WO2018226565A1 - Torque driven drug delivery device - Google Patents
Torque driven drug delivery device Download PDFInfo
- Publication number
- WO2018226565A1 WO2018226565A1 PCT/US2018/035816 US2018035816W WO2018226565A1 WO 2018226565 A1 WO2018226565 A1 WO 2018226565A1 US 2018035816 W US2018035816 W US 2018035816W WO 2018226565 A1 WO2018226565 A1 WO 2018226565A1
- Authority
- WO
- WIPO (PCT)
- Prior art keywords
- assembly
- plunger rod
- plunger
- rod guide
- injector
- Prior art date
- Legal status (The legal status is an assumption and is not a legal conclusion. Google has not performed a legal analysis and makes no representation as to the accuracy of the status listed.)
- Ceased
Links
Classifications
-
- A—HUMAN NECESSITIES
- A61—MEDICAL OR VETERINARY SCIENCE; HYGIENE
- A61M—DEVICES FOR INTRODUCING MEDIA INTO, OR ONTO, THE BODY; DEVICES FOR TRANSDUCING BODY MEDIA OR FOR TAKING MEDIA FROM THE BODY; DEVICES FOR PRODUCING OR ENDING SLEEP OR STUPOR
- A61M5/00—Devices for bringing media into the body in a subcutaneous, intra-vascular or intramuscular way; Accessories therefor, e.g. filling or cleaning devices, arm-rests
- A61M5/178—Syringes
- A61M5/31—Details
- A61M5/3145—Filters incorporated in syringes
-
- A—HUMAN NECESSITIES
- A61—MEDICAL OR VETERINARY SCIENCE; HYGIENE
- A61M—DEVICES FOR INTRODUCING MEDIA INTO, OR ONTO, THE BODY; DEVICES FOR TRANSDUCING BODY MEDIA OR FOR TAKING MEDIA FROM THE BODY; DEVICES FOR PRODUCING OR ENDING SLEEP OR STUPOR
- A61M5/00—Devices for bringing media into the body in a subcutaneous, intra-vascular or intramuscular way; Accessories therefor, e.g. filling or cleaning devices, arm-rests
- A61M5/178—Syringes
- A61M5/20—Automatic syringes, e.g. with automatically actuated piston rod, with automatic needle injection, filling automatically
-
- A—HUMAN NECESSITIES
- A61—MEDICAL OR VETERINARY SCIENCE; HYGIENE
- A61M—DEVICES FOR INTRODUCING MEDIA INTO, OR ONTO, THE BODY; DEVICES FOR TRANSDUCING BODY MEDIA OR FOR TAKING MEDIA FROM THE BODY; DEVICES FOR PRODUCING OR ENDING SLEEP OR STUPOR
- A61M5/00—Devices for bringing media into the body in a subcutaneous, intra-vascular or intramuscular way; Accessories therefor, e.g. filling or cleaning devices, arm-rests
- A61M5/178—Syringes
- A61M5/31—Details
- A61M5/315—Pistons; Piston-rods; Guiding, blocking or restricting the movement of the rod or piston; Appliances on the rod for facilitating dosing ; Dosing mechanisms
- A61M5/31565—Administration mechanisms, i.e. constructional features, modes of administering a dose
- A61M5/31576—Constructional features or modes of drive mechanisms for piston rods
- A61M5/31583—Constructional features or modes of drive mechanisms for piston rods based on rotational translation, i.e. movement of piston rod is caused by relative rotation between the user activated actuator and the piston rod
-
- A—HUMAN NECESSITIES
- A61—MEDICAL OR VETERINARY SCIENCE; HYGIENE
- A61M—DEVICES FOR INTRODUCING MEDIA INTO, OR ONTO, THE BODY; DEVICES FOR TRANSDUCING BODY MEDIA OR FOR TAKING MEDIA FROM THE BODY; DEVICES FOR PRODUCING OR ENDING SLEEP OR STUPOR
- A61M5/00—Devices for bringing media into the body in a subcutaneous, intra-vascular or intramuscular way; Accessories therefor, e.g. filling or cleaning devices, arm-rests
- A61M5/178—Syringes
- A61M5/31—Details
- A61M2005/3143—Damping means for syringe components executing relative movements, e.g. retarders or attenuators slowing down or timing syringe mechanisms
Definitions
- the present disclosure generally relates to injectors and, more particularly, to a torque driven injector optionally having a damper mechanism and a filtering device.
- Autoinjectors and on-body injectors offer several benefits in delivery of medicaments and/or therapeutics.
- One of the benefits can include simplicity of use, as compared with traditional methods of delivery using, for example, conventional syringes.
- a patient may feel this excessive energy as a "slap” or similar physical “bump", as the spring driven plunger impacts the stopper of the primary container storing the drug. Further, the user may also experience a jerk, recoil, and/or a reaction force when rotational movement begins due to the abrupt change in acceleration. Such mechanical bumps can be distracting and/or disturbing to users of the injectors and can therefore impact proper dose administration. Further, the "slap” and “bump” generated by the excessive energy can potentially cause catastrophic effects, such as breakage of the primary container and drug product damage cause by shear load. Furthermore, high force springs can produce undesirably high shear rates on the drug product.
- an injector in accordance with a first aspect, includes a housing having a syringe assembly and an actuating mechanism at least partially disposed within the housing.
- the syringe assembly can include a syringe barrel that stores a medicament to be injected into a user, a needle assembly, and an optional filter member disposed adjacent to the needle assembly.
- the actuating mechanism is operatively coupled to the syringe assembly and includes a torque spring that exerts a torque that urges the medicament through the filter member to be injected into the user.
- the actuating mechanism further includes a damper mechanism that exerts an opposing force or torque to dampen the torque exerted by the torque spring.
- the syringe barrel has a first end, a second end, and a longitudinal axis.
- the needle assembly is coupled to the second end of the syringe barrel, and includes a needle hub and a needle attached to the needle hub.
- the filter member restricts particles dispersed within the medicament from entering the needle assembly.
- the actuating mechanism further includes a frame member, a plunger assembly that includes a threaded plunger rod and a plunger face, and a plunger rod guide.
- the frame member is coupled to the housing and has a threaded opening formed between a first surface and a second surface thereof.
- the threaded plunger rod threadably couples to the threaded opening of the frame member.
- the plunger face is disposed near the first end of the syringe barrel.
- the plunger assembly is moveable along the longitudinal axis of the syringe barrel.
- the plunger rod guide is coupled to the plunger assembly to guide rotational movement of the plunger assembly, and to transfer a torque. As the plunger rod guide rotates due to a torque exerted by the torque spring, the plunger assembly advances towards the syringe barrel to urge the medicament through the filter and the needle assembly.
- the filter member is at least partially disposed within a portion of the needle hub and includes a plurality of openings to allow the medicament to pass through while restricting particles dispersed within the medicament from passing through. Any number of these openings may have a diameter of between approximately ⁇ and approximately 50 ⁇ .
- the openings may be of any shape or configuration such as conical, cylindrical, etc.
- the torque spring may be tightly wound, having between approximately 1 and approximately 30 turns.
- a tightly wound torque spring By using a tightly wound torque spring, a consistent amount of torque is generated throughout the actuation process.
- the threaded plunger rod and/or the threaded opening of the frame member may have a thread pitch between approximately 2mm and approximately 6mm, which, when combined with the tightly wound torque spring (and the damper), impart high forces on the medicament at a low velocity, thus reducing overall impact speed between the plunger face and the syringe barrel.
- the damper mechanism may include a viscous material disposed between a portion of the plunger rod guide and the housing.
- the damper mechanism may alternatively be disposed between a different rotating element and the housing, a linear moving element and the housing, or two any other elements that move relative to each other.
- the damper mechanism includes a deformation region adapted to at least partially deform as the plunger assembly advances towards the syringe barrel.
- the damper mechanism includes a rotating or linear damping device disposed between the plunger rod guide and the plunger assembly.
- a syringe assembly for an injector that additionally includes a housing having an actuating mechanism at least partially disposed within the housing and being coupled to the syringe assembly.
- the syringe assembly includes a syringe barrel, a needle assembly, and a filter member.
- the syringe barrel has a first end, a second end, and a longitudinal axis, and stores a medicament to be injected into a user.
- the needle assembly is coupled to the second end of the syringe barrel, and includes a needle hub and a needle attached thereto.
- the filter member is disposed adjacent to the needle hub. The filter member restricts particles dispersed within the medicament from entering the needle assembly.
- an actuating mechanism for an injector that additionally includes a housing having a syringe assembly at least partially disposed within the housing and being coupled to the actuating mechanism.
- the actuating mechanism includes a frame member, a plunger assembly, a plunger rod guide, a torque spring, and a damper mechanism.
- the frame member is coupled to the housing, and has a threaded opening formed between a first surface and a second surface.
- the plunger assembly includes a threaded plunger rod and a plunger face. The threaded rod threadably couples to the threaded opening of the frame member.
- the plunger face is disposed near the syringe assembly.
- the plunger rod guide is coupled to the plunger assembly to guide rotational movement of the plunger assembly and to transfer a torque thereto.
- the torque spring is coupled to the plunger rod guide to exert a torque on the plunger rod guide that causes the plunger rod guide to rotate.
- the damper mechanism is formed by at least a portion of the plunger rod guide or a part coupled to the plunger rod guide. Upon the torque spring exerting a torque on the plunger rod guide, the damper mechanism exerts an opposing force on the plunger rod guide to reduce an impact force and/or speed between the plunger assembly and the syringe assembly.
- FIG. 1 illustrates an example torque driven injector having a damper mechanism and a filter member in accordance with various embodiments
- FIG. 2a illustrates a perspective view of an example filter member in accordance with various embodiments
- FIGS. 2b and 2c illustrate cross-sectional views of example filter member arrangements in accordance with various embodiments
- Fig. 2d illustrates a cross-sectional view of an alternate filter member arrangement where the filter member is an elevated platform in accordance with various embodiments
- FIG. 2e-2h illustrate views of an alternate filter member arrangement in accordance with various embodiments
- Figs. 3a and 3b illustrate cross-sectional views of example filter member placements within a syringe assembly of the torque driven injector of Fig. 1 in accordance with various embodiments;
- Figs. 4a-4c illustrate cross-sectional views of a portion of example actuating mechanisms of the torque driven injector of Fig. 1 in accordance with various embodiments;
- Figs. 5a-5g illustrate example damper mechanisms of the torque driven injector of Fig. 1 in accordance with various embodiments
- Fig. 6 illustrates an alternate torque driven injector having a spring guide mechanism
- Fig. 7 illustrates a cross sectional view of the example torque driven injector of claim 6
- FIGs. 8a and 8b illustrate a torque driven injector having an alternative spring guide mechanism in accordance with various embodiments
- Fig. 9 illustrates a torque driven injector having an alternative spring guide mechanism in accordance with various embodiments.
- a torque driven injector includes a housing, a syringe assembly containing a medicament to be injected into a user, and a rotatable actuating assembly using a torque spring to cause the medicament to be injected into the user.
- an optional filter mechanism may restrict any unwanted foreign particles in the medicament from being injected into the user. So configured, the filter mechanism can reliably mitigate the risk of injecting unwanted foreign particles into the user.
- a damper mechanism reduces or eliminates the "slap” or “bump” that occurs when the plunger face first contacts the medicament and/or medicament storage device.
- the damper mechanism may also reduce the "jerk” or recoil when the mechanism is released. Accordingly, a user will not feel this sudden movement during the drug delivery process, and can comfortably and safely administer the medicament.
- the torque spring which uses a high number of turns, discussed in further detail below, may maintain near-constant start and end torque as compared to traditional springs and those with fewer turns. As a result, smaller autoinjectors may be used, which can increase overall user comfort.
- an example autoinjector 100 includes a housing 102 having a syringe assembly 110 and an actuating mechanism 150. At least a portion of the syringe assembly 110 and the actuating mechanism 150 are disposed within the housing 102.
- the syringe assembly 110 includes a syringe barrel 112, a needle assembly 114, and an optional filter member 120 disposed adjacent to the needle assembly 114.
- the actuating mechanism 150 includes a frame member 152, a plunger assembly 160, a plunger rod guide 170, a torque spring (e.g., a power spring) 180, and an optional damper mechanism 190.
- the syringe barrel 112 stores a medicament to be injected into a user, and has a first end 112a, a second end 112b, and a longitudinal axis "L".
- the syringe barrel 112 further includes a base 112c and a sidewall 112d that define a cavity to store the medicament.
- the syringe barrel 112 may include at least one opening 112e disposed through the base 112c to allow the medicament to pass into the needle assembly 114.
- the first end 112a of the syringe barrel 112 may be open to accommodate the plunger assembly 160, which will be described in further detail below.
- the syringe barrel 112 may be any desired shape and/or size to accommodate various quantities of medicament.
- the syringe barrel 112 can be constructed from a cyclic-olefin polymer ("COP"). Other examples of materials are possible.
- the needle assembly 114 is coupled to the second end 112b of the syringe barrel 112 via any type of coupling mechanism and/or structure, and includes a needle hub 116 and a needle 118 attached thereto.
- the needle hub 116 defines a cavity that allows medicament to enter into the needle 118 via any number of openings 118a.
- the needle hub 116 is positioned below the opening 112e formed in the base 112c of the syringe barrel 112. So configured, the needle hub 116 receives the medicament as it exits the syringe barrel 112, which then enters into the needle 118 to be administered to the user.
- the injector 100 may include any number of additional components such as return springs, needle shields and/or guards, and the like to assist in administering the medicament to the user. For the sake of brevity, these additional components will not be discussed in substantial detail.
- the filter member 120 is disposed adjacent to the syringe barrel 112 and the needle assembly 114.
- the filter member 120 may be disposed directly within the opening 112e formed in the base 112c of the syringe barrel 112.
- the filter member 120 may be disposed within a portion of the cavity defined by the needle hub 116, distally beyond the base 112c of the barrel 112.
- the filter member 120 may be positioned between the base 112c of the syringe barrel 112 and the needle hub 116.
- the filter member 120 may be positioned within the syringe barrel 112, and occupy substantially the entire cross-sectional area of the syringe barrel 112.
- the filter member 120 may be generally cylindrically and/or wafer shaped.
- the filter member 120 may be constructed from a polymer such as polyvinylidene fluoride (PVDF), though other examples of materials are possible.
- PVDF polyvinylidene fluoride
- the filter member 120 may include an upper surface 120a, a lower surface 120b, and a sidewall 120c connecting the upper surface 120a and the lower surface 120b.
- the filter member 120 also includes a number of pores or openings 122 to allow the medicament to pass through (e.g., from the opening 112e of the syringe barrel 112, through the upper surface 120a, and to the lower surface 120b) while restricting particles dispersed within the medicament from passing through.
- each of the openings 122 may have a diameter, length, or other cross- sectional dimension (denoted by reference “D” in Fig. 2b) of between approximately ⁇ and approximately 50 ⁇ , and preferably, between approximately 15 ⁇ and approximately 30 ⁇ .
- D diameter, length, or other cross- sectional dimension
- the openings 122 may be dimensioned as desired in order to properly filter particles of desired sizes from the medicament.
- the openings 122 are generally parallel in shape. Put another way, the diameter of the openings 122 disposed on both the upper surface 120a and the lower surface 120b are approximately equal. As such, the openings 122 are generally cylindrical in shape. It is understood, however, that the openings 122 may be of any shape such as cuboid, prismatic, etc. In this example, any particles that are larger than the dimension D will be restricted from passing through the openings 122, and will instead rest against the upper surface 120a of the filter member 120.
- the diameter, length, or other cross- sectional dimension (denoted by reference “D 2 ”) of the opening disposed through the upper surface 120a of the filter member 120 is larger than the opening (denoted by reference “Di") disposed through the lower surface 120b.
- the openings 122 may be, for example, partially conically shaped. In these examples, any particles which are larger than the dimension D 2 will not be able to pass therethrough, and instead will remain disposed within cavity formed by the opening 122. It is understood that any arrangement of the openings 122 illustrated in Figs. 2b and 2c may be used separately or in combination.
- the openings disposed through the upper surface 120a of the filter member 120 is smaller than the opening disposed through the lower surface 120b. So configured, the medicament would first flow through the smaller diameter side and out through the larger diameter side, thereby exhibiting divergent flow characteristics. Accordingly, particles would not be caught or in trapped in the conical tube, thereby reducing pressure loss, which in turn may result in less power needed to expel the medicament.
- the filter member 120 may also include a coupling mechanism 124 disposed on the sidewall 120c to secure the filter member 120 at the desired location within the injector 100.
- the coupling mechanism 124 may be formed integrally with the filter member 120, or it may be a distinct component.
- the coupling mechanism 124 is an annular protrusion or ring that inserts into a corresponding notch or groove (not shown) formed in the desired component (e.g., the opening 112e formed in the base 112c of the syringe barrel 112, the needle hub 116, etc.).
- the desired component e.g., the opening 112e formed in the base 112c of the syringe barrel 112, the needle hub 116, etc.
- Other coupling mechanisms 124 are possible.
- the coupling mechanism 124 may restrict axial movement along axis L in any direction.
- the coupling mechanism 124 may be a
- the coupling mechanism 124 may only restrict axial movement along axis L in the downward direction, that is, when the medicament is being ejected from the injector 100. Because the syringes are pre-filled, it may not be necessary to have a multidirectional locking mechanism because such a component may increase overall costs.
- any number (one or more) of the openings 122 may include rounded, beveled, and/or chamfered regions 122a where the upper surface 120a forms the opening 122. So configured, the filter member 120 will not cause the larger, undesirable particles to be broken into smaller sizes when passing through the filter member 120, which may potentially allow the particle to pass through the filter member 120 and into the user.
- the filter member 120 may be disposed within a portion of the syringe barrel 112.
- the filter member 120 includes an elevated or shelf portion 120d. so configured, the lower surface 120b of the filter 120 is disposed a distance (denoted by "h" in Fig. 2d) away from the second end 112b of the syringe barrel 112. This configuration may provide for smoother flow of the medicament when being administered to the user.
- the filter assembly includes a retention ring 120e (Fig. 2f), a filter sheet 120f (Fig. 2g), and a support member 120g (Fig. 2h).
- the retention ring 120e is adapted to retain the filter sheet 120f in place and to restrict upward lateral movement of the filter sheet 120f.
- the filter sheet 120f may be porous and have a porosity to allow fluid to flow therethrough while restricting particles within the medicament.
