CN101318922B - Novel dipeptidyl peptidase restrainer, synthesizing process and uses thereof - Google Patents
Novel dipeptidyl peptidase restrainer, synthesizing process and uses thereof Download PDFInfo
- Publication number
- CN101318922B CN101318922B CN2007100417607A CN200710041760A CN101318922B CN 101318922 B CN101318922 B CN 101318922B CN 2007100417607 A CN2007100417607 A CN 2007100417607A CN 200710041760 A CN200710041760 A CN 200710041760A CN 101318922 B CN101318922 B CN 101318922B
- Authority
- CN
- China
- Prior art keywords
- compound
- hydroxyl
- hydrogen
- cyanopyrolidine
- glycyl
- Prior art date
- Legal status (The legal status is an assumption and is not a legal conclusion. Google has not performed a legal analysis and makes no representation as to the accuracy of the status listed.)
- Expired - Fee Related
Links
- 238000000034 method Methods 0.000 title claims abstract description 26
- 108090000194 Dipeptidyl-peptidases and tripeptidyl-peptidases Proteins 0.000 title description 8
- 102000003779 Dipeptidyl-peptidases and tripeptidyl-peptidases Human genes 0.000 title description 8
- 230000008569 process Effects 0.000 title description 2
- 239000000837 restrainer Substances 0.000 title 1
- 230000002194 synthesizing effect Effects 0.000 title 1
- 150000001875 compounds Chemical class 0.000 claims abstract description 95
- 239000011737 fluorine Chemical group 0.000 claims abstract description 26
- 229910052731 fluorine Inorganic materials 0.000 claims abstract description 26
- 239000001257 hydrogen Substances 0.000 claims abstract description 24
- 229910052739 hydrogen Inorganic materials 0.000 claims abstract description 24
- 239000000460 chlorine Chemical group 0.000 claims abstract description 23
- 150000003839 salts Chemical class 0.000 claims abstract description 23
- PXGOKWXKJXAPGV-UHFFFAOYSA-N Fluorine Chemical group FF PXGOKWXKJXAPGV-UHFFFAOYSA-N 0.000 claims abstract description 21
- 239000008194 pharmaceutical composition Substances 0.000 claims abstract description 16
- 238000002360 preparation method Methods 0.000 claims abstract description 15
- 206010012601 diabetes mellitus Diseases 0.000 claims abstract description 14
- 239000003814 drug Substances 0.000 claims abstract description 12
- 239000003112 inhibitor Substances 0.000 claims abstract description 12
- ZAMOUSCENKQFHK-UHFFFAOYSA-N Chlorine atom Chemical group [Cl] ZAMOUSCENKQFHK-UHFFFAOYSA-N 0.000 claims abstract description 9
- 229910052801 chlorine Inorganic materials 0.000 claims abstract description 9
- 201000010099 disease Diseases 0.000 claims abstract description 9
- 208000037265 diseases, disorders, signs and symptoms Diseases 0.000 claims abstract description 9
- WKBOTKDWSSQWDR-UHFFFAOYSA-N Bromine atom Chemical group [Br] WKBOTKDWSSQWDR-UHFFFAOYSA-N 0.000 claims abstract description 8
- GDTBXPJZTBHREO-UHFFFAOYSA-N bromine Chemical group BrBr GDTBXPJZTBHREO-UHFFFAOYSA-N 0.000 claims abstract description 8
- 229910052794 bromium Inorganic materials 0.000 claims abstract description 8
- 208000008589 Obesity Diseases 0.000 claims abstract description 5
- 235000020824 obesity Nutrition 0.000 claims abstract description 5
- -1 3-fluoro-5-hydroxyl-1-adamantyl Chemical group 0.000 claims description 54
- 238000006243 chemical reaction Methods 0.000 claims description 51
- 102100025012 Dipeptidyl peptidase 4 Human genes 0.000 claims description 39
- 125000003630 glycyl group Chemical group [H]N([H])C([H])([H])C(*)=O 0.000 claims description 38
- 108010067722 Dipeptidyl Peptidase 4 Proteins 0.000 claims description 36
- 125000002887 hydroxy group Chemical group [H]O* 0.000 claims description 13
- UFHFLCQGNIYNRP-UHFFFAOYSA-N Hydrogen Chemical compound [H][H] UFHFLCQGNIYNRP-UHFFFAOYSA-N 0.000 claims description 10
- 150000002431 hydrogen Chemical class 0.000 claims description 10
- 229910052736 halogen Inorganic materials 0.000 claims description 4
- 150000002367 halogens Chemical class 0.000 claims description 4
- 238000004519 manufacturing process Methods 0.000 claims description 4
- 208000031226 Hyperlipidaemia Diseases 0.000 claims description 3
- 230000002265 prevention Effects 0.000 claims description 3
- 101000930822 Giardia intestinalis Dipeptidyl-peptidase 4 Proteins 0.000 abstract description 5
- 229940079593 drug Drugs 0.000 abstract description 5
- 125000004435 hydrogen atom Chemical group [H]* 0.000 abstract 4
- 102000016622 Dipeptidyl Peptidase 4 Human genes 0.000 abstract 3
- XLYOFNOQVPJJNP-UHFFFAOYSA-M hydroxide Chemical compound [OH-] XLYOFNOQVPJJNP-UHFFFAOYSA-M 0.000 abstract 1
- XEKOWRVHYACXOJ-UHFFFAOYSA-N Ethyl acetate Chemical compound CCOC(C)=O XEKOWRVHYACXOJ-UHFFFAOYSA-N 0.000 description 48
- KWYUFKZDYYNOTN-UHFFFAOYSA-M Potassium hydroxide Chemical compound [OH-].[K+] KWYUFKZDYYNOTN-UHFFFAOYSA-M 0.000 description 43
- WYURNTSHIVDZCO-UHFFFAOYSA-N Tetrahydrofuran Chemical compound C1CCOC1 WYURNTSHIVDZCO-UHFFFAOYSA-N 0.000 description 42
- ZMANZCXQSJIPKH-UHFFFAOYSA-N Triethylamine Chemical compound CCN(CC)CC ZMANZCXQSJIPKH-UHFFFAOYSA-N 0.000 description 34
- 239000002904 solvent Substances 0.000 description 31
- UHOVQNZJYSORNB-UHFFFAOYSA-N Benzene Chemical compound C1=CC=CC=C1 UHOVQNZJYSORNB-UHFFFAOYSA-N 0.000 description 30
- YMWUJEATGCHHMB-UHFFFAOYSA-N Dichloromethane Chemical compound ClCCl YMWUJEATGCHHMB-UHFFFAOYSA-N 0.000 description 28
- 239000007787 solid Substances 0.000 description 28
- YXFVVABEGXRONW-UHFFFAOYSA-N Toluene Chemical compound CC1=CC=CC=C1 YXFVVABEGXRONW-UHFFFAOYSA-N 0.000 description 27
- LFQSCWFLJHTTHZ-UHFFFAOYSA-N Ethanol Chemical compound CCO LFQSCWFLJHTTHZ-UHFFFAOYSA-N 0.000 description 25
- 238000005160 1H NMR spectroscopy Methods 0.000 description 24
- OKKJLVBELUTLKV-UHFFFAOYSA-N Methanol Chemical compound OC OKKJLVBELUTLKV-UHFFFAOYSA-N 0.000 description 24
- ZMXDDKWLCZADIW-UHFFFAOYSA-N N,N-Dimethylformamide Chemical compound CN(C)C=O ZMXDDKWLCZADIW-UHFFFAOYSA-N 0.000 description 23
- 238000003756 stirring Methods 0.000 description 23
- HEMHJVSKTPXQMS-UHFFFAOYSA-M Sodium hydroxide Chemical compound [OH-].[Na+] HEMHJVSKTPXQMS-UHFFFAOYSA-M 0.000 description 21
- YLQBMQCUIZJEEH-UHFFFAOYSA-N tetrahydrofuran Natural products C=1C=COC=1 YLQBMQCUIZJEEH-UHFFFAOYSA-N 0.000 description 21
- RTZKZFJDLAIYFH-UHFFFAOYSA-N Diethyl ether Chemical compound CCOCC RTZKZFJDLAIYFH-UHFFFAOYSA-N 0.000 description 20
- KDLHZDBZIXYQEI-UHFFFAOYSA-N Palladium Chemical compound [Pd] KDLHZDBZIXYQEI-UHFFFAOYSA-N 0.000 description 18
- 235000002639 sodium chloride Nutrition 0.000 description 17
- 239000000243 solution Substances 0.000 description 16
- QTBSBXVTEAMEQO-UHFFFAOYSA-N Acetic acid Chemical compound CC(O)=O QTBSBXVTEAMEQO-UHFFFAOYSA-N 0.000 description 15
- 230000000694 effects Effects 0.000 description 15
- FVAUCKIRQBBSSJ-UHFFFAOYSA-M sodium iodide Chemical compound [Na+].[I-] FVAUCKIRQBBSSJ-UHFFFAOYSA-M 0.000 description 15
- 239000003513 alkali Substances 0.000 description 14
- 239000000203 mixture Substances 0.000 description 14
- 235000011118 potassium hydroxide Nutrition 0.000 description 14
- 238000010992 reflux Methods 0.000 description 14
- 239000003795 chemical substances by application Substances 0.000 description 13
- WEVYAHXRMPXWCK-UHFFFAOYSA-N Acetonitrile Chemical compound CC#N WEVYAHXRMPXWCK-UHFFFAOYSA-N 0.000 description 12
- 230000015572 biosynthetic process Effects 0.000 description 12
- 238000005755 formation reaction Methods 0.000 description 12
- XLYOFNOQVPJJNP-UHFFFAOYSA-N water Substances O XLYOFNOQVPJJNP-UHFFFAOYSA-N 0.000 description 12
- WVDDGKGOMKODPV-UHFFFAOYSA-N Benzyl alcohol Chemical compound OCC1=CC=CC=C1 WVDDGKGOMKODPV-UHFFFAOYSA-N 0.000 description 11
- IAZDPXIOMUYVGZ-UHFFFAOYSA-N Dimethylsulphoxide Chemical compound CS(C)=O IAZDPXIOMUYVGZ-UHFFFAOYSA-N 0.000 description 11
- 239000013078 crystal Substances 0.000 description 11
- 239000012453 solvate Substances 0.000 description 11
- DTHNMHAUYICORS-KTKZVXAJSA-N Glucagon-like peptide 1 Chemical compound C([C@@H](C(=O)N[C@@H]([C@@H](C)CC)C(=O)N[C@@H](C)C(=O)N[C@@H](CC=1C2=CC=CC=C2NC=1)C(=O)N[C@@H](CC(C)C)C(=O)N[C@@H](C(C)C)C(=O)N[C@@H](CCCCN)C(=O)NCC(=O)N[C@@H](CCCNC(N)=N)C(N)=O)NC(=O)[C@H](CCC(O)=O)NC(=O)[C@H](CCCCN)NC(=O)[C@H](C)NC(=O)[C@H](C)NC(=O)[C@H](CCC(N)=O)NC(=O)CNC(=O)[C@H](CCC(O)=O)NC(=O)[C@H](CC(C)C)NC(=O)[C@H](CC=1C=CC(O)=CC=1)NC(=O)[C@H](CO)NC(=O)[C@H](CO)NC(=O)[C@@H](NC(=O)[C@H](CC(O)=O)NC(=O)[C@H](CO)NC(=O)[C@@H](NC(=O)[C@H](CC=1C=CC=CC=1)NC(=O)[C@@H](NC(=O)CNC(=O)[C@H](CCC(O)=O)NC(=O)[C@H](C)NC(=O)[C@@H](N)CC=1N=CNC=1)[C@@H](C)O)[C@@H](C)O)C(C)C)C1=CC=CC=C1 DTHNMHAUYICORS-KTKZVXAJSA-N 0.000 description 10
- 101800000224 Glucagon-like peptide 1 Proteins 0.000 description 10
- 102100040918 Pro-glucagon Human genes 0.000 description 10
- JUJWROOIHBZHMG-UHFFFAOYSA-N Pyridine Chemical compound C1=CC=NC=C1 JUJWROOIHBZHMG-UHFFFAOYSA-N 0.000 description 10
- CDBYLPFSWZWCQE-UHFFFAOYSA-L Sodium Carbonate Chemical compound [Na+].[Na+].[O-]C([O-])=O CDBYLPFSWZWCQE-UHFFFAOYSA-L 0.000 description 10
- PMZURENOXWZQFD-UHFFFAOYSA-L Sodium Sulfate Chemical compound [Na+].[Na+].[O-]S([O-])(=O)=O PMZURENOXWZQFD-UHFFFAOYSA-L 0.000 description 10
- 239000002775 capsule Substances 0.000 description 10
- 238000001035 drying Methods 0.000 description 10
- FYSNRJHAOHDILO-UHFFFAOYSA-N thionyl chloride Chemical compound ClS(Cl)=O FYSNRJHAOHDILO-UHFFFAOYSA-N 0.000 description 10
- WMFOQBRAJBCJND-UHFFFAOYSA-M Lithium hydroxide Chemical compound [Li+].[OH-] WMFOQBRAJBCJND-UHFFFAOYSA-M 0.000 description 9
- 239000007788 liquid Substances 0.000 description 9
- NLKNQRATVPKPDG-UHFFFAOYSA-M potassium iodide Chemical compound [K+].[I-] NLKNQRATVPKPDG-UHFFFAOYSA-M 0.000 description 9
- BQXUPNKLZNSUMC-YUQWMIPFSA-N CCN(CCCCCOCC(=O)N[C@H](C(=O)N1C[C@H](O)C[C@H]1C(=O)N[C@@H](C)c1ccc(cc1)-c1scnc1C)C(C)(C)C)CCOc1ccc(cc1)C(=O)c1c(sc2cc(O)ccc12)-c1ccc(O)cc1 Chemical compound CCN(CCCCCOCC(=O)N[C@H](C(=O)N1C[C@H](O)C[C@H]1C(=O)N[C@@H](C)c1ccc(cc1)-c1scnc1C)C(C)(C)C)CCOc1ccc(cc1)C(=O)c1c(sc2cc(O)ccc12)-c1ccc(O)cc1 BQXUPNKLZNSUMC-YUQWMIPFSA-N 0.000 description 8
- 239000003921 oil Substances 0.000 description 8
- 235000019198 oils Nutrition 0.000 description 8
- BWHMMNNQKKPAPP-UHFFFAOYSA-L potassium carbonate Substances [K+].[K+].[O-]C([O-])=O BWHMMNNQKKPAPP-UHFFFAOYSA-L 0.000 description 8
- 235000015320 potassium carbonate Nutrition 0.000 description 8
- RYHBNJHYFVUHQT-UHFFFAOYSA-N 1,4-Dioxane Chemical compound C1COCCO1 RYHBNJHYFVUHQT-UHFFFAOYSA-N 0.000 description 7
- QTBSBXVTEAMEQO-UHFFFAOYSA-M Acetate Chemical compound CC([O-])=O QTBSBXVTEAMEQO-UHFFFAOYSA-M 0.000 description 7
- 102000004190 Enzymes Human genes 0.000 description 7
- 108090000790 Enzymes Proteins 0.000 description 7
- FAPWRFPIFSIZLT-UHFFFAOYSA-M Sodium chloride Chemical class [Na+].[Cl-] FAPWRFPIFSIZLT-UHFFFAOYSA-M 0.000 description 7
- 239000000706 filtrate Substances 0.000 description 7
- 239000012044 organic layer Substances 0.000 description 7
- 235000011121 sodium hydroxide Nutrition 0.000 description 7
- 239000003981 vehicle Substances 0.000 description 7
- 238000005406 washing Methods 0.000 description 7
- VEXZGXHMUGYJMC-UHFFFAOYSA-N Hydrochloric acid Chemical compound Cl VEXZGXHMUGYJMC-UHFFFAOYSA-N 0.000 description 6
- DNIAPMSPPWPWGF-UHFFFAOYSA-N Propylene glycol Chemical compound CC(O)CO DNIAPMSPPWPWGF-UHFFFAOYSA-N 0.000 description 6
- 229960000583 acetic acid Drugs 0.000 description 6
- 239000002253 acid Substances 0.000 description 6
- 239000003153 chemical reaction reagent Substances 0.000 description 6
- 238000001816 cooling Methods 0.000 description 6
- 239000000463 material Substances 0.000 description 6
- PUZPDOWCWNUUKD-UHFFFAOYSA-M sodium fluoride Chemical compound [F-].[Na+] PUZPDOWCWNUUKD-UHFFFAOYSA-M 0.000 description 6
- QAEDZJGFFMLHHQ-UHFFFAOYSA-N trifluoroacetic anhydride Chemical compound FC(F)(F)C(=O)OC(=O)C(F)(F)F QAEDZJGFFMLHHQ-UHFFFAOYSA-N 0.000 description 6
- 238000010792 warming Methods 0.000 description 6
- YSUIQYOGTINQIN-UZFYAQMZSA-N 2-amino-9-[(1S,6R,8R,9S,10R,15R,17R,18R)-8-(6-aminopurin-9-yl)-9,18-difluoro-3,12-dihydroxy-3,12-bis(sulfanylidene)-2,4,7,11,13,16-hexaoxa-3lambda5,12lambda5-diphosphatricyclo[13.2.1.06,10]octadecan-17-yl]-1H-purin-6-one Chemical compound NC1=NC2=C(N=CN2[C@@H]2O[C@@H]3COP(S)(=O)O[C@@H]4[C@@H](COP(S)(=O)O[C@@H]2[C@@H]3F)O[C@H]([C@H]4F)N2C=NC3=C2N=CN=C3N)C(=O)N1 YSUIQYOGTINQIN-UZFYAQMZSA-N 0.000 description 5
- MOTSWPGUPVDHAY-UHFFFAOYSA-N CCCCCCCCCCCCCCC[ClH]C1=C(C#N)NC=C1 Chemical compound CCCCCCCCCCCCCCC[ClH]C1=C(C#N)NC=C1 MOTSWPGUPVDHAY-UHFFFAOYSA-N 0.000 description 5
- WQZGKKKJIJFFOK-GASJEMHNSA-N Glucose Natural products OC[C@H]1OC(O)[C@H](O)[C@@H](O)[C@@H]1O WQZGKKKJIJFFOK-GASJEMHNSA-N 0.000 description 5
- UIIMBOGNXHQVGW-UHFFFAOYSA-M Sodium bicarbonate Chemical class [Na+].OC([O-])=O UIIMBOGNXHQVGW-UHFFFAOYSA-M 0.000 description 5
- SORGEQQSQGNZFI-UHFFFAOYSA-N [azido(phenoxy)phosphoryl]oxybenzene Chemical compound C=1C=CC=CC=1OP(=O)(N=[N+]=[N-])OC1=CC=CC=C1 SORGEQQSQGNZFI-UHFFFAOYSA-N 0.000 description 5
- 239000007864 aqueous solution Substances 0.000 description 5
- 238000004440 column chromatography Methods 0.000 description 5
- 238000010790 dilution Methods 0.000 description 5
- 239000012895 dilution Substances 0.000 description 5
- 239000003480 eluent Substances 0.000 description 5
- 239000008103 glucose Substances 0.000 description 5
- 239000010410 layer Substances 0.000 description 5
- 230000003287 optical effect Effects 0.000 description 5
- UMJSCPRVCHMLSP-UHFFFAOYSA-N pyridine Natural products COC1=CC=CN=C1 UMJSCPRVCHMLSP-UHFFFAOYSA-N 0.000 description 5
- 235000017550 sodium carbonate Nutrition 0.000 description 5
- 229910000029 sodium carbonate Inorganic materials 0.000 description 5
- 235000009518 sodium iodide Nutrition 0.000 description 5
