CN102408408A - 具有抗肿瘤作用的芳基脲衍生物 - Google Patents
具有抗肿瘤作用的芳基脲衍生物 Download PDFInfo
- Publication number
- CN102408408A CN102408408A CN2010102888211A CN201010288821A CN102408408A CN 102408408 A CN102408408 A CN 102408408A CN 2010102888211 A CN2010102888211 A CN 2010102888211A CN 201010288821 A CN201010288821 A CN 201010288821A CN 102408408 A CN102408408 A CN 102408408A
- Authority
- CN
- China
- Prior art keywords
- phenyl
- methyl
- trifluoromethyl
- urea
- pyridyloxy
- Prior art date
- Legal status (The legal status is an assumption and is not a legal conclusion. Google has not performed a legal analysis and makes no representation as to the accuracy of the status listed.)
- Pending
Links
- -1 Aryl urea derivative Chemical class 0.000 title claims abstract description 93
- 230000000259 anti-tumor effect Effects 0.000 title description 2
- 150000001875 compounds Chemical class 0.000 claims abstract description 116
- 239000003814 drug Substances 0.000 claims abstract description 20
- 125000001424 substituent group Chemical group 0.000 claims abstract description 12
- XSQUKJJJFZCRTK-UHFFFAOYSA-N Urea Chemical compound NC(N)=O XSQUKJJJFZCRTK-UHFFFAOYSA-N 0.000 claims description 142
- 239000004202 carbamide Substances 0.000 claims description 77
- 239000007787 solid Substances 0.000 claims description 61
- 239000002994 raw material Substances 0.000 claims description 59
- 238000006243 chemical reaction Methods 0.000 claims description 46
- 235000002639 sodium chloride Nutrition 0.000 claims description 34
- 150000003839 salts Chemical class 0.000 claims description 33
- 239000000460 chlorine Chemical group 0.000 claims description 26
- 229910052801 chlorine Inorganic materials 0.000 claims description 26
- XLYOFNOQVPJJNP-UHFFFAOYSA-N water Substances O XLYOFNOQVPJJNP-UHFFFAOYSA-N 0.000 claims description 25
- 229910052731 fluorine Inorganic materials 0.000 claims description 20
- 239000011737 fluorine Chemical group 0.000 claims description 20
- 239000001257 hydrogen Substances 0.000 claims description 20
- 229910052739 hydrogen Inorganic materials 0.000 claims description 20
- 238000002360 preparation method Methods 0.000 claims description 20
- WKBOTKDWSSQWDR-UHFFFAOYSA-N Bromine atom Chemical group [Br] WKBOTKDWSSQWDR-UHFFFAOYSA-N 0.000 claims description 18
- ZAMOUSCENKQFHK-UHFFFAOYSA-N Chlorine atom Chemical group [Cl] ZAMOUSCENKQFHK-UHFFFAOYSA-N 0.000 claims description 18
- PXGOKWXKJXAPGV-UHFFFAOYSA-N Fluorine Chemical group FF PXGOKWXKJXAPGV-UHFFFAOYSA-N 0.000 claims description 18
- JUJWROOIHBZHMG-UHFFFAOYSA-N Pyridine Chemical compound C1=CC=NC=C1 JUJWROOIHBZHMG-UHFFFAOYSA-N 0.000 claims description 18
- GDTBXPJZTBHREO-UHFFFAOYSA-N bromine Chemical group BrBr GDTBXPJZTBHREO-UHFFFAOYSA-N 0.000 claims description 18
- 229910052794 bromium Inorganic materials 0.000 claims description 18
- 125000002887 hydroxy group Chemical group [H]O* 0.000 claims description 18
- PNDPGZBMCMUPRI-UHFFFAOYSA-N iodine Chemical group II PNDPGZBMCMUPRI-UHFFFAOYSA-N 0.000 claims description 18
- 150000002148 esters Chemical class 0.000 claims description 17
- IJGRMHOSHXDMSA-UHFFFAOYSA-N Atomic nitrogen Chemical compound N#N IJGRMHOSHXDMSA-UHFFFAOYSA-N 0.000 claims description 16
- 150000002431 hydrogen Chemical group 0.000 claims description 16
- 229910052799 carbon Inorganic materials 0.000 claims description 14
- 125000004432 carbon atom Chemical group C* 0.000 claims description 14
- 125000004433 nitrogen atom Chemical group N* 0.000 claims description 14
- IAZDPXIOMUYVGZ-UHFFFAOYSA-N Dimethylsulphoxide Chemical compound CS(C)=O IAZDPXIOMUYVGZ-UHFFFAOYSA-N 0.000 claims description 13
- 125000004178 (C1-C4) alkyl group Chemical group 0.000 claims description 12
- 125000000229 (C1-C4)alkoxy group Chemical group 0.000 claims description 12
- 238000003756 stirring Methods 0.000 claims description 12
- ZZPNDIHOQDQVNU-UHFFFAOYSA-N 2-hydroxy-4,4,5,5-tetramethyl-1,3,2-dioxaborolane Chemical compound CC1(C)OB(O)OC1(C)C ZZPNDIHOQDQVNU-UHFFFAOYSA-N 0.000 claims description 11
- YMWUJEATGCHHMB-UHFFFAOYSA-N Dichloromethane Chemical compound ClCCl YMWUJEATGCHHMB-UHFFFAOYSA-N 0.000 claims description 10
- NINIDFKCEFEMDL-UHFFFAOYSA-N Sulfur Chemical group [S] NINIDFKCEFEMDL-UHFFFAOYSA-N 0.000 claims description 10
- 229960001760 dimethyl sulfoxide Drugs 0.000 claims description 10
- QTBSBXVTEAMEQO-UHFFFAOYSA-M Acetate Chemical compound CC([O-])=O QTBSBXVTEAMEQO-UHFFFAOYSA-M 0.000 claims description 9
- 239000012044 organic layer Substances 0.000 claims description 9
- 238000005406 washing Methods 0.000 claims description 9
- 125000001309 chloro group Chemical group Cl* 0.000 claims description 8
- 125000000623 heterocyclic group Chemical group 0.000 claims description 8
- 239000010410 layer Substances 0.000 claims description 8
- 229910052757 nitrogen Inorganic materials 0.000 claims description 8
- UMJSCPRVCHMLSP-UHFFFAOYSA-N pyridine Natural products COC1=CC=CN=C1 UMJSCPRVCHMLSP-UHFFFAOYSA-N 0.000 claims description 8
- CWLKGDAVCFYWJK-UHFFFAOYSA-N 3-aminophenol Chemical compound NC1=CC=CC(O)=C1 CWLKGDAVCFYWJK-UHFFFAOYSA-N 0.000 claims description 7
- FAPWRFPIFSIZLT-UHFFFAOYSA-M Sodium chloride Chemical class [Na+].[Cl-] FAPWRFPIFSIZLT-UHFFFAOYSA-M 0.000 claims description 7
- 239000002904 solvent Substances 0.000 claims description 7
- 229940018563 3-aminophenol Drugs 0.000 claims description 6
- XEKOWRVHYACXOJ-UHFFFAOYSA-N Ethyl acetate Chemical compound CCOC(C)=O XEKOWRVHYACXOJ-UHFFFAOYSA-N 0.000 claims description 6
- PMZURENOXWZQFD-UHFFFAOYSA-L Sodium Sulfate Chemical compound [Na+].[Na+].[O-]S([O-])(=O)=O PMZURENOXWZQFD-UHFFFAOYSA-L 0.000 claims description 6
- 238000004440 column chromatography Methods 0.000 claims description 6
- 238000001035 drying Methods 0.000 claims description 6
- 229910052736 halogen Inorganic materials 0.000 claims description 6
- 150000002367 halogens Chemical group 0.000 claims description 6
- 238000000746 purification Methods 0.000 claims description 6
- YGYAWVDWMABLBF-UHFFFAOYSA-N Phosgene Chemical compound ClC(Cl)=O YGYAWVDWMABLBF-UHFFFAOYSA-N 0.000 claims description 5
- 201000010099 disease Diseases 0.000 claims description 5
- 208000037265 diseases, disorders, signs and symptoms Diseases 0.000 claims description 5
- 238000003810 ethyl acetate extraction Methods 0.000 claims description 5
- UFHFLCQGNIYNRP-UHFFFAOYSA-N Hydrogen Chemical compound [H][H] UFHFLCQGNIYNRP-UHFFFAOYSA-N 0.000 claims description 4
- 210000003734 kidney Anatomy 0.000 claims description 4
- 125000002496 methyl group Chemical group [H]C([H])([H])* 0.000 claims description 4
- BWHMMNNQKKPAPP-UHFFFAOYSA-L potassium carbonate Substances [K+].[K+].[O-]C([O-])=O BWHMMNNQKKPAPP-UHFFFAOYSA-L 0.000 claims description 4
- 125000002924 primary amino group Chemical group [H]N([H])* 0.000 claims description 4
- 150000003222 pyridines Chemical class 0.000 claims description 4
- UCPYLLCMEDAXFR-UHFFFAOYSA-N triphosgene Chemical compound ClC(Cl)(Cl)OC(=O)OC(Cl)(Cl)Cl UCPYLLCMEDAXFR-UHFFFAOYSA-N 0.000 claims description 4
- DGRVQOKCSKDWIH-UHFFFAOYSA-N 1-chloro-2-(trifluoromethyl)benzene Chemical compound FC(F)(F)C1=CC=CC=C1Cl DGRVQOKCSKDWIH-UHFFFAOYSA-N 0.000 claims description 3
- BCTPVUQMECORDL-UHFFFAOYSA-N 3-[2-(1-methylpyrazol-4-yl)pyridin-4-yl]oxyaniline Chemical compound C1=NN(C)C=C1C1=CC(OC=2C=C(N)C=CC=2)=CC=N1 BCTPVUQMECORDL-UHFFFAOYSA-N 0.000 claims description 3
- 206010000830 Acute leukaemia Diseases 0.000 claims description 3
- 206010006187 Breast cancer Diseases 0.000 claims description 3
- 208000026310 Breast neoplasm Diseases 0.000 claims description 3
- 208000017897 Carcinoma of esophagus Diseases 0.000 claims description 3
- 206010009944 Colon cancer Diseases 0.000 claims description 3
- 208000001333 Colorectal Neoplasms Diseases 0.000 claims description 3
- 206010017993 Gastrointestinal neoplasms Diseases 0.000 claims description 3
- 206010027406 Mesothelioma Diseases 0.000 claims description 3
- 201000003793 Myelodysplastic syndrome Diseases 0.000 claims description 3
- 206010030155 Oesophageal carcinoma Diseases 0.000 claims description 3
- 206010033128 Ovarian cancer Diseases 0.000 claims description 3
- 206010061535 Ovarian neoplasm Diseases 0.000 claims description 3
- 206010060862 Prostate cancer Diseases 0.000 claims description 3
- 208000000236 Prostatic Neoplasms Diseases 0.000 claims description 3
- 208000033781 Thyroid carcinoma Diseases 0.000 claims description 3
- 208000024770 Thyroid neoplasm Diseases 0.000 claims description 3
- 201000010989 colorectal carcinoma Diseases 0.000 claims description 3
- 201000005619 esophageal carcinoma Diseases 0.000 claims description 3
- 208000021045 exocrine pancreatic carcinoma Diseases 0.000 claims description 3
- 201000007270 liver cancer Diseases 0.000 claims description 3
- 208000014018 liver neoplasm Diseases 0.000 claims description 3
- 201000001441 melanoma Diseases 0.000 claims description 3
- 208000002154 non-small cell lung carcinoma Diseases 0.000 claims description 3
- 235000015320 potassium carbonate Nutrition 0.000 claims description 3
- LPNYRYFBWFDTMA-UHFFFAOYSA-N potassium tert-butoxide Chemical compound [K+].CC(C)(C)[O-] LPNYRYFBWFDTMA-UHFFFAOYSA-N 0.000 claims description 3
- 201000000849 skin cancer Diseases 0.000 claims description 3
- 201000008261 skin carcinoma Diseases 0.000 claims description 3
- 238000010025 steaming Methods 0.000 claims description 3
- 201000002510 thyroid cancer Diseases 0.000 claims description 3
- 208000013077 thyroid gland carcinoma Diseases 0.000 claims description 3
- RIOQSEWOXXDEQQ-UHFFFAOYSA-N triphenylphosphine Chemical compound C1=CC=CC=C1P(C=1C=CC=CC=1)C1=CC=CC=C1 RIOQSEWOXXDEQQ-UHFFFAOYSA-N 0.000 claims description 3
- 208000029729 tumor suppressor gene on chromosome 11 Diseases 0.000 claims description 3
- FGSAQRJRWCZLOB-UHFFFAOYSA-N 2-chloro-4-fluoropyridine Chemical compound FC1=CC=NC(Cl)=C1 FGSAQRJRWCZLOB-UHFFFAOYSA-N 0.000 claims description 2
- ASPDJZINBYYZRU-UHFFFAOYSA-N 5-amino-2-chlorobenzotrifluoride Chemical compound NC1=CC=C(Cl)C(C(F)(F)F)=C1 ASPDJZINBYYZRU-UHFFFAOYSA-N 0.000 claims description 2
- 238000006069 Suzuki reaction reaction Methods 0.000 claims description 2
- 230000004913 activation Effects 0.000 claims description 2
