CN100422285C - Light-emitting layer of organic electroluminescent device and organic electroluminescent material thereof - Google Patents
Light-emitting layer of organic electroluminescent device and organic electroluminescent material thereof Download PDFInfo
- Publication number
- CN100422285C CN100422285C CNB2006100732700A CN200610073270A CN100422285C CN 100422285 C CN100422285 C CN 100422285C CN B2006100732700 A CNB2006100732700 A CN B2006100732700A CN 200610073270 A CN200610073270 A CN 200610073270A CN 100422285 C CN100422285 C CN 100422285C
- Authority
- CN
- China
- Prior art keywords
- light
- organic electroluminescent
- chemical formula
- emitting layer
- spectrum
- Prior art date
- Legal status (The legal status is an assumption and is not a legal conclusion. Google has not performed a legal analysis and makes no representation as to the accuracy of the status listed.)
- Active
Links
Images
Landscapes
- Electroluminescent Light Sources (AREA)
Abstract
一种有机电致发光器件的发光层,其由主发光体与掺杂物所组成。其中,掺杂物掺杂于主发光体中,而掺杂物的化学结构可为下列各式。
A light-emitting layer of an organic electroluminescent device is composed of a main light-emitting body and a dopant, wherein the dopant is doped into the main light-emitting body, and the chemical structure of the dopant can be the following formulas.
Description
技术领域 technical field
本发明涉及一种有机电致发光器件,特别是涉及一种有机电致发光器件的发光层及其有机电致发光材料。The invention relates to an organic electroluminescent device, in particular to a light-emitting layer of the organic electroluminescent device and its organic electroluminescent material.
背景技术 Background technique
近年来,在平面显示器的产业中,有机电致发光显示器(Organic LightEmitting Diode Display;OLED Display)因具有自发光性、高亮度、超广视角、高反应速度、低驱动电压以及重量轻等优点,而逐渐受到瞩目。但有电致发光显示器目前于市场上的占有率仍有限,因此,各大显示器制作厂皆致力于找寻最佳的制造方法,以提高生产良率与产品特性,期待能促使电致发光显示器早日于市面上普及。In recent years, in the flat panel display industry, Organic Light Emitting Diode Display (OLED Display) has the advantages of self-luminescence, high brightness, ultra-wide viewing angle, high response speed, low driving voltage and light weight. gradually gained attention. However, the current market share of electroluminescent displays is still limited. Therefore, all major display manufacturers are committed to finding the best manufacturing method to improve production yield and product characteristics, hoping to promote the early development of electroluminescent displays. popularized in the market.
有机电致发光显示器是一种自发光型的平面显示器,它的光源是来自本身通过有机发光二极管像素电流所转换而出的,所以通过调整该电流就可以决定面板的最高亮度,再透过耦接的薄膜晶体管来定义出不同的灰阶亮度。Organic electroluminescence display is a self-illuminating flat-panel display. Its light source is converted from the pixel current of organic light-emitting diode itself. Therefore, the maximum brightness of the panel can be determined by adjusting the current, and then through the coupling Connected thin film transistors are used to define different grayscale brightness.
常规的有机电致发光显示器全彩化技术为经由金属屏蔽的方式来限定红蓝绿三原色的位置。另外还有一种不需金属屏蔽的方式,其为利用彩色滤光片来过滤白光有机电致发光器件(White Organic Light Emitting Diode;WOLED)所发出的白光,并通过穿透彩色滤光片的光色来达到全彩化的目的。The conventional full-color technology of organic electroluminescent displays uses metal shielding to limit the positions of the three primary colors of red, blue and green. In addition, there is another method that does not require metal shielding, which is to use a color filter to filter the white light emitted by a white organic light emitting diode (White Organic Light Emitting Diode; WOLED), and pass through the light that passes through the color filter. color to achieve the purpose of full color.
