[go: up one dir, main page]

WO2014209979A1 - Substituted nucleosides, nucleotides and analogs thereof - Google Patents

Substituted nucleosides, nucleotides and analogs thereof Download PDF

Info

Publication number
WO2014209979A1
WO2014209979A1 PCT/US2014/043836 US2014043836W WO2014209979A1 WO 2014209979 A1 WO2014209979 A1 WO 2014209979A1 US 2014043836 W US2014043836 W US 2014043836W WO 2014209979 A1 WO2014209979 A1 WO 2014209979A1
Authority
WO
WIPO (PCT)
Prior art keywords
optionally substituted
alkyl
hydrogen
group
alkenyl
Prior art date
Legal status (The legal status is an assumption and is not a legal conclusion. Google has not performed a legal analysis and makes no representation as to the accuracy of the status listed.)
Ceased
Application number
PCT/US2014/043836
Other languages
French (fr)
Inventor
Leonid Beigelman
Jerome Deval
Zhinan JIN
Current Assignee (The listed assignees may be inaccurate. Google has not performed a legal analysis and makes no representation or warranty as to the accuracy of the list.)
Janssen Biopharma Inc
Original Assignee
Alios Biopharma Inc
Priority date (The priority date is an assumption and is not a legal conclusion. Google has not performed a legal analysis and makes no representation as to the accuracy of the date listed.)
Filing date
Publication date
Application filed by Alios Biopharma Inc filed Critical Alios Biopharma Inc
Priority to AU2014302711A priority Critical patent/AU2014302711A1/en
Priority to ES14818480T priority patent/ES2952714T3/en
Priority to EP14818480.7A priority patent/EP3013340B9/en
Priority to CA2913206A priority patent/CA2913206C/en
Priority to HK16112699.1A priority patent/HK1224229A1/en
Publication of WO2014209979A1 publication Critical patent/WO2014209979A1/en
Anticipated expiration legal-status Critical
Priority to AU2019261679A priority patent/AU2019261679A1/en
Ceased legal-status Critical Current

Links

Classifications

    • CCHEMISTRY; METALLURGY
    • C07ORGANIC CHEMISTRY
    • C07HSUGARS; DERIVATIVES THEREOF; NUCLEOSIDES; NUCLEOTIDES; NUCLEIC ACIDS
    • C07H19/00Compounds containing a hetero ring sharing one ring hetero atom with a saccharide radical; Nucleosides; Mononucleotides; Anhydro-derivatives thereof
    • C07H19/02Compounds containing a hetero ring sharing one ring hetero atom with a saccharide radical; Nucleosides; Mononucleotides; Anhydro-derivatives thereof sharing nitrogen
    • C07H19/04Heterocyclic radicals containing only nitrogen atoms as ring hetero atom
    • C07H19/16Purine radicals
    • C07H19/20Purine radicals with the saccharide radical esterified by phosphoric or polyphosphoric acids
    • AHUMAN NECESSITIES
    • A61MEDICAL OR VETERINARY SCIENCE; HYGIENE
    • A61PSPECIFIC THERAPEUTIC ACTIVITY OF CHEMICAL COMPOUNDS OR MEDICINAL PREPARATIONS
    • A61P31/00Antiinfectives, i.e. antibiotics, antiseptics, chemotherapeutics
    • A61P31/12Antivirals
    • AHUMAN NECESSITIES
    • A61MEDICAL OR VETERINARY SCIENCE; HYGIENE
    • A61PSPECIFIC THERAPEUTIC ACTIVITY OF CHEMICAL COMPOUNDS OR MEDICINAL PREPARATIONS
    • A61P31/00Antiinfectives, i.e. antibiotics, antiseptics, chemotherapeutics
    • A61P31/12Antivirals
    • A61P31/14Antivirals for RNA viruses
    • CCHEMISTRY; METALLURGY
    • C07ORGANIC CHEMISTRY
    • C07HSUGARS; DERIVATIVES THEREOF; NUCLEOSIDES; NUCLEOTIDES; NUCLEIC ACIDS
    • C07H19/00Compounds containing a hetero ring sharing one ring hetero atom with a saccharide radical; Nucleosides; Mononucleotides; Anhydro-derivatives thereof
    • C07H19/02Compounds containing a hetero ring sharing one ring hetero atom with a saccharide radical; Nucleosides; Mononucleotides; Anhydro-derivatives thereof sharing nitrogen
    • C07H19/04Heterocyclic radicals containing only nitrogen atoms as ring hetero atom
    • C07H19/06Pyrimidine radicals
    • CCHEMISTRY; METALLURGY
    • C07ORGANIC CHEMISTRY
    • C07HSUGARS; DERIVATIVES THEREOF; NUCLEOSIDES; NUCLEOTIDES; NUCLEIC ACIDS
    • C07H19/00Compounds containing a hetero ring sharing one ring hetero atom with a saccharide radical; Nucleosides; Mononucleotides; Anhydro-derivatives thereof
    • C07H19/02Compounds containing a hetero ring sharing one ring hetero atom with a saccharide radical; Nucleosides; Mononucleotides; Anhydro-derivatives thereof sharing nitrogen
    • C07H19/04Heterocyclic radicals containing only nitrogen atoms as ring hetero atom
    • C07H19/06Pyrimidine radicals
    • C07H19/10Pyrimidine radicals with the saccharide radical esterified by phosphoric or polyphosphoric acids
    • CCHEMISTRY; METALLURGY
    • C07ORGANIC CHEMISTRY
    • C07HSUGARS; DERIVATIVES THEREOF; NUCLEOSIDES; NUCLEOTIDES; NUCLEIC ACIDS
    • C07H19/00Compounds containing a hetero ring sharing one ring hetero atom with a saccharide radical; Nucleosides; Mononucleotides; Anhydro-derivatives thereof
    • C07H19/02Compounds containing a hetero ring sharing one ring hetero atom with a saccharide radical; Nucleosides; Mononucleotides; Anhydro-derivatives thereof sharing nitrogen
    • C07H19/04Heterocyclic radicals containing only nitrogen atoms as ring hetero atom
    • C07H19/06Pyrimidine radicals
    • C07H19/10Pyrimidine radicals with the saccharide radical esterified by phosphoric or polyphosphoric acids
    • C07H19/11Pyrimidine radicals with the saccharide radical esterified by phosphoric or polyphosphoric acids containing cyclic phosphate
    • CCHEMISTRY; METALLURGY
    • C07ORGANIC CHEMISTRY
    • C07HSUGARS; DERIVATIVES THEREOF; NUCLEOSIDES; NUCLEOTIDES; NUCLEIC ACIDS
    • C07H19/00Compounds containing a hetero ring sharing one ring hetero atom with a saccharide radical; Nucleosides; Mononucleotides; Anhydro-derivatives thereof
    • C07H19/02Compounds containing a hetero ring sharing one ring hetero atom with a saccharide radical; Nucleosides; Mononucleotides; Anhydro-derivatives thereof sharing nitrogen
    • C07H19/04Heterocyclic radicals containing only nitrogen atoms as ring hetero atom
    • C07H19/16Purine radicals

Definitions

  • the present application relates to the fields of chemistry, biochemistry and medicine. More particularly, disclosed herein are nucleoside, nucleotides and analogs thereof, pharmaceutical compositions that include one or more nucleosides, nucleotides and analogs thereof, and methods of synthesizing the same. Also disclosed herein are methods of ameliorating and/or treating a norovirus infection with one or more nucleosides, nucleotides and analogs thereof.
  • Nucleoside analogs are a class of compounds that have been shown to exert antiviral activity both in vitro and in vivo, and thus, have been the subject of widespread research for the treatment of viral infections. Nucleoside analogs are usually therapeutically inactive compounds that are converted by host or viral enzymes to their respective active anti-metabolites, which, in turn, may inhibit polymerases involved in viral or cell proliferation. The activation occurs by a variety of mechanisms, such as the addition of one or more phosphate groups and, or in combination with, other metabolic processes.
  • Some embodiments disclosed herein relate to methods of ameliorating, treating and/or preventing a noro virus infection that can include administering to a subject an effective amount of one or more compounds of Formula (I), Formula (II) and/or Formula (III), or a pharmaceutically acceptable salt of the foregoing, or a pharmaceutical composition that includes one or more compounds of Formula (I), Formula (II) and/or Formula (III), or a pharmaceutically acceptable salt of the foregoing.
  • Other embodiments described herein relate to using one or more compounds of Formula (I), Formula (II) and/or Formula (III), or a pharmaceutically acceptable salt of the foregoing, in the manufacture of a medicament for ameliorating, treating and/or preventing a norovirus infection.
  • Still other embodiments described herein relate to compounds of Formula (I), Formula (II) and/or Formula (III), or a pharmaceutically acceptable salt of the foregoing, that can be used for ameliorating, treating and/or preventing a norovirus infection.
  • Yet still other embodiments disclosed herein relate to methods of ameliorating, treating and/or preventing a norovirus infection that can include contacting a cell infected with the norovirus infection with an effective amount of one or more compounds of Formula (I), Formula (II) and/or Formula (III), or a pharmaceutically acceptable salt of the foregoing, or a pharmaceutical composition that includes one or more compounds of Formula (I), Formula (II) and/or Formula (III), or a pharmaceutically acceptable salt of the foregoing.
  • Some embodiments disclosed herein relate to methods of inhibiting the replication of a norovirus that can include contacting a cell infection with the norovirus with an effective amount of one or more compounds of Formula (I), Formula (II) and/or Formula (III), or a pharmaceutically acceptable salt of the foregoing, or a pharmaceutical composition that includes one or more compounds of Formula (I), Formula (II) and/or Formula (III), or a pharmaceutically acceptable salt of the foregoing.
  • Figure 1 is a schematic of the genetic organization of norovirus (NV) and first murine norovirus virus (MNV-1). DETAILED DESCRIPTION
  • Noroviruses are a member of the Caliciviridae family, and positive single- stranded RNA, non-enveloped viruses that are approximately 27-35 nm in diameter.
  • noroviruses have been classified into 6 recognized genogroups, Gl, Gil, GUI, GIV, GV and GVI, with Gl, Gil and GIV affecting humans.
  • Examples of the noroviruses include Norwalk virus, Desert Shield virus, Southampton virus, Hawaii virus, Snow Mountain virus, Mexico virus, Toronto virus, Bristol virus and Lordsdale virus.
  • the RNA genomes of the noroviruses are organized into 3 major open reading frames (OFRl , OFR2, and OFR3) with a polyadenylated 3'-end. OFRl enclosed a large polyprotein that is proteolytically processed into mature nonstructural proteins; OFR2 enclosed the major capside protein (VP1); and OFR3 enclosed a minor structural protein (VP2).
  • Noroviruses are highly contagious. According to the U.S. Center for Disease Control (CDC), a person with a norovirus infection can shed billions of norovirus particles, and it only takes as few as 18 viral particles to infect another person. http://www.cdc.gov/norovirus/hcp/clinical-overview.html (Nov. 2012). The virus is transmitted in various manners, including contacting a contaminated person, consuming contaminated food and/or water, and contacting contaminated surfaces, objects and/or substances. Outbreaks of norovirus infection can occur in closed or semi-closed spaces such as long-term facilities, overnight camps, hospitals, prisons, dorms, cruise ships and military settings.
  • Norovirsuses have been attributed as being the leading cause of gastroenteritis. Symptoms of gastroenteritis include abdominal cramps, nausea, diarrhea and vomiting; and the diarrhea and vomiting associated with gastroenteritis can lead to dehydration. The duration of illness can vary from a couple of hours to several days.
  • any "R" group(s) such as, without limitation, R A , R 1A , R 2A ,
  • R i5ci R i6C 5 R i7c ⁇ R i8c ⁇ R i9c ⁇ R 2oc R 2ic R 22c and R 23c represent su b s tituents that can be attached to the indicated atom.
  • An R group may be substituted or unsubstituted. If two "R" groups are described as being “taken together” the R groups and the atoms they are attached to can form a cycloalkyl, cycloalkenyl, aryl, heteroaryl or heterocycle. For example, without limitation, if R a and R b of an NR a R b group are indicated to be "taken together," it means that they are covalently bonded to one another to form a ring:
  • R groups are not limited to the variables or substituents defined previously.
  • the indicated “optionally substituted” or “substituted” group may be substituted with one or more group(s) individually and independently selected from alkyl, alkenyl, alkynyl, cycloalkyl, cycloalkenyl, aryl, heteroaryl, heterocyclyl, aryl(alkyl), heteroaryl(alkyl), heterocyclyl(alkyl), hydroxy, alkoxy, aryloxy, acyl, mercapto, alkylthio, arylthio, cyano, halogen, thiocarbonyl, O-carbamyl, N-carbamyl, O-thiocarbamyl, N-thiocarbamyl, C-amido, N-amido, S-sulfonamido, N-sulfonamido, C-carboxy, protected C- carboxy, O-carboxy, isocyanato, thiocyana
  • C a to C b in which "a” and “b” are integers refer to the number of carbon atoms in an alkyl, alkenyl or alkynyl group, or the number of carbon atoms in the ring of a cycloalkyl, cycloalkenyl, aryl, heteroaryl or heterocyclyl group.
  • the alkyl, alkenyl, alkynyl, ring(s) of the cycloalkyl, ring(s) of the cycloalkenyl, ring(s) of the aryl, ring(s) of the heteroaryl or ring(s) of the heterocyclyl can contain from "a" to "b", inclusive, carbon atoms.
  • a "Ci to C 4 alkyl” group refers to all alkyl groups having from 1 to 4 carbons, that is, CH 3 -, CH 3 CH 2 -, CH 3 CH 2 CH 2 -, (CH 3 ) 2 CH-, CH 3 CH 2 CH 2 CH 2 -, CH 3 CH 2 CH(CH 3 )- and (CH 3 ) 3 C-. If no "a” and "b” are designated with regard to an alkyl, alkenyl, alkynyl, cycloalkyl cycloalkenyl, aryl, heteroaryl or heterocyclyl group, the broadest range described in these definitions is to be assumed.
  • alkyl refers to a straight or branched hydrocarbon chain that comprises a fully saturated (no double or triple bonds) hydrocarbon group.
  • the alkyl group may have 1 to 20 carbon atoms (whenever it appears herein, a numerical range such as “1 to 20” refers to each integer in the given range; e.g., "1 to 20 carbon atoms” means that the alkyl group may consist of 1 carbon atom, 2 carbon atoms, 3 carbon atoms, etc. , up to and including 20 carbon atoms, although the present definition also covers the occurrence of the term "alkyl” where no numerical range is designated).
  • the alkyl group may also be a medium size alkyl having 1 to 10 carbon atoms.
  • the alkyl group could also be a lower alkyl having 1 to 6 carbon atoms.
  • the alkyl group of the compounds may be designated as "C1 -C4 alkyl” or similar designations.
  • “C1 -C4 alkyl” indicates that there are one to four carbon atoms in the alkyl chain, i.e., the alkyl chain is selected from methyl, ethyl, propyl, iso-propyl, n-butyl, iso-butyl, sec-butyl, and t-butyl.
  • Typical alkyl groups include, but are in no way limited to, methyl, ethyl, propyl, isopropyl, butyl, isobutyl, tertiary butyl, pentyl and hexyl.
  • the alkyl group may be substituted or unsubstituted.
  • alkenyl refers to an alkyl group that contains in the straight or branched hydrocarbon chain one or more double bonds.
  • alkenyl groups include allenyl, vinylmethyl and ethenyl.
  • An alkenyl group may be unsubstituted or substituted.
  • alkynyl refers to an alkyl group that contains in the straight or branched hydrocarbon chain one or more triple bonds. Examples of alkynyls include ethynyl and propynyl. An alkynyl group may be unsubstituted or substituted.
  • cycloalkyl refers to a completely saturated (no double or triple bonds) mono- or multi- cyclic hydrocarbon ring system. When composed of two or more rings, the rings may be joined together in a fused fashion. Cycloalkyl groups can contain 3 to 10 atoms in the ring(s) or 3 to 8 atoms in the ring(s). A cycloalkyl group may be unsubstituted or substituted. Typical cycloalkyl groups include, but are in no way limited to, cyclopropyl, cyclobutyl, cyclopentyl, cyclohexyl, cycloheptyl and cyclooctyl.
  • cycloalkenyl refers to a mono- or multi- cyclic hydrocarbon ring system that contains one or more double bonds in at least one ring; although, if there is more than one, the double bonds cannot form a fully delocalized pi- electron system throughout all the rings (otherwise the group would be "aryl,” as defined herein). When composed of two or more rings, the rings may be connected together in a fused fashion.
  • a cycloalkenyl can contain 3 to 10 atoms in the ring(s) or 3 to 8 atoms in the ring(s).
  • a cycloalkenyl group may be unsubstituted or substituted.
  • aryl refers to a carbocyclic (all carbon) monocyclic or multicyclic aromatic ring system (including fused ring systems where two carbocyclic rings share a chemical bond) that has a fully delocalized pi-electron system throughout all the rings.
  • the number of carbon atoms in an aryl group can vary.
  • the aryl group can be a C 6 -C i4 aryl group, a C 6 -Cio aryl group, or a C 6 aryl group.
  • Examples of aryl groups include, but are not limited to, benzene, naphthalene and azulene.
  • An aryl group may be substituted or unsubstituted.
  • heteroaryl refers to a monocyclic, bicyclic and tricyclic aromatic ring system (a ring system with fully delocalized pi-electron system) that contain(s) one or more heteroatoms (for example, 1 to 5 heteroatoms), that is, an element other than carbon, including but not limited to, nitrogen, oxygen and sulfur.
  • the number of atoms in the ring(s) of a heteroaryl group can vary.
  • the heteroaryl group can contain 4 to 14 atoms in the ring(s), 5 to 10 atoms in the ring(s) or 5 to 6 atoms in the ring(s).
  • heteroaryl includes fused ring systems where two rings, such as at least one aryl ring and at least one heteroaryl ring, or at least two heteroaryl rings, share at least one chemical bond.
  • heteroaryl rings include, but are not limited to, furan, furazan, thiophene, benzothiophene, phthalazine, pyrrole, oxazole, benzoxazole, 1 ,2,3-oxadiazole, 1,2,4-oxadiazole, thiazole, 1 ,2,3-thiadiazole, 1 ,2,4-thiadiazole, benzothiazole, imidazole, benzimidazole, indole, indazole, pyrazole, benzopyrazole, isoxazole, benzoisoxazole, isothiazole, triazole, benzotriazole, thiadiazole, tetrazole, pyridine, pyridazin
  • heterocyclyl or “heteroalicyclyl” refers to three-, four-, five-, six-, seven-, eight-, nine-, ten-, up to 18-membered monocyclic, bicyclic, and tricyclic ring system wherein carbon atoms together with from 1 to 5 heteroatoms constitute said ring system.
  • a heterocycle may optionally contain one or more unsaturated bonds situated in such a way, however, that a fully delocalized pi-electron system does not occur throughout all the rings.
  • the heteroatom(s) is an element other than carbon including, but not limited to, oxygen, sulfur, and nitrogen.
  • a heterocycle may further contain one or more carbonyl or thiocarbonyl functionalities, so as to make the definition include oxo-systems and thio- systems such as lactams, lactones, cyclic imides, cyclic thioimides and cyclic carbamates. When composed of two or more rings, the rings may be joined together in a fused fashion. Additionally, any nitrogens in a heteroalicyclic may be quaternized. Heterocyclyl or heteroalicyclic groups may be unsubstituted or substituted.
  • heterocyclyl or “heteroalicyclyl” groups include but are not limited to, 1 ,3-dioxin, 1,3-dioxane, 1,4- dioxane, 1 ,2-dioxolane, 1,3-dioxolane, 1 ,4-dioxolane, 1,3-oxathiane, 1 ,4-oxathiin, 1,3- oxathiolane, 1 ,3-dithiole, 1 ,3-dithiolane, 1 ,4-oxathiane, tetrahydro- 1 ,4-thiazine, 2H-1,2- oxazine, maleimide, succinimide, barbituric acid, thiobarbituric acid, dioxopiperazine, hydantoin, dihydrouracil, trioxane, hexahydro-l ,3,5-triazine, imidazo
  • aralkyl and “aryl(alkyl)” refer to an aryl group connected, as a substituent, via a lower alkylene group.
  • the lower alkylene and aryl group of an aryl(alkyl) may be substituted or unsubstituted. Examples include but are not limited to benzyl, 2-phenyl(alkyl), 3-phenyl(alkyl), and naphthyl(alkyl).
  • heteroaryl and “heteroaryl(alkyl)” refer to a heteroaryl group connected, as a substituent, via a lower alkylene group.
  • the lower alkylene and heteroaryl group of heteroaryl(alkyl) may be substituted or unsubstituted. Examples include but are not limited to 2-thienyl(alkyl), 3-thienyl(alkyl), furyl(alkyl), thienyl(alkyl), pyrrolyl(alkyl), pyridyl(alkyl), isoxazolyl(alkyl), imidazolyl(alkyl), and their benzo-fused analogs.
  • a "(heteroalicyclyl)alkyl” and “(heterocyclyl)alkyP' refer to a heterocyclic or a heteroalicyclylic group connected, as a substituent, via a lower alkylene group.
  • the lower alkylene and heterocyclyl of a heterocyclyl(alkyl) may be substituted or unsubstituted. Examples include but are not limited tetrahydro-2H-pyran-4-yl(methyl), piperidin-4-yl(ethyl), piperidin-4-yl(propyl), tetrahydro-2H-thiopyran-4-yl(methyl) and l ,3-thiazinan-4-yl(methyl)
  • “Lower alkylene groups” are straight-chained -CH 2 - tethering groups, forming bonds to connect molecular fragments via their terminal carbon atoms. Examples include but are not limited to methylene (-CH 2 -), ethylene (-CH 2 CH 2 -), propylene (- CH 2 CH 2 CH 2 -), and butylene (-CH 2 CH 2 CH 2 CH 2 -).
  • alkoxy refers to the formula -OR wherein R is an alkyl, an alkenyl, an alkynyl, a cycloalkyl, a cycloalkenyl, aryl, heteroaryl, heteroalicyclyl, aralkyl, heteroaryl(alkyl) or heterocyclyl(alkyl) is defined herein.
  • alkoxys are methoxy, ethoxy, n-propoxy, 1-methylethoxy (isopropoxy), n-butoxy, iso-butoxy, sec-butoxy, tert-butoxy, phenoxy and benzoxy.
  • An alkoxy may be substituted or unsubstituted.
  • acyl refers to a hydrogen an alkyl, an alkenyl, an alkynyl, a cycloalkyl, a cycloalkenyl, aryl, heteroaryl, heteroalicyclyl, aralkyl, heteroaryl(alkyl) or heterocyclyl(alkyl) connected, as substituents, via a carbonyl group. Examples include formyl, acetyl, propanoyl, benzoyl, and acryl. An acyl may be substituted or unsubstituted.
  • hydroxyalkyl refers to an alkyl group in which one or more of the hydrogen atoms are replaced by a hydroxy group.
  • exemplary hydroxyalkyl groups include but are not limited to, 2-hydroxyethyl, 3-hydroxypropyl, 2-hydroxypropyl, and 2,2-dihydroxyethyl.
  • a hydroxyalkyl may be substituted or unsubstituted.
  • haloalkyl refers to an alkyl group in which one or more of the hydrogen atoms are replaced by a halogen (e.g., mono-haloalkyl, di-haloalkyl and tri- haloalkyl).
  • a halogen e.g., mono-haloalkyl, di-haloalkyl and tri- haloalkyl.
  • groups include but are not limited to, chloromethyl, fluoromethyl, difluoromethyl, trifluoromethyl, 1 -chloro-2-fluoromethyl and 2-fluoroisobutyl.
  • a haloalkyl may be substituted or unsubstituted.
  • haloalkoxy refers to a O-alkyl group in which one or more of the hydrogen atoms are replaced by a halogen (e.g., mono-haloalkoxy, di- haloalkoxy and tri- haloalkoxy).
  • a halogen e.g., mono-haloalkoxy, di- haloalkoxy and tri- haloalkoxy.
  • groups include but are not limited to, chloromethoxy, fluoromethoxy, difluoromethoxy, trifluoromethoxy, l-chloro-2-fluoromethoxy and 2- fluoroisobutoxy.
  • a haloalkoxy may be substituted or unsubstituted.
  • a “sulfenyl” group refers to an "-SR" group in which R can be hydrogen, alkyl, alkenyl, alkynyl, cycloalkyl, cycloalkenyl, aryl, heteroaryl, heterocyclyl, aryl(alkyl), heteroaryl(alkyl) or heterocyclyl(alkyl).
  • R can be hydrogen, alkyl, alkenyl, alkynyl, cycloalkyl, cycloalkenyl, aryl, heteroaryl, heterocyclyl, aryl(alkyl), heteroaryl(alkyl) or heterocyclyl(alkyl).
  • a sulfenyl may be substituted or unsubstituted.
  • a “sulfonyl” group refers to an "SO 2 R” group in which R can be the same as defined with respect to sulfenyl. A sulfonyl may be substituted or unsubstituted.
  • R can be hydrogen, alkyl, alkenyl, alkynyl, cycloalkyl, cycloalkenyl, aryl, heteroaryl, heterocyclyl, aryl(alkyl), heteroaryl(alkyl) or heterocyclyl(alkyl), as defined herein.
  • An O-carboxy may be substituted or unsubstituted.
  • An ester and C-carboxy may be substituted or unsubstituted.
  • a thiocarbonyl may be substituted or unsubstituted.
  • a "trihalomethanesulfonyl” group refers to an "X 3 CS0 2 -" group wherein each X is a halogen.
  • a "trihalomethanesulfonamido” group refers to an "X 3 CS(0) 2 N(R A )-" group wherein each X is a halogen, and R A hydrogen, alkyl, alkenyl, alkynyl, cycloalkyl, cycloalkenyl, aryl, heteroaryl, heterocyclyl, aryl(alkyl), heteroaryl(alkyl) or heterocy cly l(alky 1) .
  • amino refers to a -NH 2 group.
  • hydroxy refers to a -OH group.
  • a "cyano" group refers to a "-CN” group.
  • An "isocyanato" group refers to a "-NCO” group.
  • a "thiocyanato" group refers to a "-CNS” group.
  • An "isothiocyanato" group refers to an " -NCS” group.
  • a “mercapto” group refers to an "-SH” group.
  • S-sulfonamido refers to a "-S0 2 N(R A R B )" group in which R A and R B can be independently hydrogen, alkyl, alkenyl, alkynyl, cycloalkyl, cycloalkenyl, aryl, heteroaryl, heterocyclyl, aryl(alkyl), heteroaryl(alkyl) or heterocyclyl(alkyl).
  • R A and R B can be independently hydrogen, alkyl, alkenyl, alkynyl, cycloalkyl, cycloalkenyl, aryl, heteroaryl, heterocyclyl, aryl(alkyl), heteroaryl(alkyl) or heterocyclyl(alkyl).
  • An S-sulfonamido may be substituted or unsubstituted.
  • N-sulfonamido refers to a "RS0 2 N(R A )-" group in which R and RA can be independently hydrogen, alkyl, alkenyl, alkynyl, cycloalkyl, cycloalkenyl, aryl, heteroaryl, heterocyclyl, aryl(alkyl), heteroaryl(alkyl) or heterocyclyl(alkyl).
  • R and RA can be independently hydrogen, alkyl, alkenyl, alkynyl, cycloalkyl, cycloalkenyl, aryl, heteroaryl, heterocyclyl, aryl(alkyl), heteroaryl(alkyl) or heterocyclyl(alkyl).
  • An N-sulfonamido may be substituted or unsubstituted.
  • An O-carbamyl may be substituted or unsubstituted.
  • R and RA can be independently hydrogen, alkyl, alkenyl, alkynyl, cycloalkyl, cycloalkenyl, aryl, heteroaryl, heterocyclyl, aryl(alkyl), heteroaryl(alkyl) or heterocyclyl(alkyl).
  • An N-carbamyl may be substituted or unsubstituted.
  • An O-thiocarbamyl may be substituted or unsubstituted.
  • R and R A can be independently hydrogen, alkyl, alkenyl, alkynyl, cycloalkyl, cycloalkenyl, aryl, heteroaryl, heterocyclyl, aryl(alkyl), heteroaryl(alkyl) or heterocyclyl(alkyl).
  • An N-thiocarbamyl may be substituted or unsubstituted.
  • R A C-amido may be substituted or unsubstituted.
  • R and R A can be independently hydrogen, alkyl, alkenyl, alkynyl, cycloalkyl, cycloalkenyl, aryl, heteroaryl, heterocyclyl, aryl(alkyl), heteroaryl (alkyl) or heterocyclyl(alkyl).
  • An N-amido may be substituted or unsubstituted.
  • halogen atom or "halogen” as used herein, means any one of the radio-stable atoms of column 7 of the Periodic Table of the Elements, such as, fluorine, chlorine, bromine and iodine.
  • substituents there may be one or more substituents present.
  • haloalkyl may include one or more of the same or different halogens.
  • C 1 -C3 alkoxyphenyl may include one or more of the same or different alkoxy groups containing one, two or three atoms.
  • nucleoside is used herein in its ordinary sense as understood by those skilled in the art, and refers to a compound composed of an optionally substituted pentose moiety or modified pentose moiety attached to a heterocyclic base or tautomer thereof via a N-glycosidic bond, such as attached via the 9-position of a purine-base or the 1- position of a pyrimidine-base.
  • examples include, but are not limited to, a ribonucleoside comprising a ribose moiety and a deoxyribonucleoside comprising a deoxyribose moiety.
  • a modified pentose moiety is a pentose moiety in which an oxygen atom has been replaced with a carbon and/or a carbon has been replaced with a sulfur or an oxygen atom.
  • a "nucleoside” is a monomer that can have a substituted base and/or sugar moiety. Additionally, a nucleoside can be incorporated into larger DNA and/or RNA polymers and oligomers. In some instances, the nucleoside can be a nucleoside analog drug.
  • nucleotide is used herein in its ordinary sense as understood by those skilled in the art, and refers to a nucleoside having a phosphate ester bound to the pentose moiety, for example, at the 5'-position.
  • heterocyclic base refers to an optionally substituted nitrogen-containing heterocyclyl that can be attached to an optionally substituted pentose moiety or modified pentose moiety.
  • the heterocyclic base can be selected from an optionally substituted purine-base, an optionally substituted pyrimidine- base and an optionally substituted triazole-base (for example, a 1 ,2,4-triazole).
  • purine -base is used herein in its ordinary sense as understood by those skilled in the art, and includes its tautomers.
  • pyrimidine-base is used herein in its ordinary sense as understood by those skilled in the art, and includes its tautomers.
  • a non- limiting list of optionally substituted purine -bases includes purine, adenine, guanine, hypoxanthine, xanthine, alloxanthine, 7-alkylguanine (e.g. 7-methylguanine), theobromine, caffeine, uric acid and isoguanine.
  • pyrimidine-bases include, but are not limited to, cytosine, thymine, uracil, 5,6-dihydrouracil and 5-alkylcytosine (e.g., 5-methylcytosine).
  • An example of an optionally substituted triazole-base is l ,2,4-triazole-3-carboxamide.
  • heterocyclic bases include diaminopurine, 8-oxo-N 6 -alkyladenine (e.g., 8-oxo-N 6 -methyladenine), 7-deazaxanthine, 7-deazaguanine, 7-deazaadenine, N 4 ,N 4 - ethanocytosin, N 6 ,N 6 -ethano-2,6-diaminopurine, 5-halouracil (e.g., 5-fluorouracil and 5- bromouracil), pseudoisocytosine, isocytosine, isoguanine, and other heterocyclic bases described in U.S. Patent Nos.
  • 8-oxo-N 6 -alkyladenine e.g., 8-oxo-N 6 -methyladenine
  • 7-deazaxanthine 7-deazaguanine
  • 7-deazaadenine 7-deazaadenine
  • a heterocyclic base can be optionally substituted with an amine or an enol protecting group(s).
  • N-linked amino acid refers to an amino acid that is attached to the indicated moiety via a main-chain amino or mono-substituted amino group.
  • amino acid is attached in an -N-linked amino acid, one of the hydrogens that is part of the main-chain amino or mono-substituted amino group is not present and the amino acid is attached via the nitrogen.
  • N-linked amino acids can be substituted or unsubstituted.
  • ester derivative refers to an amino acid in which a main-chain carboxylic acid group has been converted to an ester group.
  • N-linked amino acid ester derivatives can be substituted or unsubstituted.
  • -O-linked amino acid refers to an amino acid that is attached to the indicated moiety via the hydroxy from its main-chain carboxylic acid group. When the amino acid is attached in an -O-linked amino acid, the hydrogen that is part of the hydroxy from its main-chain carboxylic acid group is not present and the amino acid is attached via the oxygen. O-linked amino acids can be substituted or unsubstituted.
  • amino acid refers to any amino acid (both standard and non-standard amino acids), including, but not limited to, -amino acids, ⁇ - amino acids, ⁇ -amino acids and ⁇ -amino acids.
  • suitable amino acids include, but are not limited to, alanine, asparagine, aspartate, cysteine, glutamate, glutamine, glycine, proline, serine, tyrosine, arginine, histidine, isoleucine, leucine, lysine, methionine, phenylalanine, threonine, tryptophan and valine.
  • suitable amino acids include, but are not limited to, ornithine, hypusine, 2-aminoisobutyric acid, dehydroalanine, gamma-aminobutyric acid, citrulline, beta-alanine, alpha-ethyl-glycine, alpha-propyl-glycine and norleucine.
  • hos horothioate and “phosphothioate” refer to a compound
  • phosphate is used in its ordinary sense as understood by those skilled in the art, and includes its protonated forms (for example, as used herein, the terms "monophosphate,”
  • diphosphate and triphosphate are used in their ordinary sense as understood by those skilled in the art, and include protonated forms.
  • protecting group and “protecting groups” as used herein refer to any atom or group of atoms that is added to a molecule in order to prevent existing groups in the molecule from undergoing unwanted chemical reactions.
  • Examples of protecting group moieties are described in T. W. Greene and P. G. M. Wuts, Protective Groups in Organic Synthesis, 3. Ed. John Wiley & Sons, 1999, and in J.F.W. McOmie, Protective Groups in Organic Chemistry Plenum Press, 1973, both of which are hereby incorporated by reference for the limited purpose of disclosing suitable protecting groups.
  • the protecting group moiety may be chosen in such a way, that they are stable to certain reaction conditions and readily removed at a convenient stage using methodology known from the art.
  • a non-limiting list of protecting groups include benzyl; substituted benzyl; alkylcarbonyls and alkoxycarbonyls (e.g., t-butoxycarbonyl (BOC), acetyl, or isobutyryl); arylalkylcarbonyls and arylalkoxycarbonyls (e.g., benzyloxycarbonyl); substituted methyl ether (e.g.
  • methoxymethyl ether substituted ethyl ether; a substituted benzyl ether; tetrahydropyranyl ether; silyls (e.g., trimethylsilyl, triethylsilyl, triisopropylsilyl, t-butyldimethylsilyl, tri-iso- propylsilyloxymethyl, [2-(trimethylsilyl)ethoxy]methyl or t-butyldiphenylsilyl); esters (e.g. benzoate ester); carbonates (e.g. methoxymethylcarbonate); sulfonates (e.g. tosylate or mesylate); acyclic ketal (e.g.
  • cyclic ketals e.g., 1,3-dioxane, 1,3-dioxolanes, and those described herein
  • acyclic acetal e.g., those described herein
  • acyclic hemiacetal e.g., 1,3-dithiane or 1,3-dithiolane
  • orthoesters e.g., those described herein
  • triarylmethyl groups e.g., trityl; monomethoxytrityl (MMTr); 4,4'-dimethoxytrityl (DMTr); 4,4',4"-trimethoxytrityl (TMTr); and those described herein).
  • salt refers to a salt of a compound that does not cause significant irritation to an organism to which it is administered and does not abrogate the biological activity and properties of the compound.
  • the salt is an acid addition salt of the compound.
  • Pharmaceutical salts can be obtained by reacting a compound with inorganic acids such as hydrohalic acid (e.g., hydrochloric acid or hydrobromic acid), sulfuric acid, nitric acid and phosphoric acid.
  • compositions can also be obtained by reacting a compound with an organic acid such as aliphatic or aromatic carboxylic or sulfonic acids, for example formic, acetic, succinic, lactic, malic, tartaric, citric, ascorbic, nicotinic, methanesulfonic, ethanesulfonic, p-toluensulfonic, salicylic or naphthalenesulfonic acid.
  • organic acid such as aliphatic or aromatic carboxylic or sulfonic acids
  • Pharmaceutical salts can also be obtained by reacting a compound with a base to form a salt such as an ammonium salt, an alkali metal salt, such as a sodium or a potassium salt, an alkaline earth metal salt, such as a calcium or a magnesium salt, a salt of organic bases such as dicyclohexylamine, N-methyl-D-glucamine, tris(hydroxymethyl)methylamine, C 1 -C7 alkylamine, cyclohexylamine, triethanolamine, ethylenediamine, and salts with amino acids such as arginine and lysine.
  • a salt such as an ammonium salt, an alkali metal salt, such as a sodium or a potassium salt, an alkaline earth metal salt, such as a calcium or a magnesium salt, a salt of organic bases such as dicyclohexylamine, N-methyl-D-glucamine, tris(hydroxymethyl)methylamine, C 1 -C7 alkylamine, cyclohexy
  • the term “comprising” is to be interpreted synonymously with the phrases “having at least” or “including at least”.
  • the term “comprising” means that the process includes at least the recited steps, but may include additional steps.
  • the term “comprising” means that the compound, composition or device includes at least the recited features or components, but may also include additional features or components.
  • a group of items linked with the conjunction 'and' should not be read as requiring that each and every one of those items be present in the grouping, but rather should be read as 'and/or' unless expressly stated otherwise.
  • each center may independently be of R-configuration or S -configuration or a mixture thereof.
  • the compounds provided herein may be enantiomerically pure, enantiomerically enriched, racemic mixture, diastereomerically pure, diastereomerically enriched, or a stereoisomeric mixture.
  • each double bond may independently be E or Z a mixture thereof.
  • each chemical element as represented in a compound structure may include any isotope of said element.
  • a hydrogen atom may be explicitly disclosed or understood to be present in the compound.
  • the hydrogen atom can be any isotope of hydrogen, including but not limited to hydrogen- 1 (protium) and hydrogen-2 (deuterium).
  • reference herein to a compound encompasses all potential isotopic forms unless the context clearly dictates otherwise.
  • the methods and combinations described herein include crystalline forms (also known as polymorphs, which include the different crystal packing arrangements of the same elemental composition of a compound), amorphous phases, salts, solvates, and hydrates.
  • the compounds described herein exist in solvated forms with pharmaceutically acceptable solvents such as water, ethanol, or the like.
  • the compounds described herein exist in unsolvated form.
  • Solvates contain either stoichiometric or non-stoichiometric amounts of a solvent, and may be formed during the process of crystallization with pharmaceutically acceptable solvents such as water, ethanol, or the like. Hydrates are formed when the solvent is water, or alcoholates are formed when the solvent is alcohol.
  • the compounds provided herein can exist in unsolvated as well as solvated forms. In general, the solvated forms are considered equivalent to the unsolvated forms for the purposes of the compounds and methods provided herein.
  • Some embodiments described herein relate to a method of ameliorating and/or treating a noro virus infection, which can include administering an effective amount of one or more compounds described herein, or a pharmaceutical composition that includes one or more compounds described herein (e.g., a compound of Formula (I), a compound of Formula (11) and/or a compound of Formula (111), or a pharmaceutically acceptable salt of the foregoing).
  • a pharmaceutical composition that includes one or more compounds described herein (e.g., a compound of Formula (I), a compound of Formula (11) and/or a compound of Formula (111), or a pharmaceutically acceptable salt of the foregoing).
  • inventions described herein relate to a method of preventing a noro virus infection, which can include administering an effective amount of one or more compounds described herein, or a pharmaceutical composition that includes one or more compounds described herein (e.g., a compound of Formula (I), a compound of Formula (II) and/or a compound of Formula (III), or a pharmaceutically acceptable salt of the foregoing).
  • a pharmaceutical composition that includes one or more compounds described herein (e.g., a compound of Formula (I), a compound of Formula (II) and/or a compound of Formula (III), or a pharmaceutically acceptable salt of the foregoing).
  • Other embodiments described herein relate to a method of inhibiting viral replication of a norovirus virus, which can include contacting a cell infected with the norovirus virus with an effective amount of a compound of Formula (I), or a pharmaceutically acceptable salt thereof, an effective amount of a compound of Formula (II), or a pharmaceutically acceptable salt thereof, an effective amount of a compound of Formula (III), or a pharmaceutically acceptable salt thereof, and/or a pharmaceutical composition that includes one or more compounds described herein (e.g., a compound of Formula (I), a compound of Formula (II) and/or a compound of Formula (III), or a pharmaceutically acceptable salt of the foregoing). Still other embodiments described herein related to a method of inhibiting at least one of the following in the norovirus replication: polymerase protease and helicase.
  • a compound of Formulae (I), (II) and/or (III) can be used to treat, ameliorate and/or prevent one or more of the following symptoms caused by a norovirus infection: abdominal cramps, nausea, diarrhea, vomiting, dehydration, fever, headache, chills, myalgia and sore throat.
  • the one or more compounds of Formula (I) or a pharmaceutically acceptable salt thereof, one or more compounds of Formula (II), or a pharmaceutically acceptable salt thereof, and/or one or more compounds of Formula (III), or a pharmaceutically acceptable salt thereof, that can be used to treat, ameliorate and/or prevent a norovirus infection can be a compound of Formula (I), or pharmaceutically acceptable salt thereof, and/or a compound of Formula (II), or a pharmaceutically acceptable salt thereof, and/or a compound of Formula (III), or a pharmaceutically acceptable salt thereof, provided in any of the embodiments described in paragraphs [0094]- [0191].
  • the terms “prevent” and “preventing,” mean a subject does not develop an infection because the subject has an immunity against the infection, or if a subject becomes infected, the severity of the disease is less compared to the severity of the disease if the subject has not been administered/received the compound.
  • Examples of forms of prevention include prophylactic administration to a subject who has been or may be exposed to an infectious agent, such as a norovirus.
  • treat do not necessarily mean total cure or abolition of the disease or condition. Any alleviation of any undesired signs or symptoms of a disease or condition, to any extent can be considered treatment and/or therapy. Furthermore, treatment may include acts that may worsen the subject's overall feeling of well-being or appearance.
  • a therapeutically effective amount of compound can be the amount needed to prevent, alleviate or ameliorate symptoms of disease or prolong the survival of the subject being treated This response may occur in a tissue, system, animal or human and includes alleviation of the signs or symptoms of the disease being treated. Determination of an effective amount is well within the capability of those skilled in the art, in view of the disclosure provided herein.
  • the therapeutically effective amount of the compounds disclosed herein required as a dose will depend on the route of administration, the type of animal, including human, being treated, and the physical characteristics of the specific animal under consideration. The dose can be tailored to achieve a desired effect, but will depend on such factors as weight, diet, concurrent medication and other factors which those skilled in the medical arts will recognize.
  • Suitable indicators include, but are not limited to, a reduction in viral load, a reduction in viral replication, a reduction in time to seroconversion (virus undetectable in patient serum), a reduction of morbidity or mortality in clinical outcomes, and/or other indicator of disease response.
  • an effective amount of a compound of Formulae (I), (II) and/or (III), or a pharmaceutically acceptable salt of the foregoing is an amount that is effective to reduce viral titers to undetectable levels, for example, to about 1000 to about 5000, to about 500 to about 1000, or to about 100 to about 500 genome copies/mL serum.
  • an effective amount of a compound of Formulae (I), (II) and/or (III), or a pharmaceutically acceptable salt of the foregoing is an amount that is effective to reduce viral load compared to the viral load before administration of the compound of Formulae (I) ,(II) and/or (III), or a pharmaceutically acceptable salt of the foregoing.
  • an effective amount of a compound of Formulae (I), (II) and/or (III), or a pharmaceutically acceptable salt of the foregoing is an amount that is effective to achieve a reduction in viral titer in the serum of the subject in the range of about 1.5-log to about a 2.5- log reduction, about a 3 -log to about a 4-log reduction, or a greater than about 5-log reduction compared to the viral load before administration of the compound of Formulae (I), (II) and/or (III), or a pharmaceutically acceptable salt of the foregoing.
  • the viral load is measure before administration of the compound of Formulae (I), (II) and/or (III), or a pharmaceutically acceptable salt of the foregoing, and again after completion of the treatment regime with the compound of Formulae (I), (II) and/or (III), or a pharmaceutically acceptable salt of the foregoing (for example, 1 week after completion).
  • a compound of Formulae (I), (II) and/or (III), or a pharmaceutically acceptable salt of the foregoing can result in at least a 1 , 2, 3, 4, 5, 10, 15, 20, 25, 50, 75, 100-fold or more reduction in the replication of a noro virus relative to pre -treatment levels in a subject, as determined after completion of the treatment regime (for example, 1 week after completion).
  • a compound of Formulae (I), (II) and/or (III), or a pharmaceutically acceptable salt of the foregoing can result in a reduction of the replication of a norovirus relative to pre-treatment levels in the range of about 2 to about 5 fold, about 10 to about 20 fold, about 15 to about 40 fold, or about 50 to about 100 fold.
  • the useful in vivo dosage to be administered and the particular mode of administration will vary depending upon the age, weight, the severity of the affliction, and mammalian species treated, the particular compounds employed, and the specific use for which these compounds are employed.
  • the determination of effective dosage levels that is the dosage levels necessary to achieve the desired result, can be accomplished by one skilled in the art using routine methods, for example, human clinical trials and in vitro studies.
  • the dosage may range broadly, depending upon the desired effects and the therapeutic indication. Alternatively dosages may be based and calculated upon the surface area of the patient, as understood by those of skill in the art. Although the exact dosage will be determined on a drug-by-drug basis, in most cases, some generalizations regarding the dosage can be made.
  • the daily dosage regimen for an adult human patient may be, for example, an oral dose of between 0.01 mg and 3000 mg of each active ingredient, preferably between 1 mg and 700 mg, e.g. 5 to 200 mg.
  • the dosage may be a single one or a series of two or more given in the course of one or more days, as is needed by the subject.
  • the compounds will be administered for a period of continuous therapy, for example for a week or more, or for months or years.
  • human dosages for compounds have been established for at least some condition, those same dosages may be used, or dosages that are between about 0.1% and 500%, more preferably between about 25% and 250% of the established human dosage.
  • a suitable human dosage can be inferred from ED50 or ID 50 values, or other appropriate values derived from in vitro or in vivo studies, as qualified by toxicity studies and efficacy studies in animals.
  • dosages may be calculated as the free base.
  • dosages may be necessary to administer the compounds disclosed herein in amounts that exceed, or even far exceed, the above-stated, preferred dosage range in order to effectively and aggressively treat particularly aggressive diseases or infections.
  • Dosage amount and interval may be adjusted individually to provide plasma levels of the active moiety which are sufficient to maintain the modulating effects, or minimal effective concentration (MEC).
  • MEC minimal effective concentration
  • the MEC will vary for each compound but can be estimated from in vitro data. Dosages necessary to achieve the MEC will depend on individual characteristics and route of administration. However, HPLC assays or bioassays can be used to determine plasma concentrations. Dosage intervals can also be determined using MEC value.
  • Compositions should be administered using a regimen which maintains plasma levels above the MEC for 10-90% of the time, preferably between 30-90% and most preferably between 50-90%. In cases of local administration or selective uptake, the effective local concentration of the drug may not be related to plasma concentration.
  • the attending physician would know how to and when to terminate, interrupt, or adjust administration due to toxicity or organ dysfunctions. Conversely, the attending physician would also know to adjust treatment to higher levels if the clinical response were not adequate (precluding toxicity).
  • the magnitude of an administrated dose in the management of the disorder of interest will vary with the severity of the condition to be treated and to the route of administration. The severity of the condition may, for example, be evaluated, in part, by standard prognostic evaluation methods. Further, the dose and perhaps dose frequency, will also vary according to the age, body weight, and response of the individual patient. A program comparable to that discussed above may be used in veterinary medicine.
  • Compounds disclosed herein can be evaluated for efficacy and toxicity using known methods.
  • the toxicology of a particular compound, or of a subset of the compounds, sharing certain chemical moieties may be established by determining in vitro toxicity towards a cell line, such as a mammalian, and preferably human, cell line. The results of such studies are often predictive of toxicity in animals, such as mammals, or more specifically, humans.
  • the toxicity of particular compounds in an animal model such as mice, rats, rabbits, or monkeys, may be determined using known methods.
  • the efficacy of a particular compound may be established using several recognized methods, such as in vitro methods, animal models, or human clinical trials. When selecting a model to determine efficacy, the skilled artisan can be guided by the state of the art to choose an appropriate model, dose, route of administration and/or regime.
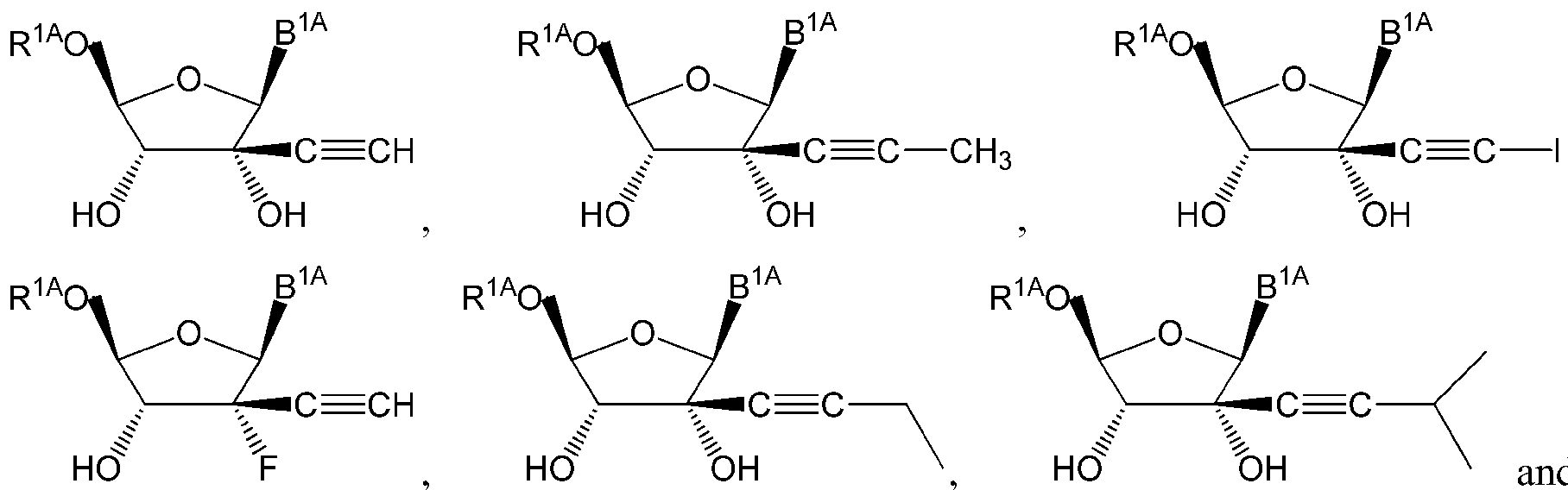
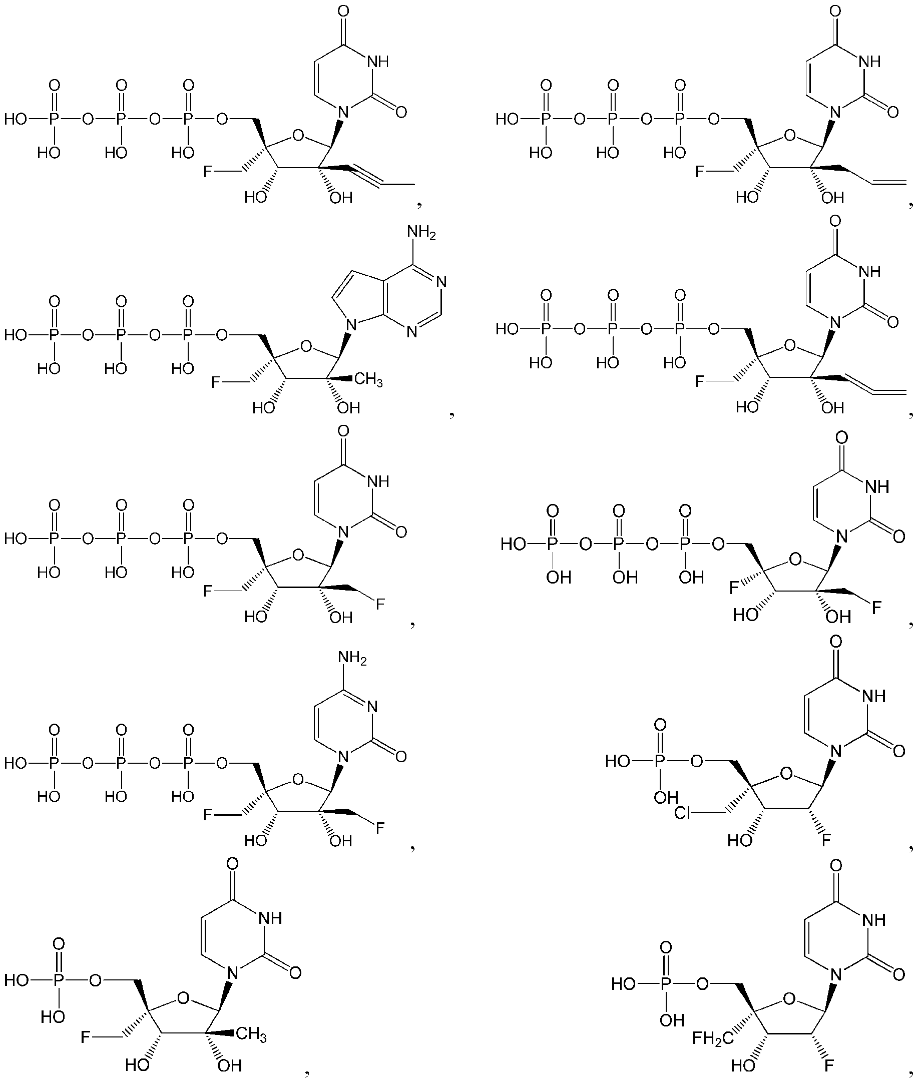
  • Some embodiments disclosed herein relate to a compound selected from Formula (I), Formula (II) and Formula (III), or a pharmaceutically acceptable salt of the foregoing:
  • B I A , B I B and B 1 C can be independently an optionally substituted heterocyclic base or an optionally substituted heterocyclic base with a protected amino group;
  • R aal and R aa2 can be independently hydrogen or deuterium;
  • R A can be hydrogen, deuterium, an unsubstituted C 1-3 alkyl, an unsubstituted C 2- 4 alkenyl, an unsubstituted C 2-3 alkynyl or cyano;
  • R 1 A can be selected from hydrogen, an optionally substituted acyl, an optionally substituted O-linked amino acid,
  • R 2A be selected from
  • R I B can be selected from O " , OH, an amino acid
  • an optionally substituted N-linked amino acid and an optionally substituted N-linked amino acid ester derivative; or R can be
  • R 2C can be O " or OH;
  • R 2B and R 3 J C" can be independently selected from halogen, an optionally substituted Ci -6 alkyl, an optionally substituted C 2-6 alkenyl, an optionally substituted C 2 -6 alkynyl, an optionally substituted -0-Ci -6 alkyl, an optionally substituted - 0-C 3- 6 alkenyl, an optionally substituted-0-C 3- 6 alkynyl, an optionally substituted C 3-6 cycloalkyl and cyano;
  • R 4A , R 3B and R 5C can be independently selected from hydrogen, halogen, OR 1D , an optionally substituted O-linked amino acid, azido and NR 2D R 3D ;
  • R 2D and R 3D can
  • R b 6 A A and R , 7 A A can be absent or hydrogen; or R b 6 A A and R , 7 A A can be
  • R yrt can be independently selected from an optionally substituted Ci -2 4 alkyl, an optionally substituted C 2 -24 alkenyl, an optionally substituted C 2 -24 alkynyl, an optionally substituted C 3- 6 cycloalkyl, an optionally substituted C 3-6 cycloalkenyl, NR 30A R 3 IA , an optionally substituted N-linked amino acid and an optionally substituted N-linked amino acid ester derivative; R 10A and R 1 1A can be independently an optionally substituted N-linked amino acid or an optionally substituted N-linked amino acid ester derivative; R 12A , R 13A and R 14A can be independently absent or hydrogen; each R 15A , each R 16A , each R 17A and each R 18A can be independently hydrogen,
  • R l lC and R 14C can be independently selected from hydrogen, an optionally substituted Ci-24 alkyl, an optionally substituted aryl, an optionally substituted -O-Ci-24 alkyl, an optionally substituted -O-aryl, an optionally substituted -O-heteroaryl, an optionally substituted -O- J . - ⁇ 25 ⁇ 1 -p25A2 ⁇ 29 ⁇ ⁇ ⁇ ⁇ ⁇ 2 15C1 monocyclic heterocyclyl and
  • R , R and R can be independently absent or hydrogen;
  • R 26A and R 27A can be independently -C ⁇ N or an optionally substituted substituent
  • R can be selected from hydrogen, an optionally substituted Ci-24-alkyl, an optionally substituted C 2 -24 alkenyl, an optionally substituted C 2 -24 alkynyl, an optionally substituted C 3 -6 cycloalkyl and an optionally substituted C 3-6 cycloalkenyl;
  • R 30A and R 31A can be independently selected from hydrogen, an optionally substituted Ci -2 4-alkyl, an optionally substituted C 2-2 4 alkenyl, an optionally substituted C 2-2 4 alkynyl, an optionally substituted C 3 -6 cycloalkyl and an optionally substituted C 3 -6 cycloalkenyl; for Formula (III), can be a single bond or a double bond; when is a single bond, each R 7C and each R 8C can be independently hydrogen or halogen; and when is a
  • the compound can be a compound of Formula (I), or a pharmaceutically acceptable salt thereof, wherein: B 1A can be an optionally substituted heterocyclic base or an optionally substituted heterocyclic base with a protected amino group; R AAL and R 332 can be independently hydrogen or deuterium; R A can be hydrogen, deuterium, an unsubstituted C 1-3 alkyl, an unsubstituted C 2- 4 alkenyl, an unsubstituted C 2-3 alkynyl or
  • R I A can be selected from hydn R 2A
  • R 4A can be selected from hydrogen, halogen, OR I D , an optionally substituted O-linked amino acid, azido and NR 2D R 3D
  • R 2D and R 3D can be independently hydrogen or an optionally substituted Ci -6 alkyl
  • R " can be selected from hydrogen, halogen, an optionally substituted Ci -6 alkyl, an optionally substituted C 2- 6 alken
  • R can be absent or hydrogen; or R and R can be
  • R can be independently selected from an optionally substituted C 1-24 alkyl, an optionally substituted C 2-24 alkenyl, an optionally substituted C 2-24 alkynyl, an optionally substituted C 3-6 cycloalkyl, an optionally substituted C 3-6 cycloalkenyl, NR 30A R 31A , an optionally substituted N-linked amino acid and an optionally substituted N-linked amino acid ester derivative;
  • R 10A and R I 1A can be independently an optionally substituted N-linked amino acid or an optionally substituted N-linked amino acid ester derivative;
  • R 6A and R 7A can be independently -C ⁇ N or an optionally substituted substituent selected from C 2-8 organylcarbonyl, C 2-8 alkoxycarbonyl and C 2- s organylaminocarbonyl;
  • R can be selected from hydrogen, an optionally substituted C 1-24 - alkyl, an optionally substituted C 2-24 alkenyl, an optionally substituted C 2-24 alkynyl, an optionally substituted C 3-6 cycloalkyl and an optionally substituted C 3-6 cycloalkenyl;
  • R 30A and 31A can be independently selected from hydrogen, an optionally substituted Ci -2 4-alkyl, an optionally substituted C2-24 alkenyl, an optionally substituted C2-24 alkynyl, an optionally substituted C 3-6 cycloalkyl and an optionally substituted C 3-6 cycloalkenyl;
  • R A and R D can be independently selected from hydrogen, an optionally substituted Ci -2 4-alkyl, an optional
  • a compound of Formula (I) can have a structure
  • R 1 A is R wherein R 8A is an unsubstituted Ci -4 alkyl or phenyl optionally para-substituted with a halogen or methyl and R 9A is methyl ester, ethyl ester, isopropyl ester, n-butyl ester, benzyl ester or phenyl ester of an amino acid selected from glycine, alanine, valine, leucine, phenylalanine, tryptophan, methionine and proline; R 3A is OH; R 4A is fluoro; R 5A is fluoro or hydrogen; and B I A is an unsubstituted uracil; then R 2A cannot be -OCH 3 .
  • a compound of Formula (I) can have a structure shown herein, provided that when R I A is H; R 3A is OH; R 4A is fluoro; R 5A is fluoro; and B 1 A is an unsubstituted cytosine; then R 2A cannot be allenyl.
  • a compound of Formula (I) can have a structure shown herein, provided that when R 1 A is H; R 3A is OH; R 4A is fluoro; R 5A is fluoro; and B I A is an unsubstituted cytosine; then R 2A cannot be ethynyl.
  • R 2A cannot be hydrogen.
  • R 5A when R 2A is hydrogen, then R 5A can be selected from halogen, an optionally substituted Ci -6 alkyl, an optionally substituted C2-6 alkenyl and an optionally substituted C2 -6 alkynyl. [0097] In some embodiments, can be In some embodiments,
  • R 6A and R 7A can be both hydrogen. In other embodiments, R 6A and R 7A can be both absent. In still other embodiments, at least one R 6A and R 7A can be absent. In yet still other embodiments, at least one R 6A and R 7A can be hydrogen. Those skilled in the art understand that when R 6A and/or R 7A are absent, the associated oxygen(s) will have a negative charge. For example, when R 6A is absent, the oxygen associated with R 6A will have a negative charge.
  • Z 1A can be O (oxygen). In other embodiments, Z IA can be S (sulfur).
  • R 1 A can be a monophosphate. In other embodiments, R 1 A can be a monothiophosphate.
  • R IA when R IA is OR' M , one of R 0A and R' can be hydrogen, and the other of R 6A and R 7A can be selected from an optionally substituted C] .24 alkyl, an optionally substituted C 2- 24 alkenyl, an optionally substituted C 2- 24 alkynyl, an optionally substituted C 3-6 cycloalkyl, an optionally substituted C 3-6 cycloalkenyl, an optionally substituted aryl, an optionally substituted heteroaryl and an optionally substituted aryl(Ci -6 alkyl).
  • one of R 6A and R 7A can be hydrogen, and the other of R 6A and R 7A can be an optionally substituted Ci -24 alkyl.
  • both R 6A and R 7A can be independently selected from an optionally substituted C 1-24 alkyl, an optionally substituted C 2-2 4 alkenyl, an optionally substituted C 2-2 4 alkynyl, an optionally substituted C 3-6 cycloalkyl, an optionally substituted C 3-6 cycloalkenyl, an optionally substituted aryl, an optionally substituted heteroaryl and an optionally substituted aryl(Ci_6 alkyl).
  • both R 6A and R 7A can be an optionally substituted C 1-24 alkyl. In other embodiments, both R 6A and R 7A can be an optionally substituted C 2 -24 alkenyl. In some embodiments, R 6A and R 7A can be independently an optionally substituted version of the following: myristoleyl, myristyl, palmitoleyl, palmityl, sapienyl, oleyl, elaidyl, vaccenyl, linoleyl, -linolenyl, arachidonyl, eicosapentaenyl, erucyl, docosahexaenyl, caprylyl, capryl, lauryl, stearyl, arachidyl, behenyl, lignoceryl, and cerotyl.
  • At least one of R 6A and R 7A can be *-(CR 15A R 16A ) p - O-Ci.24 alkyl. In other embodiments, R 6A and R 7A can be both *-(CR 15A R 16A ) p -0-C 1 -2 4 alkyl. In some embodiments, each R 15A and each R 16A can be hydrogen. In other embodiments, at least one of R 15A and R 16A can be an optionally substituted Ci -24 alkyl. In other embodiments, at least one of R 15A and R 16A can be an alkoxy (for example, benzoxy). In some embodiments, p can be 1. In other embodiments, p can be 2. In still other embodiments, p can be 3.
  • At least one of R 6A and R 7A can be *-(CR 17A R 18A ) q -
  • R 6A and R 7A can be both *-(CR 17A R 18A ) q -0-C 2 - 2 4 alkenyl.
  • each R 17A and each R 18A can be hydrogen.
  • at least one of R 17A and R 18A can be an optionally substituted C 1-24 alkyl.
  • q can be 1. In other embodiments, q can be 2. In still other embodiments, q can be 3.
  • the C 1-24 alkyl can be selected from caprylyl, capryl, lauryl, myristyl, palmityl, stearyl, arachidyl, behenyl, lignoceryl, and cerotyl
  • the C 2-2 4 alkenyl can be selected from myristoleyl, palmitoleyl, sapienyl, oleyl, elaidyl, vaccenyl, linoleyl, a-linolenyl, arachidonyl, eicosapentaenyl, erucyl and docosahexaenyl.
  • R 1A is at least one of R 6A and
  • R 7A can be selected from
  • R 6A and R 7A can be selected from absent, hydrogen, an optionally substituted Ci -24 alkyl, an optionally substituted C 2-2 4 alkenyl, an optionally substituted C 2-2 4 alkynyl, an optionally substituted C 3-6 cycloalkyl, an optionally substituted C 3 - 6 cycloalkenyl, an optionally substituted aryl, an optionally substituted heteroaryl and an optionally substituted aryl(Ci -6 alkyl).
  • At least one of R and R can be any combination of R and R.
  • R and R 2UA can be independently selected from hydrogen, an optionally substituted Ci -24 alkyl and an optionally substituted aryl; and R 21A can be selected from hydrogen, an optionally substituted Ci -24 alkyl, an optionally substituted aryl, an optionally substituted -0-C 1 -24 alkyl, an optionally substituted -O-aryl, an optionally substituted -O-heteroaryl, an optionally substituted -O-monocyclic heterocyclyl and In some embodiments, R and R can be hydrogen. In other embodiments, at least one of R iyA and R UA can be an optionally substituted Ci-24 alkyl or an optionally substituted aryl.
  • R 21A can be an optionally substituted Ci-24 alkyl. In other embodiments, R 21A can be an optionally substituted aryl. In still other embodiments, R 21A can be an optionally substituted -0-C 1-24 alkyl, an optionally substituted -O-aryl, an optionally substituted -O-heteroaryl or an optionall substituted -O-monocyclic heterocyclyl. In yet still other embodiments, R 21A can be iments, both R 1 6A and R 7A can be
  • R A and R can be independently selected from hydrogen, an optionally substituted Ci -24 alkyl and an optionally substituted aryl;
  • R 24A can be independently selected from hydrogen, an optionally substituted Ci -24 alkyl, an optionally substituted aryl, an optionally substituted -0-Ci -24 alkyl, an optionally substituted -O-aryl, an optionally substituted -O-heteroaryl, an optionally substituted -O-monocyclic heterocyclyl and L J; and Z can be independently O (oxygen) or S
  • R and R can be hydrogen.
  • at least one of R 22A and R 2 A can be an optionally substituted C 1-24 alkyl or an optionally substituted aryl.
  • R 24A can be an optionally substituted C 1-24 alkyl.
  • R 24A can be an optionally substituted aryl.
  • R 24A can be an optionally substituted -0-Ci_ 2 4 alkyl, an optionally substituted -O-aryl, an optionally substituted -O-heteroaryl or an optionall substituted -O-monocyclic heterocyclyl.
  • R can be In some embodiments, h can be 1. In other embodiments, h can be 2.
  • Z can be O (oxygen). In other embodiments, Z 4A can be or S (sulfur).
  • one or both of R 6A and R 7A can be isopropyloxycarbonyloxymethyl. In some embodiments, one or both of R 6A and R 7A can be pivaloyloxymethyl.
  • R 6A and R 7 can be both a isopropyloxycarbonyloxymethyl group, and form a bis(isopropyloxycarbonyloxymethyl) (bis(POC)) prodrug.
  • R 6A and R 7A can be both a pivaloyloxymethyl group, and form a bis(pivaloyloxymethyl) (bis(POM)) prodrug.
  • 6A and R 7A can be
  • R 26A and R 27A can be independently -C ⁇ N or an optionally substituted substituent selected from C 2- 8 organylcarbonyl, C 2 -8 alkoxycarbonyl and
  • 2-8 organyl can be selected from hydrogen, an optionally substituted C . 24 -alkyl, an optionally substituted C 2-24 alkenyl, an optionally substituted C 2-24 alkynyl, an optionally substituted C3-6 cycloalkyl and an optionally substituted C 3- 6 cycloalkenyl; and r
  • Example of include, but are not limited to the following:
  • R and R can be both an optionally substituted aryl.
  • at least one of R 6A and R 7A can be an optionally substituted aryl.
  • both R 6A and R 7A can be an optionally substituted phenyl or an optionally substituted naphthyl.
  • the substituted aryl can be substituted with 1 , 2, 3 or more than 3 substituents. When more the two substituents are present, the substituents can be the same or different.
  • the substituted phenyl when at least one of R 6A and R 7A is a substituted phenyl, the substituted phenyl can be a para-, ortho- or meta-substituted phenyl.
  • R 6A and R 7A can be both an optionally substituted aryl(Ci_6 alkyl). In some embodiments, at least one of R 6A and R 7A can be an optionally substituted aryl(Ci.6 alkyl). For example, both R 6A and R 7A can be an optionally substituted benzyl. When substituted, the substituted benzyl group can be substituted with 1 , 2, 3 or more than 3 substituents. When more the two substituents are present, the substituents can be the same or different. In some embodiments, the aryl group of the aryl(Ci -6 alkyl) can be a para-, ortho- or meta-substituted phenyl.
  • R 6A and R 7A can be both
  • R and R can be In some embodiments, R can be hydrogen. In other embodiments, R 25AI can be an optionally substituted C 1-24 alkyl. In still other embodiments, R 25A1 can be an optionally substituted aryl. In some embodiments, R 25A1 can be a Ci -6 alkyl, for example, methyl, ethyl, n-propyl, isopropyl, n-butyl, isobutyl, tert-butyl, pentyl (branched and straight-chained) and hexyl (branched and straight-chained). In some embodiments, wl can be 0. In other embodiments, wl can be 1. In some embodiments, R 6A and R 7A can be both a S-acylthioethyl (SATE) group and form a SATE ester prodrug.
  • SATE S-acylthioethyl
  • R 1 6A and R 7A can be both
  • At least one of R and R can be any one of R and R.
  • R can be hydrogen. In other embodiments, R JA/ can be an optionally substituted C 1-24 alkyl. In still other embodiments, R 25A2 can be an optionally substituted aryl, for example, an optionally substituted phenyl. In some embodiments, R 25A2 can be an optionally substituted C 1-6 alkyl. In some embodiments, R 25A2 can be an unsubstituted C 1-6 alkyl. In some embodiments, w2 can be 3. In other embodiments, w2 can be 4. In still other embodiments, w2 can be 5.
  • R and R can b .
  • R and R can be hydrogen.
  • R can be an optionally substituted Ci -24 alkyl.
  • R 29A can be a Ci -4 alkyl, such as methyl, ethyl, n-propyl, iso-propyl, n-butyl, iso-butyl and t-butyl.
  • R 29A can be an optionally substituted aryl, such as an optionally substituted phenyl or an optionally substituted naphthyl.
  • R 6A and R 7A can be both a dioxolenone group and form a dioxolenone prodrug.
  • R 1A can be R can be
  • R 7A can be absent or hydrogen; R I 12 A A, R r > 13 A A and R I4A can be independently absent or hydrogen; and m can be 0 or 1. In some embodiments, m can be 0, and R 7A , R 12A and R I3A can be independently absent or hydrogen. In other embodiments, m can be 1, and R 7A , R 12A , R 13A and R 14A can be independently absent or hydrogen.
  • R 6A can be diphosphate, when Z IA is oxygen, or an alpha-thiodiphosphate, when Z 1A is sulfur.
  • R 6A can be triphosphate, when Z IA is oxygen, or an alpha-thiotriphosphate, when Z 1A is sulfur. [0111] In some embodiments, and R can be taken together to form an
  • R can be an optionally substituted
  • the ring When substituted, the ring can be substituted 1, 2, 3 or 3 or more times. When substituted with multiple substituents, the substituents can be the same or different.
  • the ring when R m is , can be substituted with an optionally substituted aryl group and/or an optionally substituted heteroaryl.
  • An example of a suitable heteroaryl is pyridinyl.
  • R 6A and R 7A can be taken together to form an
  • R 6A and R 7A can form a cyclic l-aryl-l,3-propanyl ester (HepDirect) prodrug moiety.
  • R and R can be taken together to form an
  • cycloSal cyclosaligenyl
  • R 6A and R 7A can be the same. In some embodiments, R 6A and R 7A can be different.
  • Z 1A can be oxygen. In other embodiments, Z 1A can be sulfur.
  • R can be In some embodiments,
  • R can be selected from absent, hydrogen, an optionally substituted C i -24 alkyl, an optionally substituted C 2 -24 alkenyl, an optionally substituted C 2 -24 alkynyl, an optionally substituted C 3- 6 cycloalkyl and an optionally substituted C 3-6 cycloalkenyl; and R 9A can be independently selected from an optionally substituted C 1 -24 alkyl, an optionally substituted C 2 -24 alkenyl, an optionally substituted C 2 -24 alkynyl, an optionally substituted C 3-6 cycloalkyl and an optionally substituted C 3- 6 cycloalkenyl.
  • R 8A can be hydrogen, and R 9A can be an optionally substituted Ci -6 alkyl.
  • suitable Ci -6 alkyls include methyl, ethyl, n-propyl, isopropyl, n-butyl, isobutyl, tert-butyl, pentyl (branched and straight-chained) and hexyl (branched and straight-chained).
  • R 8A can be hydrogen
  • R 9A can be hydrogen
  • R 30 R 31 can be independently selected from hydrogen, an optionally substituted C 1-24 alkyl, an optionally substituted C 2-2 4 alkenyl, an optionally substituted C 2-2 4 alkynyl, an optionally substituted C 3 - 6 cycloalkyl and an optionally substituted C 3 - 6 cycloalkenyl.
  • R 8A can be absent or hydrogen; and R 9A can be an optionally substituted N-linked amino acid or an optionally substituted N-linked amino acid ester derivative. In other embodiments, R 8A can be an optionally substituted aryl; and R 9A can be an optionally substituted N-linked amino acid or an optionally substituted N-linked amino
  • R 9A can be an optionally substituted N-linked amino acid or an optionally substituted N-linked amino acid ester derivative.
  • R 9A can be selected from alanine, asparagine, aspartate, cysteine, glutamate, glutamine, glycine, proline, serine, tyrosine, arginine, histidine, isoleucine, leucine, lysine, methionine, phenylalanine, threonine, tryptophan, valine and ester derivatives thereof.
  • R 9A can have the structure wherein R can be selected from hydrogen, an optionally substituted C].
  • R 34A can be selected from hydrogen, an optionally substituted Ci-6 alkyl, an optionally substituted Ci -6 haloalkyl, an optionally substituted C 3-6 cycloalkyl, an optionally substituted C 6 aryl, an optionally substituted Cio aryl and an optionally substituted aryl(Ci -6 alkyl); and R 35A can be hydrogen or an optionally substituted Ci-4-alkyl; or R 34A and R 33A can be taken together to form an optionally substituted C 3-6 cycloalkyl.
  • R 34A when R 34A is substituted, R 34A can be substituted with one or more substituents selected from N-amido, mercapto, alkylthio, an optionally substituted aryl, hydroxy, an optionally substituted heteroaryl, O-carboxy and amino.
  • substituents selected from N-amido, mercapto, alkylthio, an optionally substituted aryl, hydroxy, an optionally substituted heteroaryl, O-carboxy and amino.
  • R l4A can be hydrogen.
  • R 34A can be methyl.
  • R 33A can be an optionally substituted C 1-6 alkyl. Examples of optionally substituted Ci-6-alkyls include optionally substituted variants of the following: methyl, ethyl, n-propyl, isopropyl, n-butyl, isobutyl, tert-butyl, pentyl (branched and straight-chained) and hexyl (branched and straight-chained).
  • R 33A can be methyl or isopropyl.
  • R 33A can be ethyl or neopentyl. In other embodiments, can be an optionally substituted C 3-6 cycloalkyl. Examples of optionally substituted C 3-6 cycloalkyl include optionally substituted variants of the following: cyclopropyl, cyclobutyl, cyclopentyl, and cyclohexyl. In an embodiment, R 33A can be an optionally substituted cyclohexyl. In still other embodiments, R 33A. can be an optionally substituted aryl, such as phenyl and naphthyl. In yet still other embodiments, R 33 A can be an optionally substituted aryl(Ci-6 alkyl).
  • R 33A can be an optionally substituted benzyl. In some embodiments, R 33A can be an optionally substituted Ci -6 haloalkyl, for example, CF 3 . In some embodiments, R 35A can be hydrogen. In other embodiments, R 33A can be an optionally substituted C 1-4 -alkyl, such as methyl, ethyl, n-propyl, isopropyl, n-butyl, isobutyl and tert-butyl. In an embodiment, R 33A can be methyl. In some embodiments, R 34A and R 35A can be taken together to form an optionally substituted C 3 - 6 cycloalkyl.
  • optionally substituted C 3-6 cycloalkyl include optionally substituted variants of the following: cyclopropyl, cyclobutyl, cyclopentyl, and cyclohexyl.
  • the carbon to which R 34A and R 35A are attached may be a chiral center.
  • the carbon to which R 34A and R 35A are attached may be a (R)- chiral center.
  • the carbon to which R 34A and R 35A are attached may be a (S)-chiral center.
  • R IA when R IA is a compound of Formula (I) can be a phosphoramidate prodrug, such as an aryl phosphoramidate prodrug.
  • R can be R 11 A . In some embodiments,
  • R , 0A and R I ,A can be both an optionally substituted N-linked amino acid or an optionally substituted N-linked amino acid ester derivative.
  • R 10A and R I 1A can be independently selected from alanine, asparagine, aspartate, cysteine, glutamate, glutamine, glycine, proline, serine, tyrosine, arginine, histidine, isoleucine, leucine, lysine, methionine, phenylalanine, threonine, tryptophan, valine and ester derivatives thereof.
  • R I 0A and R I I A can be an optionally substituted version of the following: alanine isopropyl ester, alanine cyclohexyl ester, alanine neopentyl ester, valine isopropyl ester and leucine isopropyl ester.
  • R 10A and R 11A can independently
  • R can be selected from hydrogen, an optionally substitut ptionally substituted C 3-6 cycloalkyl, an optionally substituted aryl, an optionally substituted aryl(Ci -6 alkyl) and an optionally substituted haloalkyl
  • R 37A can be selected from hydrogen, an optionally substituted C i -6 alkyl, an optionally substituted C 1 -6 haloalkyl, an optionally substituted C 3-6 cycloalkyl, an optionally substituted C 6 aryl, an optionally substituted Ci 0 aryl and an optionally substituted aryl(Ci -6 alkyl);
  • R j8A can be hydrogen or an optionally substituted C i -4 -alkyl; or R 37A and R 38A can be taken together to form an optionally substituted C 3-6 cycloalkyl.
  • R 37A When R 37A is substituted, R 37A can be substituted with one or more substituents selected from N-amido, mercapto, alkylthio, an optionally substituted aryl, hydroxy, an optionally substituted heteroaryl, O-carboxy and amino. In some embodiments,
  • R 37A can be hydrogen.
  • R j7A can be methyl.
  • R 36A can be an optionally substituted C i -6 alkyl. Examples of optionally substituted Ci-6-alkyls include optionally substituted variants of the following: methyl, ethyl, n-propyl, isopropyl, n-butyl, isobutyl, tert-butyl, pentyl (branched and straight-chained) and hexyl (branched and straight-chained). In some embodiments, R 36A can be methyl or isopropyl.
  • R can be ethyl or neopentyl.
  • R 36A can be an optionally substituted C 3-6 cycloalkyl. Examples of optionally substituted C 3-6 cycloalkyl include optionally substituted variants of the following: cyclopropyl, cyclobutyl, cyclopentyl, and cyclohexyl.
  • R 36A can be an optionally substituted cyclohexyl.
  • R 36A can be an optionally substituted aryl, such as phenyl and naphthyl.
  • R 36A can be an optionally substituted aryl(Ci-6 alkyl).
  • R 36A can be an optionally substituted benzyl.
  • R 36A can be an optionally substituted C 1-6 haloalkyl, for example, CF 3 .
  • R 38A can be hydrogen. In other embodiments, R 38A can be an optionally substituted C 1-4 -alkyl, such as methyl, ethyl, n-propyl, isopropyl, n-butyl, isobutyl and tert-butyl. In an embodiment, R 38 A can be methyl. In some embodiments, R 37 A and R 38A can be taken together to form an optionally substituted C 3-6 cycloalkyl. Examples of optionally substituted C 3-6 cycloalkyl include optionally substituted variants of the following: cyclopropyl, cyclobutyl, cyclopentyl, and cyclohexyl.
  • the carbon to which R 37A and R 38A are attached may be a chiral center.
  • the carbon to which R 37A and R 38A are attached may be a (R)- chiral center.
  • the carbon to which R 37A and R 38A are attached may be a (S)-chiral center.
  • R 10A and R 11A can be the same. In some embodiments, R 10A and R 11A can be different.
  • Z 3A can be O (oxygen). In other embodiments, Z 3A
  • R IA when R IA is compound of Formula (I) can be a phosphonic diamide prodrug.
  • R can be hydrogen.
  • R can be an optionally substituted acyl.
  • R 39A can be a substituted C1-12 alkyl. In other embodiments, R 39A can be an unsubstituted C 1-12 alkyl. In still other embodiments, R 39A can be an unsubstituted C 2-12 alkyl. In yet still other embodiments, R 39A can be an unsubstituted C 2-6 alkyl.
  • R 1A can be an optionally substituted O-linked amino acid.
  • suitable O-linked amino acids include alanine, asparagine, aspartate, cysteine, glutamate, glutamine, glycine, proline, serine, tyrosine, arginine, histidine, isoleucine, leucine, lysine, methionine, phenylalanine, threonine, tryptophan and valine.
  • suitable amino acids include, but are not limited to, ornithine, hypusine, 2-aminoisobutyric acid, dehydroalanine, gamma-aminobutyric acid, citrulline, beta- alanine, alpha-ethyl-glycine, alpha-propyl-glycine and norleucine.
  • ornithine hypusine
  • 2-aminoisobutyric acid dehydroalanine
  • gamma-aminobutyric acid citrulline
  • beta- alanine alpha-ethyl-glycine
  • alpha-propyl-glycine alpha-propyl-glycine
  • norleucine norleucine
  • O-linked amino acid can have the structure wherein R can be selected from hydrogen, an optionally substituted Ci -6 alkyl, an optionally substituted Ci -6 haloalkyl, an optionally substituted C 3-6 cycloalkyl, an optionally substituted C 6 aryl, an optionally substituted C 10 aryl and an optionally substituted aryl(Ci -6 alkyl); and R 41 A can be hydrogen or an optionally substituted or R 40A and R 41A can be taken together to form an optionally substituted C 3-6 cycloalkyl.
  • R 1A is an optionally substituted O-linked amino acid
  • the oxygen of R 1A 0- of Formula (I) is part of the optionally substituted O-linked amino acid.
  • the oxygen indicated with “*” is the oxygen of R IA 0- of Formula (I).
  • R 40A When R 40A is substituted, R 40A can be substituted with one or more substituents selected from N-amido, mercapto, alkylthio, an optionally substituted aryl, hydroxy, an optionally substituted heteroaryl, O-carboxy and amino. In some embodiments,
  • R 40A can be an unsubstituted Ci -6 -alkyl, such as those described herein.
  • R 40A can be hydrogen.
  • R 40A can be methyl.
  • R 41A can be hydrogen.
  • R 4IA can be an optionally substituted such as methyl, ethyl, n-propyl, isopropyl, n-butyl, isobutyl and tert- butyl.
  • R 41A can be methyl.
  • the carbon to which R 40A and R 4I A are attached may be a chiral center.
  • the carbon to which R 40A and R 41A are attached may be a (R)-chiral center.
  • the carbon to which R 40A and R 41A are attached may be a (S)- chiral center.
  • R 2A can be hydrogen. In other embodiments, R 2A can be halogen, such as fluoro. In still other embodiments, R 2A can be azido. In some embodiments, R 2A can be an optionally substituted Ci -6 alkyl. Examples of suitable C
  • R 2A can be an unsubstituted C 1-6 alkyl. In other embodiments, R 2A can be a substituted C 1-6 alkyl.
  • R 2A can be a halogen substituted C 1-6 alkyl, a hydroxy substituted C 1-6 alkyl (such as, CH 2 OH), an alkoxy substituted C 1-6 alkyl (such as, -C 1-6 alkyl-0-C 1-6 alkyl and CH 2 OCH 3 ), a sulfenyl substituted C 1-6 alkyl (for example, -C 1-6 alkyl-S-C 1-6 alkyl and CH 2 SCH 3 ), an azido substituted C 1-6 alkyl or amino substituted C 1-6 alkyl.
  • R 2A can be a C . 6 haloalkyl.
  • R 2A can be a Ci-6 bromoalkyl Ci-6 chloroalkyl or a C 1-6 fluoroalkyl, such as CH 2 Br, CH 2 C1, CH 2 F, CHF 2 or CHFCH 3 .
  • R 2A can be a Ci -6 azidoalkyl (for example, N 3 CH 2 -).
  • R 2A can be a Ci_6 aminoalkyl (for example, NH 2 CH 2 -).
  • R 2A can be an optionally substituted C 2 _ 6 alkenyl.
  • R 2A can be a substituted C 2 .
  • R 2A can be an unsubstituted C 2-6 alkenyl.
  • R 2A can be ethenyl, propenyl or allenyl.
  • R 2A can be an optionally substituted C 2- 6 alkynyl.
  • R 2A can be a substituted C 2 -6 alkynyl.
  • R 2A can be an unsubstituted C 2- 6 alkynyl. Suitable C 2- 6 alkynyls include ethynyl and propynyl.
  • R 2A can be an optionally substituted C 3-6 cycloalkyl.
  • R 2A can be a substituted C 3- 6 cycloalkyl. In other embodiments, R A can be an unsubstituted C 3-6 cycloalkyl. A non-limiting list of C 3-6 cycloalkyls include cyclopropyl, cyclobutyl, cyclopentyl and cyclohexyl. In some embodiments, R A can be an optionally substituted -0-Ci -6 alkyl. In some embodiments, R 2A can be a substituted -0-C 1 -6 alkyl. In other embodiments, R 2A can be an unsubstituted -O— C 1 -6 alkyl.
  • Suitable 0-Ci -6 alkyl groups include methoxy, ethoxy, n-propoxy, iso-propoxy, n-butoxy, isobutoxy, tert- butoxy, pentoxy (branched and straight-chained) and hexoxy (branched and straight-chained).
  • R 2A can be a substituted -O— C 3 - 6 alkenyl.
  • R 2A can be an unsubstituted -0-C 3-6 alkenyl.
  • R 2A can be an optionally substituted -0-C 3-6 alkynyl.
  • R 2A can be a substituted -0-C 3-6 alkynyl. In other embodiments, R 2A can be an unsubstituted -0-C 3-6 alkynyl. In still other embodiments, R 2A can be cyano.
  • R 3A can be halogen, for example, fluoro.
  • R 3A can be OH.
  • R 3A can be an optionally substituted O-linked amino acid.
  • O-linked amino acids examples include alanine, asparagine, aspartate, cysteine, glutamate, glutamine, glycine, proline, serine, tyrosine, arginine, histidine, isoleucine, leucine, lysine, methionine, phenylalanine, threonine, tryptophan and valine.
  • suitable amino acids include, but are not limited to, ornithine, hypusine, 2-aminoisobutyric acid, dehydroalanine, gamma-aminobutyric acid, citrulline, beta-alanine, alpha-ethyl-glycine, alpha-propyl-glycine and norleucine.
  • the O-linked amino acid can have the structure
  • R 43A can be hydrogen or an optionally substituted Ci-4-alkyl; or R 42A and R 43A can be taken together to form an optionally substituted C 3-6 cycloalkyl.
  • R 42A when R 42A is substituted, R 42A can be substituted with one or more substituents selected from N-amido, mercapto, alkylthio, an optionally substituted aryl, hydroxy, an optionally substituted heteroaryl, O-carboxy and amino.
  • substituents selected from N-amido, mercapto, alkylthio, an optionally substituted aryl, hydroxy, an optionally substituted heteroaryl, O-carboxy and amino.
  • R can be an unsubstituted C ⁇ -alkyl, such as those described herein.
  • R 42A can be hydrogen.
  • R 42A can be methyl.
  • R 43A can be hydrogen.
  • R 43A can be an optionally substituted such as methyl, ethyl, n-propyl, isopropyl, n-butyl, isobutyl and tert- butyl.
  • R 43A can be methyl.
  • the carbon to which R 42A and R 43A are attached may be a chiral center.
  • the carbon to which R 42A and R 4jA are attached may be a (R)-chiral center.
  • the carbon to which R and R are attached may be a (S)- chiral center.
  • R 44A can be a substituted C 1 -12 alkyl.
  • R 44A can be an unsubstituted C 1 -12 alkyl.
  • R 5A can be hydrogen. In other embodiments, R 5A can be halogen, for example, fluoro. In still other embodiments, R can be an optionally substituted C 1 - alkyl. In some embodiments, R 5A can be an unsubstituted Ci -6 alkyl. In some embodiments, R 5A can be a substituted C 1 -6 alkyl. In yet still other embodiments, R 5A can be an optionally substituted C 2-6 alkenyl. In some embodiments, R 5A can be an unsubstituted C 2 -6 alkenyl.
  • R 5A can be a substituted C 2 - 6 alkenyl. In some embodiments, R 5A can be an optionally substituted C 2 -6 alkynyl. In some embodiments, R 5A can be an unsubstituted C 2- 6 alkynyl. In some embodiments, R 5A can be a substituted C 2 -6 alkynyl.
  • R can be hydrogen and R can be halogen. In other embodiments, R 4A and R A can both be halogen.
  • R A can be hydrogen. In some embodiments, R A can be deuterium. In still other embodiments, R can be an unsubstituted C 1-3 alkyl (such as methyl, ethyl, n-propyl and iso-propyl). In yet still other embodiments, R A can be an unsubstituted C 2 -4 alkenyl (for example, ethenyl, propenyl (branched or straight) and butenyl (branched or straight)).
  • R A can be an unsubstituted C 2-3 alkynyl (such as ethynyl and propynyl (branched or straight)). In other embodiments, R A can be an unsubstituted cyano.
  • R aal and R a2 can be hydrogen.
  • R aal can be hydrogen and R aa2 can be deuterium.
  • both R aal and R aa2 can be deuterium.
  • R 2A can be a C 1-6 haloalkyl
  • R 3A can be OH or an optionally substituted acyl
  • R 4A can be a halogen (for example, fluoro or chloro).
  • R 3A and R sA can each be an optionally substituted acyl.
  • R 2A cannot be hydroxy. In some embodiments, when R 4A is hydroxy, amino or fluoro and R 5A is hydrogen or methyl, then R 2A cannot be hydrogen. In some embodiments, R 2A cannot be hydrogen. In some embodiments, R 2A cannot be halogen (for example, fluoro). In some embodiments, R 2A cannot be azido. In some embodiments, R 2A cannot be methoxy. In some embodiments, R 2A cannot be methoxy when B IA is substituted or unsubstituted uracil. In some embodiments, B 1A is a substituted or an unsubstituted cytosine. In other embodiments, B 1A is a substituted or an unsubstituted thymine. In still other embodiments, B 1A cannot be a substituted or an unsubstituted uracil.
  • R cannot be methoxy when Z is R , wherein R is an unsubstituted C 1-6 alkyl or a para- substituted phenyl; and R 9A is an optionally substituted N- linked amino acid or an optionally substituted N-linked amino acid ester derivative.
  • R 2A cannot be methoxy when Z 1A is R 9A .
  • 2A cannot be an alkoxy (for example, when Z I A is In some embodiments,
  • B I A cannot be cytosine when R 2A is an unsubstituted alkenyl or an unsubstituted alkynyl. In some embodiments, B I A cannot be thymine when R 2A is an optionally substituted alkyl. In some embodiments, R 2A cannot be an unsubstituted alkoxy (such as methoxy), an optionally substituted alkenyl (such as allenyl), an unsubstituted alkynyl (such as ethynyl) or a Ci alkyl substituted with a non-halogen substituent.
  • R 2A cannot be an unsubstituted alkoxy (such as methoxy), an optionally substituted alkenyl (such as allenyl), an optionally substituted alkynyl (such as ethynyl) or a Ci -4 alkyl substituted with a non- halogen substituent. In some embodiments, R 2A cannot be an optionally substituted alkynyl (such as ethynyl), CH 3 or CF 3 . In some embodiments, when B 1A is a substituted or unsubstituted cytosine, then R 2A can be azido. In some embodiments R 1A cannot be H.
  • R 1A cannot be H when B 1A is an optionally substituted cytosine or an optionally substituted thymine.
  • R 4A cannot be bromo.
  • a compound of Formula (I), or a pharmaceutically acceptable salt cannot be 2'-C-methylcytidine, ribavirin, P-d-A ⁇ -hydroxycytidine, 2'-F-2'-methylcytidine, 2- thiouridine, 6-aza-uridine, 5-nitrocytidine and/or 2'-amino-2'-deoxycytidine, or a mono-, a di- and/or a tri -phosphate of the foregoing.
  • Various optionally substituted heterocyclic bases can be attached to the pentose ring.
  • one or more of the amine and/or amino groups may be protected with a suitable protecting group.
  • an amino group may be protected by transforming the amine and/or amino group to an amide or a carbamate.
  • an optionally substituted heterocyclic base or an optionally substituted heterocyclic base with one or more protected amino groups can have one of the following structures:
  • R C2 can be hydrogen or NHR 02 , wherein R° 2 can be selected from hydrogen, -
  • R D ⁇ 2 can be selected from hydrogen, deuterium, halogen, an optionally substituted Ci -6 alkyl, an optionally substituted C 2 -6 alkenyl and an optionally substituted C 2-6 alkynyl
  • R F2 can be selected from hydrogen, halogen, an optionally substituted C 1 -6 alkyl, an optionally substituted C kynyl; Y 2 and Y 3
  • 2-6 alkenyl and an optionally substituted C 2- 6 al can be independently N (nitrogen) or CR 12 , wherei ⁇ n R 12 can be selected from hydrogen, halogen, an optionally substituted Ci-6-alkyl, an optionally substituted C 2- 6-alkenyl and an optionally substituted C 2 - 6 -alkynyl;
  • R G2 can be an optionally substituted Ci -6 alkyl;
  • R K2 , R L2 , R M2 , R N2 , R p2 , R° 2 , R R2 , R S2 , R u2 and R v2 can be
  • B 1A can be In still other embodiments, B 1A can be
  • B can
  • B can be In some embodiments,
  • R uz can be NH 2 .
  • B can be .
  • B 1A can be
  • a compound of Formula (I) can have a structure selected from one of the following:
  • B 1A can be an optionally substituted purine base. In other embodiments of this paragraph, B 1A can be an optionally substituted pyrimidine base. In some embodiments of this paragraph, B 1A can be guanine. In other embodiments of this paragraph, B 1A can be thymine. In still other embodiments of this paragraph, B 1A can be cytosine. In yet still other embodiments of this paragraph, B 1A can be uracil. In some embodiments of this paragraph, B 1A can be adenine. In some embodiments of this paragraph, 1 A can be hydrogen. In other embodiments of this paragraph, R 1A can be an optionally substituted acyl.
  • R 1A can be mono-, di- or triphosphate.
  • R IA can be phosphoramidate prodrug, such as an aryl phosphoramidate prodrug.
  • R 1A can be an acyloxyalkyl ester phosphate prodrug.
  • R 1A can be a S-acylthioethyl (SATE) prodrug.
  • R IA can be a phosphonic diamide prodrug.
  • R IA can be a cyclic l-aryl-l,3-propanyl ester (HepDirect) prodrug moiety. In some embodiments of this paragraph, R IA be a cyclosaligenyl (cycloSal) prodrug.
  • the compound can be a compound of Formula (II), or a pharmaceutically acceptable salt thereof, wherein: B 1B can be an optionally substituted heterocyclic base or an optionally substituted heterocyclic base with a protected amino group; , an optionally substituted N-linked amino acid and an optionally substituted N-linked amino acid ester derivative; R can be selected from an optionally substituted C 1-6 alkyl, an optionally substituted C 2 -6 alkenyl, an optionally substituted C 2-6 alkynyl, an optionally substituted -0-C 1-6 alkyl, an optionally substituted -O-C3-6 alkenyl, an optionally substituted -O-C3-6 alkynyl and cyano; R 3B can be selected from hydrogen, halogen, OR 1D , an optionally substituted O-linked amino acid, azido and NR 2D R 3D ; R 1D can be selected from hydrogen, halogen, OR 1D , an optionally substituted O-linked amino acid, azido
  • R u and R JU can be independently hydro gen or an optionally substituted Ci-6 alkyl;
  • R 4B can be selected from hydrogen, halogen, an optionally substituted C 1-6 alkyl, an optionally substituted C 2 _ 6 alkenyl and an optionally substituted C 2 _ 6 alkynyl;
  • R 5B , R 6B , R 8B and R 9B can be independently selected from hydrogen, an optionally substituted Ci_ 24 alkyl and an optionally substituted aryl;
  • R 7B and R I 0B can be independently selected from hydrogen, an optionally substituted C 1-24 alkyl, an optionally substituted aryl, an optionally substituted -O— C 1-24 alkyl, an optionally substituted -O-aryl, an optionally substituted -O-heteroaryl and an optionally substituted -O-monocyclic heterocyclyl
  • R 1B can be O " . In other embodiments, R 1B can be OH. In still other embodiments, R 1 B can be an optionally substituted Ci -6 alkoxy.
  • R I B can be methoxy, ethoxy, n-propoxy, iso-propoxy, n-butoxy, iso-butoxy, tert- butoxy, straight or branched pentoxy or straight or branched hexoxy.
  • R can be O wherein R and
  • R can be independently selected from hydrogen, an optionally substituted Ci -24 alkyl and an optionally substituted aryl; and R 7B can be selected from hydrogen, an optionally substituted Ci-24 alkyl, an optionally substituted aryl, an optionally substituted -0-C 1-24 alkyl, an optionally substituted -O-aryl, an optionally substituted -O-heteroaryl or an optionally substituted -O-monocyclic heterocyclyl.
  • R 5B and R 6B can be hydrogen.
  • at least one of R B and R 6B can be an optionally substituted Ci-24 alkyl or an optionally substituted aryl.
  • R 7B can be an optionally substituted C 1-24 alkyl. In other embodiments, R 7B can be an optionally substituted aryl. In still other embodiments, R 7B can be an optionally substituted -0-C 1-24 alkyl, an optionally substituted -O-aryl, an optionally substituted -O-heteroaryl or an optionally substituted -O- monocyclic heterocyclyl.
  • R 1B can be
  • R and R can be independently selected from hydrogen, an optionally substituted C 1-24 alkyl and an optionally substituted aryl;
  • R I 0B can be independently selected from hydrogen, an optionally substituted C 1-24 alkyl, an optionally substituted aryl, an optionally substituted -0-C 1-24 alkyl, an optionally substituted -O-aryl, an optionally substituted -O-heteroaryl and an optionally substituted -O- monocyclic heterocyclyl; and Z can be independently O (oxygen) or S (sulfur).
  • R 8B and R 9B can be hydrogen. In other embodiments, at least one of R 8B and
  • R 10B can be an optionally substituted Ci -24 alkyl or an optionally substituted aryl.
  • R 10B can be an optionally substituted C 1 -24 alkyl.
  • R 10B can be an optionally substituted aryl.
  • R 10B can be an optionally substituted -O— Ci -24 alkyl, an optionally substituted -O-aryl, an optionally substituted -O- heteroaryl or an optionally substituted -O-monocyclic heterocyclyl.
  • j can be 1. In other embodiments, j can be 2.
  • Z can be O (oxygen). In other embodiments, Z 2B can be or S (sulfur).
  • R 1B can be isopropyloxycarbonyloxymethyloxy, and form a bis(isopropyloxycarbonyloxymethyl) (bis(POC)) prodrug. In some embodiments, R 1B can be pivaloyloxymethyloxy, and form a bis(pivaloyloxymethyl) (bis(POM)) prodrug.
  • R can be .
  • R n B I can be hydrogen.
  • R I 1 B I can be an optionally substituted C] -24 alkyl.
  • R 11B1 can be an optionally substituted aryl.
  • R 11B1 can be a C 1 -6 alkyl, for example, methyl, ethyl, n-propyl, isopropyl, n-butyl, isobutyl, tert-butyl, pentyl (branched and straight-chained) and hexyl (branched and straight-chained).
  • kl can be 0.
  • kl can be 1.
  • R 1B can be a S-acylthioethoxy (SATE) group and form a SATE ester prodrug.
  • R can be .
  • R 1 1 B2 can be hydrogen.
  • R 1 IB2 can be an optionally substituted C 1-24 alkyl.
  • R I 1B2 can be an optionally substituted aryl, for example, an optionally substituted phenyl.
  • R I 1B2 can be an optionally substituted C 1-6 alkyl.
  • R 1 IB2 can be an unsubstituted C 1-6 alkyl.
  • k2 can be 3. In other embodiments, k2 can be 4. In still other embodiments, k2 can be 5.
  • R I B can be an optionally substituted N-linked amino acid or an optionally substituted N-linked amino acid ester derivative.
  • R 1B can be optionally substituted version of the following: alanine, asparagine, aspartate, cysteine, glutamate, glutamine, glycine, proline, serine, tyrosine, arginine, histidine, isoleucine, leucine, lysine, methionine, phenylalanine, threonine, tryptophan, valine and ester derivatives thereof.
  • R can be selected from alanine isopropyl ester, alanine cyclohexyl ester, alanine neopentyl ester, valine isopropyl ester and leucine isopropyl
  • R can have the structure
  • an optionally substituted Ci.6-alkyl can be selected from hydrogen, an optionally substituted Ci.6-alkyl, an optionally substituted C 3-6 cycloalkyl, an optionally substituted aryl, an optionally substituted aryl(Ci -6 alkyl) and an
  • R can be selected from hydrogen, an optionally substituted C 1 -6 alkyl, an optionally substituted C 1 -6 haloalkyl, an optionally substituted C 3-6 cycloalkyl, an optionally substituted C 6 aryl, an optionally substituted Ci 0 aryl and an optionally substituted aryl(Ci -6 alkyl); and R I 4B can be hydrogen or an optionally substituted Ci_4-alkyl; or R 13B and R 14B can be taken together to form an optionally substituted C 3-6 cycloalkyl.
  • R 1JD can be substituted with one or more substituents selected from N-amido, mercapto, alkylthio, an optionally substituted aryl, hydroxy, an optionally substituted heteroaryl, O-carboxy and amino.
  • substituents selected from N-amido, mercapto, alkylthio, an optionally substituted aryl, hydroxy, an optionally substituted heteroaryl, O-carboxy and amino.
  • R can be an unsubstituted C ⁇ -alkyl, such as those described herein.
  • R can be hydrogen. In other embodiments, R can be methyl. In some
  • R can be an optionally substituted Ci -6 alkyl.
  • optionally substituted Ci-6-alkyls include optionally substituted variants of the following: methyl, ethyl, n-propyl, isopropyl, n-butyl, isobutyl, tert-butyl, pentyl (branched and straight-chained) and
  • R can be methyl or isopropyl.
  • R 12B can be ethyl or neopentyl.
  • R 12B can be an optionally substituted C 3- 6 cycloalkyl. Examples of optionally substituted C 3 - 6 cycloalkyl include optionally substituted variants of the following: cyclopropyl, cyclobutyl, cyclopentyl, and cyclohexyl.
  • R I 2B can be an optionally substituted cyclohexyl.
  • R 12B can be an optionally substituted aryl, such as phenyl and naphthyl.
  • R I 2B can be an optionally substituted aryl(C 1-6 alkyl).
  • R 12B can be an optionally substituted benzyl.
  • R 12B can be an optionally substituted C 1-6 haloalkyl, for example, CF 3 .
  • R can be hydrogen.
  • R can be an optionally substituted such as methyl, ethyl, n-propyl, isopropyl, n-butyl, isobutyl and tert-butyl.
  • R 14B can be methyl.
  • R 13B and R 14B can be taken together to form an optionally substituted C3-6 cycloalkyl.
  • optionally substituted C3-6 cycloalkyl include optionally substituted variants of the following: cyclopropyl, cyclobutyl, cyclopentyl, and cyclohexyl.
  • the carbon to which R 13B and R 14B are attached may be a chiral center. In some embodiment, the carbon to which R 13B and R 14B are attached may be a (R)- chiral center. In other embodiments, the carbon to which R 13B and R 14B are attached may be a (S)-chiral center.
  • R can be an optionally substituted C 1-6 alkyl.
  • suitable C 1-6 alkyls include methyl, ethyl, n-propyl, isopropyl, n-butyl, isobutyl, tert-butyl, pentyl (branched and straight-chained) and hexyl (branched and straight-chained).
  • R can be an unsubstituted C i -6 alkyl. In other embodiments, R can be a
  • R can be a halogen substituted Ci -6 alkyl, a hydroxy substituted C i -6 alkyl (such as, CH 2 OH), an alkoxy substituted C 1 -6 alkyl (such as, -C i -6 alkyl- O-Ci-6 alkyl and CH 2 OCH 3 ), a sulfenyl substituted Ci -6 alkyl (for example, -Ci -6 alkyl-S-Ci -6 alkyl and CH 2 SCH 3 ), an azido substituted C i -6 alkyl or amino substituted C i -6 alkyl.
  • R 2B can be a C i -6 haloalkyl.
  • R 2B can be a C i -6 bromoalkyl C i -6 chloroalkyl or a C , -6 fluoroalkyl, such as CH 2 Br, CH 2 C1, CH 2 F, CHF 2 or CHFCH 3 .
  • R can be a Ci -6 azidoalkyl (for example, N 3 CH 2 -).
  • R can be a C 1 -6 aminoalkyl (for example, NH 2 CH 2 -). In some embodiments,
  • R 2B can be a
  • R can be an unsubstituted C 2-6 alkenyl.
  • R 2B can be ethenyl, propenyl or allenyl.
  • R 2B can be an
  • R can be a substituted C 2 -6 alkynyl.
  • R can be an unsubstituted C 2-6 alkynyl.
  • Suitable C 2- 6 alkynyls include ethynyl and propynyl.
  • R 2B can be an optionally substituted C cycloalkyl. In some embodiments, R 2B
  • R 3-6 can be a substituted C 3-6 cycloalkyl.
  • R 2B can be an unsubstituted C 3-6 cycloalkyl.
  • a non- limiting list of C 3- 6 cycloalkyls include cyclopropyl, cyclobutyl, cyclopentyl and cyclohexyl.
  • R can be an optionally substituted -0-C 1-6 alkyl.
  • R 2B can be a substituted -0-Ci -6 alkyl.
  • R 2B can be an unsubstituted -0-C 1-6 alkyl.
  • R 2B can be an optionally substituted -0-C 3-6 alkenyl.
  • R 2B can be a substituted - O-C3-6 alkenyl.
  • R 2B can be an unsubstituted -O-C3-6 alkenyl.
  • R 2B can be an optionally substituted -0-C 3-6 alkynyl.
  • R 2B can be a substituted -0-C 3-6 alkynyl. In other embodiments, R 2B can be an unsubstituted -0-C 3-6 alkynyl. In still other embodiments, R 2B can be cyano. In yet still other embodiments, R 2B can be halogen, such as fluoro.
  • R 4B can be hydrogen. In other embodiments, R 4B can be halogen, for example, fluoro. In still other embodiments, R 4B can be an optionally substituted C 1-6 alkyl. In some embodiments, R 4B can be an unsubstituted C 1-6 alkyl. In some embodiments, R 4B can be a substituted C 1-6 alkyl. In yet still other embodiments, R 4B can be an optionally substituted C 2-6 alkenyl. In some embodiments, R 4B can be an unsubstituted C 2-6 alkenyl.
  • R 4B can be a substituted C 2-6 alkenyl. In some embodiments, R 4B can be an optionally substituted C 2-6 alkynyl. In some embodiments, R 4B can be an unsubstituted C 2- 6 alkynyl. In some embodiments, R 4B can be a substituted C 2-6 alkynyl.
  • R D4 can be selected from hydrogen, an optionally substituted Ci -6 alkyl, an optionally substituted Ci -6 haloalkyl, an optionally substituted C3-6 cycloalkyl, an optionally substituted Ce aryl, an optionally substituted C io aryl and an optionally substituted aryl(Ci -6 alkyl); and R D5 can be hydrogen or an optionally substituted Ci-4-alkyl; or R D4 and R D5 can be taken together to form an
  • R can be halogen, such as fluoro or chloro.
  • R 4B can be hydrogen and R 3B can be halogen.
  • R 3B and R 4B can be both halogen.
  • R 3B and R 4B can be both fluoro.
  • Z 1B can be O (oxygen). In other embodiments, Z 1B can be S (sulfur).
  • Various optionally substituted heterocyclic bases can be attached to the pentose ring.
  • one or more of the amine and/or amino groups may be protected with a suitable protecting group.
  • an amino group may be protected by transforming the amine and/or amino group to an amide or a carbamate.
  • an optionally substituted heterocyclic base or an optionally substituted heterocyclic base with one or more protected amino groups can have one of the following structures:
  • R DB2 can be selected from hydrogen, deuterium, halogen, an optionally substituted C 1-6 alkyl, an optionally substituted C 2 _ 6 alkenyl and an optionally substituted C 2 -6 al
  • R F' B °2" can be selected from hydrogen, halo gen, an optionally substituted C 1-6 alkyl, an optionally substituted C 2-6 alkenyl and an optionally substituted C 2-6 alkynyl;
  • Y 2B and Y 3B can be independently N (nitrogen) or CR TB2 , wherein R IB2 can be selected from hydrogen, halogen, an optionally substituted Ci -6 -alkyl, an optionally substituted C2-6-alkenyl and an optionally substituted C2-6-alkynyl;
  • R GB2 can be an optionally substituted Ci -6 alkyl;
  • R SB2 , R UB2 and R VB2 can be independently selected from Ci -6 alkyl, C 2- 6 alkenyl, C 2- 6 alkynyl, C 3-6 cycloalkyl, C 3-6 cycloalkenyl, C 6- io aryl, heteroaryl, heteroalicyclyl, aryl(Ci -6 alkyl), heteroaryl(Ci -6 alkyl) and heteroalicyclyl(Ci -6 alkyl).
  • the structures shown above can be modified by replacing one or more hydrogens with substituents selected from the list of substituents provided for the definition of "substituted.”
  • B 1D can be .
  • B 1D can be .
  • B can be In still other embodiments, B 1B can be
  • B IB can
  • D B2 can be hydrogen.
  • B IB can be In some embodiments
  • R BB can be N3 ⁇ 4.
  • B IB can be
  • B can be [0161]
  • a compound of Formula (II) can be selected from:
  • B IB can be an optionally substituted purine base. In other embodiments of this paragraph, B 1B can be an optionally substituted pyrimidine base. In some embodiments of this paragraph, B IB can be guanine. In other embodiments of this paragraph, B IB can be thymine. In still other embodiments of this paragraph, B IB can be cytosine. In yet still other embodiments of this paragraph, B IB can be uracil. In some embodiments of this paragraph, B 1B can be adenine. In some embodiments of this paragraph, Z 1B can be oxygen. In some embodiments of this paragraph, Z IB can be sulfur.
  • R 1B can be alkylcarbonyloxyalkoxy.
  • R I B can be alkoxycarbonyloxyalkoxy.
  • R I B can be a Ci -6 alkoxy.
  • the compound can be a compound of Formula (III), or a pharmaceutically acceptable salt thereof, wherein: B can be an optionally substituted heterocyclic base or an optionally substituted heterocyclic base with a protected amino group; R and can be independently selected from O " , OH, an optionally substituted Ci -6
  • R can be selected from an optionally substituted Ci -6 alkyl, an optionally substituted C2-6 alkenyl, an optionally substituted C2-6 alkynyl, an optionally substituted -0-C] -6 alkyl, an optionally substituted -0-C 3- 6 alkenyl, an optionally substituted -0-C 3-6 alkynyl, an optionally substituted C 3-6 cycloalkyl and cyano;
  • R can be selected from hydrogen, halogen, OR 1D , an optionally substituted O-linked amino acid, azido and NR 2D R 3D ;
  • R 1D can be
  • R" u and R JU can be independently hydrogen or an optionally substituted Ci -6 alkyl
  • R 6C can be selected from hydrogen, halogen, an optionally substituted C] -6 alkyl, an optionally substituted C 2- 6 alkenyl and an optionally substituted C 2- 6 alkynyl;
  • R R , R 1 " and R 1J " can be independently selected from hydrogen, an optionally l lC 14C
  • R and R can be independently selected from hydrogen, an optionally substituted Ci-24 alkyl, an optionally substituted aryl, an optionally substituted -0-Ci -2 4 alkyl, an optionally substituted -O-aryl, an optionally
  • R can be independently selected from hydrogen, an optionally substituted C 1-24 alkyl and an optionally substituted aryl;— can be a single bond or a double bond; when is a single bond, each R 7C and each R 8C can be independently hydrogen or halogen; and when
  • each R 7C is absent and each R 8C can be independently hydrogen or halogen;
  • d can be 1 or 2;
  • el can be 0 or 1 ;
  • e2 can be 3, 4 or 5;
  • R c and R D can be independently an optionally substituted C 1-2 4-alkyl and
  • Z I C can be O (oxygen) or S (sulfur).
  • each R and each R can independently hydrogen or halogen.
  • the R and the R groups can be
  • one R can be halogen, one R can be hydrogen
  • both R groups can be hydrogen.
  • one R can be halogen
  • one R can be hydrogen, one R can be halogen and one R can be hydrogen.
  • the carbon adjacent to the phosphorus and the 5 '-carbon can each be independently a (S)-chiral center. In some embodiments, the carbon adjacent to the phosphorus and the 5 '-carbon can each be independently a (R)-chiral center.
  • each R is absent and each R can be independently hydrogen or halogen.
  • both R 8C groups can be hydrogen.
  • one R can be halogen and the other R can be hydrogen.
  • both R groups can be halogen.
  • the double bond has a (Z)-configuration. In some embodiments, the double bond has a (E)- configuration.
  • R and/or R can be O " . In other embodiments, R and/or R can be OH. In some embodiments, R and R can be both OH.
  • R and/or R can
  • R and R can be independently selected from
  • R can be selected from hydrogen, an optionally substituted Ci -2 4 alkyl, an optionally substituted aryl, an optionally substituted -0-Ci -24 alkyl, an optionally substituted -O-aryl, an optionally substituted -O-heteroaryl and an optionally substituted -O-monocyclic heterocyclyl.
  • R and R can be hydrogen. In other embodiments, at least one of R
  • R can be an optionally substituted Ci -2 4 alkyl or an optionally substituted aryl.
  • R can be an optionally substituted C 1-24 alkyl.
  • R can be an optionally substituted aryl.
  • R l ie can be an optionally substituted -0-C] -24 alkyl, an optionally substituted -O-aryl, an optionally substituted -O- heteroaryl or an optionally substituted -O-monocyclic heterocyclyl.
  • R l ie can be an optionally substituted -0-C] -24 alkyl, an optionally substituted -O-aryl, an optionally substituted -O- heteroaryl or an optionally substituted -O-monocyclic heterocyclyl.
  • R 1C and/or R 2C can be wherein R 12C and R 13C can be independently selected from hydrogen, an optionally substituted C 1-24 alkyl and an optionally substituted aryl; R 14C can be independently selected from hydrogen, an optionally substituted C 1-24 alkyl, an optionally substituted aryl, an optionally substituted -0-C 1-24 alkyl, an optionally substituted -O-aryl, an optionally substituted -O-heteroaryl and an optionally substituted - O-monocyclic heterocyclyl; and Z IC can be independently O (oxygen) or S (sulfur). In some embodiments, R 12C and R 13C can be hydrogen.
  • R 12C and R 13C can be an optionally substituted C 1-24 alkyl or an optionally substituted aryl.
  • R 14C can be an optionally substituted C 1-24 alkyl.
  • R 14C can be an optionally substituted aryl. In still other embodiments, R 14C can be an optionally substituted -0-C 1-24 alkyl, an optionally substituted -O-aryl, an optionally substituted -O-heteroaryl or an optionally substituted -O-monocyclic heterocyclyl.
  • d can be 1. In other embodiments, d can be 2.
  • Z can be O (oxygen). In other embodiments, Z 1 C can be or S (sulfur).
  • R 1 c and/or R 20 can be isopropyloxycarbonyloxymethoxy. In some embodiments, R 1 C and/or R 20 can be pivaloyloxymethoxy.
  • R and R can be both In some embodiments, R and R can be both isopropyloxycarbonyloxymethoxy. In other embodiments, R and R can be both pivaloyloxymethoxy. In some embodiments, R and R can be both a isopropyloxycarbonyloxymethoxy group, and form a bis(isopropyloxycarbonyloxymethyl) (bis(POC)) prodrug. In some embodiments, R and R can be both a pivaloyloxymethoxy group, and form a bis(pivaloyloxymethyl) (bis(POM)) prodrug.
  • R 1C and/or 2C can be
  • R " can be hydrogen.
  • R 1 ' ⁇ 1 can be an optionally substituted Ci.24 alkyl.
  • R 15C1 can be an optionally substituted aryl.
  • R 15C1 can be a Ci -6 alkyl, for example, methyl, ethyl, n-propyl, isopropyl, n-butyl, isobutyl, tert-butyl, pentyl (branched and straight-chained) and hexyl (branched and straight-chained).
  • R can be both In some embodiments, el can be 0. In other embodiments, el can be 1. In some embodiments, R and R can be both acylthioethoxy (SATE) group and form a SATE ester prodrug.
  • SATE acylthioethoxy
  • R ic and R 2C can be both
  • At least one of R and R can be
  • R 15C2 can be hydrogen. In other embodiments, R I 5C2 can be an optionally substituted C 1-24 alkyl. In still other embodiments,
  • R can be an optionally substituted aryl, for example, an optionally substituted phenyl. In some embodiments, R can be an optionally substituted C 1-6 alkyl. In some embodiments, can be an unsubstituted Ci -6 alkyl. In some embodiments, e2 can be 3. In other embodiments, e2 can be 4. In still other embodiments, e2 can be 5.
  • R and/or R can be an optionally substituted N- linked amino acid or an optionally substituted N-linked amino acid ester derivative.
  • R and/or R can be optionally substituted version of the following: alanine, asparagine, aspartate, cysteine, glutamate, glutamine, glycine, proline, serine, tyrosine, arginine, histidine, isoleucine, leucine, lysine, methionine, phenylalanine, threonine,
  • R and/or R can be selected from alanine isopropyl ester, alanine cyclohexyl ester, alanine neopentyl ester, valine isopropyl ester and leucine isopropyl ester.
  • R 1C and/or R 2C can be selected from alanine isopropyl ester, alanine cyclohexyl ester, alanine neopentyl ester, valine isopropyl ester and leucine isopropyl ester.
  • R 1C and/or R 2C can be selected from alanine isopropyl ester, alanine cyclohexyl ester, alanine neopentyl ester, valine isopropyl ester and leucine isopropyl ester.
  • R 1C and/or R 2C can be selected from alanine isopropyl ester, alanine
  • R can be selected from hydrogen, an optionally substituted Ci ⁇ -alkyl, an optionally substituted C 3-6 cycloalkyl, an optionally substituted aryl, an optionally substituted aryl(C 1-6 alkyl) and an optionally substituted haloalkyl;
  • R can be selected from hydrogen, an optionally substituted C 1-6 alkyl, an optionally substituted C 1-6 haloalkyl, an optionally substituted C 3-6 cycloalkyl, an optionally substituted C 6 aryl, an optionally substituted C 10 aryl and an optionally substituted aryl(Ci.6
  • R can be hydrogen or an optionally substituted Ci -4 -alkyl; or R and R can be taken together to form an optionally substituted C 3-6 cycloalkyl.
  • R When is substituted, R can be substituted with one or more substituents selected from N-amido, mercapto, alkylthio, an optionally substituted aryl, hydroxy, an optionally substituted heteroaryl, O-carboxy and amino. In some embodiments, R can be an unsubstituted C 1 -6 -alkyl, such as those described herein. In some
  • R can be hydrogen. In other embodiments, R can be methyl. In some
  • R can be an optionally substituted Ci -6 alkyl.
  • optionally substituted Ci -6 -alkyls include optionally substituted variants of the following: methyl, ethyl, n-propyl, isopropyl, n-butyl, isobutyl, tert-butyl, pentyl (branched and straight-chained) and
  • R can be methyl or
  • R can be ethyl or neopentyl.
  • R can be an optionally substituted C 3-6 cycloalkyl.
  • optionally substituted C 3-6 cycloalkyl include optionally substituted variants of the following: cyclopropyl, cyclobutyl, cyclopentyl, and cyclohexyl.
  • R 19C can be an optionally substituted cyclohexyl.
  • R 19C can be an optionally substituted aryl, such as phenyl and naphthyl.
  • R 19C can be an optionally substituted aryl(Ci-6 alkyl).
  • R can be an optionally substituted benzyl.
  • R 19C can be an optionally substituted Ci -6 haloalkyl, for example, CF 3 .
  • R 21C can be hydrogen.
  • R 21C can be an optionally substituted C 1-4 -alkyl, such as methyl, ethyl, n-propyl, isopropyl, n-butyl, isobutyl and tert-butyl.
  • R 21C can be methyl.
  • R 20C and R 21C can be taken together to form an optionally substituted C 3 - 6 cycloalkyl.
  • optionally substituted C 3-6 cycloalkyl include optionally substituted variants of the following: cyclopropyl, cyclobutyl, cyclopentyl, and cyclohexyl.
  • the carbon to which 20C and 21 C are attached may be a chiral center.
  • the carbon to which R 20C and R 1 C are attached may be a (R)- chiral center.
  • the carbon to which R 20C and R 21 C are attached may be a (S)-chiral center.
  • R and R can be the same. In other words, R and R can be the same.
  • R and R can be different.
  • R can be any organic radical
  • n can be 0 or 1.
  • R can be an optionally substituted Ci -6 alkyl.
  • suitable Ci -6 alkyls include methyl, ethyl, n-propyl, isopropyl, n-butyl, isobutyl, tert-butyl, pentyl (branched and straight-chained) and hexyl (branched and straight-chained).
  • R can be an unsubstituted Ci -6 alkyl. In other embodiments, R can be a
  • R can be a halogen substituted Ci -6 alkyl, a hydroxy substituted Ci -6 alkyl (such as, CH 2 OH), an alkoxy substituted C 1 -6 alkyl (such as, -Ci -6 alkyl- O-C1-6 alkyl and CH 2 OCH 3 ), a sulfenyl substituted Ci -6 alkyl (for example, -Ci -6 alkyl-S-Ci-6 alkyl and CH 2 SCH 3 ), an azido substituted C 1-6 alkyl or amino substituted C 1-6 alkyl.
  • R 3C can be a C 1-6 haloalkyl.
  • R 3C can be a C 1-6 bromoalkyl C 1-6 chloroalkyl or a Ci -6 fluoroalkyl, such as CH 2 Br, CH 2 C1, CH 2 F, CHF 2 or CHFCH 3 .
  • R 3C can be a C 1-6 azidoalkyl (for example, N 3 CH 2 -).
  • R 3C can be a Ci-6 aminoalkyl (for example, NH 2 CH 2 -).
  • a Ci-6 aminoalkyl for example, NH 2 CH 2 -
  • R can be an optionally substituted C 2-6 alkenyl.
  • R can be a substituted C 2-6 alkenyl.
  • R 3C can be an unsubstituted C 2-6 alkenyl.
  • R 3C can be ethenyl, propenyl or allenyl.
  • R 3C can be an optionally substituted C 2 _ 6 alkynyl.
  • R 3C can be a substituted C 2 _ 6 alkynyl.
  • R 3C can be an unsubstituted C 2- 6 alkynyl.
  • Suitable C 2-6 alkynyls include ethynyl and propynyl.
  • R can be an optionally substituted C 3-6 cycloalkyl. In some embodiments, R can be a substituted C 3-6 cycloalkyl. In other embodiments, R can be an unsubstituted C 3 - 6 cycloalkyl. A non- limiting list of C 3- 6 cycloalkyls include cyclopropyl, cyclobutyl, cyclopentyl and cyclohexyl. In some embodiments, R can be an optionally substituted -0-C 1 -6 alkyl. In some embodiments, R can be a substituted -0-Ci -6 alkyl.
  • R can be an unsubstituted -0-Ci -6 alkyl.
  • suitable 0-Ci -6 alkyl groups include methoxy, ethoxy, n-propoxy, iso-propoxy, n-butoxy, isobutoxy, tert-butoxy, pentoxy (branched and straight-chained) and hexoxy (branched and straight-chained).
  • R can be a
  • R can be an unsubstituted -0-C 3-6 alkenyl.
  • R can be an unsubstituted -0-C 3-6
  • R can be an optionally substituted -0-C 3-6 alkynyl. In some embodiments, R can be a substituted -0-C 3-6 alkynyl. In other embodiments, R can be an unsubstituted -0-C 3-6 alkynyl. In still other embodiments, R 3C can be cyano.
  • R can be OH.
  • R can be an optionally substituted O-linked amino acid.
  • suitable O-linked amino acids include alanine, asparagine, aspartate, cysteine, glutamate, glutamine, glycine, proline, serine, tyrosine, arginine, histidine, isoleucine, leucine, lysine, methionine, phenylalanine, threonine, tryptophan and valine.
  • suitable amino acids include, but are not limited to, ornithine, hypusine, 2-aminoisobutyric acid, dehydroalanine, gamma-aminobutyric acid, citrulline, beta-alanine, alpha-ethyl-glycine, alpha-propyl-glycine and norleucine.
  • the O-linked amino acid can have the structure
  • R can be selected from hydrogen, an optionally substituted Ci -6 alkyl, an optionally substituted Ci -6 haloalkyl, an optionally substituted C 3-6 cycloalkyl, an optionally substituted C 6 aryl, an optionally substituted Cio aryl and an optionally substituted aryl(Ci -6 alkyl); and R can be hydrogen or an optionally substituted or R and R can be taken together to form an optionally substituted C 3-6 cycloalkyl.
  • R 22C can be an unsubstituted Ci -6 -alkyl, such as those described herein.
  • R 22C can be hydrogen.
  • R 22C can be methyl.
  • R 23 C can be hydrogen.
  • R 23 C can be an optionally substituted Ci-4-alkyl, such as methyl, ethyl, n-propyl, isopropyl, n-butyl, isobutyl and tert- butyl.
  • R 23C can be methyl.
  • R 23C can be methyl.
  • the carbon to which 22C and 23C are attached may be a chiral center.
  • the carbon to which R 22C and R 23C are attached may be a (R)-chiral center.
  • the carbon to which R 22C and R 23C are attached may be a (S)- chiral center.
  • R can be a substituted Ci -12 alkyl.
  • R can be an unsubstituted Ci -12 alkyl.
  • R 6C can be hydrogen. In other embodiments, R 6C can be halogen, for example, fluoro. In still other embodiments, R 6C can be an optionally substituted C 1- alkyl. In some embodiments, R 6C can be an unsubstituted Ci -6 alkyl. In some embodiments, R 6C can be a substituted C 1-6 alkyl. In yet still other embodiments, R 6C can be an optionally substituted C 2- 6 alkenyl. In some embodiments, R 6C can be an unsubstituted C 2- 6 alkenyl.
  • R 6C can be a substituted C 2-6 alkenyl. In some embodiments, R 6C can be an optionally substituted C 2-6 alkynyl. In some embodiments, can be an unsubstituted C 2- 6 alkynyl. In some embodiments, R 6C can be a substituted C 2-6 alkynyl.
  • R can be an optionally substituted O-linked amino acid.
  • R can be azido. In yet still other embodiments, R can be NR R .
  • R can be amino, a mono-substituted amine or a di-substituted amine.
  • R D4 can be selected from hydrogen, an optionally substituted Ci -6 alkyl, an optionally substituted Ci -6 haloalkyl, an optionally substituted C 3 -6 cycloalkyl, an optionally substituted C 6 aryl, an optionally substituted C 10 aryl and an optionally substituted aryl(Ci_6 alkyl); and R D5 can be hydrogen or an optionally substituted Q-4-alkyl; or R D4 and R D5 can be taken together to form an optionally substituted C 3 -6 cycloalkyl.
  • R 6C can be hydrogen and R 5C can be halogen. In other embodiments, R and R can be both halogen. For example, R and R can be both fluoro.
  • Various optionally substituted heterocyclic bases can be attached to the pentose ring.
  • one or more of the amine and/or amino groups may be protected with a suitable protecting group.
  • an amino group may be protected by transforming the amine and/or amino group to an amide or a carbamate.
  • an optionally substituted heterocyclic base or an optionally substituted heterocyclic base with one or more protected amino groups can have one of the following structures:
  • R can be selected from hydrogen, halogen, an optionally substituted Ci -6 alkyl, an optionally substituted C 2- 6 alkenyl and an optionally substituted C 2- 6 alkynyl;
  • R EC2 can
  • R SC2 , R U u C ⁇ 2 and R V v C"2 z can be independently selected from Ci -6 alkyl, C 2-6 alkenyl, C 2- 6 alkynyl, C 3-6 cycloalkyl, C 3- 6 cycloalkenyl, C 6- io aryl, heteroaryl, heteroalicyclyl, aryl(Ci -6 alkyl), heteroaryl(Ci -6 alkyl) and heteroalicyclyl(Ci -6 alkyl).
  • the structures shown above can be modified by replacing one or more hydrogens with substituents selected from the list of substituents provided for the definition of "substituted.”
  • B can be In other
  • B I C can be In still other embodiments, B 1C can be
  • B 11" can
  • B can be hydrogen. In other embodiments, B In some
  • R BL can be NH 2 .
  • B can be
  • the compound of Formula (III) can have one of the
  • B can be an optionally substituted purine base. In other embodiments of this paragraph, B can be an optionally substituted pyrimidine base. In some embodiments of this paragraph, B can be guanine. In other embodiments of this paragraph, B can be an optionally substituted purine base. In other embodiments of this paragraph, B can be an optionally substituted pyrimidine base. In some embodiments of this paragraph, B can be guanine. In other embodiments of this paragraph,
  • B can be thymine. In still other embodiments of this paragraph, B can be cytosine. In yet still other embodiments of this paragraph, B can be uracil. In some embodiments of this paragraph, B can be adenine. In some embodiments of this paragraph, R and R " can each be an optionally substituted C alkyl. In other embodiments of this paragraph, R 1A can be an optionally substituted acyl. In still other embodiments of this paragraph, R and R can form a mono-, di- or tri-phosphate. In yet other embodiments of
  • R and R can each be an alkylcarbonyloxyalkoxy.
  • R 4C can be OH.
  • R 5C can be F or CI, and R 6C can be hydrogen.
  • suitable compounds of Formula (I) include, but limited to the following:
  • Examples of a compound of Formula (II) include, but are not limited to, the following:
  • Compounds disclosed herein for example compounds of Formulae (I), (II) and (III), and pharmaceutically acceptable salts of the foregoing, can be administered in various ways.
  • suitable techniques for administration include, but not limited to, oral, rectal, topical, aerosol, injection and parenteral delivery, including intramuscular, subcutaneous, intravenous, intramedullary injections, intrathecal, direct intraventricular, intraperitoneal, intranasal and intraocular injections.
  • a compound described herein such as a compound of Formula (I), a compound of Formula (II) and/or a compound of Formula (III), and pharmaceutically acceptable salts of the foregoing
  • a compound described herein can be administered intranasally.
  • a compound described herein such as a compound of Formula (I), a compound of Formula (II) and/or a compound of Formula (III), and pharmaceutically acceptable salts of the foregoing
  • compositions may, if desired, be presented in a pack or dispenser device which may contain one or more unit dosage forms containing the active ingredient.
  • the pack may for example comprise metal or plastic foil, such as a blister pack.
  • the pack or dispenser device may be accompanied by instructions for administration.
  • the pack or dispenser may also be accompanied with a notice associated with the container in form prescribed by a governmental agency regulating the manufacture, use, or sale of pharmaceuticals, which notice is reflective of approval by the agency of the form of the drug for human or veterinary administration. Such notice, for example, may be the labeling approved by the U.S. Food and Drug Administration for prescription drugs, or the approved product insert.
  • Compositions that can include a compound described herein formulated in a compatible pharmaceutical carrier may also be prepared, placed in an appropriate container, and labeled for treatment of an indicated condition.
  • compounds of Formula (I) can be prepared from a nucleoside, for example, a nucleoside of Formula (A).
  • a , R 3 , R 4a , R 5 , and B l a can be the same as R A , R 3A , R 4A , R 5A , and B 1A as described herein for Formula (I), and PG 1 is a suitable protecting group.
  • the 5 '-position of the nucleoside can be oxidized to an aldehyde using methods known to those skilled in the art.
  • Suitable oxidation conditions include, but are not limited to, Moffatt oxidation, Swern oxidation and Corey-Kim oxidation; and suitable oxidizing agents include, but are not limited to, Dess-Martin periodinane, IBX (2- iodoxybenzoic acid), TPAP/NMO (tetrapropylammonium perruthenate/N-methylmorpholine N-oxide), Swern oxidation reagent, PCC (pyridinium chlorochromate), PDC (pyridinium dichromate), sodium periodate, Collin's reagent, ceric ammonium nitrate CAN, Na 2 Cr 2 07 in water, Ag 2 C0 3 on celite, hot HN0 3 in aqueous glyme, 0 2 -pyridine CuCl, Pb(OAc)4-pyridine and benzoyl peroxide-NiBr 2 .
  • suitable oxidizing agents include, but are not limited to, Dess-Martin period
  • a hydroxymethyl group can be added to the 4'-position of the pentose ring along with the reduction of the aldehyde to an alcohol.
  • the hydroxymethyl group can be added via a condensation reaction using formaldehyde and a base, such as sodium hydroxide.
  • reduction of the intermediate compound with a 4 '-hydroxymethyl group can be conducted using a reducing reagent.
  • suitable reducing agents include, but are not limited to, NaBH 4 and L1AIH 4 .
  • the oxygen attached to the 5 '-carbon of Formula (B) can be protected, and the hydroxymethyl group at the 4'-position can be oxidized to an aldehyde using a suitable oxidizing agent(s) to form a compound of Formula (C).
  • suitable oxidizing agent(s) are described herein.
  • An optionally substituted C 2- 6 alkenyl or an optionally substituted C 2-6 alkynyl can be formed at the 4'-position using methods known to those skilled in the art, for example, Wittig reagent and n-BuLi, Wittig-type reactions, Peterson olefination reaction, and Corey Fuchs reaction.
  • An optionally substituted C 1 -6 alkyl can be obtained by hydrogenating the unsaturated group attached to the 4 '-position, for example, using hydrogen over palladium on carbon.
  • a compound of Formula (B) can be transformed to a haloalkyl using a suitable agent(s), for example, to an iodide using imidazole, triphenylphosphine and iodine; to a fluoro using diethylaminosulfur trifluoride (DAST); or to a chloro using triphenylphosphine and carbontetrachloride in dichloroethylene (DCE).
  • a suitable agent(s) for example, to an iodide using imidazole, triphenylphosphine and iodine; to a fluoro using diethylaminosulfur trifluoride (DAST); or to a chloro using triphenylphosphine and carbontetrachloride in dichloroethylene (DCE).
  • DAST diethylaminosulfur trifluoride
  • DCE dichloroethylene
  • An iodoalkyl can be transformed to an unsubstitute
  • a compound of Formula (C) can be reacted with hydroxylamine to form an oxime.
  • the oxime can be transformed to a cyano group using methods known to those skilled in the art, for example, using methanesulfonyl chloride.
  • compounds of Formula (I), where is an optionally substituted -0-C 1-6 alkyl, an optionally substituted -0-C 3-6 alkenyl or an optionally substituted -0-C 3- 6 alkynyl can be prepared from a nucleoside, for example, a nucleoside of Formula (A).
  • R a , R 2a , R 3a , R 4 , R 5a and B l a can be the same as A , R 2A , R 3A , R 4A , R 5A and B 1A as described herein for Formula (I), and PG 2 can be a suitable protecting group.
  • the nucleoside can undergo elimination and form an olefin having the general formula of Formula (D).
  • a compound of Formula (D) can be treated with an iodinating reagent in the presence of lead carbonate and an alkoxy source to form a compound of Formula (E).
  • a compound of Formula (E) can then be transformed to a compound of Formula (I) through displacement of the iodide with an oxygen nucleophile.
  • R a , R 3a , R 4a , R 5a and B la can be the same as R A , R 3A , R 4A , R 5A and B 1A as described herein for Formula (I), PG 3 can be a suitable protecting group and LG 1 can be a suitable leaving group.
  • a suitable leaving group such as a triflate
  • the leaving group can be replaced with an azido or halo group using a metal azide reagent or metal halide, respectively.
  • An example of a suitable metal azide is sodium azide.
  • An example of a suitable metal halide is lithium chloride.
  • a C 1-6 azidoalkyl at the 4'-position can be reduced to a C 1-6 aminoalkyl.
  • Various reduction agents/conditions known to those skilled in the art can be utilized.
  • the azido group can be reduced to an amino group via hydrogenation (for example, H 2 -Pd/C or HC0 2 NH 4 -Pd/C), Staudinger Reaction, NaBH 4 /CoCl 2 '6 H 2 0, Fe/NH 4 C1 or Z1VNH 4 CI.
  • hydrogenation for example, H 2 -Pd/C or HC0 2 NH 4 -Pd/C
  • Staudinger Reaction NaBH 4 /CoCl 2 '6 H 2 0, Fe/NH 4 C1 or Z1VNH 4 CI.
  • any leaving groups can be cleaved under suitable conditions, such as hydrolysis.
  • Further phosphorus containing groups can be added using methods known to those skilled in the art, for example using a pyrophosphate.
  • an alkoxide can be generated from a compound of Formula (G) using an organometallic reagent, such as a Grignard reagent.
  • the alkoxide can be coupled to the phosphorus containing precursor.
  • Suitable Grignard reagents are known to those skilled in the art and include, but are not limited to, alkylmagnesium chlorides and alkylmagnesium bromides.
  • an appropriate base can be used. Examples of suitable bases include, but are not limited to, an amine base, such as an alkylamine (including mono-, di- and tri-alkylamines (e.g., triethylamine)), optionally substituted pyridines (e.g.
  • a phosphorus containing precursor can be added to the nucleoside and form a phosphite.
  • the phosphite can be oxidized to a phosphate using conditions known to those skilled in the art. Suitable conditions include, but are not limited to, meta-chloroperoxybenzoic acid (MCPBA) and iodine as the oxidizing agent and water as the oxygen donor.
  • MCPBA meta-chloroperoxybenzoic acid
  • iodine as the oxidizing agent and water as the oxygen donor.
  • the sulfur can be added in various manners known to those skilled in the art.
  • the sulfur can be part of the phosphorus containing precursor, for example,
  • the sulfur can be added using a sulfurization reagent.
  • Suitable sulfurization agents are known to those skilled in the art, and include, but are not limited to, elemental sulfur, Lawesson's reagent, cyclooctasulfur, 3H-1,2- Benzodithiole-3 -one- 1,1 -dioxide (Beaucage's reagent), 3-((N,N- dimethylaminomethylidene)amino)-3H-l ,2,4-dithiazole-5-thione (DDTT) and bis(3- triethoxysilyl)propyl-tetrasulfide (TEST).
  • Suitable phosphorus containing precursors can be commercially obtained or prepared by synthetic methods known to those skilled in the art. Examples of general structures of phosphorus containing precursors are shown in Schemes 4 and 5.
  • R lb , R 2b , R 3b , R 4b and B lb can be the same as R IB , R 2B , R 3B , R 4B and B IB as described herein for Formula (II), each L 1 can be a halogen, a sulfonate ester or an amine (mono- or di-substituted), and X can be oxygen or sulfur.
  • a compound having a hydroxy group attached to the 3 '-carbon and a hydroxy group attached to the 5 '-carbon can be reacted with a compound having the formula, (R l )P(L' )2, in the presence of a base, to produce a phosphite compound.
  • Suitable bases are known to those skilled in the art and described herein.
  • the phosphorus can then be oxidized to phosphorus(V) using a suitable oxidizing agent, to produce a compound where X is O (oxygen).
  • the phosphite compound can be reacted with a sulfurization reagent to produce a compound where X is S (sulfur).
  • Suitable oxidizing and sulfurization agents are known to those skilled in the art.
  • the oxidation can be carried out using iodine as the oxidizing agent and water as the oxygen donor. Suitable sulfurization agents are described herein.
  • the oxygen attached to the 5 '-carbon of the compound of Formula (H) can be oxidized to a ketone using methods and reagents known to those skilled in the art.
  • an oxidizing agent such as Dess-Martin periodinane
  • a phosphorus-containing reagent can then be added to a compound of Formula (J) in the presence of a strong base (e.g., sodium hydride).
  • the double bond can be hydrogenated, for example using hydrogen gas or Pd/C, to a single bond.
  • Additional phosphates can be added via phosphorylation to form a di- or tri-phosphate using suitable reagents, such as a pyrophosphate (e.g., tetrabutylammonium pyrophosphate).
  • An acyl group can be added to the 5'-position and/or the 3'-position of a compound of Formula (I) or (III) using methods known to those skilled in the art.
  • One suitable method is using an anhydride in pyridine.
  • any hydroxy groups attached to the pentose ring, and any -NH and/or NH 2 groups present on the B la , B l and B lc can be protected with one or more suitable protecting groups. Suitable protecting groups are described herein. For example, when 3a and/or R 4c is a hydroxy group, R 3a and/or R 4c can be protected with a triarylmethyl group or a silyl group. Likewise, any -NH and/or NH 2 groups present on the B la , B lb and B lc can be protected, such as with a triarylmethyl and a silyl group(s).
  • triarylmethyl groups include but are not limited to, trityl, monomethoxytrityl (MMTr), 4,4'-dimethoxytrityl (DMTr), 4,4',4"- trimethoxytrityl (TMTr),.
  • silyl groups include, but are not limited to, trimethylsilyl (TMS), tert-butyldimethylsilyl (TBDMS), triisopropylsilyl (TIPS), tert-butyldiphenylsilyl (TBDPS), tri-zso-propylsilyloxymethyl and [2-(trimethylsilyl)ethoxy]methyl.
  • R 3a and R 4a and/or R 4c and R 5c can be protected by a single achiral or chiral protecting group, for example, by forming an orthoester, a cyclic acetal or a cyclic ketal.
  • Suitable orthoesters include methoxymethylene acetal, ethoxymethylene acetal, 2-oxacyclopentylidene orthoester, dimethoxymethylene orthoester, 1-methoxyethylidene orthoester, 1 -ethoxyethylidene orthoester, methylidene orthoester, phthalide orthoester 1 ,2-dimethoxyethylidene orthoester, and alpha- methoxybenzylidene orthoester;
  • suitable cyclic acetals include methylene acetal, ethylidene acetal, t-butylmethylidene acetal, 3-(benzyloxy)propyl acetal, benzylidene acetal, 3,4- dimethoxybenzylidene acetal and p-acetoxybenzylidene acetal; and suitable cyclic ketals include 1-t-butylethylidene ketal, 1-pheny
  • any protecting group(s) can be removed by methods known in the art, for example, with an acid (e.g., a mineral or an organic acid), a base or a fluoride source.
  • an acid e.g., a mineral or an organic acid
  • compositions that can include an effective amount of one or more compounds described herein (e.g., a compound of Formula (I), a compound of Formula (II) and/or a compound of Formula (III), or a pharmaceutically acceptable salt of the foregoing) and a pharmaceutically acceptable carrier, diluent, excipient or combination thereof.
  • a pharmaceutically acceptable carrier e.g., a compound of Formula (I), a compound of Formula (II) and/or a compound of Formula (III), or a pharmaceutically acceptable salt of the foregoing
  • compositions refers to a mixture of one or more compounds disclosed herein with other chemical components, such as diluents or carriers.
  • the pharmaceutical composition facilitates administration of the compound to an organism.
  • Pharmaceutical compositions can also be obtained by reacting compounds with inorganic or organic acids such as hydrochloric acid, hydrobromic acid, sulfuric acid, nitric acid, phosphoric acid, methanesulfonic acid, ethanesulfonic acid, p-toluenesulfonic acid, and salicylic acid.
  • Pharmaceutical compositions will generally be tailored to the specific intended route of administration.
  • physiologically acceptable defines a carrier, diluent or excipient that does not abrogate the biological activity and properties of the compound.
  • a “carrier” refers to a compound that facilitates the incorporation of a compound into cells or tissues.
  • DMSO dimethyl sulfoxide
  • DMSO dimethyl sulfoxide
  • a "diluent” refers to an ingredient in a pharmaceutical composition that lacks pharmacological activity but may be pharmaceutically necessary or desirable.
  • a diluent may be used to increase the bulk of a potent drug whose mass is too small for manufacture and/or administration. It may also be a liquid for the dissolution of a drug to be administered by injection, ingestion or inhalation.
  • a common form of diluent in the art is a buffered aqueous solution such as, without limitation, phosphate buffered saline that mimics the composition of human blood.
  • an “excipient” refers to an inert substance that is added to a pharmaceutical composition to provide, without limitation, bulk, consistency, stability, binding ability, lubrication, disintegrating ability etc., to the composition.
  • a “diluent” is a type of excipient.
  • compositions described herein can be administered to a human patient per se, or in pharmaceutical compositions where they are mixed with other active ingredients, as in combination therapy, or carriers, diluents, excipients or combinations thereof. Proper formulation is dependent upon the route of administration chosen. Techniques for formulation and administration of the compounds described herein are known to those skilled in the art.
  • compositions disclosed herein may be manufactured in a manner that is itself known, e.g. , by means of conventional mixing, dissolving, granulating, dragee-making, levigating, emulsifying, encapsulating, entrapping or tableting processes. Additionally, the active ingredients are contained in an amount effective to achieve its intended purpose. Many of the compounds used in the pharmaceutical combinations disclosed herein may be provided as salts with pharmaceutically compatible counterions.
  • the intermediate was dissolved in anhydrous DCM (100 mL) and sym-collidine (17.9 g, 149.2 mmol), AgN0 3 (25 g, 149.2 mmol) and MMTrCl (45 g, 149.2 mmol) were added. The mixture was stirred at R.T. for 16 hours. The mixture was quenched with water, and the organic layer was separated and concentrated. The residue purified on a silica gel column (30% PE in EA) to give the crude product. The crude product was dissolved in 1M TBAF (50 mL) in THF. The mixture was stirred at R.T. for 2 hours. The solvent was removed, and the residue was purified on a silica gel column (50% PE in EA) to give Pl-2 as a white solid (21.4 g, 66% for three steps).
  • the dry nucleoside (0.05 mmol) was dissolved in a mixture of PO(OMe)3 (0.7 mL) and pyridine (0.3 mL). The mixture was evaporated in vacuum for 15 mins at bath temperature (42°C), than cooled down to R.T. N-Methylimidazole (0.009 mL, 0.1 1 mmol) was added followed by POCI 3 (9ul, 0.11 mmol), and the mixture was kept at R.T. for 40 mins. The reaction was controlled by LCMS and monitored by the appearance of corresponding nucleoside 5' -monophosphate.
  • tetrabutylammonium salt of pyrophosphate 150 mg was added, followed by DMF (0.5 mL) to get a homogeneous solution. After 1.5 hours at ambient temperature, the reaction was diluted with water (10 mL) and loaded on a column HiLoad 16/10 with Q Sepharose High Performance. Separation was done in a linear gradient of NaCl from 0 to IN in 50 mM TRIS-buffer (pH7.5). Triphosphate was eluted at 75-80%B. Corresponding fractions were concentrated. Desalting was achieved by RP HPLC on Synergy 4 micron Hydro-RP column (Phenominex).
  • the residue was purified by pre-HPLC (MeCN and 0.1% HCOOH in water) to give the pure product as a white foam (2.4 g, 34 %).
  • the product was dissolved in dry pyridine (20 mL) and BzCl (723 mg, 5.2 mmol) was added dropwise at 0°C. The mixture was stirred at 0°C for 1 hour. The solution was quenched with NaHC0 3 solution, and extracted with EtOAc. The organic layer was dried over Na 2 S0 4 and concentrated.
  • the residue was purified by silica gel column chromatography using petroleum ethenethyl acetate to afford P28-4 as a white solid (2.1 g, 77.1%).
  • the reaction mixture was stirred at 0°C for 90 mins.
  • the mixture was diluted with CH 2 CI 2 (60 mL) and washed with saturated aq. NaHC0 3 (2 x 10 mL) and brine.
  • the combined aqueous layers were back extracted with CH 2 CI 2 (-20 mL).
  • the combined organic extract was dried (Na 2 S0 4 ) and evaporated.
  • the residue purified on silica (25 g column) with CH 2 C1 2 /i-PrOH solvent system (2-10% gradient). Yield: 140 mg (27%).
  • 1,2,4-Triazole (42 mg, 0.6 mmol) was suspended of dry CH 3 CN (1 mL). Triethylamine was added (0.088 mL, 0.63 mmol), and the mixture was vortexed to obtain a clear solution. After addition of POCl 3 (0.01 mL, 0.1 mmol), the mixture was vortexed and left for 20 min. The mixture was then centrifugated. The supernatant was added to the protected nucleoside (0.05 mmol), and the mixture was kept at ambient temperature for 1 hour. Tris(tetrabutylammonium) hydrogen pyrophosphate (180 mg, 0.2 mmol) was added, and the mixture was kept for 2 hours at R.T.
  • the starting nucleoside (15 mg, 0.05 mmol) was dissolved in dry trimethylphosphate (3 mL). The solution was cooled to 4°C. POCl 3 (0.013 mL, 0.125 mmol) was added, followed by pyridine (0.01 mL, 0.125 mmol). In 1 hour, tributylamine (0.035mL, 0.125 mmol) was added at R.T. followed by tributylammonium pyrophosphate (156 mg, 0.34 mmol). Dry DMF (about 0.100 mL) was added to solubilize pyrophosphate. In 2 hours, the reaction was quenched with TEAB-buffer.
  • the intermediate was dissolved in anhydrous DMF (300 mL), and K 2 C0 3 (80.52g, 583.2 mmol) was added followed by PMBCl (31.7 g, 109.2 mmol). The mixture was stirred at R.T. overnight. The reaction was diluted with EA and washed with brine. The organic phase was dried over Na 2 S0 4 and concentrated to give crude 5'-0-DMTr-N3-PMB FdU (98.8 g) as a light yellow solid. The solid was dissolved in DMF (300 mL), and NaH (10.42 g, 260.5 mmol) was added followed by BnBr (73.8 g, 434.2 mmol). The reaction was stirred at R.T.
  • the crude ether was dissolved in anhydrous DCM (300 mL), and silver nitrate (66.03 g, 388.4 mmol, 2.0 eq) and collidine (235 mL, 1.94 mol, 10 eq) were added.
  • the mixture was stirred at R.T., and MMTrCl (239.3 g, 776.8 mmol, 4 eq) was added.
  • the mixture was filtered through Celite and filtrate was diluted with MTBE.
  • the solution was washed successively with 1M citric acid, diluted brine and 5% sodium bicarbonate.
  • the organic solution was dried over sodium sulfate and concentrated under vacuum to give the fully protected intermediate as a yellow foam.
  • reaction mixture was stirred at 0°C for 90 mins., and then diluted with CH 2 CI 2 (30 mL) and washed with saturated aq. NaHC0 3 and brine. The combined aqueous layers were back extracted with CH 2 CI 2 . The combined organic extract was dried (Na 2 S0 4 ), evaporated, and the residue purified on silica (10 g column) with CH 2 CI 2 /i-PrOH solvent system (3-10% gradient). The obtained mixture of products were treated for 30 mins at 35°C with 80% aq. HCOOH, and then evaporated and coevaporated with toluene.
  • Compound 47-2 was prepared from 46-1 (274 mg, 0.46 mmol) and propyonic anhydride (0.12 mL, 2 equiv.) in pyridine (5 mL) in the same manner as described for 46-2 (260 mg, 80%).
  • Compound 48-2 was prepared from 46-1 (150 mg, 0.27 mmol) and valeric anhydride (0.11 mL, 2 equiv.) in pyridine (3 mL) in the same manner as described for 46-2 (150 mg, 73%).
  • the solid material was filtered off, and the filtrate was purified on silica (25 g column) with a heaxanes/EtOAc solvent system (30-100%) gradient) to yield 49-2 (0.57 g, 32%), 50-2 (0.18 g, 12%), and 51-2 (0.2 g, 13%).