- 230000015572 biosynthetic process Effects 0.000 claims description 2
- 125000002915 carbonyl group Chemical group [*:2]C([*:1])=O 0.000 claims description 2
- 230000006837 decompression Effects 0.000 claims description 2
- 239000005457 ice water Substances 0.000 claims description 2
- 150000002500 ions Chemical class 0.000 claims description 2
- 239000012074 organic phase Substances 0.000 claims description 2
- JXEGOWDFMYCJIA-UHFFFAOYSA-N phenyl formate hydrochloride Chemical compound Cl.O=COC1=CC=CC=C1 JXEGOWDFMYCJIA-UHFFFAOYSA-N 0.000 claims description 2
- 238000010992 reflux Methods 0.000 claims description 2
- 238000006467 substitution reaction Methods 0.000 claims description 2
- 238000003786 synthesis reaction Methods 0.000 claims description 2
- 239000003960 organic solvent Substances 0.000 claims 1
- 238000000034 method Methods 0.000 abstract description 57
- 206010028980 Neoplasm Diseases 0.000 abstract description 25
- 229940079593 drug Drugs 0.000 abstract description 11
- 229940123690 Raf kinase inhibitor Drugs 0.000 abstract 1
- 102000051624 phosphatidylethanolamine binding protein Human genes 0.000 abstract 1
- 108700021017 phosphatidylethanolamine binding protein Proteins 0.000 abstract 1
- 235000013877 carbamide Nutrition 0.000 description 68
- 239000000047 product Substances 0.000 description 58
- 230000002194 synthesizing effect Effects 0.000 description 39
- 238000005481 NMR spectroscopy Methods 0.000 description 27
- 239000000243 solution Substances 0.000 description 19
- PAYRUJLWNCNPSJ-UHFFFAOYSA-N Aniline Chemical compound NC1=CC=CC=C1 PAYRUJLWNCNPSJ-UHFFFAOYSA-N 0.000 description 16
- 241000699666 Mus <mouse, genus> Species 0.000 description 12
- 239000003795 chemical substances by application Substances 0.000 description 12
- 230000000694 effects Effects 0.000 description 9
- 239000000463 material Substances 0.000 description 9
- 239000000203 mixture Substances 0.000 description 9
- 238000005160 1H NMR spectroscopy Methods 0.000 description 8
- 230000037396 body weight Effects 0.000 description 8
- 230000012010 growth Effects 0.000 description 8
- 210000004072 lung Anatomy 0.000 description 8
- 108010077182 raf Kinases Proteins 0.000 description 8
- 102000009929 raf Kinases Human genes 0.000 description 8
- 238000007920 subcutaneous administration Methods 0.000 description 8
- LFQSCWFLJHTTHZ-UHFFFAOYSA-N Ethanol Chemical compound CCO LFQSCWFLJHTTHZ-UHFFFAOYSA-N 0.000 description 7
- 210000004027 cell Anatomy 0.000 description 7
- 239000003921 oil Substances 0.000 description 7
- 235000019198 oils Nutrition 0.000 description 7
- 108091000080 Phosphotransferase Proteins 0.000 description 6
- 102000020233 phosphotransferase Human genes 0.000 description 6
- 235000013599 spices Nutrition 0.000 description 6
- 239000000725 suspension Substances 0.000 description 6
- 239000002253 acid Substances 0.000 description 5
- 201000011510 cancer Diseases 0.000 description 5
- 230000003203 everyday effect Effects 0.000 description 5
- 238000002347 injection Methods 0.000 description 5
- 239000007924 injection Substances 0.000 description 5
- 102000016914 ras Proteins Human genes 0.000 description 5
- 108010014186 ras Proteins Proteins 0.000 description 5
- XJPZKYIHCLDXST-UHFFFAOYSA-N 4,6-dichloropyrimidine Chemical compound ClC1=CC(Cl)=NC=N1 XJPZKYIHCLDXST-UHFFFAOYSA-N 0.000 description 4
- CZPWVGJYEJSRLH-UHFFFAOYSA-N Pyrimidine Chemical compound C1=CN=CN=C1 CZPWVGJYEJSRLH-UHFFFAOYSA-N 0.000 description 4
- CDBYLPFSWZWCQE-UHFFFAOYSA-L Sodium Carbonate Chemical compound [Na+].[Na+].[O-]C([O-])=O CDBYLPFSWZWCQE-UHFFFAOYSA-L 0.000 description 4
- 239000007859 condensation product Substances 0.000 description 4
- 230000005764 inhibitory process Effects 0.000 description 4
- 239000007788 liquid Substances 0.000 description 4
- 239000008194 pharmaceutical composition Substances 0.000 description 4
- 230000019491 signal transduction Effects 0.000 description 4
- 239000003981 vehicle Substances 0.000 description 4
- WRIDQFICGBMAFQ-UHFFFAOYSA-N (E)-8-Octadecenoic acid Natural products CCCCCCCCCC=CCCCCCCC(O)=O WRIDQFICGBMAFQ-UHFFFAOYSA-N 0.000 description 3
- LQJBNNIYVWPHFW-UHFFFAOYSA-N 20:1omega9c fatty acid Natural products CCCCCCCCCCC=CCCCCCCCC(O)=O LQJBNNIYVWPHFW-UHFFFAOYSA-N 0.000 description 3
- QSBYPNXLFMSGKH-UHFFFAOYSA-N 9-Heptadecensaeure Natural products CCCCCCCC=CCCCCCCCC(O)=O QSBYPNXLFMSGKH-UHFFFAOYSA-N 0.000 description 3
- 102100020870 La-related protein 6 Human genes 0.000 description 3
- 108050008265 La-related protein 6 Proteins 0.000 description 3
- 239000005642 Oleic acid Substances 0.000 description 3
- ZQPPMHVWECSIRJ-UHFFFAOYSA-N Oleic acid Natural products CCCCCCCCC=CCCCCCCCC(O)=O ZQPPMHVWECSIRJ-UHFFFAOYSA-N 0.000 description 3
- NBIIXXVUZAFLBC-UHFFFAOYSA-N Phosphoric acid Chemical compound OP(O)(O)=O NBIIXXVUZAFLBC-UHFFFAOYSA-N 0.000 description 3
- KYIKRXIYLAGAKQ-UHFFFAOYSA-N abcn Chemical compound C1CCCCC1(C#N)N=NC1(C#N)CCCCC1 KYIKRXIYLAGAKQ-UHFFFAOYSA-N 0.000 description 3
- UHOVQNZJYSORNB-UHFFFAOYSA-N benzene Substances C1=CC=CC=C1 UHOVQNZJYSORNB-UHFFFAOYSA-N 0.000 description 3
- 230000008859 change Effects 0.000 description 3
- 239000006185 dispersion Substances 0.000 description 3
- 238000005516 engineering process Methods 0.000 description 3
- 238000002474 experimental method Methods 0.000 description 3
- 238000009472 formulation Methods 0.000 description 3
- 230000002401 inhibitory effect Effects 0.000 description 3
- QXJSBBXBKPUZAA-UHFFFAOYSA-N isooleic acid Natural products CCCCCCCC=CCCCCCCCCC(O)=O QXJSBBXBKPUZAA-UHFFFAOYSA-N 0.000 description 3
- 150000002632 lipids Chemical class 0.000 description 3
- ZQPPMHVWECSIRJ-KTKRTIGZSA-N oleic acid Chemical compound CCCCCCCC\C=C/CCCCCCCC(O)=O ZQPPMHVWECSIRJ-KTKRTIGZSA-N 0.000 description 3
- 239000000546 pharmaceutical excipient Substances 0.000 description 3
- 108090000623 proteins and genes Proteins 0.000 description 3
- 210000000664 rectum Anatomy 0.000 description 3
- 239000000126 substance Substances 0.000 description 3
- 239000000375 suspending agent Substances 0.000 description 3
- 239000000080 wetting agent Substances 0.000 description 3
- YBJHBAHKTGYVGT-ZKWXMUAHSA-N (+)-Biotin Chemical compound N1C(=O)N[C@@H]2[C@H](CCCCC(=O)O)SC[C@@H]21 YBJHBAHKTGYVGT-ZKWXMUAHSA-N 0.000 description 2
- VBICKXHEKHSIBG-UHFFFAOYSA-N 1-monostearoylglycerol Chemical compound CCCCCCCCCCCCCCCCCC(=O)OCC(O)CO VBICKXHEKHSIBG-UHFFFAOYSA-N 0.000 description 2
- 244000215068 Acacia senegal Species 0.000 description 2
- 235000006491 Acacia senegal Nutrition 0.000 description 2
- QTBSBXVTEAMEQO-UHFFFAOYSA-N Acetic acid Chemical compound CC(O)=O QTBSBXVTEAMEQO-UHFFFAOYSA-N 0.000 description 2
- 235000017060 Arachis glabrata Nutrition 0.000 description 2
- 244000105624 Arachis hypogaea Species 0.000 description 2
- 235000010777 Arachis hypogaea Nutrition 0.000 description 2
- 235000018262 Arachis monticola Nutrition 0.000 description 2
- SZQCPPRPWDXLMM-UHFFFAOYSA-N Cc1c[n](C)nc1 Chemical compound Cc1c[n](C)nc1 SZQCPPRPWDXLMM-UHFFFAOYSA-N 0.000 description 2
- LYCAIKOWRPUZTN-UHFFFAOYSA-N Ethylene glycol Chemical compound OCCO LYCAIKOWRPUZTN-UHFFFAOYSA-N 0.000 description 2
- PEDCQBHIVMGVHV-UHFFFAOYSA-N Glycerine Chemical compound OCC(O)CO PEDCQBHIVMGVHV-UHFFFAOYSA-N 0.000 description 2
- VEXZGXHMUGYJMC-UHFFFAOYSA-N Hydrochloric acid Chemical compound Cl VEXZGXHMUGYJMC-UHFFFAOYSA-N 0.000 description 2
- CPELXLSAUQHCOX-UHFFFAOYSA-N Hydrogen bromide Chemical compound Br CPELXLSAUQHCOX-UHFFFAOYSA-N 0.000 description 2
- 208000008839 Kidney Neoplasms Diseases 0.000 description 2
- 206010027476 Metastases Diseases 0.000 description 2
- 108700020796 Oncogene Proteins 0.000 description 2
- 235000019483 Peanut oil Nutrition 0.000 description 2
- 102100026547 Platelet-derived growth factor receptor beta Human genes 0.000 description 2
- LCTONWCANYUPML-UHFFFAOYSA-N Pyruvic acid Chemical compound CC(=O)C(O)=O LCTONWCANYUPML-UHFFFAOYSA-N 0.000 description 2
- 206010038389 Renal cancer Diseases 0.000 description 2
- 229930006000 Sucrose Natural products 0.000 description 2
- CZMRCDWAGMRECN-UGDNZRGBSA-N Sucrose Chemical compound O[C@H]1[C@H](O)[C@@H](CO)O[C@@]1(CO)O[C@@H]1[C@H](O)[C@@H](O)[C@H](O)[C@@H](CO)O1 CZMRCDWAGMRECN-UGDNZRGBSA-N 0.000 description 2
- QAOWNCQODCNURD-UHFFFAOYSA-N Sulfuric acid Chemical compound OS(O)(=O)=O QAOWNCQODCNURD-UHFFFAOYSA-N 0.000 description 2
- 108010053099 Vascular Endothelial Growth Factor Receptor-2 Proteins 0.000 description 2
- 108010053100 Vascular Endothelial Growth Factor Receptor-3 Proteins 0.000 description 2
- 102100033177 Vascular endothelial growth factor receptor 2 Human genes 0.000 description 2
- 102100033179 Vascular endothelial growth factor receptor 3 Human genes 0.000 description 2
- 235000010443 alginic acid Nutrition 0.000 description 2
- 229920000615 alginic acid Polymers 0.000 description 2
- 235000013871 bee wax Nutrition 0.000 description 2
- 239000012166 beeswax Substances 0.000 description 2
- 239000001506 calcium phosphate Substances 0.000 description 2
- 229910000389 calcium phosphate Inorganic materials 0.000 description 2
- 235000011010 calcium phosphates Nutrition 0.000 description 2
- 235000009508 confectionery Nutrition 0.000 description 2
- 238000001514 detection method Methods 0.000 description 2
- 239000000839 emulsion Substances 0.000 description 2
- 235000019441 ethanol Nutrition 0.000 description 2
- 239000007903 gelatin capsule Substances 0.000 description 2
- FBPFZTCFMRRESA-UHFFFAOYSA-N hexane-1,2,3,4,5,6-hexol Chemical compound OCC(O)C(O)C(O)C(O)CO FBPFZTCFMRRESA-UHFFFAOYSA-N 0.000 description 2
- 230000002779 inactivation Effects 0.000 description 2
- 238000007918 intramuscular administration Methods 0.000 description 2
- 201000010982 kidney cancer Diseases 0.000 description 2
- JVTAAEKCZFNVCJ-UHFFFAOYSA-N lactic acid Chemical compound CC(O)C(O)=O JVTAAEKCZFNVCJ-UHFFFAOYSA-N 0.000 description 2
- 235000012204 lemonade/lime carbonate Nutrition 0.000 description 2
- HQKMJHAJHXVSDF-UHFFFAOYSA-L magnesium stearate Chemical compound [Mg+2].CCCCCCCCCCCCCCCCCC([O-])=O.CCCCCCCCCCCCCCCCCC([O-])=O HQKMJHAJHXVSDF-UHFFFAOYSA-L 0.000 description 2
- 230000001394 metastastic effect Effects 0.000 description 2
