)甲基)苄基氨基甲酸酯(10mg)中滴加三氟乙酸(0.3mL)。在室温下搅拌10分钟之后,将该反应混合物在减压下完全浓缩。向在无水二氯甲烷(1mL)中的残余物中加入1j(10mg)、EDC·HCl(10mg)、HOBt(7mg)、N-甲基吗啉(10μl),并在室温下,将得到的混合物搅拌过夜。将三氟乙酸(0.3mL)加入到反应混合物中,并在室温下搅拌10分钟。浓缩该反应混合物,并使用半制备HPLC(TFA调节剂)纯化残余物,得到呈TFA盐的白色固体。LCMS:m/e 542.3(M+1)。
实施例38
3S,6S,10aS)-6-((S)-2-(甲基氨基)丙酰氨基)-5-氧代-N-(3-(((R)-5-氧代四氢呋喃-2-羧酰氨基)甲基)苄基)十氢吡咯并[1,2-a]吖辛因-3-甲酰胺:根据如下描述的步骤和中间体制备标题化合物。
在室温下,向在无水二氯甲烷(1mL)中的(R)-叔丁基3-((5-氧代四氢呋喃-2-羧酰氨基)甲基)苄基氨基甲酸酯(10mg)中滴加三氟乙酸(0.3mL)。在室温下搅拌10分钟之后,将该反应混合物在减压下完全浓缩。向在无水二氯甲烷(1mL)中的残余物中加入1j(10mg)、EDC·HCl(10mg)、HOBt(7mg)、N-甲基吗啉(10μl),并在室温下,将得到的混合物搅拌过夜。将三氟乙酸(0.3mL)加入到反应混合物中,并在室温下搅拌10分钟。浓缩该反应混合物,并使用半制备HPLC(TFA调节剂)纯化残余物,得到呈TFA盐的白色固体。LCMS:m/e 542.3(M+1)。
实施例39
3S,6S,10aS)-6-((S)-2-(甲基氨基)丙酰氨基)-5-氧代-N-(3-(((R)-5-氧代四氢呋喃-2-基)甲基氨基甲酰基)苄基)十氢吡咯并[1,2-a]吖辛因-3-甲酰胺:根据如下描述的步骤和中间体制备标题化合物。
在室温下,向在无水二氯甲烷(1mL)中的(R)-叔丁基3-((5-氧代四氢呋喃-2-基)甲基氨基甲酰基)苄基氨基甲酸酯(20mg)中滴加三氟乙酸(0.3mL)。在室温下搅拌10分钟之后,将该反应混合物在减压下完全浓缩。向在无水二氯甲烷(1mL)中的残余物中加入1j(10mg)、EDC·HCl(20mg)、HOBt(14mg)、N-甲基吗啉(20μl),并在室温下,将得到的混合物搅拌过夜。将三氟乙酸(0.3mL)加入到反应混合物中,并在室温下搅拌10分钟。浓缩该反应混合物,并使用半制备HPLC(TFA调节剂)纯化残余物,得到呈TFA盐的白色固体。LCMS:m/e 542.3(M+1)。
实施例40
3S,6S,10aS)-6-((S)-2-(甲基氨基)丙酰氨基)-5-氧代-N-(3-(((S)-5-氧代四氢呋喃-2-基)甲基氨基甲酰基)苄基)十氢吡咯并[1,2-a]吖辛因-3-甲酰胺:根据如下描述的步骤和中间体制备标题化合物。
在室温下,向在无水二氯甲烷(1mL)中的(S)-叔丁基3-((5-氧代四氢呋喃-2-基)甲基氨基甲酰基)苄基氨基甲酸酯(20mg)中滴加三氟乙酸(0.3mL)。在室温下搅拌10分钟之后,将该反应混合物在减压下完全浓缩。向在无水二氯甲烷(1mL)中的残余物中加入1j(10mg)、EDC·HCl(20mg)、HOBt(14mg)、N-甲基吗啉(20μl),并在室温下,将得到的混合物搅拌过夜。将三氟乙酸(0.3mL)加入到反应混合物中,并在室温下搅拌10分钟。浓缩该反应混合物,并使用半制备HPLC(TFA调节剂)纯化残余物,得到呈TFA盐的白色固体。LCMS:m/e 542.3(M+1)。
实施例41
3S,6S,10aS)-6-((S)-2-(甲基氨基)丙酰氨基)-5-氧代-N-(3-(3-氧代-2-氧杂-5-氮杂二环[2.2.2]辛烷-5-羰基)苄基)十氢吡咯并[1,2-a]吖辛因-3-甲酰胺:根据如下描述的步骤和中间体制备标题化合物。
在室温下,向在无水二氯甲烷(1mL)中的叔丁基3-((1S,4S)-3-氧代-2-氧杂-5-氮杂二环[2.2.2]辛烷-5-羰基)苄基氨基甲酸酯(20mg)中滴加三氟乙酸(0.3mL)。在室温下搅拌10分钟之后,将该反应混合物在减压下完全浓缩。向在无水二氯甲烷(1mL)中的残余物中加入1j(10mg)、EDC·HCl(20mg)、HOBt(14mg)、N-甲基吗啉(20μl),并在室温下,将得到的混合物搅拌过夜。将三氟乙酸(0.3mL)加入到反应混合物中,并在室温下搅拌10分钟。浓缩该反应混合物,并使用半制备HPLC(TFA调节剂)纯化残余物,得到呈TFA盐的白色固体。LCMS:m/e 544.3(M+1)。
实施例42
VII-47
3S,6S,10aS)-6-((S)-2-(甲基氨基)丙酰氨基)-5-氧代-N-(3-((1S)-7-氧代-6-氧杂-2-氮杂二环[3.2.1]辛烷-2-羰基)苄基)十氢吡咯并[1,2-a]吖辛因-3-甲酰胺:根据如下描述的步骤和中间体制备标题化合物。
在室温下,向在无水二氯甲烷(1mL)中的3-((1R,5S)-7-氧代-6-氧杂-2-氮杂二环[3.2.1]辛烷-2-羰基)苄基氨基甲酸叔丁酯(18mg)中滴加三氟乙酸(0.3mL)。在室温下搅拌10分钟之后,将该反应混合物在减压下完全浓缩。向在无水二氯甲烷(1mL)中的残余物中加入1j(10mg)、EDC·HCl(20mg)、HOBt(14mg)、N-甲基吗啉(20μl),并在室温下,将得到的混合物搅拌过夜。将三氟乙酸(0.3mL)加入到反应混合物中,并在室温下搅拌10分钟。浓缩该反应混合物,并使用半制备HPLC(TFA调节剂)纯化残余物,得到呈TFA盐的白色固体。LCMS:m/e 554.3(M+1)。
实施例43
3S,6S,10aS)-6-((S)-2-(甲基氨基)丙酰氨基)-5-氧代-N-(3-(7-氧代-6-氧杂-2-氮杂二环[3.2.1]辛烷-2-羰基)苄基)十氢吡咯并[1,2-a]吖辛因-3-甲酰胺:根据如下描述的步骤和中间体制备标题化合物。
在室温下,向在无水二氯甲烷(1mL)中的叔丁基3-((1S,5R)-7-氧代-6-氧杂-2-氮杂二环[3.2.1]辛烷-2-羰基)苄基氨基甲酸酯(9.0mg)中滴加三氟乙酸(0.3mL)。在室温下搅拌10分钟之后,将该反应混合物在减压下完全浓缩。向在无水二氯甲烷(1mL)中的残余物中加入1j(10mg)、EDC·HCl(10mg)、HOBt(7mg)、N-甲基吗啉(10μl),并在室温下,将得到的混合物搅拌过夜。将三氟乙酸(0.3mL)加入到反应混合物中,并在室温下搅拌10分钟。浓缩该反应混合物,并使用半制备HPLC(TFA调节剂)纯化残余物,得到呈TFA盐的白色固体。LCMS:m/e 554.3(M+1)。
实施例44
(S)-N-(3-丙烯酰胺基苄基)-1-((S)-3,3-二甲基2-((S)-2-(甲基氨基)丙酰氨基)丁酰基)吡咯烷-2-甲酰胺:根据如下描述的步骤和中间体制备标题化合物。
(S)-苄基1-((S)-2-(叔-丁氧基羰基氨基)-3,3-二甲基丁酰基)吡咯烷-2-羧酸酯(3a)
在室温下,将脯氨酸苄基酯(1.0g)BOC-Tle-OH(1.05g)、HATU(1.73g)、二异丙基乙胺(0.5mL)在DMF(10mL)中的混合物搅拌过夜。在减压浓缩之后,将残余物分配到EtOAc和饱和的碳酸氢钠中。将有机层经硫酸钠干燥和过滤。通过柱色谱层析(SiO2,庚烷:乙酸乙酯,60:40)纯化残余物,得到呈白色固体的期望的3a。LCMS:m/e 319.1(M+1-tBu)。
(S)-苄基1-((S)-2-((S)-2-(叔-丁氧基羰基(甲基)氨基)丙酰氨基)-3,3-二甲基丁酰基)吡咯烷-2-羧酸酯(3b)
在室温下,向在无水二氯甲烷(2mL)中的3a(110mg)中滴加三氟乙酸(1mL)。在室温下搅拌10分钟之后,将该混合物减压浓缩。将在无水二氯甲烷(3mL)中的残余物用BOC-N-Me-Ala-OH(59mg)、EDC·HCl(61mg)、HOBt(39mg)、二异丙基乙胺(0.10mL)处理,并在室温下,将得到的混合物搅拌过夜。将该反应混合物分配到EtOAc中,并用饱和的碳酸氢钠洗涤。将有机层经硫酸钠干燥和过滤。通过柱色谱层析(SiO2,庚烷:乙酸乙酯,40:60)纯化残余物,得到呈无色油状物的期望的3b。1H NMR(400MHz,CDCl3):=7.34(m,5H),5.19(d,J=11.9Hz,1H),5.12(d,J=11.9Hz,1H),4.7(m,1H),4.61(d,J=14.0Hz,1H),4.57(m,1H),3.86(m,1H),3.69(m,1H),2.79(s,3H),2.22(m,1H),1.97(m,2H),1.48(s,9H),1.35(m,1H),0.98(s,9H);LCMS:m/e 404.3(M+1-tBu)。
(S)-1-((S)-1-((S)-2-(3-氨基苄基氨基甲酰基)吡咯烷-1-基)-3,3-二甲基1-氧代丁烷-2-基氨基)-1-氧代丙烷-2-基(甲基)氨基甲酸叔丁酯(3c)
在钯碳(10%,湿式)的存在下,将在无水甲醇(10mL)中的苄基酯3b(100mg)氢化2小时。过滤出该混合物,并减压浓缩滤液。将在无水二氯甲烷(3mL)中的残余物3-氨基苄基胺(30mg)、EDC·HCl(61mg)、HOBt(39mg)、二异丙基乙胺(0.10mL)处理,并在室温下,将得到的混合物搅拌过夜。将该反应混合物分配到EtOAc中,并用饱和的碳酸氢钠洗涤。将有机层经硫酸钠干燥和过滤。通过柱色谱层析(SiO2,庚烷:二氯甲烷:异丙醇,90:10)纯化残余物,得到呈无色油状物的期望的3c。1H NMR(400MHz,CDCl3):LCMS:m/e 418.2(M+1-tBu)。
S)-N-(3-丙烯酰胺基苄基)-1-((S)-3,3-二甲基2-((S)-2-(甲基氨基)丙酰氨基)丁酰基)吡咯烷-2-甲酰胺
在0℃下,向苯胺3c(14mg)和三乙胺(20μl)在无水二氯甲烷(1mL)中的混合物中滴加丙烯酰氯(10μl)。在0℃下搅拌10分钟之后,将三氟乙酸(0.3mL)加入到反应混合物中,并在室温下搅拌10分钟。浓缩该反应混合物,使用半制备HPLC(TFA调节剂)纯化残余物,得到呈TFA盐的白色固体4。1H NMR(400MHz,DMSO-d6):=10.0(s,1H),8.75(m,2H),8.53(d,J=8.7Hz,1H),8.37(t,J=6.0Hz,1H),7.52(s,1H),7.45(d,J=8.2Hz,1H),7.17(t,J=8.2Hz,1H),6.95(d,J=7.8Hz,1H),6.38(dd,J=10.1,16.9Hz,1H),6.19(dd,J=2.3,16.9Hz,1H),5.69(dd,J=2.3Hz,10.1Hz,1H),4.46(d,J=8.7Hz,1H),4.29(m,1H),4.19(m,1H),3.87(m,1H),3.65(m,2H),2.04(m,1H),1.93(m,1H),1.78(m,2H),1.25(d,J=6.9Hz,3H),0.95(s,9H);LCMS:m/e 472.2(M+1)。
实施例45
(S)-1-((S)-1-((S)-2-(3-丙烯酰胺基苄基氨基甲酰基)吡咯烷-1-基)-3,3-二甲基1-氧代丁烷-2-基氨基)-1-氧代丙烷-2-基(甲基)氨基甲酸叔丁酯:根据如下描述的步骤和中间体制备标题化合物。
在0℃下,向苯胺3c(14mg)和三乙胺(20μl)在无水二氯甲烷(1mL)中的混合物中滴加丙烯酰氯(10μl)。在0℃下搅拌10分钟之后,浓缩该反应混合物,使用半制备HPLC(TFA调节剂)纯化残余物,得到白色固体4。LCMS:m/e 472.2(M+1-tBu).
实施例46
(S)-1-((S)-3,3-二甲基2-((S)-2-(甲基氨基)丙酰氨基)丁酰基)-N-(3-((R)-5-氧代四氢呋喃-2-羧酰氨基)苄基)吡咯烷-2-甲酰胺:根据如下描述的步骤和中间体制备标题化合物。
在室温下,将苯胺3c(12mg)、(R)-5-氧代-2-四氢呋喃羧酸(6mg)、EDC·HCl(10mg)、HOBt(7mg)、二异丙基乙胺(10μl)在二氯甲烷(1mL)中的混合物搅拌过夜。在0℃下搅拌10分钟之后,将三氟乙酸(0.3mL)加入到反应混合物中,并在室温下搅拌10分钟。浓缩该反应混合物,并使用半制备HPLC(TFA调节剂)纯化残余物,得到呈TFA盐的白色固体。LCMS:m/e 530.3(M+1)。
实施例47
(S)-1-((S)-3,3-二甲基2-((S)-2-(甲基氨基)丙酰氨基)丁酰基)-N-(3-((R)-4-氧代氮杂环丁烷-2-羧酰氨基)苄基)吡咯烷-2-甲酰胺:根据如下描述的步骤和中间体制备标题化合物。
在室温下,将苯胺3c(12mg)、((R)-4-氧代-2-氮杂环丁烷羧酸(6mg)、EDC·HCl(10mg)、HOBt(7mg)、二异丙基乙胺(10μl)在二氯甲烷(1mL)中的混合物搅拌过夜。在0℃下搅拌10分钟之后,将三氟乙酸(0.3mL)加入到反应混合物中,并在室温下搅拌10分钟。浓缩该反应混合物,并使用半制备HPLC(TFA调节剂)纯化残余物,得到呈TFA盐的白色固体。LCMS:m/e 515.3(M+1)。
实施例48
(S)-1-((S)-3-丙烯酰胺基-2-((S)-2-(甲基氨基)丙酰氨基)丙酰基)-N-(3-丙烯酰胺基苄基)吡咯烷-2-甲酰胺:根据如下描述的步骤和中间体制备标题化合物。
(S)-苄基1-((S)-3-(苄氧基羰基氨基)-2-(叔-丁氧基羰基氨基)丙酰基)吡咯烷-2-羧酸酯(4a)
在室温下,将脯氨酸苄基酯(0.66g)、BOC-Dap(Z)-OH(1.1g)、EDC·HCl(0.58g)、HOBt(370mg)、二异丙基乙胺(1.0mL)在DCM(10mL)中的混合物搅拌过夜。在减压浓缩之后,将残余物分配到EtOAc和饱和的碳酸氢钠中。将有机层经硫酸钠干燥和过滤。通过柱色谱层析(SiO2,庚烷:乙酸乙酯,60:40)纯化残余物,得到呈白色泡沫的期望的4a。LCMS:m/e426.2(M+1-tBu)。
(S)-苄基1-((S)-3-(苄氧基羰基氨基)-2-((S)-2-(叔-丁氧基羰基(甲基)氨基)丙酰氨基)丙酰基)吡咯烷-2-羧酸酯(4b)
在室温下,向在无水二氯甲烷(10mL)中的4a(1.15g)中滴加三氟乙酸(3mL)。在室温下搅拌10分钟之后,将该混合物减压浓缩。将在无水二氯甲烷(10mL)中的残余物用BOC-N-Me-Ala-OH(489mg)、EDC·HCl(505mg)、HOBt(325mg)、二异丙基乙胺(0.60mL)处理,并在室温下,将得到的混合物搅拌过夜。将该反应混合物分配到EtOAc中,并用饱和的碳酸氢钠洗涤。将有机层经硫酸钠干燥和过滤。通过柱色谱层析(SiO2,庚烷:乙酸乙酯,40:60)纯化残余物,得到呈白色固体的期望的4b。LCMS:m/e 511.2(M+1-tBu)。
(S)-1-((S)-3-(苄氧基羰基氨基)-1-((S)-2-(3-氨基苄基氨基甲酰基)吡咯烷-1-基)-1-氧代丙烷-2-基氨基)-1-氧代丙烷-2-基(甲基)氨基甲酸叔丁酯(4c)
在0℃下,向在水(3mL)中4b(540mg)中加入在3mL甲醇中的74mg的氢氧化锂。在30分钟之后,将该混合物使用1N-HCl酸化至pH 3.0,并分配到乙酸乙酯中。将有机层经硫酸钠干燥。将该混合物过滤,并减压浓缩滤液。将在无水二氯甲烷(10mL)中的残余物用3-氨基苄胺(130mg)、EDC·HCl(204mg)、HOBt(131mg)、二异丙基乙胺(0.60mL)处理,并在室温下,将得到的混合物搅拌过夜。将该反应混合物分配变成EtOAc中,并用饱和的碳酸氢钠洗涤。将有机层经硫酸钠干燥和过滤。通过柱色谱层析(SiO2,庚烷:二氯丙烷:异丙醇,90:10)纯化残余物,得到呈白色固体的期望的4c。1H NMR(400MHz,CDCl3):LCMS:m/e 625.3(M+1)。
(S)-1-((S)-3-氨基-1-((S)-2-(3-氨基苄基氨基甲酰基)吡咯烷-1-基)-1-氧代丙烷-2-基氨基)-1-氧代丙烷-2-基(甲基)氨基甲酸叔丁酯(4d)
在钯碳(5%,湿式)的存在下,将在无水甲醇(5mL)中的4b(30mg)氢化2小时。过滤出该混合物,并减压浓缩滤液,得到4d。LCMS:m/e 491.3(M+1)。
(S)-1-((S)-3-丙烯酰胺基-2-((S)-2-(甲基氨基)丙酰氨基)丙酰基)-N-(3-丙烯酰胺基苄基)吡咯烷-2-甲酰胺(VIII-5)
在0℃下,向苯胺4d(14mg)和三乙胺(20μl)在无水二氯甲烷(1mL)中的混合物滴加丙烯酰氯(10μl)。在0℃下搅拌10分钟之后,将三氟乙酸(0.3mL)加入到反应混合物中,并在室温下搅拌10分钟。浓缩该反应混合物,使用半制备HPLC(TFA调节剂)纯化残余物,得到呈TFA盐的白色固体VIII-5。LCMS:m/e 499.2(M+1)。
实施例49
VIII-4
(S)-1-((S)-3-丙烯酰胺基-1-((S)-2-(3-丙烯酰胺基苄基氨基甲酰基)吡咯烷-1-基)-1-氧代丙烷-2-基氨基)-1-氧代丙烷-2-基(甲基)氨基甲酸叔丁酯:根据如下描述的步骤和中间体制备标题化合物。
在0℃下,向苯胺4d(14mg)和三乙胺(20μl)在无水二氯甲烷(1mL)中的混合物中滴加丙烯酰氯(10μl)。在0℃下搅拌10分钟之后,浓缩该反应混合物,使用半制备HPLC(TFA调节剂)纯化残余物,得到白色固体。LCMS:m/e 499.2(M+1-tBu).
C.XIAP生物学数据
实施例50
结合化合物结合XIAP、cIAP-1和ML-IAPβBIR3结构域的亲和力评估的均相、荧光偏振、竞争结合测定试验设计
制备来自R&D Systems的重组人XIAP;BIR3结构域(895-XB)、重组人cIAP-1(818-IA)或重组人ML-IAPβ(818-IA)和荧光偏振(FP)测定示踪剂(Atto-647标记的IAP抑制剂探针化合物)在由25mM的Tris-HCL、pH 7.5(Sigma)、10mM NaCl2(Sigma)、1mM DTT(Fluka)和0.005%TritonX-100(Pierce)组成的测定缓冲液中的1X原液。当在环境温度下,在黑暗中(30-60分钟)使IAP蛋白和示踪剂平衡时,制备在50%DMSO:H2O中的试验化合物的100X原液,连续稀释,并点样(0.5mL/孔)在384-孔、平底、聚丙烯、黑色测定板(Greiner#_781209)的孔中,一式两份。对于每种蛋白的用量如下:[XIAP]=120Nm,[测定示踪剂]=20nM(示踪剂:蛋白Kd=83-61nM;0-3hr);[cIAP-1]=30nM,[测定示踪剂]=10nM(示踪剂:蛋白Kd=37-14nM;0-1hr);和[ML-IAPβ]=100nM,[测定示踪剂]=15nM(示踪剂:蛋白Kd=43-55nM;0-3hr).通过加入50mL/孔预平衡过的IAP蛋白和测定示踪剂开始试验化合物和测定示踪剂之间的Competition结合。采用来自BioTek(Winooski,VT)的Synergy平板读数器,通过660nm一般尺寸的dicroich反射镜和S/P偏振滤光镜,测定在λex620/λem680下所述测定示踪剂的位移3小时,每30分钟测定一次。(参见Huang,X.,Journal of Biomolecular Screening8,2003)。在来自graphpad Software(San Diego,CA)的GraphPad Prism中,将得到的化合物剂量反应数据拟合成一个位点结合Ki模型。
表2显示本发明所选化合物在Ki(XIAP)、Ki(c-IAP-1,3h)和Ki(ML-IAP,2h)测定中的活性。具有的活性代号为“A”的化合物提供IC50≤10nM;具有的活性代号为“B”的化合物提供IC50>10nM和≤100nM;具有的活性代号为“C”的化合物提供IC50>100nM和≤1000nM;具有的活性代号为“D”的化合物提供IC50>1000nM和<10,000nM;和具有的活性代号为“E”的化合物提供IC50≥10,000nM。
表2
D.与本发明化合物接触的XIAP的质谱分析
实施例51
将完整的XIAP用相对于蛋白10倍过量的VII-1培养18小时。将3ul样品等分试样用10ul的0.1%TFA稀释,之后将micro C4 ZipTipping直接用于MALDI靶点,利用芥子酸作为解吸基质(在0.1%TFA:乙腈50:50中10mg/mL)。图6的上部图显示完整的XIAP蛋白的质谱分析图(m/z13,096Da)。图6的底部图显示用VII-1(mw=469.59)培养18hr的XIAP(m/z为13,513)的质谱分析图,其显示出质量迁移417Da,没有m/z 13,096,其表明在18小时内VII-1对XIAP的修饰完成。
实施例52
将完整的XIAP用相对于蛋白10倍过量的VII-1培养18小时。在培养之后,将该蛋白使用低容量ZEBA脱盐柱清洗,然后用等量的0.2M碳酸氢铵与1mM DTT稀释。接着,通过在56℃下加45分钟热还原蛋白。在培养之后,使样品冷却至室温,之后加入1.9μg/μl的碘乙酰胺溶液,并在室温下培养30分钟以烷基化半胱氨酸残基。以1:20(蛋白酶∶蛋白)比例加入测序级胰蛋白酶(promega),并在37℃下培养16小时。接着,使用C4封装的移液管尖头(pipette tips)(Millipore)纯化和富集,并直接点样在具有α-氰基-4-羟基肉桂酸作为基质(在0.1%TFA:乙腈50:50中10mg/mL)MALDI靶板上。
图7的上部图显示对照XIAP消化物的质量区域的质谱分析图,图7的底部图显示用VII-1培养的XIAP消化物的质谱分析图。鉴别在XIAP+VII-21消化物中m/z为1,826Da的肽,但是在对照XIAP消化物中没有观察到该肽,其对应于来自包含单一VII-1修饰的XIAP的肽氨基酸287-299(AGFYALGEGDKVK)的质量。在赖氨酸K297出现肽的修饰,而在K299没有出现,因为如果在K299出现修饰,则胰蛋白酶消化不会在该位点出现,表明VII-1结合XIAP的K297。
实施例53
将完整的XIAP用相对于蛋白10倍过量的VII-21培养18小时。将3ul样品等分试样用10ul的0.1%TFA稀释,之后将micro C4 ZipTipping直接用于MALDI靶点,利用芥子酸作为解吸基质(在0.1%TFA:乙腈50:50中10mg/mL)。结果:图8的上部图显示完整的XIAP蛋白(m/z 12,994Da)的质谱分析图。图8的底部图显示用VII-21(mw=572.62)培养18hr(m/z为13,516)的XIAP的质谱分析图,其显示质量迁移522Da,没有m/z 12,994Da,表明在18小时内VII-21对XIAP的修饰完成。
实施例54
将完整的XIAP用相对于蛋白10倍过量的VII-21培养18小时。在培养之后,将该蛋白使用低容量ZEBA脱盐柱清洗,然后用等量的100mM TrisHCl,10mM CaCl2,与1mM DTT pH 7.8稀释。接着,通过在56℃下加45分钟热还原蛋白。在培养之后,使样品冷却至室温,之后加入1.9μg/μl的碘乙酰胺溶液,并在室温下培养30分钟以烷基化半胱氨酸残基。最后,以1:20(蛋白酶∶蛋白)比例加入糜蛋白酶(ROChe),并在室温下培养16小时。接着,使用C4封装的移液管尖头(Millipore)纯化和富集,并直接点样在具有α-氰基-4-羟基肉桂酸作为基质(在0.1%TFA:乙腈50:50中10mg/mL)MALDI靶板上。
图9的上部图显示对照XIAP消化物的分子重量的质谱分析图,图9的底部图显示用VII-21培养的XIAP消化物的质谱分析图。鉴别在XIAP+VII-21消化物中m/z为1,750Da的肽,其在对照XIAP消化物中部存在。该肽对应于来自包含单一VII-21修饰的XIAP的氨基酸291-301(ALGEGDKVKCF)的肽和和半胱氨酸烷基化的碘乙酰胺的质量。
C.HCV蛋白酶合成实施例
实施例55
(5S)-1-((S)-2-(叔-丁氧基羰基氨基)-5-氧代-5-((1R,4R)-3-氧代-2-氧杂-5-氮杂二环[2.2.1]庚烷-5-基)戊酰基)-5-((1R,2S)-1-(环丙基磺酰基氨基甲酰基)-2-乙烯基环丙基氨基甲酰基)吡咯烷-3-基4-氟异二氢吲哚-2-羧酸酯:根据如下描述的步骤和中间体制备标题化合物。
中间体1a
在搅拌下,向(1R,2S)-1-氨基-2-乙烯基环丙烷羧酸乙酯甲苯磺酸(0.33g,1.0mmol)和(2S,4R)-1-(叔-丁氧基羰基)-4-(4-氟异二氢吲哚-2-羰基氧)吡咯烷-2-羧酸(0.4g,1.0mmol)在10mL乙腈中的溶液中加入HATU(0.44g,1.2mmol),之后加入DIEA(0.46mL,2.5mmol)。将该混合物在室温下搅拌两小时。在完全消耗起始物质之后,蒸发该反应混合物。将残余物溶于30mL乙酸乙酯中,用水和盐水洗涤两次,并经Na2SO4干燥。在除去溶剂之后,使粗产物接受在硅胶上的色谱(己烷:EtOAc=1:1)。得到0.35g的标题化合物:MS m/z:532.0(ES+)。
中间体1b
向步骤1a(0.35g,0.66mmol)的产物在5mL THF/MeOH(1:1)中的溶液中加入1N LiOH水溶液(2mL,2.0mmol)。在室温下搅拌10小时之后,用1.0N HCl中和该反应混合物。真空蒸发有机溶剂,将剩余水相使用1.0NHCl酸化至pH~3,并用EtOAc萃取。用盐水洗涤有机层,并经无水硫酸镁干燥。在除去溶剂之后,得到0.3g标题化合物:MS m/z:526.2(M+Na+)。
中间体1c
向步骤1b的产物(0.30g,0.6mmol)在10mL DCM中的溶液中加入CDI(0.16g,1.0mmol),并在40℃下,将得到的溶液搅拌1小时。将环丙基磺酰胺(0.18g,1.5mmol)和DBU(0.16g,1.0mmol)加入到反应混合物中。在40℃下,将该混合物再搅拌10小时。然后,除去溶剂,用EtOAc稀释残余物,并用含水NaOAc缓冲液(pH~5,2×10mL)、NaHCO3溶液和盐水洗涤。在经Na2SO4干燥和除去溶剂之后,使残余物接受在硅胶上的色谱,使用己烷/EtOAc(1:1~1:2)洗脱。得到总共0.30g的标题化合物:Rf0.1(EtOAc:己烷=1:1),MS m/z:605.0(ES-)。
中间体1d
将步骤1c的产物(0.25g,0.41mmol)溶于在二噁烷中的4N HCl中。将该混合物在室温下搅拌1小时。在除去溶剂之后,倾倒入10-mL份的DCM,接着蒸干。将加入DCM和接着蒸发的处理重复四次,得达残余物固体,其直接用于下一步中:MS m/z:507.0(M+H+)。
中间体1e
向213mg(1R,4R)-3-氧代-2-氧杂-5-氮杂二环[2.2.1]庚烷-5-羧酸叔丁基酯(213mg,1mmol)在1mL DCM中的搅拌溶液中加入2.0mL在二噁烷中的4M HCl。将得到的混合物在室温下搅拌30分钟,蒸干,得到期望的HCl盐,其直接用于下一步中。
中间体1f:
向1-苄基-N-BOC-L-谷氨酸(170mg,0.5mmol)、0.5mmol的中间体1e和250μl的Hunig’s碱在2mL DCM中的搅拌混合物中加入1.5mL在DCM中的0.5M 2-氯-1,3-二甲基咪唑啉鎓氯化物溶液。将得到的混合物在室温下搅拌30分钟,并浓缩。使残余物接受采用EtOAc、1N HCl水溶液的常规处理,经无水硫酸钠干燥。在过滤和浓缩之后,通过在硅胶上的快速柱色谱纯化产物,采用庚烷/EtOAc 1/4洗脱,得到146mg的无色油状物(67%)。LC-MS:333.2(ES+,M-BOC)
中间体1g:
在无水MeOH中,使140mg来自上一步骤的苄基酯接受作为催化剂的20mg Pd(OH)2氢化。在室温下1小时,LC-MS显示完成苯甲基的除去。将反应混合物通过celite过滤,并浓缩,得到呈泡沫状固体的期望的酸。LC-MS:243.2(ES+,M-BOC)。
中间体1h:
按照与制备中间体1g相同的方法,使用对映体双环内酯作为在用于制备中间体1e的步骤中的起始物质,合成中间体1h。
中间体1i:
按照与制备中间体1g相同的方法,使用用于制备中间体1f的1-苄基-N-BOC-天冬氨酸代替1-苄基-N-BOC-L-谷氨酸,合成中间体1i。
中间体1j:
按照与制备中间体1h相同的方法,使用用于制备中间体1f的1-苄基-N-BOC-L-天冬氨酸代替1-苄基-N-BOC-L-谷氨酸,合成中间体1j。
(5S)-1-((S)-2-(叔-丁氧基羰基氨基)-5-氧代-5-((1R,4R)-3-氧代-2-氧杂-5-氮杂二环[2.2.1]庚烷-5-基)戊酰基)-5-((1R,2S)-1-(环丙基磺酰基-氨基甲酰基)-2-乙烯基环丙基氨基甲酰基)吡咯烷-3-基4-氟异二氢吲哚-2-羧酸酯(XVI-16):向15mg的中间体1d、8mg的中间体1g和20μl的Hunig’s碱在1mL的DMA中的混合物中加入20mg的HATU。在室温下搅拌20分钟之后,通过Prep-HPLC纯化得到的混合物,得到XVI-16。LC-MS:829.2(ES-)。
实施例56
(5S)-1-((S)-2-(叔-丁氧基羰基氨基)-5-氧代-5-((1S,4S)-3-氧代-2-氧杂-5-氮杂二环[2.2.1]庚烷-5-基)戊酰基)-5-((1R,2S)-1-(环丙基磺酰基氨基甲酰基)-2-乙烯基环丙基氨基甲酰基)吡咯烷-3-基4-氟异二氢吲哚-2-羧酸酯:根据如下描述的步骤和中间体制备标题化合物。
(5S)-1-((S)-2-(叔-丁氧基羰基氨基)-5-氧代-5-((1S,4S)-3-氧代-2-氧杂-5-氮杂二环[2.2.1]庚烷-5-基)戊酰基)-5-((1R,2S)-1-(环丙基磺酰基氨基甲酰基)-2-乙烯基环丙基氨基甲酰基)吡咯烷-3-基4-氟异二氢吲哚-2-羧酸酯(XVI-17):按照与用于XVI-16相同的方法,对于最后一步使用中间体1h代替中间体1g,制备标题化合物。LC-MS:829.2(ES-)。
实施例57
(5S)-1-((S)-2-(叔-丁氧基羰基氨基)-4-氧代-4-((1S,4S)-3-氧代-2-氧杂-5-氮杂二环[2.2.1]庚烷-5-基)丁酰基)-5-((1R,2S)-1-(环丙基磺酰基氨基甲酰基)-2-乙烯基环丙基氨基甲酰基)吡咯烷-3-基4-氟异二氢吲哚-2-羧酸酯:根据如下描述的步骤和中间体制备标题化合物。
(5S)-1-((S)-2-(叔-丁氧基羰基氨基)-4-氧代-4-((1S,4S)-3-氧代-2-氧杂-5-氮杂二环[2.2.1]庚烷-5-基)丁酰基)-5-((1R,2S)-1-(环丙基磺酰基氨基甲酰基)-2-乙烯基环丙基氨基甲酰基)吡咯烷-3-基4-氟异二氢吲哚-2-羧酸酯(XVI-15):按照与用于XVI-16相同的方法,对于最后一步使用中间体1i代替中间体1g,制备标题化合物。LC-MS:815.3(ES-)。
实施例58
(5S)-1-((S)-2-(叔-丁氧基羰基氨基)-4-氧代-4-((1R,4R)-3-氧代-2-氧杂-5-氮杂二环[2.2.1]庚烷-5-基)丁酰基)-5-((1R,2S)-1-(环丙基磺酰基氨基甲酰基)-2-乙烯基环丙基氨基甲酰基)吡咯烷-3-基4-氟异二氢吲哚-2-羧酸酯:根据如下描述的步骤和中间体制备标题化合物。
(5S)-1-((S)-2-(叔-丁氧基羰基氨基)-4-氧代-4-((1R,4R)-3-氧代-2-氧杂-5-氮杂二环[2.2.1]庚烷-5-基)丁酰基)-5-((1R,2S)-1-(环丙基磺酰基氨基甲酰基)-2-乙烯基环丙基氨基甲酰基)吡咯烷-3-基4-氟异二氢吲哚-2-羧酸酯(XVI-14):按照与用于XVI-16相同的方法,对于最后一步使用中间体1j代替中间体1g,制备标题化合物。LC-MS:815.3(ES-)。
实施例59
(5S)-5-((1R,2S)-1-(环丙基磺酰基氨基甲酰基)-2-乙烯基环丙基氨基甲酰基)-1-((S)-5-氧代四氢呋喃-2-羰基)吡咯烷-3-基4-氟异二氢吲哚-2-羧酸酯(XVI-23):按照与用于制备XVI-16相同的化学方法,使用中间体1d偶联(2S)-5-氧代-四氢-呋喃-2-羧酸,合成标题化合物。LC-MS:617.2(ES-)。
实施例60
(5S)-5-((1R,2S)-1-(环丙基磺酰基氨基甲酰基)-2-乙烯基环丙基氨基甲酰基)-1-((R)-5-氧代四氢呋喃-2-羰基)吡咯烷-3-基4-氟异二氢吲哚-2-羧酸酯(XVI-22):按照与用于制备XVI-16相同的化学方法,使用中间体1d偶联(2R)-5-氧代-四氢-呋喃-2-羧酸,合成标题化合物。LC-MS:617.2(ES-)。
实施例61
(5S)-5-((1R,2S)-1-(环丙基磺酰基氨基甲酰基)-2-乙烯基环丙基氨基甲酰基)-1-(2-((S)-5-氧代四氢呋喃-2-羧酰氨基)乙酰基)吡咯烷-3-基4-氟异二氢吲哚-2-羧酸酯:根据如下描述的步骤和中间体制备标题化合物。
中间体2a
在室温下,在搅拌下,向中间体1d(0.12g,0.22mmol)和N-BOC-甘氨酸(0.054g,0.31mmol)在4.0mL乙腈中的溶液中加入HATU(133mg,0.35mmol)和DIEA(0.12mL,0.66mmol)。将该反应混合物搅拌2小时。LC-MS和TLC分析显示完成偶联反应。倾倒入20mL的EtOAc,用缓冲液(pH~4,AcONa/AcOH)、NaHCO3和盐水洗涤该混合物,并经Na2SO4干燥。在除去溶剂之后,使粗产物接受在硅胶上的色谱(洗脱液:EtOAc/己烷)。得到总共0.10g的标题化合物:Rf0.2(EtOAc);MS m/z:664.0(M+H+)。
中间体2b
将中间体2a(0.10g,0.15mmol)溶于2mL在二噁烷中的4N HCl中,在室温下,搅拌该反应1小时。在除去溶剂之后,倾倒入3-mL份的DCM,接着蒸干。将加入DCM和接着蒸发的处理重复三次,得到呈其HCl盐的标题化合物中间体2b(0.10g)。MS m/z:564.0(M+H+)。
实施例62
(5S)-5-((1R,2S)-1-(环丙基磺酰基氨基甲酰基)-2-乙烯基环丙基氨基甲酰基)-1-(2-((S)-5-氧代四氢呋喃-2-羧酰氨基)乙酰基)吡咯烷-3-基4-氟异二氢吲哚-2-羧酸酯(XVI-13):按照与用于制备XVI-23相同的化学方法,使用中间体2b偶联(2S)-5-氧代-四氢-呋喃-2-羧酸,合成标题化合物。LC-MS:676.2(ES+),674.1(ES-)。
实施例63
(5S)-5-((1R,2S)-1-(环丙基磺酰基氨基甲酰基)-2-乙烯基环丙基氨基甲酰基)-1-(2-((R)-5-氧代四氢呋喃-2-羧酰氨基)乙酰基)吡咯烷-3-基4-氟异二氢吲哚-2-羧酸酯(XVI-12):按照与用于制备XVI-13相同的化学方法,使用中间体2b偶联(2R)-5-氧代-四氢-呋喃-2-羧酸,合成标题化合物。LC-MS:676.2(ES+),674.1(ES-)。
实施例64
(5S)-1-((S)-2-(叔-丁氧基羰基氨基)-3-((S)-5-氧代四氢呋喃-2-羧酰氨基)丙酰基)-5-((1R,2S)-1-(环丙基磺酰基氨基甲酰基)-2-乙烯基环丙基氨基甲酰基)吡咯烷-3-基4-氟异二氢吲哚-2-羧酸酯:根据如下描述的步骤和中间体制备标题化合物。
中间体3a
在室温下,在搅拌下,向中间体1d(0.16g,0.28mmol)和N-BOC-3-(Fmoc)氨基-L-丙氨酸(0.15g,0.35mmol)在5.0mL的DMF中的溶液中加入HATU(125mg,0.33mmol)和DIEA(130mg,1.0mmol)。TLC分析显示在一小时之后完成偶联反应。倾倒入20mL份EtOAc,用缓冲液(pH~4,AcONa/AcOH)、NaHCO3和盐水洗涤该混合物,并经MgSO4干燥。在除去溶剂之后,使粗油状产物接受在硅胶上的色谱(洗脱液:EtOAc/己烷)。得到总共0.14g的标题化合物:LC-MS:915.9(ES+)。
中间体3b
在室温下,将0.10g中间体3a的产物在1mL DMF中的溶液与12%哌啶搅拌1.5小时,然后在高真空下蒸干。将残余物用己烷/乙醚(4:1)研磨,得到70mg的标题化合物。LC-MS:693.2(ES+),691.2(ES-)。
实施例65
(5S)-1-((S)-2-(叔-丁氧基羰基氨基)-3-((S)-5-氧代四氢呋喃-2-羧酰氨基)丙酰基)-5-((1R,2S)-1-(环丙基磺酰基氨基甲酰基)-2-乙烯基环丙基氨基甲酰基)吡咯烷-3-基4-氟异二氢吲哚-2-羧酸酯(XVI-21):按照与用于制备XVI-23相同的化学方法,使用中间体3b偶联(2S)-5-氧代-四氢-呋喃-2-羧酸,合成标题化合物。LC-MS:803.2(ES-)。
实施例66
(5S)-1-((S)-2-(叔-丁氧基羰基氨基)-3-((R)-5-氧代四氢呋喃-2-羧酰氨基)丙酰基)-5-((1R,2S)-1-(环丙基磺酰基氨基甲酰基)-2-乙烯基环丙基氨基甲酰基)吡咯烷-3-基4-氟异二氢吲哚-2-羧酸酯(XVI-20):按照与用于制备XVI-21相同的化学方法,使用中间体3b偶联(2R)-5-氧代-四氢-呋喃-2-羧酸,合成标题化合物。LC-MS:803.2(ES-)。
实施例67
(5S)-1-((S)-2-(叔-丁氧基羰基氨基)-3-((S)-N-甲基-5-氧代四氢呋喃-2-羧酰氨基)丙酰基)-5-((1R,2S)-1-(环丙基磺酰基氨基甲酰基)-2-乙烯基环丙基氨基甲酰基)吡咯烷-3-基4-氟异二氢吲哚-2-羧酸酯:根据如下描述的步骤和中间体制备标题化合物。
中间体4a
在室温下,向(S)-3-氨基-2-(叔-丁氧基羰基氨基)丙酸(2.04g,10mmol)、TEA(4.5mL,30mmol)在50mL CH2Cl2中的溶液中加入硝基苯磺酰氯(2.9g,13.0mmol)。将该混合物在室温下搅拌10小时。真空除去溶剂,接着加入100mL的EtOAc。用1n HCl(至pH 3)、水和盐水洗涤有机层。将有机层经Na2SO4干燥,过滤,并除去溶剂,得到粗中间体4a(4.0g)。
中间体4b
将粗中间体4a(2.0g)、K2CO3(1.5,4当量.)溶于10mL DMF中。在室温下,将MeI(0.8mL,4当量)加入到反应中。将得到的混合物搅拌20小时。在真空下除去大部分DMF,加入100mL EtOAc,并用水和盐水洗涤该混合物。经Na2SO4干燥有机层。在除去溶剂之后,使粗产物接受短的硅胶柱(洗脱液:EtOAc/己烷),得到1.62g的中间体4b。MS m/z:439.9(M+Na+)。
中间体4c
向中间体4b(1.6g,3.8mmol)在10mL THF/MeOH(1:1)中的溶液中加入1N LiOH水溶液(5.8mL,5.8mmol)。在室温下搅拌10小时之后,用1.0N HCl中和该反应混合物。真空蒸发有机溶剂,使用1.0N HCl将剩余水相酸化至pH~3,用EtOAc萃取。将有机层用盐水洗涤,并经无水硫酸钠干燥。在除去溶剂之后,得到1.5g的中间体4c。MS m/z:402.0(ES-)。
中间体4d
在室温下,在搅拌下,向中间体1d(0.12g,0.20mmol)和中间体4c(0.12g,0.3mmol)在5.0mL无水乙睛中的溶液中加入HATU(0.11,0.3mmol)和DIEA(0.14mL,0.9mmol)。在1小时之后,TLC分析和LC-MSC分析显示完成偶联反应。倾倒入20mL份EtOAc,并用缓冲液(pH~4,AcONa/AcOH)、NaHCO3和盐水洗涤该混合物。经Na2SO4干燥有机层。在除去溶剂之后,使粗产物接受在硅胶上的色谱(洗脱液:EtOAc/己烷)。得到总共0.10g的中间体4d:Rf0.1(EtOAc);MS m/z:891.8(M+H+)。
中间体4e
向中间体4d(0.10g,0.11mmol)在3mL DMF中的溶液中加入苯基硫(30mg,0.26mmol)和K2CO3(40mg,0.3mmol)。在室温,将得到的混合物搅拌20小时。加入30mL的EtOAc,并用水和盐水和水洗涤该混合物。经Na2SO4干燥有机层。在除去溶剂之后,使粗产物接受在硅胶上的色谱(洗脱液:EtOAc/己烷),得到0.1g的粗中间体4e。MS m/z:706.9(M+H+)。
实施例68
(5S)-1-((S)-2-(叔-丁氧基羰基氨基)-3-((S)-N-甲基-5-氧代四氢呋喃-2-羧酰氨基)丙酰基)-5-((1R,2S)-1-(环丙基磺酰基氨基甲酰基)-2-乙烯基环丙基氨基甲酰基)吡咯烷-3-基4-氟异二氢吲哚-2-羧酸酯(XVI-19):按照与用于制备XVI-21相同的化学方法,使用中间体4e代替中间体3b偶联(2R)-5-氧代-四氢-呋喃-2-羧酸,合成标题化合物。LC-MS:817.2(ES-)。
实施例69
(5S)-1-((S)-2-(叔-丁氧基羰基氨基)-3-((R)-N-甲基-5-氧代四氢呋喃-2-羧酰氨基)丙酰基)-5-((1R,2S)-1-(环丙基磺酰基氨基甲酰基)-2-乙烯基环丙基氨基甲酰基)吡咯烷-3-基4-氟异二氢吲哚-2-羧酸酯(XVI-18):按照与用于制备XVI-20相同的化学方法,使用中间体4e代替中间体3b偶联(2S)-5-氧代-四氢-呋喃-2-羧酸,合成标题化合物。LC-MS:817.2(ES-)。
实施例70
(5S)-1-((S)-2-(叔-丁氧基羰基氨基)-4-((S)-5-氧代四氢呋喃-2-羧酰氨基)丁酰基)-5-((1R,2S)-1-(环丙基磺酰基氨基甲酰基)-2-乙烯基环丙基氨基甲酰基)吡咯烷-3-基4-氟异二氢吲哚-2-羧酸酯:根据如下描述的步骤和中间体制备标题化合物。
中间体5a
按照与用于中间体3b相同的方法,使用(S)-4-(((9H-芴-9-基)甲氧基)羰基氨基)-2-(叔-丁氧基羰基氨基)丁酸代替N-BOC-3-(Fmoc)氨基-L-丙氨酸,制备中间体5a。LC-MS:707.2(ES+)
实施例71
(5S)-1-((S)-2-(叔-丁氧基羰基氨基)-4-((S)-5-氧代四氢呋喃-2-羧酰氨基)丁酰基)-5-((1R,2S)-1-(环丙基磺酰基氨基甲酰基)-2-乙烯基环丙基氨基甲酰基)吡咯烷-3-基4-氟异二氢吲哚-2-羧酸酯(XVI-11):按照与制备XVI-19相同的化学方法,使用5a代替中间体4e偶联(2S)-5-氧代-四氢呋喃-2-羧酸,合成标题化合物。LC-MS:817.2(ES-)。
实施例72
(5S)-1-((S)-2-(叔-丁氧基羰基氨基)-4-((R)-5-氧代四氢呋喃-2-羧酰氨基)丁酰基)-5-((1R,2S)-1-(环丙基磺酰基氨基甲酰基)-2-乙烯基环丙基氨基甲酰基)吡咯烷-3-基4-氟异二氢吲哚-2-羧酸酯(XVI-10):按照与制备XVI-18相同的化学方法,使用5a代替中间体4e偶联(2S)-5-氧代-四氢呋喃-2-羧酸,合成标题化合物。LC-MS:817.2(ES-)。
实施例73
(2S)-1-((2S)-2-((1R,2S)-1-(环丙基磺酰基氨基甲酰基)-2-乙烯基环丙基氨基甲酰基)-4-(6-甲氧基异喹啉-1-基氧基)吡咯烷-1-基)-1,5-二氧代-5-((1S,4S)-3-氧代-2-氧杂-5-氮杂二环[2.2.1]庚烷-5-基)戊烷-2-基氨基甲酸叔丁酯:根据如下描述的步骤和中间体制备标题化合物。