Landscapes

  • Chemical & Material Sciences (AREA)
  • Organic Chemistry (AREA)
  • Health & Medical Sciences (AREA)
  • Life Sciences & Earth Sciences (AREA)
  • General Health & Medical Sciences (AREA)
  • Molecular Biology (AREA)
  • Biochemistry (AREA)
  • Engineering & Computer Science (AREA)
  • Genetics & Genomics (AREA)
  • Biotechnology (AREA)
  • Virology (AREA)
  • Oncology (AREA)
  • Nuclear Medicine, Radiotherapy & Molecular Imaging (AREA)
  • Animal Behavior & Ethology (AREA)
  • Communicable Diseases (AREA)
  • Public Health (AREA)
  • Veterinary Medicine (AREA)
  • Chemical Kinetics & Catalysis (AREA)
  • Pharmacology & Pharmacy (AREA)
  • Medicinal Chemistry (AREA)
  • General Chemical & Material Sciences (AREA)
  • Pharmaceuticals Containing Other Organic And Inorganic Compounds (AREA)
  • Saccharide Compounds (AREA)
  • Organic Low-Molecular-Weight Compounds And Preparation Thereof (AREA)
  • Heterocyclic Carbon Compounds Containing A Hetero Ring Having Nitrogen And Oxygen As The Only Ring Hetero Atoms (AREA)

Abstract

Disclosed herein are nucleosides, nucleotides and analogs thereof, pharmaceutical compositions that include one or more of nucleosides, nucleotides and analogs thereof, and methods of synthesizing the same. Also disclosed herein are methods of ameliorating and/or treating a disease and/or a condition, including an infection from a norovirus, with a nucleoside, a nucleotide and an analog thereof.