- 206010061289 metastatic neoplasm Diseases 0.000 description 2
- 229940042880 natural phospholipid Drugs 0.000 description 2
- 231100000252 nontoxic Toxicity 0.000 description 2
- 230000003000 nontoxic effect Effects 0.000 description 2
- 238000011580 nude mouse model Methods 0.000 description 2
- 235000020232 peanut Nutrition 0.000 description 2
- 239000000312 peanut oil Substances 0.000 description 2
- 102000004169 proteins and genes Human genes 0.000 description 2
- 230000008521 reorganization Effects 0.000 description 2
- 235000017550 sodium carbonate Nutrition 0.000 description 2
- 229910000029 sodium carbonate Inorganic materials 0.000 description 2
- 239000000758 substrate Substances 0.000 description 2
- 239000005720 sucrose Substances 0.000 description 2
- 238000012546 transfer Methods 0.000 description 2
- QORWJWZARLRLPR-UHFFFAOYSA-H tricalcium bis(phosphate) Chemical compound [Ca+2].[Ca+2].[Ca+2].[O-]P([O-])([O-])=O.[O-]P([O-])([O-])=O QORWJWZARLRLPR-UHFFFAOYSA-H 0.000 description 2
- 230000004614 tumor growth Effects 0.000 description 2
- 210000001215 vagina Anatomy 0.000 description 2
- 235000013311 vegetables Nutrition 0.000 description 2
- 210000003462 vein Anatomy 0.000 description 2
- MEIRRNXMZYDVDW-MQQKCMAXSA-N (2E,4E)-2,4-hexadien-1-ol Chemical compound C\C=C\C=C\CO MEIRRNXMZYDVDW-MQQKCMAXSA-N 0.000 description 1
- JNYAEWCLZODPBN-JGWLITMVSA-N (2r,3r,4s)-2-[(1r)-1,2-dihydroxyethyl]oxolane-3,4-diol Chemical compound OC[C@@H](O)[C@H]1OC[C@H](O)[C@H]1O JNYAEWCLZODPBN-JGWLITMVSA-N 0.000 description 1
- MPDDTAJMJCESGV-CTUHWIOQSA-M (3r,5r)-7-[2-(4-fluorophenyl)-5-[methyl-[(1r)-1-phenylethyl]carbamoyl]-4-propan-2-ylpyrazol-3-yl]-3,5-dihydroxyheptanoate Chemical compound C1([C@@H](C)N(C)C(=O)C2=NN(C(CC[C@@H](O)C[C@@H](O)CC([O-])=O)=C2C(C)C)C=2C=CC(F)=CC=2)=CC=CC=C1 MPDDTAJMJCESGV-CTUHWIOQSA-M 0.000 description 1
- DNIAPMSPPWPWGF-GSVOUGTGSA-N (R)-(-)-Propylene glycol Chemical compound C[C@@H](O)CO DNIAPMSPPWPWGF-GSVOUGTGSA-N 0.000 description 1
- BJHCYTJNPVGSBZ-YXSASFKJSA-N 1-[4-[6-amino-5-[(Z)-methoxyiminomethyl]pyrimidin-4-yl]oxy-2-chlorophenyl]-3-ethylurea Chemical compound CCNC(=O)Nc1ccc(Oc2ncnc(N)c2\C=N/OC)cc1Cl BJHCYTJNPVGSBZ-YXSASFKJSA-N 0.000 description 1
- JLPULHDHAOZNQI-ZTIMHPMXSA-N 1-hexadecanoyl-2-(9Z,12Z-octadecadienoyl)-sn-glycero-3-phosphocholine Chemical compound CCCCCCCCCCCCCCCC(=O)OC[C@H](COP([O-])(=O)OCC[N+](C)(C)C)OC(=O)CCCCCCC\C=C/C\C=C/CCCCC JLPULHDHAOZNQI-ZTIMHPMXSA-N 0.000 description 1
- NHBKXEKEPDILRR-UHFFFAOYSA-N 2,3-bis(butanoylsulfanyl)propyl butanoate Chemical compound CCCC(=O)OCC(SC(=O)CCC)CSC(=O)CCC NHBKXEKEPDILRR-UHFFFAOYSA-N 0.000 description 1
- FSPQCTGGIANIJZ-UHFFFAOYSA-N 2-[[(3,4-dimethoxyphenyl)-oxomethyl]amino]-4,5,6,7-tetrahydro-1-benzothiophene-3-carboxamide Chemical compound C1=C(OC)C(OC)=CC=C1C(=O)NC1=C(C(N)=O)C(CCCC2)=C2S1 FSPQCTGGIANIJZ-UHFFFAOYSA-N 0.000 description 1
- BMIBJCFFZPYJHF-UHFFFAOYSA-N 2-methoxy-5-methyl-3-(4,4,5,5-tetramethyl-1,3,2-dioxaborolan-2-yl)pyridine Chemical compound COC1=NC=C(C)C=C1B1OC(C)(C)C(C)(C)O1 BMIBJCFFZPYJHF-UHFFFAOYSA-N 0.000 description 1
- IOHYASMLDCKIDI-UHFFFAOYSA-N 4-amino-2-(trifluoromethyl)benzenethiol Chemical compound NC1=CC=C(S)C(C(F)(F)F)=C1 IOHYASMLDCKIDI-UHFFFAOYSA-N 0.000 description 1
- OHNDAXCVWUKVHF-UHFFFAOYSA-N 4-amino-2-(trifluoromethyl)phenol Chemical compound NC1=CC=C(O)C(C(F)(F)F)=C1 OHNDAXCVWUKVHF-UHFFFAOYSA-N 0.000 description 1
- YGNISOAUPSJDJE-UHFFFAOYSA-N 4-bromo-3-(trifluoromethyl)aniline Chemical compound NC1=CC=C(Br)C(C(F)(F)F)=C1 YGNISOAUPSJDJE-UHFFFAOYSA-N 0.000 description 1
- PGFQDLOMDIBAPY-UHFFFAOYSA-N 4-fluoro-3-(trifluoromethyl)aniline Chemical compound NC1=CC=C(F)C(C(F)(F)F)=C1 PGFQDLOMDIBAPY-UHFFFAOYSA-N 0.000 description 1
- ZPVVSYSGZZPGPH-UHFFFAOYSA-N 4-iodo-3-(trifluoromethyl)aniline Chemical compound NC1=CC=C(I)C(C(F)(F)F)=C1 ZPVVSYSGZZPGPH-UHFFFAOYSA-N 0.000 description 1
- JBCDCYFEJQHTTA-UHFFFAOYSA-N 4-methyl-3-(trifluoromethyl)aniline Chemical compound CC1=CC=C(N)C=C1C(F)(F)F JBCDCYFEJQHTTA-UHFFFAOYSA-N 0.000 description 1
- UTKUVRNVYFTEHF-UHFFFAOYSA-N 4-nitro-3-(trifluoromethyl)aniline Chemical compound NC1=CC=C([N+]([O-])=O)C(C(F)(F)F)=C1 UTKUVRNVYFTEHF-UHFFFAOYSA-N 0.000 description 1
- FHVDTGUDJYJELY-UHFFFAOYSA-N 6-{[2-carboxy-4,5-dihydroxy-6-(phosphanyloxy)oxan-3-yl]oxy}-4,5-dihydroxy-3-phosphanyloxane-2-carboxylic acid Chemical compound O1C(C(O)=O)C(P)C(O)C(O)C1OC1C(C(O)=O)OC(OP)C(O)C1O FHVDTGUDJYJELY-UHFFFAOYSA-N 0.000 description 1
- GUBGYTABKSRVRQ-XLOQQCSPSA-N Alpha-Lactose Chemical compound O[C@@H]1[C@@H](O)[C@@H](O)[C@@H](CO)O[C@H]1O[C@@H]1[C@@H](CO)O[C@H](O)[C@H](O)[C@H]1O GUBGYTABKSRVRQ-XLOQQCSPSA-N 0.000 description 1
- 239000005995 Aluminium silicate Substances 0.000 description 1
- CIWBSHSKHKDKBQ-JLAZNSOCSA-N Ascorbic acid Chemical compound OC[C@H](O)[C@H]1OC(=O)C(O)=C1O CIWBSHSKHKDKBQ-JLAZNSOCSA-N 0.000 description 1
- CEXQLYSSXWZHLO-UHFFFAOYSA-N CC(C)c1cc(Oc2cc(-c3c[n](C)cc3)ncn2)ccc1 Chemical compound CC(C)c1cc(Oc2cc(-c3c[n](C)cc3)ncn2)ccc1 CEXQLYSSXWZHLO-UHFFFAOYSA-N 0.000 description 1
- SYAMJGBBLFTQTK-UHFFFAOYSA-N CC1(C)OB(c2c[n](C)cc2)OC1(C)C Chemical compound CC1(C)OB(c2c[n](C)cc2)OC1(C)C SYAMJGBBLFTQTK-UHFFFAOYSA-N 0.000 description 1
- YWYZQIGPEUQCSJ-UHFFFAOYSA-N CC1(C)OB(c2c[n](C)cn2)OC1(C)C Chemical compound CC1(C)OB(c2c[n](C)cn2)OC1(C)C YWYZQIGPEUQCSJ-UHFFFAOYSA-N 0.000 description 1
- CSBHONBMAUEBFH-UHFFFAOYSA-N COc(c(C(F)(F)F)c1)ccc1N=C=O Chemical compound COc(c(C(F)(F)F)c1)ccc1N=C=O CSBHONBMAUEBFH-UHFFFAOYSA-N 0.000 description 1
- MZURWKXJICBOAN-UHFFFAOYSA-N C[n](cc1)cc1-c1nccc(Oc2cccc(N)c2)c1 Chemical compound C[n](cc1)cc1-c1nccc(Oc2cccc(N)c2)c1 MZURWKXJICBOAN-UHFFFAOYSA-N 0.000 description 1
- SRRGJADEMDKFMK-UHFFFAOYSA-N C[n](cc1)cc1-c1ncnc(Cl)c1 Chemical compound C[n](cc1)cc1-c1ncnc(Cl)c1 SRRGJADEMDKFMK-UHFFFAOYSA-N 0.000 description 1
- VBVYRFUBTMFEKV-UHFFFAOYSA-N C[n](cc1)cc1-c1ncnc(Oc2cc(NC(Nc(cc3C(F)(F)F)ccc3Cl)=O)ccc2)c1 Chemical compound C[n](cc1)cc1-c1ncnc(Oc2cc(NC(Nc(cc3C(F)(F)F)ccc3Cl)=O)ccc2)c1 VBVYRFUBTMFEKV-UHFFFAOYSA-N 0.000 description 1
- ZDHRVJREWNIVSK-UHFFFAOYSA-N C[n](cc1)cc1-c1ncnc(Oc2cccc(N)c2)c1 Chemical compound C[n](cc1)cc1-c1ncnc(Oc2cccc(N)c2)c1 ZDHRVJREWNIVSK-UHFFFAOYSA-N 0.000 description 1
- SDWBXBVAYSMGQL-UHFFFAOYSA-N C[n]1cnc(-c2cc(Cl)ncn2)c1 Chemical compound C[n]1cnc(-c2cc(Cl)ncn2)c1 SDWBXBVAYSMGQL-UHFFFAOYSA-N 0.000 description 1
- CTVJEPWHRLMFET-UHFFFAOYSA-N C[n]1cnc(-c2nccc(Oc3cccc(N)c3)c2)c1 Chemical compound C[n]1cnc(-c2nccc(Oc3cccc(N)c3)c2)c1 CTVJEPWHRLMFET-UHFFFAOYSA-N 0.000 description 1
- UYUZUYFWTFRTEQ-UHFFFAOYSA-N C[n]1cnc(-c2nccc(Oc3cccc(NC(Nc(cc4)cc(C(F)(F)F)c4OC)=O)c3)c2)c1 Chemical compound C[n]1cnc(-c2nccc(Oc3cccc(NC(Nc(cc4)cc(C(F)(F)F)c4OC)=O)c3)c2)c1 UYUZUYFWTFRTEQ-UHFFFAOYSA-N 0.000 description 1
- GLTQRQAFNCQZPE-UHFFFAOYSA-N C[n]1ncc(-c2nccc(Oc3cccc(NC(Nc(cc4)cc(C(F)(F)F)c4[N+]([O-])=O)=O)c3)c2)c1 Chemical compound C[n]1ncc(-c2nccc(Oc3cccc(NC(Nc(cc4)cc(C(F)(F)F)c4[N+]([O-])=O)=O)c3)c2)c1 GLTQRQAFNCQZPE-UHFFFAOYSA-N 0.000 description 1
- 208000005623 Carcinogenesis Diseases 0.000 description 1
- RIKMMFOAQPJVMX-UHFFFAOYSA-N Cc1c[nH]nc1 Chemical compound Cc1c[nH]nc1 RIKMMFOAQPJVMX-UHFFFAOYSA-N 0.000 description 1
- FBPFZTCFMRRESA-FSIIMWSLSA-N D-Glucitol Natural products OC[C@H](O)[C@H](O)[C@@H](O)[C@H](O)CO FBPFZTCFMRRESA-FSIIMWSLSA-N 0.000 description 1
- FEWJPZIEWOKRBE-JCYAYHJZSA-N Dextrotartaric acid Chemical compound OC(=O)[C@H](O)[C@@H](O)C(O)=O FEWJPZIEWOKRBE-JCYAYHJZSA-N 0.000 description 1
- 206010012735 Diarrhoea Diseases 0.000 description 1
- KCXVZYZYPLLWCC-UHFFFAOYSA-N EDTA Chemical compound OC(=O)CN(CC(O)=O)CCN(CC(O)=O)CC(O)=O KCXVZYZYPLLWCC-UHFFFAOYSA-N 0.000 description 1
- 241000588724 Escherichia coli Species 0.000 description 1
- 229910052693 Europium Inorganic materials 0.000 description 1
- WSFSSNUMVMOOMR-UHFFFAOYSA-N Formaldehyde Chemical compound O=C WSFSSNUMVMOOMR-UHFFFAOYSA-N 0.000 description 1
- 102100029974 GTPase HRas Human genes 0.000 description 1
- 101710091881 GTPase HRas Proteins 0.000 description 1
- 102000009465 Growth Factor Receptors Human genes 0.000 description 1
- 108010009202 Growth Factor Receptors Proteins 0.000 description 1
- 241000238631 Hexapoda Species 0.000 description 1
- 101001059454 Homo sapiens Serine/threonine-protein kinase MARK2 Proteins 0.000 description 1
- GUBGYTABKSRVRQ-QKKXKWKRSA-N Lactose Natural products OC[C@H]1O[C@@H](O[C@H]2[C@H](O)[C@@H](O)C(O)O[C@@H]2CO)[C@H](O)[C@@H](O)[C@H]1O GUBGYTABKSRVRQ-QKKXKWKRSA-N 0.000 description 1
- 241001465754 Metazoa Species 0.000 description 1
- 241001072332 Monia Species 0.000 description 1
- 241000699660 Mus musculus Species 0.000 description 1
- 238000011794 NU/NU nude mouse Methods 0.000 description 1
- WANHLCHCLUXBSL-UHFFFAOYSA-N Nc1cc(Oc2cc(Cl)ncc2)ccc1 Chemical compound Nc1cc(Oc2cc(Cl)ncc2)ccc1 WANHLCHCLUXBSL-UHFFFAOYSA-N 0.000 description 1
- NBJZEUQTGLSUOB-UHFFFAOYSA-N O=C=Nc(cc1)cc(C(F)(F)F)c1Cl Chemical compound O=C=Nc(cc1)cc(C(F)(F)F)c1Cl NBJZEUQTGLSUOB-UHFFFAOYSA-N 0.000 description 1
- 240000007817 Olea europaea Species 0.000 description 1
- 241000283973 Oryctolagus cuniculus Species 0.000 description 1
- 108010051742 Platelet-Derived Growth Factor beta Receptor Proteins 0.000 description 1
- 101710164680 Platelet-derived growth factor receptor beta Proteins 0.000 description 1
- 229920003171 Poly (ethylene oxide) Polymers 0.000 description 1
- 102100020718 Receptor-type tyrosine-protein kinase FLT3 Human genes 0.000 description 1
- 101710151245 Receptor-type tyrosine-protein kinase FLT3 Proteins 0.000 description 1
- 241000220317 Rosa Species 0.000 description 1
- 102100028904 Serine/threonine-protein kinase MARK2 Human genes 0.000 description 1
- 240000006474 Theobroma bicolor Species 0.000 description 1
- YCZPVAWKLUWQBP-UHFFFAOYSA-N [O-][N+](c(c(C(F)(F)F)c1)ccc1N=C=O)=O Chemical compound [O-][N+](c(c(C(F)(F)F)c1)ccc1N=C=O)=O YCZPVAWKLUWQBP-UHFFFAOYSA-N 0.000 description 1
- 238000010521 absorption reaction Methods 0.000 description 1
- 229940022663 acetate Drugs 0.000 description 1
- 229960000583 acetic acid Drugs 0.000 description 1
- 230000009471 action Effects 0.000 description 1
- 239000013543 active substance Substances 0.000 description 1
- 229940072056 alginate Drugs 0.000 description 1