中间体6a:
按照WO 2006086381公开的方法,制备中间体6a。
中间体6b:
按照与用于制备中间体1g相同的方法,在制备中间体1e中使用(1S,4S)-叔丁基3-氧代-2-氧杂-5-氮杂二环[2.2.2]辛烷-5-羧酸酯作为起始物质代替(1R,4R)-3-氧代-2-氧杂-5-氮杂二环[2.2.1]庚烷-5-羧酸叔丁酯,合成中间体6b。LC-MS:355.1(ES-)。
中间体6c:
按照与用于制备中间体1g相同的方法,在制备中间体1e中使用(1S,5S)-6-氧杂-2-氮杂二环[3.2.1]辛-7-酮作为起始物质代替(1R,4R)-3-氧代-2-氧杂-5-氮杂二环[2.2.1]庚烷-5-羧酸叔丁酯,合成中间体6c。LC-MS:355.1(ES-)。
实施例74
(2S)-1-((2S)-2-((1R,2S)-1-(环丙基磺酰基氨基甲酰基)-2-乙烯基环丙基氨基甲酰基)-4-(6-甲氧基异喹啉-1-基氧基)吡咯烷-1-基)-1,5-二氧代-5-((1S,4S)-3-氧代-2-氧杂-5-氮杂二环[2.2.1]庚烷-5-基)戊烷-2-基氨基甲酸叔丁酯(XVI-9):按照与用于XVI-17相同的方法,使用中间体6a作为起始物质代替中间体1d,合成标题化合物。LC-MS:825.3(ES+),823.2(ES-)。
实施例75
(2S)-1-((2S)-2-((1R,2S)-1-(环丙基磺酰基氨基甲酰基)-2-乙烯基环丙基氨基甲酰基)-4-(6-甲氧基异喹啉-1-基氧基)吡咯烷-1-基)-1,5-二氧代-5-((1R,4R)-3-氧代-2-氧杂-5-氮杂二环[2.2.1]庚烷-5-基)戊烷-2-基氨基甲酸叔丁酯(XVI-8):按照与用于XVI-16相同的方法,使用中间体6a作为起始物质代替中间体1d,合成标题化合物。LC-MS:825.3(ES+),823.2(ES-)。
实施例76
(2S)-1-((2S)-2-((1R,2S)-1-(环丙基磺酰基氨基甲酰基)-2-乙烯基环丙基氨基甲酰基)-4-(6-甲氧基异喹啉-1-基氧基)吡咯烷-1-基)-1,4-二氧代-4-((1S,4S)-3-氧代-2-氧杂-5-氮杂二环[2.2.1]庚烷-5-基)丁烷-2-基氨基甲酸叔丁酯(XVI-7):按照与用于XVI-15相同的方法,使用中间体6a作为起始物质代替中间体1d,合成标题化合物。LC-MS:811.2(ES+),809.1(ES-)。
实施例77
N1-((2S)-1-((2S)-2-((1S,2R)-1-(环丙基磺酰基氨基甲酰基)-2-乙烯基环丙基氨基甲酰基)-4-(6-甲氧基异喹啉-1-基氧基)吡咯烷-1-基)-1,5-二氧代-5-((1S,4S)-3-氧代-2-氧杂-5-氮杂二环[2.2.1]庚烷-5-基)戊烷-2-yl)-N5-(15-氧代-19-((3aS,4S,6aR)-2-氧代六氢-1H-噻吩并[3,4-d]咪唑-4-基)-4,7,10-三噁-14-氮杂十九烷基)戊二酸酰胺(XVI-27):向2mg的XVI-7在100uL的无水DCM中的溶液中加入50uL的TFA。在室温下搅拌1小时之后,减压除去溶剂,在真空中干燥残余物2小时。然后,加入0.5mL的无水乙睛,接着加入50uL的Hunig’s碱、5mg的5,21-二氧代-25-((3aS,4S,6aR)-2-氧代六氢-1H-噻吩并[3,4-d]咪唑-4-基)-10,13,16-三噁-6,20-二氮杂二十五-1-酸和6mg的HATU。将该反应混合物在室温下搅拌1小时,然后通过制备-HPLC纯化,在冷冻干燥之后,得到呈白色粉末的期望的工具化合物XVI-27。LC-MS:1267.5(ES+),1265.6(ES-)
实施例78
(2S)-1-((2S)-2-((1R,2S)-1-(环丙基磺酰基氨基甲酰基)-2-乙烯基环丙基氨基甲酰基)-4-(6-甲氧基异喹啉-1-基氧基)吡咯烷-1-基)-1,4-二氧代-4-((1R,4R)-3-氧代-2-氧杂-5-氮杂二环[2.2.1]庚烷-5-基)丁烷-2-基氨基甲酸叔丁酯(XVI-6):按照与用于XVI-14相同的方法,使用中间体6a作为起始物质代替中间体1d,合成标题化合物。LC-MS:811.2(ES+),809.1(ES-)。
实施例79
(2S)-1-((2S)-2-((1R,2S)-1-(环丙基磺酰基氨基甲酰基)-2-乙烯基环丙基氨基甲酰基)-4-(6-甲氧基异喹啉-1-基氧基)吡咯烷-1-基)-1,5-二氧代-5-((1S,4S)-3-氧代-2-氧杂-5-氮杂二环[2.2.2]辛烷-5-基)戊烷-2-基氨基甲酸叔丁酯(XVI-3):按照与用于XVI-9相同的方法,使用中间体6b作为中间体1h的偶联酸,合成标题化合物。LC-MS:839.3(ES+),837.3(ES)。
实施例80
(2S)-1-((2S)-2-((1R,2S)-1-(环丙基磺酰基氨基甲酰基)-2-乙烯基环丙基氨基甲酰基)-4-(6-甲氧基异喹啉-1-基氧基)吡咯烷-1-基)-1,5-二氧代-5-((1R,5S)-7-氧代-6-氧杂-2-氮杂二环[3.2.1]辛烷-2-基)戊烷-2-基氨基甲酸叔丁酯(XVI-2):按照与用于XVI-3相同的方法,使用中间体6c作为中间体6b的偶联酸,合成标题化合物。LC-MS:839.3(ES+),837.3(ES-)。
实施例81
(2S)-1-((2S)-2-((1R,2S)-1-(环丙基磺酰基氨基甲酰基)-2-乙烯基环丙基氨基甲酰基)-4-(7-甲氧基-2-苯基喹啉-4-基氧基)吡咯烷-1-基)-1,5-二氧代-5-(2-氧代氮杂环丁烷-1-基)戊烷-2-基氨基甲酸叔丁酯:根据如下描述的步骤和中间体制备标题化合物。
中间体7a:
按照如WO2006086381中公开的方法,制备中间体7a。
中间体7b:
在-78℃下,向氮杂环丁烷-2-酮(36mg,0.5mmol)在5mL无水THF中的搅拌溶液中加入正-BuLi(1.6M,0.31mL)。将该溶液在-78℃下搅拌0.5小时,并温热至室温。然后,将该溶液转移到(S)-5-(苄氧基)-4-(叔-丁氧基羰基氨基)-5-氧代戊酸(0.25g,0.75mmol)和DCC(0.16g,0.75mmol)在5mL二氯甲烷(预搅拌10分钟)中的搅拌溶液中。然后,向该混合物中加入DIEA(0.55mmol)和DMAP(0.2mmol),并在室温下搅拌该溶液10小时。除去溶剂,并通过在硅胶上的快速柱色谱(采用庚烷/EtOAc(1:1))纯化粗物质,得到30mg白色固体(20%),为中间体7b。LC-MS:291.1(ES+,M-BOC)。
中间体7c
将中间体7b(30mg)在乙酸乙酯(H2,Pd/C,1h)中氢化,得到去保护的羧酸30mg(100%)。LC-MS:299.1(ES-)。
实施例82
(2S)-1-((2S)-2-((1R,2S)-1-(环丙基磺酰基氨基甲酰基)-2-乙烯基环丙基氨基甲酰基)-4-(7-甲氧基-2-苯基喹啉-4-基氧基)吡咯烷-1-基)-1,5-二氧代-5-(2-氧代氮杂环丁烷-1-基)戊烷-2-基氨基甲酸叔丁酯(XVI-26):经由对于XVI-16描述的化学方法,使用中间体7a和中间体7c合成标题化合物。LC-MS:859.3(ES+)。
实施例83
(S)-1-((2S,4R)-2-((1R,2S)-1-(环丙基磺酰基氨基甲酰基)-2-乙烯基环丙基氨基甲酰基)-4-(6-甲氧基异喹啉-1-基氧基)吡咯烷-1-基)-1,5-二氧代-5-(2-氧代氮杂环丁烷-1-基)戊烷-2-基氨基甲酸叔丁酯(XVI-1):按照与用于XVI-26相同的方法,使用中间体6a和中间体7c作为反应物,合成标题化合物。LC-MS:783.3(ES+)。
实施例84
(5S)-1-((S)-2-(叔-丁氧基羰基氨基)-3-((2R,3S)-2-甲基-4-氧代氧杂环丁烷(oxetan)-3-基氨基甲酰基氧基)丙酰基)-5-((1R,2S)-1-(环丙基磺酰基氨基甲酰基)-2-乙烯基环丙基氨基甲酰基)吡咯烷-3-基4-氟异二氢吲哚-2-羧酸酯:根据如下描述的步骤和中间体制备标题化合物。
中间体8a
经由HATU偶联反应,使用中间体1d与N-BOC-L-丝氨酸制备中间体8a。LC-MS:692.2(ES-)。
实施例85
(5S)-1-((S)-2-(叔-丁氧基羰基氨基)-3-((2R,3S)-2-甲基-4-氧代氧杂环丁烷-3-基氨基甲酰基氧基)丙酰基)-5-((1R,2S)-1-(环丙基磺酰基氨基甲酰基)-2-乙烯基环丙基氨基甲酰基)吡咯烷-3-基4-氟异二氢吲哚-2-羧酸酯(XVI-25):在0℃下,用2当量在DCM中的光气处理中间体8a 1小时。减压蒸发得到的混合物。加入在乙腈中的1当量的(3S,4R)-3-氨基-4-甲基氧杂环丁烷-1-酮和2当量的Hunig’s碱,并将得到的混合物在室温下搅拌1小时。在浓缩之后,使得到的残余物接受制备-HPLC纯化,得到期望的XVI-25。LC-MS:843.1(ES+,M+Na)
实施例86
(2S)-1-((2S)-2-((1R,2S)-1-(环丙基磺酰基氨基甲酰基)-2-乙烯基环丙基氨基甲酰基)-4-(7-甲氧基-2-苯基喹啉-4-基氧基)吡咯烷-1-基)-1-氧代-3-((S)-5-氧代四氢呋喃-2-羧酰氨基)丙烷-2-基氨基甲酸叔丁酯:根据如下描述的步骤和中间体制备标题化合物。
中间体9a
按照与用于中间体3b相同的方法,从代替中间体1d的中间体7a开始,制备中间体9a。LC-MS:763.3(ES+)。
实施例87
(2S)-1-((2S)-2-((1R,2S)-1-(环丙基磺酰基氨基甲酰基)-2-乙烯基环丙基氨基甲酰基)-4-(7-甲氧基-2-苯基喹啉-4-基氧基)吡咯烷-1-基)-1-氧代-3-((S)-5-氧代四氢呋喃-2-羧酰氨基)丙烷-2-基氨基甲酸叔丁酯(XVI-24):按照与用于XVI-21相同的方法,使用中间体9a代替中间体3b,制备标题化合物。LC-MS:875.3.(ES+)。
HCV-NS3生物学数据
表3显示本发明所选化合物在NS3/4A_APP(nM)、S_HCVNS3_INTACT_NS3WT 1b 1HR、S_HCVNS3_INTACT_C139S_3HR、S_HCVNS3_INTACT_K136A_3HR测定中的活性。具有的活性代号为"A"的化合物提供IC50≤1nM;具有的活性代号为"B"的化合物提供IC50>1nM且≤10M;具有的活性代号为"C"的化合物提供IC50>10nM且≤100nM;具有的活性代号为"D"的化合物提供IC50>100nM且<1000nM;且具有的活性代号为"E"的化合物提供IC50≥1000nM。
具有的活性代号为“F”的化合物提供完全修饰;具有的活性代号为“G”的化合物提供>70%的修饰;具有的活性代号为“H”的化合物提供>50%且≤70%的修饰;具有的活性代号为“I”的化合物提供>30%且≤50%的修饰;和具有的活性代号为“K”的化合物提供≤30%的修饰。
表3
一些HCV蛋白酶抑制剂,比如化合物XVI-1、XVI-8、XVI-17、XVI-16和XVI-26提供的HCV蛋白酶或其突变体的修饰>70%。一些HCV蛋白酶抑制剂,比如化合物XVI-6、XVI-7、XVI-9、XVI-14、XVI-15、XV-16和XVI-26提供的HCV蛋白酶或其突变体的修饰>50至≤70%。一些HCV蛋白酶抑制剂,比如化合物XVI-14提供的HCV蛋白酶或其突变体的修饰>30%和<50%。一些HCV蛋白酶抑制剂,比如化合物XVI-1、XVI-2、XVI-3、XVI-4、XVI-5、XVI-9、XVI-19、XVI-24和XVI-25提供的HCV蛋白酶或其突变体的修饰≤30%。
E.与本发明化合物接触的HCV蛋白酶的质谱分析
实施例88
将完整的HCV(蛋白酶)1bWT用相对于蛋白10X倍过量的XVI-26培养1小时。将3ul样品等分试样用10ul的0.1%TFA稀释,之后将micro C4 ZipTipping直接用于MALDI靶点,利用芥子酸作为解吸基质(在0.1%TFA:乙腈50:50中10mg/mL)。图3的上部图显示完整的HCV 1bWT蛋白(m/z 24,529Da)的质谱分析图。图3的中间图显示当用XVI-26(mw=858.9)培养HCV 1bWT时的质谱分析图。质心质量(centroid mass)(m/z=25,340Da)显示正向迁移约811Da,表明XVI-26修饰了HCV 1bWT。或许由于蛋白纯化期间的蛋白错折叠,小部分的错折叠蛋白没有被修饰。
为了测定蛋白修饰是否出现在赖氨酸上,将上述试验的pH从7.4增加到10.0。因为所述复合物赖氨酸加合物会是一种酰胺,任何pH增加将对修饰的蛋白的影响极小。然而,如果修饰出现在半胱氨酸,则得到的硫酯键将不稳定,复合物会水解出蛋白。图3的底部图显示在pH 7.4下HCV1bWT与XVI-26反应1小时,记者在pH 10下反应2小时的质谱分析图,XVI-26没有脱离蛋白,意味着在赖氨酸上出现了加合物。
将完整的HCV(蛋白酶)1bWT、C159S和C159S/K136A用相对于蛋白10X倍过量的XVI-26培养1小时。将3μl样品等分试样用10ul的0.1%TFA稀释,之后将micro C4 ZipTipping直接用于MALDI靶点,利用芥子酸作为解吸基质(在0.1%TFA:乙腈50:50中10mg/mL)。图4的第一个图显示完整的HCV 1bWT蛋白的(m/z 24,460Da)的质谱分析图。图4的第二个图显示当用XVI-26(mw=858.9)培养HCV 1bWT时的质谱分析图,质心质量(m/z=25,320Da)显示正向迁移约860Da,表明XVI-26修饰了HCV 1bWT。图4的第三个图显示当用XVI-26培养HCV C159S突变体时的质谱分析图,质心质量(m/z=25,237Da)显示正向迁移770Da,表明XVI-26修饰了HCVC159S。图4的第四个图显示当用XVI-26培养HCV C159S/K136A双突变体时的质谱分析图,质心质量(m/z=24,412Da)与未修饰的HCVC159S/K136A的质量一致,表明XVI-26没有修饰了HCV C159S/K136A。该数据表明K136时XVI-26修饰的氨基酸.
将整的HCV(蛋白酶)WT1b用相对于蛋白10X倍过量的XVI-1(mw=782.87)培养1hr。将3μl样品等分试样用10ul的0.1%TFA稀释,之后将micro C4ZipTipping直接用于MALDI靶点,利用芥子酸作为解吸基质(在0.1%TFA:乙腈50:50中10mg/mL)。图5的上图显示HCVNS3蛋白(m/z24,550Da)的质谱分析图,图5的下图显示1hr时间点(m/z为24,611&25,372),其显示质量迁移了+755(转化率~72%),表明XVI-1修饰了HCVNS3WT1b。由于在蛋白的纯化期间某些蛋白错折叠,未折叠部分的蛋白不能与XVI-1反应。
实施例89
单链HCV蛋白酶(wt)肽的表达和纯化
将单链蛋白水解结构域(NS4A21-32-GSGS-NS33-631)克隆到pET-14b(Novagen,Madison,WI)中,并转移进DH10B细胞(Invitrogen)。将得到的质粒转移到大肠杆菌BL21(Novagen)中进行蛋白表达和纯化。简而言之,将培养物在37℃,包含100μg/ml的氨苄西林的培养基中培养,直到在600nm(OD600)的光密度达到1.0,并通过加入异丙基-β-D-硫代半乳吡喃糖苷(IPTG)至1mM进行诱导。在18℃下再培养20小时之后,以6,000×g离心10分钟收集细菌,并再悬浮在包含50mM Na3PO4、pH 8.0、300mMNaCl、5mM 2-巯基乙醇、10%甘油、0.5%Igepal CA630和由1mM苯甲基磺酰氟、0.5μg/ml亮肽素、胃酶抑素A和2mM苯甲脒组成的蛋白酶抑制剂混合物的裂解胞缓冲液中。通过冷冻和解冻使细胞裂解,接着超声处理。以12,000×g离心30min除去细胞碎片。将上清液通过穿过0.45-μm过滤器(Corning)进一步澄清化,然后加载到装填有NiSO4的HiTrap螯合柱(Amersham Pharmacia Biotech)上。用咪唑溶液以100-至-500mM的线性梯度洗脱结合蛋白。使所选成分穿过Ni2+柱色谱,并在10%十二烷基硫酸钠(SDS)-聚丙烯酰胺凝胶上进行分析。通过在12%SDS-PAGE凝胶中电泳使纯化蛋白溶解,然后转移到硝基纤维素膜上。使用针对NS3的单克隆抗体分析蛋白,通过蛋白质印迹分析所述蛋白。通过化学发光试剂盒(ROChe)并以辣根过氧化酶-结合的山羊抗小鼠抗体(Pierce)作为第二抗体使蛋白显影。将蛋白等分,并贮存在-80℃。
实施例90
HCV蛋白酶A156S、A156T、D168A、D168V耐药性突变体和C159S突变体的克隆和表达
通过PCR产生NS4A/NS3的突变体DNA片段,并克隆到pET表达载体中。在转移到BL21感受态细胞之后,用IPTG诱导表达2小时。先使用亲和层析柱,接着使用尺寸排阻层析纯化His-标记的融合蛋白。
实施例91
用于Lys清除(Washout)和共价探针的质粒:
图10描述修饰NS3/4A C159S的赖氨酸共价探针化合物XVI-27。使用Accuprime Pfx(Invitrogen)(根据制造商的说明),和在5’端加入NheI位点和FLAG附加表位与在5'端加入XbaI位点的引物,通过扩增NS3和来自pFK-I389-luc-ubi-neo-NS3-3'ET载体的4a序列来构建pCI-Neo-FLAG-NS 3/4a-WT质粒。
(FTAATAAGCTAGCACCATGGACTACAAAGATGATGACGATAAAGGAGCGCCTATTACGGCCTACTCCCAACAG,R-TTATTATCTAGACTAGCACTCTTCCATCTCATCGAACTCCCGGTAAAG)。
然后,采用NheI和XbaI消化得到的PCR产物,并连接到pCI-Neo载体(Invitrogen)的相同位点。然后,将WT构建物用作模板,用于使用快速变换II定位诱变试剂盒(Qiagen)和包含K136R或C159S突变的引物(如下)的定位诱变。
NS3-C159S-F ATCTTTCGGGCTGCCGTGAGCACCCGAGGGGTTGCGAAG
NS3-C159S-R CTTCGCAACCCCTCGGGTGCTCACGGCAGCCCGAAAGAT
NS3-K136R-F GTCTCCTACTTGAGGGGCTCTTCGGGCGGT
NS3-K136R-R ACCGCCCGAAGAGCCCCTCAAGTAGGAGAC
实施例92
作用(清除(washout))延长持续时间的证实
图11描述了采用XVI-26的作用延长持续时间。将亲代Huh-7细胞以1.75×106细胞/100mm平皿谱板在含有10%FBS的培养基中。第二天,使用28ug的质粒和112ul的Lipfectamine 2000(Invitrogen),根据制造商的说明,将细胞转染到OptiMEM中。在用转染的复合物培养4小时之后,将培养基转变为RepliconAssay Medium(补充有5%FBS、1X非必需氨基酸和pen/strep的RPMI)。次日早晨,将细胞用胰蛋白酶处理,计数,并以20,000细胞/孔的密度再铺板到12孔板(每个基因型4孔)。将细胞细胞粘附到所述板,然后,移除培养基,并用包含XVI-26(每种化合物3孔)和0.02%DMSO的1ml培养基替换,再放回培养箱过夜。十六小时之后,将来自每个基因型的1个处理的孔(0hr样品)和1个未处理的孔用PBS冲洗,然后裂解,并刮取到加入完全蛋白酶抑制剂(ROChe,Indianapolis,IN)的30ul细胞萃取缓冲液(Cell Extraction Buffer)(Biosource,Camarillo,CA)中。将其余的孔用PBS清洗2X,然后供应Replicon Media,并放回培养箱。通过除去旧培养基,并用新培养基替换,将细胞每小时清洗一次,并使细胞裂解,在第一次收集之后第1和6小时收集。使用标准免疫印迹方法拆分溶胞产物,评估NS3自切割活性,并相对于未处理的样品进行定量。
实施例93
使用共价探针证实赖氨酸修饰
如图11图解的,分别对于NS3/4A WT、C159S或K136R使用200μg的全细胞溶胞产物。将溶胞产物用1μM生物素化的共价探针XVI-27处理1小时,并用抗-NS3抗体(小鼠)进行免疫沉淀。用抗生蛋白链菌素和抗-NS3抗体(山羊)作为探针检测免疫印迹。对共价探针的成功修饰进行评估,并相对于WT NS3进行定量。
实施例94
测定缓冲液:2%CHAPS、50mM Tris pH 7.5、50%甘油、2uM M-2235(Bachem)底物。在50ul反应中,加入49ul测定缓冲液、1ul(1U)HCV丝氨酸蛋白酶(Bioenza)。在在室温下培养20分钟。在荧光微平板读数器上,在350/460(激发波长/发射波长)读取所述板,或者以1-分钟间隔进行监测,获得动力学曲线。
所述酶耐受1%DMSO和2%甲醇。在试验化合物的实验中,将在纯DMSO中的化合物用20%甲醇(10%DMSO和20%甲醇稀释10倍。将该化合物溶液加入到反应中(不超过最终反应体积的10%)。有机溶剂的最终浓度为:1%DMSO和2%甲醇。
实施例95
用于WT和突变的NS3/4A 1b酶的HCV蛋白酶FRET测定(IC50_APP)。
使用下述实验设计产生“表观”IC50(IC50_APP)值,如描述在下表6中。不希望收到任何特定理论的限制,据认为与IC50值相反,IC50_APP可以为时间依赖性抑制提供更有用的指示,因而更能代表结合亲和力。所述试验设计为一种改良的基于FRET的试验(v_03),其发展用于评估针对野生型和HCV NS3/4A Ib蛋白酶的C159S、A156S、A156T、D168A、D168V、R155K突变体的化合物有效性,等级次序和抗性谱,如下:在50mM Tris-HCl、pH7.5、5mM DTT、2%CHAPS和20%甘油中制备Bioenza(Mountain View,CA)的NS3/4A蛋白酶的10X原液和Anaspec(San Jose,CA)的1.13X5-FAM/QXLTM520FRET肽底物。在点样0.5μL体积的50%DMSO和在50%DMSO中制备的连续稀释的化合物之后,将5μL的每种酶加入到Corning(#3575)384孔,黑色,微孔板(Corning,NY)中。在加入酶之后,通过加入45μL的FRET底物立即开始蛋白酶反应,并在60-90分钟内在来自BioTek(Winooski,VT)的Synergy4平板读数器中,在λex485/λem520下进行监测。基于每个测定的结论,检验每个孔的过程曲线的线性反应动力学和拟合统计(R2,95%置信区间,绝对平方和)。由相对荧光单位对时间(分钟)作图的斜率来确定每次反应的起始速率(0分钟至15+分钟),然后针对抑制剂浓度作图,作为无抑制剂和无酶对照的百分比,由log[抑制剂]对响应估算表观IC50。(来自GraphPad软件的GraphPad Prism(San Diego,CA)中的可变斜率模型.)。
F.PI3激酶抑制剂(LYS)合成实施例
实施例96
1-(4-((2-(1H-吲唑-4-基)-4-吗啉噻吩并[3,2-d]嘧啶-6-基)甲基)哌嗪-1-基)丙-2-烯-1-酮:根据如下描述的步骤和中间体制备标题化合物。
步骤1a:4-(2-氯噻吩并[3,2-d]嘧啶-4-基)吗啉(中间体1a)
向2,4-二氯噻吩并[3,2-d]嘧啶(2.0g,9.7mmol)在30mL MeOH中的溶液中加入1.9mL的吗啉。在室温下搅拌一小时之后,过滤该反应混合物;用水和甲醇洗涤固体,得到2.0g的标题化合物。MS m/z:256.0,258.1(M+1)。1H NMR(400MHz,CDCl3)::7.78(1H,d,J=5.48Hz),7.38(1H,d,J=5.48Hz),4.02(4H,t,J=4.80Hz),3.85(4H,t,J=4.82Hz)。
步骤1b:2-氯-4-吗啉噻吩并[3,2-d]嘧啶-6-甲醛(中间体1b)
在78℃下,向中间体1a(1.02g,4.0mmol)在30mL THF中的悬浮液中慢慢地加入LiHMDS(1.0N,6.0mL,6.0mmol)。将该反应混合物在-78℃下搅拌1小时,加入DMF(0.5mL),并经2小时使该反应混合物升温至室温。用NH4Cl水溶液淬灭该反应,并真空除去THF。加入50-mL份的EtOAc,用含水NaHCO3和盐水洗涤该混合物。分离有机层,并经Na2SO4干燥。在除去溶剂之后,使粗产物接受在硅胶上的色谱(洗脱液:EtOAc/己烷)。得到总共0.6g的标题化合物(60%)。MS m/z:284.2(ES+,M+1)。
步骤1c:4-((2-氯-4-吗啉噻吩并[3,2-d]嘧啶-6-基)甲基)哌嗪-1-羧酸叔丁酯(中间体1c)
将中间体1b(0.40g,1.5mmol)、叔丁基哌嗪-1-羧酸酯和0.2mL的乙酸溶于12mL的二氯乙烷中。将该混合物在室温下搅拌2小时。将NaBH(OAc)3(0.54g,2.5mmol)加入到反应混合物中,并将得到的混合物在室温下搅拌10小时。加入20mL的NaHCO3水溶液和10mL的DCM。分离有机层,并经Na2SO4干燥。在除去溶剂之后,使粗产物接受在硅胶上的色谱(洗脱液:EtOAc/己烷3:7)。得到总共0.30g的标题化合物。MS m/z:454.2(ES+,M+1)。
步骤1d:4-((2-(1H-吲唑-4-基)-4-吗啉噻吩并[3,2-d]嘧啶-6-基)甲基)哌嗪-1-羧酸叔丁酯(中间体1d)
将中间体1c(0.14g,0.31mmol)、4-三甲基甲锡烷基)-1H-吲唑(0.10g,0.37mmol)和四(三苯基膦))钯(35mg 0.03mmol)溶于5mL的甲苯中。使该溶液脱气,用N2冲洗。在密封的小瓶中,将该反应混合物加热至135℃40小时。真空除去溶剂,并通过在硅胶上的色谱(洗脱液:EtOAc/己烷5:5)纯化残余物。得到总共0.10g的标题化合物。MS m/z:536.1(M+1)。
可选地,可以按照下述Suzuki偶联方法制备中间体1d:将中间体1c(70mg,0.15mmol)、4-(4,4,5,5-四甲基-1,3,2-二氧杂环戊硼烷-2-基)-1H-吲唑(56mg,0.23mmol)、Pd(PPh3)2Cl2(10mg,0.015mmol)和碳酸钠(60mg,0.56mmol)溶于甲苯/乙醇/水(2.5mL/1.5/0.7mL)中。使溶液脱气,并用氩气冲洗。在密封的小瓶中,将反应混合物加热至125℃10小时。然后,通过加入乙酸乙酯10mL处理反应物,并用水和盐水洗涤。分离有机层,并经Na2SO4干燥。在除去溶剂之后,使粗产物接受在硅胶上的色谱(洗脱液:EtOAc/己烷1:1至4:1),得到标题化合物。MS m/z:536.1(M+1)。
步骤1e:4-(2-(1H-吲唑-4-基)-6-(哌嗪-1-基甲基)噻吩并[3,2-d]嘧啶-4-基)吗啉(中间体1e)
将中间体1d(100mg,0.18mmol)溶于3mL在二噁烷中的4N HCl中,并在室温下,将该反应搅拌3小时。在除去溶剂之后,倾倒入3-mL份的DCM,接着蒸干。将加入DCM和接着蒸发的处理重复三次,得到白色固体,将其直接用于下一步中。MS m/z:436.2(M+H+)。
步骤1f:1-(4-((2-(1H-吲唑-4-基)-4-吗啉噻吩并[3,2-d]嘧啶-6-基)甲基)哌嗪-1-基)丙-2-烯-1-酮
在-40℃下,向中间体1e(10mg,0.02mmol)和丙烯酸(2.0mg,0.025mmol)在1.0mL的无水乙睛中的溶液中加入HATU(9.1mg,0.024mmol)和DIEA(15mg,0.1mmol),同时搅拌。在~10℃下,将该反应混合物搅拌10分钟。加入10-mL份的EtOAc和5mL的NaHCO3水溶液。分离有机层,并经Na2SO4干燥。在除去溶剂之后,使粗产物接受在硅胶上的色谱(洗脱液:EtOAc/己烷9:1)。得到总共6mg的标题化合物。MS m/z:490.2(M+H+)。1H NMR(400MHz,CDCl3)::9.01(1H d,J=0.88Hz),8.27(1H d,J=7.32Hz),7.58(1H d,J=7.0Hz),7.51(1H t,J=6.84Hz),7.39(1H,s),6.56(1H dd,J=10.56,16.96Hz),6.32(1H d,16.96Hz),5.70(1H d,10.52Hz),4.09(4H,m),3.93(6H,m),3.79(2H,s),3.62(2H,s),2.60(4H,s)。
按照类似的方法,使用中间体1e,且与(R)-5-氧代四氢呋喃-2-羧酸偶联,制备下述化合物:
按照类似的方法,使用中间体1e,且与(S)-5-氧代四氢呋喃-2-羧酸偶联,制备下述化合物:
实施例97
1-(4-((2-(1H-吲唑-4-基)-4-吗啉噻吩并[3,2-d]嘧啶-6-基)甲基)哌嗪-1-基)丁烷-1,3-二酮:按照类似的方法,使用中间体1e和合适的羧酸,制备标题化合物:MS m/z:520.1(M+H+)。
实施例98
4-((2-(1H-吲唑-4-基)-4-吗啉噻吩并[3,2-d]嘧啶-6-基)甲基)-N-((2R,3S)-2-甲基-4-氧代氧杂环丁烷-3-基)哌嗪-1-甲酰胺。按照类似的方法,使用中间体1e和合适的羧酸,制备标题化合物:MS m/z:563.3(M+H+)。
实施例99
(R)-5-(4-((2-(1H-吲唑-4-基)-4-吗啉噻吩并[3,2-d]嘧啶-6-基)甲基)哌嗪-1-羰基)二氢呋喃-2(3H)-酮:按照类似的方法,使用中间体1e和合适的羧酸,制备标题化合物:MS m/z:548.1(M+H+)。
实施例100
(S)-5-(4-((2-(1H-吲唑-4-基)-4-吗啉噻吩并[3,2-d]嘧啶-6-基)甲基)哌嗪-1-羰基)二氢呋喃-2(3H)-酮:按照类似的方法,使用中间体1e和合适的羧酸,制备标题化合物:MS m/z:548.1(M+H+)。
实施例101
(R)-甲基2-(4-((2-(2-氨基嘧啶-5-基)-4-吗啉噻吩并[3,2-d]嘧啶-6-基)甲基)哌嗪-1-羰基)-5-氧代吡咯烷-1-羧酸酯。按照类似的方法,使用中间体1e和合适的羧酸,制备标题化合物:MS m/z:582.2(M+H+)。
实施例102
(S)-甲基2-(4-((2-(2-氨基嘧啶-5-基)-4-吗啉噻吩并[3,2-d]嘧啶-6-基)甲基)哌嗪-1-羰基)-5-氧代吡咯烷-1-羧酸酯(XXII-29)。按照类似的方法,使用中间体1e和合适的羧酸,制备标题化合物:MS m/z:582.2(M+H+)。
实施例103
3-(4-((2-(2-氨基嘧啶-5-基)-4-吗啉噻吩并[3,2-d]嘧啶-6-基)甲基)哌嗪-1-羰基)二氢噻吩-2(3H)-酮(XXII-30)。按照类似的方法,使用中间体1e和合适的羧酸,制备标题化合物:MS m/z:541.1(M+H+)。
实施例104
4-(4-((2-(2-氨基嘧啶-5-基)-4-吗啉噻吩并[3,2-d]嘧啶-6-基)甲基)哌嗪-1-羰基)二氢噻吩-2(3H)-酮(XXII-31)。按照类似的方法,使用中间体1e和合适的羧酸,制备标题化合物:MS m/z:541.1(M+H+)。
实施例105
5-(4-((2-(2-氨基嘧啶-5-基)-4-吗啉噻吩并[3,2-d]嘧啶-6-基)甲基)哌嗪-1-羰基)二氢噻吩-2(3H)-酮(XXII-32)。按照类似的方法,使用中间体1e和合适的羧酸,制备标题化合物:MS m/z:541.1(M+H+)。
实施例106
5-(4-((2-(2-氨基嘧啶-5-基)-4-吗啉噻吩并[3,2-d]嘧啶-6-基)甲基)哌嗪-1-羰基)环己烷-1,3-二酮:(XXII-33)。按照类似的方法,使用中间体1e和合适的羧酸,制备标题化合物:MS m/z:551.2(M+H+)。
实施例107
(4-((2-(1H-吲唑-4-基)-4-吗啉噻吩并[3,2-d]嘧啶-6-基)甲基)哌嗪-1-基)(1H-咪唑-1-基)甲酮:按照类似的方法,使用中间体1e,且在二氯甲烷中的TEA的存在下,与CDI偶联,制备(4-((2-(1H-吲唑-4-基)-4-吗啉噻吩并[3,2-d]嘧啶-6-基)甲基)哌嗪-1-基)(1H-咪唑-1-基)甲酮(XXII-16):MS m/z:530.2(M+H+)。
实施例108
XXII-12
4-(2-(1H-吲唑-4-基)-6-((4-(乙烯基磺酰基)哌嗪-1-基)甲基)噻吩并[3,2-d]嘧啶-4-基)吗啉:按照类似的方法,使用中间体1e,且在TEA的存在下,与2-氯乙烷磺酰氯偶联,制备(4-((2-(1H-吲唑-4-基)-6-((4-(乙烯基磺酰基)哌嗪-1-基)甲基)噻吩并[3,2-d]嘧啶-4-基)吗啉(XXII-8):MS m/z:526.2(M+H+)。
实施例109
(E)-5-(4-吗琳子基-6-((4-(丙-1-烯基磺酰基)哌嗪-1-基)甲基)噻吩并[3,2-d]嘧啶-2-基)嘧啶-2-胺(XXII-25)。按照类似的方法,使用中间体1e和(E)-丙-1-烯-1-磺酰氯,制备标题化合物:MS m/z:517.2(M+H+)。
实施例110
2-(2-(4-((2-(1H-吲唑-4-基)-4-吗啉噻吩并[3,2-d]嘧啶-6-基)甲基)哌嗪-1-基磺酰基)乙基)异二氢吲哚-1,3-二酮:按照类似的方法,使用中间体1e,且在TEA的存在下,与2-(1,3-二氧代异二氢吲哚-1-基)乙磺酰氯偶联,制备下述化合物:MS m/z:673.2(M+H+)。
实施例111
3-(4-((2-(1H-吲唑-4-基)-4-吗啉噻吩并[3,2-d]嘧啶-6-基)甲基)哌嗪-1-基)-4-异丙氧基环丁-3-烯-1,2-二酮:按照类似的方法,在乙腈中的TEA的存在下,用3,4-二异丙氧基环丁-3-烯-1,2-二酮处理中间体1e,制备下述化合物:MS m/z:574.2(M+H+)。
实施例112
3-(4-((2-(2-氨基嘧啶-5-基)-4-吗啉噻吩并[3,2-d]嘧啶-6-基)甲基)哌嗪-1-基)-4-异丙氧基环丁-3-烯-1,2-二酮(XXII-26)。按照类似的方法,制备标题化合物。MS m/z:551.2(M+1)。
实施例113
3-(2-(4-((2-(2-氨基嘧啶-5-基)-4-吗啉噻吩并[3,2-d]嘧啶-6-基)甲基)哌嗪-1-基)-2-氧代乙基氨基)-4-异丙氧基环丁-3-烯-1,2-二酮(XXII-27)。按照类似的方法,制备标题化合物。MS m/z:608.3(M+1)。
实施例114
1-(4-((4-吗琳子基-2-苯基噻吩并[3,2-d]嘧啶-6-基)甲基)哌嗪-1-基)丙-2-烯-1-酮:按照如上所述类似的方法,当在标准Suzuki偶联条件下,在步骤1d中使用苯基硼酸酸代替4-(三甲基甲锡烷基)-1H-吲唑时,制得下述化合物:MS m/z:450.2(M+H+)。
实施例115
(1H-咪唑-1-基)(4-((4-吗琳子基-2-苯基噻吩并[3,2-d]嘧啶-6-基)甲基)哌嗪-1-基)甲酮:MS m/z:490.2(M+H+)。
实施例116
N-((2-(3-羟基苯基)-4-吗啉噻吩并[3,2-d]嘧啶-6-基)甲基)-N-甲基丙烯酰基酰胺:根据如下描述的步骤和中间体制备标题化合物。
步骤2a:(2-氯-4-吗啉噻吩并[3,2-d]嘧啶-6-基)甲醇(中间体2a)
在0℃下,向化合物1b(5g,17.6mmol)在MeOH(50mL)中的溶液中分批加入NaBH4(0.98g,26.4mmol),并在室温下搅拌5小时。在反应完成(TLC监测)之后,减压除去挥发物,将残余物溶于水中,并用DCM(3×75mL)萃取。将合并的有机相用水洗涤,经无水Na2SO4干燥,并真空浓缩,得到呈浅黄色固体的中间体6a(3g,60%)。TLC:80% EtOAc/Hexane(Rf:0.3);1H-NMR(CDCl3,200MHz):δ7.21(s,1H),4.98(s,2H),4.0(t,J=4.2Hz,4H),3.83(t,J=4.8Hz,4H);质量:286[M++1]
步骤2b:(2-氯-4-吗啉噻吩并[3,2-d]嘧啶-6-基)甲基甲磺酸酯(中间体2b)
在10分钟期间,向中间体2a(1g,3.5mmol)在DCM(10mL)中的溶液中加入TEA(1.06g,10.5mmol),接着在0℃下,加入甲磺酰氯(0.48g,4.2mmol)。将该反应混合物在室温下搅拌1小时。在反应完成(TLC监测)之后,加入水(25mL),用DCM(2×50mL)萃取。将合并的有机相经无水Na2SO4干燥,并真空浓缩。通过硅胶柱色谱层析(50%EtOAc/己烷)纯化粗化合物,得到呈黄色固体的中间体2b(0.8g,62%)。TLC:80%EtOAc/Hexane(Rf:0.6);1H-NMR(CDCl3,500MHz)(SAV-A9008-009):δ7.39(s,1H),5.46(s,2H),4.0(t,J=4.5Hz,4H),3.84(t,J=5.0Hz,4H),3.05(s,3H);质量:364[M++1];Mp:151.4℃
步骤2c:1-(2-氯-4-吗啉噻吩并[3,2-d]嘧啶-6-基)-N-甲基甲胺(中间体2c)
在室温下,将中间体2b(0.24g,0.67mmol)、在THF(2.0mL,4.0mmol)中的2M甲胺和在THF(5mL)中的DIEA(0.35mL,2.0mmol)的溶液搅拌2小时。LC-MS显示完全转化成产物。真空除去溶剂,将粗物质直接用于下一步。MS m/z:299.1(M+1)。
步骤2d:(2-氯-4-吗啉噻吩并[3,2-d]嘧啶-6-基)甲基(甲基)氨基甲酸叔丁酯(中间体2d)
将粗中间体2c、BOC2O(0.22g,1.0mmol)和TEA(0.2mL)溶于10mL二氯甲烷中,并将该溶液搅拌10小时。LC-MS显示完全转化成产物。真空除去溶剂,将粗物质直接用于下一步。MS m/z:399.1(M+1)。
步骤2e:(2-(3-羟基苯基)-4-吗啉噻吩并[3,2-d]嘧啶-6-基)甲基(甲基)氨基甲酸叔丁酯(中间体2e)
将中间体2d(0.20g,0.50mmol)、3-羟基苯基硼酸(139mg,1.0mmol)、Pd(PPh3)2Cl2(50mg,0.067mmol)和碳酸钠(0.5g,4.1mmoL)溶于甲苯/乙醇/水(5mL/3mL/1.5mL)中。使溶液脱气,并用N2-冲洗。在密封的小瓶中,将反应混合物加热至120℃3小时。真空除去溶剂,通过在硅胶上的色谱(洗脱液:EtOAc/己烷1:1)纯化残余物。得到总共190mg(66%)的标题化合物。
MS m/z:457.1(M+1)。
步骤2f:3-(6-((甲基氨基)甲基)-4-吗啉噻吩并[3,2-d]嘧啶-2-基)苯酚(中间体2f)
按照在实施例102,步骤1e中描述的方法,用4N HCl处理中间体2e,得到标题化合物。MS m/z:357.1(M+1)。
步骤2g:N-((2-(3-羟基苯基)-4-吗啉噻吩并[3,2-d]嘧啶-6-基)甲基)-N-甲基丙烯酰胺(XXII-5)
按照步骤1f中描述的方法,通过使用HATU偶联丙烯酸与中间体2f,制备标题化合物。MS m/z:411.1(M+H+)。
实施例117
N-((2-(3-羟基苯基)-4-吗啉噻吩并[3,2-d]嘧啶-6-基)甲基)-N-甲基乙烯磺酰胺:按照类似的方法,使用中间体2f,制备下述化合物:MS m/z:447.1(M+1)。
实施例118
3-(6-((N-甲基乙烯基亚磺酰氨基)甲基)-4-吗啉噻吩并[3,2-d]嘧啶-2-基)苯基乙烯磺酸酯:MS m/z:537.2(M+1)。
实施例119
3-(((2-(3-羟基苯基)-4-吗啉噻吩并[3,2-d]嘧啶-6-基)甲基)(甲基)氨基)-4-异丙氧基环丁-3-烯-1,2-二酮:MS m/z:495.1(M+1)。
实施例120
(R)-N-((2-(3-羟基苯基)-4-吗啉噻吩并[3,2-d]嘧啶-6-基)甲基)-N-甲基-5-氧代四氢呋喃-2-甲酰胺:MS m/z:469.2(M+1)。
实施例121
(S)-N-((2-(3-羟基苯基)-4-吗啉噻吩并[3,2-d]嘧啶-6-基)甲基)-N-甲基-5-氧代四氢呋喃-2-甲酰胺:MS m/z:469.2(M+1)。
实施例122
(E)-N-((2-(3-羟基苯基)-4-吗啉噻吩并[3,2-d]嘧啶-6-基)甲基)-N-甲基-4-氧代庚-5-烯酰胺:MS m/z:481.2(M+1)。
N-((2-(3-羟基苯基)-4-吗啉噻吩并[3,2-d]嘧啶-6-基)甲基)-N-甲基-4-氧代-4-(2-氧代氮杂环丁烷-1-基)丁酰胺(XXII-24)。按照类似的方法,使用中间体2f,制备标题化合物:MS m/z:510.2(M+1)。
实施例123
(R)-5-(4-(2-(3-羟基苯基)-4-吗啉噻吩并[3,2-d]嘧啶-6-基)-1,2,3,6-四氢吡啶-1-羰基)二氢呋喃-2(3H)-酮:根据如下描述的步骤和中间体制备标题化合物。
步骤3a:4-(2-氯-6-碘代噻吩并[3,2-d]嘧啶-4-基)吗啉(中间体3a)
在-78℃下,在30分钟期间内,向中间体1a(5g,0.019mol)在THF(100mL)中的搅拌溶液中加入正-BuLi(2.5g,0.03mol),在-40℃下搅拌2小时,接着在-78℃下,加入在THF(5mL)中的碘(9.9g,0.03mol)。在室温下,将该反应混合物搅拌8小时。在反应完成(TLC监测)之后,用饱和的氯化铵(100mL)淬灭反应,并用EtOAc(4×200mL)萃取。将有机层用硫代硫酸钠溶液洗涤,经无水Na2SO4干燥,并真空浓缩。用乙醚洗涤粗产物,得到呈黄白色固体的中间体3a(7g,94%)。TLC:30%Ethyl acetate/hexane(Rf:0.3);1H-NMR(CDCl3,500MHz):δ7.57(s,1H),3.94-3.91(m,4H),3.85-3.80(m,4H);质量:382[M++1],MP:173.5℃。
步骤3b:4-(2-氯-4-吗啉噻吩并[3,2-d]嘧啶-6-基)-5,6-二氢吡啶-1(2H)-羧酸叔丁酯(中间体3b)
在室温下,向4-(2-氯-6-碘噻吩并[3,2-d]嘧啶-4-基)吗啉(中间体3a)(0.57g,1.5mmol)在甲苯(10mL)、EtOH(6.0mL)、H2O(3.0mL)的搅拌溶液中加入4-(4,4,5,5-四甲基-1,3,2-二氧杂硼杂环戊烷-2-基)-5,6-二氢吡啶-1-(2H)-羧酸叔丁酯(0.5g,1.6mmol)、Na2CO3(0.7g)和Pd(PPh3)2Cl2(56mg,0.08mmol)。用氩气使反应混合物脱气,并在40℃下搅拌3小时。LC-MS显示转化完成:MS m/z:437.1(M+1)。将该反应混合物直接用于下一步。
步骤3c:4-(2-(3-羟基苯基)-4-吗啉噻吩并[3,2-d]嘧啶-6-基)-5,6-二氢吡啶-1(2H)-羧酸叔丁酯(中间体3c)