Description

SUBSTITUTED NUCLEOSIDES, NUCLEOTIDES AND ANALOGS THEREOF
INCORPORATION BY REFERENCE TO ANY PRIORITY APPLICATIONS
[0001] Any and all applications for which a foreign or domestic priority claim is identified, for example, in the Application Data Sheet or Request as filed with the present application, are hereby incorporated by reference under 37 CFR 1.57, and Rules 4.18 and 20.6.
SEQUENCE LISTING
[0002] The present application is being filed along with a Sequence Listing in electronic format. The Sequence Listing is provided as a file entitled ALIOS066.TXT, created June 23, 2014, which is 4 kb in size. The information in the electronic format of the Sequence Listing is incorporated herein by reference in its entirety.
BACKGROUND
Field
[0003] The present application relates to the fields of chemistry, biochemistry and medicine. More particularly, disclosed herein are nucleoside, nucleotides and analogs thereof, pharmaceutical compositions that include one or more nucleosides, nucleotides and analogs thereof, and methods of synthesizing the same. Also disclosed herein are methods of ameliorating and/or treating a norovirus infection with one or more nucleosides, nucleotides and analogs thereof.
Description
[0004] Nucleoside analogs are a class of compounds that have been shown to exert antiviral activity both in vitro and in vivo, and thus, have been the subject of widespread research for the treatment of viral infections. Nucleoside analogs are usually therapeutically inactive compounds that are converted by host or viral enzymes to their respective active anti-metabolites, which, in turn, may inhibit polymerases involved in viral or cell proliferation. The activation occurs by a variety of mechanisms, such as the addition of one or more phosphate groups and, or in combination with, other metabolic processes. SUMMARY
[0005] Some embodiments disclosed herein relate to methods of ameliorating, treating and/or preventing a noro virus infection that can include administering to a subject an effective amount of one or more compounds of Formula (I), Formula (II) and/or Formula (III), or a pharmaceutically acceptable salt of the foregoing, or a pharmaceutical composition that includes one or more compounds of Formula (I), Formula (II) and/or Formula (III), or a pharmaceutically acceptable salt of the foregoing. Other embodiments described herein relate to using one or more compounds of Formula (I), Formula (II) and/or Formula (III), or a pharmaceutically acceptable salt of the foregoing, in the manufacture of a medicament for ameliorating, treating and/or preventing a norovirus infection. Still other embodiments described herein relate to compounds of Formula (I), Formula (II) and/or Formula (III), or a pharmaceutically acceptable salt of the foregoing, that can be used for ameliorating, treating and/or preventing a norovirus infection. Yet still other embodiments disclosed herein relate to methods of ameliorating, treating and/or preventing a norovirus infection that can include contacting a cell infected with the norovirus infection with an effective amount of one or more compounds of Formula (I), Formula (II) and/or Formula (III), or a pharmaceutically acceptable salt of the foregoing, or a pharmaceutical composition that includes one or more compounds of Formula (I), Formula (II) and/or Formula (III), or a pharmaceutically acceptable salt of the foregoing. Some embodiments disclosed herein relate to methods of inhibiting the replication of a norovirus that can include contacting a cell infection with the norovirus with an effective amount of one or more compounds of Formula (I), Formula (II) and/or Formula (III), or a pharmaceutically acceptable salt of the foregoing, or a pharmaceutical composition that includes one or more compounds of Formula (I), Formula (II) and/or Formula (III), or a pharmaceutically acceptable salt of the foregoing.
BRIEF DESCRIPTION OF THE DRAWINGS
[0006] Figure 1 is a schematic of the genetic organization of norovirus (NV) and first murine norovirus virus (MNV-1). DETAILED DESCRIPTION
[0007] Noroviruses are a member of the Caliciviridae family, and positive single- stranded RNA, non-enveloped viruses that are approximately 27-35 nm in diameter. To date, noroviruses have been classified into 6 recognized genogroups, Gl, Gil, GUI, GIV, GV and GVI, with Gl, Gil and GIV affecting humans. Examples of the noroviruses include Norwalk virus, Desert Shield virus, Southampton virus, Hawaii virus, Snow Mountain virus, Mexico virus, Toronto virus, Bristol virus and Lordsdale virus. The RNA genomes of the noroviruses are organized into 3 major open reading frames (OFRl , OFR2, and OFR3) with a polyadenylated 3'-end. OFRl enclosed a large polyprotein that is proteolytically processed into mature nonstructural proteins; OFR2 enclosed the major capside protein (VP1); and OFR3 enclosed a minor structural protein (VP2).
[0008] Noroviruses are highly contagious. According to the U.S. Center for Disease Control (CDC), a person with a norovirus infection can shed billions of norovirus particles, and it only takes as few as 18 viral particles to infect another person. http://www.cdc.gov/norovirus/hcp/clinical-overview.html (Nov. 2012). The virus is transmitted in various manners, including contacting a contaminated person, consuming contaminated food and/or water, and contacting contaminated surfaces, objects and/or substances. Outbreaks of norovirus infection can occur in closed or semi-closed spaces such as long-term facilities, overnight camps, hospitals, prisons, dorms, cruise ships and military settings. Norovirsuses have been attributed as being the leading cause of gastroenteritis. Symptoms of gastroenteritis include abdominal cramps, nausea, diarrhea and vomiting; and the diarrhea and vomiting associated with gastroenteritis can lead to dehydration. The duration of illness can vary from a couple of hours to several days.
[0009] According to the CDC, there is no specific therapy to treat or approved vaccine to prevent a norovirus infection. http://www.cdc.gov/norovirus/preventing- infection.html. Rather, a person can try to prevent a norovirus infection by practicing proper hygiene (including washing the hands with soap and water), washing fruits and vegetables, cooking seafood thoroughly, limiting exposure to others when infected, cleaning and disinfecting contaminated surfaces, washing laundry that may be contaminated and wearing gloves when handling soiled items. Definitions
[0010] Unless defined otherwise, all technical and scientific terms used herein have the same meaning as is commonly understood by one of ordinary skill in the art. All patents, applications, published applications and other publications referenced herein are incorporated by reference in their entirety unless stated otherwise. In the event that there are a plurality of definitions for a term herein, those in this section prevail unless stated otherwise.
[0011] As used herein, any "R" group(s) such as, without limitation, RA, R1A, R2A,
R3A R4A R5A R6A R7A R8A R9A R10A R11A R12A R13A R14A R15A R16A R17A R18A R19A R20A R21A R22A R23A R24A R25A1 R25A2 R26A R27A R28A R29A R30A R31A R32A R33A R34A r> 35A T, 36A D 37A D 38A IB r» 2B D 3B D 4B r> 5B , 6Β TJ 7B d 8B D 9B r> 10B D 11B1 D 11B2 D 12B l\ , . . I\ , l\ . I\ . I\ . I\ , , , l\ . I\ . I\ . K . I\ . , l\ ,
D 13B T, 14B D 1C r> 2C D 3C T,4C T, 5C d 6C D 7C D 8C D 9C T, 10C Τ, Ι ΙΟ d 12C D 13C D 14C D 15C2 l\ , lv , K , K , K , K , K , K K , K , K , K . I\ , lv , K , K .
Ri5ci Ri6C5 Ri7c^ Ri8c^ Ri9c^ R2oc R2ic R22c and R23c represent substituents that can be attached to the indicated atom. An R group may be substituted or unsubstituted. If two "R" groups are described as being "taken together" the R groups and the atoms they are attached to can form a cycloalkyl, cycloalkenyl, aryl, heteroaryl or heterocycle. For example, without limitation, if Ra and Rb of an NRa Rb group are indicated to be "taken together," it means that they are covalently bonded to one another to form a ring:
Figure imgf000005_0001
In addition, if two "R" groups are described as being "taken together" with the atom(s) to which they are attached to form a ring as an alternative, the R groups are not limited to the variables or substituents defined previously.
[0012] Whenever a group is described as being "optionally substituted" that group may be unsubstituted or substituted with one or more of the indicated substituents. Likewise, when a group is described as being "unsubstituted or substituted" if substituted, the substituent(s) may be selected from one or more the indicated substituents. If no substituents are indicated, it is meant that the indicated "optionally substituted" or "substituted" group may be substituted with one or more group(s) individually and independently selected from alkyl, alkenyl, alkynyl, cycloalkyl, cycloalkenyl, aryl, heteroaryl, heterocyclyl, aryl(alkyl), heteroaryl(alkyl), heterocyclyl(alkyl), hydroxy, alkoxy, aryloxy, acyl, mercapto, alkylthio, arylthio, cyano, halogen, thiocarbonyl, O-carbamyl, N-carbamyl, O-thiocarbamyl, N-thiocarbamyl, C-amido, N-amido, S-sulfonamido, N-sulfonamido, C-carboxy, protected C- carboxy, O-carboxy, isocyanato, thiocyanato, isothiocyanato, azido, nitro, silyl, sulfenyl, sulfinyl, sulfonyl, haloalkyl, haloalkoxy, trihalomethanesulfonyl, trihalomethanesulfonamido, an amino, a mono-substituted amino group and a di-substituted amino group, and protected derivatives thereof.
[0013] As used herein, "Ca to Cb" in which "a" and "b" are integers refer to the number of carbon atoms in an alkyl, alkenyl or alkynyl group, or the number of carbon atoms in the ring of a cycloalkyl, cycloalkenyl, aryl, heteroaryl or heterocyclyl group. That is, the alkyl, alkenyl, alkynyl, ring(s) of the cycloalkyl, ring(s) of the cycloalkenyl, ring(s) of the aryl, ring(s) of the heteroaryl or ring(s) of the heterocyclyl can contain from "a" to "b", inclusive, carbon atoms. Thus, for example, a "Ci to C4 alkyl" group refers to all alkyl groups having from 1 to 4 carbons, that is, CH3-, CH3CH2-, CH3CH2CH2-, (CH3)2CH-, CH3CH2CH2CH2-, CH3CH2CH(CH3)- and (CH3)3C-. If no "a" and "b" are designated with regard to an alkyl, alkenyl, alkynyl, cycloalkyl cycloalkenyl, aryl, heteroaryl or heterocyclyl group, the broadest range described in these definitions is to be assumed.
[0014] As used herein, "alkyl" refers to a straight or branched hydrocarbon chain that comprises a fully saturated (no double or triple bonds) hydrocarbon group. The alkyl group may have 1 to 20 carbon atoms (whenever it appears herein, a numerical range such as "1 to 20" refers to each integer in the given range; e.g., "1 to 20 carbon atoms" means that the alkyl group may consist of 1 carbon atom, 2 carbon atoms, 3 carbon atoms, etc. , up to and including 20 carbon atoms, although the present definition also covers the occurrence of the term "alkyl" where no numerical range is designated). The alkyl group may also be a medium size alkyl having 1 to 10 carbon atoms. The alkyl group could also be a lower alkyl having 1 to 6 carbon atoms. The alkyl group of the compounds may be designated as "C1 -C4 alkyl" or similar designations. By way of example only, "C1 -C4 alkyl" indicates that there are one to four carbon atoms in the alkyl chain, i.e., the alkyl chain is selected from methyl, ethyl, propyl, iso-propyl, n-butyl, iso-butyl, sec-butyl, and t-butyl. Typical alkyl groups include, but are in no way limited to, methyl, ethyl, propyl, isopropyl, butyl, isobutyl, tertiary butyl, pentyl and hexyl. The alkyl group may be substituted or unsubstituted.
[0015] As used herein, "alkenyl" refers to an alkyl group that contains in the straight or branched hydrocarbon chain one or more double bonds. Examples of alkenyl groups include allenyl, vinylmethyl and ethenyl. An alkenyl group may be unsubstituted or substituted.
[0016] As used herein, "alkynyl" refers to an alkyl group that contains in the straight or branched hydrocarbon chain one or more triple bonds. Examples of alkynyls include ethynyl and propynyl. An alkynyl group may be unsubstituted or substituted.
[0017] As used herein, "cycloalkyl" refers to a completely saturated (no double or triple bonds) mono- or multi- cyclic hydrocarbon ring system. When composed of two or more rings, the rings may be joined together in a fused fashion. Cycloalkyl groups can contain 3 to 10 atoms in the ring(s) or 3 to 8 atoms in the ring(s). A cycloalkyl group may be unsubstituted or substituted. Typical cycloalkyl groups include, but are in no way limited to, cyclopropyl, cyclobutyl, cyclopentyl, cyclohexyl, cycloheptyl and cyclooctyl.
[0018] As used herein, "cycloalkenyl" refers to a mono- or multi- cyclic hydrocarbon ring system that contains one or more double bonds in at least one ring; although, if there is more than one, the double bonds cannot form a fully delocalized pi- electron system throughout all the rings (otherwise the group would be "aryl," as defined herein). When composed of two or more rings, the rings may be connected together in a fused fashion. A cycloalkenyl can contain 3 to 10 atoms in the ring(s) or 3 to 8 atoms in the ring(s). A cycloalkenyl group may be unsubstituted or substituted.
[0019] As used herein, "aryl" refers to a carbocyclic (all carbon) monocyclic or multicyclic aromatic ring system (including fused ring systems where two carbocyclic rings share a chemical bond) that has a fully delocalized pi-electron system throughout all the rings. The number of carbon atoms in an aryl group can vary. For example, the aryl group can be a C6-C i4 aryl group, a C6-Cio aryl group, or a C6 aryl group. Examples of aryl groups include, but are not limited to, benzene, naphthalene and azulene. An aryl group may be substituted or unsubstituted. [0020] As used herein, "heteroaryl" refers to a monocyclic, bicyclic and tricyclic aromatic ring system (a ring system with fully delocalized pi-electron system) that contain(s) one or more heteroatoms (for example, 1 to 5 heteroatoms), that is, an element other than carbon, including but not limited to, nitrogen, oxygen and sulfur. The number of atoms in the ring(s) of a heteroaryl group can vary. For example, the heteroaryl group can contain 4 to 14 atoms in the ring(s), 5 to 10 atoms in the ring(s) or 5 to 6 atoms in the ring(s). Furthermore, the term "heteroaryl" includes fused ring systems where two rings, such as at least one aryl ring and at least one heteroaryl ring, or at least two heteroaryl rings, share at least one chemical bond. Examples of heteroaryl rings include, but are not limited to, furan, furazan, thiophene, benzothiophene, phthalazine, pyrrole, oxazole, benzoxazole, 1 ,2,3-oxadiazole, 1,2,4-oxadiazole, thiazole, 1 ,2,3-thiadiazole, 1 ,2,4-thiadiazole, benzothiazole, imidazole, benzimidazole, indole, indazole, pyrazole, benzopyrazole, isoxazole, benzoisoxazole, isothiazole, triazole, benzotriazole, thiadiazole, tetrazole, pyridine, pyridazine, pyrimidine, pyrazine, purine, pteridine, quinoline, isoquinoline, quinazoline, quinoxaline, cinnoline and triazine. A heteroaryl group may be substituted or unsubstituted.
[0021] As used herein, "heterocyclyl" or "heteroalicyclyl" refers to three-, four-, five-, six-, seven-, eight-, nine-, ten-, up to 18-membered monocyclic, bicyclic, and tricyclic ring system wherein carbon atoms together with from 1 to 5 heteroatoms constitute said ring system. A heterocycle may optionally contain one or more unsaturated bonds situated in such a way, however, that a fully delocalized pi-electron system does not occur throughout all the rings. The heteroatom(s) is an element other than carbon including, but not limited to, oxygen, sulfur, and nitrogen. A heterocycle may further contain one or more carbonyl or thiocarbonyl functionalities, so as to make the definition include oxo-systems and thio- systems such as lactams, lactones, cyclic imides, cyclic thioimides and cyclic carbamates. When composed of two or more rings, the rings may be joined together in a fused fashion. Additionally, any nitrogens in a heteroalicyclic may be quaternized. Heterocyclyl or heteroalicyclic groups may be unsubstituted or substituted. Examples of such "heterocyclyl" or "heteroalicyclyl" groups include but are not limited to, 1 ,3-dioxin, 1,3-dioxane, 1,4- dioxane, 1 ,2-dioxolane, 1,3-dioxolane, 1 ,4-dioxolane, 1,3-oxathiane, 1 ,4-oxathiin, 1,3- oxathiolane, 1 ,3-dithiole, 1 ,3-dithiolane, 1 ,4-oxathiane, tetrahydro- 1 ,4-thiazine, 2H-1,2- oxazine, maleimide, succinimide, barbituric acid, thiobarbituric acid, dioxopiperazine, hydantoin, dihydrouracil, trioxane, hexahydro-l ,3,5-triazine, imidazoline, imidazolidine, isoxazoline, isoxazolidine, oxazoline, oxazolidine, oxazolidinone, thiazoline, thiazolidine, morpholine, oxirane, piperidine N-Oxide, piperidine, piperazine, pyrrolidine, pyrrolidone, pyrrolidine, 4-piperidone, pyrazoline, pyrazolidine, 2-oxopyrrolidine, tetrahydropyran, 4H- pyran, tetrahydrothiopyran, thiamorpholine, thiamorpholine sulfoxide, thiamorpholine sulfone, and their benzo-fused analogs (e.g., benzimidazolidinone, tetrahydroquinoline, and 3 ,4-methylenedioxyphenyl).
[0022] As used herein, "aralkyl" and "aryl(alkyl)" refer to an aryl group connected, as a substituent, via a lower alkylene group. The lower alkylene and aryl group of an aryl(alkyl) may be substituted or unsubstituted. Examples include but are not limited to benzyl, 2-phenyl(alkyl), 3-phenyl(alkyl), and naphthyl(alkyl).
[0023] As used herein, "heteroaralkyl" and "heteroaryl(alkyl)" refer to a heteroaryl group connected, as a substituent, via a lower alkylene group. The lower alkylene and heteroaryl group of heteroaryl(alkyl) may be substituted or unsubstituted. Examples include but are not limited to 2-thienyl(alkyl), 3-thienyl(alkyl), furyl(alkyl), thienyl(alkyl), pyrrolyl(alkyl), pyridyl(alkyl), isoxazolyl(alkyl), imidazolyl(alkyl), and their benzo-fused analogs.
[0024] A "(heteroalicyclyl)alkyl" and "(heterocyclyl)alkyP' refer to a heterocyclic or a heteroalicyclylic group connected, as a substituent, via a lower alkylene group. The lower alkylene and heterocyclyl of a heterocyclyl(alkyl) may be substituted or unsubstituted. Examples include but are not limited tetrahydro-2H-pyran-4-yl(methyl), piperidin-4-yl(ethyl), piperidin-4-yl(propyl), tetrahydro-2H-thiopyran-4-yl(methyl) and l ,3-thiazinan-4-yl(methyl)
[0025] "Lower alkylene groups" are straight-chained -CH2- tethering groups, forming bonds to connect molecular fragments via their terminal carbon atoms. Examples include but are not limited to methylene (-CH2-), ethylene (-CH2CH2-), propylene (- CH2CH2CH2-), and butylene (-CH2CH2CH2CH2-). A lower alkylene group can be substituted by replacing one or more hydrogen of the lower alkylene group with a substituent(s) listed under the definition of "substituted." [0026] As used herein, "alkoxy" refers to the formula -OR wherein R is an alkyl, an alkenyl, an alkynyl, a cycloalkyl, a cycloalkenyl, aryl, heteroaryl, heteroalicyclyl, aralkyl, heteroaryl(alkyl) or heterocyclyl(alkyl) is defined herein. A non-limiting list of alkoxys are methoxy, ethoxy, n-propoxy, 1-methylethoxy (isopropoxy), n-butoxy, iso-butoxy, sec-butoxy, tert-butoxy, phenoxy and benzoxy. An alkoxy may be substituted or unsubstituted.
[0027] As used herein, "acyl" refers to a hydrogen an alkyl, an alkenyl, an alkynyl, a cycloalkyl, a cycloalkenyl, aryl, heteroaryl, heteroalicyclyl, aralkyl, heteroaryl(alkyl) or heterocyclyl(alkyl) connected, as substituents, via a carbonyl group. Examples include formyl, acetyl, propanoyl, benzoyl, and acryl. An acyl may be substituted or unsubstituted.
[0028] As used herein, "hydroxyalkyl" refers to an alkyl group in which one or more of the hydrogen atoms are replaced by a hydroxy group. Exemplary hydroxyalkyl groups include but are not limited to, 2-hydroxyethyl, 3-hydroxypropyl, 2-hydroxypropyl, and 2,2-dihydroxyethyl. A hydroxyalkyl may be substituted or unsubstituted.
[0029] As used herein, "haloalkyl" refers to an alkyl group in which one or more of the hydrogen atoms are replaced by a halogen (e.g., mono-haloalkyl, di-haloalkyl and tri- haloalkyl). Such groups include but are not limited to, chloromethyl, fluoromethyl, difluoromethyl, trifluoromethyl, 1 -chloro-2-fluoromethyl and 2-fluoroisobutyl. A haloalkyl may be substituted or unsubstituted.
[0030] As used herein, "haloalkoxy" refers to a O-alkyl group in which one or more of the hydrogen atoms are replaced by a halogen (e.g., mono-haloalkoxy, di- haloalkoxy and tri- haloalkoxy). Such groups include but are not limited to, chloromethoxy, fluoromethoxy, difluoromethoxy, trifluoromethoxy, l-chloro-2-fluoromethoxy and 2- fluoroisobutoxy. A haloalkoxy may be substituted or unsubstituted.
[0031] A "sulfenyl" group refers to an "-SR" group in which R can be hydrogen, alkyl, alkenyl, alkynyl, cycloalkyl, cycloalkenyl, aryl, heteroaryl, heterocyclyl, aryl(alkyl), heteroaryl(alkyl) or heterocyclyl(alkyl). A sulfenyl may be substituted or unsubstituted.
[0032] A "sulfinyl" group refers to an "-S(=0)-R" group in which R can be the same as defined with respect to sulfenyl. A sulfinyl may be substituted or unsubstituted. [0033] A "sulfonyl" group refers to an "SO2R" group in which R can be the same as defined with respect to sulfenyl. A sulfonyl may be substituted or unsubstituted.
[0034] An "O-carboxy" group refers to a "RC(=0)0-" group in which R can be hydrogen, alkyl, alkenyl, alkynyl, cycloalkyl, cycloalkenyl, aryl, heteroaryl, heterocyclyl, aryl(alkyl), heteroaryl(alkyl) or heterocyclyl(alkyl), as defined herein. An O-carboxy may be substituted or unsubstituted.
[0035] The terms "ester" and "C-carboxy" refer to a "-C(=0)OR" group in which R can be the same as defined with respect to O-carboxy. An ester and C-carboxy may be substituted or unsubstituted.
[0036] A "thiocarbonyl" group refers to a "-C(=S)R" group in which R can be the same as defined with respect to O-carboxy. A thiocarbonyl may be substituted or unsubstituted.
[0037] A "trihalomethanesulfonyl" group refers to an "X3CS02-" group wherein each X is a halogen.
[0038] A "trihalomethanesulfonamido" group refers to an "X3CS(0)2N(RA)-" group wherein each X is a halogen, and RA hydrogen, alkyl, alkenyl, alkynyl, cycloalkyl, cycloalkenyl, aryl, heteroaryl, heterocyclyl, aryl(alkyl), heteroaryl(alkyl) or heterocy cly l(alky 1) .
[0039] The term "amino" as used herein refers to a -NH2 group.
[0040] As used herein, the term "hydroxy" refers to a -OH group.
[0041] A "cyano" group refers to a "-CN" group.
[0042] The term "azido" as used herein refers to a -N3 group.
[0043] An "isocyanato" group refers to a "-NCO" group.
[0044] A "thiocyanato" group refers to a "-CNS" group.
[0045] An "isothiocyanato" group refers to an " -NCS" group.
[0046] A "mercapto" group refers to an "-SH" group.
[0047] A "carbonyl" group refers to a C=0 group.
[0048] An "S-sulfonamido" group refers to a "-S02N(RARB)" group in which RA and RB can be independently hydrogen, alkyl, alkenyl, alkynyl, cycloalkyl, cycloalkenyl, aryl, heteroaryl, heterocyclyl, aryl(alkyl), heteroaryl(alkyl) or heterocyclyl(alkyl). An S-sulfonamido may be substituted or unsubstituted.
[0049] An "N-sulfonamido" group refers to a "RS02N(RA)-" group in which R and RA can be independently hydrogen, alkyl, alkenyl, alkynyl, cycloalkyl, cycloalkenyl, aryl, heteroaryl, heterocyclyl, aryl(alkyl), heteroaryl(alkyl) or heterocyclyl(alkyl). An N-sulfonamido may be substituted or unsubstituted.
[0050] An "O-carbamyl" group refers to a "-OC(=0)N(RARB)" group in which RA and RB can be independently hydrogen, alkyl, alkenyl, alkynyl, cycloalkyl, cycloalkenyl, aryl, heteroaryl, heterocyclyl, aryl(alkyl), heteroaryl(alkyl) or heterocyclyl(alkyl). An O-carbamyl may be substituted or unsubstituted.
[0051] An "N-carbamyl" group refers to an "ROC(=0)N(RA)-" group in which R and RA can be independently hydrogen, alkyl, alkenyl, alkynyl, cycloalkyl, cycloalkenyl, aryl, heteroaryl, heterocyclyl, aryl(alkyl), heteroaryl(alkyl) or heterocyclyl(alkyl). An N-carbamyl may be substituted or unsubstituted.
[0052] An "O-thiocarbamyl" group refers to a "-OC(=S)-N(RARB)" group in which RA and RB can be independently hydrogen, alkyl, alkenyl, alkynyl, cycloalkyl, cycloalkenyl, aryl, heteroaryl, heterocyclyl, aryl(alkyl), heteroaryl(alkyl) or heterocyclyl(alkyl). An O-thiocarbamyl may be substituted or unsubstituted.
[0053] An "N-thiocarbamyl" group refers to an "ROC(=S)N(RA)-" group in which R and RA can be independently hydrogen, alkyl, alkenyl, alkynyl, cycloalkyl, cycloalkenyl, aryl, heteroaryl, heterocyclyl, aryl(alkyl), heteroaryl(alkyl) or heterocyclyl(alkyl). An N-thiocarbamyl may be substituted or unsubstituted.
[0054] A "C-amido" group refers to a "-C(=0)N(RARB)" group in which RA and RB can be independently hydrogen, alkyl, alkenyl, alkynyl, cycloalkyl, cycloalkenyl, aryl, heteroaryl, heterocyclyl, aryl(alkyl), heteroaryl(alkyl) or heterocyclyl(alkyl). A C-amido may be substituted or unsubstituted.
[0055] An "N-amido" group refers to a "RC(=0)N(RA)-" group in which R and RA can be independently hydrogen, alkyl, alkenyl, alkynyl, cycloalkyl, cycloalkenyl, aryl, heteroaryl, heterocyclyl, aryl(alkyl), heteroaryl (alkyl) or heterocyclyl(alkyl). An N-amido may be substituted or unsubstituted. [0056] The term "halogen atom" or "halogen" as used herein, means any one of the radio-stable atoms of column 7 of the Periodic Table of the Elements, such as, fluorine, chlorine, bromine and iodine.
[0057] Where the numbers of substituents is not specified (e.g. haloalkyl), there may be one or more substituents present. For example "haloalkyl" may include one or more of the same or different halogens. As another example, "C 1 -C3 alkoxyphenyl" may include one or more of the same or different alkoxy groups containing one, two or three atoms.
[0058] As used herein, the abbreviations for any protective groups, amino acids and other compounds, are, unless indicated otherwise, in accord with their common usage, recognized abbreviations, or the IUPAC-IUB Commission on Biochemical Nomenclature (See, Biochem. 1 1 :942-944 (1972)).
[0059] The term "nucleoside" is used herein in its ordinary sense as understood by those skilled in the art, and refers to a compound composed of an optionally substituted pentose moiety or modified pentose moiety attached to a heterocyclic base or tautomer thereof via a N-glycosidic bond, such as attached via the 9-position of a purine-base or the 1- position of a pyrimidine-base. Examples include, but are not limited to, a ribonucleoside comprising a ribose moiety and a deoxyribonucleoside comprising a deoxyribose moiety. A modified pentose moiety is a pentose moiety in which an oxygen atom has been replaced with a carbon and/or a carbon has been replaced with a sulfur or an oxygen atom. A "nucleoside" is a monomer that can have a substituted base and/or sugar moiety. Additionally, a nucleoside can be incorporated into larger DNA and/or RNA polymers and oligomers. In some instances, the nucleoside can be a nucleoside analog drug.
[0060] The term "nucleotide" is used herein in its ordinary sense as understood by those skilled in the art, and refers to a nucleoside having a phosphate ester bound to the pentose moiety, for example, at the 5'-position.
[0061] As used herein, the term "heterocyclic base" refers to an optionally substituted nitrogen-containing heterocyclyl that can be attached to an optionally substituted pentose moiety or modified pentose moiety. In some embodiments, the heterocyclic base can be selected from an optionally substituted purine-base, an optionally substituted pyrimidine- base and an optionally substituted triazole-base (for example, a 1 ,2,4-triazole). The term "purine -base" is used herein in its ordinary sense as understood by those skilled in the art, and includes its tautomers. Similarly, the term "pyrimidine-base" is used herein in its ordinary sense as understood by those skilled in the art, and includes its tautomers. A non- limiting list of optionally substituted purine -bases includes purine, adenine, guanine, hypoxanthine, xanthine, alloxanthine, 7-alkylguanine (e.g. 7-methylguanine), theobromine, caffeine, uric acid and isoguanine. Examples of pyrimidine-bases include, but are not limited to, cytosine, thymine, uracil, 5,6-dihydrouracil and 5-alkylcytosine (e.g., 5-methylcytosine). An example of an optionally substituted triazole-base is l ,2,4-triazole-3-carboxamide. Other non-limiting examples of heterocyclic bases include diaminopurine, 8-oxo-N6-alkyladenine (e.g., 8-oxo-N6-methyladenine), 7-deazaxanthine, 7-deazaguanine, 7-deazaadenine, N4,N4- ethanocytosin, N6,N6-ethano-2,6-diaminopurine, 5-halouracil (e.g., 5-fluorouracil and 5- bromouracil), pseudoisocytosine, isocytosine, isoguanine, and other heterocyclic bases described in U.S. Patent Nos. 5,432,272 and 7,125,855, which are incorporated herein by reference for the limited purpose of disclosing additional heterocyclic bases. In some embodiments, a heterocyclic base can be optionally substituted with an amine or an enol protecting group(s).
[0062] The term "-N-linked amino acid" refers to an amino acid that is attached to the indicated moiety via a main-chain amino or mono-substituted amino group. When the amino acid is attached in an -N-linked amino acid, one of the hydrogens that is part of the main-chain amino or mono-substituted amino group is not present and the amino acid is attached via the nitrogen. N-linked amino acids can be substituted or unsubstituted.
[0063] The term "-N-linked amino acid ester derivative" refers to an amino acid in which a main-chain carboxylic acid group has been converted to an ester group. In some embodiments, the ester group has a formula selected from alkyl-0-C(=0)-, cycloalkyl-O- C(=0)-, aryl-0-C(=0)- and aryl(alkyl)-0-C(=0)-. A non-limiting list of ester groups include substituted and unsubstituted versions of the following: methyl-0-C(=0)-, ethyl-0-C(=0)-, n-propyl-0-C(=0)-, isopropyl-0-C(=0)-, n-butyl-0-C(=0)-, isobutyl-0-C(=0)-, tert-butyl- 0-C(=0)-, neopentyl-0-C(=0)-, cyclopropyl-0-C(=0)-, cyclobutyl-0-C(=0)-, cyclopentyl- 0-C(=0)-, cyclohexyl-0-C(=0)-, phenyl-0-C(=0)-, benzyl-0-C(=0)-, and naphthyl-O- C(=0)-. N-linked amino acid ester derivatives can be substituted or unsubstituted. [0064] The term "-O-linked amino acid" refers to an amino acid that is attached to the indicated moiety via the hydroxy from its main-chain carboxylic acid group. When the amino acid is attached in an -O-linked amino acid, the hydrogen that is part of the hydroxy from its main-chain carboxylic acid group is not present and the amino acid is attached via the oxygen. O-linked amino acids can be substituted or unsubstituted.
[0065] As used herein, the term "amino acid" refers to any amino acid (both standard and non-standard amino acids), including, but not limited to, -amino acids, β- amino acids, γ-amino acids and δ-amino acids. Examples of suitable amino acids include, but are not limited to, alanine, asparagine, aspartate, cysteine, glutamate, glutamine, glycine, proline, serine, tyrosine, arginine, histidine, isoleucine, leucine, lysine, methionine, phenylalanine, threonine, tryptophan and valine. Additional examples of suitable amino acids include, but are not limited to, ornithine, hypusine, 2-aminoisobutyric acid, dehydroalanine, gamma-aminobutyric acid, citrulline, beta-alanine, alpha-ethyl-glycine, alpha-propyl-glycine and norleucine.
[0066] The terms " hos horothioate" and "phosphothioate" refer to a compound
of the general formula
Figure imgf000015_0001
its protonated forms (for example,
Figure imgf000015_0002
[0067] As used herein, the term "phosphate" is used in its ordinary sense as understood by those skilled in the art, and includes its protonated forms (for example,
Figure imgf000015_0003
As used herein, the terms "monophosphate,"
"diphosphate," and "triphosphate" are used in their ordinary sense as understood by those skilled in the art, and include protonated forms.
[0068] The terms "protecting group" and "protecting groups" as used herein refer to any atom or group of atoms that is added to a molecule in order to prevent existing groups in the molecule from undergoing unwanted chemical reactions. Examples of protecting group moieties are described in T. W. Greene and P. G. M. Wuts, Protective Groups in Organic Synthesis, 3. Ed. John Wiley & Sons, 1999, and in J.F.W. McOmie, Protective Groups in Organic Chemistry Plenum Press, 1973, both of which are hereby incorporated by reference for the limited purpose of disclosing suitable protecting groups. The protecting group moiety may be chosen in such a way, that they are stable to certain reaction conditions and readily removed at a convenient stage using methodology known from the art. A non-limiting list of protecting groups include benzyl; substituted benzyl; alkylcarbonyls and alkoxycarbonyls (e.g., t-butoxycarbonyl (BOC), acetyl, or isobutyryl); arylalkylcarbonyls and arylalkoxycarbonyls (e.g., benzyloxycarbonyl); substituted methyl ether (e.g. methoxymethyl ether); substituted ethyl ether; a substituted benzyl ether; tetrahydropyranyl ether; silyls (e.g., trimethylsilyl, triethylsilyl, triisopropylsilyl, t-butyldimethylsilyl, tri-iso- propylsilyloxymethyl, [2-(trimethylsilyl)ethoxy]methyl or t-butyldiphenylsilyl); esters (e.g. benzoate ester); carbonates (e.g. methoxymethylcarbonate); sulfonates (e.g. tosylate or mesylate); acyclic ketal (e.g. dimethyl acetal); cyclic ketals (e.g., 1,3-dioxane, 1,3-dioxolanes, and those described herein); acyclic acetal; cyclic acetal (e.g., those described herein); acyclic hemiacetal; cyclic hemiacetal; cyclic dithioketals (e.g., 1,3-dithiane or 1,3-dithiolane); orthoesters (e.g., those described herein) and triarylmethyl groups (e.g., trityl; monomethoxytrityl (MMTr); 4,4'-dimethoxytrityl (DMTr); 4,4',4"-trimethoxytrityl (TMTr); and those described herein).
[0069] The term "pharmaceutically acceptable salt" refers to a salt of a compound that does not cause significant irritation to an organism to which it is administered and does not abrogate the biological activity and properties of the compound. In some embodiments, the salt is an acid addition salt of the compound. Pharmaceutical salts can be obtained by reacting a compound with inorganic acids such as hydrohalic acid (e.g., hydrochloric acid or hydrobromic acid), sulfuric acid, nitric acid and phosphoric acid. Pharmaceutical salts can also be obtained by reacting a compound with an organic acid such as aliphatic or aromatic carboxylic or sulfonic acids, for example formic, acetic, succinic, lactic, malic, tartaric, citric, ascorbic, nicotinic, methanesulfonic, ethanesulfonic, p-toluensulfonic, salicylic or naphthalenesulfonic acid. Pharmaceutical salts can also be obtained by reacting a compound with a base to form a salt such as an ammonium salt, an alkali metal salt, such as a sodium or a potassium salt, an alkaline earth metal salt, such as a calcium or a magnesium salt, a salt of organic bases such as dicyclohexylamine, N-methyl-D-glucamine, tris(hydroxymethyl)methylamine, C1 -C7 alkylamine, cyclohexylamine, triethanolamine, ethylenediamine, and salts with amino acids such as arginine and lysine.
[0070] Terms and phrases used in this application, and variations thereof, especially in the appended claims, unless otherwise expressly stated, should be construed as open ended as opposed to limiting. As examples of the foregoing, the term 'including' should be read to mean 'including, without limitation,' 'including but not limited to,' or the like; the term 'comprising' as used herein is synonymous with 'including,' 'containing,' or 'characterized by,' and is inclusive or open-ended and does not exclude additional, unrecited elements or method steps; the term 'having' should be interpreted as 'having at least;' the term 'includes' should be interpreted as 'includes but is not limited to;' the term 'example' is used to provide exemplary instances of the item in discussion, not an exhaustive or limiting list thereof; and use of terms like 'preferably,' 'preferred,' 'desired,' or 'desirable,' and words of similar meaning should not be understood as implying that certain features are critical, essential, or even important to the structure or function, but instead as merely intended to highlight alternative or additional features that may or may not be utilized in a particular embodiment. In addition, the term "comprising" is to be interpreted synonymously with the phrases "having at least" or "including at least". When used in the context of a process, the term "comprising" means that the process includes at least the recited steps, but may include additional steps. When used in the context of a compound, composition or device, the term "comprising" means that the compound, composition or device includes at least the recited features or components, but may also include additional features or components. Likewise, a group of items linked with the conjunction 'and' should not be read as requiring that each and every one of those items be present in the grouping, but rather should be read as 'and/or' unless expressly stated otherwise. Similarly, a group of items linked with the conjunction 'or' should not be read as requiring mutual exclusivity among that group, but rather should be read as 'and/or' unless expressly stated otherwise. [0071] With respect to the use of substantially any plural and/or singular terms herein, those having skill in the art can translate from the plural to the singular and/or from the singular to the plural as is appropriate to the context and/or application. The various singular/plural permutations may be expressly set forth herein for sake of clarity. The indefinite article "a" or "an" does not exclude a plurality. A single processor or other unit may fulfill the functions of several items recited in the claims. The mere fact that certain measures are recited in mutually different dependent claims does not indicate that a combination of these measures cannot be used to advantage. Any reference signs in the claims should not be construed as limiting the scope.
[0072] It is understood that, in any compound described herein having one or more chiral centers, if an absolute stereochemistry is not expressly indicated, then each center may independently be of R-configuration or S -configuration or a mixture thereof. Thus, the compounds provided herein may be enantiomerically pure, enantiomerically enriched, racemic mixture, diastereomerically pure, diastereomerically enriched, or a stereoisomeric mixture. In addition it is understood that, in any compound described herein having one or more double bond(s) generating geometrical isomers that can be defined as E or Z, each double bond may independently be E or Z a mixture thereof.
[0073] Likewise, it is understood that, in any compound described, all tautomeric forms are also intended to be included. For example all tautomers of a phosphate and a phosphorothioate groups are intended to be included. Examples of tautomers of a
0 Or O
s— p— o s=p— HS— p— phosphorothioate include the following: O 1" V , O '- , O 1 H »
OH
S=P— O
and O 1 H V . Furthermore, all tautomers of heterocyclic bases known in the art are intended to be included, including tautomers of natural and non-natural purine-bases and pyrimidine-bases. [0074] It is to be understood that where compounds disclosed herein have unfilled valencies, then the valencies are to be filled with hydrogens or isotopes thereof, e.g., hydrogen- 1 (protium) and hydrogen-2 (deuterium).
[0075] It is understood that the compounds described herein can be labeled isotopically. Substitution with isotopes such as deuterium may afford certain therapeutic advantages resulting from greater metabolic stability, such as, for example, increased in vivo half-life or reduced dosage requirements. Each chemical element as represented in a compound structure may include any isotope of said element. For example, in a compound structure a hydrogen atom may be explicitly disclosed or understood to be present in the compound. At any position of the compound that a hydrogen atom may be present, the hydrogen atom can be any isotope of hydrogen, including but not limited to hydrogen- 1 (protium) and hydrogen-2 (deuterium). Thus, reference herein to a compound encompasses all potential isotopic forms unless the context clearly dictates otherwise.
[0076] It is understood that the methods and combinations described herein include crystalline forms (also known as polymorphs, which include the different crystal packing arrangements of the same elemental composition of a compound), amorphous phases, salts, solvates, and hydrates. In some embodiments, the compounds described herein exist in solvated forms with pharmaceutically acceptable solvents such as water, ethanol, or the like. In other embodiments, the compounds described herein exist in unsolvated form. Solvates contain either stoichiometric or non-stoichiometric amounts of a solvent, and may be formed during the process of crystallization with pharmaceutically acceptable solvents such as water, ethanol, or the like. Hydrates are formed when the solvent is water, or alcoholates are formed when the solvent is alcohol. In addition, the compounds provided herein can exist in unsolvated as well as solvated forms. In general, the solvated forms are considered equivalent to the unsolvated forms for the purposes of the compounds and methods provided herein.
[0077] Where a range of values is provided, it is understood that the upper and lower limit, and each intervening value between the upper and lower limit of the range is encompassed within the embodiments. Methods of Use:
[0078] Some embodiments described herein relate to a method of ameliorating and/or treating a noro virus infection, which can include administering an effective amount of one or more compounds described herein, or a pharmaceutical composition that includes one or more compounds described herein (e.g., a compound of Formula (I), a compound of Formula (11) and/or a compound of Formula (111), or a pharmaceutically acceptable salt of the foregoing). Other embodiments described herein relate to a method of preventing a noro virus infection, which can include administering an effective amount of one or more compounds described herein, or a pharmaceutical composition that includes one or more compounds described herein (e.g., a compound of Formula (I), a compound of Formula (II) and/or a compound of Formula (III), or a pharmaceutically acceptable salt of the foregoing).
[0079] Other embodiments described herein relate to a method of inhibiting viral replication of a norovirus virus, which can include contacting a cell infected with the norovirus virus with an effective amount of a compound of Formula (I), or a pharmaceutically acceptable salt thereof, an effective amount of a compound of Formula (II), or a pharmaceutically acceptable salt thereof, an effective amount of a compound of Formula (III), or a pharmaceutically acceptable salt thereof, and/or a pharmaceutical composition that includes one or more compounds described herein (e.g., a compound of Formula (I), a compound of Formula (II) and/or a compound of Formula (III), or a pharmaceutically acceptable salt of the foregoing). Still other embodiments described herein related to a method of inhibiting at least one of the following in the norovirus replication: polymerase protease and helicase.
[0080] In some embodiments, an effective amount of one or more compounds of Formula (I), or a pharmaceutically acceptable salt thereof, an effective amount of one or more compounds of Formula (II), or a pharmaceutically acceptable salt thereof, an effective amount of one or more compounds of Formula (III), or a pharmaceutically acceptable salt thereof, and/or a pharmaceutical composition that includes one or more compounds described herein (e.g., a compound of Formula (I), a compound of Formula (II) and/or a compound of Formula (III), or a pharmaceutically acceptable salt of the foregoing) can be used treat, ameliorate and/or prevent one more symptoms of an infection caused by a norovirus. For example, a compound of Formulae (I), (II) and/or (III) can be used to treat, ameliorate and/or prevent one or more of the following symptoms caused by a norovirus infection: abdominal cramps, nausea, diarrhea, vomiting, dehydration, fever, headache, chills, myalgia and sore throat.
[0081] The one or more compounds of Formula (I) or a pharmaceutically acceptable salt thereof, one or more compounds of Formula (II), or a pharmaceutically acceptable salt thereof, and/or one or more compounds of Formula (III), or a pharmaceutically acceptable salt thereof, that can be used to treat, ameliorate and/or prevent a norovirus infection can be a compound of Formula (I), or pharmaceutically acceptable salt thereof, and/or a compound of Formula (II), or a pharmaceutically acceptable salt thereof, and/or a compound of Formula (III), or a pharmaceutically acceptable salt thereof, provided in any of the embodiments described in paragraphs [0094]- [0191].
[0082] As used herein, the terms "prevent" and "preventing," mean a subject does not develop an infection because the subject has an immunity against the infection, or if a subject becomes infected, the severity of the disease is less compared to the severity of the disease if the subject has not been administered/received the compound. Examples of forms of prevention include prophylactic administration to a subject who has been or may be exposed to an infectious agent, such as a norovirus.
[0083] As used herein, the terms "treat," "treating," "treatment," "therapeutic," and "therapy" do not necessarily mean total cure or abolition of the disease or condition. Any alleviation of any undesired signs or symptoms of a disease or condition, to any extent can be considered treatment and/or therapy. Furthermore, treatment may include acts that may worsen the subject's overall feeling of well-being or appearance.
[0084] The terms "therapeutically effective amount" and "effective amount" are used to indicate an amount of an active compound, or pharmaceutical agent, that elicits the biological or medicinal response indicated. For example, a therapeutically effective amount of compound can be the amount needed to prevent, alleviate or ameliorate symptoms of disease or prolong the survival of the subject being treated This response may occur in a tissue, system, animal or human and includes alleviation of the signs or symptoms of the disease being treated. Determination of an effective amount is well within the capability of those skilled in the art, in view of the disclosure provided herein. The therapeutically effective amount of the compounds disclosed herein required as a dose will depend on the route of administration, the type of animal, including human, being treated, and the physical characteristics of the specific animal under consideration. The dose can be tailored to achieve a desired effect, but will depend on such factors as weight, diet, concurrent medication and other factors which those skilled in the medical arts will recognize.
[0085] Various indicators for determining the effectiveness of a method for treating a viral infection, such as a norovirus infection, are known to those skilled in the art. Example of suitable indicators include, but are not limited to, a reduction in viral load, a reduction in viral replication, a reduction in time to seroconversion (virus undetectable in patient serum), a reduction of morbidity or mortality in clinical outcomes, and/or other indicator of disease response.
[0086] In some embodiments, an effective amount of a compound of Formulae (I), (II) and/or (III), or a pharmaceutically acceptable salt of the foregoing, is an amount that is effective to reduce viral titers to undetectable levels, for example, to about 1000 to about 5000, to about 500 to about 1000, or to about 100 to about 500 genome copies/mL serum. In some embodiments, an effective amount of a compound of Formulae (I), (II) and/or (III), or a pharmaceutically acceptable salt of the foregoing, is an amount that is effective to reduce viral load compared to the viral load before administration of the compound of Formulae (I) ,(II) and/or (III), or a pharmaceutically acceptable salt of the foregoing. In some embodiments, an effective amount of a compound of Formulae (I), (II) and/or (III), or a pharmaceutically acceptable salt of the foregoing, is an amount that is effective to achieve a reduction in viral titer in the serum of the subject in the range of about 1.5-log to about a 2.5- log reduction, about a 3 -log to about a 4-log reduction, or a greater than about 5-log reduction compared to the viral load before administration of the compound of Formulae (I), (II) and/or (III), or a pharmaceutically acceptable salt of the foregoing. For example, wherein the viral load is measure before administration of the compound of Formulae (I), (II) and/or (III), or a pharmaceutically acceptable salt of the foregoing, and again after completion of the treatment regime with the compound of Formulae (I), (II) and/or (III), or a pharmaceutically acceptable salt of the foregoing (for example, 1 week after completion). In some embodiments, a compound of Formulae (I), (II) and/or (III), or a pharmaceutically acceptable salt of the foregoing, can result in at least a 1 , 2, 3, 4, 5, 10, 15, 20, 25, 50, 75, 100-fold or more reduction in the replication of a noro virus relative to pre -treatment levels in a subject, as determined after completion of the treatment regime (for example, 1 week after completion). In some embodiments, a compound of Formulae (I), (II) and/or (III), or a pharmaceutically acceptable salt of the foregoing, can result in a reduction of the replication of a norovirus relative to pre-treatment levels in the range of about 2 to about 5 fold, about 10 to about 20 fold, about 15 to about 40 fold, or about 50 to about 100 fold.
[0087] As will be readily apparent to one skilled in the art, the useful in vivo dosage to be administered and the particular mode of administration will vary depending upon the age, weight, the severity of the affliction, and mammalian species treated, the particular compounds employed, and the specific use for which these compounds are employed. The determination of effective dosage levels, that is the dosage levels necessary to achieve the desired result, can be accomplished by one skilled in the art using routine methods, for example, human clinical trials and in vitro studies.
[0088] The dosage may range broadly, depending upon the desired effects and the therapeutic indication. Alternatively dosages may be based and calculated upon the surface area of the patient, as understood by those of skill in the art. Although the exact dosage will be determined on a drug-by-drug basis, in most cases, some generalizations regarding the dosage can be made. The daily dosage regimen for an adult human patient may be, for example, an oral dose of between 0.01 mg and 3000 mg of each active ingredient, preferably between 1 mg and 700 mg, e.g. 5 to 200 mg. The dosage may be a single one or a series of two or more given in the course of one or more days, as is needed by the subject. In some embodiments, the compounds will be administered for a period of continuous therapy, for example for a week or more, or for months or years.
[0089] In instances where human dosages for compounds have been established for at least some condition, those same dosages may be used, or dosages that are between about 0.1% and 500%, more preferably between about 25% and 250% of the established human dosage. Where no human dosage is established, as will be the case for newly- discovered pharmaceutical compositions, a suitable human dosage can be inferred from ED50 or ID50 values, or other appropriate values derived from in vitro or in vivo studies, as qualified by toxicity studies and efficacy studies in animals.
[0090] In cases of administration of a pharmaceutically acceptable salt, dosages may be calculated as the free base. As will be understood by those of skill in the art, in certain situations it may be necessary to administer the compounds disclosed herein in amounts that exceed, or even far exceed, the above-stated, preferred dosage range in order to effectively and aggressively treat particularly aggressive diseases or infections.
[0091] Dosage amount and interval may be adjusted individually to provide plasma levels of the active moiety which are sufficient to maintain the modulating effects, or minimal effective concentration (MEC). The MEC will vary for each compound but can be estimated from in vitro data. Dosages necessary to achieve the MEC will depend on individual characteristics and route of administration. However, HPLC assays or bioassays can be used to determine plasma concentrations. Dosage intervals can also be determined using MEC value. Compositions should be administered using a regimen which maintains plasma levels above the MEC for 10-90% of the time, preferably between 30-90% and most preferably between 50-90%. In cases of local administration or selective uptake, the effective local concentration of the drug may not be related to plasma concentration.
[0092] It should be noted that the attending physician would know how to and when to terminate, interrupt, or adjust administration due to toxicity or organ dysfunctions. Conversely, the attending physician would also know to adjust treatment to higher levels if the clinical response were not adequate (precluding toxicity). The magnitude of an administrated dose in the management of the disorder of interest will vary with the severity of the condition to be treated and to the route of administration. The severity of the condition may, for example, be evaluated, in part, by standard prognostic evaluation methods. Further, the dose and perhaps dose frequency, will also vary according to the age, body weight, and response of the individual patient. A program comparable to that discussed above may be used in veterinary medicine.
[0093] Compounds disclosed herein can be evaluated for efficacy and toxicity using known methods. For example, the toxicology of a particular compound, or of a subset of the compounds, sharing certain chemical moieties, may be established by determining in vitro toxicity towards a cell line, such as a mammalian, and preferably human, cell line. The results of such studies are often predictive of toxicity in animals, such as mammals, or more specifically, humans. Alternatively, the toxicity of particular compounds in an animal model, such as mice, rats, rabbits, or monkeys, may be determined using known methods. The efficacy of a particular compound may be established using several recognized methods, such as in vitro methods, animal models, or human clinical trials. When selecting a model to determine efficacy, the skilled artisan can be guided by the state of the art to choose an appropriate model, dose, route of administration and/or regime.
Compounds
[0094] Some embodiments disclosed herein relate to a compound selected from Formula (I), Formula (II) and Formula (III), or a pharmaceutically acceptable salt of the foregoing:
Figure imgf000025_0001
wherein: BI A, BI B and B1 C can be independently an optionally substituted heterocyclic base or an optionally substituted heterocyclic base with a protected amino group; Raal and Raa2 can be independently hydrogen or deuterium; RA can be hydrogen, deuterium, an unsubstituted C1-3 alkyl, an unsubstituted C2-4 alkenyl, an unsubstituted C2-3 alkynyl or cyano; R1 A can be selected from hydrogen, an optionally substituted acyl, an optionally substituted O-linked amino acid, R2A be selected from
Figure imgf000026_0001
hydrogen, halogen, azido, an optionally substituted C1-6 alkyl, an optionally substituted 02-6 alkenyl, an optionally substituted C2-6 alkynyl, an optionally substituted C3-6 cycloalkyl, an optionally substituted -0-Ci-6 alkyl, an optionally substituted 0-C3-6 alkenyl, an optionally substituted 0-C3-6 alkynyl and cyano; R3A can be selected from halogen, OH, -OC(=0)R A and an optionally substituted O-linked amino acid; RI B can be selected from O", OH, an
Figure imgf000026_0002
, an optionally substituted N-linked amino acid and an optionally
Figure imgf000026_0003
, an optionally substituted N-linked amino acid and an optionally substituted N-linked amino acid ester derivative; or R can be
Figure imgf000027_0001
and R 2C can be O" or OH; R 2B and R 3JC" can be independently selected from halogen, an optionally substituted Ci-6 alkyl, an optionally substituted C2-6 alkenyl, an optionally substituted C2-6 alkynyl, an optionally substituted -0-Ci-6 alkyl, an optionally substituted - 0-C3-6 alkenyl, an optionally substituted-0-C3-6 alkynyl, an optionally substituted C3-6 cycloalkyl and cyano; R can be selected from OH, -OC(=0)R and an optionally substituted O-linked amino acid; R4A, R3B and R5C can be independently selected from hydrogen, halogen, OR1D, an optionally substituted O-linked amino acid, azido and NR2DR3D; R1D can be hydrogen or -C(=0)R"D; R2D and R3D can be independently hydrogen or an optionally substituted C1-6 alkyl; R5A, R4B and R6C can be independently selected from hydrogen, halogen, an optionally substituted C1-6 alkyl, an optionally substituted C2-6 alkenyl and an optionally substituted C2-6 alkynyl; R6A, R7A and R8A can be independently selected from absent, hydrogen, an optionally substituted C1-24 alkyl, an optionally substituted C2-24 alkenyl, an optionally substituted C2_24 alkynyl, an optionally substituted C3_6 cycloalkyl, an optionally substituted C3_6 cycloalkenyl, an optionally substituted aryl, an optionally substituted heteroaryl, an optionally substituted aryl(Ci_6 alkyl), an optionally substituted *- 15ARl6A)p-0-Ci-24 alkyl, an optionally substituted *-(CRl7ARl 8A)q-0-Ci-24 alkenyl,
Figure imgf000027_0002
)26A D27A or R' 6A can be
Figure imgf000028_0001
and R can be absent or hydrogen; or Rb 6AA and R , 7AA can be
taken together to form a moiety selected from an optionally substituted
Figure imgf000028_0002
and an
Figure imgf000028_0003
wherein the oxygens connected to R and R , the phosphorus and the moiety form a six-membered to ten-membered ring system; Ryrt can be independently selected from an optionally substituted Ci-24 alkyl, an optionally substituted C2-24 alkenyl, an optionally substituted C2-24 alkynyl, an optionally substituted C3-6 cycloalkyl, an optionally substituted C3-6 cycloalkenyl, NR30AR3 IA, an optionally substituted N-linked amino acid and an optionally substituted N-linked amino acid ester derivative; R10A and R1 1A can be independently an optionally substituted N-linked amino acid or an optionally substituted N-linked amino acid ester derivative; R12A, R13A and R14A can be independently absent or hydrogen; each R15A, each R16A, each R17A and each R18A can be independently hydrogen, an optionally substituted Ci-24 alkyl or alkoxy; R19A, R20A, R22A, R23A, R5B, R6B, R8B, R9B, R9C, R10C, R12C and R13C can be independently selected from hydrogen, an optionally substituted Ci-24 alkyl and an optionally substituted aryl; R21A, R24A, R7B, R10B,
R l lC and R 14C can be independently selected from hydrogen, an optionally substituted Ci-24 alkyl, an optionally substituted aryl, an optionally substituted -O-Ci-24 alkyl, an optionally substituted -O-aryl, an optionally substituted -O-heteroaryl, an optionally substituted -O-
Figure imgf000029_0001
J . -ρ25Α1 -p25A2 β29Α β ΠΒΙ ρ ΠΒ2 15C1 monocyclic heterocyclyl and
and can be independently selected from hydrogen, an optionally substituted Ci-24 alkyl
16C 17C 18C
and an optionally substituted aryl; R , R and R can be independently absent or hydrogen; R26A and R27A can be independently -C≡N or an optionally substituted substituent
28 A. selected from C2-8 organylcarbonyl, C2-8 alkoxycarbonyl and C2-8 organylaminocarbonyl; R can be selected from hydrogen, an optionally substituted Ci-24-alkyl, an optionally substituted C2-24 alkenyl, an optionally substituted C2-24 alkynyl, an optionally substituted C3-6 cycloalkyl and an optionally substituted C3-6 cycloalkenyl; R30A and R31A can be independently selected from hydrogen, an optionally substituted Ci-24-alkyl, an optionally substituted C2-24 alkenyl, an optionally substituted C2-24 alkynyl, an optionally substituted C3-6 cycloalkyl and an optionally substituted C3-6 cycloalkenyl; for Formula (III), can be a single bond or a double bond; when is a single bond, each R7C and each R8C can be independently hydrogen or halogen; and when is a double bond, each R7C is absent and each R8C can be independently hydrogen or halogen; R A, R"c and R "d can be independently an optionally substituted Ci-24-alkyl; d, j and h can be independently 1 or 2; el , kl and wl can be independently 0 or 1 ; e2, k2 and w2 can be independently 3, 4 or 5; m and n can be independently 0 or 1 ; p and q can be independently selected from 1 , 2 and 3; r can be 1 or 2; and Z1A, Z2A, Z3A, Z4A, ZIB, Z2B and Z1C can be independently O or S.
[0095] In some embodiments, the compound can be a compound of Formula (I), or a pharmaceutically acceptable salt thereof, wherein: B1A can be an optionally substituted heterocyclic base or an optionally substituted heterocyclic base with a protected amino group; RAAL and R332 can be independently hydrogen or deuterium; RA can be hydrogen, deuterium, an unsubstituted C1-3 alkyl, an unsubstituted C2-4 alkenyl, an unsubstituted C2-3 alkynyl or
cyano; RI A can be selected from hydn
Figure imgf000029_0002
R2A
Figure imgf000030_0001
can be selected from hydrogen, halogen, an optionally substituted C1-6 alkyl, an optionally substituted C2-6 alkenyl, an optionally substituted C2-6 alkynyl, an optionally substituted -O— Ci-6 alkyl, an optionally substituted -0-C3 -6 alkenyl, an optionally substituted -0-C3-6 alkynyl and cyano; R3A is halogen, OH, -OC(=0)R"A and an optionally substituted O-linked amino; R4A can be selected from hydrogen, halogen, ORI D, an optionally substituted O-linked amino acid, azido and NR2DR3D; RI D can be hydrogen or -C(=0)R"D; R2D and R3D can be independently hydrogen or an optionally substituted Ci-6 alkyl; R" can be selected from hydrogen, halogen, an optionally substituted Ci-6 alkyl, an optionally substituted C2-6 alkenyl and an optionally substituted C2-6 alkynyl; R6A, R7A and R8A can be independently selected from absent, hydrogen, an optionally substituted C1-24 alkyl, an optionally substituted C2-24 alkenyl, an optionally substituted C2-24 alkynyl, an optionally substituted C3-6 cycloalkyl, an optionally substituted C3-6 cycloalkenyl, an optionally substituted aryl, an optionally substituted heteroaryl, an optionally substituted aryl(Ci_6 alkyl), an optionally substituted *-(CR15AR16A)p-0-Ci-24 alkyl, an optionally substituted *-
Figure imgf000030_0002
Figure imgf000031_0001
and R can be absent or hydrogen; or R and R can be
taken together to form a moiety selected from an optionally substituted
Figure imgf000031_0002
and an
optionally substituted
Figure imgf000031_0003
, wherein the oxygens connected to R and R , the phosphorus and the moiety form a six-membered to ten-membered ring system;. R can be independently selected from an optionally substituted C1-24 alkyl, an optionally substituted C2-24 alkenyl, an optionally substituted C2-24 alkynyl, an optionally substituted C3-6 cycloalkyl, an optionally substituted C3-6 cycloalkenyl, NR30AR31A, an optionally substituted N-linked amino acid and an optionally substituted N-linked amino acid ester derivative; R10A and RI 1A can be independently an optionally substituted N-linked amino acid or an optionally substituted N-linked amino acid ester derivative; R12A, RI3A and R14A can be independently absent or hydrogen; each RI 5A, each RI6A, each RI7A and each RI 8A can be independently hydrogen, an optionally substituted C1-24 alkyl or alkoxy; R19A, R20A, R22A and R23A can be independently selected from hydrogen, an optionally substituted C1-24 alkyl and an optionally substituted aryl; R21A and R24A can be independently selected from hydrogen, an optionally substituted C1-24 alkyl, an optionally substituted aryl, an optionally substituted -0-C1-24 alkyl, an optionally substituted -O-aryl, an optionally substituted -O-heteroaryl, an optionally substituted -O-monocyclic heterocyclyl and
Figure imgf000031_0004
can be independently selected from hydrogen, an optionally substituted Ci-24 alkyl and an optionally substituted aryl; R 6A and R 7A can be independently -C≡N or an optionally substituted substituent selected from C2-8 organylcarbonyl, C2-8 alkoxycarbonyl and C2-s organylaminocarbonyl; R can be selected from hydrogen, an optionally substituted C1-24- alkyl, an optionally substituted C2-24 alkenyl, an optionally substituted C2-24 alkynyl, an optionally substituted C3-6 cycloalkyl and an optionally substituted C3-6 cycloalkenyl; R30A and 31A can be independently selected from hydrogen, an optionally substituted Ci-24-alkyl, an optionally substituted C2-24 alkenyl, an optionally substituted C2-24 alkynyl, an optionally substituted C3-6 cycloalkyl and an optionally substituted C3-6 cycloalkenyl; R A and R D can be independently an optionally substituted Ci_24-alkyl; h can be 1 or 2; wl can be 0 or 1 ; w2 can be 3, 4 or 5; m can be 0 or 1 ; p and q can be independently selected from 1 , 2 and 3; r can be 1 or 2; and Z1A, Z2A, Z3A and Z4A can be independently O or S.
[0096] In some embodiments, a compound of Formula (I) can have a structure
Figure imgf000032_0001
shown herein, provided that when R1 A is R wherein R8A is an unsubstituted Ci-4 alkyl or phenyl optionally para-substituted with a halogen or methyl and R9A is methyl ester, ethyl ester, isopropyl ester, n-butyl ester, benzyl ester or phenyl ester of an amino acid selected from glycine, alanine, valine, leucine, phenylalanine, tryptophan, methionine and proline; R3A is OH; R4A is fluoro; R5A is fluoro or hydrogen; and BI A is an unsubstituted uracil; then R2A cannot be -OCH3. In some embodiments, a compound of Formula (I) can have a structure shown herein, provided that when RI A is H; R3A is OH; R4A is fluoro; R5A is fluoro; and B1 A is an unsubstituted cytosine; then R2A cannot be allenyl. In some embodiments, a compound of Formula (I) can have a structure shown herein, provided that when RI A is H; R3A is OH; R4A is fluoro; R5A is hydrogen; and BI A is an unsubstituted thymine; then R2A cannot be Ci alkyl substituted with an N-amido (for example, - NC(=0)CF3). In some embodiments, a compound of Formula (I) can have a structure shown herein, provided that when R1 A is H; R3A is OH; R4A is fluoro; R5A is fluoro; and BI A is an unsubstituted cytosine; then R2A cannot be ethynyl. In some embodiments, R2A cannot be hydrogen. In some embodiments, when R2A is hydrogen, then R5A can be selected from halogen, an optionally substituted Ci-6 alkyl, an optionally substituted C2-6 alkenyl and an optionally substituted C2-6 alkynyl. [0097] In some embodiments, can be
Figure imgf000033_0001
In some embodiments,
R6A and R7A can be both hydrogen. In other embodiments, R6A and R7A can be both absent. In still other embodiments, at least one R6A and R7A can be absent. In yet still other embodiments, at least one R6A and R7A can be hydrogen. Those skilled in the art understand that when R6A and/or R7A are absent, the associated oxygen(s) will have a negative charge. For example, when R6A is absent, the oxygen associated with R6A will have a negative charge. In some embodiments, Z1A can be O (oxygen). In other embodiments, ZIA can be S (sulfur). In some embodiments, R1 A can be a monophosphate. In other embodiments, R1 A can be a monothiophosphate.
Z1 A
[0098] In some embodiments, when RIA is OR'M , one of R0A and R' can be hydrogen, and the other of R6A and R7A can be selected from an optionally substituted C] .24 alkyl, an optionally substituted C2-24 alkenyl, an optionally substituted C2-24 alkynyl, an optionally substituted C3-6 cycloalkyl, an optionally substituted C3-6 cycloalkenyl, an optionally substituted aryl, an optionally substituted heteroaryl and an optionally substituted aryl(Ci-6 alkyl). In some embodiments, one of R6A and R7A can be hydrogen, and the other of R6A and R7A can be an optionally substituted Ci-24 alkyl. In other embodiments, both R6A and R7A can be independently selected from an optionally substituted C1-24 alkyl, an optionally substituted C2-24 alkenyl, an optionally substituted C2-24 alkynyl, an optionally substituted C3-6 cycloalkyl, an optionally substituted C3-6 cycloalkenyl, an optionally substituted aryl, an optionally substituted heteroaryl and an optionally substituted aryl(Ci_6 alkyl). In some embodiments, both R6A and R7A can be an optionally substituted C1-24 alkyl. In other embodiments, both R6A and R7A can be an optionally substituted C2-24 alkenyl. In some embodiments, R6A and R7A can be independently an optionally substituted version of the following: myristoleyl, myristyl, palmitoleyl, palmityl, sapienyl, oleyl, elaidyl, vaccenyl, linoleyl, -linolenyl, arachidonyl, eicosapentaenyl, erucyl, docosahexaenyl, caprylyl, capryl, lauryl, stearyl, arachidyl, behenyl, lignoceryl, and cerotyl. [0099] In some embodiments, at least one of R6A and R7A can be *-(CR15AR16A)p- O-Ci.24 alkyl. In other embodiments, R6A and R7A can be both *-(CR15AR16A)p-0-C1 -24 alkyl. In some embodiments, each R15A and each R16A can be hydrogen. In other embodiments, at least one of R15A and R16A can be an optionally substituted Ci-24 alkyl. In other embodiments, at least one of R15A and R16A can be an alkoxy (for example, benzoxy). In some embodiments, p can be 1. In other embodiments, p can be 2. In still other embodiments, p can be 3.
[0100] In some embodiments, at least one of R6A and R7A can be *-(CR17AR18A)q-
0-C2-24 alkenyl. In other embodiments, R6A and R7A can be both *-(CR17AR18A)q-0-C2-24 alkenyl. In some embodiments, each R17A and each R18A can be hydrogen. In other embodiments, at least one of R17A and R18A can be an optionally substituted C1-24 alkyl. In some embodiments, q can be 1. In other embodiments, q can be 2. In still other embodiments, q can be 3. When at least one of R6A and R7A is *-(CR15AR16A)p-0-Ci-24 alkyl or *-(CR17ARl 8A)q-0-C2-24 alkenyl, the C1-24 alkyl can be selected from caprylyl, capryl, lauryl, myristyl, palmityl, stearyl, arachidyl, behenyl, lignoceryl, and cerotyl, and the C2-24 alkenyl can be selected from myristoleyl, palmitoleyl, sapienyl, oleyl, elaidyl, vaccenyl, linoleyl, a-linolenyl, arachidonyl, eicosapentaenyl, erucyl and docosahexaenyl.
[0101] In some embodiments, when R1A is
Figure imgf000034_0001
at least one of R6A and
R 7A can be selected from
Figure imgf000034_0002
Figure imgf000034_0003
and the other of R6A and R7A can be selected from absent, hydrogen, an optionally substituted Ci-24 alkyl, an optionally substituted C2-24 alkenyl, an optionally substituted C2-24 alkynyl, an optionally substituted C3-6 cycloalkyl, an optionally substituted C3-6 cycloalkenyl, an optionally substituted aryl, an optionally substituted heteroaryl and an optionally substituted aryl(Ci-6 alkyl).
[0102] some embodiments, at least one of R and R can
In some embodiments, both
Figure imgf000035_0001
6A and When one or both of R and R are
Figure imgf000035_0002
, R and R2UA can be independently selected from hydrogen, an optionally substituted Ci-24 alkyl and an optionally substituted aryl; and R21A can be selected from hydrogen, an optionally substituted Ci-24 alkyl, an optionally substituted aryl, an optionally substituted -0-C1 -24 alkyl, an optionally substituted -O-aryl, an optionally substituted -O-heteroaryl, an optionally substituted -O-monocyclic heterocyclyl and
Figure imgf000035_0003
In some embodiments, R and R can be hydrogen. In other embodiments, at least one of RiyA and R UA can be an optionally substituted Ci-24 alkyl or an optionally substituted aryl. In some embodiments, R21A can be an optionally substituted Ci-24 alkyl. In other embodiments, R21A can be an optionally substituted aryl. In still other embodiments, R21A can be an optionally substituted -0-C1-24 alkyl, an optionally substituted -O-aryl, an optionally substituted -O-heteroaryl or an optionall substituted -O-monocyclic heterocyclyl. In yet still other embodiments, R21A can be
Figure imgf000035_0004
iments, both R16A and R 7A can be
When one or both of R&A and R A are
Figure imgf000036_0001
, R A and R can be independently selected from hydrogen, an optionally substituted Ci-24 alkyl and an optionally substituted aryl; R24A can be independently selected from hydrogen, an optionally substituted Ci-24 alkyl, an optionally substituted aryl, an optionally substituted -0-Ci-24 alkyl, an optionally substituted -O-aryl, an optionally substituted -O-heteroaryl, an optionally substituted -O-monocyclic heterocyclyl and L
Figure imgf000036_0002
J; and Z can be independently O (oxygen) or S
(sulfur). In some embodiments, R and R can be hydrogen. In other embodiments, at least one of R 22A and R 2 A can be an optionally substituted C1-24 alkyl or an optionally substituted aryl. In some embodiments, R24A can be an optionally substituted C1-24 alkyl. In other embodiments, R24A can be an optionally substituted aryl. In still other embodiments,
R24A can be an optionally substituted -0-Ci_24 alkyl, an optionally substituted -O-aryl, an optionally substituted -O-heteroaryl or an optionall substituted -O-monocyclic heterocyclyl. In yet still other embodiments, R can be
Figure imgf000036_0003
In some embodiments, h can be 1. In other embodiments, h can be 2. In some embodiments, Z can be O (oxygen). In other embodiments, Z4A can be or S (sulfur). In some embodiments, one or both of R6A and R7A can be isopropyloxycarbonyloxymethyl. In some embodiments, one or both of R6A and R7A can be pivaloyloxymethyl. In some embodiments, R6A and R7 can be both a isopropyloxycarbonyloxymethyl group, and form a bis(isopropyloxycarbonyloxymethyl) (bis(POC)) prodrug. In some embodiments, R6A and R7A can be both a pivaloyloxymethyl group, and form a bis(pivaloyloxymethyl) (bis(POM)) prodrug. embodiments, 6A and R 7A can be
Figure imgf000037_0001
wherein R26A and R27A can be independently -C≡N or an optionally substituted substituent selected from C2-8 organylcarbonyl, C2-8 alkoxycarbonyl and
C aminocarbonyl; R 28A
2-8 organyl can be selected from hydrogen, an optionally substituted C . 24-alkyl, an optionally substituted C2-24 alkenyl, an optionally substituted C2-24 alkynyl, an optionally substituted C3-6 cycloalkyl and an optionally substituted C3-6 cycloalkenyl; and r
can be 1 or 2. Example of
Figure imgf000037_0002
include, but are not limited to the following:
Figure imgf000037_0003
Figure imgf000038_0001
In some embodiments, R and R can be both an optionally substituted aryl. In some embodiments, at least one of R6A and R7A can be an optionally substituted aryl. For example, both R6A and R7A can be an optionally substituted phenyl or an optionally substituted naphthyl. When substituted, the substituted aryl can be substituted with 1 , 2, 3 or more than 3 substituents. When more the two substituents are present, the substituents can be the same or different. In some embodiments, when at least one of R6A and R7A is a substituted phenyl, the substituted phenyl can be a para-, ortho- or meta-substituted phenyl.
[0106] In some embodiments, R6A and R7A can be both an optionally substituted aryl(Ci_6 alkyl). In some embodiments, at least one of R6A and R7A can be an optionally substituted aryl(Ci.6 alkyl). For example, both R6A and R7A can be an optionally substituted benzyl. When substituted, the substituted benzyl group can be substituted with 1 , 2, 3 or more than 3 substituents. When more the two substituents are present, the substituents can be the same or different. In some embodiments, the aryl group of the aryl(Ci-6 alkyl) can be a para-, ortho- or meta-substituted phenyl.
embodiments, R6A and R7A can be both
Figure imgf000038_0002
In some embodiments, at least one of R and R can be
Figure imgf000039_0001
In some embodiments, R can be hydrogen. In other embodiments, R25AI can be an optionally substituted C1-24 alkyl. In still other embodiments, R25A1 can be an optionally substituted aryl. In some embodiments, R25A1 can be a Ci-6 alkyl, for example, methyl, ethyl, n-propyl, isopropyl, n-butyl, isobutyl, tert-butyl, pentyl (branched and straight-chained) and hexyl (branched and straight-chained). In some embodiments, wl can be 0. In other embodiments, wl can be 1. In some embodiments, R6A and R7A can be both a S-acylthioethyl (SATE) group and form a SATE ester prodrug.
0108] In some embodiments, R1 6A and R 7A can be both
In some embodiments, at least one of R and R can
Figure imgf000039_0002
In some embodiments, R can be hydrogen. In other embodiments, R JA/ can be an optionally substituted C1-24 alkyl. In still other embodiments, R25A2 can be an optionally substituted aryl, for example, an optionally substituted phenyl. In some embodiments, R25A2 can be an optionally substituted C1-6 alkyl. In some embodiments, R25A2 can be an unsubstituted C1-6 alkyl. In some embodiments, w2 can be 3. In other embodiments, w2 can be 4. In still other embodiments, w2 can be 5.
[0109] In some embodiments, R and R can b . In
some embodiments, at least one of R and R can
Figure imgf000040_0001
In some embodiments, R can be hydrogen. In other embodiments, R can be an optionally substituted Ci-24 alkyl. In some embodiments, R29A can be a Ci-4 alkyl, such as methyl, ethyl, n-propyl, iso-propyl, n-butyl, iso-butyl and t-butyl. In still other embodiments, R29A can be an optionally substituted aryl, such as an optionally substituted phenyl or an optionally substituted naphthyl. In some embodiments, R6A and R7A can be both a dioxolenone group and form a dioxolenone prodrug.
odiments, R1A can be
Figure imgf000040_0002
R can be
Figure imgf000040_0003
R7A can be absent or hydrogen; RI 12AA, R r> 13AA and RI4A can be independently absent or hydrogen; and m can be 0 or 1. In some embodiments, m can be 0, and R7A, R12A and RI3A can be independently absent or hydrogen. In other embodiments, m can be 1, and R7A, R12A, R13A and R14A can be independently absent or hydrogen. Those skilled in the art understand that when m is 0, R6A can be diphosphate, when ZIA is oxygen, or an alpha-thiodiphosphate, when Z1A is sulfur. Likewise, those skilled in the art understand that when m is 1, R6A can be triphosphate, when ZIA is oxygen, or an alpha-thiotriphosphate, when Z1A is sulfur. [0111] In some embodiments, and R can be taken together to form an
Figure imgf000041_0001
optionally substituted For example, R can be an optionally substituted
Figure imgf000041_0002
When substituted, the ring can be substituted 1, 2, 3 or 3 or more times. When substituted with multiple substituents, the substituents can be the same or different. In
some embodiments, when Rm is
Figure imgf000041_0003
, the ring can be substituted with an optionally substituted aryl group and/or an optionally substituted heteroaryl. An example of a suitable heteroaryl is pyridinyl. In some embodiments, R6A and R7A can be taken together to form an
optionally substituted
Figure imgf000041_0004
such as , wherein R can be an optionally substituted aryl, an optionally substituted heteroaryl or an optionally substituted heterocyclyl. In some embodiments, R6A and R7A can form a cyclic l-aryl-l,3-propanyl ester (HepDirect) prodrug moiety.
[0112] In , R and R can be taken together to form an
optionally substituted
Figure imgf000041_0005
wherein the oxygens connected to R and R , the phosphorus and the moiety form a six-membered to ten-membered ring system. Example of
an optionally substituted
Figure imgf000041_0006
include
Figure imgf000042_0001
can form a cyclosaligenyl (cycloSal) prodrug.
[0113] In some embodiments, R6A and R7A can be the same. In some embodiments, R6A and R7A can be different.
[0114] In some embodiments, Z1A can be oxygen. In other embodiments, Z1A can be sulfur.
[0115] In some embodiments, R can be
Figure imgf000042_0002
In some embodiments,
R can be selected from absent, hydrogen, an optionally substituted C i -24 alkyl, an optionally substituted C2-24 alkenyl, an optionally substituted C2-24 alkynyl, an optionally substituted C3-6 cycloalkyl and an optionally substituted C3-6 cycloalkenyl; and R9A can be independently selected from an optionally substituted C1 -24 alkyl, an optionally substituted C2-24 alkenyl, an optionally substituted C2-24 alkynyl, an optionally substituted C3-6 cycloalkyl and an optionally substituted C3-6 cycloalkenyl.
[0116] In some embodiments, R8A can be hydrogen, and R9A can be an optionally substituted Ci-6 alkyl. Examples of suitable Ci-6 alkyls include methyl, ethyl, n-propyl, isopropyl, n-butyl, isobutyl, tert-butyl, pentyl (branched and straight-chained) and hexyl (branched and straight-chained). In other embodiments, R8A can be hydrogen, and R9A can be
NR30AR31A wherein R30 R31 can be independently selected from hydrogen, an optionally substituted C1-24 alkyl, an optionally substituted C2-24 alkenyl, an optionally substituted C2-24 alkynyl, an optionally substituted C3-6 cycloalkyl and an optionally substituted C3-6 cycloalkenyl.
[0117] In some embodiments, R8A can be absent or hydrogen; and R9A can be an optionally substituted N-linked amino acid or an optionally substituted N-linked amino acid ester derivative. In other embodiments, R8A can be an optionally substituted aryl; and R9A can be an optionally substituted N-linked amino acid or an optionally substituted N-linked amino
8A
acid ester derivative. In still other embodiments, can be an optionally substituted heteroaryl; and R9A can be an optionally substituted N-linked amino acid or an optionally substituted N-linked amino acid ester derivative. In some embodiments, R9A can be selected from alanine, asparagine, aspartate, cysteine, glutamate, glutamine, glycine, proline, serine, tyrosine, arginine, histidine, isoleucine, leucine, lysine, methionine, phenylalanine, threonine, tryptophan, valine and ester derivatives thereof. Examples of an optionally substituted N- linked amino acid ester derivatives include optionally substituted versions of the following: alanine isopropyl ester, alanine cyclohexyl ester, alanine neopentyl ester, valine isopropyl ester and leucine isopropyl ester. In some embodiments, R9A can have the structure
Figure imgf000043_0001
wherein R can be selected from hydrogen, an optionally substituted C].
6-alkyl, an optionally substituted C3-6 cycloalkyl, an optionally substituted aryl, an optionally substituted aryl(C]-6 alkyl) and an optionally substituted haloalkyl; R34A can be selected from hydrogen, an optionally substituted Ci-6 alkyl, an optionally substituted Ci-6 haloalkyl, an optionally substituted C3-6 cycloalkyl, an optionally substituted C6 aryl, an optionally substituted Cio aryl and an optionally substituted aryl(Ci-6 alkyl); and R35A can be hydrogen or an optionally substituted Ci-4-alkyl; or R34A and R33A can be taken together to form an optionally substituted C3-6 cycloalkyl.
[0118] When R34A is substituted, R34A can be substituted with one or more substituents selected from N-amido, mercapto, alkylthio, an optionally substituted aryl, hydroxy, an optionally substituted heteroaryl, O-carboxy and amino. In some embodiments,
R34A
can be an unsubstituted Ci-6-alkyl, such as those described herein. In some embodiments, Rl4A can be hydrogen. In other embodiments, R34A can be methyl. In some embodiments, R33A can be an optionally substituted C1-6 alkyl. Examples of optionally substituted Ci-6-alkyls include optionally substituted variants of the following: methyl, ethyl, n-propyl, isopropyl, n-butyl, isobutyl, tert-butyl, pentyl (branched and straight-chained) and hexyl (branched and straight-chained). In some embodiments, R33A can be methyl or isopropyl. In some embodiments, R33A can be ethyl or neopentyl. In other embodiments, can be an optionally substituted C3-6 cycloalkyl. Examples of optionally substituted C3-6 cycloalkyl include optionally substituted variants of the following: cyclopropyl, cyclobutyl, cyclopentyl, and cyclohexyl. In an embodiment, R33A can be an optionally substituted cyclohexyl. In still other embodiments, R 33A. can be an optionally substituted aryl, such as phenyl and naphthyl. In yet still other embodiments, R 33 A can be an optionally substituted aryl(Ci-6 alkyl). In some embodiments, R33A can be an optionally substituted benzyl. In some embodiments, R33A can be an optionally substituted Ci-6 haloalkyl, for example, CF3. In some embodiments, R35A can be hydrogen. In other embodiments, R33A can be an optionally substituted C1-4-alkyl, such as methyl, ethyl, n-propyl, isopropyl, n-butyl, isobutyl and tert-butyl. In an embodiment, R33A can be methyl. In some embodiments, R34A and R35A can be taken together to form an optionally substituted C3-6 cycloalkyl. Examples of optionally substituted C3-6 cycloalkyl include optionally substituted variants of the following: cyclopropyl, cyclobutyl, cyclopentyl, and cyclohexyl. Depending on the groups that are selected for R34A and R3:,A, the carbon to which R34A and R35A are attached may be a chiral center. In some embodiment, the carbon to which R34A and R35A are attached may be a (R)- chiral center. In other embodiments, the carbon to which R34A and R35A are attached may be a (S)-chiral center.
[0119] In some embodiments
In other embodiments, when RIA is
Figure imgf000044_0001
embodiments, when RIA is
Figure imgf000044_0002
a compound of Formula (I) can be a phosphoramidate prodrug, such as an aryl phosphoramidate prodrug. [0120] In some embodiments, R can be R11 A . In some embodiments,
R, 0A and RI ,A can be both an optionally substituted N-linked amino acid or an optionally substituted N-linked amino acid ester derivative. In some embodiments, R10A and RI 1A can be independently selected from alanine, asparagine, aspartate, cysteine, glutamate, glutamine, glycine, proline, serine, tyrosine, arginine, histidine, isoleucine, leucine, lysine, methionine, phenylalanine, threonine, tryptophan, valine and ester derivatives thereof. In some embodiments, RI 0A and RI I A can be an optionally substituted version of the following: alanine isopropyl ester, alanine cyclohexyl ester, alanine neopentyl ester, valine isopropyl ester and leucine isopropyl ester. In some embodiments, R10A and R11A can independently
have the structure wherein R can be selected from hydrogen, an optionally substitut
Figure imgf000045_0001
ptionally substituted C3-6 cycloalkyl, an optionally substituted aryl, an optionally substituted aryl(Ci-6 alkyl) and an optionally substituted haloalkyl; R37A can be selected from hydrogen, an optionally substituted C i-6 alkyl, an optionally substituted C1 -6 haloalkyl, an optionally substituted C3-6 cycloalkyl, an optionally substituted C6 aryl, an optionally substituted Ci0 aryl and an optionally substituted aryl(Ci-6 alkyl); and Rj8A can be hydrogen or an optionally substituted C i-4-alkyl; or R37A and R38A can be taken together to form an optionally substituted C3-6 cycloalkyl.
[0121] When R37A is substituted, R37A can be substituted with one or more substituents selected from N-amido, mercapto, alkylthio, an optionally substituted aryl, hydroxy, an optionally substituted heteroaryl, O-carboxy and amino. In some embodiments,
R37A
can be an unsubstituted Ci-6-alkyl, such as those described herein. In some embodiments, R37A can be hydrogen. In other embodiments, Rj7A can be methyl. In some embodiments, R36A can be an optionally substituted C i-6 alkyl. Examples of optionally substituted Ci-6-alkyls include optionally substituted variants of the following: methyl, ethyl, n-propyl, isopropyl, n-butyl, isobutyl, tert-butyl, pentyl (branched and straight-chained) and hexyl (branched and straight-chained). In some embodiments, R36A can be methyl or isopropyl. In some embodiments, R can be ethyl or neopentyl. In other embodiments, R36A can be an optionally substituted C3-6 cycloalkyl. Examples of optionally substituted C3-6 cycloalkyl include optionally substituted variants of the following: cyclopropyl, cyclobutyl, cyclopentyl, and cyclohexyl. In an embodiment, R36A can be an optionally substituted cyclohexyl. In still other embodiments, R36A can be an optionally substituted aryl, such as phenyl and naphthyl. In yet still other embodiments, R36A can be an optionally substituted aryl(Ci-6 alkyl). In some embodiments, R36A can be an optionally substituted benzyl. In some embodiments, R36A can be an optionally substituted C1-6 haloalkyl, for example, CF3.
In some embodiments, R 38A can be hydrogen. In other embodiments, R 38A can be an optionally substituted C1-4-alkyl, such as methyl, ethyl, n-propyl, isopropyl, n-butyl, isobutyl and tert-butyl. In an embodiment, R 38 A can be methyl. In some embodiments, R 37 A and R 38A can be taken together to form an optionally substituted C3-6 cycloalkyl. Examples of optionally substituted C3-6 cycloalkyl include optionally substituted variants of the following: cyclopropyl, cyclobutyl, cyclopentyl, and cyclohexyl. Depending on the groups that are selected for R37A and R38A, the carbon to which R37A and R38A are attached may be a chiral center. In some embodiment, the carbon to which R37A and R38A are attached may be a (R)- chiral center. In other embodiments, the carbon to which R37A and R38A are attached may be a (S)-chiral center.
Figure imgf000046_0001
Figure imgf000047_0001
[0123] In some embodiments, R10A and R11A can be the same. In some embodiments, R10A and R11A can be different.
[0124] In some embodiments, Z3A can be O (oxygen). In other embodiments, Z3A
can be S (sulfur). In some embodiments, when RIA is
Figure imgf000047_0002
compound of Formula (I) can be a phosphonic diamide prodrug. [0125] In some embodiments, R can be hydrogen. In some embodiments, R can be an optionally substituted acyl. In other embodiments, R1A can be -C(=0)R39A, wherein R39A can be selected from an optionally substituted C1 -12 alkyl, an optionally substituted C2-12 alkenyl, an optionally substituted C2-i2 alkynyl, an optionally substituted C3-8 cycloalkyl, an optionally substituted C5-8 cycloalkenyl, an optionally substituted C6-i0 aryl, an optionally substituted heteroaryl, an optionally substituted heterocyclyl, an optionally substituted aryl(C1 -6 alkyl), an optionally substituted heteroaryl(Ci-6 alkyl) and an optionally substituted heterocyclyl(Ci-6 alkyl). In some embodiments, R39A can be a substituted C1-12 alkyl. In other embodiments, R39A can be an unsubstituted C1-12 alkyl. In still other embodiments, R39A can be an unsubstituted C2-12 alkyl. In yet still other embodiments, R39A can be an unsubstituted C2-6 alkyl.
[0126] In still other embodiments, R1A can be an optionally substituted O-linked amino acid. Examples of suitable O-linked amino acids include alanine, asparagine, aspartate, cysteine, glutamate, glutamine, glycine, proline, serine, tyrosine, arginine, histidine, isoleucine, leucine, lysine, methionine, phenylalanine, threonine, tryptophan and valine. Additional examples of suitable amino acids include, but are not limited to, ornithine, hypusine, 2-aminoisobutyric acid, dehydroalanine, gamma-aminobutyric acid, citrulline, beta- alanine, alpha-ethyl-glycine, alpha-propyl-glycine and norleucine. In some embodiments, the
O-linked amino acid can have the structure
Figure imgf000048_0001
wherein R can be selected from hydrogen, an optionally substituted Ci-6 alkyl, an optionally substituted Ci-6 haloalkyl, an optionally substituted C3-6 cycloalkyl, an optionally substituted C6 aryl, an optionally substituted C10 aryl and an optionally substituted aryl(Ci-6 alkyl); and R41 A can be hydrogen or an optionally substituted
Figure imgf000048_0002
or R40A and R41A can be taken together to form an optionally substituted C3-6 cycloalkyl. Those skilled in the art understand that when R1A is an optionally substituted O-linked amino acid, the oxygen of R1A0- of Formula (I) is part of the optionally substituted O-linked amino acid. For example,
Figure imgf000049_0001
the oxygen indicated with "*" is the oxygen of RIA0- of Formula (I).
[0127] When R40A is substituted, R40A can be substituted with one or more substituents selected from N-amido, mercapto, alkylthio, an optionally substituted aryl, hydroxy, an optionally substituted heteroaryl, O-carboxy and amino. In some embodiments,
R40A can be an unsubstituted Ci-6-alkyl, such as those described herein. In some embodiments, R40A can be hydrogen. In other embodiments, R40A can be methyl. In some embodiments, R41A can be hydrogen. In other embodiments, R4IA can be an optionally substituted
Figure imgf000049_0002
such as methyl, ethyl, n-propyl, isopropyl, n-butyl, isobutyl and tert- butyl. In an embodiment, R41A can be methyl. Depending on the groups that are selected for R40A and R41 A, the carbon to which R40A and R4I A are attached may be a chiral center. In some embodiment, the carbon to which R40A and R41A are attached may be a (R)-chiral center. In other embodiments, the carbon to which R40A and R41A are attached may be a (S)- chiral center.
[0128] Examples of suitable
Figure imgf000049_0003
include the following:
Figure imgf000049_0004
[0129] In some embodiments, R2A can be selected from an optionally substituted C1-6 alkyl, an optionally substituted C2-6 alkenyl, an optionally substituted C2-6 alkynyl, an optionally substituted -0-C1-6 alkyl, an optionally substituted -0-C3 -6 alkenyl, an optionally substituted -0-C3-6 alkynyl and cyano, and RJ can be selected from OH, -OC(=0)R A and an optionally substituted O-linked amino acid.
[0130] Various groups can be attached to the 4'-position of the pentose ring. In some embodiments, R2A can be hydrogen. In other embodiments, R2A can be halogen, such as fluoro. In still other embodiments, R2A can be azido. In some embodiments, R2A can be an optionally substituted Ci-6 alkyl. Examples of suitable C| _6 alkyls include methyl, ethyl, n- propyl, isopropyl, n-butyl, isobutyl, tert-butyl, pentyl (branched and straight-chained) and hexyl (branched and straight-chained). In some embodiments, R2A can be an unsubstituted C1-6 alkyl. In other embodiments, R2A can be a substituted C1-6 alkyl. For example, R2A can be a halogen substituted C1-6 alkyl, a hydroxy substituted C1-6 alkyl (such as, CH2OH), an alkoxy substituted C1-6 alkyl (such as, -C1-6 alkyl-0-C1-6 alkyl and CH2OCH3), a sulfenyl substituted C1-6 alkyl (for example, -C1-6 alkyl-S-C1-6 alkyl and CH2SCH3), an azido substituted C1-6 alkyl or amino substituted C1-6 alkyl. In some embodiments, R2A can be a C . 6 haloalkyl. For example, R2A can be a Ci-6 bromoalkyl Ci-6 chloroalkyl or a C1-6 fluoroalkyl, such as CH2Br, CH2C1, CH2F, CHF2 or CHFCH3. In other embodiments, R2A can be a Ci-6 azidoalkyl (for example, N3CH2-). In still other embodiments, R2A can be a Ci_6 aminoalkyl (for example, NH2CH2-). In some embodiments, R2A can be an optionally substituted C2_6 alkenyl. In some embodiments, R2A can be a substituted C2.6 alkenyl. In other embodiments, R2A can be an unsubstituted C2-6 alkenyl. For example, R2A can be ethenyl, propenyl or allenyl. In still other embodiments, R2A can be an optionally substituted C2-6 alkynyl. In some embodiments, R2A can be a substituted C2-6 alkynyl. In other embodiments, R2A can be an unsubstituted C2-6 alkynyl. Suitable C2-6 alkynyls include ethynyl and propynyl. In yet still other embodiments, R2A can be an optionally substituted C3-6 cycloalkyl. In some embodiments, R2A can be a substituted C3-6 cycloalkyl. In other embodiments, R A can be an unsubstituted C3-6 cycloalkyl. A non-limiting list of C3-6 cycloalkyls include cyclopropyl, cyclobutyl, cyclopentyl and cyclohexyl. In some embodiments, R A can be an optionally substituted -0-Ci-6 alkyl. In some embodiments, R2A can be a substituted -0-C1 -6 alkyl. In other embodiments, R2A can be an unsubstituted -O— C1 -6 alkyl. Examples of suitable 0-Ci-6 alkyl groups include methoxy, ethoxy, n-propoxy, iso-propoxy, n-butoxy, isobutoxy, tert- butoxy, pentoxy (branched and straight-chained) and hexoxy (branched and straight-chained). In other embodiments, can be an optionally substituted -0-C3-6 alkenyl. In some embodiments, R2A can be a substituted -O— C3 -6 alkenyl. In other embodiments, R2A can be an unsubstituted -0-C3-6 alkenyl. In still other embodiments, R2A can be an optionally substituted -0-C3-6 alkynyl. In some embodiments, R2A can be a substituted -0-C3-6 alkynyl. In other embodiments, R2A can be an unsubstituted -0-C3-6 alkynyl. In still other embodiments, R2A can be cyano.
[0131] The groups attached to the 3'-position of the pentose ring can vary. In some embodiments, including those of paragraph [0130], R3A can be halogen, for example, fluoro. In other embodiments, including those of paragraph [0130], R3A can be OH. In still other embodiments, including those of paragraph [0130], R3A can be an optionally substituted O-linked amino acid. Examples of suitable O-linked amino acids include alanine, asparagine, aspartate, cysteine, glutamate, glutamine, glycine, proline, serine, tyrosine, arginine, histidine, isoleucine, leucine, lysine, methionine, phenylalanine, threonine, tryptophan and valine. Additional examples of suitable amino acids include, but are not limited to, ornithine, hypusine, 2-aminoisobutyric acid, dehydroalanine, gamma-aminobutyric acid, citrulline, beta-alanine, alpha-ethyl-glycine, alpha-propyl-glycine and norleucine. In
some embodiments, the O-linked amino acid can have the structure
Figure imgf000051_0001
wherein can be selected from hydrogen, an optionally substituted C1-6 alkyl, an optionally substituted C1-6 haloalkyl, an optionally substituted C3 -6 cycloalkyl, an optionally substituted C6 aryl, an optionally substituted C10 aryl and an optionally substituted aryl(Ci_6 alkyl); and R43A can be hydrogen or an optionally substituted Ci-4-alkyl; or R42A and R43A can be taken together to form an optionally substituted C3-6 cycloalkyl.
[0132] When R42A is substituted, R42A can be substituted with one or more substituents selected from N-amido, mercapto, alkylthio, an optionally substituted aryl, hydroxy, an optionally substituted heteroaryl, O-carboxy and amino. In some embodiments,
42A
R can be an unsubstituted C^-alkyl, such as those described herein. In some embodiments, R42A can be hydrogen. In other embodiments, R42A can be methyl. In some embodiments, R43A can be hydrogen. In other embodiments, R43A can be an optionally substituted
Figure imgf000052_0001
such as methyl, ethyl, n-propyl, isopropyl, n-butyl, isobutyl and tert- butyl. In an embodiment, R43A can be methyl. Depending on the groups that are selected for R42A and R43A, the carbon to which R42A and R43A are attached may be a chiral center. In some embodiment, the carbon to which R42A and R4jA are attached may be a (R)-chiral center. In other embodiments, the carbon to which R and R are attached may be a (S)- chiral center.
Figure imgf000052_0002
[0134] In still other embodiments, including those of paragraph [0130], R can be -OC(=0)R"A, wherein R can be an optionally substituted C1-24 alkyl. In some embodiments, R A can be a substituted C1-8 alkyl. In other embodiments, R A can be an unsubstituted C1-8 alkyl. In still other embodiments, including those of paragraph [0130], R3A can be an optionally substituted -O-acyl. In yet still other embodiments, including those of paragraph [0130], R3A can be -OC(=0)R44A, wherein R44A can be selected from an optionally substituted Ci-12 alkyl, an optionally substituted C2-12 alkenyl, an optionally substituted C2-i2 alkynyl, an optionally substituted C3 -8 cycloalkyl, an optionally substituted C5-8 cycloalkenyl, an optionally substituted C6-i0 aryl, an optionally substituted heteroaryl, an optionally substituted heterocyclyl, an optionally substituted aryl(Ci-6 alkyl), an optionally substituted heteroaryl(Ci-6 alkyl) and an optionally substituted heterocyclyl(Ci-6 alkyl). In some embodiments, R44A can be a substituted C1 -12 alkyl. In other embodiments, R44A can be an unsubstituted C1 -12 alkyl.
[0135] Various substituents can be present at the 2'-position of the pentose ring. In some embodiments, R5A can be hydrogen. In other embodiments, R5A can be halogen, for example, fluoro. In still other embodiments, R can be an optionally substituted C1 - alkyl. In some embodiments, R5A can be an unsubstituted Ci-6 alkyl. In some embodiments, R5A can be a substituted C1 -6 alkyl. In yet still other embodiments, R5A can be an optionally substituted C2-6 alkenyl. In some embodiments, R5A can be an unsubstituted C2-6 alkenyl. In some embodiments, R5A can be a substituted C2-6 alkenyl. In some embodiments, R5A can be an optionally substituted C2-6 alkynyl. In some embodiments, R5A can be an unsubstituted C2- 6 alkynyl. In some embodiments, R5A can be a substituted C2-6 alkynyl.
[0136] In some embodiments, R4A can be hydrogen. In other embodiments, R4A can be halogen, such as fluoro or chloro. In still other embodiments, R4A can be OR1D. For example, R4A can be OH. In some embodiments, R4A can be OC(=0)R"D. In other embodiments, R4A can be an optionally substituted O-linked amino acid. In still other embodiments, R4A can be azido. In yet still other embodiments, R4A can be NR2DR3D. For example, R4A can be amino, a mono-substituted amine or a di- substituted amine. Examples
of suitable O-linked amino ac
Figure imgf000053_0001
Figure imgf000053_0002
[0137] In some embodiments, R can be hydrogen and R can be halogen. In other embodiments, R4A and R A can both be halogen.
[0138] A variety of substituents can be present at the 1 '-position of the pentose ring. In some embodiments, RA can be hydrogen. In some embodiments, RA can be deuterium. In still other embodiments, R can be an unsubstituted C1-3 alkyl (such as methyl, ethyl, n-propyl and iso-propyl). In yet still other embodiments, RA can be an unsubstituted C2-4 alkenyl (for example, ethenyl, propenyl (branched or straight) and butenyl (branched or straight)). In some embodiments, RA can be an unsubstituted C2-3 alkynyl (such as ethynyl and propynyl (branched or straight)). In other embodiments, RA can be an unsubstituted cyano.
[0139] A variety of substituents can also be present at the 5 '-position of the pentose ring. In some embodiments, both Raal and R a2 can be hydrogen. In other embodiments, Raal can be hydrogen and Raa2 can be deuterium. In still other embodiments, both Raal and Raa2 can be deuterium.
[0140] In some embodiments, R2A can be a C1-6 haloalkyl, R3A can be OH or an optionally substituted acyl, R4A can be a halogen (for example, fluoro or chloro). In some embodiments, R3A and RsA can each be an optionally substituted acyl.
[0141] In some embodiments, R2A cannot be hydroxy. In some embodiments, when R4A is hydroxy, amino or fluoro and R5A is hydrogen or methyl, then R2A cannot be hydrogen. In some embodiments, R2A cannot be hydrogen. In some embodiments, R2A cannot be halogen (for example, fluoro). In some embodiments, R2A cannot be azido. In some embodiments, R2A cannot be methoxy. In some embodiments, R2A cannot be methoxy when BIA is substituted or unsubstituted uracil. In some embodiments, B1A is a substituted or an unsubstituted cytosine. In other embodiments, B1A is a substituted or an unsubstituted thymine. In still other embodiments, B1A cannot be a substituted or an unsubstituted uracil.
Figure imgf000054_0001
In some embodiments, R cannot be methoxy when Z is R , wherein R is an unsubstituted C1-6 alkyl or a para- substituted phenyl; and R9A is an optionally substituted N- linked amino acid or an optionally substituted N-linked amino acid ester derivative. In some
Figure imgf000054_0002
embodiments, R2A cannot be methoxy when Z1A is R9A . In some embodiments, 2A cannot be an alkoxy (for example, when ZI A is
Figure imgf000055_0001
In some embodiments,
BI A cannot be cytosine when R2A is an unsubstituted alkenyl or an unsubstituted alkynyl. In some embodiments, BI A cannot be thymine when R2A is an optionally substituted alkyl. In some embodiments, R2A cannot be an unsubstituted alkoxy (such as methoxy), an optionally substituted alkenyl (such as allenyl), an unsubstituted alkynyl (such as ethynyl) or a Ci alkyl substituted with a non-halogen substituent. In some embodiments, R2A cannot be an unsubstituted alkoxy (such as methoxy), an optionally substituted alkenyl (such as allenyl), an optionally substituted alkynyl (such as ethynyl) or a Ci-4 alkyl substituted with a non- halogen substituent. In some embodiments, R2A cannot be an optionally substituted alkynyl (such as ethynyl), CH3 or CF3. In some embodiments, when B1A is a substituted or unsubstituted cytosine, then R2A can be azido. In some embodiments R1A cannot be H. In some embodiments R1A cannot be H when B1A is an optionally substituted cytosine or an optionally substituted thymine. In some embodiments, R4A cannot be bromo. In some embodiments, a compound of Formula (I), or a pharmaceutically acceptable salt, cannot be 2'-C-methylcytidine, ribavirin, P-d-A^-hydroxycytidine, 2'-F-2'-methylcytidine, 2- thiouridine, 6-aza-uridine, 5-nitrocytidine and/or 2'-amino-2'-deoxycytidine, or a mono-, a di- and/or a tri -phosphate of the foregoing.
[0142] Various optionally substituted heterocyclic bases can be attached to the pentose ring. In some embodiments, one or more of the amine and/or amino groups may be protected with a suitable protecting group. For example, an amino group may be protected by transforming the amine and/or amino group to an amide or a carbamate. In some embodiments, an optionally substituted heterocyclic base or an optionally substituted heterocyclic base with one or more protected amino groups can have one of the following structures:
Figure imgf000056_0001
wherein: R can be selected from hydrogen, halogen and NHR , wherein R' can be selected from hydrogen, -C(=0)RK2 and -C(=0)ORL2; RB2 can be halogen or NHRW2, wherein RW2 can be selected from hydrogen, an optionally substituted C1-6 alkyl, an optionally substituted C2-6 alkenyl, an optionally substituted C3-8 cycloalkyl, -C(=0)RM2 and - C(=0)ORN2; RC2 can be hydrogen or NHR02, wherein R°2 can be selected from hydrogen, -
C(=0)R Pr2" and -C(=0)OR 02z; R D^2 can be selected from hydrogen, deuterium, halogen, an optionally substituted Ci-6 alkyl, an optionally substituted C2-6 alkenyl and an optionally substituted C2-6 alkynyl; RF2 can be selected from hydrogen, hydroxy, an optionally substituted Ci-6 alkyl, an optionally substituted C3-8 cycloalkyl, -C(=0)RR2 and -C(=0)ORS2;
RF2 can be selected from hydrogen, halogen, an optionally substituted C 1 -6 alkyl, an optionally substituted C kynyl; Y 2 and Y 3
2-6 alkenyl and an optionally substituted C2-6 al can be independently N (nitrogen) or CR 12 , wherei ·n R 12 can be selected from hydrogen, halogen, an optionally substituted Ci-6-alkyl, an optionally substituted C2-6-alkenyl and an optionally substituted C2-6-alkynyl; W1 can be NH or -NCH2-OC(=0)CH(NH2)-CH(CH3)2; RG2 can be an optionally substituted Ci-6 alkyl; R H2 can be hydrogen or NHR X2 , wherein R T2 can be independently selected from hydrogen, -C(=0)Ru2 and -C(=0)ORv2; and RK2, RL2, RM2, RN2, Rp2, R°2, RR2, RS2, Ru2 and Rv2 can be independently selected from hydrogen, C1 -6 alkyl, C2-6 alkenyl, C2-6 alkynyl, C3-6 cycloalkyl, C3-6 cycloalkenyl, C6-10 aryl, heteroaryl, heteroalicyclyl, aryl(C1-6 alkyl), heteroaryl(Ci_6 alkyl) and heteroalicyclyl(Ci-6 alkyl). In some embodiments, the structures shown above can be modified by replacing one or more hydrogens with substituents selected from the list of substituents provided for the definition of "substituted." [0143] In some embodiments, Blrt can be
Figure imgf000057_0001
. In other
embodiments, B1A can be
Figure imgf000057_0002
In still other embodiments, B1A can be
Figure imgf000057_0003
. In yet still other embodiments, B can
some embodiments, R D2
ca
Figure imgf000057_0004
be hydrogen. In other embodiments, B can be In some embodiments,
Ruz can be NH2. In other embodiments, Ra can be NHR , wherein Rwz can be -C(=0)R
or— C(=0)OR . In still other embodiments, B can be
Figure imgf000058_0001
. In some
embodiments, B1A can be
Figure imgf000058_0002
[0144] In some embodiments, a compound of Formula (I) can have a structure selected from one of the following:
Figure imgf000058_0003
Figure imgf000059_0001
Figure imgf000060_0001
-59-
Figure imgf000061_0001
Figure imgf000061_0002
or a pharmaceutically acceptable salt of the foregoing. In some embodiments of this paragraph, B1A can be an optionally substituted purine base. In other embodiments of this paragraph, B1A can be an optionally substituted pyrimidine base. In some embodiments of this paragraph, B1A can be guanine. In other embodiments of this paragraph, B1A can be thymine. In still other embodiments of this paragraph, B1A can be cytosine. In yet still other embodiments of this paragraph, B1A can be uracil. In some embodiments of this paragraph, B1A can be adenine. In some embodiments of this paragraph, 1A can be hydrogen. In other embodiments of this paragraph, R1A can be an optionally substituted acyl. In still other embodiments of this paragraph, R1A can be mono-, di- or triphosphate. In yet other embodiments of this paragraph, RIA can be phosphoramidate prodrug, such as an aryl phosphoramidate prodrug. In some embodiments of this paragraph, R1A can be an acyloxyalkyl ester phosphate prodrug. In other embodiments of this paragraph, R1A can be a S-acylthioethyl (SATE) prodrug. In still other embodiments, RIA can be a phosphonic diamide prodrug. In yet still other embodiments, of this paragraph, RIA can be a cyclic l-aryl-l,3-propanyl ester (HepDirect) prodrug moiety. In some embodiments of this paragraph, RIA be a cyclosaligenyl (cycloSal) prodrug.
[0145] In some embodiments, the compound can be a compound of Formula (II), or a pharmaceutically acceptable salt thereof, wherein: B1B can be an optionally substituted heterocyclic base or an optionally substituted heterocyclic base with a protected amino group;
Figure imgf000062_0001
, an optionally substituted N-linked amino acid and an optionally substituted N-linked amino acid ester derivative; R can be selected from an optionally substituted C1-6 alkyl, an optionally substituted C2-6 alkenyl, an optionally substituted C2-6 alkynyl, an optionally substituted -0-C1-6 alkyl, an optionally substituted -O-C3-6 alkenyl, an optionally substituted -O-C3-6 alkynyl and cyano; R3B can be selected from hydrogen, halogen, OR1D, an optionally substituted O-linked amino acid, azido and NR2DR3D; R1D can
D 2D 3D * * be hydrogen or -C(=0)R"u; R u and RJU can be independently hydro gen or an optionally substituted Ci-6 alkyl; R4B can be selected from hydrogen, halogen, an optionally substituted C1-6 alkyl, an optionally substituted C2_6 alkenyl and an optionally substituted C2_6 alkynyl; R5B, R6B, R8B and R9B can be independently selected from hydrogen, an optionally substituted Ci_24 alkyl and an optionally substituted aryl; R7B and RI 0B can be independently selected from hydrogen, an optionally substituted C1-24 alkyl, an optionally substituted aryl, an optionally substituted -O— C1-24 alkyl, an optionally substituted -O-aryl, an optionally substituted -O-heteroaryl and an optionally substituted -O-monocyclic heterocyclyl; R1 IB1 and RI 1B2 can be selected from hydrogen, an optionally substituted C1-24 alkyl and an optionally substituted aryl; j can be 1 or 2; kl can be 0 or 1 ; k2 can be 3, 4 or 5; R D can be an optionally substituted
Figure imgf000062_0002
and Z1B and Z2B can be independently O or S.
[0146] In some embodiments, R1B can be O". In other embodiments, R1B can be OH. In still other embodiments, R1 B can be an optionally substituted Ci-6 alkoxy. For example, RI B can be methoxy, ethoxy, n-propoxy, iso-propoxy, n-butoxy, iso-butoxy, tert- butoxy, straight or branched pentoxy or straight or branched hexoxy. [0147] In some embodiments, R can be O wherein R and
R can be independently selected from hydrogen, an optionally substituted Ci-24 alkyl and an optionally substituted aryl; and R7B can be selected from hydrogen, an optionally substituted Ci-24 alkyl, an optionally substituted aryl, an optionally substituted -0-C1-24 alkyl, an optionally substituted -O-aryl, an optionally substituted -O-heteroaryl or an optionally substituted -O-monocyclic heterocyclyl. In some embodiments, R5B and R6B can be hydrogen. In other embodiments, at least one of R B and R6B can be an optionally substituted Ci-24 alkyl or an optionally substituted aryl. In some embodiments, R7B can be an optionally substituted C1-24 alkyl. In other embodiments, R7B can be an optionally substituted aryl. In still other embodiments, R7B can be an optionally substituted -0-C1-24 alkyl, an optionally substituted -O-aryl, an optionally substituted -O-heteroaryl or an optionally substituted -O- monocyclic heterocyclyl.
0148] In some embodiments, R1B can be
Figure imgf000063_0001
wherein R and R can be independently selected from hydrogen, an optionally substituted C1-24 alkyl and an optionally substituted aryl; RI 0B can be independently selected from hydrogen, an optionally substituted C1-24 alkyl, an optionally substituted aryl, an optionally substituted -0-C1-24 alkyl, an optionally substituted -O-aryl, an optionally substituted -O-heteroaryl and an optionally substituted -O- monocyclic heterocyclyl; and Z can be independently O (oxygen) or S (sulfur). In some embodiments, R8B and R9B can be hydrogen. In other embodiments, at least one of R8B and
R9B
can be an optionally substituted Ci-24 alkyl or an optionally substituted aryl. In some embodiments, R10B can be an optionally substituted C1 -24 alkyl. In other embodiments, R10B can be an optionally substituted aryl. In still other embodiments, R10B can be an optionally substituted -O— Ci-24 alkyl, an optionally substituted -O-aryl, an optionally substituted -O- heteroaryl or an optionally substituted -O-monocyclic heterocyclyl. In some embodiments, j can be 1. In other embodiments, j can be 2. In some embodiments, Z can be O (oxygen). In other embodiments, Z2B can be or S (sulfur). In some embodiments, R1B can be isopropyloxycarbonyloxymethyloxy, and form a bis(isopropyloxycarbonyloxymethyl) (bis(POC)) prodrug. In some embodiments, R1B can be pivaloyloxymethyloxy, and form a bis(pivaloyloxymethyl) (bis(POM)) prodrug.
[0149] In some embodiments, R can be
Figure imgf000064_0001
. In some embodiments, Rn B I can be hydrogen. In other embodiments, RI 1 B I can be an optionally substituted C]-24 alkyl. In still other embodiments, R11B1 can be an optionally substituted aryl. In some embodiments, R11B1 can be a C1 -6 alkyl, for example, methyl, ethyl, n-propyl, isopropyl, n-butyl, isobutyl, tert-butyl, pentyl (branched and straight-chained) and hexyl (branched and straight-chained). In some embodiments, kl can be 0. In other embodiments, kl can be 1. In some embodiments, R1B can be a S-acylthioethoxy (SATE) group and form a SATE ester prodrug.
[0150] In some embodiments R can be
Figure imgf000064_0002
. In some embodiments, R1 1 B2 can be hydrogen. In other embodiments, R1 IB2 can be an optionally substituted C1-24 alkyl. In still other embodiments, RI 1B2 can be an optionally substituted aryl, for example, an optionally substituted phenyl. In some embodiments, RI 1B2 can be an optionally substituted C1-6 alkyl. In some embodiments, R1 IB2 can be an unsubstituted C1-6 alkyl. In some embodiments, k2 can be 3. In other embodiments, k2 can be 4. In still other embodiments, k2 can be 5.
[0151] In some embodiments, RI B can be an optionally substituted N-linked amino acid or an optionally substituted N-linked amino acid ester derivative. For example, R1B can be optionally substituted version of the following: alanine, asparagine, aspartate, cysteine, glutamate, glutamine, glycine, proline, serine, tyrosine, arginine, histidine, isoleucine, leucine, lysine, methionine, phenylalanine, threonine, tryptophan, valine and ester derivatives thereof. In some embodiments, R can be selected from alanine isopropyl ester, alanine cyclohexyl ester, alanine neopentyl ester, valine isopropyl ester and leucine isopropyl
ester. In some embodiments, R can have the structure
Figure imgf000065_0001
can be selected from hydrogen, an optionally substituted Ci.6-alkyl, an optionally substituted C3-6 cycloalkyl, an optionally substituted aryl, an optionally substituted aryl(Ci-6 alkyl) and an
13B
optionally substituted haloalkyl; R can be selected from hydrogen, an optionally substituted C1 -6 alkyl, an optionally substituted C1 -6 haloalkyl, an optionally substituted C3-6 cycloalkyl, an optionally substituted C6 aryl, an optionally substituted Ci0 aryl and an optionally substituted aryl(Ci-6 alkyl); and RI 4B can be hydrogen or an optionally substituted Ci_4-alkyl; or R13B and R14B can be taken together to form an optionally substituted C3-6 cycloalkyl.
13B 13B
[0152] When RiJD is substituted, R1JD can be substituted with one or more substituents selected from N-amido, mercapto, alkylthio, an optionally substituted aryl, hydroxy, an optionally substituted heteroaryl, O-carboxy and amino. In some embodiments,
13B
R can be an unsubstituted C^-alkyl, such as those described herein. In some
13B 13B
embodiments, R can be hydrogen. In other embodiments, R can be methyl. In some
12B
embodiments, R can be an optionally substituted Ci-6 alkyl. Examples of optionally substituted Ci-6-alkyls include optionally substituted variants of the following: methyl, ethyl, n-propyl, isopropyl, n-butyl, isobutyl, tert-butyl, pentyl (branched and straight-chained) and
1 B
hexyl (branched and straight-chained). In some embodiments, R can be methyl or isopropyl. In some embodiments, R12B can be ethyl or neopentyl. In other embodiments, R12B can be an optionally substituted C3-6 cycloalkyl. Examples of optionally substituted C3 -6 cycloalkyl include optionally substituted variants of the following: cyclopropyl, cyclobutyl, cyclopentyl, and cyclohexyl. In an embodiment, RI 2B can be an optionally substituted cyclohexyl. In still other embodiments, R12B can be an optionally substituted aryl, such as phenyl and naphthyl. In yet still other embodiments, RI 2B can be an optionally substituted aryl(C1-6 alkyl). In some embodiments, R12B can be an optionally substituted benzyl. In some embodiments, R12B can be an optionally substituted C1-6 haloalkyl, for example, CF3. In some embodiments, R can be hydrogen. In other embodiments, R can be an optionally substituted
Figure imgf000066_0001
such as methyl, ethyl, n-propyl, isopropyl, n-butyl, isobutyl and tert-butyl. In an embodiment, R14B can be methyl. In some embodiments, R13B and R14B can be taken together to form an optionally substituted C3-6 cycloalkyl. Examples of optionally substituted C3-6 cycloalkyl include optionally substituted variants of the following: cyclopropyl, cyclobutyl, cyclopentyl, and cyclohexyl. Depending on the groups that are selected for R13B and R14B, the carbon to which R13B and R14B are attached may be a chiral center. In some embodiment, the carbon to which R13B and R14B are attached may be a (R)- chiral center. In other embodiments, the carbon to which R13B and R14B are attached may be a (S)-chiral center.
Figure imgf000066_0002
Figure imgf000067_0001
[0154] A variety of substituents can be present at the 4'-position of the pentose
2B
ring. In some embodiments, R can be an optionally substituted C1-6 alkyl. Examples of suitable C1-6 alkyls include methyl, ethyl, n-propyl, isopropyl, n-butyl, isobutyl, tert-butyl, pentyl (branched and straight-chained) and hexyl (branched and straight-chained). In some