- the filter sheet 120f may rest on the support member 120g, which may have a central support structure 120h in the form of a web that separates its opening into four quadrants 120L By dividing the opening into quadrants and providing the support structure 120h, flexure of the filter sheet 120f is limited when it is under a high differential pressure, and thus will not have an impact on fluid flow. Further the support structure 120h minimizes any fluid flow-restricting surface areas. As illustrated in Fig. 2e, the support member 120g may have a raised portion 120j that acts as a relief and allows fluid flow between the individual quadrants.
- the frame member 152 of the actuating mechanism 150 may be fixedly coupled to the housing 102 via any number of approaches.
- the frame member 152 may be formed integrally with the housing 102.
- the frame member 152 may include a first surface 152a, a second surface 152b, and a threaded opening 152c formed between the first surface 152a and the second surface 152b.
- the plunger assembly 160 is moveable along the longitudinal axis L of the syringe barrel 112, and includes a plunger rod 162 having a threaded portion 162a which is threadably coupled to and is disposed within the threaded opening 152c of the frame member 152.
- the threaded portion 162a of the plunger rod 162, and correspondingly, the threaded opening 152c of the frame member 152 may have a thread pitch suitable for any desired drug delivery rate or force/torque combination when driven by the torque spring 180. Relative rotation between the plunger rod 162 and the frame member 152 causes the plunger rod 162 to advance axially.
- the plunger assembly 160 further includes a plunger face 164 that is disposed near the first end 112a of the syringe barrel 112.
- the plunger rod guide 170 includes a rod portion 172 and a cup portion 174 coupled thereto.
- the rod portion 172 of the plunger rod guide 170 is coupled to the plunger assembly 160 via any number of approaches including, for example, via a splined connection or slotted arrangement that allows for the plunger assembly 160 to be axially displaced relative to the plunger rod guide 170.
- the plunger rod guide 170 guides rotational movement of the plunger assembly 160.
- the cup portion 174 of the plunger rod guide 170 is adapted to at least partially surround and rotate about the frame member 152 and assists with maintaining alignment of the interconnected moving components.
- the cup portion 174 needn't surround the frame member 152, rather, damping components may be axially aligned with each other.
- the cup portion 174 may take any suitable shape or configuration. In these examples, relative motion between the damping components and the cup portion 174 may provide adequate damping forces.
- An inner portion 180a of the torque spring 180 is coupled to the rod portion 172 of the plunger rod guide 170 via any known approach to exert a force on the plunger rod guide 170 causing the plunger rod guide 170 to rotate about axis L.
- the torque spring 180 may have a high number of turns to provide an appropriate rotational travel required to expel the medicament from the syringe barrel 112, however, additional parameters of the spring design may influence its torque output such as material properties and any applied heat treatments. The pre-shaping of the torque spring 180 may also impact its performance.
- a pre-stressed spring may be preferred, because the pre-stressing process generally increases torque output of the spring by initial coiling the spring in an opposite direction of the intended working condition, thereby causing permanent deformation in the steel band. This deformation maximizes the stresses in the material, thereby causing the torque to increase. Such an increase in torque is beneficial to minimize device size and weight.
- the torque spring 180 may have between approximately 1 and approximately 30 turns in the wound or loaded configuration, and preferably, approximately 12 turns. In some examples, the total spring turns may be higher due to a margin in both ends of the working range of approximately 20%, which may result in the range being between
- the torque spring 180 may have a number of initial, or preload turns to have a usable torque. After the preload turns, the torque spring 180 is further wound with working turns, or turns that are used in the device during injection. As a non-limiting example, the torque spring 180 may have approximately 2.5 preload turns and approximately 6 working turns. As such, the total number of turns during assembly is
- the torque spring 180 may have an initial play before reaching a solid state, and thus may have a total of approximately 10 turns.
- Devices having different drug volumes and viscosities may need a different average torque generated from the torque spring 180 if the same dosing is desired.
- the average torque output may be controlled by adjusting the width of the band used for the torque spring 180 (e.g., the axial length of the torque spring 180 when disposed in the device), and maintaining the same number of working turns. Doing so may allow different springs to be used with the same configuration as the device and have similar injection times while the volume and/or viscosity of the drug may be modified.
- the energy (E FLOW ) required to expel the drug through a needle is determined by any combination of the drug volume, viscosity, needle flow path dimensions, and the targeted dosing time.
- the energy (E SPRING ) that the torque spring 180 delivers may be determined by any combination of the number of working turns (N) and the average spring torque during the working turns (T).
- the threaded interface between the plunger rod 162 and the frame member 152 provides a translation between the input torque of the torque spring 180 and the output axial force.
- a torque spring 180 With a high turn count, it will have a lower overall torque as well as a smaller change in start and end torque as compared to a linear spring having comparable gearing specifications or other torsion springs with few turns and a lower pitch.
- the threads of the plunger rod 162 and the frame member 152 can have a lower pitch due to the increase in turn count, while still achieving the same linear motion of the plunger assembly 160. If the thread pitch is low, a smaller input torque is necessary to provide the same output force as a high pitch thread and high torque spring.
- the high turn count (e.g., between approximately 1 and approximately 30 turns), low torque system described herein allows for reduced activation forces, as the activation force is directly related to the input torque that must be used to drive the plunger assembly 160.
- internal structural forces required to resist the torque from the torque spring 180 during storage is reduced, thus allowing for smaller injector designs to be used and for less expensive raw materials to be used.
- the increase in turns can lead to a more flexible dampening system (which will be described in further detail below) due to the increase in velocity between the components thereof.
- the threaded interface between the plunger rod 162 and the frame member 152 allows the threaded plunger rod to be adjusted to accommodate for varying quantities of medicament stored in the syringe barrel. If necessary, the threaded plunger rod 162 may be initially installed at a lower position in injectors 100 having lesser drug product volumes disposed in the syringe barrel 112. Accordingly, the number of unique components is reduced, and variation management is simplified. The threaded plunger rod 162 may also be adjustably installed at various depths during the manufacturing and/or assembly process as needed.
- Figs. 4a-5g the damper mechanism 190 opposes the torque exerted on the plunger rod guide 170 by the torque spring 180.
- the damper mechanism 190 can have any number of configurations.
- Figs. 4a and 5a illustrate a damper mechanism 190a in the form of a viscous fluid being disposed in an area between an inner surface 102a of the housing 102 and an outer surface 174a of the cup portion 174 of the plunger rod guide 170.
- the viscous fluid 190a may be disposed at any location along the area between the housing 102 and the cup portion 174, and in some examples may be contained in an area or chamber 190b.
- the chamber 190b may be sealed in some embodiments, and in other embodiments, the chamber 190b may be unsealed.
- an unsealed chamber may be preferred because sealed viscous dampers inherently introduce frictional resistance, which may not be speed dependent or may actually reduce with higher speeds which is the opposite of the design intent. This means at low speed delivery when the medicament is providing the most resistance the seal may continue to contribute measurable frictional resistance. Unsealed dampers will likely have fewer components and more of the resistive force will behave according to the intent where higher speeds create higher damping force and lower speeds create lower damping force. As illustrated in Fig. 5a, the cup portion 174 may have protrusions 174a that contact the inner surface 102a of the housing 102.
- protrusions 174a effectively restrict the viscous fluid within the chamber 190b to reduce or eliminate the possibility of the viscous fluid 190a leaking within the housing 102.
- any number of viscous fluids having varying viscosities may be used to achieve a desired amount of dampening depending on the desired configuration of the injector 100 and the medicament contained within the syringe barrel 112.
- a "motion control" damping viscous fluid 190a or grease may be provided that has a high viscosity at low shear, resulting in yield stress that allows the viscous fluid 190a to remain stationary during transport while providing sufficient damping during actuation.
- a suitable damping viscous fluid 190a can include Nyemed 7325, manufactured by Nye Lubricants.
- the viscous fluid 190a may be disposed at other locations, such as between the housing 102 and the rod portion 172 of the plunger rod guide 170. Further, the viscous fluid may be disposed in a gap between two components having relative motion during extrusion of the medicament such as in the threaded interface between the threaded plunger rod 162 and the frame member 152. In some examples, the length of the gap is at least approximately three times as large as the width of the gap.
- the viscous fluid 190a may be disposed in a void or chamber 190c between an upper frame member 184 and a rotating member 186 disposed in or near a cap 102b of the housing 102.
- the upper frame member 184 is fixed to the housing 102 via any number of approaches.
- the rotating member 186 may be affixed to the plunger rod guide 170 and/or to the torque spring 180.
- the void 190c must have a sufficient width (or clearance) denoted as "W” and length denoted as "Li” of engagement to allow for effective damping with less variability than a short, low-clearance interface, which, due to component tolerances and variation, impact damping performance variability.
- W width
- Li length
- the width of the void may be approximately 1mm
- the length of engagement may be approximately 8mm.
- the upper frame member 184 may include a dosing feedback component that may provide a visual, audible, haptic, and/or other form of feedback to indicate the status and/or the completion of the dose being administered.
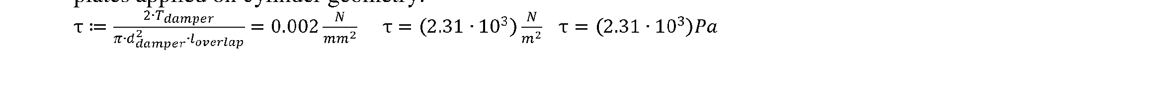
- the damper mechanism 190 may function according to the following mathematical models prior to impact:
- the equation for the torque is derived from the theory of Dynamic Viscosity between plates applied on cylinder geometry.
- damper mechanism 190 may function according to the following mathematical models after impact and during the dosing stage:
- the equation for the torque is derived from the theory of Dynamic Viscosity between plates applied on cylinder geometry.
- the equation for the shear stress, ⁇ is derived from the theory of Dynamic Viscosity between plates applied on cylinder geometry. [0057] Accordingly, the damper mechanism 190 creates more damping prior to impact, and relatively less damping during dose delivery.
- the damper mechanism 190 may be in the form of a deformation region 192 disposed at the end of the plunger rod 162, which deforms as the plunger assembly 160 advances towards the syringe barrel 112. While the deformation region 192 is illustrated as being located near where the plunger rod 162 intersects or couples to the plunger face 164, the deformation region 192 may be any portion or portions of the plunger assembly 160 including on the plunger face 164, itself near a portion where a leading surface of the plunger face contacts the syringe barrel 112, and/or any interface in the axial and/or rotary force loop having a high inertia and kinetic energy.
- the purpose of the deformation region 192 is to extend impact time, thereby reducing impact forces and stresses in components to reduce and/or avoid failure. So configured, the mass of the plunger face 164 will create a limited and strongly reduced impact shock upon contacting the syringe barrel 112.
- This deformation region 192 may be constructed from a different material than the remainder of the plunger assembly 160.
- the deformation region 192 may be constructed from a "softer" or more pliable material that can absorb the impact between the plunger face 164 and the syringe barrel 112.
- Example materials may include a foam, an elastomer, a crushable honeycomb or 3D lattice structure, etc. So configured, when the plunger rod 162 advances such that the plunger face 164 impacts a portion of the syringe barrel 112 (such as a stopper), the deformation region 192 collapses to dampen the effects of the impact force.
- the plunger rod 162 may have a deformable retainer coupled thereto to retain the position of the plunger rod 162 within the housing 102.
- the deformable retainer may slow the plunger rod for a specified number of revolutions (e.g., between 1 and 3 revolutions) before releasing (e.g., breaking). Accordingly, the deformable retainer will dampen the torque or force exerted by the torque spring 180, and will cease to act as a damper upon breaking.
- the damper mechanism 190 is in the form of a rotating damping device 194.
- the rotating damping device 194 is disposed under a surface of the cup portion 174 of the plunger rod guide 170.
- Figs. 5c and 5d illustrate a rotating damping device 194 having an anchor 196 that rocks about a pivot 197 as a central push wheel 198 rotates. As the central push wheel 198 rotates with the plunger rod guide 170, individual splines 198a alternatively contact a first side 196a and a second side 196b of the anchor 196.
- This rocking motion creates continuously reversing acceleration, which in turn dampens the torque exerted by the torque spring 180.
- the amount of damping force may be adjusted by altering a rocking angle of the anchor 196, a moment of inertial of the anchor 196, and an angular velocity of the central push wheel 198. As the central push wheel 198 spins faster, the rocking rate of the anchor 196 also increases, which in turn increases the continuously reversing acceleration, thereby providing a greater dampening force.
- the rotating damping device 194 may be any number of components having relative moving elements such as the plunger rod 162 and the frame member 152.
- the rotating damping device 194 is in the form of a centrifugal damper assembly that includes a central member 200 and a number of arms 202 that rotate about respective pivots 204.
- Each of the arms 202 has a weighted portion 206 disposed at distal ends 208 thereof.
- Each of the arms 202 also include protrusions 210.
- the inner surface or rim of the cup portion 174 of the plunger rod guide 170 remains fixed relative to the central member 200 and has a number of alternating recesses 212 and protrusions 214. As illustrated in Fig.
- any number of alternative rotating devices may be used to create a damping force or torque.
- the mass of the torque spring 180 combined with inertial forces, also provides a dampened motion, as this mass must be accelerated. The resulting acceleration is thereby reduced.
- the rotating damping device 194 may be a fly wheel damper (not illustrated) that rotates and absorbs energy delivered by the torque spring 180 during initiation and rotation.
- the plunger rod guide 170 causes the plunger assembly 160 to advance towards the syringe barrel 112, thus urging the medicament through the optional filter mechanism 120 and the needle assembly 114 while the filter mechanism 120 acts to restrict particles disposed within the medicament from passing through the needle assembly 114.
- the damper mechanism 190 exerts an opposing force on the plunger rod guide 170 and/or any of the moving elements to reduce and/or eliminate any "jerks,” "slaps,” or "bumps".
- the injector 300 may include any number of features and/or components described with regard to the injector 100 of Figs. l-5g.
- the injector 300 includes a housing 302 and a torque spring 310 that is guided by a spring guide 320 to improve actuation efficiency and consistency.
- the spring guide 320 may be in the form of a leaf spring or bridle that is coupled to an outer end 312 of the torque spring 310 to increase torque, assist in unwinding the torque spring 310, reduce hysteresis, and improve cycle life of the torque spring 310. Further, the spring guide may assist with ensuring proper concentric release with the torque spring 310.
- the spring guide 320 causes the outer end 312 of the torque spring 310 to be pressed outwardly towards the housing 302, which may include any number of guiding protrusions 303.
- the outer end 312 of the torque spring 310 includes a bent portion 312a.
- the housing 302 includes a first notch 302a to accommodate the bent portion 312a of the torque spring 310. So configured, because the spring guide 320 exerts an outward force on the outer end 312 of the torque spring 310, the bent portion 312a is retained in the first notch 302a.
- the spring guide 320 may be coupled to the housing using any number of approaches.
- an end 320a of the spring guide may include a bent portion 320b that is retained in a second notch 302b of the housing 302.
- the spring guide 320 may fixed to the housing 302 and/or may be coupled to a post disposed inside or outside of the housing 302. Other examples are possible.
- the housing 302 may itself act as a spring guide 320' .
- the housing 302 includes an opening 304.
- the outer end 312 of the torque spring 310 may pass through the opening 304, and the bent portion 312a of the torque spring 310 may be retained in a third notch 302c.
- the third notch 302c may be replaced by a second opening (not shown) in which the torque 310 may be threaded therethrough. It is understood that the configuration of the outer end 312 of the torque spring 310 may be modified as needed in order to secure the torque spring to the housing 302 and/or the spring guide 320.
- the spring guide 320 is coupled and/or constrained to the housing 302 via ribs 302d formed by the housing 302.
- the torque spring 312 enters a portion the spring guide 320 at a first slot or opening 320d, and exits the spring guide 320 at a second slot or opening 320e.
- the end 312b of the torque spring 312 is then hooked around a slot or opening 320c in the spring guide 320, thereby eliminating the need for cut outs in the housing 302 which may create weak spots in the housing 302, leading to potential deformation, deflection, and/or the risk of breakage when under high stresses.
- the above description describes various systems and methods for use with a drug delivery device. It should be clear that the system, drug delivery device or methods can further comprise use of a medicament listed below with the caveat that the following list should neither be considered to be all inclusive nor limiting.
- the medicament will be contained in a syringe barrel.
- the syringe barrel is a primary container that is either filled or pre- filled for treatment with the medicament.
- the primary container can be a cartridge or a pre-filled syringe.
- the drug delivery device or more specifically the syringe barrel of the device may be filled with colony stimulating factors, such as granulocyte colony-stimulating factor (G-CSF).
- G-CSF agents include, but are not limited to, Neupogen® (filgrastim) and Neulasta® (pegfilgrastim).
- the drug delivery device may be used with various pharmaceutical products, such as an erythropoiesis stimulating agent (ESA), which may be in a liquid or a lyophilized form.
- ESA erythropoiesis stimulating agent
- An ESA is any molecule that stimulates erythropoiesis, such as Epogen® (epoetin alfa), Aranesp® (darbepoetin alfa), Dynepo® (epoetin delta), Mircera® (methyoxy polyethylene glycol-epoetin beta), Hematide®, MRK-2578, INS-22, Retacrit® (epoetin zeta), Neorecormon® (epoetin beta), Silapo® (epoetin zeta), Binocrit® (epoetin alfa), epoetin alfa Hexal, Abseamed® (epoetin alfa), Ratioepo® (epoetin theta), Eporatio® (epoetin theta), Biopoin® (epoetin theta), epoetin alfa
- An ESA can be an erythropoiesis stimulating protein.
- erythropoiesis stimulating protein means any protein that directly or indirectly causes activation of the erythropoietin receptor, for example, by binding to and causing dimerization of the receptor.
- Erythropoiesis stimulating proteins include erythropoietin and variants, analogs, or derivatives thereof that bind to and activate erythropoietin receptor; antibodies that bind to erythropoietin receptor and activate the receptor; or peptides that bind to and activate erythropoietin receptor.
- Erythropoiesis stimulating proteins include, but are not limited to, epoetin alfa, epoetin beta, epoetin delta, epoetin omega, epoetin iota, epoetin zeta, and analogs thereof, pegylated erythropoietin, carbamylated erythropoietin, mimetic peptides (including EMP1 /hematide), and mimetic antibodies.