在室温下,向步骤3b的反应混合物中3-羟基苯基硼酸(0.35g,2.5mmol)、Na2CO3(1.0g)和Pd(PPh3)2Cl2(30mg,0.04mmol)。用氩气使反应混合物脱气,并在130℃下搅拌3小时。然后,将反应物通过加入50mL乙酸乙酯处理,并用水和盐水洗涤。分离有机层,并经Na2SO4干燥。在除去溶剂之后,使粗产物接受在硅胶上的色谱(洗脱液:EtOAc/己烷1:1至4:1),得到标题化合物。MS m/z:495.1(M+1)。
步骤3d:(R)-5-(4-(2-(3-羟基苯基)-4-吗啉噻吩并[3,2-d]嘧啶-6-基)-1,2,3,6-四氢吡啶-1-羰基)二氢呋喃-2(3H)-酮
按照在实施例1中描述的de-BOC和偶联方法,制备标题化合物。MS m/z:507.1(M+H+)。
实施例124
按照类似的方法,制备(S)-5-(4-(2-(3-羟基苯基)-4-吗啉噻吩并[3,2-d]嘧啶-6-基)-1,2,3,6-四氢吡啶-1-羰基)二氢呋喃-2(3H)-酮,XXII-1:MS m/z:507.1(M+H+)。
实施例125
1-(4-(3-(2-(3-羟基苯基)-4-吗啉噻吩并[3,2-d]嘧啶-6-基)丙-2-炔基)哌嗪-1-基)丙-2-烯-1-酮:根据如下描述的步骤和中间体制备标题化合物。
步骤4a:叔丁基4-(3-(2-氯-4-吗啉噻吩并[3,2-d]嘧啶-6-基)丙-2-炔基)哌嗪-1-羧酸酯(中间体4a)
在室温下,向中间体3a(1.0g,2.6mmol)、4-(丙-2-炔基)哌嗪-1-羧酸酯(880mg,3.8mmol)在THF(40mL)中的搅拌溶液中加入TEA(16mL),接着加入Pd(PPh3)2Cl2(184mg,0.26mmol),用氩气脱气30分钟,并将CuI(496mg,2.6mmol)加入到反应混合物中。再次用氩气使该反应混合物脱气30分钟。将得到的反应混合物回流3小时。在反应完成(TLC监测)之后,用DCM稀释该反应混合物。用水洗涤有机层,经无水Na2SO4干燥,并减压浓缩。通过硅胶柱色谱(20%EtOAc/己烷)纯化粗物质,得到中间体4a(0.60g)。质量:478[M++1]。
步骤4b:4-(3-(2-(3-羟基苯基)-4-吗啉噻吩并[3,2-d]嘧啶-6-基)丙-2-炔基)哌嗪-1-羧酸叔丁酯(中间体4b)
按照在实施例123的步骤3c中描述的方法,通过偶联中间体4a和3-羟基苯基硼酸制备标题化合物。MS m/z:536.2(M+H+)。
步骤4c:1-(4-(3-(2-(3-羟基苯基)-4-吗啉噻吩并[3,2-d]嘧啶-6-基)丙-2-炔基)哌嗪-1-基)丙-2-烯-1-酮
按照在实施例96,步骤1e和1f中描述的方法,制备标题化合物。MS m/z:490.1(M+H+)。
实施例126
(R)-5-(4-(3-(2-(3-羟基苯基)-4-吗啉噻吩并[3,2-d]嘧啶-6-基)丙-2-炔基)哌嗪-1-羰基)二氢呋喃-2(3H)-酮:按照类似的方法,从中间体4b开始,使用合适的羧酸,制备下述化合物。
实施例127
(S)-5-(4-(3-(2-(3-羟基苯基)-4-吗啉噻吩并[3,2-d]嘧啶-6-基)丙-2-炔基)哌嗪-1-羰基)二氢呋喃-2(3H)-酮:按照类似的方法,从中间体4b开始,使用合适的羧酸,制备下述化合物。
实施例128
2-(6-(1-丙烯酰基-1H-吡唑-4-基)-2H-苯并[b][1,4]噁嗪-4(3H)-基)-6,6-二甲基6,7-二氢噻唑并[5,4-c]吡啶-4(5H)-酮:根据如下描述的步骤和中间体制备标题化合物。
中间体5-I的合成:
步骤5-I-a:3-氨基-3-甲基丁酸乙酯盐酸盐(5-I-a):
在-70℃下,向3-甲基丁-2-烯酸乙酯(15g,117mmol)in EtOH(40mL)中的溶液中加入液氨(80mL),并在45℃下,在高压锅中将反应混合物搅拌16小时。在反应完成(TLC监测)之后,通过快速N2除去过量的氨,冷却至0℃,并加入在二噁烷中的HCl(pH-2)。将反应混合物在0℃下搅拌30分钟,在减压下除去挥发物,并用乙醚洗涤得到的固体,得到呈白色固体的5-I-a-HCl盐(10g,58.8%);TLC:10%MeOH/DCM(Rf:0.1);1H-NMR(DMSOd6,200MHz):δ8.33(bs,1H),4.09(q,J=7.0Hz,2H),2.70(s,2H),1.33(s,6H),1.20(t,J=7.0Hz,3H);质量:146[M++1].
步骤5-I-b:3-(乙基2-氨基甲酰基乙酰基)-3-甲基丁酸乙酯(5-I-b):
在0℃下,向化合物5-I-a(11g,68.9mmol)在DCM(150mL)中的溶液中加入TEA(38.1mL,275mmol)和乙基丙二酰氯(ethyl malonoylchloride)(8.8mL,68.9mmol).在室温下,将该反应混合物搅拌3小时。在反应完成(TLC监测)之后,用水淬灭反应,并用DCM(1×200mL)萃取。将合并的有机层用1N HCl(100mL)、饱和的NaHCO3(100mL)洗涤,经无水Na2SO4干燥,并真空浓缩,得到呈棕色糖浆状的5-I-b(11g,62%)。TLC:30%EtOAc/Hexane(Rf:0.3);1H-NMR(CDCl3200MHz):δ4.28-4.07(m,4H),3.24(s,2H),2.74(s,2H),1.45(s,6H),1.35-1.20(m,6H);质量:260[M++1]。
步骤5-I-c和5-I-d:6,6-二甲基哌啶-2,4-二酮(5-I-d):
向化合物5-I-b(11g,42.6mmol)在甲苯(120mL)中的搅拌溶液中加入在甲苯(30mL)中的NaOEt(4.34g,63.9mmol),并将该反应混合物在80℃下搅拌4小时。在反应完成(TLC监测)之后,用水淬灭反应,用乙醚(100mL)萃取水层。分离有机层;用1N HCl酸化水层,并用DCM(2×200mL)萃取。将合并的有机层经Na2SO4干燥并真空浓缩。将得到的粗5-I-c溶于1%H2O/ACN(80mL)中,并回流3小时。在反应完成(TLC监测)之后,减压除去挥发物,并用乙醚洗涤得到的残余物,得到呈黄白色固体的5-I-d(3.2g,53.3%)。TLC:10% MeOH/DCM(Rf:0.3);1H-NMR(CDCl3+DMSO-d6,200MHz):δ7.28(bs,NH),3.21(s,2H),2.56(s,2H),1.34(s,6H);质量:142[M++1]。
步骤5-I-e:2-氨基-6,7-二氢-6,6-二甲基噻唑并[5,4-c]吡啶-4(5H)-酮(5-I-e):
向化合物5-I-d(3.2g,22.7mmol)在THF(100mL)中的搅拌溶液中加入Br2(1.13mL,22.7mmol),并在RT下将该反应混合物搅拌10分钟,接着加入硫脲(1.72g,22.7mmol)和DIPEA(12mL,68.0mmol)。在80℃下,将该反应混合物搅拌2小时。在反应完成(TLC监测)之后,用水淬灭反应,并用EtOAc(2×150mL)萃取。将合并的有机层经Na2SO4干燥,真空浓缩,并用乙醚洗涤粗残余物,得到呈黄色固体的5-I-e(2.5g,56%)。TLC:10%MeOH/DCM(Rf:0.2);1H-NMR(DMSO d6,200MHz):δ7.63(bs,2H),7.17(bs,1H),2.61(s,2H),1.22(s,6H);质量:198[M++1]。
中间体5-I:2-溴-6,7-二氢-6,6-二甲基噻唑并[5,4-c]吡啶-4(5H)-酮
在室温下,向化合物5-I-e(2.5g,12.7mmol)在乙腈(70mL)中的溶液中加入CuBr2(2.26g,10.15mmol)和亚硝酸叔丁酯(1.3g,12.8mmol)。在室温下,将该反应混合物搅拌2小时。在反应完成(TLC监测)之后,用1N HCl淬灭反映,并用DCM(2×150mL)萃取。将合并的有机层经Na2SO4干燥,真空浓缩,并用乙醚洗涤粗残余物,得到呈褐色固体的5-I(2g,60%);TLC:10%MeOH/DCM(Rf:0.5);1H-NMR(CDCl3,500MHz):δ5.48(bs,NH),3.02(s,2H),1.4(s,6H);质量:283[M++Na]。
中间体5-II的合成:
4-溴-1-(1-乙氧基乙基)-1H-吡唑(5-II-a):
向4-溴-1H-吡唑(3g,20.4mmol)、乙基乙烯基醚(1.76g,24.5mmol)在DCM(30mL)中的溶液中加入HCl(在二噁烷中4M,0.16mL),并在室温下,将该反应混合物搅拌3小时。在反应完成(TLC监测)之后,用饱和的NaHCO3溶液中和反应,并用DCM(3×100mL)萃取。将合并的有机层经无水Na2SO4干燥并真空浓缩,得到呈无色液体的5-II-a(4.46g,89%);TLC:30%EtOAc/Hexane(Rf:0.7);1H-NMR(CDCl3,200MHz):δ7.60(s,1H),7.46(s,1H),5.46(q,J=6.0Hz,1H),3.55–3.25(m,2H),1.63(d,J=6.0Hz,3H),1.15(t,J=7.2Hz,3H);MS:221[M++2]。
1-(1-乙氧基乙基)-4-(4,4,5,5-四甲基-1,3,2-二氧杂硼杂环戊烷-2-基)-1H-吡唑(5-II):
在室温下,向化合物5-II-a(600mg,2.73mmol)在二噁烷(15mL)中的溶液中加入KOAc(800mg,8.2mmol)、双戊酰二硼(1.39g,5.4mmol)和Pd(dppf)Cl2(0.06g,0.08mmol)。通过用氩气吹扫30分钟使反应混合物脱气,并在50℃下搅拌16小时。在反应完成(TLC监测)之后,用H2O淬灭该反应,并用EtOAc(3×100mL)萃取。将合并的有机层经无水Na2SO4干燥,并真空浓缩。通过柱色谱层析(15%EtOAc/己烷)纯化粗化合物,得到呈黄白色固体的5-II(500mg,68.5%)。TLC:30%EtOAc/己烷(Rf:0.4);1H-NMR(CDCl3,200MHz):δ7.90(s,1H),7.79(s,1H),5.56(q,J=6.0Hz,1H),3.55-3.25(m,2H),1.63(d,J=6.0Hz,3H),1.35(s,12H),1.15(t,J=7.2Hz,3H);质量:267[M++1]。
XXIII-5的合成:
2-(6-(1-丙烯酰基-1H-吡唑-4-基)-2H-苯并[b ][1,4]噁嗪-4(3H)-基)-6,6-二甲基6,7-二氢噻唑并[5,4-c]吡啶-4(5H)-酮:
根据如下所述步骤和中间体制备标题化合物::
2-(6-溴-2,3-二氢苯并[b][1,4]噁嗪-4-基)-6,7-二氢-6,6-二甲基噻唑并[5,4-c]吡啶-4(5H)-酮(5-III-1):
向化合物5-I(2.7g,10.3mmol)在(100mL)中的溶液中加入Cs2CO3(6.71g,20.6mmol)、Xanthophos(476mg,0.82mmol)和Pd(OAc)2(139mg0.61mmol)。通过用氩气吹扫使反应混合物脱气,并加入在乙腈中的6-溴-3,4-二氢-2H-苯并[b][1,4]噁嗪(2.31g,10.3mmol)。使反应混合物在室温下脱气45分钟,和在85℃下脱气16小时。在反应完成(TLC监测)之后,将反应混合物通过celite垫过滤,用5%MeOH/DCM洗涤,并真空浓缩滤液。通过用乙醚洗涤纯化粗化合物,得到呈褐色固体的化合物5-III-1(3.24g,80%)。TLC:EtOAc(Rf:0.4);1H-NMR(CDCl3,200MHz):δ8.24(d,J=2.2Hz,1H),7.14(dd,J=2.4,8.8Hz,1H),6.83(d,J=9.0Hz,1H),5.29(bs,NH),4.38-4.30(m,2H),4.10-4.02(m,2H),2.90(s,2H),1.40(s,6H);质量:394.5[M++1];MP:154.7℃。
2-(6-(1-(1-乙氧基乙基)-1H-吡唑-4-基)-2H-苯并[b][1,4]噁嗪-4(3H)-基)-6,6-二甲基6,7-二氢噻唑并[5,4-c]吡啶-4(5H)-酮(5-III-2):
在室温下,向化合物5-III-1(2.0g,5.0mmol)在THF(70mL)中的溶液中加入硼酸酯5-II(3.37g,12.7mmol)、Na2CO3(1.6g,15.2mmol)、TBAB(653mg,20.3mmol)和Pd(PPh3)4(470mg,0.4mmol)。通过用氩气吹扫45分钟使反应混合物脱气,并在100℃下搅拌36小时。在反应完成(TLC监测)之后,减压除去挥发物,并加入水。用DCM(3×100mL)萃取水层,将合并的有机层经无水Na2SO4干燥,并真空浓缩。通过柱色谱层析(3%MeOH/DCM)纯化粗化合物,得到呈褐色固体的5-III-2(850mg,37%)。TLC:5%MeOH/DCM(Rf:0.4);1H-NMR(CDCl3,200MHz):δ8.03(s,1H),7.75(d,J=8.4Hz,2H),7.20(d,J=2.4,8.4Hz,1H),6.95(d,J=8.4Hz,1H),5.55(q,J=6.0Hz,1H),5.26(bs,1H),4.40-4.30(m,2H),4.25-4.15(m,2H),3.55-3.35(m,2H),2.90(s,2H),1.73(d,J=6.0Hz,3H),1.43(s,6H),1.15(t,J=7.2Hz,3H);质量:476[M++Na]和382[M-71]。
2-(6-(1H-吡唑-4-基)-2H-苯并[b][1,4]噁嗪-4(3H)-基)-6,6-二甲基6,7-二氢噻唑并[5,4-c]吡啶-4(5H)-酮(5-III-3):
在0℃下,向化合物5-III-2(0.85g 1.87mmol)在DCM(10mL)中的溶液中加入HCl/二噁烷(2mL),并将该反应混合物在室温下搅拌2小时。在反应完成(TLC监测)之后,减压除去挥发物,并先用二异丙醚、接着用20%EtOAc/己烷洗涤残余物,得到呈黄白色固体的5-III-3(600mg,84%)。TLC:10%MeOH/DCM(Rf:0.3);1H-NMR(DMSO d6,200MHz):δ8.28(d,J=8.4Hz,1H),7.98(s,1H),7.53(s,1H),7.3(dd,J=2.2,8.4Hz,1H),6.94(d,J=8.4Hz,1H),4.35–4.25(m,2H),4.14–4.05(m,2H),2.83(s,2H),1.28(s,6H).质量:382[M++1]。
2-(6-(1-丙烯酰基-1H-吡唑-4-基)-2H-苯并[b][1,4]噁嗪-4(3H)-基)-6,6-二甲基6,7-二氢噻唑并[5,4-c]吡啶-4(5H)-酮(XXIII-5):
在室温下,向化合物5-III-3(0.01g,0.024mmol)在DCM(1.0mL)中的搅拌溶液中加入TEA(0.008g,0.08mmol),接着加入丙烯酰氯(0.0025g,0.029mmol)。将该反应混合物搅拌0.5小时。真空除去溶剂。通过制备HPLC(25%至90%的CH3CN水溶液,包含0.1%TFA)纯化粗化合物,得到7.0mg的标题化合物。MS m/z:436.0(M+1)。
实施例129
(1S,4S)-5-(4-(4-(6,6-二甲基4-氧代-4,5,6,7-四氢噻唑并[5,4-c]吡啶-2-基)-3,4-二氢-2H-苯并[b][1,4]噁嗪-6-基)苯甲酰基)-2-氧杂-5-氮杂二环[2.2.1]庚烷-3-酮:
根据如下描述的步骤和中间体制备标题化合物。
步骤6a:4-(4-(6,6-二甲基4-氧代-4,5,6,7-四氢噻唑并[5,4-c]吡啶-2-基)-3,4-二氢-2H-苯并[b][1,4]噁嗪-6-基)苯甲酸
按照在步骤3c中描述的Suzuki偶联方法,将2-(6-溴-2H-苯并[b][1,4]噁嗪-4(3H)-基)-6,6-二甲基6,7-二氢噻唑并[5,4-c]吡啶-4(5H)-酮(化合物5-III-1)和4-(4,4,5,5-四甲基-1,3,2-二氧杂环戊硼烷-2-基)苯甲酸偶联,得到标题化合物(30mg)。MS m/z:436.2(M+1)。
步骤6b:(1S,4S)-5-(4-(4-(6,6-二甲基4-氧代-4,5,6,7-四氢噻唑并[5,4-c]吡啶-2-基)-3,4-二氢-2H-苯并[b][1,4]噁嗪-6-基)苯甲酰基)-2-氧杂-5-氮杂二环[2.2.1]庚烷-3-酮(XXIII-8)
向中间体6a(22mg,0.05mmol)和(1S,4S)-2-氧杂-5-氮杂二环[2.2.1]庚烷-3-酮HCl盐(10mg,0.06mmol)在2mL二氯甲烷中的溶液中加入EDCI.HCl(15mg,0.08mmol)、HOBT(11mg,0.08mmol)和DIEA(0.05mL)。将该反应混合物在室温下搅拌1小时。在除去溶剂之后,使粗产物接受制备HPLC(40%至90%的CH3CN水溶液,包含0.1%TFA),得到15mg的标题化合物。MS m/z:531.2(M+1)。
实施例130
(1R,4R)-5-(4-(4-(6,6-二甲基4-氧代-4,5,6,7-四氢噻唑并[5,4-c]吡啶-2-基)-3,4-二氢-2H-苯并[b][1,4]噁嗪-6-基)苯甲酰基)-2-氧杂-5-氮杂二环[2.2.1]庚烷-3-酮。按照类似的方法,当在步骤6b中使用(1R,4R)-2-氧杂-5-氮杂二环[2.2.1]庚烷-3-酮HCl盐时,制得下述化合物:MS m/z:531.2(M+1)。
实施例131
(R)-N-(4-(6,6-二甲基4-氧代-4,5,6,7-四氢噻唑并[5,4-c]吡啶-2-基)-3,4-二氢-2H-苯并[b][1,4]噁嗪-6-基)-5-氧代四氢呋喃-2-甲酰胺。根据如下描述的步骤和中间体制备标题化合物。
步骤7a:6-硝基-2H-苯并[b][1,4]噁嗪-3(4H)-酮(中间体7a)
在0℃下,向2-氨基-4-硝基酚(3g,19.4mmol)在DMF(25mL)中的搅拌溶液中加入吡啶(1.6mL,19.4mmol)和氯乙酰氯(1.53mL,19.4mmol)。将该反应混合物在室温下搅拌1小时,接着加入60%NaH(780mg,19.4mmol),并在室温下再继续搅拌2小时。在反应完成(TLC监测)之后,用冰冷的水(150mL)淬灭反应,过滤出沉淀的固体,并干燥,得到呈黄白色固体的7a(2g,54%)。TLC:60%乙酸乙酯/己烷(Rf:0.4);1H NMR(500MHz,CDCl3):δ8.05(bs,1H),7.93(d,J=9.0Hz,1H),7.73(s,1H),7.08(d,J=9.0Hz,1H),4.75(s,2H)。
步骤7b:3,4-二氢-6-硝基-2H-苯并[b][1,4]噁嗪(中间体7b)
在0℃下,向7a(1.7g,8.85mmol)在THF(30mL)中的搅拌溶液中加入BF3醚合物(2.8mL,22.13mmol),将该反应混合物在室温下搅拌1小时,接着在0℃和惰性气氛下,加入NaHB4(836mg,22.13mmol)。将该反应混合物在室温下搅拌16小时。在反应完成(TLC监测)之后,用EtOAc/H2O稀释该反应混合物,并用EtOAc(2×100mL)萃取水层。将合并的有机层经无水Na2SO4干燥,并真空浓缩。通过乙醚洗涤纯化得到的固体,得到呈黄白色固体的7b(1g,63%)。TLC:50%乙酸乙酯/己烷(Rf:0.3);1H NMR(500MHz,CDCl3):δ7.56(dd,J=2.5,9.0Hz,1H),7.47(d,J=5.3Hz,1H),6.8(d,J=9.0Hz,1H),4.33(t,J=4.0Hz,2H),3.48-3.44(m,2H);质量:178[M++1]。
步骤7c:6,7-二氢-2-(2,3-二氢-6-硝基苯并[b][1,4]噁嗪-4-基)-6,6-二甲基噻唑并[5,4-c]吡啶-4(5H)-酮(中间体7c)
在室温下,向5-I(1g,3.8mmol,来自实施例128)在乙腈(25mL)中的搅拌溶液中加入化合物7b(680mg,3.8mmol)、Xanthophos(176mg,0.3mmol)、Pd(OAc)2(52mg,0.2mmol)和Cs2CO3(2.5g,7.6mmol)。用氩气使反应混合物脱气45分钟,并在80℃下搅拌6小时。在反应完成(TLC监测)之后,真空除去挥发物,用水稀释,并用DCM(2×100mL)萃取。将合并的有机层经无水Na2SO4干燥,并真空浓缩。用乙醚洗涤纯化粗残余物,得到呈淡褐色固体的7c(1g,73%)。TLC:乙酸乙酯(Rf:0.3);1H NMR(200MHz,CDCl3):δ9.32(d,J=2.6Hz,1H),7.94(dd,J=2.6,9.0Hz,1H),7.04(d,J=9.0Hz,1H),5.33(bs,1H),4.46(t,J=4.4Hz,2H),4.07(t,J =4.6Hz,2H),2.95(s,2H)和1.41(s,6H)。
步骤7d:2-(6-氨基-2,3-二氢苯并[b][1,4]噁嗪-4-基)-6,7-二氢-6,6-二甲基噻唑并[5,4-c]吡啶-4(5H)-酮(中间体7d)
向7c(1g,2.7mmol)在EtOAc/MeOH(1:1,40mL)中的搅拌溶液中加入Pd/C(100mg)。将该反应混合物在室温和氢气氛(60Psi)下搅拌36小时。在反应完成(TLC监测)之后,通过celite垫过滤反应混合物,并真空浓缩滤液。用DCM/己烷重结晶粗残余物,得到呈黄白色固体的7d(520mg,57%)。TLC:10%MeOH/DCM(Rf:0.4);1H NMR(500MHz,CDCl3):δ7.34(d,J=3.0Hz,1H),6.76(d,J=8.5Hz,1H),6.42(dd,J=2.5,8.0Hz,1H),5.17(bs,2H),4.25(t,J=4.0Hz,2H),4.11(t,J=5.5Hz,2H),3.5(bs,2H),2.87(s,2H),1.39(s,6H);质量:331[M++1];MP:244.8℃。
步骤7e:(R)-N-(4-(6,6-二甲基4-氧代-4,5,6,7-四氢噻唑并[5,4-c]吡啶-2-基)-3,4-二氢-2H-苯并[b][1,4]噁嗪-6-基)-5-氧代四氢呋喃-2-甲酰胺:
如在实施例1的步骤1f中描述的,使用HATU偶联中间体7d和(R)-5-氧代四氢呋喃-2-羧酸,制备标题化合物。MS m/z:443.2(M+H+)。
实施例132
XXIII-1
(S)-N-(4-(6,6-二甲基4-氧代-4,5,6,7-四氢噻唑并[5,4-c]吡啶-2-基)-3,4-二氢-2H-苯并[b][1,4]噁嗪-6-基)-5-氧代四氢呋喃-2-甲酰胺。从中间体7d和(S)-5-氧代四氢呋喃-2-羧酸开始,制备下述化合物。:MS m/z:443.2(M+H+)。
实施例133
(1S,4S)-5-(4-(6,6-二甲基4-氧代-4,5,6,7-四氢噻唑并[5,4-c]吡啶-2-基)-3,4-二氢-2H-苯并[b][1,4]噁嗪-6-羰基)-2-氧杂-5-氮杂二环[2.2.1]庚烷-3-酮。根据如下描述的步骤和中间体制备标题化合物。
步骤8a:4-(6,6-二甲基4-氧代-4,5,6,7-四氢噻唑并[5,4-c]吡啶-2-基)-3,4-二氢-2H-苯并[b][1,4]噁嗪-6-羧酸甲酯(中间体8a):
在室温下,向化合物5-I(1g,3.8mmol)在乙腈(40mL)中的搅拌溶液中加入3,4-二氢-2H-苯并[b][1,4]噁嗪-6-羧酸甲酯(0.73g,3.8mmol)、Cs2CO3(2.5g,7.6mmol)、Pd(OAc)2(51mg,0.2mmol)和Xanthophos(176mg,0.3mmol)。用氩气使反应混合物脱气45分钟,并在80℃下搅拌16小时。在反应完成(TLC监测)之后,将反应混合物通过celite垫过滤,用DCM(100mL)洗涤,用水(100mL)洗涤滤液,经无水Na2SO4干燥,并真空浓缩。通过用二乙醚洗涤纯化粗化合物,得到呈褐色固体的化合物8a(880mg,62%)。TLC:EtOAc(Rf:0.3).1H-NMR(CDCl3,200MHz):δ8.64(d,J=2.0Hz,1H),7.76(dd,J=2.0,8.6Hz,1H),6.99(d,J=8.8Hz,1H),5.21(bs,1H),4.43-4.38(m,2H),4.20-4.14(m,2H),3.9(s,3H),2.89(s,2H),1.4(s,6H).MS:374[M++1]。
步骤8b:4-(6,6-二甲基4-氧代-4,5,6,7-四氢噻唑并[5,4-c]吡啶-2-基)-3,4-二氢-2H-苯并[b][1,4]噁嗪-6-羧酸(中间体8b):
在0℃下,向化合物8a(0.87g,mmol)在THF(7mL)和H2O(4.6mL)中的搅拌溶液中加入LiOH.H2O(195mg,4.6mmol),并在室温下,将该反应混合物搅拌16小时。在反应完成(TLC监测)之后,用二乙醚(2×30mL)萃取水层,并分离有机层。用10%KHSO4水溶液(pH-2)酸化水层,搅拌15分钟,将得到的固体过滤,并干燥,得到呈黄白色固体的中间体8b(520mg,62%)。TLC:EtOAc(Rf:0.1).1H-NMR(DMSO-d6,500MHz):δ12.80(bs,1H),8.76(s,1H),7.63(d,J=9.0Hz,1H),7.55(s,1H),7.04(d,J=8.5Hz,1H),4.39(t,J=4.0Hz,2H),4.1(t,J=5.0Hz,2H),2.82(s,2H),1.28(s,6H).MS:360[M++1]。IR:3402,3193,2973,2529,1892,1677,1646,1525,1373,1251,1104,751cm-1.MP:300.5℃。
步骤8c:(1S,4S)-5-(4-(6,6-二甲基4-氧代-4,5,6,7-四氢噻唑并[5,4-c]吡啶-2-基)-3,4-二氢-2H-苯并[b][1,4]噁嗪-6-羰基)-2-氧杂-5-氮杂二环[2.2.1]庚烷-3-酮(XXIII-4):
如在实施例1的步骤1f中描述的,使用HATU偶联中间体8b和1S,4S)-2-氧杂-5-氮杂二环[2.2.1]庚烷-3-酮TFA盐,制备标题化合物。MS m/z:455.1(M+H+)。
实施例134
(1R,4R)-5-(4-(6,6-二甲基4-氧代-4,5,6,7-四氢噻唑并[5,4-c]吡啶-2-基)-3,4-二氢-2H-苯并[b][1,4]噁嗪-6-羰基)-2-氧杂-5-氮杂二环[2.2.1]庚烷-3-酮。从中间体8b和(1R,4R)-2-氧杂-5-氮杂二环[2.2.1]庚烷-3-酮TFA盐开始,制备下述化合物:MS m/z:455.1(M+H+)。
实施例135
6,6-二甲基2-(6-(2-氧代吡咯烷-1-羰基)-2H-苯并[b][1,4]噁嗪-4(3H)-基)-6,7-二氢噻唑并[5,4-c]吡啶-4(5H)-酮。从中间体8b开始,并与合适的胺或酰胺偶联,制备标题化合物。
实施例136
6,6-二甲基2-(6-(2-氧代氮杂环丁烷-1-羰基)-2H-苯并[b][1,4]噁嗪-4(3H)-基)-6,7-二氢噻唑并[5,4-c]吡啶-4(5H)-酮。从中间体8b开始,并与合适的胺或酰胺偶联,制备标题化合物。
实施例137
(R)-4-(6,6-二甲基4-氧代-4,5,6,7-四氢噻唑并[5,4-c]吡啶-2-基)-N-(1-甲氧基-2-氧代氮杂环丁烷-3-基)-3,4-二氢-2H-苯并[b][1,4]噁嗪-6-甲酰胺。从中间体8b开始,并与合适的胺或酰胺偶联,制备标题化合物。
实施例138
(S)-4-(6,6-二甲基4-氧代-4,5,6,7-四氢噻唑并[5,4-c]吡啶-2-基)-N-(1-甲氧基-2-氧代氮杂环丁烷-3-基)-3,4-二氢-2H-苯并[b][1,4]噁嗪-6-甲酰胺。从中间体8b开始,并与合适的胺或酰胺偶联,制备标题化合物。
实施例139
6,6-二甲基2-(6-(4-氧代-4H-色烯-6-基)-2H-苯并[b][1,4]噁嗪-4(3H)-基)-6,7-二氢噻唑并[5,4-c]吡啶-4(5H)-酮:根据如下描述的步骤和中间体制备标题化合物。
步骤9a:6,6-二甲基2-(6-(4,4,5,5-四甲基-1,3,2-二氧杂环戊硼烷-2-基)-2H-苯并[b][1,4]噁嗪-4(3H)-基)-6,7-二氢噻唑并[5,4-c]吡啶-4(5H)-酮(9a):
在室温下,向来自实施例5的化合物5-III-1(1.5g,3.8mmol)在二噁烷(30mL)中的搅拌溶液中加入KOAc(1.16g,4.5mmol)、双戊酰二硼(1.12g,11.4mmol)和Pd(dppf)Cl2(556mg,0.7mmol)。通过用氩气吹扫,使该反应混合物脱气30分钟,并在90℃下搅拌2小时。在反应完成(TLC监测)之后,用H2O淬灭该反应,并用EtOAc(3×100mL)萃取。将合并的有机层经无水Na2SO4干燥,并真空浓缩。通过柱色谱层析(40%EtOAc/己烷)纯化粗化合物,得到呈黄白色固体的化合物9a(900mg,53%)。TLC:EtOAc(Rf:0.5)。1H-NMR(CDCl3,200MHz):δ8.16(s,1H),7.52(d,J=8.4Hz,1H),6.94(d,J=8.0Hz,1H),5.19(bs,NH),4.40-4.31(m,2H),4.24–4.14(m,2H),2.86(s,2H),1.39(s,6H),1.27(s,12H)。
MS:442[M++1]
步骤9b:6,6-二甲基2-(6-(4-氧代-4H-色烯-6-基)-2H-苯并[b][1,4]噁嗪-4(3H)-基)-6,7-二氢噻唑并[5,4-c]吡啶-4(5H)-酮:
在实施例3的步骤3c描述的标准Suzuki偶联条件下,通过用6-溴-4H-色烯-4-酮处理化合物9,制备标题化合物。MS m/z:460.1(M+H+)。
实施例140
(S,Z)-2-(2,6-二氯苯基氨基)-5-((4-(4-(5-氧代四氢呋喃-2-羰基)哌嗪-1-基)喹啉-6-基)亚甲基)噻唑-4(5H)-酮:根据如下描述的步骤和中间体制备标题化合物。
步骤10a:4-(4-(叔-丁氧基羰基)哌嗪-1-基)喹啉-6-羧酸甲酯
向在异丙醇(30mL)中的4-氯喹啉-6-羧酸甲酯(根据WO2007099326合成)(1.5g,6.8mmol)中加入正-BOC-哌嗪(1.3g,7.0mmol),并将该溶液加热至90℃三天。将该反应冷却至环境温度,过滤,并通过旋转蒸发除去溶剂。通过二氧化硅色谱层析(DCM/EtOAc)纯化产物,得到标题化合物(0.51g,1.4mmol)。1H NMR(d6DMSO)δppm:8.78(d,J=5.1Hz,1H),8.66(d,J=1.9Hz,1H),8.14(dd,J=8.7,1.9Hz,1H),8.02(d,J=8.7Hz,1H),3.91(s,3H),3.64-3.58(m,4H),3.20-3.14(m,4H),1.43(s,9H);m/z 372(M+1)。
步骤10b:叔丁基4-(6-(羟基甲基)喹啉-4-基)哌嗪-1-羧酸酯
向冷却至0℃的在THF(10mL)中的4-(4-(叔-丁氧基羰基)哌嗪-1-基)喹啉-6-羧酸甲酯(0.51g,1.4mmol)中加入氢化铝锂(0.10g,2.7mmol),并将该反应物搅拌30分钟。通过加入过量水淬灭该反应,并用EtOAc(3×30mL)萃取产物。将合并的有机层干燥(MgSO4),过滤,通过旋转蒸发除去溶剂,得到呈黄色油状物的标题化合物(0.45g,1.3mmol)。1H NMR(d6DMSO)δppm:8.64(d,J=5.0Hz,1H),7.94(d,J=0.9Hz,1H),7.89(d,J=8.7Hz,1H),7.62(dd,J=8.3,1.9Hz,1H),6.97(d,J=5.0Hz,1H),5.38(dd,J=6.0,5.5Hz,1H),4.67(d,J=6.0Hz,1H),3.63-3.57(m,4H),3.14-3.08(m,4H),1.43(s,9H).m/z 344(M+1)。
步骤10c:叔丁基4-(6-甲酰基喹啉-4-基)哌嗪-1-羧酸酯
向在DCM(10mL)中得4-(6-(羟基甲基)喹啉-4-基)哌嗪-1-羧酸叔丁酯(0.45g,1.3mmol)中加入Dess-Martin过碘烷(0.62g,1.5mmol)。将该溶液在环境温度下搅拌过夜。过滤溶液,并通过旋转蒸发除去挥发物。通过二氧化硅色谱层析(DCM/EtOAc)纯化产物,得到呈黄色泡沫状物的标题化合物(0.31g,0.91mmol)。1H NMR(d6DMSO)δppm:10.20(s,1H),8.80(d,J=5.0Hz,1H),8.62(dd,J=1.4,0.9Hz,1H),8.06(s,1H),8.05(s,1H),7.10(d,J=5.0Hz,1H),3.67-3.62(m,4H),3.24-3.21(m,4H),1.44(s,9H).m/z342(M+1)。
步骤10d:(Z)-叔丁基4-(6-((2-(2,6-二氯苯基氨基)-4-氧代噻唑-5(4H)-基亚基)甲基)喹啉-4-基)哌嗪-1-羧酸酯
将4-(6-甲酰基喹啉-4-基)哌嗪-1-羧酸叔丁酯(0.17g,0.50mmol)、2-(2,6-二氯苯基氨基)噻唑-4(5H)-酮(参见WO 2006132739)(0.13g,0.50mmol)和(0.040g,0.50mmol)混合在微波小瓶中,加入乙醇(2mL)。使该溶液在微波中于150℃下加热30分钟。用旋转蒸发器除去挥发物,并通过二氧化硅色谱层析(EtOAc/MeOH)纯化残余物。
步骤10e:(S,Z)-2-(2,6-二氯苯基氨基)-5-((4-(4-(5-氧代四氢呋喃-2-羰基)哌嗪-1-基)喹啉-6-基)亚甲基)噻唑-4(5H)-酮
将来自上述纯化的物质溶于MeOH中,并用在二噁烷中的4N HCl处理。在搅拌1小时之后,旋转蒸发除去挥发物。将残余物收集在EtOAc中,并用饱和的NaHCO3溶液洗涤。将溶液干燥(MgSO4),过滤,旋转蒸发除去溶剂。按照在实施例96的步骤1f中描述的方法,用HATU偶联残余物与(S)-5-氧代四氢呋喃-2-羧酸。MS m/z:597.2(M+H+)。
实施例141
(R,Z)-2-(2,6-二氯苯基氨基)-5-((4-(4-(5-氧代四氢呋喃-2-羰基)哌嗪-1-基)喹啉-6-基)亚甲基)噻唑-4(5H)-酮。按照类似的方法,当在步骤10e中使用(R)-5-氧代四氢呋喃-2-羧酸时,制得下述化合物:MS m/z:597.2(M+H+)。
实施例142
(S,Z)-5-((4-(4-(5-氧代四氢呋喃-2-羰基)哌嗪-1-基)喹啉-6-基)亚甲基)噻唑烷-2,4-二酮。按照类似的方法,当在步骤10d中使用噻唑烷-2,4-二酮与4-(6-甲酰基喹啉-4-基)哌嗪-1-羧酸叔丁酯偶联,接着按照步骤10e时,可以制备标题化合物。
实施例143
(R,Z)-5-((4-(4-(5-氧代四氢呋喃-2-羰基)哌嗪-1-基)喹啉-6-基)亚甲基)噻唑烷-2,4-二酮。按照类似的方法,当在步骤10d中使用噻唑烷-2,4-二酮与4-(6-甲酰基喹啉-4-基)哌嗪-1-羧酸叔丁酯偶联,接着按照步骤10e,但是使用丙烯酸代替,可以制备标题化合物。
实施例144
(Z)-5-((4-(4-丙烯酰基哌嗪-1-基)喹啉-6-基)亚甲基)噻唑烷-2,4-二酮。
实施例145
N-(3-(4-吗啉噻吩并[3,2-d]嘧啶-2-基)苯基)丙烯酰胺。根据如下描述的步骤和中间体制备标题化合物。
步骤11a:叔丁基3-(4-吗啉噻吩并[3,2-d]嘧啶-2-基)苯基氨基甲酸酯(中间体11a)
按照在实施例3的步骤3c中描述的标准Suzuki偶联条件,通过偶联中间体1a和3-(4,4,5,5-四甲基-1,3,2-二氧杂环戊硼烷-2-基)苯基氨基甲酸酯制备中间体11a。MS m/z:413.3(M+1)。
步骤11b:N-(3-(4-吗啉噻吩并[3,2-d]嘧啶-2-基)苯基)丙烯酰胺:
按照在实施例96的步骤1e和1f中描述的方法,制备标题化合物。MS m/z:367.2(M+H+)。
实施例146
(1S,4S)-5-(3-羟基-5-(4-吗啉噻吩并[3,2-d]嘧啶-2-基)苄基)-2-氧杂-5-氮杂二环[2.2.1]庚烷-3-酮:根据如下描述的步骤和中间体制备标题化合物。
步骤12a:3-(4-吗啉噻吩并[3,2-d]嘧啶-2-基)-5-丙氧基苯甲醛(中间体12a)
按照在实施例3的步骤3c中描述的标准Suzuki偶联条件,通过偶联中间体1a和3-甲酰基-5-丙氧基苯基硼酸制备中间体12a。MS m/z:384.1(M+1)。
步骤12b:3-羟基-5-(4-吗啉噻吩并[3,2-d]嘧啶-2-基)苯甲醛(中间体12b):
通过在-78℃至室温下,用在二氯甲烷中的2当量BBr3处理中间体12a 1小时,制备标题化合物。MS m/z:342.1(M+H+)。
步骤12c:(1S,4S)-5-(3-羟基-5-(4-吗啉噻吩并[3,2-d]嘧啶-2-基)苄基)-2-氧杂-5-氮杂二环[2.2.1]庚烷-3-酮:
通过用在乙腈/乙酸(3:1)中的(1S,4S)-2-氧杂-5-氮杂二环[2.2.1]庚烷-3-酮TFA盐(2当量)、NaBH3CN(4当量)处理中间体12b,制备标题化合物。MS m/z:439.2(M+H+)。
实施例147
(1R,4R)-5-(3-羟基-5-(4-吗啉噻吩并[3,2-d]嘧啶-2-基)苄基)-2-氧杂-5-氮杂二环[2.2.1]庚烷-3-酮。按照类似的方法,当使用(1R,4R)-2-氧杂-5-氮杂二环[2.2.1]庚烷-3-酮TFA盐时,可以制得下述化合物:
实施例148
(1S,4S)-5-(3-羟基-5-(4-吗啉噻吩并[3,2-d]嘧啶-2-基)苯甲酰基)-2-氧杂-5-氮杂二环[2.2.1]庚烷-3-酮。可以通过两步骤顺序,由化合物12b制备标题化合物:1)用合适的氧化剂氧化成羧酸,2)偶联得到的酸与合适的胺。
实施例149
(1R,4R)-5-(3-羟基-5-(4-吗啉噻吩并[3,2-d]嘧啶-2-基)苯甲酰基)-2-氧杂-5-氮杂二环[2.2.1]庚烷-3-酮。可以通过两步骤顺序,由化合物12b制备标题化合物:1)用合适的氧化剂氧化成羧酸,2)偶联得到的酸与合适的胺。
实施例150
2-(1H-吲唑-4-基)-N-(1-甲氧基-2-氧代氮杂环丁烷-3-基)-4-吗啉噻吩并[3,2-d]嘧啶-6-甲酰胺。使用在上述实施例中描述的中间体和在所述方法中列出的化学过程,可以制备标题化合物:
实施例151
2,4-二氟-N-(2-甲氧基-5-(4-(4-((1S,4S)-3-氧代-2-氧杂-5-氮杂二环[2.2.1]庚烷-5-羰基)苯基)喹啉-6-基)吡啶-3-基)苯磺酰胺(XXV-13)。用如下所述中间体制备标题化合物。
4-(6-(5-(2,4-二氟苯基亚磺酰氨基)-6-甲氧基吡啶-3-基)喹啉-4-基)苯甲酸:按照如在专利WO2008144463和WO20081444464中公开的类似化学过程,制备标题酸。
2,4-二氟-N-(2-甲氧基-5-(4-(4-((1S,4S)-3-氧代-2-氧杂-5-氮杂二环[2.2.1]庚烷-5-羰基)苯基)喹啉-6-基)吡啶-3-基)苯磺酰胺(XXV-13)。通过标准HATU偶联上述苯甲酸和(1S,4S)-2-氧杂-5-氮杂二环[2.2.1]庚烷-3-酮,制备标题化合物。
1H-NMR(CDCl3,500MHz):δ8.99(d,J=4.0Hz,1H),8.27(d,J=8.5Hz,1H),8.15(s,1H),7.98-7.88(m,5H),7.78-7.75(m,1H),7.66(d,J=7.5Hz,1H),7.39(d,J=3.5Hz,1H),7.29-7.25(m,1H),6.91(d,J=5.5Hz,2H),5.26(bs,1H),4.95-4.91(m,1H),3.96-3.93(m,4H),2.36(d,J=10Hz,1H),2.17(d,J=10.5Hz,1H),2.05-2.03(m,1H)。
MS:m/z=643.1[M+H]
实施例152
2,4-二氟-N-(2-甲氧基-5-(4-(4-((1R,4R)-3-氧代-2-氧杂-5-氮杂二环[2.2.1]庚烷-5-羰基)苯基)喹啉-6-基)吡啶-3-基)苯磺酰胺(XXV-15):按照如对于XXV-13相同的方法,在最终偶联步骤中使用对映体胺制备标题化合物。
1H-NMR(CDCl3,500MHz):δ8.99(d,J=4.0Hz,1H),8.27(d,J=8.5Hz,1H),8.15(s,1H),7.98-7.88(m,5H),7.78-7.75(m,1H),7.66(d,J=7.5Hz,1H),7.39(d,J=3.5Hz,1H),7.29-7.25(m,1H),6.91(d,J=5.5Hz,2H),5.26(bs,1H),4.95-4.91(m,1H),3.96-3.93(m,4H),2.36(d,J=10Hz,1H),2.17(d,J=10.5Hz,1H),2.05-2.03(m,1H).
MS:m/z 643.1[M+H]。
实施例153
N-(4-(6-(5-(2,4-二氟苯基亚磺酰氨基)-6-甲氧基吡啶-3-基)喹啉-4-基)苯基)丙烯酰胺(XXV-14)。通过如下所述中间体制备标题化合物。
N-(5-(4-(4-氨基phenyl)喹啉-6-基)-2-甲氧基吡啶-3-基)-2,4-二氟苯磺酰胺:按照如在专利WO2008144463和WO20081444464中公开的类似化学过程,制备标题酸。
N-(4-(6-(5-(2,4-二氟苯基亚磺酰氨基)-6-甲氧基吡啶-3-基)喹啉-4-基)苯基)丙烯酰胺。通过标准HATU偶联上述苯胺和丙烯酸,制备标题化合物。
1H-NMR(CDCl3+CD3OD,500MHz):δ8.88(d,J=5.0Hz,1H),8.22(d,J=9.0Hz,1H),8.11(d,J=2.0Hz,1H),8.02(s,1H),7.97(d,J=2.0Hz,1H),7.91-7.88(m,3H),7.78-7.73(m,1H),7.54(d,J=8.5Hz,2H),7.42(d,J=4.5Hz,1H),6.95-6.84(m,2H),6.48-6.40(m,2H),5.79(d,J=9.5Hz,1H),3.93(s,3H).
LCMS:595[M+Na],573[M+H]
实施例154
(1R,4R)-5-(3-(2-((9H-嘌呤-6-基硫代)甲基)-5-氯-4-氧代喹唑啉-3(4H)-基)-4-甲氧基苯甲酰基)-2-氧杂-5-氮杂二环[2.2.1]庚烷-3-酮
(XXXVII-5):根据如下描述的步骤和中间体制备标题化合物。
步骤8b:3-(5-氯-2-(氯甲基)-4-氧代喹唑啉-3(4H)-基)-4-甲氧基苯甲酸乙酯
在0℃下,向2-氯-6-(2-氯乙酰氨基)苯甲酸(5.7g,22.97mmol)、3-氨基-4-甲氧基苯甲酸乙酯(4.0g,20.67mmol)在THF(24mL)中的缓和物中加入PCl3(4.7mL,34.45mmol)。然后,将该反应混合物在65℃下回流1-2小时。在反应完成之后,将反应混合物倾倒到水中,用EtOAc萃取。用稀HCl(2×25mL)和饱和的NaHCO3(2×25mL)、盐水溶液洗涤有机层,并经无水Na2SO4干燥。在过滤和浓缩之后,通过使用在己烷中的17%EtOAc的柱色谱层析纯化粗产物,得到呈白色固体的化合物8b(5.4g,产率65%)。