- AOSZTAHDEDLTLQ-AZKQZHLXSA-N (1S,2S,4R,8S,9S,11S,12R,13S,19S)-6-[(3-chlorophenyl)methyl]-12,19-difluoro-11-hydroxy-8-(2-hydroxyacetyl)-9,13-dimethyl-6-azapentacyclo[10.8.0.02,9.04,8.013,18]icosa-14,17-dien-16-one Chemical compound C([C@@H]1C[C@H]2[C@H]3[C@]([C@]4(C=CC(=O)C=C4[C@@H](F)C3)C)(F)[C@@H](O)C[C@@]2([C@@]1(C1)C(=O)CO)C)N1CC1=CC=CC(Cl)=C1 AOSZTAHDEDLTLQ-AZKQZHLXSA-N 0.000 description 4
- WWTBZEKOSBFBEM-SPWPXUSOSA-N (2s)-2-[[2-benzyl-3-[hydroxy-[(1r)-2-phenyl-1-(phenylmethoxycarbonylamino)ethyl]phosphoryl]propanoyl]amino]-3-(1h-indol-3-yl)propanoic acid Chemical compound N([C@@H](CC=1C2=CC=CC=C2NC=1)C(=O)O)C(=O)C(CP(O)(=O)[C@H](CC=1C=CC=CC=1)NC(=O)OCC=1C=CC=CC=1)CC1=CC=CC=C1 WWTBZEKOSBFBEM-SPWPXUSOSA-N 0.000 description 4
- KQZLRWGGWXJPOS-NLFPWZOASA-N 1-[(1R)-1-(2,4-dichlorophenyl)ethyl]-6-[(4S,5R)-4-[(2S)-2-(hydroxymethyl)pyrrolidin-1-yl]-5-methylcyclohexen-1-yl]pyrazolo[3,4-b]pyrazine-3-carbonitrile Chemical compound ClC1=C(C=CC(=C1)Cl)[C@@H](C)N1N=C(C=2C1=NC(=CN=2)C1=CC[C@@H]([C@@H](C1)C)N1[C@@H](CCC1)CO)C#N KQZLRWGGWXJPOS-NLFPWZOASA-N 0.000 description 4
- WZZBNLYBHUDSHF-DHLKQENFSA-N 1-[(3s,4s)-4-[8-(2-chloro-4-pyrimidin-2-yloxyphenyl)-7-fluoro-2-methylimidazo[4,5-c]quinolin-1-yl]-3-fluoropiperidin-1-yl]-2-hydroxyethanone Chemical compound CC1=NC2=CN=C3C=C(F)C(C=4C(=CC(OC=5N=CC=CN=5)=CC=4)Cl)=CC3=C2N1[C@H]1CCN(C(=O)CO)C[C@@H]1F WZZBNLYBHUDSHF-DHLKQENFSA-N 0.000 description 4
- ONBQEOIKXPHGMB-VBSBHUPXSA-N 1-[2-[(2s,3r,4s,5r)-3,4-dihydroxy-5-(hydroxymethyl)oxolan-2-yl]oxy-4,6-dihydroxyphenyl]-3-(4-hydroxyphenyl)propan-1-one Chemical compound O[C@@H]1[C@H](O)[C@@H](CO)O[C@H]1OC1=CC(O)=CC(O)=C1C(=O)CCC1=CC=C(O)C=C1 ONBQEOIKXPHGMB-VBSBHUPXSA-N 0.000 description 4
- KCBAMQOKOLXLOX-BSZYMOERSA-N CC1=C(SC=N1)C2=CC=C(C=C2)[C@H](C)NC(=O)[C@@H]3C[C@H](CN3C(=O)[C@H](C(C)(C)C)NC(=O)CCCCCCCCCCNCCCONC(=O)C4=C(C(=C(C=C4)F)F)NC5=C(C=C(C=C5)I)F)O Chemical compound CC1=C(SC=N1)C2=CC=C(C=C2)[C@H](C)NC(=O)[C@@H]3C[C@H](CN3C(=O)[C@H](C(C)(C)C)NC(=O)CCCCCCCCCCNCCCONC(=O)C4=C(C(=C(C=C4)F)F)NC5=C(C=C(C=C5)I)F)O KCBAMQOKOLXLOX-BSZYMOERSA-N 0.000 description 4
- HEDRZPFGACZZDS-UHFFFAOYSA-N Chloroform Chemical compound ClC(Cl)Cl HEDRZPFGACZZDS-UHFFFAOYSA-N 0.000 description 4
- 229940126657 Compound 17 Drugs 0.000 description 4
- PEDCQBHIVMGVHV-UHFFFAOYSA-N Glycerine Chemical compound OCC(O)CO PEDCQBHIVMGVHV-UHFFFAOYSA-N 0.000 description 4
- BZLVMXJERCGZMT-UHFFFAOYSA-N Methyl tert-butyl ether Chemical compound COC(C)(C)C BZLVMXJERCGZMT-UHFFFAOYSA-N 0.000 description 4
- PXHVJJICTQNCMI-UHFFFAOYSA-N Nickel Chemical compound [Ni] PXHVJJICTQNCMI-UHFFFAOYSA-N 0.000 description 4
- 229920002472 Starch Polymers 0.000 description 4
- QAOWNCQODCNURD-UHFFFAOYSA-N Sulfuric acid Chemical compound OS(O)(=O)=O QAOWNCQODCNURD-UHFFFAOYSA-N 0.000 description 4
- 125000000217 alkyl group Chemical group 0.000 description 4
- 239000000010 aprotic solvent Substances 0.000 description 4
- XRWSZZJLZRKHHD-WVWIJVSJSA-N asunaprevir Chemical compound O=C([C@@H]1C[C@H](CN1C(=O)[C@@H](NC(=O)OC(C)(C)C)C(C)(C)C)OC1=NC=C(C2=CC=C(Cl)C=C21)OC)N[C@]1(C(=O)NS(=O)(=O)C2CC2)C[C@H]1C=C XRWSZZJLZRKHHD-WVWIJVSJSA-N 0.000 description 4
- 238000005660 chlorination reaction Methods 0.000 description 4
- 229940126142 compound 16 Drugs 0.000 description 4
- 229940125782 compound 2 Drugs 0.000 description 4
- 229940126208 compound 22 Drugs 0.000 description 4
- 229940125833 compound 23 Drugs 0.000 description 4
- 229940125961 compound 24 Drugs 0.000 description 4
- 229940125877 compound 31 Drugs 0.000 description 4
- 229920000159 gelatin Polymers 0.000 description 4
- 235000019322 gelatine Nutrition 0.000 description 4
- 230000005764 inhibitory process Effects 0.000 description 4
- 229910052500 inorganic mineral Inorganic materials 0.000 description 4
- HQKMJHAJHXVSDF-UHFFFAOYSA-L magnesium stearate Chemical compound [Mg+2].CCCCCCCCCCCCCCCCCC([O-])=O.CCCCCCCCCCCCCCCCCC([O-])=O HQKMJHAJHXVSDF-UHFFFAOYSA-L 0.000 description 4
- 235000010755 mineral Nutrition 0.000 description 4
- 239000011707 mineral Substances 0.000 description 4
- XHXFXVLFKHQFAL-UHFFFAOYSA-N phosphoryl trichloride Chemical compound ClP(Cl)(Cl)=O XHXFXVLFKHQFAL-UHFFFAOYSA-N 0.000 description 4
- 239000006187 pill Substances 0.000 description 4
- 239000008107 starch Substances 0.000 description 4
- 235000019698 starch Nutrition 0.000 description 4
- 239000000758 substrate Substances 0.000 description 4
- 239000000080 wetting agent Substances 0.000 description 4
- UAOUIVVJBYDFKD-XKCDOFEDSA-N (1R,9R,10S,11R,12R,15S,18S,21R)-10,11,21-trihydroxy-8,8-dimethyl-14-methylidene-4-(prop-2-enylamino)-20-oxa-5-thia-3-azahexacyclo[9.7.2.112,15.01,9.02,6.012,18]henicosa-2(6),3-dien-13-one Chemical compound C([C@@H]1[C@@H](O)[C@@]23C(C1=C)=O)C[C@H]2[C@]12C(N=C(NCC=C)S4)=C4CC(C)(C)[C@H]1[C@H](O)[C@]3(O)OC2 UAOUIVVJBYDFKD-XKCDOFEDSA-N 0.000 description 3
- GHYOCDFICYLMRF-UTIIJYGPSA-N (2S,3R)-N-[(2S)-3-(cyclopenten-1-yl)-1-[(2R)-2-methyloxiran-2-yl]-1-oxopropan-2-yl]-3-hydroxy-3-(4-methoxyphenyl)-2-[[(2S)-2-[(2-morpholin-4-ylacetyl)amino]propanoyl]amino]propanamide Chemical compound C1(=CCCC1)C[C@@H](C(=O)[C@@]1(OC1)C)NC([C@H]([C@@H](C1=CC=C(C=C1)OC)O)NC([C@H](C)NC(CN1CCOCC1)=O)=O)=O GHYOCDFICYLMRF-UTIIJYGPSA-N 0.000 description 3
- WSLDOOZREJYCGB-UHFFFAOYSA-N 1,2-Dichloroethane Chemical compound ClCCCl WSLDOOZREJYCGB-UHFFFAOYSA-N 0.000 description 3
- UNILWMWFPHPYOR-KXEYIPSPSA-M 1-[6-[2-[3-[3-[3-[2-[2-[3-[[2-[2-[[(2r)-1-[[2-[[(2r)-1-[3-[2-[2-[3-[[2-(2-amino-2-oxoethoxy)acetyl]amino]propoxy]ethoxy]ethoxy]propylamino]-3-hydroxy-1-oxopropan-2-yl]amino]-2-oxoethyl]amino]-3-[(2r)-2,3-di(hexadecanoyloxy)propyl]sulfanyl-1-oxopropan-2-yl Chemical compound O=C1C(SCCC(=O)NCCCOCCOCCOCCCNC(=O)COCC(=O)N[C@@H](CSC[C@@H](COC(=O)CCCCCCCCCCCCCCC)OC(=O)CCCCCCCCCCCCCCC)C(=O)NCC(=O)N[C@H](CO)C(=O)NCCCOCCOCCOCCCNC(=O)COCC(N)=O)CC(=O)N1CCNC(=O)CCCCCN\1C2=CC=C(S([O-])(=O)=O)C=C2CC/1=C/C=C/C=C/C1=[N+](CC)C2=CC=C(S([O-])(=O)=O)C=C2C1 UNILWMWFPHPYOR-KXEYIPSPSA-M 0.000 description 3
- TVTJUIAKQFIXCE-HUKYDQBMSA-N 2-amino-9-[(2R,3S,4S,5R)-4-fluoro-3-hydroxy-5-(hydroxymethyl)oxolan-2-yl]-7-prop-2-ynyl-1H-purine-6,8-dione Chemical compound NC=1NC(C=2N(C(N(C=2N=1)[C@@H]1O[C@@H]([C@H]([C@H]1O)F)CO)=O)CC#C)=O TVTJUIAKQFIXCE-HUKYDQBMSA-N 0.000 description 3
- QGZKDVFQNNGYKY-UHFFFAOYSA-N Ammonia Chemical compound N QGZKDVFQNNGYKY-UHFFFAOYSA-N 0.000 description 3
- VGCXGMAHQTYDJK-UHFFFAOYSA-N Chloroacetyl chloride Chemical compound ClCC(Cl)=O VGCXGMAHQTYDJK-UHFFFAOYSA-N 0.000 description 3
- 102000004877 Insulin Human genes 0.000 description 3
- 108090001061 Insulin Proteins 0.000 description 3
- 229920000168 Microcrystalline cellulose Polymers 0.000 description 3
- OPFJDXRVMFKJJO-ZHHKINOHSA-N N-{[3-(2-benzamido-4-methyl-1,3-thiazol-5-yl)-pyrazol-5-yl]carbonyl}-G-dR-G-dD-dD-dD-NH2 Chemical compound S1C(C=2NN=C(C=2)C(=O)NCC(=O)N[C@H](CCCN=C(N)N)C(=O)NCC(=O)N[C@H](CC(O)=O)C(=O)N[C@H](CC(O)=O)C(=O)N[C@H](CC(O)=O)C(N)=O)=C(C)N=C1NC(=O)C1=CC=CC=C1 OPFJDXRVMFKJJO-ZHHKINOHSA-N 0.000 description 3
- MUBZPKHOEPUJKR-UHFFFAOYSA-N Oxalic acid Chemical compound OC(=O)C(O)=O MUBZPKHOEPUJKR-UHFFFAOYSA-N 0.000 description 3
- LJOOWESTVASNOG-UFJKPHDISA-N [(1s,3r,4ar,7s,8s,8as)-3-hydroxy-8-[2-[(4r)-4-hydroxy-6-oxooxan-2-yl]ethyl]-7-methyl-1,2,3,4,4a,7,8,8a-octahydronaphthalen-1-yl] (2s)-2-methylbutanoate Chemical compound C([C@H]1[C@@H](C)C=C[C@H]2C[C@@H](O)C[C@@H]([C@H]12)OC(=O)[C@@H](C)CC)CC1C[C@@H](O)CC(=O)O1 LJOOWESTVASNOG-UFJKPHDISA-N 0.000 description 3
- 239000004480 active ingredient Substances 0.000 description 3
- 235000019445 benzyl alcohol Nutrition 0.000 description 3
- 229960004217 benzyl alcohol Drugs 0.000 description 3
- 239000008280 blood Substances 0.000 description 3
- 210000004369 blood Anatomy 0.000 description 3
- 125000000484 butyl group Chemical group [H]C([*])([H])C([H])([H])C([H])([H])C([H])([H])[H] 0.000 description 3
- 238000004587 chromatography analysis Methods 0.000 description 3
- KRKNYBCHXYNGOX-UHFFFAOYSA-N citric acid Chemical compound OC(=O)CC(O)(C(O)=O)CC(O)=O KRKNYBCHXYNGOX-UHFFFAOYSA-N 0.000 description 3
- 229940125797 compound 12 Drugs 0.000 description 3
- 229940125810 compound 20 Drugs 0.000 description 3
- 229940126086 compound 21 Drugs 0.000 description 3
- 229940125851 compound 27 Drugs 0.000 description 3
- 229940127204 compound 29 Drugs 0.000 description 3
- 238000001514 detection method Methods 0.000 description 3
- 239000003995 emulsifying agent Substances 0.000 description 3
- 238000003810 ethyl acetate extraction Methods 0.000 description 3
- 238000000605 extraction Methods 0.000 description 3
- JAXFJECJQZDFJS-XHEPKHHKSA-N gtpl8555 Chemical compound OC(=O)C[C@H](N)C(=O)N[C@@H](CCC(O)=O)C(=O)N[C@@H](C(C)C)C(=O)N[C@@H](C(C)C)C(=O)N1CCC[C@@H]1C(=O)N[C@H](B1O[C@@]2(C)[C@H]3C[C@H](C3(C)C)C[C@H]2O1)CCC1=CC=C(F)C=C1 JAXFJECJQZDFJS-XHEPKHHKSA-N 0.000 description 3
- 150000002460 imidazoles Chemical class 0.000 description 3
- 230000003914 insulin secretion Effects 0.000 description 3
- 229940016286 microcrystalline cellulose Drugs 0.000 description 3
- 235000019813 microcrystalline cellulose Nutrition 0.000 description 3
- 239000008108 microcrystalline cellulose Substances 0.000 description 3
- 150000007530 organic bases Chemical class 0.000 description 3
- 239000003960 organic solvent Substances 0.000 description 3
- NROKBHXJSPEDAR-UHFFFAOYSA-M potassium fluoride Chemical compound [F-].[K+] NROKBHXJSPEDAR-UHFFFAOYSA-M 0.000 description 3
- 235000007715 potassium iodide Nutrition 0.000 description 3
- 229960004839 potassium iodide Drugs 0.000 description 3
- 239000000843 powder Substances 0.000 description 3
- 230000036632 reaction speed Effects 0.000 description 3
- 239000011775 sodium fluoride Substances 0.000 description 3
- 235000013024 sodium fluoride Nutrition 0.000 description 3
- 239000000725 suspension Substances 0.000 description 3
- 239000003826 tablet Substances 0.000 description 3
- SYOKIDBDQMKNDQ-XWTIBIIYSA-N vildagliptin Chemical compound C1C(O)(C2)CC(C3)CC1CC32NCC(=O)N1CCC[C@H]1C#N SYOKIDBDQMKNDQ-XWTIBIIYSA-N 0.000 description 3
- PUPZLCDOIYMWBV-UHFFFAOYSA-N (+/-)-1,3-Butanediol Chemical compound CC(O)CCO PUPZLCDOIYMWBV-UHFFFAOYSA-N 0.000 description 2
- VBICKXHEKHSIBG-UHFFFAOYSA-N 1-monostearoylglycerol Chemical compound CCCCCCCCCCCCCCCCCC(=O)OCC(O)CO VBICKXHEKHSIBG-UHFFFAOYSA-N 0.000 description 2
- 150000005247 2-cyanopyrroles Chemical class 0.000 description 2
- YEDUAINPPJYDJZ-UHFFFAOYSA-N 2-hydroxybenzothiazole Chemical compound C1=CC=C2SC(O)=NC2=C1 YEDUAINPPJYDJZ-UHFFFAOYSA-N 0.000 description 2
- RJWUMFHQJJBBOD-UHFFFAOYSA-N 2-methylheptadecane Chemical compound CCCCCCCCCCCCCCCC(C)C RJWUMFHQJJBBOD-UHFFFAOYSA-N 0.000 description 2
- YBBBRJWRJBEYBN-UHFFFAOYSA-N 3-fluoroadamantan-1-amine hydrochloride Chemical compound Cl.C1C(C2)CC3CC1(N)CC2(F)C3 YBBBRJWRJBEYBN-UHFFFAOYSA-N 0.000 description 2
- 229920001817 Agar Polymers 0.000 description 2
- FBPFZTCFMRRESA-KVTDHHQDSA-N D-Mannitol Chemical compound OC[C@@H](O)[C@@H](O)[C@H](O)[C@H](O)CO FBPFZTCFMRRESA-KVTDHHQDSA-N 0.000 description 2
- KRHYYFGTRYWZRS-UHFFFAOYSA-N Fluorane Chemical compound F KRHYYFGTRYWZRS-UHFFFAOYSA-N 0.000 description 2
- VZCYOOQTPOCHFL-OWOJBTEDSA-N Fumaric acid Chemical compound OC(=O)\C=C\C(O)=O VZCYOOQTPOCHFL-OWOJBTEDSA-N 0.000 description 2
- 108010010803 Gelatin Proteins 0.000 description 2
- 239000001828 Gelatine Substances 0.000 description 2
- CPELXLSAUQHCOX-UHFFFAOYSA-N Hydrogen bromide Chemical compound Br CPELXLSAUQHCOX-UHFFFAOYSA-N 0.000 description 2
- WHUUTDBJXJRKMK-VKHMYHEASA-N L-glutamic acid Chemical compound OC(=O)[C@@H](N)CCC(O)=O WHUUTDBJXJRKMK-VKHMYHEASA-N 0.000 description 2
- 229930195725 Mannitol Natural products 0.000 description 2
- GRYLNZFGIOXLOG-UHFFFAOYSA-N Nitric acid Chemical compound O[N+]([O-])=O GRYLNZFGIOXLOG-UHFFFAOYSA-N 0.000 description 2
- 235000019483 Peanut oil Nutrition 0.000 description 2
- NBIIXXVUZAFLBC-UHFFFAOYSA-N Phosphoric acid Chemical compound OP(O)(O)=O NBIIXXVUZAFLBC-UHFFFAOYSA-N 0.000 description 2
- YASAKCUCGLMORW-UHFFFAOYSA-N Rosiglitazone Chemical compound C=1C=CC=NC=1N(C)CCOC(C=C1)=CC=C1CC1SC(=O)NC1=O YASAKCUCGLMORW-UHFFFAOYSA-N 0.000 description 2
- KJTLSVCANCCWHF-UHFFFAOYSA-N Ruthenium Chemical compound [Ru] KJTLSVCANCCWHF-UHFFFAOYSA-N 0.000 description 2
- DBMJMQXJHONAFJ-UHFFFAOYSA-M Sodium laurylsulphate Chemical compound [Na+].CCCCCCCCCCCCOS([O-])(=O)=O DBMJMQXJHONAFJ-UHFFFAOYSA-M 0.000 description 2
- 239000004141 Sodium laurylsulphate Substances 0.000 description 2
- 229930006000 Sucrose Natural products 0.000 description 2
- CZMRCDWAGMRECN-UGDNZRGBSA-N Sucrose Chemical compound O[C@H]1[C@H](O)[C@@H](CO)O[C@@]1(CO)O[C@@H]1[C@H](O)[C@@H](O)[C@H](O)[C@@H](CO)O1 CZMRCDWAGMRECN-UGDNZRGBSA-N 0.000 description 2
- 125000000218 acetic acid group Chemical group C(C)(=O)* 0.000 description 2
- 125000002252 acyl group Chemical group 0.000 description 2
- 239000008272 agar Substances 0.000 description 2
- 235000010443 alginic acid Nutrition 0.000 description 2
- 229920000615 alginic acid Polymers 0.000 description 2
- 229940024606 amino acid Drugs 0.000 description 2
- 235000001014 amino acid Nutrition 0.000 description 2
- 150000001413 amino acids Chemical class 0.000 description 2
- 238000013459 approach Methods 0.000 description 2
- HSDAJNMJOMSNEV-UHFFFAOYSA-N benzyl chloroformate Chemical compound ClC(=O)OCC1=CC=CC=C1 HSDAJNMJOMSNEV-UHFFFAOYSA-N 0.000 description 2
- 125000000051 benzyloxy group Chemical group [H]C1=C([H])C([H])=C(C([H])=C1[H])C([H])([H])O* 0.000 description 2
- 230000004071 biological effect Effects 0.000 description 2
- 239000000872 buffer Substances 0.000 description 2
- OSGAYBCDTDRGGQ-UHFFFAOYSA-L calcium sulfate Chemical compound [Ca+2].[O-]S([O-])(=O)=O OSGAYBCDTDRGGQ-UHFFFAOYSA-L 0.000 description 2
- 239000003054 catalyst Substances 0.000 description 2
- 238000006555 catalytic reaction Methods 0.000 description 2
- 210000004027 cell Anatomy 0.000 description 2