一般来说,常规的WOLED所发出的白光系由不同波长的光混合而成。这样的白光经过彩色滤光片以后,特定波长的光会被彩色滤光片上的光阻吸收,而剩余未被吸收的光将形成单色光。然而,一般彩色滤光片的绿色滤片的光阻具有太大的穿透范围,让波长在600nm左右的橘光也将穿透绿色滤片。而一般WOLED所发出的白光在红光部分的波峰介于580nm~600nm之间,因此将有接近一半左右的红光穿透彩色滤光片的绿色滤片,使得有机电致发光显示器在绿光部分的显示效率与色彩饱和度均显得不足。Generally speaking, the white light emitted by a conventional WOLED is composed of light of different wavelengths mixed together. After such white light passes through the color filter, the light of a specific wavelength will be absorbed by the photoresist on the color filter, and the remaining unabsorbed light will form monochromatic light. However, the photoresist of the green filter of the general color filter has a too large penetration range, so that the orange light with a wavelength of about 600nm will also pass through the green filter. In general, the peak of the white light emitted by WOLED in the red part is between 580nm and 600nm, so about half of the red light will pass through the green filter of the color filter, so that the organic electroluminescent display is in green light. Part of the display efficiency and color saturation are insufficient.
发明内容 Contents of the invention
因此本发明一方面就是在提供一种有机电致发光材料,其可应用于WOLED上,使得WOLED发射出具有适当发光光谱的白光,进而让穿透彩色滤光片后的绿光具有更好的色彩饱和度。Therefore, one aspect of the present invention is to provide an organic electroluminescent material, which can be applied to WOLEDs, so that WOLEDs emit white light with an appropriate luminous spectrum, and then the green light that passes through the color filter has better Color saturation.
根据本发明的优选实施例,提出一种有机电致发光材料,其发光光谱在波长588nm以下的光强度小于20%的光谱波峰的光强度。一般而言,彩色滤光片的绿色滤片的穿透范围介于约480nm-600nn之间,故当有机电致发光材料的发光光谱在波长588nm以下的光强度相对于波峰极小时,将可有效地避免波长在588nm以下的橘光穿透彩色滤光片的绿色滤片。According to a preferred embodiment of the present invention, an organic electroluminescent material is proposed, the light intensity of the light emission spectrum below the wavelength of 588nm is less than 20% of the light intensity of the peak of the spectrum. Generally speaking, the penetration range of the green filter of the color filter is between about 480nm-600nm, so when the light intensity of the light emission spectrum of the organic electroluminescent material is extremely small relative to the peak at a wavelength of 588nm, it will be possible Effectively prevent orange light with a wavelength below 588nm from penetrating the green filter of the color filter.
更具体地说,此有机电致发光材料的发光光谱的涵盖范围是560nm~750nm。换言之,根据本实施例的有机电致发光材料为一种红光发光材料,若应用此有机电致发光材料与绿光发光材料及蓝光发光材料组合成WOLED,将使得WOLED发射出具有适当发光光谱的白光,进而让穿透彩色滤光片后的绿光具有更好的色彩饱和度。More specifically, the luminescence spectrum of the organic electroluminescent material covers a range of 560nm-750nm. In other words, the organic electroluminescent material according to this embodiment is a red light emitting material. If the organic electroluminescent material is combined with a green light emitting material and a blue light emitting material to form a WOLED, the WOLED will emit light with an appropriate light emitting spectrum. The white light, which in turn makes the green light after passing through the color filter have better color saturation.
此外,根据本实施例的有机电致发光材料的发光光谱,其波峰位于620nm-750nm之间。也就是说,应用本发明的有机电致发光材料将可使WOLED所发出的白光在红光部分的波峰进一步地在580nm~600nm提升,如此即可避免在常规技术中橘光穿透彩色滤光片的绿色滤片的问题。In addition, according to the luminescent spectrum of the organic electroluminescent material of this embodiment, its peak is located between 620nm-750nm. That is to say, the application of the organic electroluminescent material of the present invention can further increase the peak of the white light emitted by WOLED in the red light part at 580nm-600nm, so that the orange light can be avoided from passing through the color filter in the conventional technology. problem with the green filter of the film.
本发明另一方面就是在提供一种有机电致发光材料,其可应用于WOLED上,使得WOLED所发出的白光在红光部分的波峰进一步地在580nm~600nm提升,如此即可避免在常规技术中橘光穿透彩色滤光片的绿色滤片的问题。Another aspect of the present invention is to provide an organic electroluminescent material, which can be applied to WOLED, so that the peak of the white light emitted by WOLED in the red light part can be further improved at 580nm-600nm, so that it can avoid the conventional technology. The problem with the green filter of the medium orange light passing through the color filter.