- Exemplary erythropoiesis stimulating proteins include erythropoietin, darbepoetin, erythropoietin agonist variants, and peptides or antibodies that bind and activate erythropoietin receptor (and include compounds reported in U.S. Publication Nos. 2003/0215444 and 2006/0040858, the disclosures of each of which is incorporated herein by reference in its entirety) as well as erythropoietin molecules or variants or analogs thereof as disclosed in the following patents or patent applications, which are each herein incorporated by reference in its entirety: U.S. Patent Nos.
- Examples of other pharmaceutical products for use with the device may include, but are not limited to, antibodies such as Vectibix® (panitumumab), XgevaTM (denosumab) and ProliaTM (denosamab); other biological agents such as Enbrel® (etanercept, TNF-receptor /Fc fusion protein, TNF blocker), Neulasta® (pegfilgrastim, pegylated filgastrim, pegylated G-CSF, pegylated hu-Met-G-CSF), Neupogen® (filgrastim , G-CSF, hu-MetG-CSF), and Nplate® (romiplostim); small molecule drugs such as Sensipar® (cinacalcet).
- antibodies such as Vectibix® (panitumumab), XgevaTM (denosumab) and ProliaTM (denosamab); other biological agents such as Enbrel® (e
- the device may also be used with a therapeutic antibody, a polypeptide, a protein or other chemical, such as an iron, for example, ferumoxytol, iron dextrans, ferric glyconate, and iron sucrose.
- a therapeutic antibody for example, ferumoxytol, iron dextrans, ferric glyconate, and iron sucrose.
- the pharmaceutical product may be in liquid form, or reconstituted from lyophilized form.
- proteins include fusions, fragments, analogs, variants or derivatives thereof:
- OPGL specific antibodies, peptibodies, and related proteins, and the like also referred to as RANKL specific antibodies, peptibodies and the like
- fully humanized and human OPGL specific antibodies particularly fully humanized monoclonal antibodies, including but not limited to the antibodies described in PCT Publication No.
- WO 03/002713 which is incorporated herein in its entirety as to OPGL specific antibodies and antibody related proteins, particularly those having the sequences set forth therein, particularly, but not limited to, those denoted therein: 9H7; 18B2; 2D8; 2E11; 16E1; and 22B3, including the OPGL specific antibodies having either the light chain of SEQ ID NO:2 as set forth therein in Figure 2 and/or the heavy chain of SEQ ID NO:4, as set forth therein in Figure 4, each of which is individually and specifically incorporated by reference herein in its entirety fully as disclosed in the foregoing publication;
- peptibodies of the mTN8-19 family including those of SEQ ID NOS:305-351, including TN8-19-1 through TN8-19-40, TN8-19 conl and TN8-19 con2; peptibodies of the mL2 family of SEQ ID NOS:357-383; the mL15 family of SEQ ID NOS:384-409; the mL17 family of SEQ ID NOS:410-438; the mL20 family of SEQ ID NOS:439-446; the mL21 family of SEQ ID NOS:447-452; the mL24 family of SEQ ID NOS:453-454; and those of SEQ ID
- IL-4 receptor specific antibodies include those described in PCT Publication No. WO 2005/047331 or PCT Application No. PCT/US2004/37242 and in U.S. Publication No.
- Ang2 specific antibodies, peptibodies, and related proteins, and the like including but not limited to those described in PCT Publication No. WO 03/057134 and U.S. Publication No. 2003/0229023, each of which is incorporated herein by reference in its entirety particularly in parts pertinent to Ang2 specific antibodies and peptibodies and the like, especially those of sequences described therein and including but not limited to: L1(N); L1(N) WT; L1(N) IK WT; 2xLl(N); 2xLl(N) WT; Con4 (N), Con4 (N) IK WT, 2xCon4 (N) IK; L1C; L1C IK; 2xLlC; Con4C; Con4C IK; 2xCon4C IK; Con4-Ll (N); Con4-LlC; TN-12-9 (N); C17 (N); TN8-8(N); TN8-14 (N); Con 1 (N),
- WO 2003/030833 which is incorporated herein by reference in its entirety as to the same, particularly Ab526; Ab528; Ab531; Ab533; Ab535; Ab536; Ab537; Ab540; Ab543; Ab544; Ab545; Ab546; A551; Ab553; Ab555; Ab558; Ab559; Ab565;
- NGF specific antibodies, peptibodies, and related proteins, and the like including, in particular, but not limited to those described in U.S. Publication No. 2005/0074821 and U.S. Patent No. 6,919,426, which are incorporated herein by reference in their entirety particularly as to NGF-specific antibodies and related proteins in this regard, including in particular, but not limited to, the NGF-specific antibodies therein designated 4D4, 4G6, 6H9, 7H2, 14D10 and 14D11, each of which is individually and specifically incorporated by reference herein in its entirety fully as disclosed in the foregoing publication; [0081] CD22 specific antibodies, peptibodies, and related proteins, and the like, such as those described in U.S. Patent No. 5,789,554, which is incorporated herein by reference in its entirety as to CD22 specific antibodies and related proteins, particularly human CD22 specific
- antibodies such as but not limited to humanized and fully human antibodies, including but not limited to humanized and fully human monoclonal antibodies, particularly including but not limited to human CD22 specific IgG antibodies, such as, for instance, a dimer of a human-mouse monoclonal hLL2 gamma-chain disulfide linked to a human-mouse monoclonal hLL2 kappa- chain, including, but limited to, for example, the human CD22 specific fully humanized antibody in Epratuzumab, CAS registry number 501423-23-0;
- IGF-1 receptor specific antibodies such as those described in PCT Publication No. WO 06/069202, which is incorporated herein by reference in its entirety as to IGF-1 receptor specific antibodies and related proteins, including but not limited to the IGF-1 specific antibodies therein designated L1H1, L2H2, L3H3, L4H4, L5H5, L6H6, L7H7, L8H8, L9H9, L10H10, L11H11, L12H12, L13H13, L14H14, L15H15, L16H16, L17H17, L18H18, L19H19, L20H20, L21H21, L22H22, L23H23, L24H24, L25H25, L26H26, L27H27, L28H28, L29H29, L30H30, L31H31, L32H32, L33H33, L34H34, L35H35, L36H36, L
- anti-IGF-lR antibodies for use in the methods and compositions of the present invention are each and all of those described in:
- B-7 related protein 1 specific antibodies, peptibodies, related proteins and the like (“B7RP-1,” also is referred to in the literature as B7H2, ICOSL, B7h, and CD275), particularly B7RP-specific fully human monoclonal IgG2 antibodies, particularly fully human IgG2 monoclonal antibody that binds an epitope in the first immunoglobulin-like domain of B7RP-1, especially those that inhibit the interaction of B7RP-1 with its natural receptor, ICOS, on activated T cells in particular, especially, in all of the foregoing regards, those disclosed in U.S. Publication No. 2008/0166352 and PCT Publication No.
- WO 07/011941 which are incorporated herein by reference in their entireties as to such antibodies and related proteins, including but not limited to antibodies designated therein as follow: 16H (having light chain variable and heavy chain variable sequences SEQ ID NO: l and SEQ ID NO:7 respectively therein); 5D (having light chain variable and heavy chain variable sequences SEQ ID NO:2 and SEQ ID NO:9 respectively therein); 2H (having light chain variable and heavy chain variable sequences SEQ ID NO:3 and SEQ ID NO: 10 respectively therein); 43H (having light chain variable and heavy chain variable sequences SEQ ID NO:6 and SEQ ID NO: 14 respectively therein); 41H (having light chain variable and heavy chain variable sequences SEQ ID NO:5 and SEQ ID NO: 13 respectively therein); and 15H (having light chain variable and heavy chain variable sequences SEQ ID NO:4 and SEQ ID NO: 12 respectively therein), each of which is individually and specifically incorporated by reference herein in its entirety fully as disclosed in the foregoing publication;
- IL-15 specific antibodies, peptibodies, and related proteins, and the like such as, in particular, humanized monoclonal antibodies, particularly antibodies such as those disclosed in U.S. Publication Nos. 2003/0138421; 2003/023586; and 2004/0071702; and U.S. Patent No. 7,153,507, each of which is incorporated herein by reference in its entirety as to IL-15 specific antibodies and related proteins, including peptibodies, including particularly, for instance, but not limited to, HuMax IL-15 antibodies and related proteins, such as, for instance, 146B7;
- IFN gamma specific antibodies peptibodies, and related proteins and the like, especially human IFN gamma specific antibodies, particularly fully human anti-IFN gamma antibodies, such as, for instance, those described in U.S. Publication No. 2005/0004353, which is incorporated herein by reference in its entirety as to IFN gamma specific antibodies, particularly, for example, the antibodies therein designated 1118; 1118*; 1119; 1121; and 1121*.
- Specific antibodies include those having the heavy chain of SEQ ID NO: 17 and the light chain of SEQ ID NO: 18; those having the heavy chain variable region of SEQ ID NO:6 and the light chain variable region of SEQ ID NO:8; those having the heavy chain of SEQ ID NO: 19 and the light chain of SEQ ID NO:20; those having the heavy chain variable region of SEQ ID NO: 10 and the light chain variable region of SEQ ID NO: 12; those having the heavy chain of SEQ ID NO:32 and the light chain of SEQ ID NO:20; those having the heavy chain variable region of SEQ ID NO:30 and the light chain variable region of SEQ ID NO: 12; those having the heavy chain sequence of SEQ ID NO:21 and the light chain sequence of SEQ ID NO:22; those having the heavy chain variable region of SEQ ID NO: 14 and the light chain variable region of SEQ ID NO: 16; those having the heavy chain of SEQ ID NO:21 and the light chain of SEQ ID NO:33; and those having the heavy chain variable region of SEQ ID NO: 14 and the
- TALL-1 specific antibodies include peptibodies, and the related proteins, and the like, and other TALL specific binding proteins, such as those described in U.S. Publication Nos.
- PTH Parathyroid hormone
- TPO-R Thrombopoietin receptor
- Hepatocyte growth factor (“HGF”) specific antibodies, peptibodies, and related proteins, and the like, including those that target the HGF/SF:cMet axis (HGF/SF:c-Met), such as the fully human monoclonal antibodies that neutralize hepatocyte growth factor/scatter
- HGF/SF HGF/SF
- WO 2005/017107 huL2G7 described in U.S. Patent No. 7,220,410 and OA-5d5 described in U.S. Patent Nos. 5,686,292 and 6,468,529 and in PCT Publication No. WO 96/38557, each of which is incorporated herein by reference in its entirety, particularly in parts pertinent to proteins that bind HGF;
- TRAIL-R2 specific antibodies, peptibodies, related proteins and the like, such as those described in U.S. Patent No. 7,521,048, which is herein incorporated by reference in its entirety, particularly in parts pertinent to proteins that bind TRAIL-R2;
- TGF-beta specific antibodies, peptibodies, related proteins, and the like including but not limited to those described in U.S. Patent No. 6,803,453 and U.S. Publication No.
- Amyloid-beta protein specific antibodies, peptibodies, related proteins, and the like including but not limited to those described in PCT Publication No. WO 2006/081171, which is herein incorporated by reference in its entirety, particularly in parts pertinent to proteins that bind amyloid-beta proteins.
- One antibody contemplated is an antibody having a heavy chain variable region comprising SEQ ID NO:8 and a light chain variable region having SEQ ID NO:6 as disclosed in the foregoing publication;
- c-Kit specific antibodies, peptibodies, related proteins, and the like including but not limited to those described in U.S. Publication No. 2007/0253951, which is incorporated herein by reference in its entirety, particularly in parts pertinent to proteins that bind c-Kit and/or other stem cell factor receptors;
- OX40L specific antibodies, peptibodies, related proteins, and the like including but not limited to those described in U.S. Publication No. 2006/0002929, which is incorporated herein by reference in its entirety, particularly in parts pertinent to proteins that bind OX40L and/or other ligands of the OX40 receptor; and
- Velcade® (bortezomib); MLN0002 (anti- a4B7 mAb); MLN1202 (anti-CCR2 chemokine receptor mAb); Enbrel® (etanercept, TNF-receptor /Fc fusion protein, TNF blocker); Eprex® (epoetin alfa); Erbitux® (cetuximab, anti-EGFR / HERl / c-ErbB-1); Genotropin® (somatropin, Human Growth Hormone); Herceptin® (trastuzumab, anti-HER2/neu (erbB2) receptor mAb); Humatrope® (somatropin, Human Growth Hormone); Humira® (adalimumab); insulin in solution; Infergen® (interferon alfacon-1); Natrecor® (nesiritide; recombinant human B-type natriuretic peptide (hBNP); Kineret® (
- LymphoCide® epratuzumab, anti-CD22 mAb
- BenlystaTM lymphostat B, belimumab, anti- BlyS mAb
- Metalyse® tenecteplase, t-PA analog
- Mircera® methoxy polyethylene glycol- epoetin beta
- Mylotarg® gemtuzumab ozogamicin
- Raptiva® efalizumab
- certolizumab pegol, CDP 870 SolirisTM (eculizumab); pexelizumab (anti-C5 complement); Numax® (MEDI-524); Lucentis® (ranibizumab); Panorex® (17-1A, edrecolomab); Trabio® (lerdelimumab); TheraCim hR3 (nimotuzumab); Omnitarg (pertuzumab, 2C4); Osidem® (IDM- 1); OvaRex® (B43.13); Nuvion® (visilizumab); cantuzumab mertansine (huC242-DMl);
- NeoRecormon® epoetin beta
- Neumega® oprelvekin, human interleukin-11
- Neulasta® pegylated filgastrim, pegylated G-CSF, pegylated hu-Met-G-CSF
- Neupogen® filgrastim , G- CSF, hu-MetG-CSF
- Orthoclone OKT3® muromonab-CD3, anti-CD3 monoclonal antibody
- Procrit® epoetin alfa
- Remicade® infliximab, anti-TNFa monoclonal antibody
- Reopro® abciximab, anti-GP lib/Ilia receptor monoclonal antibody
- Actemra® anti-IL6 Receptor mAb
- Avastin® bevacizumab
- HuMax-CD4 zanolimumab
- Rituxan® rituximab,
- Patent No. 7,153,507 Tysabri® (natalizumab, anti-a4integrin mAb); Valortim® (MDX-1303, anti-B. anthracis protective antigen mAb); ABthraxTM; Vectibix® (panitumumab); Xolair®
- IL-1 trap the Fc portion of human IgGl and the extracellular domains of both IL- 1 receptor components (the Type I receptor and receptor accessory protein)
- VEGF trap Ig domains of VEGFR1 fused to IgGl Fc
- diaclizumab Zenapax® (daclizumab, anti-IL-2Ra mAb); Zevalin® (ibritumomab tiuxetan); Zetia® (ezetimibe); Orencia® (atacicept, TACI-Ig); anti-CD80 monoclonal antibody
- sclerostin antibody such as but not limited to romosozumab, blosozumab, or BPS 804 (Novartis).
- therapeutics such as rilotumumab, bixalomer, trebananib, ganitumab, conatumumab, motesanib diphosphate, brodalumab, vidupiprant, panitumumab, denosumab, NPLATE, PROLIA, VECTIBIX or XGEVA.
- PCSK9 Proprotein Convertase Subtilisin/Kexin Type 9
- PCSK9 specific antibodies include, but are not limited to, Repatha® (evolocumab) and Praluent® (alirocumab), as well as molecules, variants, analogs or derivatives thereof as disclosed in the following patents or patent applications, each of which is herein incorporated by reference in its entirety for all purposes: U.S. Patent No. 8,030,547, U.S. Publication No. 2013/0064825, WO2008/057457,
- talimogene laherparepvec or another oncolytic HSV for the treatment of melanoma or other cancers.
- oncolytic HSV include, but are not limited to talimogene laherparepvec (U.S. Patent Nos. 7,223,593 and 7,537,924); OncoVEXGALV/CD (U.S. Pat. No. 7,981,669); OrienXOlO (Lei et al. (2013), World J. Gastroenterol., 19:5138-5143); G207, 1716; NV1020; NV12023; NV1034 and NV1042 (Vargehes et al. (2002), Cancer Gene Ther., 9(12):967-978).
- TIMPs are endogenous tissue inhibitors of
- TIMP-3 is expressed by various cells or and is present in the extracellular matrix; it inhibits all the major cartilage- degrading metalloproteases, and may play a role in role in many degradative diseases of connective tissue, including rheumatoid arthritis and osteoarthritis, as well as in cancer and cardiovascular conditions.
- the amino acid sequence of TIMP-3, and the nucleic acid sequence of a DNA that encodes TIMP-3, are disclosed in U.S. Patent No. 6,562,596, issued May 13, 2003, the disclosure of which is incorporated by reference herein. Description of TIMP mutations can be found in U.S. Publication No. 2014/0274874 and PCT Publication No. WO 2014/152012.
- antagonistic antibodies for human calcitonin gene-related peptide (CGRP) receptor and bispecific antibody molecule that target the CGRP receptor and other headache targets. Further information concerning these molecules can be found in PCT
- bispecific T cell engager (BiTE ® ) antibodies e.g. BLINCYTO ®
- blindatumomab can be used in the device.
- an APJ large molecule agonist e.g., apelin or analogues thereof in the device.
- Information relating to such molecules can be found in PCT Publication No. WO 2014/099984.
- the medicament comprises a therapeutically effective amount of an anti-thymic stromal lymphopoietin (TSLP) or TSLP receptor antibody.
- TSLP anti-thymic stromal lymphopoietin
- anti-TSLP antibodies that may be used in such embodiments include, but are not limited to, those described in U.S. Patent Nos. 7,982,016, and 8,232,372, and U.S. Publication No. 2009/0186022.
- anti-TSLP receptor antibodies include, but are not limited to, those described in U.S. Patent No. 8,101,182.
- the medicament comprises a therapeutically effective amount of the anti-TSLP antibody designated as A5 within U.S. Patent No. 7,982,016.