- 239000001913 cellulose Substances 0.000 description 2
- 235000010980 cellulose Nutrition 0.000 description 2
- 229920002678 cellulose Polymers 0.000 description 2
- HVYWMOMLDIMFJA-DPAQBDIFSA-N cholesterol Chemical compound C1C=C2C[C@@H](O)CC[C@]2(C)[C@@H]2[C@@H]1[C@@H]1CC[C@H]([C@H](C)CCCC(C)C)[C@@]1(C)CC2 HVYWMOMLDIMFJA-DPAQBDIFSA-N 0.000 description 2
- 238000007796 conventional method Methods 0.000 description 2
- GLNDAGDHSLMOKX-UHFFFAOYSA-N coumarin 120 Chemical compound C1=C(N)C=CC2=C1OC(=O)C=C2C GLNDAGDHSLMOKX-UHFFFAOYSA-N 0.000 description 2
- 125000001559 cyclopropyl group Chemical group [H]C1([H])C([H])([H])C1([H])* 0.000 description 2
- XBDQKXXYIPTUBI-UHFFFAOYSA-N dimethylselenoniopropionate Natural products CCC(O)=O XBDQKXXYIPTUBI-UHFFFAOYSA-N 0.000 description 2
- 239000006185 dispersion Substances 0.000 description 2
- 239000000839 emulsion Substances 0.000 description 2
- 150000002148 esters Chemical class 0.000 description 2
- 125000001495 ethyl group Chemical group [H]C([H])([H])C([H])([H])* 0.000 description 2
- 239000000945 filler Substances 0.000 description 2
- 238000001914 filtration Methods 0.000 description 2
- 238000009472 formulation Methods 0.000 description 2
- 239000008273 gelatin Substances 0.000 description 2
- 235000011852 gelatine desserts Nutrition 0.000 description 2
- 235000011187 glycerol Nutrition 0.000 description 2
- 239000008187 granular material Substances 0.000 description 2
- 230000007062 hydrolysis Effects 0.000 description 2
- 238000006460 hydrolysis reaction Methods 0.000 description 2
- NPZTUJOABDZTLV-UHFFFAOYSA-N hydroxybenzotriazole Substances O=C1C=CC=C2NNN=C12 NPZTUJOABDZTLV-UHFFFAOYSA-N 0.000 description 2
- 201000001421 hyperglycemia Diseases 0.000 description 2
- 239000005457 ice water Substances 0.000 description 2
- 239000003701 inert diluent Substances 0.000 description 2
- 239000012442 inert solvent Substances 0.000 description 2
- 239000007924 injection Substances 0.000 description 2
- 238000002347 injection Methods 0.000 description 2
- NOESYZHRGYRDHS-UHFFFAOYSA-N insulin Chemical compound N1C(=O)C(NC(=O)C(CCC(N)=O)NC(=O)C(CCC(O)=O)NC(=O)C(C(C)C)NC(=O)C(NC(=O)CN)C(C)CC)CSSCC(C(NC(CO)C(=O)NC(CC(C)C)C(=O)NC(CC=2C=CC(O)=CC=2)C(=O)NC(CCC(N)=O)C(=O)NC(CC(C)C)C(=O)NC(CCC(O)=O)C(=O)NC(CC(N)=O)C(=O)NC(CC=2C=CC(O)=CC=2)C(=O)NC(CSSCC(NC(=O)C(C(C)C)NC(=O)C(CC(C)C)NC(=O)C(CC=2C=CC(O)=CC=2)NC(=O)C(CC(C)C)NC(=O)C(C)NC(=O)C(CCC(O)=O)NC(=O)C(C(C)C)NC(=O)C(CC(C)C)NC(=O)C(CC=2NC=NC=2)NC(=O)C(CO)NC(=O)CNC2=O)C(=O)NCC(=O)NC(CCC(O)=O)C(=O)NC(CCCNC(N)=N)C(=O)NCC(=O)NC(CC=3C=CC=CC=3)C(=O)NC(CC=3C=CC=CC=3)C(=O)NC(CC=3C=CC(O)=CC=3)C(=O)NC(C(C)O)C(=O)N3C(CCC3)C(=O)NC(CCCCN)C(=O)NC(C)C(O)=O)C(=O)NC(CC(N)=O)C(O)=O)=O)NC(=O)C(C(C)CC)NC(=O)C(CO)NC(=O)C(C(C)O)NC(=O)C1CSSCC2NC(=O)C(CC(C)C)NC(=O)C(NC(=O)C(CCC(N)=O)NC(=O)C(CC(N)=O)NC(=O)C(NC(=O)C(N)CC=1C=CC=CC=1)C(C)C)CC1=CN=CN1 NOESYZHRGYRDHS-UHFFFAOYSA-N 0.000 description 2
- JVTAAEKCZFNVCJ-UHFFFAOYSA-N lactic acid Chemical compound CC(O)C(O)=O JVTAAEKCZFNVCJ-UHFFFAOYSA-N 0.000 description 2
- 239000008297 liquid dosage form Substances 0.000 description 2
- 239000000314 lubricant Substances 0.000 description 2
- 235000019359 magnesium stearate Nutrition 0.000 description 2
- 239000000594 mannitol Substances 0.000 description 2
- 235000010355 mannitol Nutrition 0.000 description 2
- 229910052751 metal Inorganic materials 0.000 description 2
- 239000002184 metal Substances 0.000 description 2
- BDAGIHXWWSANSR-UHFFFAOYSA-N methanoic acid Natural products OC=O BDAGIHXWWSANSR-UHFFFAOYSA-N 0.000 description 2
- 125000002496 methyl group Chemical group [H]C([H])([H])* 0.000 description 2
- 239000011259 mixed solution Substances 0.000 description 2
- 238000002156 mixing Methods 0.000 description 2
- 238000012986 modification Methods 0.000 description 2
- 230000004048 modification Effects 0.000 description 2
- 229910052759 nickel Inorganic materials 0.000 description 2
- 229910017604 nitric acid Inorganic materials 0.000 description 2
- 238000012856 packing Methods 0.000 description 2
- 239000000312 peanut oil Substances 0.000 description 2
- 239000000137 peptide hydrolase inhibitor Substances 0.000 description 2
- UHZYTMXLRWXGPK-UHFFFAOYSA-N phosphorus pentachloride Chemical compound ClP(Cl)(Cl)(Cl)Cl UHZYTMXLRWXGPK-UHFFFAOYSA-N 0.000 description 2
- 239000002798 polar solvent Substances 0.000 description 2
- 239000012286 potassium permanganate Substances 0.000 description 2
- 239000000047 product Substances 0.000 description 2
- 125000001436 propyl group Chemical group [H]C([*])([H])C([H])([H])C([H])([H])[H] 0.000 description 2
- 239000011541 reaction mixture Substances 0.000 description 2
- 230000009467 reduction Effects 0.000 description 2
- 230000000452 restraining effect Effects 0.000 description 2
- 229910052703 rhodium Inorganic materials 0.000 description 2
- 239000010948 rhodium Substances 0.000 description 2
- MHOVAHRLVXNVSD-UHFFFAOYSA-N rhodium atom Chemical compound [Rh] MHOVAHRLVXNVSD-UHFFFAOYSA-N 0.000 description 2
- 229910052707 ruthenium Inorganic materials 0.000 description 2
- 229920006395 saturated elastomer Polymers 0.000 description 2
- 239000008159 sesame oil Substances 0.000 description 2
- 235000011803 sesame oil Nutrition 0.000 description 2
- 235000019333 sodium laurylsulphate Nutrition 0.000 description 2
- 238000013517 stratification Methods 0.000 description 2
- 239000005720 sucrose Substances 0.000 description 2
- 239000000375 suspending agent Substances 0.000 description 2
- 239000000454 talc Substances 0.000 description 2
- 235000012222 talc Nutrition 0.000 description 2
- 229910052623 talc Inorganic materials 0.000 description 2
- 230000000699 topical effect Effects 0.000 description 2
- MEIRRNXMZYDVDW-MQQKCMAXSA-N (2E,4E)-2,4-hexadien-1-ol Chemical compound C\C=C\C=C\CO MEIRRNXMZYDVDW-MQQKCMAXSA-N 0.000 description 1
- XUFXOAAUWZOOIT-SXARVLRPSA-N (2R,3R,4R,5S,6R)-5-[[(2R,3R,4R,5S,6R)-5-[[(2R,3R,4S,5S,6R)-3,4-dihydroxy-6-methyl-5-[[(1S,4R,5S,6S)-4,5,6-trihydroxy-3-(hydroxymethyl)-1-cyclohex-2-enyl]amino]-2-oxanyl]oxy]-3,4-dihydroxy-6-(hydroxymethyl)-2-oxanyl]oxy]-6-(hydroxymethyl)oxane-2,3,4-triol Chemical compound O([C@H]1O[C@H](CO)[C@H]([C@@H]([C@H]1O)O)O[C@H]1O[C@@H]([C@H]([C@H](O)[C@H]1O)N[C@@H]1[C@@H]([C@@H](O)[C@H](O)C(CO)=C1)O)C)[C@@H]1[C@@H](CO)O[C@@H](O)[C@H](O)[C@H]1O XUFXOAAUWZOOIT-SXARVLRPSA-N 0.000 description 1
- IWZSHWBGHQBIML-ZGGLMWTQSA-N (3S,8S,10R,13S,14S,17S)-17-isoquinolin-7-yl-N,N,10,13-tetramethyl-2,3,4,7,8,9,11,12,14,15,16,17-dodecahydro-1H-cyclopenta[a]phenanthren-3-amine Chemical compound CN(C)[C@H]1CC[C@]2(C)C3CC[C@@]4(C)[C@@H](CC[C@@H]4c4ccc5ccncc5c4)[C@@H]3CC=C2C1 IWZSHWBGHQBIML-ZGGLMWTQSA-N 0.000 description 1
- 229940058015 1,3-butylene glycol Drugs 0.000 description 1
- 125000006218 1-ethylbutyl group Chemical group [H]C([H])([H])C([H])([H])C([H])([H])C([H])(*)C([H])([H])C([H])([H])[H] 0.000 description 1
- ZEMPKEQAKRGZGQ-AAKVHIHISA-N 2,3-bis[[(z)-12-hydroxyoctadec-9-enoyl]oxy]propyl (z)-12-hydroxyoctadec-9-enoate Chemical compound CCCCCCC(O)C\C=C/CCCCCCCC(=O)OCC(OC(=O)CCCCCCC\C=C/CC(O)CCCCCC)COC(=O)CCCCCCC\C=C/CC(O)CCCCCC ZEMPKEQAKRGZGQ-AAKVHIHISA-N 0.000 description 1
- QNJGTYRBSMIEHN-UHFFFAOYSA-N 2-chloroadamantane-1-carboxylic acid Chemical class C1C(C2)CC3CC2C(Cl)C1(C(=O)O)C3 QNJGTYRBSMIEHN-UHFFFAOYSA-N 0.000 description 1
- 125000006176 2-ethylbutyl group Chemical group [H]C([H])([H])C([H])([H])C([H])(C([H])([H])*)C([H])([H])C([H])([H])[H] 0.000 description 1
- 125000004493 2-methylbut-1-yl group Chemical group CC(C*)CC 0.000 description 1
- DWPIPTNBOVJYAD-UHFFFAOYSA-N 3-aminoadamantan-1-ol Chemical compound C1C(C2)CC3CC1(N)CC2(O)C3 DWPIPTNBOVJYAD-UHFFFAOYSA-N 0.000 description 1
- GMOBHRQSNDDZAD-UHFFFAOYSA-N 3-chloroadamantane-1-carboxylic acid Chemical compound C1C(C2)CC3CC2(Cl)CC1(C(=O)O)C3 GMOBHRQSNDDZAD-UHFFFAOYSA-N 0.000 description 1
- OSWFIVFLDKOXQC-UHFFFAOYSA-N 4-(3-methoxyphenyl)aniline Chemical compound COC1=CC=CC(C=2C=CC(N)=CC=2)=C1 OSWFIVFLDKOXQC-UHFFFAOYSA-N 0.000 description 1
- XVMSFILGAMDHEY-UHFFFAOYSA-N 6-(4-aminophenyl)sulfonylpyridin-3-amine Chemical compound C1=CC(N)=CC=C1S(=O)(=O)C1=CC=C(N)C=N1 XVMSFILGAMDHEY-UHFFFAOYSA-N 0.000 description 1
- FHVDTGUDJYJELY-UHFFFAOYSA-N 6-{[2-carboxy-4,5-dihydroxy-6-(phosphanyloxy)oxan-3-yl]oxy}-4,5-dihydroxy-3-phosphanyloxane-2-carboxylic acid Chemical compound O1C(C(O)=O)C(P)C(O)C(O)C1OC1C(C(O)=O)OC(OP)C(O)C1O FHVDTGUDJYJELY-UHFFFAOYSA-N 0.000 description 1
- 244000215068 Acacia senegal Species 0.000 description 1
- 229940077274 Alpha glucosidase inhibitor Drugs 0.000 description 1
- GUBGYTABKSRVRQ-XLOQQCSPSA-N Alpha-Lactose Chemical compound O[C@@H]1[C@@H](O)[C@@H](O)[C@@H](CO)O[C@H]1O[C@@H]1[C@@H](CO)O[C@H](O)[C@H](O)[C@H]1O GUBGYTABKSRVRQ-XLOQQCSPSA-N 0.000 description 1
- 239000005995 Aluminium silicate Substances 0.000 description 1
- 229940123208 Biguanide Drugs 0.000 description 1
- FBPFZTCFMRRESA-FSIIMWSLSA-N D-Glucitol Natural products OC[C@H](O)[C@H](O)[C@@H](O)[C@H](O)CO FBPFZTCFMRRESA-FSIIMWSLSA-N 0.000 description 1
- FBPFZTCFMRRESA-JGWLITMVSA-N D-glucitol Chemical compound OC[C@H](O)[C@@H](O)[C@H](O)[C@H](O)CO FBPFZTCFMRRESA-JGWLITMVSA-N 0.000 description 1
- FEWJPZIEWOKRBE-JCYAYHJZSA-N Dextrotartaric acid Chemical compound OC(=O)[C@H](O)[C@@H](O)C(O)=O FEWJPZIEWOKRBE-JCYAYHJZSA-N 0.000 description 1
- QOSSAOTZNIDXMA-UHFFFAOYSA-N Dicylcohexylcarbodiimide Chemical compound C1CCCCC1N=C=NC1CCCCC1 QOSSAOTZNIDXMA-UHFFFAOYSA-N 0.000 description 1
- 108010016626 Dipeptides Proteins 0.000 description 1
- 239000004278 EU approved seasoning Substances 0.000 description 1
- 239000001856 Ethyl cellulose Substances 0.000 description 1
- ZZSNKZQZMQGXPY-UHFFFAOYSA-N Ethyl cellulose Chemical compound CCOCC1OC(OC)C(OCC)C(OCC)C1OC1C(O)C(O)C(OC)C(CO)O1 ZZSNKZQZMQGXPY-UHFFFAOYSA-N 0.000 description 1
- 102000051325 Glucagon Human genes 0.000 description 1
- 108060003199 Glucagon Proteins 0.000 description 1
- 244000068988 Glycine max Species 0.000 description 1
- 235000010469 Glycine max Nutrition 0.000 description 1
- 229920002527 Glycogen Polymers 0.000 description 1
- 206010018473 Glycosuria Diseases 0.000 description 1
- 229920000084 Gum arabic Polymers 0.000 description 1
- 101000684208 Homo sapiens Prolyl endopeptidase FAP Proteins 0.000 description 1
- DGAQECJNVWCQMB-PUAWFVPOSA-M Ilexoside XXIX Chemical compound C[C@@H]1CC[C@@]2(CC[C@@]3(C(=CC[C@H]4[C@]3(CC[C@@H]5[C@@]4(CC[C@@H](C5(C)C)OS(=O)(=O)[O-])C)C)[C@@H]2[C@]1(C)O)C)C(=O)O[C@H]6[C@@H]([C@H]([C@@H]([C@H](O6)CO)O)O)O.[Na+] DGAQECJNVWCQMB-PUAWFVPOSA-M 0.000 description 1
- KFZMGEQAYNKOFK-UHFFFAOYSA-N Isopropanol Chemical compound CC(C)O KFZMGEQAYNKOFK-UHFFFAOYSA-N 0.000 description 1
- CKLJMWTZIZZHCS-REOHCLBHSA-N L-aspartic acid Chemical compound OC(=O)[C@@H](N)CC(O)=O CKLJMWTZIZZHCS-REOHCLBHSA-N 0.000 description 1
- GUBGYTABKSRVRQ-QKKXKWKRSA-N Lactose Natural products OC[C@H]1O[C@@H](O[C@H]2[C@H](O)[C@@H](O)C(O)O[C@@H]2CO)[C@H](O)[C@@H](O)[C@H]1O GUBGYTABKSRVRQ-QKKXKWKRSA-N 0.000 description 1
- 241000124008 Mammalia Species 0.000 description 1
- 240000003183 Manihot esculenta Species 0.000 description 1
- 235000016735 Manihot esculenta subsp esculenta Nutrition 0.000 description 1
- AFVFQIVMOAPDHO-UHFFFAOYSA-N Methanesulfonic acid Chemical compound CS(O)(=O)=O AFVFQIVMOAPDHO-UHFFFAOYSA-N 0.000 description 1
- 238000005481 NMR spectroscopy Methods 0.000 description 1
- 240000007817 Olea europaea Species 0.000 description 1
- BPQQTUXANYXVAA-UHFFFAOYSA-N Orthosilicate Chemical compound [O-][Si]([O-])([O-])[O-] BPQQTUXANYXVAA-UHFFFAOYSA-N 0.000 description 1
- TZRXHJWUDPFEEY-UHFFFAOYSA-N Pentaerythritol Tetranitrate Chemical compound [O-][N+](=O)OCC(CO[N+]([O-])=O)(CO[N+]([O-])=O)CO[N+]([O-])=O TZRXHJWUDPFEEY-UHFFFAOYSA-N 0.000 description 1
- 229920003171 Poly (ethylene oxide) Polymers 0.000 description 1
- 239000002202 Polyethylene glycol Substances 0.000 description 1
- OFOBLEOULBTSOW-UHFFFAOYSA-N Propanedioic acid Natural products OC(=O)CC(O)=O OFOBLEOULBTSOW-UHFFFAOYSA-N 0.000 description 1
- VYPSYNLAJGMNEJ-UHFFFAOYSA-N Silicium dioxide Chemical compound O=[Si]=O VYPSYNLAJGMNEJ-UHFFFAOYSA-N 0.000 description 1
- UIIMBOGNXHQVGW-DEQYMQKBSA-M Sodium bicarbonate-14C Chemical compound [Na+].O[14C]([O-])=O UIIMBOGNXHQVGW-DEQYMQKBSA-M 0.000 description 1
- DWAQJAXMDSEUJJ-UHFFFAOYSA-M Sodium bisulfite Chemical compound [Na+].OS([O-])=O DWAQJAXMDSEUJJ-UHFFFAOYSA-M 0.000 description 1
- 235000021355 Stearic acid Nutrition 0.000 description 1
- 229940100389 Sulfonylurea Drugs 0.000 description 1
- RAHZWNYVWXNFOC-UHFFFAOYSA-N Sulphur dioxide Chemical group O=S=O RAHZWNYVWXNFOC-UHFFFAOYSA-N 0.000 description 1
- 206010066901 Treatment failure Diseases 0.000 description 1
- 240000008042 Zea mays Species 0.000 description 1
- 235000016383 Zea mays subsp huehuetenangensis Nutrition 0.000 description 1
- 235000002017 Zea mays subsp mays Nutrition 0.000 description 1
- LNUFLCYMSVYYNW-ZPJMAFJPSA-N [(2r,3r,4s,5r,6r)-2-[(2r,3r,4s,5r,6r)-6-[(2r,3r,4s,5r,6r)-6-[(2r,3r,4s,5r,6r)-6-[[(3s,5s,8r,9s,10s,13r,14s,17r)-10,13-dimethyl-17-[(2r)-6-methylheptan-2-yl]-2,3,4,5,6,7,8,9,11,12,14,15,16,17-tetradecahydro-1h-cyclopenta[a]phenanthren-3-yl]oxy]-4,5-disulfo Chemical compound O([C@@H]1[C@@H](COS(O)(=O)=O)O[C@@H]([C@@H]([C@H]1OS(O)(=O)=O)OS(O)(=O)=O)O[C@@H]1[C@@H](COS(O)(=O)=O)O[C@@H]([C@@H]([C@H]1OS(O)(=O)=O)OS(O)(=O)=O)O[C@@H]1[C@@H](COS(O)(=O)=O)O[C@H]([C@@H]([C@H]1OS(O)(=O)=O)OS(O)(=O)=O)O[C@@H]1C[C@@H]2CC[C@H]3[C@@H]4CC[C@@H]([C@]4(CC[C@@H]3[C@@]2(C)CC1)C)[C@H](C)CCCC(C)C)[C@H]1O[C@H](COS(O)(=O)=O)[C@@H](OS(O)(=O)=O)[C@H](OS(O)(=O)=O)[C@H]1OS(O)(=O)=O LNUFLCYMSVYYNW-ZPJMAFJPSA-N 0.000 description 1
- 239000000205 acacia gum Substances 0.000 description 1
- 235000010489 acacia gum Nutrition 0.000 description 1
- 229960002632 acarbose Drugs 0.000 description 1