2B 2B embodiments, R can be an unsubstituted C i-6 alkyl. In other embodiments, R can be a
2B
substituted C1 -6 alkyl. For example, R can be a halogen substituted Ci-6 alkyl, a hydroxy substituted C i-6 alkyl (such as, CH2OH), an alkoxy substituted C1 -6 alkyl (such as, -C i-6 alkyl- O-Ci-6 alkyl and CH2OCH3), a sulfenyl substituted Ci -6 alkyl (for example, -Ci -6 alkyl-S-Ci-6 alkyl and CH2SCH3), an azido substituted C i-6 alkyl or amino substituted C i-6 alkyl. In some embodiments, R2B can be a C i -6 haloalkyl. For example, R2B can be a C i -6 bromoalkyl C i -6 chloroalkyl or a C ,-6 fluoroalkyl, such as CH2Br, CH2C1, CH2F, CHF2 or CHFCH3. In other
2B
embodiments, R can be a Ci-6 azidoalkyl (for example, N3CH2-). In still other
2B
embodiments, R can be a C1 -6 aminoalkyl (for example, NH2CH2-). In some embodiments,
R2B
can be an optionally substituted C2-6 alkenyl. In some embodiments, R2B can be a
2B
substituted C2-6 alkenyl. In other embodiments, R can be an unsubstituted C2-6 alkenyl. For example, R2B can be ethenyl, propenyl or allenyl. In still other embodiments, R2B can be an
2B
optionally substituted C2-6 alkynyl. In some embodiments, R can be a substituted C2-6 alkynyl. In other embodiments, R can be an unsubstituted C2-6 alkynyl. Suitable C2-6 alkynyls include ethynyl and propynyl. In yet still other embodiments, R 2B can be an optionally substituted C cycloalkyl. In some embodiments, R 2B
3-6 can be a substituted C3-6 cycloalkyl. In other embodiments, R 2B can be an unsubstituted C3-6 cycloalkyl. A non- limiting list of C3-6 cycloalkyls include cyclopropyl, cyclobutyl, cyclopentyl and cyclohexyl. In some embodiments, R can be an optionally substituted -0-C1-6 alkyl. In some embodiments, R2B can be a substituted -0-Ci-6 alkyl. In other embodiments, R2B can be an unsubstituted -0-C1-6 alkyl. Examples of suitable 0-C1-6 alkyl groups include methoxy, ethoxy, n-propoxy, iso-propoxy, n-butoxy, isobutoxy, tert-butoxy, pentoxy (branched and straight-chained) and hexoxy (branched and straight-chained). In other embodiments, R2B can be an optionally substituted -0-C3-6 alkenyl. In some embodiments, R2B can be a substituted - O-C3-6 alkenyl. In other embodiments, R2B can be an unsubstituted -O-C3-6 alkenyl. In still other embodiments, R2B can be an optionally substituted -0-C3-6 alkynyl. In some embodiments, R2B can be a substituted -0-C3-6 alkynyl. In other embodiments, R2B can be an unsubstituted -0-C3-6 alkynyl. In still other embodiments, R2B can be cyano. In yet still other embodiments, R2B can be halogen, such as fluoro.
[0155] Various substituents can be present at the 2'-position of the pentose ring. In some embodiments, R4B can be hydrogen. In other embodiments, R4B can be halogen, for example, fluoro. In still other embodiments, R4B can be an optionally substituted C1-6 alkyl. In some embodiments, R4B can be an unsubstituted C1-6 alkyl. In some embodiments, R4B can be a substituted C1-6 alkyl. In yet still other embodiments, R4B can be an optionally substituted C2-6 alkenyl. In some embodiments, R4B can be an unsubstituted C2-6 alkenyl. In some embodiments, R4B can be a substituted C2-6 alkenyl. In some embodiments, R4B can be an optionally substituted C2-6 alkynyl. In some embodiments, R4B can be an unsubstituted C2- 6 alkynyl. In some embodiments, R4B can be a substituted C2-6 alkynyl.
[0156] In some embodiments, R3B can be hydrogen. In other embodiments, R3B can be halogen, such as fluoro or chloro. In still other embodiments, R can be OR1 D. For example, R can be OH. In some embodiments, R can be OC(=0)R" . In other embodiments, R 3B can be an optionally substituted O-linked amino acid. In still other embodiments, R 3B can be azi ·do. In yet still other embodi ·ments, R 3B can be NR 2D R 3D . For example, can be amino, a mono-substituted amine or a di-substituted amine. When R is an optionally substituted O-linked amino acid, in some embodiments, RD4 can be selected from hydrogen, an optionally substituted Ci-6 alkyl, an optionally substituted Ci-6 haloalkyl, an optionally substituted C3-6 cycloalkyl, an optionally substituted Ce aryl, an optionally substituted C io aryl and an optionally substituted aryl(Ci-6 alkyl); and RD5 can be hydrogen or an optionally substituted Ci-4-alkyl; or RD4 and RD5 can be taken together to form an
Figure imgf000069_0001
[0157] In some embodiments, R can be halogen, such as fluoro or chloro. In some embodiments, R4B can be hydrogen and R3B can be halogen. In other embodiments, R3B and R4B can be both halogen. For example, R3B and R4B can be both fluoro.
[0158] In some embodiments, Z1B can be O (oxygen). In other embodiments, Z1B can be S (sulfur).
[0159] Various optionally substituted heterocyclic bases can be attached to the pentose ring. In some embodiments, one or more of the amine and/or amino groups may be protected with a suitable protecting group. For example, an amino group may be protected by transforming the amine and/or amino group to an amide or a carbamate. In some embodiments, an optionally substituted heterocyclic base or an optionally substituted heterocyclic base with one or more protected amino groups can have one of the following structures:
Figure imgf000070_0001
wherein: R can be selected from hydrogen, halogen and NHR , wherein R can be selected from hydrogen, -C(=0)RKB2 and -C(=0)ORLB2; RBB2 can be halogen or NHR*52, wherein R*52 can be selected from hydrogen, an optionally substituted C1-6 alkyl, an optionally substituted C2-6 alkenyl, an optionally substituted C3-8 cycloalkyl, -C(=0)RMB2 and -C(=0)ORNB2; RCB2 can be hydrogen or NHROB2, wherein ROB2 can be selected from hydrogen, -C(=0)RPB2 and -C(=0)ORQB2; RDB2 can be selected from hydrogen, deuterium, halogen, an optionally substituted C1-6 alkyl, an optionally substituted C2_6 alkenyl and an optionally substituted C2-6 alkynyl; REB2 can be selected from hydrogen, hydroxy, an optionally substituted C1-6 alkyl, an optionally substituted C3-8 cycloalkyl, -C(=0)RRB2 and -
C(=0)OR SOBU2"; R F' B °2" can be selected from hydrogen, halo gen, an optionally substituted C1-6 alkyl, an optionally substituted C2-6 alkenyl and an optionally substituted C2-6 alkynyl; Y 2B and Y 3B can be independently N (nitrogen) or CR TB2 , wherein R IB2 can be selected from hydrogen, halogen, an optionally substituted Ci-6-alkyl, an optionally substituted C2-6-alkenyl and an optionally substituted C2-6-alkynyl; RGB2 can be an optionally substituted Ci-6 alkyl;
R t~TB2 can be hydrogen or NHR TB2 , wherei ·n R TB2 can be independently selected from hydrogen, -C(=0)RUB2 and -C(=0)OR VVBBZ2;. and R BB/2, R , LLBB/2, R , MB2 R NB2 RPB2 R< QB2 R , RB2
RSB2, RUB2 and RVB2 can be independently selected from Ci-6 alkyl, C2-6 alkenyl, C2-6 alkynyl, C3-6 cycloalkyl, C3-6 cycloalkenyl, C6-io aryl, heteroaryl, heteroalicyclyl, aryl(Ci-6 alkyl), heteroaryl(Ci-6 alkyl) and heteroalicyclyl(Ci-6 alkyl). In some embodiments, the structures shown above can be modified by replacing one or more hydrogens with substituents selected from the list of substituents provided for the definition of "substituted." [0160] In some embodiments, B1D can be
Figure imgf000071_0001
. In other
embodiments, B can be
Figure imgf000071_0002
In still other embodiments, B1B can be
Figure imgf000071_0003
In yet still other embodiments, BIB can
be
Figure imgf000071_0004
, for example, . In some embodiments,
DB2 can be hydrogen. In other embodiments, BIB can be
Figure imgf000071_0005
In some
WB2 embodiments, RBB can be N¾. In other embodiments, RBCS can be NH WB/, wherein R can be -C(=0)RMB2 or -C(=0)ORNB2. In still other embodiments, BIB can be
Figure imgf000071_0006
some embodiments, B can be [0161] In some embodiments, a compound of Formula (II) can be selected from:
Figure imgf000072_0001
R B , or a pharmaceutically acceptable salt of the foregoing. In some embodiments of this paragraph, BIB can be an optionally substituted purine base. In other embodiments of this paragraph, B1B can be an optionally substituted pyrimidine base. In some embodiments of this paragraph, BIB can be guanine. In other embodiments of this paragraph, BIB can be thymine. In still other embodiments of this paragraph, BIB can be cytosine. In yet still other embodiments of this paragraph, BIB can be uracil. In some embodiments of this paragraph, B1B can be adenine. In some embodiments of this paragraph, Z1B can be oxygen. In some embodiments of this paragraph, ZIB can be sulfur. In still other embodiments of this paragraph, R1B can be alkylcarbonyloxyalkoxy. In yet still other embodiments of this paragraph, RI B can be alkoxycarbonyloxyalkoxy. In some embodiments of this paragraph, RI B can be a Ci-6 alkoxy.
[0162] In some embodiments, the compound can be a compound of Formula (III), or a pharmaceutically acceptable salt thereof, wherein: B can be an optionally substituted heterocyclic base or an optionally substituted heterocyclic base with a protected amino group; R and can be independently selected from O", OH, an optionally substituted Ci-6
alkoxy,
Figure imgf000072_0002
Figure imgf000073_0001
, an optionally substituted N- linked amino acid and an optionally substituted N-linked amino acid ester derivative; R can be selected from an optionally substituted Ci-6 alkyl, an optionally substituted C2-6 alkenyl, an optionally substituted C2-6 alkynyl, an optionally substituted -0-C]-6 alkyl, an optionally substituted -0-C3-6 alkenyl, an optionally substituted -0-C3-6 alkynyl, an optionally substituted C3-6 cycloalkyl and cyano; R can be selected from OH, -OC(=0)R and an optionally substituted O-linked amino acid; R can be selected from hydrogen, halogen, OR1D, an optionally substituted O-linked amino acid, azido and NR2DR3D; R1D can be
D 2D 3D
hydrogen or -C(=0)R"u; R"u and RJU can be independently hydrogen or an optionally substituted Ci-6 alkyl; R6C can be selected from hydrogen, halogen, an optionally substituted C]-6 alkyl, an optionally substituted C2-6 alkenyl and an optionally substituted C2-6 alkynyl;
9C IOC 12C 13C
R R , R1 " and R1J" can be independently selected from hydrogen, an optionally l lC 14C
substituted Ci-24 alkyl and an optionally substituted aryl; R and R can be independently selected from hydrogen, an optionally substituted Ci-24 alkyl, an optionally substituted aryl, an optionally substituted -0-Ci-24 alkyl, an optionally substituted -O-aryl, an optionally
15C 1 substituted -O-heteroaryl or an optionally substituted -O-monocyclic heterocyclyl; R
15C2
and R can be independently selected from hydrogen, an optionally substituted C1-24 alkyl and an optionally substituted aryl;— can be a single bond or a double bond; when is a single bond, each R7C and each R8C can be independently hydrogen or halogen; and when
- is a double bond, each R7C is absent and each R8C can be independently hydrogen or halogen; d can be 1 or 2; el can be 0 or 1 ; e2 can be 3, 4 or 5; R c and R D can be independently an optionally substituted C1-24-alkyl and ZI C can be O (oxygen) or S (sulfur).
[0163] can be a single bond such that Formula (III)
has the structure wherein each R and each R can independently hydrogen or halogen. In some embodiments, the R and the R groups can
7C 7C
all be hydrogen. In other embodiments, one R can be halogen, one R can be hydrogen
8C 7C
and both R groups can be hydrogen. In still other embodiments, one R can be halogen,
7C 8C 8C
one R can be hydrogen, one R can be halogen and one R can be hydrogen. In some embodiments, the carbon adjacent to the phosphorus and the 5 '-carbon can each be independently a (S)-chiral center. In some embodiments, the carbon adjacent to the phosphorus and the 5 '-carbon can each be independently a (R)-chiral center.
[0164] can be a double bond such that Formula (III)
has the structure
Figure imgf000074_0001
wherein each R is absent and each R can be independently hydrogen or halogen. In some embodiments, both R8C groups can be hydrogen. In other embodiments, one R can be halogen and the other R can be hydrogen. In some embodiments, both R groups can be halogen. In some embodiments, the double bond has a (Z)-configuration. In some embodiments, the double bond has a (E)- configuration.
[0165] In some embodiments, R and/or R can be O". In other embodiments, R and/or R can be OH. In some embodiments, R and R can be both OH.
[0166] 1 C 2C
embodiments, R and/or R can
Figure imgf000074_0002
R and R can be independently selected from
11C hydrogen, an optionally substituted Ci-24 alkyl and an optionally substituted aryl; and R can be selected from hydrogen, an optionally substituted Ci-24 alkyl, an optionally substituted aryl, an optionally substituted -0-Ci-24 alkyl, an optionally substituted -O-aryl, an optionally substituted -O-heteroaryl and an optionally substituted -O-monocyclic heterocyclyl. In
9C IOC 9C some embodiments, R and R can be hydrogen. In other embodiments, at least one of R
IOC
and R can be an optionally substituted Ci-24 alkyl or an optionally substituted aryl. In some embodiments, R can be an optionally substituted C1-24 alkyl. In other embodiments, R can be an optionally substituted aryl. In still other embodiments, R l ie can be an optionally substituted -0-C]-24 alkyl, an optionally substituted -O-aryl, an optionally substituted -O- heteroaryl or an optionally substituted -O-monocyclic heterocyclyl. In some embodiments,
Figure imgf000075_0001
[0167] In some embodiments, R 1C and/or R 2C can be
Figure imgf000075_0002
wherein R 12C and R13C can be independently selected from hydrogen, an optionally substituted C1-24 alkyl and an optionally substituted aryl; R14C can be independently selected from hydrogen, an optionally substituted C1-24 alkyl, an optionally substituted aryl, an optionally substituted -0-C1-24 alkyl, an optionally substituted -O-aryl, an optionally substituted -O-heteroaryl and an optionally substituted - O-monocyclic heterocyclyl; and ZIC can be independently O (oxygen) or S (sulfur). In some embodiments, R 12C and R 13C can be hydrogen. In other embodiments, at least one of R 12C and R13C can be an optionally substituted C1-24 alkyl or an optionally substituted aryl. In some embodiments, R 14C can be an optionally substituted C1-24 alkyl. In other embodiments,
R 14C can be an optionally substituted aryl. In still other embodiments, R 14C can be an optionally substituted -0-C1-24 alkyl, an optionally substituted -O-aryl, an optionally substituted -O-heteroaryl or an optionally substituted -O-monocyclic heterocyclyl. In some embodiments, d can be 1. In other embodiments, d can be 2. In some embodiments, Z can be O (oxygen). In other embodiments, Z 1 C can be or S (sulfur). In some embodiments, R 1 c and/or R 20 can be isopropyloxycarbonyloxymethoxy. In some embodiments, R 1 C and/or R 20 can be pivaloyloxymethoxy. some embodiments, R and R can be both
Figure imgf000075_0003
In some embodiments, R and R can be both isopropyloxycarbonyloxymethoxy. In other embodiments, R and R can be both pivaloyloxymethoxy. In some embodiments, R and R can be both a isopropyloxycarbonyloxymethoxy group, and form a bis(isopropyloxycarbonyloxymethyl) (bis(POC)) prodrug. In some embodiments, R and R can be both a pivaloyloxymethoxy group, and form a bis(pivaloyloxymethyl) (bis(POM)) prodrug.
embodiments, R 1C and/or 2C can be
Figure imgf000076_0001
In some embodiments, R " can be hydrogen. In other embodiments, R 1 ' ^ 1 can be an optionally substituted Ci.24 alkyl. In still other embodiments, R15C1 can be an optionally substituted aryl. In some embodiments, R15C1 can be a Ci-6 alkyl, for example, methyl, ethyl, n-propyl, isopropyl, n-butyl, isobutyl, tert-butyl, pentyl (branched and straight-chained) and hexyl (branched and straight-chained). In some embodiments, R
and R can be both
Figure imgf000076_0002
In some embodiments, el can be 0. In other embodiments, el can be 1. In some embodiments, R and R can be both acylthioethoxy (SATE) group and form a SATE ester prodrug.
0169] In some embodiments, R ic and R 2C can be both
In some embodiments, at least one of R and R can be
Figure imgf000076_0003
In some embodiments, R15C2 can be hydrogen. In other embodiments, RI 5C2 can be an optionally substituted C1-24 alkyl. In still other embodiments,
R can be an optionally substituted aryl, for example, an optionally substituted phenyl. In some embodiments, R can be an optionally substituted C1-6 alkyl. In some embodiments, can be an unsubstituted Ci-6 alkyl. In some embodiments, e2 can be 3. In other embodiments, e2 can be 4. In still other embodiments, e2 can be 5.
1C 2C
[0170] In some embodiments, R and/or R can be an optionally substituted N- linked amino acid or an optionally substituted N-linked amino acid ester derivative. For
1C 2C
example, R and/or R can be optionally substituted version of the following: alanine, asparagine, aspartate, cysteine, glutamate, glutamine, glycine, proline, serine, tyrosine, arginine, histidine, isoleucine, leucine, lysine, methionine, phenylalanine, threonine,
1C 2C tryptophan, valine and ester derivatives thereof. In some embodiments, R and/or R can be selected from alanine isopropyl ester, alanine cyclohexyl ester, alanine neopentyl ester, valine isopropyl ester and leucine isopropyl ester. In some embodiments, R1C and/or R2C can
Figure imgf000077_0001
R can be selected from hydrogen, an optionally substituted Ci^-alkyl, an optionally substituted C3-6 cycloalkyl, an optionally substituted aryl, an optionally substituted aryl(C1-6 alkyl) and an optionally substituted haloalkyl; R can be selected from hydrogen, an optionally substituted C1-6 alkyl, an optionally substituted C1-6 haloalkyl, an optionally substituted C3-6 cycloalkyl, an optionally substituted C6 aryl, an optionally substituted C10 aryl and an optionally substituted aryl(Ci.6
21 C 20C 1 C alkyl); and R can be hydrogen or an optionally substituted Ci-4-alkyl; or R and R can be taken together to form an optionally substituted C3-6 cycloalkyl.
[0171] When is substituted, R can be substituted with one or more substituents selected from N-amido, mercapto, alkylthio, an optionally substituted aryl, hydroxy, an optionally substituted heteroaryl, O-carboxy and amino. In some embodiments, R can be an unsubstituted C1 -6-alkyl, such as those described herein. In some
20C · 20C
embodiments, R can be hydrogen. In other embodiments, R can be methyl. In some
19C
embodiments, R can be an optionally substituted Ci-6 alkyl. Examples of optionally substituted Ci-6-alkyls include optionally substituted variants of the following: methyl, ethyl, n-propyl, isopropyl, n-butyl, isobutyl, tert-butyl, pentyl (branched and straight-chained) and
19C
hexyl (branched and straight-chained). In some embodiments, R can be methyl or
1 C
isopropyl. In some embodiments, R can be ethyl or neopentyl. In other embodiments, R can be an optionally substituted C3-6 cycloalkyl. Examples of optionally substituted C3-6 cycloalkyl include optionally substituted variants of the following: cyclopropyl, cyclobutyl, cyclopentyl, and cyclohexyl. In an embodiment, R 19C can be an optionally substituted cyclohexyl. In still other embodiments, R 19C can be an optionally substituted aryl, such as phenyl and naphthyl. In yet still other embodiments, R 19C can be an optionally substituted aryl(Ci-6 alkyl). In some embodiments, R can be an optionally substituted benzyl. In some embodiments, R 19C can be an optionally substituted Ci-6 haloalkyl, for example, CF3.
In some embodiments, R 21C can be hydrogen. In other embodi *ments, R 21C can be an optionally substituted C1-4-alkyl, such as methyl, ethyl, n-propyl, isopropyl, n-butyl, isobutyl and tert-butyl. In an embodiment, R 21C can be methyl. In some embodiments, R 20C and R 21C can be taken together to form an optionally substituted C3-6 cycloalkyl. Examples of optionally substituted C3-6 cycloalkyl include optionally substituted variants of the following: cyclopropyl, cyclobutyl, cyclopentyl, and cyclohexyl. Depending on the groups that are selected for R 2^0C and R 21 C , the carbon to which 20C and 21 C are attached may be a chiral center. In some embodiment, the carbon to which R 20C and R 1 C are attached may be a (R)- chiral center. In other embodiments, the carbon to which R 20C and R 21 C are attached may be a (S)-chiral center.
Figure imgf000078_0001
Figure imgf000079_0001
[0173] In some embodiments, R and R can be the same. In other
1C 2C
embodiments, R and R can be different.
[0174] In some embodiments, R can be
Figure imgf000079_0002
can be O" or OH, wherein R16C, R17C and R18C can be absent or hydrogen; and n can be 0 or 1.
16C 17C 18C
Those skilled in the art understand that when R , R and/or R are absent, the associated oxygen will be negatively charge. In some embodiments, when n is 0, the compound of Formula (III) will be a diphosphate. In other embodiments, when n is 1 , the compound of Formula (III) will be a triphosphate. [0175] A variety of substituents can be present at the 4'-position of the pentose
3C
ring. In some embodiments, R can be an optionally substituted Ci-6 alkyl. Examples of suitable Ci-6 alkyls include methyl, ethyl, n-propyl, isopropyl, n-butyl, isobutyl, tert-butyl, pentyl (branched and straight-chained) and hexyl (branched and straight-chained). In some
3C 3C embodiments, R can be an unsubstituted Ci-6 alkyl. In other embodiments, R can be a
3C
substituted Ci-6 alkyl. For example, R can be a halogen substituted Ci-6 alkyl, a hydroxy substituted Ci-6 alkyl (such as, CH2OH), an alkoxy substituted C1 -6 alkyl (such as, -Ci-6 alkyl- O-C1-6 alkyl and CH2OCH3), a sulfenyl substituted Ci-6 alkyl (for example, -Ci-6 alkyl-S-Ci-6 alkyl and CH2SCH3), an azido substituted C1-6 alkyl or amino substituted C1-6 alkyl. In some embodiments, R3C can be a C1-6 haloalkyl. For example, R3C can be a C1-6 bromoalkyl C1-6 chloroalkyl or a Ci-6 fluoroalkyl, such as CH2Br, CH2C1, CH2F, CHF2 or CHFCH3. In other embodiments, R3C can be a C1-6 azidoalkyl (for example, N3CH2-). In still other embodiments, R3C can be a Ci-6 aminoalkyl (for example, NH2CH2-). In other embodiments,
R3C
can be an optionally substituted C2-6 alkenyl. In some embodiments, R can be a substituted C2-6 alkenyl. In other embodiments, R3C can be an unsubstituted C2-6 alkenyl. For example, R3C can be ethenyl, propenyl or allenyl. In still other embodiments, R3C can be an optionally substituted C2_6 alkynyl. In some embodiments, R3C can be a substituted C2_6 alkynyl. In other embodiments, R3C can be an unsubstituted C2-6 alkynyl. Suitable C2-6 alkynyls include ethynyl and propynyl. In yet still other embodiments, R can be an optionally substituted C3-6 cycloalkyl. In some embodiments, R can be a substituted C3-6 cycloalkyl. In other embodiments, R can be an unsubstituted C3 -6 cycloalkyl. A non- limiting list of C3-6 cycloalkyls include cyclopropyl, cyclobutyl, cyclopentyl and cyclohexyl. In some embodiments, R can be an optionally substituted -0-C1 -6 alkyl. In some embodiments, R can be a substituted -0-Ci-6 alkyl. In other embodiments, R can be an unsubstituted -0-Ci-6 alkyl. Examples of suitable 0-Ci-6 alkyl groups include methoxy, ethoxy, n-propoxy, iso-propoxy, n-butoxy, isobutoxy, tert-butoxy, pentoxy (branched and straight-chained) and hexoxy (branched and straight-chained). In other embodiments, R
3C can be an optionally substituted -0-C3-6 alkenyl. In some embodiments, R can be a
3C
substituted -0-C3-6 alkenyl. In other embodiments, R can be an unsubstituted -0-C3-6
3C
alkenyl. In still other embodiments, R can be an optionally substituted -0-C3-6 alkynyl. In some embodiments, R can be a substituted -0-C3-6 alkynyl. In other embodiments, R can be an unsubstituted -0-C3-6 alkynyl. In still other embodiments, R 3C can be cyano.
[0176] The substituents that can be present on the 3 '-position of the pentose ring can vary. In some embodiments, R can be OH. In other embodiments, R can be an optionally substituted O-linked amino acid. Examples of suitable O-linked amino acids include alanine, asparagine, aspartate, cysteine, glutamate, glutamine, glycine, proline, serine, tyrosine, arginine, histidine, isoleucine, leucine, lysine, methionine, phenylalanine, threonine, tryptophan and valine. Additional examples of suitable amino acids include, but are not limited to, ornithine, hypusine, 2-aminoisobutyric acid, dehydroalanine, gamma-aminobutyric acid, citrulline, beta-alanine, alpha-ethyl-glycine, alpha-propyl-glycine and norleucine. In
some embodiments, the O-linked amino acid can have the structure
Figure imgf000081_0001
wherein R can be selected from hydrogen, an optionally substituted Ci-6 alkyl, an optionally substituted Ci-6 haloalkyl, an optionally substituted C3-6 cycloalkyl, an optionally substituted C6 aryl, an optionally substituted Cio aryl and an optionally substituted aryl(Ci-6 alkyl); and R can be hydrogen or an optionally substituted
Figure imgf000081_0002
or R and R can be taken together to form an optionally substituted C3-6 cycloalkyl.
[0177] When is substituted, can be substituted with one or more substituents selected from N-amido, mercapto, alkylthio, an optionally substituted aryl, hydroxy, an optionally substituted heteroaryl, O-carboxy and amino. In some embodiments,
R 22C can be an unsubstituted Ci-6-alkyl, such as those described herein. In some embodiments, R 22C can be hydrogen. In other embodi ·ments, R 22C can be methyl. In some embodiments, R 23 C can be hydrogen. In other embodiments, R 23 C can be an optionally substituted Ci-4-alkyl, such as methyl, ethyl, n-propyl, isopropyl, n-butyl, isobutyl and tert- butyl. In an embodiment, R 23C can be methyl. Depending on the groups that are selected for
22"C and R 23C , the carbon to which 22C and 23C are attached may be a chiral center. In some embodiment, the carbon to which R 22C and R 23C are attached may be a (R)-chiral center. In other embodiments, the carbon to which R 22C and R 23C are attached may be a (S)- chiral center. [0178] Examples of suitable
Figure imgf000082_0001
include the followin;
Figure imgf000082_0002
[0179] In still other embodiments, R4C can be -OC(=0)R c, wherein R"c can be an optionally substituted C1-24 alkyl. In some embodiments, R c can be a substituted C1-12 alkyl. In other embodiments, R c can be an unsubstituted C1-12 alkyl. In still other embodiments, R c can be a substituted C1-8 alkyl. In yet still other embodiments, R c can be an unsubstituted C1-8 alkyl. In some embodiments, R4C can be an optionally substituted acyl. In other embodiments, R can be -OC(=0)R ", wherein R " can be selected from an optionally substituted C1-12 alkyl, an optionally substituted C2-12 alkenyl, an optionally substituted C2-12 alkynyl, an optionally substituted C3-8 cycloalkyl, an optionally substituted C5-8 cycloalkenyl, an optionally substituted C6-1o aryl, an optionally substituted heteroaryl, an optionally substituted heterocyclyl, an optionally substituted aryl(C] .6 alkyl), an optionally substituted heteroaryl(C]-6 alkyl) and an optionally substituted heterocyclyl(Ci-6 alkyl). In some embodiments, R can be a substituted Ci-12 alkyl. In other embodiments, R can be an unsubstituted Ci-12 alkyl.
[0180] Various substituents can be present at the 2' -position of the pentose ring. In some embodiments, R6C can be hydrogen. In other embodiments, R6C can be halogen, for example, fluoro. In still other embodiments, R6C can be an optionally substituted C1- alkyl. In some embodiments, R6C can be an unsubstituted Ci-6 alkyl. In some embodiments, R6C can be a substituted C1-6 alkyl. In yet still other embodiments, R6C can be an optionally substituted C2-6 alkenyl. In some embodiments, R6C can be an unsubstituted C2-6 alkenyl. In some embodiments, R6C can be a substituted C2-6 alkenyl. In some embodiments, R6C can be an optionally substituted C2-6 alkynyl. In some embodiments, can be an unsubstituted C2- 6 alkynyl. In some embodiments, R6C can be a substituted C2-6 alkynyl.
5C · 5C
[0181] In some embodiments, R can be hydrogen. In other embodiments, R can be halogen, such as fluoro or chloro. In still other embodiments, R can be OR1D For example, R can be OH. In some embodiments, R can be OC(=0)R"D In other
5C
embodiments, R can be an optionally substituted O-linked amino acid. In still other
5C 5C 2D 3D embodiments, R can be azido. In yet still other embodiments, R can be NR R . For
5C 5C example, R can be amino, a mono-substituted amine or a di-substituted amine. When R is an optionally substituted O-linked amino acid, in some embodiments, RD4 can be selected from hydrogen, an optionally substituted Ci-6 alkyl, an optionally substituted Ci-6 haloalkyl, an optionally substituted C3-6 cycloalkyl, an optionally substituted C6 aryl, an optionally substituted C10 aryl and an optionally substituted aryl(Ci_6 alkyl); and RD5 can be hydrogen or an optionally substituted Q-4-alkyl; or RD4 and RD5 can be taken together to form an optionally substituted C3-6 cycloalkyl. Examples of suitable O-linked amino acids for R5C
Figure imgf000083_0001
[0182] In some embodiments, R6C can be hydrogen and R5C can be halogen. In other embodiments, R and R can be both halogen. For example, R and R can be both fluoro.
[0183] Various optionally substituted heterocyclic bases can be attached to the pentose ring. In some embodiments, one or more of the amine and/or amino groups may be protected with a suitable protecting group. For example, an amino group may be protected by transforming the amine and/or amino group to an amide or a carbamate. In some embodiments, an optionally substituted heterocyclic base or an optionally substituted heterocyclic base with one or more protected amino groups can have one of the following structures:
Figure imgf000084_0001
wherein: R can be selected from hydrogen, halogen and NHR , wherein R can be selected from hydrogen, -C(=0)RKC2 and -C(=0)ORLC2; RBC2 can be halogen or NHRWC2, wherein RWC2 can be selected from hydrogen, an optionally substituted Ci_6 alkyl, an optionally substituted C2_6 alkenyl, an optionally substituted C3-8 cycloalkyl, -C(=0)RMC2 and -C(=0)ORNC2; RCC2 can be hydrogen or NHROC2, wherein ROC2 can be selected from hydrogen, -C(=0)R and -C(=0)ORv ; R can be selected from hydrogen, halogen, an optionally substituted Ci-6 alkyl, an optionally substituted C2-6 alkenyl and an optionally substituted C2-6 alkynyl; REC2 can be selected from hydrogen, hydroxy, an optionally substituted Ci-6 alkyl, an optionally substituted C3-8 cycloalkyl, -C(=0)R and - C(=0)OR ; R can be selected from hydrogen, halogen, an optionally substituted Ci-6 alkyl, an optionally substituted C2-6 alkenyl and an optionally substituted C2-6 alkynyl; Y and Y can be independently N (nitrogen) or CR , wherein R can be selected from hydrogen, halogen, an optionally substituted
Figure imgf000084_0002
an optionally substituted C2-6-alkenyl and an optionally substituted C2-6-alkynyl; RGC2 can be an optionally substituted Ci-6 alkyl;
R H.C2 can be hydrogen or NHR TC2 , wherei ·n R TC2 can be independently selected from hydrogen, -C(=0)RUC2 and -C(=0)OR VVLC2; and R^ KCz2, R ,^LCz2, R , MC2 R NC2 RPC2 R< QC2 R ,R"C2
R SC2 , R UuC^2 and R VvC"2z can be independently selected from Ci-6 alkyl, C2-6 alkenyl, C2-6 alkynyl, C3-6 cycloalkyl, C3-6 cycloalkenyl, C6-io aryl, heteroaryl, heteroalicyclyl, aryl(Ci-6 alkyl), heteroaryl(Ci-6 alkyl) and heteroalicyclyl(Ci-6 alkyl). In some embodiments, the structures shown above can be modified by replacing one or more hydrogens with substituents selected from the list of substituents provided for the definition of "substituted."
[0184] In some embodiments, B can be
Figure imgf000085_0001
In other
embodiments, BI C can be
Figure imgf000085_0002
In still other embodiments, B1C can be
Figure imgf000085_0003
. In yet still other embodiments, B11" can
bodiments,
Figure imgf000085_0004
can be hydrogen. In other embodiments, B In some
WC2 embodiments, RBL can be NH2. In other embodiments, RB can be NHR"^, wherein R can be -C(=0)RML/ or -C(=0)OR1N . In still other embodiments, B can be
Figure imgf000086_0001
[0185] In some embodiments, the compound of Formula (III) can have one of the
Figure imgf000086_0002
In some embodiments of this paragraph, B can be an optionally substituted purine base. In other embodiments of this paragraph, B can be an optionally substituted pyrimidine base. In some embodiments of this paragraph, B can be guanine. In other embodiments of this
1C · · · 1C paragraph, B can be thymine. In still other embodiments of this paragraph, B can be cytosine. In yet still other embodiments of this paragraph, B can be uracil. In some embodiments of this paragraph, B can be adenine. In some embodiments of this paragraph, R and R " can each be an optionally substituted C alkyl. In other embodiments of this paragraph, R1A can be an optionally substituted acyl. In still other embodiments of this paragraph, R and R can form a mono-, di- or tri-phosphate. In yet other embodiments of
1C 2C
this paragraph, R and R can each be an alkylcarbonyloxyalkoxy. In some embodiments of this paragraph, R4C can be OH. In some embodiments of this paragraph, R5C can be F or CI, and R6C can be hydrogen. [0186] Examples of suitable compounds of Formula (I) include, but limited to the following:
Figure imgf000087_0001
Figure imgf000088_0001
-87-
Figure imgf000089_0001
Figure imgf000090_0001
-89-
Figure imgf000091_0001
Figure imgf000092_0001
Figure imgf000093_0001
Figure imgf000094_0001
-93- [0187] Additional examples of a compound of Formula (I) include the following:
Figure imgf000095_0001
Figure imgf000096_0001
-95-
Figure imgf000097_0001
-96-
Figure imgf000098_0001
Figure imgf000099_0001
-98-
Figure imgf000100_0001
-99-
Figure imgf000101_0001
-100-
Figure imgf000102_0001
-101-
Figure imgf000103_0001
-102-
Figure imgf000104_0001
Figure imgf000105_0001
Figure imgf000106_0001
Figure imgf000106_0002
or a pharmaceutically acceptable salt of the foregoing.
[0188] Further examples of a compound of Formula (I) include, but limited to the following:
Figure imgf000106_0003
Figure imgf000107_0001
Figure imgf000108_0001
Figure imgf000109_0001
Figure imgf000110_0001
Figure imgf000111_0001
Figure imgf000112_0001
Figure imgf000113_0001
Figure imgf000114_0001
Figure imgf000115_0001
Figure imgf000116_0001
Figure imgf000117_0001
-116-
Figure imgf000118_0001
Figure imgf000119_0001
Figure imgf000120_0001
ĭ119
Figure imgf000121_0001
Figure imgf000122_0001
Figure imgf000123_0001
Figure imgf000124_0001
, or a pharmaceutically acceptable salt of the foregoing.
[0189] Examples of a compound of Formula (II) include, but are not limited to, the following:
Figure imgf000124_0002
Figure imgf000125_0001
Figure imgf000126_0001
or a pharmaceutically acceptable salt of the foregoing.
[0191] Further examples of a compound of Formula (III) include, but are not limited to, the following:
Figure imgf000127_0001
pharmaceutically acceptable salt of the foregoing.
[0192] Compounds disclosed herein, for example compounds of Formulae (I), (II) and (III), and pharmaceutically acceptable salts of the foregoing, can be administered in various ways. Examples of suitable techniques for administration include, but not limited to, oral, rectal, topical, aerosol, injection and parenteral delivery, including intramuscular, subcutaneous, intravenous, intramedullary injections, intrathecal, direct intraventricular, intraperitoneal, intranasal and intraocular injections.
[0193] One may also administer the compound in a local rather than systemic manner, for example, via injection of the compound directly into the infected area, often in a depot or sustained release formulation. Furthermore, one may administer the compound in a targeted drug delivery system, for example, in a liposome coated with a tissue-specific antibody. The liposomes will be targeted to and taken up selectively by the organ. In some embodiments, a compound described herein (such as a compound of Formula (I), a compound of Formula (II) and/or a compound of Formula (III), and pharmaceutically acceptable salts of the foregoing) can be administered intranasally. In other embodiments, a compound described herein (such as a compound of Formula (I), a compound of Formula (II) and/or a compound of Formula (III), and pharmaceutically acceptable salts of the foregoing) can be administered via an injection.
[0194] The compositions may, if desired, be presented in a pack or dispenser device which may contain one or more unit dosage forms containing the active ingredient. The pack may for example comprise metal or plastic foil, such as a blister pack. The pack or dispenser device may be accompanied by instructions for administration. The pack or dispenser may also be accompanied with a notice associated with the container in form prescribed by a governmental agency regulating the manufacture, use, or sale of pharmaceuticals, which notice is reflective of approval by the agency of the form of the drug for human or veterinary administration. Such notice, for example, may be the labeling approved by the U.S. Food and Drug Administration for prescription drugs, or the approved product insert. Compositions that can include a compound described herein formulated in a compatible pharmaceutical carrier may also be prepared, placed in an appropriate container, and labeled for treatment of an indicated condition.
Synthesis
[0195] Compounds of Formula (I), Formula (II) and Formula (III), and those described herein may be prepared in various ways. Some compounds of Formulae (I), (II) and (III) can be obtained commercially and/or prepared utilizing known synthetic procedures. General synthetic routes to the compounds of Formulae (I), (II) and (III), and some examples of starting materials used to synthesize the compounds of Formulae (I), (IT) and (ITT) are shown and described herein. The routes shown and described herein are illustrative only and are not intended, nor are they to be construed, to limit the scope of the claims in any manner whatsoever. Those skilled in the art will be able to recognize modifications of the disclosed syntheses and to devise alternate routes based on the disclosures herein; all such modifications and alternate routes are within the scope of the claims.
Scheme 1
Figure imgf000129_0001
[0196] As shown in Scheme 1 , compounds of Formula (I) can be prepared from a nucleoside, for example, a nucleoside of Formula (A). In Scheme 1 , a, R3 , R4a, R5 , and Bl a can be the same as RA, R3A, R4A, R5A, and B1A as described herein for Formula (I), and PG1 is a suitable protecting group. The 5 '-position of the nucleoside can be oxidized to an aldehyde using methods known to those skilled in the art. Suitable oxidation conditions include, but are not limited to, Moffatt oxidation, Swern oxidation and Corey-Kim oxidation; and suitable oxidizing agents include, but are not limited to, Dess-Martin periodinane, IBX (2- iodoxybenzoic acid), TPAP/NMO (tetrapropylammonium perruthenate/N-methylmorpholine N-oxide), Swern oxidation reagent, PCC (pyridinium chlorochromate), PDC (pyridinium dichromate), sodium periodate, Collin's reagent, ceric ammonium nitrate CAN, Na2Cr207 in water, Ag2C03 on celite, hot HN03 in aqueous glyme, 02-pyridine CuCl, Pb(OAc)4-pyridine and benzoyl peroxide-NiBr2. A hydroxymethyl group can be added to the 4'-position of the pentose ring along with the reduction of the aldehyde to an alcohol. The hydroxymethyl group can be added via a condensation reaction using formaldehyde and a base, such as sodium hydroxide. After addition of the hydroxymethyl group, reduction of the intermediate compound with a 4 '-hydroxymethyl group can be conducted using a reducing reagent. Examples of suitable reducing agents include, but are not limited to, NaBH4 and L1AIH4. The oxygen attached to the 5 '-carbon of Formula (B) can be protected, and the hydroxymethyl group at the 4'-position can be oxidized to an aldehyde using a suitable oxidizing agent(s) to form a compound of Formula (C). Examples of suitable oxidizing agent(s) are described herein. An optionally substituted C2-6 alkenyl or an optionally substituted C2-6 alkynyl can be formed at the 4'-position using methods known to those skilled in the art, for example, Wittig reagent and n-BuLi, Wittig-type reactions, Peterson olefination reaction, and Corey Fuchs reaction. An optionally substituted C1 -6 alkyl can be obtained by hydrogenating the unsaturated group attached to the 4 '-position, for example, using hydrogen over palladium on carbon.
[0197] Alternatively, a compound of Formula (B) can be transformed to a haloalkyl using a suitable agent(s), for example, to an iodide using imidazole, triphenylphosphine and iodine; to a fluoro using diethylaminosulfur trifluoride (DAST); or to a chloro using triphenylphosphine and carbontetrachloride in dichloroethylene (DCE). An iodoalkyl can be transformed to an unsubstituted C1-6 alkyl group using methods known to those skilled in the art, for example, hydrogen over palladium on carbon. A compound of Formula (C) can be reacted with hydroxylamine to form an oxime. The oxime can be transformed to a cyano group using methods known to those skilled in the art, for example, using methanesulfonyl chloride.
Scheme 2
Figure imgf000130_0001
[0198] As shown in Scheme 2, compounds of Formula (I), where is an optionally substituted -0-C1-6 alkyl, an optionally substituted -0-C3-6 alkenyl or an optionally substituted -0-C3-6 alkynyl, can be prepared from a nucleoside, for example, a nucleoside of Formula (A). In Scheme 2, Ra, R2a, R3a, R4 , R5a and Bl a can be the same as A, R2A, R3A, R4A, R5A and B1A as described herein for Formula (I), and PG2 can be a suitable protecting group. The nucleoside can undergo elimination and form an olefin having the general formula of Formula (D). A compound of Formula (D) can be treated with an iodinating reagent in the presence of lead carbonate and an alkoxy source to form a compound of Formula (E). A compound of Formula (E) can then be transformed to a compound of Formula (I) through displacement of the iodide with an oxygen nucleophile.
Scheme 3
Figure imgf000131_0001
[0199] Compounds of Formula (I), where R is an azidoalkyl or haloalkyl can be prepared from a compound of Formula (B). In Scheme 3, Ra, R3a, R4a, R5a and Bla can be the same as RA, R3A, R4A, R5A and B1A as described herein for Formula (I), PG3 can be a suitable protecting group and LG1 can be a suitable leaving group. A suitable leaving group, such as a triflate, can be formed by replacing the hydrogen of the hydroxymethyl group attached to the 4 '-position, and the oxygen attached to the 5 '-position can be protected with a suitable protecting group (for example, by cyclization with the base, Bl a, or with a separate protecting group). The leaving group can be replaced with an azido or halo group using a metal azide reagent or metal halide, respectively. An example of a suitable metal azide is sodium azide. An example of a suitable metal halide is lithium chloride. A C1-6 azidoalkyl at the 4'-position can be reduced to a C1-6 aminoalkyl. Various reduction agents/conditions known to those skilled in the art can be utilized. For example, the azido group can be reduced to an amino group via hydrogenation (for example, H2-Pd/C or HC02NH4-Pd/C), Staudinger Reaction, NaBH4/CoCl2'6 H20, Fe/NH4C1 or Z1VNH4CI.
Scheme 4
Figure imgf000132_0001
Figure imgf000132_0002
Scheme 5
Figure imgf000133_0001
(G)
[0200] Compounds of Formula (I) having a phosphorus containing group attached to the 5 '-position of the pentose ring can be prepared using various methods known to those skilled in the art. Examples of methods are shown in Schemes 4 and 5. In Schemes 4 and 5, Ra, R2a, R3a, R4a, R5a and Bla can be the same as RA, R2A, R3A, R4A, R A and B1A as described herein for Formula (I). A phosphorus containing precursor can be coupled to the nucleoside, for example, a compound of Formula (F) or a compound of Formula (G). As shown in Scheme 4, following the coupling of the phosphorus containing precursor, any leaving groups can be cleaved under suitable conditions, such as hydrolysis. Further phosphorus containing groups can be added using methods known to those skilled in the art, for example using a pyrophosphate.
[0201] In some embodiments, an alkoxide can be generated from a compound of Formula (G) using an organometallic reagent, such as a Grignard reagent. The alkoxide can be coupled to the phosphorus containing precursor. Suitable Grignard reagents are known to those skilled in the art and include, but are not limited to, alkylmagnesium chlorides and alkylmagnesium bromides. In some embodiments, an appropriate base can be used. Examples of suitable bases include, but are not limited to, an amine base, such as an alkylamine (including mono-, di- and tri-alkylamines (e.g., triethylamine)), optionally substituted pyridines (e.g. collidine) and optionally substituted imidazoles (e.g., N- methylimidazole)). Alternatively, a phosphorus containing precursor can be added to the nucleoside and form a phosphite. The phosphite can be oxidized to a phosphate using conditions known to those skilled in the art. Suitable conditions include, but are not limited to, meta-chloroperoxybenzoic acid (MCPBA) and iodine as the oxidizing agent and water as the oxygen donor.
[0202] When compounds of Formula (I) have Z1A, Z2A or Z3A being sulfur, the sulfur can be added in various manners known to those skilled in the art. In some embodiments, the sulfur can be part of the phosphorus containing precursor, for example,
S S
R6A0— P— CI or OH R8A0— P— CI
R7A0 or R9A . Alternatively, the sulfur can be added using a sulfurization reagent. Suitable sulfurization agents are known to those skilled in the art, and include, but are not limited to, elemental sulfur, Lawesson's reagent, cyclooctasulfur, 3H-1,2- Benzodithiole-3 -one- 1,1 -dioxide (Beaucage's reagent), 3-((N,N- dimethylaminomethylidene)amino)-3H-l ,2,4-dithiazole-5-thione (DDTT) and bis(3- triethoxysilyl)propyl-tetrasulfide (TEST).
[0203] Suitable phosphorus containing precursors can be commercially obtained or prepared by synthetic methods known to those skilled in the art. Examples of general structures of phosphorus containing precursors are shown in Schemes 4 and 5.
Scheme 6:
Figure imgf000135_0001
[0204] A method for forming a compound of Formula (II) is shown in Scheme 6. In Scheme 6, Rlb, R2b, R3b, R4b and Blb can be the same as RIB, R2B, R3B, R4B and BIB as described herein for Formula (II), each L1 can be a halogen, a sulfonate ester or an amine (mono- or di-substituted), and X can be oxygen or sulfur. As shown in Scheme 6, a compound having a hydroxy group attached to the 3 '-carbon and a hydroxy group attached to the 5 '-carbon can be reacted with a compound having the formula, (Rl )P(L' )2, in the presence of a base, to produce a phosphite compound. Suitable bases are known to those skilled in the art and described herein. The phosphorus can then be oxidized to phosphorus(V) using a suitable oxidizing agent, to produce a compound where X is O (oxygen). Alternatively, the phosphite compound can be reacted with a sulfurization reagent to produce a compound where X is S (sulfur). Suitable oxidizing and sulfurization agents are known to those skilled in the art. For example, the oxidation can be carried out using iodine as the oxidizing agent and water as the oxygen donor. Suitable sulfurization agents are described herein.
Scheme 7
Figure imgf000136_0001
[0205] A method for forming a compound of Formula (III) is shown in Scheme 7. In Scheme 7, Rl c, R2c, R3c, R4c, R5c, R6c and Bl c can be the same as R1C, R2C, R3C, R4C, R5C,
6C 1 C VC 8C
R and B as described herein for Formula (III), and R and R are not shown. The oxygen attached to the 5 '-carbon of the compound of Formula (H) can be oxidized to a ketone using methods and reagents known to those skilled in the art. For example, an oxidizing agent, such as Dess-Martin periodinane, can be utilized. A phosphorus-containing reagent can then be added to a compound of Formula (J) in the presence of a strong base (e.g., sodium hydride). The double bond can be hydrogenated, for example using hydrogen gas or Pd/C, to a single bond. Additional phosphates can be added via phosphorylation to form a di- or tri-phosphate using suitable reagents, such as a pyrophosphate (e.g., tetrabutylammonium pyrophosphate).
[0206] An acyl group can be added to the 5'-position and/or the 3'-position of a compound of Formula (I) or (III) using methods known to those skilled in the art. One suitable method is using an anhydride in pyridine.
[0207] During the synthesis of any of the compounds described herein, if desired, any hydroxy groups attached to the pentose ring, and any -NH and/or NH2 groups present on the Bla, Bl and Blc can be protected with one or more suitable protecting groups. Suitable protecting groups are described herein. For example, when 3a and/or R4c is a hydroxy group, R3a and/or R4c can be protected with a triarylmethyl group or a silyl group. Likewise, any -NH and/or NH2 groups present on the Bla, Blb and Blc can be protected, such as with a triarylmethyl and a silyl group(s). Examples of triarylmethyl groups include but are not limited to, trityl, monomethoxytrityl (MMTr), 4,4'-dimethoxytrityl (DMTr), 4,4',4"- trimethoxytrityl (TMTr),. 4,4',4"-tris- (benzoyloxy) trityl (TBTr), 4,4',4"-tris (4,5- dichlorophthalimido) trityl (CPTr), 4,4',4"-tris (levulinyloxy) trityl (TLTr), p-anisyl-1- naphthylphenylmethyl, di-o-anisyl-l-naphthylmethyl, p-tolyldipheylmethyl, 3- (imidazolylmethyl)-4,4'-dimethoxytrityl, 9-phenylxanthen-9-yl (Pixyl), 9-(p-methoxyphenyl) xanthen-9-yl (Mox), 4-decyloxytrityl, 4- hexadecyloxytrityl, 4,4'-dioctadecyltrityl, 9-(4- octadecyloxyphenyl) xanthen-9-yl, l, -bis-(4-methoxyphenyl)-l'-pyrenylmethyl, 4,4',4"-tris- (tert-butylphenyl) methyl (TTTr) and 4,4'-di-3, 5-hexadienoxytrityl. Examples of silyl groups include, but are not limited to, trimethylsilyl (TMS), tert-butyldimethylsilyl (TBDMS), triisopropylsilyl (TIPS), tert-butyldiphenylsilyl (TBDPS), tri-zso-propylsilyloxymethyl and [2-(trimethylsilyl)ethoxy]methyl. Alternatively, R3a and R4a and/or R4c and R5c can be protected by a single achiral or chiral protecting group, for example, by forming an orthoester, a cyclic acetal or a cyclic ketal. Suitable orthoesters include methoxymethylene acetal, ethoxymethylene acetal, 2-oxacyclopentylidene orthoester, dimethoxymethylene orthoester, 1-methoxyethylidene orthoester, 1 -ethoxyethylidene orthoester, methylidene orthoester, phthalide orthoester 1 ,2-dimethoxyethylidene orthoester, and alpha- methoxybenzylidene orthoester; suitable cyclic acetals include methylene acetal, ethylidene acetal, t-butylmethylidene acetal, 3-(benzyloxy)propyl acetal, benzylidene acetal, 3,4- dimethoxybenzylidene acetal and p-acetoxybenzylidene acetal; and suitable cyclic ketals include 1-t-butylethylidene ketal, 1-phenylethylidene ketal, isopropylidene ketal, cyclopentylidene ketal, cyclohexylidene ketal, cycloheptylidene ketal and l-(4- methoxyphenyl)ethylidene ketal. Those skilled in the art will appreciate that groups attached to the pentose ring and any -NH and/or NH2 groups present on the Bla, Blb and Blc can be protected with various protecting groups, and any protecting groups present can be exchanged for other protecting groups. The selection and exchange of the protecting groups is within the skill of those of ordinary skill in the art. Any protecting group(s) can be removed by methods known in the art, for example, with an acid (e.g., a mineral or an organic acid), a base or a fluoride source.
Pharmaceutical Compositions
[0208] Some embodiments described herein relates to the use of a pharmaceutical composition, that can include an effective amount of one or more compounds described herein (e.g., a compound of Formula (I), a compound of Formula (II) and/or a compound of Formula (III), or a pharmaceutically acceptable salt of the foregoing) and a pharmaceutically acceptable carrier, diluent, excipient or combination thereof.
[0209] The term "pharmaceutical composition" refers to a mixture of one or more compounds disclosed herein with other chemical components, such as diluents or carriers. The pharmaceutical composition facilitates administration of the compound to an organism. Pharmaceutical compositions can also be obtained by reacting compounds with inorganic or organic acids such as hydrochloric acid, hydrobromic acid, sulfuric acid, nitric acid, phosphoric acid, methanesulfonic acid, ethanesulfonic acid, p-toluenesulfonic acid, and salicylic acid. Pharmaceutical compositions will generally be tailored to the specific intended route of administration.
[0210] The term "physiologically acceptable" defines a carrier, diluent or excipient that does not abrogate the biological activity and properties of the compound.
[0211] As used herein, a "carrier" refers to a compound that facilitates the incorporation of a compound into cells or tissues. For example, without limitation, dimethyl sulfoxide (DMSO) is a commonly utilized carrier that facilitates the uptake of many organic compounds into cells or tissues of a subject.
[0212] As used herein, a "diluent" refers to an ingredient in a pharmaceutical composition that lacks pharmacological activity but may be pharmaceutically necessary or desirable. For example, a diluent may be used to increase the bulk of a potent drug whose mass is too small for manufacture and/or administration. It may also be a liquid for the dissolution of a drug to be administered by injection, ingestion or inhalation. A common form of diluent in the art is a buffered aqueous solution such as, without limitation, phosphate buffered saline that mimics the composition of human blood.
[0213] As used herein, an "excipient" refers to an inert substance that is added to a pharmaceutical composition to provide, without limitation, bulk, consistency, stability, binding ability, lubrication, disintegrating ability etc., to the composition. A "diluent" is a type of excipient.
[0214] The pharmaceutical compositions described herein can be administered to a human patient per se, or in pharmaceutical compositions where they are mixed with other active ingredients, as in combination therapy, or carriers, diluents, excipients or combinations thereof. Proper formulation is dependent upon the route of administration chosen. Techniques for formulation and administration of the compounds described herein are known to those skilled in the art.
[0215] The pharmaceutical compositions disclosed herein may be manufactured in a manner that is itself known, e.g. , by means of conventional mixing, dissolving, granulating, dragee-making, levigating, emulsifying, encapsulating, entrapping or tableting processes. Additionally, the active ingredients are contained in an amount effective to achieve its intended purpose. Many of the compounds used in the pharmaceutical combinations disclosed herein may be provided as salts with pharmaceutically compatible counterions.
EXAMPLES
[0216] Additional embodiments are disclosed in further detail in the following examples, which are not in any way intended to limit the scope of the claims.
EXAMPLE 1
Preparation of Compound la
H MTr
Figure imgf000140_0001
P1-1 P1-2 P1-3
Figure imgf000140_0002
P1 -4 P1-5 1a
[0217] To an ice cooled solution of Pl-1 (10.0 g, 40.8 mmol) in dry pyridine (100 mL) was added TBSC1 in pyridine (1M, 53 mL) dropwise at room temperature (R.T.). The reaction mixture was stirred at R.T. for 16 hours. The reaction mixture was then quenched with water, concentrated to give a residue. The residue was separated by ethyl acetate (EA) and saturated NaHC03 aq. solution. The organic phase was dried and concentrated. The residue was purified on a silica gel column (5% MeOH in DCM) to give a crude 5'-0-TBS protected intermediate as a white solid (13.4 g, 91%). The intermediate was dissolved in anhydrous DCM (100 mL) and sym-collidine (17.9 g, 149.2 mmol), AgN03 (25 g, 149.2 mmol) and MMTrCl (45 g, 149.2 mmol) were added. The mixture was stirred at R.T. for 16 hours. The mixture was quenched with water, and the organic layer was separated and concentrated. The residue purified on a silica gel column (30% PE in EA) to give the crude product. The crude product was dissolved in 1M TBAF (50 mL) in THF. The mixture was stirred at R.T. for 2 hours. The solvent was removed, and the residue was purified on a silica gel column (50% PE in EA) to give Pl-2 as a white solid (21.4 g, 66% for three steps).
[0218] To a solution of pyridine (521 mg, 6.59 mmol) in anhydrous DMSO (5 mL) was added TFA (636 mg, 5.58 mmol) dropwise at 10°C under nitrogen. The reaction mixture was stirred until the solution became clear. The solution was then added into a mixture of Pl-2 (4.0 g, 5.07 mmol) and DCC (3.86 g, 18.76 mmol) in anhydrous DMSO (18 mL) at R.T. under nitrogen. The reaction mixture was stirred at 30°C overnight. Water (80 mL) was added into the mixture, diluted with EtOAc (100 mL) and filtered. The filtrate was extracted with DCM (100 mL x 6). The organic layer was washed with saturated aq. NaHC03, dried over Na2S04 and concentrated in vacuo. The residue was purified on a silica gel column eluted with 1% MeOH in DCM to give the intermediate (3.5 g, 87.7%) as a yellow solid. The intermediate (3.5 g, 4.45 mmol) was dissolved in dioxane (25 mL) and aq. HCHO (668 mg, 22.25 mmol) was added at R.T. 2N NaOH (4.5 mL, 8.9 mmol) was then added. The reaction mixture was stirred at 30°C overnight. NaBH4 (593 mg, 15.6 mmol) was added in by portions at 5°C, and the mixture was stirred at R.T. for 15 min. The reaction was quenched with water, and the mixture was extracted with EtOAc (100 mL x 3). The organic layer was dried over Na2S04 and concentrated in vacuo. The residue was purified on a silica gel column eluted with 1% MeOH in DCM to give Pl-3 as a yellow solid (2.5 g, 67%). 1H NMR (CDC13, 400 MHz) 6.82-7.50 (m, 29H), 5.40 (d, J = 23.2 Hz, 1H), 4.99 (d, J= 7.6 Hz, 1H), 4.46 (dd, Ji = 6.0 Hz, J2 = 54.4 Hz, 1H), 3.94 (dd, J; = 4.4 Hz, J2 = 12.4 Hz, 1H), 3.78 (s, 6H), 3.42-3.69 (m, 2H), 2.71 -3.05 (m, 2H), 2.45 (m, 1H).
[0219] To an ice cooled solution of Pl-3 (4.0 g, 4.9 mmol) in dry pyridine (20 mL) was added dropwise TBSC1 in pyridine (1M, 5.88 mL). The reaction mixture was stirred at R.T. for 16 hours. The reaction mixture was then quenched with water, concentrated to give a residue. The residue was separated in EA and saturated aq. NaHC03. The organic layer was separated and dried, and then concentrated. The residue was purified on a silica gel column (1% MeOH in DCM) to give the intermediate as a yellow solid (3.2 g, 70%). Ή NMR (CDCI3, 400 MHz) £ 7.53-6.83 (m, 29H), 5.51 (d, J = 21.2 Hz, 1H), 4.98 (d, J= 7.6 Hz, 1H), 4.67 (dd, Ji = 5.6 Hz, J2 = 22.4 Hz, 1H), 4.22 (dd, J} = 5.6 Hz, J2 = 53.2 Hz, 1H), 4.07 (m, 1H), 3.89 (m, 1H), 3.80 (s, 6H), 3.70-3.67 (m, 1H), 3.03-2.98 (m, 1H), 2.26 (m, 1 H), 0.93 (s, 9H), 0.10 (s, 6H).
[0220] The obtained intermediate was dissolved in anhydrous DCM (20 mL) and collidine (360 mg, 3 mmol), and AgN03 (500 mg, 3 mmol) and MMTrCl (606 mg, 2 mmol) were added. The mixture was stirred at R.T. for 16 hours. The reaction mixture was quenched with water, and the organic layer was separated and concentrated. The residue was purified on a silica gel column (0.5% MeOH in DCM) to give the fully protected intermediate as a yellow solid (3.3 g, 80%). The intermediate was dissolved in 1M TBAF in THF (5 mL) and was stirred at .T. for 2 hours. The solution was concentrated, and the residue was purified on a silica gel column (1% MeOH in DCM) to give a mixture of Pl-3 and Pl-4, which was separated by HPLC separation (MeCN and 0.1% HCOOH in water) to give Pl-4 as a white solid (1.5 g, 25%).
[0221] Compound Pl-4 (1.5 g, 1.22 mmol) was suspended in anhydrous DCM (50 mL), and Dess Martin periodinane (1.2 g, 2.73 mmol) was added at 0°C. The reaction mixture was stirred at R.T. for 3 hours. The reaction mixture was then quenched with saturated aq. Na2S203 and Na2C03. The organic layer was separated and dried, and then concentrated to give the aldehyde intermediate as a white solid.
[0222] A solution of ClCH2PPh3Br (2.19 g, 5.6 mmol) in anhydrous THF (40 mL) was cooled to -78°C. n-BuLi (2.5 M, 2.3 mL) was added in dropwise. After the addition, the mixture was stirred at 0°C for 2 hours. A solution of the aldehyde in anhydrous THF (10 mL) was then added. The mixture was stirred at R.T. for 16 hours. The reaction was quenched with saturated NH4C1 aq. and extracted by EA. The organic layer was separated, dried and concentrated. The residue was purified on a silica gel column (1% MeOH in DCM) to give the intermediate as a yellow solid (1.1 g, 73%). To a solution of the intermediate (1.1 g, 0.98 mmol) in anhydrous THF (40 mL) was added n-BuLi (2.5M, 6 mL) -78°C dropwise. The mixture was stirred at -78°C for 5 hours and then quenched with a saturated NH4CI aq. solution. The mixture was extracted with EA. The organic layer was separated, dried and concentrated. The residue was purified on a silica gel column (2% MeOH in DCM) to give Pl-5 as a yellow solid (910 mg, 86%).
[0223] Compound Pl-5 (910 mg, 0.84 mmol) was suspended in 80% CH3COOH (50 mL), and the reaction mixture was stirred at 40°C for 15 hours. The solvents were evaporated, and the residue was co-evaporated with toluene to remove traces of acid and water. The residue was purified by HPLC separation (MeCN and 0.1% HCOOH in water) to give pure la as a white solid (101 mg, 45%). ESI-TOF-MS: m/z 270.09 [M+H]+, 539.17 [2M+H]+. EXAMPLE 2
Preparation of Compound 2a
Figure imgf000143_0001
[0224] To a stirred solution of la (50 mg, 0.186 mmol) in anhydrous THF (3 mL) was added dropwise a solution of /-BuMgCl (0.37 mL, 1M in THF) at -78°C. The mixture was then stirred at 0°C for 30 min and re-cooled to -78°C. A solution of phenyl (isopropoxy- L-alaninyl) phosphorochloridate (104 mg, 0.4 mmol) in THF (0.5 mL) was added dropwise. After addition, the mixture was stirred at 25°C for 16 hours. The reaction was quenched with HCOOH (80% aq.) at 0°C. The solvent was removed, and the residue was purified on silica gel (DCM:MeOH = 50: 1 to 10: 1) to give 2a as a white solid (a mixture of two P isomers, 8.0 mg, 7.9 %). ESI-LCMS: m/z 539.0 [M+H]+.
EXAMPLE 3
Preparation of Compound 3a
Figure imgf000143_0002
[0225] To a solution of P3-1 (100.0 g, 406.5 mmol) in pyridine (750 mL) was added DMTrCl (164.9 g, 487.8 mmol). The solution was stirred at R.T. for 15 hours. MeOH (300 mL) was added, and the mixture was concentrated to dryness under reduced pressure. The residue was dissolved in EtOAc and washed with water. The organic layer was dried over Na2S04 and concentrated. The residue was dissolved in DCM (500 mL). Imidazole (44.3 g, 650.4 mmol) and TBSCl (91.9 g, 609.8 mmol) was added. The reaction mixture was stirred at R.T. for 14 hours. The reaction solution was washed with NaHC03 and brine. The organic layer was dried over Na2S04, and concentrated to give the crude as a light yellow solid. The crude (236.4 g, 356.6 mmol) was dissolved in 80% HOAc aq. solution (500mL). The mixture was stirred at R.T. for 15 hours. The mixture was diluted with EtOAc and washed with a NaHC03 solution and brine. The organic layer was dried over Na2S04 and purified by silica gel column chromatography (1-2% MeOH in DCM) to give P3-2 (131.2 g, 89.6%) as a light yellow solid. ESI-MS: m/z 802 [M+H]+.
[0226] To a solution of P3-2 (131.2 g, 364.0 mmol) in anhydrous CH3CN (1200 mL) was added IBX (121.2 g, 432.8 mmol) at R.T. The reaction mixture was refluxed for 3 hours and then cooled to 0°C. The precipitate was filtered-off, and the filtrate was concentrated to give the crude aldehyde (121.3 g) as a yellow solid. The aldehyde was dissolved in 1,4-dioxane (1000 mL). 37% CH20 (81.1 mL, 1.3536 mol) and 2M NaOH aq. solution (253.8 mL, 507.6 mmol) were added. The mixture was stirred at R.T. for 2 hours and then neutralized with AcOH to pH = 7. To the solution were added EtOH (400 mL) and NaBH4 (51.2 g, 1.354 mol). The mixture was stirred at R.T. for 30 minutes. The mixture was quenched with saturated aq. NH4C1 and extracted with EA. The organic layer was dried over Na2S04 and concentrated. The residue was purified by silica gel column chromatography (1-3% MeOH in DCM) to give P3-3 (51.4 g, 38.9 %) as a white solid.
[0227] To a solution of P3-3 (51.4 g, 131.6 mmol) in anhydrous DCM (400 mL) were added pyridine (80 mL) and DMTrCl (49.1 g, 144.7 mmol) at 0°C. The reaction was stirred at R.T. for 14 hours, and then treated with MeOH (30 mL). The solvent was removed, and the residue was purified by silica gel column chromatography (1-3% MeOH in DCM) to give a mono-DMTr protected intermediate as a yellow foam (57.4 g, 62.9%). To the intermediate (57.4 g, 82.8 mmol) in CH2C12 (400 mL) was added imidazole (8.4 g, 124.2 mmol) and TBDPSC1 (34.1 g, 124.2 mmol). The mixture was stirred at R.T. for 14 hours. The precipitate was filtered off, and the filtrate was washed with brine and dried over Na2S04. The solvent was removed to give the residue (72.45 g) as a white solid. The solid was dissolved in 80% HOAc aq. solution (400 mT). The mixture was stirred at R.T. for 15 hours. The mixture was diluted with EtOAc and washed with NaHC03 solution and brine. The organic layer was dried over a2S04 and purified by silica gel column chromatography (1-2% MeOH in DCM) to give P3-4 (37.6 g, 84.2%) as a white solid. !H NMR (CD3OD 400 MHz) 7.76 (d, J = 4.0 Hz, 1H), 7.70 (dd, J/ = 1.6 Hz, J2 = 8.0 Hz, 2H), 7.66-7.64 (m, 2H), 7.48-7.37 (m, 6H), 6.12 (dd, J/ = 2.8 Hz, J2 = 16.8 Hz, 1H), 5.22 (d, J = 8.0 Hz, 1H).5.20~5.05 (m, 1H), 4.74 (dd, J, = 5.6 Hz, J2 = 17.6 Hz, 1H), 4.16 (d, J = 12.0 Hz, 1H), 3.87-3.80 (m, 2H), 3.56 (d, J= 12.0 Hz, 1H), 1.16 (s, 9H), 0.92 (s, 9H), 0.14 (s, 6H).
[0228] To a solution of P3-4 (11.8 g, 18.8 mmol) in anhydrous DCM (100 mL) was added Dess-Martin periodinane (16.3 g, 37.6 mmol) at 0°C under nitrogen. The reaction was stirred R.T. for 2.5 hours. Water (100 mT) was added, and the mixture was then filtered. The filtrate was washed with saturated aq. NaHC03 and concentrated. The crude residue was purified by silica gel column chromatography (20% EtOAc in hexane) to give P3-5 as a white solid (10.1 g, 86.0%).
[0229] To a mixture of methyltriphenylphosphonium bromide (15.7 g, 48.5 mmol) in anhydrous THF (100 mL) was added n-BuLi (19.4 mL, 48.48 mmol) at -78°C under nitrogen. The reaction was stirred at 0°C for 30 minutes. A solution of P3-5 (10.1 g, 16.2 mmol) in anhydrous THF (70 mL) was added dropwise at 0°C under nitrogen. The reaction was stirred at R.T. for 1.5 hours. The reaction was quenched by NH4C1 and extracted with EtOAc. The crude product was purified by silica gel column chromatography (20% EtOAc in hexane) to give P3-6 as a white solid (8.3 g, 82.2%).]H NMR (CDC13, 400 MHz) £8.16 (s, 1H), 8.81 (d, J = 8.0 Hz, 1H), 7.58-7.67 (m, 4H), 7.37-7.46 (m, 6H), 6.17 (d, J = 16.0 Hz, 1 H), 5.91 (dd, J; = 10.8 Hz, J2 = 17.6 Hz, 1H), 5.42 (d, J = 17.6 Hz, 1 H), 5.22-5.30 (m, 2H), 4.60-4.84 (m, 2H), 3.69 (dd, J, = 11.6 Hz, J2 = 21.2 Hz, 2H), 1.10 (s, 9H), 0.91 (s, 1H), 0.12 (d, J= 8.0 Hz, 6H).
[0230] To a solution of P3-6 (6.3 g, 10.09 mmol) in anhydrous CH3CN (50 mL) were added TPSC1 (6.1 g, 20.2 mmol), DMAP (2.5 g, 20.2 mmol) and NEt3 (3 mL) at R.T. The reaction was stirred at R.T. for 2 hours. NH4OH (25 mL) was added, and the reaction was stirred for 1 hour. The mixture was diluted with DCM (150 mL) and washed with water, 0.1 M HCl and saturated aq. NaHC03. The solvent was removed, and the crude product was purified by silica gel column chromatography (2% MeOH in DCM) to give P3-7 as a yellow solid (5.9 g, 93.6%).
[0231] To a solution of P3-7 (5.9 g, 9.5 mmol) in MeOH (10 mL) was added Pd/C (1.5 g) at R.T. The reaction was stirred at R.T. for 2 hours under ¾ (balloon). The mixture was filtered, and the filtrate was concentrated in vacuo to give P3-8 as a white solid (5.4 g, 91.3%).
[0232] To a solution of P3-8 (5.4 g, 8.6 mmol) in MeOH (60 mL) was added
NH4F (10.0 g), and the reaction mixture was refluxed overnight. After cooling to R.T., the mixture was filtered, and the filtrate was concentrated. The crude product was purified by silica gel column chromatography (10% MeOH in DCM) to give compound 3a as a white solid (1.6 g, 67.8%). ESI-MS: m/z 274 [M+H]+, 547 [2M+H]+.
EXAMPLE 4
Preparation of Compound 4a
Figure imgf000146_0001
P3-7
[0233] To a solution of P3-7 (280 mg, 0.45 mmol) in MeOH (10 mL) was added NH4F (1.0 g) at R.T. The reaction mixture was refluxed for 5 hours. After cooling to R.T., the mixture was filtered, and the filtrate was concentrated. The crude product was purified by silica gel column chromatography (10% MeOH in DCM) to give 4a as a white solid (82 mg, 67.2%1.6 g, 67.8%). ESI-MS: m/z 272 [M+H]+, 543 [2M+H]+. EXAMPLE 5
Preparation of Compound 5a
Figure imgf000147_0001
P3-6 P5-1 5a
[0234] To a solution of P3-6 (600 mg, 0.96 mmol) in MeOH (30 mL) was added 10% Pd/C (320 mg) at .T. The mixture was stirred under ¾ balloon at R.T. for 3 hours. The reaction mixture was filtered, and the filtrate was concentrated to give P5-1 (540 mg, 89.8 %) as a colorless solid. The crude product was used directly for the next step without purification.
[0235] To a solution of P5-1 (540 mg, 0.86 mmol) in MeOH (8 mL) was added
NH4F (1.2 g, 32.4 mmol) R.T. The mixture was refluxed for 30 hours. The solid was removed by filtration, and the filtrate was concentrated. The residue was purification by silica gel column chromatography (2.5%-9%MeOH in DCM) to give 5a (190 mg, 80.6%) as a colorless solid. !H NMR (CD3OD, 400 MHz) δ 8.05 (d, J = 8.0 Hz, 1H), 6.09 (dd, J, =4.0
Hz, J2 =14.8 Hz, 1H), 5.04-5.20 (m ,1H), 4.42 (dd, J/ = 5.2 Hz, J2 = 13.6 Hz, 1H), 3.71 (d, J
= 11.6 Hz, 1H), 3.57 (d, J= 12.0 Hz, 1H), 1.61-1.82 (m , 2H), 0.94 (t, J= 7.2 Hz, 3H).
EXAMPLE 6
Preparation of Compound 6a
Figure imgf000147_0002
P3-3 P6-1 6a
[0236] To a solution of P3-3 (800 mg, 2.05 mmol) in anhydrous DCM (15 mL) were added imidazole (558 mg, 8.2 mmol), TBSCl (1.2 g, 8.2 mmol) and AgN03 (700 mg, 4.1 mmol) at R.T. The reaction mixture was stirred at R.T. overnight. The mixture was filtered, and the filtrate was washed with brine and concentrated in vacuo. The residue was purified by column chromatography on silica gel to give P6-1 as a white solid (950 mg, 79.2%).
[0237] To a solution of P6-1 (600 mg, 0.97 mmol) in anhydrous CH3CN (18 mL) was added DMAP (239 mg, 2.91 mmol), NEt3 (294 mg, 2.91 mmol) and TPSC1 (879 mg,
2.91 mmol) at R.T. The reaction was stirred at R.T. for 1 hour. NH4OH (9 mL) was added, and the reaction was stirred for 3 hours. The mixture was diluted with EtOAc (200 mL) and washed with water, 0.1 M HC1 and saturated aq. NaHC03. The organic layer was separated, dried and concentrated to give a crude residue. The crude residue was purified by column chromatography on silica gel to give the product as a white solid (500 mg, 83.3%). The solid was treated with NH4F (1.0 g) in MeOH (20 mL) at refluxed temperature for 5 hours. The mixture was filtered, and the filtrate was concentrated in vacuo. The residue was purified by column chromatography on silica gel (15% MeOH in DCM) to give 6a as a white solid (132 mg, 59.3%). ESI-MS: m/z 276 [M+H]+, 551 [2M+H]+.
EXAMPLE 7
Preparation of Compound 7a
Figure imgf000148_0001
[0238] A mixture of P3-4 (1.60 g, 2.5 mmol), PPh3 (1.3 g, 5.0 mmol) and CC14 (0.76g, 5.0 mmol) in DCE (20 mL) was heated to 130°C under microwave irradiation under N2 for 40 mins. After cooled to R.T., the solvent was removed, and the residue was purified on a silica gel column (PE/EA = 50/1 to 10/1) to give P7-1 (1.1 g, 68.8%) as a white solid.
[0239] Compound P7-1 (0.80 g, 1.3 mmol), DMAP (0.3 g, 2.6 mmol), TPSC1 (0.8 g, 2.6 mmol) and Et3N (0.3 g, 2.6 mmol) were dissolved in MeCN (30 mL). The mixture was stirred at R.T. for 14 hours. NH3 in THF (saturated at 0°C, 100 mL) was added to the mixture, and the mixture was stirred at R.T. for 2 hours. The solvent was removed, and the residue was purified by column (DCM/MeOH = 100: 1 to 50:1) to give P7-2 (0.63 g,
78.8%) as a white solid.
[0240] To a solution of P7-2 (0.63 g, 0.98 mmol) in MeOH (10 mL) was added
NH4F (0.3 g), and the reaction was refluxed for 12 hours. The reaction was cooled to R.T., and the precipitate was filtered off. The filtrate was concentrated in vacuo. The residue was purified by silica gel column chromatography (10% MeOH in DCM) to give 7a as a white solid (153 mg, 53.5%). ESI-MS: m/z 294 [M + H]+, 587 [2M+H]+.
EXAMPLE 8
Preparation of Compound 8a
Figure imgf000149_0001
[0241] To a solution of P7-1 (630 mg, 0.5 mmol) in MeOH (10 mL) was added NH4F (0.1 g), and the reaction was refluxed for 12 hours. The mixture was filtered, and the filtrate was concentrated in vacuo. The crude product was purified by silica gel column chromatography (10% MeOH in DCM) to give 8a as a white solid (153 mg, 53.5%). Negative-ESI-MS: m/z 293 [M-H]\
EXAMPLE 9
Preparation of Compound 9a
Figure imgf000149_0002
[0242] A mixture of P3-4 (3.2 g, 5.0 mmol), Ph3P (5.2 g, 20 mmol), iodine (2.60 g, 10.2 mmol) and imidazole (1.4 g, 20mmol) in anhydrous THF (40 mL) was stirred at 80°C for 14 hours. The reaction was cooled to R.T. and quenched with saturated aq. Na2S203. The solution was extracted with EA. The organic layer was dried over Na2S04 and concentrated. The residue was purified by silica gel column chromatography (20-50% EA in PE) to give P9-1 (1.6 g, 68.2%) as a white solid.
[0243] A mixture of P9-1 (1.4 g, 0.2 mmol), Et3N (40 mg, 0.4mmol) and Pd/C in EtOH (20 mL) was stirred at R.T. under ¾ (balloon) overnight. The precipitate was filtered off, and the filtrate was concentrated. The residue was purified on a silica gel column (20%- 50% EtOAc in PE) to give P9-2 as a white solid (1.1 g, 78%). 1H NMR (CDC13, 400 MHz) δ 8.11 (br s, 1H), 7.76 (d, J= 8.0 Hz, 1H), 7.39-7.67 (m, 10H), 6.18 (dd, J, = 3.2 Hz, J2 = 14.4 Hz, 1H), 5.26-5.30 (m, 1H), 4.86 (m, 1H), 4.42 (dd, J7 = 5.2 Hz, J2 = 15.2 Hz, 1H), 3.81 (d, J = 11.2 Hz, 1H), 3.58 (d, J = 11.2 Hz, 1H), 1.16 (s, 3H), 1.11 (s, 9H), 0.91 (s, 9H), 0.13 (s, 3H), 0.08 (s, 3H).
[0244] Compound P9-2 (650 mg, 1.1 mmol), DMAP (270 mg, 2.2 mmol), TPSC1 (664 mg, 2.2 mol) and Et3N (222 mg, 2.2 mmol) were dissolved in MeCN (20 mL). The mixture was stirred at R.T. for 14 hours. The reaction was added NH3 in THF (saturated at 0°C), and the mixture was stirred at R.T. for 2 hours. The solvent was removed, and the residue was purified on a silica gel column (1-10% MeOH in DCM) to give P9-3 (430 mg, crude) as a light yellow syrup.
[0245] A mixture of P9-3 (430 mg, 0.7 mmol) and NH4F (97 mg, 2.1 mmol) in MeOH (10 mL) was refluxed for 14 hours. The solvent was removed, and the residue was purified on a silica gel column (5%-10% MeOH in DCM) to give 9a as a white solid (64.8 mg, 35.4%). Ή NMR (CD3OD, 400 MHz) (58.10 (d, J = 7.6 Hz, 1H), 6.03 (dd, Ji =2.0 Hz, J2 = 16.8 Hz, 1H), 5.87 (d , J = 7.6 Hz, 1H), 4.98 (m, 1H), 4.37 (dd, J; = 5.2 Hz, J2 = 21.6 Hz, 1H), 3.59 (dd, J} = 12.0 Hz, J2 = 28.4 Hz, 2H), 1.23 (d, J= 0.8 Hz, 3H). EXAMPLE 10
Preparation of Compound 10a
Figure imgf000151_0001
[0246] To a stirred solution of P9-2 (400 mg, 0.65 mmol) in MeOH (20 mL) was added NH4F (52 mg, 1.5 mmol). The mixture was refluxed overnight. The solvent was removed, and the residue was purified on a silica gel column (5-10% MeOH in DCM) to give 10a (140 mg, 82.4%) as a white solid. ESI-TOF-MS: m/z 283 [M+Na]+.
EXAMPLE 11
Preparation of Compound 11a
Figure imgf000151_0002
P11 11a
[0247] To a solution of P3-5 (2.1 g, 3.5 mmol) in anhydrous THF (25 mL) was added ethynylmagnesium bromide (5.1 mmol) at -78°C. The reaction was stirred at 0°C for 3 hours. The reaction was quenched with saturated aq. NH4C1 (10 mL). The mixture was diluted with EtOAc (200 mL) and washed with water and brine. The organic layer was dried and concentrated to give a residue. The residue was purified by column chromatography on silica gel (eluting with DCM: MeOH = 60:1) to give Pll-1 as a white solid (870 mg, 83.3%).
[0248] Compound Pll-1 (870 mg, 1.34 mmol) was dissolved in anhydrous DCM (12 mL), and methyl chloroformate (2.3 mL) and pyridine (2.5 mL) were added at R.T. The reaction mixture was stirred at R.T. for 1 hour. The mixture was diluted with DCM and washed with saturated aq. NaHC03. The organic layer was separated, dried and concentrated to give a residue. The residue was purified by column chromatography on silica gel (eluting with PE: EtOAc = 8: 1) to give a crude product as a white solid (830 mg, 88.4%). To a mixture of Pd2(dba)3 (55 mg, 0.06 mmol) in anhydrous DMF (12 mL) was added P(nBu)3 (35 mg, 0.17 mmol) and HCOONH4 (108 mg, 1.7 mmol) at R.T. under nitrogen. The reaction mixture was stirred at R.T. for 30 min. A solution of the crude product (830 mg, 1.16 mmol) in anhydrous DMF (16 mL) was added, and the reaction mixture was stirred at 70°C for 3 hours. The reaction was diluted with EtOAc and washed with brine. The organic layer was separated, dried and concentrated to give a residue. The residue was purified by column chromatography on silica gel (eluting with PE: EtOAc = 9: 1) to give PI 1-2 as a white solid (510 mg, 67.6%).1H MR (CD3OD, 400 M Hz) 7.61-7.75 (m, 5H), 7.36-7.47 (m, 6H), 6.04 (d, J= 18.8 Hz, 1H), 5.34 (t, J= 6.8 Hz, 1H), 5.21 (dd, J; = 1.2 Hz, J2 = 7.2 Hz, 1H), 5.10 (q, J; = 5.2 Hz, J2 = 53.6 Hz, 1H), 4.80-4.92 (m, 1H), 4.59-4.79 (m, 2H), 3.86 (d, J = 12.0 Hz, 1H), 3.75 (d, J = 12.0 Hz, 1H), 1.09 (s, 9H), 0.92 (d, J = 4.4 Hz, 9H), 0.15 (t, J = 4.0 Hz, 6H).
[0249] To a solution of Pll-2 (490 mg, 0.77 mmol) in anhydrous MeCN (15 mL) was added TPSC1 (700 mg, 2.31 mmol), DMAP (282 mg, 2.31 mmol) and TEA (234 mg, 2.31 mmol) at R.T. The reaction mixture was stirred at room temperature for 1 hour. Then NH4OH (8 mL) was added and the reaction mixture was stirred for another 4 hours. The mixture was diluted with EtOAc and washed with water, 1.0 M aq. HC1 and saturated aq. NaHC03. The organic layer was separated and dried, concentrated to give the residue which was purified by HPLC separation (MeCN and 0.1% HCOOH in water) to give Pll-3 as a white solid (190 mg, 38.8%).1H NMR (CD3OD, 400 MHz) £ 7.88 (d, J = 7.2 Hz, 1H), 7.63- 7.70 (m, 4H), 7.37-7.48 (m, 6H), 6.12 (d, J = 18.4 Hz, 1H), 5.49 (d, J = 7.6 Hz, 1H), 5.34 (t, J= 6.8 Hz, 1H), 4.84-5.01 (m, 2H), 4.66-4.78 (m, 2H), 3.89 (d, J= 11.6 Hz, 1H), 3.75 (d, J = 11.6 Hz, 1H), 1.10 (s, 9H), 0.91 (d, J= 3.2 Hz, 9H), 0.13 (t, J= 5.2 Hz, 6H).
[0250] To a solution of Pll-3 (130 mg, 0.21 mmol) in MeOH (8 mL) was added NH4F (1 g), and the reaction mixture was refluxed for 6 hours. The mixture was filtered, and the filtrate was concentrated in vacuo. The residue was purified by column chromatography on silica gel (eluting with DCM:MeOH = 13: 1) to give 11a as a white solid (47 mg, 79.1%). ESI-MS: m/z 284.02 [M+H]+, 567.08 [2M+H]+.
EXAMPLE 12
Preparation of Compound 111a
Figure imgf000153_0001
[0251] The dry nucleoside (0.05 mmol) was dissolved in a mixture of PO(OMe)3 (0.7 mL) and pyridine (0.3 mL). The mixture was evaporated in vacuum for 15 mins at bath temperature (42°C), than cooled down to R.T. N-Methylimidazole (0.009 mL, 0.1 1 mmol) was added followed by POCI3 (9ul, 0.11 mmol), and the mixture was kept at R.T. for 40 mins. The reaction was controlled by LCMS and monitored by the appearance of corresponding nucleoside 5' -monophosphate. After more than 50% of the transformation was achieved, tetrabutylammonium salt of pyrophosphate (150 mg) was added, followed by DMF (0.5 mL) to get a homogeneous solution. After 1.5 hours at ambient temperature, the reaction was diluted with water (10 mL) and loaded on a column HiLoad 16/10 with Q Sepharose High Performance. Separation was done in a linear gradient of NaCl from 0 to IN in 50 mM TRIS-buffer (pH7.5). Triphosphate was eluted at 75-80%B. Corresponding fractions were concentrated. Desalting was achieved by RP HPLC on Synergy 4 micron Hydro-RP column (Phenominex). A linear gradient of methanol from 0 to 30% in 50 mM triethylammonium acetate buffer (pH 7.5) was used for elution. The corresponding fractions were combined, concentrated and lyophilized 3 times to remove excess of buffer. MS: m/z 517.2 [M-l]. EXAMPLE 13
Preparation of Compound 13a
Figure imgf000154_0001
3a P13-1 13a
[0252] To a solution of 3a (700 mg, 2.56 mmol) in anhydrous pyridine (5 mL) were added TBDPSC1 (2.8 g, 10.24 mmol), imidazole (522 mg, 7.68 mmol) and AgN03 (870 mg, 5.12 mmol) at R.T. under N2. The reaction mixture was stirred at R.T. for 3 hours. The mixture was diluted with MeOH and filtered. The mixture was concentrated, and the residue was purified by column chromatography on silica gel (eluting with DCM: MeOH = 80: 1 ~ 40: 1) to give the crude intermediate as a yellow solid (1.05 g, 80.8%).1H NMR (DMSO-i/ , 400 MHz) 7.75 (d, J = 7.6 Hz, 1H), 7.61-7.65 (m, 4H), 7.41-7.50 (m, 7H), 6.02 (dd, J7 = 2.8 Hz, J2 = 17.2 Hz, 1H), 5.69 (d, J = 6.0 Hz, 1H), 5.56 (d, J = 7.6 Hz, 1H), 4.96-5.11 (m, 1H), 4.37-4.46 (m, 1H), 3.82 (d, J = 10.8 Hz, 1H), 3.62 (d, J = 10.8 Hz, 1H), 1.70-1.78 (m, 1H), 1.53-1.59 (m, 1H), 1.02 (s, 9H),0.79 (t, J = 7.6 Hz, 3H). To a solution of the crude intermediate (1.0 g, 1.96 mmol) in anhydrous DCM (15 mL) were added ^yw-collidine (1.4 g, 11.76 mmol), AgN03 (1.0 g, 5.88 mmol) and MMTrCl (4.8 g, 15.6 mmol) at R.T. under N2. The reaction mixture was stirred at R.T. overnight. The mixture was filtered and concentrated. The residue was purified by column chromatography on silica gel (eluting with PE:EtOAc=2: 1) to give crude full protected intermediates as a white solid(l .l g, 53.1%). To a solution of the crude intermediate (600 mg, 0.57 mmol) in THF (5 mL) was added TBAF (446 mg, 1.71 mmol)) at R.T. The reaction was stirred at 40~50°C overnight. The crude product was purified by column chromatography on silica gel eluted with PE:EtOAc = 3:2 to give crude P13-1 (350 mg, 75.1 %) as a yellow solid.
[0253] To a solution of P13-1 (300 mg, 0.37 mmol) in CH3CN (2.5 mL) were added NMI (2.5 mL) and a solution of phenyl(isopropoxy-L-alaninyl) phosphorochloridate (2.55 g, 7.4 mmol) in CH3CN (2.5 mL) at R.T. under N2. The reaction mixture was stirred at R.T. for 3 hours. The mixture was concentrated in vacuo. The residue was purified by column chromatography on silica gel (PE:EtOAc = 1 :1) to give crude product as a yellow oil (500 mg, 81%). The crude product was further treated with 80% HCOOH (70 mL) at R.T. overnight. The mixture was concentrated in vacuo, and the crude product was purified by RP
HPLC (MeCN and 0.1% HCOOH in water) to give 13a as a white solid (a mixture of two P isomers, 86 mg, 40.3% two steps). ESI-MS: m/z 582.93 [M+H]+.
EXAMPLE 14
Preparation of Compound 14a
HMMTr
Figure imgf000155_0001
[0254] To a stirred solution of P13-1 (451 mg, 0.55 mmol) and NMI (lmL) in anhydrous acetonitrile (2 mL) was added dropwise a solution of 2-chloro-8-methyl-4H- benzo[d][l,3,2]dioxaphosphinine (855 mg, 4.2 mmol) in acetonitrile (0.2 mL) at 0°C under N2. The mixture was stirred at R.T. for 2 hours. Solution of I2 (3.2 g, 12.6 mmol), pyridine (9 mL), H20(3 mL) and DCM(3 mL) was added. The reaction mixture was stirred for 30 mins. The reaction was quenched with NaS203 solution and extracted with EA. The organic layer was dried over Na2S04 and concentrated. The residue was purified by column on silica gel (PE: EA = 1 : 1 to 1 :2) to give P14-1 (205 mg, 37%) as a white solid.
[0255] Compound P14-1 (205 mg, 0.21 mmol) was dissolved in 80% HCOOH aq. solution, and the mixture was stirred at R.T. for 16 hours. The solvent was removed, and the residue was purified by RP HPLC (HCOOH system) to give 14a as a mixture of 2 P- isomers (24 mg, 18%). ESI-LCMS: m/z 456 [M+H]+. EXAMPLE 15
Preparation of Compound 15a
Figure imgf000156_0001
[0256] To a mixture of P3-8 (2.2 g, 2.5 mmol), AgN03 (844 mg, 5.0 mmol) and collidine (907 mg, 7.5 mmol) in anhydrous DCM (10 mL) was added MMTrCl (1.54 g, 5.0 mmol) under N2. The reaction mixture was stirred at R.T. overnight The reaction mixture was filtered through a Buchner Funnel. The filtrate was washed with saturated NaHC03 solution and brine. The organic layer was separated, dried over anhydrous Na2S04 and filtered. The filtrate was concentrated to dryness. The residue was purified by column on silica gel (PE:EA = 10:1 to 1 :2) to give the intermediate (2.3 g, 84%), which was dissolved in a solution of TBAF in THF (1M, 2.6 mL) under N2. The reaction mixture was stirred at R.T. overnight. The residue was dissolved in EA (200 mL) and washed with water and brine. The organic layer was separated, dried over anhydrous Na2S04 and filtered. The filtrate was concentrated to dryness, and the residue was purified by column on silica gel (DCM/MeOH = 100:1 to 30:1) to give P15-1 as a white foam (1.3 g, 94%).
[0257] To a stirred solution of P15-1 (300 mg, 0.55 mmol) and proton sponge (235 mg, 1.1 mmol) in anhydrous MeCN (9 mL) was added with a solution of POCl3 (169 mg, 1.1 mmol) in MeCN (1 mL) via syringe at 0°C. The mixture was stirred at R.T. for 40 mins. A mixture of (<S)-cyclohexyl 2-aminopropanoate hydrochloride (525 mg, 2.55 mmol) and TEA (0.1 mL) was added at 0°C. The mixture was warmed to R.T. and stirred for 3 hours. The reaction mixture was quenched with saturated NaHC03, and extracted with EA (100 mL x 2). The combined organic layers was dried over Na2S04, concentrated and purified by silica gel column (1-4% MeOH in DCM) to give the crude product (400 mg, 78.15%) as a yellow solid. The crude product was treated with 80% HCOOH (50mL) at R.T. for 16 hours. The solvent was removed, and the residue was purified by RP HPLC to give 15a as a white solid (40 mg, 14%). ESI-LCMS: m/z 660 [M+H]+. EXAMPLE 16
Preparation of Compound 16a
Figure imgf000157_0001
4a 16a
[0258] To a stirred solution of 4a (150 mg, 0.56 mmol) in anhydrous THF (3 mL) was added dropwise a solution of /-BuMgCl (1.2 mL, 1M in THF) at -78°C. The mixture was stirred at 0°C for 30 min and re-cooled to -78°C. A solution of phenyl(isopropoxy-L- alaninyl) phosphorochloridate (312 mg, 1.2 mmol) in THF (1.0 mL) was added dropwise. After addition, the mixture was stirred at 25°C for 16 hours. The reaction was quenched with HCOOH (80% aq.) at 0°C. The solvent was removed, and the residue was purified on silica gel (DCM:MeOH = 50:1 to 10:1) to give 16a as a white solid (24.0 mg, 15 %). ESI-LCMS: »?/z 541.0[M+H]+.
EXAMPLE 17
Preparation of Compound 17a
Figure imgf000157_0002
[0259] To a solution of P3-7 (1.4 g, 2.3 mmol) in MeOH (50 mL) was added N¾F (8.0 g) at R.T. The reaction mixture was refluxed overnight. After cooling to R.T., the mixture was filtered, and the filtrate was concentrated. The crude product was purified by silica gel column chromatography (10% MeOH in DCM) to give P17-1 as a white solid (410 mg, 77.8%). [0260] To a stirred solution of P17-1 (60 mg, 0.19 mmol) in anhydrous THF (3 mL) was added dropwise a solution of /-BuMgCl (0.38 mL, 1M in THF) at -78°C. The mixture was stirred at 0°C for 30 min and re-cooled to -78°C. A solution of phenyl(isopropoxy-L-alaninyl) phosphorochloridate (104 mg, 0.4 mmol) in THF (0.5 mL) was added dropwise. After addition, the mixture was stirred at 25°C for 16 hours. The reaction was quenched with HCOOH (80% aq.) at 0°C. The solvent was removed, and the residue was purified on silica gel (DCM:MeOH = 50: 1 to 10:1) to give 17a as a white solid ( a mixture of two P isomers, 11.0 mg, 11 %). ESI-LCMS: m/z 542.0 [M+H]+.
EXAMPLE 18
Preparation of Compound 18a
Figure imgf000158_0001
P18-3 18a
[0261] To a solution of (chloromethyl)triphenylphosphonium chloride (2.1 g, 6.0 mmol) in anhydrous THF (10 mL) was added dropwise n-BuLi (4.6 mL, 6.0 mmol) at -70°C under nitrogen. The reaction was stirred at -70°C for 50 mins. A solution of compound P3-5 (950 mg, 1.5 mmol) in anhydrous THF (5 mL) was added at -70°C, and the reaction was stirred at 0°C for 3 hours. The reaction was quenched by saturated aq. NH4C1 and extracted with EtOAc. The organic layer was separated, dried and concentrated to give a residue. The residue was purified by column chromatography on silica gel (eluting with PE:EtOAc = 6:1) to give P18-1 as a yellow gum (900 mg, 91.2%).
[0262] To a solution of compound P18-1 (600 mg, 0.91 mmol) in anhydrous THF (18 mL) was added dropwise n-BuLi (4.7 mL, 10.9 mmol) at -70°C under nitrogen. The reaction was stirred at -70°C for 3 hours. The reaction was quenched by saturated aq. NH4CI and extracted with EtOAc. The organic layer was separated, dried and concentrated to give a residue. The residue was purified by column chromatography on silica gel (eluting with PE:EtOAc = 8: 1-5:1) to give P18-2 as a white solid (300 mg, 53.0%).
[0263] To a solution of P18-2 (300 mg, 0.44 mmol) in MeOH (10 mL) was added NH4F (1.0 g) at R.T. The reaction was refluxed for 3 hours. After cooling R.T., the mixture was filtered, and the filtrate was concentrated in vacuo. The residue was purified by column chromatography on silica gel (eluting with DCM:MeOH = 50:1-30:1) to give P18-3 as a white solid (135 mg, 78.1%).^ NMR (CD3OD, 400 MHz) 7.84 (d, J = 8.0 Hz, 1H), 6.06 (dd, J, = 1.6 Hz, J2 =19.6 Hz, 1H), 5.67 (d, J= 8.4 Hz, 1H), 5.18-5.03 (m, 1H), 4.50 (dd, J, = 5.2 Hz, J2 =21.6 Hz, 1H), 3.85 (d, J = 12.4 Hz, 1H), 3.72 (d, J = 12.4 Hz, 1H), 3.09 (s, 1H).
[0264] To a solution of P18-3 (130 mg, 0.5 mmol) in anhydrous THF (4 mL) was added dropwise t-BuMgCl (1.0 mL, 1.0 mmol) at -70°C under nitrogen. The reaction was stirred at R.T. for 30 mins. A solution of phenyl(isopropoxy-L-alaninyl) phosphorochloridate in anhydrous THF(1M, 0.8 mL, 0.78 mmol) was added at -70°C, and the reaction mixture was stirred at R.T. for 5 hours. The reaction was quenched by HCOOH, and the mixture was concentrated in vacuo. The residue was purified by column chromatography on silica gel (DCM:MeOH = 60:1) to give 18a as a white solid (a mixture of two P isomers, 25 mg, 7.7%). ESI-MS: m/z 540.2 [M+H]+.
EXAMPLE 19
Preparation of Compound 19a
Figure imgf000159_0001
[0265] Compound P15-1 (1.2 g, 2.2 mmol) was dissolved in dry acetonitrile (20 mL), and 0.45 M tetrazole (24.0 mL, 1 1.0 mmol) and 3- (bis(diisopropylamino)phosphinooxy)propanenitrile (1.13 g, 3.74 mmol) was added. The reaction mixture was stirred for 1 hour under N2 at R.T. TBDPH (2.7 mL, 15 mmol) was added, and the mixture was stirred for 1 hour. The reaction was quenched by Na2S203 solution and extracted with EA. The organic layer was dried over Na2S04 and concentrated. The residue was purified by column on silica gel (DCM:MeOH = 100:1 to 40: 1) to give P19- 1 as a white solid (759 mg, 52%).
[0266] Compound P19-1 (750 mg, 1.14 mmol) was dissolved in saturated NH3 in MeOH solution. The mixture was stirred for 2 hours at R.T. The solution was concentrated to dryness to give crude P19-2 as a yellow solid (662 mg, 100%). Negative-ESI-LCMS: m/z 606 [M-H]".
[0267] Compound P19-2 (292 mg, 0.47 mmol) was co-evaporated with pyridine twice and dissolved in anhydrous DMF (0.5 mL). DIPEA (1.2 mL) was added and followed by 2,2-dimethyl -propionic acid iodomethyl ester (680 mg, 2.8 mmol). The reaction mixture was stirred at R.T. under N2 for 16 hours. The reaction was quenched by Na2S203 solution and extracted with EA. The organic layer was dried over Na2S04 and concentrated. The residue was purified by column on silica gel (DCM:MeOH = 100:1 to 30:1) to give P19-3 as a white solid (95 mg, 30%).
[0268] Compound P19-3 (95 mg, 0.13 mmol) was dissolved in a 80% HCOOH aq. solution, and the mixture was stirred at R.T. for 16 hours. The solvent was removed, and the residue was purified by RP HPLC (MeCN and 0.1% HCOOH in water) to give 19a as a white solid (10 mg, 17%). ESI-LCMS: m/z 450 [M+H]+.
EXAMPLE 20
Preparation of Compound 20a
Figure imgf000161_0001
[0269] To a stirred suspension of P3-1 (20.0 g, 81.3mmol), imidazole (15.9 g, 234.0 mmol), PPh3 (53.5 g, 203.3 mmol) and pyridine (90 mL) in anhydrous THF (360 mL) was added dropwise a solution of I2 (41.3 g, 162.6mmol) in THF (350 mL) at 0°C. After addition, the mixture was warmed to R.T. and stirred for 14 hours. The solution was quenched with aq. Na2S203 (150 mL) and extracted with EA. The organic layer was dried over Na2SC>4 and concentrated. The residue was purified on a silica gel column (DCM:MeOH = 100: 1 to 10: 1) to afford P20-1 as a white solid (22.1 g, 76.4%). 1H NMR (CD3OD, 400 MHz) (57.70 (d, J = 8.0 Hz, 1H), 5.88 (dd, Jy = 1.6 Hz, J2 = 20.8 Hz, 1H), 5.71 (d, J = 8.4 Hz, 1H), 5.24 (dd, J; = 2.0 Hz, J2 = 5.2 Hz, 1H), 5.10 (dd, J; = 2.0 Hz, J2 = 5.2 Hz 1H), 3.78-3.83 (m, 1H), 3.61-3.65 (m, 1H), 3.44 (dd, Ji = J2 = 6.0 Hz, 1H).
[0270] To a stirred solution of P20-1 (22.1 g, 62.1 mmol) in anhydrous THF (200 mL) was added dropwise DBU (14.2 g, 93.1 mmol) in THF (50 mL) at 0°C over 10 mins. The mixture was stirred at 60°C for 6 hours. The reaction was quenched with aq. NaHC03 (200 mL) and extracted with EA. The organic layer was washed with brine and dried over Na2S04. The solvent was removed, and the residue was purified on a silica gel column (MeOH:DCM = 1/100 to 1/30) to afford P20-2 as a white solid (8.7 g, 61.5%). 1H NM (CD3OD, 400 MHz) δ 7.51 (d, J= 8.0 Hz, 1H), 6.05 (dd, J/ =1.2 Hz, J2 = 17.2 Hz, 1H), 5.73 (d, J = 8.0 Hz, 1H), 5.26 (dd, J, = 1.2 Hz, J2 = 4.8 Hz, 1H), 5.13 (dd, J/ = 1.2 Hz, J2 = 4.8 Hz, 1H), 4.63 (dd, J7 =2.0 Hz, J2 = 3.2 Hz, 1H), 4.41(dd, J, = J2 = 2.0 Hz, 1H).
[0271] To a stirred solution of P20-2 (3.2 g, 14.0 mmol) in anhydrous pyridine(10 mL) and DCM (100 mL) was added dropwise a solution of TBSC1 (4.2 g, 28.0 mmol)at 0°C. Stirring was continued at R.T. for 18 hours. The mixture was diluted with DCM. The organic layer was washed with brine and dried over Na2S04. The solvent was removed, and the residue was purified on a silica gel column (10%> MeOH in DCM) to afford P20-3 as a white solid (3.4 g, 70.8%).
[0272] To a stirred solution of NaHC03 in H20 (250 mL) and acetone (200 mL) was added oxone (30.0 x 4 g) at 0°C. The mixture was warmed to R.T. , and the distillate was collected at -78°C (120 mL) under slightly reduced pressure to give a solution of DMDO in acetone. To a stirred solution of P20-3 (250.0 mg, 0.7 mmol) in DCM (20 mL) were added a DMDO (120 mL) solution at -40°C and MgS04. The mixture was warmed to R.T. and then stirred for 2 hours. The solution was filtrated, and the filtrate was used for the next- step directly.
[0273] To a stirred solution of P20-4 (500.0 mg, 1.4 mmol) in anhydrous DCM (50 mL) was added allyl-trimethyl-silane (760. Omg, 6.7mmol) and SnCl4 (1.2 g, 4.5 mmol) at -40°C. The mixture was warmed and stirred at 0°C for 1 hour. The reaction was quenched with saturated NaHC03 and extracted with DCM. The organic layer was dried over Na2S04 and concentrated. The residue was purified on a silica gel column (20-50% EA in PE) to give P20-5 as a white foam (120 mg, 41%). ESI-LCMS: m/z = 422 [M+Na]+.
[0274] To a stirred solution of P20-5 (270.0 mg, 0.7 mmol) in dry DCM were added imidazole (400. Omg, 5.9mmol) and TBSC1 (390.0 mg, 2.6 mmol) at R.T. The mixture was stirred at R.T. for 18 hours. The solution was diluted with EA. The solvent was washed with brine and dried over Na2S04. The solvent was removed, and the residue was purified on a silica gel column (20-40% EA in PE) to afford compound P20-6 as a white foam (280 mg, 80.7%). ESI-LCMS: m/z 537 [M+Na]+.
[0275] To a stirred solution of P20-6 (280.0 mg, 0.5 mmol) in dry MeCN were added TPSC1 (350.0 mg, 1.2 mmol), NEt3 (400.0 mg, 4.0 mmol) and DMAP (270.0 mg, 2.2 mmol) at R.T. The mixture was stirred at R.T. for 18 hours. The solution was quenched with ammonium. The organic layer was washed with brine and dried over Na2S04. The solvent was removed, and the residue was purified by TLC (using EA) to afford compound P20-7 as a white foam (240.0 mg, 85.7%). ESI-LCMS: m/z 514 [M+H]+.
[0276] To a stirred solution of P20-7 (270.0 mg, 0.5 mmol) in dry DCM were added AgN03 (1.5 g, 8.8mmol), MMTrCl (450.0 mg, 1.5 mmol) and collidine (500.0 mg, 4.1 mmol) at R.T. The mixture was stirred at R.T. for 18 hours. The solution was diluted with DCM. The organic layer was washed with brine and dried over Na2S04. The solvent was removed, and the residue was purified on a silica gel column (20-40% EA in PE) to afford compound P20-8 as a white foam (300 mg, 81.6%). ESI-LCMS: m/z 786 [M+H]+.
[0277] To a stirred solution of P20-8 (170.0 mg, 0.3 mmol) in dry MeOH was added NH4F (300.0 mg, 8.1 mmol), and the mixture was refluxed for 24 hours. The solvent was removed under reduced pressure, and the residue was purified on a silica gel column (2-5% MeOH in DCM) to give the crude product. The crude product was further purified by RP HPLC (water and 0.1% HCOOH in MeCN) to afford 20a as a white solid (47.0 mg, 49.8%). ESI-LCMS: m/z 286 [M+H]+.
EXAMPLE 21
Preparation of Compound 21a
Figure imgf000164_0001
P21 -2 21a
[0278] To a stirred solution of P20-8 (250.0 mg, 0.3 mmol) in MeOH was added Pd/C (500.0 mg), and the mixture was stirred under ¾ (balloon) for 18 hours at R.T. The reaction was filtered, and the solvent removed under reduced pressure. The residue was purified by prep. TLC (30% EtOAc in PE) to afford P21-1 as a white foam (210.0 mg, 84.0%).
[0279] To a stirred solution of P21-1 (210.0 mg, 0.3 mmol) in dry THF was added TBAF (1 mL, lmmol), and the mixture was stirred at R.T. for 18 hours. The solvent was removed under reduced pressure, and the residue was purified by prep. TLC (30% EtOAc in PE) to give P21-2 as a white foam (111.2 mg, 74.6%). ESI-MS: m/z 560 [M + H]+.
[0280] Compound P21-2 (81 mg) was dissolved in a mixture (5 mL) of formic acid (80%)) and water (20%). The resulting solution was stirred at R.T. for 3 hours and then concentrated. The residue was co-evaporated with methanol/toluene three times. Chromatography on silica gel with 5-12% methanol in DCM gave a mixture of two compounds, which was dissolved in methanol with a drop of concentrated aqueous ammonia and concentrated. The residue was purified on silica gel with 5-12% methanol in DCM to give 21a (27 mg) as a white solid; MS: m/z 417 [M+2-methylheptylamine]+. EXAMPLE 22
Preparation of Compound 22a
Figure imgf000165_0001
[0281] To a solution of P20-2 (5.23 g, 23.1 mmol) in anhydrous MeOH (50 mL) was added PbC03(12.7 g, 46.3 mmol) at R.T. A solution of I2 (11.7 g, 46.3 mmol) in MeOH (10 mL) was then added dropwise at 0°C. The reaction mixture was stirred at R.T. for overnight. The reaction was quenched with Na2S203 and dissolved in EA. The organic layer was dried over Na2S04 and concentrated. The residue was purified by column (DCM/MeOH = 100/1 to 20/1) to give P22-1 as a white solid (5.6 g, 71.8%). ]H NMR (CD3OD, 400 MHz) 7.67 (d, J= 8.0 Hz, 1H), 5.88 (dd, J} = J2 = 7.6 Hz, 1H), 5.73 (d, J= 8.0 Hz, 1H), 5.24 (dd, Ji = 4.4 Hz, J2 = 6.4 Hz, 1H), 5.11 (dd, J = 6.4 Hz, J2 = 6.0 Hz, 1H); 4.65 (dd, J = 20.0 Hz, J2 = 20.4 Hz, 1H), 3.67 (d, J= 11.6 Hz, 1H), 3.54 (d, J= 11.6 Hz, 1H), 3.43 (s, 3H).
[0282] To a stirred solution of P22-1 (5.6 g, 14.5 mmol) in anhydrous pyridine (20 mL) was added dropwise BzCl (2.9 g, 20.9 mmol) at 0°C. The mixture was stirred at R.T. for 10 hours. The reaction was quenched with H20, and the solution was concentrated. The residue was dissolved in EA and washed with saturated NaHC03. The organic layer was dried over Na2S04 and concentrated. The residue was purified on a silica gel column (20-40% EA in PE) to give P22-2 as a white foam (4.9 g, 74.2%).
[0283] Compound P22-2 (4.9 g, 10.0 mmol), BzONa (14.4 g, 100 mmol) and 15- crown-5 (22.0 g, 100 mmol) were suspended in DMF (200 mL). The mixture was stirred at 60-70°C for 3 days. The precipitate was removed by filtration, and the filtrate was diluted with EA. The solvent was washed with brine and dried over Na2S04. The solvent was removed, and the residue was purified on a silica gel column (20-60% EA in PE) to afford P22-3 as a white foam (2.3 g, 47.9%).
[0284] Compound P22-3 (2.3 g, 4.8 mmol), DMAP (1.2 g, 9.6 mmol), TPSC1 (2.9 g, 9.6 mmol) and Et3N (0.97 g, 9.6 mmol) were suspended in MeCN (10 mL). The mixture was stirred at R.T. for 14 hours. NH3 in THF (saturated at 0°C, 100 mL) was added to the mixture, and the mixture stirred at R.T. for 2 hours. The solvent was removed, and the residue was purified by column (DCM/MeOH = 100: 1 to 50: 1) to give the crude product (1.2 g). The crude product was dissolved in pyridine, and BzCl (0.42 g, 3.0 mmol) was added. The mixture was stirred at R.T. for 16 hours and quenched with water. The solvent was removed, and the residue was purified on a silica gel column (PE:EA = 2: 1 to 1 :1) to give P22-4 as a white foam (460 mg, 31%).
[0285] Compound P22-4 (0.46 g, 0.8 mmol) was dissolved in saturated methanolic ammonia (100 mL), and the mixture was stirred at R.T. for 14 hours. The solvent was removed, and the residue was dissolved in H20 and washed with DCM. The aqueous phase was lyophilized and further purified by prep. HPLC (0.1% formic acid in water/acetonitrile) to give 22a as a white solid (145 mg, 78.9 %). ESI-MS: m/z 276 [M+H] +.
EXAMPLE 23
Preparation of Compound 23a
Figure imgf000167_0001
P23-7 23a
[0286] To a solution of P23-1 (3.1 g, 4.5 mmol) in DMF (30 mL) was added anhydrous K2C03 (1.24 g, 9.03 mmol) and PMBC1 (1.40 g, 9.03 mmol). The mixture was stirred at ambient temperature overnight. The reaction was quenched with water and extracted with EA. The organic layer was concentrated, and the residue was purified on a silica gel column (PE:EA = 10:1 to 4:1 ) to give the intermediate as a white solid (2.36 g, 74.8%). Ή NMR (CDC13, 400 MHz) δ 7.29-7.88 (m, 23H), 6.83-6.98 (m, 6H), 6.35-6.45 (m, 1H), 4.51-5.50 (m, 6H), 3.89-3.95 (m, 9H), 3.66-3.71 (m, 2H),3.03 (d, J =11.2Hz, 1H), 1.21 (s, 9H), 0.89 (m, 9H), 0.01 -0.1 1 (m, 6H). The intermediate was used in the next step.
[0287] To a stirred solution of the intermediate (1 1.0 g, 10.47 mmol) in anhydrous THF (100 mL) was added TBAF (8.20 g, 31.42 mmol) at R.T., and the mixture was stirred at R.T. for 5 hours. The solution was removed, and the residue was purified on a silica gel column (PE: EA=5:1 to 1 :1) to give a second intermediate as a white solid (5.99 g, 82%). [0288] To a stirred solution of the second intermediate (500 mg, 0.716 mmol) in anhydrous DMF (10 mL) was added NaH (51.5 mg, 2.14 mmol) and BnBr (365 mg, 2.14 mmol) dropwise at 0°C. The mixture was stirred at R.T. for overnight. The solution was quenched with water and extracted with EA. The concentrated organic phase was purified on a silica gel column (PE:EA = 10: 1 to 4: 1) to give a third intermediate as a white solid (496 mg, 79%).
[0289] The third intermediate (2.5 g, 2.84 mmol) was dissolved in 80% HOAc (25 mL) at R.T., and the mixture was stirred at R.T. for overnight. The reaction was quenched with MeOH, and the solvent was removed. The crude was purified on a silica gel column (PE:EA = 5:1 to 1 :1) to give P23-2 as a white solid (1.2 g, 73%).
[0290] To a stirred solution of DAST (1.39 g, 8.68 mmol) in anhydrous toluene (15 mL) was added dropwise a solution of P23-2 (1.0 g, 1.73 mmol) at -78°C. The mixture was stirred at -78°C for 30 mins. The solution was heated to 60°C gradually and then stirred overnight. The mixture was poured into saturated Na2C03 solution. The concentrated organic phase was purified on a silica gel column (PE:EA = 10:1 to 4:1) to give P23-3 as a white solid (449 mg, 45%). lR NMR (CD3OD, 400 MHz) δ 7.87 (d, J = 8.4 Hz, 1H), 7.27- 7.37 (m, 12H), 6.82-6.84 (m, 2H), 6.14 (dd, J = 16.8,2.0Hz, 1H), 5.18-5.50 (m, 4H), 4.96 (s, 2H), 4.45-4.88 (m, 7H), 3.67-3.89 (m, 5H).
[0291] A mixture of P23-3 (1.20 g, 2.07 mmol) and CAN (3.41 g, 6.23 mmol) in a solution of MeCN: Water (3:1, 10 mL) was stirred at R.T. overnight. Brine (10 mL) was added, and the mixture was extracted with EA. The combined organic extracts were dried and evaporated under reduced pressure. The residue was purification by chromatography on silica gel (PE:EA = 10:1 to 2:1) to give P23-4 as a yellow solid (475 mg, 49.8%).
[0292] To a stirred solution of P23-4 (550 mg,210 mmol) in anhydrous MeCN (10 mL) were added TPSC1 (725 mg, 2.40 mmol), DMAP (293 mg, 2.40 mmol) and TEA (242 mg, 2.40 mmol) at R.T., and the mixture was stirred at R.T. overnight. NH4OH (25 mL) was added, and the mixture was stirred for 2 hours. The solvent was removed, and the residue was purified on a silica gel column (PE:EA = 8:1 to 2:1) to give P23-5 as a white solid (700 mg crude). Ή NMR (CD3OD, 400 MHz) 7.86 (d, J = 8.4 Hz, 1H), 7.27-7.36 (m, 10H), 6.13 (dd, J = 17.2 Hz, J2 = 2.0 Hz, 1H), 5.48-5.53 (m, 1 H), 5.1 1 -5.26 (m, 1H), 4.44- 4.74 (m, 7H), 3.89 (dd, J, = 10.4 Hz, J? = 2.0 Hz, 1H), 3.69 (dd, J, = 10.8 Hz, J2 =1.6 Hz, 1H).
[0293] To a stirred solution of P23-5 (1.0 g, 2.18 mmol) in anhydrous DCM (15 mL) was added MMTrCl (2.02 g, 6.56 mmol) and AgN03 (1.11 g, 6.56 mmol) at R.T., and the mixture was stirred at R.T. overnight. The solid was filtered off and washed with DCM. The filtrate was washed with brine and dried over Na2S04. The organic phase was concentrated, and the residue was purified on a silica gel column (PE:EA = 8: 1 to 2:1) to give P23-6 as a white solid (520 mg, 41%).
[0294] To a stirred solution of P23-6 (520 mg, 0.713 mmol) in acetone were added ammonium formate (2.0 g, 31.7 mmol, in portions) and 10% palladium on carbon (1.0 g). The mixture was refluxed for 12 hours. The catalyst was filtered off and washed with solvent. The filtrate was added EA and washed with brine. The concentrated organic phase was purified by column chromatography (DCM:MeOH = 100: 1 to 15:l)and prep. TLC to give P23-7 as a white solid (270 mg, 69.0%). ESI-MS: m/z 549.6 [M+H] +.
[0295] Compound P23-7 (130 mg, 0.236 mmol) was dissolved in 80% HCOOH (20 mL) at R.T., and the mixture was stirred at 50°C for 12 hours. The solvent was removed, and the residue was co-evaporated with toluene twice. The residue was re-dissolved in MeOH (20 mL) at 60°C and stirring was continued for 48 hours. The solvent was removed, and the residue was purified by column chromatography (DCM:MeOH = 100:1 to 10:1) to give 23a as a white solid (45 mg, 69.0%). ESI-MS: m/z 277.8 [M+H]+, 554.8 [2M+H]+.
EXAMPLE 24
Preparation of Compound 24a
Figure imgf000170_0001
[0296] To a solution of P24-1 (30.0 g, 100.0 mmol) in pyridine (300 mL) was added BzCl (56.0 g, 400 mmol) at 25°C. The mixture was stirred at 25°C for 15 hours. The mixture was concentrated and purified by column chromatography (PE:EA = 20: 1 to 2: 1) to give crude P24-2 (55.0 g, 81%).
[0297] Compound P24-2(55.0 g, 92 mmol) was dissolved in 80% HOAc aq. solution, and the mixture was refluxed for 14 hours. The solvent was removed under reduced pressure, and the residue was co-evaporated with toluene. The residue was purified on a silica gel column (PE/EA = 4: 1 to 2: 1) to give P24-3 as a white solid (39.2 g, 83%).
[0298] Compound P24-3 (39.2 g, 83 mmol) was dissolved in saturated methanolic ammonia, and the resulting solution was stirred at R.T. for 15 hours. The solvent was removed, and the residue was purified on a silica gel column (DCM/MeOH = 50:1 to 20: 1) to give P24-4 (21.0 g, 95.8%).
[0299] To a solution of P24-4 (21.0 g, 79.5 mmol) in pyridine (250 mL) was added DMTrCl (28.2 g, 83.5 mmol) at 0°C. The solution was stirred at R.T. for 15 hours. The reaction was quenched with MeOH and concentrated to dryness under reduced pressure. The residue was dissolved in EtOAc and washed with water. The organic layer was dried over Na2S04 and concentrated. The residue was dissolved in DCM (300 mL). Imidazole (13.6 g, 200 mmol) and TBSC1 (30.0 g, 200 mmol) were added. The reaction mixture was stirred at R.T. for 12 hours. The reaction mixture was washed with NaHC03 and brine. The organic layer was dried over Na2S04 and concentrated. The residue (48.5 g, 79.5 mmol) was dissolved in 80% HOAc aq. solution (400 mL). The mixture was stirred at R.T. for 20 hours. The mixture was diluted with EtOAc and washed with NaHC03 solution and brine. The organic layer was dried over Na2S04 and purified by silica gel column chromatography (1- 2% MeOH in DCM) to give P24-5 as a white solid (21.0 g, 70%). ESI-MS: m/z 379.1 [M+H]+.
[0300] To a solution of P24-5 (21.0 g, 55.6 mmol) in anhydrous CH3CN (200 mL) was added IBX (17.1 g, 61.1 mmol) at R.T. The reaction mixture was refluxed for 1 hour and then cooled to 0°C. The precipitate was filtered off, and the filtrate was concentrated to give the aldehyde as a yellow solid (21.0 g, 55.6 mmol). To a solution of the aldehyde (21.0 g, 55.6 mmol) in dioxane (200 mL) were added 37% CH20 (22.2 mL, 222.4 mmol) and 2N NaOH aq. solution (55.6 mL, 111.2 mmol). The mixture was stirred at R.T. for 2 hours and then neutralized with AcOH to pH = 7. To the reaction were added EtOH (50 mL) and NaBH4 (12.7 g, 333.6 mmol). The mixture was stirred at R.T. for 30 mins. The reaction was quenched with saturated aq. NH4C1. extracted with EA. The organic layer was dried over Na2S04 and concentrated. The residue was purified by silica gel column chromatography (1-3% MeOH in DCM) to give P24-6 as a white solid (13.5 g, 59.5%). [0301] To a solution of P24-6 (13.5 g, 33.1 mmol) in DCM (100 mL) were added pyridine (20 mL) and DMTrCl (11.2 g, 33.1 mmol) at 0°C. The solution was stirred at 25°C for 3 hours, and then treated with MeOH (30 mL). The solvent was removed, and the residue was purified by silica gel column chromatography (DCM:MeOH = 300: 1 to 100: 1) to give a residue. The residue was dissolved in anhydrous pyridine (150 mL) and TBDPSC1 (16.5 g, 60 mmol) and AgN03 (10.2 g, 60 mmol) were added. The mixture was stirred at 25°C for 15 hours, and then filtered and concentrated. The mixture was dissolved in EtOAc and washed with brine. The organic layer was dried over Na2S04. Purified by silica gel column chromatography (DCM:MeOH = 300:1 to 100:1) gave the product as a yellow solid (16.2 g, 85.3%). The solid was dissolved in 80% HO Ac aq. solution (400 mL). The mixture was stirred at .T. for 15 hours. The mixture was diluted with EtOAc and washed with NaHC03 solution and brine. The organic layer was dried over Na2S04 and purified by silica gel column chromatography (DCM:MeOH = 200: 1 to 50:1) to give P24-7 as a white solid (9.5 g, 86.5%).^ NMR (CD3OD 400 MHz) 7.39-7.70 (m, 11H), 6.34-6.38 (m, 1H), 5.12 (d, J = 8.0 Hz, 1H), 4.79 (dd, Ji = 10.0 Hz, J2 = 16.0 Hz, 1H), 4.14 (dd, Ji = 1.6 Hz, J2 = 11.6 Hz, 1H), 3.48-3.84 (m, 2H), 3.49 (dd, J; = 1.6 Hz, J2 = 11.6 Hz, 1H),1.12 (s, 9H), 0.92 (s, 9H), 0.16 (s, 6H).
[0302] To a solution of P24-7 (6.0 g, 9.3 mmol) in anhydrous DCM (80 mL) was added Dess-Martin periodinane (7.9 g, 18.6 mmol) at 0°C under nitrogen. The reaction was stirred at R.T. for 1 hour. The solvent was removed in vacuo, and the residue was triturated with diethyl ether (50 mL). The mixture was filtered through a pad of MgS04, and the organic solvent was stirred with an equal volume of Na2S203.5H20 in saturated NaHC03 (50 mL) until the organic layer became clear (approx. 10 min). The organic layer was separated, washed with brine, and dried over MgS04. After concentration in vacuo, P24-8 was obtained as a red solid (5.8 g.98%).
[0303] To a mixture of methyltriphenylphosphonium bromide (9.6 g, 27.0 mmol) in anhydrous THF (60 mL) was added n-BuLi (10.8 mL, 27.0 mmol) at -70°C under nitrogen. The reaction was stirred at 0°C for 30 mins. A solution of P24-8 (5.8 g, 9.0 mmol) in anhydrous THF (20 mL) was added dropwise at 0°C under nitrogen. The reaction was stirred at R.T. for 12 hours. The reaction was quenched with NH4C1 and extracted with EtOAc. The organic layer was separated, dried and concentrated, and the residue was purified by silica gel column chromatography (DCM:MeOH = 300:1 to 100:1) to give P24-9 as a white solid (3.0 g, 51%).
[0304] To a solution of P24-9 (2.9 g, 4.5 mmol) in anhydrous MeOH (20 mL) was added Pd/C (1.4 g) at 25°C under hydrogen atmosphere. The mixture was stirred at 25°C for 1 hour. The solution was filtered, evaporated to dryness and purified on a silica gel column (DCM:MeOH =300:1 to 100:1) to give P24-10 as a white solid (2.3 g, 79.3 %).
[0305] To a solution of P24-10 (1.0 g, 1.55 mmol) in anhydrous CH3CN (20 mL) were added TPSC1 (940 mg, 3.1 mmol), DMAP (380 mg, 3.1 mmol) and NEt3 (470 mg, 4.6 mmol) at .T. The reaction was stirred at R.T. for 5 hours. NH4OH (8 mL) was added, and the reaction was stirred for 1 hour. The mixture was diluted with DCM (150 mL) and washed with water, 0.1 M HC1 and saturated aq. NaHC03. The solvent was removed, and the residue was purified by silica gel column chromatography (PE:EA = 10:1 to 1 :1) to give the crude product as a yellow solid (900 mg, 90 %). To a solution of the crude product in DCM (10 mL) were added MMTrCl (930 mg, 3.0 mmol), AgN03 (510 mg, 3.0 mmol) and colliding (720 mg, 6.0 mmol) at R.T. The reaction was stirred for 12 hours at R.T. The reaction was filtered, concentrated and purified by silica gel column chromatography (DCM:MeOH=200:l to 50: 1) to give P24-11 as a yellow solid (1.1 g, 77.6%).
[0306] To a solution of P24-11 (1.1 g, 1.2 mmol) in MeOH (40 mL) was added NH4F (1.0 g, 30 mmol) at 25°C and stirred at 70°C for 15 hours. The solution was filtered and evaporated to dryness, and the residue was purified by silica gel column (DCM:MeOH = 200:1 to 20:1 ) to give P24-12 as a white solid (450 mg, 66.6%). ESl-LCMS: m/z 563.6 [M+H]+.
[0307] Compound P24-12 (250 mg, 0.44 mmol) was dissolved in 80% HCOOH in H20 (6.0 g) at 25°C. The mixture was stirred at 35°C for 15 hours. The solution was evaporated to dryness, dissolved in MeOH (30 mL) and stirred at 60°C for 12 hours. The solution was evaporated to dryness and purified by silica gel column chromatography methylene chloride methanol to give 24a as a white solid (125.6 mg, 97%). ESI-LCMS: m/z 291.9 [M+H]+. EXAMPLE 25
Preparation of Compound 25a
Figure imgf000174_0001
P25-7 P25-8
Figure imgf000174_0002
25a
[0308] To a solution of P25-1 (20.0 g, 70.16 mmol) in anhydrous pyridine (200 mL) was added imidazole (19.08 g, 280.7 mmol) and TBSCl (42.10 g, 280.7 mmol) at 25°C. The solution was stirred at 25°C for 15 hours, and then concentrated to dryness under reduced pressure. The residue was washed with EtOAc to give the crude product as a white solid (36.4 g). The crude product was dissolved in THF (150 mL) and H20 (100 mL), and then HO Ac (300 mL) was added. The solution was stirred at 80°C for 13 hours. The reaction was cooled to R.T., and the mixture was concentrated to dryness under reduced pressure. The residue was dissolved washed with EtOAc and dried to give P25-2 as a white solid (31.2 g, 60.9 %). [0309] To a stirred solution of P25-2 (31.2 g, 78.2 mmol) in anhydrous pyridine (300 mL) was added Ac20 (11.96 g, 117.3 mmol). The mixture was stirred at 25°C for 18 hours. MMTrCl (72.3 g, 234.6 mmol) and AgN03 (39.9 g, 234.6 mmol) were then added. The solution was stirred at 25°C for 15 hours. And H20 was added to quench the reaction. The solution was concentrated to dryness under reduced pressure. The residue was dissolved in EtOAc and washed with water. The organic layer was dried over Na2S04 and filtered. The filtrate was concentrated in vacuo to give a residue. The residue was purified by silica gel (DCM:MeOH = 200: 1 to 50: 1) to give the product. The product was dissolved in NH3/MeOH (300 mL), and the mixture was stirred at 25°C for 20 hours. The solvent was removed, and the residue was purified on a silica gel column (DCM:MeOH = 100: 1 to 50:1) to give P25-3 as a yellow solid (28.6 g, 86.5 %). lR NMR (400 MHz, MeOD) «58.01 (s, 1H), 7.23-7.35(m, 12H), 6.85-6.87 (m, 2H), 5.60 (dd, J; = 11.2 Hz, J2 = 5.6 Hz, 1H), 4.78-4.94 (m, 1H), 4.44 (dd, J; = 8.0 Hz, J2 = 4.8 Hz, 1H), 3.78 (s, 3H), 3.60-3.63 (m, 1H), 3.50 (dd, J = 32.0 Hz, J2 = 12.0 Hz, 2H), 3.32 (s, 3H), 0.94 (s, 9H), 0.12-0.14 (m, 6H).
[0310] To a solution of P25-3 (7.24 g, 10.79 mmol) in anhydrous CH3CN (100 mL) was added IBX (3.93 g, 14.03 mmol) at 20°C. The reaction mixture was refluxed at 90°C for 1 hour. The reaction was filtered, and the filtrate was concentrated to give the aldehyde as a yellow solid (7.1 g). To a solution of the aldehyde (7.1 g, 10.6 mmol) in dioxane (80 mL) was added 37% CH20 (4.2 mL, 42.4 mmol) and 2N NaOH aq. solution (8.0 mL, 15.9 mmol). The mixture was stirred at 25°C for 2 hours and then neutralized with AcOH to pH = 7. To reaction was added EtOH (30 mL) and NaBH4 (2.4 g, 63.6 mmol), the reaction was then stirred for 30 mins. The mixture was quenched with saturated aq. NH4C1. The mixture was extracted with EA, and the organic layer was dried over Na2S04. The solvent was removed, and the residue was purified by silica gel column chromatography (DCM:MeOH = 200:1 to 50:1) to give P25-4 as a yellow solid (4.86 g, 65.4%).
[0311] To a solution of P25-4 (3.8 g, 5.4 mmol) in DCM (40 mL) were added pyridine (10 mL) and DMTrCl (1.8 g, 5.4 mmol) at 0°C. The solution was stirred at 25°C for 1 hour. The reaction mixture was treated with MeOH (15 mL) and concentrated. The residue was purified by silica gel column chromatography (DCM:MeOH = 200: 1 to 50:1) to give the mono-DMTr protected intermediate as a yellow solid (3.6 g, 66.4 %). To a solution of the intermediate in anhydrous pyridine (30 mL) were added TBDPSC1 (2.96 g, 10.8 mmol) and AgN03 (1.84 g, 10.8 mmol). The mixture was stirred at 25°C for 15 hours. The mixture was filtered and concentrated, and then dissolved in EtOAc and washed with brine. The organic layer was dried over Na2S04, and then concentrated. The residue was purified by silica gel column chromatography (DCM:MeOH = 200:1 to 50: 1) to give the pure intermediate as a white solid (3.8 g, 85.1%). To a solution of the intermediate (3.6 g, 2.9 mmol) in anhydrous DCM (50 mL) was added Cl2CHCOOH (1.8 mL) in anhydrous DCM (18 mL) at -78°C. The mixture was stirred at -10°C for 30 mins. The mixture was quenched with saturated aq. NaHC03 and extracted with DCM. The organic layer was dried over Na2S04, and then purified by silica gel column chromatography (DCM:MeOH = 200: 1 to 50:1) to give P25-5 as a white solid (2.2 g, 80.7%).
[0312] Compound P25-5 (2.2 g, 2.3 mol) was added to a suspension of Dess- Martin periodinane (2.5 g, 5.8 mol) in anhydrous CH2C12 (30 mL) at 25°C. The mixture was stirred at 25°C for 4 hours. The solvent was removed in vacuo, and the residue triturated with diethyl ether (30 mL). The mixture was filtered through a pad of MgS04. The organic solvent was stirred with an equal volume of Na2S203.5H20 in saturated NaHC03 (30 mL) until the organic layer became clear (approx. 10 min). The organic layer was separated, washed with brine, and dried over MgS04. The solvent was removed in vacuo to give P25-6 as a yellow solid (2.1 g, 95%).
[0313] To a stirred solution of methyl-triphenyl-phosphonium bromide (2.3 g , 6.6 mmol) in anhydrous THF (30 mL) was added dropwise n-BuLi (2.6 mL, 6.6 mmol, 2.5 M in THF) at -78°C over 1 minute. Stirring was continued at 0°C for 1 hour. P25-6 (2.1 g, 2.2 mmol) was added to the mixture, and then stirred at 25°C for 15 hours. The reaction was quenched with saturated NH4C1 (50 mL). The mixture was extracted with EtOAc. The combined organic phase was dried with Na2S04, filtered and evaporated to dryness to give a light yellow oil. The oil was purified by column chromatography (DCM:MeOH = 200:1 to 50: 1) to give P25-7 as a white solid (1.6 g, 76%).
[0314] To a solution of P25-7 (1.6 g, 1.7 mmol) in MeOH (50 mL) was added NH4F (1.5 g, 40 mmol), and the mixture was stirred at 70°C for 15 hours. The solution was filtered and evaporated to dryness. The residue was purified by silica gel column (DCM:MeOH = 200:1 to 20: 1) to give P25-8 as a white solid (450 mg, 49%). ESI-LCMS: m/z 584.1 [M+H]+.
[0315] Compound P25-8 (130 mg, 0.22 mmol) was dissolved in 80% HCOOH and the mixture was stirred at 25°C for 1 hour. Then the solution was evaporated to dryness.
The residue was dissolved in MeOH (30 mL) and stirred at 60°C for 12 hours. Then the solution was evaporated to dryness, and the residue was washed by EtOAc to give 25a as a white solid (52.3 mg, 76%). ES1-MS: m/z 334.1 [M+Na]+.
EXAMPLE 26
Preparation of Compound 26a
Figure imgf000177_0001