Landscapes
- Health & Medical Sciences (AREA)
- Vascular Medicine (AREA)
- Engineering & Computer Science (AREA)
- Anesthesiology (AREA)
- Biomedical Technology (AREA)
- Heart & Thoracic Surgery (AREA)
- Hematology (AREA)
- Life Sciences & Earth Sciences (AREA)
- Animal Behavior & Ethology (AREA)
- General Health & Medical Sciences (AREA)
- Public Health (AREA)
- Veterinary Medicine (AREA)
- Infusion, Injection, And Reservoir Apparatuses (AREA)
Abstract
Description
Claims
Priority Applications (12)
| Application Number | Priority Date | Filing Date | Title |
|---|---|---|---|
| EP18733474.3A EP3634546A1 (en) | 2017-06-08 | 2018-06-04 | Torque driven drug delivery device |
| AU2018282077A AU2018282077B2 (en) | 2017-06-08 | 2018-06-04 | Torque driven drug delivery device |
| CN201880036742.6A CN110709121B (en) | 2017-06-08 | 2018-06-04 | Torque-driven drug delivery device |
| CA3066399A CA3066399A1 (en) | 2017-06-08 | 2018-06-04 | Torque driven drug delivery device |
| MX2019014615A MX2019014615A (en) | 2017-06-08 | 2018-06-04 | Torque driven drug delivery device. |
| US16/609,466 US11904143B2 (en) | 2017-06-08 | 2018-06-04 | Torque driven drug delivery device |
| JP2019561838A JP7200134B2 (en) | 2017-06-08 | 2018-06-04 | Torque driven drug delivery device |
| JP2022202914A JP7539962B2 (en) | 2017-06-08 | 2022-12-20 | Torque-driven drug delivery device |
| US18/409,480 US12370312B2 (en) | 2017-06-08 | 2024-01-10 | Torque driven drug delivery device |
| AU2024201097A AU2024201097B2 (en) | 2017-06-08 | 2024-02-20 | Torque driven drug delivery device |
| US19/247,206 US20250319258A1 (en) | 2017-06-08 | 2025-06-24 | Torque driven drug delivery device |
| AU2025230830A AU2025230830A1 (en) | 2017-06-08 | 2025-09-15 | Torque driven drug delivery device |
Applications Claiming Priority (2)
| Application Number | Priority Date | Filing Date | Title |
|---|---|---|---|
| US201762516762P | 2017-06-08 | 2017-06-08 | |
| US62/516,762 | 2017-06-08 |
Related Child Applications (2)
| Application Number | Title | Priority Date | Filing Date |
|---|---|---|---|
| US16/609,466 A-371-Of-International US11904143B2 (en) | 2017-06-08 | 2018-06-04 | Torque driven drug delivery device |
| US18/409,480 Continuation US12370312B2 (en) | 2017-06-08 | 2024-01-10 | Torque driven drug delivery device |
Publications (1)
| Publication Number | Publication Date |
|---|---|
| WO2018226565A1 true WO2018226565A1 (en) | 2018-12-13 |
Family
ID=62705752
Family Applications (1)
| Application Number | Title | Priority Date | Filing Date |
|---|---|---|---|
| PCT/US2018/035816 Ceased WO2018226565A1 (en) | 2017-06-08 | 2018-06-04 | Torque driven drug delivery device |
Country Status (8)
| Country | Link |
|---|---|
| US (3) | US11904143B2 (en) |
| EP (1) | EP3634546A1 (en) |
| JP (2) | JP7200134B2 (en) |
| CN (1) | CN110709121B (en) |
| AU (3) | AU2018282077B2 (en) |
| CA (1) | CA3066399A1 (en) |
| MX (2) | MX2019014615A (en) |
| WO (1) | WO2018226565A1 (en) |
Cited By (29)
| Publication number | Priority date | Publication date | Assignee | Title |
|---|---|---|---|---|
| WO2020081479A1 (en) * | 2018-10-15 | 2020-04-23 | Amgen Inc. | Drug delivery device having damping mechanism |
| WO2021163504A1 (en) | 2020-02-13 | 2021-08-19 | Amgen Inc. | Formulations of human anti-tslp antibodies and methods of treating inflammatory disease |
| WO2021168100A1 (en) | 2020-02-18 | 2021-08-26 | Amgen Inc. | Formulations of human anti-tslp antibodies and methods of using the same |
| US11311666B1 (en) | 2021-02-18 | 2022-04-26 | Fresenius Kabi Deutschland Gmbh | Modular wearable medicament delivery device and method of use thereof |
| US11344682B1 (en) | 2021-02-19 | 2022-05-31 | Fresenius Kabi Deutschland Gmbh | Drug supply cartridge with visual use indicator and delivery devices that use the same |
| US11351300B1 (en) | 2021-04-30 | 2022-06-07 | Fresenius Kabl Deutschland GmbH | Drug dispensing system with replaceable drug supply cartridges |
| WO2022146931A1 (en) * | 2021-01-03 | 2022-07-07 | Fpin Llc | Damped autoinjectors |
| US11406755B1 (en) | 2021-02-19 | 2022-08-09 | Fresenius Kabi Deutschland Gmbh | Sensing fluid flow irregularities in an on-body injector |
| US11413394B1 (en) | 2021-02-19 | 2022-08-16 | Fresenius Kabi Deutschland Gmbh | Display for wearable drug delivery device |
| US11419976B1 (en) | 2021-04-30 | 2022-08-23 | Fresenius Kabi Deutschland Gmbh | Wearable drug delivery device with pressurized fluid dispensing |
| US11426523B1 (en) | 2021-02-19 | 2022-08-30 | Fresenius Kabi Deutschland Gmbh | Drug delivery assembly including a removable cartridge |
| US11464902B1 (en) | 2021-02-18 | 2022-10-11 | Fresenius Kabi Deutschland Gmbh | Wearable medicament delivery device with compressible reservoir and method of use thereof |
| WO2022226339A1 (en) | 2021-04-23 | 2022-10-27 | Amgen Inc. | Anti-tslp antibody compositions and uses thereof |
| WO2022226342A2 (en) | 2021-04-23 | 2022-10-27 | Amgen Inc. | Modified anti-tslp antibodies |
| US11484646B1 (en) | 2021-05-04 | 2022-11-01 | Fresenius Kabi Deutschland Gmbh | Sealing systems for a reservoir of an on-body injector |
| US11497847B1 (en) | 2021-02-19 | 2022-11-15 | Fresenius Kabi Deutschland Gmbh | Wearable injector with adhesive substrate |
| US11504470B1 (en) | 2021-04-30 | 2022-11-22 | Fresenius Kabi Deutschland Gmbh | Deformable drug reservoir for wearable drug delivery device |
| US11529459B1 (en) | 2021-04-30 | 2022-12-20 | Fresenius Kabi Deutschland Gmbh | Wearable injector with adhesive module |
| US11607505B1 (en) | 2021-02-19 | 2023-03-21 | Fresenius Kabi Deutschland Gmbh | Wearable injector with sterility sensors |
| US11633537B1 (en) | 2021-02-19 | 2023-04-25 | Fresenius Kabi Deutschland Gmbh | Drug delivery assembly including a pre-filled cartridge |
| US11717608B1 (en) | 2021-05-03 | 2023-08-08 | Fresenius Kabi Deutschland Gmbh | Drug delivery assembly including an adhesive pad |
| US11872369B1 (en) | 2021-02-18 | 2024-01-16 | Fresenius Kabi Deutschland Gmbh | Wearable medicament delivery device with leakage and skin contact sensing and method of use thereof |
| WO2024092064A1 (en) | 2022-10-26 | 2024-05-02 | Amgen Inc. | Anti-tslp antibody compositions and uses thereof |
| USD1037439S1 (en) | 2022-01-17 | 2024-07-30 | EyePoint Pharamaceuticals, Inc. | Ocular injector |
| WO2024238877A1 (en) | 2023-05-18 | 2024-11-21 | Medimmune, Llc | Treatment of corticosteroid dependent asthma with anti-tslp antibody |
| US12156991B2 (en) * | 2018-10-02 | 2024-12-03 | Amgen Inc. | Injection systems for drug delivery with internal force transmission |
| WO2025147632A1 (en) | 2024-01-05 | 2025-07-10 | Medimmune, Llc | Treatment of chronic obstructive pulmonary disease with anti-tslp antibody |
| WO2025221247A1 (en) | 2024-04-17 | 2025-10-23 | Amgen Inc. | Treatment of eosinophilic esophagitis with anti-tslp antibody |
| US12453822B2 (en) | 2019-02-26 | 2025-10-28 | Becton Dickinson France | Auto-injector with audio indicator |
Families Citing this family (2)
| Publication number | Priority date | Publication date | Assignee | Title |
|---|---|---|---|---|
| EP3634546A1 (en) * | 2017-06-08 | 2020-04-15 | Amgen Inc. | Torque driven drug delivery device |
| JP7544986B2 (en) * | 2022-04-26 | 2024-09-03 | 中外製薬株式会社 | Syringe with built-in filter containing pharmaceutical preparation |
Citations (159)
| Publication number | Priority date | Publication date | Assignee | Title |
|---|---|---|---|---|
| US4043335A (en) * | 1975-08-23 | 1977-08-23 | Soji Ishikawa | Needle holder device of medical administrating injector |
| US4638809A (en) * | 1984-03-22 | 1987-01-27 | Kuperus John H | Method of preparing radionuclide doses |
| US4703008A (en) | 1983-12-13 | 1987-10-27 | Kiren-Amgen, Inc. | DNA sequences encoding erythropoietin |
| WO1991005867A1 (en) | 1989-10-13 | 1991-05-02 | Amgen Inc. | Erythropoietin isoforms |
| WO1995005465A1 (en) | 1993-08-17 | 1995-02-23 | Amgen Inc. | Erythropoietin analogs |
| US5441868A (en) | 1983-12-13 | 1995-08-15 | Kirin-Amgen, Inc. | Production of recombinant erythropoietin |
| US5547933A (en) | 1983-12-13 | 1996-08-20 | Kirin-Amgen, Inc. | Production of erythropoietin |
| WO1996038557A1 (en) | 1995-06-02 | 1996-12-05 | Genentech, Inc. | Hepatocyte growth factor receptor antagonists and uses thereof |
| WO1996040772A2 (en) | 1995-06-07 | 1996-12-19 | Ortho Pharmaceutical Corporation | Agonist peptide dimers |
| US5773569A (en) | 1993-11-19 | 1998-06-30 | Affymax Technologies N.V. | Compounds and peptides that bind to the erythropoietin receptor |
| US5789554A (en) | 1994-08-12 | 1998-08-04 | Immunomedics, Inc. | Immunoconjugates and humanized antibodies specific for B-cell lymphoma and leukemia cells |
| US5830851A (en) | 1993-11-19 | 1998-11-03 | Affymax Technologies N.V. | Methods of administering peptides that bind to the erythropoietin receptor |
| US5856298A (en) | 1989-10-13 | 1999-01-05 | Amgen Inc. | Erythropoietin isoforms |
| WO1999066054A2 (en) | 1998-06-15 | 1999-12-23 | Genzyme Transgenics Corp. | Erythropoietin analog-human serum albumin fusion protein |
| US6030086A (en) | 1998-03-02 | 2000-02-29 | Becton, Dickinson And Company | Flash tube reflector with arc guide |
| WO2000024893A2 (en) | 1998-10-23 | 2000-05-04 | Amgen Inc. | Methods and compositions for the prevention and treatment of anemia |
| WO2000061637A1 (en) | 1999-04-14 | 2000-10-19 | Smithkline Beecham Corporation | Erythropoietin receptor antibodies |
| WO2001031007A2 (en) | 1999-10-22 | 2001-05-03 | Millennium Pharmaceuticals, Inc. | Nucleic acid molecules derived from rat brain and programmed cell death models |
| WO2001036489A2 (en) | 1999-11-12 | 2001-05-25 | Merck Patent Gmbh | Erythropoietin forms with improved properties |
| US6310078B1 (en) | 1998-04-20 | 2001-10-30 | Ortho-Mcneil Pharmaceutical, Inc. | Substituted amino acids as erythropoietin mimetics |
| WO2001081405A2 (en) | 2000-04-21 | 2001-11-01 | Amgen Inc. | Methods and compositions for the prevention and treatment of anemia |
| WO2002014356A2 (en) | 2000-08-11 | 2002-02-21 | Baxter Healthcare Sa | Therapeutic use of a recombinant erythropoietin having high activity and reduced side effects |
| WO2002020034A1 (en) | 2000-09-08 | 2002-03-14 | Gryphon Therapeutics, Inc. | 'pseudo'-native chemical ligation |
| US6391633B1 (en) | 1997-07-23 | 2002-05-21 | Roche Diagnostics Gmbh | Production of erythropoietin by endogenous gene activation |
| WO2002049673A2 (en) | 2000-12-20 | 2002-06-27 | F. Hoffmann-La Roche Ag | Conjugates of erythropoietin (pep) with polyethylene glycol (peg) |
| WO2002085940A2 (en) | 2001-04-04 | 2002-10-31 | Genodyssee | New polynucleotides and polypeptides of the erythropoietin gene |
| WO2003002713A2 (en) | 2001-06-26 | 2003-01-09 | Abgenix, Inc. | Antibodies to opgl |
| US20030023586A1 (en) | 2000-03-03 | 2003-01-30 | Super Internet Site System Pty Ltd. | On-line geographical directory |
| WO2003029291A2 (en) | 2001-09-25 | 2003-04-10 | F. Hoffmann-La Roche Ag | Pegylated and diglycosylated erythropoietin |
| WO2003030833A2 (en) | 2001-10-11 | 2003-04-17 | Amgen Inc. | Angiopoietin-2 specific binding agents |
| US20030082749A1 (en) | 2001-08-17 | 2003-05-01 | Sun Lee-Hwei K. | Fc fusion proteins of human erythropoietin with increased biological activities |
| US6562596B1 (en) | 1993-10-06 | 2003-05-13 | Amgen Inc. | Tissue inhibitor of metalloproteinase type three (TIMP-3) composition and methods |
| US6583272B1 (en) | 1999-07-02 | 2003-06-24 | Hoffmann-La Roche Inc. | Erythropoietin conjugates |
| US6586398B1 (en) | 2000-04-07 | 2003-07-01 | Amgen, Inc. | Chemically modified novel erythropoietin stimulating protein compositions and methods |
| WO2003055526A2 (en) | 2001-12-21 | 2003-07-10 | Maxygen Aps | Erythropoietin conjugates |
| WO2003057134A2 (en) | 2001-10-11 | 2003-07-17 | Amgen, Inc. | Specific binding agents of human angiopoietin-2 |
| WO2003059951A2 (en) | 2002-01-18 | 2003-07-24 | Pierre Fabre Medicament | Novel anti-igf-ir antibodies and uses thereof |
| US20030138421A1 (en) | 2001-08-23 | 2003-07-24 | Van De Winkel Jan G.J. | Human Antibodies specific for interleukin 15 (IL-15) |
| US20030143202A1 (en) | 2002-01-31 | 2003-07-31 | Binley Katie (Mary) | Anemia |
| US20030195156A1 (en) | 2001-05-11 | 2003-10-16 | Amgen Inc. | Peptides and related molecules that bind to TALL-1 |
| WO2003084477A2 (en) | 2002-03-29 | 2003-10-16 | Centocor, Inc. | Mammalian cdr mimetibodies, compositions, methods and uses |
| WO2003094858A2 (en) | 2002-05-13 | 2003-11-20 | Modigenetech Ltd. | Ctp-extended erythropoietin |
| US20030215444A1 (en) | 1994-07-26 | 2003-11-20 | Amgen Inc. | Antibodies which activate an erythropoietin receptor |
| US20030235582A1 (en) | 2002-06-14 | 2003-12-25 | Immunogen, Inc. | Anti-IGF-I receptor antibody |
| WO2004002417A2 (en) | 2002-06-28 | 2004-01-08 | Centocor, Inc. | Mammalian ch1 deleted mimetibodies, compositions, methods and uses |
| WO2004002424A2 (en) | 2002-06-28 | 2004-01-08 | Centocor, Inc. | Mammalian epo mimetic ch1 deleted mimetibodies, compositions, methods and uses |
| US20040018191A1 (en) | 2002-05-24 | 2004-01-29 | Schering Corporation | Neutralizing human anti-IGFR antibody |
| WO2004009627A1 (en) | 2002-07-19 | 2004-01-29 | Cangene Corporation | Pegylated erythropoietic compounds |
| WO2004018667A1 (en) | 2002-08-26 | 2004-03-04 | Kirin Beer Kabushiki Kaisha | Peptides and drugs containing the same |
| WO2004024761A1 (en) | 2002-09-11 | 2004-03-25 | Fresenius Kabi Deutschland Gmbh | Hasylated polypeptides, especially hasylated erythropoietin |
| US20040071694A1 (en) | 2002-10-14 | 2004-04-15 | Devries Peter J. | Erythropoietin receptor binding antibodies |
| US20040071702A1 (en) | 2001-08-23 | 2004-04-15 | Genmab, Inc. | Human antibodies specific for interleukin 15 (IL-15) |
| WO2004033651A2 (en) | 2002-10-09 | 2004-04-22 | Neose Technologies, Inc. | Erythropoietin: remodeling and glycoconjugation of erythropoietin |
| WO2004035603A2 (en) | 2002-10-14 | 2004-04-29 | Abbott Laboratories | Erythropoietin receptor binding antibodies |
| US20040086503A1 (en) | 2001-01-05 | 2004-05-06 | Cohen Bruce D. | Antibodies to insulin-like growth factor I receptor |
| US20040091961A1 (en) | 2002-11-08 | 2004-05-13 | Evans Glen A. | Enhanced variants of erythropoietin and methods of use |
| US20040097712A1 (en) | 2002-09-06 | 2004-05-20 | Amgen, Inc. A Corporation Of The State Of Delaware | Therapeutic human anti-IL1-R1 monoclonal antibody |
| US6756480B2 (en) | 2000-04-27 | 2004-06-29 | Amgen Inc. | Modulators of receptors for parathyroid hormone and parathyroid hormone-related protein |
| WO2004058988A2 (en) | 2002-12-20 | 2004-07-15 | Amgen, Inc. | Binding agents which inhibit myostatin |