根据本发明的另一优选实施例,提出一种有机电致发光材料,其发光光谱的波峰位于620nm-750nm之间。也就是说,应用本发明的有机电致发光材料将可使WOLED所发出的白光在红光部分的波峰进一步地在580nm~600nm提升,如此即可避免在常规技术中橘光穿透彩色滤光片的绿色滤片的问题。According to another preferred embodiment of the present invention, an organic electroluminescence material is proposed, the peak of its luminescence spectrum is located between 620nm-750nm. That is to say, the application of the organic electroluminescent material of the present invention can further increase the peak of the white light emitted by WOLED in the red light part at 580nm-600nm, so that the orange light can be avoided from passing through the color filter in the conventional technology. problem with the green filter of the film.
此外,根据本实施例所提出的有机电致发光材料,其发光光谱在波长588nm以下的光强度小于20%的光谱波峰的光强度。一般而言,彩色滤光片的绿色滤片的穿透范围介于约480nm-600nm之间,故当有机电致发光材料的发光光谱在波长588nm以下的光强度相对于波峰极小时,将可有效地避免波长在588nm以下的橘光穿透彩色滤光片的绿色滤片。In addition, according to the organic electroluminescent material proposed in this embodiment, the light intensity of the light emission spectrum below the wavelength of 588 nm is less than 20% of the light intensity of the peak of the spectrum. Generally speaking, the penetration range of the green filter of the color filter is between about 480nm-600nm, so when the light intensity of the light emission spectrum of the organic electroluminescent material is extremely small relative to the peak at a wavelength of 588nm, it will be possible Effectively prevent orange light with a wavelength below 588nm from penetrating the green filter of the color filter.
本发明再一方面就是在提供一种有机电致发光器件的发光层,其可发射出具有适当发光光谱的可见光,使得应用此有机电致发光器件的有机电致发光显示器能显示色彩饱和度更高的绿光。Another aspect of the present invention is to provide a light-emitting layer of an organic electroluminescent device, which can emit visible light with an appropriate light-emitting spectrum, so that an organic electroluminescent display using the organic electroluminescent device can display a higher color saturation. High green light.
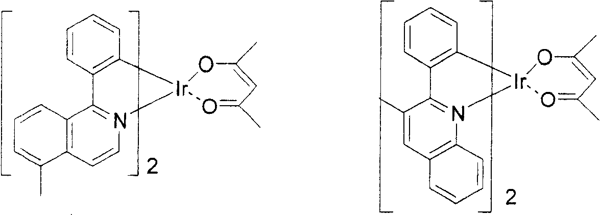
根据本发明的再一优选实施例,提出一种有机电致发光器件的发光层,其由主发光体与掺杂物所组成。其中,掺杂物掺杂于主发光体中,而掺杂物的化学结构可为:According to yet another preferred embodiment of the present invention, a light-emitting layer of an organic electroluminescent device is provided, which is composed of a main light emitter and a dopant. Wherein, the dopant is doped in the main light emitter, and the chemical structure of the dopant can be:
化学式I 化学式IIChemical formula I Chemical formula II
化学式III 化学式IVChemical formula III Chemical formula IV
化学式V 化学式VIChemical formula V Chemical formula VI
此外,上述的掺杂物可以重量百分比浓度6%~15%掺杂于主发光体中。如此即可让有机电致发光器件发射出具有适当发光光谱的可见光,使得应用此有机电致发光器件的有机电致发光显示器能显示色彩饱和度更高的绿光。In addition, the above-mentioned dopant can be doped in the main light emitter with a concentration of 6%-15% by weight. In this way, the organic electroluminescent device can emit visible light with an appropriate luminous spectrum, so that the organic electroluminescent display using the organic electroluminescent device can display green light with higher color saturation.
更具体地说,上述的发射层的发光光谱在波长588nm以下的光强度小于20%的光谱波峰的光强度。一般而言,彩色滤光片的绿色滤片的穿透范围介于约480nm-600nm之间,故当发射层的发光光谱在波长588nm以下的光强度相对于波峰极小时,将可有效地避免波长在588nm以下的橘光穿透彩色滤光片的绿色滤片。More specifically, the light intensity of the emission spectrum of the above-mentioned emitting layer below the wavelength of 588 nm is less than 20% of the light intensity of the peak of the spectrum. Generally speaking, the penetration range of the green filter of the color filter is between about 480nm-600nm, so when the light intensity of the emission spectrum of the emission layer is extremely small relative to the peak at a wavelength of 588nm, it will be effectively avoided. Orange light with a wavelength below 588nm passes through the green filter of the color filter.