[0316] To a stirred solution of P25-6 (2.1 g, 2.2 mmol) in pyridine was added HONH2.HCI (0.61 g, 8.8 mmol) at 25°C. The mixture was stirred at 25°C for 2 hours. The mixture was concentrated, and the residue was purified by column chromatography (DCM:MeOH = 200: 1 to 50:1) to give P26-1 as a white solid (1.8 g, 83%).
[0317] To a stirred solution of P26-1 (1.4 g, 1.47 mmol) in DCM were added TEA (0.44 g, 4.4 mmol) and methanesulfonyl chloride (0.34 g, 2.9 mmol) at 0°C. The mixture was stirred at 25°C for 1 hour. The mixture was quenched with saturated aq. NaHC03 and extracted with DCM. The organic phase was dried with Na2S04, filtered and evaporated. The residue was purified by column chromatography (DCM:MeOH = 200: 1 to 50:1) to give P26-2 as a white solid (1.1 g,79%). [0318] To a solution of P26-2 (1.1 g, 1.18 mmol) in MeOH (50 mL) was added NH4F (1.5 g, 40 mmol), and the mixture was stirred at 70°C for 15 hours. The solution was filtered and evaporated to dryness. The residue was purified by silica gel column (DCM:MeOH = 200:1 to 20: 1) to give P26-3 as a white solid (400 mg, 71%). ESI-LCMS: m/z 583.1 [M+H]+.
[0319] Compound P26-3 (200 mg, 0.34 mmol) was dissolved in 80% HCOOH aq. solution. The mixture was stirred at 25°C for 1 hour. The solution was evaporated to dryness, dissolved in MeOH (30 mL) and stirred at 60°C for 12 hours. The solvent was removed, and the residue was washed by EtOAc to give 26a as a white solid (100.4 mg, 95%). ESI-MS: m/z 311.1 [M+H]+.
EXAMPLE 27
Preparation of Compound 27a
Figure imgf000178_0001
27a
[0320] To a stirred solution of chloromethyl-triphenyl-phosphonium chloride (1.9 g , 5.4 mmol) in anhydrous THF (30 mL) was added dropwise n-BuLi (2.16 mL, 5.4 mmol, 2.5 M in THF) at -78°C over 10 mins. Stirring was continued at -78°C for 2 hours. P25-6 (1.7 g, 1.8 mmol) was added, and the mixture and stirred at 25°C for 15 hours. The reaction was quenched with saturated NH4C1 (50 mL). The mixture was extracted with EtOAc. The combined organic phase was dried with Na2S04, filtered and evaporated to dryness to give a light yellow oil. The oil was purified by column chromatography (DCM:MeOH = 200:1 to 50: 1) to give P27-1 as a white solid (1.2 g, 70%).
[0321] To a stirred solution of P27-1 (1.2 g, 1.3 mmol) in anhydrous THF (20 mL) was added dropwise n-BuLi (8.0 mL, 20 mmol, 2.5 M in THF) at -78°C over 10 minutes. Stirring was continued at -78°C for 4 hours. The reaction was quenched with saturated NH4C1 (50 mL). The mixture was extracted with EtOAc (50 x 2 mL). The combined organic phase was dried over Na2S04, filtered and evaporated to dryness. The residue was purified by column chromatography (DCM:MeOH = 200: 1 to 50: 1) to give P27- 2 as a white solid (1.0 g, 83%).
[0322] To a solution of P27-2 (1.0 g, 1.1 mmol) in MeOH (40 mL) was added NH4F (1.5 g, 40 mmol), and the mixture was stirred at 70°C for 25 hours. The solution was filtered, and the filtrate was evaporated to dryness. The residue was purified on a silica gel column (DGVLMeOH = 200:1 to 20:1) to give P27-3 as a white solid (240 mg, 38%). ESI- LCMS: m/z 582.1 [M+H]+.
[0323] Compound P27-3 (130 mg, 0.22 mmol) was dissolved in 80% HCOOH aq. solution. The mixture was stirred at 25°C for 1 hour. The solution was evaporated to dryness. The residue was dissolved in MeOH (30 mL) and stirred at 60°C for 12 hours. The solvent was removed, and the residue was washed with EtOAc to give 27a as a white solid (43.0 mg, 63%). ESI-MS: m/z 310.1 [M+H]+.
EXAMPLE 28
Preparation of Compound 28a
Figure imgf000180_0001
[0324] To a stirred solution of P25-1 (5.7 g. 20 mmol) in anhydrous pyridine (20 mL) was added dropwise Ac20 (5.8 mL, 60 mmol) at 0°C. The mixture was stirred at R.T. for 10 hours. AgN03 (8.5 g, 50 mmol) and MMTrCl (15.5 g, 50 mmol) were added. The mixture was stirred at R.T. for 10 hours. The solution was quenched with saturated NaHC03 and extracted with EA. The organic layer was dried over Na2S04 and concentrated. The residue was purified on a silica gel column (DCM/MeOH = 100: 1 to 50:1) to afford the intermediate as a light yellow solid (12.1 g, 93.4%). The solid was treated with saturated NH3 in MeOH at R.T. for 14 hours. The solvent was removed, and the residue was purified by silica gel column chromatography (DCM/MeOH = 80:1 to 30:1) to afford P28-1 as a white solid (9.2 g, 87.5%).
[0325] To a stirred solution of P28-1 (9.2 g, 16.5mmol) in dry THF (300 mL) were added imidazole (9.0 g, 132 mmol) and PPh3 (34.8 g, 132 mmol). A solution of I2 (26.0 g, 103 mmol) in THF (100 mL) was added dropwise under N2 at 0°C. The mixture was stirred at R.T. for 18 hours. The reaction was quenched with Na2S203 solution, and the mixture was extracted with EtOAc. The organic layer was dried over Na2S04 and concentrated. The residue was purified by silica gel column chromatography (DCM/MeOH = 80: 1 to 30:1) to give P28-2 as a light yellow solid (10.3 g, 93.4%).
[0326] To a stirred solution of P28-2 (10.2 g, 15.3 mmol) in dry THF (300 mL) was added DBU (4.7 g, 30.1 mmol). The mixture was stirred at 60°C for 8 hours. The solution was diluted with NaHC03 solution and extracted with EtOAc. The organic layer was dried over Na2S04 and concentrated. The residue was purified by silica gel column chromatography (PE/EtOAc = 3:1 to 1 :3) to afford P28-3 as a light yellow foam (6.2 g, 75.6 %). ESI-MS: m/z 540 [M + H]+.
[0327] To a stirred solution of P28-3 (5.42 g, 10 mmol) in anhydrous CH3OH (100 mL) were added PbC03 (13.7 g, 53.1mmol) followed by a solution of I2 (12.3 g, 48.9 mmol) in CH3OH (300 mL) at 0°C. The mixture was stirred at R.T. for 10 hours. The solution was quenched with a Na2S203 solution and extracted with DCM. The organic layer was washed with NaHC03 solution, dried over Na2S04 and concentrated. The residue was purified by pre-HPLC (MeCN and 0.1% HCOOH in water) to give the pure product as a white foam (2.4 g, 34 %). The product was dissolved in dry pyridine (20 mL) and BzCl (723 mg, 5.2 mmol) was added dropwise at 0°C. The mixture was stirred at 0°C for 1 hour. The solution was quenched with NaHC03 solution, and extracted with EtOAc. The organic layer was dried over Na2S04 and concentrated. The residue was purified by silica gel column chromatography using petroleum ethenethyl acetate to afford P28-4 as a white solid (2.1 g, 77.1%).
[0328] Compound P28-4 (2.0 g, 2.5 mmol), BzONa (3.6 g, 25 mmol) and 15- crown-5 (5.5 g, 25 mmol) were suspended in DMF (50 mL). The mixture was stirred at 110- 125°C for 5 days. The precipitate was removed by filtration, and the filtrate was diluted with EA. The solution was washed with brine and dried over Na2S04. The solvent was removed, and the residue was purified on a silica gel column (PE/EA = 10/1 to 2/1) to afford crude P28-5 as a light yellow foam (1.6 g, 80%).
[0329] Compound P28-5 (1.6 g, 2.0mmol) was dissolved in methanolic ammonia (100 mL, saturated), and the mixture was stirred at R.T. for 20 hours. The solvent was removed, and the residue was purified on a silica gel column (DCM/MeOH = 100: 1 to 20: 1) to give P28-6 as a white solid (410 mg, 34.9%). ESI-LCMS: m/z 588.1 [M+H]+.
[0330] Compound P28-6 (200 mg, 0.34 mmol) was dissolved in 80% HCOOH and the mixture was stirred at 25°C for 1 hour. The solution was evaporated to dryness, and the residue was dissolved in MeOH (30 mL) and stirred at 60°C for 12 hours. The solvent was removed, and the residue washed with EtOAc to give 28a as a white solid (46.1 mg, 43%). ES1-MS: m/z 316.1 [M+H]+.
EXAMPLE 29
Preparation of Compound 29a
Figure imgf000182_0001
[0331] DEAD (40% in toluene, 0.15 mL, 0.33 mmol) was added to a stirred solution of triphenylphosphine (78 mg, 0.3 mmol) in anhydrous 1,4-dioxane (0.5 mL) at 0°C under argon. The mixture was warmed up to R.T. and 10a (26 mg, 0.1 mmol) and bis(pivaloyloxymethyl)phosphate (98 mg, 0.3 mmol) were added. The resulting mixture was stirred at 65°C for 3 days. Diisopropylethylamine (50 μί) was added, and the mixture was stirred at 70°C for 3 days. Another reaction of the same scale was conducted separately. The two reaction mixtures were combined and concentrated. Chromatography on silica gel with 5-10% methanol in DCM gave the desired product (20 mg) with a minor impurity. A second chromatography on silica gel, followed by RP HPLC with acetonitrile/water, gave 29a (2.8 mg ) as a colorless residue. MS: m/z 698 [M + 2-methylheptylamine]+.
EXAMPLE 30
Preparation of Compound 30a
Figure imgf000183_0001
[0332] To a solution of 1-1 (313 mg; 0.55 mmol) in THF (8 mL) under Ar was added a solution of triethylammonium bis(POM)phosphate in THF (prepared from bis(POM)phosphate (215 mg ; 1.2 equiv), THF (2 mL) and Et3N (0.1 mL; 1.3 equiv)). The resulting mixture cooled in an ice-bath. Diisopropylethyl amine (0.38 mL; 4 equiv) was added. BOP-C1 (280 mg; 2 equiv) and 3-nitro-l,2,4-triazole (125 mg; 2 equiv) was then added. The reaction mixture was stirred at 0°C for 90 mins. The mixture was diluted with CH2CI2 (60 mL) and washed with saturated aq. NaHC03 (2 x 10 mL) and brine. The combined aqueous layers were back extracted with CH2CI2 (-20 mL). The combined organic extract was dried (Na2S04) and evaporated. The residue purified on silica (25 g column) with CH2C12 /i-PrOH solvent system (2-10% gradient). Yield: 140 mg (27%).
[0333] A solution of 1-2 (110 mg; 0.13 mmol) in 80% aq. formic acid was heated at 35-37°C for 3 hours. The mixture was evaporated to give an oily residue. The residue was co-evaporated 2 times with toluene. Purification on a silica gel column (10 g) with CH2CI2 /MeOH solvent system (4-10% gradient) to afford 30a (46 mg, 59% yield). 31P-NM (DMSO-de): δ -4.45. MS: m/z 646 [M+46-1]. EXAMPLE 31
Preparation of Compound 31a
Figure imgf000184_0001
[0334] To a solution of 2-1 (370 mg; 0.64 mmol) in THF (10 mL) under Ar was added triethylammonium bis(POM)phosphate (330 mg; 1.2 equiv). The mixture cooled in ice-bath, and diisopropylethyl amine (0.42 mL; 4 equiv) was added. BOP-C1 (305 mg; 2 equiv) and 3-nitro-l,2,4-triazole (137 mg; 2 equiv) was then added. The reaction mixture was stirred at 0°C for 90 mins. The mixture was diluted with CH2CI2 (50 mL) and washed with saturated aq. NaHC03 (2 x 10 mL) and brine. The combined aqueous layers were back extracted with CH2CI2 (-20 mL). The combined organic extract was dried (Na2S04), evaporated, and the residue purified on silica (25 g column) with CH2CI2 /i-PrOH solvent system (2-10% gradient). Yield: 154 mg (27%).
[0335] A solution of 2-2 (68 mg; 0.08 mmol) in 80% aq. formic acid was stirred at R.T. for 3 hours. The mixture was evaporated to an oily residue. The residue was co- evaporated 2 times with toluene. Purification on a silica gel column (10 g) with CH2CI2 /MeOH solvent system (4-10% gradient; target compound eluted with 8% MeOH) afforded 31a (35 mg, 78% yield). 31P-NM (DMSO-d6): δ -4.19. MS: m/z 580 (M-l), 646 (M+46-1), 550 [M-30-1]. EXAMPLE 32
Preparation of Compound 32a
Figure imgf000185_0001
[0336] To a solution of 3-1 (71 mg; 0.26 mmol) in THF (4 mL) under Ar was added triethylammonium bis(POM)phosphate (144 mg; 1.2 equiv), and the resulting mixture was cooled in an ice-bath, and diisopropylethyl amine (0.18 mL; 4 equiv) was added. BOP- CI (132 mg; 2 equiv) and 3-nitro-l,2,4-triazole (59 mg; 2 equiv) was then added. The reaction mixture was stirred at 0°C for 1 hour. The mixture was diluted with CH2CI2 (50 mL) and washed with saturated aq. NaHC03 (2 x 10 mL) and brine. The combined aqueous layers were back extracted with CH2CI2 (-20 mL). The combined organic extract was dried (Na2S04), evaporated, and the residue was purified on silica (10 g column) with CL^C MeOH solvent system (4-10% gradient). Compound 32a was repurified by RP-
HPLC (35-90%B; A: water, B: MeOH). Yield 75 mg (50%). 31P-NMR (DMSO-d6): δ -4.14. MS: m/z 627 (M+46-1), 551 [M-30-1].
EXAMPLE 33
Preparation of Compound 33a
Figure imgf000186_0001
[0337] To a solution of 4-1 (0.29 g; 0.5 mmol) in MeCN (8 mL) was added 5- ethylthio-lH-tetrazole in MeCN (0.25 M; 2.4 mL; 1.2 equiv). BisSATE-phosphoramidate (0.24 g; 1.05 equiv.) in MeCN (1.5 mL) was added over 90 mins. The reaction mixture was stirred for 4 hours at R.T., and then cooled to -40°C. MCPBA (0.23 g; 2 equiv.) in CH2C12 (3 mL) was added. The mixture was allowed to warm to R.T. and diluted with EtOAc(50 mL). The mixture was washed with 10% aq. NaHS03 (2 x 10 mL), saturated aq. NaHC03 (2 x 10 mL) and brine. The mixture was then dried (Na2S04). The evaporated residue was purified on silica (10 g column) with CH2C12 /MeOH solvent system (4-10% gradient) to afford 4-2 (0.26 g, 55% yield).
[0338] A solution of 4-2 (0.21 g; 0.22 mmol) in 80% aq. AcOH (15 mL) was stirred 4 hours at R.T. The mixture was evaporated and purified on silica (10 g column) with CH2Cl2/MeOH solvent system (4-10% gradient) to yield 33a (0.13 g, 90%). 31P-NMR (DMSO-d6): δ -2.00. MS: m/z 686 [M+46-1]. EXAMPLE 34
Preparation of Compounds 34a-34e
J, NH + CI-P-CI
o
Figure imgf000187_0001
[0339] 1,2,4-Triazole (42 mg, 0.6 mmol) was suspended of dry CH3CN (1 mL). Triethylamine was added (0.088 mL, 0.63 mmol), and the mixture was vortexed to obtain a clear solution. After addition of POCl3 (0.01 mL, 0.1 mmol), the mixture was vortexed and left for 20 min. The mixture was then centrifugated. The supernatant was added to the protected nucleoside (0.05 mmol), and the mixture was kept at ambient temperature for 1 hour. Tris(tetrabutylammonium) hydrogen pyrophosphate (180 mg, 0.2 mmol) was added, and the mixture was kept for 2 hours at R.T. The reaction was quenched with water, evaporated, dissolved in 80% formic acid and left for 2 hours at R.T. Formic acid was evaporated, and the residue dissolved in water (5 mL) and extracted with EA (2 x 2 mL). The aqueous fraction was loaded onto column HiLoad 16/10 with Q Sepharose High Performance (linear gradient of NaCl from 0 to IN in 50mM TRIS-buffer (pH = 7.5)). Fractions containing the triphosphate were combined, concentrated and desalted by RP HPLC on Synergy 4 micron Hydro-RP column (Phenominex) using a linear gradient of methanol from 0 to 20% in 50mM triethylammonium acetate buffer (pH 7.5) for elution. The following compounds shown in Table 1 were synthesized according this procedure: Table 1 - Tri hosphates obtained from Example 34
Figure imgf000188_0001
EXAMPLE 35
Preparation of Compound 35a
Figure imgf000189_0001
[0340] 1 ,2,4-Triazole (42 mg, 0.6 mmol) was suspended in dry CH3CN (1 mL). Triethylamine was added (0.088 mL, 0.63 mmol), and the mixture was vortexed to obtain a clear solution. After addition of POCl3 (0.01 mL, 0.1 mmol), the mixture was vortexed and left for 20 mins. The mixture was centrifugated, and the supernatant was added to the protected nucleoside (0.05 mmol). The mixture was kept at ambient temperature for 1 hour. Tris(tetrabutylammonium) hydrogen pyrophosphate (180 mg, 0.2 mmol) was added, and the mixture was kept for 2 hours at R.T. The reaction was quenched with water, evaporated, dissolved in ammonium hydroxide and left for 2 hours at R.T. The solvent was evaporated, and the residue dissolved in water (10 mL). The mixture was loaded onto a column HiLoad 16/10 with Q Sepharose High Performance. Separation was done in linear gradient of NaCl from 0 to IN in 50mM TRIS-buffer (pH7.5). The fractions containing the product were combined, concentrated and desalted by RP HPLC on Synergy 4 micron Hydro-RP column (Phenominex). A linear gradient of methanol from 0 to 20% in 50mM triethylammonium acetate buffer (pH 7.5) was used for elution. MS (M-l): 532.1. 3IP-NMR (δ ppm): -5.12 (d), -11.31 (d) and -20.43 (t).
EXAMPLE 36
Preparation of Compounds 36a- 36d
Figure imgf000190_0001
[0341] 2'-Deoxy-2'-fluoro-4'-alkyl-cytidine (0.09 mmol) was dissolved in the mixture of DMF (5 mL) and Ν,Ν'-dimethylacetate in DMF (0.110 mL, 0.9 mmol). The reaction mixture left at R.T. overnight. The solvent was evaporated, and the residue purified by flash chromatography in gradient of methanol in DCM from 3% to 20%. The N-Protected nucleoside was concentrated in vacuum, dried and dissolved in dry trimethylphosphate (0.7 mL). The solution was cooled to 4°C and POCl3 (0.017 mL, 0.18 mmol) was added. In 1 hour, tributylamine (0.102 mL, 0.3 mmol) was added at R.T. Tributylammonium pyrophosphate (156 mg, 0.34 mmol) was then added. Dry DMF (about 0.100 mL) was added to solubilize pyrophosphate. After 2 hours, the reaction was quenched with TEAB-buffer. The product was isolated by ion-exchange chromatography on AKTA Explorer as described in Example 35. The fractions containing the product were concentrated and treated with NH4OH for 2 hours at R.T. The product was desalted by RP HPLC as described in Example 35. Table 2 - Tri hosphates obtained from Example 36
Figure imgf000191_0001
Figure imgf000192_0001
EXAMPLE 37
Preparation of Compounds 37a
Figure imgf000192_0002
[0342] Compound 37a was synthesized by reaction of phosphor(tris-triazolide) with 4 '-ethyl-2' -deoxy-2 '-fluoro-uridine as described Examples 34 and 35.
Figure imgf000192_0003
(δ ppm): -9.43 (bs), -11.68 (d) and -23.09 (bs). MS: m/z 513.1 [M-l]. EXAMPLE 38
Preparation of Compounds 38a
Figure imgf000193_0001
[0343] The starting nucleoside (15 mg, 0.05 mmol) was dissolved in dry trimethylphosphate (3 mL). The solution was cooled to 4°C. POCl3 (0.013 mL, 0.125 mmol) was added, followed by pyridine (0.01 mL, 0.125 mmol). In 1 hour, tributylamine (0.035mL, 0.125 mmol) was added at R.T. followed by tributylammonium pyrophosphate (156 mg, 0.34 mmol). Dry DMF (about 0.100 mL) was added to solubilize pyrophosphate. In 2 hours, the reaction was quenched with TEAB-buffer. The product was isolated by ion-exchange chromatography on AKTA Explorer as described in Example 35. The fractions containing the product were concentrated and treated with NH4OH for 2 hours at R.T. The product was desalted by RP HPLC as described in Example 35. MS: m/z 529.9 [M-l]. 31P-NMR (δ ppm): -9.42(d), -1 1.59(d) and -23.03(f).
EXAMPLE 39
Preparation of Compound 40a
Figure imgf000194_0001
[0344] To a solution of 40-1 (50.0 g, 205 mmol) in pyridine (250 mL) was added DMTrCl (75.0 g, 225.0 mmol). The solution was stirred at R.T. for 15 hours. MeOH (120 mL) was added, and the mixture was concentrated to dryness under reduced pressure. The residue was dissolved in EA and washed with water. The organic layer was dried over Na2S04 and concentrated to give the crude 5'-0-DMTr intermediate (80.52g) as a light yellow solid. The intermediate was dissolved in anhydrous DMF (300 mL), and K2C03 (80.52g, 583.2 mmol) was added followed by PMBCl (31.7 g, 109.2 mmol). The mixture was stirred at R.T. overnight. The reaction was diluted with EA and washed with brine. The organic phase was dried over Na2S04 and concentrated to give crude 5'-0-DMTr-N3-PMB FdU (98.8 g) as a light yellow solid. The solid was dissolved in DMF (300 mL), and NaH (10.42 g, 260.5 mmol) was added followed by BnBr (73.8 g, 434.2 mmol). The reaction was stirred at R.T. overnight and then was quenched with water. The solution was diluted with EA and washed with brine. The organic phase was dried over Na2S04 and concentrated to give the crude fully blocked FdU intermediate, which was purified on a silica gel column (PE:EA = 10: 1 to 3 : 1) to the pure fully blocked FdU (101.1 g). The intermediate was treated with 80% HO Ac (900 mL) at R.T. overnight, and the solvent was removed. The residue was purified on a silica gel column to give 40-2 as a white foam (42.1 g, 30.2% for 4 steps).
[0345] To a solution of 40-2 (42.1 g, 92.6 mmol) in anhydrous CH3CN (300 mL) was added IBX (28.5 g, 121.7 mmol) at R.T. The reaction mixture was refluxed for 1 hour and then cooled to 0°C. The precipitate was filtered-off, and the filtrate was concentrated to give the crude aldehyde (39.22 g) as a yellow solid. To a solution of the aldehyde (39.22 g) in 1 ,4-dioxane (250 mL) was added 37% CH20 (28.1 mL, 345.6 mmol) and 2N NaOH aqueous solution (86.4 mL, 172.8 mmol). The mixture was stirred at R.T. for 2 hours and then neutralized with AcOH to pH = 7. EtOH (200 mL) and NaBH4 (19.7 g, 518.6 mmol) were added, stirred at R.T. for 30 mins. The mixture was quenched with saturated aqueous NH4C1, and extracted with EA. The organic layer was dried over Na2S04 and concentrated. The residue was purified by silica gel column chromatography (PE:EA = 4: 1 to 2: 1) to give 40-3 (25.5 g, 55.7%) as a white solid.
[0346] To a stirred solution of 40-3 (25.5 g, 52.5 mmol) in anhydrous pyridine (150 mL) and anhydrous CH3CN (150 mL) was added BzCl (6.6 g, 52.47 mmol) dropwise at 0°C. The mixture was stirred at R.T. for 14 hours. The reaction was quenched with H20, and the solution was concentrated. The residue was dissolved in EA and washed with saturated NaHC03. The organic layer was dried over Na2S04 and concentrated. The residue was purified on a silica gel column (PE/EA = 5:4) to give the mono-Bz protected intermediate (18.1 g, 60.0%) as a white foam. To a stirred solution of this intermediate (18.1 g, 30.68 mmol) in DMF (100 mL) were added Cs2C03 (30.0 g, 92.03 mmol) and BnBr (10.4 g, 61.36 mmol). The mixture was stirred at R.T. overnight. The reaction was quenched with saturated NH4C1 aq., extracted with EA and washed with brine. The solvent was removed to give crude 40-4 (19.3g, 95.1%) as a light yellow solid.
[0347] To a stirred solution of 40-4 (19.3 g, 28.4 mmol) in anhydrous MeOH (230 mL) was added NaOMe (24.9 g, 460 mmol) at R.T. The mixture was stirred for 1 hour. The reaction was quenched with AcOH (10 mL) and concentrated. The residue was purified on a silica gel column (PE/EA = 1/2) to afford 40-5 (1 1.2 g, 54.0%) as a white solid.
[0348] To a stirred solution of 40-5 (200 mg, 0.347 mmol) in anhydrous DCM (5 mL) was added DMP (168 mg, 0.674 mmol) at .T. The mixture was stirred at R.T. for 2 hours. The solvent was removed, and the residue was purified on a silica gel column (PE:EA = 5: 1 to 1 : 1) to give the aldehyde crude as a light yellow solid (200 mg). T o a stirred solution of the aldehyde (200 mg) in anhydrous THF (5 mL) was added MeMgBr (1.0 mL, 1.01 mmol) at -78°C. The mixture was stirred at -78°C for 1 hour. The reaction was quenched with saturated NH4C1 aq .and extracted with EA. The concentrated organic phase was purified by column chromatography (PE: EA = 5: 1 to 1 : 1) to give 40-6 (a mixture of stereomers, 135 mg, 65%) as a white solid.
[0349] To a stirred solution of DAST (1.64 g, 10.17 mmol) in anhydrous toluene (40 mL) was added dropwise a solution of 40-6 (1.2 g, 2.03 mmol) at -78°C. The mixture was stirred at -78°C for 30 mins. The solution was warmed to 60°C slowly and stirring was continued overnight. The mixture was poured into a saturated Na2C03 solution. The concentrated organic phase was concentrated and purified on a silica gel column (PE:EA = 10: 1 to 3 : 1) to afford 40-7 as a white solid (1.08 g, 83.88%). 1H NMR (CD3OD, 400 MHz) δ 7.87 (d, J= 8.4Hz, 1H), 7.27-7.37 (m, 12H), 6.82-6.84 (m, 2H), 6.14 (d, J=16.8, 2.0Hz, 1H), 5.18-5.50 (m, 4H), 4.96 (s, 2H), 4.45-4.88 (m, 7H), 3.67-3.89 (m, 5H).
[0350] A mixture of 40-7 (0.91g, 1.54 mmol) and CAN (2.53 g, 4.61 mmol) in a 3 : 1 solution of MeCN:water (10 m L) was stirred at R.T. overnight. Brine (10 mL) was added, and the mixture was extracted with EA. The combined organic extracts were dried and evaporated under reduced pressure. Purification by chromatography on silica gel column with PE: EA=10: 1 to 2: 1 afforded 40-8 as a yellow solid (305 mg, 41.96%).
[0351] To a stirred solution of 40-8 (350 mg, 0.74 mmol) in anhydrous MeCN (8 mL) were added TPSC1 (449 mg, 1.48 mmol), DMAP (180 mg, 1.48 mmol) and TEA (374 mg, 3.70 mmol) at R.T. The mixture was stirred at R.T. overnight. NH4OH (15 mL) was added, and the mixture was stirred for 2 hours. The solvent was removed, and the residue was purified on a silica gel column with PE: EA=8: 1 to 1 : 1 to afford the crude (380 mg crude), which was dissolved in anhydrous DCM (10 mL). A mixture of MMTrCl (695mg, 2.25mmol) and AgN03 (380mg, 2.25 mmol) was added at R.T., and the mixture was stirred at R.T. overnight. The solid was filtered off and washed with DCM. The filtrate was washed with brine and dried over Na2S04. The concentrated organic phase was purified on a silica gel column (PE:EA = 8: 1 to 2:1) to afford 40-9 as a yellow solid (460 mg, 81.33%).
[0352] To a stirred solution of 40-9 (450 mg, 0.61 mmol) in acetone were added ammonium formate (1.29 g, 20.6mmol, in portions) and 10% palladium on carbon (1.0 g). The mixture was refluxed for 12 h. The catalyst was filtered off and washed with acetone. The filtrate was diluted with EA and washed with brine. The concentrated organic phase was purified by column chromatography (DCM:MeOH = 100: 1 to 15:1) to afford 40-10 as a white solid (250 mg, 72.8%). ESI-MS: m/z 563.50 [M + H]+.
[0353] Compound 40-10 (101 mg, 0.179 mmol) was dissolved in 80% HOAc (20 mL) at R.T. The mixture was stirred at 50°C for 5 hours. The solvent was removed, and the residue was co-evaporated with toluene twice. The residue was purified by column chromatography (DCM:MeOH = 100:1 to 10:1) to afford 40a as a white solid (36.6 mg,
70.26%). ESI-MS: m/z 291.84 [M+H]+, 582.81 [2M+H]+.
EXAMPLE 40
Preparation of Compound 41a
Figure imgf000197_0001
41 -4 41a
[0354] To a solution of 41-1 (3 g, 4.8 mmol) in anhydrous DCM (50 mL) were added BzCl (1.3 g, 9.6 mmol), DMAP (1.1 g, 9.6 mmol) and NEt3 (4 mL) at R.T. The reaction was stirred at R.T. for 2 hours. Water was added, and the reaction was stirred for another 1 hour. The mixture was diluted with DCM (150 mL) and washed with water, 0.1 M HC1 and saturated aqueous NaHC03. The solvent was removed, and the crude product was purified by silica gel column chromatography (25% EtOAc in PE) to give 41-2 as a yellow solid (2.8 g, 80.0%).
[0355] A mixture of 41-2 (2.6 g, 3.6 mmol) and Pd(OAc)2 (100 mg) in DCM (50 mL) was suspended in a solution of CH2N2 in Et20 (generated by standard procedure, 350 mL) at -78°C. The reaction was stirred to .T. overnight. The mixture was quenched with HO Ac, and the reaction was stirred for another 1 hour. The mixture was diluted with EtOAc (150 mL) and washed with water and saturated aqueous NaHC03. The solvent was removed, and the crude was dissolved in NH3.MeOH (sat., 100 mL). The reaction was stirred to R.T. overnight. The crude product was purified by silica gel column chromatography (25% EtOAc in PE) to give 41-3 as a yellow solid (800 mg, 35.2%).
[0356] To a solution of 41-3 (800 mg, 1.3 mmol) in anhydrous CH3CN (50 mL) were added TPSC1 (755 mg, 2.5 mmol), DMAP (305 mg, 2.5 mmol) and NEt3 (400 mg, 4 mmol) at R.T. The reaction was stirred at R.T. for 2 hours. NH4OH (25 mL) was added, and the reaction was stirred for another 1 hour. The mixture was diluted with DCM (150 mL) and washed with water, 0.1 M HC1 and saturated aqueous NaHC03. The solvent was removed, and the crude product was purified by silica gel column chromatography (25% EtOAc in PE) to give 41-4 as a yellow solid (340 mg, 42.5%).
[0357] To a solution of 41-4 (200.0 mg) in MeOH (10 mL) was added NH4F (600 mg). The reaction was refluxed for 24 hours. The solvent was removed, and the residue was purified by column chromatography on silica gel (DCM: MeOH = 15: 1) to give 41a (50.0 mg, 55.9%) as a white solid. ESI-MS: m/z 285.82 [M + H]+, 570.84 [2M+H]+.
EXAMPLE 41
Preparation of Compound 42a
Figure imgf000199_0001
42a
[0358] To a solution of 42-1 (50 g, 203 mmol) in anhydrous pyridine (200 mL) was added TBDPSC1 (83.7 g, 304 mmol, 1.5 eq). The reaction was stirred overnight at R.T. The solution was concentrated under reduced pressure to give a syrup, which was partitioned between ethyl acetate and water. The organic layer was separated, washed with brine, dried over magnesium sulfate and concentrated to give the 5'-OTBDPS ether as a white foam (94 g). The crude ether was dissolved in anhydrous DCM (300 mL), and silver nitrate (66.03 g, 388.4 mmol, 2.0 eq) and collidine (235 mL, 1.94 mol, 10 eq) were added. The mixture was stirred at R.T., and MMTrCl (239.3 g, 776.8 mmol, 4 eq) was added. After being stirred overnight at R.T., the mixture was filtered through Celite and filtrate was diluted with MTBE. The solution was washed successively with 1M citric acid, diluted brine and 5% sodium bicarbonate. The organic solution was dried over sodium sulfate and concentrated under vacuum to give the fully protected intermediate as a yellow foam. The crude intermediate was dissolved in anhydrous THF (250 mL) and treated with TBAF (60 g, 233 mmol, 1.2 eq). The mixture was stirred for 2 hours at R.T., and the solvent was removed under reduced pressure. The residue was taken into ethyl acetate and washed brine. After drying over magnesium sulfate, the solvent was removed in vacuo. The residue was purified by column chromatography (PE:EA = 5: 1 to 1 : 1 ) to give 42-2 as a white foam (91 g, 86.4%).
[0359] To a solution of 42-2 (13.5 g, 26 mmol) in DCM (100 mL) was added pyridine (6.17 mL, 78 mmol, 3 eq). The solution was cooled to 0°C and Dess-Martin periodinane (33.8 g, 78 mmol, 3 eq) was added. The mixture was stirred for 4 hours at R.T. and quenched by the addition of a 4% Na2S203/4% sodium bicarbonate aqueous solution (to pH 6, -150 mL). The mixture was stirred for another 15 mins. The organic layer was separated, washed with diluted brine and concentrated under reduced pressure. The residue was dissolved in dioxane (100 mL), and the solution was treated with 37% aqueous formaldehyde (21.2 g, 10 eq) and 2N aqueous sodium hydroxide (10 eq). The reaction mixture was stirred at R.T. overnight. The reaction was quenched with saturated NH4CI (-150 mL), and the mixture was concentrated under reduced pressure. The residue was partitioned between ethyl acetate and 5% sodium bicarbonate. The organic phase was separated, washed with brine, dried over magnesium sulfate and concentrated. The residue was purified by column chromatography (MeOFLDCM = 100: 1-50: 1) to give 42-3 as a white foam (9.2 g, 83.6%).
[0360] Compound 42-3 (23 g, 42.0 mmol) was co-evaporated with toluene twice. The residue was dissolved in anhydrous DCM (250 mL) and pyridine (20 mL). The solution was cooled to -35°C. Triflic anhydride (24.9 g, 88.1 mmol, 2.1 eq) was added dropwise over 10 mins. At this temperature, the reaction was stirred for 40 mins and then was quenched with water (50 mL) at 0°C. The mixture was stirred 30 mins, and extracted with EA (150 mL x 2). The organic phase was dried over a2S04, and filtered through a silica gel pad. The filtrate was concentrated under reduced pressure. The residue was purified by column chromatography (PE:EA = 100: 1-1 : 1) to give 42-4 as a brown foam (30.0 g, 88.3%).
[0361] Compound 42-4 (30 g, 36.9 mmol) was co-evaporated twice with toluene and dissolved in anhydrous DMF (150 mL). The solution was cooled to 0°C, and treated with sodium hydride (60% in mineral oil; 1.5 g, 40.6 mmol). The reaction was stirred at R.T. for 1 h. Lithium chloride (4.6 g, 1 10.7 mmol, 3 eq) was added. Stirring was continued for 2 hours when LCMS indicated complete conversion of the anhydro triflate intermediate to anhydro-chloro compound. The mixture was taken into 100 mL of half saturated ammonium chloride and ethyl acetate. The organic phase was separated, washed with diluted brine and concentrated under reduced pressure. The residue was dissolved in THF (150 mL), and the solution was treated with IN aqueous sodium hydroxide (-41 mL, 40.1 mmol, 1.1 eq). The mixture was stirred at R.T. for lh. The reaction was diluted with half saturated sodium bicarbonate (-60 mL) and extracted with EA. The organic phase was dried (magnesium sulfate) and concentrated under reduced pressure. The residue was purified by column chromatography (DCM:MeOH = 300: 1-60: 1) to give 42-5 as a yellow foam (18.3 g, 87.6%).
[0362] To a solution of 42-5 (18.3 g, 32.33 mmol) in anhydrous DCM (150 mL) was added TBSC1 (17.7 g, 64.6 mmol) and imidazole (6.6 g, 97 mmol). The reaction was stirred overnight at R.T. The reaction was diluted with water and extracted with DCM. The organic layer was separated, washed with brine, dried over Na2S04 and concentrated. The residue was purified by column chromatography (DGVLMeOH = 300: 1-80: 1) to give 42-6 as a white foam (18.4 g, 83.7%).
[0363] A solution of 42-6 (18.4 g, 27.1 mmol), DMAP (6.6 g, 54.0 mmol) and TEA (5.4 g ,54.0 mmol) in MeCN (450 mL) was treated with 2,4,6- triispropylbenzenesulfonyl chloride (16.3 g, 54.0 mmol). The mixture was stirred at R.T. for 3 hours. NH4OH (70 mL) was added, and the mixture was stirred for 2 hours. The solution was evaporated under reduced pressure, and the residue was purified on a silica gel column (DCM/MeOH = 100: 1 to 15: 1) to give the crude (18.0 g). The crude was dissolved in anhydrous DCM (150 mL). Collidine (8.1 g, 66.3 mmol, 2.5 eq), silver nitrate (4.5 g, 26.5 mmol, 1.0 eq) and DMTrCl (13.4 g, 39.7 mmol, 1.5 eq) were added. The reaction was stirred overnight at R.T. The mixture was filtered through Celite. The filtrate was washed with brine and extracted with DCM. The organic layer was separated, dried over a2S04 and concentrated. The residue was purified by column chromatography (PE:EA = 60: 1-3 : 1) as a yellow foam. The foam was dissolved in THF (150 mL) and TBAF (10.4 g, 39.7 mmol, 1.5 eq) was added. The reaction was stirred at R.T. After being concentrated, the mixture was washed with brine and extracted with EA. The organic layer was separated, dried over Na2S04 and concentrated. The residue was purified by column chromatography (PE:EA =60: 1~EA) to give 42-7 as a yellow foam (21.3 g, 92.4%).
[0364] To a solution of 42-7 (2.0 g, 2.3 mmol) in anhydrous DCM (20 mL) was added Dess-Martin periodinane (1.95 g, 4.6 mmol) at 0°C under nitrogen. The reaction was stirred at R.T. for 5 hours. The mixture was diluted with EtOAc (100 mL), and washed with a mixture of saturated aqueous Na2S203 and saturated aqueous NaHC03. The crude product was purified by column chromatography on silica gel (PE: EtOAc = 2: 1) to give 42-8 (1.8 g, 90%) as a yellow solid.
[0365] To a solution of tetramethyl methylenediphosphonate (390 mg, 1.68 mmol) in anhydrous THF (10 mL) was added NaH (84 mg, 2.1 mmol) at 0°C under nitrogen. The reaction was stirred at 0°C for 30 min. A solution of 42-8 (1.2 g, 1.4 mmol) in anhydrous THF (10 mL) was added dropwise at 0°C. The mixture was stirred at R.T. for 1 h. The reaction was quenched with saturated aqueous NH4C1, and the crude product was purified by column chromatography on silica gel (DCM: MeOH = 150: 1) to give 42-9 (1.2 g, 88.2%) as a yellow solid. ESI-MS: m/z 971.59 [M + H]+.
[0366] A solution of 42-9 (300 mg) in 80% HOAc (26 mL) was stirred at 80-90°C for 2 h. The solvent was removed, and the crude product was purified by column chromatography on silica gel (DCM: MeOH 20: 1) to give 42a (70 mg, 57%) as a white solid. ESI-MS: m/z 397.81 [M + H]+.
EXAMPLE 42
Preparation of Compound 43a
Figure imgf000202_0001
[0367] To a stirred solution of 43-1(3.8 g, 6.6 mmol) in anhydrous DMF (lOOmL) was added NaH (2.2 g) followed by CH3I (9.3 g, 66 mmol) at 0°C. Stirring was continued at .T. overnight. The reaction was quenched with saturated NH4CI aq. The mixture was diluted with EA and washed with brine. The organic layer was dried over Na2S04 and concentrated. The residue was purified by silica gel column chromatography (PE:EA = 2: 1) to give 43-2 (3.0 g, 70%) as a white solid.
[0368] A mixture of 43-2 (3.0 g, 5.1 mmol) and CAN (5.56 g, 10.2 mmol) in a 3 : 1 solution of MeCN: Water (16 mL) was stirred at R.T. overnight. The solution was diluted with brine (10 mL ) and was extracted with EA. The combined organic extracts were dried and evaporated under reduced pressure. Purification by chromatography on silica (PE:EA = 1 : 1) gave 43-3 as a yellow solid (1.71 g, 72%).
[0369] To a stirred solution of 43-3 (1.7 g, 3.6 mmol) in anhydrous MeCN (50 mL) were added TPSC1 (2.2 g, 7.2 mmol), DMAP (880 mg, 7.2 mmol) and TEA (1.1 g ,10.8 mmol) at R.T. The mixture was stirred at R.T. overnight. NH4OH (25 mL) was added, and the mixture was stirred for 2 hours. The solvent was removed, and the residue was purified on a silica gel column (PE:EA = 8: 1 to 2: 1) to give the intermediate (1.4 g). The intermediate was dissolved in anhydrous DCM (30 mL), and MMTrCl (1.6 g, 5.2 mmol), AgN03 (1.4 g, 7.8 mmol) and collidine (1.57 g, 13 mmol) were added. The mixture was stirred at R.T. overnight. The solid was filtered off and washed with DCM. The filtrate was washed with brine and dried over Na2S04. The concentrated organic phase was purified on a silica gel column (PE:EA = 3 :2) to give 43-4 (1 .1 g, 57.9%) as a white solid.
[0370] To a stirred solution of 43-4 (550 mg, 0.74 mmol) in acetone were added ammonium formate (1.0 g, 15.8 mmol, in portions) and 10% palladium on carbon (1.0 g). The mixture was refluxed for 48 hours. The catalyst was filtered off and washed with the acetone. The filtrate was diluted with EA, washed with brine and dried. The concentrated organic phase was purified by column chromatography (DCM:MeOH = 50: 1) to give 43-5 (330 mg, 72%).
[0371] Compound 43-5 (200 mg, 0.36 mmol) was dissolved in 80% CH3COOH (20 mL) at R.T. The mixture was stirred at 60°C for 12 hours. The solvent was removed. The residue was purified by column chromatography (DCM:MeOH = 10: 1), and the resulting solid was washed with DCM to give pure 43a as a white solid (44mg, 42%). ESI-MS: m/z 290 [M+H]+.
EXAMPLE 43
Preparation of Compound 44a
Figure imgf000204_0001
[0372] To a solution of triethylammonium bis(POM)phosphate (0. 3 mmol, prepared from 100 mg of bis(POM)phosphate and 50 iL of Et3N) in THF (3 mL) was added nucleoside 44-1 (150 mg; 0.26 mmol). The mixture was cooled in ice-bath. Diisopropylethyl amine (0.18 mL; 4 equiv) was added then, followed by BOP-CI (132 mg; 2 equiv) and 3- nitro-l ,2,4-triazole (59 mg; 2 equiv). The reaction mixture was stirred at 0°C for 90 mins., and then diluted with CH2CI2 (30 mL) and washed with saturated aq. NaHC03 and brine. The combined aqueous layers were back extracted with CH2CI2. The combined organic extract was dried (Na2S04), evaporated, and the residue purified on silica (10 g column) with CH2CI2 /i-PrOH solvent system (3-10% gradient). The obtained mixture of products were treated for 30 mins at 35°C with 80% aq. HCOOH, and then evaporated and coevaporated with toluene. The evaporated residue was purified on silica (10 g column) with CH2CI2 /MeOH solvent system (5-10% gradient) to obtain 44a (8 mg, 5%). 31P-NMR (DMSO-d6): δ -5.07. MS: m/z = 668 [M+46-1].
EXAMPLE 44
Preparation of Compound 45a
Figure imgf000205_0001
[0373] To a solution of triethylammonium bis(POM)phosphate (0. 7 mmol, prepared from 233 mg of bis(POM)phosphate and 0.1 mL of Et3N) in THF (8 mL) was added nucleoside 45-1 (253 mg; 0.42 mmol), followed by diisopropylethyl amine (0.36 mL; 5 equiv), BOP-C1 (268 mg; 2.5 equiv) and 3-nitro-l,2,4-triazole (120 mg; 2.5 equiv). The reaction mixture was stirred at R.T. for 2 hours. The mixture was diluted with CH2CI2 (40 mL) and washed with saturated aq. NaHC03 and brine. The combined aqueous layers were back extracted with CH2CI2. The combined organic extract was dried ( a2S04), evaporated, and the residue was purified on silica (10 g column) with hexanes/EtOAc solvent system (40- 100% gradient) to yield 45-2 (180 mg, 47%).
[0374] A solution of 45-2 (0.12 g; 0.13 mmol) in 80% aq. HCOOH (8 mL) was stirred 30 mins. at R.T. The mixture was evaporated, coevaporated with toluene and purified on silica (10 g column) with CH2Cl2 MeOH solvent system (4-10%) gradient) to yield 45a (55 mg, 70%). 31P-NMR (DMSO-d6): δ -4.36. MS: m/z = 647 [M+46-1]. EXAMPLE 45
Preparation of Compound 46a
Figure imgf000206_0001
[0375] A mixture of 46-1 (170 mg; 0.3 mmol) in pyridine (3 mL) and isobutyric anhydride (0.1 mL; 2 equiv) was stirred o/n at R.T. The mixture was concentrated, and the residue was partitioned between EtOAc (30 mL) and saturated aq. NaHC03. The organic layer was washed with water, brine and dried (Na2S04). The residue was purified on silica (10 g column) with a hexanes/EtOAc solvent system (30 to 100% gradient) to afford 46-2 (180 mg, 85%).
[0376] A solution of 46-2 (0.18 g; 0.25 mmol) in 80% aq. HCOOH (5 mL) was heated for 3 hours at 36°C. The mixture was then evaporated, coevaporated with toluene and purified on silica (10 g column) with a CH2Cl2/MeOH solvent system (4-10% gradient) to afford 46a (75 mg, 70%). MS: m/z = 434 [M+l].
EXAMPLE 46
Preparation of Compound 47a
Figure imgf000206_0002
[0377] Compound 47-2 was prepared from 46-1 (274 mg, 0.46 mmol) and propyonic anhydride (0.12 mL, 2 equiv.) in pyridine (5 mL) in the same manner as described for 46-2 (260 mg, 80%).
[0378] Compound 47-2 (120 mg, 0.2 mmol) was treated with 80% aq. HCOOH at .T. for 3 hours. The mixture was evaporated, coevaporated with toluene and purified on silica (10 g column) with a CH2Cl2/MeOH solvent system (4-10% gradient) to yield 47a (62 mg, 75%). MS: m/z = 404 [M-l].
EXAMPLE 47
Preparation of Compound 48a
Figure imgf000207_0001
[0379] Compound 48-2 was prepared from 46-1 (150 mg, 0.27 mmol) and valeric anhydride (0.11 mL, 2 equiv.) in pyridine (3 mL) in the same manner as described for 46-2 (150 mg, 73%).
[0380] Compound 48-2 (140 mg, 0.18 mmol) was treated with 80% aq. HCOOH at R.T. for 3 h. The mixture was evaporated and purified on silica (10 g column) with a CH2Cl2/MeOH solvent system (4-10% gradient) to yield 48a (70 mg, 84%). MS: m/z = 462 [M+l].
EXAMPLE 48
Preparation of Compounds 49a, 50a and 51a
Figure imgf000208_0001
80% aq. HCOOH
r.t; 3 h
Figure imgf000208_0002
[0381] To a solution of 46-1 (1.26 g, 2.12 mmol) in pyridine (15 mL) were added n-octanoic acid (0.34 mL, 1.0 equiv.), DCC (60% in xylene; 0.81 mL, 1 equiv.) and DMAP (52 mg; 0.2 equiv.). The resulting mixture was stirred for 6 hours at R.T. The mixture was evaporated, and the residue partitioned between CH2CI2 (100 mL) and saturated aq. NaHC03 (25 mL). The organic layer was washed with water, brine and dried (Na2S04). The residue was treated with toluene. The solid material was filtered off, and the filtrate was purified on silica (25 g column) with a heaxanes/EtOAc solvent system (30-100%) gradient) to yield 49-2 (0.57 g, 32%), 50-2 (0.18 g, 12%), and 51-2 (0.2 g, 13%).
[0382] A mixture of 49-2 (114 mg, 0.13 mmol) and 80% aq. formic acid was stirred for 3 hours at R.T. The mixture was evaporated and coevaporated with toluene and purified on silica (10 g column) with a CH2Cl2/MeOH solvent system (2-8% gradient) to yield 49a (53 mg, 75%). MS: m/z = 544 (M-l). [0383] Compound 50a (44 mg, 75% yield) was prepared from 50-2 (104 mg, 0.14 mmol) in the same manner as described for 49a by using a 4-10% gradient of MeOH in CH2C12 for purification. MS: m/z = 418 (M-l).
[0384] 51a (60 mg, 71% yield) was prepared from 50-2 (140 mg, 0.2 mmol) in the same manner as described for 49a by using a 4- 10% gradient of MeOH in CH2CI2 for purification. MS: m/z = 418 [M-l].
EXAMPLE 49
Preparation of Compound 52a
Figure imgf000209_0001
[0385] A solution of N-(/ert-butoxycarbonyl)-L-valine (0.41 g, 1.9 mmol) and carbonyldiimidazole (0.31 g, 1.9 mmol) in THF (9 mL) was stirred at R.T. for 1.5 hours. The mixture was then stirred at 40°C for 20 mins. The mixture was added to a solution of 7a
(0.42 g, 1.43 mmol) and DMAP (25 mg, 0.2 mmol) in DMF (8 mL) and TEA (4 mL) at 80°C. The reaction mixture was stirred at 80°C for 1 h, then cooled and concentrated. The residue was partitioned between /ert-butyl methyl ether (100 mL) and water. The organic layer was washed with water, brine and dried (TN^SC ). The residue was purified on silica (25 g column) with a CH2Cl2/MeOH solvent system (2-10% gradient) to yield 52-2 (0.32 g, 90% in the mixture with 5'-isomer), which was repurified by RP-HPLC (10-100%) B; A: water, B: MeOH). Yield: 0.25 g (35%).
[0386] A solution of 52-2 (0.12 g; 0.24 mmol) in EtOAc (0.6 mL) was treated with HCl/dioxane (4 M; 0.6 mL) for 20 mins. with vigorous shaking. The white precipitate was filtered, washed with diethyl ether and dried to yield 52a as the dihydrochloride salt (95 mg; 85%). MS: m/z = 391 [M-l]. EXAMPLE 50
Preparation of Compound 53a
Figure imgf000210_0001
53-1 53-2 53a
[0387] To a solution of N-Boc-Val-OH (0.16 g, 0.74 mmol) and Et3N (0.14 mL, 1.0 mmol) in THF was added 53-1. The resulting mixture was evaporated, coevaporated with pyridine and toluene and dissolved in THF (4 mL). DIPEA (0.38 mL, 2.2 mmol) was added, followed by BOP-Cl (0.28 g, 1.1 mmol) and 3-nitro-l,2,4-triazole (0.13 g, 1.1 mmol). The reaction mixture was stirred at R.T. for 1 h. The mixture was diluted with CH2CI2 (40 mL) and washed with saturated aq. NaHC03 and brine. The combined aqueous layers were back extracted with CH2CI2. The combined organic extract was dried (Na2S04), evaporated, and the residue was purified on silica (10 g column) with a hexanes/0.5 % Et3N/EtOAc solvent system (20-100% gradient) to yield 53-2 (0.39 g, 81%).
[0388] A mixture of 53-2 (0.37 g, 0.33 mmol) and 80% aq. HCOOH (10 mL) was stirred at R.T. for 3 hours. The mixture was evaporated, and the residue was partitioned between water and 0Η2Ο2. The aqueous layer was washed with 0Η2Ο2 and evaporated. The solid residue was suspended in EtOAc (1.5 mL) and treated with 4N HC1 in dioxane (1.5 mL) with vigorous shaking. The solid was filtered, washed with diethyl ether and purified by RP-HPLC (A: 0.5N HCOOH in water, B: 0.5 N HCOOH in acetonitrile). The resulting formic acid salt of 5'-0-valyn ester was converted into 53a dihydrochloride salt (63 mg, 40%) by suspending in EtOAc (2 mL) and treatment with 4N HCl/dioxane (2 mL). MS: m/z = 391 [M-l].
EXAMPLE 51
Preparation of Compound 39a
Figure imgf000211_0001
[0389] A solution of 39-1 (1.3 g, 1.4 mmol) in anhydrous MeOH (20 mL) was charged with Pd/C (1 .3 g) and stirred at 25°C under hydrogen (1 atm) atmosphere for 1 hour. The solution was filtered, evaporated to dryness, and purified on a silica gel column (DCM:MeOH = 100: 1 to 50: 1) to give 39-2 (1.2 g, 92.3 %) as a white solid.
[0390] To a solution of 39-2 (1.2 g, 1.3 mmol) in MeOH (40 mL) was added NH4F (370 mg, 10 mmol) at 25°C and stirred at 60°C for 6 hours. The solution was filtered, evaporated to dryness, and purified on a silica gel column (DCM:MeOH = 200: 1 to 20: 1) to give 39-3 as a white solid (249 mg, 30.7%). ESI-LCMS: m/z 586.1 [M + H]+.
[0391] A solution of 39-3 of 80% formic acid/20% water (3 mL) stood at RT for 2 hours, and then was concentrated to dryness. The residue was co-evaporated with MeOH/toluene (3 times) and then ethyl acetate added. The suspension in ethyl acetate was heated at 70°C for 5 mins. The solvent was removed using a pipet. This washing was repeated 3 times. The resulting product (44mg) was further purified on reverse-phase HPLC using acetonitrile/water as mobile phase to give 39a (20 mg) as an off-white solid. ESI- LCMS: m/z 443.6 [M + 6-methyl-2-heptylamine)]+.
EXAMPLE 52
Preparation of Compounds 55a and 56a
Figure imgf000212_0001
[0392] 1 ,2,4-Triazole (21 mg, 0.3 mmol) was dissolved in the mixture of CH3CN (0.7 mL) and Et3N (44 μΐ^, 0.31 mmol). POCl3 (9ul, 0.1 mmol) was added, and the mixture was kept at R.T. for 20 mins. The white precipitate was filtered, and the filtrate added to the dry nucleoside (28 mg, 0.05 mmol). The reaction was controlled by TLC and monitored by the disappearance of the starting nucleoside. After completion of the reaction, tetrabutylammonium salt of pyrophosphate (150 mg) was added, followed by DMF (0.5 mL) to get a homogeneous solution. After 1.5 hours at ambient temperature, the reaction was diluted with water (4 mL) and extracted with DCM (2 x 5 mL). The combined organic extracts were evaporated, dissolved in 5 mL of 80% HCOOH and left for 2 hours at R.T. The reaction mixture was concentrated and distributed between water (5 mL) and DCM (5 mL). The aqueous fraction was loaded on the column HiLoad 16/10 with Q Sepharose High Performance. Separation was done in a linear gradient of NaCl from 0 to IN in 50mM TRIS- buffer (pH7.5). Two fractions were obtained. The first fraction, containing the monophosphate (55a) was eluted at 70-75%B. and triphosphate (56a) was eluted at 75- 80%B. Both fractions were desalted by RP HPLC on Synergy 4 micron Hydro-RP column (Phenominex). A linear gradient of methanol from 0 to 30% in 50mM triethylammonium acetate buffer (pH 7.5) was used for elution. The corresponding fractions were combined, concentrated and lyophilized 3 times to remove excess of buffer. EXAMPLE 53
Preparation of Compounds 56b-56e
Figure imgf000213_0001
[0393] 1 ,2,4-Triazole (21 mg, 0.3 mmol) was dissolved in the mixture of CH3CN (0.7 mL) and Et3N (44 μί, 0.31 mmol). POCl3 (9ul, 0.1 mmol) was added, and the mixture was kept at R.T. for 20 mins. The white precipitate was filtered, and the filtrate added to the dry nucleoside (28 mg, 0.05 mmol). The reaction was controlled by TLC and monitored by the disappearance of the starting nucleoside. After completion of the reaction, tetrabutylammonium salt of pyrophosphate (150 mg) was added followed by DMF (0.5 mL) to get a homogeneous solution. After 1.5 hours at ambient temperature, the reaction was diluted with water (4 mL) and extracted with DCM (2 x 5 mL). The combined organic extracts were evaporated, dissolved in 5 mL of 80% HCOOH and left for 4 hours at 38°C. The reaction mixture was concentrated and distributed between water (5 mL) and DCM (5 mL). The aqueous fraction was loaded on the column HiLoad 16/10 with Q Sepharose High Performance. Separation was done in a linear gradient of NaCl from 0 to IN in 50 mM TRIS-buffer (pH7.5). Two fractions were obtained. The triphosphate (56b-56e) was eluted at 75-80%B. Desalting was performed by RP HPLC on Synergy 4 micron Hydro-RP column (Phenominex). A linear gradient of methanol from 0 to 30% in 50 mM triethylammonium acetate buffer (pH 7.5) was used for elution. The corresponding fractions were combined, concentrated and lyophilized 3 times to remove excess of buffer. Table 3 - Tri hosphates obtained from Example 53
Figure imgf000214_0001
EXAMPLE 54
Preparation of Compound 57a
Figure imgf000215_0001
[0394] 2'-Deoxy-2'-fluoro-4'-C-(ethenyl)guanosine (25a, 31 mg, 0.1 mmol) was dissolved in dry pyridine (3 niL). Isobutyric anhydrate (50 μΐ^, 0.3 mmol) was added. The reaction mixture was kept at ambient temperature. After 40 hours, isobutyric anhydrate (100 μΐ^, 0.6 mmol) was added, and the reaction mixture was left overnight. The pyridine was evaporated. The residue was purified by silica gel chromatography using a gradient of methanol in DCM from 3% to 10% to yield 57a (20 mg, 50%). MS: m/z 452 [M+l].
EXAMPLE 55
Preparation of Compound 58a
Figure imgf000216_0001
58a
[0395] To a solution of 58-1 (50.0 g, 205 mmol) in pyridine (250 mL) was added DMTrCl (75.0 g, 225.0 mmol). The solution was stirred at .T. for 15 hours. MeOH (120 mL) was added, and the mixture was concentrated to dryness under reduced pressure. The residue was dissolved in EA and washed with water. The organic layer was dried over Na2S04 and concentrated to give the crude DMTr protected derivative (80.5 g, 89%) as a light yellow solid. Dried K2C03 (80.52 g, 583.2 mmol) and then PMBC1 (31.7 g, 109.2 mmol) were added to a stirred solution of the DMTr protected derivative (80 g, 146 mmol) in anhydrous DMF (300 mL). The stirring was continued at ambient temperature for overnight. The reaction was monitored by TLC. The mixture was diluted with EA and washed with water. The organic layer was dried over Na2S04 and concentrated to give 58-2 (98.8 g, 90%) as light yellow solid.
[0396] NaH (10.4 g, 260.5 mmol) and BnBr (73.8 g, 434.2 mmol) were added to a stirred solution of 58-2 (98.8 g, 147.9 mmol) in anhydrous DMF (300 mL), and the stirring was continued at 25°C overnight. The reaction was monitored by TLC. The reaction was quenched with water, extracted with EA and washed with brine. The solvent was removed, and the residue was purified on silica gel (PE: EA= 10: 1 to 3: 1) to give the Bn protected derivative (101.1 g, 90%) as a light yellow solid. The Bn protected derivative (101.1 g, 133.4 mmol) was dissolved in 80% HOAc (900 mL) at 25°C. The mixture was stirred at 25°C overnight. The reaction was quenched with MeOH, and the solvent was removed to give the alcohol (42.1 g, 70%) as a white foam. To a solution of the alcohol (42.1 g, 92.6 mmol) in anhydrous CH3CN (300 mL) was added IBX (28.5 g, 121.7 mmol) at 25°C. The reaction mixture was refluxed for 1 hour and then cooled to 0°C. The precipitate was filtered-off, and the filtrate was concentrated to give 58-3 (39.2 g, 93%) as a yellow solid.
[0397] To a solution of 58-3 (39.2 g, 86.39 mmol) in 1 ,4-dioxane (250 mL) was added 37% CH20 (28.1 mL, 345.6 mmol) and 2N NaOH aqueous solution (86.4 mL, 172.8 mmol). The mixture was stirred at 25°C for 2 h and then neutralized with AcOH to pH = 7. To the reaction were added EtOH (200 mL) and NaBH4 (19.7 g, 518.6 mmol). The mixture was stirred at 25°C for 30 mins. The reaction was quenched with saturated aqueous NH4C1. The mixture was extracted with EA, and the organic layer was dried over Na2S04 and concentrated. The residue was purified by silica gel column chromatography (PE: EA = 4: 1 to 2: 1 ) to give the diol derivative (25.5 g, 55%) as a white solid. To a stirred solution of the diol derivative (25.5 g, 52.5 mmol) in anhydrous pyridine (150 mL) and anhydrous CH3CN (150 mL) was added BzCl (6.6 g, 52.47 mmol) dropwise at 0°C. The mixture was then stirred at 25°C for 14 h. The reaction was quenched with H20, and the solution was concentrated. The residue was dissolved in EA and washed with NaHC03. The organic layer was dried over Na2S04 and concentrated. The residue was purified on a silica gel column (PE/EA = 5:4) to give 58-4 (18.1 g, 60%) as a white foam.
[0398] Cs2C03 (30.0 g, 92.0 mmol) and BnBr (10.4 g, 61.3 mmol) were added to a stirred solution of 58-4 (18. lg, 30.6 mmol) in anhydrous DMF (300 mL), and stirring was continued at 25°C overnight. The reaction was quenched with NH4CI, extracted with EA and washed with brine. The solvent was removed to give the Bz protected derivative (19.3 g, 95%) as a light yellow solid. To a stirred solution of the Bz protected derivative (19.3 g, 28.4 mmol) in anhydrous MeOH (230 mL) was added NaOMe (24.9 g, 460 mmol) at 25°C for 1 h. The reaction was quenched with AcOH (10 mL) and concentrated. The residue was purified on a silica gel column (PE/EA = 1/2) to afford 58-5 (1 1.2 g, 54%) as a white solid.
[0399] To a stirred solution of 58-5 (200 mg, 0.347 mmol) in anhydrous DCM (5 mL) was added DMP (168 mg, 0.674 mmol) at 25°C. The mixture was stirred at 25°C for 2 h. The solvent was removed, and the residue was purified on a silica gel column (PE: EA = 5: 1 to 1 : 1) to give the aldehyde derivative (161 mg, 81%). To a stirred solution of the aldehyde derivative (200 mg, 0.348 mmol) in anhydrous THF (5 mL) was added MeMgBr (1.0 mL, 1.01 mmol) at -78°C. The mixture was stirred at -78°C for 1 h. The reaction was quenched with NH4C1 and extracted with EA. The concentrated organic phase was purified by column chromatography (PE: EA = 5: 1 to 1 : 1) to give 58-6 (135 mg, 65%).
[0400] To a solution of 58-6 (900 mg, 1.5 mmol) in DCM was added DMP (2.5 g, 6.0 mmol) at 0°C. After stirring at 0°C for 1 h, the mixture was quenched with Na2S203. The solvent was removed, and the residue was purified on a silica gel column (PE: EA = 5: 1 to 1 : 1) to give the ketone derivative (700 mg, 78%). To a solution of the ketone derivative (700 mg, 1.52 mmol) in MeOH was added NaBH4 in portions. After stirring at the same temperature for 1 h, the mixture was quenched with water. The solvent was removed, and the residue was purified on a silica gel column (PE: EA = 5: 1 to 1 : 1) to give 58-7 (500 mg, 71%).
[0401] To a stirred solution of DAST (1.39 g, 8.68 mmol) in anhydrous toluene (15 mL) was added dropwise a solution of 58-7 (1.0 g, 1.73 mmol) at -78°C. The mixture was stirred at -78°C for 30 min. The solution was warmed to 25°C slowly and stirring continued overnight. The mixture was poured into a saturated Na2C03 solution. The concentrated organic phase was purified on a silica gel column (PE: EA=10: 1 to 4: 1) to give the fluoride derivative (449 mg, 45%). A mixture of the fluoride derivative (1.20 g, 2.07 mmol) and CAN (3.41 g, 6.23 mmol) in a 3: 1 solution of MeCN and water (10 mL) was stirred at 25°C overnight. Brine (10 mL) was added, and the mixture extracted with EA. The combined organic extracts were dried and evaporated under reduced pressure. Purification by chromatography on silica with PE: EA = 10: 1 to 2: 1 gave 58-8 as a yellow solid (475 mg, 50%). [0402] To a stirred solution of 58-8 (550 mg, 210 mmol) in anhydrous MeCN (10 mL) were added TPSC1 (725 mg, 2.40 mmol), DMAP (293 mg, 2.40 mmol) and TEA (242 mg, 2.40 mmol) at 25°C. The mixture was stirred at 25°C overnight. NH4OH (25 mL) was added and stirred for 2 h. The solvent was removed, and the residue was purified on a silica gel column (DCM: MeOH = 10:1) to give 58-9 (300 mg). ESI-MS: m/z 472.1 [M + H] +.
[0403] A I M boron trichloride solution in CH2CI2 (3.2 mL; 3.2 mmol) was added dropwise to a solution of 58-9 (200 mg, 0.42 mmol) in anhydrous CH2CI2 (10 mL) at -78°C. The mixture was slowly (in 4 h) warmed to -30 °C and stirred at -30 to -20°C for 3 h. Ammonium acetate (1 g) and MeOH (5 mL) were added, and the resulting mixture allowed to warm to ambient temperature. The solvent was removed, and residue purified by RP- HPLC (0-60% B; A: 50 mM aqueous TEAA, B: 50 mM TEAA in MeOH) to yield 58a (75 mg). ESI-MS: m/z 290.4 [M - H]\
EXAMPLE 56
Preparation of Compound 59a
Figure imgf000219_0001
59-4 59-5 59a
[0404] To a solution of 59-1 (100.0 g, 406.5 mmol) in pyridine (750 mL) was added DMTrCl (164.9 g, 487.8 mmol). The solution was stirred at R.T. for 15 h. MeOH (300 mL) was added, and the mixture was concentrated to dryness under reduced pressure. The residue was dissolved in EtOAc and washed with water. The organic layer was dried over Na2S04 and concentrated. The residue was dissolved in DCM (500 mL). To this solution were added imidazole (44.3 g, 650.4 mmol) and TBSCl (91.9 g, 609.8 mmol). The resulting reaction mixture was stirred at R.T. for 14 h. The reaction solution was washed with NaHC03 and brine. The organic layer was dried over Na2S04, and concentrated to give the crude product as a light yellow solid. The crude product (236.4 g, 356.6 mmol) was dissolved in 80% HOAc aqueous solution (500 mL). The mixture was stirred at R.T. for 15 h. The mixture was diluted with EtOAc, washed with NaHC03 solution and brine. The organic layer was dried over Na2S04 and purified on a silica gel column chromatography (1- 2% MeOH in DCM) to give 59-2 (131.2 g, 89.6%) as a light yellow solid. ESl-MS: m/z 802 [M + H]+.
[0405] To a solution of 59-2 (131.2 g, 364.0 mmol) in anhydrous CH3CN (1200 mL) was added IBX (121.2 g, 432.8 mmol) at R.T. The reaction mixture was refluxed for 3 h and then cooled to 0°C. The precipitate was filtered-off, and the filtrate was concentrated to give the crude aldehyde (121.3 g) as a yellow solid. The aldehyde was dissolved in 1,4- dioxane (1000 mL). 37% CH20 (81.1 mL, 1.3536 mol) and 2M NaOH aqueous solution (253.8 mL, 507.6 mmol) were added. The mixture was stirred at R.T. for 2 h and then neutralized with AcOH to pH = 7. To the solution were added EtOH (400 mL) and NaBH4 (51.2 g, 1.354 mol). The mixture was stirred at R.T. for 30 mins and quenched with sat. aqueous NH4CL The mixture was extracted with EA. The organic layer was dried over Na2S04 and concentrated. The residue was purified by silica gel column chromatography (1- 3% MeOH in DCM) to give 59-3 (51.4 g, 38.9 %) as a white solid.
[0406] To a solution of 59-3 (51 .4 g, 131 .6 mmol) in anhydrous DCM (400 mL) were added pyridine (80 mL) and DMTrCl (49.1 g,144.7 mmol) at 0°C. The reaction was stirred at R.T. for 14 h, and then treated with MeOH (30 mL). The solvent was removed, and the residue was purified by silica gel column chromatography (1-3% MeOH in DCM) to give the mono-DMTr protected intermediate as a yellow foam (57.4 g, 62.9%). To the mono- DMTr protected intermediate (57.4 g, 82.8 mmol) in CH2C12 (400 mL) was added imidazole (8.4 g, 124.2 mmol) and TBDPSC1 (34.1 g, 124.2 mmol). The mixture was stirred at R.T. for 14 h. The precipitated was filtered off, and the filtrate was washed with brine and dried over Na2S04. The solvent was removed to give the residue (72.45 g) as a white solid, which was dissolved in 80% HOAc aqueous solution (400 mL). The mixture was stirred at R.T. for 15 h. The mixture was diluted with EtOAc, washed with NaHC03 solution and brine. The organic layer was dried over Na2S04 and purified by silica gel column chromatography (1- 2% MeOH in DCM) to give 59-4 (37.6 g, 84.2%) as a white solid. lR NMR (CD3OD 400 MHz) 7.76 (d, J = 4.0 Hz, 1H), 7.70 (dd, J= 1.6 Hz, J= 8.0 Hz, 2H), 7.66-7.64 (m, 2H), 7.48-7.37 (m, 6H), 6.12 (dd, J= 2.8 Hz, J= 16.8 Hz, 1H), 5.22 (d, J = 8.0 Hz, 1Η).5.20-5.05 (m, 1H), 4.74 (dd, J= 5.6 Hz, J = 17.6 Hz, 1H), 4.16 (d, J= 12.0 Hz, 1H), 3.87-3.80 (m, 2H), 3.56 (d, J= 12.0 Hz, 1H), 1.16 (s, 9H), 0.92 (s, 9H), 0.14 (s, 6H).
[0407] To a solution of 59-4 (3.0 g, 4.78 mmol) in anhydrous DCM (100 mL) was added Dess-Martin periodinane (10.4 g, 23.9 mmol) at 0°C under nitrogen. The reaction mixture was stirred at R.T. for 5 h. The mixture was poured into NaHC03 and Na2S203 (1 : 1) aqueous solution. The organic layer was dried over anhydrous a2S04 and concentrated to give a residue. The residue was purified on a silica gel column (20% EtOAc in PE) to give the intermediate (2.5 g, 83.1 %) as a white solid.
[0408] To a mixture of bromotriphenyl(propyl)phosphorane (6.45 g, 16.8 mmol) in anhydrous THF (3 mL) was added t-BuOK (16.8 mL, 16.8 mmol) at 0°C under nitrogen. The reaction mixture was stirred at 0°C for 50 mins. A solution of the above intermediate (1.5 g, 2.4 mmol) in anhydrous THF (3 mL) was added dropwise at 0°C under nitrogen. The reaction mixture was stirred at R.T. for 3 h. The reaction was quenched by NH4C1 aqueous solution and extracted with EtOAc. The organic layer was dried over anhydrous Na2S04 and concentrated to give a residue. The residue was purified on a silica gel column (20% EtOAc in PE) to give 59-5 (1.3 g, 83%) as a white solid.
[0409] To a solution of 59-5 (300 mg, 0.45 mmol) in anhydrous CH3CN (2 mL) were added TPSC1 (341 mg, 1.13 mmol), DMAP (138 mg, 1.13 mmol) and NEt3 (571 mg, 5.65 mmol) at R.T. The reaction mixture was stirred at R.T. for 2 h. NH4OH (1 mL) was added, and the reaction mixture was stirred for 1 h. The mixture was diluted with EA and washed with water. The organic layer was dried and concentrated to give a residue. The residue was purified on a silica gel column (2% MeOH in DCM) to give the cytidine derivative (285 mg, 95.0%) as a white solid.
[0410] To a solution of the cytidine derivative (280 mg, 0.43 mmol) in MeOH (10 mL) was added N¾F (1.0 g) at R.T. The reaction mixture was refluxed for 12 h. The mixture was filtered, and the filtrate was concentrated. The residue was purified on a silica gel column (10% MeOH in DCM) to give 59a (81 mg, 61%) as a white solid. ESI-TOF-MS: m/z 300.1 [M+H]+.
EXAMPLE 57
Preparation of Compound 60a
Figure imgf000222_0001
59-5 60-1 60a
[0411] To a solution of 59-5 (450 mg, 0.69 mmol) in MeOH (10 mL) was added Pd/C (200 mg) at R.T. The reaction mixture was stirred R.T. for 1 h under ¾ (balloon). The mixture was filtered, and the filtrate was concentrated to give crude 60-1 (440 mg, 97.1%) as a white solid.
[0412] To a solution of 60-1 (440 mg, 0.67 mmol) in anhydrous CH3CN (2 mL) were added TPSC1 (510 mg, 1.68 mmol), DMAP (205 mg, 1.68 mmol) and NEt3 (338 mg, 3.35 mmol) at R.T. The reaction mixture was stirred at R.T. for 2 h. NH4OH (1 mL) was added, and the reaction was stirred for 1 h. The mixture was diluted with EA and washed with water. The solvent was removed. The crude product was purified on a silica gel column (2% MeOH in DCM) to give the cytidine derivative (205 mg, 46.5%) as a white solid.
[0413] To a solution of the cytidine derivative (205 mg, 0.31 mmol) in MeOH (6 mL) was added NH4F (0.6 g) at R.T. The reaction mixture was refluxed overnight. After cooling to R.T., the mixture was filtered. The filtrate was concentrated, and the residue was purified on a silica gel column (10% MeOH in DCM) to give 60a (59 mg, 62.8 %) as a white solid. ESI-MS: m/z 301.8 [M+H] +.
EXAMPLE 58
Preparation of Compound 61a
Figure imgf000223_0001
[0414] To a solution of 59-4 (1.5 g, 2.39 mmol) in anhydrous DCM (100 mL) was added Dess-Martin periodinane (5.2 g, 11.95 mmol) at 0°C under nitrogen. The reaction mixture was stirred at R.T. for 5 h. The mixture was poured into NaHC03 and Na2S203 solution and washed with brine. The organic layer was dried with anhydrous Na2S04, and concentrated to give the crude intermediate (1.5 g) as a white solid.
[0415] To a solution of the crude intermediate (1.5 g, 2.39 mmol) in THF (12 mL) was added methylmagnesium bromide (2.4 mL, 7.2 mmol) dropwise at 0°C. The resulting mixture was stirred at 0°C for 2 h. After the starting material was consumed, the reaction was quenched with saturated NH4C1. The reaction mixture was extracted with DCM. The organic layer was washed with brine, dried and concentrated to give crude 61-1 (1.5 g).
[0416] To a solution of 61-1 (1.5 g, 2.39 mmol) in anhydrous DCM (50 mL) was added Dess-Martin periodinane (4.5 g, 10.6 mmol). The reaction mixture was stirred at R.T. overnight. The mixture was poured into NaHC03 and Na2S203 aqueous solution. The organic layer was separated, washed with brine, dried and concentrated to give a residue. The residue was purified on a silica gel column (10% EtOAc in PE) to give the intermediate (907 mg, 58.6%) as a white solid.
[0417] To a mixture of bromo(methyl)triphenylphosphorane (5.0 g, 14 mmol) in anhydrous THF (8 mL) was added t-BuOK (12.6 mL, 12.6 mmol) at 0°C under nitrogen. The mixture was stirred at R.T. for 50 mins. A solution of the above intermediate (900 mg, 1.4 mmol) in anhydrous THF (4 mL) was added dropwise at 0°C under nitrogen. The reaction mixture was stirred at R.T. for 3 h. The reaction mixture was quenched with NH4C1 aqueous solution and extracted with DCM. The organic layer was separated, washed with brine, dried and concentrated to give a residue. The residue was purified on a silica gel column (5% EtOAc in PE) to give 61-2 (700 mg, 78.0%) as a white solid.
[0418] To a solution of 61-2 (298 mg, 0.46 mmol) in anhydrous CH3CN (5.5 mL) were added TPSC1 (346.5 mg, 1.14 mmol), DMAP (139.6 mg, 1.14 mmol) and NEt3 (115.6 mg, 1.14 mmol) at R.T. The reaction mixture was stirred at R.T. for 2 h. NH4OH (1 mL) was added, and the mixture was stirred for another 1 h. The mixture was diluted with DCM and washed with water. The organic layer was separated, washed with brine, dried and concentrated to give a residue. The residue was purified on a silica gel column (2% MeOH in DCM) to give the cytidine derivative (250 mg, 85.0%) as a white solid.
[0419] To a solution of the cytidine derivative (250 mg, 0.39 mmol) in MeOH (10 mL) was added NH4F (1.0 g) at R.T. The reaction was refluxed for 12 h. The mixture was filtered, and the filtrate was concentrated. The residue was purified on a silica gel column (10% MeOH in DCM) to give 61a (55 mg, 49%) as a white solid. ESI-MS: m/z 285.9 [M+H] +.
EXAMPLE 59
Preparation of Compound 62a
Figure imgf000224_0001
[0420] To a solution of 61-2 (400 mg, 0.63 mmol) in MeOH (10 mL) was added Pd/C (400 mg) at R.T. The reaction was stirred at R.T. for 5 h under ¾ (balloon). The mixture was filtered, and the filtrate was concentrated to give crude 62-1 (350 mg, 87%) as a white solid.
[0421] To a solution of 62-1 (350 mg, 0.55 mmol) in anhydrous CH3CN (6 mL) were added TPSC1 (414 mg, 1.4 mmol), DMAP (166.8 mg, 1.4 mmol) and NEt3 (138.1 mg, 1.4 mmol) at R.T. The reaction mixture was stirred at R.T. for 2 h. NH4OH (1 mL) was added, and the reaction was stirred for another 1 h. The mixture was diluted with EA and washed with water. The organic layer was separated, dried and concentrated to give a residue. The residue was purified on a silica gel column (2% MeOH in DCM) to give the cytidine derivative (300 mg, 85%) as a white solid.
[0422] To a solution of the cytidine derivative (300 mg, 0.47mmol) in MeOH (10 mL) was added NH4F (1.5g) at R.T. The reaction mixture was refluxed overnight. After cooling to R.T., the mixture was filtered. The filtrate was concentrated. The crude product was purified on a silica gel column (10% MeOH in DCM) to give 62a (83 mg, 61%) as a white solid. ESI-MS: m/z 287.8 [M+H] +.
EXAMPLE 60
Preparation of Compound 63a
Figure imgf000225_0001
[0423] To a solution of 63-1 (50 g, 203 mmol) in anhydrous pyridine (200 mL) was added TBDPS-C1 (83.7 g, 304 mmol). The reaction was allowed to proceed overnight at R.T. The solution was concentrated under reduced pressure to give a residue. The residue was partitioned between ethyl acetate and water. The organic layer was separated, washed with brine, dried over magnesium sulfate and concentrated under reduced pressure to give 5'- OTBDPS ether as a white foam (94 g ).
[0424] To a solution of the 5'-OTBDPS ether (94.0 g, 194.2 mmol) in anhydrous DCM (300 mL) were added silver nitrate (66.03 g, 388.4 mmol) and collidine (235 mL, 1.94 mol). The mixture was stirred at R.T. After most of silver nitrate was dissolved (~15 min), the mixture was cooled to 0°C. Monomethoxytrityl chloride (239.3 g, 776.8 mmol) was added as a single portion, and the mixture was stirred overnight at R.T. The mixture was filtered through Celite, and the filtrate was diluted with MTBE. The solution was washed successively with 1M citric acid, diluted brine and 5% sodium bicarbonate. The organic solution was dried over sodium sulfate and concentrated under vacuum to give the fully protected intermediate as a yellow foam.
[0425] The fully protected intermediate was dissolved in toluene (100 mL), and the solution was concentrated under reduced pressure. The residue was dissolved in anhydrous THF (250 mL) and treated with TBAF (60 g, 233 mmol). The mixture was stirred for 2 hours at R.T., and the solvent was removed under reduced pressure. The residue was taken into ethyl acetate, and the solution was washed with saturated sodium bicarbonate and brine. After drying over magnesium sulfate, the solvent was removed in vacuum. The residue was purified by column chromatography (PE: EA= 5: 1, 1 : 1) to give 63-2 (91 g, 86.4%) as a white foam.
[0426] To a solution of 63-2 (13.5 g, 26 mmol) in DCM (100 mL) was added pyridine (6.17 mL, 78 mmol). The solution was cooled to 0°C and Dess-Martin periodinane (33.8 g, 78 mmol) was added as a single portion. The reaction mixture was stirred for 4 h at R.T. The reaction was quenched with Na2S203 solution (4%) and sodium bicarbonate aqueous solution (4%) (the solution was adjusted to pH 6, -150 mL). The mixture was stirred for 15 min. The organic layer was separated, washed with diluted brine and concentrated under reduced pressure. The residue was dissolved in dioxane (100 mL), and the solution was treated with 37% aqueous formaldehyde (21.2 g, 10 eq) and 2N aqueous sodium hydroxide (10 eq). The reaction mixture was stirred at R.T. overnight. After stirring for 0.5 h at R.T., the excess of aqueous sodium hydroxide was neutralized with saturated with NH4CI (-150 mL). The mixture was concentrated under reduced pressure. The residue was partitioned between ethyl acetate and 5% sodium bicarbonate. The organic phase was separated, washed with brine, dried over magnesium sulfate and concentrated. The residue was purified by column chromatography (MeOH: DCM= 100: 1-50: 1) to give 63-3 (9.2 g, 83.6%) as a white foam.
[0427] Compound 63-3 (23 g, 42.0 mmol) was co-evaporated with toluene twice. The residue was dissolved in anhydrous DCM (250 mL) and pyridine (20 mL). The solution was cooled to -35°C. Triflic anhydride (24.9 g, 88.1 mmol) was added dropwise over 10 mins. The reaction was stirring for 40 min at -35°C. When TLC (PE: EA= 2: 1 and DCM: MeOH= 15: 1) showed that the reaction was complete, the reaction was quenched with water (50 mL) at 0°C. The mixture was stirred 30 mins, extracted with EA. The organic phase was dried over Na2S04 and filtered through a silica gel pad. The filtrate was concentrated under reduced pressure. The residue was purified by column chromatography (PE: EA= 100: 1-1 : 1) to give 63-4 (30.0 g, 88.3%) as a brown foam.
[0428] Compound 63-4 (30 g, 36.9 mmol) was co-evaporated twice with toluene. The resulting bis-triflate was dissolved in anhydrous DMF (150 mL), cooled to 0°C and treated with sodium hydride (60% in mineral oil; 1.5 g, 40.6 mmol, 1.1 eq). The reaction mixture was stirred at R.T. for 1 h until TLC (DCM: MeOH = 15: 1) showed the disappearance of the bis-triflate and formation of the 2,5'-anhydro intermediate. Lithium chloride (4.6 g, 1 10.7 mmol, 3 eq) was added, and the stirring was continued for 2 h. The mixture was taken into 100 mL of half saturated ammonium chloride and ethyl acetate. The organic phase was separated, washed with diluted brine and concentrated under reduced pressure to give 63-5.
[0429] 63-5 was dissolved in THF (150 mL), and the solution was treated with IN aqueous sodium hydroxide (-41 mL, 40.1 mmol, 1.1 eq). The mixture was stirred at R.T. for 1 h. The reaction was monitored by LCMS. The reaction was diluted with half saturated sodium bicarbonate (-60 mL) and extracted with ethyl acetate. The organic phase was dried (magnesium sulfate) and concentrated under reduced pressure. Purification of the residue by column chromatography (DCM: MeOH= 300: 1 -60: 1) gave 63-6 (18.3 g, 87.6%) as a yellow foam. [0430] To a solution of 63-6 (18.3 g, 32.33 mmol) in anhydrous DCM (150 mL) was added TBS-C1 (17.7 g, 64.6 mmol) and imidazole (6.6 g, 97 mmol). The reaction was allowed to proceed overnight at R.T. The reaction was diluted with water and extracted with DCM. The organic layer was separated, washed with brine, dried over Na2S04 and concentrated. Purification of the residue by column chromatography (DCM: MeOH=300: 1-80: 1) gave 63-7 (18.4 g, 83.7%) as a white foam.
[0431] A solution of 63-7 (18.4 g, 27.1 mmol), DMAP (6.6 g, 54.0 mmol) and TEA (5.4 g,54.0 mmol) in MeCN (450 mL) was treated with 2,4,6-triispropylbenzenesulfonyl chloride (TPSC1, 16.3 g, 54.0 mmol). The mixture was stirred at R.T. for 3 h. NH3 H20 (70 mL) was added, and the mixture was stirred for 2 h. The solution was evaporated under reduced pressure, and the residue was purified on a silica gel column (DCM: MeOH= 100: 1 to 15 : 1) to give 63-8 (18.0 g) as a light yellow solid.
[0432] To a solution of 63-8 (18.0 g, 26.5 mmol) in anhydrous DCM (150 mL) was added collidine (8.1 g, 66.3 mmol, 2.5 eq), silver nitrate (4.5 g, 26.5 mmol, 1.0 eq) and DMTrCl (13.4 g, 39.7 mmol, 1.5 eq). The reaction was allowed to proceed overnight at R.T. The mixture was filtered. The filtrate was washed with brine and extracted with DCM. The organic layer was separated, dried over Na2S04 and concentrated. The residue was purified by column chromatography (PE: EA= 60: 1-3 : 1) as a yellow foam. The foam was dissolved in THF (150 mL), and TBAF (10.4 g, 39.7 mmol, 1.5 eq) was added. The reaction was allowed to proceed overnight at R.T. The mixture was concentrated, washed with brine and extracted with EA. The organic layer was separated, dried over Na2S04 and concentrated. Purification of the residue by column chromatography (PE: EA =60: 1~EA) gave 63-9 (21.3 g, 92.4%) as a yellow foam.
[0433] To a solution of 63-9 (2.0 g, 2.3 mmol) in anhydrous DCM (20 mL) was added Dess-Martin periodinane (1.95 g, 4.6 mmol) at 0°C under nitrogen. The reaction was stirred at R.T. for 5 h. The mixture was diluted with EtOAc (100 mL) and washed with a mixture of saturated aqueous Na2S203 and saturated aqueous NaHC03. The crude product was purified by column chromatography on silica gel (PE: EtOAc = 2: 1) to give 63-10 (1.8 g, 90%) as a yellow solid. [0434] To a solution of tetramethyl methylenediphosphonate (390 mg, 1.68 mmol) in anhydrous THF (10 mL) was added NaH (84 mg, 2.1 mmol) at 0°C under nitrogen. The reaction was stirred at 0°C for 30 min. A solution of 63-10 (1.2 g, 1.4 mmol) in anhydrous THF (10 mL) was added dropwise at 0°C. The reaction mixture was stirred at R.T. for 1 h. The reaction was quenched by saturated aqueous NH4C1, and the crude product was purified by column chromatography on silica gel (DCM: MeOH = 150: 1) to give 63-11 (1.2 g, 88.2%) as a yellow solid. ES1-MS: m/z 971.59 [M+H]+.
[0435] A solution of 63-11 (1.0 g, 1.03 mmol) in 80% HOAc (46 mL) was stirred at 80-90°C for 2 h. The solvent was removed, and the crude product was purified by column chromatography on silica gel (DCM: MeOH = 20: 1) to give an intermediate (337 mg,
82.3%) as a white solid. The intermediate was dissolved in MeOH and wet Pd/C (300 mg) was added. The reaction mixture was stirred under ¾ (1 atm) for 1 h and then filtered. The solvent was removed, and the residue was purified on a silica gel column (DCM: MeOH=
20:1) to give 63a (192 mg, 63.9%) as a white solid. ESI-MS: m/z 400.0 [M+H]+.
EXAMPLE 61
Preparation of Compound 64a
Figure imgf000229_0001
[0436] To a solution of 64-1 (1.0 g, 4.3 mmol) in THF (20 mL) was added NaH (120 mg, 3.0 mmol), and the mixture was stirred at 0°C for 1 h. Selectfluor (1.2 g, 3.4 mmol) was added into the reaction mixture. The crude product was purified on a silica gel column and eluted with EA to give 64-2 (500 mg, 57%) as a white solid. 1H NMR (CD3OD, 400 MHz) £5.65 (dt, J= 14.0 Hz, J= 44.8 Hz, 1H), 3.90 (d, J= 9.6 Hz, 12H). [0437] To a solution of 64-2 (390 mg, 1.68 mmol) in anhydrous THF (10 mL) was added NaH (84 mg, 2.1 mmol) at 0°C under nitrogen. The mixture was stirred at 0°C for 30 mins. A solution of 63-10 (1.2 g, 1.4 mmol) in anhydrous THF (10 mL) was added dropwise at 0°C. The mixture was stirred at .T. for 1 h. The reaction was quenched with saturated aqueous NH4C1 and concentrated to give a residue. The residue was purified on a silica gel column (DCM: MeOH= 150: 1) to give crude 64-3 (1.2 g, 88.2%) as a yellow solid.
[0438] A solution of crude 64-3 (230 mg, 0.23 mmol) in 80% HOAc (3 mL) was stirred at 80-90°C for 2 h. The crude product was purified on a silica gel column (eluted with DCM: MeOH= 20: 1) to give 64a (54 mg, 53.7%) as a white solid. ES1-MS: m/z 416.3 [M+H]+.
EXAMPLE 62
Preparation of Compound 65a
Figure imgf000230_0001
64-3 65a
[0439] A solution of crude 64-3 (230 mg, 0.23 mmol) in 80% HOAc (3 mL) was stirred at 80-90°C for 2 h. The crude product was purified on a silica gel column (eluted with DCM: MeOH= 20: 1) to give 65a (52 mg, 33.7%) as a white solid. 1H NMR (DMSO, 400 MHz) 51.59 (d, J = 7.2 Hz, 1H), 7.32 (s, 2H), 6.25-6.28 (m, 1H), 5.86-6.02 (m, 2H), 5.73 (s, 1H), 5.31 (d, J= 14.0 Hz, 1H), 4.72 (d, J= 16.4 Hz, 1H), 3.90 (d, J= 10.0 Hz, 1H), 3.73 (2d, J= 11.6 Hz, 6H).
EXAMPLE 63
Preparation of Compound 66a
Figure imgf000230_0002
64a 66a [0440] A solution of 64a (130 mg, 0.3 mmol) in EA:MeOH (5: 1, 20 mL) was stirred under ¾ (15 Psi) at R.T. for 2 h. The mixture was filtered and concentrated to give a residue. The residue was purified on a silica gel column (DCM: MeOH= 20: 1) to give 66a
(70 mg, 54%) as a white solid. ESI-MS: m/z 418.3 [M+H]+.
EXAMPLE 64
Preparation of Compound 67a
Figure imgf000231_0001
[0441] To a solution of 67-1 (2.0 g, 6.9 mmol) in THF (20 mL) was added NaH (110 mg, 2.8 mmol), and the mixture was stirred at 0°C for 1 h. Selectfluor (5.0 g, 13.6 mmol) was added into the mixture. The reaction was quenched with saturated NH4CI and extracted with EA. The organic layer was separated, dried and concentrated to give the crude product. The crude product was purified on a silica gel column (eluted with EA) to give 67-2 (600 mg, 28.3%) as a white solid. !H NMR (CD3OD, 400 MHz) 5.65 (dt, J = 14.0 Hz, J = 44.8 Hz, 1H), 4.24-4.46 (m, 8H), 1.35-1.39 (m, 12H).
[0442] To a solution of 67-2 (2.14 g, 7.0 mmol) in anhydrous THF (10 mL) was added NaH (84 mg, 2.1 mmol) at 0°C under nitrogen. The reaction mixture was stirred at 0°C for 30 mins. A solution of 63-10 (3.0 g, 3.5 mmol) in anhydrous THF (10 mL) was added in dropwise at 0°C. The reaction mixture was stirred at R.T. for 1 h. The reaction was quenched with saturated aqueous NH4CI and concentrated to give a residue. The residue was purified on a silica gel column (DCM: MeOH=150: 1) to give crude 67-3 (2.9 g, 79.5%) as a yellow solid.
[0443] A solution of crude 67-3 (1.0 g, 0.98 mmol) in 80% HO Ac (25 mL) was stirred at 80-90°C for 2 h. The crude product was purified on a silica gel column (eluted with DCM: MeOH= 20: 1) to give 67a (133 mg, 32.5%) as a white solid. ESI-MS: m/z 466.1 [M+Na]+.
EXAMPLE 65
Preparation of Compound 68a
Figure imgf000232_0001
[0444] To a solution of 67a (130 mg, 0.29 mmol) in MeOH (20 mL) was stirred under ¾ (15 Psi) at R.T. for 2 h. The mixture was filtered and concentrated to give a residue. The residue was purified on a silica gel column (eluted with DCM: MeOH= 20: 1) to give a mixture of diastereomers of 68a (90 mg, 69.2%) as a white solid. ESI-MS: m/z 446.1 [M+H]+
EXAMPLE 66
Preparation of Compound 69a
Figure imgf000232_0002
69-3 69-4 69a
[0445] Compound 63-4 (3.0 g, 3.69 mmol) was co-evaporated twice with toluene. The resulting bis-triflate was dissolved in anhydrous DMF (20 mL). The solution was cooled to 0°C and treated with sodium hydride (60% in mineral oil; 177 mg, 0.43 mmol). The reaction was stirred at R.T. for 1 h (TLC (PE: EA =2:1) showed complete disappearance of the bis-triflate and clean formation of the 2',5'-anhydro intermediate). The mixture was used for the next step without any further workup [0446] To the above stirred mixture was added NaSMe (9.0 g, 0.13 mmol) and 15-Crown-5 (4.87 g, 22.14 mmol) at 0°C under nitrogen. The solution was stirred at R.T. for 2 h (TLC (PE: EA= 1 : 1) showed the reaction was complete). The reaction was quenched with water. The mixture was extracted by EtOAc, washed with brine, and dried over MgS04. The mixture was filtered and concentrated to give a residue. The residue was purified on a silica gel column (PE: EA= 5:2) to give 69-2 (1.23 g, 59.0%) as a white foam.
[0447] To a stirred solution of 69-2 (1.34 g, 2.32 mmol) in anhydrous DCM (10 mL) was added MMTrCl (1.32 g, 4.64 mmol), AgN03 (1.17 g, 6.96 mmol) and Collidine (1.41 g, 1 1.6 mmol) at R.T. under nitrogen. The reaction mixture was stirred at R.T. for 1 h (TLC (PE: EA= 1 : 1) showed the reaction was complete). The mixture was filtered and concentrated. The residue was purified on a silica gel column (PE: EA= 8: 1) to give 69-3 (1.3 lg, 66.5%) as a white foam.
[0448] To a solution of 69-3 (900 mg, 1.06 mmol) in anhydrous MeCN (9 mL) was added DMAP (259 mg, 2.12 mmol), TEA (214 mg, 2.12 mmol) and TPSC1 (640 mg, 2.12 mmol) at R.T. under nitrogen. The reaction mixture was stirred at R.T. for 2 h (TLC (DCM: MeOH=10: l) showed the reaction was complete). NH4OH (10 mL) was added, and the reaction mixture was stirred for another 1 h (LCMS showed the reaction was complete). The solution was diluted with water, extracted with EtOAc. The organic layer was washed with 1M HC1, saturated NaHC03 and brine, and dried over MgS04. The mixture was filtered and concentrated to give a residue. The residue was purified on a silica gel column (DCM: MeOH= 70: 1 ) to give 69-4 (870 mg, 68.5%) as a white solid.
[0449] Compound 69-4 (800 mg, 0.95 mmol) was dissolved in 80% HOAc aq. (50 mL). The reaction mixture was heated to 75°C overnight (LCMS showed the reaction was complete). The reaction mixture was concentrated and purified on a silica gel column (DCM: MeOH= 15: 1) to give 69a (180 mg, 62.5%) as a white solid. ESI-MS: m/z 305.8 [M+H] + EXAMPLE 67
Preparation of Compound 70a
Figure imgf000234_0001
63-5 70a
[0450] To a solution of 63-5 (100 g, 182.5 mmol) in MeCN (2 L) was added 6N HC1 aq. (15 g). The mixture was stirred at 40°C for 7 h, and then neutralized to pH = 5~6 with a 25% ammonia solution (~8 g). The mixture was filtered to give a solid, which was further washed by PE to give an intermediate (32.2 g, 60%) as a white solid. To a mixture of the intermediate (32.2 g, 109.5 mmol), TEA (22.1 g, 219 mmol) and DMAP (1.34 g, 11 mmol) in MeCN (1 L) was added with isobutyric anhydrous (69.2 g, 438 mmol). The mixture was stirred at R.T. for 3 h. The reaction was quenched by the addition of water (200 mL) and extracted with 2-Me-THF (800 mL). The organic layer was washed with saturated NaHC03 and brine. The organic layer was dried and concentrated to give a residue, which was purified by a silica gel column (10% toluene in heptane) to give 70a (42.3 g, 89%) as a white solid. !H NMR (CD3OD, 400 MHz) δΊ.65 (d, J= 8.0 Hz, 1H), 5.95 (dd, J= 2.8, 20.4 Hz, 1H), 5.55-5.74 (m, 3H), 4.33-4.41 (m, 2H), 3.88 (s, 2H), 2.57-2.72 (m, 2H), 1.14-1.22
(m, 12H).
EXAMPLE 68
Preparation of Compound 71a
Figure imgf000235_0001
71-2 71a
[0451] To a solution of 63-4 (4.2 g, 5.17 mmol) in DMF (50 mL) at 0°C was added NaH (227 mg of 60% dispersion, 5.7 mmol). The mixture was stirred at 0°C for 2 h ,and then LiBr (1.34 g, 15.5 mmol) was added. The mixture was stirred overnight at R.T., diluted with EA (150 mL) and washed successively with water and brine. The organic layer was dried over Na2S04 and concentrated. The residue was purified on a silica gel column eluted with 10% EA in PE to give 71-1 as a yellow solid (2 g, 66%)
[0452] To a solution of 71-1 (1.74 g, 2.9 mmol) in THF (20 mL) at 0°C was added IN NaOH (3.2 mL, 3.2 mmol), and the mixture was stirred at 0°C for 2 h. The mixture was partitioned between EA (100 mL) and water (20 mL), and the organic layer was dried over Na2S04 and evaporated to dryness. The residue was purified on a silica gel column eluted with 20% EA in PE to give the 5' -OH derivative as a yellow solid (1.6 g, 90%).
[0453] To a solution of 5 '-OH derivative (2.3 g, 3.76 mmol) in anhydrous DCM (20 mL) were added collidine (0.8 g, 6.7 mol) and MMTrCl (2.7 g, 8.7 mmol). The reaction mixture was stirred at R.T. overnight. The mixture was filtered and washed successively with saturated aqueous aHC03 and brine, dried over Na2S04 and concentrated. The residue was purified on a silica gel column eluted with 10% EA in PE to give 71-2 as a yellow solid (2.4 g, 73%).
[0454] To a solution of 71-2 (2.4 g, 2.72 mmol) in anhydrous CH3CN (30 mL) were added TPSC1 (1.65 g, 5.44 mmol), DMAP (0.663 g, 5.44 mmol) and NEt3 (1.5 mL) at R.T. The mixture was stirred at R.T. for 3 h, and 28% aqueous ammonia (30 mL) was added. The mixture was stirred for 1 h. The mixture was diluted with EA (150 mL) and washed successively with water, saturated aqueous NaHC03 and brine. The solvent was removed, and the residue was purified on a silica gel column eluted with 2% MeOH in DCM to give a cytidine derivative as a yellow solid (1.5 g, 62%).
[0455] The cytidine derivative (1.35 g, 1.5 mmol) was dissolved in 80% AcOH
(40 mL), and the mixture was stirred at 60°C for 2 h. The mixture was concentrated, and the residue was purified on a silica gel column using 5% MeOH in DCM as elute to give 71a as a white solid (180 mg, 35 %). ESI-TOF-MS: m/z 337.9 [M+H]+.
EXAMPLE 69
Preparation of Compound 72a
Figure imgf000236_0001
72-3 72a
[0456] To a solution of 63-6 (1.0 g, 1.8 mmol ) in 1, 4-dioxane (2 mL) was added TEA (3 mL) and 37% HCHO (3 mL). The reaction mixture was stirred for 10 h at 60°C. The reaction was concentrated to dryness under vacuum, and the residue was purified by column on a silica gel column (DCM: MeOH = 100:1-30:1) to give 72-1 (470 mg, 45%) as a white foam. ESI-TOF-MS: m/z 596.9 [M+H]+.
[0457] To a solution of 72-1 (430 mg, 0.72 mmol) in dioxane (2 mL) was added 30% CH3COOH (0.7 mL) and Pt02 (290 mg). The reaction mixture was stirred under H2 (latm) at R.T. for 2 h. The mixture was filtered, and the filtrate was concentrated to dryness. The residue was purified on a silica gel column (DCM: MeOH = 100:1-30:1) to give 72-2 (268 mg, 64%) as a white foam. ESI-TOF-MS: m/z 580.9 [M+H]+.
[0458] To a solution of 72-2 (260 mg, 0.45 mmol) in anhydrous DCM (3 mL) was added AgN03 (228 mg, 1.35 mmol), collidine (223 mg, 1.8 mmol) and MMTrCl (456 mg, 1.35 mmol). The mixture was stirred at R.T. for 10 h . The reaction mixture was filtered, and the filtrate was concentrated to dryness. The residue was purified on a silica gel column (PE: EA = 50: 1-3: 1) to give 72-3 (303 mg, 80%) as a white foam.
[0459] To a solution of 72-3 (300 mg, 0.35 mmol) in anhydrous CH3CN (3 mL) was added DMAP (107 mg, 0.88 mmol), TEA ( 141 mg, 1.4 mmol) and TPSC1 (106 mg, 0.35 mmol) at R.T. The reaction mixture was stirred at R.T. for 4 h. NH4OH (1 mL) was added, and the mixture was stirred at R.T. for another 1 h. The solvent was removed, and the residue was partitioned by EA and water. The organic layer was washed by brine twice, dried and concentrated to give a residue. The residue was purified on a silica gel column (PE: EA = 50:1-3:1) to give 72-4 (270 mg, 90%) as a white foam.
[0460] Compound 72-4 (260 mg, 0.31 mmol) in 10 mL of 60% HCOOH was stirred at R.T. for 2 h. The solvent was removed, and the residue was washed with EA to give 72a (31 mg, 32%) as a white powder. ESI-TOF-MS: m/z 307.9 [M+H]+.
EXAMPLE 70
Preparation of Compound 73a
Figure imgf000237_0001
73-3 73a
[0461] Compound 63-6 (600 mg, 1.06 mmol) in formic acid (5 mL, 80% in water) was stirred at R.T. overnight. Completion of the reaction was determined by TLC (DCM: MeOH= 10:1). The solvent was removed to give crude 73-1 (290 mg, 93.2%).
[0462] To a solution of 73-1 (290 mg, 0.98 mmol) in pyridine (5 mL) and acetonitrile (5 mL) was added BzCl (371 mg, 2.65 mmol). The reaction mixture was stirred at 0°C for 0.5 h. The reaction was warmed to R.T. and stirred for 2 h. Completion of the reaction was determined by LCMS. The reaction was quenched with water and extracted with EA. The organic layer was washed with brine, dried over MgSC^, filtered and concentrated. The residue was purified on a silica gel column (DCM: MeOH= 200: 1) to give 73-2 (245 mg, 49.8%) as a white solid.
[0463] To a solution of 73-2 (245 mg, 0.49 mmol) in anhydrous acetonitrile (2.5 mL) was added TPSC1 (394 mg, 0.98 mmol), DMAP (119.5 mg, 0.98 mmol) and TEA (98 mg, 0.98 mmol). The mixture was stirred at R.T. for 3 h. NH2OH HCl (68 mg, 0.98 mmol) and DBU (368 mg, 1.47 mmol) were added, and the reaction mixture was stirred at R.T. for 2 h. The reaction mixture was diluted with water and extracted with EtOAc. The combined organic layer was washed with 1M HC1, saturated NaHC03 and brine, dried and concentrated. The residue was purified on a silica gel column (DCM: MeOH= 20:1) to give 73-3 (49 mg, 32.9%) as a white solid.
[0464] Compound 73-3 (49 mg, 0.1 mmol) in NH3/MeOH (30 mL) was stirred at R.T. for 2 days. The solvent was removed. The residue was purified on a silica gel column (DCM: MeOH= 30:1) to give 73a (12.9 mg, 44.0%) as a white solid. ESI-TOF-MS: m/z 308.1 [M-H]+.
EXAMPLE 71
Preparation of Compound 74a H
Figure imgf000238_0001
74a
[0465] To a solution of 63-6 (1.2 g, 2.12 mmol) in anhydrous DCM (20 mL) were added collidine (750 mg, 6.51 mol) and MMTrCl (2.6 g, 8.5 mmol). The mixture was stirred at .T. overnight. The reaction was filtered and washed successively with saturated aqueous NaHC03 and brine, dried over Na2SC>4 and concentrated. The residue was purified on a silica gel column eluted with 10% EA in PE to give 74-1 as a yellow solid (1.4 g, 72%).
[0466] To a stirred solution of 74-1 (600 mg, 0.715 mmol) in anhydrous acetonitrile (6 mL) were added TPSC1 (432 mg, 1.43 mmol), DMAP (174 mg, 1.43 mmol) and TEA (144 mg, 1.43 mmol). The mixture was stirred at R.T. for 2 h. Completion of the reaction was determined by TLC (DCM: MeOH= 10:1). CH3NH2 (310 mg, 10 mmol) was added dropwise at 0°C. The reaction mixture was stirred at R.T. for 2 h. The mixture was diluted with water and extracted with EtOAc. The combined organic layer was washed with 1M HC1, saturated NaHC03 and brine. The solvent was removed, and the residue was purified by prep-TLC (DCM: MeOH= 10:1) to give 74-2 (307 mg, 50.45%) as a white solid.
[0467] 74-2 (300 mg, 0.352 mmol) in formic acid (10 mL, 80% in water) was stirred at R.T. overnight. Completion of the reaction was determined by TLC (DCM: MeOH= 10:1). The solvent was removed to dryness. The residue was dissolved in 20 mL of methanol. Ammonia (0.5 mL) was added, and the mixture was stirred at R.T. for 5 mins. The solvent was removed, and the residue was washed with PE (5X) to give 74a (103 mg, 95.3%) as a white solid. ESI-TOF-MS: m/z 308.1 [M+H]+.
EXAMPLE 72
Preparation of Compound 75a
Figure imgf000240_0001
[0468] To a stirred solution of 75-1 (20.0 g, 151 mmol) in anhydrous THF (200 mL)was added NaH (7.8 g, 196 mmol) in portions at 0°C. The mixture was stirred for 1 h, and 75-2 (65.0 g, 196 mmol) was added dropwise at 0°C. The mixture was stirred at R.T. for 10 h. The reaction was quenched with water and extracted with EA. The reaction was washed with brine, and the organic layer was concentrated to obtain crude 75-3 (72 g).
[0469] Crude 75-3 (72 g, 151 mmol) was dissolved with 80% CH3COOH (300 mL) and stirred for 10 h. The solvent was removed under reduced pressure. The residue was dissolved in EA and washed with saturated NaHC03 and brine successively. The organic layer was dried over Na2S04 and concentrated to dryness. The residue was purified on a silica gel column to give the crude intermediate, which was dissolved in anhydrous pyridine (80 mL) and DCM (400 mL). A solution of DMTrCl (56.0 g, 166 mmol) in DCM (150 mL) was added dropwise at 0°C. The mixture was stirred at R.T. for 10 h. The reaction mixture was concentrated to dryness, and the residue was purified by column on silica gel (PE: EA= 2:1) to give 75-4 (58.5 g, 61%).
[0470] To a stirred solution of 75-4 (10.0 g, 15.5 mmol) in anhydrous DMF (80 mL) was added NaH (0.8 g, 20 mmol) at 0°C. The mixture was stirred at R.T. for 1 h, and BnBr (33.8 g, 20 mmol) was added. The reaction mixture was stirred at R.T. for 10 h. The reaction was quenched with water and extracted with EA. The reaction was washed with brine, and the organic layer was concentrated to give the crude intermediate (10.5 g, 92%) as a white foam. The crude intermediate (10.2 g, 13.8 mmol) in 80% CH3COOH (100 mL) was stirred at R.T. for 12 h. The solvent was removed. The residue was dissolved in EA, washed with saturated NaHC03 and brine successively, dried and concentrated to give a residue. The residue was purified on a silica gel column twice (PE: EA= 3:1) to give 75-5 (4.2 g, 70%) as a white foam.
[0471] To a solution of 75-5 (4.0 g, 9.2 mmol) in anhydrous CH3CN (30 mL) was added DIPEA (6.1 g, 47.6 mmol) and 2-cyanoethyl N,N-diisopropylchlorophosphoramidite (2.8 g, 11.9 mmol). The mixture was stirred at R.T. for 2 h. The solvent was removed, and residue was partitioned by EA and saturated NaHC03. The organic layer was dried over MgS04 and concentrated to give a residue. The residue was purified on a silica gel column (PE: EA= 3: 1) to give 75-6 (5.1g, 88 %) as a white solid.
[0472] To a solution of 75-6 (1.0 g, 1.6 mmol) and 63-9 (925 mg, 1.1 mmol) in anhydrous MeCN (1 mL) was added tetrazole (12 mL, 0.45M in MeCN, 5.5 mmol) dropwise at R.T. After stirred for 3 h, TBDPH (0.96 mL, 5M 4.8 mmol) was added. The reaction mixture was stirred at R.T. for 1 h. The mixture was diluted with EA and washed with saturated Na2S03 and brine, dried over anhydrous Na2S04 and concentrated. The residue was purified by silica gel chromatography (PE/EA = 50: 1 to 1 :1) to give 75-7 (1.1 g, 73.3%) as a white solid.
[0473] Compound 75-7 (1.0 g, 0.7 mmol) in 60% HCOOH (3 mL) was stirred at R.T. for 12 h. The solvent was removed. The residue was dissolved in EA and washed with saturated NaHC03 and brine successively, dried and concentrated to give a residue. The residue was purified twice on a silica gel column (DCM : MeOH= 30:1) to give crude 75a (510 mg, 86%) as a white foam. To a solution of crude 75a (275 mg, 0.33 mmol) in C2H5OH was added a few drops IN NaOH until pH~7.0. The mixture was stirred for 0.5 h. The mixture was concentrated to give a residue. The residue was purified by HPLC (MeCN and water, neutral system) to give 75a (sodium salt, 170 mg, 64%) as a white solid. ESI-TOF- MS: m/z 788.3 [M-H]+.
EXAMPLE 73
Preparation of Compound 76a
Figure imgf000242_0001
76-3 76a
[0474] To a solution of 73-1 (4.1 g, 13.95 mmol) in pyridine (40 mL) was added Ac20 (3.13 g, 30.68 mmol) at R.T., and the mixture was stirred overnight. The mixture was concentrated, and the residue was purified on a silica gel column (PE: EA= 3: 1) to give 76-1 (4.0 g, 75.9%).
[0475] To a solution of 76-1 (1.3 g, 3.44 mmol) in pyridine (20 mL) was added NBS (1.22 g, 6.88mmol) at R.T., and the mixture was stirred overnight. The mixture was concentrated, and the residue was purified on a silica gel column (PE: EA= 4: 1) to give 76-2 (1.43 g, 72.2%).
[0476] To a solution of 76-2 (770 mg, 1.68 mmol) in dioxane (10 mL) was added Me6Sn2 (1.1 g, 3.36 mmol) and (PPh3)2PdCl2 (100 mg) under N2 atmosphere. The mixture was heated at 80°C for 4 h. The mixture was concentrated, and the residue was purified on a silica gel column to give an intermediate (400 mg, 43.96%). To a solution of the intermediate (330 mg, 0.61 mmol) in anhydrous MeCN (3 mL) was added Selectflour® (462 mg, 1.34 mmol) at R.T. The mixture was stirred at R.T. for 2 days. The mixture was concentrated, and the residue was purified on a silica gel column (PE: EA= 4: 1) to give 76-3 (100 mg, 41.5%).
[0477] To a solution of 76-3 (100 mg, 0.25 mmol) in MeCN (2 mL) was added
DMAP (62 mg, 0.51mmol), TEA (51 mg, 0.51 mmol) and TPSC1 (153 mg, 0.51 mmol). The mixture was stirred at R.T. for 0.5 h. NH3.H2O (0.75 mL) was added. The mixture was stirred at R.T. for 0.5 h. The mixture was extracted with EtOAc and washed with IN HC1 and brine. The organic layer was dried and concentrated. The residue was purified on a silica gel column (PE: EA= 1 : 1) to give an intermediate (60 mg, 60.1%). The intermediate
(50 mg, 0.13 mmol) in N¾/MeOH (5 mL) was stirred at R.T. for 3 h. The mixture was concentrated, and the residue was purified on a silica gel column (MeOH: DCM= 1 : 10) to give 76a (30 mg, 76.2%). ESI-TOF-MS: m/z 312.1 [M+H]+.
EXAMPLE 74
Preparation of Compound 77a
Figure imgf000243_0001
77-1 77a
[0478] Compound 77-1 (680 mg, 0.8 mmol) and triphenylphosphine (312 mg, 1.2 mmol) were dissolved in the mixture of 5 mL of dioxine and 0.25 mL of dry ethanol. A solution of diisopropyl azadicarboxylate (40% w solution in toluene, 1 .28 mmol) in 3 mL of dioxane was added, and the mixture was stirred at R.T. for 2 h. The mixture was evaporated to dryness. The residue was dissolved in 10 mL of THF, cooled down to 4°C and 2 equivalents of TBAF in THF were added. The mixture was warmed up to R.T. and the solvent was evaporated. The resulting nucleoside was treated with 80% HCOOH at R.T. for 3 h, and then the acid was evaporated. Isolated by isocratic silica gel chromatography using mixture of DCM (950 mL), MeOH (50 mL), and NH4OH (2.5 mL) for elution gave 77a (80mg, 30%). MS: 384 [M-1+HCOOH]. EXAMPLE 75
Preparation of Compound 78a
Figure imgf000244_0001
78-4 78-5 78a
[0479] To a solution of 78-1 (10.0 g, 37.17 mmol) in anhydrous pyridine (100 mL) was added imidazole (9.54 g, 140.4 mmol) and TBSC1 (21.1 g, 140.4 mmol) at 25°C. The solution was stirred at 25°C for 15 h. The solution was concentrated to dryness under reduced pressure. The residue was dissolved in EtOAc (200 mL) and washed with water and brine. The organic layer was separated, dried over anhydrous Na2S04 and filtered. The filtrate was concentrated in vacuo to give a residue. The residue was purified by a silica gel column (PE/EA = 10: 1 to 2: 1) to give an intermediate (11.8 g, 64%). To an ice-cold solution of the intermediate (11.8 g, 23.7 mmol) in CH2C12 (150 mL) was added a solution of p- toluenesulfonic acid monohydrate (8.2 g, 47.5 mmol) in small portion under N2. The mixture was stirred at 25°C for 30 min, and then washed with saturated aq. NaHC03. The organic layer was separated, dried over anhydrous Na2S04 and filtered. The filtrate was concentrated in vacuum to give a residue, which was purified by silica gel (PE/EA = 10:1 to 1 :1) to give 78-2 (6.7 g, 74%) as a solid.
[0480] To a solution of 78-2 (6.7 g, 17.5 mmol) in anhydrous pyridine (50 mL) was added TMSC1 (2.8 g, 26.2 mmol) in small portions at 0°C under N2. The reaction mixture was stirred at 25°C overnight. AgN03 (77.8 g, 510 mmol) and MMTrCl (156.8 g, 510 mmol) in anhydrous pyridine (50 mL) was added in small portions under N2. The reaction mixture was stirred at 25°C overnight. Ammonia (30 mL) was added, and the reaction mixture was stirred for 30 min. The mixture was filtered through a Buchner funnel, and the filtrate was washed with saturated NaHC03 solution and brine. The organic layer was separated, dried over anhydrous Na2S04, filtered and concentrated. Chromatography on silica gel (PE:EA = 10: 1 to 2: 1) gave an amine protected derivative (6.1 g, 53%). To a solution of pyridine (142 mg, 1.8 mmol) in anhydrous DMSO (2 mL) at 0°C was added TFA (1.3 mg, 0.9 mmol) dropwise. The mixture was stirred at 25°C until a clear solution formed. The solution was then added into a solution of the amine protected derivative (1.0 g, 1.5 mmol) and DCC (0.95 g, 4.6 mmol) in anhydrous DMSO at 0°C dropwise. Stirring was continued at 25°C for 10 h. Water (10 mL) was added, and the mixture was stirred at 25°C for 1 h. The precipitate was removed by filtration, and the filtrate was extracted with EtOAc (20 mL). The organic layer was washed with brine (20 mL) and then dried over Na2S04. The solvent was removed, and the residue was purified on a silica gel column (EA:PE = 10: 1 to 2: 1) to give the aldehyde derivative (850 mg, 85%). To a solution of the aldehyde derivative (2.6 g, 4.0 mmol) in 1 ,4-dioxane (30 mL) was added 37% CH20 (1.3 g, 16.0 mmol) and 2N NaOH aqueous solution (3.0 mL, 6.0 mmol). The mixture was stirred at 25°C for 2 h and then neutralized with AcOH to pH=7. To the reaction were added EtOH (10 mL) and NaBH4 (912 mg, 24.0 mmol). The reaction was stirred for 30 mins, and then quenched with saturated aqueous NH4C1. The mixture was extracted with EA, and the organic layer was dried over Na2S04. Purification by silica gel column chromatography (EA: PE = 10: 1 to 2: 1) gave 78-3 (1.1 g, 40%) as a yellow solid.
[0481] A stirred solution of 78-3 (685 mg, 1.0 mmol) in anhydrous CH3CN (5 mL) and anhydrous pyridine (5 mL) was cooled to 0°C. BzCl (126 mg, 0.9 mmol) was added, and the reaction mixture was stirred at 25°C. After 1.5 h, water (5 mL) was added. The resulting mixture was extracted with DCM (2x30 mL). The combined extracts were washed with a saturated aqueous solution of NaHC03 (20 mL), dried over MgS04, and evaporated under reduced pressure. The residue was purified by silica gel column chromatography (DCM: MeOH = 200: 1 to 50: 1) to give the Bz-protected derivative (679 mg, 86%). To a stirred solution of Bz-protected derivative (432 mg, 0.55 mmol) in anhydrous DMF (5 mL) was added imidazole (258 mg, 3.85 mmol) and TBSC1 (240.0 mg, 1.65mmol). The mixture was stirred for 15 h. Water (10 mL) was added, and the mixture was extracted with EA. The combined extracts were washed with aqueous solution of NaHC03 (60 mL) and brine (60 mL), dried over MgS04, and evaporated under reduced pressure to give the two-TBS protected derivative (680 mg, 137 %). The two-TBS protected derivative (680 mg, 0.75 mmol) was dissolved in anhydrous CH3OH (5 mL), and NaOCH3 (162 mg, 3.0 mmol) was added. The reaction mixture was stirred at 35°C for 2 h. The reaction was quenched with 80 % AcOH (3 mL) and extracted with DCM (2x50 mL). The combined extracts were washed with aqueous solution of NaHC03 (20 mL), dried over MgS04, and evaporated under reduced pressure. The residue was purified by silica gel column chromatography (EA: PE = 20: 1 to 3 : 1) to give 78-4 (239 mg, 40%) as a white foam.
[0482] Compound 78-4 (239 mg, 0.30 mmol) was co-evaporated with toluene three times to remove H20. To a solution of 78-4 in DCM (5 mL) was added DMAP (182 mg, 1.50 mmol) and TfCl (69 mg, 0.45 mmol) at 0°C under N2. The mixture was stirred 0°C for 40 mins. Completion of the reaction was determined by LCMS. The mixture was concentrated to give the crude Tf-derivative (353 mg). To a solution of the Tf-derivative in DMF (5 mL) was added LiCl (31 mg, 0.76 mmol) at 0°C under N2. The mixture was stirred at 25°C for 40 mins. The mixture was washed with NaHC03 and extracted with EA. The combined organic layer was dried over Na2S04 and concentrated to give crude 78-5 (268 mg) as a light yellow oil.
[0483] To a solution of 78-5 (268 mg, 0.328 mmol) in MeOH (5 mL) was added NH4F (37 mg, 0.984 mmol) at 25°C for 4 h. The solution was filtered and evaporated to dryness. The residue was dissolved in HCOOH (20 mL) and H20 (4 mL) at 25°C. The mixture was stirred at 25°C for 1 h and concentrated. The mixture was dissolved in MeCN and purified by prep-HPLC to give 78a (32 mg) as a white solid. ESI-MS: m/z 317.9 [M+H]+.
EXAMPLE 76
Preparation of Compound 79a
Figure imgf000247_0001
78-4 79-1 79-2
Figure imgf000247_0002
79-3 79a
[0484] To a solution of 78-4 (1.1 g, 1.33 mmol) in anhydrous DCM (6.6 mL) at 0°C under nitrogen was added Dess-Martin periodinane (1.45 g, 3.33 mol). The mixture was stirred at 25°C for 4 h. The solvent was removed in vacuum, and the residue triturated with methyl-t-butyl ether (30 mL). The mixture was filtered through a pad of MgS04, and the organic solvent was stirred with an equal volume of Na2S203 in 30 mL of saturated NaHC03 until the organic layer became clear (approx. 10 min). The organic layer was separated, washed with brine, and dried over MgS04. Prior to removing the solvent in vacuum, the residue was purified on a silica gel column (PE: EA= 7: 1) to give 79-1 (750 mg, 75%) as a white solid.
[0485] To a stirred solution of methyl-triphenyl-phosphonium bromide (1.74 g, 4.89 mmol) in anhydrous THF (8 mL) was added «-BuLi (1.91 mL, 4.89 mmol, 2.5 M in THF) at -78°C dropwise. The mixture was stirred at 0°C for 1 h. 79-1 (750 mg, 0.81 mmol) was added, and the mixture stirred at 25°C overnight. The reaction was quenched with saturated NH4C1 (30 mL), and extracted with EtOAc (2x30 mL). The combined organic phase was washed with brine, dried with MgS04, filtered and evaporated to dryness to give a light white solid. The solid was purified by column chromatography (PE: EA = 5:1) to give 79-2 (440 mg, 60%).
[0486] To a solution of 79-2 (440 mg, 0.48 mmol) in MeOH (8 mL) was added Pd/C (500 mg, 10%) at R.T. under hydrogen atmosphere. The mixture was stirred at R.T. for 1.5 h. The mixture was filtered, and the filtrate was concentrated to dryness. Crude 79-3
(365 mg, 83%) was used for the next step without further purification.
[0487] 79-3 (365 mg, 0.40 mmol) in MeOH (50 mL) was added NH4F (5.6 g,
0.15 mmol), and the solution was heated to refluxed overnight. Completion of the reaction was determined by LCMS. The mixture was filtered, and the filtrate was concentrated to dryness. The residue was purified on a silica gel column (PE: EA = 3: 1) to give the amine protected derivative (173 mg, 77%) as a white solid. The amine protected derivative (100 mg, 0.18 mmol) in formic acid (4.4 mL) was stirred at 25°C overnight. The solution was concentration to dryness, and the residue was purified on a silica gel column (PE: EA = 1 :3) to give 79a (40 mg, 90%) as a white solid. ESI-MS: m/z 297.9 [M+H]+.
EXAMPLE 77
Preparation of Compound 80a
Figure imgf000248_0001
80-3 80a
[0488] To a solution of 78-3 (4.4 g, 6.4 mmol) in anhydrous pyridine (5 mL) and DCM ( 25 mL). A solution of DMTrCl (2.37 g, 7.04 mmol) in DCM (5 mL) was added dropwise at 0°C under N2. After 2 h, the reaction was quenched with CH3OH and concentrated to dryness. The residue was purified on a column of silica gel (PE: EA = 100: 1 to 2: 1) to obtain the DMTr protected derivative (4.3 g, 68%). The DMTr protected derivative (2.2 g, 2.5 mmol) in 1M TBAF (2.5 mL) of THF (2.5 mL) solution was stirred at 25°C for 3 h. The solvent was removed in vacuum, and the residue was purified by column chromatography (PE/EA= 50:1 to 1 :2) to give the diol derivative (1.86 g, 96%). To a solution of the diol derivative (1.3 g, 1.5 mmol) in anhydrous THF (5 mL) was added NaH (132 mg, 3.3 mmol) at 0°C. The mixture was stirred for 1 h, and TBI (276 mg, 0.75 mmol), and BnBr (558 mg, 3.3 mmol) was added. The mixture was stirred for 10 h at 25°C. The reaction was quenched with water, and the solvent was evaporated. The mixture was extracted with EA and brine. The organic layer was dried over Na2S04, and evaporated to afford the crude product. The product was purified by silica gel (PE/EA = 100: 1 to 3 : 1) to afford 80-1 (1.4 g, 90%) as a white foam.
[0489] To a solution of 80-1 (1.3 g, 1.23 mmol) in anhydrous DCM (17 mL) was added Cl2CHCOOH (1.57 g, 12.3 mmol) at -78°C. The mixture was stirred at -20-10°C for 40 mins. The reaction was quenched with saturated NaHC03, and diluted with DCM (50 mL). The mixture was washed with brine, and the organic solution was dried over Na2S04 and concentrated in vacuum. The residue was purified on a silica gel column (PE/EA = 100: 1 to 1 : 1) to give 80-2 (652 mg, 70%) as a white foam.
[0490] Preparation of (80-3): To a solution of 80-2 (630 mg, 0.84 mmol) in anhydrous DCM (5 mL) was added DAST (1.35 g, 8.4 mmol) at -78°C. The mixture was gradually warmed to 0°C. The reaction was quenched with saturated NaHC03. The mixture was diluted with DCM (50 mL) and washed with brine. The organic solution was dried over Na2S04 and concentrated in vacuum. The residue was purified on a silica gel column (PE/EA = 100: 1 to 2: 1) to give 80-3 as a white solid (302 mg, 48%).
[0491] A mixture of 80-3 (210 mg, 0.28 mmol) and Pd(OH)2 (200 mg) in methanol (3 mL) was stirred at 0°C at 40 psi H2 for 20 h. Pd(OH)2 was filtered off, and the filtrate was concentrated to dryness. The residue was purified by column (DCM/MeOH = 10: 1) to give 80a (12 mg). ESI-MS: m/z 302.0 [M+H] +.
EXAMPLE 78
Preparation of Compound 81a
Figure imgf000250_0001
[0492] To a solution of 81-1 (20.0 g, 70.2 mmol) in anhydrous pyridine (200 mL) was added imidazole (19.1 g, 280 mmol) and TBSC1 (42.1 g, 281 mmol) at 25°C. The solution was stirred at 25°C for 15 h, and then concentrated to dryness under reduced pressure. The residue was dissolved in EtOAc and then filtered. The filtrate was concentrated to dryness to give the TBS protected derivative (36.4 g, 99%). The TBS protected derivative (36.5 g, 71.1 mmol) was dissolved in THF (150 mL). H20 (100 mL), and then AcOH (300 mL) were added. The solution was stirred at 80°C for 13 h. The reaction was cooled to R.T., and then concentrated to dryness under reduced pressure to give 81-2 (31.2 g, 61%) as a white solid.
[0493] To a solution of 81-2 (31.2 g, 78.2 mmol) in anhydrous pyridine (300 mL) was added Ac20 (11.9 g, 117.3 mmol). The mixture was stirred at 25°C for 18 h. MMTrCl (72.3 g, 234.6 mmol) and AgN03 (39.9 g, 234.6 mmol) were added, and the solution was stirred at 25°C for 15 h. H20 was added to quench the reaction and the solution was concentrated to dryness under reduced pressure. The residue was dissolved in EtOAc and washed with water. The organic layer was dried over Na2S04 and filtered. The filtrate was concentrated in vacuum to give a residue, which was purified by silica gel (DCM:MeOH = 200: 1 to 50: 1) to give the MMTr protected amine derivative (35.2 g, 63%). The MMTr protected amine derivative (35.2 g, 49.3 mmol) was dissolved in NH3/MeOH (300 mL). The mixture was stirred at 25°C for 20 h. The solution was evaporated to dryness, and purified by a silica gel column (DCM: MeOH = 100: 1 to 50: 1) to give 81-3 as a yellow solid (28.6 g, 87%).
[0494] To a solution of 81-3 (12.0 g, 17.9 mmol) in anhydrous DCM (200 mL) was added Dess-Martin periodinane (1 1.3 g, 26.8 mmol) at 0°C. The mixture was stirred at 0°C for 2 h, and then at R.T. for 2 h. The mixture was quenched with a saturated NaHC03 and Na2S203 solution. The organic layer was washed with brine (2X) and dried over anhydrous Na2S04. The solvent was evaporated to give the aldehyde (12.6 g), which was used directly in the next step. To a solution of the aldehyde (12.6 g, 18.0 mmol) in 1,4- dioxane (120 mL) was added 37% HCHO (1 1.6 g, 144 mmol) and 2N NaOH aqueous solution (13.5 mL, 27 mmol). The mixture was stirred at 25°C overnight. EtOH (60 mL) and NaBH4 (10.9 g, 288 mmol) were added, and the reaction was stirred for 30 mins. The mixture was quenched with saturated aqueous NH4C1, and then extracted with EA. The organic layer was dried over Na2S04, and purified by silica gel column chromatography (DCM: MeOH = 200: 1 to 50: 1) to give 81-4 (7.5g, 59%) as a yellow solid.
[0495] To a solution of 81-4 (3.8 g, 5.4 mmol) in DCM (40 mL) was added pyridine (10 mL) and DMTrCl (1.8 g, 5.4 mmol) at 0°C. The solution was stirred at 25°C for 1 h. MeOH (15 mL) was added, and the solution was concentrated. The residue was purified by silica gel column chromatography (DCM: MeOH = 200: 1 to 50: 1) to give the MMTr protected derivative (3.6 g, 66%) as a yellow solid. To a solution of the MMTr protected derivative (3.6 g, 3.6 mmol) in anhydrous pyridine (30 mL) was added TBDPSC1 (2.96 g, 10.8 mmol) and AgN03 (1.84 g, 10.8 mmol). The mixture was stirred at 25°C for 15 h. The mixture was filtered and concentrated. The mixture was dissolved in EtOAc and washed with brine. The organic layer was dried over Na2S04., and then purified by silica gel column chromatography (DCM: MeOH = 200: 1 to 50: 1) to give the TBDPS protected derivative (3.8 g, 85.1%) as a solid. To a solution of the TBDPS protected derivative (3.6 g, 2.9 mmol) in anhydrous DCM (50 mL) was added Cl2CHCOOH (1.8 mL) in anhydrous DCM (18 mL). The mixture was stirred at -78°C for 1 h. Cl2CHCOOH (3.6 mL) was added at -78°C. The mixture was stirred at -10°C for 30 mins. The mixture was quenched with saturated aqueous NaHC03 and extracted with DCM. The organic layer was dried over Na2S04, and then purified by silica gel column chromatography (DCM: MeOH = 200: 1 to 50: 1) to give 81-5 (2.2 g, 80%).
[0496] To an ice cooled solution of 81-5 (800 mg, 0.85 mmol) in anhydrous DCM (20 mL) was added pyridine (336 mg, 4.25 mmol) and Tf20 (360 mg, 1.28 mmol) dropwise. The reaction mixture was stirred at 0°C for 15 mins. The reaction was quenched by ice water and stirred for 30 mins. The mixture was extracted with EtOAc, washed with brine (50 mL) and dried over MgS04. The solvent was evaporated to give the crude bis(triflate) derivative. To the bis(triflate) derivative (790 mg, 0.73 mmol) in anhydrous DMF (35 mL) was added LiCl (302 mg, 7.19 mmol). The mixture was heated to 40°C and stirred overnight. Completion of the reaction was determined by LCMS. The solution was washed with brine and extracted with EtOAc. The combined organic layers were dried over MgS04, and the residue was purified on a silica gel column (DCM/MeOH = 100: 1) to give 81-6 (430 mg, 61%).
[0497] To 81-6 (470 mg, 0.49 mmol) in MeOH (85 mL) was added NH4F (8.1 g, 5.92 mmol), and the solution was heated to reflux overnight. The mixture was filtered, and the filtrate was concentrated to dryness. The residue was purified on a silica gel column (DCM/MeOH = 20: 1) to give the diol (250 mg, 84%) as a white solid. The diol (130 mg, 0.21 mmol) in formic acid (5 mL) was stirred at 25°C overnight. The solution was concentration to dryness, and the residue in MeOH (30 mL) was stirred at 70°C overnight. Completion of the reaction was determined by LCMS and HPLC. The solvent was removed, and the crude product was washed with EtOAc to give 81a (58 mg, 81%) as a white solid. ESI-MS: m/z 333.8 [M+H]+, 666.6 [2M+H]+
EXAMPLE 79
Preparation of Compound 82a
Figure imgf000253_0001
82-3
[0498] To a solution of 81-4 (310 mg, 0.33 mmol) in anhydrous DCM (10 mL) was added pyridine (130 mg, 1.65 mmol) and Tf20 (139 mg, 0.49 mmol) diluted by DCM dropwise at 0°C. The mixture was stirred at 0°C for 15 mins. The reaction was quenched with ice cold water. The organic layer was separated and washed with brine. The organic layer was dried over Na2S04 and evaporated to give to give the triflate derivative (420mg crude), which was used directly in the next step. To a solution of the triflate derivative (420 mg crude) in anhydrous pentan-2-one was added Nal (396 mg, 2.64 mmol). The mixture was stirred at 40°C for 3 h, and then dissolved with EtOAc. The organic layer were washed with Na2S203 twice and washed with brine. The organic layer was dried over Na2S04 and evaporated to give a residue. The residue was purified by a column (DCM: MeOH = 300: 1 to 100: 1) to give 82-1 (195 mg, 56% for two steps).
[0499] To a solution of 82-1 (650 mg, 0.62 mmol) in MeOH (10 mL) was added NH4F (45.8 g, 12.4 mmol). The mixture was refluxed overnight. The mixture was filtered and evaporated to dryness. The residue was purified on a silica gel column (DCM/MeOH = 200: 1 to 20: 1) to give 82-2 (250 mg, 58%).
[0500] To a stirred solution of 82-2 (300 mg, 0.43 mmol), Et3N (217 mg, 2.15 mmol) in anhydrous MeOH (10 mL) was added 10% Pd/C (50 mg). The mixture was stirred in a hydrogenation apparatus (30 psi hydrogen) at .T. overnight. The catalyst was filtrated off, and the filtrate was evaporated to give a residue. The residue was purified on a silica gel column (DCM/MeOH = 200: 1 to 20:1) to afford 82-3 as a white solid (180 mg, 73%). [0501] Compound 82-3 (110 mg, 0.19 mmol) was dissolved in HCOOH (18 g) and H20 (6 g) at 25°C, and stirred for 1 h. The solution was evaporated to dryness, dissolved in MeOH (30 mL). The mixture was stirred at 60°C for 12 h. The solution was evaporated to dryness, and dissolved in EtOAc (50 mL). The mixture was stirred at 60°C for 1 h. The mixture was filtered and washed with EtOAc to give 82a as a white solid (45.3 mg, 80%).
ESI-MS: m/z 299.76 [M+l]+, 598.66 [2M+1]+.
EXAMPLE 80
Preparation of Compound 83a
Figure imgf000254_0001
[0502] Compound 81-1 (5.7 g. 20 mmol) was co-evaporated with pyridine three times, and then dissolved in pyridine (20 mL). The mixture was cooled to 0°C and Ac20 (5.8 mL, 60 mmol) was added dropwise. The mixture was stirred at 25°C for 10 h, and then cooled to 0°C. AgN03 (8.5 g, 50 mmol), and then MMTrCl (15.5 g, 50 mmol) were added in portions. The mixture was stirred at 25°C for 10 h. The reaction was quenched with saturated NaHC03 and extracted with EA. The organic layer was dried over Na2S04 and concentrated. The residue was purified by silica gel column chromatography (DCM/MeOH = 100: 1 to 50: 1) to afford the Ac protected derivative (12.1 g, 93%) as a light yellow solid. The Ac protected derivative (12.1 g) was dissolved in methanolic NH3 (saturated). The mixture was stirred at 25°C for 14 h. The solvent was removed, and the residue was purified on a silica gel column (DCM/MeOH = 80: 1 to 30: 1) to give 83-1 (9.2 g, 87%).
[0503] To a stirred solution of 83-1 (9.2 g, 16.5 mmol) in dry THF (300 mL) was added imidazole (9.0 g, 132 mmol) and PPh3 (34.8 g, 132 mmol). A solution of I2 (26.0 g, 103 mmol) in THF (100 mL) was added dropwise under N2 at 0°C. The mixture was stirred at 25°C for 18 h and then quenched with a Na2S203 solution. The mixture was extracted with EtOAc. The organic layer was dried over Na2S04 and concentrated. The residue was purified on a silica gel column (DCM/MeOH = 80: 1 to 30: 1) to give the iodide derivative (10.3 g, 93%) as a light yellow solid. To a stirred solution of the iodide derivative (10.2 g, 15.3 mmol) in dry THF (300 mL) was added DBU (4.7 g, 30.1 mmol). The mixture was stirred at 60°C for 8 h. The solution was diluted with a NaHC03 solution and extracted with EtOAc. The organic layer was dried over a2S04 and concentrated. The residue was purified on a silica gel column (PE/EtOAc= 3: 1 to 1 :3) to afford 83-2 (6.2 g, yield 76%).