1H NMR:(DMSO,400MHz):δ1.280(t,3H),3.831(s,3H),4.254(m,4H),7.359-8.145(m,6H)。
质量:407.0(M+1)
步骤8c:3-(2-((9H-嘌呤-6-基硫代)甲基)-5-氯-4-氧代喹唑啉-3(4H)-基)-4-甲氧基苯甲酸乙酯
向6-巯基嘌呤(0.459g,2.70mmol)在DMF(10mL)中的溶液中加入无水K2CO3(0.397g.2.94mmol)。在搅拌15-20分钟之后,加入化合物8b(1.0g,2.45mmol),并继续该反应1-1.5小时。然后,将该反应混合物倾倒入水(150mL)中,过滤出沉淀,得到白色固体(1.1g,产率86%)。
1H NMR:(DMSO,400MHz):δ1.233(t,3H),3.801(s,3H),4.182(m,2H),4.227(q,2H),7.143-8.392(m,8H)。
质量:523.0(M++1)。
步骤8d:3-(2-((9H-嘌呤-6-基硫代)甲基)-5-氯-4-氧代喹唑啉-3(4H)-基)-4-甲氧基苯甲酸
在乙醇(5mL)和水(15mL)的混合溶剂中搅拌化合物8c(1.4g,2.67mmol)和NaOH(0.214g,5.35mmol)。通过TLC/质量定期监测反应,在转化率~50%时终止反应。通过除去乙醇-水处理反应混合物,然后加入水(15mL),并在0-5℃下加入HCl至酸性pH。过滤出白色固体,得到560mg期望的酸(产率41%)。
质量:495.0(M+1)。
步骤8e:(1R,4R)-5-(3-(2-((9H-嘌呤-6-基硫代)甲基)-5-氯-4-氧代喹唑啉-3(4H)-基)-4-甲氧基苯甲酰基)-2-氧杂-5-氮杂二环[2.2.1]庚烷-3-酮
向化合物8d(0.4g,0.81mmol)、(1R,4R)-2-氧杂-5-氮杂二环[2.2.1]庚烷-3-酮(0.179g,1.21mmol)、DIPEA(0.628g,4.86mmol)在5mL乙腈中的混合物中加入HATU(0.456g,1.21mmol)。在10分钟之后,浓缩该反应混合物,并通过制备-HPLC纯化。
1H NMR:(DMSO,400MHz):δ2.143(t,2H),2.287(t,2H),3.769(s,3H),4.482(dd,2H),5.303(s,1H),7.137-8.480(m,8H),13.508(s,1H)。
质量:590.1(M+1)。
实施例155
(1S,4S)-5-(3-(2-((9H-嘌呤-6-基硫代)甲基)-5-氯-4-氧代喹唑啉-3(4H)-基)-4-甲氧基苯甲酰基)-2-氧杂-5-氮杂二环[2.2.1]庚烷-3-酮
(XXXVII-1)。按照与在最后步骤中使用对映体胺相同的方法,制备标题化合物。
1H NMR:(DMSO,400MHz):δ2.143(t,2H),2.287(t,2H),3.769(s,3H),4.482(dd,2H),5.303(s,1H),7.137-8.480(m,8H),13.508(s,1H)。
质量:590.1(M+1)。
实施例156
(S)-N-(3-(2-((9H-嘌呤-6-基硫代)甲基)-5-氯-4-氧代喹唑啉-3(4H)-基)-4-甲氧基苯基)-5-氧代四氢呋喃-2-甲酰胺(XXXVII-3)。通过如下所述中间体制备标题化合物。
5-氯-2-(氯甲基)-3-(2-甲氧基-5-硝基苯基)喹唑啉-4(3H)-酮:按照类似如在步骤8b中描述的方法,使用2-甲氧基-5-硝基苯胺作为苯胺对应物,制备标题中间体。
1H NMR:(DMSO,400MHz):δ3.336(s,3H),4.366(dd,2H),7.460-8.575(m,6H)。
质量:380(M+)。
2-((9H-嘌呤-6-基硫代)甲基)-5-氯-3-(2-甲氧基-5-硝基苯基)喹唑啉-4(3H)-酮:按照如在步骤8c中描述的相同方法,制备标题中间体。质量:496(M+1),498(M+2)。
2-((9H-嘌呤-6-基硫代)甲基)-3-(5-氨基-2-甲氧基苯基)-5-氯喹唑啉-4(3H)-酮:在催化量的HCl的存在下,通过Fe粉还原硝基,得到呈褐色固体的期望的苯胺。
1H NMR:(DMSO,400MHz):δ3.596(s,3H),4.420(dd,2H),4.892(s,2H),6.624-8.552(m,8H)。
质量:466(M+1)。
实施例157
(S)-N-(3-(2-((9H-嘌呤-6-基硫代)甲基)-5-氯-4-氧代喹唑啉-3(4H)-基)-4-甲氧基苯基)-5-氧代四氢呋喃-2-甲酰胺(XXXVII-3)。通过标准HATU偶联上述苯胺与(R)-5-氧代-2-四氢呋喃羧酸,制备标题化合物。
1H NMR:(DMSO,400MHz):δ2.309(m,2H),2.474(m,2H),3.582(s,3H),4.430(dd,2H),4.976(t,1H),7.059-8.425(m,8H),10.100(s,1H)。
质量:578.1(M+1)。
实施例158
(R)-N-(3-(2-((9H-嘌呤-6-基硫代)甲基)-5-氯-4-氧代喹唑啉-3(4H)-基)-4-甲氧基苯基)-5-氧代四氢呋喃-2-甲酰胺(XXXVII-2)。按照与对于XXXVII-3相同的方法,在最后步骤中使用(S)-5-氧代-2-四氢呋喃羧酸制备标题化合物。
1H NMR:(DMSO,400MHz):δ2.309(m,2H),2.474(m,2H),3.582(s,3H),4.430(dd,2H),4.976(t,1H),7.059-8.425(m,8H),10.100(s,1H)。
质量:578.1(M+1)。
实施例159
(1S,4S)-N-(3-(2-((9H-嘌呤-6-基硫代)甲基)-5-氯-4-氧代喹唑啉-3(4H)-基)-4-甲氧基苯基)-3-氧代-2-氧杂-5-氮杂二环[2.2.1]庚烷-5-甲酰胺
(XXXVII-4)。在三乙胺的存在下,使用如对于XXXVII-3的苯胺、三光气、(1S,4S)-2-氧杂-5-氮杂二环[2.2.1]庚烷-3-酮,制备标题化合物。
1H NMR:(DMSO,400MHz):δ2.044(t,2H),2.219(t,2H),3.678(s,3H),4.492(dd,2H),4.784(s,1H),4.875(s,1H),7.003-8.746(m,8H)。
质量:605.1(M+1)。
实施例160
N-(7-甲氧基-8-(4-氧代-4-((1R,4R)-3-氧代-2-氧杂-5-氮杂二环[2.2.1]庚烷-5-基)丁氧基)-2,3-二氢咪唑并[1,2-c]喹唑啉-5-基)烟酰胺(XXVII-13)。通过如下所述中间体制备标题化合物。
4-(7-甲氧基-5-(烟酰氨基)-2,3-二氢咪唑并[1,2-c]喹唑啉-8-yl氧基)丁酸。按照如在专利WO2009091550中公开的类似化学过程,制备标题酸。
N-(7-甲氧基-8-(4-氧代-4-((1R,4R)-3-氧代-2-氧杂-5-氮杂二环[2.2.1]庚烷-5-基)丁氧基)-2,3-二氢咪唑并[1,2-c]喹唑啉-5-基)烟酰胺(XXVII-13)。通过标准HATU偶联上述苯甲酸和(1R,4R)-2-氧杂-5-氮杂二环[2.2.1]庚烷-3-酮,制备标题化合物。
1H-NMR(CDCl3,500MHz):δ12.82(bs,1H),9.47(s,1H),8.70(d,J=4.0Hz,1H),8.46(d,J=7.5Hz,1H),7.70(d,J=6.0Hz,1H),7.35-7.31(m,1H),6.81(d,J=9.5Hz,1H),5.11-5.15(m,1H),4.20-4.17(m,5H),4.04(s,3H),3.70-3.50(m,4H),2.65-2.60(m,2H),2.50-2.45(m,2H),2.22-2.20(m,2H)。
MS:m/z 519.1(M++1)
实施例161
N-(7-甲氧基-8-(4-氧代-4-((1S,4S)-3-氧代-2-氧杂-5-氮杂二环[2.2.1]庚烷-5-基)丁氧基)-2,3-二氢咪唑并[1,2-c]喹唑啉-5-基)烟酰胺(XXVII-14)。在最后偶联步骤,使用如对于XXVII-13的相同方法,使用(1R,4R)-2-氧杂-5-氮杂二环[2.2.1]庚烷-3-酮,制备标题化合物。
1H-NMR(CDCl3,500MHz):δ12.82(bs,1H),9.47(s,1H),8.70(d,J=4.0Hz,1H),8.46(d,J=7.5Hz,1H),7.70(d,J=6.0Hz,1H),7.35-7.31(m,1H),6.81(d,J=9.5Hz,1H),5.11-5.15(m,1H),4.20-4.17(m,5H),4.04(s,3H),3.70-3.50(m,4H),2.65-2.60(m,2H),2.50-2.45(m,2H),2.22-2.20(m,2H)。
MS:m/z 519.1(M+H)
G.PI3k生物学数据
使用下述一般设验设计测定本发明化合物为PI3激酶的抑制剂。
实施例162
用于p110a/p85活性形式的功效评估的HTRF测定试验设计:
下述试验设计描述了用于测定试验化合物抗活性p110α/p85α、p110β/p85α、p120γ酶的固有功效的终点、竞争-结合HTRF测定。该测定平台的机制由供应商(Millipore,Billerica,MA)充分描述在其下述URL:http://www.millipore.com/coa/tech1/74jt4z的网站。
简而言之,在使用前2小时,按照制造商推荐的,制备终止液(终止液A,#_33-007和终止液B,#_33-009;比例为3:1)和Detection Mix(DMC,含有DMA的#_33-015,含有DMB的#_33-011,#_33-013,比例为18:1:1)。另外,在1X反应缓冲液中制备1X反应缓冲液(4X缓冲液原液#_33-003)、来自BPS Bioscience(San Diego,Ca)或Millipore(Billerica,MA)的酶的1.4X原液与二C8-PIP2脂质底物(#_33-005)和4X ATP溶液(#_A7699)Sigma/Aldrich(St.Louis,MO)。在25℃下,使用0.5μL体积的50%DMSO和在50%-75%DMSO中制备的连续稀释化合物,在Corning(#_3573)384-孔、黑色、未处理的微量滴定板(Corning,NY)中预培养15μL的酶和脂质底物混合物。加入5μL的ATP溶液开始脂质激酶反应,并在旋转板振荡器上混合15秒,并在25℃下培养15-30分钟。接着,加入5μL终止液之后再加入5μL体积的检测混合物终止反应。在室温下,使中止反应平衡1至18小时,然后,在来自BioTek(Winooski,VT)的Synergy4平板读数器上,在λex330-80/λem620-35和λem665-7.5读数。基于每个测定的结论,由每个孔的荧光发射值计算HTRF,并根据平均对照孔确定抑制%。然后,将对每种化合物的抑制%值针对抑制剂浓度作图,由log[抑制剂]对响应,来自GraphPad软件的GraphPad Prism(San Diego,CA)中的可变斜率模型估算IC50。
在最佳试验设计中使用的试剂:
[p110α/p85α]=500-750pM,[ATP]=50μM,[di-C8-PIP2]=10μM
(40620;BPS Bioscience或14-602;Millipore)
参照抑制剂IC50:
LY294002=1.3μM(公布的IC50’s=0.7-3μM)
渥曼青霉素=2.9nM(公布的IC50’s=1-5nM)
在最佳试验设计中使用的试剂:
[p110β/p85α]=750pM-1.25nM,[ATP]=50μM,[di-C8-PIP2]=10μM
(14-603;Millipore)
参照抑制剂IC50:
PIK75=249nM(公布的IC50’s=343nM)
AZ-REF=21nM
在最佳试验设计中使用的试剂:
[p120γ]=1-4nM,[ATP]=50μM,[di-C8-PIP2]=10μM
(40625;BPS Bioscience)
参照抑制剂IC50:
PIK75=55nM
AZ-REF=14nM
[[ATP]和[PIP2]分别在等于或低于KMapp下保持固定。
表4显示本发明所选化合物在PI3Ka-HTRF-IC50nM、PI3KΒg-HTRF-IC50nM和HCT116-WB测定中的活性。具有的活性代号为“A”的化合物提供IC50≤10nM;具有的活性代号为“B”的化合物提供IC50>10nM且≤100nM;具有的活性代号为“C”的化合物提供IC50>100nM且≤1000nM;具有的活性代号为“D”的化合物提供IC50>1000nM且<10,000nM;且具有的活性代号为“E”的化合物提供IC50≤10,000nM。
表4
H 与本发明化合物接触的PI3K的质谱分析
实施例163
将完整的PI3Kβ用相对于蛋白10X倍过量的化合物培养18小时。将5μL的样品等分试样用15μL的0.1%TFA稀释,之后将micro C4ZipTipping直接用于MALDI靶点,利用芥子酸作为解吸基质(在0.1%TFA:乙腈50:50中10mg/mL)。然后,经由MALDI MS分析点样。XXII-10修饰PI3Kβ100%3小时。XXII-8、XXII-6、XXIII-4和XXIII-3每个提供的修饰都在约35%至约55%。
实施例164
将完整的PI3Kγ用相对于蛋白10倍过量的化合物XXII-33在37℃下培养1小时。将5μl的样品等分试样用10μl的0.1%TFA稀释,之后将micro C4 ZipTipping直接用于MALDI靶板,利用芥子酸作为解吸基质(在0.1%TFA:乙腈50:50中10mg/mL)。图22的上图显示完整的PI3Kγ蛋白的(m/z=131,963Da)的质谱分析图。图22的底部图显示当用化合物XXII-33(mw=550.64)培养PI3Kγ时的质谱分析图。质心质量(m/z=132,455Da)显示质量迁移492Da(90%),表示化合物XXII-33完全修饰PI3Kγ。
B PDPK-1抑制剂合成实施例
实施例165
中间体A的合成方案
步骤-1:Boc-酸酐,CHCl3,0℃-RT,16h。步骤2-:Et3N,CH3CN,0℃-RT,16h。步骤-3:4M HCl,含于二烷,RT,5h。步骤-4:(i)3-乙氧基-2,2-二甲基-3-氧代丙酸,草酰氯,DMF,CH2C12,2h;(ii)DIPEA,CH3CN,RT,16h。步骤-5:乙醇,HCl,60℃,16h。步骤-6:乙酸乙酯,SnCl2.2H2O,90℃,3h。步骤-7:氨,甲醇,80℃,4天。
步骤1:化合物1
在0℃下,向丙烷-1,3-二胺(10g,134.9mmol)在氯仿(250ml)中的搅拌溶液中滴加在氯仿(250ml)中的BOC-酸酐(6.2ml,26.9mmol),并将该反应混合物在室温下搅拌过夜(进行5个平行反应)。然后,将反应混合物混合在一起,浓缩至其总体积~50%,并过滤。将滤液用盐水洗涤,经硫酸钠干燥,并浓缩。将残余物收集在石油醚中,过滤除去未溶解的部分。浓缩滤液,得到呈无色液体的化合物1(19g,80.8%)。
步骤2:化合物2
在0℃下,向1(19g,109mmol)在乙腈(120mL)中的搅拌溶液中先加入三乙胺(23ml,165mmol),接着加入5-溴-2,4-二氯嘧啶(35g,153.5mmol)。在室温下继续搅拌16小时。将该反应混合物完全浓缩,用乙酸乙酯稀释得到的残余物,用水和盐水溶液洗涤,经无水Na2SO4干燥,过滤并浓缩。然后,使用柱色谱层析(SiO2,石油醚∶乙酸乙酯,9:1)纯化粗物质,得到呈淡褐色固体的化合物2(26.5g,66.5%)。
步骤3:化合物3
将HCl在二噁烷(4M,150mL)中的冷溶液加入到化合物2(30g,82mmol)中,然后在室温下搅拌5小时。过滤收集得到的固体,用石油醚洗涤,并干燥(25g,定量)。
步骤4:化合物4
在0℃下,向3-乙氧基-2,2-二甲基3-氧代丙酸(10g,62.4mmol)在二氯甲烷(100ml)中的搅拌溶液中加入草酰氯(6.4g,75.6mmol),接着加入两滴DMF。将该反应混合物在室温下搅拌2小时,然后真空浓缩,得到褐色油状物。然后,在0℃下,将其滴加到3(15.5g,51.3mmol)和DIPEA(36ml,206.7mmol)在乙腈(100ml)中的溶液中,并在室温下搅拌16小时。将该反应混合物真空完全浓缩,得到残余物。同时进行一个以上类似的批了,将残余物都收集在乙酸乙酯中。用1.5N HCl、10%NaHCO3溶液和盐水洗涤乙酸乙酯层,经无水Na2SO4干燥,过滤并浓缩。使用柱色谱层析(SiO2,在石油醚中15-20%乙酸乙酯)纯化粗物质,得到呈白色固体的化合物4(25g,59.7%)。
步骤5:化合物5
向4(10g,24.5mmol)在乙醇(200mL)中的搅拌溶液中加入3-硝基苯胺(4.4g,31.85mmol)和浓HCl(0.2ml)。然后,在60℃下,在密封管中,将该反应混合物搅拌16小时,期间,分离出浅黄的固体。过滤收集得到的固体(化合物5),用石油醚洗涤,并干燥(11.7g,93.6%)。
步骤6:化合物6
向5(11.7g,23mmol)在乙酸乙酯(120mL)中的搅拌溶液中分批加入氯化亚锡(26g,115mmol)。然后,将该反应混合物回流3小时。将其冷却至室温,用乙酸乙酯稀释,并用碳酸氢钠溶液洗涤。过滤除去不溶物;用盐水洗涤滤液,经无水Na2SO4干燥,并浓缩,得到呈浅褐色粘性油状物的化合物6(9.98g,90.6%)。
步骤7:中间体A
在0℃下,在密封管中,向6(9.98g,20.8mmol)在无水甲醇(50mL)中的溶液中加入饱和的甲醇氨(50mL)。然后,将该反应混合物在80℃下加热4天。浓缩该反应混合物,通过柱色谱层析(SiO2,在氯仿中的4%甲醇)纯化得到的粗产物,得到呈白色固体的中间体A(6.2g,66%)。MS m/z:450.1,452.0(M+H+)。
中间体B的制备
按照与用于中间体A描述的合成方法类似地制备中间体B,不同在于在步骤5中使用4-硝基苯胺。MS m/z:450.1,452.0(M+H+)。
按照类似的方法,制备中间体C和中间体D。:
实施例166
[0001]在0℃下,向中间体A(0.5g,1.11mmol)、(S)-5-氧代四氢呋喃-2-羧酸(0.29g,2.23mmol)和DIPEA(0.3ml,1.72mmol)在二氯甲烷(2.5ml)中的溶液中加入T3P(2-丙烷膦酸酸酐,在乙酸乙酯中的50%溶液,1.8ml,2.83mmol),并将该反应混合物在室温下搅拌16小时。将反应混合物直接吸附在碱性氧化铝上,接受柱色谱层析(用二氯甲烷洗脱)。在蒸发柱成分之后,得到残余物,用碳酸氢钠溶液处理,并用二氯甲烷萃取。将有机层经硫酸钠干燥,并浓缩,得到浅黄色固体。将产物用二乙醚进一步洗涤,并真空干燥,得到呈浅黄色固体的标题化合物(0.13g,20.8%)。
[0002]1H NMR(DMSO-d6):δ=1.28(s,6H),1.65(m,2H),2.22(m,1H),2.54(m,3H),3.11(m,2H),3.41(m,2H),5.06(m,1H),7.08-7.21(m,5H),7.45(m,1H),7.64(t,J=6Hz,1H),7.99(s,1H),8.03(s,1H),9.34(s,1H),10.18(s,1H);LCMS:m/e:562.0,564.0(M+1)。
实施例167
步骤-1:2-(3-(4-(3-(3-氨基-2,2-二甲基3-氧代丙酰氨基)丙基氨基)-5-溴嘧啶-2-基氨基)苯基氨基)-2-氧代乙基氨基甲酸叔丁酯
将中间体A(102mg,0.23mmol)、BOC-甘氨酸(44mg,0.25mmol)溶于DMF(1mL)中。先加入羟苯并三唑(38mg,0.25mmoL),接着加入N-乙基-N1-(3-二甲基氨基丙基)碳二亚胺盐酸盐(48mg,0.25mmoL)和N-甲基吗啉(75uL,0.68mmoL)。在室温下搅拌1小时,分配到饱和的碳酸氢钠溶液(2mL)和乙酸乙酯(5mL)中。层分离,经硫酸钠干燥有机层;过滤,经旋转蒸发除去溶剂,得到黄色油状物,164mg。LC/MS:RT=2.27min,m/e607.0/609.2(M+1)。
步骤-2:N1-(3-(2-(3-(2-氨基乙酰氨基)苯基氨基)-5-溴嘧啶-4-基氨基)丙基)-2,2-二甲基丙二酰胺(HCl盐)
向2-(3-(4-(3-(3-氨基-2,2-二甲基3-氧代丙酰氨基)丙基氨基)-5-溴嘧啶-2-基氨基)苯基氨基)-2-氧代乙基氨基甲酸叔丁酯(164mg,0.27mmol)在DCM(5mL)中的溶液中加入HCl(在二噁烷中的4N,1mL)。在室温下搅拌过夜;经由旋转蒸发除去溶剂,得到白色固体170mg。LC/MS:RT=2.13min,m/e:507.1/509.1(M+1)。
步骤-3:XI-26
将N1-(3-(2-(3-(2-氨基乙酰氨基)苯基氨基)-5-溴嘧啶-4-基氨基)丙基)-2,2-二甲基丙二酰胺(来自步骤2的HCl盐)(31mg,0.06mmol)装料到DMF(500uL)中。向其中加入5-氧代四氢噻吩-3-羧酸(8mg,0.06mmoL)、DIPEA(40uL,0.23mmoL)和HATU(22mg,0.06mmol),并在室温下搅拌30分钟。直接使用制备HPLC纯化该混合物,得到呈TFA盐的白色固体,9mg。LC/MS:RT=2.02m/e 635.1/637.0(M+1)。
实施例168
XI-41
在室温下,经16小时。向中间体D(125mg,0.25mmol)、HATU(0.50mmol)和DIPEA(过量)在DMF中的溶液中加入(1S,4S)-2-氧杂-5-氮杂二环[2.2.1]庚烷-3-酮(TFA盐0.50mmol)。在处理后,得到呈胶状物质的粗产物(125mg,LCMS纯度~58%)。在经制备HPLC纯化之后,得到标题化合物(20mg)。LCMS:m/e:599.6,601.6(M-1)
按照类似的方法,根据上述方法,由合适的中间体A、B、C或D制备下表中的化合物。
| 化合物结构 | MS(M+1) | 来自中间体 |
| XI-21 | 578.1/580.0 | A |
| XI-22 | 635.1/637.0 | A |
| XI-23 | 578.1/580.0 | A |
| XI-24 | 635.1/637.0 | A |
| XI-25 | 626.1/628.0 | A |
| XI-26 | 635.1/637.0 | A |
| XI-27 | 578.1/580.0 | A |
| XI-28 | 617.1/619.0 | A |
| XI-29 | 588.2/590.1 | A |
| XI-30 | 602.1/604.0 | A |
| XI-31 | 561.0/563.1 | A |
| XI-32 | 691.0/693.2 | A |
| XI-33 | 660.2/662.1 | A |
| XI-34 | 649.0/651.0 | A |
| XI-35 | 624.1/626.1 | B |
| XI-36 | 623.6/625.6(M-1) | A |
| XI-37 | -- | A |
| XI-38 | 619.2/621.2 | A |
| XI-39 | 504.1/506.1 | B |
| XI-40 | 602.1/604.1 | D |
| XI-41 | 599.6/601.6(M-1) | D |
| XI-42 | 562.1/564.1 | B |
| XI-43 | 562.1/564.1 | B |
| XI-44 | 602.1/604.1 | C |
| XI-45 | 602.1/604.1 | C |
| XI-46 | 532.0/534.0 | A |
| XI-47 | 648.1/650.0 | A |
| XI-48 | 645.0/647.0 | A |
| XI-49 | 645.0/647.0 | A |
| XI-50 | 562.0/564.0 | A |
| XI-51 | 547.0/549.0 | A |
| XI-52 | 562.0,564.0 | A |
| XI-53 | 504.2/506.2 | A |
| XI-55 | 603.2/605.2 | A |
| XI-56 | 1202.4/1204.3 | A |
| XI-57 | 716.1/718.0 | A |
| XI-58 | 627.2/629.1 | A |
| XI-59 | 590.0/592.2 | A |
实施例169
实施例170
中间体E的合成方案:
步骤-1:4-叔丁氧基-3-氧代丁酸乙酯(E-1)的制备
在0℃下,向NaH(39g,1.61mmol)在DMF(200mL)中的悬浮液中慢慢地滴加4-氯-3-氧代丁酸乙酯(50g,0.303mmol),接着加入t-BuOH(58mL,0.607mmol),并在环境温度下搅拌14小时。在反应完成之后,将反应混合物酸化至pH=4至5,并用乙酸乙酯稀释,用水和盐水溶液洗涤,经Na2SO4干燥,并蒸发。通过柱色谱层析[硅胶(60-120目),在己烷中7%的乙酸乙酯]纯化粗化合物,得到呈黄色油状液体的化合物E-1(27g,45.7%)。TLC系统:在己烷中5%的乙酸乙酯。(Rf):0.4.1H NMR(CDCl3):=1.20(s,9H),1.29(t,3H),3.55(s,2H),4.01(s,2H),4.20(q,2H)。
步骤-2:2-乙酰基-4-叔丁氧基-3-氧代丁酸乙酯(E-2)的制备
在0℃下,向4-叔丁氧基-3-氧代丁酸乙酯(75g,0.37mmol)在DCM(300mL)中的溶液中加入吡啶(292mL,4.455mmol),接着加入乙酰氯(30mL,0.44mmol)和MgCl2(17.5g,0.185mmol),并在室温下搅拌16小时。将该反应混合物倾倒入乙酸乙酯中,用水、稀HCl和盐水溶液洗涤,得到呈浅黄色液体的化合物E-2(40g,44%)。(Rf):0.5,TLC系统:在己烷中10%的乙酸乙酯。
步骤-3:3-(叔丁氧基甲基)-5-甲基-1H-吡唑-4-羧酸乙酯(E-3)的制备)
在5-10℃下,向乙基-2-乙酰基-4-叔丁氧基-3-氧代丁酸乙酯(26g,0.106mmol)在冰醋酸(100mL)中的溶液中滴加水合肼,搅拌30分钟。在反应完成之后,用饱和的NaHCO3中和反应混合物,用乙酸乙酯萃取,并用NaHCO3、盐水溶液洗涤,经Na2SO4干燥和蒸发。通过柱色谱层析(硅胶(60-120),在己烷中27%的乙酸乙酯)纯化该粗化合物,得到呈浅黄色固体的化合物E-3(8g,32%)。(Rf):0.2,TLC系统:在己烷中10%的乙酸乙酯。1H NMR(CDCl3):=1.28(s,9H),1.35(t,3H),2.50(s,3H),4.30(q,2H),4.78(s,2H),7.60(br,1H)。
步骤-4:3-(叔丁氧基甲基)-5-甲基-1H-吡唑-羧酸(E-4)的制备
向3-(叔丁氧基甲基)-5-甲基-1H-吡唑-4-羧酸乙酯(19g,0.07mmol)在乙醇(130mL)中的溶液中加入10%NaoH(31g,0.79mmol)溶液,并在82℃下回流16小时。在反应完成之后,将反应混合物酸化,调节至pH<1,并过滤固体,得到呈无色固体的化合物E-4(14g,87%)。(Rf):0.5,TLC系统:在氯仿中10%的甲醇。1H NMR(DMSO-d6):=1.20(s,9H),2.31(s,3H),4.54(s,2H),12.6(br,2H)。
步骤-5:3-(羟基甲基)-5-甲基-1H-吡唑-4-羧酸苄酯(E-5)的制备
向在甲醇(30mL)中的3-(叔丁氧基甲基)-5-甲基-1H-吡唑-4-羧酸(5g,0.0235mmol)中加入Cs2CO3(7.66g,0.23mmol),并在环境温度下搅拌1小时,然后完全除去甲醇,在N2气氛下,向其中加入DMF(25mL),接着加入溴化苄(4.03g,0.023mmol),并在室温下搅拌4小时。在反应完成之后,用乙酸乙酯稀释反应混合物,用水、1N HCl、NaHCO3和盐水溶液洗涤,经Na2SO4干燥,并减压蒸发。通过柱色谱层析(硅胶(60-120),在氯仿中3%甲醇)纯化粗化合物。将得到的粗化合物用TFA在环境温度下处理24小时。然后,浓缩反应混合物,与戊烷研磨,得到呈无色固体的化合物E-5(1.8g,37%)。(Rf):0.6,TLC系统:在氯仿中10%的甲醇。
步骤-6:3-甲酰基-5-甲基-1H-吡唑-4-羧酸苄酯(E-6)的制备
向3-(羟基甲基)-5-甲基-1H-吡唑-4-羧酸苄酯(8.5g,0.034mmol)在二甲氧基乙烷(200mL)中的搅拌溶液中加入MnO2(29.7g),并加热至80℃2小时。在反应完成之后,通过celite床过滤反应混合物,并浓缩。将得到的粗化合物与戊烷研磨,得到呈灰色固体的化合物E-6(7g,83%)。(Rf):0.6,TLC系统:在己烷中40%的乙酸乙酯。
步骤-7:2-(4-(苄氧基羰基)-5-甲基-1H-吡唑-3-基)-1H-苯并[d]咪唑-5-羧酸乙酯(E-7)的制备
向3,4-二氨基苯甲酸乙酯(3.8g,0.022mmol)在乙腈(100mL)中的搅拌溶液中加入NaHSO4(3.61g,0.43mmol),加热至回流,然后慢慢地加入3-甲酰基-5-甲基-1H-吡唑-4-羧酸苄酯(7g,0.0286mmol),并保持同一温度3小时。在反应完成之后,浓缩反应混合物,并用乙酸乙酯稀释,用水洗涤,经Na2SO4干燥和浓缩。将得到的粗化合物与二乙醚研磨,得到呈白色固体的化合物E-7(5.5g,43.5%)。(Rf):0.7,TLC系统:在己烷中10%的乙酸乙酯。LCMS:m/e:405.0(M+1)。
步骤-8:3-(5-(乙氧基羰基)-1H-苯并[d]咪唑-2-基)-5-甲基-1H-吡唑-4-羧酸(E-8)的制备
向2-(4-(苄氧基羰基)-5-甲基-1H-吡唑-3-基)-1H-苯并[d]i咪唑-5-羧酸乙酯(5.5g,13.6mmol)在THF:MeOH(1:1,100mL)中的溶液中加入10%Pd/C(1g),并在室温和100psi氢压力下搅拌16小时。在反应完成之后,通过celite床过滤反应混合物,并浓缩。通过与二乙醚研磨,纯化得到的粗化合物,得到呈褐色固体的化合物E-8(3g,71%)。(Rf):0.1,TLC系统:在氯仿中10%的甲醇。LCMS:m/e:315.0(M+1)。
步骤-9:2-(4-(1-(叔-丁氧基羰基)哌啶-4-基氨基甲酰基)-5-甲基-1H-吡唑-3-基)-1H-苯并[d]咪唑-5-羧酸乙酯(E-9)的制备
向3-(5-(乙氧基羰基)-1H-苯并[d]咪唑-2-基)-5-甲基-1H-吡唑-4-羧酸(500mg,0.00159mol)在DMF(2mL)中的溶液中加入4-氨基哌啶-1-羧酸叔丁酯(637mg,0.00318mol),接着加入EDC.HCl(606mg,0.00318mol)、HOBT(434mg,0.00138mol)、DIPEA(404g,0.00318mol),并在室温下搅拌2小时。在反应完成之后,将反应混合物倾倒入水中,并搅拌1小时,过滤出沉淀的固体,经Na2SO4干燥。通过柱色谱层析(硅胶(60-120目),在氯仿中3%的甲醇)纯化得到的粗化合物,得到呈白色固体的化合物E-9(600mg,76%)。(Rf):0.4,TLC系统:在氯仿中10%的甲醇。LCMS:m/e:497.1(M+1)。
步骤-10:2-(4-(1-(叔-丁氧基羰基)哌啶-4-基氨基甲酰基)-5-甲基-1H-吡唑-3-基)-1H-苯并[d]咪唑-羧酸(E-10)的制备
向2-(4-(1-(叔-丁氧基羰基)哌啶-4-基氨基甲酰基)-5-甲基-1H-吡唑-3-基)-1H-苯并[d]咪唑-5-羧酸乙酯(600mg,1.909mmol)在THF(15mL)中的溶液中加入NaOH(484mg,12.9mmol),并加热回流16小时。在反应完成之后,浓缩反应混合物,用水稀释,并用稀HCl酸化至pH=4-5,过滤出沉淀的固体,真空干燥,得到呈白色固体的化合物E-10(480mg,42.5%)。(Rf):0.2,TLC系统:在含有NH3的氯仿中10%的甲醇。LCMS:m/e:469.1(M+1)。
步骤-11:4-(5-甲基-3-(5-甲基-1H-苯并[d]咪唑-2-基)-1H-吡唑-4-羧酰氨基)哌啶-1-羧酸叔丁酯(E)的制备
向2-(4-(1-(叔-丁氧基羰基)哌啶-4-基氨基甲酰基)-5-甲基-1H-吡唑-3-基)-1H-苯并[d]咪唑-5-羧酸(450mg,0.9615mol)在甲苯(8mL)中的溶液中加入DPPA(0.318g,1.44mmol),接着加入DIPEA(183mg,1.44mmol),并在环境温度下搅拌2小时,然后加入苯甲醇,并加热回流16小时。在反应完成之后,浓缩反应混合物。通过柱色谱层析(硅胶(60-120目),在含有NH3的氯仿中3%的甲醇)纯化得到的粗化合物,得到呈黄白色固体的cbz-保护的化合物E(270mg,49%)。(Rf):0.4,TLC系统:在含有NH3的氯仿中10%的甲醇。LCMS:m/e:574.1(M+1)。
将上述化合物加入到THF:MeOH(1:1,20mL)的混合物中,接着加入10%Pd/C(27mg),并在100PSI的氢压下搅拌16小时。在反应完成之后,通过celite床过滤反应混合物,并浓缩。将得到的粗化合物与二乙醚研磨,得到呈黑色固体的化合物E(130mg,63%)。((Rf):0.1,TLC系统:在含有NH3的氯仿中10%的甲醇。LCMS:m/e:440.1(M+1)。
实施例171
步骤-12:(S)-叔丁基2-(5-氧代四氢呋喃-2-羧酰氨基)乙酸酯(E-12)的制备
向(S)-5-氧代四氢呋喃-2-羧酸(300mg,00230mol)在DMF(4ml)中的溶液中加入HATU(2.622g,0.0069mol)、DIPEA(584mg,0.0046mol),接着加入甘氨酸叔丁酯(578mg,0.0034mol),并在环境温度下搅拌20分钟。在反应完成之后,将反应混合物倾倒入水中,用乙酸乙酯萃取,干燥并浓缩,得到呈浅黄色液体的化合物E-12(120mg,21%)。(Rf):0.8,系统:在氯仿中10%的丙酮。LCMS:m/e:242.1(M-1)。
步骤-13:(S)-2-(5-氧代四氢呋喃-2-羧酰氨基)乙酸(E-13)的制备
在环境温度下,用在DCM(5ml)中的TFA(7eq)处理(S)-叔丁基2-(5-氧代四氢呋喃-2-羧酰氨基)乙酸酯(120mg,0.493mmol)的溶液。在反应完成之后,蒸发DCM与过量的TFA。通过与二乙醚研磨,纯化得到的粗化合物,得到呈浅黄色液体的化合物E-13(107mg,90%)。(Rf):0.1,TLC系统:在氯仿中10%的丙酮。LCMS:m/e:186.1(M-1)。
步骤-14:(S)-5-甲基-3-(5-(2-(5-氧代四氢呋喃-2-羧酰氨基)乙酰氨基)-1H-苯并[d]咪唑-2-基)-N-(哌啶-4-基)-1H-吡唑-4-甲酰胺(XXXVI-1)的制备
向(S)-2-(5-氧代四氢呋喃-2-羧酰氨基)乙酸(30mg,0.16mmol)在DMF(2ml)中的溶液中加入4-(3-(5-氨基-1H-苯并[d]咪唑-2-基)-5-甲基-1H-吡唑-4-羧酰氨基)哌啶-1-羧酸叔丁基酯(70mg,0.11mmol),接着加入EDC.HCl(44mg,0.23mmol)、HOBt(31mg,0.23mmol)和DIPEA(30mg,0.23mmol),然后在环境温度下搅拌3小时。在反应完成之后,将反应混合物倾倒入水中;过滤出沉淀的固体,并真空干燥。通过制备HPLC纯化粗化合物,得到呈固体的BOC-标题化合物。在室温下,用在DCM中的三氟乙酸处理固体,以除去BOC基团。浓缩反应溶液,将残余物与二乙醚研磨,得到呈固体的标题化合物(40mg,HPLC纯度:93%)。LCMS:m/e:509.0(M+1)。
实施例172
按照类似的方法,从中间体E开始,制备下述化合物:
(R)-5-甲基-3-(5-(2-(5-氧代四氢呋喃-2-羧酰氨基)乙酰氨基)-1H-苯并[d]咪唑-2-基)-N-(哌啶-4-基)-1H-吡唑-4-甲酰胺:5.0mg,HPLC纯度:95%.LCMS:m/e:509.1(M+1)。
C.PDPK-1生物学数据
实施例173
简而言之,在由20mM Tris、pH 7.5、5mM MgCl2、1mMEGTA、5mMβ磷酸甘油、5%甘油(10X原液,KB002A)和0.2mM DTT(DS001A)组成的1X激酶反应缓冲液中制备来自Invitrogen(P3001)或BPS(40080)或SignalChem(P14-10H)的PDPK1酶、1.13X ATP(AS001A)和ST28-Sox肽底物(KNZ1281C)的10X原液。在0.5μl体积的50%DMSO和在50%DMSO中连续稀释的化合物,在25℃下,在Corning(#_3574)384-孔、白色、非结合表面微量滴定板(Corning,NY)预培养5μl的酶30min。加入45λL的ST28-Sox肽底物开始激酶反应,并在来自BioTek(Winooski,VT)的Synergy4平板读数器中,在λex360/λem485下每71秒监测,共监测30-60分钟。基于每个测定的结论,检验每个孔的过程曲线的线性反应动力学和拟合统计(R2,95%置信区间,绝对平方和)。由相对荧光单位对时间(分钟)作图的斜率来估算每次反应的滞后速率(+10分钟至20+分钟),并标准化成无酶和无抑制剂对照组的抑制%。然后,将得到的抑制值针对抑制剂浓度作图,由log[抑制剂]对响应,GraphPad软件的GraphPad Prism(San Diego,CA)中可变斜率模型估算IC50。
临时试验设计中使用的[试剂]:Invitrogen-[PDPK1]=5-10nM,[ATP]=5μM和[ST28-Sox]=5μM或10μM(ATP KMapp=4-6μM);BPS-[PDPK1]=10-15nM,[ATP]=5μM和[ST28-Sox]=10μM(ATP KMapp=3-5μM);SignalChem-[PDPK1]=5-10nM,[ATP]=5μM和[ST28-Sox]=5μM或10μM(ATP KMapp ND)
表5显示所选化合物在PDK1-OMNIA测定中的活性。具有的活性代号为“A”的化合物提供IC50≤10nM;具有的活性代号为“B”的化合物提供IC50>10nM且≤100nM;具有的活性代号为“C”的化合物提供IC50>100nM且≤1000nM;具有的活性代号为“D”的化合物提供IC50>1000nM且<10,000nM;且具有的活性代号为“E”的化合物提供IC50≤10,000nM。
表5
| 化合物名称 | 酶/测定 | 抑制/修饰代号 |
| XI-21 | PDK1-OMNIA | A |
| XI-22 | PDK1-OMNIA | A |
| XI-23 | PDK1-OMNIA | B |
| XI-24 | PDK1-OMNIA | B |
| XXXVI-1 | PDK1-OMNIA | |
| XXXVI-2 | PDK1-OMNIA | |
| XI-25 | PDK1-OMNIA | A |
| 化合物名称 | 酶/测定 | 抑制/修饰代号 |
| XI-26 | PDK1-OMNIA | B |
| XI-27 | PDK1-OMNIA | A |
| XI-28 | PDK1-OMNIA | |
| XI-29 | PDK1-OMNIA | B |
| XI-30 | PDK1-OMNIA | B |
| XI-31 | PDK1-OMNIA | B |
| XI-32 | PDK1-OMNIA | C |
| XI-33 | PDK1-OMNIA | B |
| XI-56 | PDK1-OMNIA | C |
| 可逆心福苷 | PDK1-OMNIA | B |
| XI-34 | PDK1-OMNIA | B |
| XI-35 | PDK1-OMNIA | |
| XI-36 | PDK1-OMNIA | B |
| XI-37 | PDK1-OMNIA | B |
| XI-38 | PDK1-OMNIA | B |
| XI-39 | PDK1-OMNIA | B |
| XI-40 | PDK1-OMNIA | A |
| XI-41 | PDK1-OMNIA | A |
| XI-42 | PDK1-OMNIA | B |
| XI-43 | PDK1-OMNIA | C |
| XI-44 | PDK1-OMNIA | B |
| XI-45 | PDK1-OMNIA | B |
| XI-46 | PDK1-OMNIA | B |
| XI-47 | PDK1-OMNIA | A |
| XI-48 | PDK1-OMNIA | A |
| XI-49 | PDK1-OMNIA | A |
| XI-50 | PDK1-OMNIA | B |
| XI-51 | PDK1-OMNIA | |
| XI-52 | PDK1-OMNIA | B |
| XI-53 | PDK1-OMNIA | |
| XI-55 | PDK1-OMNIA | A |
D.与本发明化合物接触的PDPK-1的质谱分析
实施例174
将完整的PDPK1用相对于蛋白10倍过量的化合物XI-27培养3小时。将3ul样品等分试样用10ul的0.1%TFA稀释,之后将micro C4ZipTipping直接用于MALDI靶板,利用芥子酸作为解吸基质(在0.1%TFA:乙腈50:50中10mg/mL)。图12的上部图显示完整的PDPK-1蛋白的质谱分析图(m/z 59,255Da)。图12的底部图显示用XI-27(mw=578.5)培养3hr的PDPK-1(m/z为59,823)的质谱分析图,其显示出质量迁移568Da,没有59255Da的m/z,其表明在3小时内XI-27对PDPK1的修饰完成。
化合物XI-27修饰肽PDPK1上的164NGELLKYIR172,如在溶液中胰蛋白酶消化之后通过肽MS分析确认。将完整的PDPK1(Millipore,14-452)用相对于蛋白10倍过量的化合物D培养3小时。在反应之后,通过用DTT还原蛋白、用碘乙酰胺烷基化硫醇、加入胰蛋白酶(1:20,蛋白酶∶蛋白),并在37℃下培养1.5小时,使约5μgs的蛋白接受标准胰蛋白酶溶液消化。在消化之后,使用C18ziptips纯化肽,点样在MALDI具有α-氰基-4-羟基肉桂酸作为解吸基质(在0.1%TFA:乙腈50:50中10mg/mL)的MALDI靶板上,并以reflectron方式进行分析。图13的上部图显示对照PDPK1消化的胰蛋白酶消化曲线。图B显示在消化前用化合物XI-27处理的PDPK1的胰蛋白酶消化曲线。图13中的箭头指向在1,741Da的峰,其对应于164NGELLKYIR172(1,106Da)、化合物XI-27(mw 578.50)和在硫醇烷基化所述化合物的碘乙酰胺(+57)的质量。选择肽进行MSMS分析,以证实所述精确氨基酸被修饰。