| US20040175379A1 (en) | 2002-10-14 | 2004-09-09 | Devries Peter J. | Erythropoietin receptor binding antibodies |
| US6803453B1 (en) | 1998-11-27 | 2004-10-12 | Darwin Discovery Ltd. | Antibodies associated with alterations in bone density |
| US20040202655A1 (en) | 2003-03-14 | 2004-10-14 | Morton Phillip A. | Antibodies to IGF-I receptor for the treatment of cancers |
| US20040228859A1 (en) | 2003-04-02 | 2004-11-18 | Yvo Graus | Antibodies against insulin-like growth factor 1 receptor and uses thereof |
| US20040229318A1 (en) | 2003-05-17 | 2004-11-18 | George Heavner | Erythropoietin conjugate compounds with extended half-lives |
| WO2004101611A2 (en) | 2003-05-12 | 2004-11-25 | Affymax, Inc. | Peptides that bind to the erythropoietin receptor |
| WO2004101600A2 (en) | 2003-05-12 | 2004-11-25 | Affymax, Inc. | Novel poly(ethylene glycol) modified compounds and uses thereof |
| WO2004101606A2 (en) | 2003-05-12 | 2004-11-25 | Affymax, Inc. | Novel peptides that bind to the erythropoietin receptor |
| US6835809B1 (en) | 1998-10-23 | 2004-12-28 | Amgen Inc. | Thrombopoietic compounds |
| US20040265307A1 (en) | 2002-06-14 | 2004-12-30 | Immunogen Inc. | Anti-IGF-I receptor antibody |
| US20040266690A1 (en) | 2003-05-30 | 2004-12-30 | Chadler Pool | Formation of novel erythropoietin conjugates using transglutaminase |
| WO2005001025A2 (en) | 2003-05-06 | 2005-01-06 | Syntonix Pharmaceuticals, Inc. | Immunoglobulin chimeric monomer-dimer hybrids |
| WO2005001136A1 (en) | 2003-06-04 | 2005-01-06 | Irm Llc | Methods and compositions for modulating erythropoietin expression |
| US20050004353A1 (en) | 2002-10-16 | 2005-01-06 | Amgen, Inc., A Corporation Of The State Of Delaware | Human anti-IFN-gamma neutralizing antibodies as selective IFN-gamma pathway inhibitors |
| US20050008642A1 (en) | 2003-07-10 | 2005-01-13 | Yvo Graus | Antibodies against insulin-like growth factor 1 receptor and uses thereof |
| US20050019914A1 (en) | 2003-07-24 | 2005-01-27 | Aventis Pharma Deutschland Gmbh | Perfusion process for producing erythropoietin |
| US20050026834A1 (en) | 1999-01-14 | 2005-02-03 | Bolder Biotechnology, Inc. | Methods for making proteins containing free cysteine residues |
| WO2005016970A2 (en) | 2003-05-01 | 2005-02-24 | Imclone Systems Incorporated | Fully human antibodies directed against the human insulin-like growth factor-1 receptor |
| WO2005017107A2 (en) | 2003-07-18 | 2005-02-24 | Amgen Inc. | Specific binding agents to hepatocyte growth factor |
| WO2005021579A2 (en) | 2003-08-28 | 2005-03-10 | Biorexis Pharmaceutical Corporation | Epo mimetic peptides and fusion proteins |
| WO2005025606A1 (en) | 2003-09-09 | 2005-03-24 | Warren Pharmaceuticals, Inc. | Long acting erythropoietins that maintain tissue protective activity of endogenous erythropoietin |
| US20050074821A1 (en) | 2003-07-15 | 2005-04-07 | Wild Kenneth D. | Human anti-NGF neutralizing antibodies as selective NGF pathway inhibitors |
| WO2005032460A2 (en) | 2003-09-30 | 2005-04-14 | Centocor, Inc. | Human epo mimetic hinge core mimetibodies, compositions, methods and uses |
| US20050084906A1 (en) | 2002-01-18 | 2005-04-21 | Liliane Goetsch | Novel anti-IGF-IR antibodies and uses thereof |
| US20050096461A1 (en) | 1997-07-14 | 2005-05-05 | Bolder Biotechnology, Inc. | Cysteine variants of erythropoietin |
| US20050112694A1 (en) | 2003-11-07 | 2005-05-26 | Carter Paul J. | Antibodies that bind interleukin-4 receptor |
| US20050124564A1 (en) | 2002-01-31 | 2005-06-09 | Binley Katie M. | Anemia |
| WO2005051327A2 (en) | 2003-11-24 | 2005-06-09 | Neose Technologies, Inc. | Glycopegylated erythropoietin |
| US20050136063A1 (en) | 2003-11-21 | 2005-06-23 | Schering Corporation | Anti-IGFR antibody therapeutic combinations |
| WO2005058967A2 (en) | 2003-12-16 | 2005-06-30 | Pierre Fabre Medicament | Novel anti-insulin/igf-i hybrid receptor or anti-insulin/igf-i hybrid receptor and igf-ir antibodies and uses thereof |
| US20050153879A1 (en) | 2002-03-26 | 2005-07-14 | Monica Svetina | Process for the preparation of a desired erythropoietin glyco-isoform profile |
| WO2005063809A1 (en) | 2003-12-22 | 2005-07-14 | Dubai Genetics Fz-Llc | Nature-identical erythropoietin |
| WO2005063808A1 (en) | 2003-12-31 | 2005-07-14 | Merck Patent Gmbh | Fc-ERYTHROPOIETIN FUSION PROTEIN WITH IMPROVED PHARMACOKINETICS |
| US6919426B2 (en) | 2002-09-19 | 2005-07-19 | Amgen Inc. | Peptides and related molecules that modulate nerve growth factor activity |
| US20050158822A1 (en) | 2004-01-20 | 2005-07-21 | Insight Biopharmaceuticals Ltd. | High level expression of recombinant human erythropoietin having a modified 5'-UTR |
| US20050170457A1 (en) | 2003-12-31 | 2005-08-04 | Chadler Pool | Novel recombinant proteins with N-terminal free thiol |
| WO2005070451A1 (en) | 2004-01-22 | 2005-08-04 | Zafena Aktiebolag | Pharmaceutical composition comprising non-glycosylated erythropoietin |
| US20050181359A1 (en) | 1999-04-15 | 2005-08-18 | Crucell Holland B.V. | Compositions of erythropoietin isoforms comprising Lewis-X structures and high sialic acid content |
| US20050181482A1 (en) | 2004-02-12 | 2005-08-18 | Meade Harry M. | Method for the production of an erythropoietin analog-human IgG fusion proteins in transgenic mammal milk |
| WO2005081687A2 (en) | 2003-09-30 | 2005-09-09 | Centocor, Inc. | Human hinge core mimetibodies, compositions, methods and uses |
| US20050202538A1 (en) | 1999-11-12 | 2005-09-15 | Merck Patent Gmbh | Fc-erythropoietin fusion protein with improved pharmacokinetics |
| WO2005084711A1 (en) | 2004-03-02 | 2005-09-15 | Chengdu Institute Of Biological Products | A pegylated recombinant erythropoietin that has in vivo activity |
| WO2005092369A2 (en) | 2004-03-11 | 2005-10-06 | Fresenius Kabi Deutschland Gmbh | Conjugates of hydroxyethyl starch and erythropoietin |
| US20050227289A1 (en) | 2004-04-09 | 2005-10-13 | Reilly Edward B | Antibodies to erythropoietin receptor and uses thereof |
| WO2005103076A2 (en) | 2004-04-23 | 2005-11-03 | Cambridge Antibody Technology Limited | Erythropoietin protein variants |
| US20060002929A1 (en) | 2004-03-23 | 2006-01-05 | Khare Sanjay D | Monoclonal antibodies |
| WO2006002646A2 (en) | 2004-07-07 | 2006-01-12 | H. Lundbeck A/S | Novel carbamylated epo and method for its production |
| WO2006013472A2 (en) | 2004-07-29 | 2006-02-09 | Pierre Fabre Medicament | Novel anti-igf-ir antibodies and uses thereof |
| US20060040358A1 (en) | 1998-12-03 | 2006-02-23 | Tanja Ligensa | IGF-1 receptor interacting proteins |
| WO2006029094A2 (en) | 2004-09-02 | 2006-03-16 | Xencor, Inc. | Erythropoietin derivatives with altered immunogenicity |
| WO2006050959A2 (en) | 2004-11-10 | 2006-05-18 | Aplagen Gmbh | Molecules which promote hematopoiesis |
| US20060111279A1 (en) | 2003-11-24 | 2006-05-25 | Neose Technologies, Inc. | Glycopegylated erythropoietin |
| WO2006069202A2 (en) | 2004-12-22 | 2006-06-29 | Amgen Inc. | Compositions comprising anti-igf-i receptor antibodies and methods for obtaining said antibodies |
| WO2006081171A1 (en) | 2005-01-24 | 2006-08-03 | Amgen Inc. | Humanized anti-amyloid antibody |
| WO2006138729A2 (en) | 2005-06-17 | 2006-12-28 | Imclone Systems Incorporated | Receptor antagonists for treatment of metastatic bone cancer |
| WO2007000328A1 (en) | 2005-06-27 | 2007-01-04 | Istituto Di Ricerche Di Biologia Molecolare P Angeletti Spa | Antibodies that bind to an epitope on insulin-like growth factor 1 receptor and uses thereof |
| WO2007011941A2 (en) | 2005-07-18 | 2007-01-25 | Amgen Inc. | Human anti-b7rp1 neutralizing antibodies |
| WO2007012614A2 (en) | 2005-07-22 | 2007-02-01 | Pierre Fabre Medicament | Novel anti-igf-ir antibodies and uses thereof |
| US7217689B1 (en) | 1989-10-13 | 2007-05-15 | Amgen Inc. | Glycosylation analogs of erythropoietin |
| US20070110747A1 (en) | 2005-05-03 | 2007-05-17 | Ucb S.A. | Binding agents |
| US7220410B2 (en) | 2003-04-18 | 2007-05-22 | Galaxy Biotech, Llc | Monoclonal antibodies to hepatocyte growth factor |
| US7223593B2 (en) | 2000-01-21 | 2007-05-29 | Biovex Limited | Herpes virus strains for gene therapy |
| US7271689B1 (en) | 2000-11-22 | 2007-09-18 | Fonar Corporation | Magnet structure |
| US20070253951A1 (en) | 2006-04-24 | 2007-11-01 | Gordon Ng | Humanized c-Kit antibody |
| WO2007136752A2 (en) | 2006-05-19 | 2007-11-29 | Glycofi, Inc. | Erythropoietin compositions |
| WO2008057459A2 (en) | 2006-11-07 | 2008-05-15 | Merck & Co., Inc. | Antagonists of pcsk9 |
| WO2008057458A2 (en) | 2006-11-07 | 2008-05-15 | Merck & Co., Inc. | Antagonists of pcsk9 |
| WO2008057457A2 (en) | 2006-11-07 | 2008-05-15 | Merck & Co., Inc. | Antagonists of pcsk9 |
| WO2008125623A2 (en) | 2007-04-13 | 2008-10-23 | Novartis Ag | Molecules and methods for modulating proprotein convertase subtilisin/kexin type 9 (pcsk9) |
| WO2008133647A2 (en) | 2006-11-07 | 2008-11-06 | Merck & Co., Inc. | Antagonists of pcsk9 |
| US7521048B2 (en) | 2005-08-31 | 2009-04-21 | Amgen Inc. | TRAIL receptor-2 polypeptides and antibodies |
| WO2009055783A2 (en) | 2007-10-26 | 2009-04-30 | Schering Corporation | Anti-pcsk9 and methods for treating lipid and cholesterol disorders |
| US20090186022A1 (en) | 2006-02-23 | 2009-07-23 | Novartis Ag | Organic Compounds |
| WO2009100297A1 (en) | 2008-02-07 | 2009-08-13 | Merck & Co., Inc. | 1d05 pcsk9 antagonists |
| WO2009100318A1 (en) | 2008-02-07 | 2009-08-13 | Merck & Co., Inc. | 1b20 pcsk9 antagonists |
| US20090234106A1 (en) | 2006-09-08 | 2009-09-17 | Amgen Inc. | Anti-activin a antibodies and uses thereof |
| WO2010029513A2 (en) | 2008-09-12 | 2010-03-18 | Rinat Neuroscience Corporation | Pcsk9 antagonists |
| WO2010075238A1 (en) | 2008-12-23 | 2010-07-01 | Amgen Inc. | Human cgrp receptor binding proteins |
| WO2010077854A1 (en) | 2008-12-15 | 2010-07-08 | Regeneron Pharamaceuticals, Inc. | High affinity human antibodies to pcsk9 |
| WO2011037791A1 (en) | 2009-09-25 | 2011-03-31 | Merck Sharp & Dohme Corp. | Antagonists of pcsk9 |
| WO2011053783A2 (en) | 2009-10-30 | 2011-05-05 | Merck Sharp & Dohme Corp. | Ax213 and ax132 pcsk9 antagonists and variants |
| WO2011053759A1 (en) | 2009-10-30 | 2011-05-05 | Merck Sharp & Dohme Corp. | Ax1 and ax189 pcsk9 antagonists and variants |
| WO2011072263A1 (en) | 2009-12-11 | 2011-06-16 | Irm Llc | Pcsk9 antagonists |
| US7982016B2 (en) | 2007-09-10 | 2011-07-19 | Amgen Inc. | Antigen binding proteins capable of binding thymic stromal lymphopoietin |
| US7981669B2 (en) | 2003-07-25 | 2011-07-19 | Biovex Limited | Viral vectors |
| WO2011111007A2 (en) | 2010-03-11 | 2011-09-15 | Rinat Neuroscience Corporation | ANTIBODIES WITH pH DEPENDENT ANTIGEN BINDING |
| US8030547B2 (en) | 2002-03-29 | 2011-10-04 | Kumiai Chemical Industry Co., Ltd. | Gene coding for acetolactate synthase |
| US8101182B2 (en) | 2007-06-20 | 2012-01-24 | Novartis Ag | Methods and compositions for treating allergic diseases |
| WO2012054438A1 (en) | 2010-10-22 | 2012-04-26 | Schering Corporation | Anti-pcsk9 |
| WO2012088313A1 (en) | 2010-12-22 | 2012-06-28 | Genentech, Inc. | Anti-pcsk9 antibodies and methods of use |
| US8232372B2 (en) | 2006-12-14 | 2012-07-31 | Schering Corp. | Engineered anti-TSLP antibody |
| WO2012101251A1 (en) | 2011-01-28 | 2012-08-02 | Sanofi | Human antibodies to pcsk9 for use in methods of treatment based on particular dosage regimens |
| WO2012109530A1 (en) | 2011-02-11 | 2012-08-16 | Irm Llc | Pcsk9 antagonists |
| US20130064825A1 (en) | 2011-05-10 | 2013-03-14 | Amgen Inc. | Methods of treating or preventing cholesterol related disorders |
| US20130072880A1 (en) * | 2011-09-16 | 2013-03-21 | Tyco Healthcare Group Lp | Fluid Delivery Device with Filtration |
| WO2014099984A1 (en) | 2012-12-20 | 2014-06-26 | Amgen Inc. | Apj receptor agonists and uses thereof |
| US20140274874A1 (en) | 2013-03-14 | 2014-09-18 | Amgen Inc. | Variants of tissue inhibitor of metalloproteinase type three (timp-3), compositions and methods |
| WO2014152012A2 (en) | 2013-03-14 | 2014-09-25 | Amgen Inc. | Variants of tissue inhibitor of metalloproteinase type three (timp-3), compositions and methods |
| US20150314076A1 (en) * | 2005-01-21 | 2015-11-05 | Novo Nordisk A/S | Automatic Injection Device with a Top Release Mechanism |
| US20150320938A1 (en) * | 2014-05-06 | 2015-11-12 | Biomet Biologics, Llc | Single Step Desiccating Bead-in-Syringe Concentrating Device |
Family Cites Families (99)
| Publication number | Priority date | Publication date | Assignee | Title |
|---|---|---|---|---|
| US5533964A (en) | 1994-02-17 | 1996-07-09 | Rossmark Medical Publishers Inc. | Apparatus for removal of excess hydrogen ions from humans |
| SE505274C2 (en) | 1995-10-24 | 1997-07-28 | Sten Andersson | Use of a hydrophobic zeolite for the removal of preservatives from a protein solution for injection in drug contexts |
| US5807344A (en) | 1997-02-10 | 1998-09-15 | In-X Corporation | Arterial blood gas syringe including filter member |
| US6554803B1 (en) | 1997-04-02 | 2003-04-29 | Arthur Ashman | Combination syringe and aspirator for bone regeneration material and method for using the syringe |
| US20020119417A1 (en) | 1998-05-29 | 2002-08-29 | Arthur Ashman | Nozzle tip for use with syringe and method for using same |
| DE19821933C1 (en) | 1998-05-15 | 1999-11-11 | Disetronic Licensing Ag | Device for administering an injectable product |
| SE9803662D0 (en) | 1998-10-26 | 1998-10-26 | Pharmacia & Upjohn Ab | autoinjector |
| GB2344526B (en) * | 1999-01-12 | 2001-05-23 | Dumaresq Lucas Alison Jayne | Syringe with filter,and filter therefor |
| EP1171185B1 (en) | 1999-04-16 | 2005-11-02 | Becton Dickinson and Company | Pen style injector with automated substance combining feature |
| GB0011443D0 (en) | 2000-05-13 | 2000-06-28 | Dna Research Instr Limited | Separation device |
| DE10046279A1 (en) | 2000-09-19 | 2002-04-04 | Disetronic Licensing Ag | Device for the dosed administration of an injectable product |
| US6770052B2 (en) * | 2000-10-10 | 2004-08-03 | Meridian Medical Technologies, Inc. | Wet/dry automatic injector assembly |
| US6899699B2 (en) | 2001-01-05 | 2005-05-31 | Novo Nordisk A/S | Automatic injection device with reset feature |
| SE0102922D0 (en) | 2001-08-31 | 2001-08-31 | Astrazeneca Ab | Method and apparatus for sample preparation |
| GB0125506D0 (en) | 2001-10-24 | 2001-12-12 | Weston Medical Ltd | Needle free injection method and apparatus |
| DE10226537A1 (en) | 2002-06-14 | 2004-01-08 | Peter Eichhorst | pre-injection device |
| DE10240166A1 (en) | 2002-08-30 | 2004-03-18 | Disetronic Licensing Ag | Injection syringe for dispensing insulin to treat diabetes has piston operated by flexible belt which is moved by manually-operated wheel with teeth which cooperate with catches set to give predetermined dose |