此外,根据本实施例的发光层的发光光谱,其涵盖范围是560nm~750nm。换言之,该发光层为一种红光发光层,若将该发光层与绿光发光材料及蓝光发光材料组合成WOLED,将使得WOLED发射出具有适当发光光谱的白光,进而让穿透彩色滤光片后的绿光具有更好的色彩饱和度。In addition, the emission spectrum of the emission layer according to this embodiment covers a range of 560 nm˜750 nm. In other words, the light-emitting layer is a red light-emitting layer. If the light-emitting layer is combined with a green light-emitting material and a blue light-emitting material to form a WOLED, the WOLED will emit white light with an appropriate light-emitting spectrum, thereby allowing the light to pass through the color filter. The post-film green light has better color saturation.
另外,在本实施例中所提出的发光层,其发光光谱的波峰位于620nm-750nm之间。也就是说,应用本实施例的发光层将可使WOLED所发出的白光在红光部分的波峰进一步地在580nm~600nm提升,如此即可避免在常规技术中橘光穿透彩色滤光片的绿色滤片的问题。In addition, in the light-emitting layer proposed in this embodiment, the peak of the light-emitting spectrum is located between 620nm-750nm. That is to say, the application of the light-emitting layer of this embodiment will further increase the peak of the white light emitted by the WOLED in the red light part at 580nm-600nm, thus avoiding the problem of orange light penetrating the color filter in the conventional technology. The problem with the green filter.
因此,运用本发明所公开的有机电致发光器件的发光层及其有机电致发光材料,能有效解决常规有机电致发光显示器在显示绿光上显示效率及色彩饱和度不足的问题。Therefore, the use of the light-emitting layer of the organic electroluminescent device disclosed in the present invention and its organic electroluminescent material can effectively solve the problems of insufficient display efficiency and color saturation of conventional organic electroluminescent displays in displaying green light.
附图说明 Description of drawings
为让本发明的上述和其它目的、特征、优点与实施例能更明显易懂,所附图式的详细说明如下:In order to make the above and other objects, features, advantages and embodiments of the present invention more obvious and understandable, the detailed description of the accompanying drawings is as follows:
图1为示出依照本发明一个优选实施例的有机电致发光材料的一种发光光谱图。FIG. 1 is a graph showing a light emission spectrum of an organic electroluminescent material according to a preferred embodiment of the present invention.
图2为示出依照本发明另一个优选实施例的有机电致发光器件的发光层的示意图。FIG. 2 is a schematic diagram showing a light emitting layer of an organic electroluminescent device according to another preferred embodiment of the present invention.
图3为示出依照本发明一个实例的蓝光发光材料的一种发光光谱图。Fig. 3 is a diagram showing a light emission spectrum of a blue light emitting material according to an example of the present invention.
图4为示出依照本发明一个实例的绿光发光材料的一种发光光谱图。Fig. 4 is a graph showing a light emission spectrum of a green light emitting material according to an example of the present invention.
图5为示出依照本发明一个实例的WOLED的一种发光光谱图。FIG. 5 is a graph showing a light emission spectrum of a WOLED according to an example of the present invention.
主要器件符号说明Description of main device symbols
110:波峰110: crest
200:发光层200: luminous layer
210:主发光体210: main illuminant
220:掺杂物220: Adulterants
具体实施方式 Detailed ways
为了让本发明所提供的有机电致发光器件的发光层及其有机电致发光材料更加清楚,以下将以图标及详细说明清楚描述本发明的精神,本领域熟练技术人员在了解本发明的优选实施例后,可由本发明所教导的技术,加以改变及修饰,其并不脱离本发明的精神与范围。In order to make the light-emitting layer of the organic electroluminescent device provided by the present invention and its organic electroluminescent material clearer, the spirit of the present invention will be clearly described below with diagrams and detailed descriptions. Those skilled in the art will understand the preferred aspects of the present invention After the examples, the techniques taught in the present invention can be changed and modified without departing from the spirit and scope of the present invention.