- 239000000783 alginic acid Substances 0.000 description 1
- 229960001126 alginic acid Drugs 0.000 description 1
- 150000004781 alginic acids Chemical class 0.000 description 1
- 229910000147 aluminium phosphate Inorganic materials 0.000 description 1
- 235000012211 aluminium silicate Nutrition 0.000 description 1
- 238000004458 analytical method Methods 0.000 description 1
- QVGXLLKOCUKJST-UHFFFAOYSA-N atomic oxygen Chemical compound [O] QVGXLLKOCUKJST-UHFFFAOYSA-N 0.000 description 1
- WPYMKLBDIGXBTP-UHFFFAOYSA-N benzoic acid Chemical compound OC(=O)C1=CC=CC=C1 WPYMKLBDIGXBTP-UHFFFAOYSA-N 0.000 description 1
- 229960002685 biotin Drugs 0.000 description 1
- 235000020958 biotin Nutrition 0.000 description 1
- 239000011616 biotin Substances 0.000 description 1
- 230000036952 cancer formation Effects 0.000 description 1
- 231100000504 carcinogenesis Toxicity 0.000 description 1
- 239000000969 carrier Substances 0.000 description 1
- 230000004663 cell proliferation Effects 0.000 description 1
- 230000005754 cellular signaling Effects 0.000 description 1
- 239000003153 chemical reaction reagent Substances 0.000 description 1
- KRKNYBCHXYNGOX-UHFFFAOYSA-N citric acid Chemical compound OC(=O)CC(O)(C(O)=O)CC(O)=O KRKNYBCHXYNGOX-UHFFFAOYSA-N 0.000 description 1
- 239000011248 coating agent Substances 0.000 description 1
- 238000000576 coating method Methods 0.000 description 1
- 239000012141 concentrate Substances 0.000 description 1
- 235000008504 concentrate Nutrition 0.000 description 1
- 230000002354 daily effect Effects 0.000 description 1
- 238000013461 design Methods 0.000 description 1
- 238000011161 development Methods 0.000 description 1
- 235000005911 diet Nutrition 0.000 description 1
- 230000037213 diet Effects 0.000 description 1
- 239000003085 diluting agent Substances 0.000 description 1
- FPAFDBFIGPHWGO-UHFFFAOYSA-N dioxosilane;oxomagnesium;hydrate Chemical compound O.[Mg]=O.[Mg]=O.[Mg]=O.O=[Si]=O.O=[Si]=O.O=[Si]=O.O=[Si]=O FPAFDBFIGPHWGO-UHFFFAOYSA-N 0.000 description 1
- 238000002224 dissection Methods 0.000 description 1
- 238000012377 drug delivery Methods 0.000 description 1
- 238000004043 dyeing Methods 0.000 description 1
- 239000003995 emulsifying agent Substances 0.000 description 1
- 229960001617 ethyl hydroxybenzoate Drugs 0.000 description 1
- 239000004403 ethyl p-hydroxybenzoate Substances 0.000 description 1
- 235000010228 ethyl p-hydroxybenzoate Nutrition 0.000 description 1
- NUVBSKCKDOMJSU-UHFFFAOYSA-N ethylparaben Chemical compound CCOC(=O)C1=CC=C(O)C=C1 NUVBSKCKDOMJSU-UHFFFAOYSA-N 0.000 description 1
- OGPBJKLSAFTDLK-UHFFFAOYSA-N europium atom Chemical compound [Eu] OGPBJKLSAFTDLK-UHFFFAOYSA-N 0.000 description 1
- 239000013604 expression vector Substances 0.000 description 1
- 238000001914 filtration Methods 0.000 description 1
- 239000012362 glacial acetic acid Substances 0.000 description 1
- 235000011187 glycerol Nutrition 0.000 description 1
- UHUSDOQQWJGJQS-UHFFFAOYSA-N glycerol 1,2-dioctadecanoate Chemical compound CCCCCCCCCCCCCCCCCC(=O)OCC(CO)OC(=O)CCCCCCCCCCCCCCCCC UHUSDOQQWJGJQS-UHFFFAOYSA-N 0.000 description 1
- 229940075507 glyceryl monostearate Drugs 0.000 description 1
- 239000003979 granulating agent Substances 0.000 description 1
- RQFCJASXJCIDSX-UUOKFMHZSA-N guanosine 5'-monophosphate Chemical compound C1=2NC(N)=NC(=O)C=2N=CN1[C@@H]1O[C@H](COP(O)(O)=O)[C@@H](O)[C@H]1O RQFCJASXJCIDSX-UUOKFMHZSA-N 0.000 description 1
- 235000013928 guanylic acid Nutrition 0.000 description 1
- 239000004226 guanylic acid Substances 0.000 description 1
- 230000036541 health Effects 0.000 description 1
- 229910000042 hydrogen bromide Inorganic materials 0.000 description 1
- WGCNASOHLSPBMP-UHFFFAOYSA-N hydroxyacetaldehyde Natural products OCC=O WGCNASOHLSPBMP-UHFFFAOYSA-N 0.000 description 1
- 239000001866 hydroxypropyl methyl cellulose Substances 0.000 description 1
- 235000010979 hydroxypropyl methyl cellulose Nutrition 0.000 description 1
- 229920003088 hydroxypropyl methyl cellulose Polymers 0.000 description 1
- UFVKGYZPFZQRLF-UHFFFAOYSA-N hydroxypropyl methyl cellulose Chemical compound OC1C(O)C(OC)OC(CO)C1OC1C(O)C(O)C(OC2C(C(O)C(OC3C(C(O)C(O)C(CO)O3)O)C(CO)O2)O)C(CO)O1 UFVKGYZPFZQRLF-UHFFFAOYSA-N 0.000 description 1
- 238000000338 in vitro Methods 0.000 description 1
- 238000001727 in vivo Methods 0.000 description 1
- 239000003701 inert diluent Substances 0.000 description 1
- 238000001802 infusion Methods 0.000 description 1
- 239000003112 inhibitor Substances 0.000 description 1
- 238000011081 inoculation Methods 0.000 description 1
- NLYAJNPCOHFWQQ-UHFFFAOYSA-N kaolin Chemical compound O.O.O=[Al]O[Si](=O)O[Si](=O)O[Al]=O NLYAJNPCOHFWQQ-UHFFFAOYSA-N 0.000 description 1
- 238000002372 labelling Methods 0.000 description 1
- 239000004310 lactic acid Substances 0.000 description 1
- 235000014655 lactic acid Nutrition 0.000 description 1
- 229960000448 lactic acid Drugs 0.000 description 1
- 239000008101 lactose Substances 0.000 description 1
- 238000012417 linear regression Methods 0.000 description 1
- 235000019359 magnesium stearate Nutrition 0.000 description 1
- VZCYOOQTPOCHFL-UPHRSURJSA-N maleic acid Chemical compound OC(=O)\C=C/C(O)=O VZCYOOQTPOCHFL-UPHRSURJSA-N 0.000 description 1
- 238000004519 manufacturing process Methods 0.000 description 1
- 238000005259 measurement Methods 0.000 description 1
- 230000001404 mediated effect Effects 0.000 description 1
- 230000009401 metastasis Effects 0.000 description 1
- 229920000609 methyl cellulose Polymers 0.000 description 1
- 239000001923 methylcellulose Substances 0.000 description 1
- 239000001788 mono and diglycerides of fatty acids Substances 0.000 description 1
- 125000004123 n-propyl group Chemical group [H]C([H])([H])C([H])([H])C([H])([H])* 0.000 description 1
- 229920001206 natural gum Polymers 0.000 description 1
- QIQXTHQIDYTFRH-UHFFFAOYSA-N octadecanoic acid Chemical compound CCCCCCCCCCCCCCCCCC(O)=O QIQXTHQIDYTFRH-UHFFFAOYSA-N 0.000 description 1
- 238000011275 oncology therapy Methods 0.000 description 1
- 230000003287 optical effect Effects 0.000 description 1
- 239000001301 oxygen Substances 0.000 description 1
- 229910052760 oxygen Inorganic materials 0.000 description 1
- PIBWKRNGBLPSSY-UHFFFAOYSA-L palladium(II) chloride Chemical compound Cl[Pd]Cl PIBWKRNGBLPSSY-UHFFFAOYSA-L 0.000 description 1
- 239000012188 paraffin wax Substances 0.000 description 1
- 239000002245 particle Substances 0.000 description 1
- 239000012071 phase Substances 0.000 description 1
- 229960003742 phenol Drugs 0.000 description 1
- 229960004838 phosphoric acid Drugs 0.000 description 1
- 230000026731 phosphorylation Effects 0.000 description 1
- 238000006366 phosphorylation reaction Methods 0.000 description 1
- 230000035479 physiological effects, processes and functions Effects 0.000 description 1
- 229920000136 polysorbate Polymers 0.000 description 1
- 229910000027 potassium carbonate Inorganic materials 0.000 description 1
- 239000000843 powder Substances 0.000 description 1
- 238000004321 preservation Methods 0.000 description 1
- 229940107700 pyruvic acid Drugs 0.000 description 1
- 230000006340 racemization Effects 0.000 description 1
- 239000000376 reactant Substances 0.000 description 1
- 239000011535 reaction buffer Substances 0.000 description 1
- 239000011541 reaction mixture Substances 0.000 description 1
- 238000005215 recombination Methods 0.000 description 1
- 230000006798 recombination Effects 0.000 description 1
- 238000001953 recrystallisation Methods 0.000 description 1
- 238000011160 research Methods 0.000 description 1
- 238000012216 screening Methods 0.000 description 1
- 229910001467 sodium calcium phosphate Inorganic materials 0.000 description 1
- 239000011780 sodium chloride Substances 0.000 description 1
- 239000001488 sodium phosphate Substances 0.000 description 1
- 239000000600 sorbitol Substances 0.000 description 1
- 229940083466 soybean lecithin Drugs 0.000 description 1
- 241000894007 species Species 0.000 description 1
- 238000012109 statistical procedure Methods 0.000 description 1
- 238000005556 structure-activity relationship Methods 0.000 description 1
- 238000010254 subcutaneous injection Methods 0.000 description 1
- 239000007929 subcutaneous injection Substances 0.000 description 1
- 239000000829 suppository Substances 0.000 description 1
- 239000002512 suppressor factor Substances 0.000 description 1
- 239000006188 syrup Substances 0.000 description 1
- 235000020357 syrup Nutrition 0.000 description 1
- 229940095064 tartrate Drugs 0.000 description 1
- 238000012360 testing method Methods 0.000 description 1
- 230000008719 thickening Effects 0.000 description 1
- QNMBSXGYAQZCTN-UHFFFAOYSA-N thiophen-3-ylboronic acid Chemical compound OB(O)C=1C=CSC=1 QNMBSXGYAQZCTN-UHFFFAOYSA-N 0.000 description 1
- 210000001519 tissue Anatomy 0.000 description 1
- 231100000331 toxic Toxicity 0.000 description 1
- 230000002588 toxic effect Effects 0.000 description 1
- 230000001988 toxicity Effects 0.000 description 1
- 231100000419 toxicity Toxicity 0.000 description 1
- RYFMWSXOAZQYPI-UHFFFAOYSA-K trisodium phosphate Chemical compound [Na+].[Na+].[Na+].[O-]P([O-])([O-])=O RYFMWSXOAZQYPI-UHFFFAOYSA-K 0.000 description 1
- 210000004881 tumor cell Anatomy 0.000 description 1
- 239000000052 vinegar Substances 0.000 description 1
- 235000021419 vinegar Nutrition 0.000 description 1
- 230000000007 visual effect Effects 0.000 description 1
- 239000011782 vitamin Substances 0.000 description 1
- 229940088594 vitamin Drugs 0.000 description 1
- 229930003231 vitamin Natural products 0.000 description 1
- 235000013343 vitamin Nutrition 0.000 description 1
- 150000003722 vitamin derivatives Chemical class 0.000 description 1
Landscapes
- Pyridine Compounds (AREA)
- Pharmaceuticals Containing Other Organic And Inorganic Compounds (AREA)
Abstract
本发明公开了通式I结构表示的芳基脲衍生物,属于药物化学领域,通式I中取代基的定义见说明书。本发明还公开了通式I化合物的制备方法。本发明化合物具有raf激酶抑制剂的作用,可用于制备治疗肿瘤疾病的药物。
Description
技术领域
本发明涉及药物化学领域,具体涉及一组由通式表示的芳基脲化合物,以及它们的制备方法和作为raf激酶抑制剂的用途。
背景技术