化合物XI-27修饰PDPK1上的K169,如通过MSMS分析证实的。从化合物XI-27处理的PDPK1胰蛋白酶消化物中选择感兴趣的肽1,741Da,进行MSMS分析。图14显示化合物XI-27修饰的肽164NGELLKYIR172的MSMS光谱。b和y离子的排列证实K169为化合物XI-27修饰的氨基酸。
实施例175
将完整的PDPK1用相对于蛋白10倍过量的XI-21培养3小时。将3ul样品等分试样用10ul的0.1%TFA稀释,之后将micro C4 ZipTipping直接用于MALDI靶板,利用芥子酸作为解吸基质(在0.1%TFA:乙腈50:50中10mg/mL)。图15的上部图显示完整的PDPK1蛋白(m/z 59,275Da)的质谱分析图。图15的底部图显示当用化合物XI-21(mw=578.50)培养PDPK1时的质谱分析图。质心质量(m/z=60,284Da)显示质量迁移1,009Da(175%),表明化合物XI-21完全多次修饰了PDPK1。
化合物XI-21修饰肽PDPK1上的三肽164NGELLKYIR172、173KIGSFDETC(IAA)TR183、84FGKILGEGSFSTVVLAR100,如在溶液中胰蛋白酶消化之后通过肽MS分析确认。将完整的PDPK1(Millipore,14-452)用相对于蛋白10倍过量的化合物XI-21培养3小时。在反应之后,通过用DTT还原蛋白、用碘乙酰胺烷基化硫醇、加入胰蛋白酶(1:20,蛋白酶∶蛋白),并在37℃下培养1.5小时,使约5μg的蛋白接受标准胰蛋白酶溶液消化。在消化之后,使用C18ziptips纯化所述肽,点样在MALDI靶板,使用α氰基4-羟基肉桂酸作为解吸基质(在0.1%TFA:乙腈50:50中10mg/mL),并以reflectron方式分析。图16的上部图显示对照PDPK1消化的胰蛋白酶消化曲线。图16的底部图显示在消化前用化合物XI-21处理的PDPK1的胰蛋白酶消化曲线。图16的上部图中的箭头指向在1,740Da的峰,其对应于164NGELLKYIR172(1,106Da)和化合物XI-21(mw 578.50)的质量,在1,950Da的峰,其对应于173KIGSFDETC(IAA)TR183(1,313Da)和化合物XI-21与2碘乙酰胺的质量,和在2,417Da的峰,其对应于84FGKILGEGSFSTVVLAR100(1,780Da)与化合物XI-21和碘乙酰胺的质量。选择全部这三个肽进行MSMS分析,以证实所述精确氨基酸均被修饰。
化合物XI-21修饰PDPK1上的K169,如通过MSMS分析证实的。从化合物XI-21处理的PDPK1胰蛋白酶消化物中选择感兴趣的肽1,740Da,进行MSMS分析。图17显示化合物XI-21修饰的肽164NGELLKYIR172的MSMS光谱。b和y离子的排列证实K169为化合物XI-21修饰的氨基酸。
化合物XI-21修饰PDPK1上的K173,如通过MSMS分析证实的。从化合物B处理的PDPK1胰蛋白酶消化物中选择感兴趣的肽1,950Da,进行MSMS分析。图18显示化合物XI-21修饰的肽173KIGSFDETCTR183的MSMS光谱。b和y离子的排列证实K173为化合物XI-21修饰的氨基酸。
化合物XI-21修饰PDPK1上的K86,如通过MSMS分析证实的。从化合物B处理的PDPK1胰蛋白酶消化物中选择感兴趣的肽2,417Da,进行MSMS分析。图19显示化合物XI-21修饰的肽84FGKILGEGSFSTVVLAR100的MSMS光谱。b和y离子的排列证实K86为化合物XI-21修饰的氨基酸。
本文公开的PDPK1抑制剂的其它实例证实共价修饰的PDPK1具有类似于上述的质量迁移和消化结果。例如,表6列出了修饰PDPK1整体蛋白的化合物的非限制性实例,修饰每个蛋白的数量和所述蛋白之内修饰的赖氨酸。化合物XI-27、XI-26、XI-22和XI-21各自具有硫代内酯弹头,仍然表现出不同的蛋白修饰曲线。而且,对于每种化合物,XI-27、XI-26、XI-22和XI-21对PDPK-1中修饰的赖氨酸是不相同的。不希望受到任何特定理论的束缚,如支架和连接体相对于结合位点中的赖氨酸而存在的,弹头的位置影响对PDPK-1的结合位点中不同赖氨酸修饰的不同结果。
表6
等同物
本领域技术人员将认识到,或者仅仅使用常规实验能够确定,本文特别地描述的具体实施方案的许多的同等物。这样的同等物都意味着涵盖在下述权利要求的范围内。
Claims (184)
2.权利要求1的方法,其进一步包括∶
E)对于步骤D)鉴别的配体-弹头化合物,通过步骤B)中鉴别的赖氨酸残基的侧链伯胺基和步骤D)中鉴别的配体-弹头化合物的弹头亲电基之间形成共价键,形成配体-蛋白共价加合物,同时基本上保持配体的药效基团和配体-结合位点之间的非共价相互作用。
3.权利要求2的方法,其进一步包括∶
F)通过分析得到的构型的总体能量或通过分析连接体构型的能量,评估步骤E)中形成的配体-蛋白共价加合物的构型。
4.权利要求3的方法,其中重复步骤A)-F),同时连接体和得到的构型的总体能量的变化小于前次重复。
5.权利要求2的方法,其进一步包括∶
F)当配体结合位点内或附近的赖氨酸残基的侧链伯胺基和弹头亲电基之间形成共价键时,测定该配体-结合位点是否被封闭。
6.权利要求2的方法,其中步骤E)中形成的共价键是使用计算方法形成的,其中,弹头和赖氨酸残基的侧链是柔性的,而配体-弹头化合物和配体-结合位点的剩余结构是固定的。
7.权利要求1的方法,其中在步骤B)中,当可逆配体对接在配体-结合位点内或附近时,鉴别距可逆配体小于约的靶蛋白的配体-结合位点内或附近的每个赖氨酸残基。
8.权利要求1的方法,其中步骤C)包括多个配体-弹头化合物的模型,其中在所述配体-弹头化合物的每个模型中,所述弹头与配体的不同可取代位置或配体的一部分结合,任选地在弹头和可取代位置之间有连接体。
9.权利要求1的方法,其中靶蛋白为已鉴别的蛋白家族的一个鉴别的成员,并且在蛋白家族的鉴别的成员中赖氨酸残基不是保守的。
10.权利要求1的方法,其中靶蛋白为已鉴别的蛋白家族的一个鉴别的成员,并且在已鉴别的蛋白家族的超过一个鉴别的成员中赖氨酸残基是保守的。
11.权利要求10的方法,其中在蛋白家族的鉴别的成员中赖氨酸残基是保守的。
12.权利要求1的方法,其中所述靶蛋白具有催化活性。
13.权利要求1的方法,其中所述蛋白家族选自BCL-2、钙蛋白酶、胱门蛋白酶、组织蛋白酶、HCV、HDAC、HSP70、HSP90、IAP、激酶、MDM2、MMP、NHR、PI3K、磷酸酶、PARP和HIV蛋白酶。
14.权利要求13的方法,其中所述靶蛋白选自XIAP、cIAP1和cIAP2、PI3Kβ/γ、PDPK1和HCV-NS3。
15.权利要求1的方法,其中所述配体-结合位点为底物或辅助因子的配体-结合位点。
16.权利要求1的方法,其中所述赖氨酸残基不是催化残基。
17.权利要求1的方法,其中所述配体-弹头化合物具有式I的结构∶
其中:
支架为
a)除去能够结合或邻接所述配体-结合位点的配体的氢得到的基团;或
b)截短所述药效基团得到的配体的药效基团的一部分,使得该支架能够结合或邻接所述配体-结合位点;
弹头为任选地包含一个或多个选自O、N和S的杂原子的有机部分;所述有机部分具有的分子量为约14道尔顿至约200道尔顿;弹头能够与赖氨酸残基的侧链伯胺基反应;并且弹头通过连接体连接至支架;和
连接体为不存在、键或二价C1-C15饱和的、不饱和的、直链、支链、环状、二环、三环的烷基、烯基、炔基;桥连二环、杂环、杂芳基或芳基部分;其中任选地,所述烃链的一个或多个亚甲基单元独立地被-NR1-、-O-、-C(O)-、-S-、-SO-、-SO2-、-C(=S)-或C(=NR1)-取代;任选地一个或多个氢独立地被杂原子取代;且任选地C1-C15烷基的一个或多个次甲基(当存在时)独立地被取代;
x为0、1或2;
y为1、2或3;和
R1为氢或C1-C8烷基;
条件是式I的化合物不为:
渥曼青霉素:
或经由与渥曼青霉素基本上相同的机制共价修饰赖氨酸的渥曼青霉素的已知类似物∶
任何基于机制的不可逆抑制剂。
19.权利要求18的方法,其中弹头为除去下式的化合物的氢得到的基团:式I-a、I-b、I-c、I-d、I-e、I-f、I-g、I-h、I-i、I-j、I-k、I-l、I-m、I-n、I-o、I-p、I-q、I-r、I-s和I-t:
其中
X1和X8各自独立地为-O-、-S-,或-NR6-;
每个X2独立地为-R6、-OR6或-NR6R7;
R2、R3、R4、R5、R6、R7和R8各自独立地为氢或C1-C6烷基;其中C1-C6烷基的一个或多个亚甲基可以被-NR1-、-O-、-C(O)-、-S-、-SO-、-SO2-或-C(=S)-取代;C1-C6烷基的一个或多个次甲基(当存在时)可以独立地被取代;
R1为氢或C1-C8烷基;
其中任选地当合适时,R2、R3、R4、R5、R6、R7和R8的任意两个结合在一起形成3-至8-元碳环或杂环环或芳基或杂芳基;和任选地X2与R2、R3,和R4中任一个结合在一起形成3-至8-元碳环或杂环或芳基或杂芳基;
A和B各自独立地为任选地取代的单环、双环或三环芳基或杂芳基;和
n为2-4的整数;n1和n2各自独立地为0-2的整数;n3为1-2的整数;n4为1-3的整数;n9、n10、n11和n12各自独立地为0-1的整数;且n13为0-2的整数,其中当任何一个前述n整数大于1时,则该整数表示的相邻碳可以形成单键或双键。
20.权利要求19的方法,其中式I-b和I-c的化合物的至少一个R2和R3为氢。
21.权利要求19的方法,其中式I-a、I-d、I-e、I-j、I-k或I-l的化合物为式II-a、II-b、II-c、II-d、II-e、II-f、II-g、II-h、II-i、II-j、II-k、II-l、II-m、II-n、II-o、II-p、II-q、II-r、II-s、II-t、II-u、II-v、II-w、II-x、II-y、II-z、II-aa、II-bb、II-cc、II-dd、II-ee、II-ff、II-gg、II-hh、II-ii、II-jj、II-kk、II-ll、II-mm、II-nn、II-oo或II-pp的化合物;
其中
每个m独立地为0-4的整数;
每个m5独立地为0-3的整数;
每个m4独立地为0-5的整数;
每个n2独立地为0-2的整数;
R2、R3、R4、R5、R6、R7、R8、R9、R10、R11、R12、R13、R14和R15各自独立地为氢或C1-C6烷基;Rz为氢、C1-C6烷基、卤素、CF3或硝基;其中
C1-C6烷基的一个或多个亚甲基可以被-NR1-、-O-、-C(O)-、-S-、-SO-、-SO2-或-C(=S)-取代;C1-C6烷基的一个或多个次甲基(当存在时)可以独立地被取代;
R1为氢或C1-C8烷基;和
任选地当合适时,R2、R3、R4、R5、R6、R7、R8、R9、R10、R11、R12、R13、R14和R15的任意两个结合在一起形成3-至8-元碳环或杂环或芳基或杂芳基。
22.权利要求19的方法,其中式I-d或I-h的化合物为式III-a、III-b、III-c、III-d、III-e、III-f、III-g、III-h或III-i的化合物:
其中
n3为0-2的整数;
R2、R3、R4、R5、R6、R7和R8各自独立地为氢或C1-C6烷基;
B1、B2、B4和B5各自独立地为CR7或N,每个B3为NR7、O或S;
Rz1、Rz2、Rz3、Rz4和Rz5各自为氢、C1-C6烷基、卤素、CF3或硝基;
R1为氢或C1-C8烷基;和
任选地当合适时,R2、R3、R4、R5、R6、R7和R8的任意两个结合在一起形成3-至8-元碳环或杂环或芳基或杂芳基。
24.权利要求19的方法,其中除去式I-a、I-d、I-k或I-m的氢得到的基团为式V-a、V-b、V-c、V-d、V-e、V-f、V-g、V-h、V-i或V-j的基团;
其中
m1和m2各自独立地为0至2的整数;
R2、R3、R4、R5、R6、R7、R8、R9、R10和R11各自独立地为氢或C1-C6烷基;
C1-C6烷基的一个或多个亚甲基可以任选地被-NR1-、-O-、-C(O)-、-S-、-SO-、-SO2-或-C(=S)-取代;
R1为氢或C1-C8烷基;和
任选地当合适时,R2、R3、R4、R5、R6、R7、R8、R9、R10和R11的任意两个结合在一起形成3-至8-元碳环或杂环或芳基或杂芳基。
27.权利要求19的方法,其中支架选自式VII、VIII、IX-a、IX-b、XI、XII、XVI、XVII、XVIII、XIX、XX、XXI、XXII、XXIII、XXXIV、XXV、XXVI、XXVII、XXVIII、XXIX、XXXVI和XXXVII。
29.权利要求28的方法,其中式VII的化合物为式VII-a的化合物:
其中
V和W各自独立地为-(CR14R15)qX3(CR16R17)r-;
q和r各自独立地为0、1、2、3或4;
X3为-CR18R19-或-NR20-;
P为0、1、2、3或4;
R12、R13、R14、R15、R16、R17、R18、R19和R20各自独立地为氢或C1-C6烷基;其中C1-C6烷基的一个或多个亚甲基可以被-NR1-、-O-、-C(O)-、-S-、-SO-、-SO2-、-C(=S)-、任选取代的芳基或杂芳基取代;C1-C6烷基的一个或多个次甲基(当存在时)可以独立地被取代;
R1为氢或C1-C8烷基;和
R23为氢、C1-C6烷基、卤素、氨基或硝基;其中C1-C6烷基的一个或多个亚甲基可以任选地被-NR1-、-O-、-C(O)-、-S-、-SO-、-SO2-或-C(=S)-取代;C1-C6烷基的一个或多个次甲基(当存在时)可以独立地被取代;和
任选地R21和R23结合在一起可以形成4-至8-元碳环或杂环。
30.权利要求19的方法,其中式I′的化合物为式VII-b的化合物:
其中
V和W各自独立地为-(CR14R15)qX3(CR16R17)r-;
q和r各自独立地为0、1、2、3或4;
X3为-CR18R19-或-NR20-;
p为0、1、2、3或4;
R12、R13、R14、R15、R16、R17、R18、R19和R20各自独立地为氢或C1-C6烷基;其中C1-C6烷基的一个或多个亚甲基可以被-NR1-、-O-、-C(O)-、-S-、-SO-、-SO2-、-C(=S)-、任选取代的芳基或杂芳基取代;C1-C6烷基的一个或多个次甲基(当存在时)可以独立地被取代;
R1为氢或C1-C8烷基;和
R23为氢、C1-C6烷基、卤素、氨基或硝基;其中C1-C6烷基的一个或多个亚甲基可以任选地被-NR1-、-O-、-C(O)-、-S-、-SO-、-SO2-或-C(=S)-取代;C1-C6烷基的一个或多个次甲基(当存在时)可以独立地被取代;和
任选地,R21和R23结合在一起可以形成4-至8-元碳环或杂环;
T为连接体;和
Rwh为弹头。
34.权利要求19的方法,其中支架为除去式VIII的化合物的氢得到的基团:
其中
X4为-CR33-或-N-;
S和p各自独立地为0、1、2、3或4;
R12、R13、R21、R22、R24、R25、R26、R27、R28、R29、R30、R31、R32和R33各自独立地为氢或C1-C6烷基;
R23为氢、C1-C6烷基、卤素、氨基或硝基;其中C1-C6烷基的一个或多个亚甲基任选地被-NR1-、-O-、-C(O)-、-S-、-SO-、-SO2-或-C(=S)-取代;C1-C6烷基的一个或多个次甲基(当存在时)可以独立地被取代;
R1为氢或C1-C8烷基;和
任选地,R21和R23结合在一起可以形成4-至8-元碳环或杂环。
35.权利要求18的方法,其中式I′的化合物为式VIII-a或VIII-b的化合物:
其中
X4为-CR33-或-N-;
s和p各自独立地为0、1、2、3或4;
R12、R13、R21、R22、R24、R25、R26、R27、R28和R33各自独立地为氢或C1-C6烷基;
R23为氢、C1-C6烷基、卤素、氨基或硝基;其中C1-C6烷基的一个或多个亚甲基可以任选地被-NR1-、-O-、-C(O)-、-S-、-SO-、-SO2-或-C(=S)-取代;C1-C6烷基的一个或多个次甲基(当存在时)可以独立地被取代;
R1为氢或C1-C8烷基;和
任选地,R21和R23结合在一起可以形成4-至8-元碳环或杂环;和
弹头为除去式I-a、I-b、I-c、I-d、I-e、I-f、I-g、I-h、I-i、I-j、I-k、I-l、I-m、I-n、I-o、I-p、I-q、I-r、I-s和I-t的化合物的氢得到的基团:
其中
X1和X8各自独立地为-O-、-S-或-NR6-;
每个X2独立地为-R6、-OR6或-NR6R7,;
每个X9独立地为
R2、R3、R4、R5、R6、R7和R8各自独立地为氢或C1-C6烷基;其中C1-C6烷基的一个或多个亚甲基可以被-NR1-、-O-、-C(O)-、-S-、-SO-、-SO2-或-C(=S)-取代;C1-C6烷基的一个或多个次甲基(当存在时)可以独立地被取代;
R1为氢或C1-C8烷基;
其中任选地当合适时,R2、R3、R4、R5、R6、R7和R8的任意两个结合在一起形成3-至8-元碳环或杂环或芳基或杂芳基;和任选地X2与R2、R3,和R4中任一个结合在一起形成3-至8-元碳环或杂环或芳基或杂芳基;
A和B各自独立地为任选地取代的单环、双环或三环芳基或杂芳基;和
n为2-4的整数;n1和n2各自独立地为0-2的整数;n3为1-2的整数;n4为1-3的整数;n9、n10、n11和n12各自独立地为0-1的整数;且n13为0-2的整数,其中当任何一个前述n整数大于1时,则该整数表示的相邻碳可以形成单键或双键。
37.权利要求19的方法,其中支架为除去式IX-a或IX-b的化合物的氢得到的基团:
其中
X5为-O-、–CR42R43-或-NR42-;
R12、R13、R27、R28、R29、R30、R31、R32、R33、R34、R35、R36、R37、R38、R39、R40、R41、R42和R43各自独立地为氢或C1-C6烷基;其中C1-C6烷基的一个或多个亚甲基可以任选地被-NR1-、-O-、-C(O)-、-S-、-SO-、-SO2-或-C(=S)-取代;C1-C6烷基的一个或多个次甲基(当存在时)可以独立地被取代;
R1为氢或C1-C8烷基;
D、E、F、G和H各自独立地为任选取代的芳基或杂芳基;其中F和G稠合在一起形成双环任选取代的芳基或杂芳基。
38.权利要求18的方法,其中式I′的化合物为式IX-c或IX-d的化合物:
其中
R12、R13、R31各自独立地为氢或C1-C6烷基;其中C1-C6烷基的一个或多个亚甲基可以任选地被-NR1-、-O-、-C(O)-、-S-、-SO-、-SO2-或-C(=S)-取代;C1-C6烷基的一个或多个次甲基(当存在时)可以独立地被取代;
R1为氢或C1-C8烷基;
F、G和H各自独立地为任选取代的芳基或杂芳基;其中F和G稠合在一起形成双环任选取代的芳基或杂芳基;
T为连接体;
Rwh为弹头,其为除去式I-a、I-b、I-c、I-d、I-e、I-f、I-g、I-h、I-i、I-j、I-k、I-l、I-m、I-n、I-o、I-p、I-q、I-r、I-s和I-t的化合物的氢得到的基团:
其中
X1和X8各自独立地为-O-、-S-或-NR6-;
每个X2独立地为-R6、-OR6或-NR6R7,;
R2、R3、R4、R5、R6、R7和R8各自独立地为氢或C1-C6烷基;其中C1-C6烷基的一个或多个亚甲基可以被-NR1-、-O-、-C(O)-、-S-、-SO-、-SO2-或-C(=S)-取代;C1-C6烷基的一个或多个次甲基(当存在时)可以独立地被取代;
R1为氢或C1-C8烷基;
其中任选地当合适时,R2、R3、R4、R5、R6、R7和R8的任意两个结合在一起形成3-至8-元碳环或杂环或芳基或杂芳基;和任选地X2与R2、R3,和R4中任一个结合在一起形成3-至8-元碳环或杂环或芳基或杂芳基;
A和B各自独立地为任选地取代的单环、双环或三环芳基或杂芳基;和
n为2-4的整数;n1和n2各自独立地为0-2的整数;n3为1-2的整数;n4为1-3的整数;n9、n10、n11和n12各自独立地为0-1的整数;且n13为0-2的整数,其中当任何一个前述n整数大于1时,则该整数表示的相邻碳可以形成单键或双键。
39.权利要求18的方法,其中式I′的化合物为式XI的化合物:
其中
p为0至4的整数,u为1至4的整数;
B6和B7各自独立地为CR7或N;
R69为氢、C1-C6烷基、卤素、氨基、硝基或-NH(CO)NR78R79;
R70为氢、C1-C6烷基、卤素、氨基、硝基;
R7、R71、R72、R73、R74、R75、R76、R77、R78和R79各自独立地为氢或C1-C6烷基;R1为氢或C1-C8烷基;其中C1-C6烷基的一个或多个亚甲基可以被-NR1-、-O-、-C(O)-、-S-、-SO-、-SO2-或-C(=S)-取代;C1-C6烷基的一个或多个次甲基(当存在时)可以独立地被取代;
任选地,R78和R79结合在一起形成4-至8-元碳环或杂环;
T为连接体;和
Rwh为弹头,其为除去式I-a、I-b、I-c、I-d、I-e、I-f、I-g、I-h、I-i、I-j、I-k、I-l、I-m、I-n、I-o、I-p、I-q、I-r、I-s和I-t的化合物的氢得到的基团:
其中
X1和X8各自独立地为-O-、-S-或-NR6-;
每个X2独立地为-R6、-OR6或-NR6R7,;
R2、R3、R4、R5、R6、R7和R8各自独立地为氢或C1-C6烷基;其中C1-C6烷基的一个或多个亚甲基可以被-NR1-、-O-、-C(O)-、-S-、-SO-、-SO2-或-C(=S)-取代;C1-C6烷基的一个或多个次甲基(当存在时)可以独立地被取代;
R1为氢或C1-C8烷基;
其中任选地当合适时,R2、R3、R4、R5、R6、R7和R8的任意两个结合在一起形成3-至8-元碳环或杂环或芳基或杂芳基;和任选地X2与R2、R3,和R4中任一个结合在一起形成3-至8-元碳环或杂环或芳基或杂芳基;
A和B各自独立地为任选地取代的单环、双环或三环芳基或杂芳基;和
n为2-4的整数;n1和n2各自独立地为0-2的整数;n3为1-2的整数;n4为1-3的整数;n9、n10、n11和n12各自独立地为0-1的整数;且n13为0-2的整数,其中当任何一个前述n整数大于1时,则该整数表示的相邻碳可以形成单键或双键。
41.权利要求40的方法,其中式XI-a、XI-b或XI-c的化合物为式XI-d、XI-e、XI-f、XI-g、XI-h、XI-i或XI-j的化合物:
43.权利要求42的方法,其中式XI-d、XI-e、XI-f、XI-g、XI-h、XI-i或XI-j的化合物为式XI-r、XI-s、XI-t、XI-u、XI-v、XI-w或XI-x的化合物;
44.权利要求41的方法,其中式XI-d、XI-e、XI-f、XI-g、XI-h、XI-i或XI-j的化合物为式XI-y、XI-z、XI-aa或XI-bb的化合物;
47.权利要求18的方法,其中式I′的化合物为式XII的化合物:
其中
R1和R2各自独立地为氢或C1-C8烷基;其中C1-C6烷基的一个或多个亚甲基可以被-NR1-、-O-、-C(O)-、-S-、-SO-、-SO2-或-C(=S)-取代;C1-C6烷基的一个或多个次甲基(当存在时)可以独立地被取代
T为连接体;
Rwh为弹头,其为除去式I-a、I-b、I-c、I-d、I-e、I-f、I-g、I-h、I-i、I-j、I-k、I-l、I-m、I-n、I-o、I-p、I-q、I-r、I-s和I-t的化合物的氢得到的基团:
其中
X1和X8各自独立地为-O-、-S-或r-NR6-;
每个X2独立地为-R6、-OR6或-NR6R7,;
R2、R3、R4、R5、R6、R7和R8各自独立地为氢或C1-C6烷基;其中C1-C6烷基的一个或多个亚甲基可以被-NR1-、-O-、-C(O)-、-S-、-SO-、-SO2-或-C(=S)-取代;C1-C6烷基的一个或多个次甲基(当存在时)可以独立地被取代;
R1为氢或C1-C8烷基;
其中任选地当合适时,R2、R3、R4、R5、R6、R7和R8的任意两个结合在一起形成3-至8-元碳环或杂环或芳基或杂芳基;和任选地X2与R2、R3,和R4中任一个结合在一起形成3-至8-元碳环或杂环或芳基或杂芳基;
A和B各自独立地为任选地取代的单环、双环或三环芳基或杂芳基;和
n为2-4的整数;n1和n2各自独立地为0-2的整数;n3为1-2的整数;n4为1-3的整数;n9、n10、n11和n12各自独立地为0-1的整数;且n13为0-2的整数,其中当任何一个前述n整数大于1时,则该整数表示的相邻碳可以形成单键或双键。
48.权利要求18的方法,其中式I′的化合物为式XXXVI的化合物:
其中
Rv为H、任选取代的C1-C3支链或直链烷基、或任选取代的C1-C3支链或直链酰基;
T为连接体;和
Rwh为弹头,其为除去式I-a、I-b、I-c、I-d、I-e、I-f、I-g、I-h、I-i、I-j、I-k、I-l、I-m、I-n、I-o、I-p、I-q、I-r、I-s和I-t的化合物的氢得到的基团:
其中
X1和X8各自独立地为-O-、-S-或-NR6-;
每个X2独立地为-R6、-OR6或-NR6R7,;
R2、R3、R4、R5、R6、R7和R8各自独立地为氢或C1-C6烷基;其中C1-C6烷基的一个或多个亚甲基可以被-NR1-、-O-、-C(O)-、-S-、-SO-、-SO2-或-C(=S)-取代;C1-C6烷基的一个或多个次甲基(当存在时)可以独立地被取代;
R1为氢或C1-C8烷基;
其中任选地当合适时,R2、R3、R4、R5、R6、R7和R8的任意两个结合在一起形成3-至8-元碳环或杂环或芳基或杂芳基;和任选地X2与R2、R3,和R4中任一个结合在一起形成3-至8-元碳环或杂环或芳基或杂芳基;
A和B各自独立地为任选地取代的单环、双环或三环芳基或杂芳基;和
n为2-4的整数;n1和n2各自独立地为0-2的整数;n3为1-2的整数;n4为1-3的整数;n9、n10、n11和n12各自独立地为0-1的整数;且n13为0-2的整数,其中当任何一个前述n整数大于1时,则该整数表示的相邻碳可以形成单键或双键。
49.权利要求18的方法,其中式I′的化合物选自:
50.权利要求19的方法,其中支架为除去式XVI-a、XVI-b或XVI-c的化合物的氢得到的基团:
其中
R90、R91、R92、R93、R94、R95、R96、R97、R98、R99、R100、R102、R104、R105、R106、R107、R108、R109、R110、R111、R112、R113和R114各自独立地为氢或C1-C6烷基;其中C1-C6烷基的一个或多个亚甲基可以任选地被-NR1-、-O-、-C(O)-、-S-、-SO-、-SO2-或-C(=S)-取代;
R1为氢或C1-C8烷基;
R101和R101各自独立地为氢、C1-C6烷基、C2-C8烯基、卤素、氨基、硝基、任选取代的芳基或杂芳基;和
n6和n7各自独立地为0至4的整数;和
n8为0至2的整数。
51.权利要求18的方法,其中式I′的化合物为式XVI-d、XVI-e或XVI-f的化合物:
其中
R90和R114各自独立地为氢或C1-C6烷基;
R103为氢、C1-C6烷基或C2-C8烯基;
R101为氢、C1-C6烷基、C2-C8烯基、卤素、氨基、硝基、任选取代的芳基或杂芳基;和
n6为0至4的整数;
n8为0至2的整数;
其中C1-C6烷基的一个或多个亚甲基可以任选地被-NR1-、-O-、-C(O)-、-S-、-SO-、-SO2-或-C(=S)-取代;和
Rwh为弹头,其为除去式I-a、I-b、I-c、I-d、I-e、I-f、I-g、I-h、I-i、I-j、I-k、I-l、I-m、I-n、I-o、I-p、I-q、I-r、I-s和I-t的化合物的氢得到的基团:
其中
X1和X8各自独立地为-O-、-S-或-NR6-;
每个X2独立地为-R6、-OR6或-NR6R7,;
每个X9独立地为
R2、R3、R4、R5、R6、R7和R8各自独立地为氢或C1-C6烷基;其中C1-C6烷基的一个或多个亚甲基可以被-NR1-、-O-、-C(O)-、-S-、-SO-、-SO2-或-C(=S)-取代;C1-C6烷基的一个或多个次甲基(当存在时)可以独立地被取代;
R1为氢或C1-C8烷基;
其中任选地当合适时,R2、R3、R4、R5、R6、R7和R8的任意两个结合在一起形成3-至8-元碳环或杂环或芳基或杂芳基;和任选地X2与R2、R3,和R4中任一个结合在一起形成3-至8-元碳环或杂环或芳基或杂芳基;
A和B各自独立地为任选地取代的单环、双环或三环芳基或杂芳基;和
n为2-4的整数;n1和n2各自独立地为0-2的整数;n3为1-2的整数;n4为1-3的整数;n9、n10、n11和n12各自独立地为0-1的整数;且n13为0-2的整数,其中当任一个前述n整数大于1时,则该整数表示的相邻碳可以形成单键或双键;和
T为连接体。
54.权利要求18的方法,其中式I′的化合物为式XXII-a、式XXII-b或式XXII-c的化合物:
其中
对于式XXII-a和式XXII-b,n、m、p和q各自独立地为0、1、2、3;条件是n和q不同时为0,且m和q不同时为0;
T为连接体;
Rwh为弹头,其为除去式I-a、I-b、I-c、I-d、I-e、I-f、I-g、I-h、I-i、I-j、I-k、I-l、I-m、I-n、I-o、I-p、I-q、I-r、I-s和I-t的化合物的氢得到的基团:
其中
X1和X8各自独立地为-O-、-S-或-NR6-;
每个X2独立地为-R6、-OR6或-NR6R7,;
R2、R3、R4、R5、R6、R7和R8各自独立地为氢或C1-C6烷基;其中C1-C6烷基的一个或多个亚甲基可以被-NR1-、-O-、-C(O)-、-S-、-SO-、-SO2-或-C(=S)-取代;C1-C6烷基的一个或多个次甲基(当存在时)可以独立地被取代;
R1为氢或C1-C8烷基;
其中任选地当合适时,R2、R3、R4、R5、R6、R7和R8的任意两个结合在一起形成3-至8-元碳环或杂环或芳基或杂芳基;和任选地X2与R2、R3,和R4中任一个结合在一起形成3-至8-元碳环或杂环或芳基或杂芳基;
A和B各自独立地为任选地取代的单环、双环或三环芳基或杂芳基;和
n为2-4的整数;n1和n2各自独立地为0-2的整数;n3为1-2的整数;n4为1-3的整数;n9、n10、n11和n12各自独立地为0-1的整数;且n13为0-2的整数,其中当任一个前述n整数大于1时,则该整数表示的相邻碳可以形成单键或双键;
A2为任选取代的选自下述的环:具有一个或两个独立地选自氮、氧或硫的杂原子的4-8元饱和的或部分不饱和的杂环,或具有至少一个氮、至少一个氧和任选地1-2独立地选自氮、氧或硫的另外的杂原子的5-10元饱和的或部分不饱和的桥连二环杂环;
B为任选取代的选自下述的基团:苯基、8-至10-元二环芳基环,具有1-4个独立地选自氮、氧或硫的杂原子的5-至6-元杂芳基环,或具有1-4个独立地选自氮、氧或硫的杂原子的8-至10-元二环杂芳基环;或T-Rwh;和
C2为氢或任选取代的选自下述的环:3-至7-元饱和的或部分不饱和的碳环,7-至10-元饱和的或部分不饱和的二环碳环,具有1-2个独立地选自氮、氧或硫的杂原子的4-至7-元饱和的或部分不饱和的杂环,具有1-3个独立地选自氮、氧或硫的杂原子的7-至10-元饱和的或部分不饱和的二环杂环,苯基,8-至10-元二环芳基环,具有1-3个独立地选自氮、氧或硫的杂原子的5-至6-元杂芳基环,或具有1-4个独立地选自氮、氧或硫的杂原子的8-至10-元二环杂芳基环。
56.权利要求18的方法,其中式I′的化合物为式XXIII的化合物:
其中:
Rwh为弹头,其为除去式I-a、I-b、I-c、I-d、I-e、I-f、I-g、I-h、I-i、I-j、I-k、I-l、I-m、I-n、I-o、I-p、I-q、I-r、I-s和I-t的化合物的氢得到的基团:
其中
X1和X8各自独立地为-O-、-S-或-NR6-;
每个X2独立地为-R6、-OR6或-NR6R7,;
R2、R3、R4、R5、R6、R7和R8各自独立地为氢或C1-C6烷基;其中C1-C6烷基的一个或多个亚甲基可以被-NR1-、-O-、-C(O)-、-S-、-SO-、-SO2-或-C(=S)-取代;C1-C6烷基的一个或多个次甲基(当存在时)可以独立地被取代;
R1为氢或C1-C8烷基;
其中任选地当合适时,R2、R3、R4、R5、R6、R7和R8的任意两个结合在一起形成3-至8-元碳环或杂环或芳基或杂芳基;和任选地X2与R2、R3,和R4中任一个结合在一起形成3-至8-元碳环或杂环或芳基或杂芳基;
A和B各自独立地为任选地取代的单环、双环或三环芳基或杂芳基;和
n为2-4的整数;n1和n2各自独立地为0-2的整数;n3为1-2的整数;n4为1-3的整数;n9、n10、n11和n12各自独立地为0-1的整数;且n13为0-2的整数,其中当任一个前述n整数大于1时,则该整数表示的相邻碳可以形成单键或双键;
r201为氢或C1-6烷基;
R202为氢或任选取代的选自C1–6烷基、C1-6烷氧基或(C1-6亚烷基)-R203的基团;或
R201和R202与插入的碳结合在一起形成任选取代的环,选自具有1-2个独立地选自氮、氧或硫的杂原子的3-至7-元碳环或4-至7-元杂环;
R203为3-至7-元饱和的或部分不饱和的碳环,7-至10-元饱和的或部分不饱和的二环碳环,具有1-2个独立地选自氮、氧或硫的杂原子的4-至7-元饱和的或部分不饱和的杂环,具有1-3个独立地选自氮、氧或硫的杂原子的7-至10-元饱和的或部分不饱和的二环杂环,苯基,8-至10-元二环芳基环,具有1-3个独立地选自氮、氧或硫的杂原子的5-至6-元杂芳基环,或具有1-4个独立地选自氮、氧或硫的杂原子的8-至10-元二环杂芳基环;和
环A6不存在或为任选取代的选自下述的基团:具有1-2个独立地选自氮、氧或硫的杂原子的4-至7-元杂环,或具有1-3个独立地选自氮、氧或硫的5-至6-元杂芳基环。
58.权利要求18的方法,其中式I′的化合物为式XXIV-a或式XXIV-b的化合物:
其中
Rwh为弹头,其为除去式I-a、I-b、I-c、I-d、I-e、I-f、I-g、I-h、I-i、I-j、I-k、I-l、I-m、I-n、I-o、I-p、I-q、I-r、I-s和I-t的化合物的氢得到的基团:
其中
X1和X8各自独立地为-O-、-S-或-NR6-;
每个X2独立地为-R6、-OR6或-NR6R7,;
每个X9独立地为
R2、R3、R4、R5、R6、R7和R8各自独立地为氢或C1-C6烷基;其中C1-C6烷基的一个或多个亚甲基可以被-NR1-、-O-、-C(O)-、-S-、-SO-、-SO2-或-C(=S)-取代;C1-C6烷基的一个或多个次甲基(当存在时)可以独立地被取代;
R1为氢或C1-C8烷基;
其中任选地当合适时,R2、R3、R4、R5、R6、R7和R8的任意两个结合在一起形成3-至8-元碳环或杂环或芳基或杂芳基;和任选地X2与R2、R3,和R4中任一个结合在一起形成3-至8-元碳环或杂环或芳基或杂芳基;
A和B各自独立地为任选地取代的单环、双环或三环芳基或杂芳基;和
n为2-4的整数;n1和n2各自独立地为0-2的整数;n3为1-2的整数;n4为1-3的整数;n9、n10、n11和n12各自独立地为0-1的整数;且n13为0-2的整数,其中当任一个前述n整数大于1时,则该整数表示的相邻碳可以形成单键或双键;
R204为氢或任选取代的选自下述的基团:C1–6脂肪基、-(CH2)m-(3-至7-元饱和的或部分不饱和的碳环)、-(CH2)m-(7-至10-元饱和的或部分不饱和的双环碳环)、-(CH2)m-(具有1-2个独立地选自氮、氧或硫的杂原子的4-至7-元饱和的或部分不饱和的杂环)、-(CH2)m-(具有1-3个独立地选自氮、氧或硫的杂原子的7-至10-元饱和的或部分不饱和的二环杂环)、-(CH2)m-苯基、-(CH2)m-(8-至10-元二环芳基环)、-(CH2)m-(具有1-3个独立地选自氮、氧或硫的杂原子的5-至6-元杂芳基环)或-(CH2)m-(具有1-4个独立地选自氮、氧或硫的杂原子的8-至10-元二环杂芳基环);
R205和R206各自独立地为-R″、卤素、-NO2、-CN、-OR″、-SR″、-N(R″)2、-C(O)R″、-CO2R″、-C(O)C(O)R″、-C(O)CH2C(O)R″、-S(O)R″、-S(O)2R″、-C(O)N(R″)2、-SO2N(R″)2、-OC(O)R″、-N(R″)C(O)R″、-N(R″)N(R″)2、-N(R″)C(=NR″)N(R″)2、-C(=NR″)N(R″)2、-C=NOR″、-N(R″)C(O)N(R″)2、-N(R″)SO2N(R″)2、-N(R″)SO2R″或-OC(O)N(R″)2;
每个R″独立地为氢或任选地取代的选自下述的基团:C1–6脂肪基、3-至7-元饱和的或部分不饱和的碳环、7-至10-元饱和的或部分不饱和的二环碳环、具有1-2独立地选自氮、氧或硫的杂原子的4-至7-元饱和的或部分不饱和的杂环、具有1-3个独立地选自氮、氧或硫的杂原子的7-至10-元饱和的或部分不饱和的二环杂环、苯基、8-至10-元二环芳基环、具有1-3个独立地选自氮、氧或硫的杂原子的5-至6-元杂芳基环、或具有1-4个独立地选自氮、氧或硫的杂原子的8-至10-元二环杂芳基环;或
同一氮上的两个R″基团与它们连接的氮结合在一起形成任选取代的具有1-4个独立地选自氮、氧或硫的杂原子的5-8元饱和的、部分不饱和的环或芳香环;
m为0至6的整数,包括端值;
对于式XXIV-a或式XXIV-b,每个n独立地为0、1或2;和
环A5为任选取代的具有1-2个氮的6-元杂环或杂芳基环。
60.权利要求18的方法,其中式I′的化合物为式XXV的化合物:
其中
Rwh为弹头,其为除去式I-a、I-b、I-c、I-d、I-e、I-f、I-g、I-h、I-i、I-j、I-k、I-l、I-m、I-n、I-o、I-p、I-q、I-r、I-s和I-t的化合物的氢得到的基团:
其中
X1和X8各自独立地为-O-、-S-或-NR6-;
每个X2独立地为-R6、-OR6或-NR6R7,;
R2、R3、R4、R5、R6、R7和R8各自独立地为氢或C1-C6烷基;其中C1-C6烷基的一个或多个亚甲基可以被-NR1-、-O-、-C(O)-、-S-、-SO-、-SO2-或-C(=S)-取代;C1-C6烷基的一个或多个次甲基(当存在时)可以独立地被取代;
R1为氢或C1-C8烷基;
其中任选地当合适时,R2、R3、R4、R5、R6、R7和R8的任意两个结合在一起形成3-至8-元碳环或杂环或芳基或杂芳基;和任选地X2与R2、R3,和R4中任一个结合在一起形成3-至8-元碳环或杂环或芳基或杂芳基;
A和B各自独立地为任选地取代的单环、双环或三环芳基或杂芳基;和
n为2-4的整数;n1和n2各自独立地为0-2的整数;n3为1-2的整数;n4为1-3的整数;n9、n10、n11和n12各自独立地为0-1的整数;且n13为0-2的整数,其中当任一个前述n整数大于1时,则该整数表示的相邻碳可以形成单键或双键;
R205和R206各自独立地为-R″、卤素、-NO2、-CN、–OR″、–SR″、-N(R″)2、-C(O)R″、–CO2R″、–C(O)C(O)R″、–C(O)CH2C(O)R″、–S(O)R″、-S(O)2R″、–C(O)N(R″)2、-SO2N(R″)2、–OC(O)R″、-N(R″)C(O)R″、-N(R″)N(R″)2、-N(R″)C(=NR″)N(R″)2、-C(=NR″)N(R″)2、–C=NOR″、-N(R″)C(O)N(R″)2、-N(R″)SO2N(R″)2、-N(R″)SO2R″或-OC(O)N(R″)2;
每个R″独立地为氢或任选地取代的选自下述的基团:C1–6脂肪基、3-至7-元饱和的或部分不饱和的碳环、7-至10-元饱和的或部分不饱和的二环碳环、具有1-2独立地选自氮、氧或硫的杂原子的4-至7-元饱和的或部分不饱和的杂环、具有1-3个独立地选自氮、氧或硫的杂原子的7-至10-元饱和的或部分不饱和的二环杂环、苯基、8-至10-元二环芳基环、具有1-3个独立地选自氮、氧或硫的杂原子的5-至6-元杂芳基环、或具有1-4个独立地选自氮、氧或硫的杂原子的8-至10-元二环杂芳基环;或
任选地,同一氮上的两个R″基团与它们连接的氮结合在一起形成任选取代的具有1–4个独立地选自氮、氧或硫的杂原子的5–8元饱和的、部分不饱和的环或芳香环;
m为0至6的整数,包括端值;
对于XXV,每个n独立地为0、1或2;和
环A5为任选取代的具有1-2个氮的6-元杂环或杂芳基环。
62.权利要求18的方法,其中式I′的化合物为式XXVII的化合物:
XXVII
其中
T为连接体;
Rwh为弹头,其为除去式I-a、I-b、I-c、I-d、I-e、I-f、I-g、I-h、I-i、I-j、I-k、I-l、I-m、I-n、I-o、I-p、I-q、I-r、I-s和I-t的化合物的氢得到的基团:
其中
X1和X8各自独立地为-O-、-S-或-NR6-;
每个X2独立地为-R6、-OR6或-NR6R7,;
R2、R3、R4、R5、R6、R7和R8各自独立地为氢或C1-C6烷基;其中C1-C6烷基的一个或多个亚甲基可以被-NR1-、-O-、-C(O)-、-S-、-SO-、-SO2-或-C(=S)-取代;C1-C6烷基的一个或多个次甲基(当存在时)可以独立地被取代;
R1为氢或C1-C8烷基;
其中任选地当合适时,R2、R3、R4、R5、R6、R7和R8的任意两个结合在一起形成3-至8-元碳环或杂环或芳基或杂芳基;和任选地X2与R2、R3,和R4中任一个结合在一起形成3-至8-元碳环或杂环或芳基或杂芳基;
A和B各自独立地为任选地取代的单环、双环或三环芳基或杂芳基;和
n为2-4的整数;n1和n2各自独立地为0-2的整数;n3为1-2的整数;n4为1-3的整数;n9、n10、n11和n12各自独立地为0-1的整数;且n13为0-2的整数,其中当任一个前述n整数大于1时,则该整数表示的相邻碳可以形成单键或双键。
63.权利要求62的方法,其中式XXVII的化合物选自:
64.权利要求18的方法,其中式I′的化合物为式XXXVII的化合物:
其中
T为连接体;
Rwh为弹头,其为除去式I-a、I-b、I-c、I-d、I-e、I-f、I-g、I-h、I-i、I-j、I-k、I-l、I-m、I-n、I-o、I-p、I-q、I-r、I-s和I-t的化合物的氢得到的基团;
其中:
X1和X8各自独立地为-O-、-S-或-NR6-;
每个X2独立地为-R6、-OR6或-NR6R7,;
R2、R3、R4、R5、R6、R7和R8各自独立地为氢或C1-C6烷基;其中C1-C6烷基的一个或多个亚甲基可以被-NR1-、-O-、-C(O)-、-S-、-SO-、-SO2-或-C(=S)-取代;C1-C6烷基的一个或多个次甲基(当存在时)可以独立地被取代;