| US9486581B2 (en) | 2002-09-11 | 2016-11-08 | Becton, Dickinson And Company | Injector device with force lock-out and injection rate limiting mechanisms |
| US6939319B1 (en) | 2002-11-20 | 2005-09-06 | Conrad Anstead | Process and device for single use, needle-free intradermal, subcutaneous, or intramuscular injections |
| US20040158226A1 (en) | 2003-02-07 | 2004-08-12 | Genoptix, Inc. | Syringe tissue sieve |
| IL157981A (en) | 2003-09-17 | 2014-01-30 | Elcam Medical Agricultural Cooperative Ass Ltd | Auto-injector |
| JP4406344B2 (en) | 2004-09-27 | 2010-01-27 | 富士フイルム株式会社 | Porous membrane cartridge and manufacturing method thereof |
| CN101084028B (en) | 2004-10-21 | 2010-06-09 | 诺和诺德公司 | Injection device with torsion spring and rotatable display |
| WO2006052737A1 (en) | 2004-11-04 | 2006-05-18 | Sid Technologies, Llc | Automatic injector |
| DE102004063644A1 (en) | 2004-12-31 | 2006-07-20 | Tecpharma Licensing Ag | Device for the dosed administration of a fluid product with torsion spring drive |
| EP3495009B2 (en) | 2005-01-24 | 2025-01-15 | Antares Pharma, Inc. | An injector with prefilled syringe |
| DE602005008404D1 (en) | 2005-06-01 | 2008-09-04 | Shl Medical Ab | Drug delivery device |
| JP5026411B2 (en) | 2005-06-01 | 2012-09-12 | エスエイチエル グループ エービー | Drug delivery device |
| DK1885415T3 (en) | 2005-06-01 | 2013-08-05 | Shl Group Ab | DEVICE FOR THE DELIVERY OF A MEDICINE |
| DE102005025424A1 (en) | 2005-06-02 | 2006-12-07 | Tecpharma Licensing Ag | Injection device, especially automatic injector or injection pen, has drive-off member propelled by surrounding torsional spring, for efficient delivery of product to patient |
| GB0524604D0 (en) | 2005-12-02 | 2006-01-11 | Owen Mumford Ltd | Injection method and apparatus |
| KR100738100B1 (en) | 2006-01-19 | 2007-07-12 | 삼성전자주식회사 | Apparatus and method for pretreatment and injection of liquid specimens |
| JP5253395B2 (en) | 2006-08-18 | 2013-07-31 | エスエイチエル グループ エービー | Drug delivery device having pressure release mechanism |
| CN101588830A (en) | 2006-09-15 | 2009-11-25 | 特克法马许可公司 | Splash-resistant injection device |
| CA2680335C (en) * | 2007-03-09 | 2014-01-14 | Eli Lilly And Company | Delay mechanism for automatic injection device |
| AU2008300703B2 (en) | 2007-09-18 | 2011-03-17 | Shl Group Ab | Automatic injection device with needle insertion |
| WO2009042993A1 (en) | 2007-09-28 | 2009-04-02 | Flodesign, Inc. | Filter for flow improvements for delivery of biomaterials |
| GB0802351D0 (en) | 2008-02-08 | 2008-03-12 | Owen Mumford Ltd | Injection devices |
| DE102008011881A1 (en) | 2008-02-29 | 2009-09-10 | Tecpharma Licensing Ag | Empty shooting speed limit brake |
| DE102008011885A1 (en) | 2008-02-29 | 2009-09-10 | Tecpharma Licensing Ag | Dual function spring |
| US20110124106A1 (en) | 2008-07-31 | 2011-05-26 | Ge Healthcare Bio-Sciences Ab | Separation device |
| AU2009309895B2 (en) | 2008-10-29 | 2012-06-07 | Shl Group Ab | Injection device |
| GB0821492D0 (en) | 2008-11-25 | 2008-12-31 | Team Holdings Uk Ltd | Integrated auto-injector cartridge system |
| EP2198903A1 (en) | 2008-12-19 | 2010-06-23 | Sanofi-Aventis Deutschland GmbH | Motor mechanism for a drug delivery device and drug delivery device |
| ATE520432T1 (en) | 2009-02-11 | 2011-09-15 | Nils Leuzinger | INJECTION DEVICE WITH PRESSURE DAMPING FOR THE INJECTION OF A FLUID |
| DE202009001836U1 (en) | 2009-02-13 | 2009-05-20 | Dieter Hölzle Technik-Projekte GmbH | Electromechanical injection device |
| GB0918145D0 (en) | 2009-10-16 | 2009-12-02 | Owen Mumford Ltd | Injector apparatus |
| CN102762243B (en) | 2009-12-14 | 2014-07-23 | Shl集团有限责任公司 | Medicament delivery device |
| EP2364741A1 (en) | 2010-03-09 | 2011-09-14 | Sanofi-Aventis Deutschland GmbH | Interlock mechanism for defining an operation sequence of an auto-injector |
| EP2364739A1 (en) | 2010-03-09 | 2011-09-14 | Sanofi-Aventis Deutschland GmbH | Re-usable autoinjector |
| EP2364740A1 (en) | 2010-03-09 | 2011-09-14 | Sanofi-Aventis Deutschland GmbH | Arrangement for transferring a translation of a drive means to a plunger |
| CN102946930B (en) | 2010-04-19 | 2015-02-25 | Shl集团有限责任公司 | A self-administration medicament delivery device |
| US9446201B2 (en) | 2010-04-26 | 2016-09-20 | Shl Group Ab | Medicament delivery device |
| EP2399631A1 (en) * | 2010-06-28 | 2011-12-28 | Sanofi-Aventis Deutschland GmbH | Auto-injector with injection damper |
| EP2399627A1 (en) | 2010-06-28 | 2011-12-28 | Sanofi-Aventis Deutschland GmbH | Auto-injector |
| GB201015799D0 (en) | 2010-09-21 | 2010-10-27 | Owen Mumford Ltd | Autoinjectors |
| EP2438939A1 (en) | 2010-10-08 | 2012-04-11 | Sanofi-Aventis Deutschland GmbH | Arrangement for coupling a plunger to either a syringe or a stopper |
| EP2468328A1 (en) * | 2010-12-21 | 2012-06-27 | Sanofi-Aventis Deutschland GmbH | Auto-injector |
| EP2468341A1 (en) | 2010-12-21 | 2012-06-27 | Sanofi-Aventis Deutschland GmbH | Auto-injector |
| EP2468329A1 (en) * | 2010-12-21 | 2012-06-27 | Sanofi-Aventis Deutschland GmbH | Auto injector with a torsion spring |
| EP2468337A1 (en) | 2010-12-21 | 2012-06-27 | Sanofi-Aventis Deutschland GmbH | Back-end device for an auto-injector and auto-injector |
| GB2487235A (en) | 2011-01-17 | 2012-07-18 | Owen Mumford Ltd | Injection device with pneumatic damping of the drive mechanism |
| MX345747B (en) | 2011-04-21 | 2017-02-14 | Abbvie Inc | Wearable automatic injection device. |
| US8834449B2 (en) | 2012-01-23 | 2014-09-16 | Ikomed Technologies, Inc. | Mixing syringe |
| US9751056B2 (en) | 2012-01-23 | 2017-09-05 | Merit Medical Systems, Inc. | Mixing syringe |
| US20130230841A1 (en) | 2012-03-02 | 2013-09-05 | Toluna Usa, Inc. | Respondent Selection for Surveys |
| CN106975131B (en) | 2012-03-14 | 2020-02-14 | 艾斯曲尔医疗公司 | Medicament delivery device |
| EP2825228B1 (en) | 2012-03-16 | 2020-06-24 | SHL Medical AG | Medicament delivery device |
| US9834809B2 (en) | 2014-02-28 | 2017-12-05 | Lockheed Martin Corporation | Syringe for obtaining nano-sized materials for selective assays and related methods of use |
| AU2013269824B2 (en) | 2012-05-31 | 2015-12-24 | Carebay Europe Ltd | Medicament delivery device |
| EP2866857B1 (en) | 2012-06-29 | 2018-04-25 | Novo Nordisk A/S | Spring driven injection device |
| EP2716316A1 (en) | 2012-10-04 | 2014-04-09 | Sanofi-Aventis Deutschland GmbH | Medicament delivery device with damping mechanism |
| CN104736188B (en) | 2012-10-15 | 2017-09-01 | 诺和诺德股份有限公司 | Spring driven injection device |
| KR101354451B1 (en) | 2012-12-03 | 2014-01-28 | 김근배 | A filter syringe |
| US8591463B1 (en) | 2013-03-08 | 2013-11-26 | Teva Pharmaceutical Industries Ltd. | Re-useable injector device for syringe |
| US9925337B2 (en) | 2013-03-14 | 2018-03-27 | Eli Lilly And Company | Delay mechanism suitable for compact automatic injection device |
| EP2781230B2 (en) | 2013-03-22 | 2025-05-14 | Ypsomed AG | Substance dispensing device with a signaling device |
| WO2014166918A1 (en) | 2013-04-10 | 2014-10-16 | Sanofi | Dispensing speed control mechanism and injection device |
| DK2983762T3 (en) | 2013-04-10 | 2018-01-02 | Sanofi Sa | INJECTION DEVICE |
| US9956350B2 (en) | 2013-04-10 | 2018-05-01 | Sanofi | Injection device |
| AR095800A1 (en) | 2013-04-10 | 2015-11-11 | Sanofi Sa | ASSEMBLY METHOD AND INJECTION DEVICE |
| HK1214546A1 (en) | 2013-04-10 | 2016-07-29 | Sanofi | Automatic drug injection device with reverse wound flat spiral spring drive mechanism |
| WO2014166909A1 (en) | 2013-04-10 | 2014-10-16 | Sanofi | Injection device |
| US20160074592A1 (en) | 2013-04-18 | 2016-03-17 | Novo Nordisk A/S | Fixation of a Torsion Spring |
| WO2014170267A1 (en) | 2013-04-19 | 2014-10-23 | Novo Nordisk A/S | Drug delivery device with compact power unit |
| US10238805B2 (en) | 2013-04-23 | 2019-03-26 | Elcam Medical Agricultural Cooperative | Automatic injection device for administration of high viscosity medication |
| US20160106920A1 (en) | 2013-06-03 | 2016-04-21 | Novo Nordisk A/S | Medical Injection Device |
| JP2016526992A (en) | 2013-07-17 | 2016-09-08 | サノフイ | Drive mechanism |
| TWI569841B (en) | 2013-10-10 | 2017-02-11 | 卡貝歐洲有限公司 | Medicament delivery device |
| WO2015055642A1 (en) | 2013-10-16 | 2015-04-23 | Novo Nordisk A/S | Drug delivery device with brake mechanism |
| EP3068467B1 (en) | 2013-11-15 | 2019-05-15 | SHL Medical AG | Medicament delivery device |
| US20160279085A1 (en) * | 2013-11-20 | 2016-09-29 | Cymabay Therapeutics, Inc. | Treatment of Severe Hyperlipidemia |
| US20150165128A1 (en) | 2013-12-17 | 2015-06-18 | Sang-A Frontec Co., Ltd. | Syringe |
| US10159916B2 (en) | 2013-12-18 | 2018-12-25 | Ge Healthcare Uk Limited | Syringe filter |
| TWI552781B (en) | 2014-09-30 | 2016-10-11 | Liquid suction and discharge filter | |
| EP3064241A1 (en) | 2015-03-06 | 2016-09-07 | Carebay Europe Ltd. | Power supply mechanism |
| EP3352820B1 (en) * | 2015-09-24 | 2025-04-09 | Teleflex Life Sciences II LLC | Infusing devices, systems, and methods |
| CN106492313B (en) * | 2016-12-27 | 2023-01-10 | 甘肃成纪生物药业有限公司 | Card type full-automatic injection pen |
| EP3634546A1 (en) * | 2017-06-08 | 2020-04-15 | Amgen Inc. | Torque driven drug delivery device |
-
2018
- 2018-06-04 EP EP18733474.3A patent/EP3634546A1/en active Pending
- 2018-06-04 MX MX2019014615A patent/MX2019014615A/en unknown
- 2018-06-04 JP JP2019561838A patent/JP7200134B2/en active Active
- 2018-06-04 WO PCT/US2018/035816 patent/WO2018226565A1/en not_active Ceased
- 2018-06-04 CA CA3066399A patent/CA3066399A1/en active Pending
- 2018-06-04 CN CN201880036742.6A patent/CN110709121B/en active Active
- 2018-06-04 AU AU2018282077A patent/AU2018282077B2/en active Active
- 2018-06-04 US US16/609,466 patent/US11904143B2/en active Active
-
2019
- 2019-12-04 MX MX2024006677A patent/MX2024006677A/en unknown
-
2022
- 2022-12-20 JP JP2022202914A patent/JP7539962B2/en active Active
-
2024
- 2024-01-10 US US18/409,480 patent/US12370312B2/en active Active
- 2024-02-20 AU AU2024201097A patent/AU2024201097B2/en active Active
-
2025
- 2025-06-24 US US19/247,206 patent/US20250319258A1/en active Pending
- 2025-09-15 AU AU2025230830A patent/AU2025230830A1/en active Pending
Patent Citations (208)
| Publication number | Priority date | Publication date | Assignee | Title |
|---|---|---|---|---|
| US4043335A (en) * | 1975-08-23 | 1977-08-23 | Soji Ishikawa | Needle holder device of medical administrating injector |
| US5756349A (en) | 1983-12-13 | 1998-05-26 | Amgen Inc. | Production of erythropoietin |
| US4703008A (en) | 1983-12-13 | 1987-10-27 | Kiren-Amgen, Inc. | DNA sequences encoding erythropoietin |
| US5955422A (en) | 1983-12-13 | 1999-09-21 | Kirin-Amgen, Inc. | Production of erthropoietin |
| US5441868A (en) | 1983-12-13 | 1995-08-15 | Kirin-Amgen, Inc. | Production of recombinant erythropoietin |
| US5547933A (en) | 1983-12-13 | 1996-08-20 | Kirin-Amgen, Inc. | Production of erythropoietin |
| US5618698A (en) | 1983-12-13 | 1997-04-08 | Kirin-Amgen, Inc. | Production of erythropoietin |
| US5621080A (en) | 1983-12-13 | 1997-04-15 | Kirin-Amgen, Inc. | Production of erythropoietin |
| US4638809A (en) * | 1984-03-22 | 1987-01-27 | Kuperus John H | Method of preparing radionuclide doses |
| WO1991005867A1 (en) | 1989-10-13 | 1991-05-02 | Amgen Inc. | Erythropoietin isoforms |
| US7217689B1 (en) | 1989-10-13 | 2007-05-15 | Amgen Inc. | Glycosylation analogs of erythropoietin |
| US5856298A (en) | 1989-10-13 | 1999-01-05 | Amgen Inc. | Erythropoietin isoforms |
| WO1995005465A1 (en) | 1993-08-17 | 1995-02-23 | Amgen Inc. | Erythropoietin analogs |
| US6562596B1 (en) | 1993-10-06 | 2003-05-13 | Amgen Inc. | Tissue inhibitor of metalloproteinase type three (TIMP-3) composition and methods |
| US5773569A (en) | 1993-11-19 | 1998-06-30 | Affymax Technologies N.V. | Compounds and peptides that bind to the erythropoietin receptor |
| US5830851A (en) | 1993-11-19 | 1998-11-03 | Affymax Technologies N.V. | Methods of administering peptides that bind to the erythropoietin receptor |
| US5986047A (en) | 1993-11-19 | 1999-11-16 | Affymax Technologies N.V. | Peptides that bind to the erythropoietin receptor |
| US20030215444A1 (en) | 1994-07-26 | 2003-11-20 | Amgen Inc. | Antibodies which activate an erythropoietin receptor |
| US5789554A (en) | 1994-08-12 | 1998-08-04 | Immunomedics, Inc. | Immunoconjugates and humanized antibodies specific for B-cell lymphoma and leukemia cells |
| WO1996038557A1 (en) | 1995-06-02 | 1996-12-05 | Genentech, Inc. | Hepatocyte growth factor receptor antagonists and uses thereof |
| US5686292A (en) | 1995-06-02 | 1997-11-11 | Genentech, Inc. | Hepatocyte growth factor receptor antagonist antibodies and uses thereof |
| US6468529B1 (en) | 1995-06-02 | 2002-10-22 | Genentech, Inc. | Hepatocyte growth factor receptor antagonists and uses thereof |
| US5767078A (en) | 1995-06-07 | 1998-06-16 | Johnson; Dana L. | Agonist peptide dimers |
| WO1996040772A2 (en) | 1995-06-07 | 1996-12-19 | Ortho Pharmaceutical Corporation | Agonist peptide dimers |
| US20050096461A1 (en) | 1997-07-14 | 2005-05-05 | Bolder Biotechnology, Inc. | Cysteine variants of erythropoietin |
| US20050107591A1 (en) | 1997-07-14 | 2005-05-19 | Bolder Biotechnology, Inc. | Cysteine variants of erythropoietin |
| US6391633B1 (en) | 1997-07-23 | 2002-05-21 | Roche Diagnostics Gmbh | Production of erythropoietin by endogenous gene activation |
| US6030086A (en) | 1998-03-02 | 2000-02-29 | Becton, Dickinson And Company | Flash tube reflector with arc guide |
| US20040248815A1 (en) | 1998-04-20 | 2004-12-09 | Ortho Mcneil Pharmaceutical, Inc. | Substituted amino acids as erythropoietin mimetics |
| US6310078B1 (en) | 1998-04-20 | 2001-10-30 | Ortho-Mcneil Pharmaceutical, Inc. | Substituted amino acids as erythropoietin mimetics |
| US6750369B2 (en) | 1998-04-20 | 2004-06-15 | Ortho Mcneil Pharmaceutical, Inc. | Substituted amino acids as erythropoietin mimetics |
| WO1999066054A2 (en) | 1998-06-15 | 1999-12-23 | Genzyme Transgenics Corp. | Erythropoietin analog-human serum albumin fusion protein |
| US20040143857A1 (en) | 1998-06-15 | 2004-07-22 | Michael Young | Erythropoietin analog-human serum albumin fusion |
| US20020155998A1 (en) | 1998-06-15 | 2002-10-24 | Genzyme Transgenics Corporation, A Massachusetts Corporation | Erythropoietin analog-human serum albumin fusion |
| US20050158832A1 (en) | 1998-06-15 | 2005-07-21 | Michael Young | Erythropoietin analog-human serum albumin fusion |
| US6835809B1 (en) | 1998-10-23 | 2004-12-28 | Amgen Inc. | Thrombopoietic compounds |
| WO2000024893A2 (en) | 1998-10-23 | 2000-05-04 | Amgen Inc. | Methods and compositions for the prevention and treatment of anemia |