p21ras癌基因是人实质癌发生与发展的主要原因之一,30%癌症患者的该基因发生了突变(Bolton等,Ann.Rep.Med.Chem,1994,29,165-74;Bos.Cancer.Res.1989,49,4682-9)。非突变正常形式ras蛋白是几乎所有组织内由生长因子受体指向的信号传导级联中的关键元素(Avruch等,TrendsBiochem.Sci.1994,19,279-83)。生物化学上,ras是一种结合鸟嘌呤核苷酸的蛋白质,GTP结合活性态与GDP结合静息态之间的循环受到ras内源性GTP酶活性和其他调节蛋白的严格控制。癌细胞内的突变ras的内源性GTP酶活性提高,于是,该蛋白质下游效应物,例如raf激酶,发出组成性生长信号。因此造成带有这些突变体的细胞癌性生长(Magnuson等,Semin.Cancer Biol.1994,5,247-53)。已知,通过抑制raf激酶信号通路来抑制活性ras的效应,例如通过给予raf激酶的去活化抗体或共表达显性失活raf激酶或作为raf激酶底物的显性失活MEK,可使转化细胞回复到正常的生长表型(参见;Daum等,Trends Biochem,Sci.1994,19,474-80;Fridman等,J.Biol.Chem.1994,269,30105-8)。Kolch等,(自然,1991,349,426-28)进一步指出,在膜相关癌基因中,以反义RNA抑制raf表达可抑制细胞增殖。与此类似,在体外和体内都发现raf激酶抑制(用反义寡脱氧核苷酸)与多种人肿瘤生长抑制相关(Monia等,Nat.Med.1996,2,668-75)。
近来研究的重点集中在寻找强效的raf激酶抑制剂。临床数据显示信号转导通路中抑制剂类药物与传统化疗药物相比,毒性较低,有专家预计此类药物在未来二十年后将成为癌症治疗的标准治疗药物而广泛应用于临床。芳基脲类化合物常常具有肿瘤信号转导通路中其他激酶的抑制活性,这些激酶包括血管内皮生长因子受体2/3(VEGFR-2、VEGFR-3)、血小板衍生生长因子受体β(PDGFR-β)、KIT、FLT-3、RET。使得此类药物不仅可以抑制肿瘤细胞增生,还可以阻止肿瘤新生血管的生成。这进一步增强了这类化合物抑制肿瘤的临床效果和研究价值。
发明内容
本发明利用药效团模型等计算机辅助药物设计手段建立了芳基脲类化合物的构效关系模型和药物筛选模型,在此基础上设计了一系列全新结构的芳基脲化合物。
本发明的芳基脲化合物作为raf激酶抑制剂,用于人或兽的raf激酶路径抑制,例如,用于治疗由raf激酶介导的肿瘤或细胞癌性生长。具体地说,这些化合物可用于治疗人或动物的癌症,这些癌症例如是黑色素瘤、肝癌、肾癌、急性白血病、非小细胞肺癌、前列腺癌、甲状腺癌、皮肤癌、结肠直肠癌、胰腺癌、卵巢癌、乳腺癌、骨髓异常增生综合症、食管癌、胃肠道癌或间皮瘤等。
因此,本发明涉及通式I化合物或其药学上认可的盐:
其中,A选自碳原子或氮原子;
R1为式a表示的取代或未取代的五元芳杂环,其中,R4、R5、R6各自独立地选自碳原子、氮原子、氧原子、或硫原子,取代基R8、R9、R10各自独立地选自氢、卤素、C1-4烷基、或C1-4烷氧基;
R3选自氢、羟基、硝基、氨基、C1-4烷基、氟、氯、溴、碘、腈基、C1-4烷氧基、或巯基。
当A选自碳原子时,本发明化合物可以用通式II表示:
其中,R1为式a表示的取代或未取代的五元芳杂环,R4、R5、R6各自独立地选自碳原子、氮原子、氧原子、或硫原子,取代基R8、R9、R10各自独立地选自氢、卤素、C1-4烷基、或C1-4烷氧基;
R3选自选自氢、羟基、硝基、氨基、C1-4烷基、氟、氯、溴、碘、腈基、C1-4烷氧基、或巯基。
进一步的优选,其中,R4、R5、R6各自独立地选自碳原子、氮原子、或硫原子,取代基R8、R9、R10各自独立地选自氢或甲基。
进一步的优选,其中,R1选自:
进一步的优选,其中,R1选自:
进一步的优选,其中,R3选自选自氢、羟基、硝基、氨基、甲基、氟、氯、溴、碘、腈基、甲氧基、或巯基。
进一步的优选,其中,R3选自选自氯。
做为本发明的一个优选的技术方案,本发明涉及通式II化合物或其药学上认可的盐:
其中,R1选自:
R3选自选自羟基、硝基、氨基、甲基、氟、氯、溴、碘、腈基、甲氧基、或巯基。
做为本发明的一个优选的技术方案,本发明涉及通式II化合物或其药学上认可的盐:
其中,R1选自:
R3选自选自羟基、硝基、氨基、甲基、氟、氯、溴、碘、腈基、甲氧基、或巯基。
做为本发明的一个优选的技术方案,本发明涉及通式II化合物或其药学上认可的盐:
其中,R1选自:
R3选自选自氯。
当A选自氮原子时,本发明化合物可以用通式III表示:
其中,R1为式a表示的取代或未取代的五元芳杂环,R4、R5、R6各自独立地选自碳原子、氮原子、氧原子、或硫原子,取代基R8、R9、R10各自独立地选自氢、卤素、C1-4烷基、或C1-4烷氧基;
R3选自选自氢、羟基、硝基、氨基、C1-4烷基、氟、氯、溴、碘、腈基、C1-4烷氧基、或巯基。
进一步的优选,其中,R4、R5、R6各自独立地选自碳原子、氮原子、或硫原子,取代基R8、R9、R10各自独立地选自氢或甲基。
进一步的优选,其中,R1选自:
进一步的优选,其中,R1选自:
进一步的优选,其中,R3选自选自氢、羟基、硝基、氨基、甲基、氟、氯、溴、碘、腈基、甲氧基、或巯基。
进一步的优选,其中,R3选自选自氯。
做为本发明的一个优选的技术方案,本发明涉及通式III化合物或其药学上认可的盐:
其中,R1选自:
R3选自选自羟基、硝基、氨基、甲基、氟、氯、溴、碘、腈基、甲氧基、或巯基。
做为本发明的一个优选的技术方案,本发明涉及通式III化合物或其药学上认可的盐:
其中,R1选自:
R3选自选自羟基、硝基、氨基、甲基、氟、氯、溴、碘、腈基、甲氧基、或巯基。
做为本发明的一个优选的技术方案,本发明涉及通式III化合物或其药学上认可的盐:
其中,R1选自:
R3选自选自氯。
本发明通式的化合物及其药学上可接受的盐可以是:
1-(4-氯-3-(三氟甲基)苯基)-3-(3-(2-(1-甲基-4-吡唑基)-4-吡啶氧基)苯基)脲;
1-(4-羟基-3-(三氟甲基)苯基)-3-(3-(2-(1-甲基-4-吡唑基)-4-吡啶氧基)苯基)脲;
1-(4-硝基-3-(三氟甲基)苯基)-3-(3-(2-(1-甲基-4-吡唑基)-4-吡啶氧基)苯基)脲;
1-(4-甲基-3-(三氟甲基)苯基)-3-(3-(2-(1-甲基-4-吡唑基)-4-吡啶氧基)苯基)脲;
1-(4-甲氧基-3-(三氟甲基)苯基)-3-(3-(2-(1-甲基-4-吡唑基)-4-吡啶氧基)苯基)脲;
1-(4-巯基-3-(三氟甲基)苯基)-3-(3-(2-(1-甲基-4-吡唑基)-4-吡啶氧基)苯基)脲;
1-(4-氟-3-(三氟甲基)苯基)-3-(3-(2-(1-甲基-4-吡唑基)-4-吡啶氧基)苯基)脲;
1-(4-溴-3-(三氟甲基)苯基)-3-(3-(2-(1-甲基-4-吡唑基)-4-吡啶氧基)苯基)脲;
1-(4-碘-3-(三氟甲基)苯基)-3-(3-(2-(1-甲基-4-吡唑基)-4-吡啶氧基)苯基)脲;
1-(4-氰基-3-(三氟甲基)苯基)-3-(3-(2-(1-甲基-4-吡唑基)-4-吡啶氧基)苯基)脲;
1-(4-氯-3-(三氟甲基)苯基)-3-(3-(2-(4-吡唑基)-4-吡啶氧基)苯基)脲;
1-(4-氯-3-(三氟甲基)苯基)-3-(3-(2-(4-咪唑基)-4-吡啶氧基)苯基)脲;
1-(4-氯-3-(三氟甲基)苯基)-3-(3-(2-(3-吡咯基)-4-吡啶氧基)苯基)脲;
1-(4-氯-3-(三氟甲基)苯基)-3-(3-(2-(3-噻吩基)-4-吡啶氧基)苯基)脲;
1-(4-氯-3-(三氟甲基)苯基)-3-(3-(2-(1-甲基-4-咪唑基)-4-吡啶氧基)苯基)脲;
1-(4-氯-3-(三氟甲基)苯基)-3-(3-(2-(1-甲基-3-吡咯基)-4-吡啶氧基)苯基)脲;
1-(4-溴-3-(三氟甲基)苯基)-3-(3-(2-(4-吡唑基)-4-吡啶氧基)苯基)脲;
1-(4-溴-3-(三氟甲基)苯基)-3-(3-(2-(1-甲基-4-咪唑基)-4-吡啶氧基)苯基)脲;
1-(4-溴-3-(三氟甲基)苯基)-3-(3-(2-(1-甲基-4-吡咯基)-4-吡啶氧基)苯基)脲;
1-(4-甲基-3-(三氟甲基)苯基)-3-(3-(2-(1-甲基-4-咪唑基)-4-吡啶氧基)苯基)脲;
1-(4-甲基-3-(三氟甲基)苯基)-3-(3-(2-(1-甲基-3-吡咯基)-4-吡啶氧基)苯基)脲;
1-(4-巯基-3-(三氟甲基)苯基)-3-(3-(2-(1-甲基-4-吡唑基)-4-吡啶氧基)苯基)脲
1-(4-巯基-3-(三氟甲基)苯基)-3-(3-(2-(1-甲基-4-吡咯基)-4-吡啶氧基)苯基)脲;
1-(4-甲氧基-3-(三氟甲基)苯基)-3-(3-(2-(1-甲基-4-咪唑基)-4-吡啶氧基)苯基)脲;
1-(4-甲氧基-3-(三氟甲基)苯基)-3-(3-(2-(1-甲基-4-吡咯基)-4-吡啶氧基)苯基)脲;
1-(4-硝基-3-(三氟甲基)苯基)-3-(3-(2-(1-甲基-4-咪唑基)-4-吡啶氧基)苯基)脲;
1-(4-硝基-3-(三氟甲基)苯基)-3-(3-(2-(1-甲基-4-吡咯基)-4-吡啶氧基)苯基)脲;
1-(3-(三氟甲基)-4-氯-苯基)-3-(3-(6-(1-甲基-4-吡唑基)-4-嘧啶氧基)-苯基)脲;
1-(3-(三氟甲基)-4-氯-苯基)-3-(3-(6-(4-吡唑基)-4-嘧啶氧基)-苯基)脲;
1-(3-(三氟甲基)-4-氯-苯基)-3-(3-(6-(1-甲基-3-吡咯基)-4-嘧啶氧基)-苯基)脲;
1-(3-(三氟甲基)-4-氯-苯基)-3-(3-(6-(1-甲基-4-咪唑基)-4-嘧啶氧基)-苯基)脲。
本发明的特别优选的化合物是:
本发明所述的药学上可接受的盐包括通式I化合物与下列酸形成的酸加成盐:盐酸、氢溴酸、硫酸、柠檬酸、酒石酸、磷酸、乳酸、丙酮酸、乙酸、马来酸或苯甲酸。
本发明还包括通式I化合物或其药学上可接受的盐在制备用于预防或治疗与raf激酶抑制剂有关的疾病的药物中的用途。其中Raf激酶抑制剂有关的疾病是黑色素瘤、肝癌、肾癌、急性白血病、非小细胞肺癌、前列腺癌、甲状腺癌、皮肤癌、结肠直肠癌、胰腺癌、卵巢癌、乳腺癌、骨髓异常增生综合症、食管癌、胃肠道癌或间皮瘤。
本发明的部分化合物的制备方法如下:
本发明的化合物都可以使用上述或类似上述的制备方法制备得到,即使用4-氟-2-氯吡啶为原料,通过取代反应合成吡啶4位取代间位氨基苯醚,进一步在吡啶环的2位进行suzuki反应得到2位芳香杂环取代吡啶,最后使4位和2位取代的吡啶的氨基与活化的3-三氟甲基苯胺及其衍生物反应制得目标化合物脲,不同的目标产品可以通过使用不同取代基或取代基位置不同的原料制的,同时活化3-三氟甲基苯胺及其衍生物的制备方法包括:使用光气、二光气、三光气及其光气类似物;使用羰基二咪唑和使用4-硝基氯甲酸苯酯及其类似物。
对映体和非对映体混合物的方法是本领域技术人员所熟悉的。本发明包括任何具有raf激酶抑制活性的、分离的消旋或光学活性形式的通式I化合物。
本发明还包括包含通式I化合物和生理学上认可的载体的药物组合物。本发明化合物可通过注射、吸入或喷洒或直肠,经口、皮肤、胃肠外给予,或以单位制剂剂型给予。“注射给予”包括静脉、肌内、皮下和胃肠外注射,以及应用输液技术。皮肤给药包括外用或透皮给予。一种或多种化合物可与一种或多种药学上认可的无毒载体,以及视需要而定的其他活性成分共存。口服组合物可按照任何药物组合物制造领域已知的合适方法制备。为了改善制剂口感,所述组合物可含一种或多种以下试剂:稀释剂,甜味剂,香料,着色剂和防腐剂。片剂含有活性成分,它们与药学上认可的、适合片剂生产的无毒赋形剂混合。所述赋形剂例如惰性稀释剂,例如碳酸钙,碳酸钠,乳糖,磷酸钙或磷酸钠;粒化剂和崩解剂,例如玉米淀粉或藻酸.粘合剂,例如硬脂酸镁,硬脂酸或滑石粉。片剂可以没有包衣,也可以用已知技术进行包裹,以延迟其在胃肠道内的崩解与吸收,提供长期的持续作用。例如,可采用诸如一硬脂酸甘油酯或二硬脂酸甘油酯之类延时物质。所述化合物也可以制成固体,快释形式。口服制剂还可以是硬明胶胶囊,其中的活性成分与例如碳酸钙、磷酸钙或高岭土等惰性固体稀释剂相混合,或者是软明胶胶囊,其中的活性成分与水或例如花生油、液体石蜡或橄榄油等油混合。
也可使用含有活性物质与适合制造水性悬浮液的赋形剂混合的水性悬浮液。所述赋形剂是悬浮剂,例如羧甲基纤维素钠,甲基纤维素,羟基丙基-甲基纤维素,藻酸钠,聚乙烯基吡咯烷酮,西黄耆胶和阿拉伯树胶;分散剂或润湿剂可以是天然磷脂,例如卵磷脂,或环氧乙烷与脂肪酸的缩合产物,例如硬脂酸聚氧乙烯酯,或环氧乙烷与长链脂肪醇的缩合产物,例如十七氧乙烯十六烷醇,或环氧乙烷与脂肪酸与己糖醇所成偏酯的缩合产物,例如单油酸聚氧乙烯山梨醇酯。水性悬浮液还可含有一种或多种防腐剂,例如对羟基苯甲酸乙酯或正丙酯,一种或多种着色剂,一种或多种香料,和一种或多种甜味剂,例如蔗糖或糖精。适合加水成为水性悬浮液的可分散粉末或颗粒中,活性成分与分散剂或润湿剂,悬浮剂和一种或多种防腐剂混合。合适的分散剂或润湿剂和悬浮剂可以上文所述为例。还可以含其他赋形剂,例如甜味剂,香料和着色剂。
本发明药物组合物的形式还可以是非水性液体制剂,例如油性悬浮液,这可以通过将活性成分悬浮在花生油、橄榄油、芝麻油或花生油等植物油或诸如液体石蜡等矿物油中来配制。该油性悬浮液可含增稠剂,例如蜂蜡、硬石蜡或鲸蜡醇。为了改善口感,可加入上述甜味剂和香料。所述组合物可通过添加诸如抗坏血酸等抗氧化剂来保质。
本发明药物组合物的形式还可以是水包油乳液。油相可以是诸如橄榄油或花生油等植物油或例如液体蜂蜡等矿物油,或它们的混合物。合适的乳化剂可以是西黄耆胶和阿拉伯树胶等天然树胶,或天然磷脂,例如大豆卵磷脂或卵磷脂:脂肪酸与脱水己糖醇形成的偏酯,例如但油酸脱水山梨醇醋;所述偏酯与环氧乙烷的缩合产物,例如单油酸聚氧乙烯脱水山梨醇酯。所述乳液还可含有甜味剂和香料。
也可用例如甘油、聚丙二醇、山梨醇或蔗糖等甜味剂配制糖浆剂。这类制剂还可含有润药,防腐剂和香料及着色剂。
所述化合物还可以栓剂的形式用于直肠或阴道给药。这类组合物可通过将药物与合适的无刺激赋形剂混合来制备,所述赋形剂常温下是固态,但在直肠温度或阴道温度是液态,因此,它会在直肠或阴道内融化而释放出药物。这样的材料包括可可脂和聚乙二醇。
本发明所有使用通式I化合物的治疗方案中,每日口服剂量以0.01-400mg/kg体重为佳。注射,包括静脉、肌内、皮下和胃肠外注射和应用输入技术的每日剂量以0.01-400mg/kg体重为佳。直肠给药的日剂量以0.01-400mg/kg体重为佳。外用的每日剂量以每日1至4次为佳,每次0.01-400mg/kg为佳。吸入的每日剂量以0.01-400mg/kg体重为佳。
具体的给药方式取决于多种因素,这些都是在常规给药时常考虑的。然而,特定患者的具体剂量取决于包括所用具体化合物的活性、患者年龄、患者体重、患者总体健康状况、患者性别、患者饮食、给药时间、给药途径、排出速度、药物组合和当前所治病情的严重程度等多种因素。
在本发明说明书和权利要求中,化合物的命名都是依据化学结构式,如果表示同一化合物时化合物的命名与化学结构式不符,以化学结构式或化学反应式为准。
现结合实施例,对本发明作进一步描述:
具体实施方式
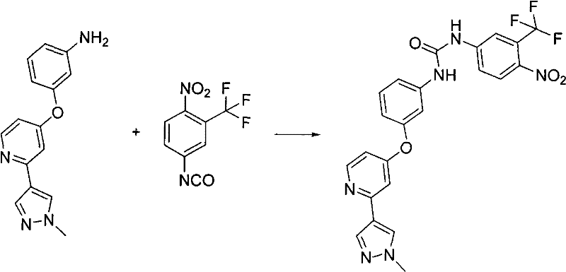
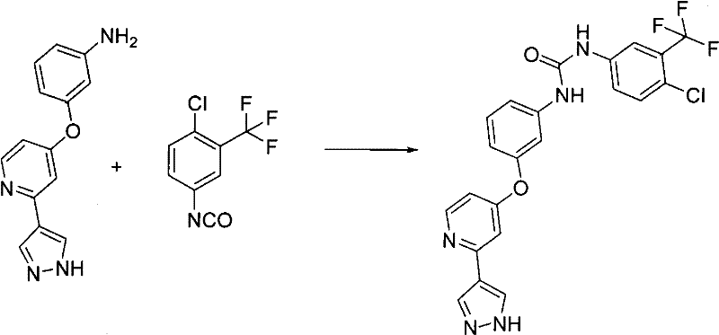
实施例1:
1-(4-氯-3-(三氟甲基)苯基)-3-(3-(2-(1-甲基-4-吡唑基)-4-吡啶氧基)苯基)脲
1a:2-氯-4-(3-氨基苯氧基)吡啶的合成:
将3-氨基苯酚16.6g(152mmol)溶于120mL的无水二甲基亚砜(DMSO)中,氮气保护下加入17.5g(156mmol)的叔丁醇钾,反应液在室温下搅拌30分钟后,将溶于30mL DMSO中的20.0g(152mmol)的2-氯-4-氟吡啶溶液滴加到上述反应液中,30分钟后滴加完毕,将此反应液缓慢升温到80度继续反应4小时,此时,薄层板(TLC)检测原料已全部反应完毕。反应液冷却到室温后,将100mL的水和200mL的乙酸乙酯加入到反应液中,将有机层分出,水层继续使用100mL乙酸乙酯萃取两次,有机层合并后使用100mL水洗涤一次,饱和氯化钠水洗涤一次,无水硫酸钠干燥后,蒸除溶剂,粗产品使用柱层析纯化后得到28.6g(130mmol)类白色固体,产率为85.5%;1H NMR(400MHz,DMSO)δ8.27(d,1H),7.11(t,1H),6.99-6.82(m,2H),6.49(d,1H),6.29(dd,2H),5.40(s,2H),
1b:3-(2-(1-甲基-4-吡唑基)-4-吡啶氧基)苯胺的合成:
氮气保护下,将22.0g(100mmol)的2-氯-4-(3-氨基苯氧基)吡啶和25.0g(120mmol)1-甲基-4-吡唑硼酸频哪醇酯溶于200mL的四氢呋喃(THF)中,搅拌下将41.5g(300mmol)的碳酸钾(K2CO3)和70mL的水加入的上述反应液,然后将5.80g(5.0mmol)的四三苯基磷钯加入。反应液缓慢升温到80度,继续搅拌15小时,TLC检测原料已全部反应完毕。冷却到室温后,将反应液浓缩,然后加入200mL水和300mL的乙酸乙酯,分出有机相后,将水层再用乙酸乙酯萃取2次,合并有机层用饱和氯化钠水溶液洗涤,无水硫酸钠干燥后,解压蒸出溶剂。粗产品使用柱层析纯化得到21.8g(82.0mmol)的类白色固体,产率为82.0%;1H NMR(400MHz,DMSO)δ8.36(d,1H),8.24(s,1H),7.95(d,1H),7.22(d,1H),7.08(t,1H),6.64(dd,1H),6.51-6.40(m,1H),6.36-6.19(m,2H),5.34(s,2H),3.87(s,3H).
1c:3-三氟甲基-4-氯-苯异氰酸酯的合成
冰水浴下,将14.8g(50mmol)的三光气溶于100mL乙酸乙酯中,搅拌下缓慢将19.5g(100mmol)3-三氟甲基-4-氯-苯胺的50mL乙酸乙酯溶液滴入,大概需要30分钟。将反应液的温度缓慢升高,保持回流状态2小时,TLC检测原料反应完毕,降到室温后,将溶剂减压蒸出,得淡黄色液体,冰箱放置过夜后变为白色固体,产品不需纯化直接用于下一步反应。
1d:1-(4-氯-3-(三氟甲基)苯基)-3-(3-(2-(1-甲基-4-吡唑基)-4-吡啶氧基)苯基)脲的合成
将13.3g(50mmol)的3-(2-(1-甲基-4-吡唑基)-4-吡啶氧基)苯胺溶于二氯甲烷(DCM)中,氮气保护下,将溶于DCM中的11.0g的3-三氟甲基-4-氯-苯异氰酸酯缓慢滴入,滴加完毕后,室温下继续搅拌2小时,有大量固体析出,过滤后,使用乙醇进行重结晶,得到20.7g(42.5mmol)类白色固体,产率为85.0%,MS[M+H]488。1H NMR(DMSO-d6,400MHz):δ9.91(s,1H),9.74(s,1H),8.64(s,1H),8.54(d,1H),8.33(s,1H),8.10(s,1H),7.72(s,1H),7.62(d,2H),7.58(d,1H),7.46(t,1H),7.32(dd,1H),7.04(dd,1H),6.92(dd,1H),3.93(s,3H).
实施例2:1-(4-羟基-3-(三氟甲基)苯基)-3-(3-(2-(1-甲基-4-吡唑基)-4-吡啶氧基)苯基)脲
2a同1a;2b同1b;
2c:3-三氟甲基-4-羟基-苯异氰酸酯的合成
合成方法同1c,使用的原料为3-三氟甲基-4-羟基-苯胺,产品为白色固体,不经纯化直接用于下一步反应;
2d:1-(4-羟基-3-(三氟甲基)苯基)-3-(3-(2-(1-甲基-4-吡唑基)-4-吡啶氧基)苯基)脲
合成方法同1d,使用的原料为1b和2c,产品为类白色固体,产率为80.0%,MS[M+H]470。1H NMR(DMSO-d6,300MHz):δ9.91(s,1H),9.74(s,1H),8.70(d,1H),8.54(d,1H),8.38(d,1H),7.90(s,1H),7.75(s,1H),7.62(m,1H),7.48(t,1H),7.34(d,1H),7.24(m,1H),7.18(m,1H),7.07(dd,1H),6.94(d,1H),5.96(s,1H),3.93(s,3H).
实施例3:1-(4-硝基-3-(三氟甲基)苯基)-3-(3-(2-(1-甲基-4-吡唑基)-4-吡啶氧基)苯基)脲
3a同1a;3b同1b;
3c:3-三氟甲基-4-硝基-苯异氰酸酯的合成
合成方法同1c,使用的原料为3-三氟甲基-4-硝基-苯胺,产品为白色固体,不经纯化直接用于下一步反应。
3d:1-(4-硝基-3-(三氟甲基)苯基)-3-(3-(2-(1-甲基-4-吡唑基)-4-吡啶氧基)苯基)脲
合成方法同1d,使用的原料为1b和3c。产品为白色固体,产率为86.0%,MS[M+H]499。1H NMR(DMSO-d6,300MHz):δ9.92(s,1H),9.75(s,1H),8.70(d,1H),8.54(d,1H),8.38(d,1H),8.15(s,1H),7.81-7.72(m,3H),7.65(dd,1H),7.48(t,1H),7.34(d,1H),7.07(dd,1H),6.94(d,1H),3.93(s,3H).
实施例4:1-(4-甲基-3-(三氟甲基)苯基)-3-(3-(2-(1-甲基-4-吡唑基)-4-吡啶氧基)苯基)脲
4a同1a;4b同1b;
4c:3-三氟甲基-4-甲基-苯异氰酸酯的合成
合成方法同1c,使用的原料为3-三氟甲基-4-甲基-苯胺,产品为白色固体,不经纯化直接用于下一步反应。
4d:1-(4-甲基-3-(三氟甲基)苯基)-3-(3-(2-(1-甲基-4-吡唑基)-4-吡啶氧基)苯基)脲
合成方法同1d,使用的原料为1b和4c。产品为白色固体,产率为89.0%,MS[M+H]468。1H NMR(DMSO-d6,300MHz):δ9.89(s,1H),9.72(s,1H),8.70(d,1H),8.54(d,1H),8.38(d,1H),7.95(s,1H),7.75(s,1H),7.64(dd,1H),7.48(t,1H),7.34(d,1H),7.15-7.06(m,3H),6.94(d,1H),3.93(s,3H),2.37(s,3H).
实施例5:1-(4-甲氧基-3-(三氟甲基)苯基)-3-(3-(2-(1-甲基-4-吡唑基)-4-吡啶氧基)苯基)脲
5a同1a;5b同1b;
5c:3-三氟甲基-4-甲氧基-苯异氰酸酯的合成
合成方法同1c,使用的原料为3-三氟甲基-4-甲氧基-苯胺,产品为白色固体,不经纯化直接用于下一步反应。
5d:1-(4-甲氧基-3-(三氟甲基)苯基)-3-(3-(2-(1-甲基-4-吡唑基)-4-吡啶氧基)苯基)脲
合成方法同1d,使用的原料为1b和5c。产品为白色固体,产率为86.0%,MS[M+H]484。1H NMR(DMSO-d6,300MHz):δ9.91(s,1H),9.74(s,1H),8.70(d,1H),8.54(d,1H),8.38(d,1H),7.90(s,1H),7.75(s,1H),7.62(m,1H),7.48(t,1H),7.34(d,1H),7.14-7.03(m,3H),6.94(d,1H),3.93(s,3H),3.85(s,3H).。
实施例6:1-(4-巯基-3-(三氟甲基)苯基)-3-(3-(2-(1-甲基-4-吡唑基)-4-吡啶氧基)苯基)脲
6a同1a;6b同1b;
6c:3-三氟甲基-4-巯基-苯异氰酸酯的合成
合成方法同1c,使用的原料为3-三氟甲基-4-巯基-苯胺,产品为白色固体,不经纯化直接用于下一步反应。
6d:1-(4-巯基-3-(三氟甲基)苯基)-3-(3-(2-(1-甲基-4-吡唑基)-4-吡啶氧基)苯基)脲
合成方法同1d,使用的原料为1b和6c。产品为白色固体,产率为80.0%,MS[M+H]486。1H NMR(DMSO-d6,300MHz):δ9.96(s,1H),9.80(s,1H),8.70(d,1H),8.54(d,1H),8.38(d,1H),7.90(s,1H),7.75(s,1H),7.62(m,1H),7.47(t,1H),7.36(d,1H),7.11-7.05(m,3H),6.94(d,1H),3.93(s,3H),3.6(br s,1H).