参照图1,其示出依照本发明一个优选实施例的有机电致发光材料的一种发光光谱图。如图1所示,在本实施例中,提出一种有机电致发光材料,其发光光谱在波长588nm以下的光强度小于20%的光谱波峰110的光强度。一般而言,彩色滤光片的绿色滤片的穿透范围介于约480nm-600nm之间,故当有机电致发光材料的发光光谱在波长588nm以下的光强度相对于波峰极小时,将可有效地避免波长在588nm以下的橘光穿透彩色滤光片的绿色滤片。Referring to FIG. 1 , it shows a light emission spectrum diagram of an organic electroluminescent material according to a preferred embodiment of the present invention. As shown in FIG. 1 , in this embodiment, an organic electroluminescent material is proposed, the light intensity of the luminescent spectrum below the wavelength of 588 nm is less than 20% of the light intensity of the
继续参照图1,此有机电致发光材料的发光光谱的涵盖范围是560nm~750nm。换言之,根据本实施例的有机电致发光材料为一种红光发光材料,若应用此有机电致发光材料与绿光发光材料及蓝光发光材料组合成WOLED,将使得WOLED发射出具有适当发光光谱的白光,进而让穿透彩色滤光片后的绿光具有更好的色彩饱和度。Continuing to refer to FIG. 1 , the luminescence spectrum of the organic electroluminescence material covers a range of 560 nm to 750 nm. In other words, the organic electroluminescent material according to this embodiment is a red light emitting material. If the organic electroluminescent material is combined with a green light emitting material and a blue light emitting material to form a WOLED, the WOLED will emit light with an appropriate light emitting spectrum. The white light, which in turn makes the green light after passing through the color filter have better color saturation.
此外,本实施例的有机电致发光材料,其发光光谱的波峰位于620nm-750nm之间。也就是说,应用本发明的有机电致发光材料将可使WOLED所发出的白光在红光部分的波峰进一步地在580nm~600nm提升,如此即可避免在常规技术中橘光穿透彩色滤光片的绿色滤片的问题。In addition, the organic electroluminescence material of this embodiment has a peak of its luminescence spectrum located between 620nm-750nm. That is to say, the application of the organic electroluminescent material of the present invention can further increase the peak of the white light emitted by WOLED in the red light part at 580nm-600nm, so that the orange light can be avoided from passing through the color filter in the conventional technology. problem with the green filter of the film.
参照图2,其示出依照本发明另一优选实施例的有机电致发光器件的发光层的示意图。值得注意得是,为了方便说明起见,图2并未按照实际比例绘制。在本实施例中,提出一种有机电致发光器件的发光层200,其为由主发光体210与掺杂物220所组成。其中,掺杂物掺杂于主发光体中,而掺杂物的化学结构可为:Referring to FIG. 2 , it shows a schematic diagram of a light-emitting layer of an organic electroluminescent device according to another preferred embodiment of the present invention. It should be noted that, for convenience of explanation, Fig. 2 is not drawn in actual scale. In this embodiment, a
化学式I 化学式IIChemical formula I Chemical formula II
化学式III 化学式IVChemical formula III Chemical formula IV
化学式V 化学式VIChemical formula V Chemical formula VI
其中,各化学式表示的掺杂物可参见如下:化学式I:Adachi,M.A.Baldo,S.R.Forrest,S.Lamansky,M.E.Thompson,R.C.Kwong,Apply.Phys.Lett.,78,1662(2001);化学式II:Y.J.Su,H.L.Huang,C.L.Li,C.H.Chien,Y.T.Tao,P.T.Chou,S.Datta,R.S.Liu,Adv.Mater.,15,884(2003);化学式III:US2003/0072964A1;化学式IV:J.P.Duan,P.P.Sun,C.H.Cheng,Adv,Mater.,15,224(2003);化学式V:C.H.Yang,C.C.Tai,I.W.Sun,J.ater.Chem.,14,947(2004);化学式VI:US2003/0072964A1。Wherein, the dopant represented by each chemical formula can be referred to as follows: Chemical formula I: Adachi, M.A.Baldo, S.R.Forrest, S.Lamansky, M.E.Thompson, R.C.Kwong, Apply.Phys.Lett., 78,1662 (2001); Chemical formula II : Y.J.Su, H.L.Huang, C.L.Li, C.H.Chien, Y.T.Tao, P.T.Chou, S.Datta, R.S.Liu, Adv.Mater., 15,884 (2003); Chemical formula III: US2003/0072964A1; Chemical formula IV: J.P.Duan , P.P.Sun, C.H.Cheng, Adv, Mater., 15, 224 (2003); Chemical formula V: C.H.Yang, C.C.Tai, I.W.Sun, J.ater.Chem., 14, 947 (2004); Chemical formula VI: US2003/ 0072964A1.