- XUFXOAAUWZOOIT-UHFFFAOYSA-N acarviostatin I01 Natural products OC1C(O)C(NC2C(C(O)C(O)C(CO)=C2)O)C(C)OC1OC(C(C1O)O)C(CO)OC1OC1C(CO)OC(O)C(O)C1O XUFXOAAUWZOOIT-UHFFFAOYSA-N 0.000 description 1
- 230000002378 acidificating effect Effects 0.000 description 1
- 150000007513 acids Chemical class 0.000 description 1
- 238000013019 agitation Methods 0.000 description 1
- 229940072056 alginate Drugs 0.000 description 1
- 239000000783 alginic acid Substances 0.000 description 1
- 229960001126 alginic acid Drugs 0.000 description 1
- 150000004781 alginic acids Chemical class 0.000 description 1
- 239000003888 alpha glucosidase inhibitor Substances 0.000 description 1
- 229910052782 aluminium Inorganic materials 0.000 description 1
- XAGFODPZIPBFFR-UHFFFAOYSA-N aluminium Chemical compound [Al] XAGFODPZIPBFFR-UHFFFAOYSA-N 0.000 description 1
- 229910000147 aluminium phosphate Inorganic materials 0.000 description 1
- 235000012211 aluminium silicate Nutrition 0.000 description 1
- WOLHOYHSEKDWQH-UHFFFAOYSA-N amantadine hydrochloride Chemical compound [Cl-].C1C(C2)CC3CC2CC1([NH3+])C3 WOLHOYHSEKDWQH-UHFFFAOYSA-N 0.000 description 1
- 150000001408 amides Chemical class 0.000 description 1
- 229910021529 ammonia Inorganic materials 0.000 description 1
- 239000003963 antioxidant agent Substances 0.000 description 1
- 230000003078 antioxidant effect Effects 0.000 description 1
- 230000006907 apoptotic process Effects 0.000 description 1
- 230000036528 appetite Effects 0.000 description 1
- 235000019789 appetite Nutrition 0.000 description 1
- 235000003704 aspartic acid Nutrition 0.000 description 1
- 239000012752 auxiliary agent Substances 0.000 description 1
- 210000000227 basophil cell of anterior lobe of hypophysis Anatomy 0.000 description 1
- 230000008901 benefit Effects 0.000 description 1
- SRSXLGNVWSONIS-UHFFFAOYSA-N benzenesulfonic acid Chemical compound OS(=O)(=O)C1=CC=CC=C1 SRSXLGNVWSONIS-UHFFFAOYSA-N 0.000 description 1
- WQZGKKKJIJFFOK-VFUOTHLCSA-N beta-D-glucose Chemical compound OC[C@H]1O[C@@H](O)[C@H](O)[C@@H](O)[C@@H]1O WQZGKKKJIJFFOK-VFUOTHLCSA-N 0.000 description 1
- OQFSQFPPLPISGP-UHFFFAOYSA-N beta-carboxyaspartic acid Natural products OC(=O)C(N)C(C(O)=O)C(O)=O OQFSQFPPLPISGP-UHFFFAOYSA-N 0.000 description 1
- 150000004283 biguanides Chemical class 0.000 description 1
- 230000033228 biological regulation Effects 0.000 description 1
- 230000001851 biosynthetic effect Effects 0.000 description 1
- 125000006267 biphenyl group Chemical group 0.000 description 1
- 230000037396 body weight Effects 0.000 description 1
- 235000019437 butane-1,3-diol Nutrition 0.000 description 1
- CJZGTCYPCWQAJB-UHFFFAOYSA-L calcium stearate Chemical compound [Ca+2].CCCCCCCCCCCCCCCCCC([O-])=O.CCCCCCCCCCCCCCCCCC([O-])=O CJZGTCYPCWQAJB-UHFFFAOYSA-L 0.000 description 1
- 235000013539 calcium stearate Nutrition 0.000 description 1
- 239000008116 calcium stearate Substances 0.000 description 1
- 238000004364 calculation method Methods 0.000 description 1
- 150000001718 carbodiimides Chemical class 0.000 description 1
- 150000001720 carbohydrates Chemical class 0.000 description 1
- 235000014633 carbohydrates Nutrition 0.000 description 1
- 125000004432 carbon atom Chemical group C* 0.000 description 1
- 150000007942 carboxylates Chemical class 0.000 description 1
- ZZASRJYLQUPYFI-UHFFFAOYSA-N chloroform;n,n-dimethylformamide Chemical compound ClC(Cl)Cl.CN(C)C=O ZZASRJYLQUPYFI-UHFFFAOYSA-N 0.000 description 1
- 230000001684 chronic effect Effects 0.000 description 1
- 208000035850 clinical syndrome Diseases 0.000 description 1
- 238000004891 communication Methods 0.000 description 1
- 229940126214 compound 3 Drugs 0.000 description 1
- 235000009508 confectionery Nutrition 0.000 description 1
- 230000002596 correlated effect Effects 0.000 description 1
- 125000004093 cyano group Chemical group *C#N 0.000 description 1
- 125000001995 cyclobutyl group Chemical group [H]C1([H])C([H])([H])C([H])(*)C1([H])[H] 0.000 description 1
- 238000013016 damping Methods 0.000 description 1
- 238000000354 decomposition reaction Methods 0.000 description 1
- 230000006837 decompression Effects 0.000 description 1
- ZICQBHNGXDOVJF-UHFFFAOYSA-N diamantane Chemical compound C1C2C3CC(C4)CC2C2C4C3CC1C2 ZICQBHNGXDOVJF-UHFFFAOYSA-N 0.000 description 1
- CSJLBAMHHLJAAS-UHFFFAOYSA-N diethylaminosulfur trifluoride Substances CCN(CC)S(F)(F)F CSJLBAMHHLJAAS-UHFFFAOYSA-N 0.000 description 1
- 230000001079 digestive effect Effects 0.000 description 1
- 230000000857 drug effect Effects 0.000 description 1
- 230000002526 effect on cardiovascular system Effects 0.000 description 1
- 230000008030 elimination Effects 0.000 description 1
- 238000003379 elimination reaction Methods 0.000 description 1
- 238000006911 enzymatic reaction Methods 0.000 description 1
- 239000004210 ether based solvent Substances 0.000 description 1
- 238000007046 ethoxylation reaction Methods 0.000 description 1
- HCPOCMMGKBZWSJ-UHFFFAOYSA-N ethyl 3-hydrazinyl-3-oxopropanoate Chemical compound CCOC(=O)CC(=O)NN HCPOCMMGKBZWSJ-UHFFFAOYSA-N 0.000 description 1
- 235000019325 ethyl cellulose Nutrition 0.000 description 1
- 229920001249 ethyl cellulose Polymers 0.000 description 1
- 230000005284 excitation Effects 0.000 description 1
- 238000002474 experimental method Methods 0.000 description 1
- 235000019197 fats Nutrition 0.000 description 1
- JEIPFZHSYJVQDO-UHFFFAOYSA-N ferric oxide Chemical compound O=[Fe]O[Fe]=O JEIPFZHSYJVQDO-UHFFFAOYSA-N 0.000 description 1
- 239000000796 flavoring agent Substances 0.000 description 1
- 235000019634 flavors Nutrition 0.000 description 1
- 235000013312 flour Nutrition 0.000 description 1
- 239000012530 fluid Substances 0.000 description 1
- 125000001153 fluoro group Chemical group F* 0.000 description 1
- 235000011194 food seasoning agent Nutrition 0.000 description 1
- 235000019253 formic acid Nutrition 0.000 description 1
- 239000001530 fumaric acid Substances 0.000 description 1
- 230000002496 gastric effect Effects 0.000 description 1
- 239000012362 glacial acetic acid Substances 0.000 description 1
- WIGIZIANZCJQQY-RUCARUNLSA-N glimepiride Chemical compound O=C1C(CC)=C(C)CN1C(=O)NCCC1=CC=C(S(=O)(=O)NC(=O)N[C@@H]2CC[C@@H](C)CC2)C=C1 WIGIZIANZCJQQY-RUCARUNLSA-N 0.000 description 1
- 229960004346 glimepiride Drugs 0.000 description 1
- MASNOZXLGMXCHN-ZLPAWPGGSA-N glucagon Chemical compound C([C@@H](C(=O)N[C@H](C(=O)N[C@@H](CCC(N)=O)C(=O)N[C@@H](CC=1C2=CC=CC=C2NC=1)C(=O)N[C@@H](CC(C)C)C(=O)N[C@@H](CCSC)C(=O)N[C@@H](CC(N)=O)C(=O)N[C@@H]([C@@H](C)O)C(O)=O)C(C)C)NC(=O)[C@H](CC(O)=O)NC(=O)[C@H](CCC(N)=O)NC(=O)[C@H](C)NC(=O)[C@H](CCCNC(N)=N)NC(=O)[C@H](CCCNC(N)=N)NC(=O)[C@H](CO)NC(=O)[C@H](CC(O)=O)NC(=O)[C@H](CC(C)C)NC(=O)[C@H](CC=1C=CC(O)=CC=1)NC(=O)[C@H](CCCCN)NC(=O)[C@H](CO)NC(=O)[C@H](CC=1C=CC(O)=CC=1)NC(=O)[C@H](CC(O)=O)NC(=O)[C@H](CO)NC(=O)[C@@H](NC(=O)[C@H](CC=1C=CC=CC=1)NC(=O)[C@@H](NC(=O)CNC(=O)[C@H](CCC(N)=O)NC(=O)[C@H](CO)NC(=O)[C@@H](N)CC=1NC=NC=1)[C@@H](C)O)[C@@H](C)O)C1=CC=CC=C1 MASNOZXLGMXCHN-ZLPAWPGGSA-N 0.000 description 1
- 229960004666 glucagon Drugs 0.000 description 1
- 229960002989 glutamic acid Drugs 0.000 description 1
- 229940075507 glyceryl monostearate Drugs 0.000 description 1
- 229940096919 glycogen Drugs 0.000 description 1
- 230000036541 health Effects 0.000 description 1
- BXWNKGSJHAJOGX-UHFFFAOYSA-N hexadecan-1-ol Chemical compound CCCCCCCCCCCCCCCCO BXWNKGSJHAJOGX-UHFFFAOYSA-N 0.000 description 1
- 125000004051 hexyl group Chemical group [H]C([H])([H])C([H])([H])C([H])([H])C([H])([H])C([H])([H])C([H])([H])* 0.000 description 1
- 229910000042 hydrogen bromide Inorganic materials 0.000 description 1
- IXCSERBJSXMMFS-UHFFFAOYSA-N hydrogen chloride Substances Cl.Cl IXCSERBJSXMMFS-UHFFFAOYSA-N 0.000 description 1
- 229910000041 hydrogen chloride Inorganic materials 0.000 description 1
- 206010020718 hyperplasia Diseases 0.000 description 1
- 230000002218 hypoglycaemic effect Effects 0.000 description 1
- 125000002883 imidazolyl group Chemical group 0.000 description 1
- 238000001727 in vivo Methods 0.000 description 1
- 238000001802 infusion Methods 0.000 description 1
- 229940102223 injectable solution Drugs 0.000 description 1
- 239000000976 ink Substances 0.000 description 1
- 229940125396 insulin Drugs 0.000 description 1
- 210000000936 intestine Anatomy 0.000 description 1
- 238000007918 intramuscular administration Methods 0.000 description 1
- 238000001990 intravenous administration Methods 0.000 description 1
- 125000000959 isobutyl group Chemical group [H]C([H])([H])C([H])(C([H])([H])[H])C([H])([H])* 0.000 description 1
- 125000004491 isohexyl group Chemical group C(CCC(C)C)* 0.000 description 1
- 125000001972 isopentyl group Chemical group [H]C([H])([H])C([H])(C([H])([H])[H])C([H])([H])C([H])([H])* 0.000 description 1
- MOYKHGMNXAOIAT-JGWLITMVSA-N isosorbide dinitrate Chemical compound [O-][N+](=O)O[C@H]1CO[C@@H]2[C@H](O[N+](=O)[O-])CO[C@@H]21 MOYKHGMNXAOIAT-JGWLITMVSA-N 0.000 description 1
- 229960000201 isosorbide dinitrate Drugs 0.000 description 1
- NLYAJNPCOHFWQQ-UHFFFAOYSA-N kaolin Chemical compound O.O.O=[Al]O[Si](=O)O[Si](=O)O[Al]=O NLYAJNPCOHFWQQ-UHFFFAOYSA-N 0.000 description 1
- 150000002576 ketones Chemical class 0.000 description 1
- 210000003734 kidney Anatomy 0.000 description 1
- 239000004310 lactic acid Substances 0.000 description 1
- 235000014655 lactic acid Nutrition 0.000 description 1
- 239000008101 lactose Substances 0.000 description 1
- 235000012204 lemonade/lime carbonate Nutrition 0.000 description 1
- 230000003902 lesion Effects 0.000 description 1
- 238000012417 linear regression Methods 0.000 description 1
- 231100000053 low toxicity Toxicity 0.000 description 1
- 235000009973 maize Nutrition 0.000 description 1
- VZCYOOQTPOCHFL-UPHRSURJSA-N maleic acid Chemical compound OC(=O)\C=C/C(O)=O VZCYOOQTPOCHFL-UPHRSURJSA-N 0.000 description 1
- 238000005259 measurement Methods 0.000 description 1
- 230000002503 metabolic effect Effects 0.000 description 1
- XZWYZXLIPXDOLR-UHFFFAOYSA-N metformin Chemical compound CN(C)C(=N)NC(N)=N XZWYZXLIPXDOLR-UHFFFAOYSA-N 0.000 description 1
- YBOYZNLGOLWXPZ-UHFFFAOYSA-N methyl 2-chloroadamantane-1-carboxylate Chemical class C1C(C2)CC3CC2C(Cl)C1(C(=O)OC)C3 YBOYZNLGOLWXPZ-UHFFFAOYSA-N 0.000 description 1
- 238000012544 monitoring process Methods 0.000 description 1
- 239000001788 mono and diglycerides of fatty acids Substances 0.000 description 1
- CQDGTJPVBWZJAZ-UHFFFAOYSA-N monoethyl carbonate Chemical compound CCOC(O)=O CQDGTJPVBWZJAZ-UHFFFAOYSA-N 0.000 description 1
- 125000000740 n-pentyl group Chemical group [H]C([H])([H])C([H])([H])C([H])([H])C([H])([H])C([H])([H])* 0.000 description 1
- OELFLUMRDSZNSF-BRWVUGGUSA-N nateglinide Chemical compound C1C[C@@H](C(C)C)CC[C@@H]1C(=O)N[C@@H](C(O)=O)CC1=CC=CC=C1 OELFLUMRDSZNSF-BRWVUGGUSA-N 0.000 description 1
- 229960000698 nateglinide Drugs 0.000 description 1
- 125000001971 neopentyl group Chemical group [H]C([*])([H])C(C([H])([H])[H])(C([H])([H])[H])C([H])([H])[H] 0.000 description 1
- 210000000653 nervous system Anatomy 0.000 description 1
- 230000000324 neuroprotective effect Effects 0.000 description 1
- QIQXTHQIDYTFRH-UHFFFAOYSA-N octadecanoic acid Chemical compound CCCCCCCCCCCCCCCCCC(O)=O QIQXTHQIDYTFRH-UHFFFAOYSA-N 0.000 description 1
- OQCDKBAXFALNLD-UHFFFAOYSA-N octadecanoic acid Natural products CCCCCCCC(C)CCCCCCCCC(O)=O OQCDKBAXFALNLD-UHFFFAOYSA-N 0.000 description 1
- 239000002674 ointment Substances 0.000 description 1
- 150000007524 organic acids Chemical class 0.000 description 1
- 239000012074 organic phase Substances 0.000 description 1
- 235000006408 oxalic acid Nutrition 0.000 description 1
- 239000012188 paraffin wax Substances 0.000 description 1
- 239000000546 pharmaceutical excipient Substances 0.000 description 1
- 239000012071 phase Substances 0.000 description 1
- 125000000951 phenoxy group Chemical group [H]C1=C([H])C([H])=C(O*)C([H])=C1[H] 0.000 description 1
- LFGREXWGYUGZLY-UHFFFAOYSA-N phosphoryl Chemical group [P]=O LFGREXWGYUGZLY-UHFFFAOYSA-N 0.000 description 1
- 230000035790 physiological processes and functions Effects 0.000 description 1
- OXNIZHLAWKMVMX-UHFFFAOYSA-N picric acid Chemical compound OC1=C([N+]([O-])=O)C=C([N+]([O-])=O)C=C1[N+]([O-])=O OXNIZHLAWKMVMX-UHFFFAOYSA-N 0.000 description 1
- 239000003880 polar aprotic solvent Substances 0.000 description 1
- 229920001223 polyethylene glycol Polymers 0.000 description 1
- 229920001184 polypeptide Polymers 0.000 description 1
- 239000013641 positive control Substances 0.000 description 1
- 229940072033 potash Drugs 0.000 description 1
- GCYXWQUSHADNBF-AAEALURTSA-N preproglucagon 78-108 Chemical compound C([C@@H](C(=O)N[C@@H]([C@@H](C)CC)C(=O)N[C@@H](C)C(=O)N[C@@H](CC=1C2=CC=CC=C2NC=1)C(=O)N[C@@H](CC(C)C)C(=O)N[C@@H](C(C)C)C(=O)N[C@@H](CCCCN)C(=O)NCC(=O)N[C@@H](CCCNC(N)=N)C(=O)NCC(O)=O)NC(=O)[C@H](CCC(O)=O)NC(=O)[C@H](CCCCN)NC(=O)[C@H](C)NC(=O)[C@H](C)NC(=O)[C@H](CCC(N)=O)NC(=O)CNC(=O)[C@H](CCC(O)=O)NC(=O)[C@H](CC(C)C)NC(=O)[C@H](CC=1C=CC(O)=CC=1)NC(=O)[C@H](CO)NC(=O)[C@H](CO)NC(=O)[C@@H](NC(=O)[C@H](CC(O)=O)NC(=O)[C@H](CO)NC(=O)[C@@H](NC(=O)[C@H](CC=1C=CC=CC=1)NC(=O)[C@@H](NC(=O)CNC(=O)[C@H](CCC(O)=O)NC(=O)[C@H](C)NC(=O)[C@@H](N)CC=1N=CNC=1)[C@@H](C)O)[C@@H](C)O)C(C)C)C1=CC=CC=C1 GCYXWQUSHADNBF-AAEALURTSA-N 0.000 description 1
- 238000007639 printing Methods 0.000 description 1
- 102000004196 processed proteins & peptides Human genes 0.000 description 1
- 108090000765 processed proteins & peptides Proteins 0.000 description 1
- 229960002429 proline Drugs 0.000 description 1
- 239000003380 propellant Substances 0.000 description 1
- 235000019260 propionic acid Nutrition 0.000 description 1
- 230000022558 protein metabolic process Effects 0.000 description 1
- 238000000746 purification Methods 0.000 description 1
- 125000000168 pyrrolyl group Chemical group 0.000 description 1