实施例7:1-(4-氟-3-(三氟甲基)苯基)-3-(3-(2-(1-甲基-4-吡唑基)-4-吡啶氧基)苯基)脲
7a同1a;7b同1b;
7c:3-三氟甲基-4-氟-苯异氰酸酯的合成
合成方法同1c,使用的原料为3-三氟甲基-4-氟-苯胺,产品为白色固体,不经纯化直接用于下一步反应。
7d:1-(4-氟-3-(三氟甲基)苯基)-3-(3-(2-(1-甲基-4-吡唑基)-4-吡啶氧基)苯基)脲
合成方法同1d,使用的原料为1b和7c。产品为白色固体,产率为86.0%,MS[M+H]472。1H NMR(DMSO-d6,300MHz):δ9.93(s,1H),9.75(s,1H),8.70(d,1H),8.54(d,1H),8.38(d,1H),8.23(s,1H),7.88-7.76(m,3H),7.65(dd,1H),7.48(t,1H),7.34(d,1H),7.06(dd,1H),6.91(d,1H),3.91(s,3H).。
实施例8:1-(4-溴-3-(三氟甲基)苯基)-3-(3-(2-(1-甲基-4-吡唑基)-4-吡啶氧基)苯基)脲
8a同1a;8b同1b;
8c:3-三氟甲基-4-溴-苯异氰酸酯的合成
合成方法同1c,使用的原料为3-三氟甲基-4-溴-苯胺,产品为白色固体,不经纯化直接用于下一步反应。
8d:1-(4-溴-3-(三氟甲基)苯基)-3-(3-(2-(1-甲基-4-吡唑基)-4-吡啶氧基)苯基)脲
合成方法同1d,使用的原料为1b和8c。产品为白色固体,产率为86.0%,MS[M+H]533。1H NMR(DMSO-d6,300MHz):δ9.90(s,1H),9.72(s,1H),8.70(d,1H),8.54(d,1H),8.38(d,1H),8.13(s,1H),7.81-7.70(m,3H),7.61(dd,1H),7.43(t,1H),7.35(d,1H),7.07(dd,1H),6.95(d,1H),3.91(s,3H)。
实施例9:1-(4-碘-3-(三氟甲基)苯基)-3-(3-(2-(1-甲基-4-吡唑基)-4-吡啶氧基)苯基)脲
9a同1a;9b同1b;
9c:3-三氟甲基-4-碘-苯异氰酸酯的合成
合成方法同1c,使用的原料为3-三氟甲基-4-碘-苯胺,产品为白色固体,不经纯化直接用于下一步反应。
9d:1-(4-碘-3-(三氟甲基)苯基)-3-(3-(2-(1-甲基-4-吡唑基)-4-吡啶氧基)苯基)脲
合成方法同1d,使用的原料为1b和9c。产品为白色固体,产率为86.0%,MS[M+H]580。1H NMR(DMSO-d6,300MHz):δ9.91(s,1H),9.72(s,1H),8.71(d,1H),8.55(d,1H),8.39(d,1H),8.20(s,1H),7.82-7.73(m,3H),7.66(dd,1H),7.49(t,1H),7.35(d,1H),7.06(dd,1H),6.93(d,1H),3.92(s,3H).。。
实施例10:1-(4-氰基-3-(三氟甲基)苯基)-3-(3-(2-(1-甲基-4-吡唑基)-4-吡啶氧基)苯基)脲
10a同1a;10b同1b;
10c:3-三氟甲基-4-氰基-苯异氰酸酯的合成
合成方法同1c,使用的原料为3-三氟甲基-4-氰基-苯胺,产品为白色固体,不经纯化直接用于下一步反应。
10d:1-(4-氰基-3-(三氟甲基)苯基)-3-(3-(2-(1-甲基-4-吡唑基)-4-吡啶氧基)苯基)脲
合成方法同1d,使用的原料为1b和10c。产品为白色固体,产率为86.0%,MS[M+H]479。1H NMR(DMSO-d6,300MHz):δ9.91(s,1H),9.74(s,1H),8.69(d,1H),8.56(d,1H),8.38(d,1H),8.21(s,1H),7.83-7.74(m,3H),7.65(dd,1H),7.48(t,1H),7.34(d,1H),7.10(dd,1H),6.96(d,1H),3.93(s,3H).
实施例11:
1-(4-氯-3-(三氟甲基)苯基)-3-(3-(2-(4-吡唑基)-4-吡啶氧基)苯基)脲的合成
11a同1a;
11b:3-(2-(4-吡唑基)-4-吡啶氧基)苯胺的合成
合成方法同1b,使用的原料为1a和4-吡唑硼酸频哪醇酯,产品类白色固体,产率为84.0%;
11c同1c;
11d:1-(4-氯-3-(三氟甲基)苯基)-3-(3-(2-(4-吡唑基)-4-吡啶氧基)苯基)脲的合成
合成方法同1d,使用的原料为11b和1c。产品为类白色固体,产率为72.0%,MS[M+H]474。1H NMR(DMSO-d6,300MHz):δ12.3(br s,1H)9.91(s,1H),9.74(s,1H),8.72(d,1H),8.56(d,1H),8.54(d,1H),8.09(s,1H),7.75(s,1H),7.66-7.53(m,3H),7.48(t,1H),7.34(d,1H),7.07(dd,1H),6.94(d,1H)。
实施例12:
1-(4-氯-3-(三氟甲基)苯基)-3-(3-(2-(4-咪唑基)-4-吡啶氧基)苯基)脲的合成
12a同1a;
12b:3-(2-(4-咪唑基)-4-吡啶氧基)苯胺的合成
合成方法同1b,使用的原料为1a和4-咪唑硼酸频哪醇酯,产品类白色固体,产率为84.0%;
12c同1c;
12d:1-(4-氯-3-(三氟甲基)苯基)-3-(3-(2-(4-咪唑基)-4-吡啶氧基)苯基)脲的合成
合成方法同1d,使用的原料为12b和1c。产品为白色固体,产率为72.0%,MS[M+H]479。1H NMR(DMSO-d6,300MHz):δ9.90(s,1H),9.75(s,1H),8.71(d,1H),8.32(s,1H),8.21(d,1H),8.09(s,1H),7.75(s,1H),7.66-7.53(m,3H),7.48(t,1H),7.34(d,1H),7.07(dd,1H),6.94(d,1H)。
实施例13:
1-(4-氯-3-(三氟甲基)苯基)-3-(3-(2-(3-吡咯基)-4-吡啶氧基)苯基)脲的合成
13a同1a;
13b:3-(2-(3-吡咯基)-4-吡啶氧基)苯胺的合成
合成方法同1b,使用的原料为1a和3-吡咯硼酸频哪醇酯,产品类白色固体,产率为86.0%;
13c同1c;
13d:1-(4-氯-3-(三氟甲基)苯基)-3-(3-(2-(3-吡咯基)-4-吡啶氧基)苯基)脲的合成
合成方法同1d,使用的原料为13b和1c。产品为白色固体,产率为75.0%,MS[M+H]473。1H NMR(DMSO-d6,300MHz):δ9.90(s,1H),9.72(s,1H),8.71(d,1H),8.09(s,1H),7.77-7.70(m,3H),7.63-7.58(m,3H),7.49-7.43(m,2H),7.34(d,1H),7.07(dd,1H),6.95(d,1H).。
实施例14:
1-(4-氯-3-(三氟甲基)苯基)-3-(3-(2-(3-噻吩基)-4-吡啶氧基)苯基)脲的合成
14a同1a;
14b:3-(2-(3-噻吩基)-4-吡啶氧基)苯胺的合成
合成方法同1b,使用的原料为1a和3-噻吩硼酸频哪醇酯,产品类白色固体,产率为84.0%;
14c同1c;
14d:1-(4-氯-3-(三氟甲基)苯基)-3-(3-(2-(3-噻吩基)-4-吡啶氧基)苯基)脲的合成
合成方法同1d,使用的原料为14b和1c。产品为白色固体,产率为82.0%,MS[M+H]490。1H NMR(DMSO-d6,300MHz):δ9.93(s,1H),9.76(s,1H),8.70(d,1H),8.09(s,1H),7.81-7.76(m,2H),7.62-7.50(m,3H),7.48-7.42(m,3H),7.34(d,1H),7.07(dd,1H),6.94(d,1H)。
实施例15:1-(4-氯-3-(三氟甲基)苯基)-3-(3-(2-(1-甲基-4-咪唑基)-4-吡啶氧基)苯基)脲的合成
15a同1a;
15b:3-(2-(1-甲基-4-咪唑基)-4-吡啶氧基)苯胺的合成
合成方法同1b,使用的原料为1a和1-甲基-4-咪唑硼酸频哪醇酯,产品类白色固体,产率为84.0%;
15c同1c;
15d:1-(4-氯-3-(三氟甲基)苯基)-3-(3-(2-(1-甲基-4-咪唑基)-4-吡啶氧基)苯基)脲的合成
合成方法同1d,使用的原料为15b和1c。产品为白色固体,产率为72.0%,MS[M+H]488。1H NMR(DMSO-d6,300MHz):δ9.91(s,1H),9.74(s,1H),8.70(d,1H),8.32(s,1H),8.21(d,1H),8.09(s,1H),7.75(s,1H),7.65-7.57(m,3H),7.48(t,1H),7.34(d,1H),7.07(dd,1H),6.94(d,1H),3.93(s,3H)。
实施例16:
1-(4-氯-3-(三氟甲基)苯基)-3-(3-(2-(1-甲基-3-吡咯基)-4-吡啶氧基)苯基)脲的合成
16a同1a;
16b:3-(2-(1-甲基-3-吡咯基)-4-吡啶氧基)苯胺的合成
合成方法同1b,使用的原料为1a和1-甲基-3-吡咯硼酸频哪醇酯,产品类白色固体,产率为86.0%;
16c同1c;
16d:1-(4-氯-3-(三氟甲基)苯基)-3-(3-(2-(1-甲基-3-吡咯基)-4-吡啶氧基)苯基)脲的合成
合成方法同1d,使用的原料为16b和1c。产品为白色固体,产率为75.0%,MS[M+H]487。1H NMR(DMSO-d6,300MHz):δ9.90(s,1H),9.72(s,1H),8.70(d,1H),8.09(s,1H),7.76-7.70(m,3H),7.64-7.58(m,3H),7.49-7.43(m,2H),7.34(d,1H),7.07(dd,1H),6.95(d,1H),3.90(s,3H)。
实施例17:1-(4-溴-3-(三氟甲基)苯基)-3-(3-(2-(4-吡唑基)-4-吡啶氧基)苯基)脲
17a同1a;17b同11b;17c同8c;
17d:1-(4-溴-3-(三氟甲基)苯基)-3-(3-(2-(4-吡唑基)-4-吡啶氧基)苯基)脲
合成方法同1d,使用的原料为11b和8c。产品为类白色固体,产率为86.0%,MS[M+H]519。NMR(DMSO-d6,300MHz):δ12.32(br s,1H)9.93(s,1H),9.75(s,1H),8.71(d,1H),8.56(d,1H),8.52(d,1H),8.13(s,1H),7.81-7.70(m,3H),7.61(dd,1H),7.43(t,1H),7.35(d,1H),7.07(dd,1H),6.95(d,1H)。
实施例18:1-(4-溴-3-(三氟甲基)苯基)-3-(3-(2-(1-甲基-4-咪唑基)-4-吡啶氧基)苯基)脲
18a同1a;18b同15b;18c同8c;
18d:1-(4-溴-3-(三氟甲基)苯基)-3-(3-(2-(1-甲基-4-咪唑基)-4-吡啶氧基)苯基)脲
合成方法同1d,使用的原料为15b和8c。产品为白色固体,产率为86.0%,MS[M+H]533。NMR(DMSO-d6,300MHz):δ9.90(s,1H),9.72(s,1H),8.70(d,1H),8.51(s,1H),8.32(d,1H),8.13(s,1H),7.80-7.74(m,3H),7.61(dd,1H),7.43(t,1H),7.35(d,1H),7.07(dd,1H),6.95(d,1H),3.93(s,3H)。
实施例19:1-(4-溴-3-(三氟甲基)苯基)-3-(3-(2-(1-甲基-4-吡咯基)-4-吡啶氧基)苯基)脲
19a同1a;19b同16b;19c同8c;
19d:1-(4-溴-3-(三氟甲基)苯基)-3-(3-(2-(1-甲基-4-吡咯基)-4-吡啶氧基)苯基)脲
合成方法同1d,使用的原料为16b和8c。产品为白色固体,产率为86.0%,MS[M+H]532。NMR(DMSO-d6,300MHz):δ9.90(s,1H),9.72(s,1H),8.70(d,1H),8.13(s,1H),7.81-7.70(m,3H),7.61-7.57(m,3H),7.43-7.38(m,2H),7.35(d,1H),7.07(dd,1H),6.95(d,1H),3.94(s,3H)。
实施例20:1-(4-甲基-3-(三氟甲基)苯基)-3-(3-(2-(1-甲基-4-咪唑基)-4-吡啶氧基)苯基)脲
20a同1a;20b同15b;20c同4c;
20d:1-(4-甲基-3-(三氟甲基)苯基)-3-(3-(2-(1-甲基-4-咪唑基)-4-吡啶氧基)苯基)脲
合成方法同1d,使用的原料为15b和4c。产品为白色固体,产率为89.0%,MS[M+H]468。1H NMR(DMSO-d6,300MHz):δ9.89(s,1H),9.72(s,1H),8.71(d,1H),8.57(d,1H),8.37(d,1H),7.95(s,1H),7.76(s,1H),7.65(dd,1H),7.48(t,1H),7.35(d,1H),7.15-7.06(m,3H),6.94(d,1H),3.93(s,3H),2.37(s,3H).
实施例21:1-(4-甲基-3-(三氟甲基)苯基)-3-(3-(2-(1-甲基-3-吡咯基)-4-吡啶氧基)苯基)脲
21a同1a;21b同16b;21c同4c;
21d:1-(4-甲基-3-(三氟甲基)苯基)-3-(3-(2-(1-甲基-4-吡咯基)-4-吡啶氧基)苯基)脲
合成方法同1d,使用的原料为16b和4c。产品为白色固体,产率为89.0%,MS[M+H]467。1H NMR(DMSO-d6,300MHz):δ9.89(s,1H),9.72(s,1H),8.68(d,1H),7.95(s,1H),7.74-7.68(m,3H),7.60-7.53(m,2H),7.48(t,1H),7.34(d,1H),7.15-7.06(m,3H),6.94(d,1H),3.90(s,3H),2.39(s,3H).
实施例22:1-(4-巯基-3-(三氟甲基)苯基)-3-(3-(2-(1-甲基-4-吡唑基)-4-吡啶氧基)苯基)脲
22a同1a;22b同15b;22c同6c;
22d:1-(4-巯基-3-(三氟甲基)苯基)-3-(3-(2-(1-甲基-4-咪唑基)-4-吡啶氧基)苯基)脲
合成方法同1d,使用的原料为15b和6c。产品为白色固体,产率为80.0%,MS[M+H]486。1H NMR(DMSO-d6,300MHz):δ9.95(s,1H),9.81(s,1H),8.71(d,1H),8.49(s,1H),8.40(d,1H),7.91(s,1H),7.75(s,1H),7.62(m,1H),7.46(t,1H),7.36(d,1H),7.10-7.05(m,3H),6.94(d,1H),3.90(s,3H),3.57(br s,1H).
实施例23:1-(4-巯基-3-(三氟甲基)苯基)-3-(3-(2-(1-甲基-4-吡咯基)-4-吡啶氧基)苯基)脲
23a同1a;23b同16b;23c同6c;
23d:1-(4-巯基-3-(三氟甲基)苯基)-3-(3-(2-(1-甲基-4-吡咯基)-4-吡啶氧基)苯基)脲
合成方法同1d,使用的原料为16b和6c。产品为白色固体,产率为80.0%,MS[M+H]485。1H NMR(DMSO-d6,300MHz):δ9.96(s,1H),9.80(s,1H),8.70(d,1H),7.93(s,1H),7.75(s,1H),7.62-7.58(m,3H),7.46-7.39(m,2H),7.37(d,1H),7.12-7.08(m,3H),6.95(d,1H),3.90(s,3H),3.59(br s,1H).
实施例24:1-(4-甲氧基-3-(三氟甲基)苯基)-3-(3-(2-(1-甲基-4-咪唑基)-4-吡啶氧基)苯基)脲
24a同1a;24b同15b;24c同5c;
24d:1-(4-甲氧基-3-(三氟甲基)苯基)-3-(3-(2-(1-甲基-4-咪唑基)-4-吡啶氧基)苯基)脲
合成方法同1d,使用的原料为15b和5c。产品为白色固体,产率为86.0%,MS[M+H]484。1H NMR(DMSO-d6,300MHz):δ9.90(s,1H),9.71(s,1H),8.71(d,1H),8.58(d,1H),8.49(d,1H),7.90(s,1H),7.75(s,1H),7.62(m,1H),7.48(t,1H),7.34(d,1H),7.14-7.09(m,3H),6.94(d,1H),3.93(s,3H),3.85(s,3H).
实施例25:1-(4-甲氧基-3-(三氟甲基)苯基)-3-(3-(2-(1-甲基-4-吡咯基)-4-吡啶氧基)苯基)脲
25a同1a;25b同16b;25c同5c;
25d:1-(4-甲氧基-3-(三氟甲基)苯基)-3-(3-(2-(1-甲基-4-吡咯基)-4-吡啶氧基)苯基)脲
合成方法同1d,使用的原料为16b和5c。产品为白色固体,产率为86.0%,MS[M+H]483。1H NMR(DMSO-d6,300MHz):δ9.90(s,1H),9.74(s,1H),8.71(d,1H),7.87(s,1H),7.75(s,1H),7.60-7.54(m,3H),7.48(t,1H),7.35-7.29(m,2H),7.13-7.07(m,3H),6.94(d,1H),3.93(s,3H),3.85(s,3H).