此外,上述的掺杂物可以重量百分比浓度6%~15%掺杂于主发光体中。如此即可让有机电致发光器件发射出具有适当发光光谱的可见光,使得应用此有机电致发光器件的有机电致发光显示器能显示色彩饱和度更高的绿光。In addition, the above-mentioned dopant can be doped in the main light emitter with a concentration of 6%-15% by weight. In this way, the organic electroluminescent device can emit visible light with an appropriate luminous spectrum, so that the organic electroluminescent display using the organic electroluminescent device can display green light with higher color saturation.
此外,根据本实施例的发光层的发光光谱,其涵盖范围是560nm~750nm。换言之,此发光层为一种红光发光层,若将此发光层与绿光发光材料及蓝光发光材料组合成WOLED,将使得WOLED发射出具有适当发光光谱的白光,进而让穿透彩色滤光片后的绿光具有更好的色彩饱和度。In addition, the emission spectrum of the emission layer according to this embodiment covers a range of 560 nm˜750 nm. In other words, the light-emitting layer is a red light-emitting layer. If this light-emitting layer is combined with a green light-emitting material and a blue light-emitting material to form a WOLED, the WOLED will emit white light with an appropriate light-emitting spectrum, thereby allowing the light to pass through the color filter. The post-film green light has better color saturation.
在本实施例中所提出的发光层,其发光光谱的波峰位于620nm-750nm之间。也就是说,应用本实施例的发光层将可使WOLED所发出的白光在红光部分的波峰进一步地在580nm~600nm提升,如此即可避免在常规技术中橘光穿透彩色滤光片的绿色滤片的问题。In the light emitting layer proposed in this embodiment, the peak of the light emitting spectrum is located between 620nm-750nm. That is to say, the application of the light-emitting layer of this embodiment will further increase the peak of the white light emitted by the WOLED in the red light part at 580nm-600nm, thus avoiding the problem of orange light penetrating the color filter in the conventional technology. The problem with the green filter.
以下将以本发明的非限制性实例来说明依照本发明的优选实施例所制造出来的有机电致发光显示器的显示效果。在本实例的有机电致发光显示器中所使用的彩色滤光片系常规的彩色滤光片,其绿色滤片的穿透范围为约580nm-620nm。应用常规的WOLED所发出的白光穿透此彩色滤光片后,所显示出红蓝绿三种色光及其组成的白光的色彩坐标CIE值如表1所示:The display effect of the organic electroluminescent display manufactured according to the preferred embodiment of the present invention will be described below with a non-limiting example of the present invention. The color filter used in the organic electroluminescence display of this example is a conventional color filter, and the penetration range of the green filter is about 580nm-620nm. After the white light emitted by the conventional WOLED passes through the color filter, the three color lights of red, blue and green and the color coordinate CIE values of the white light are shown in Table 1:
表1:常规WOLED所发出的白光经彩色滤光片后的色彩坐标Table 1: Color coordinates of white light emitted by conventional WOLEDs after passing through color filters
由表1可知,应用常规WOLED所发出的白光穿透彩色滤光片后,所显示的绿光在色彩饱和度的表现上不佳。其原因在于彩色滤光片的绿色滤片的光阻具有太大的穿透范围,让波长在600nm左右的橘光也将穿透绿色滤片。It can be known from Table 1 that after the white light emitted by the conventional WOLED passes through the color filter, the displayed green light has poor color saturation. The reason is that the photoresist of the green filter of the color filter has a too large penetration range, so that the orange light with a wavelength of about 600nm will also pass through the green filter.