- 150000003856 quaternary ammonium compounds Chemical class 0.000 description 1
- IUVKMZGDUIUOCP-BTNSXGMBSA-N quinbolone Chemical compound O([C@H]1CC[C@H]2[C@H]3[C@@H]([C@]4(C=CC(=O)C=C4CC3)C)CC[C@@]21C)C1=CCCC1 IUVKMZGDUIUOCP-BTNSXGMBSA-N 0.000 description 1
- 239000000376 reactant Substances 0.000 description 1
- 239000011535 reaction buffer Substances 0.000 description 1
- 230000035484 reaction time Effects 0.000 description 1
- 238000006462 rearrangement reaction Methods 0.000 description 1
- 210000000664 rectum Anatomy 0.000 description 1
- 238000011160 research Methods 0.000 description 1
- 230000004044 response Effects 0.000 description 1
- 230000000979 retarding effect Effects 0.000 description 1
- 210000001525 retina Anatomy 0.000 description 1
- 230000000630 rising effect Effects 0.000 description 1
- 229960004586 rosiglitazone Drugs 0.000 description 1
- 239000012047 saturated solution Substances 0.000 description 1
- 125000002914 sec-butyl group Chemical group [H]C([H])([H])C([H])([H])C([H])(*)C([H])([H])[H] 0.000 description 1
- 125000003548 sec-pentyl group Chemical group [H]C([H])([H])C([H])([H])C([H])([H])C([H])(*)C([H])([H])[H] 0.000 description 1
- 210000000582 semen Anatomy 0.000 description 1
- 239000011257 shell material Substances 0.000 description 1
- 239000000741 silica gel Substances 0.000 description 1
- 229910002027 silica gel Inorganic materials 0.000 description 1
- RMAQACBXLXPBSY-UHFFFAOYSA-N silicic acid Chemical compound O[Si](O)(O)O RMAQACBXLXPBSY-UHFFFAOYSA-N 0.000 description 1
- 235000012239 silicon dioxide Nutrition 0.000 description 1
- 239000011734 sodium Substances 0.000 description 1
- 229910052708 sodium Inorganic materials 0.000 description 1
- 235000017557 sodium bicarbonate Nutrition 0.000 description 1
- 229910000030 sodium bicarbonate Inorganic materials 0.000 description 1
- 239000001509 sodium citrate Substances 0.000 description 1
- 235000010267 sodium hydrogen sulphite Nutrition 0.000 description 1
- 239000002594 sorbent Substances 0.000 description 1
- 239000000600 sorbitol Substances 0.000 description 1
- 229960002920 sorbitol Drugs 0.000 description 1
- 235000013599 spices Nutrition 0.000 description 1
- 239000007858 starting material Substances 0.000 description 1
- 239000008117 stearic acid Substances 0.000 description 1
- 238000007920 subcutaneous administration Methods 0.000 description 1
- 238000010254 subcutaneous injection Methods 0.000 description 1
- 239000007929 subcutaneous injection Substances 0.000 description 1
- 239000000126 substance Substances 0.000 description 1
- 235000000346 sugar Nutrition 0.000 description 1
- YROXIXLRRCOBKF-UHFFFAOYSA-N sulfonylurea Chemical class OC(=N)N=S(=O)=O YROXIXLRRCOBKF-UHFFFAOYSA-N 0.000 description 1
- YBBRCQOCSYXUOC-UHFFFAOYSA-N sulfuryl dichloride Chemical compound ClS(Cl)(=O)=O YBBRCQOCSYXUOC-UHFFFAOYSA-N 0.000 description 1
- 230000001629 suppression Effects 0.000 description 1
- 238000010189 synthetic method Methods 0.000 description 1
- 239000006188 syrup Substances 0.000 description 1
- 235000020357 syrup Nutrition 0.000 description 1
- 229940095064 tartrate Drugs 0.000 description 1
- 125000001973 tert-pentyl group Chemical group [H]C([H])([H])C([H])([H])C(*)(C([H])([H])[H])C([H])([H])[H] 0.000 description 1
- 238000012360 testing method Methods 0.000 description 1
- 229940098465 tincture Drugs 0.000 description 1
- VZCYOOQTPOCHFL-UHFFFAOYSA-N trans-butenedioic acid Natural products OC(=O)C=CC(O)=O VZCYOOQTPOCHFL-UHFFFAOYSA-N 0.000 description 1
- 230000009466 transformation Effects 0.000 description 1
- HRXKRNGNAMMEHJ-UHFFFAOYSA-K trisodium citrate Chemical compound [Na+].[Na+].[Na+].[O-]C(=O)CC(O)(CC([O-])=O)C([O-])=O HRXKRNGNAMMEHJ-UHFFFAOYSA-K 0.000 description 1
- 229940038773 trisodium citrate Drugs 0.000 description 1
- 241000701447 unidentified baculovirus Species 0.000 description 1
- 210000002700 urine Anatomy 0.000 description 1
- 230000002792 vascular Effects 0.000 description 1
- 235000013311 vegetables Nutrition 0.000 description 1
- 239000011345 viscous material Substances 0.000 description 1
- 239000001993 wax Substances 0.000 description 1
Landscapes
- Pharmaceuticals Containing Other Organic And Inorganic Compounds (AREA)
Abstract
The invention provides an inhibitor of dipeptidyl peptidase IV shown in formula (I). In the formula, R1 is hydrogen, chlorine, fluorine, bromine, hydroxide radical or alkoxy radical of C1-C6; R2 is hydrogen, fluorine, bromine or hydroxide radical; but R1 can not be the hydroxide or the alkoxy radical of C1-C6 when R2 is hydrogen; and R3 is hydrogen or fluorine. The compound can be used for treating or preventing diseases related with the dipeptidyl peptidase IV, such as diabetes mellitus, obesity and hyperlipoidemia. The invention also provides a method for preparing a compound shown in the formula (I), a preparation method of a pharmaceutically acceptable salt and a pharmaceutical composition thereof, and an application of the compound, the pharmaceutically acceptable salt and the pharmaceutical composition thereof in medicines used for treating or preventing the diseases related with the dipeptidyl peptidase IV.
Description
Technical field
The present invention relates to a class novel dipeptidyl peptidase IV (Dipeptidyl peptidases, DPP-IV) inhibitor, its preparation method with and in preparation treatment DPP-IV relevant disease medicament, particularly preparation treatment diabetes, obesity, the application in the high blood cholesterol drug.
Background of invention
Diabetes are that a kind of carbohydrate, fat and protein metabolism that causes owing to hypoinsulinism or insulin resistant is unusual, and are one group of clinical syndrome of principal character with chronic hyperglycemia (fasting plasma glucose concentration is greater than 130mg/dL) and glycosuria.The hyperglycemia that continues can cause the generation of many complication, as retina, kidney, nervous system lesion and vascular complication, especially cardiovascular complication is the main threat that the diabetic subject is disabled, so the control blood glucose level in patients is for delaying or to block the generation of complication very important.At present, the medicine of treatment diabetes B mainly contains Regular Insulin, biguanides such as N1,N1-Dimethylbiguanide, sulphonyl urine class such as glimepiride, alpha-glucosidase inhibitor such as acarbose, how to be listed as class such as nateglinide, row ketone such as rosiglitazone.But these medicines all have significant side effects except that curative effect is limited, therefore press for new more effective, safer treatment diabetes medicament.
Glucagon-like-peptide-1 (GLP-1) is by alpha Cell of islet and enteron aisle L emiocytosis, and therefore the biosynthetic effect that has glucose dependency insulin secretion accelerating and increase Regular Insulin uses GLP-1 treatment diabetes to cause the very big interest of scientist.GLP-1 is except having the effect of the insulin secretion of promotion; also have physiological function [Trends Endocrinol Metab such as the generation that promotes beta cell hyperplasia, anti-beta cell apoptosis, glucagon suppression and glycogen, depress appetite, reduction gastrointestinal emptying speed, neuroprotective cell; 1999,10 (6): 229-235].GLP-1 contains 30 amino acid whose polypeptide, and glucose and fat can stimulate its release.These characteristics of GLP-1 make it become the ideal Remedies for diabetes.The GLP-1 continuous intravenous infusion can reduce diabetic subject's blood sugar, even still effective to the patient of sulfonylurea treatment failure, but single subcutaneous injection GLP-1 is invalid, and injection is satisfactory for result under continuous 6 peritheliums.The reason that produces this phenomenon is only several minutes GLP-1 transformation period in vivo, can be removed N end dipeptides, and lose insulin secretion accelerating activity [Expert Opin.Investing.Drugs by endogenous dipeptidyl peptidase (DPP-IV) degraded rapidly, 2004,13 (9): 1091-1102].DPP-IV extensively distributes in human body, is the main metabolic enzyme of GLP-1, is bringing into play important effect in regulation and control GLP-1 activity.Therefore the active compound that suppresses DPP-IV is the DPPIV inhibitor, can strengthen the effect of GLP-1 (intestines hypoglycemic element), is expected to become novel diabetes B medicine.
Existing document and patent disclosure many DPP-IV inhibitor [Current Medicinal Chemistry, 1999,6,311-327; Biochemistry1999,38,11597-11603; Expert Opin.Investing.Drugs, 2005,15 (10): 1387-1407; Expert Opin.Ther.Patents, 2003,13 (4): 499-510].WO00/34241 discloses to have DPP-IV and suppresses active N-replacement-2-cyanopyrrole compounds, its diamantane partly is single the replacement or simple alkyl replacement, US2003/0100563 discloses the beta-amino heterocyclic DPP-IV inhibitor that is used for the treatment of diabetes, WO03/057666 discloses Cyclopropanated 2-cyanopyrrole class DPP-IV inhibitor, US2004/0171848 discloses a series of 2-cyanopyrrole compounds that contain together with the phenylbenzene side chain, WO2005/095381 discloses 2 of a class new texture, 4-dioxy-3,4-dihydropyridine DPP-IV inhibitor.
Yet these compounds are satisfactory not enough to the inhibition of dipeptidyl peptidase in the prior art, so this area presses for the highly active depeptidyl peptidase inhibitors of exploitation, so that treat various and the relevant various diseases of dipeptidyl peptidase (DPP-IV).
Summary of the invention
The purpose of this invention is to provide class novel dipeptidyl peptidase IV (Dipeptidyl peptidases, DPP-IV) inhibitor, its preparation method and an application thereof.
A first aspect of the present invention provides the compound shown in a kind of formula (I), or its each optical isomer, each crystal formation, pharmaceutically acceptable inorganic or organic salt, hydrate or solvate:
In the formula, R
1Be hydrogen, chlorine, fluorine, bromine, hydroxyl or C
1-C
6Alkoxyl group;
R
2Be hydrogen, chlorine, fluorine, bromine or hydroxyl;
R
3Be hydrogen or fluorine;
And work as R
3During for hydrogen, R
1, R
2In at least one is a halogen.
In another preference, R
1Be chlorine or fluorine.
In another preference, R
2Be hydrogen or hydroxyl.
In another preference, R
3Be fluorine.
In another preference, described compound is selected from down group:
(2S)-and 1-[(3-fluoro-5-hydroxyl-1-adamantyl) glycyl]-2-Cyanopyrolidine (YF-4);
(2S, 4S)-1-[(3-fluoro-5-hydroxyl-1-adamantyl) glycyl]-4-fluoro-2-Cyanopyrolidine (YF-12);
(2S, 4S)-1-[(3-hydroxyl-1-adamantyl) glycyl]-4-fluoro-2-Cyanopyrolidine (YF-8);
(2S)-and 1-[(3-chloro-5-hydroxyl-1-adamantyl) glycyl]-2-Cyanopyrolidine (YF-3);
(2S, 4S)-1-[(3-chloro-5-hydroxyl-1-adamantyl) glycyl]-4-fluoro-2-Cyanopyrolidine (YF-9).
A second aspect of the present invention, a kind of pharmaceutical composition is provided, it contains acceptable vehicle or carrier on the pharmacology, and above-claimed cpd of the present invention or its each optical isomer, each crystal formation, pharmaceutically acceptable inorganic or organic salt, hydrate or solvate.
A third aspect of the present invention provides the purposes of above-claimed cpd of the present invention or its each optical isomer, each crystal formation, pharmaceutically acceptable inorganic or organic salt, hydrate or solvate, and they are used to prepare the DPP-IV inhibitor.
A fourth aspect of the present invention, the purposes of above-claimed cpd of the present invention or its each optical isomer, each crystal formation, pharmacy acceptable salt, hydrate or solvate is provided, and they are used to prepare the medicine of treatment, prevention and the alleviation disease relevant with DPP-IV.
In another preference, the described disease relevant with DPP-IV is selected from diabetes, obesity, hyperlipidemia.
A fifth aspect of the present invention provides the manufacture method of above-claimed cpd of the present invention or its each optical isomer, each crystal formation, pharmacy acceptable salt, hydrate or solvate, and wherein said method comprises the steps:
In inertia solution, under the alkaline condition, make compound shown in the reaction production of compound shown in compound shown in the formula (II) and the formula (III) (I),
In the formula, R
1Be hydrogen, chlorine, fluorine, bromine, hydroxyl or C
1-C
6Alkoxyl group;
R
2Be hydrogen, chlorine, fluorine, bromine or hydroxyl;
R
3Be hydrogen or fluorine;
And work as R
3During for hydrogen, R
1, R
2In at least one is a halogen.
In another preference, in described method various, R
1Be fluorine, R
2Be hydroxyl, R
3Be hydrogen.
In another preference, in described method various, R
1Be fluorine, R
2Be hydroxyl, R
3Be fluorine.
In another preference, in described method various, R
1Be hydroxyl, R
2Be hydrogen, R
3Be fluorine.
Embodiment
The inventor has screened a large amount of compounds through extensive and deep research, and discoverable type (I) compound has very high restraining effect to DPP-IV first, is particularly suitable as the inhibitor of DPP-IV.The inventor has finished the present invention on this basis.
Activeconstituents
" compound of the present invention " is meant the compound shown in the formula (I) herein.This term also comprises the various crystal formations of formula (I) compound, pharmaceutically acceptable inorganic or organic salt, hydrate or solvate.There are one or more unsymmetrical carbons in The compounds of this invention, so general formula (I) comprises the racemic modification thing, racemic mixture, single enantiomer, non-enantiomer mixture and single diastereomer.R on the pyrrole ring in the The compounds of this invention
3With cyano group can be cis, also can be trans.