[0504] To a stirred solution of 83-2 (5.42 g, 10 mmol) in anhydrous CH3OH (100 mL) was added PbC03 (13.7 g, 53.1 mmol). A solution of I2 (12.3 g, 48.9 mmol) in CH3OH (300 mL) was added dropwise at 0°C. The mixture was stirred at 25°C for 10 h. The solution was quenched with a Na2S203 solution and extracted with DCM. The organic layer was washed with a NaHC03 solution, dried over Na2S04 and concentrated to give a residue. The residue was purified by HPLC (0.1% HCOOH in water and MeCN) to give the desired methoxyl derivative (2.4 g, 34%). To a stirred solution of the methoxyl derivative (2.4 g, 3.4 mmol) in dry pyridine (20 mL) was added BzCl (723 mg, 5.2 mmol) dropwise at 0°C. The mixture was stirred at 0°C for 1 h. The solution was quenched with a NaHC03 solution and extracted with EtOAc. The organic layer was dried over Na2S04 and concentrated. Purified by a silica gel column (PE/EtOAc = 5: 1 to 1 : 1) afforded 83-3 (2.1 g, 77%) as a white solid.
[0505] Compound 83-3 (2.0 g, 2.5 mmol), BzONa (3.6 g, 25 mmol) and 15- crown-5 (5.5 g, 25 mmol) were suspended in DMF (50 mL). The mixture was stirred at 1 10- 125°C for 5 days. The precipitate was removed by filtration, and the filtrate was diluted with EA. The solution was washed with brine and dried over Na2S04. The solvent was removed, and the residue was purified on a silica gel column (PE/EA = 10/1 to 2/1) to afford the crude Bz protected derivative (1.6 g, 80%). The Bz protected derivative (1.6 g, 2.0 mmol) was dissolved in methanolic ammonia (100 mL), and the mixture was stirred at 25°C for 20 h. The solvent was removed, and the residue was purified by a silica gel column (DCM/MeOH = 100: 1 to 20: 1) to the diol derivative as a white solid (410 mg, 35%). The diol derivative (200 mg, 0.34 mmol) was dissolved in HCOOH (24 g) and H20 (6 g) at 25°C, and the mixture was stirred at 25°C for 1 h. The solution was evaporated to dryness, and dissolved in MeOH (30 mL). The mixture was stirred at 60°C for 12 h. The solution was evaporated to dryness and dissolved in EtOAc (50 mL). The mixture was stirred at 60°C for 1 h. The mixture was then filtered and washed with EtOAc to give 83a as a white solid (46.1 mg, 43%). ESI-MS: m/z 316.1 [M+H]+.
EXAMPLE 81
Preparation of Compound 84a
Figure imgf000256_0001
84-9 84-10 84a
[0506] To a stirred solution of 84-1 (100.0 g, 265.9 mmol) in dry THF (1000 mL) was added Li(0-/-Bu)3AlH (318.9 mL, 318.9 mmol) at -78°C under N2. The mixture was stirred at -78°C for 1 h and then at R.T for 1 h. The reaction mixture was cooled to -50°C and quenched with ice and a saturated NH4C1 solution. The mixture was extracted with EtOAc. The organic layer was dried over a2S04 and concentrated to afford the Y-OH derivative (100.5 g) as a white solid. To a stirred solution of the Y-OH derivative (100.5 g, 265.9 mmol) in dry DCM (600 mL), NEt3 (110 mL) and MsCl (45.5 g, 298.0 mmol) were added dropwise at 0°C. The mixture was stirred at R.T. for 2 h. The mixture was quenched with ice water at 0°C and extracted with DCM. The organic layer was dried over Na2S04, concentrated and purified on a silica gel column (PE: EA = 50: 1 to 5: 1) to afford 84-2 (113.4 g, yield: 93.9%) as a white solid. [0507] To a suspension of compound 6-chloro-9H-purin-2-amine (70.1 g, 414.7 mmol), HMDS (480 mL) and (NH4)2S04 (0.8 g) was added dry DCE (400 mL). The mixture was refluxed under N2 for 18 h and then cooled to R.T. To the silylated 2-amino-6- chloropurine solution was added 84-2 (78.0 g, 171.1mmol) and TMSOTf (60 mL, 331.9 mmol). The mixture was refluxed overnight, concentrated and neutralized with a NaHC03 solution. The resulting precipitate was filtered, and the filtrate was extracted with EtOAc. The organic layer was dried over Na2S04 and concentrated. Chromatography on a silica gel column (PE: EA = 5: 1 to 2: 1) gave 84-3 (10.8 g, yield: 1 1.9%) as a light yellow solid.
[0508] To a suspension of 84-3 (30.0 g, 56.6 mmol) in DCM (300 mL) were added MMTrCl (34.9 g, 1 13.2 mmol) and AgN03 (19.3 g, 1 13.2 mmol). The reaction mixture was cooled to 0°C, and collidine (18.0 g, 150 mmol) was added. The resulting suspension was stirred at R.T. for 12 h. The suspension was filtered. The filtrate was extracted with DCM and washed with a NaHC03 solution. The organic layer was dried over Na2S04 and concentrated. Purification by a silica gel column (PE: EA = 20: 1 to 3 : 1) to give 84-4 (35.0 g, yield: 77.9%) as a light yellow solid. ESI-MS: m/z 802 [M+H]+.
[0509] To a stirred solution of 84-4 (35.0 g, 43.6 mmol) in dry MeOH (400 mL) was added NaOMe (23.5 g, 436 mmol) and 2-mercapto-ethanol (30.6 g, 392.4 mmol). The mixture was refluxed overnight. The pH was adjusted to 9-10 with C02. The precipitate was filtered, and the filtrate was concentrated. Purification on a silica gel column (PE: EA = 10: 1 to 1 : 1) gave pure 84-5 (24.0 g, yield 95.7%) as a light yellow solid.
[0510] To a solution of 84-5 (24.0 g, 41.7 mmol) in pyridine (250 mL) was added DMTrCl (28.2 g, 83.5 mmol) at 0°C. The solution was stirred at R.T. for 15 h. MeOH (50 mL) was added, and the mixture was concentrated to dryness under reduced pressure. The residue was dissolved in EtOAc and washed with water. The organic layer was dried over Na2S04, filtered, concentrated and purified by a silica gel column (DCM: MeOH = 200: 1 to 50: 1) to give a first intermediate (27.6 g) as a yellow solid. To a solution of the first intermediate (27.6 g, 31.5 mmol) in DCM (200 mL) was added imidazole (4.3 g, 63 mmol) and TBSC1 (9.5 g, 63 mmol). The mixture was stirred at R.T. for 12 h. The solution was washed with NaHC03 and brine. The organic layer was dried over Na2S04, filtered, concentrated and purified by a silica gel column (DCM: MeOH = 200: 1 to 100: 1) to give a second intermediate (30.2 g) as a yellow solid. To a solution of the second intermediate (30.2 g, 30.4 mmol) in anhydrous DCM (50 mL) was added Cl2CHCOOH (20 ml) in anhydrous DCM (500 mL). The mixture was stirred at -78°C for 1 h. Cl2CHCOOH (30 mL) was added at -78°C. The mixture was stirred at -20°C for 2 h. The mixture was quenched with saturated aqueous NaHC03 and extracted with DCM. The organic layer was dried over Na2S04, and then purified by a silica gel column (DCM: MeOH = 200: 1 to 30: 1) to give 84-6 (18.0 g, 62.5%) as a white solid. ESI-LCMS: m/z 690.0 [M+H]+.
[0511] Compound 84-6 (7.0 g, 10.0 mmol) was added to a suspension of DMP (10.6 g, 25 mmol) in anhydrous CH2C12 (100 mL) at 0°C. The mixture was stirred at 25°C for 2 h. The solvent was removed in vacuo, and the residue triturated with diethyl ether (100 mL). The mixture was filtered through a pad of MgS04. The organic solvent was stirred with an equal volume of Na2S203.5H20 in 100 mL of saturated NaHC03 until the organic layer became clear (10 min). The organic layer was separated, washed with brine, and dried over MgS04. The solvent was removed in vacuo to give a third intermediate as a red solid (6.5 g, 95%). To a solution of the third intermediate (6.5 g, 9.5 mmol) in 1 ,4-dioxane (80 mL) was added 37% CH20 (6.0 mL, 60 mmol) and 2N NaOH aqueous solution (9.5 mL, 19 mmol). The mixture was stirred at 25°C for 2 h and then neutralized with AcOH to pH 7. EtOH (30 mL) and NaBH4 (3.8 g, 100 mmol) were added, and the mixture was stirred for 30 mins. The mixture was quenched with saturated aqueous NH4C1, and then extracted with EA. The organic layer was dried over Na2S04. Purification by a silica gel column (DCM: MeOH = 200: 1 to 30: 1) gave 84-7 (4.2 g, 58.3%) as a yellow solid.
[0512] To a solution of 84-7 (4.2 g, 5.8 mmol) in DCM (50 mL) was added pyridine (5 mL) and DMTrCl (1.9 g, 5.8 mmol) at -20°C. The solution was stirred at 0°C for 2 h. The reaction mixture was treated with MeOH (15 mL), and then concentrated. The residue was purified by a silica gel column (DCM: MeOH = 200: 1 to 50: 1) to give the fourth intermediate (1.3 g) as a yellow solid. To a solution of the fourth intermediate (1.3 g, 1.3 mmol) in anhydrous pyridine (15 mL) was added TBDPSC1 (1.1 g, 3.9 mmol) and AgN03 (0.68 g, 4.0 mmol). The mixture was stirred at 25°C for 15 h. The mixture was filtered, concentrated, dissolved in EtOAc and washed with brine. The organic layer was dried over Na2S04. Purification by a silica gel column (DCM: MeOH = 200: 1 to 100: 1) gave a fifth intermediate (1.4 g) as a solid. To a solution of the fifth intermediate (1.4 g, 1.1 mmol) in anhydrous DCM (50 mL) was added Cl2CHCOOH (0.7 ml) in anhydrous DCM (18 mL). The mixture was stirred at -78°C for 1 h. Cl2CHCOOH (1.5 ml) was added at -78°C, and the mixture was stirred at -20°C for 1.5 h. The mixture was quenched with saturated aqueous NaHC03 and extracted with DCM. The organic layer was dried over Na2S04. Purification by a silica gel column (DCM: MeOH = 200: 1 to 50: 1) gave 84-8 (650 mg, 1 1.6%) as a white solid.
[0513] To a solution of pyridine (521 mg, 6.59 mmol) in anhydrous DMSO (5 mL) was added TFA (636 mg, 5.58 mmol) dropwise at 10°C under N2. The mixture was stirred until a clear solution formed. To this solution (0.8 mL) was added a mixture of 84-8 (650 mg, 0.68 mmol) and DCC (410 mg, 2.0 mmol) in anhydrous DMSO (5 mL) at R.T. under N2. The mixture was stirred at 20 °C overnight. Water (30 mL) was added. The mixture was diluted with DCM (30 mL) and filtered. The filtrate was extracted with DCM. The organic layers were washed with saturated aqueous NaHC03, dried over Na2S04 and concentrated in vacuo. The crude product was purified on a silica gel column (PE: EA = 10: 1 to 1 : 1) to give the sixth intermediate (600 mg) as a yellow solid. To a stirred solution of Methyl-triphenyl-phosphonium bromide (714 mg, 2.0 mmol) in anhydrous THF (5 mL) was added n-BuLi (0.8 mL, 2.0 mmol, 2.5 M in THF) at -78°C dropwise over 1 min. Stirring was continued at 0 °C for 1 h. The sixth intermediate (600 mg, 0.63 mmol) was added to the mixture, and the mixture was stirred at 25°C for 15 h. The reaction was quenched with saturated NH4C1 (20 mL) and extracted with EtOAc. The combined organic phase was dried with Na2S04, filtered and evaporated to dryness to give a light yellow oil. The oil was purified by column chromatography (DCM: MeOH = 200: 1 to 50: 1) to give 84-9 (250 mg, 38.5%) as a yellow solid.
[0514] Compound 84-9 (250 mg, 0.26 mmol) was dissolved in THF (5.0 mL). TBAF (131 mg, 0.5 mmol) was added at 20°C, and stirring was continued for 2 h. The solution was evaporated to dryness. The residue was dissolved in EA (50 mL) and washed with water (2X). The solution was evaporated to dryness, and purified by a silica gel column (PE: EA = 10: 1 to 1 :2) to give 84-10 (57.6 mg, 36.9%) as a white solid. ESI-LCMS: m/z 602.0 [M+H]+. [0515] A solution of 84-10 (27 mg) in 1.5 mL of 80% formic acid stood at .T. for 4.5 h and then concentrated to dryness. The residue was mixed with water and lyophilized. MeOH (1.5 mL) and TEA (0.1 mL) were added, and the mixture was concentrated. The precipitate from MeOH and EtOAc was filtered and washed with EtOAc to give 84a (9.3 mg) as a slightly-amber solid. ESI-MS: m/z 328.4 [M-H]".
EXAMPLE 82
Preparation of Compound 85a
Figure imgf000260_0001
[0516] A mixture of 85-1 (200 mg; 0.22 mmol) in pyridine (2.5 mL) and isobutyric anhydride (44 μί; 1.2 equiv) was stirred R.T. overnight. The mixture was concentrated, and the residue partitioned between EtOAc (50 mL) and water. The organic layer was washed with IN citric acid, water, saturated aqueous NaHC03 and brine. The mixture was dried with Na2S04. The solvent was evaporated and the residue was purified on a silica column (10 g column) using hexanes/EtOAc (30 to 100% gradient) to give 85-2 (0.16 g, 75%).
[0517] A solution of 85-2 (0.16 g; 0.16 mmol) in 80% aq. HCOOH (5 mL) was stirred at R.T. for 3 h. The solvent was evaporated and then co-evaporated with toluene.
Purification on a silica column (10 g column) with CH2C12 /MeOH (4-10% gradient) gave
85a (43 mg, 74%). MS: m/z = 362.1 [M+l].
EXAMPLE 83
Preparation of Compound 86a
Figure imgf000260_0002
86-1 86-2 86a [0518] Compound 86-2 was prepared using a similar procedure for preparing 85-2 with the following: 86-1 (220 mg; 0.22 mmol), (2.5 mL), isobutyric anhydride (0.13 mL; 3.6 equiv), EtOAc (30 mL), and hexanes/EtOAc (30 to 100% gradient) to give 86-2 (175 mg, 85%).
[0519] Compound 86a was prepared using a similar procedure for preparing 85a with the following: 86-2 (1 17 mg; 0.13 mmol), 80% aq. HCOOH (4 mL) and CH2C12
/MeOH (4-10% gradient) to give 86a (36 mg, 77%). MS: m/z = 364 [M+l].
EXAMPLE 84
Preparation of Compounds 87a
Figure imgf000261_0001
[0520] Compound 87-2 was prepared using a similar procedure for preparing 46-2 with the following: 87-1 (178 mg, 0.3 mmol), hexanoic anhydride (0.14 mL, 2 equiv.), pyridine (3 mL) to give 87-2. (120 mg, 50%).
[0521] Compound 87a was prepared using a similar procedure for preparing 85a with the following: 87-2 (120 mg, 0.15 mmol), 80% aq. HCOOH and CH2C12 /MeOH (4-
10% gradient) to give 87a (62mg, 85%). MS: m/z = 488 [M-l].
EXAMPLE 85
Preparation of Compound 88a
Figure imgf000261_0002
88-2 88a
[0522] Compound 88-2 was prepared using a similar procedure for preparing 85-2 he following: 85-1 (220 mg; 0.24 mmol), pyridine (3 mL), dodecanoyc anhydride (0.12 g; 1.3 equiv), EtOAc (50 mL) and hexanes/EtOAc (25 to 80% gradient) to give 88-2 (0.22 g, 85%).
[0523] Compound 88a was prepared using a similar procedure for preparing 85a with the following: 88-2 (0.19 g; 0.17 mmol), 80% aq. HCOOH (5 mL) and CH2C12 /MeOH
(4-10% gradient) to give 88a (66 mg, 82%). MS: m/z = 474 [M-l].
EXAMPLE 86
Preparation of Compounds 89a and 90a
Figure imgf000262_0001
[0524] To a solution of 89-1 (175 mg; 0.18 mmol) in MeCN (2.5 mL) at 0°C was added TMSBr (0.28 mL; 10 equiv.). The mixture was stirred at R.T. for 1 h, evaporated and treated with water. The obtained white solid was filtered, dried and washed with CH2C12. The white solid was then dissolved in NMP (2 mL) and treated with DIPEA (94 μί; 3 equiv.) and pivaloyloxymethyliodide (84 μΕ; 3 equiv.). The mixture was stirred at R.T. for 1 day, and then partitioned between water (20 mL) and tert-butyl methyl ether (TBME; 60 mL). The organic layer was washed with saturated aqueous NaHC03, water and brine. The combined aqueous washings were back extracted with TBME (2 x 20 mL). The combined organic extract was dried and purified on a silica column (10 g column) with CH2C12 /i-PrOH (2-10% gradient) to give 89-2 (42 mg, 26%).
[0525] A solution of 89-2 in 80% aq. HCOOH was stirred at R.T. for 3 h. The solvent was evaporated and then co-evaporated with toluene. Purification on a silica column (10 g column) with CH2C12 /MeOH (4-15% gradient) gave 89a (17 mg, 74%). MS: m/z = 598 [M+l].
[0526] A mixture of 89a (12 mg; 0.02 mmol) in EtOH (1 mL) and Pd/C (10%; 2.5 mg) was stirred overnight under an atmospheric pressure of hydrogen. The mixture was filtered through a Celite pad. The solvent was evaporated and the product was purified on a silica column (10 g column) with CH2C12 /MeOH (4-17% gradient) to give 90a (6 mg, 50%). MS: m/z = 600 [M+l].
EXAMPLE 87
Preparation of Compound 91a
Figure imgf000263_0001
[0527] To a solution of triethylammonium bis(isopropyloxycarbonyloxymethyl)phosphate (0.33mmol, prepared from 110 mg of bis(POC)phosphate and 0.1 mL of Et3N) in THF (2 mL) was added 86-1 (100 mg; 0.11 mmol), followed by diisopropylethyl amine (0.19 mL; 10 equiv), BOP-C1 (140 mg; 5 equiv) and 3-nitro-l ,2,4-triazole (63 mg; 5 equiv). The mixture was stirred at R.T. for 90 mins., and then diluted with CH2C12 (30 mL). The mixture was washed with saturated aqueous NaHC03 and brine. The mixture was dried with Na2S04. The solvent was evaporated, and the residue was purified on a silica column (10 g column) with hexanes/EtOAc (40-100% gradient) to give 91 -2 (1 17 mg, 90%). [0528] Compound 91a was prepared using a similar procedure for preparing 85a with the following: 91-2 (87 mg; 0.07 mmol), 80% aq. HCOOH (5 mL) and CH2C12 /MeOH
(4-15% gradient) to give 91a (36 mg, 85%). MS: m/z = 606 [M+l].
EXAMPLE 88
Preparation of Compound 92a
Figure imgf000264_0001
[0529] To a solution of triethylammonium bis(POM)phosphate (0. 48 mmol, prepared from 176 mg of bis(POM)phosphate and 0.15 mL of Et3N) in THF (2 mL) was added 92-1 (150 mg; 0.18 mmol) followed by diisopropylethyl amine (0.31 mL; 10 equiv), BOP-C1 (229 mg; 5 equiv), and 3-nitro-l,2,4-triazole (103 mg; 5 equiv). The mixture was stirred at R.T. for 90 mins., and then diluted with CH2CI2 (30 mL). The mixture was washed with saturated aqueous NaHC(¾ and brine. The mixture was dried with Na2S04. The solvent was evaporated, and the residue was purified on a silica column (10 g column) with CH2C12 /i-PrOH (2-10% gradient) to obtain 92-2 (44 mg, 21%) and 92-3 (73 mg, 28%).
[0530] A mixture of 92-2 and 92-3 (73 mg and 44 mg) and 80% aq. HCOOH (3 mL) was heated for 30 mins., at 35°C. The solvent was evaporated and then coevaporated with toluene. The solvent was evaporated, and the residue was purified on a silica column (10 g column) with CH2C12 /MeOH (4-10% gradient) to obtain 92a (40 mg, 75%). MS: m/z = 608 [M+l].
EXAMPLE 89
Preparation of Compound 93a
Figure imgf000265_0001
[0531] Compound 93-2 and 93-3 (68 mg and 80 mg, respectively) were prepared in the same manner from 93-1 (200 mg; 0.23 mmol) and bis(POM) phosphate (230 mg) with DIPEA (0.4 mL), BopCl (290 mg), and 3-nitro-l,2,4-triazole (130 mg) in THF (3 mL) as 92- 2 and 92-3 from 92-1.
[0532] Compound 93-2 and 93-3 (68 mg and 80 mg, respectively) were converted into 93a (42 mg) with formic acid in the same manner as 92a from 92-2 and 92-3. MS: m/z = 620 [M+l]. EXAMPLE 90
Preparation of Compound 94a
Figure imgf000266_0001
[0533] To a solution of 93a (53 mg; 0.09 mmol) in EtOH (2 mL) was added 10% Pd/C (10 mg). The mixture stirred under hydrogen at atmospheric pressure for 1 h. The mixture was filtered through a Celite pad, and the filtrate evaporated. Purification on a silica column (10 g column) with CH2C12 /MeOH (4-11% gradient) yielded 94a (45 mg, 81%). MS: m/z = 622 [M+l].
EXAMPLE 91
Preparation of Compounds 95a and 96a
Figure imgf000266_0002
[0534] To a solution of 5-Amino-2H-[l,2,4]triazin-3-one (180 mg, 1.5 mmol) in HMDS was added a catalytic amount of (NH4)4S04. The mixture was heated to reflux for 5 h. HMDS was evaporated to give a crude product. To a solution of the crude product in anhydrous CH3CN was added 70a (220 mg, 0.5 mmol) and TMSOTf (0.45 mL, 2.5 mmol). The mixture was heated to reflux for 24 h in a sealed tube. The reaction was quenched with NaHC03 and diluted with EA. The organic solvent was removed, and the residue was purified by prep-TLC first, and the by RP-HPLC (0.5% HCOOH in water and MeCN) to give the pure 95-1 (100 mg, 46%).
[0535] To a solution of 95-1 (80 mg, 0.18 mmol) in anhydrous CH3CN was added 1,2,4-triazole (911 mg, 11.7 mmol) and TEA (1.45 g, 14.4 mmol). The mixture was cooled to 0°C and POCl3 was added. The reaction mixture was stirred at 25°C for 24 h. The solvent was evaporated and partitioned with EA and water. The organic layer was concentrated to give the crude 95-2 (80 mg, 90%).
[0536] Compound 95-2 (90 mg, 0.18 mmol) was dissolved in 20 mL of saturated THF ammonia. The resulting solution was stirred at 25°C for 2 h. The solvent was removed, and the residue was purified on a silica gel column (EA: PE = 6: 1) to give 95a as a white solid (70 mg, 70%).
[0537] Compound 95a (70 mg, 0.16 mmol) was dissolved in 20 mL of saturated
MeOH ammonia. The resulting solution was stirred at 25°C for 2 h. The solvent was removed, and the residue was purified by RP-HPLC (0.5% HCOOH in water and MeCN) to give 96a (5 mg, 11%) as a white solid. ESI-TOF-MS: m/z 295.1 [M+H]+.
EXAMPLE 92
Preparation of Compounds 97a-97g
Figure imgf000267_0001
[0538] Dry nucleoside (0.05 mmol) was dissolved in a mixture of DMF (3 mL) and DMA-DMF (0.04 mL, 0.1 mmol). The reaction was kept at ambient temperature for 4 h and then evaporated to dryness. The residue was dissolved in a mixture of PO(OMe)3 (0.7 mL) and pyridine (0.3 mL). The mixture was evaporated in vacuum for 15 min. at 42°C, than cooled down to R.T. N-Methylimidazole (0.009 mL, 0.11 mmol) was added followed by POCI3 (9μ1, 0.1 1 mmol). The mixture was kept at R.T. for 20-40 mins. The reaction was controlled by LCMS and monitored by the appearance of the corresponding nucleoside 5'- monophosphate. After completion of the reaction, tetrabutylammonium salt of pyrophosphate (150 mg) was added, followed by DMF (0.5 mL) to get a homogeneous solution. After 1.5 h at ambient temperature, the reaction was diluted with water (10 mL). The mixture was loaded on the column HiLoad 16/10 with Q Sepharose High Performance, and separation was done in a linear gradient of NaCl from 0 to IN in 50mM TRlS-buffer (pH7.5). The triphosphate (97a-f) was eluted at 75-80%B. The corresponding fractions were concentrated. The residue was dissolved in 5% ammonium hydroxide, kept for 15 min. at R.T. and concentrated. Desalting was achieved by RP HPLC on Synergy 4 micron Hydro-RP column (Phenominex). A linear gradient of methanol from 0 to 30% in 50mM triethylammonium acetate buffer (pH 7.5) was used for elution. The corresponding fractions were combined, concentrated and lyophilized 3 times to remove excess of buffer.
Table 4 - Tri hosphates obtained from Example 92
Figure imgf000268_0001
Figure imgf000269_0001
EXAMPLE 93
Preparation of Compounds 98a-98e and 99a
[0539] Dry nucleoside (0.05 mmol) was dissolved in a mixture of PO(OMe)3 (0.7 mL) and pyridine (0.3 mL). The mixture was evaporated in vacuum for 15 mins. at 42°C, than cooled down to R.T. N-Methylimidazole (0.009 mL, 0.1 1 mmol) was added followed by POCl3 (9μ1, 0.1 1 mmol). The mixture was kept at R.T. for 20-40 mins. The reaction was controlled by LCMS and monitored by the appearance of the corresponding nucleoside 5'- monophosphate. After completion of the reaction, tetrabutylammonium salt of pyrophosphate (150 mg) was added, followed by DMF (0.5 mL) to get a homogeneous solution. After 1.5 h at ambient temperature, the reaction was diluted with water (10 mL) and loaded on the column HiLoad 16/10 with Q Sepharose High Performance. Separation was done in a linear gradient of NaCl from 0 to IN in 50mM TRIS-buffer (pH7.5). The triphosphate (98a-98e) was eluted at 75-80%B. The corresponding fractions were concentrated. Desalting was achieved by RP HPLC on Synergy 4 micron Hydro-RP column (Phenominex). A linear gradient of methanol from 0 to 30% in 50mM triethylammonium acetate buffer (pH 7.5) was used for elution. The corresponding fractions were combined, concentrated and lyophilized 3 times to remove excess of buffer.
Table 5 - Compounds obtained from Example 93
Figure imgf000270_0001
EXAMPLE 94
Preparation of Compound 100a
Figure imgf000271_0001
100-1 100-2 100a
[0540] To an ice-cold solution of 100-1 (22 mg; 0.055 mmol) in acetonitrile (0.5 mL) was added TMSBr (80 μί; 10 equiv.). The resulting mixture was stirred at R.T. for 1 h. The mixture was concentrated, and the residue was partitioned between water and diethyl ether. The aqueous layer was washed with Et20, neutralized with triethylammonium bicarbonate buffer and lyophilized to yield the triethylammonium salt of 100-2.
[0541] Compound 100-2 was rendered anhydrous by coevaporating with pyridine and toluene. Anhydrous 100-2 was dissolved in HMPA (1 mL) and 1,1-carbonyldiimidazole (32 mg; 0.2 mmol) was added. The mixture was stirred at R.T. for 6 h. A solution of tetrabutylammonium pyrophosphate (0.22 g; -0.2 mmol) in DMF (2 mL) was added. The mixture was stirred overnight at R.T. The mixture was diluted with triethylammonium acetate buffer and purified by RP-HPLC with a gradient 0-60% B (A: 50 mM aqueous TEAA, B: 50mM TEAA in MeOH) and repurified by RP-HPLC with a gradient 0-30% B to give 100a. 31P-NMR (D20): δ 3.22 (d, IP), -8.21 (br, 1 P), -22.91 (br, 1 P). MS: m/z = 528 [M-l].
EXAMPLE 95
Preparation of Compound 100b
Figure imgf000271_0002
[0542] Compound 100-4 was prepared from 100-3 (54 mg; 0.13 mmol) in acetonitrile (1.3 mL) with TMSBr (0.18 mL) using a similar procedure as described for the preparation of 100-2. [0543] Compound 100b was prepared from 100-4 in HMPA (2 mL) with CDI (84 mg) and tetrabutylammonium pyrophosphate (0.5 g) in DMF (2 mL) using a similar procedure as described for the preparation of 100a. 31P-NMR (D20): δ 17.90 (d, IP), -9.00
(d, 1 P), -22.91 (t, 1 P). MS: m/z = 530 [M-l].
EXAMPLE 96
Preparation of Compound 100c
Figure imgf000272_0001
[0544] Compound 100-6 was prepared from 100-5 (40 mg; 0.09 mmol) in acetonitrile (1 mL) with TMSBr (0.1 mL) using a similar procedure as described for the preparation of 100-2.
[0545] Compound 100c was prepared from 100-6 in HMPA (1.5 mL) with CDI (50 mg) and tetrabutylammonium pyrophosphate (0.3 g) using a similar procedure as described for the preparation of 100a. 31P-NMR (D20): δ -7.13 (br, IP), -10.14 (d, 1 P), - 22.84 (br, 1 P). 19F-NMR (D20): δ -117.53 (dd, 1 F), -197.8 (m, 1 F). MS: m/z = 545.5 [M- 1]·
EXAMPLE 97
Preparation of Compounds lOOd and lOOe
Figure imgf000272_0002
[0546] To an ice-cold solution of diastereomers 100-7 (35 mg; 0.08 mmol) in acetonitrile (1 mL) was added TMSBr (0.1 mL; 10 equiv.). The resulting mixture was stirred overnight at R.T. and then concentrated. The residue was partitioned between water and CH2CI2. The aqueous layer was washed with CH2CI2, neutralized with triethylammonium bicarbonate buffer and lyophilized to yield the triethylammonium salt of 100-8.
[0547] Compound 100-8 was rendered anhydrous by coevaporating with pyridine and toluene. Anhydrous 100-8 was dissolved in DMF (1.5 mL) and CDI (54 mg; 0.3 mmol) was added. The mixture was stirred at R.T. for 7 h. A solution of tetrabutylammonium pyrophosphate (0.3 g; -0.3 mmol) in DMF (4 mL) was added. The mixture was stirred at R.T for 3 days. The mixture was diluted with triethylammonium acetate buffer. Two consecutive RP-HPLC purifications with a gradient 0-60% B (A: 50 mM aqueous TEAA, B: 50mM TEAA in MeOH) and 0-40% B gave lOOd and lOOe as single diastereomers. lOOd:
31 P-NMR (D20): δ 4.28 (dd, IP), -6.37 (d, 1 P), -22.36 (t, 1 P). MS: m/z = 548.1 [M-l]. lOOe: 31P-NMR (D20): δ 4.13 (dd, IP), -6.38 (d, 1 P), -22.46 (t, 1 P). MS: m/z = 548.1 [M- 1]·
EXAMPLE 98
Preparation of Compound lOla
Figure imgf000273_0001
[0548] To a solution of 59-4 (1.5 g, 2.39 mmol) in anhydrous DCM (100 mL) was added Dess-Martin periodinane (5.2 g, 1 1.95 mmol) at 0°C under nitrogen. The mixture was stirred at .T. for 5 h. The mixture was poured into NaHC03 and Na2S203 aq. Solution. The organic layer was washed with brine, dried over with anhydrous Na2S04, and concentrated to dryness to give the crude 101-1 (1.5 g) as a white solid, which was used for the next step without further purification.
[0549] To a mixture of bromo(isobutyl)triphenylphosphorane (4.8 g, 12.03 mmol) in anhydrous THF (8 mL) was added t-BuOK(1 1.2 mL, 1 1.2 mmol) at 0°C under nitrogen. The mixture was stirred at R.T. for 1 h. A solution of 101-1 (1.0 g, 1.6 mmol) in anhydrous THF (4 mL) was added dropwise at 0°C. The mixture was stirred at R.T. for 3 h. The reaction was quenched with a NH4CI aq. solution and extracted with DCM. The organic layer was dried and concentrated to give a residue, which was purified by silica gel column chromatography (5% EtOAc in PE) to give 101-2 (793 mg, 74.4%) as a white solid.
[0550] To a solution of 101-2 (364 mg, 0.547 mmol) in anhydrous CH3CN (6 mL) were added TPSC1 (414 mg, 1.37 mmol), DMAP (167 mg, 1.37 mmol) and NEt3 (138 mg, 1.37 mmol) at R.T. The mixture was stirred at R.T. for 2 h. NH4OH (6 mL) was added, and the mixture was stirred for another 1 h. The mixture was diluted with DCM and washed with a NaHC03 aq. solution. The organic layer was separated and concentrated to give a residue, which was purified by silica gel column chromatography (2% MeOH in DCM) to give 101-3 (347 mg, 95.0%) as white solid.
[0551] To a solution of 101-3 (347 mg, 0.52 mmol) in MeOH (10 mL) was added NH4F (1.5 g) at R.T. The reaction mixture was refluxed for 12 h, and then filtered. The filtrate was concentrated in vacuo, and the residue was purified by silica gel column chromatography (10% MeOH in DCM) to give 101a (87 mg, 53%) as a white solid. ESI- MS: m/z 626.9 [2M+H]+.
EXAMPLE 99
Preparation of Compound 102a
Figure imgf000275_0001
102-4 102a
[0552] To a solution of 101-2 (1.0 g, 1.5 mmol) in MeOH (20 mL) was added NH4F (6 g) at R.T., and the mixture was refluxed overnight. After cooling to R.T., the mixture was filtered, and the filtrate was concentrated. The residue was purified by silica gel column chromatography (8 % MeOH in DCM) to give 102-1 (400 mg, 85%) as a white solid.
[0553] To a solution of 102-1 (400 mg, 1.27 mmol) in MeOH (10 mL) was added Pd/C (400 mg) at R.T. The mixture was stirred at R.T. under a balloon of ¾ for 1.5 h. The mixture was filtered, and the filtrate was concentrated in vacuo to give 102-2 (400 mg, 99 %) as a white solid.
[0554] To a solution of 102-2 (400 mg, 1.26 mmol) in anhydrous DMF (5 mL) were added imidazole (968 mg, 14.2 mmol), and TBSC1 (1.5 g, 10.0 mmol) at R.T. The mixture was stirred at 50°C overnight. The mixture was diluted with DCM and washed with a NaHC03 aq. solution. The organic layer was dried and concentrated. The residue was purified by silica gel column chromatography (10% EA in PE) to give 102-3 (676 mg, 98 %) as a white solid.
[0555] To a solution of 102-3 (676 mg, 1.24 mmol) in anhydrous CH3CN (6 mL) were added TPSC1 (941 mg, 13.11 mmol), DMAP (379 mg, 3.1 1 mmol) and NEt3 (314 mg, 3.11 mmol) at R.T. The reaction was stirred at R.T. for 3 h. NH4OH (1 mL) was added, and the reaction was stirred for 4 h. The mixture was diluted with DCM and washed with a NaHC03 solution. The organic layer was dried and concentrated. The residue was purified by silica gel column chromatography (2% MeOH in DCM) to give 102-4 (450 mg, 67%) as a white solid.
[0556] To a solution of 102-4 (450 mg, 0.83 mmol) in MeOH (10 mL) was added NH4F (2 g) at R.T. The reaction mixture was refluxed overnight. After cooling to R.T., the mixture was filtered, and the filtrate was concentrated. The residue was purified by silica gel column chromatography (8 % MeOH in DCM) to give 102a (166.6 mg, 64%) as a white solid. ESI-MS: m/z 631.1 [2M+H]+.
EXAMPLE 100
Preparation of Compound 103a
Figure imgf000276_0001
[0557] Compound 103-1 (3.8 g, 6.9 mmol) in 80% AcOH aq. was stirred at 50°C for 4 h. The mixture was concentrated to give a residue, which was purified by silica gel column chromatography (5% MeOH in DCM) to give the uridine derivative (1.5 g, 78.2%) as a white solid. To a solution of the uridine derivative (1.5 g, 5.4 mmol) in Py (10 mL) was added Ac20 (1.38 g, 13.5 mmol) at R.T. The mixture was stirred at R.T. for 12 h. The mixture was concentrated to give a residue, which was purified by silica gel column chromatography (20% EA in PE) to give 103-2 (1.3 g, 68%) as a white solid.
[0558] To a solution of N-(5-fluoro-2-hydroxy-l,2-dihydropyrimidin-4- yl)benzamide (0.5 g, 2.1 mmol) in anhydrous PhCl (5 mL) was added ammonium sulfate (6 mg, 0.043 mmol), followed by HMDS (0.7 g, 4.3 mmol). The mixture was heated to 130°C for 8 h. The mixture was concentrated under vacuum to 2 mL, and then cooled to 0°C. TMSOTf (310 mg, 1.4 mmol) was then added. After stirring for 10 min at 0°C, 103-2 (150 mg, 0.4 mmol) in PhCl (5 mL) was added. The mixture was stirred at 130°C for 10 h. The mixture was concentrated, and the residue was re-dissolved in DCM (10 mL), washed with water (5 mL) and saturated NaHC03. The organic layer was dried over Na2S04, evaporated to dryness and the crude product was purified by silica gel column chromatography (60% PE in EA) to give 103-3 (30 mg, 16%) as a white solid.
[0559] A solution of 103-3 (150 mg, 0.34 mmol) in NH3/MeOH (10 mL) was stirred at R.T. for 3 h. The mixture was concentrated, and the residue was purified by HPLC separation (0.1% HCOOH in water and MeCN) to give 103a (60 mg, 60%) as a white solid. ESI-MS: m/z 613.1 [2M+Na]+.
EXAMPLE 101
Preparation of Compound 104a
Figure imgf000277_0001
103-3 104-1 104a
[0560] Compound 103-3 (150 mg, 0.31 mmol) was dissolved in 80%> aqueous acetic acid (3 mL). The solution was heated to reflux for 2 h. The mixture was cooled to ambient temperature and diluted with water (5 mL), neutralized to pH>7 with saturated NaHC03 and extracted with ΕΛ. The organic layer was dried arid evaporated to dryness. The residue was purified by silica gel column chromatography (50% EA in PE) to give 104-1 (80 mg, 70%) as a white solid.
[0561] Compound 104-1 (80 mg, 0.22 mmol) in saturated NH3/MeOH (10 mL) was stirred at R.T. for 3 h. The mixture was concentrated, and the residue was purified by silica gel column chromatography (5% MeOH in DCM) to give 104a (40 mg, 60%) as a white solid. ESI-MS: m/z 319.1 [M+Na]+. EXAMPLE 102
Preparation of Compound 105a
Figure imgf000278_0001
[0562] To a solution of triethylammonium bis(isopropyloxycarbonyloxymethyl)phosphate (0. 065 mmol, prepared from 22 mg of bis(POC)phosphate and Et3N) in THF was added 105-1 (31 mg; 0.05 mmol). The resulting mixture evaporated, and the residue was rendered anhydrous by coevaporation with pyridine, followed by toluene. The anhydrous evaporated residue was dissolved THF (1 mL) and cooled in an ice-bath. To the solution was added diisopropylethyl amine (35 μί; 4 equiv), followed by BOP-CI (25 mg; 2 equiv) and 3-nitro-l,2,4-triazole (11 mg; 2 equiv). The mixture was stirred at 0°C for 90 min. The mixture was diluted with CH2CI2, washed with saturated aq. NaHC03 and brine, and dried with a2S04. The evaporated residue was purified on silica (10 g column) with a CH2CI2 /i-PrOH solvent system (3-10% gradient) to give 105-2 (13 mg, 28%).
[0563] A solution of 105-2 (13 mg; 0.014 mmol) in 80% aq. HCOOH (2 mL) was stirred at R. T. for 3 h. The mixture was evaporated and then coevaporated with toluene. The product was purified on silica (10 g column) with a CHiC^/MeOH solvent syste
15% gradient) to give 105a (7 mg, 78%). MS: m/z = 598.4 [M+l].
EXAMPLE 103
Preparation of Compound 106a
Figure imgf000279_0001
[0564] Compound 106-2 (15 mg; 30% yield) was prepared in the same manner from 106-1 (32 mg; 0.057 mmol) and bis(POC)phosphate (24 mg) with DIPEA (40 uL), BopCl (29 mg) and 3-nitro-l,2,4-triazole (13 mg) as 105-2 from 105-1.
[0565] Compound 106-1 (15 mg) was converted in formic acid to 106a (8 mg; 78% yield) in the same manner as 105-2 to 105a. MS: m/z = 602.4 [M+l].
EXAMPLE 104
Preparation of Compound 107a
Figure imgf000280_0001
[0566] Compound 107-1 (30 mg; 30% yield) was prepared in the same manner from 40-10 (65 mg; 0.115 mmol) and bis(POC)phosphate (49 mg) with DIPEA (80 uL), BopCl (58 mg) and 3-nitro-l ,2,4-triazole (26 mg) as 105-2 from 105-1.
[0567] Compound 107-1 (30 mg) was converted in formic acid to 107a (15 mg; 73% yield) in the same manner as 105-2 to 105a. MS: m/z = 604.3 [M+l].
EXAMPLE 105
Preparation of Compound 108a
Figure imgf000280_0002
[0568] To a solution of 4'-ethyl-2'-fluorocytidine (50 mg, 0.183 mmol) in DMF (1 mL) were added DCC (113 mg, 0.55 mmol), isobutyric acid (48.5 μΐ, 0.55 mmol) and DMAP (22 mg, 0.183 mmol). The mixture was stirred at R.T. overnight. The mixture was filtered, and the filtrate was concentrated with a rotary evaporator until half of its original volume was achieved. EA was added to the mixture. The mixture was washed with water, followed by brine. The mixture was dried over anhydrous Na2S04 and concentrated in vacuo to give a residue, which was purified by silica gel with DCM/ MeOH=95:5 to give 108a (40.8 mg,
54%) as a white solid. MS: m/z 414 [M-H]+, 829 [2M+H]+.
EXAMPLE 106
Preparation of Compound 109a
Figure imgf000281_0001
[0569] 3',5'-diacetylnucleoside (36 mg, 1 mmol) was dissolved in methanol saturated with NH4OH and kept overnight at R.T. The solvent was evaporated, and the product isolated by column chromatography in gradient of methanol in DCM from 0 to 15% on a lOg Biotage cartridge. The product was 109a obtained (20 mg, 73%). MS: m/z 277.2 [M-H].
EXAMPLE 107
Preparation of Compound 110a
Figure imgf000281_0002
[0570] To a solution of 70a (6.55 g, 2.1 mmol) and the benzoyl protected base moiety (2.3 g, 5.3 mmol) in PhCl (50 mL) was added TMSOTf (3.6 g, 16.1 mmol). After addition, the mixture was heated to 140°C for 8 h. The mixture was cooled to R.T., and evaporated to give a residue. The residue was re-dissolved in DCM and washed with saturated NaHC03 and brine. The organic layer was dried and concentrated to give a residue, which was purified by silica gel column (40% EA in PE) to give 110-1 (300 mg, 10%) as a white solid.
[0571] Compound 110-1 (300 mg, 0.55 mmol) in 80% aqueous acetic acid (5 mL) was heated to reflux for 2 h. The mixture was cooled to ambient temperature and diluted with water (5 mL), and then extracted with EA. The organic layer was washed with saturated
NaHC(¾ and brine. The mixture was dried and concentrated to give a residue, which was purified by silica gel column (10% EA in PE) to give the protected uridine derivative (180 mg, 70%) as a white solid. The protected uridine derivative (180 mg, 0.4 mmol) in saturated
NH3/MeOH (10 mL) was stirred at R.T. for 3 h. The mixture was concentrated to give a residue, which was purified by preparative HPLC (0.1% HCOOH in water and MeCN) to give 110a (80 mg, 60%) as a white solid. ESI-TOF-MS: m/z 334.7 [M+Na]+.
EXAMPLE 108
Preparation of Compound 112a
Figure imgf000282_0001
[0572] To the stirred solution of 69-1 was added NaN3 (1.5 g, 21.68 mmol) at 0°C under nitrogen atmosphere, and the resulting solution was stirred at R.T. for 1.5 h. The reaction was quenched with water, extracted with EA, washed with brine, and dried over MgS04. The concentrated organic phase was used for the next step without further purification.
[0573] To a solution of 112-1 (3.0 g, 5.4 mmol) in anhydrous 1,4-dioxane (18 mL) was added NaOH (5.4 mL, 2M in water) at R.T. The reaction mixture was stirred at R.T. for 3 h. The reaction was diluted with EA, washed with brine, and dried over MgS04. The concentrated organic phase was purified on a silica gel column (30% EA in PE) to give
112-2 (2.9 g, 93%) as a white foam.
[0574] Compound 112-2 (520 mg, 0.90 mmol) was dissolved in 80% of HCOOH
(20 mL) at R.T. The mixture was stirred for 3 h, and monitored by TLC. The solvent was removed and the residue was treated with MeOH and toluene for 3 times. NH3/MeOH was added, and the reaction mixture was stirred at R.T., for 5 mins. The solvent was concentrated to dryness and the residue was purified by column chromatography to give 112a (120 mg,
44.4%) as a white solid. ESI-LCMS: m/z 302.0 [M+H]+ , 324.0[M+Na]+.
EXAMPLE 109
Preparation of Compound 113a
Figure imgf000283_0001
113a
[0575] To a stirred solution of 112-2 (1.1 g, 2.88 mmol) in anhydrous DCM (10 mL) was added MMTrCl (1.77 g, 5.76 mmol), AgN03 (1.47 g, 8.64 mmol) and collidine (1.05 g, 8.64 mmol) at 25°C under a N2 atmosphere. The reaction was refluxed for 12 h. MeOH (20 mL) was added and the solvent was removed to dryness. The residue was purified on a silica gel column (20% EA in PE) to give 113-1 (1.6 g, 85.1%) as a white foam.
[0576] To a stirred solution of 113-1 (800 mg, 0.947 mmol) in anhydrous MeCN (10 mL) were added TPSC1 (570 mg, 1.89 mmol), DMAP (230 mg, 1.89 mmol) and TEA (190 mg, 1.89 mmol) at R.T. The mixture was stirred for 12 h. NH4OH (25 mL) was added and the mixture was stirred for 2 h. The solvent was removed, and the residue was purified on a silica gel column as a yellow foam. Further purification by prep-TLC gave 113-2 (700 mg, 87.1%)) as a white solid. [0577] Compound 113-2 (300 mg, 0.355 mmol) was dissolved in 80% of
HCOOH (5 mL) at .T. The mixture was stirred for 3 h, and monitored by TLC. The solvent was then removed and the residue was treated with MeOH and toluene (3 times).
NH3/MeOH was added and the mixture was stirred at R.T., for 5 mins. The solvent was removed and the residue was purified by column chromatography to give 113a (124 mg,
82.6%) as a white solid. ESI-LCMS: m/z 301.0 [M+H]+ , 601.0[2M+H]+.
EXAMPLE 110
COMPOUND 117a
Figure imgf000284_0001
117-1 117-2 117-3
Figure imgf000284_0002
117-4
[0578] To a solution of 117-1 (2.5 g, 4.04 mmol) in DMF was added NaH (170 mg, 4.24 mmol, 60% purity) at 0 °C. The mixture was stirred for 3 h at RT. Nal (6.1 g, 40.4 mmol) was added at RT and stirred for 3 h. The reaction was diluted with water and extracted with EA. The organic layer was dried over anhydrous Na2S04, and concentrated at low pressure to give 117-2 (1.7 g, 94%) as a yellow solid.
[0579] To a solution of 117-2 (1.7 g, 3.81 mmol) in THF (5 mL) was added 2 M NaOH solution (4.5 mL) at 0 °C. The solution was stirred for 2 h at RT. The mixture was adjusted to pH = 7, and concentrated under reduced pressure. The mixture was partitioned between DCM and water. The DCM layer was dried with high vacuum to give 117-3 (1.2 g, 68%) as a white solid, which was used without further purification.
[0580] To a solution of 117-3 (1.2 g, 2.58 mmol) in EtOH (20 mL) was added NH4COOH(650 mg, 7.75 mmol) and Pd/C (120 mg). The mixture was stirred under H2 (30 psi) for 1.5 h at RT. The suspension was filtered, and the filtrate was concentrated at a low pressure. The residue was purified on silica gel column (0.5% TEA and 1% MeOH in DCM) to give 117-4 (545 mg, 62%). ESI-MS: m/z 361.2 [M + 23]+.
[0581] Compound 117-4 was dissolved in 80% aq. HCOOH (20 mL) and kept at 20 °C for 18 h. After cooling to RT, the solvent was removed in vacuo, and the residue co- evaporated with toluene (3 x 25 mL). The residue was dissolved in water (3 mL) and concentrated aqueous NH4OH (1 mL) was added. After 2 h at 20 °C, the solvent was removed in vacuo. The residue was purified by flash chromatography using a 5 to 50% gradient of methanol in DCM to give purified 117a (14 mg) as a white solid.
EXAMPLE 111
Figure imgf000285_0001
[0582] To a solution of 118-1 (1 .2 g; 4.3 mmol) in dioxane (30 mL) were added p-toluenesulphonic acid monohydrate (820 mg; 1 eq.) and trimethyl orthoformate (14 mL; 30 eq.). The mixture was stirred overnight at RT. The mixture was then neutralized with methanolic ammonia and the solvent evaporated. Purification on silica gel column with CH2Cl2-MeOH solvent system (4-10% gradient) yielded 118-2 (1.18 g, 87%).
[0583] To an ice cooled solution of 118-2 (0.91 g; 2.9 mmol) in anhydrous THF (20 mL) was added iso-propylmagnesium chloride (2.1 mL; 2 M in THF). The mixture stirred at 0 °C for 20 mins. A solution of phosphorochloridate reagent (2.2 g; 2.5 eq.) in THF (2 mL) was added dropwise. The mixture stirred overnight at RT. The reaction was quenched with saturated aq. NH4C1 solution and stirred at RT. for 10 mins. The mixture was then diluted with water and CH2CI2, and the two layers were separated. The organic layer was washed with water, half saturated aq. NaHC03 and brine, and dried with Na2S04. The evaporated residue was purified on silica gel column with CLLC^-iPrOH solvent system (4- 10% gradient) to yield Rp/Sp-mixture of 118-3 (1.59 g; 93%).
[0584] A mixture of 118-3 (1.45 g; 2.45 mmol) and 80% aq. HCOOH (7 mL) was stirred at RT. for 1.5 h. The solvent was evaporated and coevaporated with toluene. The obtained residue was dissolved in MeOH, treated with Et3N (3 drops) and the solvent was evaporated. Purification on silica gel column with CH2Cl2-MeOH solvent system (4-10% gradient) yielded Rp/Sp-mixture of 118a (950 mg; 70%). 31P-NMR (DMSO-d6): δ 3.52, 3.37. MS: m/z = 544 [M-l].
EXAMPLE 112
Figure imgf000286_0001
119a
[0585] Compound 119-1 (5 g, 8.79 mmol) was co-evaporated with anhydrous pyridine. To an ice cooled solution of 119-1 in anhydrous pyridine (15 mL) was added TsCl (3.43 g, 17.58 mmol), and stirred for 1 h at 0 °C. The reaction was checked by LCMS and TLC. The reaction was quenched with H20, and extracted with EA. The organic phase was dried over anhydrous Na2S04> and evaporated at low pressure. Compound 119-2 (6.35 g, 100%) was used for next step directly.
[0586] To a solution of 119-2 (31.77g, 43.94 mmol) in acetone (300 mL) was added Nal (65.86 g, 439.4 mmol), and heated to reflux overnight. The reaction was checked by LCMS. The reaction was quenched with sat. Na2S203 solution, and extracted with EA. The organic layer was dried over anhydrous Na2S04j and evaporated at low pressure. The residue was purified by silica gel column chromatography (MeOH in DCM from 1% to 6%) to give 119-3 (1 1.5g, 38%) as a white solid.
[0587] To a solution of 119-3 (1 1.5 g, 16.94 mmol) in dry THF (120 mL) was added DBU (12.87 g, 84.68 mmol), and heated to 60 °C. The reaction was stirred overnight and checked by LCMS. The reaction was quenched with sat. NaHC03 solution, and extracted with EA. The organic phase was dried over anhydrous Na2S04j and evaporated at low pressure. The residue was purified by silica gel column chromatography (MeOH in DCM from 1% to 5%) to give 119-4 (5.5 g, 54%) as a white solid.
[0588] To an ice cooled solution of 119-4 (500 mg, 0.90 mmol) in dry DCM (20ml) was added AgF (618 mg, 4.9 mmol) and a solution of I2 (500 mg, 1.97 mmol) in dry DCM (20 mL). The reaction was stirred for 3 h., and checked by LCMS. The reaction was quenched with sat Na2S203 solution and sat. NaHC03 solution, and the mixture was extracted with DCM. The organic layer was dried by anhydrous Na2S04, and evaporated at low pressure to give crude 119-5 (420 mg, 66%).
[0589] To a solution of crude 119-5 (250 mg, 0.36 mmol) in dry DCM (8 mL) was added DMAP (0.28 g, 2.33 mmol), TEA (145 mg, 1.44mmol) and BzCl (230 mg, 1.62 mmol) in a solution of DCM (2 mL). The reaction was stirred overnight, and checked by LCMS. The mixture was washed with sat. NaHC03 solution and brine. The organic layer was evaporated at low pressure. The residue was purified by prep-TLC to give crude 119-6 (150 mg, 46%).
[0590] To a solution of crude 119-6 (650 mg, 0.72 mmol) in dry HMPA (20 mL) was added NaOBz (1.03 g, 7.2 mmol) and 15-crown-5 (1.59 g, 7.2 mmol). The reaction was stirred for 2 d at 60 °C. The mixture was diluted with H20, and extracted with EA. The organic layer was evaporated at low pressure. The residue was purified by prep-TLC to give 119-7 (210 mg, 32.4%). ESI-MS: m/z: 900.4 [M+H]+.
[0591] A mixture of 119-7 (25 mg) and BuNH2 (0.8 mL) was stirred overnight at RT. The mixture was evaporated and purified on silica gel (10 g column) with CH2Cl2/MeOH (4-15% gradient) to yield 119-8 (15 mg, 91%).
[0592] A mixture of 119-8 (15 mg, 0.02 mmol) in ACN (0.25 mL) and 4 N HCL/dioxane (19 uL) was stirred at RT for 45 mins. The mixture was diluted with MeOH and evaporated. The crude residue was treated with MeCN, and the solid was filtered to yield 119a (7 mg). MS: m/z = 314 [M-l].
EXAMPLE 113
COMPOUND 120a
Figure imgf000288_0001
[0593] To a stirred suspension of 120-1 (20 g, 77.5 mmol), PPh3 (30 g, 114.5 mmol), imidazole (10 g, 147 mmol) and pyridine (90 mL) in anhydrous THF (300 mL) was added a solution of I2 (25 g, 98.4 mmol) in THF (100 mL) dropwise at 0 °C. The mixture was warmed to room temperature (RT) and stirred at RT for 10 h. The reaction was quenched by MeOH (100 mL). The solvent was removed, and the residue was re-dissolved in a mixture ethyl acetate (EA) and THF (2 L, 10:1). The organic phase was washed with saturated Na2S203 aq., and the aqueous phase was extracted with a mixture of EA and THF (2 L, 10:1). The organic layer was combined and concentrated to give a residue, which was purified on a silica gel column (0-10% MeOH in DCM) to give 120-2 (22.5 g, 78.9%) as a white solid. ]H NMR: (DMSO- 6; 400 MHz) 11.42 (s, 1H), 7.59 (d, J= 8.4 Hz, 1H), 5.82 (s, 1H), 5.63 (d, J = 8.0 Hz, 1H), 5.50 (s, 1H), 5.23 (s, 1H), 3.77-3.79 (m, 1H), 3.40-3.62 (m, 3H), 0.97 (s, 3H).
[0594] To a stirred solution of 120-2 (24.3 g, 66.03 mmol) in anhydrous MeOH (240 mL) was added NaOMe (10.69 g, 198.09 mmol) at RT under N2. The mixture was refluxed for 3 h. The solvent was removed, and the residue was re-dissolved in anhydrous pyridine (200 mL). To the mixture was added Ac20 (84.9 g, 833.3 mmol) at 0 °C. The mixture was warmed to 60 °C and stirred for 10 h. The solvent was removed, and the residue was diluted with DCM, washed with saturated NaHC03 and brine. The organic layer was concentrated and purified on a silica gel column (10-50% EA in PE) to give 120-3 (15 g, 70.1%) as a white solid. 1H NMR: (CDCl3j 400 MHz) δ 8.82 (s, 1H), 7.23 (d, J = 2.0 Hz, 1H), 6.54 (s, 1H), 5.85 (s, 1H), 5.77 (dd, J= 8.0, 2.0 Hz, 1H), 4.69 (d, J = 2.4 Hz, 1H), 4.58 (d, J = 2.8Hz, 1H), 2.07 (d, J = 5.2Hz, 6H), 1.45 (s, 3H).
[0595] To an ice cooled solution of 120-3 (15 g, 46.29 mmol) in anhydrous DCM (300 mL) was added AgF (29.39 g, 231.4 mmol). I2 (23.51 g, 92.58 mmol) in anhydrous DCM (1.0 L) was added dropwise to the solution. The reaction mixture was stirred at RT for 5 h. The reaction was quenched with saturated Na2S203 and NaHC03, and extracted with DCM. The organic layer was separated, dried and evaporated to dryness. The residue was purified on a silica gel column (10-30% EA in PE) to give 120-4 (9.5 g, 43.6%) as a white solid. Ή NMR: (Methanol-d4, 400 MHz) 3 7.52 (d, J = 8.0 Hz, 1H), 6.21 (s, 1H), 5.80 (d, J = 17.2 Hz, 1H), 5.73 (d, J = 8.0 Hz, 1H), 3.58 (s, 1H), 3.54 (d, J = 6.8 Hz, 1H), 2.17 (s, 3H), 2.09 (s, 3H), 1.58 (s, 3H).
[0596] To a solution of 120-4 (7.0 g, 14.89 mmol) in anhydrous DMF (400 mL) were added NaOBz (21 .44 g, 148.9 mmol) and 15-crown-5 (32.75 g, 148.9 mmol). The reaction mixture was stirred at 130 °C for 6 h. The solvent was removed, diluted with EA and washed with water and brine. The organic layer was evaporated and purified on a silica gel column (10-30% EA in PE) to give 120-5 (2.8 g, 40.5%). ESI-MS: m/z 444.9 [M-F+H] +.
[0597] A mixture of 120-5 (4.0 g; 8.6 mmol) and liquid ammonia was kept overnight at RT in a high-pressure stainless-steel vessel. Ammonia was then evaporated, and the residue purified on silica (50g column) with a CH2Cl2/MeOH solvent mixture (4-12% gradient) to yield 120a as a colorless foam (2.0 g; 84% yield). ESI-MS: m/z 275.1 [M-H] ". EXAMPLE 114
Figure imgf000290_0001
121a
[0598] Dry 120a (14 mg, 0.05 mmol) was dissolved in the mixture of PO(OMe)3 (0.750 mL ) and pyridine (0.5 mL). The mixture was evaporated in vacuum for 15 mins at bath temperature 42 °C, and then cooled down to RT. N-Methylimidazole (0.009 mL, 0.1 1 mmol) was added followed by POCl3 (0.009 mL, 0.1 mmol). The mixture was kept at RT for 45 mins. Tributylamine (0.065 mL, 0.3 mmol) and N-tetrabutyl ammonium salt of pyrophosphate (100 mg) was added. Dry DMF (about 1 mL) was added to get a homogeneous solution. In 1 h, the reaction was quenched with 2M ammonium acetate buffer (1 mL, pH = 7.5), diluted water (10 mL) and loaded on a column HiLoad 16/10 with Q Sepharose High Performance. The separation was done in linear gradient of NaCl from 0 to IN in 50mM TRIS-buffer (pH7.5). The fractions eluted at 60% buffer B contained 121a and at 80% buffer B contained 122a. The corresponding fractions were concentrated, and the residue purified by RP HPLC on Synergy 4 micron Hydro-RP column (Phenominex). A linear gradient of methanol from 0 to 30% in 50mM triethylammonium acetate buffer (pH 7.5) was used for elution. The corresponding fractions were combined, concentrated and lyophilized 3 times to remove excess of buffer. 121a: P31-NMR (D20): -3.76 (s); MS: 378.2 [M-l]. 122a: P31-NMR (D20): -9.28(d, 1H, Pa), -12.3 l(d, 1H, Ργ), -22.95(t, 1H, Ρβ); MS 515.0 [M-l]. EXAMPLE 115
Figure imgf000291_0001
[0599] A mixture of 122-1 (170 mg, 0.19 mmol) and methanolic ammonia (7 N; 3 mL) was stirred at RT for 8 h, concentrated and purified on silica gel (10 g column) with CH2Cl2/MeOH (4-11% gradient) to give 122-2 (100 mg, 90%).
[0600] Compound 122-2 was rendered anhydrous by co-evaporating with pyridine, followed by toluene. To a solution of 122-2 (24 mg, 0.04 mmol), and N- methylimidazole (17 μΤ, 5 equiv) in acetonitrile (1 mL) was added the phosphochloridate (50 mg, 3.5 equiv.) in 2 portions in 6 h intervals. The mixture was stirred at RT for 1 d and evaporated. Purification on silica (10 g column) with CH2Cl2/MeOH (4-12% gradient) yielded 122-3 (10 mg, 28%).
[0601] A solution of 122-3 (9 mg, 0.01 mmol) in 80% formic acid was stirred 3 h at R. T. The mixture was evaporated and purified on silica (10 g column) with CH2Cl2/MeOH (5-15% gradient) to give 122a (3 mg, 50%). MS: m/z = 624 [M-l].
EXAMPLE 116
Figure imgf000292_0001
123a
[0602] To an ice cooled solution of 123-1 (80 mg; 015 mmol) in anhydrous THF (2 mL) was added isopropylmagnesium chloride (0.22 mL; 2 M in THF). The mixture stirred at 0 °C for 20 mins. A solution of the phosphorochloridate reagent (0.16 g; 0.45 mmol) in THF (0.5 mL) was added dropwise. The mixture stirred overnight at RT. The reaction was quenched with saturated aq. NH4C1 solution and stirred at RT for 10 mins. The mixture was diluted with water and CH2CI2, and the two layers were separated. The organic layer was washed with water, half saturated aq. NaHC03 and brine, and dried with a2S04. The evaporated residue was purified on silica gel column with CH2Cl2-MeOH solvent system (2- 10% gradient) to yield Rp/Sp-mixture of 123-2 (102 mg; 80%).
[0603] A mixture of 123-2 (100 mg; 0.12 mmol) in EtOH (3 mL) and 10% Pd/C (10 mg) was stirred under the ¾ atmosphere for 1.5 h. The mixture was filtered through a Celite pad, evaporated and purified on silica gel column with CH2Cl2-MeOH solvent system (4-10% gradient) to yield Rp/Sp-mixture of 123a (52 mg, 74%). MS: m/z = 584 [M-l]. EXAMPLE 117
Figure imgf000293_0001
[0604] Compound 124a (36 mg, 63%) was synthesized as described for 117a using a neopentyl ester phosphorochloridate reagent. MS: 572.6 [M-l].
EXAMPLE 118
COMPOUNDS 125a AND 126a
Figure imgf000293_0002
[0605] Dry 120a (14 mg, 0.05 mmol) was dissolved in the mixture of PO(OMe)3 (0.750 mL) and pyridine (0.5 mL). The mixture was evaporated in vacuum for 15 mins at bath temperature 42 °C, and then cooled down to RT. N-Methylimidazole (0.009 mL, 0.11 mmol) was added followed by PSC13 (0.01 mL, 0.1 mmol). The mixture was kept at RT for 1 h. Tributylamine (0.065 mL, 0.3 mmol) and N-tetrabutyl ammonium salt of pyrophosphate (200 mg) was added. Dry DMF (about 1 mL) was added to get a homogeneous solution. In 2 h, the reaction was quenched with 2M ammonium acetate buffer (1 mL, pH = 7.5), diluted with water (10 mL) and loaded on a column HiLoad 16/10 with Q Sepharose High Performance. Separation was done in linear gradient of NaCl from 0 to IN in 50 mM TRIS- buffer (pH7.5). The fractions eluted at 80% buffer B contained 125a and 126a. The corresponding fractions were concentrated, and the residue purified by RP HPLC on Synergy 4 micron Hydro-RP column (Phenominex). A linear gradient of methanol from 0 to 20% in 50mM triethylammonium acetate buffer (pH 7.5) was used for elution. Two peaks were collected. The corresponding fractions were combined, concentrated and lyophilized 3 times to remove excess of buffer. Peak 1 (more polar): 3 IP-NMR (D20): +42.68(d, 1H, Pa), - 9.05(d, 1H, Ργ), -22.95(t, 1H, Ρβ); MS 530.9.0 (M-l). Peak 2 (less polar): 3 IP-NMR (D20): +42.78(d, 1H, Pa), -10.12(bs, 1H, Ργ), -23.94(t, 1H, Ρβ); and MS: m/z 530.9.0 [M-l]. EXAMPLE 119
COMPOUND 127a
Figure imgf000294_0001
[0606] A mixture of 127-1 (1.2 g, 4.3 mmol), PTSA monohydrate (0.82 g, 1 equiv.), and trimethyl orthoformate (14 mL, 30 equiv.) in dioxane (30 mL) was stirred overnight at RT. The reaction was neutralized with 7 N NH3/MeOH and a white solid removed by filtration. The residue was dissolved in THF (10 mL) and treated with 80% aq. AcOH (5 mL). The mixture was kept at RT for 45 mins and then evaporated. The residue was purified on silica gel (25 g column) with CLbCLVMeOH (4-10% gradient) to give 127-2 (1.18 g, 87%).
[0607] Compound 127-3 (137 mg, 75%) was prepared from 127-2 (93 mg, 0.29 mmol) and triethylammonium bis(isopropyloxycarbonyloxymethyl)phosphate (0.44 mmol) with DIPEA (0.2 mL), BopCl (147 mg), and 3-nitro-l,2,4-triazole (66 mg) in THF (3 mL). Purification was done with CH2CI2 /i-PrOH solvent system (3-10% gradient).
[0608] A solution of 127-3 (137 mg) in 80% aq. HCOOH was stirred at RT for 2 h, and then concentrated. The residue was co-evaporated with toluene and then MeOH containing a small amount of a small amount of Et3N (2 drops). Purification on silica (25 g column) with CH2Cl2/MeOH (4-10% gradient) gave 127a (100 mg, 77%). MS: m/z = 1175 [2M-1]. EXAMPLE 120
Figure imgf000295_0001
[0609] Compound 128-1 (50 g, 86.0 mmol) and 6-Cl-guanine (16.1 g, 98.2 mmol) were co-evaporated with anhydrous toluene 3 times. To a solution of 128-1 in MeCN (200 mL) was added DBU (39.5 g, 258.0 mmol) at 0 °C. The mixture was stirred at 0 °C for 30 mins, and then TMSOTf (95.5 g, 430.0 mmol) was added dropwise at 0 °C. The mixture was stirred at 0 °C for 30 mins. The mixture was heated to 70 °C, and stirred overnight. The solution was cooled to RT and diluted with EA (100 mL). The solution was washed with sat. NaHC(¾ solution and brine. The organic layer was dried over a2S04> and concentrated at low pressure. The residue was purified by column on silica gel (EA in PE from 10% to 40%) to give 128-2 (48.0 g, yield: 88.7%) as a yellow foam. ESI-MS: m/z 628 [M+H]+. [0610] To a solution of 128-2 (48.0 g, 76.4 mol), AgN03 (50.0 g, 294.1 mmol) and collidine (40 mL) in anhydrous DCM (200 mL) was added MMTrCl (46.0 g, 149.2 mmol) in small portions under N2. The mixture was stirred at RT for 3 h under N2. The reaction was monitored by TLC. The mixture was filtered, and the filter was washed with sat. NaHC03 solution and brine. The organic layer was dried over anhydrous Na2S04j and concentrated at low pressure. The residue was purified by silica gel column (EA in PE from 5% to 50%) to the give crude 128-3 (68 g, 98%). ESI-MS: m/z 900.1 [M+H]+.
[0611] Sodium (8.7 g, 378.0 mmol) was dissolved in dry EtOH (100 mL) at 0 °C, and slowly warmed to RT. Compound 128-3 (68.0 g, 75.6 mmol) was treated with freshly prepared NaOEt solution, and stirred overnight at RT. The reaction was monitored by TLC, and the mixture was concentrated at low pressure. The mixture was diluted with H20 (100 mL), and extracted with EA (3 x 100 mL). The organic layer was dried over anhydrous Na2S04> and evaporated at low pressure. The residue was purified by silica gel column chromatography (MeOH in DCM from 1% to 5%) to give 128-4 (34.0 g, 75.2%) as a yellow solid. ESI-MS: m/z 598 [M+H]+.
[0612] Compound 128-4 (32.0 g, 53.5 mmol) was co-evaporated with anhydrous pyridine 3 times. To an ice cooled solution of 128-4 in anhydrous pyridine (100 mL) was added TsCl (1 1.2 g, 58.9 mmol) in pyridine (50 mL) dropwise at 0 °C. The mixture was stirred for 18 h. at 0 °C. The reaction was checked by LCMS (about 70% was the desired product). The reaction was quenched with H20, and the solution was concentrated at low pressure. The residue was dissolved in EA (100 mL), and washed with sat. NaHC03 solution. The organic layer was dried over anhydrous Na2S04; and evaporated at low pressure. The residue was purified by silica gel column chromatography (MeOH in DCM from 1% to 5%) to give crude 128-5 (25.0 g, 62.2%) as a yellow solid. ESI-MS: m/z 752 [M+H]+.
[0613] To a solution of 128-5 (23.0 g, 30.6 mmol) in acetone (150 mL) was added Nal (45.9 g, 306.0 mmol) and TBAI (2.0 g), and refluxed overnight. The reaction was monitored by LCMS. After the reaction was complete, the mixture was concentrated at low pressure. The residue was dissolved in EA (100 mL), washed with brine, and dried over anhydrous Na2S04 The organic solution was evaporated at low pressure. The residue was purified by silica gel column chromatography (DCM: MeOH= 100: 1 to 20: 1) to give the crude product. To a solution of the crude product in dry THF (200 mL) was added DBU (14.0 g, 91.8 mmol), and heated to 60°C. The mixture was stirred overnight, and checked by LCMS. The reaction was quenched with sat. NaHC03j and the solution was extracted with EA (100 mL). The organic layer was dried over anhydrous Na2S04i and evaporated at low pressure. The residue was purified by silica gel column chromatography (MeOH in DCM from 1% to 5%) to give 128-6 (12.0 g, 67.4%) as a yellow solid. ESI-MS: m/z 580 [M+H]+.
[0614] To an ice cooled solution of 128-6 (8.0 g, 13.8 mmol) in dry MeCN (lOOmL) was added S (3.9 g, 17.2 mmol) and TEA«3HF (3.3 g, 20.7 mmol) at 0 °C. The mixture was stirred at RT for 18 h and checked by LCMS. After the reaction was complete, the reaction was quenched with sat Na2S03 and sat. NaHC03 solution. The solution was extracted with EA. The organic layer was dried over anhydrous Na2S04, and evaporated at low pressure. The residue was purified by silica gel column chromatography (EA in PE from 10% to 50%) to give 128-7(7.2 g, 72.0%) as a solid. ESI-MS: m/z 726 [M+H]+.
[0615] To a solution of crude 128-7 (7.2 g, 9.9 mmol) in dry DCM (100 mL) was added DMAP (3.6 g, 29.8 mmol), and BzCl (2.8 g, 19.8 mmol) at 0 °C. The mixture was stirred overnight, and checked by LCMS. The mixture was washed with sat. NaHCC>3 solution. The organic layer was dried over anhydrous Na2S04, and evaporated at low pressure. The residue was purified by silica gel column chromatography (EA in PE from 10% to 30%) to give 128-8 (8.0 g, 86.4%) as a solid. ESI-MS: m/z 934 [M+H]+.
[0616] To a solution of 128-8 (7.5 g, 8.0 mmol) in dry DMF (100 mL) was added NaOBz (11.5 g, 80.0 mmol) and 15-crown-5 (15.6 mL). The mixture was stirred for 36 h. at 90 °C. The mixture was diluted with H20 (100 mL), and extracted with EA (3 x 150 mL). The organic layer was dried over anhydrous Na2S04, and evaporated at low pressure. The residue was purified by silica gel column chromatography (EA in PE from 10% to 30%) to give crude 128-9 (6.0 g, 80.0%) as a solid. ESI-MS: m/z 928 [M+H]+.
[0617] Compound 128-9 (4.0 g, 4.3 mmol) was co-evaporated with anhydrous toluene 3 times, and treated with NH3/MeOH (50 mL, 4N) at RT. The mixture was stirred for 18 h at RT. The reaction was monitored by LCMS, and the mixture was concentrated at low pressure. The residue was purified by silica gel column chromatography (EA in PE from 30% to 50%) to give 128-10 (1.9 g, 71.7%) as a solid. ESI-MS: m/z 616 [M+H]+.
[0618] Compound 128-10 (300.0 mg, 0.49 mmol) was co-evaporated with anhydrous toluene 3 times, and was dissolved in MeCN (2 mL). The mixture was treated with NMI (120.5 mg, 1.47 mmol) and the phosphorochloridate reagent (338.1 mg, 0.98 mmol) in MeCN (1 mL) at 0°C. The mixture was stirred for 18 h at RT. The reaction was monitored by LCMS. The mixture was diluted with 10% NaHC03 solution, and extracted with EA. The residue was purified by silica gel column chromatography (EA in PE from 30% to 50%) to give 128-11 (240 mg, 53.3%) as a solid. ESI-MS: m/z 925 [M+H]+.
[0619] Compound 128-11 (240.0 mg, 0.26 mmol) was treated with 80% AcOH (10 mL), and the mixture was stirred for 18 h at RT. The reaction was monitored by LCMS. The mixture was concentrated at low pressure. The residue was purified by silica gel column chromatography (MeOH in DCM from 1% to 3%) to give 128a (87.6 mg, 51.7%) as a solid. ESI-MS: m/z 653 [M+H]+.
EXAMPLE 121
Figure imgf000299_0001
[0620] Compound 129-1 (50 g, 86.0 mmol) and 6-Cl-guanine (16.1 g, 98.2 mmol) were co-evaporated with anhydrous toluene 3 times. To a solution of 129-1 (50 g, 86.0 mmol) and 6-Cl-guanine (16.1 g, 98.2 mmol) in MeCN (200 mL) was added DBU (39.5 g, 258.0 mmol) at 0 °C. The mixture was stirred at 0 °C for 30 mins, and TMSOTf (95.5 g, 430.0 mmol) was added dropwise at 0 °C. The mixture was stirred at 0 °C for 30 mins until a clear solution was observed. The mixture was heated to 70 °C, and stirred overnight. The solution was cooled to RT, and diluted with EA (100 mL). The solution was washed with sat. NaHC03 solution and brine. The organic layer was dried over Na2S04> and concentrated at low pressure. The residue was purified by column on silica gel (EA in PE from 10% to 40%) to give 129-2 (48.0 g, 88.7%) as a yellow foam. ESI-MS: m/z 628 [M+H]+.
[0621] To a solution of 129-2 (48.0 g, 76.4 mol), AgN03 (50.0 g, 294.1 mmol) and collidine (40 mL) in anhydrous DCM (200 mL) was added MMTrCl (46.0 g, 149.2 mmol) in small portions under N2. The mixture was stirred at RT for 3 h under N2. Completion of the reaction was determined by TLC. After filtration, the filtrate was washed with sat. NaHC03 solution and brine. The organic layer was dried over anhydrous Na2S04; and concentrated at low pressure. The residue was purified by silica gel column (EA in PE from 5% to 50%) to the give crude 129-3 (68 g, 98%). ESI-MS: m/z 900.1 [M+H]+.
[0622] Sodium (8.7 g, 378.0 mmol) was dissolved in dry EtOH (100 mL) at 0 °C, and slowly warmed to RT. Compound 129-3 (68.0 g, 75.6 mmol) was treated with freshly prepared NaOEt solution, and stirred overnight at RT. Completion of the reaction was determined by TLC and LCMS. The mixture was concentrated at a low pressure, diluted with H20 (100 mL), and extracted with EA (3 x 100 mL). The organic layer was dried over anhydrous Na2S04i and evaporated at low pressure. The residue was purified by silica gel column chromatography (MeOH in DCM from 1% to 5%) to give 129-4 (34.0 g, 75.2%) as a yellow solid. ESI-MS: m/z 598 [M+H]+.
[0623] Compound 129-4 (32.0 g, 53.5 mmol) was co-evaporated with anhydrous pyridine 3 times. To an ice cooled solution of 129-4 (32.0 g, 53.5 mmol) in anhydrous pyridine (100 mL) was added a solution of TsCl (1 1.2 g, 58.9 mmol) in pyridine (50 mL) dropwise at 0 °C. The mixture was stirred for 18 h. at 0 °C. The reaction was monitored by LCMS, and quenched with H20. The solution was concentrated at low pressure, and the residue was dissolved in EA (100 mL), and washed with sat. NaHC03 solution. The organic layer was dried over anhydrous Na2S04i and evaporated at a low pressure. The residue was purified by silica gel column chromatography (MeOH in DCM from 1 % to 5%) to give crude 129-5 (25.0 g, 62.2%) as a yellow solid. ESI-MS: m/z 752 [M+H]+.
[0624] To a solution of 129-5 (23.0 g, 30.6 mmol) in acetone (150 mL) was added Nal (45.9 g, 306.0 mmol) and TBAI (2.0 g), and the mixture was refluxed overnight. Completion of the reaction was determined by LCMS. The mixture was concentrated at low pressure, and the residue was dissolved in EA (100 mL). The solution was washed with brine, and dried over anhydrous Na2S04 The organic solution was evaporated at low pressure, and the residue was purified by silica gel column chromatography (DCM: MeOH=l 00: 1 to 20: 1) to give a crude product. To a solution of the crude product in dry THF (200 mL) was added DBU (14.0 g, 91.8 mmol), and the mixture was heated to 60 °C and stirred overnight. The reaction was monitored by LCMS. The reaction was quenched with sat. NaHC03 solution and the solution was extracted with EA (100 rtiL). The organic layer was dried over anhydrous Na2S04> and evaporated at low pressure. The residue was purified by silica gel column chromatography (MeOH in DCM from 1% to 5%) to give 129-6 (12.0 g, 67.4%) as a yellow solid. ESI-MS: m/z 580 [M+H]+.
[0625] To an ice cooled solution of 129-6 (8.0 g, 13.8 mmol) in anhydrous MeCN (lOOmL) was added S (3.9 g, 17.2 mmol) and TEA«3HF (3.3 g, 20.7 mmol) at 0 °C. The mixture was stirred at RT for 18 h, and the reaction was checked by LCMS. After the reaction was completed, the reaction was quenched with sat. Na2S0 solution and sat. NaHC03 solution. The solution was extracted with EA (3 x 100 mL). The organic layer was dried over anhydrous Na2S04, and evaporated at low pressure. The residue was purified by silica gel column chromatography (EA in PE from 10% to 50%) to give 129-7 (7.2 g, 72.0%) as a solid. ESI-MS: m/z 726 [M+H]+.
[0626] To a solution of 129-7 (7.2 g, 9.9 mmol) in dry DCM (100 mL) was added DMAP (3.6 g, 29.8 mmol), and BzCl (2.8 g, 19.8 mmol) at 0 °C. The mixture was stirred overnight, and checked by LCMS. The mixture was washed with sat. NaHC03 solution. The organic layer was dried over anhydrous Na2S04, and evaporated at low pressure. The residue was purified by silica gel column chromatography (EA in PE from 10% to 30%) to give 129- 8 (8.0 g, 86.4%) as a solid. ESI-MS: m/z 934 [M+H]+.
[0627] To a solution of 129-8 (7.5 g, 8.0 mmol) in dry DMF (100 mL) was added NaOBz (11.5 g, 80.0 mmol) and 15-crown-5 (15.6 mL). The mixture was stirred for 36 h. at 90 °C. The mixture was diluted with H20 (100 mL), and extracted with EA (3 x 150 mL). The organic layer was dried over anhydrous Na2S04, and evaporated at low pressure. The residue was purified by silica gel column chromatography (EA in PE from 10% to 30%) to give crude 129-9 (6.0 g, 80.0%) as a solid. ESI-MS: m/z 928 [M+H]+.
[0628] Compound 129-9 (4.0 g, 4.3 mmol) was co-evaporated with anhydrous toluene 3 times, and treated with NH3/MeOH (50 mL, 4N) at RT. The mixture was stirred for 18 h. at RT. Completion of the reaction was determined by LCMS. The mixture was concentrated at low pressure, and the residue was purified by silica gel column chromatography (EA in PE from 30% to 50%) to give product 129-10 (1.9 g, 71.7%) as a solid. ESI-MS: m/z 616 [M+H]+.
[0629] Compound 129-10 (300.0 mg, 0.49 mmol) was co-evaporated with anhydrous toluene 3 times, and was dissolved in MeCN (2 mL). The mixture was treated with NMI (120.5 mg, 1.47 mmol) and the phosphorochloridate reagent (326.3 mg, 0.98 mmol) in MeCN (1 mL) at 0 °C. The mixture was stirred for 18 h at RT and monitored by LCMS. The mixture was diluted with 10% aHC03 solution, and extracted with EA (3 x 30 mL). The residue was purified by silica gel column chromatography (EA in PE from 30% to 50%) to give 129-11 (210 mg, 47.5%) as a solid. ESI-MS: m/z 913.0 [M+H]+.
[0630] Compound 129-11 (210 mg, 0.26 mmol) was treated with 80% of AcOH
(15 mL), and the mixture was stirred for 18 h at RT. Completion of the reaction was determined by LCMS. The mixture was concentrated at low pressure, and the residue was purified by silica gel column chromatography (MeOH in DCM from 1% to 3%) to give 129a
(71.8 mg, 48.7%) as a solid. ESI-MS: m/z 641.3 [M+H]+.
EXAMPLE 122
Figure imgf000302_0001
[0631] To a stirred suspension of 130-1 (20.0 g, 81.3 mmol), imidazole (15.9 g, 234.0 mmol), PPh3 (53.5 g, 203.3 mmol) and pyridine (90 mL) in anhydrous THF (100 mL) was added a solution of I2 (41.3 g, 162.6 mmol) in THF (150 mL) dropwise at 0 °C. The mixture was slowly warmed to RT and stirred for 14 h. The reaction was quenched with sat. aq. Na2S203 (150 mL) and extracted with THF/EA (1/1) (100 mL x 3). The organic layer was dried over Na2S04i and concentrated at a low pressure. The residue was recrystallized from EtOH to afford pure 130-2 (23 g, 79%) as a white solid.
[0632] To a stirred solution of 130-2 (23 g, 65 mmol) in anhydrous MeOH (200 mL) was added NaOCH3 (10.5 g, 195 mmol) in MeOH (50 mL) at RT. The mixture was stirred at 60 °C for 3 h, and quenched with dry ice. A solid precipitated and removed by filtration. The filtrate was concentrated at a low pressure. The residue was purified on column silica gel column (MeOH in DCM from 1% to 10%) to provide 130-3 (13.1 g, 92.5%) as a white foam solid.
[0633] To a stirred solution of 130-3 (12.0 g, 53 mmol) in anhydrous CH3CN was added TEA-3HF (8.5 g, 53 mmol) and NIS (10.2 g, 63.6 mmol) at 0 °C. The mixture was stirred for 30 mins, and slowly warmed to RT. The mixture was stirred for another 30 mins. The solid was removed by filtration, and washed with DCM to give 130-4 (14 g, 73%) as a yellow solid. ESI-MS: m/z 373.0 [M+H]+.
[0634] To a stirred solution of 130-4 (12.0 g, 32 mmol) and DMAP (1.2 g, 9.6 mmol) in pyridine (100 mL) was added Bz20 (21.7 g, 96 mmol) at RT. The mixture was stirred at 50 °C for 16 h. The resulting solution was quenched with water, and concentrated to dryness at low pressure. The crude was purified on silica gel column (50% EA in PE) to give 130-5 (15 g, 81%) as a white solid. ESI-TOF-MS: m/z 581.0 [M+H]+.
[0635] Tetra-butylammonium hydroxide (288 mL as 54-56% aqueous solution, 576 mmol) was adjusted to pH~4 by adding TFA (48 mL). The resulting solution was treated with a solution of 130-5 (14 g, 24 mmol) in DCM (200 mL). w-Chloroperbenzoic acid (30 g, 60-70%, 120 mmol) was added portion wise with vigorous stirring, and the mixture was stirred overnight. The organic layer was separated and washed with brine. The resulting solution was dried over magnesium sulfate and concentrated under reduced pressure. The residue was purified by column chromatography to give 130-6 (7.5 g, 68%)
[0636] Compound 130-6 (5.0 g, 10.6 mmol) was treated with 7N NH3 «MeOH (100 mL), and the mixture was stirred for 5 h. The mixture was then concentrated to dryness at low pressure. The residue was washed with DCM, and the solid was filtered to give 130-7 (2.1 g, 75%) as a white foam. ESI-MS: m/z 263.0 [M+H]+.
[0637] To a solution of 130-7 (2.1 g, 8.0 mmol) in pyridine was added TIDPSC1 (2.5 g, 8.0 mmol) dropwise at 0 °C, and stirred for 12 h. at RT. The solution was quenched with water, and concentrated to dryness at low pressure. The crude was purified by column chromatography (EA in PE from 10% to 50%) to give pure 130-8 (1.6 g, 40%) as a white foam.
[0638] A solution of 130-8 (1.5 g, 3.0 mmol) and 1BX (1.69 g, 6.0 mmol) in anhydrous CH3CN (10 mL) was stirred at 80 °C for 3 h. The mixture was cooled down to RT and filtered. The filtrate was concentrated to dryness at low pressure. The residue was purified by column chromatography (EA in PE from 2% to 50%) to give pure 130-9 (1.2 g, 80%) as a white foam. ESI-MS: m/z 503.0 [M+H]+
[0639] Compound 130-9 (500 mg, 1 mmol) was dissolved in dry THF (8 mL). Ethynyl magnesium bromide (8 mL of 0.5M solution in cyclohexane) was added at RT. After 30 mins, additional ethynyl magnesium bromide (8 mL) was added. The mixture was left for 30 mins, and then quenched with sat. solution of ammonium chloride. The product was extracted with EA. The organic extracts were washed with brine, dried, and concentrated. The residue was purified by flash chromatography on silica gel in EA to remove the dark color. The yellow compound was dissolved in THF (3 mL) and treated with TBAF (lmL, 2M solution in THF) for 30 mins. The solvent was evaporated, and the residue was subjected to silica gel chromatography on a Biotage cartridge (25g). EA saturated with water was used for isocratic elution. Each fractions were analyzed by TLC in DCM-MeOH (9:1 v/v). Fractions containing only the isomer with a high Rf were concentrated to give pure 130a (110 mg). MS: 285.1 [M-l].
EXAMPLE 123
Figure imgf000304_0001
[0640] Compound 130a (57 mg, 0.2 mmol) was dissolved in CH3CN (2 mL), containing N-methylimidazole (40 uL). The phosphorochloridate reagent (207 mg, 0.6 mmol) was added, and the mixture was kept overnight at 40 °C. The mixture was distributed between water and EA. The organic layer was separated, washed with brine, dried and evaporated. The product was isolated by silica gel chromatography in gradient of methanol in DCM from 0% to 15%. Compound 131a was obtained (46 mg, 39%). MS: m/z 593.9 [M- 1]·
EXAMPLE 124
COMPOUND 132a
Figure imgf000305_0001
[0641] To a stirred solution of 132-1 (5.0 g, 19.53 mmol) in anhydrous MeCN was added IBX (7.66 g, 27.34 mmol) at RT. The mixture was heated at 80 °C for 12 h, and then slowly cooled to RT. After filtration, the filtrate was concentrated to give crude 132-2 (4.87 g, 98%).
[0642] To a solution of 132-2 (4.96 g, 19.53 mmol) in anhydrous THF at -78 °C under N2 was added methyl magnesium bromide (19.53 mL, 58.59 mmol) by dropwise. The mixture was slowly warmed to RT, and stirred for 12 h. The mixture was quenched with sat. NH4CI solution, and extracted with EA. The organic layer was dried over anhydrous Na2S04; and evaporated at low pressure. The residue was purified by silica gel column chromatography to give 132-3 (4.37 g, 83%) as a white solid.
[0643] To a solution of 132-3 (4.37 g, 16.19 mmol) in anhydrous DCM (20 mL) was added DMAP (3.95 g, 32.38 mmol), TEA (4.91 g, 48.56 mmol), and BzCl (6.80 g, 48.56 mmol) at 0 °C. The mixture was stirred at RT overnight. The reaction was quenched with sat. NaHC03 solution (30 mL), and extracted with EA (3 x 50 mL). The organic layer was dried over anhydrous Na2S04, and evaporated at low pressure. The residue was purified by silica gel column chromatography to give crude 132-4 (5.3 g, 87%) as a white solid.
[0644] To a solution of 132-4 (3.0 g, 8.02 mmol) and Ac20 (4.91 g, 48.13 mmol) in acetic acid (10 mL) was added concentrated H2S04 (98%, 2.41 g, 24.06 mmol) at 0 °C. The mixture was stirred at RT for 12 h. The solution was poured into ice water (30 mL), and extracted with EA (3 x 50 mL). The organic layer was dried over anhydrous Na2S04i and evaporated at low pressure. The residue was purified by silica gel column chromatography to give 132-5 (2.3 g, 81%)) as a white solid.
[0645] To a stirred solution of 6-Cl-guanine (560 mg, 3.31 mmol) and 132-5 (1.1 1 g, 2.76 mmol) in anhydrous MeCN (5 mL) was added DBU (1.27 g, 8.28 mmol) under N2 at 0 °C. The mixture was stirred at RT for 30 mins. The mixture was cooled to 0 °C, and TMSOTf (2.45 g, 11.04 mmol) was added slowly in 15 mins. The mixture was then warmed RT in 30 mins. The mixture was heated at 60 °C for 4 h. The mixture was then poured into ice water (30 mL), and extracted with EA (3 x 50 mL). The organic layer was dried over anhydrous Na2S04 and evaporated at low pressure. The residue was purified by silica gel column chromatography to give 132-6 (800 mg, 70%) as a white solid.
[0646] To a solution of 132-6 (839 mg, 1.64 mmol), MMTrCl (1.46 g, 4.75 mmol) and AgN03 (697 mg, 4.1 mmol) in DCM (10 mL) was added collidine (794 mg, 6.56 mmol). The mixture was stirred for 12 h at RT. The reaction was quenched with sat. NaHC03 solution (20 mL). After filtration, the filtrate was extracted with DCM (3 x 20 mL). The organic layer was dried over anhydrous Na2S04j and evaporated at low pressure. The residue was purified by silica gel column chromatography to give 132-7 (1.3 g, 72.5%) as a white solid.
[0647] 3-hydroxyl acrylic nitrile (4.13 g, 5.82 mmol) was dissolved in anhydrous THF (10 mL). The solution was treated with NaH (464 mg, 11.6 mmol) at 0°C, and slowly warmed to RT, and stirred for 30 mins. A solution of 132-7 (912 mg, 1.16 mmol) in anhydrous THF (5 mL) was added slowly. The mixture was stirred at RT overnight. The reaction was quenched with water (40 mL), and extracted with EA (3 x 50 mL). The organic layer was dried over anhydrous Na2S04j and evaporated at low pressure. The residue was purified by silica gel column chromatography to give 132-8 (600 mg, 85%) as a white solid.
[0648] To a solution of 132-8 (6.20 g, 10.86 mmol) in anhydrous pyridine (10 mL) at 0 °C was added a solution of TsCl (4.54 g, 23.89 mmol) in anhydrous pyridine (10 mL) dropwise. The mixture was stirred at RT for 30 mins. The mixture was quenched with water (30 mL), and extracted with EA (3 x 50 mL). The organic layer was dried over anhydrous Na2S04i and evaporated at low pressure. The residue was purified by silica gel column chromatography to give 132-9 (6.0 g, 76%) as a white solid.
[0649] To a solution of 132-9 (6.0 g, 8.28 mmol) in acetone (30 mL) was Nal (4.97 g, 33.12 mmol), and refluxed overnight. The mixture was evaporated under reduced pressure. The residue was dissolved in EA (50 mL), and washed with sat .NaHC03 solution (30 mL). The organic layer was dried over anhydrous Na2S04; and evaporated at low pressure. The residue was purified by silica gel column chromatography to give 132-10 (5.43 g, 96.4%) as a white solid.
[0650] To a solution of 132-10 (5.0 g, 7.34 mmol) in anhydrous THF (20 mL) was added DBU (4.49 g, 29.37 mmol), and stirred at 60 °C overnight. The mixture was slowly cooled to RT. The mixture was quenched with water (30 mL), and extracted with EA (3 x 50 mL). The organic layer was dried over anhydrous Na2S04, and evaporated at low pressure. The residue was purified by silica gel column chromatography to give 132-11 (3.5 g, 85%o) as a white solid. [0651] To a solution of 132-11 (3.5 g, 6.33 mmol) and AgF (4.42 g, 34.81 mmol) in anhydrous DCM (20 mL) was added a solution of iodine (3.54 g, 13.93 mmol) in anhydrous DCM (5 mL) dropwise at 0°C. The mixture was stirred for 3 h. The reaction mixture was washed with sat. NaHC03 solution (40 mL) and extracted with EA (3 x 50 mL). The organic layer was dried over anhydrous Na2S04> and evaporated at low pressure. The residue was purified by silica gel column chromatography to give crude 132-12 (1.37g, 31%) as a white solid.
[0652] To a solution of 132-12 (1.37 g, 1.96 mmol) in anhydrous DMF (15 mL) was added sodium benzoate (2.82 g, 19.60 mmol) and 15-crown-5 (4.31 g, 19.60 mmol), and stirred at 90 °C for 3 d. The mixture was quenched with water (30 mL), and extracted with EA (3 x 50 mL). The organic layer was dried over anhydrous Na2S04j and evaporated at low pressure. The residue was purified by HPLC separation to give 132-13 (250 mg, 20%). ESI- MS: m/z: 694 [M+H]+
[0653] A mixture of 132-13 (250 mg, 0.36 mmol) in liquid ammonia was kept overnight at RT in high pressure glass vessel. Ammonia was then evaporated, and the residue purified on silica gel (10 g column) with CH2Cl2/MeOH (4-10% gradient) to give 132-14 (180 mg, 85%).
[0654] Compound 132a (85 mg, 56%) was prepared from 132-14 (99 mg) with i- PrMgCl (0.11 mL) and the phosphorochloridate reagent (94 mg) in THF (2 mL) followed by deprotection. MS: m/z = 627 [M+l].
EXAMPLE 125
Figure imgf000308_0001
133-4 133-5 133-6 133a [0655] To a solution of 133-1 (260 mg, 1 mmol), PPh3 (780 mg, 3 mmol) and pyridine (0.5 mL) in anhydrous THF (8 mL) were added I2 (504 mg, 2 mmol) at RT, and the mixture was stirred at RT for 12 h. The mixture was diluted with EtOAc and washed with 1M HCl solution. The organic layer was dried over Na2S04, filtered and concentrated at low pressure. The residue was purified by silica gel column (5% MeOH in DCM) to give 133-2 (190 mg, 85%) as a white solid.
[0656] To a solution of 133-2 (190 mg, 0.52 mmol) in THF (4 mL) was added DBU (760 mg, 5 mmol) at RT, and the mixture was heated at 50 °C overnight. The mixture was diluted with EtOAc, and washed with water. The organic layer was dried over anhydrous Na2S04 and concentrated at low pressure. The residue was purified by silica gel column (30% EA in PE) to give 133-3 (75 mg, 52%) as a white solid.
[0657] To a solution of 133-3 (200 mg, 0.82 mmol) in MeCN (anhydrous, 4 mL) was added S (337 mg, 1.5 mmol) and TEA»3HF (213 mg, 1.25 mmol) at RT, and the mixture was stirred at RT for 7 h. The reaction was quenched with sat. Na2S03 solution and sat. aq. NaHC03 solution. The mixture was extracted with EA. The organic layer was separated, dried over anhydrous Na2S04, and concentrated at low pressure. The residue was purified by silica gel column (20% EA in PE) to give 133-4 (300 mg, 62%) as a white solid.
[0658] To a solution of 133-4 (194 mg, 0.5 mmol) in pyridine(5 mL) was added BzCl (92 mg, 0.55 mmol) at 0 °C. The mixture was stirred at RT for 5 h, and the reaction was quenched with water. The mixture was concentrated at low pressure, and the residue was purified by silica gel column (20% EA in PE) to give 133-5 (397 mg, 81%) as a white solid.
[0659] To a solution of 133-5 (1.05 g, 2.13 mmol) in DCM (12 mL) was added a mixture of TFA (0.5 mL) and B114NOH (1 mL), followed by addition of -CPBA (1.3 g, 6 mmol) at RT. The mixture was stirred at RT for 5 h. The mixture was washed with sat. Na2S03 solution and aq. NaHC03 solution. The organic layer was dried over anhydrous Na2S04, and concentrated at low pressure. The residue was purified by silica gel column (30% EA in PE) to give 133-6 (450 mg, 63%) as a white solid.
[0660] Compound 133-6 (250 mg, 0.65 mmol) was dissolved in NH3/MeOH (5 mL). The mixture was stirred at RT for 5 h, and then concentrated at low pressure. The residue was puri ied by silica gel column (5% MeOH in DCM) to give 133a (120 mg, 66%) as a white powder. ESI-MS: m/z 279.0 [M+H]+.
EXAMPLE 126
COMPOUND 134a
Figure imgf000310_0001
[0661] Sodium (6.0 g, 261.2 mmol) was dissolved in dry EtOH (400ml) at 0 °C, and slowly warmed to RT. Compound 134-1 (32.0 g, 43.5 mmol) was treated with a freshly prepared NaOEt solution at 0 °C, and the mixture was stirred at RT overnight. The reaction was monitored by TLC and LCMS. After completion of the reaction, the mixture was concentrated at low pressure. The mixture was quenched with H20 (40 mL), and extracted with EA (3 x 50 mL). The organic layer was dried over anhydrous Na2S04j and evaporated at low pressure. The residue was purified by silica gel column chromatography (MeOH in DCM from 0.5% to 2%) to give 134-2 (20.0 g, 76.6%) as a white solid.
[0662] Compound 134-2 (20.0 g, 33.3 mmol) was co-evaporated with anhydrous pyridine 3 times. To an ice cooled solution of 134-2 in anhydrous pyridine (100 mL) was added TsCl (9.5 g, 49.9 mmol) at 0 °C. After addition, the reaction was stirred for 12 h at 20 °C, and monitored by LCMS. The reaction was quenched with H20, and concentrated at low pressure. The residue was dissolved in EA (50 mL). The solution was washed with sat. NaHC03 solution and brine. The organic layer was dried over anhydrous Na2S04; and evaporated at low pressure. The residue was purified by silica gel column chromatography (MeOH in DCM from 0.5% to 2%) to give 134-3 (20.0 g, 80%) as a yellow solid. [0663] To a solution of 134-3 (20.0 g, 26.5 mmol) in acetone (100 mL) was added Nal (31.8 g, 212 mmol), and heated to reflux overnight. The reaction was checked by LCMS. After the reaction was complete, the mixture was concentrated at low pressure. The residue was dissolved in EA (50 mL). The solution was washed with brine. The organic layer was dried over anhydrous Na2S04i and evaporated at low pressure. The residue was purified by silica gel column chromatography (MeOH in DCM from 0.5% to 2%) to give a crude product. To a solution of the crude product in dry THF (60 mL) was added DBU (16.2 g, 106 mmol), and heated to 60 °C. The mixture was stirred overnight and checked by LCMS. The reaction was quenched with sat. NaHC03 solution, and extracted with EA (3 x 50 mL). The organic phase was washed with brine, dried over anhydrous Na2S04> and evaporated at low pressure. The residue was purified by silica gel column chromatography (MeOH in DCM from 0.5% to 2%) to give 134-4 (12.0 g, 77.9%) as a yellow solid.
[0664] To an ice-clod solution of 134-4 (1 1.0 g, 18.9 mmol) in dry MeCN (lOOmL) was added MS (5.4 g, 23.7 mmol) and NEt3 »3HF (3.0 g, 18.9 mmol) at 0 °C. The mixture was stirred at RT for 4 h., and checked by LCMS. After the reaction was complete, the reaction was quenched with sat. Na2S03 solution and sat. NaHC03 solution. The solution was extracted with EA (3 x 100 mL). The organic layer was washed with brine, dried over anhydrous Na2S04i and evaporated at low pressure. The residue was purified by silica gel column chromatography (EA in PE from 12% to 50%) to give 134-5 (1 1 .0 g, 79.9%).
[0665] To a solution of 134-5 (10.0 g, 13.7 mmol) in dry DMF (100 mL) was added NaOBz (19.8 g, 137 mmol) and 15-crown-5 (30.2 g, 137 mmol). The reaction was stirred for 48 h at 90 °C, and diluted with EA. The solution was washed with water and brine, and dried over MgS04. The organic layer was evaporated at low pressure, and the residue was purified by silica gel column chromatography (EA in PE from 12% to 50%) to give 134-6 (8.0 g, 80.0%).
[0666] Compound 134-6 (6.0 g, 8.3 mmol) was co-evaporated with anhydrous toluene 3 times, and treated with NH3 in MeOH (4N, 50 mL) at RT. The reaction was stirred for 18 h at RT. The reaction was monitored by LCMS. After the reaction was complete, the mixture was concentrated at low pressure. The residue was purified by silica gel column chromatography (EA in PE from 20% to 50%) to give 134-7 (4.5 g, 87.8%). ESI-MS: m/z 617.9 [M+H]+.
[0667] To an ice cooled mixture of 134-7 (25 mg, 0.07 mmol) and NMI (46 μΐ, 8 equiv.) in acetonitrile (0.7 mL) was added the phosphorochloridate reagent (73 mg, 3 equiv.) and stirred overnight at RT. Additional amounts of NMI (46 uL) and the phosphorochloridate reagent (73 mg) were added and stirring continued for 1 d. The reaction was quenched with sat. aq. NH4C1, diluted with EtOAc and water. The organic layer was separated and washed with aq. NaHC03, water, and brine, and then dried (Na2S04). The residue was purified on silica gel (10 g column) with CH2Cl2/i-PrOH (4-10% gradient) to yield 134a (18 mg, 40%). MS: m/z = 655 [M+l].
EXAMPLE 127
Figure imgf000312_0001
135-10 135-11 135a
[0668] To a solution of compound 135-1 (30 g, 0.08 mol) in anhydrous THF (300 mL) was added a solution of lithium tri-tert-butoxyaluminohydride (120 mL, 0.12 mol) dropwise at -78 °C under N2. The mixture was stirred at -20 °C for 1 h. The reaction was quenched with sat. aq. NH4CI and then filtered. The filtrate was extracted with EA (3 x 300 mL). The organic layer was dried over anhydrous Na2SC>4, and concentrated at low pressure. The residue was purified by silica gel column (10% EA in PE) to give 135-2 (26 g, 86%) as a colorless oil. [0669] To a stirred solution of PPh3 (37.7 g, 0.144 mol) in DCM (100 mL) was added compound 135-2 (27 g, 0.072 mol) at -20 °C under N2. After the mixture was stirred at RT for 15 mins, CBr4 (42 g, 0.129 mol) was added while maintaining the reaction temperature between -25 and -20°C under N2. The mixture was then stirred below -17 °C for 20 mins. Silica gel was added into the solution, and then purified by flash silica gel column separation to give the crude oil product. The crude was purified by silica gel column (EA in PE from 2% to 20%) to give 135-3 (a-isomer, 17 g, 55%) as a colorless oil.
[0670] A mixture of 6-Cl-guanine (11.6 g, 68.8 mmol) and t-BuOK (8.2 g, 73 mmol) in t-BuOH (200 mL) and MeCN (150 mL) was stirred at 35 °C for 30 mins, and then 135-3 (10 g, 22.9 mmol) in MeCN 100 mL) was added at RT. The mixture was heated at 50 °C overnight. The reaction was quenched with a solution of NH4CI (5 g) in water (40 mL), and the mixture was filtered. The filtrate was evaporated at low pressure. The residue was purified by silica gel column (20% EA in PE) to give 135-4 (6 g, 42%) as a yellow solid.
[0671] To a solution of 135-4 (12.5 g, 23.8 mol) in DCM (50 mL) was added AgN03 (8.1 g, 47.6 mmol), collidine (5.77 g, 47.6 mmol) and MMTrCl (11 g, 35.7 mmol). The mixture was stirred at RT overnight. The reaction was quenched with MeOH (5 mL), filtered and concentrated at low pressure. The residue was purified by silica gel column (5% MeOH in DCM) to give the intermediate (16 g, 86%) as a yellow solid. To a solution of HOCH2CH2CN (4.7 g, 66 mmol) in THF (200 mL) was added NaH (3.7 g, 92 mmol) at 0 °C. The mixture was stirred at RT for 30 mins. A solution of the intermediate (10.5 g, 13 mmol) in THF (50 mL) was added, and the reaction mixture was stirred at RT for 12 h. The reaction was quenched with MeOH (2 mL), diluted with EA (100 mL), and washed with brine. The organic layer was dried over anhydrous Na2S04, and concentrated at low pressure. The residue was purified by silica gel column (5% MeOH in DCM) to give 135-5 (5.8 g, 77%) as a yellow solid.
[0672] To a solution of PPh3 (7.0 g, 26.6 mmol) in anhydrous pyridine (100 mL) was added I2 (6.3 g, 24.9 mmol), and stirred at RT for 30 mins. The mixture was treated with a solution of 135-5 (9.5 g, 16.6 mmol) in pyridine (40 mL). The mixture was stirred at RT overnight. The reaction was quenched with sat. Na2S203 solution, and the mixture was extracted with EA. The organic layer was washed with brine, dried over anhydrous Na2S04, and concentrated at low pressure. The residue was purified by silica gel column (30% EA in PE) to give 135-6 (7 g, 66%) as a yellow solid.
[0673] To a solution of 135-6 (7.5 g, 1 1 mmol) in dry THF (50 mL) was added DBU (5.4 g, 33 mmol), and the mixture was heated to reflux for 4 h. The mixture was diluted with EA (3 x 100 mL), and washed with brine. The organic layer was dried over anhydrous Na2S04i and concentrated at low pressure. The residue was purified by silica gel column (30% EA in PE) to give 135-7 (4.0 g, 67%) as a white solid.
[0674] To an ice-cooled solution of 135-7 (3.0 g, 5.4 mmol) in anhydrous MeCN (20 mL) was added TEA«3HF (0.65 g, 4.1 mmol) and S (1.53 g, 6.78 mmol) at RT, and the reaction mixture was stirred at RT for 2 h. The mixture was diluted with EA (50 mL), and washed with sat. Na2S203 solution and NaHC03 aq. The organic layer was dried over anhydrous Na2S04j and concentrated to dryness at low pressure. The residue was purified by prep-HPLC (0.1% HCOOH in water and MeCN) to separate the two isomers (about 1 : 1). NOE showed the polar one was 135-8 (0.6 g, 16%) as a white solid.
[0675] To a solution of 135-8 (0.7 g, 1 mmol) in dry pyridine (10 mL) was added BzCl (147 mg, 1.05 mmol) at 0 °C. The mixture was stirred at RT for 3 h. The mixture was then diluted with EA, and washed with sat. NaHC03 aq. and brine. The organic layer was dried over Na2S04, and evaporated at low pressure. The residue was purified by silica gel column (20% EA in PE) to give 135-9 (0.65 g, 81%) as a white solid.
[0676] To a solution of 135-9 (0.65 g, 0.8 mmol) in dry DMF (40 mL) was added NaOBz (1.15 g, 8 mmol) and 15-crown-5 (1.77 g, 8 mmol). The mixture was stirred at 100 °C for 48 h. The solvent was evaporated at low pressure, and the residue was dissolved in EA (30 mL), and washed with water and brine. The organic layer was dried over Na2S04 and concentrated at low pressure. The residue was purified by silica gel column (20% EA in PE) to give 135-10 (500 mg, 78%) as a white solid.
[0677] Compound 135-10 (400 mg, 0.5 mmol) in NH3/MeOH (7N, 100 mL) was stirred at RT for 18 h. The mixture was concentrated at low pressure, and the residue was purified by silica gel column (5% MeOH in DCM) to give 135-11 (220 mg, 63%) as a white solid. ESI-MS: m/z 590.3 [M+H]+. [0678] Compound 135-11 (59 mg, 0.1 mmol) was dissolved in 50% TFA in methanol (10 mL), and the mixture was kept at RX for 2 h. The solvent was evaporated and co-evaporated with a methanol/toluene mixture to remove traces of the acid. The residue was suspended in CH3CN (1 mL) and centrifuged. The precipitate was washed with CH3CN (lmL) and dried. Compound 135a was obtained as a colorless solid (21 mg, 65%>. MS: m/z 316.2 [M-l].
EXAMPLE 128
COMPOUND 136a
Figure imgf000315_0001
[0679] Compound 136a (15 mg, 16%) was prepared from 136-1 (50 mg) in acetonitrile (2 mL) with the phosphorochloridate reagent (0.14 g) and NMI (0.1 mL) in the same manner as compound 7. MS: m/z = 643 [M+l].
EXAMPLE 129
COMPOUND 137a
Figure imgf000315_0002
[0680] Compound 137a (30 mg, 32%) was prepared from 137-1 (50 mg) in acetonitrile (2 mL) with the phosphorochloridate reagent (0.14 g) and NMI (0.1 mL) in the same manner as compound 7. MS: m/z = 615 [M+l].
EXAMPLE 130
Figure imgf000316_0001
[0681] To a stirred solution of 133a (60 mg, 0.22 mmol) in anhydrous THF (2.0 mL) was added N-methylimidazole (0.142 mL, 1.73 mmol) at 0 °C (dry ice/acetone bath) followed by solution of phenyl (cyclohexanoxy-L-alaninyl) phosphorochloridate (235 mg, 0.68 mmol, dissolved in THF (2 mL). The resulting solution was stirred at 0 °C for 1 h, and the temperature was raised up-to 10 °C over the next 1 h. The reaction left at 10 °C for 3 h. The mixture was cooled to 0 to 5 °C, diluted with EA, and water (5 mL) was added. The solution was washed with H20 and brine. The organic layer was separated, dried over anhydrous a2S04 and filtered. The filtrate was concentrated in vacuum to give a residue, which dissolved in 25% CH3CN/H20. The compound was purified on a reverse-phase HPLC (CI 8) using acetonitrile and water, followed by lyophilization gave a white foam. The produce was re-dissolved in EtOAc, washed with 50 % aqueous citric acid solution, dried over anhydrous MgS04 and filtered. The filtrate was concentrated in vacuum, and lyophilized to give two isomers (Rp/Sp) of 138a (6.3 mg). MS m/z 586.05 [M-H].
EXAMPLE 131
Figure imgf000316_0002
[0682] To a stirred solution of 133a (100 mg, 0.36 mmol) in anhydrous THF (3.0 mL) was added N-methylimidazole (236 μί, 2.87 mmol) at 0 °C (dry ice/acetone bath) followed by a solution of the phosphorochloridate (329 mg, 1.08 mmol, dissolved in 2 mL of THF). The solution was stirred at 0 °C for 1 h, the reaction temperature was raised up-to 10 °C during the next 1 h, and the solution was left at 10 °C for the next 4 h. The mixture was cooled to 0 to 5 °C, diluted with EA, and water was added (15 mL). The solution was washed H20, 50 % aqueous citric acid solution and brine. The organic layer was separated, dried over anhydrous MgS04 and filtered. The filtrate was concentrated in vacuum to give a residue, which dissolved in 25% CH3CN/ H20. The residue was purified on a reverse-phase HPLC (CI 8) using acetonitrile and water, followed by lyophilization to give a mixture of two isomers of 139a (17.5 mg). MS m/z 546.05 [M-H].
EXAMPLE 132
COMPOUNDS 140a AND 141a
Figure imgf000317_0001
140a 141a
[0683] To a solution of 140-1 (0.47 g, 0.65 mol) in DCM (3 mL) was added AgN03 (0.22 g, 1.29 mmol), collidine (0.15 g, 1.29 mmol) and MMTrCl (0.3 g, 0.974 mmol) at 0 °C. The mixture was stirred at RT overnight. The mixture was filtered, and the filter was washed with sat. aq. NaHC03 solution and brine. The organic layer was separated, dried over anhydrous Na2S04 and concentrated at low pressure. The residue was purified by silica gel column to give 140-2 (0.55, 85%) as a white solid.
[0684] To a solution of 140-2 (0.5 g, 0.5 mmol) in dry DMF (10 mL) was added NaOBz (0.72 g, 5 mmol) and 15-crown-5 (0.9 mL). The mixture was stirred at 95 °C for 72 h. The mixture was diluted with EA, and washed with water and brine. The organic phase was dried over MgS04 and concentrated at low pressure. The residue was purified by silica gel column (10% EA in PE) to give 140-3 (0.3 g, 60%) as a white solid.
[0685] Compound 140-3 (0.3 g, 0.3 mmol) in NH3/MeOH (30 mL) was stirred at RT for 18 h. The mixture was concentrated at low pressure, and the residue was purified by silica gel column (20% EA in PE) to give 140-4 (145 mg, 56%) as a white solid. ESI-LCMS: m/z 890.5 [M+H]+.
[0686] To a stirred solution of 140-4 (161 mg, 0.16 mmol) in anhydrous CH3CN (2.0 mL) was added N-methylimidazole (1 18 μί, 2.87 mmol) at 0 to 5 °C (ice/water bath) followed by solution of 140-5 (186 mg, 0.54 mmol, dissolved in 2mL of CH CN). The solution was stirred at 0 to 5 °C for 4 h. The mixture was diluted with EA, and water was added (15 mL). The solution was washed H20, 50 % aqueous citric acid solution and brine. The organic layer was separated, dried over anhydrous MgS04 and filtered. The filtrate was concentrated in vacuum to give a residue, which was purified on silica gel with 0 to 40% EA/hexanes to give as 140-6 (82.6 mg) as the faster eluting isomer and 140-7 (106 mg) as the slower eluting isomer.
[0687] Compound 140-6 (82.6 mg, 0.07 mmol) was dissolved in_anhydrous CH3CN (0.5 mL), and 4N HC1 in dioxane (35 μί) was added at 0 to 5 °C. The mixture was stirred at RT for 1 h, and anhydrous EtOH (100 μί) was added. The solvents were evaporated at RT and co-evaporated with toluene 3 times. The residue was dissolved in 50% CH3CN/H20, and purified on a reverse-phase HPLC (CI 8) using acetonitrile and water, followed by lyophilization to give 140a (19.4 mg). ESI-LCMS: m/z = 655.2 [M+H]+, 653.15 [M-H]".
[0688] Compound 140-7 (100 mg, 0.083 mmol) was dissolved in anhydrous CH3CN (0.5 mL), and 4N HC1 in dioxane (50 μΐ,) was added at 0 to 5 °C. Following the procedure for obtaining 140a, 141a (31.8 mg) was obtained. ESI-LCMS: m/z = 655.2 [M+H]+, 653.1 [M-H]".
EXAMPLE 133
Figure imgf000319_0001
142-13 142-14
Figure imgf000320_0001
Figure imgf000320_0002
142a 143a
[0689] To a stirred suspension of 142-1 (50 g, 84.8 mmol) and 2-amino-6- chloropurine (28.6 g, 169.2 mmol) in anhydrous MeCN (500 mL) was added DBU (77.8 g, 508 mmol) at 0 °C. The mixture was stirred at 0 °C for 30 mins, and TMSOTf (150.5 g, 678 mmol) was added dropwise at 0 °C. The mixture was stirred at RT for 20 mins until a clear solution was formed. The mixture was stirred at 90-1 10°C overnight. The mixture was cooled to RT, and diluted with EA. The solution was washed with sat. NaHC03 solution and brine. The organic layer was dried over Na2S04 and then concentrated at low pressure. The residue was purified by silica gel column (PE/EA = 2/1) to give 142-2 (30 g, 55.5%) as a white solid.
[0690] To a solution of 142-2 (30 g, 47.1 mmol) in anhydrous DCM (300 mL) was added collidine (30 mL), AgN03 (24 g, 141.4 mmol) and MMTrCl (43.6 g, 141.4 mmol). The mixture was stirred at RT overnight The mixture was filtered, and the filtrate was washed with water and brine. The organic layer was dried over anhydrous Na2S04> and concentrated at low pressure. The residue was purified by silica gel column (PE/EA= 4/1) to give 142-3 (35 g, 82%) as a white solid.
[0691] To a stirred solution of 142-3 (35 g, 38.5 mmol) in anhydrous EtOH (150 mL) was added a solution of EtONa in EtOH (2N, 150 mL). The mixture was stirred at RT overnight, and then concentrated at low pressure. The residue was dissolved in EA (200 mL) and the solution was washed with water and brine. The organic layer was dried over a2S04; and concentrated at low pressure. The residue was purified by silica gel column (DCM/MeOH = 100/2) to give 142-4 (19 g, 81%) as a white solid. [0692] Compound 142-4 (19 g, 31.3 mmol) was co-concentrated with anhydrous pyridine for 3 times. To an ice cooled solution of 142-4 in anhydrous pyridine (120 mL) was added a solution of TsCl (6.6 g, 34.6 mmol) in pyridine (40 mL) dropwise at 0 °C. The mixture was stirred at 0 °C for 16 h. The mixture was quenched with water, and the reaction mixture was concentrated. The residue was re-dissolved in EA (200 mL). The solution was washed with sat. aq. NaHC03 and brine. The organic layer was dried over anhydrous Na2S04 and filtered, and the filtrate was concentrated. The residue was purified by silica gel column (DCM/MeOH = 100/1) to give 142-5 (16 g, 67 %) as a yellow solid.
[0693] To a solution of 142-5 (15 g, 19.7 mmol) in acetone (100 mL) was added Nal (30 g, 197 mmol). The mixture was refluxed overnight, and then concentrated at low pressure. The residue was purified by silica gel column (DCM/MeOH = 100/1) to give 142-6 (9 g, 63.7%) as a white solid.
[0694] To a solution of 142-6 (8 g, 1 1.2 mmol) in anhydrous THF (60 mL) was added DBU (5.12 g, 33.5 mmol), and the mixture was heated at 60°C overnight. The mixture was diluted with EA, and washed with water and brine. The organic layer was dried over anhydrous Na2S04 and filtered, and the filtrate was concentrated. The residue was purified by silica gel column (PE/acetone = 4/1) to give 142-7 (5.7 g, 86%) as a white solid. ^-NMR (CD3OH, 400MHz) S = 8.18 (s, 1H), 7.17-7.33 (m, 12H), 6.80 (d, J = 8.8 Hz, 2H), 5.98 (s, 1H), 5.40 (d, J = 8.6 Hz, 1H), 3.87 (m, 5H), 3.75 (s, 3H), 2.69 (s, 1H), 1.05 (s, 3H).
[0695] To an ice cooled solution of 142-7 (4.44 g, 7.5 mmol) in anhydrous MeCN (45 mL) was added TEA»3HF (1.23 g, 7.6 mmol) and NIS (2.16 g, 9.5 mmol). The mixture was stirred at RT for 2-3 h. The reaction was quenched with sat. Na2S03 and NaHC03 solution. The mixture was extracted with EA (3 x 100 mL). The organic layer was separated, dried over anhydrous Na2S04 and concentrated at low pressure. The residue was purified by silica gel column (DCM/acetone = 100/2) to give 142-8 (4.4 g, 79.8%) as a white solid.
[0696] To a solution of 142-8 (5.36 g, 7.3 mmol) in anhydrous DCM (50 mL) was added DMAP (3.6 g, 29.8 mmol) and BzCl (3.1 g, 22.1 mmol) at 0 °C. The mixture was stirred at RT overnight. The mixture was washed with sat. aq. NaHC03 and brine. The organic layer was concentrated, and the residue was purified by silica gel column (PE/EA= 5/1) to give 142-9 (5.6 g, 81.3%) as a white solid.
[0697] To a solution of 142-9 (5.0 g, 5.3 mmol) in anhydrous DMF (150 mL) was added NaOBz (7.64 g, 53 mmol) and 15-crown-5 (14 g, 68 mmol). The mixture was stirred at 90-100 °C for 48 h. The mixture was diluted with EA, and washed with water and brine. The organic layer was concentrated, and the residue was purified by silica gel column (PE/EA = 5/1) to give 142-10 (3.9 g, 78.5%) as a white solid.
[0698] Compound 142-10 in NH3 in MeOH (7N, 60 mL) was stirred at RT for 18 h. The mixture was concentrated at low pressure. The residue was purified by silica gel column (DCM/acetone = 50/1) to give 142-11 (500 mg, 74.7%) as a white solid. ESI-MS: m/z 626.3 [M+H]+.
[0699] To a solution of 142-11 (350 mg, 0.56 mmol) in anhydrous pyridine (4 mL) was added imidazole (50 mg, 0.72 mmol) and TBSC1 (108 mg, 0.72 mmol) at 0 to 5 °C, and stirred at RT for 15 h. The reaction was quenched with absolute EtOH (0.5 mL). The solution was concentrated to dryness under reduced pressure. The residue was dissolved in EA (150 mL), and washed with water, sat. NaHC03 and brine. The combined organic layers were dried over Na2S04, filtered and evaporated at low pressure. The residue was purified by silica gel column (10-30% EA in hexanes) to give 142-12 (338 mg, 81.8%) as a white solid.
[0700] To a solution of 142-12 (328 mg, 0.44 mmol), AgN03 (226 mg, 1.33 mmol) and collidine (0.59 mL, 4.84 mmol) in anhydrous DCM (4 mL) was added MMTrCl (410 mg, 1.33 mmol) under N2. The mixture was stirred at RT overnight under N2, and monitored by TLC to completion. The mixture was filtered through pre-packed Celite filter, and the filtrate was washed with water, 50% aqueous citric acid, and brine. The organic layer was separated, dried over anhydrous Na2S04; filtered and concentrated at low pressure. The residue was purified by silica gel column (EA in hexanes from 0% to 30%) to give 142-13 (337 mg).
[0701] To a solution of 142-13 (337 mg, 0.33 mmol) in anhydrous THF (4 mL) was added 1.0 M solution of TBAF (0.66 ML, 0.66 mmol) at 0 to 5°C. The reaction was slowly warmed to RT, and stirred for 1 h. The mixture was quenched with silica gel, and filtered. The solvents were evaporated to give the crude product, which was purified by silica gel column (EA in hexanes from 0% to 50%) to give 142-14 (188 mg).
[0702] To a stirred solution of 142-14 (180 mg, 0.16 mmol) in anhydrous CH3CN (2.5 mL) was added N-methylimidazole (132 μί, 1.6 mmol) at 0-5 °C (ice/water bath) followed by solution of phenyl (cyclohexanoxy-L-alaninyl) phosphorochloridate (207 mg, 0.6 mmol, dissolved in 2mL of CH3CN). The solution was stirred at RT for 2.5 h, and the mixture was diluted with EA followed by addition of water (15 mL). The solution was washed H20, 50 % aqueous citric acid solution and brine. The organic layer was separated, dried over anhydrous MgS04 and filtered. The filtrate was concentrated in vacuum to give a residue, which was purified on silica gel with 0 to 40% EA/hexanes to give 142-15 (75.8 mg) and 27-15 (108 mg) as a slower eluting isomer.
[0703] Compound 142-15 (76 mg, 0.063 mmol) was dissolved in_anhydrous CH3CN (0.5 mL), and 4N HC1 in dioxane (47 L) was added at 0 to 5 °C (ice/ water bath). The mixture was stirred at RT for 40 mins, and anhydrous EtOH (200 μΕ) was added. The solvents were evaporated at RT and co-evaporated with toluene 3 times. The residue was dissolved in 50% CH3CN/ H20, purified on a reverse-phase HPLC (CI 8) using acetonitrile and water, and lyophilized to give compound 142a (26.6 mg). ESI-LCMS: m/z = 663.3 [M+H]+.
[0704] Compound 142-16 (108 mg, 0.089 mmol) was dissolved in_anhydrous CH3CN (0.7 mL), and 4N HC1 in dioxane (67 μί) was added at 0 to 5 °C (ice/ water bath). The mixture was stirred at RT for 60 mins, and anhydrous EtOH (200 μΕ) was added. The solvents were evaporated at RT and co-evaporated with toluene 3 times. The residue was dissolved in 50% CH3CN/ H20, purified on a reverse-phase HPLC (CI 8) using acetonitrile and water, and lyophilized to give 143a (40.3 mg). ESI-LCMS: m/z = 663.2 [M+H]+.
EXAMPLE 134
Figure imgf000324_0001
[0705] To a solution of 144-1 (150 mg, 0.24 mmol) in DCM (2.0 mL), triethylamine (141 μΤ, 2.0 mmol) was added at RT. The mixture was cooled to 0 to 5°C (ice/water bath), and freshly prepared and distilled isopropyl phosphorodichloridate (45 μΤ, 0.26 mmol. prepared according to a procedure , Reddy et al. J. Org. ( hem. 2011. 76 (10), 3782-3790) was added. The mixture was stirred at 0 to 5°C (ice/water bath) for 15 mins, followed by N-methylimidazole (40 μΐ,, 0.49 mmol). The mixture was stirred for 1 h at 0 to 5°C. TLC showed the absence of starting material 144-1. EA (100 mL) was added, followed by water. The organic layer was washed with H20, sat. aq. NH4CI solution and brine. The organic layer was separated, dried over anhydrous MgS04 and filtered. The filtrate was concentrated in vacuum to give a residue, which was purified on silica gel with 0 to 10% iPrOH/ DCM to give 144-2a (16.9 mg, faster eluting isomer) and 144-2b (72.7 mg, slower eluting isomer).
[0706] Compounds 144-2a and 144-2b were deprotected using a procedure described herein. 144a (7.3 mg, single isomers from 144-2a (16.5 mg, 0.0235 mmol)) and 145a (29.0 mg. single isomers from 144-2b (72.7 mg, 0.1 mmol)) were obtained.
[0707] 144a: ESI-LCMS: m/z = 448.05 [M+H]+. Compound 145a: ESI-LCMS: m/z = 448.05 [M+H]+. EXAMPLE 135
Figure imgf000325_0001
[0708] A mixture of 146-1 (45 mg, 0.06 mmol) and butylamine (0.4 mL) was kept overnight at RT and then evaporated. The crude residue was purified on silica gel (10 g column) with CH2Cl2/MeOH (4-12% gradient) to yield 146-2 as a colorless glass (20 mg, 56%).
[0709] To a solution of 146-2 (20 mg, 0.03 mmol) in ACN (0.5 mL) was added 4N HC1 in dioxane (35 iL). The mixture was stirred at RT for 4 h and then quenched with MeOH. The residue was treated with ACN to yield 146a as an off-white solid (9 mg, 80%). MS m/z = 328 [M+l].
EXAMPLE 136
Figure imgf000326_0001
147-8 147-9
Figure imgf000326_0002
Figure imgf000326_0003
Figure imgf000327_0001
Figure imgf000327_0002
[0710] To a mixture of pre-silylated 6-Cl-guanine (using HMDS and (NH4)2S04) (25.2 g, 150 mmol) in DCE (300 mL) was added 147-1 (50 g, 100 mmol) and TMSOTf (33.3 g, 150 mmol) at 0 °C. The mixture was stirred at 70 °C for 16 h, and then concentrated at low pressure. The residue was re-dissolved in EA, and washed with sat. aq. NaHC03 and brine. The organic layer was dried over anhydrous Na2S04, and concentrated at low pressure. The residue was purified on silica gel column (PE/EA = 2/1) to give pure 147-2 (45 g, 73%) as a white solid.
[0711] To a solution of 147-2 (45 g, 73.4 mmol) in EtOH (73 mL) was added with EtONa (IN in EtOH, 360 mL). The mixture was stirred at RT for 16 h. The mixture was then concentrated to give a residue, which was purified by silica gel column (DCM/MeOH = 10/1) to give pure 147-3 (19 g, 83%) as a white solid.
[0712] To a solution of 147-3 (19 g, 61.1 mmol) in pyridine (120 mL) was added with TIPDSC12 (19.2 g, 61 mmol) dropwise at 0 °C. The mixture was stirred at RT for 16 h, and then concentrated at low pressure. The residue was re-dissolved in EA, and washed with sat. aq. NaHC03. The organic layer was dried over anhydrous a2S04, and concentrated at low pressure. The residue was purified by silica gel column (DCM/MeOH = 20/1) to give pure 147-4 (22 g, 65%) as a white solid.
[0713] To a solution of 147-4 (22 g, 39.8 mmol) in DMF/pyridine (5/1 , 100 mL) was added TMSC1 (12.9 g, 1 19 mmol) dropwise at 0 °C. The mixture was stirred at RT for 1 h and then treated with isobutyryl chloride (5.4 g, 50 mmol). The mixture was stirred at RT for 3 h and then quenched by NH4OH. The mixture was concentrated at low pressure. The residue was dissolved in EA (200 mL). The solution was washed with sat. aq. NaHC03, and then the organic layer was dried and concentrated at low pressure. The residue was purified by silica gel column (DCM/MeOH = 50/1) to give pure 147-5 (15 g, 60%) as a white solid.
[0714] To a solution of 147-5 (15 g, 24.1 mmol) in DCM (100 mL) was added PDC (13.5 g, 26 mmol) and Ac20 (9.8 g, 96 mmol) at 0 °C. The mixture was stirred at RT for 16 h. The reaction was quenched by sat. aq. NaHC03, and then extracted with EA. The organic layer was dried over anhydrous Na2S04, and concentrated at low pressure. The residue was dissolved in anhydrous THF (100 mL). To a solution of TMSCCH (12 g, 1 12 mmol) in THF (200 mL) was added n-BuLi (2.5 N, 44 mL) at -78 °C. The mixture was stirred at -78 °C for 15 mins and 0 °C for 15 mins. The mixture was treated with a solution of crude ketone in THF at -78 °C and stirred at -30 °C for 2 h. The reaction was quenched by sat. aq. NH4CI, and then extracted by EA. The combined organic layer was dried over anhydrous Na2S04, and concentrated at low pressure. The residue was purified by silica gel column (PE/EA= 10/1) to give pure 147-6 (3.1 g, 18%) as a white solid.
[0715] To a solution of 147-6 (7 g, 7.5 mmol) and pyridine (1.4 g, 17 mmol) in DCM (35 mL) was added with DAST (5.6 g, 35 mmol) at -78 °C. The mixture was stirred at -78 °C for 3 h. The reaction was quenched by sat. aq. NaHC03, and then extracted with EA. The combined organic layer was dried over anhydrous, and concentrated at low pressure. The residue was purified by silica gel column (PE/EA= 10/1) to give pure 147-7 (3.1 g, 18%) as a white solid.
[0716] Compound 147-7 (4.1 g, 5.7 mmol) in sat. NH3/MeOH (100 mL) was stirred at RT for 16 h, and concentrated at low pressure. The residue was re-dissolved in anhydrous DCM (300 mL), and was treated with AgN03 (27.0 g, 160 mmol), collidine (22 mL) and MMTrCl (23.0 g, 75.9 mmol) in small portions under N2. The mixture was stirred at RT for 16 h. The mixture was filtered, and the filtrate was washed with sat. NaHC03 solution and brine. The organic layer was separated, dried over anhydrous Na2S04i and concentrated at low pressure. The residue was purified by silica gel column (PE/EA = 10/1) to give the pure intermediate. The intermediate was dissolved in a solution of TBAF/THF (IN, 20 mL). The mixture was stirred at RT for 2 h and then concentrated at low pressure. The residue was purified by silica gel column (DCM/MeOH = 50/1) to give pure 147-8 (3.0 g, 86%) as a white solid.
[0717] To a solution of 147-8 (3.0 g, 4.9 mmol) in THF (50 mL) was added imidazole (840 mg, 12 mmol), PPh3 (3.2 g, 12 mmol), and I2 (2.4 g, 9.2 mmol) at 0 °C. The mixture was stirred at RT for 16 h. The reaction was quenched by sat. aq. Na2S203, and then extracted with EA. The combined organic layer was dried over anhydrous Na2S04, and concentrated at low pressure. The residue was purified by silica gel column (PE/EA= 2/1) to give crude 147-9 (4.2 g, >100%, containing TPPO) as a white solid.
[0718] To a solution of crude 147-9 in anhydrous THF (30 mL) was added DBU (2.7 g, 18 mmol), and heated to 80 °C. The mixture was stirred for 1 h and checked by LCMS. The mixture was quenched by water, and extracted with EA. The organic layer was dried over anhydrous Na2S04 and filtered, and the filtrate was concentrated at low pressure. The residue was purified by silica gel column (PE/EA= 2/1) to give 147-10 (2.0 g, 69%) as a white solid.
[0719] To an ice cooled solution of 147-10 (2.0 g, 3.38 mmol) in anhydrous MeCN (15 mL) was added NIS (777 mg, 3.5 mmol) and NEt3 »3HF (536 g, 3.3 mmol) at 0 °C. The mixture was stirred at RT for 16 h and checked by LCMS. After completion, the mixture was quenched by sat. Na2S03 and sat. NaHC03 solution, and extracted with EA. The organic layer was separated, dried over anhydrous Na2S04 and concentrated at low pressure. The residue was purified by silica gel column chromatography (PE/EA=10/1 to 3/1) to give 147-11 (2.1 g, 84.0%) as a white solid.
[0720] To a solution of crude 147-11 (2.1 g, 2.85 mmol) in anhydrous DCM (100 mL) was added DMAP (490 mg, 4 mmol), and BzCl (580 mg, 4 mmol) at 0 °C. The mixture was stirred overnight and checked by LCMS. The reaction was washed with sat. NaHC03 solution. The organic layer was dried over anhydrous Na2S04, and concentrated at low pressure. The residue was purified by silica gel column chromatography (PE/EA = 8/1 to 3/1) to give 147-12 (2.0 g, 83.4%) as a white solid.
[0721] To a solution of 147-12 (2.0 g, 2.4 mmol) in anhydrous DMF (60 mL) was added NaOBz (3.3 g, 23.0 mmol) and 15-crown-5 (5.11 g, 23 mmol). The mixture was stirred at 110 °C for 36 h. The reaction was quenched by water, and the mixture was extracted with EA. The organic layer was dried over anhydrous Na2S04, and concentrated at low pressure. The residue was purified by silica gel column (PE/EA= 5/1 to 3/1) to give 147- 13 (830 mg, 42.0%) as a white solid. ESI-MS: m/z 836.11 [M+H]+.
[0722] A solution of 147-13 (831mg, 1.0 mmol) in anhydrous n-butylamine (4 mL) was stirred at RT for 3 h under N2 atmosphere. The reaction was monitored by TLC. The solvent was evaporated in vacuo, and the residue was purified by silica gel column (MeOH in DCM from 0% to 10%>) to give the crude product, which as re-purified using silica gel column to give 147-14 as a light pink solid (563 mg).
[0723] To a solution of 147-14 (560 mg, 0.89 mmol) in anhydrous pyridine (5 mL) was added imidazole (78.6 mg, 1.16 mmol) and TBSC1 (202 mg, 1.34 mmol) at 0 to 5 °C. The mixture was stirred at RT for 15 h. The reaction was quenched by adding absolute EtOH (0.3 mL). The solution was concentrated to dryness under reduced pressure, and co- evaporated with toluene 3 times. The residue was dissolved in EA (150 mL), and washed with water, sat. NaHC03, and brine. The combined organic layer was dried over Na2S04, filtered and evaporated at low pressure. The residue was purified by silica gel column (0- 20% EA in hexanes) to give 147-15 (303 mg) as a white solid.
[0724] To a solution of 147-15 (303 mg, 0.41 mmol), AgN03 (208 mg, 1.23 mmol) and collidine (0.55 mL, 4.51 mmol) in anhydrous DCM (4 mL) was added MMTrCl (378 mg, 1.3 mmol) under N2. The mixture was stirred at RT overnight under N2j and monitored by TLC. The mixture was filtered through pre-packed celite filter, and the filtrate was washed with water and, 50% aqueous citric acid, and brine. The organic layer was separated, dried over anhydrous Na2S04 filtered and concentrated at low pressure. The residue was purified by silica gel column (EA in hexanes from 0% to 30%) to give 147-16 (374 mg, 90%). [0725] To a solution of 147-16 (374 mg, 0.37 mmol) in anhydrous THF (4 mL) was added 1.0 M solution of TBAF (0.74 mL, 0.74 mmol) at 0 to 5°C. The mixture was stirred at RT for 1 h. The mixture was quenched with silica gel, and filtered. The solvents were evaporated to give the crude product, which was purified by silica gel column (EA in hexanes from 0% to 50%) to give 147-17 (265 mg).
[0726] To a stirred solution of 147-17 (187.5 mg, 0.16 mmol) in anhydrous CH3CN (2.5 mL) was added N-methylimidazole (136 μΐ^, 1.66 mmol) at 0-5 °C (ice/water bath) followed by solution of phenyl (cyclohexanoxy-L-alaninyl) phosphorochloridate (214 mg, 0.62 mmol, dissolved in 0.5 mL of CH3CN). The solution was stirred at RT for 3 h, and then diluted with EA followed by the addition of water (15 mL). The solution was washed with H2O, 50 % aqueous citric acid solution and brine. The organic layer was separated, dried over anhydrous MgS04 and filtered. The filtrate was concentrated in vacuum to give a residue, which was purified on silica gel with 0 to 40% EA/hexanes to give (single isomers) of 147-18 (108 mg) Elution of the latter fraction gave (single isomers) of 147-19 (120 mg) as glassy solid.
[0727] Compound 147-18 (108mg, 0.089 mmol) was dissolved in anhydrous CH3CN (0.5 mL), and 4N HC1 in dioxane (67 μί) was added at 0 to 5 °C (ice/ water bath). The mixture was stirred at RT for 40 mins, and anhydrous EtOH (200 μί) was added. The solvents were evaporated at RT and co-evaporated with toluene 3 times. The residue was dissolved in 50% CH3CN/H2O, was purified on a reverse-phase HPLC (CI 8) using acetonitrile and water, followed by lyophilization to give 147a (26.6 mg) as a white foam. ESI-LCMS: m/z = 665.2 [M+H]+.
[0728] Compound 148a (44.4 mg, single isomer) was obtained according to the procedure described for 147a using 147-19. ESI-LCMS: m/z = 665.15 [M+H]+.