实施例26:1-(4-硝基-3-(三氟甲基)苯基)-3-(3-(2-(1-甲基-4-咪唑基)-4-吡啶氧基)苯基)脲
26a同1a;26b同15b;26c同3c;
26d:1-(4-硝基-3-(三氟甲基)苯基)-3-(3-(2-(1-甲基-4-咪唑基)-4-吡啶氧基)苯基)脲
合成方法同1d,使用的原料为15b和3c。产品为白色固体,产率为86.0%,MS[M+H]499。1H NMR(DMSO-d6,300MHz):δ9.90(s,1H),9.73(s,1H),8.71(d,1H),8.58(s,1H),8.45(d,1H),8.15(s,1H),7.80-7.73(m,3H),7.65(dd,1H),7.48(t,1H),7.34(d,1H),7.07(dd,1H),6.94(d,1H),3.93(s,3H).
实施例27:1-(4-硝基-3-(三氟甲基)苯基)-3-(3-(2-(1-甲基-4-吡咯基)-4-吡啶氧基)苯基)脲
27a同1a;27b同16b;27c同3c;
27d:1-(4-硝基-3-(三氟甲基)苯基)-3-(3-(2-(1-甲基-4-吡咯基)-4-吡啶氧基)苯基)脲
合成方法同1d,使用的原料为16b和3c。产品为白色固体,产率为86.0%,MS[M+H]498。1H NMR(DMSO-d6,300MHz):δ9.92(s,1H),9.75(s,1H),8.70(d,1H),8.12(s,1H),7.81-7.72(m,3H),7.62-7.58(m,3H),7.48(t,1H),7.39-7.35(d,2H),7.08(dd,1H),6.95(d,1H),3.93(s,3H).
实施例28:1-(3-(三氟甲基)-4-氯-苯基)-3-(3-(6-(1-甲基-4-吡唑基)-4-嘧啶氧基)-苯基)脲
28a:4-(1-甲基-4-吡唑基)-6-氯嘧啶的合成
将4,6-二氯嘧啶14.9g(100mmol)和1-甲基-4-吡唑硼酸频哪醇酯20.8g(100mmol)溶于350mL四氢呋喃和80mL的水中,搅拌下用氮气将溶液中的氧气除去,然后将21.2g(200mmol)的碳酸钠加入,搅拌10分钟后,将催化剂二(三苯基磷)二氯化钯2.1g(3.0mmol)加入到上述溶液中。反应液在室温下反应20分钟后,缓慢升温到70度,并保持2小时,薄层板显示没有原料后,将温度降至室温,然后,将溶剂浓缩后加入200mL乙酸乙酯,此有机层用50mL水洗涤后,再用饱和食盐水洗涤,无水硫酸钠干燥后,减压除去溶剂。粗产品使用柱层析纯化后得16.7g(86.0mmol)白色固体,产率86.0%;MS[M+H]195;1HNMR(CDCl3,400MHz):δ8.85(d,1H),8.04(s,1H),8.01(s,1H),7.40(d,1H),3.98(s,3H)。
28b:4-(1-甲基-4-吡唑基)-6-(3-氨基-苯氧基)嘧啶的合成
将3-氨基苯酚8.43g(77.3mmol)溶于120mL的无水二甲基亚砜(DMSO)中,氮气保护下加入8.90g(79.3mmol)的叔丁醇钾,反应液在室温下搅拌30分钟后,将溶于50mL DMSO中的15.0g(77.3mmol)的4-(1-甲基-4-吡唑基)-6-氯嘧啶溶液滴加到上述反应液中,30分钟后滴加完毕,将此反应继续在室温下搅拌2.5小时,此时,薄层板(TLC)检测原料已全部反应完毕。将80mL的水和200mL的乙酸乙酯加入到反应液中,分出有机层,水层继续使用100mL乙酸乙酯萃取两次,有机层合并后使用100mL水洗涤一次,饱和氯化钠水洗涤一次,无水硫酸钠干燥后,蒸除溶剂,粗产品使用柱层析纯化后得到16.5g(61.8mmol)类白色固体,产率为80.0%;MS[M+H]268;1H NMR(DMSO-d6,400MHz)δ8.63(d,1H),8.44(s,1H),8.12(s,1H),7.25(d,1H),7.07(t,1H),6.44(dd,1H),6.33(t,1H),6.27(dd,1H),5.29(br s,2H),3.89(s,3H).
28c同1c;
28d:1-(3-(三氟甲基)-4-氯-苯基)-3-(3-(6-(1-甲基-4-吡唑基)-4-嘧啶氧基)-苯基)脲
合成方法同1d,使用的原料为28b和1c,产品为类白色固体,产率为75.0%,MS[M+H]489。1HNMR(DMSO-d6,400MHz):δ9.64(s,1H),9.40(s,1H),8.66(s,1H),8.48(s,1H),8.17(s,1H),8.08(s,1H),7.61-7.62(m,2H),7.45(t,1H),7.39(s,1H),7.34(t,1H),7.26(d,1H),6.83(dd,1H),3.91(s,3H)。
实施例29:1-(3-(三氟甲基)-4-氯-苯基)-3-(3-(6-(4-吡唑基)-4-嘧啶氧基)-苯基)脲
29a:4-(4-吡唑基)-6-氯嘧啶的合成
合成方法同28a,使用的原料为4,6-二氯嘧啶和4-吡唑硼酸频哪醇酯,产品为类白色固体,产率为70.0%;
29b:4-(4-吡唑基)-6-(3-氨基-苯氧基)嘧啶的合成
合成方法同28b,使用的原料为29a和3-氨基苯酚,产品为类白色固体,产率为72.0%;
29c同1c;
29d:1-(3-(三氟甲基)-4-氯-苯基)-3-(3-(6-(4-吡唑基)-4-嘧啶氧基)-苯基)脲
合成方法同1d,使用的原料为29b和1c,产品为类白色固体,产率为75.0%,MS[M+H]475。1HNMR(DMSO-d6,400MHz):δ13.23(br s,1H),9.65(s,1H),9.41(s,1H),8.67(s,1H),8.48(s,1H),8.17(s,1H),8.16(s,1H),7.62(m,2H),7.44(t,1H),7.38(s,1H),7.35(t,1H),7.28(d,1H),6.84(dd,1H)。
实施例30:1-(3-(三氟甲基)-4-氯-苯基)-3-(3-(6-(1-甲基-3-吡咯基)-4-嘧啶氧基)-苯基)脲
30a:4-(1-甲基-3-吡咯基)-6-氯嘧啶的合成
合成方法同28a,使用的原料为4,6-二氯嘧啶和1-甲基-3-吡咯硼酸频哪醇酯,产品为类白色固体,产率为81.0%;
30b:4-(1-甲基-3-吡咯基)-6-(3-氨基-苯氧基)嘧啶的合成
合成方法同28b,使用的原料为30a和3-氨基苯酚,产品为类白色固体,产率为83.0%;
30c同1c;
30d:1-(3-(三氟甲基)-4-氯-苯基)-3-(3-(6-(1-甲基-3-吡咯基)-4-嘧啶氧基)-苯基)脲
合成方法同1d,使用的原料为30b和1c,产品为类白色固体,产率为75.0%,MS[M+H]488。1HNMR(DMSO-d6,400MHz):δ9.61(s,1H),9.39(s,1H),8.66(s,1H),8.48(s,1H),7.61-7.62(m,2H),7.45(t,1H),7.39(s,1H),7.34(t,1H),7.26(d,1H),7.16(d,1H),6.97(d,1H),6.83(dd,1H),6.68(d,1H)3.63(s,3H)。
实施例31:1-(3-(三氟甲基)-4-氯-苯基)-3-(3-(6-(1-甲基-4-咪唑基)-4-嘧啶氧基)-苯基)脲
31a:4-(1-甲基-4-咪唑基)-6-氯嘧啶的合成
合成方法同28a,使用的原料为4,6-二氯嘧啶和1-甲基-4-咪唑硼酸频哪醇酯,产品为类白色固体,产率为70.0%;
31b:4-(1-甲基-4-咪唑基)-6-(3-氨基-苯氧基)嘧啶的合成
合成方法同28b,使用的原料为31a和3-氨基苯酚,产品为类白色固体,产率为72.0%;
31c同1c;
31d:1-(3-(三氟甲基)-4-氯-苯基)-3-(3-(6-(1-甲基-4-咪唑基)-4-嘧啶氧基)-苯基)脲
合成方法同1d,使用的原料为31b和1c,产品为类白色固体,产率为75.0%,MS[M+H]489。1HNMR(DMSO-d6,400MHz):δ9.64(s,1H),9.40(s,1H),8.66(s,1H),8.48(s,1H),8.21(s,1H),7.81(s,1H),7.61-7.62(m,2H),7.45(t,1H),7.39(s,1H),7.34(t,1H),7.26(d,1H),6.83(dd,1H),3.93(s,3H)。
实验例1:体外raf筛选
通过提供ATP、MEK底物,并测定磷酸部分向MEK残基的转移可测定raf丝氨酸/苏氨酸激酶的各种同种型的活性。通过从人raf重组杆状病毒表达载体感染的sf9昆虫细胞进行纯化,得到raf重组同种型体。重组的激酶失活MEK在大肠杆菌中表达,纯化后用生物素标记。对于各测定,将试验化合物连续在DMSO中稀释,然后在反应缓冲液及ATP(1uM)中与raf(0.50nM)和激酶失活生物素-MEK(50nM)混合。在室温下,反应物继续培育2小时,并通过加入0.5M EDTA停止。将停止的反应混合物转移到涂布neutradavin板(pierce),并培育1小时。使用兔抗-p-MEK(Cell Signaling)作为第一抗体以及铕标记的抗-兔作为第二抗体,通过DELFIA时间-分辨荧光系统(Wallac)测量磷酸化产物。时间分辨荧光在Wallac 1232 DELFIA荧光计上读出。使用XL拟合数据分析软件通过非线性回归计算各化合物50%抑制(IC50)的浓缩。
使用上述步骤,实施例1-31的化合物均显示具有raf激酶抑制活性,IC50小于5μM。
实验例2:本发明化合物抑制ACHN肾癌生长的研究
1材料与方法
1.1实验材料
雌性BALB/c-nu/nu裸小鼠,4周龄,平均体重14.5g(12.8-15.7)g。ACHN肾癌细胞株购自美国典型物种保藏中心(ATCC)。
1.2实验方法
将ACHN肾癌细胞2.0×106/0.2ml接种于每只裸鼠右侧背部皮下,按体重编号将16只裸小鼠随机分成用药组和对照组。两组体重无显著差异。接种后第3天起,开始隔日给药,用药组给予实施例1化合物(60mg/kg),对照组给予实施例1化合物溶剂(3%无水乙醇+97%生理盐水)。远离肿瘤皮下注射,每次每只0.2ml。给药期间观察小鼠一般情况,隔日测量小鼠体重,肿瘤大小,肿瘤体积用公式:V=1/2×a×b2,(a为长径,b为短径)。接种第31天,断颈处死小鼠,解剖前测量肿瘤体积、称鼠重。解剖皮下肿瘤并称重,切取小鼠肺。FAA(冰醋酸+福尔马林+乙醇)固定皮下肿瘤及鼠肺,石蜡包埋。再次计算鼠重(鼠重=带瘤鼠重-瘤重)。双肺冠状面之最大切面HE染色,显微镜下(100倍视野)计数肺转移结节。
1.3统计学处理
两组间瘤重、体积、鼠重用t检验,肿瘤体积生长曲线用SAS协方差分析,肺转移结节数用精确概率法检验。
2结果
2.1皮下瘤重及肿瘤体积变化
接种第31天时,两组皮下瘤重分别为652.37±121.15mg和282.13±48.63mg,用药组瘤重明显低于对照组(p<0.01)。31d时,两组皮下瘤体积分别为322.58±72.17mm3和120.89±58.72mm3(p<0.01)。两组瘤体积-时间变化见表1:
表1:肿瘤体积-时间变化
表1结果表明,用药组肿瘤体积增长显著低于对照组。
2.2肺转移结节
对照组8只鼠中6只发生肺转移,1只为1个转移结节,其余为3-5个转移结节,用药组未发现肺转移结节。经精确概率法检验两组差异有显著性意义(p<0.05)。对照组不仅转移率高,而且转移结节数也较多。
2.3用药期间副作用观察
用药期间,各小鼠活动良好,未见腹泻等不良反应。
3实验结论
本发明化合物用药组瘤重明显低于对照组,具有统计学意义(p<0.01),用药组肿瘤体积增长显著低于对照组,本发明化合物具有明显的肿瘤生长的作用,本发明化合物明显抑制肿瘤转移的发生率,并且,本发明化合物具有较低的毒副作用。
Claims (29)
2.根据权利要求1所述的化合物或其药学上可接受的盐:
其中,A选自碳原子;
R1为式a表示的取代或未取代的五元芳杂环,其中,R4、R5、R6各自独立地选自碳原子、氮原子、氧原子、或硫原子,取代基R8、R9、R10各自独立地选自氢、卤素、C1-4烷基、或C1-4烷氧基;
R3选自氢、羟基、硝基、氨基、C1-4烷基、氟、氯、溴、碘、腈基、C1-4烷氧基、或巯基。
3.根据权利要求2所述的化合物或其药学上可接受的盐,其中,R1为式a表示的取代或未取代的五元芳杂环,其中,R4、R5、R6各自独立地选自碳原子、氮原子、或硫原子,取代基R8、R9、R10各自独立地选自氢或甲基。
6.根据权利要求2所述的化合物或其药学上可接受的盐,其中,R3选自选自氢、羟基、硝基、氨基、甲基、氟、氯、溴、碘、腈基、甲氧基、或巯基。
7.根据权利要求6所述的化合物或其药学上可接受的盐,其中,R3选自氯。
11.根据权利要求1所述的化合物或其药学上可接受的盐,其中,A选自氮原子;R1为式a表示的取代或未取代的五元芳杂环,其中,R4、R5、R6各自独立地选自碳原子、氮原子、氧原子、或硫原子,取代基R8、R9、R10各自独立地选自氢、卤素、C1-4烷基、或C1-4烷氧基;
R3选自氢、羟基、硝基、氨基、C1-4烷基、氟、氯、溴、碘、腈基、C1-4烷氧基、或巯基。
12.根据权利要求11所述的化合物或其药学上可接受的盐,其中,R1为式a表示的取代或未取代的五元芳杂环,其中,R4、R5、R6各自独立地选自碳原子、氮原子、或硫原子,取代基R8、R9、R10各自独立地选自氢或甲基。
14.根据权利要求13所述的化合物或其药学上可接受的盐,其中,R1选自:
15.根据权利要求11所述的化合物或其药学上可接受的盐,其中,R3选自选自氢、羟基、硝基、氨基、甲基、氟、氯、溴、碘、腈基、甲氧基、或巯基。
16.根据权利要求15所述的化合物或其药学上可接受的盐,其中,R3选自氯。
17.根据权利要求11所述的化合物或其药学上可接受的盐,其中,R1选自:
R3选自选自羟基、硝基、氨基、甲基、氟、氯、溴、碘、腈基、甲氧基、或巯基。
18.根据权利要求11所述的化合物或其药学上可接受的盐,其中,R1选自:
R3选自选自羟基、硝基、氨基、甲基、氟、氯、溴、碘、腈基、甲氧基、或巯基。
20.根据权利要求1、2或11所述的化合物或其药学上可接受的盐,选自:
1-(4-氯-3-(三氟甲基)苯基)-3-(3-(2-(1-甲基-4-吡唑基)-4-吡啶氧基)苯基)脲;
1-(4-羟基-3-(三氟甲基)苯基)-3-(3-(2-(1-甲基-4-吡唑基)-4-吡啶氧基)苯基)脲;
1-(4-硝基-3-(三氟甲基)苯基)-3-(3-(2-(1-甲基-4-吡唑基)-4-吡啶氧基)苯基)脲;
1-(4-甲基-3-(三氟甲基)苯基)-3-(3-(2-(1-甲基-4-吡唑基)-4-吡啶氧基)苯基)脲;
1-(4-甲氧基-3-(三氟甲基)苯基)-3-(3-(2-(1-甲基-4-吡唑基)-4-吡啶氧基)苯基)脲;
1-(4-巯基-3-(三氟甲基)苯基)-3-(3-(2-(1-甲基-4-吡唑基)-4-吡啶氧基)苯基)脲;
1-(4-氟-3-(三氟甲基)苯基)-3-(3-(2-(1-甲基-4-吡唑基)-4-吡啶氧基)苯基)脲;
1-(4-溴-3-(三氟甲基)苯基)-3-(3-(2-(1-甲基-4-吡唑基)-4-吡啶氧基)苯基)脲;
1-(4-碘-3-(三氟甲基)苯基)-3-(3-(2-(1-甲基-4-吡唑基)-4-吡啶氧基)苯基)脲;
1-(4-氰基-3-(三氟甲基)苯基)-3-(3-(2-(1-甲基-4-吡唑基)-4-吡啶氧基)苯基)脲;
1-(4-氯-3-(三氟甲基)苯基)-3-(3-(2-(4-吡唑基)-4-吡啶氧基)苯基)脲;
1-(4-氯-3-(三氟甲基)苯基)-3-(3-(2-(4-咪唑基)-4-吡啶氧基)苯基)脲;
1-(4-氯-3-(三氟甲基)苯基)-3-(3-(2-(3-吡咯基)-4-吡啶氧基)苯基)脲;
1-(4-氯-3-(三氟甲基)苯基)-3-(3-(2-(3-噻吩基)-4-吡啶氧基)苯基)脲;
1-(4-氯-3-(三氟甲基)苯基)-3-(3-(2-(1-甲基-4-咪唑基)-4-吡啶氧基)苯基)脲;
1-(4-氯-3-(三氟甲基)苯基)-3-(3-(2-(1-甲基-3-吡咯基)-4-吡啶氧基)苯基)脲;
1-(4-溴-3-(三氟甲基)苯基)-3-(3-(2-(4-吡唑基)-4-吡啶氧基)苯基)脲;
1-(4-溴-3-(三氟甲基)苯基)-3-(3-(2-(1-甲基-4-咪唑基)-4-吡啶氧基)苯基)脲;
1-(4-溴-3-(三氟甲基)苯基)-3-(3-(2-(1-甲基-4-吡咯基)-4-吡啶氧基)苯基)脲;
1-(4-甲基-3-(三氟甲基)苯基)-3-(3-(2-(1-甲基-4-咪唑基)-4-吡啶氧基)苯基)脲;
1-(4-甲基-3-(三氟甲基)苯基)-3-(3-(2-(1-甲基-3-吡咯基)-4-吡啶氧基)苯基)脲;
1-(4-巯基-3-(三氟甲基)苯基)-3-(3-(2-(1-甲基-4-吡唑基)-4-吡啶氧基)苯基)脲;
1-(4-巯基-3-(三氟甲基)苯基)-3-(3-(2-(1-甲基-4-吡咯基)-4-吡啶氧基)苯基)脲;
1-(4-甲氧基-3-(三氟甲基)苯基)-3-(3-(2-(1-甲基-4-咪唑基)-4-吡啶氧基)苯基)脲;
1-(4-甲氧基-3-(三氟甲基)苯基)-3-(3-(2-(1-甲基-4-吡咯基)-4-吡啶氧基)苯基)脲;
1-(4-硝基-3-(三氟甲基)苯基)-3-(3-(2-(1-甲基-4-咪唑基)-4-吡啶氧基)苯基)脲;
1-(4-硝基-3-(三氟甲基)苯基)-3-(3-(2-(1-甲基-4-吡咯基)-4-吡啶氧基)苯基)脲;
1-(3-(三氟甲基)-4-氯-苯基)-3-(3-(6-(1-甲基-4-吡唑基)-4-嘧啶氧基)-苯基)脲;
1-(3-(三氟甲基)-4-氯-苯基)-3-(3-(6-(4-吡唑基)-4-嘧啶氧基)-苯基)脲;
1-(3-(三氟甲基)-4-氯-苯基)-3-(3-(6-(1-甲基-3-吡咯基)-4-嘧啶氧基)-苯基)脲;
1-(3-(三氟甲基)-4-氯-苯基)-3-(3-(6-(1-甲基-4-咪唑基)-4-嘧啶氧基)-苯基)脲。