" pharmacy acceptable salt " as used herein so long as pharmaceutically acceptable salt just there is no particular limitation, can enumerate the salt that forms with acid particularly, be fit to salifiable acid and include, but is not limited to mineral acids such as hydrochloric acid, Hydrogen bromide, hydrofluoric acid, sulfuric acid, nitric acid, phosphoric acid, acidic amino acids such as organic acid such as formic acid, acetate, propionic acid, oxalic acid, propanedioic acid, succsinic acid, fumaric acid, toxilic acid, lactic acid, oxysuccinic acid, tartrate, citric acid, picric acid, methylsulfonic acid, Phenylsulfonic acid and aspartic acid, L-glutamic acid.
C
1-C
6Alkoxyl group, its alkyl can be C
1-C
6The straight or branched alkyl, can exemplify as methyl, ethyl, propyl group, sec.-propyl, cyclopropyl, cyclobutyl, butyl, isobutyl-, sec-butyl, the tertiary butyl, amyl group, isopentyl, neo-pentyl, tert-pentyl, the 1-methyl butyl, the 2-methyl-propyl, hexyl, isohexyl, the 1-methyl amyl, the 2-methyl amyl, the 3-methyl amyl, the 2-methyl butyl, 1, the 1-dimethylbutyl, 1, the 2-dimethylbutyl, 1, the 3-dimethylbutyl, 2, the 3-dimethylbutyl, 3, the 3-dimethylbutyl, the 1-ethyl-butyl, the 2-ethyl-butyl, 1,1,2-trimethylammonium propyl group, 1,2,2-trimethylammonium propyl group, 1-ethyl-1-methyl-propyl and 1-ethyl-2-methyl-propyl.In these groups, being preferably carbonatomss such as methyl, ethyl, propyl group, cyclopropyl, sec.-propyl, butyl is the individual alkyl of 1-4.
Compound title and structural formula representative in the compound shown in the formula of the present invention (I) are as follows:
| Compound | Title | R 1 | R 2 | R 3 |
| YF-1 | (2S)-and 1-[(3-fluoro-1-adamantyl) glycyl]-the 2-Cyanopyrolidine | F | H | H |
| YF-2 | (2S)-and 1-[(3-chloro-1-adamantyl) glycyl]-the 2-Cyanopyrolidine | Cl | H | H |
| YF-3 | (2S)-and 1-[(3-chloro-5-hydroxyl-1-adamantyl) glycyl]-the 2-Cyanopyrolidine | Cl | OH | H |
| YF-4 | (2S)-and 1-[(3-fluoro-5-hydroxyl-1-adamantyl) glycyl]-the 2-Cyanopyrolidine | F | OH | H |
| YF-5 | (2S)-and 1-[(3-bromo-5-hydroxyl-1-adamantyl) glycyl]-the 2-Cyanopyrolidine | Br | OH | H |
| YF-6 | (2S)-and 1-[(3-methoxyl group-5-hydroxyl-1-adamantyl) glycyl]-the 2-Cyanopyrolidine | 0CH 3 | OH | H |
| YF-7 | (2S)-and 1-[(3,5-two chloro-1-adamantyls) glycyl]-the 2-Cyanopyrolidine | Cl | Cl | H |
| YF-8 | (2S, 4S)-1-[(3-hydroxyl-1-adamantyl) glycyl]-4-fluoro-2-Cyanopyrolidine | OH | H | F |
| YF-9 | (2S, 4S)-1-[(3-chloro-5-hydroxyl-1-adamantyl) glycyl]-4-fluoro-2-Cyanopyrolidine | Cl | OH | F |
| YF-10 | (2S, 4S)-1-[(3-fluoro-1-adamantyl) glycyl]-4-fluoro-2-Cyanopyrolidine | F | H | F |
| YF-11 | (2S, 4S)-1-[(3-chloro-1-adamantyl) glycyl]-4-fluorine 2-Cyanopyrolidine | Cl | H | F |
| YF-12 | (2S, 4S)-1-[(3-fluoro-5-hydroxyl-1-adamantyl) glycyl]-4-fluoro-2-Cyanopyrolidine | F | OH | F |
[0045]The preparation method
More specifically describe the preparation method of structural formula of the present invention (I) compound below, but these concrete grammars do not constitute any restriction to the present invention.Reaction conditions in addition, for example the amount of reactant, solvent, alkali, compound used therefor, temperature of reaction, reaction required time etc. are not limited to following explanation.
The compounds of this invention can also be chosen various synthetic methods that will describe in this manual or known in the art wantonly and combine and make easily, and such combination can be easy to carry out by those skilled in the art in the invention.
In preparation method of the present invention, each reaction in inert solvent, is carried out to solvent refluxing temperature (preferred room temperature~80 ℃) at 0 ℃ usually.Reaction times is generally 0.1 hour~and 60 hours, preferably be 0.5~48 hour.
In a preference, formula of the present invention (I) compound can prepare by following route I:
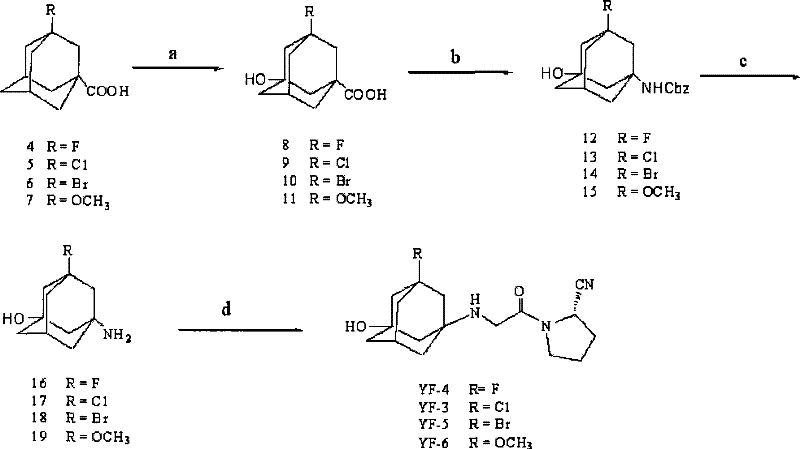
Route I
Wherein, a:SOCl
2, CCl
4, b:1-chloracetyl-2-cyanopyrrole, K
2CO
3, THF
Step 1.3-hydroxyl-1-adamantanamine hydrochloride 1[Synthetic Communications; 1988,18 (16): 1975-1978], in aprotic solvent, react high yield with chlorination reagent down and obtain 3-chloro-1-amantadine but exist in alkali.
The solvent that is fit to above-mentioned reaction is tetracol phenixin, methylene dichloride, benzene, toluene, dimethyl formamide and chloroform, and suitable alkali is triethylamine and pyridine.Chlorination reagent can be thionyl chloride, phosphorus oxychloride, phosphorus pentachloride, and temperature of reaction is the temperature that room temperature arrives solvent refluxing.
Step 2. is in organic solvent tetracol phenixin, methylene dichloride, benzene, toluene, dimethyl formamide, tetrahydrofuran (THF), dioxane, methyl tertiary butyl ether, compound 2 or compound 3[J.Chem.Soc.2000,122,466-473] under alkaline condition with (2S)-1-chloracetyl-2-cyanopyrrole [J.Med.Chem; 2003,46,2774-2789] reaction, obtain YF-1 and YF-2.
Temperature of reaction arrives in the scope of solvent refluxing temperature at 0 ℃, and optimum temps is 0~35 ℃.The alkali that uses of reaction is mineral alkalis such as organic bases such as triethylamine, pyridine or salt of wormwood, yellow soda ash, sodium hydroxide, potassium hydroxide, Potassium monofluoride, Sodium Fluoride.In reaction, add sodium iodide or potassiumiodide, with fast reaction speed.
Step 3. as required, YF-1 and YF-2 can be made into various crystal formations, pharmaceutically acceptable inorganic or organic salt, hydrate or solvate, and contain their pharmaceutical compositions as activeconstituents.
In another preference, formula of the present invention (I) compound can prepare by following route II:
Route II
Wherein, a:KMnO
4, 2%KOH; B:DPPA, BnOH, TEA, benzene; C:H
2/ Pd/C; D:1-chloracetyl-2-cyanopyrrole, K
2CO
3, THF
Adamantanecarboxylic acid compound 4~7[Chem Ber of step 1.3 replacement; 1962,95:667] in alkaline aqueous solution, oxidized 24~72 hours, be advisable in general 24 ± 2 hours, obtain the adamantanecarboxylic acid compound 8~11 that compound 5-hydroxyl-3-replaces.
The alkali that reaction is used is potassium hydroxide, sodium hydroxide, lithium hydroxide etc., and oxygenant is potassium permanganate, concentrated nitric acid, the vitriol oil etc., and 0~100 ℃ of the temperature of reaction, optimal temperature are 40~60 ℃.
Step 2. is in aprotic solvent such as tetracol phenixin, methylene dichloride, benzene, toluene, tetrahydrofuran (THF), dioxane, methyl tertiary butyl ether; adamantanecarboxylic acid compound 8~11 under alkaline condition with DPPA (two phenoxy group phosphoryl nitrine), benzylalcohol reflux; carry out rearrangement reaction, obtain 5-hydroxyl-3-replacement-(1-benzyloxycarbonyl amino)-1-adamantane compound 12~15.
Employed alkali is organic basess such as triethylamine or pyridine in the reaction.
Step 3. is in acetic acid, methyl alcohol, ethanol isopolarity protonic solvent; under 0~100 ℃ of temperature, 25 ± 5 ℃ of optimal temperatures; compound 12~15 is hydro-reduction under the catalysis of Pd/C or other metal catalyst such as nickel, rhodium, ruthenium etc.; slough the benzyloxy acyl group; obtain 5-hydroxyl-3-replacement-1-amantadine acetate 16~19, optimal solvent is an acetic acid.
Step 4. is in organic solvents such as tetracol phenixin, methylene dichloride, benzene, toluene, dimethyl formamide, tetrahydrofuran (THF), dioxane or methyl tertiary butyl ether; compound 16~19 under alkaline condition with (2S)-1-chloracetyl-2-cyanopyrrole is with mol ratio 1~10:1 reaction, obtains YF-3, YF-4, YF-5, YF-6.
Reacting optimum mol ratio is 2:1, temperature of reaction arrives in the scope of solvent refluxing temperature at 0 ℃, optimum temps is 0~35 ℃, the alkali that uses of reaction is mineral alkalis such as organic bases such as triethylamine, pyridine or salt of wormwood, yellow soda ash, sodium hydroxide, potassium hydroxide, Potassium monofluoride, Sodium Fluoride, in reaction, can add sodium iodide or potassiumiodide, with fast reaction speed.
Step 5. as required, YF-3, YF-4, YF-5, YF-6 can be made into various crystal formations, pharmaceutically acceptable inorganic or organic salt, hydrate or solvate, and contain their pharmaceutical compositions as activeconstituents.
In another preference, formula of the present invention (I) compound can prepare by following route (III):
Route III
Wherein, a:MeOH, dense H
2SO
4B SOCl
2And CCl
4C:KOH, 50%EtOH/H
2O; D:KMnO
4, 2%KOH; E:DPPA, BnOH, TEA, benzene; F:H
2/ Pd/C; G:1-chloracetyl-2-cyanopyrrole, K
2CO
3, THF
Step 1. is solvent with methyl alcohol, adds a small amount of sulfuric acid or thionyl chloride, and reflux can make carboxylate 20.
Step 2. compound 20 can obtain compound 21 with the chlorination reagent reaction in the presence of alkali in aprotic solvent.
The solvent that is suitable for above-mentioned reaction is tetracol phenixin, methylene dichloride, benzene, toluene, dimethyl formamide chloroform, the alkali that is fit to is triethylamine, pyridine, chlorination reagent can be thionyl chloride, phosphorus oxychloride, phosphorus pentachloride, and temperature of reaction is in room temperature arrives the scope of solvent refluxing temperature.
Step 3. is in the polar solvent of Ru Shui, ethanol, dioxane, and hydrolysis compound 21 can obtain compound 22 under alkaline condition.
The alkali that is fit to is lithium hydroxide, potassium hydroxide or sodium hydroxide, and temperature of reaction is 0~100 ℃, and optimum temps is 30-50 ℃.
Step 4. is used and is prepared compound 12 similar methods and can make compound 23 by compound 22.
Step 5. is used and is prepared compound 16 similar methods and can make compound 24 by compound 23.
Step 6. use with prepare compound YF-3 similar methods can be by compound 24 and (2S)-1-chloracetyl-2-cyanopyrrole makes compound YF-7.
Step 7. as required, YF-7 can be made into various crystal formations, pharmaceutically acceptable inorganic or organic salt, hydrate or solvate, and contain their pharmaceutical compositions as activeconstituents.
In another preference, formula of the present invention (I) compound can prepare by following route IV:
Route IV
Wherein, Im represents imidazolyl; A: saturated NaHCO
3, Cbz-Cl, 5-10 ℃; B: imidazoles, SO
2Cl
2, CH
2Cl
2C:HF/TEA, CH
3COOEt, 60 ℃; D:KOH, EtOH; E:EDC, HOBT, CH
3CN; F:H
2/ Pd/C; G: chloroacetyl chloride, K
2CO
3, THF, TFAA; H:3,5 two replace adamantanamine hydrochloride, K
2CO
3, THF
Step 1. is made solvent with alkali aqueous solution, (4R)-and 4-hydroxyl-L-proline methyl ester [US20040171848] and benzyloxy acyl chloride be-5~50 ℃ of reactions, obtains compound 26.
The most suitable temperature of reaction is 5~10 ℃, and the alkali that reaction is fit to is salt of wormwood, yellow soda ash, sodium bicarbonate, sodium hydroxide, potassium hydroxide.
Step 2. is made solvent with DMF or methylene dichloride under anhydrous condition, compound 26 is mixed with SULPHURYL CHLORIDE, imidazoles, is 0~50 ℃ in temperature, is preferably 20~25 ℃ of reactions 1~5 hour down, is preferably 2 hours, obtains compound 27.
Step 3. as 1, in 2-ethylene dichloride, ethyl acetate, toluene, the dimethyl formamide, is carried out the SN2 reaction with HF/TEA to the imidazoles alkylsulfonyl at polar aprotic solvent, obtains the fluoro product 28 of configuration reversal.
Temperature of reaction is 40 ℃ and arrives the solvent refluxing temperature that optimum temps is 70~80 ℃.
In addition, compound 26 and DAST react in inert solvent, also can a step make 28.
Step 4. in the polar solvent of Ru Shui, ethanol or dioxane, with lithium hydroxide, potassium hydroxide or sodium hydroxide hydrolysis compound 28, can obtain compound 29 in 30~50 ℃.
Step 5. is in dimethyl formamide or acetonitrile isopolarity aprotic solvent, with carbodiimide (EDC), N, N-dicyclohexylcarbodiimide (DCC) or block special condensing agent condensing agents such as (BOP) and make 29 reactions of I-hydroxybenzotriazole (HOBt) and compound form active ester, then and ammonia gas react, ammonia is separated the active ester of formation, obtains amide compound 30.
The temperature that reaction is fit to is 0~40 ℃, and optimal temperature is between 20~30 ℃.
Step 6. is in acetic acid, methyl alcohol, ethanol isopolarity protonic solvent; in 0~100 ℃ of temperature, be preferably under 25 ℃; make compound 30 hydro-reduction under the catalysis of Pd/C or other metal catalyst such as nickel, rhodium, ruthenium etc.; slough the benzyloxy acyl group and obtain 31; optimal solvent is an acetic acid, and optimal temperature is 10~25 ℃.
Step 7. makes compound 31 in ether solvents such as anhydrous tetrahydro furan, dioxane or methylene dichloride, chloroform, ethyl acetate, acetonitrile equal solvent, exist down in alkali, with chloroacetyl chloride 0~35 ℃ the reaction 1~10 hour after, filter, in filtrate, add trifluoroacetic anhydride again, in stirring at room 1~15 hour, obtain compound 32.
Step 8. is in organic solvent tetracol phenixin, methylene dichloride, benzene, toluene, dimethyl formamide, tetrahydrofuran (THF), dioxane, methyl tertiary butyl ether, compound 1,2,3,16,17 reacts with compound 32 under alkaline condition, obtains YF-8, YF-9, YF-10, YF-11, YF-12 respectively.
Temperature of reaction arrives between the solvent refluxing temperature at 0 ℃, optimum temps is 0~35 ℃, the alkali that uses of reaction is mineral alkalis such as organic bases such as triethylamine, pyridine or salt of wormwood, yellow soda ash, sodium hydroxide, potassium hydroxide, Potassium monofluoride, Sodium Fluoride, in reaction, add sodium iodide or potassiumiodide, with fast reaction speed.
Step 9. as required, YF-8, YF-9, YF-10, YF-11, YF-12 can be made into various crystal formations, pharmaceutically acceptable inorganic or organic salt, hydrate or solvate, and contain their pharmaceutical compositions as activeconstituents.
Pharmaceutical composition and application process
Because The compounds of this invention has excellent DPP-IV restraining effect, therefore The compounds of this invention and various crystal formation thereof, pharmaceutically acceptable inorganic or organic salt, hydrate or solvate, and to contain The compounds of this invention be that the pharmaceutical composition of main active ingredient can be used for treatment, prevention and alleviates the DPP-IV relative disease.According to prior art, The compounds of this invention can be used for treating diabetes B, obesity, hyperlipidemia.
Pharmaceutical composition of the present invention comprises on The compounds of this invention in the safety, significant quantity scope or its pharmacology acceptable vehicle or carrier on the acceptable salt and pharmacology.Wherein " safety, significant quantity " refers to: the amount of compound is enough to obviously improve the state of an illness, and is unlikely to produce severe side effect.Usually, pharmaceutical composition contains 1-1000mg The compounds of this invention/agent, and preferably 5-500mg The compounds of this invention/agent more preferably, contains 10-200mg The compounds of this invention/agent.
Acceptable salt can be made into various preparations on compound of the present invention and the pharmacology thereof, wherein comprises on The compounds of this invention in the safety, significant quantity scope or its pharmacology acceptable vehicle or carrier on the acceptable salt and pharmacology.Wherein " safety, significant quantity " refers to: the amount of compound is enough to obviously improve the state of an illness, and is unlikely to produce severe side effect.The safety of compound, significant quantity are determined according to particular cases such as age of treatment target, the state of an illness, the courses of treatment.
" acceptable vehicle or carrier on the pharmacology " refers to: one or more consistency solids or liquid filler or gelatinous mass, they are suitable for the people uses, and enough purity and enough low toxicity must be arranged." consistency " referred to herein as in the composition each component can and compound of the present invention and blending mutually between them, and the drug effect of not obvious reduction compound.On the pharmacology acceptable vehicle or carrier part example have Mierocrystalline cellulose and derivative (as Xylo-Mucine, ethyl cellulose sodium, cellulose ethanoate etc.) thereof, gelatin, talcum, solid lubricant (as stearic acid, Magnesium Stearate), calcium sulfate, vegetables oil (as soya-bean oil, sesame oil, peanut oil, olive wet goods), polyvalent alcohol (as propylene glycol, glycerine, N.F,USP MANNITOL, sorbyl alcohol etc.), emulsifying agent (as
), wetting agent (as sodium lauryl sulphate), tinting material, seasonings, stablizer, antioxidant, sanitas, apirogen water etc.