在本实例中,在WOLED部分将由本发明所公开的红光发光材料与蓝光发光材料及绿光发光材料组成。其中,红光发光材料的发光光谱如图1所示,蓝光发光材料的发光光谱如图3所示,而绿光发光材料的发光光谱则如图4所示。应用上述的红光发光材料、蓝光发光材料及绿光发光材料所组成的WOLED,其发光光谱如图5所示。值得注意得是,该WLOED所发射的白光在红光部分的波峰位于约625nm,该数值比常规的WOLED高。本实例的WOLED所发射的白光穿透彩色滤光片后,所显示出红蓝绿三种色光及其组成的白光的色彩坐标CIE值如表2所示:In this example, the WOLED part will be composed of the red light emitting material disclosed in the present invention, the blue light emitting material and the green light emitting material. Wherein, the emission spectrum of the red light emitting material is shown in FIG. 1 , the light emitting spectrum of the blue light emitting material is shown in FIG. 3 , and the light emitting spectrum of the green light emitting material is shown in FIG. 4 . The luminescent spectrum of the WOLED composed of the above-mentioned red luminescent material, blue luminescent material and green luminescent material is shown in FIG. 5 . It is worth noting that the peak of the white light emitted by the WLOED in the red part is located at about 625nm, which is higher than that of the conventional WOLED. After the white light emitted by the WOLED of this example passes through the color filter, the displayed red, blue and green colors and the CIE values of the color coordinates of the white light are shown in Table 2:
表2:本实例的WOLED所发出的白光经彩色滤光片后的色彩坐标Table 2: The color coordinates of the white light emitted by the WOLED of this example after passing through the color filter
由表2可知,应用本实例的WOLED所发出的白光穿透彩色滤光片后,所显示的绿光在色彩饱和度的表现上确实比常规的WOLED好。It can be seen from Table 2 that after the white light emitted by the WOLED of this example passes through the color filter, the displayed green light is indeed better than the conventional WOLED in terms of color saturation.
综上所述,运用本发明所公开的有机电致发光器件的发光层及其有机电致发光材料,能有效解决常规有机电致发光显示器在显示绿光上显示效率及色彩饱和度不足的问题。In summary, the use of the light-emitting layer of the organic electroluminescent device disclosed in the present invention and its organic electroluminescent material can effectively solve the problems of insufficient display efficiency and color saturation of conventional organic electroluminescent displays in displaying green light .
虽然本发明已以优选实施例公开如上,然而其并非用以限定本发明,任何本领域熟练技术人员,在不脱离本发明的精神和范围内,当可作各种的更改和修饰,因此本发明的保护范围以所附的权利要求范围为准。Although the present invention has been disclosed above with preferred embodiments, it is not intended to limit the present invention. Any person skilled in the art may make various changes and modifications without departing from the spirit and scope of the present invention. Therefore, the present invention The scope of protection of the invention is subject to the scope of the appended claims.
Claims (8)
Priority Applications (1)
| Application Number | Priority Date | Filing Date | Title |
|---|---|---|---|
| CNB2006100732700A CN100422285C (en) | 2006-04-06 | 2006-04-06 | Light-emitting layer of organic electroluminescent device and organic electroluminescent material thereof |
Applications Claiming Priority (1)
| Application Number | Priority Date | Filing Date | Title |
|---|---|---|---|
| CNB2006100732700A CN100422285C (en) | 2006-04-06 | 2006-04-06 | Light-emitting layer of organic electroluminescent device and organic electroluminescent material thereof |
Related Child Applications (1)
| Application Number | Title | Priority Date | Filing Date |
|---|---|---|---|
| CNA2008101617978A Division CN101368096A (en) | 2006-04-06 | 2006-04-06 | Light-emitting layer of organic electroluminescent device and organic electroluminescent material thereof |
Publications (2)
| Publication Number | Publication Date |
|---|---|
| CN1837325A CN1837325A (en) | 2006-09-27 |
| CN100422285C true CN100422285C (en) | 2008-10-01 |
Family
ID=37014836
Family Applications (1)
| Application Number | Title | Priority Date | Filing Date |
|---|---|---|---|
| CNB2006100732700A Active CN100422285C (en) | 2006-04-06 | 2006-04-06 | Light-emitting layer of organic electroluminescent device and organic electroluminescent material thereof |
Country Status (1)
| Country | Link |
|---|---|
| CN (1) | CN100422285C (en) |
Families Citing this family (1)
| Publication number | Priority date | Publication date | Assignee | Title |
|---|---|---|---|---|
| KR101691610B1 (en) | 2008-02-12 | 2017-01-02 | 유디씨 아일랜드 리미티드 | Electroluminescent metal complexes with dibenzo[f,h]quinoxalines |
Citations (4)