22.权利要求1或2所述化合物的制备方法为:使用4-氟-2-氯吡啶为原料,通过取代反应合成吡啶4位取代间位氨基苯醚,进一步在吡啶环的2位进行suzuki反应得到2位芳香杂环取代吡啶,最后使4位和2位取代的吡啶的氨基与活化的3-三氟甲基苯胺及其衍生物反应制得目标化合物脲。
23.权利要求22所述的制备方法,其中,所述的活化3-三氟甲基苯胺及其衍生物的制备方法包括:使用光气、二光气、三光气、羰基二咪唑、或4-硝基氯甲酸苯酯。
24.权利要求21所述化合物的制备方法为:将3-(2-(1-甲基-4-吡唑基)-4-吡啶氧基)苯胺溶于二氯甲烷中,氮气保护下,将溶于二氯甲烷中的3-三氟甲基-4-氯-苯异氰酸酯缓慢滴入,滴加完毕后,室温下继续搅拌,有大量固体析出,过滤,有机溶剂洗涤,即得。
25.根据权利要求24所述的制备方法,其中,所述的3-(2-(1-甲基-4-吡唑基)-4-吡啶氧基)苯胺的制备方法为:氮气保护下,将2-氯-4-(3-氨基苯氧基)吡啶和1-甲基-4-吡唑硼酸频哪醇酯溶于四氢呋喃中,搅拌下将碳酸钾和水加入的上述反应液,然后将四三苯基磷钯加入,反应液缓慢升温到80℃,继续搅拌至反应完毕;冷却到室温后,将反应液浓缩,然后加入水和乙酸乙酯,分出有机相后,将水层用乙酸乙酯萃取,合并有机层用饱和氯化钠水溶液洗涤,无水硫酸钠干燥后,解压蒸出溶剂,粗产品使用柱层析纯化即得。
26.根据权利要求25所述的制备方法,其中,所述的2-氯-4-(3-氨基苯氧基)吡啶的制备方法为:将3-氨基苯酚溶于无水二甲基亚砜中,氮气保护下加入叔丁醇钾,反应液在室温下搅拌,将溶于二甲基亚砜中的的2-氯-4-氟吡啶溶液滴加到上述反应液中,将此反应液缓慢升温到80℃继续反应至反应完毕;反应液冷却到室温后,将水和乙酸乙酯加入到反应液中,将有机层分出,水层继续使用乙酸乙酯萃取,有机层合并后使用水洗涤,饱和氯化钠水洗涤,无水硫酸钠干燥后,蒸除溶剂,粗产品使用柱层析纯化即得。
27.根据权利要求24所述的制备方法,其中,所述的3-三氟甲基-4-氯-苯异氰酸酯的制备方法为:冰水浴下,将三光气溶于乙酸乙酯中,搅拌下缓慢将3-三氟甲基-4-氯-苯胺的乙酸乙酯溶液滴入,将反应液的温度缓慢升高,保持回流状态至反应完毕,降到室温后,将溶剂减压蒸出即得。
28.通式I化合物或其药学上可接受的盐在制备用于预防或治疗与raf激酶抑制剂有关的疾病的药物中的用途。
29.根据权利要求28所述的用途,其中raf激酶抑制剂有关的疾病是黑色素瘤、肝癌、肾癌、急性白血病、非小细胞肺癌、前列腺癌、甲状腺癌、皮肤癌、结肠直肠癌、胰腺癌、卵巢癌、乳腺癌、骨髓异常增生综合症、食管癌、胃肠道癌或间皮瘤。
Priority Applications (1)
| Application Number | Priority Date | Filing Date | Title |
|---|---|---|---|
| CN2010102888211A CN102408408A (zh) | 2010-09-20 | 2010-09-20 | 具有抗肿瘤作用的芳基脲衍生物 |
Applications Claiming Priority (1)
| Application Number | Priority Date | Filing Date | Title |
|---|---|---|---|
| CN2010102888211A CN102408408A (zh) | 2010-09-20 | 2010-09-20 | 具有抗肿瘤作用的芳基脲衍生物 |
Publications (1)
| Publication Number | Publication Date |
|---|---|
| CN102408408A true CN102408408A (zh) | 2012-04-11 |
Family
ID=45910795
Family Applications (1)
| Application Number | Title | Priority Date | Filing Date |
|---|---|---|---|
| CN2010102888211A Pending CN102408408A (zh) | 2010-09-20 | 2010-09-20 | 具有抗肿瘤作用的芳基脲衍生物 |
Country Status (1)
| Country | Link |
|---|---|
| CN (1) | CN102408408A (zh) |
Cited By (7)
| Publication number | Priority date | Publication date | Assignee | Title |
|---|---|---|---|---|
| CN107663202A (zh) * | 2016-07-29 | 2018-02-06 | 西华大学 | 3-(脲基-甲基) -4-芳基-吡啶衍生物及其制备方法和作为抗肝癌药物的应用 |
| JP2018522866A (ja) * | 2015-06-26 | 2018-08-16 | ダナ−ファーバー キャンサー インスティテュート, インコーポレイテッド | 4,6−ピリミジニレン誘導体およびこれらの使用 |
| CN113801064A (zh) * | 2021-09-26 | 2021-12-17 | 甘肃省化工研究院有限责任公司 | 一种[3+2]环加成反应构建苯基乙内酰脲的方法 |
| US12098154B2 (en) | 2015-03-27 | 2024-09-24 | Dana-Farber Cancer Institute, Inc. | Inhibitors of cyclin-dependent kinases |
| US12168663B2 (en) | 2014-12-23 | 2024-12-17 | Dana-Farber Cancer Institute, Inc. | Inhibitors of cyclin-dependent kinase 7 (CDK7) |
| US12187701B2 (en) | 2018-06-25 | 2025-01-07 | Dana-Farber Cancer Institute, Inc. | Taire family kinase inhibitors and uses thereof |
| US12281126B2 (en) | 2018-12-28 | 2025-04-22 | Dana-Farber Cancer Institute, Inc. | Inhibitors of cyclin-dependent kinase 7 and uses thereof |
Citations (4)
| Publication number | Priority date | Publication date | Assignee | Title |
|---|---|---|---|---|
| CN101039932A (zh) * | 2004-10-13 | 2007-09-19 | 默克专利有限公司 | 作为激酶抑制剂的杂环取代的二芳基脲衍生物 |
| CN101084217A (zh) * | 2004-10-22 | 2007-12-05 | 癌症研究技术有限公司 | 作为治疗性化合物的咪唑并[4,5-b]吡啶-2-酮和唑并[4,5-b]吡啶-2-酮化合物及其类似物 |
| TW200804349A (en) * | 2005-12-23 | 2008-01-16 | Kalypsys Inc | Novel substituted pyrimidinyloxy ureas as inhibitors of protein kinases |
| CN101801383A (zh) * | 2007-04-20 | 2010-08-11 | 迪赛孚尔制药有限公司 | 用于治疗骨髓增生性疾病和其他增生性疾病的激酶抑制剂 |
-
2010
- 2010-09-20 CN CN2010102888211A patent/CN102408408A/zh active Pending
Patent Citations (4)
| Publication number | Priority date | Publication date | Assignee | Title |
|---|---|---|---|---|
| CN101039932A (zh) * | 2004-10-13 | 2007-09-19 | 默克专利有限公司 | 作为激酶抑制剂的杂环取代的二芳基脲衍生物 |
| CN101084217A (zh) * | 2004-10-22 | 2007-12-05 | 癌症研究技术有限公司 | 作为治疗性化合物的咪唑并[4,5-b]吡啶-2-酮和唑并[4,5-b]吡啶-2-酮化合物及其类似物 |
| TW200804349A (en) * | 2005-12-23 | 2008-01-16 | Kalypsys Inc | Novel substituted pyrimidinyloxy ureas as inhibitors of protein kinases |
| CN101801383A (zh) * | 2007-04-20 | 2010-08-11 | 迪赛孚尔制药有限公司 | 用于治疗骨髓增生性疾病和其他增生性疾病的激酶抑制剂 |
Cited By (11)
| Publication number | Priority date | Publication date | Assignee | Title |
|---|---|---|---|---|
| US12168663B2 (en) | 2014-12-23 | 2024-12-17 | Dana-Farber Cancer Institute, Inc. | Inhibitors of cyclin-dependent kinase 7 (CDK7) |
| US12098154B2 (en) | 2015-03-27 | 2024-09-24 | Dana-Farber Cancer Institute, Inc. | Inhibitors of cyclin-dependent kinases |
| USRE50776E1 (en) | 2015-03-27 | 2026-02-03 | Dana-Farber Cancer Institute, Inc. | Inhibitors of cyclin-dependent kinases |
| JP2018522866A (ja) * | 2015-06-26 | 2018-08-16 | ダナ−ファーバー キャンサー インスティテュート, インコーポレイテッド | 4,6−ピリミジニレン誘導体およびこれらの使用 |
| EP3313530A4 (en) * | 2015-06-26 | 2019-02-20 | Dana Farber Cancer Institute, Inc. | 4,6-PYRIMIDINYLENE DERIVATIVES AND USE THEREOF |
| US10695346B2 (en) | 2015-06-26 | 2020-06-30 | Dana-Farber Cancer Institute, Inc. | 4,6-pyrimidinylene derivatives and uses thereof |
| CN107663202A (zh) * | 2016-07-29 | 2018-02-06 | 西华大学 | 3-(脲基-甲基) -4-芳基-吡啶衍生物及其制备方法和作为抗肝癌药物的应用 |
| CN107663202B (zh) * | 2016-07-29 | 2020-09-04 | 西华大学 | 3-(脲基-甲基)-4-芳基-吡啶衍生物及其制备方法和作为抗肝癌药物的应用 |
| US12187701B2 (en) | 2018-06-25 | 2025-01-07 | Dana-Farber Cancer Institute, Inc. | Taire family kinase inhibitors and uses thereof |
| US12281126B2 (en) | 2018-12-28 | 2025-04-22 | Dana-Farber Cancer Institute, Inc. | Inhibitors of cyclin-dependent kinase 7 and uses thereof |
| CN113801064A (zh) * | 2021-09-26 | 2021-12-17 | 甘肃省化工研究院有限责任公司 | 一种[3+2]环加成反应构建苯基乙内酰脲的方法 |
Similar Documents
| Publication | Publication Date | Title |
|---|---|---|
| EP3459925B1 (en) | Method for preparing 2-hydroxyl-4-(2, 3-disubstituted benzyloxy)-5-substituted benzaldehyde derivative | |
| CN102408408A (zh) | 具有抗肿瘤作用的芳基脲衍生物 | |
| CA2726588C (en) | Compounds and methods for treating inflammatory and fibrotic disorders | |
| Chen et al. | Degrading FLT3-ITD protein by proteolysis targeting chimera (PROTAC) | |
| WO2014104757A1 (ko) | Btk 키나아제 억제제로서의 2,3-디하이드로-이소인돌-1-온 유도체 및 이를 함유하는 약학적 조성물 | |
| CN102391191B (zh) | 2,4-二氨基喹唑啉的哌嗪二硫代甲酸酯衍生物及其制备方法和抗肿瘤用途 | |
| CN102311395B (zh) | 喹唑啉环取代的二苯脲类衍生物及其用途 | |
| CN109053731A (zh) | 一种对氯取代含哒嗪酮结构的螺[吲哚嗪-吡唑啉]衍生物及其制备方法与应用 | |
| EP3844166B1 (en) | Substituted macrocycles useful as kinase inhibitors | |
| CN109467549A (zh) | 喹啉取代查尔酮类化合物、其制备方法及用途 | |
| JPS5869812A (ja) | 血糖降下剤 | |
| CN103739550A (zh) | 2,3-二甲基-6-脲-2h-吲唑类化合物及其制备方法与应用 | |
| CN102942529B (zh) | 4-(4-取代哌嗪)-5,6,7-三烷氧基喹唑啉类化合物及其制备方法和应用 | |
| CN103420906B (zh) | 新型酪氨酸蛋白激酶抑制剂 | |
| CN120112537A (zh) | 含磷化合物、药物组合物及其应用 | |
| CN102532113B (zh) | 芳基脲衍生物 | |
| CN102558144A (zh) | 一种芳基脲衍生物 | |
| CN102584764B (zh) | 2′-氯-4′-硝基黄酮及其衍生物以及它们的制备与应用 | |
| CN113372334A (zh) | 2-(4-甲氨酰基)苯胺基-4-氨基-5-三氟甲基嘧啶衍生物及其应用 | |
| CN107235994B (zh) | 5,7-二苯基-5H-噻唑并[3,2-a]嘧啶-3-乙酰胺类衍生物及应用 | |
| EP4161910B1 (en) | 2-(3-(2-methyl-6-(p-tolyl) pyridine-3-yl) ureido) benzenesulfonamide and derivatives as inhibitor of carbonic anhydrase ix for the treatment of cancer | |
| CN118878515B (zh) | 一种取代苯胺嘧啶类化合物及其制备方法和用途 | |
| CN117143099B (zh) | 一种吴茱萸碱衍生物及其制备方法与作为pgam1抑制剂的应用 | |
| KR20210151849A (ko) | 퀴놀린 유도체 및 암의 치료를 위한 그의 용도 | |
| CN102485720B (zh) | 热休克蛋白90抑制剂 |
Legal Events
| Date | Code | Title | Description |
|---|---|---|---|
| C06 | Publication | ||
| PB01 | Publication | ||
| C10 | Entry into substantive examination | ||
| SE01 | Entry into force of request for substantive examination | ||
| C02 | Deemed withdrawal of patent application after publication (patent law 2001) | ||
| WD01 | Invention patent application deemed withdrawn after publication |
Application publication date: 20120411 |













































