When using The compounds of this invention, can be oral, rectum, parenteral (intravenously, intramuscular or subcutaneous), topical.
The solid dosage that is used for oral administration comprises capsule, tablet, pill, powder and granule.In these solid dosages, active compound mixes with at least a conventional inert excipient (or carrier), as Trisodium Citrate or Lin Suanergai, or mixes with following compositions: (a) filler or expanding material, for example, starch, lactose, sucrose, glucose, N.F,USP MANNITOL and silicic acid; (b) tackiness agent, for example, Walocel MT 20.000PV, alginate, gelatin, Polyvinylpyrolidone (PVP), sucrose and gum arabic; (c) wetting Agent for Printing Inks, for example, glycerine; (d) disintegrating agent, for example, agar, lime carbonate, yam starch or tapioca (flour), alginic acid, some composition silicate and yellow soda ash; (e) retarding solvent, for example paraffin; (f) absorb accelerator, for example, quaternary ammonium compound; (g) wetting agent, for example hexadecanol and glyceryl monostearate; (h) sorbent material, for example, kaolin; (i) lubricant, for example, talcum, calcium stearate, Magnesium Stearate, solid polyethylene glycol, sodium lauryl sulphate, or its mixture.In capsule, tablet and the pill, formulation also can comprise buffer reagent.
Solid dosage such as tablet, sugar-pill, capsule, pill and granule can adopt dressing and the preparation of shell material, as casing and other material well known in the art.They can comprise opacifying agent, and, discharge in the mode that the release of active compound or compound can postpone in this composition certain part in digestive tube.The example of adoptable embedding component is polymeric material and Wax.In case of necessity, active compound also can with above-mentioned vehicle in one or more form microencapsulation form.
The liquid dosage form that is used for oral administration comprises pharmaceutically acceptable emulsion, solution, suspension, syrup or tincture.Except the active ingredient beyond the region of objective existence, liquid dosage form can comprise the conventional inert diluent that adopts in this area, as water or other solvent, solubilizing agent and emulsifying agent, example is known, the mixture of ethanol, Virahol, ethyl-carbonate, ethyl acetate, propylene glycol, 1,3 butylene glycol, dimethyl formamide and oil, particularly Oleum Gossypii semen, peanut oil, maize germ, sweet oil, Viscotrol C and sesame oil or these materials etc.
Except these inert diluents, composition also can comprise auxiliary agent, as wetting agent, emulsifying agent and suspension agent, sweeting agent, the agent of tender flavor and spices.
Except the active ingredient beyond the region of objective existence, suspension can comprise suspension agent, for example, and the mixture of ethoxylation isooctadecane alcohol, polyoxyethylene sorbitol and Isosorbide Dinitrate, Microcrystalline Cellulose, aluminum methylate and agar or these materials etc.
The composition that is used for parenteral injection can comprise physiologically acceptable aseptic moisture or anhydrous solution, dispersion liquid, suspension or emulsion and be used for being dissolved into again the aseptic Injectable solution or the sterilized powder of dispersion liquid.Suitable moisture and nonaqueous carrier, thinner, solvent or vehicle comprise water, ethanol, polyvalent alcohol and suitable mixture thereof.
The formulation that is used for the The compounds of this invention of topical comprises ointment, powder, patch, propellant and inhalation.Activeconstituents under aseptic condition with physiologically acceptable carrier and any sanitas, buffer reagent, or the propelling agent that may need in case of necessity is mixed together.
The compounds of this invention can be individually dosed, perhaps with other pharmaceutically acceptable compound Combined Preparation.
When making pharmaceutical composition, it is the Mammals (as the people) that the The compounds of this invention of safe and effective amount is applicable to the needs treatment, the effective dosage of dosage for pharmaceutically thinking when wherein using, for the people of 60kg body weight, day dosage is generally 1~1000mg, preferred 20~500mg.Certainly, concrete dosage also should be considered factors such as route of administration, patient health situation, and these all are within the skilled practitioners skill.
Major advantage of the present invention comprises:
(1) The compounds of this invention has stronger inhibition activity to dipeptidyl peptidase (DPP-IV).
(2) The compounds of this invention is the novel dipeptidyl peptidase of a class (DPP-IV) inhibitor.
(3) the The compounds of this invention preparation method is simple, low cost of manufacture.
Below in conjunction with specific embodiment, further set forth the present invention.Should be understood that these embodiment only to be used to the present invention is described and be not used in and limit the scope of the invention.The experimental technique of unreceipted actual conditions in the following example, usually according to normal condition, or the condition of advising according to manufacturer.Unless otherwise indicated, otherwise umber and per-cent are weight part and weight percent.
Among all embodiment, fusing point is measured with MEL-TEMP fusing point instrument, and thermometer is not proofreaied and correct;
1H-NMR Varian Mercury400 nuclear magnetic resonance analyser record, chemical shift is represented with δ (ppm); Separate and adopt silica gel, the undeclared 200-300 order that is, it is volume ratio that column chromatography and TLC detect the developping agent ratio.
Embodiment 1:(2S)-and 1-[(3-fluoro-1-adamantyl) glycyl]-2-Cyanopyrolidine (YF-1)
At room temperature; with 3-fluoro-1-adamantanamine hydrochloride (245mg; 1.45mmol), salt of wormwood (500mg; 3.6mmol) and tetrahydrofuran (THF) (15ml) add in the reaction flask together; start stirring, be added dropwise to (2S)-1-chloracetyl-2-cyanopyrrole (100mg, tetrahydrofuran solution 0.58mmol); dropwise, add sodium iodide (0.1g).Stirred reaction mixture 15h under the room temperature is with TLC (CH
2Cl
2/ MeOH=10:1) monitoring reaction.After question response is complete, cool off, filter out potash solid, the filtrate decompression solvent evaporated is directly carried out column chromatography, (developping agent: CH
2Cl
2/ MeOH=25:1) must yellow thick thing.The ether saturated solution that adds hydrogenchloride to the thick thing of yellow generates hydrochloride, obtains white solid (61mg, 12%) after the filtration.
Mp:190-200℃。
1H NMR(400MHz,CDCl
3)δ1.48-2.37(m,19H),3.36-3.68(m,4H),4.74-4.82(dd,1H)。
Embodiment 2:(2S)-and 1-[(3-chloro-1-adamantyl) glycyl]-2-Cyanopyrolidine (YF-2)
1.3-chloro-1-amantadine (compound 2)
(500mg 3mmol) is dissolved in the tetracol phenixin (20ml), and (0.5ml, 7.5mmol), stirring and refluxing 22h screws out solvent and gets thick thing (650mg, 100%) to add thionyl chloride with the 3-hydroxyadamantaneamine.Directly drop into next step reaction.
1H NMR(400MHz,CDCl
3)δ1.46-1.56(m,8H),1.97-2.07(m,6H),2.25(s,2H)。
2. glycyl (2S)-1-[(3-chloro-1-adamantyl)]-2-Cyanopyrolidine (YF-2)
With compound 2 (555mg, 3.0mmol) and (2S)-1-chloracetyl-2-cyanopyrrole (172mg, 1mmol) react by embodiment 1 method and handle white solid (54g, 5.6%).
Mp:134-138℃。
1H NMR(400MHz,CDCl
3)δ1.49-2.29(m,19H),3.35-3.59(m,4H),4.71-4.73(dd,1H)。
Embodiment 3:(2S)-and 1-[(3-chloro-5-hydroxyl-1-adamantyl) glycyl]-2-Cyanopyrolidine (YF-3)
1.3-chloro-5-hydroxyl-1-adamantanecarboxylic acid (compound 9)
With potassium permanganate (1.58g, 0.01mol) and KOH solution (2.0%, 50ml) add together in the bottle, under agitation, add in batches 3-chloro-1-adamantanecarboxylic acid (2g, 0.009mol), add finish after, be warming up to 50-60 ℃ of reaction 20h.Afterwards,, be adjusted to strongly-acid, add the sodium bisulfite solid with concentrated hydrochloric acid with the mixed solution cooling, become white up to mixed solution, cross filter solid, use ethyl acetate extraction filtrate, the extraction liquid anhydrous sodium sulfate drying, filter, be spin-dried for and be white solid compound 9 (900mg, 41%).
Mp:198-200℃。
1H NMR(400MHz,DMSO)δ1.48-1.66(m,11H),2.11(s,2H)。
2.3-chloro-5-hydroxyl-(1-benzyloxy acyl group)-1-amantadine (compound 13)
With compound 9 (820mg, 3.56mmol), DPPA (1.2g, 0.93ml, 4.2mmol), triethylamine (430mg, 0.6mmol) and benzene (60ml) add together in the reaction flask, add benzylalcohol (1.4ml, 13.5mmol) backflow 12h behind the stirring and refluxing 1h.Screw out solvent, add the ethyl acetate dilution, with saturated sodium bicarbonate solution and saturated common salt water washing, tell the organic layer anhydrous sodium sulfate drying, filter, be spin-dried for, column chromatography gets white solid compound 13 (500mg, 51%).
1H NMR(400MHz,CDCl
3)δ1.49-1.51(m,2H),1.65(s,4H),1.82-1.91(m,5H),2.23(s,2H),2.40(s,1H)4.86(s,1H),5.00(s,1H)7.26-7.32(m,5H)。
3.3-chloro-5-hydroxyl-1-amantadine acetate (compound 17)
(500g 1.49mmol) is dissolved in the Glacial acetic acid (25ml), adds Pd/C (100mg), logical hydrogen stirring at room 10h with compound 13.Filter Pd/C, steam acetate, add toluene and be spin-dried for and take unnecessary acetic acid solvent out of and get white solid compound 17 (420mg, 100%).
Mp:230-240℃。
1H NMR(400MHz,DMSO)δ1.37-1.72(m,13H),2.07(s,1H),5.74(s,2H)。
4. glycyl (2S)-1-[(3-chloro-5-hydroxyl-1-adamantyl)]-2-Cyanopyrolidine (YF-3)
With compound 17 (120mg, 0.46mmol) and (2S)-(52mg 0.30mmol) reacts by embodiment 1 method and handles to such an extent that white solid is compound YF-3 (42g, 27%) 1-chloracetyl-2-cyanopyrrole.
Mp:200-205℃。
1H NMR(400MHz,CDCl
3)δ1.23-2.31(m,18H),3.35-3.61(m,4H),4.74-4.85(dd,1H)。
Embodiment 4:(2S)-and 1-[(3-fluoro-5-hydroxyl-1-adamantyl) glycyl]-2-Cyanopyrolidine (YF-4)
With compound 16[J.Chem.Soc; 2000,122,466-473] (161mg, 0.87mmol) and (2S)-(100mg 0.58mmol) reacts by embodiment 1 method and handles to such an extent that white solid is compound YF-4 (43mg, 20%) 1-chloracetyl-2-cyanopyrrole.
Mp:220-223℃。
1H NMR(400MHz,CDCl
3)δ1.43-2.40(m,18H),3.34-3.60(m,4H),4.71-4.77(dd,1H)。
Embodiment 5:(2S)-and 1-[(3-bromo-5-hydroxyl-1-adamantyl) glycyl]-2-Cyanopyrolidine (YF-5)
With compound 18 (410mg, 1.34mmol) and (2S)-(182mg 1mmol) reacts by embodiment 1 method and handles to such an extent that white solid is compound YF-5 (42mg, 7.5%) 1-chloracetyl-2-cyanopyrrole.
Mp:148-153℃
1H NMR(300MHz,CDCl
3)δ1.49-1.67(m,11H),1.95(s,3H),2.39(s,1H),2.04-2.34(m,5H),3.33-3.66(m,4H),4.72-4.86(m,1H)。
Embodiment 6:(2S)-and 1-[(3-methoxyl group-5-hydroxyl-1-adamantyl) glycyl]-2-Cyanopyrolidine (YF-6)
With compound 19 (272mg, 1.38mmol) and (2S)-(172.5mg 1mmol) reacts by embodiment 1 method and handles to such an extent that white solid is compound YF-6 (66mg, 20%) 1-chloracetyl-2-cyanopyrrole.
Mp:167-175℃。
1H NMR(400MHz,CDCl
3)δ1.43-1.80(m,14H),2.10-2.31(m,4H),2.39(s,1H),3.25(s,1H),3.38-3.62(m,4H),4.75-4.77(m,1H)。
Embodiment 7:(2S)-and 1-[(3,5-two chloro-1-adamantyls) glycyl]-2-Cyanopyrolidine (YF-7)
1.5-hydroxyl-3-chloro-1-adamantanecarboxylic acid methyl esters (compound 20)
With compound 9 (1.7g, 7.4mmol), methyl alcohol (60ml) and the vitriol oil (0.2ml) add in the reaction flask stirring and refluxing 8h together.Screw out solvent, add the methylene dichloride dilution, use saturated sodium bicarbonate successively, the saturated nacl aqueous solution washing, the organic layer anhydrous sodium sulfate drying, filtration, be spin-dried for thick thing (2.6g, 98%).
2.3,5-two chloro-1-adamantanecarboxylic acid methyl esters (compound 21)
(2.6g 0.01mol) is dissolved in the methylene dichloride (60ml), adds thionyl chloride (2ml) stirring and refluxing 14h with compound 20.Screw out solvent and get oily matter (2.75g, 98%).Directly drop into next step reaction.
3.3,5-two chloro-1-adamantanecarboxylic acids (compound 22)
(3.6g 0.014mol) is dissolved in 50% the aqueous ethanolic solution (50ml), adds solid potassium hydroxide (852mg with starting compound 21,0.015mol) be warming up to 40 ℃ and stir 10h, cooling solution, thin up, with the 2NHCl acidifying is PH=2, filter white solid (1.8g, 56%).
4.3,5-two chloro-(1-benzyloxy acyl group)-1-amantadine (compound 23)
With compound 22 (1.8g, 0.007mol), DPPA (1.88ml, 0.0087mol), triethylamine (1.2ml, 0.0084mol) and benzene (120ml) add together in the reaction flask, add benzylalcohol (2.75ml, 0.0266mol) backflow 12h behind the stirring and refluxing 1h.The cooling back screws out solvent, adds the ethyl acetate dilution, and with saturated sodium bicarbonate solution and saturated nacl aqueous solution washing, the organic layer anhydrous sodium sulfate drying filters, and is spin-dried for successively, and column chromatography gets white solid (1.2g, 50%).(eluent: sherwood oil: ethyl acetate=2:1)
1H NMR(400MHz,CDCl
3)δ1.56-2.09(m,10H),2.28-2.35(m,4H),4.74(s,1H),5.04(s,2H),7.25-7.41(m,5H)。
5.3,5-two chloro-1-amantadine acetate (compound 24)
(1.2g 0.0036mol) is dissolved in the acetate (30ml), adds Pd/C (322mg), logical hydrogen stirring at room 2h with compound 23.Filter, be spin-dried for filtrate, add dilution with toluene, screw out viscous material (1g, 78%).
6. (2S)-1-[(3,5-two chloro-1-adamantyls) glycyl]-2-Cyanopyrolidine (YF-7)
With compound 24 (200mg, 0.71mmol) and (2S)-(60.7mg 0.48mmol) reacts by embodiment 1 method and handles to such an extent that white solid is compound YF-7 (36mg, 29%) 1-chloracetyl-2-cyanopyrrole.
Mp:155-160℃
1H NMR(400MHz,CDCl
3)δ1.51-2.32(m,18H),3.35-3.62(m,4H),4.75-4.76(dd,1H)。
Embodiment 8:(2S, 4S)-1-[(3-hydroxyl-1-adamantyl) glycyl]-4-fluorine 2-Cyanopyrolidine (YF-8)
1. (4R)-carbobenzoxy-(Cbz)-4-hydroxyl-L-proline methyl ester (compound 26)
(5.0g 27.7mmol) is dissolved in saturated NaHCO with (4R)-4-hydroxyl-L-proline methyl ester
3Solution (150ml), 5-10 ℃ of ice bath cooling, the adding chloroformic acid benzyl ester (6.0g, 6ml), stirring at room 4h, TLC detection reaction process (CH
2Cl
2/ CH
3OH=15/1).Use the extracted with diethyl ether reaction solution, with saturated NaCl washing, anhydrous sodium sulfate drying filters, and is spin-dried for, and column chromatography gets weak yellow liquid (7.75g, 100%) (eluent: petrol ether/ethyl acetate=4/1).
1H-NMR(300MHz,CDCl
3)δ7.36-7.26(5H,m),5.23-5.05(3H,m),4.53-4.47(2H,m),3.76-3.55(5H,m),2.30-2.05(1H,m)。
2. (4R)-1-carbobenzoxy-(Cbz)-4-imidazoles alkylsulfonyl-L-proline methyl ester (compound 27)
(2.00g 7.2mmol) is dissolved in the methylene dichloride (50ml) ,-20 ℃ of stirrings, drips SO with compound 26
2Cl
2(1.08g 8.0mmol), finishes, add in batches imidazoles (544mg, 8.0mmol).Be warming up to stirring at room 2h, TLC detection reaction process (petrol ether/ethyl acetate=2/1).Add water stratification, tell organic layer, the water layer dichloromethane extraction merges organic phase, and with the saturated sodium-chloride washing, anhydrous sodium sulfate drying filters, and is spin-dried for, and gets yellow liquid (2.62g, 70%).
3. (4S)-1-carbobenzoxy-(Cbz)-4-fluoro-L-proline methyl ester (compound 28)
(1.8g 6.4mmol) is dissolved in ethyl acetate (50ml), and (0.45ml 20mmol), heats up 60 ℃ and stirs 4h, heats up 70 ℃ again and reacts 12h to add HF/TEA with compound 27.TLC detection reaction process (petrol ether/ethyl acetate=1/1).Add water stratification, tell organic layer, the water layer ethyl acetate extraction, saturated sodium-chloride washs, anhydrous sodium sulfate drying, be spin-dried for yellow liquid (620mg, 62%).
1H-NMR(400MHz,CDCl
3)δ7.34-7.26(5H,m),5.19-5.03(2H,m),4.51-4.32(2H,m),4.01-3.93(1H,m),3.72-3.68(2H,m),3.61-3.52(1H,s),2.71-2.62(1H,m),2.43-2.37(1H,m)
4. (4S)-1-carbobenzoxy-(Cbz)-4-fluoro-L-proline(Pro) (compound 29)
(620mg 2.2mmol) is dissolved in 50% aqueous ethanolic solution (30ml), and (140mg 2.5mmol), is warming up to 40 ℃ and stirs 10h to add potassium hydroxide with compound 28.TLC tracking monitor (petrol ether/ethyl acetate=2/1).Cooling, thin up is used extracted with diethyl ether, the water layer hcl acidifying PH=2 of 2N.Use the dichloromethane extraction water layer, with saturated nacl aqueous solution washing, anhydrous sodium sulfate drying, filter be spin-dried for yellow liquid (560mg, 94%).