| Publication number | Priority date | Publication date | Assignee | Title |
|---|---|---|---|---|
| US20030072964A1 (en) * | 2001-10-17 | 2003-04-17 | Kwong Raymond C. | Phosphorescent compounds and devices comprising the same |
| CN1449640A (en) * | 2000-06-30 | 2003-10-15 | 纳幕尔杜邦公司 | Electroluminescent iridium compounds with fluorinated phenylpyridines, phenylpyrimidines, and phenylquinolines and devices made with such |
| US20040086743A1 (en) * | 2002-11-06 | 2004-05-06 | Brown Cory S. | Organometallic compounds for use in electroluminescent devices |
| US20050027123A1 (en) * | 2001-03-14 | 2005-02-03 | Canon Kabushiki Kaisha | Metal coordination compound, luminescence device and display apparatus |
-
2006
- 2006-04-06 CN CNB2006100732700A patent/CN100422285C/en active Active
Patent Citations (5)
| Publication number | Priority date | Publication date | Assignee | Title |
|---|---|---|---|---|
| CN1449640A (en) * | 2000-06-30 | 2003-10-15 | 纳幕尔杜邦公司 | Electroluminescent iridium compounds with fluorinated phenylpyridines, phenylpyrimidines, and phenylquinolines and devices made with such |
| US20050027123A1 (en) * | 2001-03-14 | 2005-02-03 | Canon Kabushiki Kaisha | Metal coordination compound, luminescence device and display apparatus |
| US6869694B2 (en) * | 2001-03-14 | 2005-03-22 | Canon Kabushiki Kaisha | Metal coordination compound, luminescence device and display apparatus |
| US20030072964A1 (en) * | 2001-10-17 | 2003-04-17 | Kwong Raymond C. | Phosphorescent compounds and devices comprising the same |
| US20040086743A1 (en) * | 2002-11-06 | 2004-05-06 | Brown Cory S. | Organometallic compounds for use in electroluminescent devices |
Also Published As
| Publication number | Publication date |
|---|---|
| CN1837325A (en) | 2006-09-27 |
Similar Documents
| Publication | Publication Date | Title |
|---|---|---|
| CN104966725B (en) | A kind of light emitting diode with quantum dots display | |
| TWI448534B (en) | Organic electroluminescence device | |
| CN104037205A (en) | Oled pixel structure | |
| KR101419247B1 (en) | White Organic Emitting Device and Display Device Using the Same | |
| CN104051672A (en) | OLED pixel structure | |
| CN104037310B (en) | Three-primary-color matching white-light LED based on carbon quantum dots and ZnCuInS quantum dots and preparation method thereof | |
| CN104425736A (en) | White organic light emitting device | |
| WO2017206213A1 (en) | Oled device and oled display | |
| CN105226159B (en) | electroluminescent white light device | |
| CN102842273B (en) | Display device | |
| CN103219473A (en) | White organic light emitting device with single light emitting layer structure | |
| CN102169965A (en) | An OLED device and a manufacturing method thereof | |
| Tung et al. | 5.2: A High Efficiency Phosphorescent White OLED for LCD Backlight and Display Applications | |
| CN100422285C (en) | Light-emitting layer of organic electroluminescent device and organic electroluminescent material thereof | |
| TWI331484B (en) | Organic emmitting material for oled | |
| CN103236423B (en) | A kind of mixed lighting white light parts | |
| CN106094339B (en) | Display panel and display device | |
| CN101562234A (en) | Organic electroluminescent display element | |
| Varghe et al. | Synthesis and characterization of energy-efficient Mq2 (M= Zn, Cd, Ca, and Sr) organometallic complexes for OLED display applications | |
| CN101368096A (en) | Light-emitting layer of organic electroluminescent device and organic electroluminescent material thereof | |
| CN107026242B (en) | A kind of organic iridium of dark blue light (III) complex OLED device | |
| Im et al. | Strong microcavity effects in hybrid quantum dot/blue organic light-emitting diodes using Ag based electrode | |
| CN1329128A (en) | Rare-earth organic electroluminescence white light emitting material | |
| CN102270747A (en) | Organic electroluminescent device | |
| CN101728491B (en) | White organic luminescent element and preparation method thereof |
Legal Events
| Date | Code | Title | Description |
|---|---|---|---|
| C06 | Publication | ||
| PB01 | Publication | ||
| C10 | Entry into substantive examination | ||
| SE01 | Entry into force of request for substantive examination | ||
| C14 | Grant of patent or utility model | ||
| GR01 | Patent grant |