EXAMPLE 137
Figure imgf000332_0001
-I49.6 4 -7 149-a and 149-b
Figure imgf000332_0002
[0729] A freshly prepared EtONa in dry EtOH (2N, 150 mL) was added to a solution of 135-4 (13.67 g, 17.15 mmol) in EtOH (50 mL) at 0 °C. The mixture was stirred at RT for 1 h, and then concentrated at low pressure. The residue was purified by silica gel column (5% MeOH in DCM) to give 149-1 (10 g, 98%) as a yellow solid.
[0730] To a solution of PPh3 (2.73 g, 10.4 mol) in anhydrous pyridine (60 mL) was added I2 (2.48 g, 9.76 mmol) at RT, and the reaction mixture was stirred RT for 30 mins. A solution of 149-1 (3.9 g, 6.51 mmol) in pyridine (10 mL) was added. The mixture was stirred at RT overnight. The reaction was quenched with sat. Na2S203 solution and NaHC03 aq., and then extracted with EA (100 mL). The organic layer was dried over anhydrous Na2S04, and evaporated at low pressure. The residue was purified by silica gel column (2% MeOH in DCM) to give 149-2 (3.0 g, 75%) as a yellowed solid.
[0731] To a solution of 149-2 in dry THF (300 mL) was added DBU (14.0 g, 91.8 mmol), and the mixture was heated to reflux for 3 h. The mixture was concentrated at low pressure. The residue was dissolved in EA (100 mL), and washed with brine. The organic layer was dried over anhydrous Na2S04. and evaporated at low pressure. The residue was purified by silica gel column (20% EA in PE) to give 149-3 (0.6 g, 37.5%) as a white solid.
[0732] To an ice-cooled solution of 149-3 (2.0 g, 3.44 mmol) in anhydrous MeCN (20 mL) was added NIS (0.975 g, 4.3 mmol) and TEA»3HF (0.82 g, 5.16 mmol) at 0 °C. The mixture was stirred at RT for 2 h. The reaction was quenched with sat. Na2S03 and NaHC03 aqueous solution, and then concentrated at low pressure. The residue was dissolved in EA (50 mL), washed with brine, dried over anhydrous Na2S04i and evaporated at low pressure. The residue was purified by silica gel column (20% EA in PE) to give 149-4 (1.5 g, 60%) as a white solid.
[0733] To a solution of 149-4 (1 g, 1.37 mmol) in dry pyridine (100 mL) was added BzCl (0.23 g, 1.65 mmol) at 0 °C. The reaction was stirred for 30 mins and checked by LCMS. The mixture was concentrated at low pressure, and the residue was dissolved in EA (50 mL). The solution was washed with brine. The organic layer was dried over MgS04, and evaporated at low pressure. The residue was purified by silica gel column chromatography (10% EA in PE) to give 149-5 (0.9 g, 78%) as a white solid.
[0734] To a solution of 149-5 (2 g, 2.4 mmol) in dry DMF (40 mL) was added NaOBz (3.46 g, 24 mmol) and 15-crown-5 (4.5 mL). The mixture was stirred at 95 °C for 72 h. The mixture was then diluted with EA (100 mL), and washed with water and brine. The organic phase was dried over MgS04, and concentrated at low pressure. The residue was purified by silica gel column (15% EA in PE) to give 149-6 (1.5 g, 75%) as a white solid.
[0735] Compound 149-6 (1.35 g, 1.64 mmol) in NFL/MeOH (150 mL) was stirred at RT for 18 h. The mixture was concentrated at low pressure, and the residue was purified by silica gel column (5% MeOH in DCM) to give 149-7 (0.9 g, 90%) as a white solid. ESI-MS: m/z 618.3 [M+H]+.
[0736] To a solution of 149-7 (99 mg, 0.16 mmol) in DCM (1.0 mL), triethylamine (92.7 μί, 0.64 mmol) was added at RT. The mixture was cooled to 0 to 5°C (ice/ water bath), and freshly prepared and distilled isopropyl phosphorodichloridate (36.6 μί, 0.2 mmol, prepared according to a procedure , Reddy et al. J. Org. Chem. 2011, 76 (10), 3782-3790) was added to the mixture. The mixture was stirred 0 to 5°C (ice/ water bath) for 15 mins, followed by addition of N-methylimidazole (26.3 μί, 0.32 mmol). The mixture was then stirred for 1 h at 0 to 5°C. TLC showed absence of 149-7. EA (100 mL) was added, followed by water. The organic layer was washed ¾0, saturated aqueous NH4C1 solution and brine. The organic layer was separated, dried over anhydrous MgS04 and filtered. The filtrate was concentrated in vacuum to give a residue, which was purified on silica gel with 0 to 10% iPrOH/ DCM to give a mixture of 149-a and 149-b (61.5 mg).
[0737] A mixture of 149-a and 149-b (61.5mg, 0.085 mmol) was dissolved in anhydrous CH3CN (0.5 mL), and 4N HC1 in dioxane (64 μί) was added at 0 to 5 °C (ice/ water bath). The mixture was stirred at RT for 40 mins, and anhydrous EtOH (200 μΐ.) was added. The solvents were evaporated at RT and co-evaporated with toluene 3 times. The residue was dissolved in 50% CH3CN/H2O, was purified on a reverse-phase HPLC (CI 8) using acetonitrile and water, followed by lyophilization to give 149a (1.8 mg) and 150a (14.5 mg).
[0738] 149a: ESI-LCMS: m/z = 450.1 [M+H]+; 150a: ESI-LCMS: m/z = 450. [M+H]+.
EXAMPLE 138
Figure imgf000334_0001
[0739] To a solution of 3-hydroxypropanenitrile (27 g, 0.15 mol) in THF (150 mL) was added NaH (8.4 g, 0.21 mol) at 0 °C, and the mixture was stirred for 1 h. at RT. Compound 128-3 (27 g, 0.03 mol) in THF (100 mL) was treated with this mixture at 0 °C. The combined mixture was stirred for 6 h. at RT. The reaction was quenched with H20, and extracted with EA. The organic layer was dried over anhydrous Na2S04, and concentrated at low pressure. The residue was purified by column chromatography to give 151-1 (9.38 g, 55%).
[0740] To a solution of 151-1 (1 g, 1.76 mmol) and TsOH (1 g, 5.28 mmol) in DMF (4 mL) and acetone (8 mL) was added 2,2-dimethoxypropane (1.8 g, 17.6 mmol) at RT. The mixture was heated to 50 °C for 3 h. The reaction was quenched with H20 (50 mL), and extracted with EA (3 x 50 mL). The organic layer was dried over anhydrous Na2S04, and concentrated at low pressure. The residue was purified by column chromatography to give 151-2 (520 mg, 87%).
[0741] To a stirred solution of 151-2 (10.0 g, 29.6 mmol) in pyridine (100 mL) was added TBSC1 (53.4 g, 35.6 mmol) at RT, and the mixture was stirred for 5 h. The mixture was concentrated at low pressure, and the residue was dissolved in EA (100 mL). The solution was washed with water and brine. The organic layer was dried over anhydrous Na2S04, and concentrated at low pressure. The crude product was co-evaporated with toluene 3 times. To a solution of anhydrous crude product (2.0 g, 4.43 mmol) in DCM (30 mL) was added DMTrCl (2.24 g, 6.65 mmol), 2,4,6-trimethylpyridine (1.07 g, 8.86 mmol) and AgN03 (1.5 g, 8.86 mmol). The mixture was stirred for 1 .5 h. The mixture was filtered, and the filtrate was washed with 0.5 N HC1 solution. The solution was washed with brine, dried over anhydrous Na2S04, and concentrated at low pressure to give the crude yellow solid. The crude yellow solid (7.2 g, 10 mmol) was treated with a solution of NH4F (7.2 g, 200 mmol) in MeOH (50 mL), and the mixture was heated to 50 °C for 8 h. The mixture was concentrated at low pressure. The residue was purified by silica gel column to give 151-3 (4.8 g, 80%).
[0742] To a solution of 151-3 (200 mg, 0.33 mmol) in DCM (5 mL) was added TFA'Py (40 mg, 0.328 mmol), DMSO (0.15 mL), and DCC (191 mg, 0.99 mmol) at RT. The mixture was stirred for 6 h, and concentrated at low pressure. The residue was purified by silica gel column to give the product. To a solution of the product (0.2 g, 0.328 mmol) and HCHO (0.2 mL) in 1 ,4-dioxane (2 mL) was added NaOH (0.4 mL, 2 M) at RT. The mixture was stirred for 5 h. The mixture was then treated with NaBH4 (24 mg, 0.66 mmol), and stirred for 3 h. The mixture was diluted with EA (20 mL), and washed with brine. The organic phase was dried over anhydrous Na2S04, and concentrated at low pressure. The residue was purified by silica gel column to give 151-4 (125 mg, 60%).
[0743] To a solution of 151-4 (4 g, 6.25 mmol) in DCM (40 mL) was added pyridine (10 mL) and BzCl (920 mg, 15.6 mmol) at -78 °C. The mixture was slowly warmed up to RT. The reaction was monitored by LCMS. The mixture was quenched with H20 (40 mL), and extracted with DCM (3 x 50 mL). The organic layer was washed brine, dried over anhydrous Na2S04, and concentrated at low pressure. The residue was purified by silica gel column to give 151-5 (3.25 g, 70%).
[0744] To a solution of 151-5 (5.75 g, 7.7 mmol) in DCM (20 mL) was added DMTrCl (3.58 g, 1 1.1 mmol), 2,4,6-trimethyl- pyridine (1.87 g,15.4 mmol) and AgN03 (2.63 g,15.4 mmol), and stirred for 3 h. The mixture was filtered, and the filtrate was washed with 0.5 N HC1 solution. The organic phase was washed with brine, dried over anhydrous Na2S04, and concentrated at low pressure. The residue was purified by silica gel column to give 151-6 (6.25 g, 80%).
[0745] To a solution of 151-6 (4.3 g, 4.23 mmol) in MeOH (40 mL) was added NaOMe (0.82 g, 12.6 mmol) at RT, and stirred for 3 h. The mixture was concentrated at low pressure. The residue was dissolved in EA (30 mL), and washed with brine. The organic layer was dried over anhydrous Na2S04, and concentrated at low pressure. The residue was purified by silica gel column to give 151-7 (2.89 g, 75%).
[0746] To a solution of 151-7 (0.5 g, 0.54 mmol) and pyridine (0.478 g, 5.4 mmol) in DCM (4 mL) was slowly added a solution of Tf20 (0.201 g, 0.713 mmol) in DCM (3 mL) at -35 °C. The mixture was warmed up to -5 °C slowly. The reaction was monitored by LCMS. The reaction was quenched with sat. NaHC03 solution, and extracted with DCM (3 x 20 mL). The organic phase was washed with brine, dried over anhydrous Na2S04, and concentrated at low pressure. The residue was purified by silica gel column to give the product. To a solution of the product was added TBAF in THF (25 mL, IN), and the mixture was stirred for 5 h at RT. The reaction was monitored by LCMS. The mixture was concentrated at low pressure, and the residue was purified by prep-HPLC to give 151-8 (221 mg, 45%). ESI-MS: m/z 914.4 [M+H]+.
[0747] Compound 151-8 (2.14 g) was dissolved in 80% HCOOH (10 mL) and was at RT overnight. The solvent was evaporated to dryness, and the residue crystallized from methanol twice. The crystals were dissolved in a mixture of THF and 36% HCl 4: 1 v/v and left overnight. The solvent was evaporated, and the nucleoside was isolated by RP HPLC on Synergy 4 micron Hydro-RP column (Phenominex). A linear gradient of methanol from 0 to 60% with 0.1 % HCOOH was used for elution. Compound 151a was obtained (370 mg, 48%). MS: m/z 316.2 [M-l].
EXAMPLE 139
Figure imgf000337_0001
152-9
[0748] To a stirred solution of 151-2 (5.0 g, 14.83 mmol) in anhydrous pyridine (50 mL) was added TBSC1 (3.33 g, 22.24 mmol) at RT under N2. The mixture was stirred at RT for 12 h and concentrated at low pressure. The residue was purified by silica gel column chromatography to give 152-1 (5.69 g, 85.1%).
[0749] To a solution of PPh3 (2.76 g, 10.6 mmol) and DIAD (2.15 g, 10.6 mmol) in dioxane (20 mL) was added EtOH (0.49 g, 10.6 mmol) at RT. After stirring for 30 mins, a solution of 152-1 (2.4 g, 5.3 mmol) in dioxane (10 mL) was added. The solution was stirred overnight at RT. After the reaction was complete, the reaction was quenched with sat. NaHC03 solution. The solution was extracted with EA (3 x 40 mL). The organic layer was washed with brine, dried over anhydrous Na2S04, and concentrated at low pressure. The residue was purified by silica gel column (10% EA in PE) to give 152-2 (2 g, 78.4%) as a white solid.
[0750] To a solution of 152-2 (8 g, 16.9 mmol) in dichloride methane (60 mL) was added AgN03 (5.67 g, 33.4 mmol), collidine (4.03 g, 33.4 mmol) and MMTrCl (7.7 g, 25 mmol) in small portions under N2 at 0 °C. The mixture was stirred at RT overnight. The reaction was monitored by TLC. After completion, the mixture was filtered. The filtrate was washed with sat. aq. NaHC03 and brine. The organic layer was dried over anhydrous Na2S04; and concentrated at low pressure. The residue was purified by silica gel column to give 152-3 (10 g, 80%) as a white solid.
[0751] To a solution of 152-3 (10 g, 13.3 mmol) in methanol (100 mL) was added NH4F (10 g, 270 mmol), and heated to reflux overnight. The mixture was concentrated at low pressure. The residue was purified by silica gel chromatography (50% PE in EA) to give 152-4 as a white solid (5 g, 59%).
[0752] To a solution of 152-4 (4 g, 6.27 mmol) and DCC (3.65 g, 18.8 mmol) in anhydrous DMSO (40 mL) was added TFA»Py (1 .21 g, 6.27 mmol) at RT under N2. The mixture was stirred at RT overnight. The reaction was quenched with water (100 mL), and diluted with EA (200 mL). After filtration, the filter was washed with sat. NaHC03 solution. The organic phase was washed with brine, dried over anhydrous Na2SC»4, and concentrated at low pressure. The residue (4 g, 6.27 mmol) was dissolved in dioxane (40 mL), and 37% formaldehyde (4 mL) followed by addition of 2N NaOH solution (8 mL) at RT. The mixture was stirred at 30 °C overnight. NaBLL (0.7 g, 18.9 mmol) was added in portions at 5 °C, and the mixture was stirred at RT for 30 mins. The reaction was quenched with water, and the mixture was extracted with EA (3 x 50 mL). The organic layer was dried over anhydrous Na2S04> and concentrated at low pressure. The residue was purified on a silica gel column (20% EA in PE) to give 152-5 (2.5 g, 60%) as a white solid.
[0753] To a solution of 152-5 (2.29 g, 3.43 mmol) in pyridine (5 mL) and DCM (20 mL) was added BzCl (0.53g, 3.77 mmol) at -78 °C, and stirred overnight at T. The mixture was quenched with water, and extracted with DCM (3 x 40 mL). The organic layer was dried over anhydrous Na2S04j and concentrated at low pressure. The residue was purified by silica gel column to give the 152-6 (1.62 mg, 62%).
[0754] To a solution of 152-6 (1.62 g, 2.1 mmol) in dichloride methane (20 mL) was added AgN03 (714 mg, 4.2 mmol), collidine (508 mg, 4.2 mmol) and MMTrCl (970 mg, 3.2 mmol) in small portions under N2 at 0 °C. The mixture was stirred at RT overnight. The reaction was monitored by TLC. After filtration, the filter was washed with sat. aq. NaHC03 and brine. The combined organic layer was dried over anhydrous Na2S04j and concentrated at low pressure. The residue was purified by silica gel column to give 152-7 (2 g, 91.3%) as a white solid.
[0755] To a solution of 152-7 (2.1 g, 2 mmol) in MeOH (30 mL) was added NaOMe (220 mg, 4 mmol) at RT and stirred for 1 h. After all starting material disappeared as indicated by TLC, the reaction was quenched with dry ice, and evaporated at low pressure. The residue was purified by silica gel column chromatography to give 152-8 (1.3 g, 69%) as a white solid.
[0756] To a solution of 152-8 (1.3 g, 1.38 mmol) in anhydrous DCM (15 mL) and pyridine (1 mL) was added dropwise Tf20 (585 mg, 2.07 mmol) at -20 °C. The mixture was stirred at RT for 3 h, and diluted with DCM (150 mL). The solution was washed successively with water and brine. The organic solution was dried over Na2S04 and concentrated at low pressure. The residue (1.48 g) was dissolved in anhydrous THF (15 mL), and treated with TBAF (3 mL, 1M in THF) at RT. The mixture was stirred overnight. The reaction was quenched with sat. aq. NaHC03, and extracted with EA (3 x 60 mL). The combined organic layer was dried over Na2S04, and evaporated at low pressure. The residue was purified by silica gel column (30% EA in PE) to give 152-9 (1.25 g, 96%) as a white solid. ESI-LCMS: m/z 942.4 [M+H]+. [0757] Compound 152-9 (0.55g, 0.58 mmol) was added into ice cooled 80% aq. TFA (5 mL) and kept overnight at 5 °C. The mixture was concentrated under reduced pressure at 5 °C. Thick oily residue was coevaporated several times with toluene and purified on silica gel (10 g column) with CH2Cl2/MeOH (4-15% gradient) to yield 152a (75 mg, 36%). MS: m/z = 358 [M+l].
EXAMPLE 140
Figure imgf000340_0001
[0758] Compound 153a (8 mg, 10%) was prepared from 133a (48 mg) in acetonitrile (1.5 mL) with the phosphorochloridate reagent (0.14 g) and NMI (0.17 mL) in the same manner as 122a. Purification was done by RP-HPLC (30-100% B, A: 50 mM TEAA in water, B: 50mM TEAA in MeCN). MS: m/z = 665 [M-l].
EXAMPLE 141
Figure imgf000340_0002
[0759] To a solution of 154-1 (600 mg, 1.29 mmol) in anhydrous CH3CN (4 mL) was added DMAP (315 mg, 2.59 mmol), TEA (391 mg, 3.87 mmol) and TPSC1 (782 mg, 2.58 mmol). The mixture was stirred for 3 h. under N2. A solution of NH3 in THF (2 mL) was added, and stirred for 1 h. The reaction was quenched with sat. NH4C1 solution, and extracted with EA. The organic layer was dried over anhydrous Na2S04, and concentrated to dryness at low pressure. The residue was purified by column chromatography to provide 154-2 (370 mg, 62%) as a white foam solid.
[0760] Compound 154-2 (370 mg, 1.48 mmol) in methanolic ammonium was stirred at RT for 4 h. The solution was concentrated to dryness to give 154a (200 mg, 91%) as a white solid. ESI-MS: m/z 275.9 [M+H]+. EXAMPLE 142
Figure imgf000341_0001
[0761] To a solution of triethylammonium bis(isopropyloxycarbonyloxymethyl)phosphate (0.6 mmol, prepared from bis(POC)phosphate (0.2 g) and Et3N (83 μί)) in THF was added 155-1 (74 mg, 0.2 mmol). The mixture evaporated and rendered anhydrous by co-evaporating with pyridine follow by toluene. The residue was dissolved in anhydrous THF (2 mL). Diisopropylethylamine (0.35 mL; 10 eq.) was added, followed by BOP-Cl (0.25 g; 5 eq.) and 3-nitro-l,2,4-triazole (0.11 g; 5 eq.). The mixture was stirred at RT for 90 mins, diluted with EtOAc, washed with sat. aq. NaHC03 and brine, and dried with Na2SC<4. The residue was purified on silica (10 g column) with CH2Cl2/i-PrOH (4-10% gradient) to yield 50 mg (37%) of give 155-2.
[0762] A solution of 155-2 (40 mg; 0.06 mmol) in 80% aq. HCOOH was heated at 45°C for 8 h. The mixture was evaporated, co-evaporated with toluene and purified on silica (10 g column) with CH2Cl2/MeOH (4-10% gradient) to yield 155a (35 mg ,91%). MS: m/z = 619 [M+l].
EXAMPLE 143
Figure imgf000341_0002
[0763] Compound 156-2 was prepared from 156-1 following a similar procedure for the preparation of 155-2. The residue was purified on silica (10 g column) with hexanes/EtOAc (35-100% gradient) to yield 156-2 (0.45 g, 75%). [0764] A solution of 156-2 (0.40 g; 0.6 mmol) in 80% aq. HCOOH (15 mL) was heated at 45°C for 8 h. The mixture was evaporated, co-evaporated with toluene and purified on silica (10 g column) with CH2Cl2/MeOH (4-10% gradient) to yield 156a (0.27 g, 75%). MS: m/z = 603 [M+l].
EXAMPLE 144
COMPOUND 157a
Figure imgf000342_0001
157-6 157a
[0765] To a solution of 157-1 (3.0 g, 4.7 mmol) in CH3CN/pyridine (15 mL/20 mL) was added BzCl (0.67g, 4.7 mmol) at 0 °C slowly. The mixture was stirred at 10 °C for 12 h. The reaction was quenched with sat. NaHC03 solution, and extracted with DCM. The solution was washed with brine, dried over anhydrous Na2S04, and concentrated at low pressure. The residue was purified on silica gel column (EA in PE from 2% to 50%) to afford 157-2 (2.6 g, 72%) as a solid.
[0766] To a solution of 157-2 (1.0 g, 1.35 mmol) in pyridine (8 mL) was added DMTrCl (0.64 g, 1.9 mmol). The mixture was stirred at 20-35°C overnight. The reaction was monitored by LCMS and TLC. The reaction was quenched with MeOH, and concentrated at low pressure. The residue was purified by silica gel column to give 157-3 (1.5 g), which was used without further purification.
[0767] To a solution of 157-3 (1.5 g, 1.35 mmol) in MeOH/THF (1/1, 10 mL) was added NaOMe (0.11 g, 2.0 mmol), and stirred at 40 °C for 3 h. The reaction was monitored by TLC. The reaction was quenched with dry ice, and concentrated to dryness at low pressure. The residue was dissolved in DCM (100 n L). The solution was washed with brine, dried over anhydrous Na2S04, and concentrated at low pressure. The residue was purified on silica gel column (EA in PE from 2% to 50%) to provide 157-4 (1.0 g, 79%).
[0768] To a solution of 157-4 (950 mg, 1.02 mmol) in DCM (5 mL) was added pyridine (241 mg, 3.05 mmol) and Tf20 (344 mg, 1.22 mmol) at 0 °C slowly. The mixture was stirred at RT for 12 h. Completion of the reaction was determined by TLC and LCMS. The reaction was quenched with sat. NaHC03 solution, and extracted with DCM (3 x 60 mL). The organic phase was dried over anhydrous a2S04, and concentrated at low pressure to give crude 157-5 (1.08 g, 1.02 mmol), which was used without further purification.
[0769] To a solution of 157-5 (1.08 g, 1.02 mmol) in THF (6 mL) was added TBAF (0.8 g, 3 mmol), and stirred at 30-40 °C for 12 h. The reaction was quenched with sat. NaHC03 solution, and extracted with EA (3 x 60 mL). The solution was dried over anhydrous Na2S04, and concentrated at low pressure. The residue was purified by silica gel column (EA in PE from 2% to 50%) to afford 157-6 (0.62 g, 65%).
[0770] A mixture of 157-6 (0.55 g, 0.59 mmol) in TFA (90%, 5 mL) was stirred at 50-60 °C for 16 h. The mixture was treated with MeOH, and concentrated at low pressure. The residue was purified by prep-HPLC to afford 157a (60 mg, 31%). ESI-MS: m/z 324.0 [M+H]+.
EXAMPLE 145
Figure imgf000344_0001
[0771] To a solution of triethylammonium bis(isopropyloxycarbonyloxymethyl)phosphate (0.33 mmol, prepared from 110 mg of bis(POC)phosphate and 46 μΐ of Et3N) in THF was added 158-1 (91 mg, 0.11 mmol). The mixture evaporated and rendered anhydrous by co-evaporating with pyridine follow by toluene. The residue was dissolved in anhydrous THF (1.5 mL) and cooled in an ice-bath. Diisopropylethylamine (0.19 mL, 10 eq.) was added, followed by BOP-Cl (0.14 g, 5 eq.), and 3-nitro-l,2,4-triazole (63 mg, 5 eq.). The mixture was stirred 0 °C for 90 mins, diluted with EtOAc (30 mL), washed with sat. aq. NaHC03, brine, and dried (Na2S04). The residue was purified on silica (10 g column) with CH2Cl2/i-PrOH solvent system (2-10% gradient) to obtain 158-2 (13 mg, 10%) and 158-3 (95 mg, 58%).
[0772] A solution of 158-2 and 158-3 (13 mg and 95 mg, respectively) in 80% aq. HCOOH (3 mL) was stirred at T for 3 h, then evaporated and co-evaporated with toluene. The residue was purified on silica (10 g column) with CH2Cl2/MeOH (4-10% gradient) to obtain 158a in (42 mg, 94%) yield. MS: m/z=628 [M+l].
EXAMPLE 146
Figure imgf000345_0001
159-14
[0773] Compound 159-1 (5.0g, 8.5 mmol) and 6-chloropurine (3.0 g, 17.7mmol) were co-evaporated with anhydrous toluene 3 times. To a stirred suspension of 50-1 and 6- chloropurine in anhydrous MeCN (50 mL) was added DBU (7.5 g, 49 mmol) at 0 °C. The mixture was stirred at 0 °C for 15 mins, and TMSOTf (15 g, 67.6 mmol) was added dropwise at 0 °C. The mixture was stirred at 0 °C for 15 mins until a clear solution formed. The mixture was heated to 70 °C, and stirred overnight. The reaction was monitored by LCMS. The mixture was cooled to T, and diluted with EA (100 mL). The solution was washed with sat. NaHC03 solution and brine. The organic layer was dried over anhydrous a2S04; and concentrated at low pressure. The residue was purified on silica gel column (EA in PE from 6% to 50%) to afford 159-2 (2.5 g, 46.3%) as a white foam.
[0774] Compound 159-2 (3.0 g, 4.8 mmol) was treated with NH3 in MeOH (8 N, 20 mL) in autoclave at 40-60 °C for 12 h. The mixture was evaporated at low pressure, and the residue was purified on silica gel column (MeOH in EA from 0 to 10%) to give 159-3 (1.0 g, 71%)) as a white foam.
[0775] To a solution of 159-3 (4.3 g, 14.8 mmol) in acetone/DMF (4/1, 40 mL) was added TsOH»H20 (8.4 g, 0.044 mol) and 2,2-dimethoxypropane (30 g, 0.296 mol), and the mixture stirred at 60-70 °C for 12 h. The mixture was concentrated at low pressure, and the residue was purified on silica gel column (EA in PE from 50% to 100%) to give 159-4 (5.0 g, 83%).
[0776] To a solution of 159-4 (10.5 g, 31.7 mmol) in pyridine (50 mL) was added TBSC1 (5.3 g, 34.9 mmol), and the mixture stirred at RT for 12 h. The solvent was removed at low pressure, and the residue was dissolved in DCM (100 mL). The solution was washed with brine, dried over anhydrous Na2S04, and concentrated at low pressure. The residue was purified by silica gel column to provide 159-5 (8.4 g, 60%), which used without further purification.
[0777] Compound 159-5 (8.4 g, 18.8 mmol) was co-evaporated with pyridine. To a stirred solution of 159-5 (8.4 g, 1 8.8 mmol) in pyridine (35 mL) was added MMTrCl (8.1 g, 26.4 mmol). The mixture was stirred at 30-40 °C for 12 h under N2. The mixture was concentrated at a low pressure, and the residue was dissolved in DCM (150 mL). The solution was washed with saturated NaHC03 solution, dried over anhydrous Na2S04, and concentrated at low pressure. The residue was purified on silica gel column (EA in PE from 10% to 20%) to provide 159-6 (10.8 g, 80%) as a solid
[0778] To a solution of 159-6 (11.5 g, 0.016 mol) in THF (100 mL) was added TBAF (4.62 g, 0.018 mol) at RT, and the mixture stirred for 4 h. The solvent was evaporated at low pressure, and the mixture was dissolved in DCM (150 mL). The solution was washed with brine, dried over anhydrous Na2S04, and concentrated at low pressure. The residue was purified on silica gel column (EA in PE from 50% to 100%) to afford 159-7 (8.8 g, 91%). ESI-MS: m/z 604.4 [M+H]+.
[0779] To a solution of 159-7 (4.4 g, 7.3 mmol) in dioxane (50 mL) was added DCC (4.5 g, 21.9 mmol), DMSO (2.5 mL), TFA'Py (1.48 g, 7.65 mmol) at 0 °C. The mixture was slowly warm to RT and stirred for 4 h. Completion of the reaction was determined by LCMS. The mixture was concentrated at low pressure. The residue was purified on silica gel column to give 159-8 (4.4 g, 7.3 mmol), which was used without further purification.
[0780] To a solution of 159-8 in dioxane (40 mL) was added water (20 mL), HCHO (37 %, 7 mL) and NaOH (IN, 15 mL). The solution was stirred at RT overnight. The mixture was treated with NaBH4 (1.1 g, 29.2 mmol) slowly, and stirred for 30 mins. The mixture was adjusted to pH = 7-8 by slow addition of HC1 (1M) solution, and extracted with EA (150 mL). The solution was washed with brine, dried over anhydrous Na2S04, and concentrated at low pressure. The residue was purified on silica gel column to give 157-1 (3.0 g, 65%). ESI-MS: m/z 633.9 [M+H]+.
[0781] To a solution of 157-1 (1.5 g, 2.37 mmol) in anhydrous pyridine (30 mL) was added DMTrCl (3.6 g, 10.7 mmol) at -30 °C. The mixture was stirred at RT overnight. The solution was quenched with MeOH, and concentrated at low pressure. The residue was purified by column chromatography to give 159-9 (3 g, 45%) as a yellow solid
[0782] To a solution of 159-9 (1.1 g, 1.18 mmol) in pyridine (10 mL) was added imidazole (0.24 g, 3.53 mmol) and TBSC1 (0.35 g, 2.35 mmol). The mixture was stirred at RT for 12 h. The solvent was evaporated at low pressure, and the residue was dissolved in EA (50 mL). The solution was washed with brine, dried over anhydrous Na2S04; and concentrated at low pressure. The residue was purified on silica gel column (30% EA in PE) to afford 159-10 (0.83 g, 67%)
[0783] To a solution of 159-10 (1.1 g, 1.05 mmol) in DCM (12 mL) was added Cl2CHCOOH (0.5 mL) at -70 °C, and stirred for 1 h. The solution was treated with C CHCOOH (1 mL) in DCM (10 mL) at -70 °C, and the mixture was stirred at -70—10 °C for 20 mins. Completion of the reaction was determined by LCMS. The reaction was quenched with sat. NaHC03 solution, and extracted with DCM (3 x 40 mL). The organic phase was dried over anhydrous Na2S04, and concentrated at low pressure. The residue was purified on silica gel column (EA in PE from 15% to 30%) to afford 159-11 (0.58 g, 74%).
[0784] To a solution of 159-11 (200 mg, 0.268 mmol) and pyridine (53 mg, 0.67 mmol) in anhydrous DCM (5 mL) was added Tf20 (90 mg, 0.32 mmol) at -30 °C. The mixture was stirred for 1 h, and slowly warmed to T. Completion of the reaction was determined by TLC. The reaction was quenched with sat. NaHC03 solution, and extracted with DCM (3 x 30 mL). The organic phase was dried over anhydrous Na2S04, and concentrated to dryness at low pressure. Crude 159-12 (200 mg, 0.27 mmol) was used without further purification.
[0785] To a solution of 159-12 (200 mg, 0.27 mmol) in DMF (5 mL) was added LiCl (45 mg, 1.07 mmol), and stirred at 30-40 °C for 12 h. The solvent was evaporated at low pressure, and the residue was dissolved in DCM (10 mL). The solution was washed with brine, dried over anhydrous Na2S04, and concentrated at low pressure. Crude 159-13 was used without further purification.
[0786] A mixture of 159-13 (245 mg, 0.32 mmol) and TBAF (200 mg, 0.7 mmol) in THF was stirred at 30 °C for 1 h. The mixture was concentrated at a low pressure, and the residue was dissolved in DCM (15 mL). The solution was washed with brine, dried over anhydrous Na2S04, and concentrated at low pressure. The residue was purified on silica gel column (EA in PE from 2% to 50%) to provide 159-14 (150 mg, 72%). ESI-MS: m/z 652.3 [M + H]+.
[0787] Compound 159-14 (0.2 mmol) was dissolved in 50% TFA (10 mL) in methanol, and the mixture was kept at RT overnight. The solvent was evaporated and co- evaporated with methanol/toluene mixture to remove traces of acid. The residue was dissolved in 20% triethylamine in methanol, kept for 15 mins and evaporated. The product was isolated by RP HPLC on Synergy 4 micron Hydro-RP column (Phenominex). A linear gradient of methanol from 0 to 60% in 50mM triethylammonium acetate buffer (pH 7.5) was used for elution. The corresponding fractions were combined, concentrated and lyophilized 3 times to remove excess buffer. 159a was obtained (45 mg, 67%). MS: m/z 338.0 (M-l). EXAMPLE 147
Figure imgf000349_0001
[0788] To a solution of 160-1 (12.3 g, 19.9 mmol) in DMF (50 mL) was added NaH (800 mg, 20 mmol) at 0 °C. The mixture was stirred at RT for 3 h. The mixture was treated with CsF (30.4 g, 200 mmol), and then stirred at RT for 3 h. The reaction was quenched with water, and extracted with EA. The organic layer was dried over anhydrous Na2S04j and concentrated to dryness at low pressure. The residue was purified on silica gel column (20% EA in PE) to give 160-2 (4.1 g, 61%) as a white solid.
[0789] To a solution of 160-2 (4.1 g, 12.1 mmol) in THF (120 mL) was added NaOH solution (IN, 13 mL) at 0 °C. The mixture was stirred at RT for 3 h. The solution was neutralized with 0.5 M HCl aq. to pH ~7. The mixture was partitioned between EA and water. The organic layer was dried over anhydrous Na2S04j and concentrated to dryness at low pressure. The residue was purified on silica gel column (30% EA in PE) to give 160-3 (3.1 g, 72%) as a white solid. ESI-MS:m/z 379.1 [M+Na]+.
[0790] Compound 160-3 (0.2 mmol) was dissolved in 80% HCOOH (10 mL), and the mixture was heated at 45 °C for 24 h. The solvent was evaporated and co-evaporated with methanol/toluene mixture to remove traces of acid. The residue was dissolved in 20% triethylamine in methanol, kept for 15 mins and evaporated. 160a (68%) was isolated by silica gel chromatography in gradient of methanol in DCM from 5% to 20%. MS: m/z 289.0 [M-l]. EXAMPLE 148
Figure imgf000350_0001
[0791] Compound 161-2 (0.20 g, 64%) was prepared in the same manner from 161-1 (0.16 g; 0.49 mmol) and triethylammonium bis(isopropyloxycarbonyloxymethyl)phosphate (0.74 mmol) with DIPEA (0.34 mL), BopCl (250 mg), and 3-nitro-l,2,4-triazole (112 mg) in THF (5 mL) following the procedure for the preparation of 176-4.
[0792] A solution of 161-2 (0.20 g; 0.31 mmol) in 80% aq. HCOOH was stirred at RT for 2 h, and then concentrated. The residue was co-evaporated with toluene and then with MeOH containing small amount of Et3N (2 drops). Purification on silica gel (10 g column) with CH2Cl2/MeOH (4-10% gradient) was followed by RP-HPLC purification in 5 runs on a Synergi Hydro RP column 250 x 30 mm (Phenomenex P/N 00G-4375-U0-AX) using H20 and ACN both 50mM TEAA. Gradient was 25-75% ACN in 20 mins at 24mL/min, 254nM detection. The product eluted at 16.0 mins. Pure fractions were pooled and lyophilized. TEAA was removed by dissolving the product in DMSO (2 mL) and injecting the product on the same column using only H20 and ACN. Pure fractions were pooled and lyophilized to produce 161a (18 mg). MS: m/z = 1197 [2M+1].
EXAMPLE 149
COMPOUND 162a
Figure imgf000351_0001
[0793] Compound 162-2 (158 mg, 50%) was prepared from 162-1 (0.21 g; 0.35 mmol) and triethylammonium bis(isopropyloxycarbonyloxymethyl)phosphate (0.54 mmol) with DIPEA (0.18 mL), BopCl (178 mg), and 3-nitro-l,2,4-triazole (80 mg) in THF (4 mL).
[0794] A solution of 162-2 (158 mg) in acetonitrile (1 mL) and HC1 (4 N/dioxane;
85 μί) was stirred at RT for 30 mins. The reaction was quenched with MeOH and concentrated. The residue was purified on silica gel (10 g column) with CL^CVi-PrOH (3-
10% gradient) to give 162a (85 mg, 76%). MS: m/z = 656 [M+l].
EXAMPLE 150
COMPOUND 163a
Figure imgf000351_0002
[0795] Dry 160a (0.05 mmol) was dissolved in the mixture of PO(OMe)3 (0.7 mL) and pyridine (0.3 mL). The mixture was evaporated in vacuum for 15 mins at bath temperature 42 °C, and then cooled to RT. N-Methylimidazole (0.009 mL, 0.1 1 mmol) was added followed by POCl3 (9 μΐ^, 0.11 mmol), and the mixture was kept at RT for 20-40 mins. The reaction was controlled by LCMS and monitored by the appearance of compound 163a. Isolation was performed by RP HPLC on Synergy 4 micron Hydro-RP column (Phenominex). A linear gradient of methanol from 0 to 30% in 50mM triethylammonium acetate buffer (pH 7.5) was used for elution. The corresponding fractions were combined, concentrated and lyophilized 3 times to remove excess of buffer to yield 163a. MS: m/z 369.0 (M-l).
EXAMPLE 151
Figure imgf000352_0001
164-3
[0796] To a solution of 81-3 (300 mg, 0.4 mmol) and pyridine (80 mg, 1.0 mmol) in DCM (5 mL) was added Tf20 (136 mg, 0.48 mol) in a solution of DCM (lmL) dropwise at -30 °C. The mixture was stirred at -30 °C to 0 °C for 20 mins. The reaction was quenched with water, and extracted with DCM (20 mL). The organic phase was dried over anhydrous Na2S04, and evaporated to give crude 164-1 (352.8 mg, 0.4 mmol), which was used without further purification.
[0797] To a solution of 164-1 (352.8 mg, 0.4 mmol) in DMF (5 mL) was added Nal (480 mg, 3.2 mmol). The mixture was stirred at 30 °C for 10 h. The reaction was quenched with water, and extracted with DCM (20 mL). The organic phase was dried over anhydrous Na2S04, and concentrated to dryness at low pressure. The residue was purified by prep-TLC (30% EA in PE) to give 164-2 (270 mg, 31%).
[0798] To a solution of 164-2 (600 mg, 0.7 mmol) in anhydrous toluene (30 mL) was added AIBN (34 mg, 0.21 mmol) and Bu3SnH (307.7 mg, 1.05 mmol) in toluene (10 mL). The mixture was bubbled with N2 for 30 mins, and heated to 135 °C for 2 h. The mixture was treated with sat. aq. CsF, and then stirred for 2 h. The mixture was diluted with EA (100 mL). The organic phase was washed with brine, dried over anhydrous Na2S04 and concentrated at low pressure. The residue was purified on a silica gel column (10%) EA in PE) to give 164-3 and a by-product (400 mg, 72%). [0799] A mixture of 164-3 (400 mg, 0.55 mmol) in 90 % TFA (10 mL) was stirred at 50 °C for 4 h. The reaction was monitored by LCMS. The mixture was treated with
MeOH (5 mL), and concentrated under reducing pressure. The residue was purified by prep-
HPLC to give 164a (46 mg, 27%). ESI-MS: m/z 306.1 [M+H]+.
EXAMPLE 152
Figure imgf000353_0001
[0800] Compound 165-2 (120 mg, 72%) was prepared in the same manner from 165-1 (0.11 g; 0.18 mmol) and triethylammonium bis(isopropyloxycarbonyloxymethyl)phosphate (0.35 mmol) with DIPEA (0.15 mL), BopCl (114 mg), and 3-nitro-l,2,4-triazole (51 mg) in THF (2.5 mL) using the method as described for 176-4 from 176-3.
[0801] Compound 165a (14 mg, 77%) was prepared from 165-2 (25 mg) in acetonitrile (0.1 mL) and 4 N HCl/dioxane (8 μί) using the method as described for 209a. MS: m/z = 658 [M+l].
EXAMPLE 153
Figure imgf000354_0001
[0802] To a stirred solution of uracil (21 g, 188 mmol) in anhydrous MeCN (200 mL) was added BSA (110 g, 541 mmol), and the mixture was refluxed for 2 h. The mixture was then cooled to RT and treated with 166-1(55 g, 93.2 mmol) and TMSOTf (145 g, 653 mmol). The mixture was refluxed overnight. After the starting material disappeared, the reaction was quenched with sat. NaHC03 solution, and extracted with EA. The organic layer was dried over anhydrous Na2SC>4, and concentrated to dryness at low pressure. The residue was purified on silica column gel (20% EA in PE) to give 166-2 (38 g, 70%) as a white sold.
[0803] Compound 166-2 (35 g, 0.06 mol) was treated with NH3 in MeOH (7N, 200 mL) at RT. The mixture was stirred for 24 h at RT. Completion of the reaction was determined by LCMS. The mixture was concentrated at a low pressure, and the residue was washed with DCM to give 166-3 (13 g, 81%) as a white solid.
[0804] To a solution of cyclopentanone (6 g, 8.33 mmol), and trimethoxymethane (8 mL) in MeOH (60 mL) was added TsOH (1.35 g, 7.1 mmol) at RT, and the mixture was stirred 2 h. The resulting was quenched with NaOMe (0.385 g, 7.12 mmol), and extracted with n-hexane (30 mL). The organic layer was dried over anhydrous NaiSC^ and concentrated at low pressure to give 1 ,1 -dime thoxycyclopentane. To a solution of 166-3 (30 g, 0.1 lmol) and 1 , 1 -dimethoxy cyclopentane (57 g, 0.44 mol) in 1 ,2-dichloroethane (200 mL) was added TsOH (2.1 g, 0.01 1 mol), and the mixture was heated to 60 °C overnight. The reaction was quenched with triethylamine, and concentrated to dryness at low pressure. The residue was washed with MeOH to give 166-4 (30 g, 82%).
[0805] To a solution of 166-4 (10 g, 30 mmol) in anhydrous CH3CN (100 mL) was added 1BX (8.4 g, 30 mmol, 1.05 eq.) at RT. The mixture was refluxed for 12 h., and then cooled to 0 °C. The precipitate was removed by filtration, and the filtrate was concentrated to give crude 166-5 (10 g, 100%) as a yellow solid.
[0806] Crude 166-5 (10 g, 30 mmol) was dissolved in 1 ,4-dioxane (100 mL). 37% HCHO (10 mL) and 2N NaOH aqueous solution (20 mL) were added at RT. The mixture was stirred at RT overnight, and adjusted to pH = 7. The mixture was treated with NaBH4 (4.44 g, 120 mmol) at 0 °C. The reaction was stirred at RT for 30 mins and then quenched with sat. aq. NH4C1. The mixture was extracted with EA. The organic layer was dried over Na2S04i and concentrated to dryness at low pressure. The residue was purified by silica gel column chromatography (1-3% MeOH in DCM) to give 166-6 (5.5 g, 50 %) as a white solid.
[0807] To a stirred solution of 166-6 (5.0 g, 13.8 mmol) and pyridine (5 mL) in DCM (20 mL) was added Tf20 (8.5 g, 30.3 mmol) dropwise at -70 °C. The solution was warmed to 0 °C slowly, stirred at 0 °C for 0.5 h, and washed with HC1 (0.5 M). The DCM layer was concentrated to dryness at low pressure, and the residue was purified on silica gel column to give 166-7 (4.5 g, 52 %) as a white solid.
[0808] To a solution of 166-7 (3.0 g, 4.8 mmol) in MeCN (10 mL) was added TBAF (5.0 g, 19.2 mmol). The reaction was allowed to proceed overnight. The reaction was monitored by HPLC and LCMS. Aqueous sodium hydroxide (IN ~2eq.) was added, and the solution was stirred for 1 h. The mixture was partitioned between sat. ammonium chloride solution and EA. The organic layer was separated, and concentrated under reduced pressure. The crude product was purified on silica gel column to give 166-8 (0.8 g, 46 %) as a white solid. ESI-MS: m/z 367.0 [M+H]+, 389.0 [M+Na]+. [0809] Compound 166-8 (0.2 mmol) was dissolved in 80% HCOOH (10 mL), and the mixture was heated at 45°C for 24 h. The solvent was evaporated and co-evaporated with methanol/toluene mixture to remove traces of acid. The residue was dissolved in 20% triethylamine in methanol, kept for 15 mins and evaporated. Compound 166a (65-68%) was isolated by silica gel chromatography in gradient of methanol in DCM from 5% to 20%. MS: m/z 321.0 [M-l].
EXAMPLE 154
Figure imgf000356_0001
[0810] To a solution of 167aa (0.31 g, 0.8 mmol) in anhydrous methanol (2 mL), was added 10 % Pd/C (30 mg), and the mixture was stirred under ¾ atmosphere for 1 h. After completion, the mixture was filtered, and the catalyst cake was washed with methanol. The washing and filtrate were combined. The solvent was removed under vacuum to give 167bb as a semi-solid (252 mg), which was used without further purification. Ή NMR (CDC13, 400 MHz) 5.57 (d, J= 13.6 Hz, 4H), 4.23 (q, J= 7.2 Hz, 4H), 1.30 (t, J= 7.2 Hz, 6H), 31P NMR (CDCI3) δ- 4.64 (s).
[0811] To a solution of triethylammonium bis (EOC) phosphate (0.7 mmol, prepared from 213 mg of 167bb and 0.2 mL of TEA) in THF (3 mL) was added 167-1 (160 mg, 0.45 mmol) followed by diisopropylethylamine (0.33 mL, 1.8 mmol), BOP-C1 (229 mg, 0.9 mmol), and 3-nitro-l,2,4-triazole (103 mg, 0.9 mmol). The mixture was stirred at RT for 90 mins. The mixture was diluted with EtOAc, and washed with water and brine. The organic layer was separated, dried over anhydrous Na2S04 and filtered. The filtrate was concentrated in vacuum to a white solid, which was purified on silica gel column
(CH3OH:DCM; 9.5:0.5) to give 167-2 (189 mg, 66 %).
[0812] To a solution of 167-2 (180 mg, 0.28 mmol) in 80% HCOOH (7 mL), was heated for 6 h at 45 °C. The solvents were evaporated, and then co-evaporated with toluene 3 times. The residue was purified on silica gel column using 0 to 10% MeOH in DCM to obtain 167a (97.3 mg) as a white foam after lypholization. MS: m/z = 575.1 [M+H]+.
EXAMPLE 155
Figure imgf000357_0001
[0813] A mixture of compound 157a (30 mg, 0.09 mmol), PTSA monohydrate (18 mg, 1 equiv.), and trimethyl orthoformate (0.3 mL; 30 equiv.) in dioxane (1 mL) was stirred 1 d at RT. The reaction was neutralized with NH3/MeOH and then filtered. The filtrate was dissolved in a mixture of THF (0.5 mL) and 80% aq. AcOH (0.25 mL). The solution kept for 1 h at RT, and then evaporated. The residue was purified on silica gel (10 g column) with CH2Cl2/MeOH (4-15% gradient) to yield 168-1 (30 mg, 91%).
[0814] Compound 168-2 (28 mg, 52%) was prepared in the same manner from 168-1 (30 mg, 0.08 mmol) and triethylammonium bis(isopropyloxycarbonyloxymethyl)phosphate (0.12 mmol) with DIPEA (56 μί), BopCl (40 mg), and 3-nitro-l,2,4-triazole (18 mg) in THF (1 mL) using the method for preparing 176-4 from 176-3. Purification was done with CH2Cl2/MeOH (4-10% gradient). [0815] Compound 168a (15 mg, 67%) was prepared from 168-2 (24 mg) using the method for preparing 176-5. Purification was done with CI^CLVMeOH (4-10% gradient). MS: m/z = 636 [M+l].
EXAMPLE 156
Figure imgf000358_0001
[0816] Compound 169-1 (8 mg, 40%) was prepared from 159a (17 mg) and trimethylortho formate (0.15 mL) with PTSA monohydrate (9 mg) in dioxane (0.5 mL) in the same manner as 168-1.
[0817] Compound 169-2 (10 mg, 72%) was prepared in the same manner from 169-1 (8 mg, 0.02 mmol) and triethylammonium bis(isopropyloxycarbonyloxymethyl)phosphate (0.036 mmol) with DIPEA (14 iL), BopCl (10 mg), and 3-nitro-l ,2,4-triazole (5 mg) in THF (0.4 mL) in the same manner as 168-2.
[0818] Compound 169a (15 mg, 67%) was prepared from 169-2 (24 mg) in the same manner as 63. MS: m/z = 652 [M+l].
EXAMPLE 157
Figure imgf000359_0001
170a
[0819] Chloromethyl chloroformate (112 mmol; 10.0 mL) was added to an ice cooled solution of 2-methoxyethanol (97 mmol; 7.7 mL) in dichloromethane (DMC) (100 mL) followed by pyridine (9.96 mL) at 0°C. After stirring overnight at RT, the mixture was washed twice with 0.5 M HCl, followed by water and aqueous sodium bicarbonate. The mixture was dried over magnesium sulfate, filtered, evaporated in vacuo and distillation in vacuo to afford 170-2 as a colorless oil (13.0 g).
[0820] Compound 170-2 (5.7 g) was added to a solution of sodium iodide (21.07 g) in acetone (45 mL). After 20 stirring at 40 °C for 2.5 h, the mixture was cooled in ice, filtered and evaporated in vacuo. The residue was taken up in dichloromethane, washed with aqueous sodium bicarbonate and sodium thiosulfate, dried over magnesium sulfate, filtered and evaporated in vacuo to give 170-3 as a light yellow oil of 170-3 (8.5 g), which was used without further purification. [0821] A mixture of phosphoric acid (crystal, 2.4 g) and triethylamine (6.6 mL) in benzyl alcohol (13 g; 12.5 mL) was stirred at RT until the phosphoric acid was completely dissolved. Trichloroacetonitrile (17 .2 g; 1 1.94 mL) was added, and the mixture was stirred at RT for 18 h. The solvent and excess trichloroacetonitrile were removed under reduced pressure. The residue was dissolved in water (about 200 mL), and the aqueous solution washed with ether (3 x 50 mL). Benzylphosphoric acid (triethylamine salt) was obtained after lyophilization as a yellowish semi-solid (7.15 g). A solution of benzylphosphoric acid (TEA salt, 1.6 g) in MeOH (90 mL) and water (30 mL) was treated with Dowex 50WX2-400 ("153 mL" settled resin) at RT for 18 h. The resin was removed by filtration, and silver carbonate powder (1.25 g) was added to the filtrate. After the suspension was heated at 80°C for 1 h, all solvent was removed under reduced pressure to dryness. The solid was used without further purification.
[0822] Dry acetonitrile (25 mL) was added to benzylphosphoric acid (silver salt) followed by addition of 170-3 (3.12 g; 12 mmol). The suspension was stirred at RT overnight. After the solid was removed by filtration, the product was purified by silica gel chromatography using hexane/ethyl acetate (3: 1 v/v) as the eluent to give 170-4 as a colorless liquid (860 mg, 50%).
[0823] Compound 170-4 (750 mg; 1.65 mmol) was dissolved in methanol (10 mL). Pd-on-carbon (85 mg) and TEA (1 eq.) were added. The flask was charged with hydrogen gas for 1 h. The catalyst was filtered, and the solvent removed in vacuo to give 170-5 (triethylammonium salt) (510 mg) which was used immediately without further purification.
[0824] Compound 170-6 (320 mg; 0.9 mmol) and 170-5 (510 mg, 1.35 mmol; 1.5x) were co-evaporated twice with pyridine and twice with toluene. Compounds 170-5 and 170-6 were dissolved in THF (8 mL) at 0°C. Diisopropylethylamine (DIPEA) (0.62 mL; 4 eq.), bis(2-oxo-3-oxazolidinyl) phosphinic chloride (Bop-Cl) (0.45 g; 2 eq.), nitrotriazole (0.2 g, 2 eq.) were added. The mixture was kept at 0 °C for 2 h and then diluted with EA (50 mL). The mixture was then extracted with sat. sodium bicarbonate (2 x 50 mL) and dried over sodium sulfate. The solvents were removed in vacuo. The residue was purified by flash chromatography using a 10 to 100% gradient of EA in hexane to give purified 170-7 (430 mg, 0.6 mmol).
[0825] Purified 170-7 was dissolved in 80% aq. HCOOH (20 mL) and kept at 45°C for 18 h. After cooling to RT, the solvent was removed in vacuo. The residue co- evaporated with toluene (3 x 25 mL). The residue was purified by flash chromatography using a 0 to 20% gradient of methanol in DCM to give purified 170a (200 mg , 0.3 mmol). 1H-NMR (CDC13): δ 9.28 (s, 1H), 7.54 (d, 1H), 5.95 (s, 1H), 5.65-5.81 (m, 5H), (d, 2H), 4.76 (dd, 2H), 4.44-4.46 (m, 1H), 4.35-4.40 (m, 5H), 4.22 (2H), 4.04 (1H), 3.65 (t, 4H), 3.39 (6H), 1.8 (s, 1H), 1.24 (s, 3H). 31P-NMR (CDC13): δ - 4.09 ppm.
EXAMPLE 158
Figure imgf000361_0001
171a 172a
[0826] Dry 160a (0.05 mmol) was dissolved in the mixture of PO(OMe)3 (0.7 mL) and pyridine (0.3 mL). The mixture was evaporated in vacuum for 15 mins at bath temperature 42 °C, than cooled to RT. N-Methylimidazole (0.009 mL, 0.11 mmol) was added followed by PSC13 (9 uL, 0.11 mmol), and the mixture was kept at RT for 20-40 mins. The reaction was controlled by LCMS and monitored by the appearance of the nucleoside 5'- thiophosphate. After completion of the reaction, tetrabutylammonium salt of pyrophosphate (150 mg) was added, followed by DMF (0.5 mL) to get a homogeneous solution. After 1.5 hours at ambient temperature, the reaction was quenched with water (10 mL). The 5'- triphosphate as mixture of diastereomers was isolated by IE chromatography on AKTA Explorer using column HiLoad 16/10 with Q Sepharose High Performance. Separation was done in linear gradient of NaCl from 0 to IN in 50mM TRIS-buffer (pH 7.5). Fractions containing thiotriphosphate were combined, concentrated and desalted by RP HPLC on Synergy 4 micron Hydro-RP column (Phenominex). Linear gradient of methanol from 0 to 30% in 50mM triethylammonium buffer was used for elution over 20 min, flow lOmL/min. Compounds 171a and 172a were collected. Analytical RP HPLC was done in 50 mM triethylammonium acetate buffer, pH 7.5 containing linear gradient of acetonitrile from 0% to 25% in 7 min on Synergy 4 micron Hydro-RP column (Phenominex). 171a: RT 5.50 min. 31P NMR: δ +42.45(1P, d), -6.80 (IP, d), -23.36 (IP, q). MS: m/z 544.9 [M-1]. 172a: RT 6.01 min. 3IP NMR: δ +41.80(1P, d), -6.57 (IP, d), -23.45 (IP, q). MS: m/z 544.9 [M-1].
Figure imgf000362_0001
170-6
[0827] Commercially available chloromethyl methyl carbonate (5.0 g) was treated with Nal to give 170aa (5.38 g). Benzylphosphate (silver salt) and 170aa were reacted to yield purified 170bb (1.5 g). 1H-NMR (CD3CN): δ 7.39-7.42 (m, 5H), 5.60 (d, 4H), 5.11 (d, 2H), 3.8 (s, 6H). 31P-NMR (CD3CN): δ - 4.47 ppm. Compound 170bb (415 mg; 1.7 mmol) was deprotected to give 173-1 (triethylammonium salt) (510 mg), which was used immediately without further purification. Compound 170-6 (320 mg; 0.9 mmol) and 173-1 (510 mg) were reacted to purified 173-2 (400 mg). Compound 173-2 (230 mg) was deprotected to give purified 173a (250 mg). The aforementioned reactions were conducted using a method described in the preparation of 170a. !H-NMR (CDC13): δ 9.00 (s, IH), 7.55 (d, IH), 5.93 (s, IH), 5.81 (d, IH), 5.66-5.75 (m, 4H), 4.76 (dd, 2H), 4.37-4.46 (m, 2H), 4.15 (d, 2H), 3.86 (t, 6H), 3.70 (d, 6H), 1.65 (s, 6H), 1.25 (s, 3H). 31P-NMR (CDC13): δ - 4.13 ppm.
EXAMPLE 160
Figure imgf000362_0002
[0828] To a stirred solution of 174-1 (532 mg, 1.84 mmol) in anhydrous CH3CN (8.0 mL) was added N-methylimidazole (2.0 mL, 24.36 mmol) at 0 to 5 °C (ice/water bath) followed by a solution of freshly prepared and distilled isopropyl phosphorodichloridate (0.5 mL, 2.84 mmol). The solution was stirred at RT for 15 h. The mixture was diluted with EA, followed by water (15 mL). The solution was washed with H20, 50 % aqueous citric acid solution and brine. The organic layer was separated, dried over anhydrous MgS04 and filtered. The filtrate was concentrated in vacuum to give a residue, which was purified on silica gel with 0 to 8% MeOH/ DCM to give the crude product (72 mg). The crude product was re-purified purified on a reverse-phase HPLC (CI 8) using acetonitrile and water, followed by lyophilization to give 174a (43.6 mg). MS: m/z = 395.05 [M+H]+, 393.0 [M-H]" , 787.05.0 [2M-H]".
EXAMPLE 161
OMPOUNDS 175a °^< o
Figure imgf000363_0001
170-6
175-2
Figure imgf000363_0002
175a
[0829] Compound 175aa was prepared from commercially available 2-(2- methoxyethoxy)-ethanol (11.56 mL). Compound 175aa (13.5 g) was obtained as a clear colorless oil. Ή-NMR (CDC13) δ 5.73 (s, 2H), 4.38-4.40 (m, 2H), 3.74-3.77 (m, 2H), 3.64- 3.67 (m, 2H), 3.54-3.57 (m, 2H), 3.39 (s, 3H). Compound 175bb (9.6 g) was prepared from 175aa, and was obtained as a clear, slightly colored oil. 'H-NMR (CDC13) δ 5.96 (s, 2H), 4.38-4.40 (m, 2H), 3.74-3.77 (m, 2H), 3.64-3.67 (m, 2H), 3.54-3.57 (m, 2H), 3.39 (s, 3H). Benzylphosphate (silver salt) and 175bb (2.4 g) were reacted and yielded purified 175cc (1.02 g). Ή-NMR (CD3CN): δ 7.39-7.42 (m, 5H), 5.60 (d, 4H), 5.11 (d, 2H), 4.27-4.29 (m, 4H), 3.65-3.67 (m, 4H), 3.56 (t, 4H), 3.46 (t, 4H), 3.30 (s, 6H). 3 IP-NMR (CD3CN): δ - 4.55 ppm. Compound 175cc (620 mg; 1.15 mmol) was deprotected to give 175-1
(triethylammonium salt), which was used immediately without further purification.
Compound 170-6 (356 mg; 1.0 mmol) and 175-1 were reacted to give purified 175-2 (250 mg). Compound 175-2 (250 mg) was deprotected to yield purified 175a (110 mg , 0.14 mmol). The aforementioned reactions were conducted using a method described in the preparation of 170a. 1H-NMR (CDC13): δ 8.62 (s, 1H), 7.54 (d, 1H), 5.96 (s, 1H), 5.64-5.79
(m, 5H), 4.76 (dd, 2H), 4.37-4.46 (m, 6H), 4.25 (d, 2H), 3.86 (s, 1H), 3.75 (t, 4H), 3.70 (t,
4H), 3.58 (t, 4H), 3.38 (s, 6H), 1.65 (s, 6H), 1.25 (s, 3H). IP-NMR (CDC13): δ - 3.90 ppm.
EXAMPLE 162
Figure imgf000364_0001
[0830] A mixture of 176-2 (1.2 g; 4 mmol) and Nal (0.6 g; 4 mmol) in acetone (13 mL) was stirred at RT for 1 h. Compound 176-1 (1 g; 3 mmol) and K2C03 (2.07 g; 45 mmol) were added. The mixture was stirred at RT for 24 h. The precipitate was filtered, and the filtrate was evaporated. Purification of the residue on silica (25 g column) with hexanes/EtOAc (30-100% gradient) yielded 176-3 as a colorless foam (1.14 g; 64%).
[0831] To a solution of triethylammonium bis(isopropyloxycarbonyloxymethyl)phosphate (2.3 mmol, prepared from of bis(POC)phosphate (0.75 g) and Et3N (0.32 mL)) in THF was added 176-3 (1.14 g; 1.9 mmol). The mixture evaporated and rendered anhydrous by co-evaporating with pyridine follow by toluene. The residue was dissolved in anhydrous THF (20 mL) and cooled down in an ice-bath. Diisopropylethylamine (1.0 mL; 2 eq.) was added, followed by BOP-C1 (0.72 g; 1.5 eq.) and 3-nitro-l ,2,4-triazole (0.32 g; 1.5 eq.). The n mixture was stirred at 0 °C for 90 mins, diluted with EtOAc, washed with sat. aq. NaHC03 and brine, and dried (Na2S04). The residue was purified on silica (25 g column) with CH2Cl2/i-PrOH (3-10% gradient) to yield (1.2 g, 70%) of 176-4.
[0832] A solution of 176-4 (1.2 g; 1.3 mmol) in 80% aq. HCOOH was stirred at RT for 2 h, and then concentrated. The residue was co-evaporated with toluene and then with MeOH containing small amount of Et3N (2 drops). Purification on silica (25 g column) with CH2Cl2/i-PrOH (4-10% gradient) yielded 176-5 (0.96 g, 85%).
[0833] To a solution of 176-5 (0.52 g; 0.57 mmol) in EtOH (25 mL) were added
HC1 (4 N/dioxane; 0.29 mL, 2 eq.) and 10% Pd/C (25 mg). The mixture was stirred under H2
(normal pressure) for 1 h. The catalyst was removed by filtration through a Celite pad, and the filtrate was evaporated to yield 176a as its HC1 salt (4.2 g; 96%). MS: m/z = 732 [M+l].
EXAMPLE 163
Figure imgf000365_0001
[0834] Compound 177aa was prepared from l ,3-dimethoxypropan-2-ol. lH- NMR (CDC13) δ 5.73 (s,2H) , 5.03-5.06 (m,lH), 3.59 (d,4H), 3.38 (s,6H). Dry ACN (25 mL) was added to benzylphosphate (silver salt) (5 mmol) followed by addition of 177aa (3.12 g; 12 mmol). The suspension was heated at 60°C for 18 h. After the solid was removed by filtration, the product was purified by silica gel chromatography using hexane/EA (3: 1) as the eluent to provide 177bb as a colorless liquid (540 mg, 50%). !H-NMR (CD3CN): δ 7.39-
7.42 (m, 5H), 5.61 (d, 4H), 5.10 (d, 2H), 4.97-5.01 (m, 2H), 3.50-3.52 (m, 8H), 3.30 (s, 6H),
3.28 (s, 6H). 31P-NMR (CD3CN): δ - 4.42 ppm. Compound 177bb (540 mg; 1.0 mmol) was deprotected to give 177-1 (triethylammonium salt), which was used immediately without further purification. Compound 170-6 (285 mg; 0.8 mmol) and 177-1 were reacted to give purified 177-2 (300 mg). Compound 177-2 (300 mg) was deprotected to give purified 177a
(290 mg). The aforementioned reactions were conducted using a method described in the preparation of 170a. !H-NMR (CDC13): δ 9.35 (s, 1H), 7.56 (d, 1H), 6.1 (s, 1H), 5.66-5.82
(m, 5H), 5.04 (s, 1H), 4.76 (dd, 2H), 4.60 (d, 1/2H), 4.37-4.48 (m, 2H), 4.22 (d, 2H), 4.06 (s,
1H), 3.58 (s, 8H), 3.57 (s, 12H), 1.93 (s, 1H), 1.23 (s, 3H). 31P-NMR (CDC13): δ - 4.08 ppm.
EXAMPLE 164
Figure imgf000366_0001
[0835] Compound 178-1 (180 mg, 62%) was prepared in the same manner from 170-6 (0.18 g, 0.5 mmol) and triethylammonium bis(acetyloxymethyl)phosphate (1.0 mmol) with D1PEA (0.35 mL), BopCl (0.25 g), and 3-nitro-l,2,4-triazole (0.11 g) in THF (1 mL) using a method as described for 156a. Purification was done with CPbCVi-PrOH (4-10% gradient).
[0836] Compound 178a (60 mg, 78%) was prepared from 178-1 (85 mg) using a method as described for 156a. MS: m/z = 1027 [2M-1]. EXAMPLE 165
Figure imgf000367_0001
179-12 179a
[0837] To a solution of 179-1 (15 g, 50.2 mmol) in anhydrous pyridine (180 mL) was added BzCl (23.3 g, 165.5 mmol) at 0 °C under nitrogen. The mixture was stirred overnight at RT. The mixture was diluted with EA and washed with NaHC03 aq. solution. The organic layer was dried with anhydrous Na2S04, and concentrated to dryness. The organic layer was dried and concentrated to give a residue, which was purified by silica gel column chromatography (15 % EtOAc in PE) to give 179-2 (27 g, 93.5%) as a white solid.
[0838] Compound 179-2 (27g, 47 mmol) was dissolved in 90% HO Ac (250 mL) and heated to 110 °C. The mixture was stirred overnight at 110 °C. The solvent was removed and diluted with EA. The mixture was washed with NaHC03 aq. solution and brine. The organic layer was dried and concentrated to give crude 179-3.
[0839] Compound 179-3 was dissolved in NH3/MeOH (600 mL) and stirred overnight. The solvent was concentrated to give the residue, which was purified by silica gel column chromatography (5% MeOH in DCM) to give 179-4 (12 g, 99%) as a white solid. [0840] To a solution of 179-4 (15 g, 56.8 mmol) in anhydrous pyridine (200 mL) was added imidazole (7.7g, 1 13.6 mmol) and TBSC1 (9.4 g, 62.5 mmol) at RT. The mixture was stirred overnight. And the solvent was removed and diluted with EA. The mixture was washed with NaHC03 aq. solution and brine. The organic layer was dried and concentrated to give crude 179-5.
[0841] To a solution of 179-5 in anhydrous DCM (200 mL) was added collidine (6.8 g, 56.8 mmol), MMTrCl (17.8 g, 56.8 mmol) and AgN03 (9.6 g, 56.8 mmol) at RT. The mixture was stirred overnight. The mixture was filtered, and the filtrate was washed with NaHC03 aq. solution and brine. The organic layer was dried over Na2S04, and concentrated at low pressure to give the residue, which was purified by silica gel column chromatography (5% EA in PE) to give 179-6 (32 g, 87%).
[0842] Compound 179-6 (32 g, 49.2 mmol) was dissolved in a solution of TBAF in THF (1M, 4 eq.) at RT. The mixture was stirred overnight, and the solvent was removed. The mixture was diluted with EA and washed with water. The organic layer was dried and concentrated to give the crude product, which was purified by silica gel column chromatography (33% EA in PE) to give 179-7 (21 g, 79%).
[0843] To a solution of 179-7 (21 g, 38.8 mmol) in DCM (200 mL) was added pyridine (9.2 mL, 116.4 mmol). The solution was cooled to 0 °C and Dess-Martin periodinane (49 g, 1 16.4 mmol) was added in a single portion. The mixture was stirred for 4 h at RT. The reaction was quenched with Na2S203 solution and sodium bicarbonate aqueous solution. The mixture was stirred for 15 mins. The organic layer was separated, washed with diluted brine and concentrated under reduced pressure. The residue was dissolved in dioxane (200 mL), and the solution was treated with 37% aqueous formaldehyde (20 mL, 194 mmol) and 2 N aqueous sodium hydroxide (37.5 mL, 77.6 mmol). The mixture was stirred at RT overnight and NaBLL (8.8 g, 232.8 mmol) was added. After stirring for 0.5 h at RT, the excess of aqueous sodium hydroxide was removed with ice water. The mixture was diluted with EA. The organic phase was washed with brine, dried over magnesium sulfate and concentrated at low pressure. The residue was purified by column chromatography (4% MeOH in DCM) to give 179-8 (10 g, 50.5%) as a white foam. [0844] Compound 179-8 (4.8 g, 8.5 mmol) was co-evaporated with toluene twice. The residue was dissolved in anhydrous DCM (45 mL) and pyridine (6.7 g, 85 mmol). The solution was cooled to 0°C and triflic anhydride (4.8 g, 18.7 mmol) was added dropwise over 10 mins. At this temperature, the reaction was stirred for 40 mins. TLC (50% EA in PE) showed that the reaction was complete. The mixture was purified by column chromatography (EA in PE from 0 to 20%) to give 179-9 (6.1 g, 86.4%) as a brown foam.
[0845] Compound 179-9 (6.1 g, 7.3 mmol) was dissolved in MeCN (25 mL). The mixture was treated with a solution of TBAF in THF (1M, 25 mL) at RT. The mixture was stirred overnight. TBAF in THF (1M, 15 mL) was added and stirred for 4 h. The mixture was treated with aqueous sodium hydroxide (IN, 14.6 mmol) and stirred for 1 h. The reaction was quenched with water (50 mL) at 0 °C and extracted with EA. The organic layer was dried and concentrated to give the crude product, which was purified by silica gel column chromatography (50% EA in PE) to give 179-10 (2.1 g, 50.6%).
[0846] To a solution of 179-10 (1.5 g, 2.6 mmol) in anhydrous pyridine (15 mL) was added imidazole (530 mg, 7.8 mmol) and TBSC1 (585 mg, 3.9 mmol) at RT. The mixture was stirred for 2 h. The solvent was removed and diluted with EA. The mixture was washed with NaHC03 aq. solution and brine. The organic layer was dried and concentrated to give the residue, which was purified by silica gel column chromatography (10% EA in PE) to give 179-11(1.5 g, 84.5%).
[0847] To a solution of 179-11 (1.5 g, 2.2 mmol) in anhydrous CH3CN (11 mL) were added DMAP (671 mg, 5.5 mmol), TEA (555 mg, 5.5 mmol) and TPSC1 (1.66 g, 5.5 mmol) at RT. The reaction was stirred overnight at RT. NH4OH (10 mL) was added, and the mixture was stirred for 2 h. The mixture was diluted with EA and washed with NaHC03 solution. The organic layer was dried and concentrated at low pressure. The residue was purified by silica gel column chromatography (2% MeOH in DCM) to give crude 179-12, which was purified by prep-TLC to give 179-12 (1.2 g, 80%) as a white solid.
[0848] A solution of 179-12 (1.2 g, 1.76 mmol) in 80% HCOOH (60 mL) was stirred for 4 h. The solvent was removed at low pressure. The crude product was dissolved in MeOH (40 mL) and stirred overnight. The solvent was concentrated to give the crude product, which was purified by column chromatography on silica gel (MeOH in DCM 10%) to give 179a (480 mg, 92%) as a white solid. ESI-MS: m/z 591 [2M+H]+.
EXAMPLE 166
Figure imgf000370_0001
[0849] A solution of 179-8 (2.63 g, 4.64 mmol) in anhydrous pyridine/DCM at 0 °C was added Tf20 (3.27 g, 1 1.59 mmol). The mixture was stirred at RT for 40 mins. The solvent was removed at reduced pressure, and the residue was purified by column chromatography to give 180-1 (2.60 g, 67%).
[0850] A solution of 180-1 (2.65 g, 3.19 mmol) in anhydrous DMF was added sodium hydride (153 mg, 3.82 mmol) at 0 °C for 1 h. The solution was used for the next step without purification. The solution was treated with LiCl (402 mg, 9.57 mmol) at RT. The mixture was stirred at RT for 12 h. The reaction was quenched with saturated ammonium chloride solution, and extracted with EA. The organic layers were dried over Na2S04, and concentrated at low pressure to give crude 180-2.
[0851] To a solution 180-2 (1.81 g, 3.19 mmol) in anhydrous THF (20 mL) was added 1 N NaOH (4 mL, 3.83 mmol) at RT. The mixture was stirred at RT for 2 h. The reaction was quenched with saturated sodium bicarbonate solution, and extracted with EA. The organic phase was dried over anhydrous Na2S04, and concentrated at low pressure. The residue was purified by column chromatography to give 180-3. (1.34 g, 72%).
[0852] A solution of 180-3 (925 mg, 1.58 mmol) in dichloromethane (10 mL) was added TBSC1 (713 mg, 4.75 mmol) and imidazole (323 mg, 4.74 mmol), and stirred at RT overnight. The mixture was diluted with EA (20 mL), and washed with brine. T he organic phase was concentrated at low pressure to give the crude product. The residue was purified by column chromatography to give 180-4 (1.0 g, 90%).
[0853] A solution of 180-4 (1.24 g, 1.78 mmol) in anhydrous acetonitrile (10 mL) was added TPSC1(1.34 g, 4.45 mmol), DMAP (543 mg, 4.45 mmol) and TEA (450 mg, 4.45 mmol), and the mixture was stirred at RX for 3 h. The solvent was removed under reduced pressure, and the residue was dissolved in EA (30 mL). The solution was washed with brine, dried with anhydrous Na2S04, and concentrated at low pressure. The residue was purified on silica gel to give 180-5 (1.0 g, 81%) as a white solid.
[0854] Compound 180-5 (1.0 g, 1.43 mmol) was treated with 80% HCOOH (10 mL), and stirred at RT overnight. The solvent was removed under reduced pressure, and the residue was purified on silica gel using 5% MeOH in CH2CI2 to give 180a (264 mg, 60%). ESI-MS: m/z 311.9 [M+H]+.
EXAMPLE 167
Figure imgf000371_0001
170-6
[0855] Benzylphosphate (silver salt) and commercially available chloromethyl isobutylrate (5.0 g) yielded purified 181aa (3.84 g). Ή-NMR (CD3CN): δ 7.39-7.42 (m, 5H), 5.60 (d, 4H), 5.09 (d, 2H), 1.94-1.96 (m, 2H), 1.12-1.17 (m, 12H). 31P-NMR (CD3CN): δ - 4.03 ppm. Compound 181aa (780 mg; 2.0 mmol) was deprotected to give 181-1 (triethylammonium salt), which was used immediately without further purification. Compound 170-6 (356 mg; 1.0 mmol) and 181-1 were reacted to give purified 181-2 (230 mg). Compound 181-2 (230 mg) was deprotected to yield purified 181a (80 mg, 0.14 mmol). The aforementioned reactions were conducted using a method described in the preparation of 170a and 177a. Ή-NMR (CDC13): δ 8.25 (s, 1H), 7.55 (d, 1H), 5.93 (s, 1H), 5.81 (d, 1H), 5.66-5.75 (m, 4H), 4.76 (dd, 2H), 4.37-4.46 (m, 2H), 4.15 (d, 2H), 3.86 (t, 6H), 3.70 (d, 6H), 1.65 (s, 6H), 1.25 (s, 3H). 3 IP-NMR (CDC13): δ - 4.41 ppm. EXAMPLE 168
Figure imgf000372_0001
[0856] Compound 182-2 (0.34 g, 60%) was prepared from 176-1 (0.33 g) and 182-1 (0.34 g) in acetone (6 mL) with Nal (0.19 g) and K2C03 (0.69 g).
[0857] Compound 182-3 (0.28 g, 74%) was prepared in the same manner from 182-2 (0.25 g, 0.45 mmol) and triethylammonium bis(ethoxycarbonyloxymethyl)phosphate (0.9 mmol) with DIPEA (0.35 mL), BopCl (0.25 g), and 3-nitro-l,2,4-triazole (0.11 g) in THF (5 mL). Purification was done with hexanes/EtOAc (30-100% gradient).
[0858] A solution of 182-3 (0.28 g, 0.33 mmol) in 80% aq. AcOH was heated at 45 °C for 4 h and then concentrated. The residue was coevaporated with toluene and then with MeOH containing small amount of Et3N (2 drops). Purification on silica gel (10 g column) with CH2Cl2/i-PrOH (4-10% gradient) yielded 182-4 (0.22 g, 84%).
[0859] To a solution of 182-4 (148 mg, 0.18 mmol) in EtOAc (0.6 mL) at 0 °C was added 4 N HCl/dioxane (0.5 mL), and the mixture kept at RT for 1 h. Ether was added and 182a precipitated. The mixture was filtered and washed with ether to give 182a (100 mg, 75%). The aforementioned reactions were conducted using a method described preparation of 176a. MS: m/z=704 [M+l].
EXAMPLE 169
Figure imgf000373_0001
[0860] Compound 181a (O.OlOg, 0.016mmol) was added to normal saline solution (3 mL, pH 7.3), and stored in a heat block at 37°C for 6 days. The mixture was purified by preparative HPTC using a Synergi 4u Hydro-RP column (Phenomenex, 00G-
4375-UO-AX), with H20 (0.1% formic acid) and ACN (0.1% formic acid) solvents (0-65% gradient in 20 minutes). The compound eluted at 13.0 min. Pure fractions were pooled and lyophilized to yield 183a (0.005g, 63%). MS: m/z = 487 [M+l ].
Figure imgf000373_0002
[0861] A mixture solution of 184-1 (317 mg, 0.49 mmol), TPSC1 (373 mg, 1.23 mmol), DMAP (150 mg, 1.23 mmol) and TEA (124 mg, 1.23 mmol) in anhydrous MeCN was stirred at RT overnight. The mixture was treated with ammonium solution, and then stirred at RT for 3 h. The solvent was removed under reduced pressure, and the residue was purified by column chromatography to give 184-2 (200 mg, 63%).
[0862] A solution of 184-2 (286 mg, 0.45 mmol) and ammonium fluoride (500 mg, 13.5 mmol) in methanol (10 mL) was refluxed overnight. The solvent was removed under reduced pressure and the residue was purified on silica gel to give 184a (75 mg, 57%). ESI-MS: m/z 289.9 [M+H]+. EXAMPLE 171
Figure imgf000374_0001
[0863] Compound 185-1 (0.44 g, 34%) was prepared from 176-3 (0.88 g, 1.48 mmol) and triethylammonium bis(isobutyryloxymethyl)phosphate (3 mmol) with DIPEA (1.05 mL), BopCl (0.76 g), and 3-nitro-l,2,4-triazole (0.34 g) in THF (10 mL). Purification was done with hexanes/EtOAc (5-100 % gradient). Compound 185-2 (0.43 g, 85%) was prepared from 185-1 (0.44 g); and 185a (0.19 g, 98%) was prepared from 185-2 (0.22 g) in EtOH (10 mL) with 10% Pd/C (10 mg), 4 N HCl/dioxane (132 μί), and under the H2 atmosphere. The aforementioned reactions were conducted using a method described in the preparation of 176a. MS: m/z = 700 [M+l].
EXAMPLE 172
Figure imgf000375_0001
186-12 186-13
[0864] To a stirred solution of 186-1 (2.0 g, 7.12 mmol) in pyridine (20 mL) was added TMSC1 (3.86 g, 35.58 mmol) at 0 °C under N2. The mixture was slowly warmed to RT and stirred for 2 h. PivCl (1.71 g, 14.23 mmol) was added, and the mixture was stirred for 24 h. The solvent was evaporated at low pressure, and the residue was dissolved in EA (50 mL). The solution was washed with brine, dried over anhydrous a2S04, and concentrated at low pressure to give the crude product. The crude product was dissolved in MeOH (20 mL) and NH4F (1.4 g, 37.86 mmol) was added. The mixture was reiluxed for 2 h. The solvent was removed, and the residue was purified by column chromatography to give 186-2 (2.2 g, 85%).
[0865] To a solution of 186-2 (8.5 g, 23.28mmol) and 1 , 1 -dimethoxycyclopentane (2 mL) in a mixture of DMF (15 mL) and cyclopentanone (6 mL) was added TsOH (6.63 g, 34.93mmol). The mixture was stirred at RT for 12 h. The reaction was quenched with triethylamine, and concentrated at low pressure. The residue was purified by column chromatography to give 186-3 (6.5 g, 65%).
[0866] To a stirred solution of 186-3 (6.0 g, 13.92 mmol) in anhydrous MeOH (60 mL) was added MeONa (2.25 g, 41.76 mmol) at RT. The mixture was stirred for 12 h and then neutralized with HO Ac. The mixture was concentrated at low pressure, and the residue was purified by column chromatography to give 186-4 (4.4 g, 92%).
[0867] To a stirred solution of 186-4 (5.0 g, 14.40 mmol) in anhydrous pyridine (50 mL) was added TBSCl (3.24 g, 21.61 mmol) at RT under N2, and the mixture was stirred overnight. The mixture was concentrated at low pressure, and the residue was purified by column chromatography to give 186-5 (5.44 g, 82%).
[0868] To a stirred solution of 186-5 (5.0 g, 10.84 mmol) in anhydrous DCM (50 mL) was added MMTrCl (5.01g, 16.26 mmol), collidine (5 mL), and AgN03 (2.76 g, 16.26 mmol) at RT under N2, and the mixture was stirred for 2 h. The precipitate was removed by filtration, and the filtrate was concentrated at low pressure. The residue was purified by column chromatography to give 186-6 (7.1 g, 89%).
[0869] To a stirred solution of 186-6 (7.1 g, 9.68 mmol) in anhydrous THF (70 mL) was added TBAF (5.05 g, 19.37 mmol) at RT under N2, and the mixture was stirred for 4 h. The mixture was concentrated at low pressure, and the residue was purified by column chromatography to give 186-7 (5.1 g, 87%).
[0870] To a stirred solution of 186-7 (3.2 g, 5.17 mmol) and pyridine (2.04 g, 25.85 mmol) in anhydrous DCM (30 mL) was added DMP (3.28 g, 7.75 mmol) at RT under N2. The mixture was stirred at RT for 3 h. The reaction was quenched with sat. Na2S203 solution, and washed with sat. NaHC03 solution and brine. The organic phase was dried over anhydrous Na2S04, and concentrated at low pressure. The residue was purified by column chromatography to give the aldehyde (1.8 g). To a stirred solution of the aldehyde (1.8 g, 2.92 mmol) in dioxane (29.2 niL) was added 37% HCHO (2.36 g, 29.17 mmol) and IN LiOH (1.6 niL, 2.34 mmol) at RT. The mixture was stirred at RT for 1.5 h. The solution was neutralized with HO Ac. The mixture was treated with EtOH (15 mL) and NaBH4 (1.66 g, 43.8 mmol), and stirred at RT for 2 h. The mixture was quenched with water, and concentrated at low pressure. The residue was purified by column chromatography to give 186-8 (2.01 g, 61%).
[0871] To a stirred solution of 186-8 (200 mg, 0.31 mmol) in anhydrous DCM (2 mL) was added TBDPSC1 (170 mg, 0.62 mmol) and imidazole (42 mg, 0.62 mmol) at RT under N2. The mixture was stirred at RT for 2 h. The mixture was diluted with DCM (10 mL), and washed with brine. The organic phase was concentrated at low pressure, and the residue was purified by column chromatography to give 186-9 (175 mg, 64%).
[0872] To a stirred solution of 186-9 (270 mg, 0.304 mmol) in anhydrous DCM (2 mL) was added BzCl (63 mg, 0.61 mmol), DMAP (74 mg, 0.61 mmol) and TEA (61 mg, 0.61 mmol) at RT under N2. The mixture was stirred at RT until the starting material disappeared. The = mixture was evaporated at low pressure, and the residue was purified by column chromatography to give 186-10 (250 mg, 83.3%).
[0873] Compound 186-10 (300 mg, 0.302 mmol) in THF (5 mL) was treated with a solution of TBAF (0.61 mL, 0.61 mmol, 1M in THF) and HOAc (0.2 mL) at RT. The mixture was stirred at RT for 12 h. The mixture was concentrated at low pressure, and the residue was purified by column chromatography to give 186-11 (170 mg, 75%).
[0874] To a stirred solution of 186-11 (400 mg, 0.531 mmol) in anhydrous DCM (4 mL) was added Tf20 (299 mg, 1.06 mmol) and pyridine (84 mg, 1.06 mmol) at RT under N2. The mixture was stirred at RT until the starting material disappeared. The mixture was concentrated at low pressure, and the residue was purified by column chromatography to give 186-12 (401 mg, 85%).
[0875] Compound 186-12 (500 mg, 0.564 mmol) was treated with TBAF in THF (1.0 M, 2 mL) at RT under N2. The mixture was diluted with water (20 mL), and extracted with DCM. The solution was washed with brine, dried over anhydrous Na2S04, and concentrated at low pressure. The residue was purified by column chromatography to give 186-13 (150 mg, 40.8%) as a white solid. ESI-MS: m/z 652.1 [M + H]+. [0876] Compound 186-13 (50 mg) was dissolved in 80% HCOOH (10 mL), and the mixture was heated at 45°C for 24 h. The solvent was evaporated and co-evaporated with methanol/toluene to remove traces of acid. The residue was dissolved in 20% triethylamine in methanol, kept for 15 mins and then evaporated. Compound 186a (18 mg, 75%) was isolated by silica gel chromatography in a gradient of methanol in DCM from 0% to 15%. MS: m/z 312.5 [M-l].
Figure imgf000378_0001
170-6
[0877] Compound 187aa was prepared from commercially available 3- hydroxyoxetane (5.0 g). ^-NMR (CDC13) δ 5.73 (s,2H) , 5.48-5.51 (m,lH), 4.90 (d,2H), 4.72 (d, 2H). Compound 187bb (8.0 g) was prepared from 187aa. !H-NMR (CDC13) δ 5.95 (s,2H) , 5.48-5.51 (m,lH), 4.90 (d,2H), 4.72 (d, 2H). Benzylphosphate (silver salt) and 187bb (8.0 g) were reacted to yield purified 187cc (1.92 g). ^- MR (CD3CN): δ 7.39-7.42 (m, 5H), 5.62 (d, 4H), 5.39-5.42 (m, 2H), 5.15 (d, 2H), 4.80-4.83 (m, 4H), 4.56-4.60 (m, 4H). 31P-NMR (CD3CN): δ - 4.55 ppm. Compound 187cc was deprotected to give 187-1 (triethylammonium salt), which was used immediately without further purification. Compound 170-6 (356 mg; 1.0 mmol) and 187-1 were reacted to give purified 187-2 (230 mg). Compound 187-2 (230 mg ) was deprotected to yield purified 187a (12.5 mg, 0.02 mmol). The aforementioned reactions were conducted using a method described in the preparation of 170a. !H-NMR (CDC13): δ 8.25 (s, 1H), 7.54 (d, 1H), 5.90 (s, 1H), 5.81 (d, 1H), 5.66-5.75 (m, 4H), 5.44-5.49 (m, 2H), 4.88-4.92 (m, 5H), 4.61-4.78 (m, 5H), 4.37-4.46 (m, 2H), 4.21 (s, 1H), 3.49 (s, 1H), 1.25 (s, 3H). 3IP-NMR (CDC13): δ - 4.28 ppm. EXAMPLE 174
Figure imgf000379_0001
[0878] Compound 188-2 (70 mg, 58%) was prepared in the same manner from compound 188-1 (90 mg; 0.1 mmol) and triethylammonium bis(isopropyloxycarbonyloxymethyl)phosphate (0.2 mmol) with DIPEA (87 μΚ), BopCl (44 mg), and 3-nitro-l,2,4-triazole (29 mg) in THF (2 mL) as described in the preparation of compound 156a. Purification was done with hexanes/EtOAc with a 20-80% gradient.
[0879] Compound 188a (25 mg, 64%) was prepared from 188-2 (70 mg) in acetonitrile (0.6 mL) and 4 N HCl/dioxane (50 μί) as described in the preparation of 209a. MS: m/z = 658 [M+l].
EXAMPLE 175
Figure imgf000380_0001
[0880] Compound 189-2 (69 mg, 90%) was prepared from compound 189-1 (52 mg; 0.08mmol) and triethylammonium bis(isopropyloxycarbonyloxymethyl)phosphate (0.16 mmol) with DIPEA (74 μί), BopCl (51 mg), and 3-nitro-l,2,4-triazole (23 mg) in THF (1 mL) as described in the preparation of compound 156a. Purification was done with hexanes/EtOAc with a 20-100% gradient.
[0881] Compound 189a (27 mg, 62%) was prepared from 189-2 (65 mg) as described in the preparation of 156a. MS: m/z = 626 [M+l].
EXAMPLE 176
Figure imgf000380_0002
[0882] A mixture of 185-2 and acetic anhydride in pyridine was stirred overnight at RT, then concentrated and purified on silica gel (10 g column) with CL^CVi-PrOH (4- 10% gradient) to yield 190-1 (12 mg, 69%).
[0883] Compound 190a (10 mg, 92%) was prepared from 190-1 (12 mg) in EtOH
(0.5 mL) with 10% Pd/C (1 mg), 4 N HCl/dioxane (7 μΐ.), and under the ¾ atmosphere in the same manner 176a. MS: m/z=742 [M+l].
EXAMPLE 177
Figure imgf000381_0001
[0884] To a solution of 191-1 (3.0 g, 11.15 mmol) in anhydrous pyridine (90 mL) was added imidazole (3.03 g, 44.59 mmol) and TBSCl ( 6.69 g, 44.59 mmol) at 25 °C under N2 atmosphere. The solution was stirred at 25 °C for 15 h. The solution was concentrated to dryness under reduced pressure. The residue was dissolved in EA. The solution was washed with sat. NaHC03 and brine, and dried over anhydrous MgSC . The solvent was removed at low pressure to give crude 191-2 (4.49 g, 90 %) as a white solid. [0885] To a stirred solution of 191-2 (3.5 g, 7.04 mmol) in a mixture of EA and EtOH (1 : 1 , 55 mL) was added TsOH (10.7 g, 56.34 mmol) at 0 °C. The mixture was stirred at 30 °C for 8 h. Water (30 mL) was added, and the solution was removed to dryness. The residue was purified on a silica gel column (10% MeOH in DCM) to give 191-3 (1.75 g, 65%) as a white foam.
[0886] To a solution of 191-3 (3.4 g, 8.88 mmol) in anhydrous pyridine (17 mL) was added collidine (4.3 g, 35.51 mmol), AgN03 (5.50 g, 35.51 mmol) and MMTrCl (8.02 g, 26.63 mmol) at 25 °C under N2. The mixture was stirred at 25 °C for 12 h. MeOH (20 mL) was added, and the solvent was removed to dryness at low pressure. The residue was purified on a silica gel column (10% EA in PE) to give 191-4 (5.76 g, 70%) as a white foam.
[0887] To a solution of 191-4 (2.0 g, 2.16 mmol) in anhydrous DCM (10 mL) was added Cl2CHCOOH (2.8 g, 21.57 mmol) dropwise at -78 °C. The mixture was warmed to - 10 °C and stirred at this temperature for 20 mins. The reaction was quenched with sat.NaHC03 at -10 °C. The mixture was extracted with DCM, washed with brine, and dried over anhydrous MgS04. The solution was concentrated at low pressure. The residue was purified on silica gel column (10% EA in PE) to give 191-5 (0.99 g, 70%) as a white foam.
[0888] To a stirred solution of 191-5 (3.5 g, 5.34 mmol) in anhydrous DMSO (35 mL) was added DCC (3.30 g, 16.03 mmol) and Py-TFA (1.03 g, 5.34 mmol). The mixture was stirred at 30 °C for 1 h. The reaction was quenched with cold water at 0 °C, and extracted with EA (3 x 60 mL). The precipitate was filtered. The organic layers were washed with brine (3x) and dried over anhydrous MgS04. The organic phase was concentrated at low pressure to give crude 191-6 (3.5 g) as a yellow oil.
[0889] To a stirred solution of 191 -6 (3.5 g, 5.34 mmol) in MeCN (35 mL) was added 37% HCHO (1 1.1 mL) and TEA (4.33 g, 42.7 mmol). The mixture was stirred at 25 °C for 12 h. The mixture was treated with EtOH (26 mL) and NaBH4 (3.25 g, 85.5 mmol) and then stirred for 30 mins. The reaction was quenched with sat. aq. NH4C1 and extracted with EA (3 x 60 mL). The organic layer was dried over anhydrous MgS04, and concentrated at low pressure. The residue was purified by column chromatography (from 10% EA in PE to 50% DCM in PE) to give 191-7 (1.46 g, 40%) as a white solid. [0890] To a stirred solution of 191-7 (1.85 g, 2.7 mmol) in pyridine (24 mL) and DCM (9.6 mL) was added DMTrCl (1.3 g, 3.9 mmol) at -35 °C under N2 atmosphere. The solution was stirred at 25 °C for 16 h. The mixture was treated with MeOH (15 mL) and concentrated at low pressure. The residue was purified by column chromatography (EA in PE from 10% to 30%) to give 191-8 ( 1.60 g, 60 %) as a white solid.
[0891] To a solution of 191-8 (1.07 g, 1.08 mmol) in anhydrous pyridine (5 mL) was added AgN03 (0.65 g, 3.79 mmol) and TBDPSCl (1.04 g, 3.79 mmol). The mixture was stirred at 25 °C for 16 h. The solvent was removed under reduced pressure. The residue was dissolved in EA (50 mL). The resulting solution was washed with brine. The organic layer was dried over anhydrous MgSC>4, and concentrated at low pressure. The residue was purified on a silica gel column (10% EA in PE) to give 191-9 (0.93 g, 70%) as a white foam.
[0892] To a stirred solution of 191-9 (1 g, 0.82 mmol) in anhydrous DCM (13.43 mL) was added Cl2CHCOOH (2.69 mL) at -78 °C. The mixture was stirred at -10 °C for 20 mins. The reaction was quenched with sat. aq. NaHC03 and extracted with DCM. The organic layer was dried over anhydrous Na2S04, and concentrated at low pressure. The organic phase was purified by column chromatography (MeOH in DCM form 0.5% to 2%) to give 191-10 (0.48 g, 65%) as a solid.
[0893] To an ice cold solution of 191-10 (0.4 g, 0.433 mmol) in anhydrous DCM (2.7 mL) was added pyridine (171 mg, 2.17 mmol) and Tf20 (183 mg, 0.65 mmol) by dropwise at -35 °C. The mixture was stirred at -10 °C for 20 mins. The reaction was quenched with ice water and stirred for 30 mins. The mixture was extracted with DCM (3 x 20 mL). The organic phase was washed with brine (100 mL), dried over anhydrous Na2S04, and concentrated at low pressure to give crude 191-11 (0.46 g), which was used for next step without further purification.
[0894] To a solution of 191-11 (0.46 g, 0.43 mmol) in anhydrous DMF (2.5 mL) was added NaN3 (42 mg, 0.65 mmol). The mixture was stirred at 30 °C for 16 h. The solution was diluted with water and extracted with EA (3 x 30 mL). The combined organic layers were dried over anhydrous a2S04, and concentrated at low pressure. The residue was purified on a silica gel column (EA in PE from 5% to 15%) to give 191-12 (0.31 g, 70%) as a solid. [0895] To a solution of 191-12 (0.31 g, 0.33 mmol) in MeOH (5 mL) was added NH4F (0.36 g, 9.81 mmol) at 70 °C. The mixture was stirred at this temperature for 24 h. The mixture was evaporated to dryness. The residue was purified on silica gel column (MeOH in DCM from 0.5% to 2.5%) to give 191-13 (117 mg, 60%) as a white solid.
[0896] Compound 191-13 (300 mg, 0.50mmol) was dissolved in 80% of HOAc
(20 mL). The mixture was stirred at 55 °C for 1 h. The reaction was quenched with MeOH and concentrated at low pressure. The residue was purified by prep-HPLC to give 191a (100 mg, 61.3 %) as a white solid. ES1-LCMS: m/z 325.1 [M+H]+.
EXAMPLE 178
Figure imgf000384_0001
[0897] To a solution of 113a (200 mg, 0.67 mmol) in anhydrous pyridine (5 mL) was added TBSC1 (120 mg, 0.8 mmol) at R.T. The mixture was stirred overnight, and the reaction mixture was diluted with EA. The mixture was washed with NaHC03 aq. solution and brine. The organic layer was dried, filtered and concentrated to give residue, which was purified by silica gel column chromatography (5% MeOH in DCM to 25% MeOH in DCM to give 192-1 (153 mg, 55%) as a white solid.
[0898] To a solution of 192-1 (54 mg, 0.13 mmol) in anhydrous DCM (2 mL) was added collidine (95 ^L, 0.78 mmol), DMTrCl (262 mg, 0.78 mmol) and AgN03 (66 mg, 0.39 mmol) at R.T. The mixture was stirred overnight, and then diluted wit DCM (5 mL). The mixture was filtered through a pre-packed celite funnel, and the filtrate was washed with NaHC03 aq. solution, 1.0 M citric acid solution and then brine. The organic layer was dried over a2S04, and concentrated at low pressure to give a residue. The residue was purified by silica gel column chromatography (25% EA in PE to 100 %EA) to give 192-2 (83.5 mg, 63.6%).
[0899] To a solution of 192-2 (83 mg, 0.081 mmol) in THF (1 mL), was added a 1M solution of TBAF in THF (0.122 mL, 0.122 mmol) at ice bath temperature. The mixture was stirred for 1.5 h. The mixture was diluted with EA, and washed with water and brine. The organic layer was dried and concentrated to give the crude product, which was purified by silica gel column chromatography (DCM to 5% MeOH in DCM) to give 192-3 (66.6 mg, 91%) as a white foam.
[0900] Compound 192-3 (66.6 mg, 0.074 mmol) was co-evaporated with toluene and THF (3x). Bis(POC)phosphate (33 mg, 0.96 mmol) was added, and then co-evaporated with toluene (3x). The mixture was dissolved in anhydrous THF (1.5 mL) and cooled in an ice bath (0 to 5 0C). 3-nitro-l,2,4-triazole (13 mg, 0.1 1 mmol), diisopropylethyl amine (54 μί, 0.3 mmol), and BOP-C1 (28 mg, 0.1 1 mmol) were added successively. The mixture was stirred 2 h at 0 to 5 °C, diluted with EtOAc, washed with 1.0M citric acid, sat. aq. NaHC03 and brine, and dried with Na2S04. The residue was purified on silica (10 g column) with CH2Cl2:i-PrOH (4-10% gradient) to give 192-4 (68 mg, 76%) as a white solid.
[0901] Compound 192-4 (68 mg, 0.07 mmol) was dissolved in 80% HCOOH. The mixture was stirred at .T. for 2 h. The solvents were evaporated at R.T. and co- evaporated with toluene (3x). The residue was dissolved in 50% CH3CN/H20, was purified on a reverse-phase HPLC (CI 8) using CH3CN and H20. The product was lyophilization to give 192a (4.8 mg, 14%) as a white foam. ESI-LCMS: mix = 613.1 [M+H]+, 1225.2 [2M+H]+.
EXAMPLE 179
Figure imgf000386_0001
[0902] Compound AA-1 (2.20 g, 3.84 mmol) was dissolved in 80% HCOOH (40 mL) at .T. (18 °C). The mixture was stirred at R.T. for 12 h. The solvent was removed at low pressure. The residue was purified by column chromatography using 50% EA in Hexane to give AA-2 (1.05 g, 91.3%) as a white solid.
[0903] To a stirred solution of AA-2 (1 g, 3.32 mmol) in anhydrous pyridine (20 mL) was added TBSC1 (747 mg, 4.98 mmol) and imidazole (451 mg, 6.64 mmol) at R.T. (16 °C) under N2 atmosphere. The mixture was stirred at R.T. for 4 h. The resulting solution was concentrated to dryness under reduced pressure, and the residue was dissolved in EA (100 mL). The solution was washed with sat. NaHC03 solution and brine, and dried over anhydrous MgSC . The solution was concentrated to dryness, and the residue was purified on a silica gel column using 20% EA in Hexane to give AA-3 (1.4 g, 79.5%) as a white solid.
[0904] To a stirred solution of AA-3 (1.50 g, 2.83 mmol, 1.00 eq.) in anhydrous CH3CN (28 mL) was added TPSC1 (1.71 g, 5.80 mmol, 2.05 eq.), DMAP (691.70 mg, 5.66 mmol, 2.00 eq.) and TEA (573.00 mg, 5.66 mmol, 2.00 eq.) at R.T. (15 °C). The mixture was stirred for 2 h. NH3.H20 (20 mL) was added, and the mixture was stirred for 3 h. The mixture was extracted with EA (3 x 60 mL). The organic phase was washed with brine, dried over anhydrous Na2S04 and concentrated at low pressure. The residue was purified on a silica gel column (30% EA in PE) to give AA-4 (2.3 g, crude) as a yellow foam.
[0905] To a stirred solution of AA-4 (1.90 g, 2.34 mmol) in anhydrous DCM (20 mL) was added DMTrCl (1.82 g, 3.49 mmol) and 2,4,6-trimethylpyridine (1.00 g, 8.25 mmol) at R.T. (15 °C) under N2 atmosphere. The mixture was stirred at R.T. for 12 h. MeOH (20 mL) was added. The mixture was filtered, and the filtrate was concentrated to dryness. The residue was dissolved in EA (80 mL). The solution was washed with brine, dried over anhydrous Na2S04 and concentrated at low pressure. The residue was purified on a silica gel column (5% MeOH in DCM) to give AA-5 (1.4 g, crude) as a white solid.
[0906] Compound AA-5 (2.40 g, 2.60 mmol) was dissolved in TBAF (10 mL, 1M in THF). The mixture was stirred at R.T. (15 °C) for 30 mins. The mixture was concentrated to dryness, and the residue was dissolved in EA (60 mL). The solution was washed with brine, dried over MgS04 and concentrated under reduced pressure. The residue was purified on a silica gel column (5% MeOH in DCM) to give AA (1.50 g, 95.8%) as a white solid. ESI-MS: m/z 625.3 [M + Na]+.
[0907] To a solution of AA (60.0 mg, 99.57 μιηοΐ, 1.00 eq.) in pyridine (1 mL) was added isobutyric anhydride (31.50 mg, 199.13 μπιοΐ, 2.00 eq.) in 1 portion at R.T. (15 °C) under N2 atmosphere. The mixture was stirred at R.T. for 12 h. The mixture was concentrated, and the residue was partitioned between EA and water. The combined organic phases were washed with water and brine, and dried over anhydrous Na2S04. The mixture was filtered, and the filtrate was concentrated to dryness. The residue was purified by silica gel chromatography (30% EA in PE) to afford 193-1 (59.00 mg, 79.77%) as a white solid.
[0908] Compound 193-1 (57.00 mg, 76.74 μιηοΐ, 1.00 eq.) was dissolved in 80% CH3COOH (8 mL). The solution was stirred at R.T. (15 °C) for 12 h. The mixture was concentrated to dryness. The residue was purified on a silica gel column (2.5% MeOH in DCM) to give 193a (23.00 mg, 68.05%) as a white foam. ESI-MS: m/z 441.2 [M+H]+, 463.2[M+Na]+ . EXAMPLE 180
Figure imgf000388_0001
194-1 194a
[0909] Compound 194-1 was prepared in similar manner as 193-1 using AA (60.00 mg, 99.57 μηιοΐ, 1.00 eq.) in pyridine (1 mL) and propionic anhydride (25.92 mg, 199.13 μιηοΐ, 2.00 eq.). 194-1 (white solid, 56.00 mg, 78.69%).
[0910] Compound 194a was prepared in similar manner as 193a using 194-1 (54.00 mg, 75.55 μηιοΐ, 1.00 eq.) Compound 194a (white foam, 18.00 mg, 57.78%). ESI- MS: m/z 413.1 [M+H]+.
EXAMPLE 181
COMPOUND 195a
Figure imgf000388_0002
[0911] Compound 195-1 was prepared in similar manner as 193-1 using AA (62.00 mg, 102.89 μηιοΐ, 1.00 eq.) in pyridine (1 mL) and pentanoic anhydride (38.32 mg, 205.77 μιηοΐ, 2.00 eq.). Compound 195-1 (white solid, 60.00 mg, 75.65%).
[0912] Compound 195a was prepared in similar manner as 193a using 195-1 (75.00 mg, 97.30 μιηοΐ, 1.00 eq.) Compound 195a (white foam, 28.00 mg, 61.43%). ESI- MS: m/z 469.2 [M+H]+. EXAMPLE 182
Figure imgf000389_0001
[0913] Compound 196-2 (40.7 mg, 53%) was prepared in the same manner from 196-1 (50 mg, 0.087 mmol) and bis(isopropyloxycarbonyloxymethyl)phosphate (58 mg,0.175 mmol) with DIPEA (75 μΐ,, 0.52 mmol), BOP-C1 (66.2 mg, 0.26 mmol), and 3-nitro-l,2,4- triazole (30 mg, 0.26 mmol) in THF (0.4 mL) in a similar manner as 192-4.
[0914] Compound 196-2 (40 mg, 0.045 mmol) was dissolved in_anhydrous
CH3CN (0.5 mL), and 4N HC1 in dioxane (34 \£L, 0.135 mmol) was added at 0 to 5 °C. The mixture was stirred at R.T. for 3 h. Anhydrous EtOH (200 μΐ^) was added. The solvents were evaporated at R.T. and co-evaporated with toluene (3x). The residue was purified on silica (10 g column) with MeOH/CH2Cl2 (5-7% gradient) and lypholized give 196a (15.4 mg,
76%) as a white foam. ESI-LCMS: m/z = 614.15 [M+H]+, 1227.2 [2M+H]+.
EXAMPLE 183
Figure imgf000389_0002
[0915] To a stirred solution of 196-1 (80 mg, 0.14 mmol) in anhydrous CH3CN (2.0 mL) was added N-methylimidazole (0.092 mL, 1.12 mmol) at 0 °C (ice/water bath). A solution of phenyl (isopropoxy-L-alaninyl) phosphorochloridate (128 mg, 0.42 mmol, dissolved in CH3CN (0.5 mL)) was then added (prepared according to a general procedure as described in McGuigan et al., J Med. Chem. (2008) 51 :5807-5812). The solution was stirred at 0 to 5 °C for h and then stirred at R.T. for 16 h. The mixture was cooled to 0 to 5 °C, diluted with EA followed by the addition of water (5 mL). The solution was washed with 1.0M citric acid, sat. aq. NaHC03 and brine, and dried with MgS04. The residue was purified on silica (10 g column) with EA/hexanes (25-100% gradient) to give 197-1 (57.3 mg, 49 %) as a foam.
[0916] Compound 197-1 (57.3 mg, 0.07 mmol) was dissolved in_anhydrous CH3CN (0.5 mL), and 4N HC1 in dioxane (68 μΐ,, 0.27 mmol) was added at 0 to 5 °C. The mixture was stirred at R.T. for 2 h, and anhydrous EtOH (100 μΕ) was added. The solvents were evaporated at R.T. and co-evaporated with toluene (3x). The residue was purified on silica (10 g column) with MeOH/CH2Cl2 (1-7% gradient) and lypholized to give 197a (27.8 mg, 72%) as a white foam. ESI-LCMS: m/z = 571.1 [M+H]+, 1141.2 [2M+H]+.
EXAMPLE 184
Figure imgf000390_0001
[0917] Compound 198-1 (68.4 mg, 44.7 %) was prepared from 196-1 (100 mg, 0.174 mmol) and bis(tert-butoxycarbonyloxymethyl)phosphate (126 mg, 0.35 mmol) with DIPEA (192 \JLL, 1.04 mmol), BOP-C1 (133 mg, 0.52 mmol), and 3-nitro-l,2,4-triazole (59 mg, 0.52 mmol ) in THF (1.5 mL) in the same manner as 192-4.
[0918] Compound_198a (31.4 mg, 67%) was prepared from 198-1 (68 mg, 0.077 mmol) in the same manner as 196a. ESI-LCMS: m/z = 627.15 [M+Na]+, 1219.25 [2M+H]+.
EXAMPLE 185
Figure imgf000390_0002
[0919] To a solution of 196-1 (lOOmg, 0.175 mmol) in anhydrous CH3CN (2 mL) was added 5-ethylthio-lH-tetrazole in CH3CN (0.25M; 0.84 mL, 0.21 mmol). Bis-SATE- phosphoramidate (95 mg, 0.21 mmol) in CH3CN (1 mL) was added at 0 to 5 °C dropwise. The mixture was stirred 2 h at 0 to 5 C under Ar. A solution of 77% m-CPBA (78 mg, 0.35 mmol) in DCM (1 mL) was added, and the mixture stirred 2 h at 0 to 5 °C under Ar. The mixture was diluted with EtOAc (50 mL), washed with 1.0M citric acid, sat. NaHC03 and brine, and dried with MgSC . The mixture was filtered, and the solvents were evaporated in vacuo. The residue was purified on silica (10 g column) with EA/hexanes (20-100% gradient) to give 199-1 (105 mg, 63.6 %) as a white foam.
[0920] Compound 199-1 (105 mg, 0.112 mmol) was dissolved in_anhydrous CH3CN (0.8 mL), and 4N HC1 in dioxane (84 μί, 0.334 mmol) was added at 0 to 5 °C. The mixture was stirred at R.T. for 2 h. Anhydrous EtOH (100 μΕ) was added. The solvents were evaporated at R.T., and co-evaporated with toluene (3x). The residue was purified on silica (10 g column) with MeOH/CH2Cl2 (1-7% gradient) and lypholized to give 199a (42.7 mg, 57%) as a white foam ESI-LCMS: m/z = 692.15 [M+Na]+, 1339.30 [2M+H]+.
EXAMPLE 186
Figure imgf000391_0001
118-2
[0921] Compound 118-2 (32 mg, 0.1 mmol) was dissolved in dry THF (3 mL) and 2M solution of isopropylmagnesium bromide in THF (0.1 mL) was added at 0 °C. The reaction was left for 1 h at RT, and phenyl(isopropyZ-L-alaninyl) thiophosphorochloridate was added (0.3 mmol). The mixture was left overnight at RT. LSMS analysis showed about 20% of unreacted starting material. The same amount of Grignard reagent and thiophosphorochloridate were added, and the mixture was heated at 37 °C for 4 h. The reaction was quenched with NH4C1. The product was extracted with EA, washed with brine, dried over Na2S04, and evaporated. The resulting oil was dissolved in 80% formic acid (4 mL) and in 1 h evaporated. 200a was purified by RP HPLC in gradient of methanol in water from 30% to 95% on Synergy 4u Hydro-RP column (Phenominex) yielding a colorless solid. 200a (7 mg, yield 12.5%). MS m/z = 560.0 [M-H]. EXAMPLE 187
COMPOUNDS 201a AND 202a
Figure imgf000392_0001
[0922] The diastereomers of 118a were separated by RP-HPLC. A gradient of
10-43%ACN in H20 over 26 mins on a Synergi Hydro RP 30 x 250 m 4u particle column
(Phenomenex PN 00G-4375-U0-AX) eluted 202a (29.5 mins) and 201a (30.1 mins). Pure fractions were lyophilized to produce a white powder. 202a: 31P-NMR (DMSO-d6) 3.448 ppm; MS m/z = 544 [M-l]; 201a: 31P-NMR (DMSO-d6) 3.538 ppm; MS m/z = 544 [M-l].
EXAMPLE 188
Figure imgf000392_0002
[0923] The diastereomers of 123a were separated by RP-HPLC. A gradient of 25-52%ACN in H20 over 26 minutes on a Synergi Hydro RP 30x250m 4u particle column (Phenomenex PN 00G-4375-U0-AX) eluted 203a (24.8 mins) and 204a (25.3 mins). Pure fractions were lyophilized to produce a white powder. 203a: 31P-NMR (DMSO-d6) 3.492 ppm; MS m/z = 584 M-l. 204a: 31P-NMR (DMSO-d6) 3.528 ppm; MS m/z = 584 [M-l].
EXAMPLE 189
COMPOUND 205a
Figure imgf000393_0001
205a
[0924] A solution of 205-1 (25 mg, 0.04 mmol) in 80% aq. HCOOH was kept at RT for 3 h. The mixture was concentrated and coevaporated with toluene. The crude residue was purified on silica gel (10 g column) with CH2Cl2/MeOH (4-10% gradient) to yield 205-2 (8 mg, 54%).
[0925] A mixture of 205-2 (8 mg, 0.02 mmol) in acetonitrile (0.4 mL) was stirred with NMI (15 mL, 8 eq.) and the phosphorochloridate reagent overnight at RT. The reaction was quenched with sat. aq. NH4C1, diluted with EtOAc and water. The organic layer was separated, washed with aq. NaHC03, water and brine, and dried (Na2S04). The residue was purified on silica gel (10 g column) with CH2Cl2/i-PrOH (4-10% gradient) to yield 205a (9 mg, 66%). MS: m/z = 683 [M+l].
EXAMPLE 190
COMPOUND 206a, Bis-lithium Salt
Figure imgf000393_0002
206a (bis-lithium salt) [0926] Compound 206-1 was synthesized using a procedure similar for preparing compound 117a using alanine benzyl ester hydrochloride. LCMS: m/z = 592 [M-l]~.
[0927] To a solution of 206-1 (1.1 g, 1.85 mmol) in dioxane (15 mL) and water (3 mL) was added aqueous triethylammonium acetate (2M, 2 mL, 4 mmol) followed by Pd-C (10%, 100 mg). The mixture was hydrogenated (balloon) for 2 h, and monitored by HPLC. The catalyst was filtered off, and the filtrate was concentrated to dryness. The residue was suspended in 3% solution of lithium perchlorate in acetone (25 mL). The solid was isolated by filtration, rinsed with acetone and dried under vacuum to give 206a (bis-lithium salt) (731 mg, 90%). LCMS: m/z 426 = [M-l]\
EXAMPLE 191
Figure imgf000394_0001
[0928] Compound 207-1 (15.0 g, 25.55 mmol) was treated with 90% HO Ac (150 mL) at RT. The mixture was stirred at 110 °C for 12 h, and then concentrated at a low pressure. The residue was dissolved in DCM, and the solution was washed with brine. The organic phase was dried over anhydrous a2S( and then concentrated at a low pressure. The residue was purified by column chromatography (5% MeOH in DCM) to give 207-2 (11.0 g, 88.9%) as a white solid.
[0929] Compound 207-2 (12.0 g, 24.79 mmol) was treated with NH3 in MeOH (200 mL, 7 M) at RT. The solution was stirred at RT for 12 h, and then concentrated at a low pressure. The residue was purified by column chromatography (10% MeOH in DCM) to give 207-3 (6.5 g, 95.0%) as a white solid. [0930] To a stirred suspension of 207-3 (4.3 g, 15.58 mmol), PPh3 (8.16 g, 31.15 mmol), imidazole (2.1 1 g, 31.15 mmol) and pyridine (15 mL) in anhydrous THF (45 mL) was added a solution of I2 (7.91 g, 31.15 mmol) in THF (100 mL) dropwise at 0 °C. The mixture was slowly warmed to RT and stirred overnight. The mixture was quenched with MeOH (100 mL). The solvent was removed at a low pressure, and the residue was re- dissolved in a mixture of EA and THF (0.2 L, 10: 1). The organic phase was washed with sat. Na2S203 aq. (2x). The aqueous phase was extracted with a mixture of EA and THF (0.2 L, 10: 1 , 2x). The concentrated organic phase was dried over anhydrous Na2S04. The residue was purified on a silica gel column (0-10% MeOH in DCM) to afford 207-4 (5.1 g, 85.0%) as a white solid.
[0931] Compound 207-4 (800 mg, 2.07 mmol) was dissolved in a mixture of DBU (4 mL) and THF (4 mL) at RT under N2. The solution was stirred at RT for 1 h. The mixture was neutralized with HO Ac, and extracted with a mixture of EA and THF (10: 1 , 40 mL). The organic phase was washed with brine, and dried over anhydrous Na2S04. The concentrated organic phase was purified by column chromatography (0-10% MeOH in DCM) to give 207-5 (240 mg, 44.9%) as a white solid.
[0932] To an ice-cooled solution of 207-5 (1.20 g, 4.65 mmol) in anhydrous MeCN (12 mL) was added NIS (1.57 g, 6.97 mmol) and TEA-3HF (1.12 g, 6.97 mmol) under N2. The mixture was stirred at RT for 5 h. The reaction was quenched with sat. NaHC03 solution, and extracted with EA (3 x 100 mL). The organic phase was dried over anhydrous Na2S04, and evaporated to dryness at low pressure. The residue was purified on a silica gel column (0-5% MeOH in DCM) to give 207-6 (0.91 g, 48.6%) as a white solid.
[0933] To a stirred solution of 207-6 (1.2 g, 2.97 mmol) in anhydrous DCM (12 mL) was added BzCl (0.83 g, 5.94 mmol), TEA (0.6 g, 5.94 mmol) and DMAP (0.72 g, 5.94 mmol) successively at RT. The mixture was stirred at RT for 12 h. The reaction was quenched with water, and extracted with EA (3 x 60 mL). The organic phase was concentrated at low pressure. The residue was purified by column chromatography (0-5% MeOH in DCM) to give 207-7 (1.2 g, 66.2%) as a white solid.
[0934] Tetra-butyl ammonium hydroxide (25.78 mL, 51.78 mmol) was neutralized with TFA (4.3 mL) to pH=4, and the solution was added to a solution of 207-7 (1.09 g, 2.14 mmol) in DCM (30 mL). w-CPBA (1.85 g, 10.74 mmol) was added portion- wise under vigorous stirring, and the mixture was stirred for 12 h. The mixture was diluted with EA (100 mL), and washed with sat. sodium bicarbonate. The organic phase was concentrated at low pressure. The residue was purified by column chromatography (50% EA in PE) to give 207-8 (350 mg, 41.1%) as a white solid.
[0935] Compound 207-8 (280 mg, 0.704 mmol) was treated with NH3 in MeOH (10 mL, 7 M) at RT. The mixture was stirred at RT for 2 h. The mixture was concentrated at a low pressure. The residue was purified by column chromatography (0-10% MeOH in DCM) to give 207a (110 mg, 53.1%) as a white solid. ESI-LCMS: m/z 295.1 [M+H]+.
EXAMPLE 192
COMPOUND 208a
Figure imgf000396_0001
[0936] Compound 208-2 (0.20 g, 64%) was prepared in the same manner from 208-1 (0.16 g; 0.49 mmol) and triethylammonium bis(isopropyloxycarbonyloxymethyl)phosphate (0.74 mmol) with DIPEA (0.34 mL), BopCl (250 mg), and 3-nitro-l,2,4-triazole (112 mg) in THF (5 mL) following the procedure for the preparation of 176-4.
[0937] A solution of 208-2 (0.20 g; 0.31 mmol) in 80% aq. HCOOH was stirred at RT for 2 h, and then concentrated. The residue was co-evaporated with toluene and then with MeOH containing small amount of Et3N (2 drops). Purification on silica gel (10 g column) with CH2Cl2/MeOH (4-10% gradient) was followed by RP-HPLC purification in 5 runs on a Synergi Hydro RP column 250 x 30 mm (Phenomenex P/N 00G-4375-U0-AX) using H20 and ACN both 50mM TEAA. Gradient was 25-75% ACN in 20 mins at 24mL/min, 254nM detection. The product eluted at 16.0 mins. Pure fractions were pooled and lyophilized. TEAA was removed by dissolving the product in DMSO (2 mL) and injecting the product on the same column using only ¾0 and ACN. Pure fractions were pooled and lyophilized to produce 208a (18 mg). MS: m/z = 1197 [2M+1 ].
EXAMPLE 193
COMPOUND 209a
Figure imgf000397_0001
[0938] Compound 209-2 (158 mg, 50%) was prepared from 209-1 (0.21 g; 0.35 mmol) and triethylammonium bis(isopropyloxycarbonyloxymethyl)phosphate (0.54 mmol) with DIPEA (0.18 mL), BopCl (178 mg), and 3-nitro-l,2,4-triazole (80 mg) in THF (4 mL).
[0939] A solution of 209-2 (158 mg) in acetonitrile (1 mL) and HC1 (4 N/dioxane;
85 μί) was stirred at RT for 30 mins. The reaction was quenched with MeOH and concentrated. The residue was purified on silica gel (10 g column) with CF^CVi-PrOH (3-
10% gradient) to give 209a (85 mg, 76%). MS: m/z = 656 [M+l].
EXAMPLE 194
COMPOUND 210a
Figure imgf000397_0002
[0940] To a solution of triethylammonium bis(isopropyloxycarbonyloxyethyl- l)phosphate (0.28 mmol, prepared from 100 mg of bis(isopropyloxycarbonyloxyethyl- l)phosphate and 40 of Et3N ) in THF was added 210-1 (60 mg, 0.18 mmol). The mixture was evaporated and rendered anhydrous by coevaporating with pyridine follow by toluene. The evaporated residue was dissolved in anhydrous THF (2.5 mL) and cooled in an ice-bath. Diisopropylethyl amine (94 μΐ^, 3 eq.) was added, followed by BOP-C1 (92 mg, 2 eq.) and 3- nitro-l,2,4-triazole (41 mg, 2 eq.). The mixture was stirred at 0 °C for 90 mins., diluted with EtOAc and washed with sat. aq. NaHC03 and brine, and dried (Na2S04). The residue was purified on a silica gel column with CH2Cl2/i-PrOH (3-10% gradient) to yield 210-2 (19 mg, 17%).
[0941] A solution of 210-2 (19 mg, 0.03 mmol) in 80% aq. HCOOH was stirred at RT for 90 mins., and then concentrated. The residue was coevaporated with toluene and then with MeOH containing small amount of Et3N (1 drop). Purification on a silica gel column with CH2Cl2/MeOH (4-10% gradient) yielded 210a (5 mg, 26%). MS: m/z = 629 [M-l].
EXAMPLE 195
Figure imgf000398_0001
[0942] A mixture of benzyloxycarbonyl-L-valine (55 mg, 0.22 mmol) in THF (1 mL) and CDI (36 mg, 0.22 mmol) was stirred at RT for 1.5 h and then at 40 °C for 20 mins. The solution was added to a mixture of compound 156a (122 mg, 0.2 mmol) and DMAP (3 mg, 0.03 mmol) in DMF (1.5 mL) and TEA (0.75 mL) at 80 °C. The mixture was stirred at 80 °C for 1 h. After cooling, the mixture was concentrated, and the residue partitioned between tert-butyl methyl ether and water. The organic layer was washed with 0.1 N citric acid, sat. aq. NaHC03 and brine, and dried (Na2S04). The residue was purified on a silica gel column with CH2Cl2/i-PrOH (4-10% gradient) to yield 211-1 (83 mg, 50%) as a colorless foam.
[0943] To a solution of 211-1 (83 mg, 0.1 mmol) in EtOH were added HC1 (4 N in dioxane; 50 μί, 2 eq.) and 10% Pd/C (5 mg). The mixture was stirred under H2 atmosphere (normal pressure) for 1 h. The catalyst was removed by filtration through a Celite pad, and the filtrate evaporated to yield 211a (50 mg) as a white solid. MS: m/z = 702 [M+l].
EXAMPLE 196
Preparation of Triphosphates
[0944] Dry nucleoside (0.05 mmol) was dissolved in a mixture of PO(OMe)3 (0.7 mL) and pyridine (0.3 mL). The mixture was evaporated in vacuum for 15 mins at a bath temperature of 42°C, and then cooled down to R.T. N-Methylimidazole (0.009 mL, 0.11 mmol) was added followed by POCl3 (9 μL, 0.11 mmol), and the mixture was kept at R.T. for 40 mins. The reaction was controlled by LCMS and monitored by the appearance of the corresponding nucleoside 5 '-monophosphate. After more than 50% of transformation was achieved, tetrabutylammonium salt of pyrophosphate (150 mg) was added, followed by DMF (0.5 mL) to get a homogeneous solution. After 1.5 hours at ambient temperature, the reaction was diluted with water (10 mL) and loaded on the column HiLoad 16/10 with Q Sepharose High Performance. Separation was done in a linear gradient of NaCl from 0 to IN in 50 mM TRIS-buffer (pH 7.5). Triphosphate was eluted at 75-80%B. Corresponding fractions were concentrated. Desalting was achieved by RP HPLC on Synergy 4 micron Hydro-RP column (Phenominex). A linear gradient of methanol from 0 to 30% in 50 mM triethylammonium acetate buffer (pH 7.5) was used for elution. The corresponding fractions were combined, concentrated and lyophilized 3 times to remove excess of buffer.
[0945] Compound 213a: Nucleoside 5 '-triphosphates with a 4'-azidoalkyl group were dissolved in water (0.1 mL), methanol (3 mL) was added followed by 10% Pd/C (3 mg). Hydrogen was bubbled through the solution for 2 h. The catalyst was filtered off, and the filtrate was purified by RP HPLC on Synergy 4 micron Hydro-RP column (Phenominex). A linear gradient of methanol from 0 to 20% in 50mM triethylammonium acetate buffer (pH 7.5) was used for elution. The corresponding fractions were combined, concentrated and lyophilized 3 times to remove excess of buffer. Table 6 - Triphosphates obtained from Example 196
Figure imgf000400_0001
Figure imgf000401_0001
Figure imgf000402_0001
Figure imgf000403_0001
Figure imgf000404_0001
Figure imgf000405_0001
Figure imgf000406_0001
Figure imgf000407_0001
Figure imgf000408_0001
EXAMPLE 197
COMPOUND 2
Figure imgf000408_0002
[0946] Compound 240-1 (109 mg) was dissolved in 80% HCOOH (15 mL) and kept for 3 h at RT, then evaporated. The residue was treated with NH3/MeOH for 1 h at RT to remove formyl-containing side-products. After evaporation 240a was purified by crystallization using methanol to yield 240a (52 mg, 86%). MS: 339.6 [M-1], 679.7 [2M-1]. EXAMPLE 198
Figure imgf000409_0001
259a
[0947] To a solution of N-Boc-L-Valine (620.78 mg, 2.86 mmol) and TEA (144.57 mg, 1.43 mmol) in anhydrous THF (2.5 mL) was added BB (250.00 mg, 285.73 μπιοΐ). The mixture was co-evaporated with pyridine and toluene to remove water. The residue was dissolved in THF (2.5 mL). DIPEA (369.28 mg, 2.86 mmol) was added, followed by addition of BOP-C1 (363.68 mg, 1.43 mmol) and 3-nitro-lH-l,2,4-triazole (162.95 mg, 1.43 mmol) at .T. (18 °C). The mixture was stirred at R.T. for 12 h and then diluted with EA (40 mL). The solution was washed with brine, dried over anhydrous Na2SC>4 and concentrated to dryness at low pressure. The residue was purified on a silica gel column (30% EA in PE) to give 259-1 (220 mg, crude) as a white foam.
[0948] Compound 259-1 (250.0 mg, 232.73 μιηοΐ) was dissolved in 80% CH3COOH (30 mL). The solution was heated to 50 °C and stirred for 12 h. The reaction was quenched with MeOH, and the solution was concentrated to dryness. The residue was purified on a silica gel column (5% MeOH in DCM) to give 259-2 (80.00 mg, 68.82%) as a white foam.
[0949] Compound 259-2 (78.00 mg, 156.16 μηιοΐ) was dissolved in HCl/dioxane (1.5 mL) and EA (1.5 mL) at R.T. (19 °C). The mixture was stirred at R.T. for 30 mins. The solution was concentrated to dryness at low pressure. The residue was purified by prep- HPLC to give 259a (23 mg, 31.25%) as a white solid. ESI-MS: m/z 400.20 [M+H]+,799.36[2M+H]+ . EXAMPLE 199
COMPOUND 265a
Figure imgf000410_0001
265-7
[0950] To a stirred solution of 265-1 (21.0 g, 85.7 mmol) in DMF (100 mL) was added benzoyl anhydride (9.66 g, 87 mmol) in portions. The mixture was stirred at R.T. overnight. The solvent was removed under reduced pressure, and the residue was triturated with CH2Cl2to give 265-2 as a white solid (29.90 g, 100%).
[0951] To a stirred suspension of 265-2 (10.0 g, 28.65 mmol), PPh3 (15.01 g, 57.30 mmol) and pyridine (20 mL) in anhydrous THF (100 mL) was added dropwise a solution of 12 (14.55 g, 57.30 mmol) in THF (50 mL) at 0°C. After addition, the mixture was warmed to R.T. and stirred for 14 hours. The reaction was quenched with saturated aqueous Na2S203 (150 mL) and extracted with EA (100 mL, 3 times). The organic layer was dried over Na2S04 and concentrated. The residue was purified on a silica gel column (DCM/MeOH = 100:1 to 50:1) to afford 265-3 (4.61 g, 35.1%) as a white solid.
[0952] To a stirred solution of 265-3 (4.6 g, 10.02 mmol) in anhydrous DMF (100 mL) was added dropwise a suspension of t-BuOK (3.36 g, 30.06 mmol) in DMF (20 mL) at 0°C over 10 min. The mixture was stirred at R.T. for 2 hours. The mixtures was then quenched with saturated aqueous NH4C1 (50 mL), and extracted with THF and EA. The organic layer was washed with brine and dried over Na2S04. The solvent was removed, and the residue was purified on a silica gel column (MeOH/DCM = 1/100 to 1/30) to afford 265-4 as white solid (3.30 g, 99.6%).
[0953] To a stirred solution of BnEt3NCl (1 1.69 g, 50.2 mmol) in MeCN (50 mL) was added NaN3 (3.26 g, 50.2 mmol). The mixture was sonicated for 20 min and then stirred at R.T. for 16 hours. The solution was filtrated into a solution of 265-4 (3.31 g, 10.02 mmol) and NMM (5.02 g, 50.2 mmol) in anhydrous THF (80 mL). The mixture was cooled to 0°C, and a solution of 12 (12.5 g, 50.2 mmol) in THF (40 mL) was added dropwise. Stirring was continued at 0-10°C for 20 hours. N- Acetyl cystein was added until no gas evolved. Saturated aqueous Na2S203 was added until a light yellow solution achieved. The solution was concentrated and then diluted with EA. The organic phase was washed with brine and dried over Na2S04. The solvent was removed, and the residue was purified on a silica gel column (PE:EA:DCM = 1 : 1 : 1) to give 265-5 (14.7 g, 84%) as a white foam. 1H NMR (CD3OD, 400 MHz) δ 1 1.41 (s, 1H), 8.19 (d, J = 12 Hz, 1H), 8.00 (d, J = 7.2 Hz, 1H), 7.62- 7.66 (m, 1H), 7.50-7.54 (m, 2H), 7.39 (d, J = 12 Hz, 1H), 6.44 (d, J = 6.8 Hz, 1H), 6.13 (d, J = 20.4 Hz, 1H), 5.36-5.41 (m, 1H), 4.70-4.76 (m, 1H), 3.72 (dd, J; = 17.6 Hz, J2 = 1 1.6 Hz, 2H).
[0954] To a stirred solution of 265-5 (3.6 g, 7.20 mmol) in anhydrous pyridine (80 mL) was added BzCl (1.31 g, 9.36 mmol) dropwise at 0°C. The mixture was stirred at R.T. for 10 hours. The reaction was quenched with H20, and the solution was concentrated. The residue was dissolved in EA and washed with saturated aqueous NaHC03 The organic layer was dried over Na2S04 and concentrated. The residue was purified on a silica gel column (PE/EA = 10/1 to 1/1) to give 265-6 (3.2 g, 73.7%) as a pale yellow foam.
[0955] Compound 265-6 (2.0 g, 3.31 mmol), BzONa (4.76 g, 33.1 mmol) and 15- crown-5 (7.28 g, 33.1 mmol) were suspended in DMF (100 mL). The mixture was stirred at 60-70°C for 3 days. The precipitate removed by filtration, and the filtrate was diluted with EA. The solution was washed with brine and dried over Na2S04. The solvent was removed, and the residue was purified on a silica gel column (PE/EA = 4/1 to 2/1) to afford compound 265-7 as a light yellow foam (1.0 g, 50.7%).
[0956] Compound 265-7 (0.5 g, 0.84 mmol) was dissolved in methanolic ammonia (30 mL), and the mixture was stirred at R.T. for 14 hours. The solvent was removed, and the residue was purified on a silica gel column (DCM/MeOH = 30: 1 to 10 give 265a as white solids (0.11 g, 41.8%). ESI-MS: m/z=287 [M+H]+, 573 [2M+H]+.
EXAMPLE 200
Figure imgf000412_0001
266-3 266a
[0957] To a stirred solution of 266-1 (4.6 g, 16.2 mmol) in anhydrous pyridine (40 mL) was added BzCl (7.3 g, 51.8 mmol) dropwise at 0°C. The mixture was stirred at R.T. for 14 hours. The reaction was quenched with H20 and the solution was concentrated. The residue was dissolved in EA and washed with saturated NaHC03. The organic layer was dried over Na2S04 and concentrated. The residue was purified on a silica gel column (PE/EA = 10/1 to 1/1) to give 266-2 (7.4 g, 84.1%).
[0958] Compound 266-2 (7.4 g, 12.4 mmol), DMAP (3.1 g, 24.8 mmol), TPSC1 (7.5 g, 24.8 mol) and Et3N (2.5 g, 24.8 mmol) were suspended in MeCN (50 mL). The mixture was stirred at R.T. for 14 hours. The solvent was removed, and the residue was dissolved in NH3 (200 mL) in THF. The mixture was stirred at R.T. for 2 hours. The solvent was removed, and the residue was purified on a silica gel column (DCM/MeOH = 100:1 to 50: 1) to give the crude product. The crude product was dissolved in anhydrous pyridine (50 mL), and BzCl (1.7g, 12.2 mmol) was added dropwise at 0°C. The mixture was stirred at R.T. for 14 hours. The reaction was quenched with H20, and the solution was concentrated. The residue was dissolved in EA and washed with saturated NaHC03. The organic layer was dried over Na2S04 and concentrated. The residue was purified on a silica gel column (PE/EA = 10/1 to 1/1) to give 266-3 as a white foam (4.2 g, 48.4%).
[0959] Compound 266-3 (4.2 g, 6.0 mmol) was dissolved in 200 mL of saturated methanolic ammonia, and the mixture was stirred at R.T. for 14 hours. The solvent was removed and then water added. The aqueous mixture was washed with DCM several times and lyophilized to give 266a as a white solid (1.5 g, 88%). ESI-MS: m/z=285 [M+H]+. EXAMPLE 201
COMPOUND 274a
Figure imgf000413_0001
[0960] Compound 274-1 (100 mg, 0.174 mmol) was co-evaporated with anhydrous pyridine (3x), toluene (3x) and CH3CN (3x), and dried under high vacuum overnight. 274-1 was dissolved in CH3CN (2 mL). A proton sponge (112 mg, 0.52 mmol), POCI3 (49 uL, 0.52 mmol) were added at 0 to 5 °C. The mixture was stirred for 3 h at 0 to 5 °C to give intermediate 274-2. To this solution, L-alanine isopropyl ester hydrochloride (146 mg, 0.87 mmol), and TEA (1 14 uL, 1.74 mmol) were added. The mixture was stirred for 4 h at 0 to 5 °C. The mixture was stirred 2 h at 0 to 5 °C, then diluted with EtOAc. The mixture was washed with 1.0M citric acid, sat. aq. NaHCC>3 and brine, and dried with Na2S04. The residue was purified on silica (10 g column) with CH2Cl2/MeOH (0-7% gradient) to give 274-3 (67 mg, 43.7%) as a white solid.
[0961] Compound 274-3 (65 mg, 0.074 mmol) was dissolved in_anhydrous CH3CN (0.5 mL), and 4N HC1 in dioxane (55 μί, 0.22 mmol) was added at 0 to 5 °C. The mixture was stirred at R.T. for 1.5 h. A second portion of 4N HC1 in dioxane (15 μΕ) was added, and the mixture stirred at R.T. for 2 h. Anhydrous EtOH (300 μί) was added. The solvents were evaporated at R.T. and co-evaporated with toluene (3x). The residue was dissolved in 50% CH3CN/H20, was purified on a reverse-phase HPLC (CI 8) with CH3CN and water, and lyophilized to give 274a (9 mg, 20%) as a white foam. ESI-LCMS: m/z = 608.15 [M+H]+, 1215.3 [2M+H]+. EXAMPLE 202
Figure imgf000414_0001
[0962] A solution of 275-1 (4.7 g, 11.2 mmol; prepared according to the procedure Villard et al, Bioorg. Med. Chem. (2008) 16:7321-7329) and Et3N (3.4 mL, 24.2 mmol) in THF (25 mL) was added dropwise over 1 h to a stirred solution of N,N- diisopropylphosphorodichloridite (1.0 mL, 5.5 mmol) in THF (35 mL) at -75 °C. The mixture was stirred at .T. for 4 h. The mixture was filtered, and the filtrate concentrated. The oily residue was purified on silica gel column with EtOAc/hexanes (2-20% gradient) to give 275-3 (1.4 g, 26%).
[0963] To a solution of 275-2 (50 mg, 0.08 mmol) and 275-3 (110 mg, 0.11 mmol) in CH3CN (1.0 mL) was added 5-(ethylthio)tetrazole (0.75 mL, 0.16 mmol; 0.25 M in CH3CN). The mixture was stirred at R.T. for 1 h. The mixture was cooled to -40 °C, and a solution of 3-chloroperoxybenzoic acid (37 mg, 0.16 mmol) in CH2C12 (0.3 mL) was added. The mixture was warmed to R.T. over 1 h. The reaction was quenched with 7% Na2S203 solution in sat aq. NaHC03. The mixture was diluted with EtOAc, and the layers were separated. The organic layer was washed wit brine and dried with Na2S04. The solvent was evaporated, and the residue was purified on a silica gel column with EtOAc/hexanes (30- 100% gradient) to give 275-4 (52 mg, 45%).
[0964] A solution of 275-4 (52 mg, 0.036 mmol) in MeCN (0.5 mL) and HC1 (45iL; 4 N in dioxane) was stirred 20 h at R.T. The reaction was quenched with MeOH, and the solvents were evaporated. The residue was co-evaporated with toluene and purified on a silica gel column with MeOH/CH2Cl2 (4-10% gradient) to give 275a (14 mg, 51%). ESI- LCMS: m/z = 702 [M+H]+.
EXAMPLE 203
Figure imgf000415_0001
[0965] A mixture of 276-1 (0.14 g, 0.24 mmol; prepared according to the procedure described in WO 2008/082601 , filed Dec. 28, 2007) and 275-2 (120 mg, 0.2 mmol) was rendered anhydrous by evaporating with pyridine and then dissolved in pyridine (3 mL). Pivaloyl chloride (48 μί) was added dropwise at -15 °C. The mixture was stirred at -15 °C for 2 h. The reaction was quenched with sat. aq. NH4C1 solution and diluted with CH2C12. The organic layer was washed with brine and dried with Na2S04. The solvents were evaporated, and the residue was purified on a silica gel column with EtOAc/hexanes (30-100% gradient) to give 276-2 (50 mg, 24%).
[0966] A mixture of 276-2 (43 mg; 0.04 mmol) in CC14 (0.8 mL), L-valine isopropyl ester hydrochloride (20 mg, 0.12 mmol) and Et3N (33 μΐ, 0.24 mmol) was stirred at R.T. for 2 h. The mixture was diluted with EtOAc. The mixture was washed with sat. aq. NaHC03 and brine, and dried with Na2S04. The solvents were evaporated, and the residue was purified on a silica gel column with i-PrOH/CLLCL; (2-10% gradient) to 276-3 (35 mg, 75%).
[0967] A solution of 276-3 (35 mg, 0.03 mmol) in MeCN (0.4 mL) and HC1 (40iL; 4 N in dioxane) was stirred 4 h at R.T. The reaction was quenched with the addition of MeOH, and the solvents were evaporated. The residue was co-evaporated with toluene and purified on a silica gel column with MeOH/CHiCL; (4-10% gradient) to give 276a (1 1 mg, 56%). ESI-LCMS: m/z = 655 [M+H]+.
EXAMPLE 204
Figure imgf000416_0001
[0968] To a stirred solution of AA (300.0 mg, 497.83 μηιοΐ) in anhydrous pyridine (0.5 mL) was added DMTrCl (337.36 mg, 995.66 μπιοΐ) at R.T. (17 °C) under N2 atmosphere. The solution was stirred at 50 °C~60 °C for 12 h. The mixture was concentrated to dryness under reduced pressure, and the residue was dissolved in EA (40 mL). The solution was washed with brine, dried over anhydrous MgS04, and concentrated to dryness at low pressure. The residue was purified on a silica gel column using 20% EA in PE to give 277-1 (300 mg, 66.59%) as a white solid.
[0969] To a stirred solution of 277-1 (100.00 mg, 1 10.50 μηιοΐ) in anhydrous pyridine (0.5 mL) was added DMAP (6.75 mg, 55.25 μιηοΐ), DCC (22.80 mg, 1 10.50 μιηοΐ) and n-actanoic acid (31.87 mg, 221.00 μιηοΐ) at R.T. (18 °C) under N2 atmosphere. The solution was stirred at R.T. for 12 h. The solution was concentrated to dryness under reduced pressure. The residue was purified on a silica gel column using 15% EA in PE to give 277-2 (98.00 mg, 86.0%) as a white foam. [0970] Compound 277-2 (90.00 mg, 87.28 μηιοΐ) was dissolved in 80% CH3COOH (20 mL) at .T. (16 °C). The mixture was stirred R.T. for 12 h. The reaction was quenched with MeOH, and the mixture was concentrated to dryness. The residue was purified on a silica gel column (5% MeOH in DCM) to give 277a (33.00 mg, 88.7%) as a white solid. ESI-MS: m/z 427.2 [M+H]+.