1H-NMR(400MHz,CDCl
3)δ10.73(1H,s),7.38-7.26(5H,m),5.29-5.13(2H,m),4.58-4.48(1H,m),4.41-4.40(1H,m),4.05-3.96(1H,m),3.79-3.71(1H,m),2.76-2.68(1H,m),2.53-2.49(1H,m)
5. (4S)-1-carbobenzoxy-(Cbz)-4-fluoro-L-prolineamide (compound 30)
With compound 29 (560mg 2.07mmol) is dissolved in the acetonitrile (30ml), is cooled to 0 ℃, add HOBT (338mg, 2.5mmol) and EDC (480mg, 2.5mmol), stirring at room 14h, TLC detects (petrol ether/ethyl acetate=1/4).With the frozen water cooling, add strong aqua (1ml), stir 20min, be warming up to stirring at room 20min.Add acetonitrile, the elimination insolubles, filtrate is spin-dried for, and crosses chromatography column and gets yellow liquid (380mg, 68%) (eluent: petrol ether/ethyl acetate=1/4).
1H-NMR(400MHz,CDCl
3)δ7.31-7.26(5H,s),6.75-6.39(2H,m),5.16-5.07(2H,m),4.36(2H,s),3.92(1H,s),3.67(1H,s),2.57-2.49(2H,m)
6. (4S)-4-fluoro-L-prolineamide (compound 31)
(380mg 1.6mmol) is dissolved in methyl alcohol (50ml), adds Pd/C (76mg), feeds hydrogen, stirring at room 4h with compound 30.TLC detects (CH
2Cl
2/ CH
3OH=6/1).Filter, be spin-dried for, cross chromatography column (eluent: CH
2Cl
2/ CH
3OH=6/1) get compound 31 (100mg, 53%).
1H-NMR(400MHz,DMSO)δ7.46-7.12(2H,s)4.41-4.36(1H,m),3.55-3.46(1H,dd),3.21-3.15(1H,dt),2.89-2.85(1H,dd),2.57-2.49(2H,m),1.95-1.89(1H,m)
7. (2S, 4S)-1-chloracetyl-4-fluoro-2-cyanopyrrole (compound 32)
With salt of wormwood (2.6g, 18.8mmol) and anhydrous tetrahydrofuran solution (60ml) add in the reaction flask, stir, (5-10 ℃) is added dropwise to chloroacetyl chloride (1.2g under ice-water bath, 0.88ml, 10mmol), finish, add compound 31 (627mg 3.72mmol), is warming up to stirring at room 2h in batches.Filter, filtrate is used anhydrous sodium sulfate drying, filters, and filtrate (5~10 ℃) under ice-water bath adds trifluoroacetic anhydride (2ml), stirring at room 5h.Screw out solvent, add the ethyl acetate dilution, be spin-dried for (so operating three times) again, the solution that is spin-dried for dilutes with ethyl acetate, with the sodium hydrogen carbonate solution washing, tell organic layer, the water layer ethyl acetate extraction, merge organic layer, use anhydrous sodium sulfate drying, filter, be spin-dried for, cross chromatography column (eluent: sherwood oil: ethyl acetate=1:2) yellow solid (710mg, 100%).
Mp:118-126℃。
1H NMR(300MHz,CDCl
3)δ2.31-2.76(m,2H),3.81-4.29(m,4H),4.93-5.05(dd,1H),5.36-5.55(dd,1H)。
8. (2S, 4S)-1-[(3-hydroxyl-1-adamantyl) glycyl]-4-fluorine 2-Cyanopyrolidine (YF-8)
With 3-hydroxyl-1-amantadine (145mg, 0.87mmol), salt of wormwood (200mg, 1.2mmol) and tetrahydrofuran (THF) (15ml) add in the reaction flask together, be added dropwise to compound 32 (55mg, 0.30mmol) tetrahydrofuran solution, dropwise, add sodium iodide (50mg), reaction mixture is at stirring at room 20h.By embodiment 1 method handle white solid compound YF-8 (43mg, 42%).
Mp:128-133℃。
1H NMR(300MHz,CDCl
3)δ1.48-1.87(m,15H),2.26-2.66,3.34-3.60(m,4H),4.92-5.50(dd,2H)。
Embodiment 9:(2S, 4S)-1-[(3-hydroxyl-5-chloro-1-adamantyl) glycyl]-4-fluoro-2-Cyanopyrolidine (YF-9)
With compound 17 (300mg, 1.15mmol) with compound 32 (100mg, 0.52mmol) react by embodiment 8 methods and handle white solid compound YF-9 (24mg, 10%).Mp:225-232 ℃ (decomposition).
1H NMR(400MHz,CDCl
3)δ1.52-1.69(m,10H),1.96(s,3H),2.28-2.74(m,4H),3.40-3.97(m,4H),4.95-5.19(dd,1H),5.28-5.50(dd,1H)。
Embodiment 10:(2S, 4S)-1-[(3-fluoro-1-adamantyl) glycyl]-4-fluoro-2-Cyanopyrolidine (YF-10)
With 3-fluoro-1-adamantanamine hydrochloride (160mg, 0.78mmol) with compound 32 (100mg, 0.52mmol) react by embodiment 8 methods and handle white solid compound YF-10 (94mg, 46%).Mp:165-175℃。
1H NMR(400MHz,CDCl
3)δ1.47-1.87(m,13H),2.23-2.73(m,4H),3.34-3.97(m,4H),4.91-5.10(dd,1H),5.27-5.49(dd,1H)。
Embodiment 11:(2S, 4S)-1-[(3-chloro-1-adamantyl) glycyl]-4-fluorine 2-Cyanopyrolidine (YF-11)
With compound 2 (350mg, 1.5mmol) with compound 32 (100mg, 0.52mmol) react by embodiment 8 methods and handle white solid compound YF-11 (42mg, 7%).Mp:140-145℃。
1H NMR(400MHz,CDCl
3)δ1.52-2.08(m,13H),2.23-2.73(m,4H),3.34-3.95(m,4H),4.92-5.10(dd,1H),5.27-5.49(dd,1H)。
Embodiment 12:(2S, 4S)-1-[(3-fluoro-1-adamantyl) glycyl]-4-fluorine 2-Cyanopyrolidine (YF-12)
With compound 16 (161mg, 0.87mmol) with compound 32 (100mg, 0.52mmol) react by embodiment 8 methods and handle white solid compound YF-12 (42mg, 7%).Mp:140-145℃。
1H NMR(400MHz,CDCl
3)δ1.52-2.08(m,13H),2.23-2.73(m,4H),3.34-3.95(m,4H),4.92-5.10(dd,1H),5.27-5.49(dd,1H)。
Embodiment 13.DPP-IV suppresses determination of activity
DPP-IV suppresses determination of activity can carry out with ordinary method.DPP-IV expresses and purified pure enzyme the K of pure enzyme for using baculovirus expression system
m, K
CatAll conform to, show that the pure enzyme of DPP-IV that expression and purification obtains is normal fully on zymologic property with bibliographical information.Reaction system is carried out in the damping fluid of PH7.5, and enzyme reaction substrate is L-Ala-proline(Pro)-7-amino-4-methylcoumarin (Ala-Pro-AMC).
DPP-IV degradable substrate A la-Pro-AMC generates product A MC, and AMC is produced the emission light of 460nm by the ultraviolet excitation of 355nm.Measure the activity of DPP-IV in the speed of the rising of 460nm place fluorescent value by dynamic measurement AMC.
With test-compound, enzyme and reaction buffer mixing, incubate 15min in advance at 37 ℃, add substrate and start reaction, METHOD FOR CONTINUOUS DETERMINATION 460nm fluorescent value 5min.The blank group do not add substrate is set simultaneously, substitutes the solvent control group and the LAF-237[Bioorg.Med.Chem.Lett. of test-compound with DMS0,2005,15,4770-4773] positive controls.The final volume that responds is 100ul.Each concentration of each sample is established 3 multiple holes.
At first calculate unit time fluorescence intensity in the enzyme initial velocity phase increment (unit: RFU/sec), represent the initial velocity of enzyme with this, the active percentage ratio of each concentration group of calculation sample then, formula is as follows:
V wherein
SampleThe initial velocity of each concentration group of expression sample, v
DMSOThe initial velocity of expression DMSO group
Logarithmic value with concentration is mapped to active percentage ratio, adopts non-linear regression to calculate then and fits curve, calculates the IC50 value.
The molecular structural formula of representative compounds of the present invention and the biological activity test of part of compounds the results are shown in Table 1.
Table 1 part of compounds of the present invention suppresses active to DPP-IV
Wherein LAF-237 proposes as correlated prior art, by the compound of the present invention as can be seen of the data in the table 1 the inhibition activity of DPP-IV obviously is better than DPP-IV, especially the DPP-IV of YF-1, YF-4, YF-12 inhibition specific activity LAF-237 is strong 2~5 times, therefore, The compounds of this invention has more excellent biological activity with respect to existing medicine.
Embodiment 13 pharmaceutical compositions
Compound YF-12 20g
Starch 140g
Microcrystalline Cellulose 60g
According to a conventional method, after the pharmaceutical composition of embodiment 13 gained mixed, the common gelatine capsule of packing into obtained 1000 capsules.
By similar approach, make the capsule that contains compound YF-8 or YF-4 respectively.
Embodiment 14: the preparation of capsule
Compound YF-12 50g
Starch 400g
Microcrystalline Cellulose 200g
According to a conventional method, after the pharmaceutical composition of embodiment 14 gained mixed, the common gelatine capsule of packing into obtained 1000 capsules.
By similar approach, make the capsule that contains compound YF-4 or YF-8 respectively.
All quote in this application as a reference at all documents that the present invention mentions, just quoted as a reference separately as each piece document.Should be understood that in addition those skilled in the art can make various changes or modifications the present invention after having read above-mentioned teachings of the present invention, these equivalent form of values fall within the application's appended claims institute restricted portion equally.
Claims (10)
2. compound as claimed in claim 1 is characterized in that R
1Be chlorine or fluorine.
3. compound as claimed in claim 1 is characterized in that R
2Be hydroxyl.
4. compound as claimed in claim 1 is characterized in that R
3Be fluorine.
5. compound as claimed in claim 1 is characterized in that, described compound is selected from down group:
(2S)-and 1-[(3-fluoro-5-hydroxyl-1-adamantyl) glycyl]-the 2-Cyanopyrolidine;
(2S, 4S)-1-[(3-fluoro-5-hydroxyl-1-adamantyl) glycyl]-4-fluoro-2-Cyanopyrolidine;
(2S, 4S)-1-[(3-hydroxyl-1-adamantyl) glycyl]-4-fluoro-2-Cyanopyrolidine;
(2S)-and 1-[(3-chloro-5-hydroxyl-1-adamantyl) glycyl]-the 2-Cyanopyrolidine;
(2S, 4S)-1-[(3-chloro-5-hydroxyl-1-adamantyl) glycyl]-4-fluoro-2-Cyanopyrolidine.
6. a pharmaceutical composition is characterized in that, it contains acceptable vehicle or carrier on the pharmacology, and the described compound of claim 1 or its pharmaceutically acceptable inorganic or organic salt.
7. the purposes of the pharmaceutically acceptable inorganic or organic salt of the described compound of claim 1 or its is characterized in that being used to prepare DPP IV is the DPP-IV inhibitor.
8. the purposes of the described compound of claim 1 or its pharmacy acceptable salt is characterized in that, being used to prepare treatment, prevention and alleviation is the medicine of the relevant disease of DPP-IV with DPP IV.
9. purposes as claimed in claim 8 is characterized in that, the described disease relevant with DPP IV is selected from diabetes, obesity, hyperlipidemia.
10. the method for compound shown in the preparation formula (I) is characterized in that described method comprises the steps:
In inertia solution, under the alkaline condition, make compound shown in the reaction production of compound shown in compound shown in the formula (II) and the formula (III) (I),
In the formula, R
1Be chlorine, fluorine, bromine or hydroxyl;
R
2Be hydrogen or hydroxyl;
R
3Be hydrogen or fluorine;
And work as R
3During for hydrogen, R
1, R
2In at least one is a halogen.
Priority Applications (1)
| Application Number | Priority Date | Filing Date | Title |
|---|---|---|---|
| CN2007100417607A CN101318922B (en) | 2007-06-08 | 2007-06-08 | Novel dipeptidyl peptidase restrainer, synthesizing process and uses thereof |
Applications Claiming Priority (1)
| Application Number | Priority Date | Filing Date | Title |
|---|---|---|---|
| CN2007100417607A CN101318922B (en) | 2007-06-08 | 2007-06-08 | Novel dipeptidyl peptidase restrainer, synthesizing process and uses thereof |
Publications (2)
| Publication Number | Publication Date |
|---|---|
| CN101318922A CN101318922A (en) | 2008-12-10 |
| CN101318922B true CN101318922B (en) | 2010-11-10 |
Family
ID=40179228
Family Applications (1)
| Application Number | Title | Priority Date | Filing Date |
|---|---|---|---|
| CN2007100417607A Expired - Fee Related CN101318922B (en) | 2007-06-08 | 2007-06-08 | Novel dipeptidyl peptidase restrainer, synthesizing process and uses thereof |
Country Status (1)
| Country | Link |
|---|---|
| CN (1) | CN101318922B (en) |
Families Citing this family (8)
| Publication number | Priority date | Publication date | Assignee | Title |
|---|---|---|---|---|
| CN104109111B (en) * | 2013-04-22 | 2019-02-12 | 江苏豪森药业集团有限公司 | Preparation method of belgliptin toxilate and intermediate thereof |
| CN103804267B (en) * | 2014-02-21 | 2016-06-08 | 张家港威胜生物医药有限公司 | A kind of synthesis technique of vildagliptin |
| CN103804266B (en) * | 2014-02-21 | 2016-06-08 | 张家港威胜生物医药有限公司 | A kind of synthetic method of vildagliptin intermediate |
| CN104530009B (en) * | 2015-01-13 | 2016-08-24 | 佛山市赛维斯医药科技有限公司 | Amantadine tetrazole derivant, Preparation Method And The Use |
| CN104530011B (en) * | 2015-01-13 | 2016-06-01 | 佛山市赛维斯医药科技有限公司 | A kind of itrile group diamantane tetrazotized zole compound, Preparation Method And The Use |
| CN104530012B (en) * | 2015-01-13 | 2016-06-01 | 佛山市赛维斯医药科技有限公司 | Amantadine tetrazole derivative, Preparation Method And The Use |
| CN104530010B (en) * | 2015-01-13 | 2016-06-01 | 佛山市赛维斯医药科技有限公司 | A kind of hydroxyadamantane tetrazotized zole compound, Preparation Method And The Use |
| CN104496968A (en) * | 2015-01-13 | 2015-04-08 | 佛山市赛维斯医药科技有限公司 | Compound with halogen-substituted adamantane tetrazole structure and preparation method and application thereof |
Citations (4)
| Publication number | Priority date | Publication date | Assignee | Title |
|---|---|---|---|---|
| CN1524082A (en) * | 2001-07-06 | 2004-08-25 | Beta-aminotetrahydroimidazo (1, 2-a) pyrazines and tetrahydrotriazolo (4, 3-a) pyrazines as dipeptidyl peptidase inhibitors for the treatment or prevention of diabetes | |
| US20050070719A1 (en) * | 2001-12-26 | 2005-03-31 | Sergei Belyakov | Inhibitors of dipeptidyl peptidase iv |
| CN1723196A (en) * | 2001-06-27 | 2006-01-18 | 史密丝克莱恩比彻姆公司 | Fluoropyrrolidines as dipeptidyl peptidase inhibitors |
| CN1926128A (en) * | 2004-03-15 | 2007-03-07 | 武田药品工业株式会社 | Dipeptidyl peptidase inhibitors |
-
2007
- 2007-06-08 CN CN2007100417607A patent/CN101318922B/en not_active Expired - Fee Related
Patent Citations (4)
| Publication number | Priority date | Publication date | Assignee | Title |
|---|---|---|---|---|
| CN1723196A (en) * | 2001-06-27 | 2006-01-18 | 史密丝克莱恩比彻姆公司 | Fluoropyrrolidines as dipeptidyl peptidase inhibitors |
| CN1524082A (en) * | 2001-07-06 | 2004-08-25 | Beta-aminotetrahydroimidazo (1, 2-a) pyrazines and tetrahydrotriazolo (4, 3-a) pyrazines as dipeptidyl peptidase inhibitors for the treatment or prevention of diabetes | |
| US20050070719A1 (en) * | 2001-12-26 | 2005-03-31 | Sergei Belyakov | Inhibitors of dipeptidyl peptidase iv |
| CN1926128A (en) * | 2004-03-15 | 2007-03-07 | 武田药品工业株式会社 | Dipeptidyl peptidase inhibitors |
Also Published As
| Publication number | Publication date |
|---|---|
| CN101318922A (en) | 2008-12-10 |
Similar Documents
| Publication | Publication Date | Title |
|---|---|---|
| CN101318922B (en) | Novel dipeptidyl peptidase restrainer, synthesizing process and uses thereof | |
| JP5425219B2 (en) | Amidothiazole derivatives, process for their production and use | |
| CN103739553B (en) | N-substituted imidazole carboxylate chiral compound containing ether side chain, preparation method and application | |
| BG103723A (en) | Pyrazine compounds | |
| CA2977109A1 (en) | Deuterated chenodeoxycholic acid derivative and pharmaceutical composition comprising compound thereof | |
| KR20120107526A (en) | Phenyl c-glucoside derivatives and their preparation methods and uses | |
| CN102159578A (en) | Salts of tetrahydroimidazo [1,5-a] pyrazine derivatives, preparation methods and pharmaceutical use thereof | |
| JP2017518350A (en) | Aminopyran ring derivatives and compositions and uses thereof | |
| CN105294585B (en) | A kind of compound for treating gout | |
| CN116554127B (en) | Piperazine substituted phenol derivatives and uses thereof | |
| JP2650038B2 (en) | Pyrrolitidine compounds and uses thereof | |
| US20030022904A1 (en) | Pyrazine compounds | |
| CN104109143B (en) | A kind of melatonin (MT1-MT2) receptor stimulating agent and preparation method thereof and purposes | |
| EP2578586B1 (en) | HEXAHYDROPYRROLO[3,4-b]PYRROLE DERIVATIVES, PREPARATION METHODS AND PHARMACEUTICAL USES THEREOF | |
| CN101550112B (en) | 4,5-disubstituted thiazole derivative, preparation method and use thereof | |
| CN102850330B (en) | Method for preparing N-substituted pyrrolidine derivative through bromination | |
| CN108929280A (en) | Pyrazine derivative and its preparation method and pharmaceutical composition and purposes | |
| CN117024440A (en) | A kind of terpene lactone derivative and its application in medicine | |
| CN101735218A (en) | Piperidine carbamic acid ester derivative and application thereof | |
| CN102875567B (en) | Piperazine compound and preparation and usage thereof | |
| CN101337920B (en) | Phenylalanyl pyrrolidine derivates, preparation method and application thereof | |
| CN103626722A (en) | Hypoglycemic compound of nitric oxide donor type, preparation method and purpose thereof | |
| JPS5942385A (en) | Quinazolinone derivative | |
| CN101786978A (en) | 2-lactamine derivative | |
| JP3573766B2 (en) | 2-nitroimidazol-1-yl-N-propargylacetamide |
Legal Events
| Date | Code | Title | Description |
|---|---|---|---|
| C06 | Publication | ||
| PB01 | Publication | ||
| C10 | Entry into substantive examination | ||
| SE01 | Entry into force of request for substantive examination | ||
| C14 | Grant of patent or utility model | ||
| GR01 | Patent grant | ||
| CF01 | Termination of patent right due to non-payment of annual fee | ||
| CF01 | Termination of patent right due to non-payment of annual fee |
Granted publication date: 20101110 Termination date: 20160608 |