R1为氢或C1-C8烷基;
其中任选地当合适时,R2、R3、R4、R5、R6、R7和R8的任意两个结合在一起形成3-至8-元碳环或杂环或芳基或杂芳基;和任选地X2与R2、R3,和R4中任一个结合在一起形成3-至8-元碳环或杂环或芳基或杂芳基;
A和B各自独立地为任选地取代的单环、双环或三环芳基或杂芳基;和
弹头中的n为2-4的整数;n1和n2各自独立地为0-2的整数;n3为1-2的整数;n4为1-3的整数;n9、n10、n11和n12各自独立地为0-1的整数;且n13为0-2的整数,其中当任一个前述n整数大于1时,则该整数表示的相邻碳可以形成单键或双键;和
式XXXVII中的每个n为0、1或2。
66.一种用于设计共价结合靶蛋白的赖氨酸残基的配体的方法,该方法包括:
A)提供在靶蛋白的配体结合位点内或附近对接的可逆配体的结构模型,其中所述可逆配体与所述配体-结合位点进行至少一次非共价接触;
B)当可逆配体对接在配体-结合位点内或附近时,鉴别与可逆配体邻接的靶蛋白的配体结合位点内或附近的赖氨酸残基;
C)建立在配体-结合位点内或附近对接的多个配体-弹头化合物的结构模型,其中每个配体-弹头化合物包括共价连接步骤B)中的可逆配体的可取代位置的弹头,该弹头含有反应性化学部分和任选的连接基;
D)在步骤C)的结构模型内鉴别至少一种配体-弹头化合物,其结构模型允许步骤B)的赖氨酸残基的侧链伯胺基位于弹头亲电基的成键距范围内;和
E)在步骤D)中鉴别的结构模型中,进一步鉴别在所述配体-结合位点内或附近的含氢-键-供体的氨基酸残基,其中该氢-键供体部分在弹头亲电基的氢键距范围内,和/或在步骤D)中鉴别的赖氨酸残基的侧链伯胺基的库伦相互作用距离范围内。
67.权利要求66的方法,其进一步包括∶
F)对于步骤E)鉴别的配体-弹头化合物,通过步骤B)中鉴别的赖氨酸残基的侧链伯胺基和弹头亲电基之间形成共价键;以及氢-键供体部分和弹头亲电基之间形成氢键;或氢-键供体部分和步骤D)中鉴别的赖氨酸残基的侧链伯胺基之间的氢键,形成配体-蛋白共价加合物,同时基本上保持配体的药效基团和配体-结合位点之间的非共价相互作用。
68.权利要求67的方法,其进一步包括∶
G)通过分析得到的构型的总体能量,评估配体-蛋白共价加合物的得到的构型。
69.权利要求68的方法,其中重复步骤A)-G),同时连接基和得到的构型的总体能量的变化小于前次重复。
70.权利要求66的方法,其中含氢-键供体的氨基酸残基为能够充当氢键供体的任何氨基酸残基。
71.权利要求66的方法,其中所述含氢-键供体氨基酸残基选自精氨酸、赖氨酸、苏氨酸、丝氨酸、组氨酸和酪氨酸。
72.权利要求71的方法,其中所述含氢-键供体氨基酸残基选自精氨酸和赖氨酸。
73.权利要求66的方法,其中所述靶蛋白选自XIAP、ML-IAP、PDPK1和PI3Kβ/γ。
74.权利要求73的方法,其中所述靶蛋白为XIAP,鉴别的赖氨酸为K297或K299。
75.权利要求66的方法,其中所述配体-弹头化合物选自式VII、VIII、IX-a、IX-b、XI、XII、XVI、XVII、XVIII、XIX、XX、XXI、XXII、XXIII、XXXIV、XXV、XXVI、XXVII、XXVIII、XXIX、XXXVI和XXXVII。
76.权利要求66的方法,其中所述弹头为除去下式的化合物的氢得到的基团:式I-a、I-b、I-c、I-d、I-e、I-f、I-g、I-h、I-i、I-j、I-k、I-l、I-m、I-n、I-o、I-p、I-q、I-r、I-s和I-t:
其中
X1和X8各自独立地为-O-、-S-或-NR6-;
每个X2独立地为-R6、-OR6或-NR6R7;
R2、R3、R4、R5、R6、R7和R8各自独立地为氢或C1-C6烷基;其中C1-C6烷基的一个或多个亚甲基可以被-NR1-、-O-、-C(O)-、-S-、-SO-、-SO2-或-C(=S)-取代;C1-C6烷基的一个或多个次甲基(当存在时)可以独立地被取代;
R1为氢或C1-C8烷基;
其中任选地当合适时,R2、R3、R4、R5、R6、R7和R8的任意两个结合在一起形成3-至8-元碳环或杂环或芳基或杂芳基;和任选地X2与R2、R3,和R4中任一个结合在一起形成3-至8-元碳环或杂环或芳基或杂芳基;
A和B各自独立地为任选地取代的单环、双环或三环芳基或杂芳基;和
n为2-4的整数;n1和n2各自独立地为0-2的整数;n3为1-2的整数;n4为1-3的整数;n9、n10、n11和n12各自独立地为0-1的整数;且n13为0-2的整数,其中当任何一个前述n整数大于1时,则该整数表示的相邻碳可以形成单键或双键。
77.权利要求76的方法,其中所述弹头为除去式I-d的化合物的氢得到的基团,且X2为-NR6R7。
79.权利要求78的方法,其包括鉴别多个结构同源的具有配体-结合位点的蛋白。
81.权利要求80的方法,其中所述方法包括比较多个鉴别的蛋白中超过一个的同源配体-结合位点的三维等效氨基酸位置,并确定赖氨酸残基在所鉴别蛋白的配体结合部位内或附近的普遍性。
82.权利要求81的方法,其中赖氨酸残基在所鉴别蛋白的配体结合部位内或附近的普遍性是在仅仅一个鉴别的蛋白内。
83.权利要求81的方法,其中赖氨酸残基在所鉴别蛋白的配体结合部位内或附近的普遍性是在超过一个鉴别的蛋白内。
84.权利要求81的方法,其中赖氨酸残基在所鉴别蛋白的配体结合部位内或附近的普遍性是在少于10%的鉴别的蛋白内。
85.权利要求81的方法,其中赖氨酸残基在所鉴别蛋白的配体结合部位内或附近的普遍性是在少于50%的鉴别的蛋白内。
86.权利要求81的方法,其中赖氨酸残基在所鉴别蛋白的配体结合部位内或附近的普遍性是在超过50%的鉴别的蛋白内。
87.权利要求81的方法,其中赖氨酸残基在所鉴别蛋白的配体结合部位内或附近的普遍性是在超过75%的鉴别的蛋白内。
88.权利要求81的方法,其中赖氨酸残基在所鉴别蛋白的配体结合部位内或附近的普遍性是在所有鉴别的蛋白内。
89.权利要求78的方法,其中所述蛋白选自BCL-2、钙蛋白酶、胱门蛋白酶、组织蛋白酶、HCV、HDAC、HSP70、HSP90、IAP、激酶、MDM2、MMP、NHR、PI3Kβ/γ、磷酸酶、PARP和HIV蛋白酶。
90.权利要求89的方法,其中所述蛋白选自XIAP、PI3K、PDPK1和HCV-NS3。
91.一种选择将靶赖氨酸结合在蛋白的配体-结合位点内的弹头的方法,该方法包括:
(a)鉴别至少一种具有配体-结合位点的蛋白;
(b)提供所述鉴别的蛋白的三维结构模型;
(c)鉴别步骤(a)的配体结合位点内或附近的至少一个赖氨酸的位置;
(d)提供邻接至少一个鉴别的赖氨酸的至少一个弹头;
(e)将弹头的亲电原子定位在至少一个鉴别的赖氨酸的伯胺的键距之内;
(f)弹头的亲电原子和至少一个赖氨酸的伯胺之间形成共价键;
(g)将可逆配体对接在步骤(f)的共价连接弹头的之内的鉴别的蛋白配体-结合位点中,其中所述可逆配体保持与所述配体-结合位点的大部分其已知的非共价相互作用;
(h)定位与步骤(f)的共价结合弹头最近的配体原子,并提供设计所述配体和步骤(f)的共价结合弹头之间连接体的几何学要求,所述连接体也与弹头和配体之间区域的蛋白质表面互补。
92.一种共价修饰蛋白的配体-结合位点内或附近的赖氨酸残基的方法,所述方法包括:
A)用包含多聚蛋白的配体-结合位点内或附近的赖氨酸残基的蛋白接触式I的化合物::
B)在赖氨酸残基的侧链伯胺基和所述化合物的弹头之间形成共价键;
其中
支架为
a)除去能够结合或邻接所述配体-结合位点的配体的氢得到的基团;或
b)截短所述药效基团得到的配体的药效基团的一部分,使得该支架能够结合或邻接所述配体-结合位点;
弹头为任选地包含一个或多个选自O、N和S的杂原子的有机部分;所述有机部分具有的分子量为约14道尔顿至约200道尔顿;弹头能够与赖氨酸残基的侧链伯胺基反应;并且弹头通过连接体连接至支架;
连接体为不存在、键或二价C1-C15饱和的、不饱和的、直链、支链、环状、二环或三环烃部分;其中任选地,所述烃链的一个或多个亚甲基单元独立地被-NR1-、-O-、-C(O)-、-S-、-SO-、-SO2-、-C(=S)-或C(=NR1)-取代;任选地一个或多个氢独立地被杂原子取代;且任选地C1-C15烷基的一个或多个次甲基(当存在时)独立地被取代;
x为0、1或2;
y为1、2或3;和
R1为氢或C1-C8烷基;
其中式I的化合物不为通过其共价结合赖氨酸的固有能力发挥其生物效应的天然存在化合物;式I的化合物也不为主要基于氨基酸核苷/核苷酸衍生药物、单一赖氨酸烷化剂、酸酐、类固醇衍生的赖氨酸烷基化物或糖基赖氨酸烷基化物的天然或合成化合物,
条件是式I的化合物不为
渥曼青霉素:
经由与渥曼青霉素基本上相同的机制共价修饰赖氨酸的渥曼青霉素的已知类似物∶
任何基于机制的不可逆抑制剂。
94.权利要求93的方法,其中弹头为除去下式的化合物的氢得到的基团:式I-a、I-b、I-c、I-d、I-e、I-f、I-g、I-h、I-i、I-j、I-k、I-l、I-m、I-n、I-o、I-p、I-q、I-r、I-s和I-t:
其中
X1和X8各自独立地为-O-、-S-或-NR6-;
每个X2独立地为-R6、-OR6或-NR6R7,;
每个X9独立地为
R2、R3、R4、R5、R6、R7和R8各自独立地为氢或C1-C6烷基;其中C1-C6烷基的一个或多个亚甲基可以被-NR1-、-O-、-C(O)-、-S-、-SO-、-SO2-或-C(=S)-取代;C1-C6烷基的一个或多个次甲基(当存在时)可以独立地被取代;
R1为氢或C1-C8烷基;
其中任选地当合适时,R2、R3、R4、R5、R6、R7和R8的任意两个结合在一起形成3-至8-元碳环或杂环或芳基或杂芳基;和任选地X2与R2、R3,和R4中任一个结合在一起形成3-至8-元碳环或杂环或芳基或杂芳基;
A和B各自独立地为任选地取代的单环、双环或三环芳基或杂芳基;和
n为2-4的整数;n1和n2各自独立地为0-2的整数;n3为1-2的整数;n4为1-3的整数;n9、n10、n11和n12各自独立地为0-1的整数;且n13为0-2的整数,其中当任何一个前述n整数大于1时,则该整数表示的相邻碳可以形成单键或双键。
95.权利要求94的方法,其中式I-b和I-c的化合物的R2和R3中的至少一个为氢。
96.权利要求94的方法,其中式I-a、I-d、I-e、I-j、I-k或I-l的化合物为式II-a、II-b、II-c、II-d、II-e、II-f、II-g、II-h、II-i、II-j、II-k、II-l、II-m、II-n、II-o、II-p、II-q、II-r、II-s、II-t、II-u、II-v、II-w、II-x、II-y、II-z、II-aa、II-bb、II-cc、II-dd、II-ee、II-ff、II-gg、II-hh、II-ii、II-jj、II-kk、II-ll、II-mm、II-nn、II-oo或II-pp的化合物:
其中:
每个m独立地为0-4的整数
每个m5独立地为0-3的整数;
每个m4独立地为0-5的整数;
每个n2独立地为0-2的整数;
R2、R3、R4、R5、R6、R7、R8、R9、R10、R11、R12、R13、R14和R15各自独立地为氢或C1-C6烷基;Rz为氢、C1-C6烷基、卤素、CF3或硝基;其中
R1为氢或C1-C8烷基;和
任选地当合适时,R2、R3、R4、R5、R6、R7、R8、R9、R10、R11、R12、R13、R14和R15的任意两个结合在一起形成3-至8-元碳环或杂环或芳基或杂芳基。
97.权利要求94的方法,其中式I-d或I-h的化合物为式III-a、III-b、III-c、III-d、III-e、III-f、III-g、III-h或III-i的化合物:
其中:
n3为0-2的整数;
R2、R3、R4、R5、R6、R7和R8各自独立地为氢或C1-C6烷基;
B1、B2、B4和B5各自独立地为CR7或N,且每个B3为NR7、O或S;
Rz1、Rz2、Rz3、Rz4和Rz5各自为氢、C1-C6烷基、卤素、CF3或硝基;
R1为氢或C1-C8烷基;和
任选地当合适时,R2、R3、R4、R5、R6、R7和R8的任意两个结合在一起形成3-至8-元碳环或杂环或芳基或杂芳基。
99.权利要求94的方法,其中除去式I-a、I-d、I-k或I-m的化合物的氢得到的基团为式V-a、V-b、V-c、V-d、V-e、V-f、V-g、V-h、V-i或V-j的基团:
其中:
m1和m2各自独立地为0至2的整数;
R2、R3、R4、R5、R6、R7、R8、R9、R10和R11各自独立地为氢或C1-C6烷基;
R1为氢或C1-C8烷基;和
任选地当合适时,R2、R3、R4、R5、R6、R7、R8、R9、R10和R11的任意两个结合在一起形成3-至8-元碳环或杂环或芳基或杂芳基。
102.权利要求94的方法,其中支架选自式VII、VIII、IX-a、IX-b、XI、XII、XVI、XVII、XVIII、XIX、XX、XXI、XXII、XXIII、XXXIV、XXV、XXVI、XXVII、XXVIII、XXIX、XXXVI和XXXVII。
103.式I的化合物:
其中
支架为
a)除去能够结合或邻接所述配体-结合位点的配体的氢得到的基团;或
b)截短所述药效基团得到的配体的药效基团的一部分,使得该支架能够结合或邻接所述配体-结合位点;
弹头为任选地包含一个或多个选自O、N和S的杂原子的有机部分;所述有机部分具有的分子量为约14道尔顿至约20道尔顿;弹头能够与赖氨酸残基的侧链伯胺基反应;并且弹头通过连接体连接至支架;;
连接体为不存在、键或二价C1-C15饱和的、不饱和的、直链、支链、环状、二环、三环烃部分;其中任选地,所述烃链的一个或多个亚甲基单元独立地被-NR1-、-O-、-C(O)-、-S-、-SO-、-SO2-、-C(=S)-或C(=NR1)-取代;任选地一个或多个氢独立地被杂原子取代;且任选地C1-C15烷基的一个或多个次甲基(当存在时)独立地被取代;
x为0、1或2;
y为1、2或3;和
R1为氢或C1-C8烷基,
条件是式I的化合物不为
渥曼青霉素:
或经由与渥曼青霉素基本上相同的机制共价修饰赖氨酸的渥曼青霉素的已知类似物∶
任何基于机制的不可逆抑制剂。
105.权利要求104的化合物,其中弹头为除去下式的化合物的氢得到的基团:式I-a、I-b、I-c、I-d、I-e、I-f、I-g、I-h、I-i、I-j、I-k、I-l、I-m、I-n、I-o、I-p、I-q、I-r、I-s和I-t:
其中
X1和X8各自独立地为-O-、-S-或-NR6-;
每个X2独立地为-R6、-OR6或-NR6R7,;
R2、R3、R4、R5、R6、R7和R8各自独立地为氢或C1-C6烷基;其中C1-C6烷基的一个或多个亚甲基可以被-NR1-、-O-、-C(O)-、-S-、-SO-、-SO2-或-C(=S)-取代;C1-C6烷基的一个或多个次甲基(当存在时)可以独立地被取代;
R1为氢或C1-C8烷基;
其中任选地当合适时,R2、R3、R4、R5、R6、R7和R8的任意两个结合在一起形成3-至8-元碳环或杂环或芳基或杂芳基;和任选地X2与R2、R3,和R4中任一个结合在一起形成3-至8-元碳环或杂环或芳基或杂芳基;
A和B各自独立地为任选地取代的单环、双环或三环芳基或杂芳基;和
n为2-4的整数;n1和n2各自独立地为0-2的整数;n3为1-2的整数;n4为1-3的整数;n9、n10、n11和n12各自独立地为0-1的整数;且n13为0-2的整数,其中当任何一个前述n整数大于1时,则该整数表示的相邻碳可以形成单键或双键。
106.权利要求105的化合物,其中式I-b和I-c的化合物的R2和R3中至少一个为氢。
107.权利要求105的化合物,其中式I-a、I-d、I-e、I-j、I-k或I-l的化合物为式II-a、II-b、II-c、II-d、II-e、II-f、II-g、II-h、II-i、II-j、II-k、II-l、II-m、II-n、II-o、II-p、II-q、II-r、II-s、II-t、II-u、II-v、II-w、II-x、II-y、II-z、II-aa、II-bb、II-cc、II-dd、II-ee、II-ff、II-gg、II-hh、II-ii、II-jj、II-kk、II-ll、II-mm、II-nn、II-oo或II-pp的化合物:
其中
每个m独立地为0-4的整数
每个m5独立地为0-3的整数;
每个m4独立地为0-5的整数;
每个n2独立地为0-2的整数;
R2、R3、R4、R5、R6、R7、R8、R9、R10、R11、R12、R13、R14和R15各自独立地为氢或C1-C6烷基;Rz为氢、C1-C6烷基、卤素、CF3或硝基;其中
R1为氢或C1-C8烷基;和
任选地当合适时,R2、R3、R4、R5、R6、R7、R8、R9、R10、R11、R12、R13、R14和R15的任意两个结合在一起形成3-至8-元碳环或杂环或芳基或杂芳基。
108.权利要求105的化合物,其中式I-d或I-h的化合物为式III-a、III-b、III-c、III-d、III-e、III-f、III-g、III-h或III-i的化合物:
其中
n3为0-2的整数;
R2、R3、R4、R5、R6、R7和R8各自独立地为氢或C1-C6烷基;
B1、B2、B4和B5各自独立地为CR7或N;且每个B3为NR7、O或S;
Rz1、Rz2、Rz3、Rz4和Rz5各自为氢、C1-C6烷基、卤素、CF3或硝基;
C1-C6烷基的一个或多个亚甲基可以任选地被-NR1-、-O-、-C(O)-、-S-、-SO-、-SO2-或-C(=S)-取代;C1-C6烷基的一个或多个次甲基(当存在时)可以独立地被取代;
R1为氢或C1-C8烷基;和
任选地当合适时,R2、R3、R4、R5、R6、R7和R8的任意两个结合在一起形成3-至8-元碳环或杂环或芳基或杂芳基。
109.权利要求105的化合物,其中式I-h的化合物为式IV-a、IV-b、IV-c、IV-d、IV-e、IV-f、IV-g、IV-h或IV-i的化合物:
其中所述化合物的氮杂环上任一个可取代的氢都可以被烷基、烷氧基、酰氨基、酰基、酰氧基、氧酰基、卤素取代。
110.权利要求105的化合物,其中除去式I-a、I-d、I-k或I-m的化合物的氢得到的基团为式V-a、V-b、V-c、V-d、V-e、V-f、V-g、V-h、V-i、或V-j的基团;
其中
m1和m2各自独立地为0至2的整数;
R2、R3、R4、R5、R6、R7、R8、R9、R10和R11各自独立地为氢或C1-C6烷基;
C1-C6烷基的一个或多个亚甲基可以任选地被-NR1-、-O-、-C(O)-、-S-、-SO-、-SO2-或-C(=S)-取代;
C1-C6烷基的一个或多个次甲基(当存在时)可以独立地被取代;
R1为氢或C1-C8烷基;和
任选地当合适时,R2、R3、R4、R5、R6、R7、R8、R9、R10和R11的任意两个结合在一起形成3-至8-元碳环或杂环或芳基或杂芳基。
113.权利要求104的化合物,其中支架选自式VII、VIII、IX-a、IX-b、XI、XII、XVI、XVII、XVIII、XIX、XX、XXI、XXII、XXIII、XXXIV、XXV、XXVI、XXVII、XXVIII、XXIX、XXXVI和XXXVII。
114.权利要求105的化合物,其中支架为除去式VII的化合物的一个或多个氢得到的基团:
其中V和W各自独立地为-(CR14R15)qX3(CR16R17)r-;
q和r各自独立地为0、1、2、3或4;
X3为-CR18R19-或-NR20-;和
Rx、Ry、R12、R13、R14、R15、R16、R17、R18、R19和R20各自独立地为氢或C1-C6烷基;其中C1-C6烷基的一个或多个亚甲基可以被-NR1-、-O-、-C(O)-、-S-、-SO-、-SO2-、-C(=S)-、任选取代的芳基或杂芳基取代;C1-C6烷基的一个或多个次甲基(当存在时)可以独立地被取代;和
R1为氢或C1-C8烷基。
115.权利要求114的化合物,其中式VII的化合物为式VII-a的化合物:
W其中
V和W各自独立地为-(CR14R15)qX3(CR16R17)r-;
p、q和r各自独立地为0、1、2、3或4;
X3为-CR18R19-或-NR20-;和
R21和R22各自独立地为氢或C1-C6烷基;
R23为氢、C1-C6烷基、卤素、氨基或硝基;其中C1-C6烷基的一个或多个亚甲基可以任选地被-NR1-、-O-、-C(O)-、-S-、-SO-、-SO2-或-C(=S)-取代;C1-C6烷基的一个或多个次甲基(当存在时)可以独立地被取代;
R1为氢或C1-C8烷基;和
任选地,R21和R23结合在一起可以形成4-至8-元碳环或杂环。
116.权利要求105的化合物,其中式I′的化合物为式VII-b的化合物:
其中
V和W各自独立地为-(CR14R15)qX3(CR16R17)r-;
p,q和r各自独立地为0、1、2、3或4;
X3为-CR18R19-或-NR20-;和
R21和R22各自独立地为氢或C1-C6烷基;
R23为氢、C1-C6烷基、卤素、氨基或硝基;其C1-C6烷基的一个或多个亚甲基可以任选地被-NR1-、-O-、-C(O)-、-S-、-SO-、-SO2-或-C(=S)-取代;C1-C6烷基的一个或多个次甲基(当存在时)可以独立地被取代;
R1为氢或C1-C8烷基;和
任选地,R21和R23结合在一起可以形成4-至8-元碳环或杂环;
T为连接体;和
Rwh为弹头。
117.权利要求116的化合物,其中式VII-b的化合物为式VII-h的化合物:
120.权利要求105的化合物,其中支架为除去式VIII的化合物的氢得到的基团:
其中
X4为-CR33-或-N-;
S为0、1、2、3或4;和
R12、R13、R21、R22、R24、R25、R26、R27、R28、R29、R30、R31、R32和R33各自独立地为氢或C1-C6烷基;
R23为氢、C1-C6烷基、卤素、氨基或硝基;其中C1-C6烷基的一个或多个亚甲基可以任选地被-NR1-、-O-、-C(O)-、-S-、-SO-、-SO2-或-C(=S)-取代;C1-C6烷基的一个或多个次甲基(当存在时)可以独立地被取代;
R1为氢或C1-C8烷基;和
任选地,R21和R23结合在一起可以形成4-至8-元碳环或杂环。
121.权利要求104的化合物,其中式I′的化合物为式VIII-a或VIII-b的化合物:
其中
X4为-CR33-或-N-;
S为0、1、2、3或4;
R12、R13、R21、R22、R24、R25、R26、R27、R28、R29、R30、R31、R32和R33各自独立地为氢或C1-C6烷基;
R23为氢、C1-C6烷基、卤素、氨基或硝基;其中C1-C6烷基的一个或多个亚甲基可以任选地被-NR1-、-O-、-C(O)-、-S-、-SO-、-SO2-或-C(=S)-取代;C1-C6烷基的一个或多个次甲基(当存在时)可以独立地被取代;
R1为氢或C1-C8烷基;和
任选地,R21和R23结合在一起可以形成4-至8-元碳环或杂环;
T为连接体;和
Rwh为弹头。
123.权利要求105的化合物,其中支架为除去式IX-a或IX-b的化合物的氢得到的基团:
其中
X5为-O-、-CR42R43-或-NR42-;
R12、R13、R27、R28、R29、R30、R31、R32、R33、R34、R35、R36、R37、R38、R39、R40、R41、R42和R43各自独立地为氢或C1-C6烷基;其中C1-C6烷基的一个或多个亚甲基可以任选地被-NR1-、-O-、-C(O)-、-S-、-SO-、-SO2-或-C(=S)-取代;
D、E、F、G和H各自独立地为任选取代的芳基或杂芳基;其中F和G稠合在一起形成双环任选取代的芳基或杂芳基。
125.权利要求105的化合物,其中式I′的化合物为式XI的化合物:
其中:
p为0至4的整数,u为1至4的整数;
B6和B7各自独立地为CR7或N;
R69为氢、C1-C6烷基、卤素、氨基、硝基或-NH(CO)NR78R79;
R70为氢、C1-C6烷基、卤素、氨基、硝基;
R7、R71、R72、R73、R74、R75、R76、R77、R78和R79各自独立地为氢或C1-C6烷基;R1为氢或C1-C8烷基;其中C1-C6烷基的一个或多个亚甲基可以被-NR1-、-O-、-C(O)-、-S-、-SO-、-SO2-或-C(=S)-取代;C1-C6烷基的一个或多个次甲基(当存在时)可以独立地被取代;
任选地,R78和R79结合在一起可以形成4-至8-元碳环或杂环。
134.权利要求105的化合物,其中式I′的化合物为式XXXVI的化合物:
其中
Rv为H、任选取代的C1-C3支链或直链烷基、或任选取代的C1-C3支链或直链酰基;
T为连接体;和
Rwh为弹头。
136.权利要求105的化合物,其中支架为除去式XVI-a、XVI-b或XVI-c的化合物的氢得到的基团:
其中
R90、R91、R92、R93、R94、R95、R96、R97、R98、R99、R100、R102、R104、R105、R106、R107、R108、R109、R110、R111、R112、R113和R114各自独立地为氢或C1-C6烷基;其中C1-C6烷基的一个或多个亚甲基可以任选地被-NR1-、-O-、-C(O)-、-S-、-SO-、-SO2-或-C(=S)-取代;
R103为氢、C1-C6烷基或C2-C8烯基;
R1为氢或C1-C8烷基;
R101和R101各自独立地为氢、C1-C6烷基、C2-C8烯基、卤素、氨基、硝基、任选取代的芳基或杂芳基;
n6和n7各自独立地为0至4的整数;和
n8为0至2的整数。
138.权利要求137的化合物,其中式XVI-d、XVI-e或XVI-f的化合物为式XVI-g、XVI-h或XVI-i的化合物:
其中
R2、R3、R4和R5各自独立地为氢或C1-C6烷基;其中C1-C6烷基的一个或多个亚甲基可以被-NR1-、-O-、-C(O)-、-S-,、-SO-、-SO2-或-C(=S)-取代;C1-C6烷基的一个或多个次甲基(当存在时)可以独立地被取代;
R1为氢或C1-C8烷基;
其中任选地当合适时,R2、R3、R4、R5、R6、R7和R8的任意两个结合在一起形成3-至8-元碳环或杂环或芳基或杂芳基;并且任选地X2和R2、R3和R4中任一个结合在一起形成3-至8-元碳环或杂环或芳基或杂芳基。
140.权利要求105的化合物,其中式I′的化合物为式XXII-a、式XXII-b或式XXII-c的化合物:
其中
对于式XXII-a,n、m、p和q各自独立地为0、1、2、3;条件是n和q不同时为0,且m和q不同时为0;
A2为任选取代的选自下述的环:具有一个或两个独立地选自氮、氧或硫的杂原子的4-8元饱和的或部分不饱和的杂环,或具有至少一个氮、至少一个氧和任选地1-2独立地选自氮、氧或硫的另外的杂原子的5-10元饱和的或部分不饱和的桥连二环杂环;
B为任选取代的基团,选自:苯基、8-至10-元二环芳基环,具有1-4个独立地选自氮、氧或硫的杂原子的5-至6-元杂芳基环,或具有1-4个独立地选自氮、氧或硫的杂原子的8-至10-元二环杂芳基环;或T-Rwh;和
C2为氢或任选取代的选自下述的环:3-至7-元饱和的或部分不饱和的碳环,7-至10-元饱和的或部分不饱和的二环碳环,具有1-2个独立地选自氮、氧或硫的杂原子的4-至7-元饱和的或部分不饱和的杂环,具有1-3个独立地选自氮、氧或硫的杂原子的7-至10-元饱和的或部分不饱和的二环杂环,苯基,8-至10-元二环芳基环,具有1-3个独立地选自氮、氧或硫的杂原子的5-至6-元杂芳基环,或具有1-4个独立地选自氮、氧或硫的杂原子的8-至10-元二环杂芳基环;
T为连接体;和
Rwh为弹头。
142.权利要求105的化合物,其中式I′的化合物为式XXIII的化合物:
其中:
Rwh为弹头;
R201为氢或C1-6烷基;
R202为氢或任选取代的选自C1–6烷基、C1-6烷氧基或(C1-6亚烷基)-R203的基团;或
R201和R202与插入的碳结合在一起形成任选取代的环,选自具有1-2个独立地选自氮、氧或硫的杂原子的3-至7-元碳环或4-至7-元杂环;
R203为3-至7-元饱和的或部分不饱和的碳环,7-至10-元饱和的或部分不饱和的二环碳环,具有1-2个独立地选自氮、氧或硫的杂原子的4-至7-元饱和的或部分不饱和的杂环,具有1-3个独立地选自氮、氧或硫的杂原子的7-至10-元饱和的或部分不饱和的二环杂环,苯基,8-至10-元二环芳基环,具有1-3个独立地选自氮、氧或硫的杂原子的5-至6-元杂芳基环,或具有1-4个独立地选自氮、氧或硫的杂原子的8-至10-元二环杂芳基环;和
环A6不存在或为任选取代的选自下述的基团:具有1-2个独立地选自氮、氧或硫的杂原子的4-至7-元杂环,或具有1-3个独立地选自氮、氧或硫的杂原子的5-至6-元杂芳基环。
144.权利要求105的化合物,其中式I的化合物为式XXIV-a或式XXIV-b的化合物:
其中
Rwh为弹头;
R204为氢或任选取代的选自下述的基团:C1–6脂肪基、-(CH2)m-(3-至7-元饱和的或部分不饱和的碳环)、-(CH2)m-(7-至10-元饱和的或部分不饱和的双环碳环)、-(CH2)m-(具有1-2个独立地选自氮、氧或硫的杂原子的4-至7-元饱和的或部分不饱和的杂环)、-(CH2)m-(具有1-3个独立地选自氮、氧或硫的杂原子的7-至10-饱和的或部分不饱和的二环杂环)、-(CH2)m-苯基,-(CH2)m-(8-至10-元二环芳基环)、-(CH2)m-(具有1-3个独立地选自氮、氧或硫的杂原子的5-至6-元杂芳基环)或-(CH2)m-(具有1-4个独立地选自氮、氧或硫的杂原子的8-至10-元二环杂芳基环);
R205和R206各自独立地为R′、卤素、-NO2、-CN、-OR″、-SR″、-N(R″)2、-C(O)R″、-CO2R″、-C(O)C(O)R″、-C(O)CH2C(O)R″、-S(O)R″、-S(O)2R″、-C(O)N(R″)2、-SO2N(R″)2、-OC(O)R″、-N(R″)C(O)R″、-N(R″)N(R″)2、-N(R″)C(=NR″)N(R″)2、-C(=NR″)N(R″)2、-C=NOR″、-N(R″)C(O)N(R″)2、-N(R″)SO2N(R″)2、-N(R″)SO2R″或-OC(O)N(R″)2;
每个R″独立地为氢或任选地取代的选自下述的基团:C1-6脂肪基、3-至7-元饱和的或部分不饱和的碳环、7-至10-元饱和的或部分不饱和的二环碳环、具有1-2独立地选自氮、氧或硫的杂原子的4-至7-元饱和的或部分不饱和的杂环、具有1-3个独立地选自氮、氧或硫的杂原子的7-至10-元饱和的或部分不饱和的二环杂环、苯基、8-至10-元二环芳基环、具有1-3个独立地选自氮、氧或硫的杂原子的5-至6-元杂芳基环、或具有1-4个独立地选自氮、氧或硫的杂原子的8-至10-元二环杂芳基环;或
同一氮上的两个R″基团与它们连接的氮结合在一起形成任选取代的具有1-4个独立地选自氮、氧或硫的杂原子的5-8元饱和的、部分不饱和的环或芳香环;
m为0至6的整数,包括端值;
对于式XXIV-a或式XXIV-b,每个n独立地为0、1或2;和
环A5为任选取代的具有1-2个氮的6-元杂环或杂芳基环。
146.权利要求105的化合物,其中式I′的化合物为式XXV的化合物:
或其可药用盐;
其中:
R205和R206各自独立地为:–R″、卤素、-NO2、-CN、–OR″、–SR″、-N(R″)2、-C(O)R″、–CO2R″、–C(O)C(O)R″、–C(O)CH2C(O)R″、–S(O)R″、-S(O)2R″、–C(O)N(R″)2、-SO2N(R″)2、–OC(O)R″、-N(R″)C(O)R″、-N(R″)N(R″)2、-N(R″)C(=NR″)N(R″)2、-C(=NR″)N(R″)2、–C=NOR″、-N(R″)C(O)N(R″)2、-N(R″)SO2N(R″)2、-N(R″)SO2R″或-OC(O)N(R″)2;
每个R″独立地为氢或任选地取代的选自下述的基团:C1–6脂肪基、3-至7-元饱和的或部分不饱和的碳环、7-至10-元饱和的或部分不饱和的二环碳环、具有1-2独立地选自氮、氧或硫的杂原子的4-至7-元饱和的或部分不饱和的杂环、具有1-3个独立地选自氮、氧或硫的杂原子的7-至10-元饱和的或部分不饱和的二环杂环、苯基、8-至10-元二环芳基环、具有1-3个独立地选自氮、氧或硫的杂原子的5-至6-元杂芳基环、或具有1-4个独立地选自氮、氧或硫的杂原子的8-至10-元二环杂芳基环;或
任选地,同一氮上的两个R″基团与它们连接的氮结合在一起形成任选取代的具有1-4个独立地选自氮、氧或硫的杂原子的5-8元饱和的、部分不饱和的环或芳香环;
m为0至6的整数,包括端值;
每个n独立地为0、1或2;
环A5为任选取代的具有1-2个氮的6-元杂环或杂芳基环;和
Rwh为弹头。
152.式XIII的蛋白-调节剂配体共轭物,
其中
支架为
a)除去能够结合或邻接所述配体-结合位点的配体的氢得到的基团;或
b)截短所述药效基团得到的配体的药效基团的一部分,使得该支架能够结合或接近所述配体-结合位点;
弹头为任选地包含一个或多个选自O、N和S的杂原子的有机部分;所述有机部分具有的分子量为约14道尔顿至约200道尔顿;弹头能够与赖氨酸残基的侧链伯胺基反应;并且弹头通过连接体连接至支架;和
连接体为不存在、键或二价C1-C15饱和的或不饱和的、直链、支链、或环烃部分、芳基部分或杂芳基部分,且任选地,烃链的一个或多个亚甲基单元独立地被-NR1-、-O-、-C(O)-、-S-、-SO-、-SO2-、-C(=S)-或-C(=NR1)-取代;和C1-C6烷基的一个或多个次甲基(当存在时)可以独立地被取代;
x为0、1或2;
y为1、2或3;
R1为氢或C1-C8烷基;和
Y1为除去下式的基团的氢得到的二价或三价部分:式XIV-a、XIV-b、XIV-c、XIV-d、XIV-e、XIV-f、XIV-g、XIV-h或XIV-i,
其中
X1和X2各自独立地为-CR2R3R4、-OR2或-NR2R3;
R2、R3、R4、R5、R6、R7和R8各自独立地为氢或C1-C6烷基;
任选地,当合适时,R2、R3、R4、R5、R6、R7和R8中任两个可以结合在一起形成3-至8-元碳环或杂环;
C1-C6烷基的一个或多个亚甲基可以被-NR1-、-O-、-C(O)-、-S-、-SO-、-SO2-或-C(=S)-取代;C1-C6烷基的一个或多个次甲基(当存在时)可以独立地被取代;和
n为2-4的整数,m4为1至2的整数;
M连接“*”标记的位置;
A为任选取代的芳基或杂芳基;
式XIV-a、XIV-b、XIV-c、XIV-d、XIV-e、XIV-f、XIV-g、XIV-h、或XIV-i的基团的氢被连接体-支架取代;和
M为-NH-或=N-,M的氮原子为来自多肽的赖氨酸残基的侧链伯胺基的氮。
154.权利要求153的共轭物,其中支架选自式VII、VIII、IX-a、IX-b、XI、XII、XVI、XVII、XVIII、XIX、XX、XXI、XXII、XXIII、XXXIV、XXV、XXVI、XXVII、XXVIII、XXIX、XXXVI和XXXVII。
155.权利要求153的共轭物,其中M(CH2)4-蛋白选自:M(CH2)4-K1236-HCV-NS3、M(CH2)4-K2016-HCV-NS3、M(CH2)4-K2560-HCV-NS3、M(CH2)4-K191-(杆状病毒IAP含重复蛋白1)、M(CH2)4-K199-(杆状病毒IAP含重复蛋白1)、M(CH2)4-K305-(杆状病毒IAP含重复蛋白2)、M(CH2)4-K291-(杆状病毒IAP含重复蛋白3)、M(CH2)4-K297-(杆状病毒IAP含重复蛋白4)、M(CH2)4-K299-(杆状病毒IAP含重复蛋白4)、M(CH2)4-K311-(杆状病毒IAP含重复蛋白4)、M(CH2)4-K062-(杆状病毒IAP含重复蛋白5)、M(CH2)4-K079-(杆状病毒IAP含重复蛋白5)、M(CH2)4-K121-(杆状病毒IAP含重复蛋白7)、M(CH2)4-K135-(杆状病毒IAP含重复蛋白7)、M(CH2)4-K146-(杆状病毒IAP含重复蛋白7)、M(CH2)4-K036-(杆状病毒IAP含重复蛋白8)、M(CH2)4-K050-(杆状病毒IAP含重复蛋白8)、M(CH2)4-K061-(杆状病毒IAP含重复蛋白8)、M(CH2)4-K776-(磷脂酰肌醇-4,5-二磷酸盐3-激酶催化亚基α同工型)、M(CH2)4-K802-(磷脂酰肌醇-4,5-二磷酸盐3-激酶催化亚基α同工型)、M(CH2)4-K777-(磷脂酰肌醇-4,5-二磷酸盐3-激酶催化亚基β同工型)、M(CH2)4-K805-(磷脂酰肌醇-4,5-二磷酸盐3-激酶催化亚基β同工型)、M(CH2)4-K802-(磷脂酰肌醇-4,5-二磷酸盐3-激酶催化亚基γ同工型)、M(CH2)4-K807-(磷脂酰肌醇-4,5-二磷酸盐3-激酶催化亚基γ同工型)、M(CH2)4-K833-(磷脂酰肌醇-4,5-二磷酸盐3-激酶催化亚基γ同工型)、M(CH2)4-K890-(磷脂酰肌醇-4,5-二磷酸盐3-激酶催化亚基γ同工型)、M(CH2)4-K086-(3-磷酸肌醇-依赖性蛋白激酶1)、M(CH2)4-K163-(3-磷酸肌醇-依赖性蛋白激酶1)、M(CH2)4-K169-(3-磷酸肌醇-依赖性蛋白激酶1)和M(CH2)4-K207-(3-磷酸肌醇-依赖性蛋白激酶1)。
157.权利要求153的共轭物,其中除去式XIV-a、XIV-d、XIV-h或XIV-i的基团的氢得到的二价或三价体部分为式XV-a、XV-b、XV-c、XV-d、XV-e、XV-f或XV-g的部分:
其中
m4为1至2的整数;
R2、R3、R4、R5和R6各自独立地为氢或C1-C6烷基;其中
任选地,当合适时,R2、R3、R4、R5和R6中的任两个可以连接在一起形成3-至8-元碳环或杂环;和
C1-C6烷基的一个或多个亚甲基可以被-NR1-、-O-、-C(O)-、-S-、-SO-、-SO2-或-C(=S)-取代;
M连接“*”标记的Y1的位置;和
连接体连接“**”标记的Y1的位置。
159.一种治疗患者中XIAP-介导的病症的方法,其包括通过共价修饰在XIAP的K297等效位置保守的赖氨酸残基不可逆地抑制XIAP的步骤。
160.式K297-连接基-抑制剂部分的共轭物,其中所述K297为XIAP的K297。
161.权利要求160的共轭物,其中所述抑制剂部分具有式A:
其中
V和W各自独立地为-(CR14R15)qX3(CR16R17)r-;
p、q和r各自独立地为0、1、2、3或4;
X3为-CR18R19-或-NR20-;和
R21和R22各自独立地为氢或C1-C6烷基;
R23为氢、C1-C6烷基、卤素、氨基或硝基;其中C1-C6烷基的一个或多个亚甲基可以任选地被-NR1-、-O-、-C(O)-、-S-、-SO-、-SO2-或-C(=S)-取代;C1-C6烷基的一个或多个次甲基(当存在时)可以独立地被取代;
R1为氢或C1-C8烷基;和
任选地,R21和R23结合在一起可以形成4-至8-元碳环或杂环。
162.权利要求160的共轭物,其中所述抑制剂部分具有式B:
其中
X4为-CR33-或-N-;
P和s各自独立地为0、1、2、3或4;
R12、R13、R21、R22、R24、R25、R26、R27、R28、R29、R30、R31、R32和R33各自独立地为氢或C1-C6烷基;
R23为氢、C1-C6烷基、卤素、氨基或硝基;其中C1-C6烷基的一个或多个亚甲基可以任选地被-NR1-、-O-、-C(O)-、-S-、-SO-、-SO2-或-C(=S)-取代;C1-C6烷基的一个或多个次甲基(当存在时)可以独立地被取代;
R1为氢或C1-C8烷基;和
任选地,R21和R23结合在一起可以形成4-至8-元碳环或杂环。
163.一种治疗患者中PDPK1-介导的病症的方法,其包括通过共价修饰在PDPK1的等效位置K169保守的赖氨酸残基不可逆地抑制PDPK1的步骤。
164.一种治疗患者中PDPK1-介导的病症的方法,其包括通过共价修饰在PDPK1的等效位置K173保守的赖氨酸残基不可逆地抑制PDPK1的步骤。
165.一种治疗患者中PDPK1-介导的病症的方法,其包括通过共价修饰在PDPK1的等效位置K86保守的赖氨酸残基不可逆地抑制PDPK1的步骤。
166.式K169-连接基-抑制剂部分的共轭物,其中所述K169为PDPK1的K169。
167.式K173-连接基-抑制剂部分的共轭物,其中所述K173为PDPK1的K173。
168.式K86-连接基-抑制剂部分的共轭物,其中所述K86为PDPK1的K86。
169.权利要求166-168的共轭物,其中所述抑制剂部分具有式C::
其中
B6和B7各自独立地为CR7或N;
R69为氢、C1-C6烷基、卤素、氨基、硝基或-NH(CO)NR78R79;
R70为氢、C1-C6烷基、卤素、氨基、硝基;
R7、R71、R72、R73、R74、R75、R76、R77、R78和R79各自独立地为氢或C1-C6烷基;
R1为氢或C1-C8烷基;其中C1-C6烷基的一个或多个亚甲基可以被-NR1-、-O-、-C(O)-、-S-、-SO-、-SO2-或-C(=S)-取代;C1-C6烷基的一个或多个次甲基(当存在时)可以独立地被取代;
任选地,R78和R79结合在一起形成4-至8-元碳环或杂环;和p为0至4的整数,u为1至4的整数。
171.一种治疗患者中HCV蛋白酶-介导的病症的方法,其包括通过共价修饰在HCV-蛋白酶亚型NS3/4A的等效位置K136保守的赖氨酸残基不可逆地抑制HCV蛋白酶的步骤。
172.式K136-连接基-抑制剂部分的共轭物,其中所述K136为NS3/4A的K136。
173.权利要求172的共轭物,其中所述抑制剂部分具有式E、F或G:
其中
R90、R94、R95、R96、R97、R98、R99、R100、R102、R104、R105、R106、R107、R108、R109、R110、R111、R112、R113和R114各自独立地为氢或C1-C6烷基;其中C1-C6烷基的一个或多个亚甲基可以任选地被-NR1-、-O-、-C(O)-、-S-、-SO-、-SO2-或-C(=S)-取代;
R103为氢、C1-C6烷基或C2-C8烯基;
C1-C6烷基的一个或多个次甲基(当存在时)可以独立地被取代;
R1为氢或C1-C8烷基;
每个R101独立地为氢、C1-C6烷基、C2-C8烯基、卤素、氨基、硝基、任选取代的芳基或杂芳基;n6为0至4的整数;和n8为0至2的整数。
174.一种治疗患者中PI3K-介导的病症的方法,其包括通过共价修饰在PI3K的等效位置K777保守的赖氨酸残基不可逆地抑制PI3K的步骤。
175.式K777-连接基-抑制剂部分的共轭物,其中所述K777为PI3Kβ的K777。
176.一种治疗患者中PI3K-介导的病症的方法,其包括通过共价修饰在PI3K的等效位置K802保守的赖氨酸残基不可逆地抑制PI3K的步骤。