| US6803453B1 (en) | 1998-11-27 | 2004-10-12 | Darwin Discovery Ltd. | Antibodies associated with alterations in bone density |
| US20060040358A1 (en) | 1998-12-03 | 2006-02-23 | Tanja Ligensa | IGF-1 receptor interacting proteins |
| US20050026834A1 (en) | 1999-01-14 | 2005-02-03 | Bolder Biotechnology, Inc. | Methods for making proteins containing free cysteine residues |
| US20050244409A1 (en) | 1999-04-14 | 2005-11-03 | Smithkline Beecham Corporation | Erythropoietin receptor antibodies |
| WO2000061637A1 (en) | 1999-04-14 | 2000-10-19 | Smithkline Beecham Corporation | Erythropoietin receptor antibodies |
| US20050181359A1 (en) | 1999-04-15 | 2005-08-18 | Crucell Holland B.V. | Compositions of erythropoietin isoforms comprising Lewis-X structures and high sialic acid content |
| US6583272B1 (en) | 1999-07-02 | 2003-06-24 | Hoffmann-La Roche Inc. | Erythropoietin conjugates |
| WO2001031007A2 (en) | 1999-10-22 | 2001-05-03 | Millennium Pharmaceuticals, Inc. | Nucleic acid molecules derived from rat brain and programmed cell death models |
| US20050202538A1 (en) | 1999-11-12 | 2005-09-15 | Merck Patent Gmbh | Fc-erythropoietin fusion protein with improved pharmacokinetics |
| WO2001036489A2 (en) | 1999-11-12 | 2001-05-25 | Merck Patent Gmbh | Erythropoietin forms with improved properties |
| US7223593B2 (en) | 2000-01-21 | 2007-05-29 | Biovex Limited | Herpes virus strains for gene therapy |
| US7537924B2 (en) | 2000-01-21 | 2009-05-26 | Biovex Limited | Virus strains |
| US20030023586A1 (en) | 2000-03-03 | 2003-01-30 | Super Internet Site System Pty Ltd. | On-line geographical directory |
| US6586398B1 (en) | 2000-04-07 | 2003-07-01 | Amgen, Inc. | Chemically modified novel erythropoietin stimulating protein compositions and methods |
| WO2001081405A2 (en) | 2000-04-21 | 2001-11-01 | Amgen Inc. | Methods and compositions for the prevention and treatment of anemia |
| US6756480B2 (en) | 2000-04-27 | 2004-06-29 | Amgen Inc. | Modulators of receptors for parathyroid hormone and parathyroid hormone-related protein |
| WO2002014356A2 (en) | 2000-08-11 | 2002-02-21 | Baxter Healthcare Sa | Therapeutic use of a recombinant erythropoietin having high activity and reduced side effects |
| WO2002019963A2 (en) | 2000-09-08 | 2002-03-14 | Gryphon Therapeutics, Inc. | Synthetic erythropoiesis stimulating proteins |
| WO2002020034A1 (en) | 2000-09-08 | 2002-03-14 | Gryphon Therapeutics, Inc. | 'pseudo'-native chemical ligation |
| US7271689B1 (en) | 2000-11-22 | 2007-09-18 | Fonar Corporation | Magnet structure |
| WO2002049673A2 (en) | 2000-12-20 | 2002-06-27 | F. Hoffmann-La Roche Ag | Conjugates of erythropoietin (pep) with polyethylene glycol (peg) |
| US20040086503A1 (en) | 2001-01-05 | 2004-05-06 | Cohen Bruce D. | Antibodies to insulin-like growth factor I receptor |
| US20050244408A1 (en) | 2001-01-05 | 2005-11-03 | Cohen Bruce D | Antibodies to insulin-like growth factor I receptor |
| US7037498B2 (en) | 2001-01-05 | 2006-05-02 | Abgenix, Inc. | Antibodies to insulin-like growth factor I receptor |
| WO2002085940A2 (en) | 2001-04-04 | 2002-10-31 | Genodyssee | New polynucleotides and polypeptides of the erythropoietin gene |
| US20030195156A1 (en) | 2001-05-11 | 2003-10-16 | Amgen Inc. | Peptides and related molecules that bind to TALL-1 |
| US20060135431A1 (en) | 2001-05-11 | 2006-06-22 | Amgen Inc. | Peptides and related molecules that bind to TALL-1 |
| WO2003002713A2 (en) | 2001-06-26 | 2003-01-09 | Abgenix, Inc. | Antibodies to opgl |
| US7030226B2 (en) | 2001-08-17 | 2006-04-18 | Sun Lee-Hwei K | Fc fusion proteins of human erythropoietin with increased biological activities |
| US20050142642A1 (en) | 2001-08-17 | 2005-06-30 | Sun Lee-Hwei K. | Fc fusion proteins of human erythropoietin with increased biological activities |
| US20050124045A1 (en) | 2001-08-17 | 2005-06-09 | Sun Lee-Hwei K. | Fc fusion proteins of human erythropoietin with increased biological activities |
| US20040175824A1 (en) | 2001-08-17 | 2004-09-09 | Sun Lee-Hwei K. | Fc fusion proteins of human erythropoietin with high biological activities |
| US20030082749A1 (en) | 2001-08-17 | 2003-05-01 | Sun Lee-Hwei K. | Fc fusion proteins of human erythropoietin with increased biological activities |
| US6900292B2 (en) | 2001-08-17 | 2005-05-31 | Lee-Hwei K. Sun | Fc fusion proteins of human erythropoietin with increased biological activities |
| US20040071702A1 (en) | 2001-08-23 | 2004-04-15 | Genmab, Inc. | Human antibodies specific for interleukin 15 (IL-15) |
| US20030138421A1 (en) | 2001-08-23 | 2003-07-24 | Van De Winkel Jan G.J. | Human Antibodies specific for interleukin 15 (IL-15) |
| US7153507B2 (en) | 2001-08-23 | 2006-12-26 | Genmab A/S | Human antibodies specific for interleukin 15 (IL-15) |
| US20030077753A1 (en) | 2001-09-25 | 2003-04-24 | Wilhelm Tischer | Diglycosylated erythropoietin |
| WO2003029291A2 (en) | 2001-09-25 | 2003-04-10 | F. Hoffmann-La Roche Ag | Pegylated and diglycosylated erythropoietin |
| US20060088906A1 (en) | 2001-10-10 | 2006-04-27 | Neose Technologies, Inc. | Erythropoietin: remodeling and glycoconjugation of erythropoietin |
| WO2003030833A2 (en) | 2001-10-11 | 2003-04-17 | Amgen Inc. | Angiopoietin-2 specific binding agents |
| US20030229023A1 (en) | 2001-10-11 | 2003-12-11 | Oliner Jonathan Daniel | Specific binding agents of human angiopoietin-2 |
| WO2003057134A2 (en) | 2001-10-11 | 2003-07-17 | Amgen, Inc. | Specific binding agents of human angiopoietin-2 |
| WO2003055526A2 (en) | 2001-12-21 | 2003-07-10 | Maxygen Aps | Erythropoietin conjugates |
| WO2003059951A2 (en) | 2002-01-18 | 2003-07-24 | Pierre Fabre Medicament | Novel anti-igf-ir antibodies and uses thereof |
| US20050084906A1 (en) | 2002-01-18 | 2005-04-21 | Liliane Goetsch | Novel anti-IGF-IR antibodies and uses thereof |
| US20050124564A1 (en) | 2002-01-31 | 2005-06-09 | Binley Katie M. | Anemia |
| US20030143202A1 (en) | 2002-01-31 | 2003-07-31 | Binley Katie (Mary) | Anemia |
| US20050153879A1 (en) | 2002-03-26 | 2005-07-14 | Monica Svetina | Process for the preparation of a desired erythropoietin glyco-isoform profile |
| WO2003084477A2 (en) | 2002-03-29 | 2003-10-16 | Centocor, Inc. | Mammalian cdr mimetibodies, compositions, methods and uses |
| US8030547B2 (en) | 2002-03-29 | 2011-10-04 | Kumiai Chemical Industry Co., Ltd. | Gene coding for acetolactate synthase |
| WO2003094858A2 (en) | 2002-05-13 | 2003-11-20 | Modigenetech Ltd. | Ctp-extended erythropoietin |
| US20040009902A1 (en) | 2002-05-13 | 2004-01-15 | Irving Boime | CTP extended erythropoietin |
| US20040018191A1 (en) | 2002-05-24 | 2004-01-29 | Schering Corporation | Neutralizing human anti-IGFR antibody |
| US20050186203A1 (en) | 2002-06-14 | 2005-08-25 | Immunogen Inc. | Anti-IGF-I receptor antibody |
| US20050249728A1 (en) | 2002-06-14 | 2005-11-10 | Immunogen Inc. | Anti-IGF-I receptor antibody |
| US20040265307A1 (en) | 2002-06-14 | 2004-12-30 | Immunogen Inc. | Anti-IGF-I receptor antibody |
| US20030235582A1 (en) | 2002-06-14 | 2003-12-25 | Immunogen, Inc. | Anti-IGF-I receptor antibody |
| WO2004002417A2 (en) | 2002-06-28 | 2004-01-08 | Centocor, Inc. | Mammalian ch1 deleted mimetibodies, compositions, methods and uses |
| WO2004002424A2 (en) | 2002-06-28 | 2004-01-08 | Centocor, Inc. | Mammalian epo mimetic ch1 deleted mimetibodies, compositions, methods and uses |
| WO2004009627A1 (en) | 2002-07-19 | 2004-01-29 | Cangene Corporation | Pegylated erythropoietic compounds |
| WO2004018667A1 (en) | 2002-08-26 | 2004-03-04 | Kirin Beer Kabushiki Kaisha | Peptides and drugs containing the same |
| US20040097712A1 (en) | 2002-09-06 | 2004-05-20 | Amgen, Inc. A Corporation Of The State Of Delaware | Therapeutic human anti-IL1-R1 monoclonal antibody |
| WO2004024761A1 (en) | 2002-09-11 | 2004-03-25 | Fresenius Kabi Deutschland Gmbh | Hasylated polypeptides, especially hasylated erythropoietin |
| US6919426B2 (en) | 2002-09-19 | 2005-07-19 | Amgen Inc. | Peptides and related molecules that modulate nerve growth factor activity |
| WO2004033651A2 (en) | 2002-10-09 | 2004-04-22 | Neose Technologies, Inc. | Erythropoietin: remodeling and glycoconjugation of erythropoietin |
| US20040175379A1 (en) | 2002-10-14 | 2004-09-09 | Devries Peter J. | Erythropoietin receptor binding antibodies |
| WO2004035603A2 (en) | 2002-10-14 | 2004-04-29 | Abbott Laboratories | Erythropoietin receptor binding antibodies |
| US20040071694A1 (en) | 2002-10-14 | 2004-04-15 | Devries Peter J. | Erythropoietin receptor binding antibodies |
| US20050004353A1 (en) | 2002-10-16 | 2005-01-06 | Amgen, Inc., A Corporation Of The State Of Delaware | Human anti-IFN-gamma neutralizing antibodies as selective IFN-gamma pathway inhibitors |
| US20040157293A1 (en) | 2002-11-08 | 2004-08-12 | Evans Glen A. | Enhanced variants of erythropoietin and methods of use |
| US20040091961A1 (en) | 2002-11-08 | 2004-05-13 | Evans Glen A. | Enhanced variants of erythropoietin and methods of use |
| WO2004043382A2 (en) | 2002-11-08 | 2004-05-27 | Egea Biosciences, Inc. | Enhanced variants of erythropoietin and methods of use |
| US20040181033A1 (en) | 2002-12-20 | 2004-09-16 | Hq Han | Binding agents which inhibit myostatin |
| WO2004058988A2 (en) | 2002-12-20 | 2004-07-15 | Amgen, Inc. | Binding agents which inhibit myostatin |
| US20040202655A1 (en) | 2003-03-14 | 2004-10-14 | Morton Phillip A. | Antibodies to IGF-I receptor for the treatment of cancers |
| US20040228859A1 (en) | 2003-04-02 | 2004-11-18 | Yvo Graus | Antibodies against insulin-like growth factor 1 receptor and uses thereof |
| US7220410B2 (en) | 2003-04-18 | 2007-05-22 | Galaxy Biotech, Llc | Monoclonal antibodies to hepatocyte growth factor |
| WO2005016970A2 (en) | 2003-05-01 | 2005-02-24 | Imclone Systems Incorporated | Fully human antibodies directed against the human insulin-like growth factor-1 receptor |
| WO2005001025A2 (en) | 2003-05-06 | 2005-01-06 | Syntonix Pharmaceuticals, Inc. | Immunoglobulin chimeric monomer-dimer hybrids |
| US20050107297A1 (en) | 2003-05-12 | 2005-05-19 | Holmes Christopher P. | Novel poly(ethylene glycol) modified compounds and uses thereof |
| US20050137329A1 (en) | 2003-05-12 | 2005-06-23 | Affymax, Inc. | Novel peptides that bind to the erythropoietin receptor |
| WO2004101611A2 (en) | 2003-05-12 | 2004-11-25 | Affymax, Inc. | Peptides that bind to the erythropoietin receptor |
| WO2004101606A2 (en) | 2003-05-12 | 2004-11-25 | Affymax, Inc. | Novel peptides that bind to the erythropoietin receptor |
| US7084245B2 (en) | 2003-05-12 | 2006-08-01 | Affymax, Inc. | Peptides that bind to the erythropoietin receptor |
| US20060040858A1 (en) | 2003-05-12 | 2006-02-23 | Affymax, Inc. | Novel peptides that bind to the erythropoietin receptor |
| WO2004101600A2 (en) | 2003-05-12 | 2004-11-25 | Affymax, Inc. | Novel poly(ethylene glycol) modified compounds and uses thereof |
| WO2004106373A1 (en) | 2003-05-17 | 2004-12-09 | Centocor, Inc. | Erythropoietin conjugate compounds with extended half-lives |
| US20040229318A1 (en) | 2003-05-17 | 2004-11-18 | George Heavner | Erythropoietin conjugate compounds with extended half-lives |
| US20040266690A1 (en) | 2003-05-30 | 2004-12-30 | Chadler Pool | Formation of novel erythropoietin conjugates using transglutaminase |
| WO2005001136A1 (en) | 2003-06-04 | 2005-01-06 | Irm Llc | Methods and compositions for modulating erythropoietin expression |
| US20050008642A1 (en) | 2003-07-10 | 2005-01-13 | Yvo Graus | Antibodies against insulin-like growth factor 1 receptor and uses thereof |
| US20050074821A1 (en) | 2003-07-15 | 2005-04-07 | Wild Kenneth D. | Human anti-NGF neutralizing antibodies as selective NGF pathway inhibitors |
| WO2005017107A2 (en) | 2003-07-18 | 2005-02-24 | Amgen Inc. | Specific binding agents to hepatocyte growth factor |
| US20050118643A1 (en) | 2003-07-18 | 2005-06-02 | Burgess Teresa L. | Specific binding agents to hepatocyte growth factor |
| US20050019914A1 (en) | 2003-07-24 | 2005-01-27 | Aventis Pharma Deutschland Gmbh | Perfusion process for producing erythropoietin |
| US7981669B2 (en) | 2003-07-25 | 2011-07-19 | Biovex Limited | Viral vectors |
| WO2005021579A2 (en) | 2003-08-28 | 2005-03-10 | Biorexis Pharmaceutical Corporation | Epo mimetic peptides and fusion proteins |
| WO2005025606A1 (en) | 2003-09-09 | 2005-03-24 | Warren Pharmaceuticals, Inc. | Long acting erythropoietins that maintain tissue protective activity of endogenous erythropoietin |
| WO2005081687A2 (en) | 2003-09-30 | 2005-09-09 | Centocor, Inc. | Human hinge core mimetibodies, compositions, methods and uses |
| WO2005032460A2 (en) | 2003-09-30 | 2005-04-14 | Centocor, Inc. | Human epo mimetic hinge core mimetibodies, compositions, methods and uses |
| WO2005047331A2 (en) | 2003-11-07 | 2005-05-26 | Immunex Corporation | Antibodies that bind interleukin-4 receptor |
| US20050112694A1 (en) | 2003-11-07 | 2005-05-26 | Carter Paul J. | Antibodies that bind interleukin-4 receptor |
| US20050136063A1 (en) | 2003-11-21 | 2005-06-23 | Schering Corporation | Anti-IGFR antibody therapeutic combinations |
| US20050143292A1 (en) | 2003-11-24 | 2005-06-30 | Defrees Shawn | Glycopegylated erythropoietin |
| US20060111279A1 (en) | 2003-11-24 | 2006-05-25 | Neose Technologies, Inc. | Glycopegylated erythropoietin |
| WO2005051327A2 (en) | 2003-11-24 | 2005-06-09 | Neose Technologies, Inc. | Glycopegylated erythropoietin |
| WO2005058967A2 (en) | 2003-12-16 | 2005-06-30 | Pierre Fabre Medicament | Novel anti-insulin/igf-i hybrid receptor or anti-insulin/igf-i hybrid receptor and igf-ir antibodies and uses thereof |
| WO2005063809A1 (en) | 2003-12-22 | 2005-07-14 | Dubai Genetics Fz-Llc | Nature-identical erythropoietin |
| US20050192211A1 (en) | 2003-12-31 | 2005-09-01 | Emd Lexigen Research Center Corp. | Fc-erythropoietin fusion protein with improved pharmacokinetics |
| WO2005063808A1 (en) | 2003-12-31 | 2005-07-14 | Merck Patent Gmbh | Fc-ERYTHROPOIETIN FUSION PROTEIN WITH IMPROVED PHARMACOKINETICS |
| US20050170457A1 (en) | 2003-12-31 | 2005-08-04 | Chadler Pool | Novel recombinant proteins with N-terminal free thiol |
| US20050158822A1 (en) | 2004-01-20 | 2005-07-21 | Insight Biopharmaceuticals Ltd. | High level expression of recombinant human erythropoietin having a modified 5'-UTR |
| WO2005070451A1 (en) | 2004-01-22 | 2005-08-04 | Zafena Aktiebolag | Pharmaceutical composition comprising non-glycosylated erythropoietin |
| US20050181482A1 (en) | 2004-02-12 | 2005-08-18 | Meade Harry M. | Method for the production of an erythropoietin analog-human IgG fusion proteins in transgenic mammal milk |
| WO2005084711A1 (en) | 2004-03-02 | 2005-09-15 | Chengdu Institute Of Biological Products | A pegylated recombinant erythropoietin that has in vivo activity |