177.式K802-连接基-抑制剂部分的共轭物,其中所述K802为PI3Kγ的K802。
178.一种治疗患者中PI3K-介导的病症的方法,其包括通过共价修饰在PI3Kγ的等效位置K890保守的赖氨酸残基不可逆地抑制PI3K的步骤。
179.式K890-连接基-抑制剂部分的共轭物,其中所述K890为PI3Kγ的K890。
180.权利要求175、177或179的共轭物,其中所述抑制剂部分具有式H、J或K:
其中
n、m、p和q各自独立地为0、1、2、3;条件是n和q不同时为0,且m和q不同时为0;
A2为任选取代的选自下述的环:具有一个或两个独立地选自氮、氧或硫的杂原子的4-8元饱和的或部分不饱和的杂环,或具有至少一个氮、至少一个氧和任选地1-2个独立地选自氮、氧或硫的另外的杂原子的5-10元饱和的或部分不饱和的桥连二环杂环;
B为任选取代的基团,选自:苯基、8-至10-元二环芳基环,具有1-4个独立地选自氮、氧或硫的杂原子的5-至6-元杂芳基环,或具有1-4个独立地选自氮、氧或硫的杂原子的8-至10-元二环杂芳基环;或T-Rwh;和
C2为氢或任选取代的选自下述的环:3-至7-元饱和的或部分不饱和的碳环,7-至10-元饱和的或部分不饱和的双环碳环,具有1-2个独立地选自氮、氧或硫的杂原子的4-至7-元饱和的或部分不饱和的杂环,具有1-3个独立地选自氮、氧或硫的杂原子的7-至10-元饱和的或部分不饱和的二环杂环、苯基、8-至10-元二环芳基环、具有1-3个独立地选自氮、氧或硫的杂原子的5-至6-元杂芳基环、或具有1-4个独立地选自氮、氧或硫的杂原子的8-至10-元二环杂芳基环。
181.权利要求175、177或179的共轭物,其中所述抑制剂部分具有式L或M::
其中
R204为氢或任选取代的选自下述的基团:C16脂肪基、-(CH2)m-(3-至7-元饱和的或部分不饱和的碳环)、-(CH2)m-(7-至10-元饱和的或部分不饱和的双环碳环)、-(CH2)m-(具有1-2个独立地选自氮、氧或硫的杂原子的4-至7-元饱和的或部分不饱和的杂环)、-(CH2)m-(具有1-3个独立地选自氮、氧或硫的杂原子的7-至10-元饱和的或部分不饱和的二环杂环)、-(CH2)m-苯基、-(CH2)m-(8-至10-元二环芳基环)、-(CH2)m-(具有1-3个独立地选自氮、氧或硫的杂原子的5-至6-元杂芳基环)、或-(CH2)m-(具有1-4个独立地选自氮、氧或硫的杂原子的8-至10-元二环杂芳基环);
R205和R206各自独立地为R″、卤素、-NO2、-CN、-OR″、-SR″、-N(R″)2、-C(O)R″、-CO2R″、-C(O)C(O)R″、-C(O)CH2C(O)R″、-S(O)R″、–S(O)2R″、–C(O)N(R″)2、-SO2N(R″)2、–OC(O)R″、-N(R″)C(O)R″、-N(R″)N(R″)2、-N(R″)C(=NR″)N(R″)2、-C(=NR″)N(R″)2、–C=NOR″、-N(R″)C(O)N(R″)2、-N(R″)SO2N(R″)2、-N(R″)SO2R″或-OC(O)N(R″)2;
每个R″独立地为氢或任选地取代的选自下述的基团:C1–6脂肪基、3-至7-元饱和的或部分不饱和的碳环,7-至10-元饱和的或部分不饱和的双环碳环,具有1-2个独立地选自氮、氧或硫的杂原子的4-至7-元饱和的或部分不饱和的杂环,具有1-3个独立地选自氮、氧或硫的杂原子的7-至10-元饱和的或部分不饱和的二环杂环、苯基、8-至10-元二环芳基环、具有1-3个独立地选自氮、氧或硫的杂原子的5-至6-元杂芳基环、或具有1-4个独立地选自氮、氧或硫的杂原子的8-至10-元二环杂芳基环;或
同一氮上的两个R″基团与它们连接的氮结合在一起形成任选取代的具有1-4个独立地选自氮、氧或硫的杂原子的5-8元饱和的、部分不饱和的环或芳香环;
m为0至6的整数,包括端值;
每个n独立地为0、1或2;和
环A5为任选取代的具有1-2个氮的6-元杂环或杂芳基环。
182.权利要求175、177或179的共轭物,其中所述抑制剂部分具有式N:
其中:
R201为氢或C1-6烷基;
R202为氢或任选取代的选自C16烷基、C1-6烷氧基或(C1-6亚烷基)-R203的基团;或
R201和R202与插入的碳结合在一起形成任选取代的环,选自具有1-2个独立地选自氮、氧或硫的杂原子的3-至7-元碳环或4-至7-元杂环;
R203为3-至7-元饱和的或部分不饱和的碳环,7-至10-元饱和的或部分不饱和的双环碳环,具有1-2个独立地选自氮、氧或硫的杂原子的4-至7-元饱和的或部分不饱和的杂环,具有1-3个独立地选自氮、氧或硫的杂原子的7-至10-元饱和的或部分不饱和的二环杂环、苯基、8-至10-元二环芳基环、具有1-3个独立地选自氮、氧或硫的杂原子的5-至6-元杂芳基环、或具有1-4个独立地选自氮、氧或硫的杂原子的8-至10-元二环杂芳基环;和
环A6为不存在或任选取代的选自下述的基团:具有1-2独立地选自氮、氧或硫的杂原子的4-至7-元杂环,或具有1-3个独立地选自氮、氧或硫的杂原子的5-至6-元杂芳基环。
183.权利要求175、177或179的共轭物,其中所述抑制剂部分具有式O:
其中:
R205和R206各自独立地为–R″、卤素、-NO2、-CN、–OR″、–SR″、-N(R″)2、-C(O)R″、–CO2R″、–C(O)C(O)R″、–C(O)CH2C(O)R″、–S(O)R″、-S(O)2R″、–C(O)N(R″)2、-SO2N(R″)2、–OC(O)R″、-N(R″)C(O)R″、-N(R″)N(R″)2、-N(R″)C(=NR″)N(R″)2、-C(=NR″)N(R″)2、–C=NOR″、-N(R″)C(O)N(R″)2、-N(R″)SO2N(R″)2、-N(R″)SO2R″或-OC(O)N(R″)2;
每个R″独立地为氢或任选地取代的选自下述的基团:C1-6脂肪基、3-至7-元饱和的或部分不饱和的碳环,7-至10-元饱和的或部分不饱和的双环碳环,具有1-2个独立地选自氮、氧或硫的杂原子的4-至7-元饱和的或部分不饱和的杂环,具有1-3个独立地选自氮、氧或硫的杂原子的7-至10-元饱和的或部分不饱和的二环杂环、苯基、8-至10-元二环芳基环、具有1-3个独立地选自氮、氧或硫的杂原子的5-至6-元杂芳基环、或具有1-4个独立地选自氮、氧或硫的杂原子的8-至10-元二环杂芳基环;或
任选地,同一氮上的两个R″基团与它们连接的氮结合在一起形成任选取代的具有1-4个独立地选自氮、氧或硫的杂原子的5-8元饱和的、部分不饱和的环或芳香环;
m为0至6的整数,包括端值;
每个n独立地为0、1或2;和
环A5为任选取代的具有1-2个氮的6-元杂环或杂芳基环。
Applications Claiming Priority (3)
| Application Number | Priority Date | Filing Date | Title |
|---|---|---|---|
| US33504309P | 2009-12-30 | 2009-12-30 | |
| US61/335,043 | 2009-12-30 | ||
| PCT/US2010/062473 WO2011082285A1 (en) | 2009-12-30 | 2010-12-30 | Ligand-directed covalent modification of protein |
Publications (1)
| Publication Number | Publication Date |
|---|---|
| CN102812167A true CN102812167A (zh) | 2012-12-05 |
Family
ID=44226810
Family Applications (1)
| Application Number | Title | Priority Date | Filing Date |
|---|---|---|---|
| CN2010800649727A Pending CN102812167A (zh) | 2009-12-30 | 2010-12-30 | 蛋白的配体-介导的共价修饰 |
Country Status (13)
| Country | Link |
|---|---|
| US (2) | US20110269244A1 (zh) |
| EP (1) | EP2519664A4 (zh) |
| JP (2) | JP2013516422A (zh) |
| KR (1) | KR20130067487A (zh) |
| CN (1) | CN102812167A (zh) |
| AU (2) | AU2010339456A1 (zh) |
| BR (1) | BR112012015721A2 (zh) |
| CA (1) | CA2785738A1 (zh) |
| MX (1) | MX2012007684A (zh) |
| RU (1) | RU2012132473A (zh) |
| SG (1) | SG181965A1 (zh) |
| TW (1) | TW201134825A (zh) |
| WO (1) | WO2011082285A1 (zh) |
Cited By (13)
| Publication number | Priority date | Publication date | Assignee | Title |
|---|---|---|---|---|
| CN106488910A (zh) * | 2013-10-10 | 2017-03-08 | 亚瑞克西斯制药公司 | Kras g12c的抑制剂 |
| CN107314979A (zh) * | 2016-10-09 | 2017-11-03 | 河南理工大学 | 一种基于罗丹明6g的铜离子传感器、制备及应用 |
| CN109721522A (zh) * | 2018-12-29 | 2019-05-07 | 常州吉恩药业有限公司 | 一种高品质n-叔丁氧羰基-l-焦谷氨酸苄酯工业化生产方法 |
| TWI659021B (zh) * | 2013-10-10 | 2019-05-11 | 亞瑞克西斯製藥公司 | Kras g12c之抑制劑 |
| CN110256322A (zh) * | 2019-06-27 | 2019-09-20 | 济南大学 | 一种合成阿维巴坦关键中间体及其重结晶工艺 |
| CN110963991A (zh) * | 2018-09-28 | 2020-04-07 | 嘉兴学院 | 一种pi3k抑制剂及其制备方法和应用 |
| CN111484477A (zh) * | 2019-01-29 | 2020-08-04 | 博瑞生物医药(苏州)股份有限公司 | 一种苯并吡啶酮杂环化合物及其用途 |
| CN114105848A (zh) * | 2021-11-24 | 2022-03-01 | 四川同晟生物医药有限公司 | 一种顺式-d-羟脯氨酸衍生物的制备方法 |
| CN114206388A (zh) * | 2019-05-24 | 2022-03-18 | 株式会社糖锁工学研究所 | 新的人工蛋白质催化剂 |
| CN115210238A (zh) * | 2019-11-28 | 2022-10-18 | 拜耳公司 | 作为用于免疫激活的DGKα抑制剂的取代的氨基喹诺酮类 |
| WO2023165581A1 (zh) * | 2022-03-03 | 2023-09-07 | 四川汇宇制药股份有限公司 | 一种吡啶类衍生物及其用途 |
| WO2024109233A1 (zh) * | 2022-11-22 | 2024-05-30 | 四川汇宇制药股份有限公司 | 一种嘧啶并芳环化合物及其制备方法和用途 |
| US11998539B2 (en) | 2019-11-28 | 2024-06-04 | Bayer Aktiengesellschaft | Substituted aminoquinolones as DGKalpha inhibitors for immune activation |
Families Citing this family (90)
| Publication number | Priority date | Publication date | Assignee | Title |
|---|---|---|---|---|
| JP5526362B2 (ja) | 2007-10-11 | 2014-06-18 | ザ・リージエンツ・オブ・ザ・ユニバーシテイー・オブ・カリフオルニア | N−アシルエタノールアミン−加水分解酸性アミダーゼを阻害する組成物及び方法 |
| EA029131B1 (ru) | 2008-05-21 | 2018-02-28 | Ариад Фармасьютикалз, Инк. | Фосфорсодержащие производные в качестве ингибиторов киназы |
| US9273077B2 (en) | 2008-05-21 | 2016-03-01 | Ariad Pharmaceuticals, Inc. | Phosphorus derivatives as kinase inhibitors |
| MY156789A (en) * | 2008-09-05 | 2016-03-31 | Celgene Avilomics Res Inc | Algorithm for designing irreversible inhibitors |
| RU2012114902A (ru) | 2009-09-16 | 2013-10-27 | Авила Терапьютикс, Инк. | Конъюгаты и ингибиторы протеинкиназы |
| CN102812167A (zh) | 2009-12-30 | 2012-12-05 | 阿维拉制药公司 | 蛋白的配体-介导的共价修饰 |
| CA2832504C (en) | 2011-05-04 | 2019-10-01 | Ariad Pharmaceuticals, Inc. | Compounds for inhibiting cell proliferation in egfr-driven cancers |
| ES2602813T3 (es) * | 2011-06-09 | 2017-02-22 | Rhizen Pharmaceuticals S.A. | Nuevos compuestos como moduladores de GPR-119 |
| CN103958465B (zh) * | 2011-09-29 | 2016-08-31 | 小野药品工业株式会社 | 苯基衍生物 |
| US9353075B2 (en) | 2011-11-22 | 2016-05-31 | The Regents Of The University Of California | Disubstituted beta-lactones as inhibitors of N-acylethanolamine acid amidase (NAAA) |
| AU2013204563B2 (en) | 2012-05-05 | 2016-05-19 | Takeda Pharmaceutical Company Limited | Compounds for inhibiting cell proliferation in EGFR-driven cancers |
| WO2014052647A2 (en) * | 2012-09-26 | 2014-04-03 | President And Fellows Of Harvard College | Proline-locked stapled peptides and uses thereof |
| CN103788071A (zh) * | 2012-11-01 | 2014-05-14 | 中国人民解放军第二军医大学 | N-(5-(喹啉-6-基)吡啶-3-基)苯磺酰胺衍生物、制备方法及治疗用途 |
| WO2014110420A1 (en) | 2013-01-10 | 2014-07-17 | Noliva Therapeutics Llc | Peptidomimetic compounds |
| CN110105434B (zh) | 2013-03-13 | 2024-09-17 | 哈佛大学的校长及成员们 | 钉合且缝合的多肽及其用途 |
| WO2014144547A2 (en) | 2013-03-15 | 2014-09-18 | The Regents Of The University Of California | Amide derivatives of lactam based n-acylethanolamine acid amidase (naaa) inhibitors |
| WO2014143659A1 (en) | 2013-03-15 | 2014-09-18 | Araxes Pharma Llc | Irreversible covalent inhibitors of the gtpase k-ras g12c |
| WO2014144836A2 (en) | 2013-03-15 | 2014-09-18 | The Regents Of The University Of California | Carbamate derivatives of lactam based n-acylethanolamine acid amidase (naaa) inhibitors |
| US9227978B2 (en) | 2013-03-15 | 2016-01-05 | Araxes Pharma Llc | Covalent inhibitors of Kras G12C |
| DK2980072T3 (en) | 2013-03-26 | 2018-06-14 | Ono Pharmaceutical Co | phenyl derivative |
| US9611283B1 (en) | 2013-04-10 | 2017-04-04 | Ariad Pharmaceuticals, Inc. | Methods for inhibiting cell proliferation in ALK-driven cancers |
| UY35675A (es) | 2013-07-24 | 2015-02-27 | Novartis Ag | Derivados sustituidos de quinazolin-4-ona |
| CN107573277B (zh) * | 2013-12-27 | 2020-10-16 | 株式会社Api | 5-羟基哌啶-2-甲酸的制造方法 |
| WO2015109391A1 (en) | 2014-01-24 | 2015-07-30 | Children's Hospital Of Eastern Ontario Research Institute Inc. | Smc combination therapy for the treatment of cancer |
| EP3151920B1 (en) * | 2014-06-04 | 2025-08-06 | Sanford-Burnham Medical Research Institute | Use of inhibitor of apoptosis protein (iap) antagonists in hiv therapy |
| JO3556B1 (ar) | 2014-09-18 | 2020-07-05 | Araxes Pharma Llc | علاجات مدمجة لمعالجة السرطان |
| WO2016049568A1 (en) | 2014-09-25 | 2016-03-31 | Araxes Pharma Llc | Methods and compositions for inhibition of ras |
| WO2016049524A1 (en) | 2014-09-25 | 2016-03-31 | Araxes Pharma Llc | Inhibitors of kras g12c mutant proteins |
| BR112017021869A2 (pt) * | 2015-04-10 | 2018-12-11 | Araxes Pharma Llc | compostos quinazolina substituídos e métodos de uso dos mesmos |
| US10428064B2 (en) | 2015-04-15 | 2019-10-01 | Araxes Pharma Llc | Fused-tricyclic inhibitors of KRAS and methods of use thereof |
| US10144724B2 (en) | 2015-07-22 | 2018-12-04 | Araxes Pharma Llc | Substituted quinazoline compounds and methods of use thereof |
| EP3356339A1 (en) | 2015-09-28 | 2018-08-08 | Araxes Pharma LLC | Inhibitors of kras g12c mutant proteins |
| WO2017058768A1 (en) | 2015-09-28 | 2017-04-06 | Araxes Pharma Llc | Inhibitors of kras g12c mutant proteins |
| WO2017058728A1 (en) | 2015-09-28 | 2017-04-06 | Araxes Pharma Llc | Inhibitors of kras g12c mutant proteins |
| EP3356347A1 (en) | 2015-09-28 | 2018-08-08 | Araxes Pharma LLC | Inhibitors of kras g12c mutant proteins |
| EP3356359B1 (en) | 2015-09-28 | 2021-10-20 | Araxes Pharma LLC | Inhibitors of kras g12c mutant proteins |
| WO2017058915A1 (en) | 2015-09-28 | 2017-04-06 | Araxes Pharma Llc | Inhibitors of kras g12c mutant proteins |
| EP3356354A1 (en) | 2015-09-28 | 2018-08-08 | Araxes Pharma LLC | Inhibitors of kras g12c mutant proteins |
| JP2018533939A (ja) | 2015-10-19 | 2018-11-22 | アラクセス ファーマ エルエルシー | Rasの阻害剤をスクリーニングするための方法 |
| MX2018005967A (es) | 2015-11-16 | 2018-08-29 | Araxes Pharma Llc | Compuestos de quinazolina 2-sustituida que comprenden un grupo heterociclico sustituido y metodos de uso de los mismos. |
| WO2017100546A1 (en) | 2015-12-09 | 2017-06-15 | Araxes Pharma Llc | Methods for preparation of quinazoline derivatives |
| WO2017156071A1 (en) | 2016-03-09 | 2017-09-14 | Blade Therapeutics, Inc. | Cyclic keto-amide compounds as calpain modulators and methods of production and use thereof |
| US10822312B2 (en) | 2016-03-30 | 2020-11-03 | Araxes Pharma Llc | Substituted quinazoline compounds and methods of use |
| JP7039489B2 (ja) | 2016-05-18 | 2022-03-22 | ミラティ セラピューティクス, インコーポレイテッド | Kras g12c阻害剤 |
| WO2018009417A1 (en) | 2016-07-05 | 2018-01-11 | Blade Therapeutics, Inc. | Calpain modulators and therapeutic uses thereof |
| US10646488B2 (en) | 2016-07-13 | 2020-05-12 | Araxes Pharma Llc | Conjugates of cereblon binding compounds and G12C mutant KRAS, HRAS or NRAS protein modulating compounds and methods of use thereof |
| WO2018064119A1 (en) | 2016-09-28 | 2018-04-05 | Blade Therapeutics, Inc. | Calpain modulators and therapeutic uses thereof |
| JP2019529484A (ja) | 2016-09-29 | 2019-10-17 | アラクセス ファーマ エルエルシー | Kras g12c変異体タンパク質の阻害剤 |
| US10377743B2 (en) | 2016-10-07 | 2019-08-13 | Araxes Pharma Llc | Inhibitors of RAS and methods of use thereof |
| EP3573970A1 (en) | 2017-01-26 | 2019-12-04 | Araxes Pharma LLC | 1-(6-(3-hydroxynaphthalen-1-yl)quinazolin-2-yl)azetidin-1-yl)prop-2-en-1-one derivatives and similar compounds as kras g12c inhibitors for the treatment of cancer |
| WO2018140600A1 (en) | 2017-01-26 | 2018-08-02 | Araxes Pharma Llc | Fused hetero-hetero bicyclic compounds and methods of use thereof |
| EP3573954A1 (en) | 2017-01-26 | 2019-12-04 | Araxes Pharma LLC | Fused bicyclic benzoheteroaromatic compounds and methods of use thereof |
| US11358959B2 (en) | 2017-01-26 | 2022-06-14 | Araxes Pharma Llc | Benzothiophene and benzothiazole compounds and methods of use thereof |
| EP3573971A1 (en) | 2017-01-26 | 2019-12-04 | Araxes Pharma LLC | 1-(3-(6-(3-hydroxynaphthalen-1-yl)benzofuran-2-yl)azetidin-1yl)prop-2-en-1-one derivatives and similar compounds as kras g12c modulators for treating cancer |
| US10745385B2 (en) | 2017-05-25 | 2020-08-18 | Araxes Pharma Llc | Covalent inhibitors of KRAS |
| JP2020521741A (ja) | 2017-05-25 | 2020-07-27 | アラクセス ファーマ エルエルシー | がんの処置のための化合物およびその使用の方法 |
| CN110831933A (zh) | 2017-05-25 | 2020-02-21 | 亚瑞克西斯制药公司 | 喹唑啉衍生物作为突变kras、hras或nras的调节剂 |
| CA3080943A1 (en) | 2017-11-01 | 2019-05-09 | The Regents Of The University Of California | Novel agents targeting inhibitor of apoptosis proteins |
| JP6887520B2 (ja) * | 2017-11-01 | 2021-06-16 | 富士フイルム株式会社 | 経口医薬組成物 |
| US10647715B2 (en) | 2017-11-15 | 2020-05-12 | Mirati Therapeutics, Inc. | KRas G12C inhibitors |
| CA3082579A1 (en) | 2017-11-15 | 2019-05-23 | Mirati Therapeutics, Inc. | Kras g12c inhibitors |
| US10696638B2 (en) | 2017-12-26 | 2020-06-30 | Industrial Technology Research Institute | Compounds for inhibiting AGC kinase and pharmaceutical compositions comprising the same |
| WO2019217307A1 (en) | 2018-05-07 | 2019-11-14 | Mirati Therapeutics, Inc. | Kras g12c inhibitors |
| US12134620B2 (en) | 2018-08-01 | 2024-11-05 | Araxes Pharma Llc | Heterocyclic spiro compounds and methods of use thereof for the treatment of cancer |
| WO2020055760A1 (en) | 2018-09-10 | 2020-03-19 | Mirati Therapeutics, Inc. | Combination therapies |
| CA3111980A1 (en) | 2018-09-10 | 2020-03-19 | Mirati Therapeutics, Inc. | Combination therapies |
| KR102871791B1 (ko) | 2018-09-10 | 2025-10-15 | 미라티 테라퓨틱스, 인크. | 병용 요법 |
| SI3849537T1 (sl) | 2018-09-10 | 2025-03-31 | Mirati Therapeutics, Inc. | Kombinirane terapije |
| WO2020059891A1 (ja) * | 2018-09-21 | 2020-03-26 | 株式会社エーピーアイ コーポレーション | アミノ酸誘導体の製造方法 |
| MX2021002804A (es) | 2018-12-05 | 2021-07-15 | Mirati Therapeutics Inc | Terapias de combinacion. |
| JP7592601B2 (ja) | 2019-01-10 | 2024-12-02 | ミラティ セラピューティクス, インコーポレイテッド | Kras g12c阻害剤 |
| CN113677668B (zh) | 2019-01-30 | 2024-09-27 | 蒙特利诺治疗公司 | 用于雄激素受体靶向泛素化的双官能化合物和方法 |
| US11547759B2 (en) | 2019-01-30 | 2023-01-10 | Montelino Therapeutics, Inc. | Bi-functional compounds and methods for targeted ubiquitination of androgen receptor |
| EP4295846A3 (en) | 2019-05-10 | 2024-02-28 | Deciphera Pharmaceuticals, LLC | Heteroarylaminopyrimidine amide autophagy inhibitors and methods of use thereof |
| CN114127057B (zh) | 2019-05-10 | 2024-07-12 | 德西费拉制药有限责任公司 | 苯基氨基嘧啶酰胺自噬抑制剂及其使用方法 |
| US11590134B2 (en) | 2019-06-17 | 2023-02-28 | Deciphera Pharmaceuticals, Llc | Aminopyrimidine amide autophagy inhibitors and methods of use thereof |
| AU2020337938B2 (en) | 2019-08-29 | 2025-09-25 | Array Biopharma Inc. | KRas G12D inhibitors |
| US20220370625A1 (en) * | 2019-09-19 | 2022-11-24 | Totus Medicines Inc. | Therapeutic conjugates |
| JP2022548791A (ja) | 2019-09-24 | 2022-11-21 | ミラティ セラピューティクス, インコーポレイテッド | 組み合わせ療法 |
| AU2020378643A1 (en) | 2019-11-08 | 2022-06-02 | Coave Therapeutics | Modified adeno-associated virus vectors and delivery thereof into the central nervous system |
| AU2020405170A1 (en) | 2019-12-20 | 2022-06-30 | Mirati Therapeutics, Inc. | SOS1 inhibitors |
| EP4132921A4 (en) * | 2020-04-09 | 2024-03-27 | Purdue Research Foundation | Pi3 kinase inhibitors and uses thereof |
| CN111665351B (zh) * | 2020-06-20 | 2021-12-03 | 江南大学 | 一种快速、特异性测定rna含量的方法 |
| AU2021340716A1 (en) | 2020-09-11 | 2023-03-30 | Mirati Therapeutics, Inc. | Crystalline forms of a KRas G12C inhibitor |
| CA3196597A1 (en) * | 2020-11-06 | 2022-05-12 | Gaelle Lefevre | Lactam-modified adeno-associated virus vectors |
| US12398154B2 (en) | 2020-12-15 | 2025-08-26 | Mirati Therapeutics, Inc. | Azaquinazoline pan-KRas inhibitors |
| EP4262803A4 (en) | 2020-12-16 | 2025-03-12 | Mirati Therapeutics, Inc. | Tetrahydropyridopyrimidine pan-kras inhibitors |
| US11981672B2 (en) | 2021-09-13 | 2024-05-14 | Montelino Therapeutics Inc. | Bi-functional compounds and methods for targeted ubiquitination of androgen receptor |
| WO2023070114A2 (en) * | 2021-10-22 | 2023-04-27 | Terremoto Biosciences, Inc. | Reversible lysine covalent modifiers of egfr and uses thereof |
| WO2024081302A1 (en) * | 2022-10-14 | 2024-04-18 | Purdue Research Foundation | Ligand-directed covalent modification of amino acid side chains using cyclic imine mannich electrophiles |
Citations (4)
| Publication number | Priority date | Publication date | Assignee | Title |
|---|---|---|---|---|
| CN1717396A (zh) * | 2002-11-28 | 2006-01-04 | 舍林股份公司 | Chk-、Pdk-和Akt-抑制嘧啶,其制备及作为药物的用途 |
| US20060174816A1 (en) * | 2002-09-12 | 2006-08-10 | University Of Bath | Crystal structure of an angiotensin-converting enzyme (ace) and uses thereof |
| US20070020684A1 (en) * | 2002-06-21 | 2007-01-25 | Bledsoe Randy K | Structure of a glucocorticoid receptor ligand binding domain comprising an expanded binding pocket and methods employing same |
| US20090306085A1 (en) * | 2007-12-21 | 2009-12-10 | Avila Therapeutics, Inc. | Hcv protease inhibitors and uses thereof |
Family Cites Families (94)
| Publication number | Priority date | Publication date | Assignee | Title |
|---|---|---|---|---|
| US3710795A (en) | 1970-09-29 | 1973-01-16 | Alza Corp | Drug-delivery device with stretched, rate-controlling membrane |
| US4650750A (en) | 1982-02-01 | 1987-03-17 | Giese Roger W | Method of chemical analysis employing molecular release tag compounds |
| US5516931A (en) | 1982-02-01 | 1996-05-14 | Northeastern University | Release tag compounds producing ketone signal groups |
| US4709016A (en) | 1982-02-01 | 1987-11-24 | Northeastern University | Molecular analytical release tags and their use in chemical analysis |
| US5650270A (en) | 1982-02-01 | 1997-07-22 | Northeastern University | Molecular analytical release tags and their use in chemical analysis |
| US5262564A (en) | 1992-10-30 | 1993-11-16 | Octamer, Inc. | Sulfinic acid adducts of organo nitroso compounds useful as retroviral inactivating agents anti-retroviral agents and anti-tumor agents |
| US5756466A (en) | 1994-06-17 | 1998-05-26 | Vertex Pharmaceuticals, Inc. | Inhibitors of interleukin-1β converting enzyme |
| US6057119A (en) | 1994-06-17 | 2000-05-02 | Vertex Pharmaceuticals, Incorporated | Crystal structure and mutants of interleukin-1β converting enzyme |
| US5760041A (en) | 1996-02-05 | 1998-06-02 | American Cyanamid Company | 4-aminoquinazoline EGFR Inhibitors |
| DE69710712T3 (de) | 1996-04-12 | 2010-12-23 | Warner-Lambert Co. Llc | Umkehrbare inhibitoren von tyrosin kinasen |
| DE69737769T2 (de) | 1996-07-25 | 2008-05-15 | Biogen Idec Ma Inc., Cambridge | Molekülmodell für vla-4-inhibitoren |
| US6686350B1 (en) | 1996-07-25 | 2004-02-03 | Biogen, Inc. | Cell adhesion inhibitors |
| DE69732712T2 (de) | 1996-12-06 | 2006-04-13 | Vertex Pharmaceuticals Inc., Cambridge | INHIBITOREN DES INTERLEUKIN-1beta KONVERTIERENDEN ENZYMS |
| US6002008A (en) | 1997-04-03 | 1999-12-14 | American Cyanamid Company | Substituted 3-cyano quinolines |
| ZA986732B (en) | 1997-07-29 | 1999-02-02 | Warner Lambert Co | Irreversible inhibitiors of tyrosine kinases |
| US6251912B1 (en) | 1997-08-01 | 2001-06-26 | American Cyanamid Company | Substituted quinazoline derivatives |
| US6162613A (en) | 1998-02-18 | 2000-12-19 | Vertex Pharmaceuticals, Inc. | Methods for designing inhibitors of serine/threonine-kinases and tyrosine kinases |
| US7383135B1 (en) | 1998-05-04 | 2008-06-03 | Vertex Pharmaceuticals Incorporated | Methods of designing inhibitors for JNK kinases |
| US6335155B1 (en) | 1998-06-26 | 2002-01-01 | Sunesis Pharmaceuticals, Inc. | Methods for rapidly identifying small organic molecule ligands for binding to biological target molecules |
| US6919178B2 (en) | 2000-11-21 | 2005-07-19 | Sunesis Pharmaceuticals, Inc. | Extended tethering approach for rapid identification of ligands |
| JP2002525382A (ja) | 1998-09-25 | 2002-08-13 | ザ チルドレンズ メディカル センター コーポレイション | プロテインキナーゼの活性を選択的に調節するショートペプチド |
| US6288082B1 (en) | 1998-09-29 | 2001-09-11 | American Cyanamid Company | Substituted 3-cyanoquinolines |
| JP3687900B2 (ja) | 1998-11-19 | 2005-08-24 | ワーナー−ランバート・カンパニー、リミテッド、ライアビリティ、カンパニー | チロシンキナーゼの不可逆的阻害剤であるn−[4−(3−クロロ−4−フルオロフェニルアミノ)−7−(3−モルホリン−4−イルプロポキシ)キナゾリン−6−イル]アクリルアミド |
| WO2000078812A1 (en) | 1999-06-17 | 2000-12-28 | Source Precision Medicine, Inc. | Method and compounds for inhibiting activity of serine elastases |
| US6420364B1 (en) | 1999-09-13 | 2002-07-16 | Boehringer Ingelheim Pharmaceuticals, Inc. | Compound useful as reversible inhibitors of cysteine proteases |
| CA2369502A1 (en) | 2000-02-05 | 2001-08-09 | Vertex Pharmaceuticals Incorporated | Compositions useful as inhibitors of erk |
| US6384051B1 (en) | 2000-03-13 | 2002-05-07 | American Cyanamid Company | Method of treating or inhibiting colonic polyps |
| CA2417500C (en) | 2000-07-28 | 2008-11-18 | Georgetown University Medical Center | Erbb-2 selective small molecule kinase inhibitors |
| CN102250071A (zh) | 2000-12-21 | 2011-11-23 | 沃泰克斯药物股份有限公司 | 可用作蛋白激酶抑制剂的吡唑化合物 |
| US7235576B1 (en) | 2001-01-12 | 2007-06-26 | Bayer Pharmaceuticals Corporation | Omega-carboxyaryl substituted diphenyl ureas as raf kinase inhibitors |
| IL144583A0 (en) | 2001-07-26 | 2002-05-23 | Peptor Ltd | Chimeric protein kinase inhibitors |
| NZ532579A (en) | 2001-11-21 | 2006-11-30 | Sunesis Pharmaceuticals Inc | Methods for ligand discovery based on tethering process |
| WO2003064406A1 (en) | 2002-01-07 | 2003-08-07 | Sequoia Pharmaceuticals | Resistance-repellent retroviral protease inhibitors |
| EP1579186A4 (en) | 2002-03-21 | 2008-10-08 | Sunesis Pharmaceuticals Inc | IDENTIFYING KINASE INHIBITORS |
| GB0213186D0 (en) * | 2002-06-08 | 2002-07-17 | Univ Dundee | Methods |
| MY141867A (en) | 2002-06-20 | 2010-07-16 | Vertex Pharma | Substituted pyrimidines useful as protein kinase inhibitors |
| PE20040945A1 (es) | 2003-02-05 | 2004-12-14 | Warner Lambert Co | Preparacion de quinazolinas substituidas |
| AU2004210972A1 (en) | 2003-02-11 | 2004-08-26 | Immusol Incorporated | siRNA libraries optimized for predetermined protein families |
| CA2516627A1 (en) | 2003-02-28 | 2004-09-16 | Bayer Pharmaceuticals Corporation | Substituted pyridine derivatives useful in the treatment of cancer and other disorders |
| ES2357288T3 (es) | 2003-02-28 | 2011-04-25 | Bayer Healthcare Llc | Derivados de 2-oxo-1,3,5-perhidrotriazapina útiles en el tratamiento de angiogénesis hiperproliferativa y trastornos inflamatorios. |
| UY28213A1 (es) | 2003-02-28 | 2004-09-30 | Bayer Pharmaceuticals Corp | Nuevos derivados de cianopiridina útiles en el tratamiento de cáncer y otros trastornos. |
| WO2004087059A2 (en) | 2003-03-26 | 2004-10-14 | The University Of Texas | Covalent attachment of ligands to nucleophilic proteins guided by non-covalent binding |
| WO2007038613A2 (en) | 2005-09-26 | 2007-04-05 | The Regents Of The University Of California | Selective serine/threonine kinase inhibitors |
| WO2005000197A2 (en) | 2003-04-11 | 2005-01-06 | The Regents Of The University Of California | Selective serine/threonine kinase inhibitors |
| DK1636585T3 (da) | 2003-05-20 | 2008-05-26 | Bayer Pharmaceuticals Corp | Diarylurinstoffer med kinasehæmmende aktivitet |
| CA2533126A1 (en) | 2003-08-01 | 2005-03-03 | Wyeth Holdings Corporation | Use of combination of an epidermal growth factor receptor kinase inhibitor and cytotoxic agents for treatment and inhibition of cancer |
| GB0321710D0 (en) | 2003-09-16 | 2003-10-15 | Novartis Ag | Organic compounds |
| CA2539064A1 (en) | 2003-09-17 | 2005-04-21 | Sunesis Pharmaceuticals, Inc. | Identification of kinase inhibitors |
| WO2005043118A2 (en) | 2003-10-27 | 2005-05-12 | Vertex Pharmaceuticals Incorporated | Drug discovery method |
| CN1960728A (zh) | 2004-01-16 | 2007-05-09 | 密歇根大学董事会 | 构象受限的smac模拟物及其应用 |
| RU2006131045A (ru) | 2004-01-30 | 2008-03-10 | Мерк Патент ГмбХ (DE) | Производные бисарилмочевины |
| US20070299092A1 (en) | 2004-05-20 | 2007-12-27 | Wyeth | Quinone Substituted Quinazoline and Quinoline Kinase Inhibitors |
| US20080268460A1 (en) | 2004-05-20 | 2008-10-30 | Wyeth | Assays to Identify Irreversibly Binding Inhibitors of Receptor Tyrosine Kinases |
| US7521457B2 (en) | 2004-08-20 | 2009-04-21 | Boehringer Ingelheim International Gmbh | Pyrimidines as PLK inhibitors |
| CA2581375A1 (en) | 2004-09-27 | 2006-04-06 | Kosan Biosciences Incorporated | Specific kinase inhibitors |
| EP1799669A1 (en) | 2004-10-13 | 2007-06-27 | Merck Patent GmbH | Heterocyclic substituted bisarylurea derivatives as kinase inhibitors |
| KR101313702B1 (ko) | 2005-02-03 | 2013-10-04 | 와이어쓰 | 제피티니브 및/또는 에를로티니브 내성암 치료용 약제학적 조성물 |
| MX2007012662A (es) | 2005-04-14 | 2008-04-04 | Wyeth Corp | Uso de un inhibidor de la cinasa del receptor del factor de crecimiento epidermico (egfr) en pacientes resistentes al gefitinib. |
| TW200716132A (en) | 2005-05-03 | 2007-05-01 | Smithkline Beecham Corp | Novel chemical compounds |
| GB0509224D0 (en) | 2005-05-05 | 2005-06-15 | Chroma Therapeutics Ltd | Inhibitors of intracellular enzymatic activity |
| EP3530290A1 (en) | 2005-05-05 | 2019-08-28 | GlaxoSmithKline Intellectual Property Development Limited | Alpha aminoacid ester-drug conjugates hydrolysable by carboxylesterase |
| MX2007014920A (es) | 2005-05-27 | 2008-04-09 | Bayer Healthcare Ag | Politerapia que comprende diarilureas para el tratamiento de enfermedades. |
| HUE028987T2 (en) | 2005-11-01 | 2017-01-30 | Targegen Inc | Bi-aryl meta-pyrimidine inhibitors of kinases |
| AR056763A1 (es) | 2005-11-03 | 2007-10-24 | Vertex Pharma | Aminopirimidinas sustituidas con tiazol o pirazol,utiles como agentes anticancer y composiciones farmaceuticas que las contienen. |
| WO2007062459A1 (en) | 2005-11-29 | 2007-06-07 | Cytopia Research Pty Ltd | Selective kinase inhibitors based on pyridine scaffold |
| JP2009520038A (ja) | 2005-12-19 | 2009-05-21 | ジェネンテック・インコーポレーテッド | ピリミジンキナーゼインヒビター |
| TW200736232A (en) | 2006-01-26 | 2007-10-01 | Astrazeneca Ab | Pyrimidine derivatives |
| US8017347B2 (en) | 2006-04-07 | 2011-09-13 | Modpro Ab | Binder for C-reactive protein |
| CN101054380B (zh) | 2006-04-13 | 2011-07-20 | 沈阳药科大学 | 用作细胞周期依赖性蛋白激酶抑制剂的吡唑并嘧啶类衍生物 |
| US7601852B2 (en) | 2006-05-11 | 2009-10-13 | Kosan Biosciences Incorporated | Macrocyclic kinase inhibitors |
| AU2007254179B2 (en) | 2006-05-18 | 2013-03-21 | Pharmacyclics Llc | Intracellular kinase inhibitors |
| ES2585902T3 (es) | 2006-09-22 | 2016-10-10 | Pharmacyclics Llc | Inhibidores de tirosina cinasa de Bruton |
| JP5161233B2 (ja) | 2006-10-19 | 2013-03-13 | ライジェル ファーマシューティカルズ, インコーポレイテッド | 自己免疫疾患の処置のためのjakキナーゼの阻害剤としての2,4−ピリミジンアミン誘導体 |
| PL2091918T3 (pl) | 2006-12-08 | 2015-02-27 | Novartis Ag | Związki i kompozycje jako inhibitory kinazy białkowej |
| WO2008079719A1 (en) | 2006-12-19 | 2008-07-03 | Genentech, Inc. | Pyrimidine kinase inhibitors |
| PT2114900T (pt) | 2007-01-31 | 2019-01-17 | Ym Biosciences Australia Pty | Compostos à base de tiopirimidina e as suas utilizações |
| PE20090717A1 (es) | 2007-05-18 | 2009-07-18 | Smithkline Beecham Corp | Derivados de quinolina como inhibidores de la pi3 quinasa |
| EP2152079A4 (en) | 2007-06-04 | 2011-03-09 | Avila Therapeutics Inc | HETEROCYCLIC COMPOUNDS AND USES THEREOF |
| WO2009030890A1 (en) | 2007-09-03 | 2009-03-12 | University Court Of The University Of Dundee | Pyrimidine compounds for the treatment of cancer, septic shock and/or primary open angle glaucoma |
| US7989465B2 (en) | 2007-10-19 | 2011-08-02 | Avila Therapeutics, Inc. | 4,6-disubstituted pyrimidines useful as kinase inhibitors |
| TWI475996B (zh) | 2007-10-19 | 2015-03-11 | Celgene Avilomics Res Inc | 雜芳基化合物及其用途 |
| US8309685B2 (en) | 2007-12-21 | 2012-11-13 | Celgene Avilomics Research, Inc. | HCV protease inhibitors and uses thereof |
| RU2523790C2 (ru) | 2007-12-21 | 2014-07-27 | Авила Терапьютикс, Инк. | Ингибиторы протеазы вируса гепатита с и их применение |
| US8293705B2 (en) | 2007-12-21 | 2012-10-23 | Avila Therapeutics, Inc. | HCV protease inhibitors and uses thereof |
| CA2713388C (en) | 2008-01-14 | 2016-03-29 | William Scott | Sulfone substituted 2,3-dihydroimidazo [1,2-c] quinazoline derivatives useful for treating hyper-proliferative disorders and diseases associated with angiogenesis |
| DK2361248T3 (en) | 2008-06-27 | 2019-01-14 | Celgene Car Llc | Heteroberl compounds and uses thereof |
| US8338439B2 (en) | 2008-06-27 | 2012-12-25 | Celgene Avilomics Research, Inc. | 2,4-disubstituted pyrimidines useful as kinase inhibitors |
| US8188137B2 (en) | 2008-08-15 | 2012-05-29 | Avila Therapeutics, Inc. | HCV protease inhibitors and uses thereof |
| MY156789A (en) | 2008-09-05 | 2016-03-31 | Celgene Avilomics Res Inc | Algorithm for designing irreversible inhibitors |
| US8603737B2 (en) | 2008-09-19 | 2013-12-10 | Celgene Avilomics Research, Inc. | Methods for identifying HCV protease inhibitors |
| WO2011031896A2 (en) | 2009-09-09 | 2011-03-17 | Avila Therapeutics, Inc. | Pi3 kinase inhibitors and uses thereof |
| RU2012114902A (ru) | 2009-09-16 | 2013-10-27 | Авила Терапьютикс, Инк. | Конъюгаты и ингибиторы протеинкиназы |
| CN102812167A (zh) | 2009-12-30 | 2012-12-05 | 阿维拉制药公司 | 蛋白的配体-介导的共价修饰 |
| KR20130099040A (ko) | 2010-08-10 | 2013-09-05 | 셀진 아빌로믹스 리서치, 인코포레이티드 | Btk 억제제의 베실레이트 염 |
-
2010
- 2010-12-30 CN CN2010800649727A patent/CN102812167A/zh active Pending
- 2010-12-30 JP JP2012547291A patent/JP2013516422A/ja not_active Withdrawn
- 2010-12-30 RU RU2012132473/10A patent/RU2012132473A/ru not_active Application Discontinuation
- 2010-12-30 EP EP10841710.6A patent/EP2519664A4/en not_active Withdrawn
- 2010-12-30 TW TW099147132A patent/TW201134825A/zh unknown
- 2010-12-30 AU AU2010339456A patent/AU2010339456A1/en not_active Abandoned
- 2010-12-30 CA CA2785738A patent/CA2785738A1/en not_active Abandoned
- 2010-12-30 WO PCT/US2010/062473 patent/WO2011082285A1/en not_active Ceased
- 2010-12-30 SG SG2012047650A patent/SG181965A1/en unknown
- 2010-12-30 MX MX2012007684A patent/MX2012007684A/es unknown
- 2010-12-30 US US12/982,352 patent/US20110269244A1/en not_active Abandoned
- 2010-12-30 KR KR1020127019873A patent/KR20130067487A/ko not_active Abandoned
- 2010-12-30 BR BR112012015721A patent/BR112012015721A2/pt not_active IP Right Cessation
-
2016
- 2016-05-26 JP JP2016104760A patent/JP2016195596A/ja not_active Withdrawn
- 2016-10-13 AU AU2016244281A patent/AU2016244281A1/en not_active Abandoned
-
2017
- 2017-02-02 US US15/423,115 patent/US11542492B2/en active Active
Patent Citations (4)
| Publication number | Priority date | Publication date | Assignee | Title |
|---|---|---|---|---|
| US20070020684A1 (en) * | 2002-06-21 | 2007-01-25 | Bledsoe Randy K | Structure of a glucocorticoid receptor ligand binding domain comprising an expanded binding pocket and methods employing same |
| US20060174816A1 (en) * | 2002-09-12 | 2006-08-10 | University Of Bath | Crystal structure of an angiotensin-converting enzyme (ace) and uses thereof |
| CN1717396A (zh) * | 2002-11-28 | 2006-01-04 | 舍林股份公司 | Chk-、Pdk-和Akt-抑制嘧啶,其制备及作为药物的用途 |
| US20090306085A1 (en) * | 2007-12-21 | 2009-12-10 | Avila Therapeutics, Inc. | Hcv protease inhibitors and uses thereof |
Cited By (19)
| Publication number | Priority date | Publication date | Assignee | Title |
|---|---|---|---|---|
| CN106488910B (zh) * | 2013-10-10 | 2020-07-31 | 亚瑞克西斯制药公司 | Kras g12c的抑制剂 |
| TWI659021B (zh) * | 2013-10-10 | 2019-05-11 | 亞瑞克西斯製藥公司 | Kras g12c之抑制劑 |
| CN106488910A (zh) * | 2013-10-10 | 2017-03-08 | 亚瑞克西斯制药公司 | Kras g12c的抑制剂 |
| CN107314979A (zh) * | 2016-10-09 | 2017-11-03 | 河南理工大学 | 一种基于罗丹明6g的铜离子传感器、制备及应用 |
| CN110963991A (zh) * | 2018-09-28 | 2020-04-07 | 嘉兴学院 | 一种pi3k抑制剂及其制备方法和应用 |
| CN109721522A (zh) * | 2018-12-29 | 2019-05-07 | 常州吉恩药业有限公司 | 一种高品质n-叔丁氧羰基-l-焦谷氨酸苄酯工业化生产方法 |
| CN111484477A (zh) * | 2019-01-29 | 2020-08-04 | 博瑞生物医药(苏州)股份有限公司 | 一种苯并吡啶酮杂环化合物及其用途 |
| CN111484477B (zh) * | 2019-01-29 | 2022-07-08 | 博瑞生物医药(苏州)股份有限公司 | 一种苯并吡啶酮杂环化合物及其用途 |
| CN114206388A (zh) * | 2019-05-24 | 2022-03-18 | 株式会社糖锁工学研究所 | 新的人工蛋白质催化剂 |
| CN110256322A (zh) * | 2019-06-27 | 2019-09-20 | 济南大学 | 一种合成阿维巴坦关键中间体及其重结晶工艺 |
| CN110256322B (zh) * | 2019-06-27 | 2023-12-15 | 济南大学 | 一种合成阿维巴坦关键中间体及其重结晶工艺 |
| US11998539B2 (en) | 2019-11-28 | 2024-06-04 | Bayer Aktiengesellschaft | Substituted aminoquinolones as DGKalpha inhibitors for immune activation |
| CN115210238A (zh) * | 2019-11-28 | 2022-10-18 | 拜耳公司 | 作为用于免疫激活的DGKα抑制剂的取代的氨基喹诺酮类 |
| US12478621B2 (en) | 2019-11-28 | 2025-11-25 | Deutsches Krebsforschungszentrum | Substituted aminoquinolones as dgkalpha inhibitors for immune activation |
| CN115210238B (zh) * | 2019-11-28 | 2024-08-27 | 拜耳公司 | 作为用于免疫激活的DGKα抑制剂的取代的氨基喹诺酮类 |
| CN114105848A (zh) * | 2021-11-24 | 2022-03-01 | 四川同晟生物医药有限公司 | 一种顺式-d-羟脯氨酸衍生物的制备方法 |
| CN114105848B (zh) * | 2021-11-24 | 2024-01-12 | 四川同晟生物医药有限公司 | 一种顺式-d-羟脯氨酸衍生物的制备方法 |
| WO2023165581A1 (zh) * | 2022-03-03 | 2023-09-07 | 四川汇宇制药股份有限公司 | 一种吡啶类衍生物及其用途 |
| WO2024109233A1 (zh) * | 2022-11-22 | 2024-05-30 | 四川汇宇制药股份有限公司 | 一种嘧啶并芳环化合物及其制备方法和用途 |
Also Published As
| Publication number | Publication date |
|---|---|
| CA2785738A1 (en) | 2011-07-07 |
| KR20130067487A (ko) | 2013-06-25 |
| JP2013516422A (ja) | 2013-05-13 |
| US20110269244A1 (en) | 2011-11-03 |
| BR112012015721A2 (pt) | 2017-09-26 |
| JP2016195596A (ja) | 2016-11-24 |
| US11542492B2 (en) | 2023-01-03 |
| TW201134825A (en) | 2011-10-16 |
| SG181965A1 (en) | 2012-08-30 |
| EP2519664A1 (en) | 2012-11-07 |
| MX2012007684A (es) | 2012-10-05 |
| EP2519664A4 (en) | 2014-03-12 |
| WO2011082285A1 (en) | 2011-07-07 |
| AU2016244281A1 (en) | 2016-11-03 |
| AU2010339456A1 (en) | 2012-07-05 |
| US20170218353A1 (en) | 2017-08-03 |
| RU2012132473A (ru) | 2014-02-10 |
Similar Documents
| Publication | Publication Date | Title |
|---|---|---|
| CN102812167A (zh) | 蛋白的配体-介导的共价修饰 | |
| TWI790704B (zh) | 含腈之抗病毒化合物類 | |
| CN109952303B (zh) | Tyk2抑制剂及其用途 | |
| CN101594871B (zh) | 吡咯并嘧啶化合物及其用途 | |
| ES2607083T3 (es) | Derivados de 5,6-dihidro-2H-[1,4]oxazin-3-ilamina útiles como inhibidores de beta-secretasa (BACE) | |
| JP2025000987A (ja) | Irak分解剤およびそれらの使用 | |
| TWI744225B (zh) | 酪胺酸蛋白質激酶2(tyk2)抑制劑及其用途 | |
| CN104703979B (zh) | 杂环化合物及其应用 | |
| EP2424368B1 (en) | Pyrrolotriazine compounds | |
| RU2703301C2 (ru) | Соединения гетероарила в качестве ингибиторов btk и их применение | |
| CN115052627A (zh) | Irak降解剂和其用途 | |
| JP5752232B2 (ja) | プロテインキナーゼ阻害剤としての置換ピロロトリアジン化合物 | |
| CN109476645A (zh) | 作为vanin-1酶抑制剂的新的嘧啶甲酰胺 | |
| DK2947086T3 (en) | UNKNOWN CONDENSED PYRIMIDINE COMPOUND OR SALT THEREOF | |
| CN117946114A (zh) | Tyk2抑制剂与其用途 | |
| CN109790143A (zh) | 用于靶蛋白降解的胺连接的c3-戊二酰亚胺降解决定子体 | |
| CN101321763A (zh) | 作为蛋白激酶抑制剂的吡唑并[1,5-a]嘧啶 | |
| TW202136242A (zh) | Smarca降解劑及其用途 | |
| CN109641874A (zh) | 用于靶蛋白降解的c3-碳连接的戊二酰亚胺降解决定子体 | |
| MX2010014029A (es) | Compuestos de heteroarilo y usos de los mismos. | |
| CN101883774A (zh) | 噻吩并嘧啶和吡唑并嘧啶化合物及其用作mtor激酶和pi3激酶抑制剂的用途 | |
| CA2907243A1 (en) | Substituted dihydropyrimidopyrimidinone compounds and pharmaceutical compositions thereof use fgfr4 inhibitor | |
| MX2010008269A (es) | Inhibidores de hsp90. | |
| CN103122001A (zh) | Polo样激酶抑制剂 | |
| AU2015214366A1 (en) | 6-heteroaryloxy- and 6-aryloxy-quinoline-2-carboxamides and uses thereof |
Legal Events
| Date | Code | Title | Description |
|---|---|---|---|
| C06 | Publication | ||
| PB01 | Publication | ||
| C53 | Correction of patent of invention or patent application | ||
| CB02 | Change of applicant information |
Address after: Massachusetts, USA Applicant after: Cell gene averio Meeks research Address before: Massachusetts, USA Applicant before: Avila Therapeutics Inc. |
|
| COR | Change of bibliographic data |
Free format text: CORRECT: APPLICANT; FROM: AVILA THERAPEUTICS INC. TO: CELL GENE AVEIRO MEEKS RESEARCH INC. |
|
| C10 | Entry into substantive examination | ||
| SE01 | Entry into force of request for substantive examination | ||
| WD01 | Invention patent application deemed withdrawn after publication | ||
| WD01 | Invention patent application deemed withdrawn after publication |
Application publication date: 20121205 |



































































































































































































































































































































































































































































































































































































































































