| WO2005092369A2 (en) | 2004-03-11 | 2005-10-06 | Fresenius Kabi Deutschland Gmbh | Conjugates of hydroxyethyl starch and erythropoietin |
| US20060002929A1 (en) | 2004-03-23 | 2006-01-05 | Khare Sanjay D | Monoclonal antibodies |
| US20050227289A1 (en) | 2004-04-09 | 2005-10-13 | Reilly Edward B | Antibodies to erythropoietin receptor and uses thereof |
| WO2005100403A2 (en) | 2004-04-09 | 2005-10-27 | Abbott Laboratories | Antibodies to erythropoietin receptor and uses thereof |
| WO2005103076A2 (en) | 2004-04-23 | 2005-11-03 | Cambridge Antibody Technology Limited | Erythropoietin protein variants |
| WO2006002646A2 (en) | 2004-07-07 | 2006-01-12 | H. Lundbeck A/S | Novel carbamylated epo and method for its production |
| WO2006013472A2 (en) | 2004-07-29 | 2006-02-09 | Pierre Fabre Medicament | Novel anti-igf-ir antibodies and uses thereof |
| WO2006029094A2 (en) | 2004-09-02 | 2006-03-16 | Xencor, Inc. | Erythropoietin derivatives with altered immunogenicity |
| WO2006050959A2 (en) | 2004-11-10 | 2006-05-18 | Aplagen Gmbh | Molecules which promote hematopoiesis |
| WO2006069202A2 (en) | 2004-12-22 | 2006-06-29 | Amgen Inc. | Compositions comprising anti-igf-i receptor antibodies and methods for obtaining said antibodies |
| US20150314076A1 (en) * | 2005-01-21 | 2015-11-05 | Novo Nordisk A/S | Automatic Injection Device with a Top Release Mechanism |
| WO2006081171A1 (en) | 2005-01-24 | 2006-08-03 | Amgen Inc. | Humanized anti-amyloid antibody |
| US20070110747A1 (en) | 2005-05-03 | 2007-05-17 | Ucb S.A. | Binding agents |
| WO2006138729A2 (en) | 2005-06-17 | 2006-12-28 | Imclone Systems Incorporated | Receptor antagonists for treatment of metastatic bone cancer |
| WO2007000328A1 (en) | 2005-06-27 | 2007-01-04 | Istituto Di Ricerche Di Biologia Molecolare P Angeletti Spa | Antibodies that bind to an epitope on insulin-like growth factor 1 receptor and uses thereof |
| US20080166352A1 (en) | 2005-07-18 | 2008-07-10 | Amgen Inc. | Human anti-B7RP1 Neutralizing Antibodies |
| WO2007011941A2 (en) | 2005-07-18 | 2007-01-25 | Amgen Inc. | Human anti-b7rp1 neutralizing antibodies |
| WO2007012614A2 (en) | 2005-07-22 | 2007-02-01 | Pierre Fabre Medicament | Novel anti-igf-ir antibodies and uses thereof |
| US7521048B2 (en) | 2005-08-31 | 2009-04-21 | Amgen Inc. | TRAIL receptor-2 polypeptides and antibodies |
| US20090186022A1 (en) | 2006-02-23 | 2009-07-23 | Novartis Ag | Organic Compounds |
| US20070253951A1 (en) | 2006-04-24 | 2007-11-01 | Gordon Ng | Humanized c-Kit antibody |
| WO2007136752A2 (en) | 2006-05-19 | 2007-11-29 | Glycofi, Inc. | Erythropoietin compositions |
| US20090234106A1 (en) | 2006-09-08 | 2009-09-17 | Amgen Inc. | Anti-activin a antibodies and uses thereof |
| WO2008133647A2 (en) | 2006-11-07 | 2008-11-06 | Merck & Co., Inc. | Antagonists of pcsk9 |
| WO2008057459A2 (en) | 2006-11-07 | 2008-05-15 | Merck & Co., Inc. | Antagonists of pcsk9 |
| WO2008063382A2 (en) | 2006-11-07 | 2008-05-29 | Merck & Co., Inc. | Antagonists of pcsk9 |
| WO2008057458A2 (en) | 2006-11-07 | 2008-05-15 | Merck & Co., Inc. | Antagonists of pcsk9 |
| WO2008057457A2 (en) | 2006-11-07 | 2008-05-15 | Merck & Co., Inc. | Antagonists of pcsk9 |
| US8232372B2 (en) | 2006-12-14 | 2012-07-31 | Schering Corp. | Engineered anti-TSLP antibody |
| WO2008125623A2 (en) | 2007-04-13 | 2008-10-23 | Novartis Ag | Molecules and methods for modulating proprotein convertase subtilisin/kexin type 9 (pcsk9) |
| US8101182B2 (en) | 2007-06-20 | 2012-01-24 | Novartis Ag | Methods and compositions for treating allergic diseases |
| US7982016B2 (en) | 2007-09-10 | 2011-07-19 | Amgen Inc. | Antigen binding proteins capable of binding thymic stromal lymphopoietin |
| WO2009055783A2 (en) | 2007-10-26 | 2009-04-30 | Schering Corporation | Anti-pcsk9 and methods for treating lipid and cholesterol disorders |
| WO2009100318A1 (en) | 2008-02-07 | 2009-08-13 | Merck & Co., Inc. | 1b20 pcsk9 antagonists |
| WO2009100297A1 (en) | 2008-02-07 | 2009-08-13 | Merck & Co., Inc. | 1d05 pcsk9 antagonists |
| WO2010029513A2 (en) | 2008-09-12 | 2010-03-18 | Rinat Neuroscience Corporation | Pcsk9 antagonists |
| WO2010077854A1 (en) | 2008-12-15 | 2010-07-08 | Regeneron Pharamaceuticals, Inc. | High affinity human antibodies to pcsk9 |
| WO2010075238A1 (en) | 2008-12-23 | 2010-07-01 | Amgen Inc. | Human cgrp receptor binding proteins |
| WO2011037791A1 (en) | 2009-09-25 | 2011-03-31 | Merck Sharp & Dohme Corp. | Antagonists of pcsk9 |
| WO2011053783A2 (en) | 2009-10-30 | 2011-05-05 | Merck Sharp & Dohme Corp. | Ax213 and ax132 pcsk9 antagonists and variants |
| WO2011053759A1 (en) | 2009-10-30 | 2011-05-05 | Merck Sharp & Dohme Corp. | Ax1 and ax189 pcsk9 antagonists and variants |
| WO2011072263A1 (en) | 2009-12-11 | 2011-06-16 | Irm Llc | Pcsk9 antagonists |
| WO2011111007A2 (en) | 2010-03-11 | 2011-09-15 | Rinat Neuroscience Corporation | ANTIBODIES WITH pH DEPENDENT ANTIGEN BINDING |
| WO2012054438A1 (en) | 2010-10-22 | 2012-04-26 | Schering Corporation | Anti-pcsk9 |
| WO2012088313A1 (en) | 2010-12-22 | 2012-06-28 | Genentech, Inc. | Anti-pcsk9 antibodies and methods of use |
| WO2012101251A1 (en) | 2011-01-28 | 2012-08-02 | Sanofi | Human antibodies to pcsk9 for use in methods of treatment based on particular dosage regimens |
| WO2012101252A2 (en) | 2011-01-28 | 2012-08-02 | Sanofi | Human antibodies to pcsk9 for use in methods of treating particular groups of subjects |
| WO2012101253A1 (en) | 2011-01-28 | 2012-08-02 | Sanofi | Pharmaceutical compositions comprising human antibodies to pcsk9 |
| WO2012109530A1 (en) | 2011-02-11 | 2012-08-16 | Irm Llc | Pcsk9 antagonists |
| US20130064825A1 (en) | 2011-05-10 | 2013-03-14 | Amgen Inc. | Methods of treating or preventing cholesterol related disorders |
| US20130072880A1 (en) * | 2011-09-16 | 2013-03-21 | Tyco Healthcare Group Lp | Fluid Delivery Device with Filtration |
| WO2014099984A1 (en) | 2012-12-20 | 2014-06-26 | Amgen Inc. | Apj receptor agonists and uses thereof |
| US20140274874A1 (en) | 2013-03-14 | 2014-09-18 | Amgen Inc. | Variants of tissue inhibitor of metalloproteinase type three (timp-3), compositions and methods |
| WO2014152012A2 (en) | 2013-03-14 | 2014-09-25 | Amgen Inc. | Variants of tissue inhibitor of metalloproteinase type three (timp-3), compositions and methods |
| US20150320938A1 (en) * | 2014-05-06 | 2015-11-12 | Biomet Biologics, Llc | Single Step Desiccating Bead-in-Syringe Concentrating Device |
Non-Patent Citations (7)
| Title |
|---|
| COHEN ET AL., CLINICAL CANCER RES., vol. 11, 2005, pages 2063 - 2073 |
| LEI ET AL., WORLD J. GASTROENTEROL., vol. 19, 2013, pages 5138 - 5143 |
| LU ET AL., J. BIOL. CHEM., vol. 279, 2004, pages 2856 - 2865 |
| MALONEY ET AL., CANCER RES., vol. 63, 2003, pages 5073 - 5083 |
| See also references of EP3634546A1 |
| THAKUR ET AL., MOL. IMMUNOL., vol. 36, 1999, pages 1107 - 1115 |
| VARGEHES ET AL., CANCER GENE THER., vol. 9, no. 12, 2002, pages 967 - 978 |
Cited By (42)
| Publication number | Priority date | Publication date | Assignee | Title |
|---|---|---|---|---|
| US12156991B2 (en) * | 2018-10-02 | 2024-12-03 | Amgen Inc. | Injection systems for drug delivery with internal force transmission |
| AU2019361919B2 (en) * | 2018-10-15 | 2024-09-26 | Amgen Inc. | Drug delivery device having damping mechanism |
| US12053617B2 (en) | 2018-10-15 | 2024-08-06 | Amgen Inc. | Drug delivery device having damping mechanism |
| WO2020081479A1 (en) * | 2018-10-15 | 2020-04-23 | Amgen Inc. | Drug delivery device having damping mechanism |
| US12453822B2 (en) | 2019-02-26 | 2025-10-28 | Becton Dickinson France | Auto-injector with audio indicator |
| WO2021163504A1 (en) | 2020-02-13 | 2021-08-19 | Amgen Inc. | Formulations of human anti-tslp antibodies and methods of treating inflammatory disease |
| WO2021168100A1 (en) | 2020-02-18 | 2021-08-26 | Amgen Inc. | Formulations of human anti-tslp antibodies and methods of using the same |
| WO2022146931A1 (en) * | 2021-01-03 | 2022-07-07 | Fpin Llc | Damped autoinjectors |
| US11872369B1 (en) | 2021-02-18 | 2024-01-16 | Fresenius Kabi Deutschland Gmbh | Wearable medicament delivery device with leakage and skin contact sensing and method of use thereof |
| US11311666B1 (en) | 2021-02-18 | 2022-04-26 | Fresenius Kabi Deutschland Gmbh | Modular wearable medicament delivery device and method of use thereof |
| US12005226B1 (en) | 2021-02-18 | 2024-06-11 | Fresenius Kabi Deutschland Gmbh | Modular wearable medicament delivery device and method of use thereof |
| US11464902B1 (en) | 2021-02-18 | 2022-10-11 | Fresenius Kabi Deutschland Gmbh | Wearable medicament delivery device with compressible reservoir and method of use thereof |
| US11426523B1 (en) | 2021-02-19 | 2022-08-30 | Fresenius Kabi Deutschland Gmbh | Drug delivery assembly including a removable cartridge |
| US11413394B1 (en) | 2021-02-19 | 2022-08-16 | Fresenius Kabi Deutschland Gmbh | Display for wearable drug delivery device |
| US11344682B1 (en) | 2021-02-19 | 2022-05-31 | Fresenius Kabi Deutschland Gmbh | Drug supply cartridge with visual use indicator and delivery devices that use the same |
| US11497847B1 (en) | 2021-02-19 | 2022-11-15 | Fresenius Kabi Deutschland Gmbh | Wearable injector with adhesive substrate |
| US12239825B1 (en) | 2021-02-19 | 2025-03-04 | Fresenius Kabi Deutschland Gmbh | Drug delivery assembly including an actuator |
| US12226621B1 (en) | 2021-02-19 | 2025-02-18 | Fresenius Kabi Deutschland Gmbh | Drug supply cartridge with visual use indicator and delivery devices that use the same |
| US11607505B1 (en) | 2021-02-19 | 2023-03-21 | Fresenius Kabi Deutschland Gmbh | Wearable injector with sterility sensors |
| US11633537B1 (en) | 2021-02-19 | 2023-04-25 | Fresenius Kabi Deutschland Gmbh | Drug delivery assembly including a pre-filled cartridge |
| US12420033B1 (en) | 2021-02-19 | 2025-09-23 | Fresenius Kabi Deutschland Gmbh | Wearable injector with sterility sensors |
| US12337138B1 (en) | 2021-02-19 | 2025-06-24 | Fresenius Kabi Deutschland Gmbh | Drug delivery assembly including a pre-filled cartridge |
| US11406755B1 (en) | 2021-02-19 | 2022-08-09 | Fresenius Kabi Deutschland Gmbh | Sensing fluid flow irregularities in an on-body injector |
| WO2022226342A2 (en) | 2021-04-23 | 2022-10-27 | Amgen Inc. | Modified anti-tslp antibodies |
| WO2022226339A1 (en) | 2021-04-23 | 2022-10-27 | Amgen Inc. | Anti-tslp antibody compositions and uses thereof |
| US11419976B1 (en) | 2021-04-30 | 2022-08-23 | Fresenius Kabi Deutschland Gmbh | Wearable drug delivery device with pressurized fluid dispensing |
| US12053612B1 (en) | 2021-04-30 | 2024-08-06 | Hollister Incorporated | Drug dispensing system with replaceable drug supply cartridges |
| US12377209B1 (en) | 2021-04-30 | 2025-08-05 | Fresenius Kabi Deutschland Gmbh | Deformable drug reservoir for wearable drug delivery device |
| US12102791B1 (en) | 2021-04-30 | 2024-10-01 | Fresenius Kabi Deutschland Gmbh | Wearable drug delivery device with pressurized fluid dispensing |
| US12357750B1 (en) | 2021-04-30 | 2025-07-15 | Fresenius Kabi Deutschland Gmbh | Wearable drug delivery device with drug delivery indication |
| US11351300B1 (en) | 2021-04-30 | 2022-06-07 | Fresenius Kabl Deutschland GmbH | Drug dispensing system with replaceable drug supply cartridges |
| US11529459B1 (en) | 2021-04-30 | 2022-12-20 | Fresenius Kabi Deutschland Gmbh | Wearable injector with adhesive module |
| US11504470B1 (en) | 2021-04-30 | 2022-11-22 | Fresenius Kabi Deutschland Gmbh | Deformable drug reservoir for wearable drug delivery device |
| US11717608B1 (en) | 2021-05-03 | 2023-08-08 | Fresenius Kabi Deutschland Gmbh | Drug delivery assembly including an adhesive pad |
| US11484646B1 (en) | 2021-05-04 | 2022-11-01 | Fresenius Kabi Deutschland Gmbh | Sealing systems for a reservoir of an on-body injector |
| USD1037439S1 (en) | 2022-01-17 | 2024-07-30 | EyePoint Pharamaceuticals, Inc. | Ocular injector |
| USD1106444S1 (en) | 2022-01-17 | 2025-12-16 | EyePoint Pharmaceuticals, Inc. | Ocular injector |
| WO2024092064A1 (en) | 2022-10-26 | 2024-05-02 | Amgen Inc. | Anti-tslp antibody compositions and uses thereof |
| WO2024238877A1 (en) | 2023-05-18 | 2024-11-21 | Medimmune, Llc | Treatment of corticosteroid dependent asthma with anti-tslp antibody |
| WO2025147632A1 (en) | 2024-01-05 | 2025-07-10 | Medimmune, Llc | Treatment of chronic obstructive pulmonary disease with anti-tslp antibody |
| WO2025221247A1 (en) | 2024-04-17 | 2025-10-23 | Amgen Inc. | Treatment of eosinophilic esophagitis with anti-tslp antibody |
| WO2025221995A1 (en) | 2024-04-17 | 2025-10-23 | Medimmune, Llc | Treatment of eosinophilic esophagitis with anti-tslp antibody |
Also Published As
| Publication number | Publication date |
|---|---|
| JP7200134B2 (en) | 2023-01-06 |
| JP2023030073A (en) | 2023-03-07 |
| AU2025230830A1 (en) | 2025-10-02 |
| CA3066399A1 (en) | 2018-12-13 |
| US12370312B2 (en) | 2025-07-29 |
| EP3634546A1 (en) | 2020-04-15 |
| AU2024201097A1 (en) | 2024-03-14 |
| US20240238529A1 (en) | 2024-07-18 |
| AU2018282077A1 (en) | 2019-11-28 |
| CN110709121A (en) | 2020-01-17 |
| AU2018282077B2 (en) | 2023-11-23 |
| CN110709121B (en) | 2022-06-24 |
| US20230138654A1 (en) | 2023-05-04 |
| JP7539962B2 (en) | 2024-08-26 |
| US11904143B2 (en) | 2024-02-20 |
| AU2024201097B2 (en) | 2025-06-26 |
| US20250319258A1 (en) | 2025-10-16 |
| MX2019014615A (en) | 2020-02-07 |
| JP2020523050A (en) | 2020-08-06 |
| MX2024006677A (en) | 2024-06-19 |
Similar Documents
| Publication | Publication Date | Title |
|---|---|---|
| US12370312B2 (en) | Torque driven drug delivery device | |
| US20240325645A1 (en) | Drug delivery device having damping mechanism | |
| AU2015256082C1 (en) | Autoinjector with shock reducing elements | |
| JP7547325B2 (en) | Drug delivery device having a dosage indicator - Patents.com |
Legal Events
| Date | Code | Title | Description |
|---|---|---|---|
| 121 | Ep: the epo has been informed by wipo that ep was designated in this application |
Ref document number: 18733474 Country of ref document: EP Kind code of ref document: A1 |
|
| ENP | Entry into the national phase |
Ref document number: 2019561838 Country of ref document: JP Kind code of ref document: A |
|
| ENP | Entry into the national phase |
Ref document number: 2018282077 Country of ref document: AU Date of ref document: 20180604 Kind code of ref document: A |
|
| ENP | Entry into the national phase |
Ref document number: 3066399 Country of ref document: CA |
|
| NENP | Non-entry into the national phase |
Ref country code: DE |
|
| ENP | Entry into the national phase |
Ref document number: 2018733474 Country of ref document: EP Effective date: 20200108 |