EXAMPLE 205
Figure imgf000417_0001
278-1 278a
[0971] To a stirred solution of BB-1 (500.00 mg, 0.87 mmol) in anhydrous pyridine (1 mL) was added TBSC1 (236.5 mg, 1.57 mmol) at 20 °C under N2. The solution was stirred at 50 °C~60 °C for 12 h. The solution was concentrated to dryness under reduced pressure. The residue was dissolved in EA (50 mL). The solution was washed with sat. NaHC03 solution and brine, and dried over anhydrous MgS04. The solution was filtered, and the filtrate was concentrated to dryness. The residue was purified on a silica gel column to give BB-2 (510.00 mg, 85.06%) as a white solid.
[0972] To a stirred solution of BB-2 (430.00 mg, 625.15 mmol) in anhydrous MeCN (6 mL) was added TPSC1 (368.65 mg, 1.25 mmol), DMAP (152.75 mg, 1.25 mmol) and TEA (126.52 mg, 1.25 mmol) at R.T. The mixture was stirred for 2 h. NH4OH (8 mL) was added, and the mixture stirred for 3 h. The mixture was extracted with EA (3 x 40 mL). The organic phase was washed with brine, dried over anhydrous Na2S04 and concentrated at low pressure. The residue was purified on a silica gel column (25% EA in PE) to give BB-3 (500 mg of crude) as a yellow foam.
[0973] To a stirred solution of BB-3 (500 mg of crude, 0.72 mmol) in anhydrous DCM (7 mL) was added DMTrCl (365 mg, 1.0 mmol ) and collidine (305 mg, 2.5 mmol) and AgN03 (184 mg, 1.08 mmol) at R.T. (15 °C) under N2 atmosphere. The mixture was stirred at R.T. for 12 h. MeOH (5 mL) was added. The mixture was filtered, and the filtrate was concentrated to dryness. The residue was dissolved in EA (50 mL). The solution was washed with brine, dried over anhydrous Na2S04 and concentrated at low pressure. The residue was purified on a silica gel column (5% MeOH in DCM) to give BB-4 (500 mg, 70.3%) as a white solid.
[0974] Compound BB-4 (1.00 g, 1.01 mmol) was dissolved in TBAF (5 mL, 1M in THF) and stirred at R.T. for 30 mins. The mixture was diluted with EA (100 mL). The mixture was washed with water and brine, and dried over anhydrous MgS04. The organic phase was concentrated to dryness. The residue was purified on the silica gel column (30% EA in PE) to give BB (0.80 g, 91.5%) as a white solid. ESI-MS: m/z 873.7 [M+l]+.
[0975] To a solution of BB (100.00 mg, 114.29 μιηοΐ) in anhydrous pyridine (1.5 mL) was added DMAP (2.79 mg, 22.86 μιηοΐ), DCC (70.75 mg, 342.88 μιηοΐ) and n- octanoic acid (49.45 mg, 342.88 μπιοι) at R.T. (18 °C) under N2 atmosphere. The solution was stirred at R.T. for 12 h. The solution was concentrated to dryness under reduced pressure. The residue was purified on a silica gel column using 15% EA in PE to give 278-1 (95.00 mg, 83.03%) as a white foam.
[0976] Compound 278-1 (110.00 mg, 109.87 μιηοΐ) was dissolved in 80% CH3COOH (25 mL) at R.T. (15°C). The mixture was stirred for 12 h. The reaction was quenched with MeOH, and the solution was concentrated to dryness. The residue was purified on a silica gel column (5% MeOH in DCM) to give 278a (30.00 mg, 64.03%) as a white solid. ESI-MS: m/z 427.2 [M+H]+. EXAMPLE 206
Figure imgf000419_0001
[0977] To a stirred solution of 279-1 (100 mg, 0.175 mmol) in anhydrous CH3CN (2.0 mL) was added N-methylimidazole (0.14 mL, 1.4 mmol) at 0 °C (ice/water bath). A solution of 279-2 (220 mg, 0.53 mmol, dissolved in 0.5 mL of CH3CN), (prepared according to a general procedure described in Bondada, L. et al., ACS Medicinal Chemistry Letters,(20l3) 4(8):747-751) was added. The solution was stirred at 0 to 5 °C for 1 h and then stirred at R.T. for 16 h. The mixture was cooled to 0 to 5 °C, diluted with EA followed by addition of water (5 mL). The solution was washed with 1.0M citric acid, sat. aq. NaHC03 and brine, and dried with MgSCv. The residue was purified on silica (10 g column) with EA/hexanes (25-100% gradient) to give 279-3 (56.4 mg, 33.7 %) as a white foam.
[0978] Compound 279-3 (56mg, 0.0585 mmol) was dissolved in_anhydrous CH3CN (0.7 mL), and 4N HCl in dioxane (44 μΐ, 0.176 mmol) was added at 0 to 5 °C. The mixture was stirred at R.T. for 2 h. 4N HCl in dioxane (20μΤ) was added. The mixture was stirred at R.T. for 2 h. Anhydrous EtOH (100 μί) was added. The solvents were evaporated at R.T. and co-evaporated with toluene (3x). The residue was purified on silica (10 g column) with MeOH/CH2Cl2 (1-7% gradient) and lypholized to give 279a (27.6 mg, 69%) as a white foam. ESI-LCMS: m/z = 685.2[M+H]+. EXAMPLE 207
Figure imgf000420_0001
280a
[0979] Compound 280-1 was prepared in similar manner as 259-1 using BB (250.0 mg, 276.25 μηιοΐ), (2 S)-2-(tert-butoxycarbonylamino)-3 -methyl -butanoic acid (360.11 mg, 1.66 mmol) and TEA (83.86 mg, 828.75 μτηοΐ). 280-1 (white foam, 220.0 mg, 72.12%).
[0980] Compound 280-2 was prepared in similar manner as 259-2 using 280-1 (230.00 mg, 208.29 μηιοΐ, 1.00 eq.). 280-2 (white foam, 80.00 mg, 77.66%).
[0981] Compound 280a was prepared in similar manner as 259a using 280-2 (100.00 mg, 200.20 μηιοΐ, 1.00 eq.). 280a (white solid, 56 mg, 59.57 %). ESI-MS: m/z 400.0 [M+H]+, 422.1 [M+Na]+; 799.1 [2M+H]+, 821.2[2M+Na]+.
EXAMPLE 208
Figure imgf000421_0001
[0982] To a stirred solution of 281-1 (1.92 g, 27.3 mmol), PPh3 (1.43 g, 54.7 mmol), EtOH (0.25 g, 54.7 mmol) in anhydrous dioxane (20 mL) was added DIAD (1.11 g, 54.7 mmol) dropwise at 0 °C. The solution was stirred at 25 °C for 15 h. The reaction was quenched with water and extracted with EA. The mixture was washed with water and brine. The organic layer was dried over a2S04 and filtered. The filtrate was concentrated in vacuum to dryness, and the residue was purified on a silica gel column (2% to 5% MeOH in DCM) to give 281-2 (1.43 g, 71%) as a white foam.
[0983] To a stirred solution of 281-2 (1.43 g, 19.6 mmol) in DMF (15 mL) was added TEA (0.59 g, 58.8 mmol) and DMTrCl (0.99 g, 29.4 mmol) at 0 °C. The solution was stirred at 25 °C for 12 h. The mixture was treated with MeOH (1 mL), and diluted with EA. The solution was washed with water and brine. The organic layer was dried over anhydrous NaSC , and concentrated to dryness. The residue was purified on a silica gel column (2% MeOH in DCM) to give 281-3 (1.13 g, 56%) as a yellow solid.
[0984] To a stirred solution of 281-3 (1.13 g, l . lmmol) in anhydrous pyridine (10 mL) was added TBDPSC1 (0.91 g, 3.3 mmol) and AgN03 (0.61 g, 3.3 mmol). The mixture was stirred at 25 °C for 15 h. The solid was removed by filtration, and the filtrate was diluted with EA (50 mL). The solution was washed with brine. The organic layer was dried over anhydrous Na2S04, and concentrated at low pressure. The residue was purified on a silica gel column (2% MeOH in DCM) to give 281-4 (1.22 g, 88 %) as a white foam.
[0985] To a stirred solution of 281-4 (1.22 g, 1.0 mmol) in anhydrous DCM (15 mL) was added Cl2CHCOOH (0.6 mL) at -78 °C. The mixture was stirred at -20 °C for 1 h. The reaction was quenched with sat. aq. NaHC03 and extracted with DCM. The organic layer was dried over anhydrous Na2S04, and concentrated at low pressure. The residue was purified by column chromatography (2% MeOH in DCM) to give 281-5 (0.52 g, 56%) as a white foam.
[0986] To a stirred solution of 281-5 (0.52 g, 0.5 mmol) in anhydrous DCM (15 mL) and pyridine (0.21 g, 2.5 mmol) was added Tf20 (0.30 g, 1.0 mmol) in DCM (1 mL) dropwise at 0°C. The mixture was stirred at 0 °C for 15 mins. The reaction was quenched with ice water. The organic layer was separated and washed with water. The organic layer was dried over anhydrous Na2S04 and concentrated at low pressure to give 281-6 (442 mg crude) as a yellow foam.
[0987] To a stirred solution of 281-6 (442 mg, 0.4 mmol) in anhydrous DMF (5 mL) was added NaN3 (131 mg, 2.0 mmol). The mixture was stirred at RT for 12 h. The reaction was quenched with water and extracted by EA (20 Ml, 2x). The organic layer was washed with water and dried over a2S04. The organic phase was evaporated to dryness under reduced pressure. The residue was purified on a silica gel column (l%MeOH in DCM) to give 281-7 (352 mg, 88%) as a white foam.
[0988] A mixture of 281-7 (352 mg, 0.35 mmol) and NH4F (392 mg, 10.6 mmol) in MeOH (10 mL) was stirred at 80 °C for 12 h. The mixture was cooled to R.T. The solid was removed by filtration. The solvent was concentrated under reduced pressure. The residue was purified on a silica gel column (2% to 5%MeOH in DCM) to give crude 281-8 (151 mg). The crude product was purified by prep-HPLC (0.1% NH4HCO3 in water and CH3CN) to give 281-8 (71.5 mg, 32%) as a white solid. MS: m/z 641 [M+H]+.
[0989] A mixture of 281-8 (64 mg, 0.1 mmol) and bis(pivaloyloxymethyl)phosphate, after rendered anhydrous by evaporating with toluene, was dissolved in CH3CN (1 mL) and cooled to 0 °C. BopCl (40 mg, 0.15 mmol) and NMI (40 μΤ, 0.5 mmol) were added. The mixture was stirred at 0 °C for 2 h. EtOAc was added, and the mixture was washed with 0.5 N aq. citric acid, sat. aq. NaHC03 and brine, and then dried with a2S04. The solvents were removed, and the residue was purified on a silica gel column with 3% Z-PrOH in CH2C12 to 281-9 (38 mg, 40%).
[0990] A solution of 281-9 (30 mg, 0.03 mmol) in CH3CN (0.3 mL) and HC1 (30 μΤ; 4 N dioxane) was stirred at .T. for 100 mins. The reaction was quenched with EtOH, and the mixture was evaporated. The crude residue was purified on a silica gel column with i'-PrOH/CH2Cl2 (3-10% gradient) to yield 281a (10 mg, 50%). ESI-LCMS: m/z = 681 [M+H]+.
EXAMPLE 209
COMPOUND 282a
Figure imgf000423_0001
[0991] To a solution of BB (lOOmg, 0.114 mmol) in anhydrous CH3CN (2 mL) were added a solution of bis-SATE-phosphoramidate (62.2 mg, 0.14 mmol) in CH3CN (1 mL) followed by 5-ethylthio-lH-tetrazole in CH3CN (0.25M; 0.56 mL, 0.14 mmol) at 0 to 5 C dropwise. The mixture was stirred 2 h at 0 to 5 C under Ar. A solution of 77% m-CPBA (49 mg, 0.22 mmol) in DCM (1 mL) was added, and the mixture was stirred 2 h at 0 to 5 °C under Ar. The mixture was diluted with EtOAc (50 mL), washed with 1.0M citric acid, sat. NaHC03, and brine, and dried with MgS04. The mixture was filtered and the solvents were evaporated in vacuo. The residue was purified on silica (10 g column) with EA/hexanes (10- 100% gradient) to give 282-1 (72 mg, 50.8 %) as a white solid.
[0992] Compound 282-1 (72 mg, 0.056 mmol) was dissolved in_anhydrous CH3CN (1.0 mL), and 4N HC1 in dioxane (87 μΐ,, 0.35 mmol) was added at 0 to 5 °C. The mixture was stirred at R.T. for 2 h. Intermediate 282-2 was observed by LCMS. The solvents were evaporated at R.T. and co-evaporated with toluene (3x). The residue obtained was re-dissolved in 80% HCOOH (2 mL). The mixture was stirred at R.T. for 4.5 h. The solvents were evaporated at R.T. and co-evaporated with toluene (3x). Anhydrous EtOH (3 x 5 mL) was added. The residue was dissolved in 50% CH3CN/H20, purified on a reverse- phase HPLC (CI 8) using CH3CN and H20, and lyophilized to give 282a (19.2 mg) as a white foam. ESI-LCMS: m/z = 669.2 [M+H]+, 1337.25 [2M+H]+.
EXAMPLE 210
Figure imgf000424_0001
[0993] Compound 283-1 (98 mg, 72.6 %) was prepared in the same manner from BB (100 mg, 0.114 mmol) and bis(tert-butoxycarbonyloxymethyl)phosphate (83mg, 0.35 mmol) with DIPEA (126 L, 0.69 mmol), BOP-C1 (87 mg, 0.34 mmol), and 3-nitro-l,2,4- triazole (39 mg, 0.34 mmol ) in THF (1.5 mL) in the same manner as 192-4.
[0994] Compund 283a (30.2 mg, 60%) was prepared from 283-1 (98 mg, 0.083 mmol) in the same manner as 196a. ESI-LCMS: m/z = 609.15 [M+H]+, 1217.3 [2M+H]+. EXAMPLE 211
COMPOUNDS 284a and 285a
Figure imgf000425_0001
[0995] Compounds 284a, 284aa, 284ab and 285a were prepared as described in PCT Publication No. WO 2014/96680, published June 27, 2014. 284a: ESI-LCMS: m/z 554.0 [M+H]+; 284aa and 284ab: Faster eluting diastereomer - 31P NMR 67.1, LC/MS 552 [M-l] Slower eluting diastereomer - 3 IP NMR 67.9, LC/MS 552 [M-l]. 285a: ESI-MS: m/z 576.9 [M+H]+.
EXAMPLE 212
Figure imgf000426_0001
288-11 288a
[0996] Compound 288-1 (5.0 g, 8.5 mmol) and 2-amino-6-chloropurine (3.0 g, 17.7 mmol) were co-concentrated with anhydrous toluene for 3 times. To a stirred suspension of the mixture in anhydrous MeCN (50 mL) was added DBU (7.5 g, 49 mmol) at 0 °C. The mixture was stirred at 0 °C for 15 mins, and TMSOTf (15 g, 67.6 mmol) was added dropwise at 0 °C. The mixture was stirred at 0 °C for 15 mins and then heated to 70°C overnight. The mixture was cooled to RT, and diluted with EA (100 mL). The solution was washed with sat. NaHC03 solution and brine. The organic layer was dried over Na2S04 and then concentrated at low pressure. The residue was purified by column on silica gel (PE/EA: from 15/1 to 3/1) to give 288-2 (2.5 g, 46.3%) as a white foam. [0997] To a solution of 288-2 (10 g, 15.7 mmol), AgN03 (8.0g, 47 mmol) and collidine (10 mL) in anhydrous DCM (20 mL) was added MMTrCl (14.5 g, 47 mmol) in small portions under N2. The mixture was stirred at T overnight The mixture was filtered, and the filtrate was washed with sat. NaHC03 aqueous and brine. The organic layer was dried over anhydrous Na2S04j and concentrated at low pressure. The residue was purified by silica gel column (PE/ME = 20/1 to 8/1) to give 288-3 (10 g, 70 %) as a yellow solid.
[0998] To a solution of 3-hydroxy-propionitrile (3.51 g, 49.4 mmol) in anhydrous THF (100 mL) was added NaH (2.8 g, 70 mmol) at 0°C, and the mixture was stirred at RT for 30 mins. To the mixture was added a solution of 288-3 (8.5 g, 9.35 mmol) in anhydrous THF (100 mL) at 0 °C, and the reaction mixture was stirred at RT overnight. The reaction was quenched by water, and extracted with EA (100 mL). The organic layer was dried over anhydrous Na2S04i and concentrated at low pressure. The residue was purified by silica gel column (DCM/MeOH = 100/1 to 20/1) to give 288-4 (4.5 g, 83%) as a white solid.
[0999] Compound 288-4 (1.5g, 2.6 mmol) was co-concentrated with anhydrous pyridine 3 times. To an ice cooled solution of 288-4 in anhydrous pyridine (30 mL) was added TsCl (1.086 g, 5.7 mmol), and the reaction mixture was stirred at 0 °C for 1 h. The reaction was quenched with water, and extracted with EA (80 mL). The organic layer was dried over anhydrous Na2S04; and concentrated at low pressure. The residue was purified by silica gel column (DCM/MeOH = 100/1 to 15/1) to give 288-5 (1.4 g, 73%) as a white solid.
[1000] To a solution of 288-5 (4.22 g, 5.7 mmol) in acetone (60 mL) was added Nal (3.45 g, 23 mmol), and the mixture was refluxed overnight. The reaction was quenched by sat. Na2S203 aqueous, and then extracted with EA (100 mL). The organic layer was dried over anhydrous Na2S04; and concentrated at low pressure. The residue was purified by silica gel column (DCM/MeOH = 100/1 to 15/1 ) to give 288-6 (4 g, 73%) as a white solid.
[1001] To a solution of 288-6 (4.0 g, 5.8 mmol) in anhydrous THF (60 mL) was added DBU (3.67 g, 24 mmol), and the mixture was stirred at 60 °C overnight. The mixture was diluted with EA (80 mL). The solution was washed with brine. The organic layer was dried over anhydrous Na2S04, and concentrated at low pressure. The residue was purified by silica gel column (DCM/MeOH = 100/1 to 20/1) to give 288-7 (2 g, 61%) as a white solid. [1002] To an ice cooled solution of 288-7 (500 mg, 0.89 mmol) in anhydrous DCM (20 mL) was added AgF (618 mg, 4.9 mmol) and a solution of I2 (500 mg, 1.97 mmol) in anhydrous DCM (20 mL). The mixture was stirred at RT for 3 h. The reaction was quenched with sat Na2S203 and NaHC03 aqueous, and the mixture was extracted with DCM (50 mL). The organic layer was separated, dried over anhydrous Na2S04i and concentrated to give crude 288-8 (250 mg, crude) as a yellow solid.
[1003] To a solution of crude 288-8 (900 mg, 1.28 mmol) in anhydrous DCM (50 mL) was added DMAP (l .Og, 8.2 mmol) and BzCl (795 mg, 5.66 mmol). The mixture was stirred at RT overnight. The mixture was washed with sat. NaHC03 aq. and brine. The organic layer was dried over anhydrous Na2S04, and concentrated at low pressure. The residue was purified by prep-TLC (DCM/MeOH = 15 : 1) to give 288-9 (300 mg, 26%) as a white solid.
[1004] To a solution of crude 288-9 (750 mg, 0.82 mmol) in anhydrous HMPA (20 mL) was added NaOBz (1.2 g, 8.3 mmol) and 15-crown-5 (1.8 g, 8.3 mmol). The mixture was stirred at 60 °C for 2 d. The mixture was diluted with EA, and the solution was washed with brine. The organic layer was dried over anhydrous Na2S04, and concentrated at low pressure. The residue was purified by prep-TLC (PE/EA = 1 : 1) to give crude 288-10 (550 mg, 73%) as a white solid.
[1005] Crude 288-10 (550 mg, 0.6 mmol) was dissolved in NH3/MeOH (7N, 50 mL). The mixture was stirred at RT overnight. The mixture was concentrated, and the residue was purified by silica gel column (DCM/MeOH from 100/1 to 20/1) to give 288-11 (62 mg, 17%) as white solid. ESI-MS: m/z 598.0 [M+H]+.
[1006] A solution of 288-11 (12 mg) in 80% formic acid (0.5 mL) stood at RT for 3.5 h and then was concentrated. The residue was co-evaporated with MeOH/toluene 4 times in a vial, then triturated with EtOAc at 40 °C. The EtOAc solution removed with pippet, and the trituration step was repeated several times. The remaining solid was dissolved in MeOH. The solution was concentrated and dried to give 288a (4.7 mg) as an off white solid. ESI- MS: m/z 326.6 [M+H]+. EXAMPLE 213
Figure imgf000429_0001
[1007] A method for preparing compound 291a is provided in WO 2010/015643, filed August 4, 2009.
EXAMPLE 214
Figure imgf000429_0002
[1008] To a solution of 293-1 (139 mg, 0.5 mmol) in pyridine (5 mL) was added BzCl (92 mg, 0.55 mmol) at 0°C. The mixture was stirred at R.T. for 5 h, diluted with EtOAc and washed with IN HC1 solution. The organic layer was dried over anhydrous Na2S04, and concentrated at low pressure. The residue was purified by silica gel column (20% EA in PE) to give 293-2 (274 mg, 79%) as a white solid.
[1009] To a solution of 293-2 (490 mg, 1 mmol), DMAP (244 mg, 2 mmol) and TEA (205 mg, 2.1 mmol) in MeCN (10 mL) were added TPSC1 (604 mg, 2 mmol) at 0°C. The mixture was stirred at R.T. for 2 h., and then NH4OH aq. was added at R.T. The mixture was stirred for 0.5 h, diluted with EtOAc and washed with sat. aq. NaHC03 and brine. The organic layer was dried over anhydrous Na2S04, and concentrated at low pressure. The residue was purified by silica gel column (30% EA in PE) to give 293-3 (250 mg, 41%) as a white solid.
[1010] Compound 293-3 (250 mg, 0.51 mmol) was dissolved in NH3/MeOH (15 mL). The mixture was stirred at R.T. for 5 h. and then concentrated at low pressure. The residue was purified by silica gel column (5% DCM in DCM) to give 293a (95 mg, 66%) as a white powder. ESI-MS: m/z 278.1 [M+H]+.
EXAMPLE 215
Figure imgf000430_0001
[1011] Compound 296-1 (1.0 g, 3.53 mmol) was coevaporated with anhydrous pyridine 3 times to remove H20. To an ice-cold solution of 296-1 in anhydrous pyridine (9 mL) was added TsCl (808 mg, 4.24 mmol) in pyridine (3 mL) drop-wise at 0°C, and the mixture was stirred for 18 h. at 0°C. The reaction was monitored by LCMS, and then quenched with H20. After concentration at low pressure, the residue was dissolved in EA (50 mL). The solution was washed with sat. NaHC03 solution and brine. The organic layer was dried over anhydrous Na2S04 and filtered. The filtrate was evaporated at low pressure, and the residue was purified by silica gel column chromatography (1% MeOH in DCM) to give 296-2 (980 mg, 63 %) as a white solid.
[1012] To a solution of 296-2 (980 mg, 2.24 mmol) in acetone (10 mL) was added Nal (1.01 g, 6.73 mmol), and the mixture was heated to reflux overnight. The reaction was monitored by LCMS. After the reaction was completed, the mixture was concentrated at low pressure. The residue was dissolved in EA (50 mL). The solution was washed with brine, and dried over anhydrous Na2S04. The solution was evaporated at low pressure, and the residue was purified by silica gel column chromatography (1% MeOH in DCM) to give 296- 3 (700 mg, 79 %) as a solid.
[1013] To a solution of 296-3 (700 mg, 1.78 mmol) in dry THF (9 mL) was added DBU (817 mg, 5.34 mmol), and the mixture was heated to 60°C. The mixture was stirred overnight, and monitored by LCMS. The reaction was quenched with sat. NaHC03 and extracted with EA (3 x 50 mL). The organic phase was dried over anhydrous Na2S04i and filtered. The filtrate was evaporated at low pressure, and the residue was purified by silica gel column chromatography (1% MeOH in DCM) to give 296-4 (250 mg, 53 %) as a white solid.
[1014] To an ice-clod solution of 296-4 (250 mg, 0.94 mmol) in dry MeCN (5mL) was added NEt3-3HF (151 mg, 0.94 mmol) and NIS (255 mg, 1.13 mmol). The mixture was stirred at R.T., for 3 h., and checked by LCMS. The reaction was quenched with sat Na2S203 and sat. NaHC03 solution, and extracted with EA (3 x 50 mL). The organic layer was separated, dried over anhydrous Na2S04, and evaporated at low pressure. The residue was purified by silica gel column chromatography (2% acetone in DCM) to give 296-5 (170 mg, 44 %).
[1015] To a solution of 296-5 (270 mg, 0.65 mmol) in dry DCM (4 mL) was added DMAP (158.6 mg, 1.3 mmol), and BzCl (137 mg, 0.98 mmol). The mixture was stirred for 4-5 h. at R.T., and checked by LCMS. The mixture was diluted with CH2CI2, and washed with sat. NaHC03 solution and brine. The organic layer was evaporated at low pressure, and the residue was purified by silica gel column chromatography (20% EA in PE) to give 296-6 (290 mg, 86 %) as a solid.
[1016] To a solution of 296-6 (900 mg, 1 .74 mmol) in dry DMF (45 mL) was added NaOBz (2.5 g, 17.4 mmol) and 15-crown-5 (4.5 g, 20.9 mmol). The mixture was stirred for 48 h at 90-100°C. The mixture was diluted with EA (100 mL), and washed with brine. The organic layer was evaporated at low pressure, and the residue was purified by silica gel column chromatography (20% EA in PE) to give 296-7 (500 mg, 56 %) as a solid.
[1017] To a solution of 296-7 (500 mg, 0.98 mmol) in anhydrous CH3CN (5 mL) was added TPSC1 (741 mg, 2.45 mmol), DMAP (299.6 mg, 2.45 mmol) and NEt3 (248 mg, 2.45 mmol) at R.T., and the mixture was stirred overnight. The mixture was then treated with NH3 in THF (5 niL) and then stirred for another 30 mins. The mixture was diluted with EA (100 mL). The solution was washed with 0.5% AcOH solution. The organic solvent was dried over anhydrous MgS04, and concentrated at low pressure. The crude product was purified by silica gel column chromatography (2% Acetone in DCM) to give 296-8 (257 mg, 51.6 %) as a white solid. ESI-MS: m/z 509 [M+H]+.
[1018] Compound 296-8 (80 mg, 0.16 mmol) was dissolved in n-butylamine (3 mL). The mixture was kept overnight at R.T. and evaporated. The residue was crystallized from methanol to give 296a (30 mg). The mother liquor was purified by RP HPLC on Synergy 4 micron Hydro-RP column (Phenominex). A linear gradient of methanol from 0 to 30% in 50mM triethylammonium acetate buffer (pH 7.5) was used for elution. The corresponding fractions were combined, concentrated and lyophilized 3 times to remove excess of buffer to yield additional 296a (13 mg). 296a (total yield 43 mg, 73%). MS: m/z 299.7 [M-l]\
EXAMPLE 216
COMPOUND 298a
Figure imgf000432_0001
[1019] Compound 298-1 (109 mg, 0.39 mmol) and triethylammonium bis(isopropyloxycarbonyloxymethyl)phosphate (0.6 mmol, prepared from 195 mg of bis(isopropyloxycarbonyloxymethyl)phosphate and 85 μΐ^ of Et3N) were rendered anhydrous by coevaporating with pyridine, followed by toluene. The residue was dissolved in anhydrous THF (3 mL) and cooled in an ice-bath. Diisopropylethyl amine (0.2 mL, 3 eq.), BopCl (190 mg, 2 eq.), and 3-nitro-l,2,4-triazole (81 mg, 2 eq.) were added, and the mixture was stirred at 0°C for 90 mins. The mixture was diluted with EtOAc, washed with sat. aq. NaHC(¾ and brine, and dried (Na2S04). Purification on silica gel column with CH2Cl2/i- PrOH (4-10% gradient) followed by RP-HPLC purification (A: 0.1% HCOOH in water, B: 0.1% HCOOH in MeCN) yielded 298a (28 mg, 12%). Ή-NMR (CDC13): δ 7.24 (d, 1H), 6.6 (br, 1H), 5.84 (d, 1H), 5.65-5.73 (m, 4H), 4.94 (m, 2H), 4.38 (m, 2H), 4.1 (b, 1H), 2.88 (d, 1H), 1.47 (d, 3H), 1.33 (m, 12H).
EXAMPLE 217
COMPOUND 299a
Figure imgf000433_0001
[1020] Compound 299-1 (30 mg, 0.1 mmol) was dissolved in a mixture of CH3CN (2 mL) and N-methylimidazole (200 uL). Phosphorochloridate (100 mg, 0.3 mmol) was added, and the mixture was kept for 5 d at R.T. The mixture was distributed between water and EA. The organic layer was separated, washed with brine, dried and evaporated. The phosphoroamidate was isolated by silica gel chromatography in a gradient of methanol in DCM from 3% to 10%. The corresponding fractions were concentrated and re-purified by RP HPLC on Synergy 4 micron Hydro-RP column (Phenominex). A linear gradient of methanol in DCM from 3% to 95% containing 0.1% formic acid was used for elution. 299a was obtained as a mixture Rp and Rs isomers (9 mg, 16%). MS: m/z 562.1 [M-1]".
EXAMPLE 218
COMPOUND 300a
Figure imgf000433_0002
[1021] To an ice-cooled solution of 300-1 (10 g, 42 mmol) in anhydrous MeCN (200 mL) was added TEA»3HF (10 g, 62.5 mmol) and NIS (28 g, 126 mmol). The mixture was stirred at R.T. for 1.5 h, and monitored by LCMS. After the reaction was completed, the mixture was concentrated at a low pressure. The residue was purified by silica gel column chromatography (15% MeCN in DCM) to give 300-2 (12 g, 74%) as a yellow solid.
[1022] To a solution of 300-2 (22 g, 57 mmol) in anhydrous DCM (200 mL) was added DMAP (21 g, 171 mmol) and BzCl (17.6 g, 125 mol). The mixture was stirred for 5 h at R.T., and monitored by LCMS. The solution was washed with sat. NaHC03 solution, brine and extracted with EA. The organic phase was dried over anhydrous Na2S04 and filtered. The filtrate was concentrated at low pressure. The residue was purified by silica gel column chromatography (20% EA in PE) to give 300-3 (30 g, 88%) as a white foam.
[1023] To a solution of 300-3 (6.5 g, 1 1 mmol) in anhydrous DMF (270 mL) was added NaOBz (15.8 g, 1 10 mmol) and 15-crown-5 (29 g, 132 mmol). The mixture was stirred at 95°C for 48 h. The precipitate was removed by filtration, and the organic solvent was removed at low pressure. The residue was dissolved in EA (200 mL), and the solution was washed with sat. NaHC03 solution, and brine. The organic layer was dried over anhydrous Na2S04 and filtered. The filtrate was concentrated at low pressure. The residue was purified by silica gel column chromatography (20% EA in PE) to give 300-4 (3 g crude, 46.1%) as an oil.
[1024] Compound 300-4 (3 g, crude) was treated with NH3 in MeOH (120 mL, 7 M). The mixture was stirred for 3 h and monitored by TLC. The solution was concentrated at low pressure. The residue was purified by silica gel column chromatography (10% isopropanol in DCM) to give 300-5 (1.0 g, 67%) as a white solid. Ή-NMR (CD3OD, 400MHz) δ = 1.19(s, 3H), 3.76-3.82 (m, 2H), 4.02 (d, J= 19.8 Hz, 1H), 5.70 (d, J= 8.07 Hz, 1H), 6.27 (s, 1H), 7.89 (d, J= 8.07 Hz, 1H).
[1025] Compound 300-5 (100 mg, 0.36 mmol) was co-evaporated with toluene 3 times. To a stirred solution of 300-5 (100 mg, 0.36 mmol) in a mixture of MeCN (1 .0 mL) and NMT (295 mg, 3.6 mmol) was added a solution of 300-C (255.6 mg, 0.72 mmol, preparation described below) in MeCN (0.5 mL) at 0 °C. The mixture was stirred at R.T. overnight. The reaction was quenched with water, and diluted with EA (20 mL). The organic layer was washed with water and brine. The organic layer was dried over anhydrous Na2S04. The organic phase was concentrated at low pressure. The residue was purified on a silica gel column (5% z'-PrOH in DCM) to give the crude product. The product was purified by prep-HPLC (0.1% HCOOH in water and MeCN) to give 300a (46.7 mg, 23.3%) as a white solid. ESI-LCMS: m/z 618 [M+Na]+.
[1026] To a stirred solution of 300-A (2.0 g, 13.16 mmol) and naphthalen-l-ol (1.89 g, 13.16 mmol) in anhydrous DCM (100 mL) was added a solution of TEA (1.33 g, 13.16 mmol) in DCM (20 mL) dropwise at -78°C. After addition, the mixture was gradually warmed to R.T., and stirred for 2 h. The solution was cooled to -78°C, and (S)-isopropyl 2- aminopropanoate hydrochloride (2.20 g, 13.16 mmol) in DCM (20 mL) was added, followed by TEA (2.66 g, 26.29 mmol) in DCM (20 mL) dropwise. The mixture was gradually warmed to R.T., and stirred for 2 h. The organic solvent was removed at low pressure. The residue was dissolved in methyl-butyl ether. The precipitate was filtered, and the filtrate was concentrated at low pressure. The residue was purified on a silica gel column (anhydrous DCM) to give 300-C (1.0 g, 24.8%) as a colorless oil.
EXAMPLE 219
COMPOUND 301a
Figure imgf000435_0001
[1027] Compound 301-1 (40 mg, 0.14 mmol) and triethylammonium bis(pivaloyloxymethyl)phosphate (0.21 mmol, prepared from 80 mg of bis(pivaloyloxymethyl)phosphate and 30 μΐ^ of Et3N) were rendered anhydrous by coevaporating with pyridine, followed by toluene. The evaporated residue was dissolved in anhydrous THF (2 mL) and cooled in an ice-bath. Diisopropylethyl amine (73 μΕ, 3 eq.), BopCl (71 mg, 2 eq.), and 3-nitro-l,2,4-triazole (32 mg, 2 eq.) were added. The mixture was stirred at 0°C for 90 mins. The mixture was then diluted with EtOAc, washed with sat. aq. NaHC03 and brine, and dried (Na2S04). Purification on silica gel column with CH2CI2/1- PrOH solvent system (4-10% gradient) followed by RP-HPLC purification (A: water, B:
MeCN) yielded 301a (13 mg, 16%). MS: m/z = 1 167 [2M-1].
EXAMPLE 220
COMPOUNDS 304a and 305a
Figure imgf000436_0001
[1028] To a solution of 300-5 (300 mg, 1.08 mmol) and NMI (892 mg, 10 mmol) in anhydrous MeCN (4 mL) was added a solution of 304-C (736 mg, 2 .17 mmol, preparation described below) in anhydrous MeCN (1 mL) dropwise at 0°C. The mixture was stirred at R.T. overnight. The reaction was quenched with water, and diluted with EA (30 mL). The organic layer was washed with water and brine. The organic phase was dried over anhydrous Na2S04 and concentrated at low pressure. The residue was purified by a silica gel column (iPrOH in DCM from 1% to 5%) to give crude 304a (276 mg, crude). Crude 304a (96 mg) was purified by prep-HPLC (0.1 % HCOOH in water and MeCN) to give pure 304a (46 mg, 47.9%) as a white solid. ESI-LCMS: m/z 560 [M - F]+.
[1029] To a solution of 304a (180 mg, 0.31 mmol) in anhydrous pyridine (6 mL) was added acetic anhydride (158 mg, 1.54 mmol) dropwise at 0°C. The mixture was stirred at R.T. overnight. The solution was quenched with water and concentrated at a low pressure. The residue was dissolved in EA (10 mL), and washed with brine. The organic layer was dried over anhydrous Na2S04 The organic phase was concentrated at low pressure. The residue was purified by silica gel column (/'-PrOH in DCM from 1% to 3%) to give crude compound 57 (172 mg). Crude 305a was purified by prep-HPLC (0.1% HCOOH in water and MeCN) to give pure 305a (46 mg, 23.8%) as a white solid. ESI-LCMS: m/z 602.3 [M- F]+. [1030] Compound 304-C (1.02 g, 23%, a colorless oil) was prepared using a procedure similar to the preparation of 304-C using 300-A (2.00 g, 13.16 mmol) and 4- chlorophenol (1.68 g, 13.16 mmol).
EXAMPLE 221
Figure imgf000437_0001
307a
[1031] To a solution of 307-1 (23.0 g, 39.5 mmol) in anhydrous toluene (200 mL) was added DAST (31.9 g, 198 mmol) dropwise at -78°C, and the solution was stirred at - 78°C for 3 h. The mixture was quenched with sat. NaHC03, extracted with EA (2 x 200 mL) and dried over with anhydrous Na2SC>4. The solution was concentrated to dryness under low pressure. The residue was purified on a silica gel column (50%> EA in PE) to give 307-2 (16.5 g, 71%o) as a yellow foam.
[1032] A mixture of 307-2 (16.0 g, 27.4 mmol) and NH4F (3.0 g, 82.2 mmol) in methanol (100 mL) was stirred at 70°C for 12 h. The reaction was cooled, and the salt was removed by filtration. The filtrate was concentrated to dryness at low pressure. The residue was purified on a silica gel column (3%> MeOH in DCM) to give 307-3 (5.1 g, 69.0%>) as a white foam.
[1033] To a stirred suspension of 307-3 (4.1 g, 15.2 mmol), PPh3 (8.0 g, 30.4 mmol), imidazole (2.1 g, 30.4 mmol) and pyridine (18.2 mL) in anhydrous THF (40 mL) was added dropwise a solution of I2 (5.8 g, 22.8 mmol) in THF (20 mL) at 0°C. The mixture was stirred at .T. for 12 h. The reaction was quenched with MeOH (100 mL), and the solvent was removed under reduced pressure. The residue was purified on a silica gel column (4% MeOH in DCM) to give pure 307-4 (4.4 g, 77%) as a white solid. ESI-MS: m/z 381.1 [M+l]+.
[1034] To a stirred solution of 307-4 (2.5 g, 0.7 mmol) in anhydrous THF (3 mL) was added DBU (2.1 g, 14 mmol) at R.T., and the mixture was stirred at R.T. for 1 h. The reaction was quenched with HOAc, and diluted with 2-Me-tetrahydrofuran. The solution was washed with brine, dried over with anhydrous Na2S04 and concentrated to dryness at low pressure. The residue was purified on a silica gel column (MeOH 5% in DCM) to give 307-5 (1.1 g, 68.9%) as a white foam.
[1035] To a stirred solution of 307-5 (800 mg, 3.17 mmol) in anhydrous CH3CN (10 mL) was added TEA»3HF (510 mg, 3.17 mmol) and NIS (785 mg, 3.49 mmol) at 0°C. The mixture was stirred for 30 mins, gradually warmed to R.T., and stirred for 1 h. The mixture was quenched with sat. NaHC03 solution and Na2S203 solution, and extracted with EA (2 x 20 mL). The organic layer was dried over with anhydrous Na2S04, and concentrated to dryness at low pressure. The residue was purified on a silica gel column to give pure 307- 6 (695 mg, 57.9%) as a yellow solid.
[1036] To a stirred solution of 307-6 (650 mg, 1.63 mmol) in pyridine (3 mL) was added BzCl (507 mg, 3.59 mmol) at 0°C, and stirred at R.T. for 12 h. The mixture was quenched with water, and concentrated to dryness under reducing pressure. The residue was purified on a silica gel column (EA 50% in PE) to yield 307-7 (550 mg, 67%) as a white foam.
[1037] Tetra-butylammonium hydroxide (9 mL as 54-56% aqueous solution, 72 mmol) was neutralized with TFA to pH~4 (1.5 mL), and the mixture was added to a solution of 307-7 (375 mg, 0.75 mmol) in DCM (9 mL). w-Chloroperbenzoic acid (924 mg, 60-70%, 3.75 mmol) was added in portions with vigorous stirring, and the mixture was stirred overnight. The mixture was washed with brine, dried over magnesium sulfate and concentrated under reduced pressure. The residue was purified by column chromatography (EA 50% in PE) to give 307-8 (230 mg, 78.8%) as a white foam. ESI-MS: m/z 393.1 [M+l]+.
[1038] Compound 307-8 (120 mg, 0.24 mmol) was treated with 7N NH3 «MeOH (20 mL), and stirred for 5 h. The mixture was concentrated to dryness at low pressure. The residue was purified on a silica gel column (propan-2-ol 15% in DCM) to yield 307a (53 mg, 60.2%) as a white solid. ESI-MS: m/z 288.8 [M+l]+.
EXAMPLE 222
Figure imgf000439_0001
[1039] Compound 308-1 was prepared according to the procedure described in Lefebre et al. J. Med. Chem. (1995) 38:3941-3950, which is hereby incorporated by reference for the limited purpose of its description of the preparation of 308-1.
[1040] Compound 308-2 (0.33 g, 0.5 mmol) was prepared using a similar procedure to the one used to prepared 309-6 using 309-5 and 308-1. Compound 308-2 was obtained as a white solid. Using a similar procedure to the one used to prepared 309, 308-2 was used to prepare 308a (130 mg). !H-NM (CDC13): 7.40 (d, 1H), 6.1 (s, 1H), 5.83 (d, 1H), 4.3 (t, 2H), 4.1-4.2 (m, 6H), 3.2 (t, 4H), 1.69 (s, 4H), 1.3 (s, 3H), 1.23 (s, 18H); 31P-
Figure imgf000439_0002
EXAMPLE 223
Figure imgf000440_0001
[1041] To a solution of sodium hydrosulfide (4.26 g, 76.0 mmol) in EtOH (100 mL) was added t-butyryl chloride (76.2 mmol; 9.35 mL) dropwise at 0 °C, and the mixture was stirred at R.T. for 1 h. A solution of 2-(2-chloroethoxy)ethanol (57 mmol; 6.0 mL) and TEA (21 mL, 120 mmol) was added, and the mixture was heated at reflux for 60 h. The mixture was filtered, and then concentrated to a small volume. The residue was dissolved in EA, and then washed with water, sat. aq. NaHC03 and brine. The organic phase was dried over Na2S04, filtered and concentrated in vacuo. The crude product (10.0 g) was isolated and 5 grams were purified by silica gel flash column chromatography using a gradient of 0 to 100% EA in hexane to give 309-3 (4.5 g, 22 mmol) as a clear, colorless oil. ^-NMR ( CDC13): 3.70-3.74 (m, 2H), 3.5-3.65 (m, 4H), 3.1 (t, 2H), 1.25 (s, 9H). [1042] A solution 309-3 (4.5 g; 21.8 mmol) and triethylamine (6.7 mL, 87.2 mmol) in tetrahydrofuran (50 mL) was added drop wise over 1 h to a stirred solution of N,N- diisopropylphosphorodichloridite (2.0 mL, 10.9 mmol) in THF (50 mL) under argon at -78°C. The mixture was stirred at R.T. for 2 h, and then diluted with EA (200 mL). The mixture was washed with sat. aq. NaCl and dried over Na2S04. After filtration, the filtrate was evaporated under reduced pressure to give a pale yellow oil. Purification by flash column chromatography using a gradient of EA (0-5%) in hexane containing 5% triethylamine afforded 309-4 (2.5 g, 4.25 mmol) as a clear, colorless oil. ¾-NMR (CDC13): 3.70-3.82 (m, 4H), 3.57-3.65 (m, 10H), 3.1 (t, 4H), 1.25 (s, 18H), 1.17 (t, 12H); 31P-NMR (CDC13): 148.0 ppm.
[1043] Compound 309-5 (285 mg, 0.9 mmol) and DCI (175 mg, 1.5 mmol) were coevaporated twice with ACN and then dissolved in ACN (5 mL). Compound 309-4 (790 mg, 1.35 mmol) in ACN (4 mL) was added, and the reaction was monitored by TLC. After 15 mins, tert-butylhydroperoxide (0.5 mL of 5.5M solution in decane) was added, and the mixture was stirred for 10 mins. The mixture was diluted with EA (25 mL), washed with sat. aq. NaHC03 and sat. aq. NaCl solution, dried over Na2S04, filtered and concentrated. Purification by flash column chromatography using a gradient of EA (0-100%) in hexane afforded 309-6 (0.17 g, 0.22 mmol) as a white solid. Compound 309-6 was dissolved in 80% aq. HCOOH (5 mL). After 30 mins at R.T., the solvent was removed and coevaporated twice with toluene. The residue was dissolved in methanol (10 mL) and TEA (0.2 mL) was added. After 2 mins at R.T., the solvent was removed in vacuo. Purification by flash column chromatography using a gradient of methanol (0-15%) in DCM afforded 309a (90 mg). Ή- NMR (CDC13): 7.40 (d, 1H), 6.1 (s, 1H), 5.83 (d, 1H), 4.3 (t, 2H), 4.1-4.2 (m, 6H), 3.70-3.82 (m, 4H), 3.57-3.65 (m, 4H), 3.1 (t, 4H) 1.61 (s, 8H), 1.3 (s, 3H), 1.23 (s, 18H). 31P-NMR
Figure imgf000441_0001
EXAMPLE 224
Figure imgf000442_0001
310-3
[1044] Compound 310-1 (6.0 g, 31.6 mmol) was prepared using a similar procedure to the one used to prepared 309-3 using 4-chlorobutanol. Compound 310-1 was obtained as a clear, colorless oil. 1 H-NMR (CDC13): 3.67 (s, 2H), 2.86 (m, 2H), 1.65 (m, 4H), 1.25 (s, 9H).
[1045] Compound 310-2 (2.14 g, 4.0 mmol) was prepared using a similar procedure to the one used to prepared 309-4. Compound 310-2 was obtained as a clear, colorless oil. 1 H-NMR (CDC13): 3.67 (m, 6H), 2.86 (t, 4H), 1.65 (m, 8H), 1.25 (s, 18H), 1.17 (t, 12H). 31P-NMR (CDC13): 143.7 ppm.
[1046] Compound 310-3 (0.23 g, 0.22 mmol) was prepared using a similar procedure to the one used to prepared 309-6 using 309-5 and 310-2. Compound 310-3 was obtained as a white solid. Using a similar procedure to the one used to prepared compound 309a, 310-3 was used to prepare 310a (170 mg). 1 H-NMR (CDC13): 7.40 (d, 1H), 6.1 (s, 1H), 5.83 (d, 1H), 4.3 (t, 2H), 4.1-4.2 (m, 6H), 2.8 (t, 4H), 1.78 (m, 4H), 1.69 (s, 8H), 1.3 (s, 3H), 1.23 (s, 18H). 3 IP-NMR (CDC13): -1.56 ppm. EXAMPLE 225
COMPOUND 311a
Figure imgf000443_0001
[1047] To a solution of the nucleoside (300 mg, 1.09 mmol) and proton-sponge (467 mg, 2.18 mmol) in anhydrous CH3CN (5 mL) at 0°C under N2 was added dropwise a solution of phosphorus oxychloride (330 mg, 2.18 mmol) in anhydrous CH3CN (1 mL). The mixture was stirred at 0°C for 30 mins, and the hydrogen chloride salt of (S)-ethyl 2- aminopropanoate (998 mg, 6.52 mmol) and triethylamine (1.5 mL, 10.87 mmol) at 0°C were added. The mixture was stirred overnight at 30°C. The reaction was quenched with water, and extracted with EA (3 x 20 mL). The organic layer was concentrated at low pressure, and the residue was purified by reverse phase HPLC to give 311a (20 mg, 3%) as a white solid. ESI-LCMS: m/z 535 [M-F]+.
EXAMPLE 226
Figure imgf000443_0002
[1048] The nucleoside (140 mg, 0.42 mmol) was dissolved in n-butylamine (0.5 mL). The mixture was kept for 2 h at R.T., and the amine was then evaporated. The residue was dissolved in EtOAc, and the organic layer was washed twice with 10% citric acid, dried over Na2S04, and evaporated. The residue purified by column chromatography on silica gel in linear gradient of methanol in DCM from 0% to 12% over 10 column volumes. The fractions containing the product were concentrated and treated with 80% HCOOH for 1 h at R.T. The mixture was evaporated to dryness, and suspended in CH3CN. The precipitate was separated, washed with CH3CN (1 mL) and dried to yield 312a (27 mg, 50%). MS: m/z 326.5 [M-l]\ EXAMPLE 227
Figure imgf000444_0001
[1049] To a solution of 314-1 (3.0 g, 18.0 mmol) and POCl3 (1.35 g, 9.0 mmol) in DCM (80 mL) was added TEA (3.6 g, 36.0 mmol) in DCM (20 mL) dropwise at 0°C. The mixture was stirred at 0°C for 2 h. A solution of pentafluorophenol (1.65 g, 9.0 mmol) and TEA (0.9 g, 9.0 mmol) in DCM (20 mL) was added dropwise at 0°C, and the mixture was stirred at 0°C for 15 h. After the reaction was completed, the mixture was concentrated under reduced pressure. The residue was washed by TBME and filtered. The filtrate was concentrated under reduced pressure, and the residue was purified by silica gel chromatography (20% EA in PE) to give 314-2 (2.7 g, 62.7%) as a white solid. ESI-MS: m/z 491.1 [M+l]+.
[1050] To a stirred solution of 1 -((3aR,4R,6S,6aS)-6-fluoro-6-(hydroxymethyl)-2- methoxy-3a-methyltetrahydrofuro[3,4-d] [1 ,3]dioxol-4-yl)pyrimidine-2,4(lH,3H)-dione (150 mg, 0.47 mmol) in anhydrous THF (2 mL) was added a solution of t-BuMgCl (0.46 mL, 1M in THF) dropwise at 0°C. The mixture was stirred at R.T. for 40 mins, and re-cooled to 0°C. A solution of 314-2 (462 mg, 0.94 mmol) was added, and the mixture was stirred at R.T. for 4 h. The mixture was quenched with ¾0, and extracted with EA. The organic layer was dried over Na2S04 and concentrated under reducing pressure. The residue was purified on a silica gel column (50% EA in PE) to give 314-3 as a white foam (230 mg, 78%).
[1051] Compound 314-3 (230 mg, 0.37 mmol) was dissolved in 80% HCOOH aqueous solution (20 mL), and the mixture was stirred at R.T. for 24 h. The solvent was removed at low pressure. The residue was purified on a silica gel column to give the crude product, which was purified by RP HPLC (HCOOH system) to give 314a as a mixture of two P-isomers (75 mg, 33%). ESI-TOF-MS: m/z 583.0 [M+H]+.
EXAMPLE 228
Figure imgf000445_0001
[1052] To a solution of IBX (133.33 g, 476 mmol) in dry CH3CN (2 L) was added 315-1 (100.0 g, 216 mol) at R.T. The mixture was refluxed and stirred for 12 h. The mixture was filtered, and the filtrate was concentrated at low pressure to give 315-2 as a yellow oil (90.0 g, 90.4%).
[1053] Compound 315-2 (50.0 g, 108.70 mmol) was coevaporated with anhydrous toluene twice to remove H20. Ethynyl magnesium bromide, (800 mL, 400.0 mmol) was added dropwise into a solution of 73-2 in THF (500 mL) over 20 mins at -78°C. The mixture was stirred for about 10 mins at -78°C. When the starting material was consumed, the ice-acetone cooling bath was removed. The mixture was quenched with a sat. NH4C1 solution with stirring, and then warmed to R.T. The mixture was extracted with EA, filtered through Celite and washed with brine. The combined organic phase was dried over anhydrous Na2S04, filtered and concentrated at low pressure to give crude 315-3 as a deep yellow oil (48.0g, yield: 90.8%).
[1054] Compound 315-3 (200.0 g, 41 1.52 mmol) was dissolved in anhydrous CH2CI2 (2000 mL) and then DMAP (100.41 g, 823.05 mmol) and Et3N (124.94 g, 1.23 mol) were added at R.T. The mixture was treated with benzoyl chloride (173.46 g, 1.23 mol) at 0°C. After stirring for 12 h at R.T., the reaction was quenched with H20. The combined aq. phase was extracted with DCM. The combined organic phase was dried over anhydrous Na2S04, filtered and evaporated to dryness under reduced pressure to give a black oil. The oil was purified by column chromatography using 7%-20% EA in PE as the eluent to give a yellow oil. The residue triturated with CH3OH and filtered. The filter cake was concentrated in vacuo to give 315-4 as a white solid (30.0 g, 36.4%).
[1055] Uracil (34.17 g, 305.08 mmol) were coevaporated with anhydrous toluene twice to remove H20. To a stirred suspension of uracil in anhydrous MeCN (150 mL) was added N.O-BSA (123.86 g, 610.17 mmol) at R.T. The mixture was refluxed for 1.5 h and then cooled to R.T. Compound 315-4 (90 g, 152.54 mmol, which were coevaporated with anhydrous toluene twice to remove H20) was added. TMSOTf (237.05 g, 1.07 mol) was then added at R.T. The mixture was heated to 70°C, and then stirred overnight and then monitored by LCMS. The mixture was cooled to R.T., and quenched with a sat. NaHC03 solution. The solution was extracted with EA. The organic layer was dried over Na2S04, and then concentrated at low pressure. The residue was purified using a silica gel column eluted with 10%-50% EA in PE to give 315-5 as a white solid (45 g, 50.9%).
[1056] Compound 315-5 (50 g, 86.21 mmol) was treated with NH3 in MeOH (1 L) at R.T., and then stirred for 48 h. The mixture was concentrated at low pressure, and the residue was purified by column chromatography (10% MeOH in DCM) to give 315-6 (12.6 g, 54.55%) as a white solid.
[1057] To a solution of cyclopentanone (100 g, 1.189 mmol) and trimethyl orthoformate (150 mL) in MeOH (600 mL) was added TsOH H20 (1.13 g, 5.9 mmol), and the mixture was stirred at R.T. for 30 mins. The reaction was quenched with NaOMe (0.32 g, 5.9 mmol) and H20, and the solution was extracted by n-hexane. The organic layer was dried over anhydrous a2S04; and then concentrated at low pressure. The cyclopentyl dimethoxy acetal and 315-6 (20 g, 74.63 mmol) was dissolved in DCE (200 mL), and then treated with TsOH»H20 (0.71 g, 3.73 mmol). The mixture was stirred at 50°C for 12 h, and then concentrated at low pressure. The residue was purified by silica gel column chromatography (1-10% MeOH in DCM) to give 315-7 (15.4 g, 61.8% ) as a white solid.
[1058] Compound 315-7 (20.0 g, 0.06 mol) was coevaporated with anhydrous pyridine three times to remove H20. To an ice-cold solution of 315-7 in anhydrous pyridine (100 ml) was added TsCl (22.8 g, 0.12 mol) at 0°C, and the mixture was stirred overnight and monitored by LCMS and TLC. The reaction was quenched with H20 and extracted with EA. The organic phase was dried over anhydrous NaS04 and evaporated at low pressure. The residue was purified by silica gel column chromatography (DCM: MeOH=100: l to 15: 1) to give 315-8 (20.0 g, 69.0%) as a white solid.
[1059] To a solution of 315-8 (20.0 g, 0.04 mol) in acetone (200 ml) was added Nal (31.0 g, 0.2 mol) and heated to reflux overnight and monitored by LCMS. The mixture was quenched with a sat. Na2S2(¾ solution, and extracted with EA. The organic phase was dried over anhydrous Na2S04 and evaporated at low pressure. The residue was purified by silica gel column chromatography (DCM: MeOH=100: l to 15: 1) to give 315-9 (15.0 g, 83.3%) as a white solid.
[1060] To 315-9 (30.0 g, 0.068 mol) in dioxane (60 mL) in sealed tube was added CuBr (4.9 g, 0.034 mol), z-Pr2NH(13.6 g, 0.135 mol) and (CH20)n(5.1 g, 0.17 mol) under N2. The mixture was heated at reflux for 16 h. The mixture was diluted with EtOAc, and washed with a sat. NH4C1 solution and brine. The solution was dried over anhydrous MgS04, and concentrated under reduced pressure. The residue was purified by column chromatography (DCM: MeOH=100: l to 15: 1) to give 315-10 (10.0 g, 32.3%) as a white solid.
[1061] Compound 315-10 (10 g, 21.83 mmol) was treated with HCOOH (80%) in H20 at R.T. The solution was stirred at 60°C for 2 h, and then concentrated at a low pressure. The residue was purified by column chromatography (1%-10% MeOH in DCM) to give 315-11 (5.1 g, 58.55%) as a white solid. [1062] Compound 315-11 (5 g, 12.79 mmol) was dissolved in anhydrous MeOH (100 mL) and treated with NaOMe (4.83 g, 89.5 mmol) at R.T. The solution was stirred at 60°C for 36 h. The mixture was quenched with C02 and then concentrated at low pressure. The residue was purified by column chromatography (0-10% MeOH in DCM) to give 315-12 (2.3 g, 68.05%) as a yellow solid. !H-NMR (CDC13, 400 MHz) δ = 7.29 (d, J = 8 Hz 1H), 6.10 (s, 1H), 5.71 (d, J= 8 .0 Hz 1H), 5.18 (t, J= 6.4 Hz, 1H), 4.79-4.84 (m, 1H), 4.61 (d, J = 8.0 Hz, 2H), 4.39 (s, 1H), 3.45 (s, 1H).
[1063] To an ice-cold solution of 315-12 (1.5 g, 5.68 mmol) in anhydrous MeCN (15 mL) was added NIS (1.66 g, 7.39 mmol) and TEA' 3HF (0.73 g, 4.55 mmol) under N2. The mixture was stirred at R.T. for 1 h. The reaction was quenched with sat. NaHC03 and sat. Na2S03 solution, and extracted with EA (3 x 100 mL). The organic phase was dried over anhydrous a2S04, and evaporated to dryness at low pressure. The residue was purified on a silica gel column (0-5% MeOH in DCM) to give 315-13 (1.08 g, 46.2%) as a yellow solid.
[1064] To a stirred solution of 315-13 (1 g, 2.44 mmol) in anhydrous DCM (10 mL) was added DMAP (0.60 g, 4.88 mmol) and Et3N (0.74g, 7.32 mmol) at R.T. The mixture was treated with benzoyl chloride (0.79 g, 5.61 mmol) at 0°C and then stirred at R.T. for 3 h. The reaction was quenched with water, and extracted with EA (3 x 60 mL). The organic phase was concentrated at low pressure, and the residue was purified by column chromatography (0-10% MeOH in DCM) to give 315-14 (0.9 g, 59.6%) as a white solid.
[1065] Bu4NOH (55% in H20, 13.74 mL) was treated with TFA (to adjust pH=3- 4). The mixture was cooled to R.T. To a solution of 315-14 (0.9 g, 1.46 mmol) in DCM (9 mL) was added m-CPBA (80%, 1.57 g, 7.28 mmol) at R.T. The mixture was stirred at 25°C for 48 h. The mixture was washed with sat. aq. NaHC03. The organic layer was passed through an anhydrous A1203 column, and the solution was concentrated at low pressure. The residue was purified by a silica gel column (30% EA in PE) to give 315-15 (0.26 g, 35.1%) as a yellow solid.
[1066] Compound 315-15 (0.25 g, 0.49 mmol) was dissolved in NH3/MeOH (5 mL, 7 M), and the mixture was stirred at R.T. for 24 h under N2. The mixture was concentrated at low pressure at R.T., and the residue was purified by a silica gel column (5% MeOH in DCM) to give 315-16 (100 g, 67.75%) as a white solid. Ή-NMR (CD3OD, 400 MHz) δ = 7.83 (d, J = 8 Hz 1H), 6.29 (s, 1H), 5.67 (d, J = 6 .0 Hz 1H), 5.12 (t, J = 6.8 Hz, 1H), 4.99-5.01 (m, 1H), 4.38 (d, J= 19.6 Hz 1H), 3.74-3.81 (m, 2H), 3.35 (s, 1H).
[1067] Compound 315-16 (100 mg, 0.33 mmol) was co-evaporated with toluene three times to remove H20. To a stirred solution of 315-16 (100 mg, 0.33 mmol) in a mixture of MeCN (1.0 mL) and NMI (271 mg, 3.3 mmol) was added a solution of 315-C (216.5 mg, 0.66 mmol) in MeCN (0.5 mL) at 0 °C. The mixture was stirred at R.T. overnight and then reaction was quenched with water. The mixture was diluted with EA (20 mL), and the organic layer was washed with water and brine, and dried over anhydrous Na2S04. The organic phase was concentrated at low pressure, and the residue was purified on a silica gel column (5% z'-PrOH in DCM) to give the crude product. The crude product was purified by prep-HPLC (0.1% HCOOH in water and MeCN) to give 315a (35.6 mg, 19.0%) as a white solid. ESI-LCMS: m/z 592 [M+Na]+.
[1068] To a stirred solution of 315-A (2.0 g, 13.16 mmol) and phenol (1.22 g, 13.16 mmol) in anhydrous DCM (100 mL) was added a solution of TEA (1.33 g, 13.16 mmol) in DCM (20 mL) dropwise at -78°C. The mixture was warmed gradually to R.T., and then stirred for 2 h. The solution was re-cooled to -78°C, and (S)-isopropyl 2- aminopropanoate hydrochloride (2.20 g, 13.16 mmol) in DCM (20 mL) was added, followed by the dropwise addition of TEA (2.66 g, 26.29 mmol) in DCM (20 mL). The mixture was warmed gradually to R.T. , and then stirred for 2 h. The organic solvent was removed at low pressure, and the residue was dissolved in methyl-butyl ether. The precipitate was filtered, and the filtrate was concentrated at low pressure. The residue was purified on a silica gel column (anhydrous DCM) to give 315-C (0.9 g, 22.3%) as a colorless oil.
EXAMPLE 229
Figure imgf000449_0001
[1069] Dry nucleoside (0.05 mmol) was dissolved in a mixture of PO(OMe)3 (0.7 mL) and pyridine (0.3 mL). The mixture was evaporated in vacuum for 15 mins. at 42°C, then cooled to R.T. N-Methylimidazole (0.009 mL, 0.11 mmol) was added followed by POCI3 (0.009 niL, 0.11 mmol). The mixture was kept at R.T. for 20-40 mins and monitored for the formation of 316a by LCMS. The reaction was quenched with water and isolated by
RP HPLC on Synergy 4 micron Hydro-RP column (Phenominex). A linear gradient of methanol from 0 to 30% in 50mM triethylammonium acetate buffer (pH 7.5) was used for elution. The corresponding fractions were combined, concentrated and lyophilized 3 times to remove excess of buffer. MS: m/z 396.5 [M-l]".
EXAMPLE 230
Figure imgf000450_0001
[1070] A solution of 317-1 (16.70 g, 0.363 mol) and TEA (36.66 g, 0.363 mol) in CH2CI2 (150 mL) was added dropwise to a stirred solution of POCI3 (55.65 g, 0.363 mol) in DCM (100 mL) over 25 mins at -78°C. After the mixture was stirred for 2 h. at R.T., the triethylamine hydrochloride salt was filtered, and washed with CH2CI2 (100 mL). The filtrate was concentrated at low pressure, and the residue was distilled under high vacuum (~10 mm Hg) with a cow-head fraction collector. 317-2 was collected between 45°C (distillation head temperature) as a colorless liquid (30.5 g, 50% yield). !H-NMR (400 MHz, CDC13) δ = 4.44 (dq, J=10.85, 7.17 Hz, 2 H), 1.44 - 1.57 (m, 3 H); 31P-NMR (162 MHz, CDC13) δ = 6.75 (br. s., 1 P).
[1071] To a stirred suspension of 320-A (93 mg, 0.15 mmol) in CH2CI2 (1 mL) was added TEA (61 mg, 0.15 mmol) at R.T. The mixture was cooled to -20 °C, and then was treated with a 317-2 (35 mg, 0.21 mmol) solution dropwise over a period of 10 mins. The mixture was stirred at this temperature for 15 min., and then was treated with NMI (27 mg, 0.33 mmol). The mixture was stirred at -20°C, and then slowly warmed to R.T. The mixture was stirred overnight. The mixture was suspended in EA (15 mL), washed with brine (10 mL) and dried over anhydrous sodium sulfate. The solution was concentrated at low pressure, and the residue was purified by chromatography (DCM: MeOH=100:l) to give 317- 3 (60 mg, yield: 56%) as a solid. [1072] A solution of 317-3 (60 mg, 0.085 mmol) in 80% AcOH aqueous (2 mL) was stirred at R.T. for 2 h. The mixture was concentrated under reduced pressure, and the residue was purified by a silica gel column eluting DCM/MeOH = 50/1 and prep-HPLC to give 317a (23 mg, 62%) as a white solid. ESI-MS: m/z 436.3 [M+H]+.
EXAMPLE 231
Figure imgf000451_0001
[1073] Compound 318-2 was prepared using a similar procedure as for the preparation of 317-2 using a solution of iso-butanol (23.9 g, 322.98 mmol) and POCl3 (49.5 g, 322.98 mmol). Compound 318-2 (26 g, 42% yield) was obtained as a colorless liquid. !H- NMR (400 MHz, CDC13) δ = 4.10 (dd, J=9.04, 6.39 Hz, 2 H), 2.09 (dq, J=13.24, 6.67, 6.67, 6.67, 6.67 Hz, 1 H), 1.01 (d, J=6.62 Hz, 6 H); 3 IP-NMR (162 MHz, CDC13) δ = 7.06 (br. s., 1 Ρ)·
[1074] To a stirred suspension of 320-A (310 mg, 0.5 mmol) in CH2CI2 (3 mL) was added TEA (202 mg, 2 mmol) at R.T. The mixture was cooled to -20 °C, and then was treated with 318-2 (134 mg, 0.7 mmol). The mixture was stirred at this temperature for 15 mins and then was treated with NMI (90 mg, 1.1 mmol). The mixture was stirred at -20°C for 1 h., and then slowly warmed to R.T. overnight. The mixture was suspended in EA (15 mL), washed with brine (10 mL), and dried over anhydrous sodium sulfate. The organic phase was concentrated at low pressure, and the residue was purified by silica column gel (DCM: MeOH=100:l) to give 318-3 (310 mg, yield: 84%) as a solid.
[1075] A solution of 318-3 (310 mg, 0.43 mmol) in 80% AcOH aqueous (4 mL) was stirred at R.T. for 2 h. The mixture was concentrated at low pressure, and the residue was purified by a silica gel column eluting DCM/MeOH = 50/1 and prep-HPLC to give 318a (79 mg, 50%) as a white solid. ESI-MS: m/z 464.0 [M+H]+. EXAMPLE 232
Figure imgf000452_0001
[1076] Compound 319-2 was prepared using a similar procedure as for the preparation of 317-2 using a solution of isopropyl alcohol (21 g, 350 mmol) and POCl3 (53.6 g, 350 mmol). Compound 319-2 (40.5 g, 65% yield) was obtained as a colorless liquid. !H- NMR (400 MHz, CDC13) δ = 4.94 - 5.10 (m, 1 H), 1.48 (d, J=6.17 Hz, 6 H); 31P- NMR (162 MHz, CDCI3) δ = 5.58 (br. s., 1 P).
[1077] Compound 319-3 was prepared using a similar procedure as for the preparation of 318-3 using 319-2 (124 mg, 0.7 mmol) and 320-A (310 mg, 0.5 mmol). Compound 319-3 (300 mg, 83%) was obtained as a solid.
[1078] Compound 319a was prepared using a similar procedure as for the preparation of 318a using 319-3 (300 mg, 0.41 mmol) in 80% AcOH aqueous (4 mL). Compound 319a (80 mg, 43%) was obtained as a white solid. ESI-MS: m/z 450.0 [M+H]+.
EXAMPLE 233
COMPOUND 320a
Figure imgf000452_0002
[1079] To a stirred solution of POCl3 (2.0 g, 13 mmol) in anhydrous DCM (10 mL) was added 1-naphthol (1.88 g, 13 mmol) at -70°C, and TEA (1.31 g, 13 mmol) in DCM (3 mL) dropwise at -70°C. The mixture was gradually warmed to R.T. and stirred for 1 h. Crude 320-1 was obtained.
[1080] To a stirred solution of (S)-isopropyl 2-aminopropanoate hydrochloride (2.17 g, 13 mmol) in DCM (10 mL) was added crude 320-1 at -70°C. TEA (2.63 g, 26 mmol) was added to the stirred solution dropwise at -70°C. The mixture was gradually warmed to R.T. and stirred for 2 h. The reaction was monitored by LCMS and quenched with n-propylamine. The mixture was concentrated at low pressure, and the residue was purified by a silica gel column (PE:MTBE = 5:1-1 : 1) to give pure 320-2 (1.6 g, 35%).
[1081] To a solution of 320-A (300 mg, 0.337 mmol) and NM1 (276 mg, 3.37 mmol) in anhydrous CH3CN (4 mL) was added 320-2 (240 mg, 0.674 mol, in DCM (5 mL)) at 0°C. The mixture was stirred at R.T. for 10 h. The reaction was monitored by LCMS. The reaction was quenched with water, and extracted with CH2CI2 (3 x 20 mL). The organic phase was dried over anhydrous MgS04, and concentrated at low pressure. The residue was purified by sil-gel (PE:EA = 5:1-2:1) to give 320-3 (380 mg, 93%).
[1082] Compound 320-3 (380 mg, 0.314 mmol) was dissolved in CH3COOH (80%, 8 mL), and stirred at 40-50°C for 2.5 h. The reaction was monitored by LCMS. The mixture was concentrated at low pressure, and the residue was purified by chromatography (PE:EA = 1 :1~EA) to give crude 320a. The crude product was purified by prep-HPLC (neutral system, NH4HC03) to give pure 320a (70 mg, 80%) as a white solid. ESI-MS: m/z 665.1 [M+H]+.
EXAMPLE 234
Figure imgf000453_0001
[1083] To a stirred solution of POCl3 (2.0 g, 13 mmol) in anhydrous DCM (10 mL) was added 1-naphthol (1.88 g, 13 mmol) at -70°C and TEA (1.31 g, 13 mmol) in DCM (3 mL) dropwise at -70°C. The mixture was gradually warmed to R.T., and stirred for 1 h. A crude solution of 321-1 was obtained.
[1084] To a stirred solution of (S)-isobutyl 2-aminopropanoate hydrochloride (2.35 g, 13 mmol) in DCM (20 mL) was added TEA (2.63 g, 26 mmol) and a crude solution of 321-1 at -70°C. The mixture was gradually warmed to R.T., and stirred for 2 h. The reaction was monitored by LCMS and quenched with n-propylamine. The solvent was evaporated at low pressure, and the residue was purified by chromatography (PE:MTBE = 5: 1-1 : 1) to give pure 321-2 (1.8 g, 37%).
[1085] To a solution of 320-A (300 mg, 0.337 mmol) and NMI (276 mg, 3.37 mmol) in anhydrous CH3CN (4 mL) was added 321-2 (249 mg, 0.674 mol, in DCM (5 mL)) at 0°C. The mixture was stirred at R.T. for 10 h. The reaction was monitored by LCMS, and then quenched with H20. The mixture was extracted with CH2C12 (3 x 20 mL). The organic phase was dried over anhydrous MgS04, and concentrated at low pressure. The residue was purified by chromatography using PE:EA = 5: 1-2: 1 as the eluent to give 321-3 (360 mg, 87%).
[1086] Compound 321-3 (360 mg, 0.294 mmol) was dissolved in CH3COOH (80%, 8 mL), and stirred at 40-50°C for 2.5 h. The reaction was monitored by LCMS and then quenched with MeO. The mixture was concentrated at low pressure, and the residue was purified by chromatography using PE:EA = 1 : 1 as the eluent to generate crude 321a. The product purified by prep-HPLC (neutral system, NH4HCO3) to give 321a (70 mg, 75%) as a white solid. ESI-MS: m/z 679.2 [M+H]+.
EXAMPLE 235
Figure imgf000455_0001
[1087] To a stirred solution of POCl3 (2.0 g, 13 mmol) in anhydrous DCM (10 mL) was added phenol (1.22 g, 13 mmol) at -70°C and TEA (1.31 g, 13 mmol) in DCM (3 mL) dropwise at -70°C. The mixture was gradually warmed to R.T., and stirred for 1 h. A crude solution of 322-1 was obtained.
[1088] Compound 322a was prepared using a similar procedure as for the preparation of 321a using 322-2 (205 mg, 0.674 mol, in DCM (5 mL) obtained from (S)- isopropyl 2-aminopropanoate hydrochloride and 322-1) and 320-A (300 mg, 0.337 mmol).
322a (50 mg, 74%) was obtained as a white solid. ESI-MS: m/z 615.2 [M+H]+.
EXAMPLE 236
Figure imgf000455_0002
[1089] Compound 323a was prepared using a similar procedure as for the preparation of 321a using 323-2 (214 mg, 0.674 mol, in DCM (5 mL) obtained from (S)- isobutyl 2-aminopropanoate hydrochloride and 323-1) and 320-A (300 mg, 0.337 mmol). 323a (70 mg, 87%) was obtained as a white solid. ESI-MS: m/z 629.2 [M+H]+. EXAMPLE 237
Figure imgf000456_0001
[1090] Compound 324a was prepared using a similar procedure as for the preparation of 321a using 324-2 (223 mg, 0.674 mol, DCM (5 mL) obtained from (S)- cyclopentyl 2-aminopropanoate hydrochloride and 324-1) and 320-A (300 mg, 0.337 mmol). 324a (62 mg, 71%) was obtained as a white solid. ESI-MS: m/z 641.2 [M+H]+.
EXAMPLE 238
Figure imgf000456_0002
[1091] Compound 325a was prepared using a similar procedure as for the preparation of 321a using 325-2 (223 mg, 0.674 mol, DCM (5 mL), obtained from (S)-3- pentyl 2-aminopropanoate hydrochloride and 325-1) and 320-A (300 mg, 0.337 mmol). 325a (42 mg, 60%) was obtained as a white solid. ESI-MS: m/z 643.2 [M+H]+. EXAMPLE 239
Figure imgf000457_0001
[1092] A stirred solution of phosphoryl trichloride (1.00 g, 6.58 mmol) and 5- quinoline (955 mg, 6.58 mmol) in anhydrous DCM (50 mL) was treated with a solution of TEA (665 mg, 6.58 mmol) in DCM (10 mL) at -78°C. The mixture was gradually warmed to .T., and stirred for 2 h. The solution was cooled to -78°C and then treated with (5)- neopentyl 2-aminopropanoate hydrochloride (1.28 g, 6.58 mmol). TEA (1.33 g, 13.16 mmol) was added dropwise at -78°C. The mixture was gradually warmed to R.T., and stirred for 2 h. The mixture was concentrated at low pressure, and the residue was dissolved in methyl- butyl ether. The precipitate was filtered off, and the filtrate was concentrated at low pressure. The residue was purified by a silica gel column (pure AcOEt) to give 326-1 as colorless oil (500 mg, 20%).
[1093] To a solution of 326-2 (300 mg, 0.337mmol) and NMI (276.6 mg, 3.37 mmol) in anhydrous CH3CN (0.9 mL) was added 326-1 (388 mg, 1.011 mmol) in CH3CN (0.3 mL) dropwise at 0°C. The mixture was stirred at R.T. overnight. The reaction was quenched with water, and extracted with AcOEt. The organic phase was washed with brine, dried over anhydrous sodium sulfate, and concentrated at low pressure. The residue was purified by silica gel column (33% EA in PE) to give 326-3 as a yellow powder (300 mg, 71.9%).
[1094] Compound 326-3 (300 mg, 0.243 mmol) was dissolved in 80% CH3COOH (3 mL), and the mixture was stirred at 60°C for 2.5 h. The mixture was partitioned between AcOEt and water. The organic layer phase was washed by brine, dried over sodium sulfate and concentrated at low pressure. The residue was purified by silica gel column (50% EA in PE) to give 326a as a yellow powder (81 mg, crude product). The crude product (81 mg) was purified by RP HPLC to give 326a as a white solid. (28.7 mg, 17.1%). ESI-LCMS: m/z 694.1 [M+H]+.
EXAMPLE 240
Figure imgf000458_0001
[1095] Compound 327-1 was prepared using a similar procedure as for the preparation of compound 326-1 using phosphoryl trichloride (2.00 g, 13.16 mmol), 1- naphthol (1.882 g, 13.16 mmol) and (>S)-neopentyl 2-aminopropanoate hydrochloride (2.549 g, 13.16 mmol). Compound 327-1 (600 mg, 12%) was obtained as a colorless oil.
[1096] A solution of 327-2 (230 mg 0.26 mmol) and NMI (212 mg 2.60 mmol) in anhydrous CH3CN (1 mL) was treated with a solution of 327-1 (300 mg 0.78 mmol) in anhydrous CH3CN (0.5 mL) at R.T. The mixture was stirred at R.T. overnight. The reaction was quenched with water, and extracted with EA (3 x 20 mL). The organic layer was washed with brine, dried by anhydrous sodium sulfate, and concentrated at low pressure. The residue was purified by a silica gel column (CH3OH in CH2CI2 from 1% to 5%) to give 327-3 (300 mg, 93%) as a white solid.
[1097] Compound 327-3 (300 mg, 0.24 mmol) was dissolved in CH3COOH (80%, 5 mL). The mixture was stirred at 60°C for 2.5 h. The mixture was diluted with EA (30 mL) and washed with brine. The organic phase was dried over anhydrous sodium sulfate, and concentrated at low pressure. The residue was purified by a silica gel column (CH3OH in CH2CI2 from 1% to 5%) to give crude 327a (105 mg). The crude product was purified by HPLC (0.1% NH4HCO3 in water and CH3CN) to give 327a (45 mg, 26%) as a white solid. ESI-LCMS: m/z 693.2 [M+H]+.
EXAMPLE 241
Figure imgf000459_0001
[1098] A stirred solution of 328-1 (2.00 g, 13.99 mmol) and 328-2 (2.00 g, 13.99 mmol) in anhydrous DCM (8 mL) was treated with a solution of TEA (3.11 g, 30.8 mmol) in DCM (20 mL) dropwise at -78°C. The mixture was stirred for 2 h. at -78 °C and then gradually warmed to R.T. The organic solvent was removed at low pressure, and the residue was dissolved in methyl-butyl ether. The precipitate was filtered off, and the filtrate was concentrated at low pressure. The residue was purified on a silica gel column (dry DCM) to give 328-3 as colorless oil (1 g, 20.96%).
[1099] Compound 328-4 (260 mg, 0.29 mmol) was coevaporated with toluene 3 times to remove H20. Dried 328-4 was treated with MeCN (0.8 mL) and NMI (240 mg, 2.9 mmol) and then stirred for 10 mins. The mixture was treated with a solution of 328-3 (291 mg, 0.87 mmol) in MeCN (0.4 mL), and then concentrated at low pressure. The residue was purified on a silica gel column (75% EA in PE)) to give 328-5 (300 mg, 86%) as a white solid.
[1100] Compound 328-5 (300 mg, 0.25 mmol) was treated with CH3COOH (5 mL, 80%), and stirred at 50 °C for 3 h. The mixture was diluted with EA. The solution was washed with brine, dried over anhydrous Na2S04, and concentrated at low pressure. The residue was purified by silica gel column chromatography (67% EA in PE) to give crude 328a, which was purified by HPLC. The product was dried by lyophilization to give 328a
(30 mg, 18.5%) as a white solid. ESI-LCMS: m/z 643 [M+H]+.
EXAMPLE 242
Figure imgf000460_0001
[1101] To a solution of 336-1 (17 g, 65.9 mmol) and 2,2-dimethoxypropane (34.27 g, 329.5 mmol, 5 eq.) in acetone (200 mL) was added / toluenesulfonic acid monohydrate (1 1.89 g, 62.6 mmol, 0.95 eq.). The = mixture was allowed to stir overnight at RT. The reaction was quenched with sat. aq. NaHC03. The mixture was filtered, and dried over anhydrous Na2S04 The filtrate was concentrated to give 336-2 (19 g, 97%).
[1102] To a solution of 336-2 (6 g, 20.1 mmol) in anhydrous CH3CN (80 mL) was added IBX (7.05 g, 25.2 mmol, 1.25 eq.) at RT. The mixture was refluxed for 1 h., and cooled to 0 °C. The precipitate was filtered, and the filtrate was concentrated to give crude 336-3 (6 g 100%) as a yellow solid.
[1103] Compound 336-3 (6 g 20.1 mmol) was dissolved in 1,4-dioxane (60 mL). 37% HCHO (6 mL, 69 mol) and 2M NaOH aqueous solution (12 mL, 24 mmol, 1.2 eq.) were added at 10 °C. The mixture was stirred at RT overnight and neutralized with AcOH to pH = 7. The mixture was treated with NaBH4 (1.53 g, 40.2 mmol, 2 eq.) at 10 °C. The mixture was stirred at RT for 30 mins, and then quenched with sat. aq. NH4C1. The mixture was extracted with EA. The organic layer was dried over anhydrous Na2S04j and concentrated to dryness. The residue was purified on silica gel column (1-3% MeOH in DCM) to give 336-4 (3.5 g, 53 %) as a white solid.
[1104] To a solution of 336-4 (3.5 g, 10.7 mmol) in anhydrous pyridine (60 mL) was added DMTrCl (3.6 g, 10.7 mmol, 1 eq.) in anhydrous DCM (8 mL) dropwise at -30 °C. The mixture was stirred at RT overnight. The solution was treated with MeOH, and concentrated to dryness at low pressure. The residue was purified by column chromatography (0.5-2% MeOH in DCM) to give 336-5 (3 g, 45%) as a yellow solid.
[1105] To a solution of 336-5 (2.5 g, 4 mmol) in anhydrous CH2CI2 (30 mL) was added AgN03 (0.816 g, 4.8 mmol, 1.2 eq.), imidazole (0.54 g, 8 mmol, 2 eq.) and TBDPSCl (1.18 g, 4.8 mmol, 1.2 eq.) under N2 atmosphere. The mixture was stirred at RT for 14 h. The precipitate removed via filtration, and the filtrate was washed with brine and dried over Na2S04. The solvent was removed under reduced pressure to give crude 336-6 (3.4 g, 100%) as a yellow solid.
[1106] Compound 336-6 (4 g, 4.6 mmol) was dissolved in 80% HOAc aqueous solution (50 mL). The mixture was stirred at RT for 3 h. The solution was treated with MeOH, and concentrated to dryness. The residue was purified by column chromatography (1-2% MeOH in DCM) to give 336-7 (1.2 g, 45%) as a white solid.
[1107] To a solution of 336-7 (1 g, 1.77 mmol) in anhydrous DCM (15 mL) was added Dess-Martin periodinane reagent (1.12 g, 2.65 mmol, 1.5 eq.) at 0 °C under nitrogen atmosphere. The reaction was stirred at RT for 2.5 h. The solution was quenched by addition of 4% Na2S203 and washed with 4% sodium bicarbonate aqueous solution (50 mL). The mixture was stirred for another 15 mins. The organic layer was washed with brine, and concentrated under reduced pressure. The residue was purified by silica gel column chromatography (20% EtOAc in hexane) to give 336-8 (0.7 g, 70%) as a white solid.
[1108] To a solution of methyltriphenylphosphonium chloride (2.95 g, 8.51 mmol, 4 eq.) in anhydrous THF (20 mL) was added n-BuLi (3.2 mL, 8.1 mmol, 3.8 eq.) dropwise at -70 °C under nitrogen atmosphere. The mixture was stirred at 0 °C for 1 h. A solution of 336-8 (1.2 g, 2.13 mmol) in anhydrous THF (3 mL) was added dropwise at 0 °C under nitrogen atmosphere. The solution was stirred 0 °C for 2 h. The reaction was quenched with NH4C1 and extracted with EtOAc. The organic layer was washed with brine and concentrated under reduced pressure. The crude product was purified by silica gel column chromatography (20% EtOAc in hexane) to give 336-9 (0.9 g, 75%) as a white solid.
[1109] To a solution of 336-9 (0.85 g, 1.43 mmol) in anhydrous THF (50 mL) was added n-BuLi (5.7 mL, 14.3 mmol, 10 eq.) at -70 °C under nitrogen atmosphere. The mixture was stirred at -70 °C for 2 h. The reaction was quenched with NH4CI and extracted with EtOAc. The organic layer was washed with brine and concentrated under reduced pressure. The crude product was purified by silica gel column chromatography (20% EtOAc in hexane) to give 336-10 (0.4 g, 50%) as a white solid.
[1110] To a solution of 336-10 (0.4 g, 0.714 mmol) in anhydrous CH3CN (30 mL) were added TPSC1 (0.433 g, 1.43 mmol, 2 eq.), DMAP (0.174 g, 1.43 mmol, 2 eq.) and TEA (1.5 mL) at T. The mixture was stirred at RT for 3 h. NH4OH (3 mL) was added, and the mixture was stirred for 1 h. The mixture was diluted with EA (150 mL), and washed with water, 0.1 M HC1 and saturated aqueous NaHC03. The organic layer was washed with brine and concentrated under reduced pressure. The crude product was purified by silica gel column chromatography (2% MeOH in DCM) to give 336-11 (0.2 g, 50%) as a yellow solid.
[1111] Compound 336-11 (1.35 g, 1.5 mmol) was dissolved in 80% HOAc aqueous solution (40 mL). The mixture was stirred at 60 °C for 2 h and concentrated to dryness. The crude was purified on silica gel column (5% MeOH in DCM) to give 336a (180 mg, 35%) as a white solid. ESI-MS: m/z 282.1 [M+H]+.
EXAMPLE 243
Figure imgf000463_0001
337-9
[1112] To a solution of cyclopentanone (6.0 g, 71 mmol) in MeOH (60 mL) was added TsOH'ELO (1.35 g, 7.1 mmol) and trimethoxymethane (8 mL) at RT. The solution was stirred at RT for 2 h. The reaction was quenched with NaOMe, and the mixture was extracted with hexane (30 mL). The organic layer was dried and concentrated to give crude 1 , 1 -dimethoxycyclopentane (9.2 g), which was dissolved in 1 ,2-dichloroethane (50 mL). To the above solution was added 336-1 (5.0 g, 19.38 mmol) and TsOH'ELO (0.36 g, 1.9 mmol) at RT. The mixture was stirred at 60 °C for 4 h. The reaction was quenched with TEA and concentrated at low pressure. The residue was purified on silica gel column (1% MeOH in DCM) to give 337-1 (4.77 g, 76%) as a white solid.
[1113] To a solution of 337-1 (4.77 g, 14.73 mmol) in anhydrous DCM (50 mL) was added DMP (6.56 g, 15.6 mmol) at 0 °C. The solution was stirred at RT for 10 h and concentrated to dryness. The residue was suspended in PE (30 mL) and DCM (5 mL), and the solid was precipitated. After filtration, the filtrate was concentrated to give the crude 337-2 (4.78 g, 100%) as a foam.
[1114] Crude 337-2 (4.77 g, 14.73 mmol) was re-dissolved in anhydrous 1,4- dioxane (50 mL). To the solution was added CH2O aq. (37%, 3.6 mL) and NaOH aq. (2M, 1 1.3 mL) at 0 °C. The mixture was stirred at RT for 16 h. The mixture was treated with NaBH4 (1.48 g, 40 mmol) at 0 °C and stirred for 0.5 h. The reaction was quenched with water, and the mixture was extracted with EA. The organic layer was dried over anhydrous Na2S04, and concentrated to dryness. The residue was purified on silica gel column (40% EA in PE) to give 337-3 (2.6 g, 49.9%) as a white solid.
[1115] To a stirred solution of 337-3 (5.0 g, 14.1 mmol) in pyridine (5.6 g, 71 mmol) and DCM (100 mL) was added Tf20 (8.7 g, 31.2 mmol) dropwise at -35 °C. The mixture was allowed to warm to 0 °C slowly and stirred for 2 h. The mixture was quenched with 0.5M aq. HC1 and the DCM layer was separated. The organic phase was dried over anhydrous Na2S04, and concentrated to dryness. The crude was purified on silica gel column (20% EA in PE) to give 337-4 (4.5 g, 52%).
[1116] 337-4 (4.5 g, 7.28 mmol) was dissolved in anhydrous THF (50 mL) at 0 °C. The solution was treated with NaH (60% in mineral oil, 0.32 g, 8 mmol, 1.1 eq.) in portions, and the mixture was stirred at R.T. for 8 h. The reaction was quenched with water, and extracted with EA (3 x 60 mL). The organic layer was washed with brine, dried over anhydrous Na2S04, and concentrated at low pressure to give the crude product used directly for next step. To a solution of the crude product (2.0 g, 3.6 mmol) in MeCN (10 mL) was added LiCl (4.0 g, 13 mmol). The reaction was allowed to proceed overnight. Aqueous NaOH (IN, ~ 2 eq.) was added, and the mixture was stirred for 1 h. The mixture was partitioned between sat. NH4C1 solution and EA. The organic layer was concentrated under reduced pressure, and the crude was purified on silica gel column (20% EA in PE) to give 337-6 (0.6 g, 46 %) as a white solid. ESI-MS: m/z 395.0 [M+Na]+.
[1117] Compound 337-6 (3.0 g, 8.06 mmol) was co-evaporated with toluene (30 mL). To a solution of 337-6 (3.0 g, 8.06 mmol), DMAP (98 mg, 0.80 mmol) and TEA (2.3 mL, 2 eq.) in DCM (30 mL) was added Bz20 (1.82 g, 8.06 mmol) at 0 °C and stirred for 3 h. The reaction was quenched with 1.0 M HC1 and extracted with DCM. The DCM layer was dried over high vacuum pump to give crude 337-7 (3.3 g, 80.9%).
[1118] To a solution of 337-7 (400 mg, 0.84 mmol) in anhydrous CH3CN (3 mL) was added TPSC1 (507 mg, 1.68 mmol), TEA (169 mg, 1.68 mmol) and DMAP (207 mg, 1.68 mmol), and the mixture was stirred for 2 h. at RT. Completion of the reaction was determined by TLC. Ammonium solution (3.0 mL) was added at RT, and the solution was stirred for 2 h. The mixture was washed with 1.0 M HC1 solution and extracted with DCM. The DCM layer was dried over Na2S04 and concentrated to dryness. The crude was purified by column chromatography to provide 337-8 (250 mg, 63%).
[1119] Compound 337-8 (250 mg, 0.53 mmol) in 80% formic acid (3 mL) was stirred at RT for 3 h. Completion of the reaction was determined by TLC. The mixture was concentrated at a low pressure. The crude was purified by column chromatography to give 337-9 (130 mg, 66%).
[1120] Compound 337-9 (270 mg, 0.73 mmol) was dissolved in MeOH/NH3 (10 mL), and the solution was stirred for 6 h. The mixture was concentrated at low pressure. The crude product was washed with DCM, and the solution was lyophilized to give 337a (118 mg, 52%). ESI-MS: m/z 328.3 [M+H+Na]+.
EXAMPLE 244
Figure imgf000465_0001
[1121] Compound 338-1 (3.0 g, 8.42 mmol) was co-evaporated with toluene (30 . To a solution of 338-1 (3.0 g, 8.42 mmol), DMAP (103 mg, 0.84 mmol) and TEA (2.5 2 eq.) in DCM (30 mL) was added Bz20 (2.01 g, 8.42 mmol) at 0 °C and stirred for 3 h. The solution was quenched with 1.0 M HCl and extracted with DCM. The DCM layer was dried over high vacuum pump to give crude 338-2 (3.3 g, 85%).
[1122] To a solution of 338-2 (200 mg, 0.43 mmol) in anhydrous CH3CN (2 mL) was added TPSC1 (260 mg, 0.86 mmol), TEA (95 mg, 0.94 mmol) and DMAP (106.4 mg, 0.86 mmol), and the mixture was stirred for 2 h at RT. Completion of the reaction was determined by TLC. Ammonium solution (1.33 mL) was added at RT, and left to stir for 2 h. The mixture was washed with 1.0 M HCl solution, and extracted with DCM. The DCM layer was dried over anhydrous Na2S04> and concentrated to dryness at low pressure. The residue was purified by column chromatography to provide 338-3 (150 mg, 75%).
[1123] Compound 338-3 (100 mg, 0.21 mmol) in 80% formic acid (2 mL) was stirred at RT for 3 h. Completion of the reaction was determined by TLC. The mixture was concentrated at low pressure, and the residue was purified by column chromatography to give 338-4 (50 mg, 58%).
[1124] Compound 338-4 (270 mg, 0.68 mmol) was dissolved in MeOH/NH3 (10 mL), and the resulting solution was stirred for 6 h. The mixture was concentrated at low pressure. The crude product was washed with DCM, and the solution was lyophilized to give 338a (105 mg, 53.8%). ESI-MS: m/z 290.4 [M+H]+.
EXAMPLE 245
Figure imgf000466_0001
339-4 339a
[1125] Compound 339-1 (3.0 g, 8.87 mmol) was co-evaporated with toluene (30 mL). To a solution of 339-1 (3.0 g, 8.87 mmol), DMAP (108mg, 0.88 mmol) and TEA (2.5 mL, 2 eq.) in DCM (30 mL) was added Bz20 (2.01 g, 8.87 mmol) at 0 °C. The solution was stirred for 3 h. The reaction was quenched with 1.0 M HCl solution, and extracted with DCM. The DCM layer was dried over high vacuum pump to give crude 339-2 (3.5 g, 85%) as a solid.
[1126] To a solution of 339-2 (200 mg, 0.45 mmol) in anhydrous CH3CN (2 mL) was added TPSC1 (260 mg, 0.90 mmol), TEA (99 mg, 0.99 mmol) and DMAP (106.4 mg, 0.90 mmol). The mixture was stirred at RT for 2 h. Completion of the reaction was determined by TLC. An ammonium solution (1.33 mL) was added at RT, and the mixture was stirred for 2 h. The mixture was washed with 1.0 M HC1 solution, and extracted with DCM. The DCM layer was dried over anhydrous Na2S04> and concentrated to dryness at low pressure. The crude product was purified by column chromatography to provide 339-3 (150 mg, 75%).
[1127] Compound 339-3 (100 mg, 0.23 mmol) in 80% formic acid (2 mL) was stirred at RT for 3 h. Completion of the reaction was determined by TLC. The mixture was concentrated at a low pressure. The crude product was purified by column chromatography to give 339-4 (50 mg, 58%).
[1128] Compound 339-4 (270 mg, 0.72 mmol) was dissolved in MeOH/NH3 (10 mL), and the solution was stirred for 6 h. The mixture was concentrated at low pressure. The crude product was washed with DCM, and the solution was lyophilized to give 339a (105 mg, 53.8%). ESI-MS: m/z 675.4 [2M+H]+.
EXAMPLE 246
COMPOUNDS 356a-371a
Figure imgf000467_0001
Figure imgf000468_0001
-467- [1129] Compounds 356a-371a were prepared as described in PCT Publication No. WO 2014/96680, published June 27, 2014, which are hereby incorporated by reference for the limited purpose its description of 356a-371a and methods of synthezing the same. 356a: ESI-LCMS: m/z 593.0 [M+H]+. 357a: ESI-LCMS: m/z 614.1 [M+H]+. 358a: ESI- LCMS: m/z 582.1 [M+H]+. 359a: ESI-LCMS: m/z 596.1 [M+H]+. 360a: ESI-LCMS: m/z 672.0 [M+H]+. 361a: ESI-LCMS: m/z 589.0 [M+H]+. 362a: ESI-LCMS: m/z 606.0 [M+H]+. 363a: ESI-LCMS: m/z 604.1 [M+H]+. 364a: ESI-LCMS: m/z 568 [M+H]+, 590 [M+Na]+. 365a: ESI-LCMS: m/z 680 [M+H]+. 366a: ESI-LCMS: m/z 578.0 [M+Na]+. 367a: ESI-MS: m/z 633.1 [M + H]+. 368a: ESI-LCMS: m/z 604 [M+Na]+, 582 [M+H]+. 369a: ESI-LCMS: m/z 582.0 [M+H]+. 370a: ESI-LCMS: m/z 618 [M+Na]+. 371a: ESI- LCMS: m/z 568.1 [M+H]+.
EXAMPLE 247
COMPOUND 373a
Figure imgf000469_0001
[1130] Compound 296a (30 mg, 0.1 mmol) was dissolved in a mixture of CH3CN (2 mL) and N-methylimidazole (200 uL). Phosphorochloridate (100 mg, 0.3 mmol) was added, and the mixture was kept overnight at 40°C. The temperature was increased to 65°C and heated for 1 h. The mixture was distributed between water and EA. The organic layer was separated, washed with brine, dried and evaporated. The azido-phosphoramidate was purified by RP HPLC on Synergy 4 micron Hydro-RP column (Phenominex). A linear gradient of methanol from 30% to 100% in 50mM triethylammonium acetate buffer (pH 7.5) was used for elution. The azido-phosphoramidate (8 mg) was dissolved in pyridine/Et3N (3 mL, 8:1 v/v) and cooled to 0°C. H2S gas was bubbled through the solution for 10 min, and the reaction was kept for 1 h at R.T. The solvents were evaporated, and the residue isolated by RP HPLC. The corresponding fractions were combined, concentrated and lyophilized 3 times to remove excess of buffer, to provide 373a (1.2 mg) as mixture Rp and Rs isomers. MS: m/z 544.1 [M+l]+. EXAMPLE 248
COMPOUND 347a
Figure imgf000470_0001
[1131] A mixture of 347-1 (120 g, 0.26 mol) and IBX (109 g, 0.39 mol) in CH3CN (2.0 L) was heated to refluxed and stirred for 12 h. After cooling down to R.T., the mixture was filtered. The filtrate was concentrated to dryness at low pressure.
[1132] 347-2 (130 g, crude, 0.26 mol) was co-evaporated with anhydrous toluene (3x). Vinyl magnesium bromide (700 mL, 0.78 mol, 1.0 N in THF) was added dropwise into a solution of 347-2 in THF (300 mL) over 30 min at -78 °C, and the mixture was stirred for about 1 h at R.T. When the starting material was consumed as determined by TLC, the mixture was poured into a sat. NH4C1 solution. The organic layer was washed with brine, dried over anhydrous a2S04, and concentrated at low pressure.
[1133] To a solution of the above residue (170 g, crude, 0.346 mol) in anhydrous CH2C12 was added TEA (105 g, 1.04 mol), DMAP (84 g, 0.69 mol), and benzoyl chloride (146 g, 1.04 mol), and stirred for 12 h at R.T. The mixture was diluted with CH2CI2 and washed with sat. aq. NaHC03. The combined aq. phase was extracted with DCM (100 mL). The combined organic phase was dried over anhydrous a2S04, filtered and evaporated to dryness under reduced pressure. The residue was purified by column chromatography using EA in PE (10% to 50%) to get 347-3 (107 g, 52%).
[1134] A mixture of uracil (co-evaporated with toluene (2x)) and NOBSA (81.4 g, 0.4 mol) and CH3CN (150 mL) was stirred to reflux for 1.5 h. After cooling to R.T., the mixture was treated with 347-3 (59 g, 0.1 mol) and TMSOTf (155 g, 0.7 mol). The mixture was heated to 60-70 °C, and stirred for 12 h. After cooling to R.T., the mixture was poured into a sat. NaHC03 solution, and a solid precipitated. After filtration, pure 347-4 was obtained as a white solid (40 g, 69%) was obtained.
[1135] To a solution of 347-4 (50 g, 0.086 mol), K2C03 (17.8 g, 0.13 mol) in DMF (50 mL) was added PMBC1 (16 g, 0.1 mol) at 0 °C, and stirred at R.T. for 12 h. The reaction was quenched with water, and extracted with EA (3 x 100 mL). The organic phase was washed with brine, dried over anhydrous Na2S04, and concentrated at low pressure to give 347-5 (65 g).
[1136] A mixture of 347-5 (65 g, 0.086 mol) and NaOMe (16.8 g, 0.3 mol) in MeOH:DCM (500 mL, v:v = 4: 1) was stirred at R.T. for 2.5 h. The reaction was quenched with C02 (solid) and concentrated at low pressure. The residue was dissolved in EA (200 mL). The solution was washed with water, dried over anhydrous Na2S04, and concentrated at low pressure. The residue was purified by column chromatography (4% MeOH in DCM) to give 347-6 as a yellow foam (25 g, 75%).
[1137] To a mixure of 347-6 (25.5 g, 0.065 mol) in DMF (60 mL) was added NaH (10.5 g, 0.26 mol, 60% in coal oil) BnBr (36.3 g, 0.21 mol) in a ice bath, and stirred at R.T. for 12 h. The reaction was quenched with NH4CI (aq.), and the mixture was diluted with EA (150 mL). The solution was washed with brine, dried over anhydride Na2S04, and concentrated at low pressure. The residue was purified by sil-gel (15% EA in PE) to give 347-7 (20 g, 46%).
[1138] To a solution of 347-7 (20 g, 0.03 mol) and NMMO (7 g, 0.06 mol) in THF:H20 (100 mL, v:v = 5: 1) was added Os04 (2.6 g, 0.01 mol) at .T., and stirred at R.T. for 24 h. The reaction was quenched with sat. Na2S203 solution, and extracted with EA (3 x 80 mL). The organic layer was washed with brine, dried over anhydrous Na2S04, and concentrated at low pressure.
[1139] To a solution of diol-product (0.03 mol) in MeOH:H20:THF (v:v:v = 170 mL:30 mL:50 mL) was added NaI04 (9.6 g, 0.045 mol) at R.T., and stirred at R.T. for 2 h. After filtration, the filter was used directly for the next step.
[1140] The previous solution was treated with NaBH4 (1.8 g, 0.048 mol) at 0 °C, and stirred at R.T. for 30 min. The reaction was quenched with HCl (1 N) solution. The mixture was extracted with EA (3 x 60 mL). The organic phase was washed with brine, dried over anhydrous Na2S04, and concentrated at low pressure. The residue was purified by sil- gel (25 % EA in PE, TLC: PE:EA = 2: 1 , Rf = 0.6) to give 347-8 (12 g, 61% over 3 steps).
[1141] To a solution of 347-8 (14 g, 21 mmol) and DMAP (5.1 g, 42 mmol) in DCM (60 mL) was added MsCl (3.1 g, 27 mmol) at 0 °C, and stirred at R.T. for 40 min. The reaction was quenched with sat. NaHC03 solution. The organic phase was washed with HCl (0.2 N) solution, dried over anhydrous Na2S04, and concentrated at low pressure. The residue was purified by sil-gel (25% EA in PE) to give the Ms-product (14 g, 90%) as a white solid.
[1142] Ms-product (41 g, 55 mmol) was treated with TBAF (Alfa, 1 N in THF, 500 mL), and stirred at 70-80 °C for 3 days. The mixture was concentrated at low pressure. The residue was dissolved in EA (200 mL). The solution was washed with brine, dried over anhydrous Na2S04, and concentrated at low pressure. The residue was purified by sil-gel column (25% EA in PE) to give 347-9 (9.9 g, 27%).
[1143] To a solution of 347-9 (6.3 g, 9.45 mmol) in CAN:H20 (v:v = 3 : 1 , 52 mL) was added CAN (15.5 g, 28.3 mmol), and stirred at R.T. overnight. The reaction was quenched with water, and extracted with EA (3 x 80 mL). The organic phase was washed with brine, dried over anhydrous Na2S04, and concentrated at low pressure. The residue was purified by column chromatography (25% EA in PE) to give 347-10 (3.6 g, 71 %) as a yellow oil.
[1144] To a solution of 347-10 (2.4 g, 4.4 mmol) in anhydrous DCM (10 mL) was added BC13 (1 N, 30 mL) at -70 °C, and stirred for 2 h at -70 °C. The reaction was quenched with MeOH at -70 °C. The mixture was concentrated directly under 35 °C at low pressure. The residue was purified by column chromatography (50%o EA in PE to 100% EA) to give 347-11 (1.2 g, 86%). ES1-MS: m/z 277.1 [M+H]+.
[1145] To a solution of PPh3 (3.37 g, 12.8 mmol) in py. (15 mL) was added 12 (3.06 g, 12 mmol) at 0 °C, and stirred at R.T. for 30 min until the orange color appeared. The mixture was cooled to 0 °C, and treated with 347-11 (2.2 g, 8 mmol) in pyridine (5 mL), and stirred at R.T. under N2 for 12 h. The reaction was quenched with Na2S203 (sat., 30 mL), and extracted with EA (3 x 60 mL). The organic phase was washed with brine, dried over anhydrous Na2S04, and concentrated at low pressure. The residue was purified by column chromatography (1% to 2% MeOH in DCM) to give 347-12 (1.8 g, 58%) as a light yellow foam.
[1146] A mixture of 347-12 (1.35 g, 3.5 mmol) and DBU (1.06 g, 7 mmol) in THF:CH3CN (v:v = 10 mL:5 mL) was stirred at 60-70 °C for 2 h. The mixture was diluted with EA (50 mL), and adjusted to pH=7-8 with HC1 (0.2 N) solution. The organic phase was washed with brine, dried over anhydrous Na2S04, and concentrated at low pressure. The residue was purified by column chromatography to give 347-13 (0.5 g, 55%).
[1147] To a solution of 347-13 (670 mg, 2.6 mmol) in CH3CN (6 mL) was added NIS (730 mg, 3.25 mmol) and 3HF TEA (335 mg, 2.1 mmol) at 0 °C, and stirred at R.T. for 2 h. The reaction was quenched with NaHC03 (sat.) solution and Na2S203 (sat.) solution, and extracted with EA (3 x 30 mL). The organic phase was washed with brine, dried over anhydrous Na2S04, and concentrated at low pressure. The residue was purified by column chromatography (50% EA in PE and 2% MeOH in DCM) to give 347-14 (1.2 g, 80%) as a brown oil.
[1148] To a solution of 347-14 (1.0 g, 2.47 mmol), DMAP (0.75 g, 6.2 mmol) and TEA (0.75 g, 7.42 mmol) in DCM (10 mL) was added BzCl (1.15 g, 8.16 mmol) in DCM (1 mL) at 0 °C, and stirred at R.T. for 12 h. The reaction was quenched with NaHC03 (aq.) solution. The organic phase was washed with brine, dried over anhydrous Na2S04, and concentrated at low pressure. The residue was purified by column chromatography (30% EA in PE) to give 347-15 (850 mg, 85%).
[1149] A mixture of 347-15 (600 mg, 1 mmol), BzONa (1.45 g, 10 mmol), and 15-crown-5 (2.2 g, 10 mmol) in DMF (25 mL) was stirred at 90-100 °C for 24 h. The mixture was diluted with EA (20 mL). The solution was washed with brine, dried over anhydrous Na2SC>4, and concentrated at low pressure. The residue was purified by column chromatography (30% EA in PE) to give 347-16 (275 mg, 37%) as a light yellow foam.
[1150] A mixture of 347-16 (250 mg, 0.41 mmol) in NH3 MeOH (7 N, 5 mL) was stirred at R.T. for 15 h. The mixture was concentrated at low pressure directly. The residue was purified by column chromatography (50% EA in PE) and re-purified by prep-HPLC to give 347a (33 mg, 25%) as a white solid. ESI-MS: m/z 295.1 [M+H]+.
EXAMPLE 249
Figure imgf000474_0001
271-9
[1151] To a solution of 271-1 (5 g, 0.02 moL), cyclopentanone (5.25 g, 0.06 moL, 4.5 eq) and trimethoxymethane (6.52 g, 0.06 moL, 3 eq) in MeCN (80 mL) was added TSOH»H20 (1.95 g, 0.01 moL). The mixture was heated at 80 °C overnight. The mixture was concentrated at low pressure. The residue was purified by column chromatography (20% EA in PE) to give 271-2 (3.8 g, 60%) as a white oil.
[1152] To a solution of 271-2 (5 g, 0.16 moL) in MeCN (50 mL, anhydrous) was added IBX (5.33 g, 0.019 moL, 1.11 eq.) at R.T. The mixture was heated at 80 °C for 5 h. The mixture was cooled to R.T and filtered. The filtrate was concentrated to give 271-3 (4.5 g, purity: 90 %).
[1153] To a solution of 271-3 (5 g, 0.016 moL) and CH20 (3.6 mL) in 1,4- dioxane (50 mL) was added NaOH solution (1 1.3 mL, 2 N) at R.T. The mixture was stirred for 5 h at R.T. NaBH4 (1.48 g, 0.038 moL) was added at 0 °C, and stirred for 1 h. The reaction was quenched with H20 (30 mL) and extracted with EA (3 x 30 mL). The organic layer was washed by brine, dried over anhydrous Na2S04, and concentrated at low pressure. The residue was purified by column chromatograph (50% EA in PE) to give 271-4 (2.1 g, 38%) as a white oil.
[1154] To a stirred solution of 271-4 (3 g, 0.0088 moL) and pyridine (3.51 mL, 5 eq) in DCM (27 mL) was added Tf20 (3.27 mL, 0.019 moL) at -35 °C. The mixture was slowly warmed to 0°C and stirred for 2 h at 0 °C. The mixture was washed with sat. NaHC03 solution and extracted with DCM (3 x 30 mL). The organic layer was separated and washed by brine, dried over anhydrous Na2S04, and concentrated at low pressure. The residue was purified by column chromatography (5% EA in PE) to give 271-5 (2.65 g, 39%) as a white oil.
[1155] To a solution of 271-5 (12.3 g, 0.02 moL) in DMF (20 mL) was added NaH (0.977 g, 0.024 moL) at 0 °C. The mixture was stirred for 3 h at R.T. The mixture was treated with LiCl (2.6 g, 0.062 moL), and then stirred for 2 h. The reaction was quenched with H20 (20 mL) and extracted with EA (3 x 30 mL). The organic layer was washed with brine, dried over anhydrous Na2S04, and concentrated at low pressure. The residue was purified by column chromatography (20% EA in PE) to give 271-6 (3.11 g, 45%) as a white oil.
[1156] To a solution of 271-6 (12 g, 0.035 moL) in THF (120 mL) was added NaOH solution (38.8 mL, 0.038 moL) at 0 °C, and stirred for 3 h. at R.T. The mixture was adjusted to pH=7 with HCl (1.0 N) solution, and extracted with EA (3 x 80 mL). The organic layer was washed with brine, dried over anhydrous Na2S04, and concentrated at low pressure. The residue was purified by column chromatography to give 271-7 (7.58 g, 60%) as a white solid.
[1157] 271-7 (3 g, 8.0 mmoT) was co-evaporated with toluene (30 mL). To a solution of 271-7 (3 g), DMAP (100 mg) and TEA (2.5 mL, 2 eq) in DCM (30 mL) was added Bz20 (2.01 g, 1 eq) at 0°C> The mixture was stirred for 3 h at R.T. The reaction was quenched with H20, and extracted with DCM (3 x 30 mL). The DCM layer was dried over anhydrous Na2S04, and concentrated at low pressure. The residue was purified by column chromatography (5% EA in PE) to give 271-8 (3.1 g, 80%) as a white solid.
[1158] To a solution of 271-8 (200 mg, 0.43 mmoL) in CH3CN (2 mL, anhydrous) was added TPSC1 (260 mg, 2 eq.), TEA (0.13 mL) and DMAP (106.4 mg, 2 eq). The mixture was stirred for 2 h at R.T.
[1159] The mixture was treated with ΝΗ3 · H20 (33%, 1.33 mL), and stirred for 2 h at R.T. The reaction was quenched with 1 N HCl (30 mL), and extracted with DCM (3 x 30 mL). The DCM layer was dried over anhydrous Na2S04 and concentrated at low pressure. The residue was purified by column chromatography to give 271-9 (85 mg, 50%) as a white solid.
[1160] 271-9 (100 mg, 0.216 mmoL) was treated with HCOOH (7 mL, 80%), and stirred for 3 h at R.T. The mixture was concentrated at low pressure. The residue was purified by column chromatography (90% EA in PE) to give 271-10 (51 mg, 60%) as a white solid.
[1161] 271-10 (270 mg, 0.68 mmoL) was treated with NH3 in MeOH (10 mL) at - 60°C. The mixture was warmed to R.T. The mixture was stirred for 6 h. at R.T. The mixture was concentrated at low pressure. The residue was purified by reverse HPLC to give 271a (60 mg, 30%) as a white solid. EXAMPLE 250
COMPOUND 344a
Figure imgf000477_0001
344-1
[1162] Compound 344-1 (50 mg, 0.13 mmol) was dissolved in 80% formic acid (3 mL) and heated at 50 °C overnight. The solvent was evaporated, co-evaporated with water to remove the acid. The residue was dissolved in a mixture of methanol and triethylamine (3 mL, 4: 1 v:v). After 0.5 h, the solvent was evaporated. The nucleoside was lyophilized from water to yield 344a (40 mg, 97%). MS: mz 315.5 [M-l].
EXAMPLE 251
Figure imgf000477_0002
[1163] To an ice cold solution of 294-1 (50 mg, 0.16 mmol) and N- methylimidazole (50 μL, 0.64 mmol) in acetonitrile (1.5 mL) was added a solution of 294-2 (0.1 g, 0.28 mmol) in acetonitrile (0.15 mL). The mixture stirred at 5 °C for 1 h. The reaction was quenched with EtOH, and the mixture concentrated. The evaporated residue was partitioned between EtOAc and citric acid (0.5 N). The organic layer was washed with sat. aq. NaHC03 and brine, and then dried with Na2S04. Purification by RP-HPLC (A: water, B: MeCN) yielded 294a (30 mg, 30%) as a white powder. MS: m/z 625 [M+l]. EXAMPLE 252
COMPOUND 345a
Figure imgf000478_0001
[1164] stirred solution of 345-1 (15.0 g, 50.2 mmol) in anhydrous pyridine
(180 mL) was added BzCl (23.3 g, 165.5 mmol) at 0 °C under N2 atmosphere. The mixture was stirred for 12 h at .T. The mixture was diluted with EA and washed with sat.NaHC03 aq. solution and brine. The organic layer was dried with anhydrous Na2S04 and filtered. The organic phase was concentrated to dryness at low pressure. The residue was purified by column chromatography (15% EtOAc in PE) to give 345-2 (27 g, 93.5%) as a white solid.
[1165] Compound 345-2 (27.0 g, 47 mmol) was dissolved in 90% HOAc (250 mL). The mixture was stirred at 1 10 °C for 12 h. The solvent was removed under reduced pressure. The residue was diluted with EA and washed with sat. NaHC03 aq. solution and brine. The organic layer was dried over anhydrous Na2S04 and filtered. The organic phase was concentrated at low pressure to give crude 345-3 (21.7 g, crude) as a light yellow solid.
[1166] Compound 345-3 (21.7 g, 45.9 mmol) was treated with NH3/MeOH (600 mL) and stirred at R.T. for 12 h. The solvent was concentrated under reduced pressure to give the crude product. The crude product was purified by column chromatography (5% MeOH in DCM) to give 345-4 (12 g, 99%) as a white solid.
[1167] To a stirred solution of 345-4 (15.0 g, 56.8 mmol) in anhydrous pyridine (200 mL) was added imidazole (7.7g, 1 13.6 mmol) and TBSC1 (9.4 g, 62.5 mmol) at R.T. The mixture was stirred at R.T. for 12 h. The solvent was removed under reduced pressure. The residue was diluted with EA and washed with sat. NaHC03 aq. solution and brine. The organic phase was dried over anhydrous Na2S04 and filtered. The organic phase was concentrated at a low pressure to give crude 345-5 (21.3 g, crude) as a light yellow solid.
[1168] To a stirred solution of 345-5 (21.3 g, crude) in anhydrous DCM (200 mL) was added collidine (6.8 g, 56.8 mmol), MMTrCl (17.8 g, 56.8 mmol) and AgN03 (9.6 g, 56.8 mmol) at R.T. The mixture was stirred at R.T. for 12 h. The solid was removed by filtration, and the filtrate was washed with sat.NaHC03 aq. solution and brine. The organic layer was dried over anhydrous Na2S04 and concentrated at low pressure. The residue was purified by column chromatography (5% EA in PE) to give 345-6 (32 g, 87%) as a light yellow solid.
[1169] Compound 345-6 (32 g, 49.2 mmol) was dissolved in a solution of TBAF in THF (1M, 4.0 eq) at R.T. The mixture was stirred at R.T. for 12 h. The solvent was removed under reduced pressure. The residue was diluted with EA and washed with brine. The organic layer was dried over anhydrous Na2S04 and concentrated at low procedure. The residue was purified by column chromatography (33% EA in PE) to give 345-7 (21.0 g, 79%) as a white solid.
[1170] To a stirred solution of 345-7 (21.0 g, 38.8 mmol) in anhydrous DCM (200 mL) was added pyridine (9.2 mL, 1 16.4 mmol) and Dess-Martin periodinane (49 g, 1 16.4 mmol) at 0 °C. The mixture was stirred at R.T. for 4 h. The reaction was quenched with sat. Na2S203 solution and sat. NaHC03 aq. solution. The organic layer was washed with brine, dried over anhydrous Na2S04 and concentrated under reduced pressure to give a crude product (21.0 g).
[1171] The crude product (21.0 g, crude) was dissolved in dioxane (200 mL) and treated with 37% aqueous formaldehyde (20 mL, 194 mmol) and 2.0 N aqueous sodium hydroxide (37.5 mL, 77.6 mmol). The mixture was stirred at R.T. for 12 h. The solution was treated with NaBH4 (8.8 g, 232.8 mmol). After stirring for 0.5 h at R.T., the reaction was quenched with ice water. The mixture was diluted with EA and washed with brine. The organic phase was dried over anhydrous Na2S04 and concentrated at low pressure. The residue was purified by column chromatography (4% MeOH in DCM) to give 345-8 (10.0 g, 50.5%) as a white foam.
[1172] Compound 345-8 (4.8 g, 8.5 mmol) was co-evaporated with toluene (2x). The residue was dissolved in anhydrous DCM (45 mL) and pyridine (6.7 g, 85 mmol). The solution was cooled to 0 °C. Triflic anhydride (4.8 g, 18.7 mmol) was added dropwise over 10 mins. At 0 °C, the mixture was stirred over 40 mins and monitored by TLC (PE: EA= 1 : 1). The mixture was diluted with CH2C12 (50 mL). The solution was washed with sat. NaHC(¾ solution. The organic phase was washed with brine, dried over anhydrous Na2S04, and concentrated at low pressure. The residue was purified by column chromatography (PE: EA = 100:0-4: 1) to give 345-9 (6.1 g, 86.4%) as a brown foam.
[1173] Compound 345-9 (6.1 g, 7.3 mmol) was dissolved in MeCN (25 mL). A solution of TBAF in THF (1M, 25 mL) was added at R.T. The mixture was stirred at R.T. for 12 h. A solution of TBAF in THF (1M, 15 mL) was added, and the mixture was stirred for 4 h. The mixture was treated with aq. NaOH (IN, 14.6 mmol) and the mixture was stirred for 1 h. The reaction was quenched with water and extracted with EA. The organic phase was washed with brine, dried over anhydrous Na2S04 and concentrated at low pressure. The residue was purified by column chromatography (50% EA in PE) to give 345- 10 (2.1 g, 50.6%) as a white solid.
[1174] Compound 345-10 (700 mg, 1 .23 mmol) was dissolved in 80% HCOOH (40 mL) at R.T. The mixture was stirred at R.T. for 2 h. The reaction was quenched with MeOH (40 mL) and stirred for 12 h. The solvent was concentrated at low pressure, and the residue was purified by column chromatography (5% MeOH in DCM) to give 345a (210 mg, 57.7%) as a white solid. ESI-MS: m/z 296.9 [M + H]+. EXAMPLE 253
Figure imgf000481_0001
[1175] 243-1 was prepared from commercially available 3 -hydroxy oxetane (5.0 g) using the procedure described for preparing 170-2 (5.6 g). ^-NMR (CDC13) δ 5.73 (s,2H) , 5.48-5.51 (m,lH), 4.90 (d,2H), 4.72 (d, 2H).
[1176] 243-2 was prepared from 243-1 using the procedure described for preparing 170-3 (8.0 g). !H-NMR (CDC13) δ 5.95 (s,2H) , 5.48-5.51 (m,lH), 4.90 (d,2H), 4.72 (d, 2H).
[1177] Benzylphosphate (silver salt) and 243-2 (8.0 g) were reacted as described for preparing 170-4 to yield purified 243-3 (1.92 g). !H-NMR (CD3CN): δ 7.39-7.42 (m, 5H), 5.62 (d, 4H), 5.39-5.42 (m, 2H), 5.15 (d, 2H), 4.80-4.83 (m, 4H), 4.56-4.60 (m, 4H). 31P-NMR (CD3CN): δ - 4.55 ppm.
[1178] 243-3 (970 mg, 2.16 mmole) was dissolved in methanol containing triethylamine (0.3 mL, 2.16 mmole). After 3 h at R.T, the solvents were removed in vacuo to give crude 243-4 that was used without further purification.
[1179] 243-5 (400 mg; 1.2 mmole) and 243-4 (900 mg, 2.16 mmole; 1.5x) were coevaporated with pyridine (2x) and toluene (2x), and then dissolved in THF (8 mL) at 0°C. Diisopropylethylamine (DIPEA) (0.82 mL; 4 eq), bis(2-oxo-3-oxazolidinyl) phosphinic chloride (Bop-Cl) (0.6 g; 2 eq), nitrotriazole (0.266 g, 2 eq) were added. The mixture kept at 0 °C for 2 h. The mixture was diluted with EA (50 mL) and extracted with saturated sodium bicarbonate (2 x 50 mL) and dried over sodium sulfate. The solvents were removed in vacuo. The residue was purified by flash chromatography using a 10 to 100% gradient of EA in hexane to give purified 243-6 (175 mg, 0.6 mmol).
[1180] Purified 243-6 was dissolved in 80% aq. HCOOH (20 mL) and kept at 20°C for 1 h. After cooling to .T., the solvent was removed in vacuo, and the residue coevaporated with toluene (3 x 25 mL). The residue was purified by flash chromatography using a 0 to 20% gradient of MeOH in DCM to give purified 243a (26 mg). ESI-LCMS: m/z 589.6 [M-H]\
EXAMPLE 254
Figure imgf000482_0001
[1181] Nucleoside 244-1 (from Wuxi) (44 mg, 0.15 mmol) was dissolved in a mixture of trimethyl phosphate (2 mL) and dry pyridine (0.5 mL). The mixture was evaporated in vacuum for 15 min at 42°C, than cooled to R.T. N-Methylimidazole (0.027 mL, 0.33 mmol) was added followed by POCl3 (0.027 mL, 0.3 mmol). The mixture was kept at R.T. The reaction was monitored by LC/MS in 0-50% gradient. After 4 h, the reaction was complete. The reaction was quenched with 2M triethylammonium acetate buffer (2 mL), pH7.5 (TEAA). 244-2 was isolated on prep-HPLC (Phenomenex Synergi 4u Hydro-RP 250x21.2 mm) using a gradient of 0 - 30% ACN in 50 mM TEAA.
[1182] 244-2 (triethylammonium salt; 45 mg, 0.1 mmol) was dried by repeated co-evaporation with dry pyridine (3x). 244-2 was dissolved in dry pyridine (1 mL) and the solution added dropwise into a boiling solution of diisopropylcarbodiimide (63 mg, 0.5 mmol) in pyridine (4 mL) over 2.5 h. The mixture was heated under reflux for 1 h. After being cooled to 25°C, the reaction was quenched with 2M TEAA buffer (2 mL) and kept at 25°C for 1 h. The solution was concentrated to dryness, and the residual pyridine removed by coevaporated with toluene (3 x 2 mL). 244-3 was isolated on prep-HPLC (Phenomenex Synergi 4u Hydro-RP 250x21.2 mm) using a gradient of 0 - 30% ACN in 50 mM TEAA.
[1183] 244-3 (triethylammonium salt; 26 mg, 0.045 mmol) was dissolved in dry DMF (0.5 mL) at R.T. under argon. To the stirred solution was added N,N- diisopropylethylamine (40 uL, 0.22 mmol) followed by chloromethyl isopropyl carbonate (35 mg, 0.22 mmol). The mixture was stirred at 65 °C for 18 h. The mixture was evaporated to dryness, and the residue was purified by silica column using a 0-15% gradient of MeOH in CH2CI2. The fractions having 244 were pooled, and the mixture was concentrated to dryness to give 244 (2.3 mg). ESI-LCMS: m/z 467.5 [M-H]".
EXAMPLE 255
COMPOUND 295a
Figure imgf000483_0001
Figure imgf000483_0002
[1184] To a stirred solution of 295-1 (180 mg, 0.16 mmol) in anhydrous CH3CN (2.0 mL) was added N-methylimidazole (53.4 μί, 0.65 mmol) at 0 °C (ice/water bath). A solution of phenyl (cyclohexyloxy-L-alaninyl) phosphorochloridate (101 mg, 0.29 mmol) dissolved in CH3CN (0.5 mL), prepared according to a general procedure (McGuigan et al. J. Med. Chem. 2008, 51, 5807), was added. The solution was stirred at 0 to 5 °C for 3 h. N- methylimidazole (50 μί) at 0 C (ice/water bath) followed by solution of phenyl (cyclohexyloxy-L-alaninyl) phosphorochloridate (52 mg, dissolved in 0.5 mL of CH3CN) were added. The mixture was stirred at .T. for 16 h. The mixture was cooled to 0 to 5 °C and diluted with EA. Water (5 mL) was added. The solution was washed with 1.0M citric acid, sat. aq. NaHC03 and brine, and dried with MgS04. The residue was purified on silica (10 g column) with DCM/MeOH (0-10% gradient) to give 295-2 (96.8 mg, 64 %) as foam.
[1185] 295-2 (95 mg, 0.11 mmol) was dissolved in anhydrous CH3CN (0.5 mL), and 4N HC1 in dioxane (77 μί, 0.3 mmol) was added at 0 to 5 °C. The mixture was stirred at R.T. for 30 mina, and anhydrous EtOH (100 μΕ) was added. The solvents were evaporated at R.T. and co-evaporated with toluene (3x). The residue was purified on RP-HPLC with H20/CH3CN (50-100% gradient) and lypholized to give 295a (37.7 mg, 52.5%) as a white foam. ESI-LCMS: m/z = 653.2 [M+H]+, 1305.4 [2M+H]+.
[1186] To a solution of 295-A (56 g, 0.144 mol) in anhydrous THF (600 mL) was added a solution of lithium tri-tert-butoxyaluminohydride (216 mL, 1M, 0.216 mol) dropwise at -78 °C under N2 for 30 mins. The solution was stirred between -78 °C to 0 °C for 1 h. The reaction was quenched with sat.NH4Cl solution and extracted with EA (3 x 200 mL). The combined organic layers were dried over anhydrous Na2S04, filtrated and concentrated to give 295-B (52 g, 92%) as a colorless oil.
[1187] To a stirred solution of PPh3 (45.7 g, 0.174 mol) in CH2C12 (200 mL) was added 295-B (34 g, 0.087 mol) at -20 °C under N2. The mixture was stirred for 15 mins. CBr4 (58 g, 0.174 mol) was added dropwise while maintaining the temperature between -25 °C and -20 °C under N2 flow. The mixture was then stirred below -17 °C for 20 mins. The mixture was treated with silica gel. The solution was filtered through cold silica column gel and washed with cold elute (PE:EA=50: 1 to 4:1). The combined filtrates were concentrated under reduced pressure at R.T. to give the crude oil product. The residue was purified by silica column gel (PE:EA=50: 1 to 4:1) to give 295-C (a-isomer, 24 g, 61%) as a colorless oil. 1H-NMR (CDCI3, 400 MHz), 3 = 8.16 (d, J = 6.8 Hz, 2H), 8.01 (d, J = 7.6 Hz, 2H), 7.42- 7.62 (m, 6H), 6.43 (s, 1H), 5.37 (d, J= 4.4 Hz, 1H), 4.68-4.86 (m, 3H), 1.88 (s, 3H).
[1188] A mixture of 6-Cl-guanosine (80.8 g, 0.478 mol) and t-BuOK (57 g, 0.509 mol) in t-BuOH (1 L) was stirred at 30-35 °C for 30 mins. 295-C (72 g, 0.159 mol, in MeCN 500 niL) was added at R.T. and the mixture was heated to 70 °C and stirred for 3 h. The reaction was quenched with sat. NH4CI solution, and extracted with EA (3 x 300 mL). The combined organic layers were dried over anhydrous Na2S04 and evaporated at low pressure. The residue was purified by silica gel column (PE:EA = 4: 1 to 2: 1) to give 295-D (14 g, 16%).1H-NMR (CDCI3, 400 MHz) δ 7.93-8.04 (m, 4H), 7.90 (s, 1H), 7.30-7.50 (m, 6H), 6.53 (d, J = 8.8 Hz, 1H), 6.36 (s, 1H), 5.35 (s, 2H), 5.06-5.10 (m, 1H), 4.81-4.83 (m, 1H), 4.60- 4.64 (m, 1H), 1.48 (s, 3H).
[1189] To a solution of 295-D (14 g, 25.9 mmol) in DCM (15 mL) was added AgN03 (8.8 g, 51.8 mmol) and collidine (6.3 g, 51.8 mmol) and MMTrCl (12.1 g, 38.9 mmol). The mixture was stirred at R.T. for 1 h. The reaction was quenched with MeOH (5 mL). After filtration, the filter was washed with brine, dried over anhydrous Na2S04, and concentrated at low pressure. The residue was purified by silica gel column (PE:EA = 10:1 to 3:1) to give 295-E (16 g, 80%). 1H-NMR (CDC13, 400 MHz) δ = 8.05-8.07 (m, 4H), 7.93 (s, 1H), 7.18-7.57 (m, 18H), 6.77 (d, J = 8.8 Hz, 2H), 6.71 (s, 1H), 5.86 (s, 1H), 5.6 (s, 1H), 4.77 (d, J=10.0 Hz, 1H), 4.67-4.76 (m, 1H), 4.55-4.59 (m, 1H), 3.75 (s, 1H), 1.06 (s, 3H).
[1190] Sodium (170 mg, 7.38 mmol) was dissolved in dry EtOH (5 mL) at 70 °C, and the solution was cooled to 0 °C. 295-E (1 g, 1.23 mmol) was added in portions at 0 °C. The mixture was stirred for 8 h at R.T. The mixture was neutralized with C02 to pH 7.0, and concentrated at low pressure. The residue was purified by prep-HPLC(10% CH3CN/H2O) to give 295-1 ( 0.4 g, 53%) as a yellow solid. ESI-MS: m/z 616 [M+H]+.
EXAMPLE 256
Figure imgf000485_0001
[1191] Compound 379a was prepared according to the scheme provided above. Compounds 379-3 and 379a can be obtained using methods known to those skilled in the art, including those described in U.S. Publication No. 2012/0071434, filed September 19, 2011.
EXAMPLE 257
Figure imgf000486_0001
[1192] To a stirred solution of 378-1 (43.6 % in dichloromethane, 345.87 g, 1.16 mol) in anhydrous DCM (1.0 L) was added ethyl-2-(triphenylphosphoranylidene) propanoate (400 g, 1.100 mol) drop wise over a period of 30 mins at -40 °C. The mixture was allowed to warm to 25 °C and stirred for 12 h. The mixture was concentrated under reduced pressure. The residue was suspended in TMBE (2.0 L). The solid was removed by filtration. The filtrate was concentrated under reduced pressure. The residue was purified on silica gel column (1.2% EA in PE) to give 378-2 (191.3 g, 80.26%) as a white foam. 'H-NMR (400 Hz, CDC13), δ = 6.66 (dd, J= 6.8, 8.0 Hz, 1H), 4.81-4.86 (m, 1H), 4.11-4.21 (m, 3H), 3.60 (t, J= 8.4 Hz, 1H), 1.87 (d, J= 1.2 Hz, 3H), 1.43 (s, 3H), 1.38 (s, 3H), 1.27 (t, J= 6.8 Hz, 3H).
[1193] To a stirred solution of 378-2 (100 g, 0.47 mol) in acetone (2.0 L) was added KMn04 (90 g, 0.57 mol) in portions at 0-5 °C. The mixture was stirred at 0-5 °C for 2 h. The reaction was quenched using sat. sodium sulfite solution (600 mL). After 2 h, a colorless suspension was formed. The solid was removed by filtration. The filter cake was washed with EA (300 mL). T he filtrate was extracted with EA (3 x 300 mL). The organic phase was dried over anhydrous a2S04. The organic phase was concentrated under reduced pressure to give crude 378-3 (50 g, 43.4%) as a solid.
[1194] To a stirred solution of 378-3 (50.0 g, 0.20 mol) and triethylamine (64.0 g, 0.63 mol) in anhydrous DCM (1.0 L) was added thionyl chloride (36.0 g, 0.31 mol) at 0 °C. After 30 mins, the mixture was diluted with dichloromethane (500 mL) and washed with cold water (1.0 L) and brine (600 mL). The organic phase was dried over anhydrous Na2S04. The organic phase was concentrated under reduced pressure to give the crude as a brown oil. To crude in anhydrous acetonitrile were added TEMPO catalyst (500 mg) and NaHC03 (33.87 g, 0.40 mol) at 0 °C. A sodium hypochlorite solution (10-13%, 500 mL) was added dropwise at 0 °C for 20 mins. The solution was stirred at 25 °C for 1 h. The organic phase was concentrated, and the aqueous phase was extracted with dichloromethane (3x). The organic phase was dried over anhydrous Na2S04. The solvent was removed under reduced pressure to give 378-4 (53.0 g, 85.48 %) as a yellow oil.
[1195] To a stirred solution of 378-4 (62.0 g, 0.20 mol) in anhydrous dioxane (1.5 L) was added TBACl (155.4 g, 0.50 mol) at 25 °C. The solution was stirred at 100 °C for 10 h. The mixture was cooled to 25 °C, and treated with 2, 2-dimethoxypropane (700 mL), followed by cone. HCl (12 N, 42 mL). The mixture was stirred at 25 °C for 3 h and then concentrated under reduced pressure to give crude 378-5 as a brown oil (45.5 g, crude), which was used for next step without further purification.
[1196] Crude 378-5 (45.5 g, 171 mmol) was dissolved in a mixture of EtOH (500 mL) and cone. HCl (12 N, 3.0 mL). The mixture was stirred at 25 °C for 16 h. The solvent was removed under reduced pressure. The residue was co-evaported with toluene (3x) to give crude 378-6 (24.6 g, crude) as a brown oil, which was used for the next step.
[1197] To a stirred solution of crude 378-6 (24.6 g, crude) and DMAP (4.8 g, 40.0 mmol) in anhydrous pyridine (800 mL) was added benzoyl chloride (84.0 g, 0.60 mol) dropwise over a period of 40 mins at 0 °C. The mixture was stirred at 25 °C for 12 h and then concentrated at low pressure. The residue was dissolved in EA (1.5 L). The solution was washed with 1.0 M HCl solution (400 mL) and brine (800 mL). The organic phase was dried over anhydrous Na2S04. The solvent was removed under reduced pressure to give a brown solid. The solid was suspended in MeOH (600 mL). After filtration, the filter cake was washed with MeOH. The filter cake was dried under reduced pressure to give 378-7 (40.0 g, 75.0%) as a white solid.
[1198] To a stirred solution of 378-7 (7.0 g, 18.04 mmol) in anhydrous THF (70 mL) was added a solution of lithium tri-tert-butoxyaluminohydride (27 mL, 1.0 M, 27.06 mmol) dropwise over a period of 30 mins at -78 °C under N2. The mixture was stirred at -20 °C for 1 h. The reaction was quenched with sat. NH4C1 aq and diluted with EA. After filtration, the filtrate was extracted with EA. The organic phase was dried over anhydrous Na2S04, and concentrated at low pressure. The residue was purified by silica column gel (5% EA in PE) to give 378-8 (6.8 g, 96.7%) as a colorless oil.
[1199] To a stirred solution of PPh3 (1.34 g, 5.12 mmol) in CH2C12 (5 mL) was added 378-8 (1.0 g, 2.56 mmol) at -20 °C under N2. After the mixture was stirred for 15 mins, CBr4 (1.96 g, 5.89 mmol) was added in portions while maintaining the reaction temperature between -25 and -20 °C under N2 flow. After completion of the addition, the mixture was stirred below -17 °C for 20 mins. The reaction was treated with silica gel. After filtration, the pad of silica gel was washed with CH2C12. The combined filtrates were purified by silica column gel (EA in PE from 2% to 25%) to give 378-9 (a-isomer, 0.5 g, 43.4%) as a colorless oil.
[1200] A 0.25 L three-neck round-bottomed flask was charged with 6-chloro-9H- purin-2-amine (5.5 g, 34.75 mmol) followed by anhydrous t-BuOH (45 mL) with stirring. To this solution was added potassium tert-butoxide (3.89 g, 32.58 mmol) in portions at .T. under N2 flow. After 30 mins, a solution of 378-9 (4.92 g, 10.86 mmol) in anhydrous acetonitrile (30 mL) was added over a period of 5 mins at 25 °C. The mixture was slowly heated to 50 °C and sttired for 12 h. The mixture was treated with solid NH4CI and water, and then filtered through a short pad of Celite. The pad was washed with EA, and the filtrates were neutralized with aqueous 1.0 M HCl. The combined organic layers were dried over anhydrous Na2S04. T he organic phase was concentrated under reduced pressure. The residue was purified by silica column gel (EA in PE from 2% to 20%) to give 378-10 (1.7 g, 28.9%) as a white foam. Ή-NMR (400MHz, DMSO-d6) δ = 8.37 (s, 1H), 8.07-8.01 (m, 2H), 7.93-7.87 (m, 2H), 7.75-7.69 (m, 1H), 7.65-7.53 (m, 3H), 7.41 (t, J=7.8 Hz, 2H), 7.13 (s, 2H), 6.37(d, J=19.3 Hz, 1H), 6.26-6.13 (m, 1H), 4.86-4.77 (m, 1H), 4.76-4.68 (m, 2H), 1.3 (d, J=20 Hz, 3 H).
[1201] Compound 378-10 (700 mg, 1.29 mmol) was dissolved in 4% HC1 in MeOH (25 mL) at 25 °C. The mixture was stirred at 50 °C for 12 h. The solvent was removed under reduced pressure. The residue was purified by column chromatography to give 378-11 (401 mg, 59.2%) as a white solid.
[1202] Compound 378-11 (250 mg, 0.477 mmol) was treated with 7.0 M NH3 in MeOH (25 mL) at 25 °C and stirred for 18 h. The solvent was removed at low pressure. The residue was purified by prep-HPLC (NH4HCO3 system) to give 378a (85 mg, 56.4%) as a white solid. MS: m/z 315.7 [M+H]+, 630.5 [2M+H]+.
EXAMPLE 258
Figure imgf000489_0001
[1203] Nucleoside 377-1 (100 mg, 0.26 mmol) was dissolved in n-butylamine (2 mL) and left for 2 h at R.T. The solvent was evaporated, and the residue was purified by RP HPLC on Synergy 4 micron Hydro-RP column (Phenominex). A linear gradient of MeOH from 10 to 60% in 50mM triethylammonium acetate buffer (pH 7.5) was used for elution. The corresponding fractions were combined, concentrated and lyophilized (3x) to remove excess of buffer and yield 377a (20 mg, 25%). MS: m/z 308 [M-l].
EXAMPLE 259
COMPOUNDS 375a and 376a
Figure imgf000490_0001
375a
[1204] Into a 2000-mL round-bottom flask, was placed a solution of 376-1 (100 g, 384.20 mmol, 1.00 eq.) in N,N-dimethylformamide (1000 mL) at .T. NaH (11.8 g, 491.67 mmol, 1.20 eq.) was added in several batches and the mixture was stirred at 0°C for 0.5 h. (bromomethyl)benzene (78.92 g, 461.44 mmol, 1.20 eq.) was added at 0°C and the solution was stirred overnight at R.T. The reaction was quenched with water. The solution was diluted with EA (2000 mL), washed with aq. NaCl (3 x 500 mL), dried over anhydrous sodium sulfate, filtered and concentrated under reduced pressure. The crude product was purified by a silica gel column with EA:PE (1 :10) to yield 376-2 (105 g, 78%). [1205] Into a 1000-mL round-bottom flask, was placed 376-2 (100 g, 285.38 mmol, 1.00 eq.), acetic acid (300 mL) and water (100 mL). The solution was stirred overnight at R.T. The mixture was then diluted with EA (2000 mL), washed with aq. NaCl (2 x 500 mL) and aq. sodium bicarbonate (3 x 500 mL), dried over anhydrous sodium sulfate, filtered and concentrated under reduced pressure. Crude 376-3 (64 g) was obtained as light yellow oil. ESI MS m/z: 333 [M+Na]+.
[1206] Into a 5000-mL round-bottom flask, was placed a solution of 376-3 (140 g, 451.1 1 mmol, 1.00 eq.) in MeOH (500 mL). A solution of sodium periodate (135.2 g, 632.10 mmol, 1.40 eq.) in water (1000 mL) was added. The solution was stirred at R.T. for 1 h, then diluted with EA (2000 mL), washed with sat. NaCl solution (3 x 500 mL), dried over anhydrous sodium sulfate, filtered and concentrated under reduced pressure. The solid was dried in an oven under reduced pressure to yield crude 376-4 (97 g) as yellow oil
[1207] Into a 3000-mL round-bottom flask, was placed a solution of 376-4 (100 g, 359.32 mmol, 1.00 eq.) in tetrahydrofuran (500 mL) at R.T. Water (500 mL) was added. To the mixture was added a NaOH solution (600 mL, 2 N in water) at 0°C followed by aq. formaldehyde (240 mL, 37%). The solution was stirred overnight at R.T. The mixture was diluted with EA (1500 mL), washed with sat. NaCl solution (3 x 500 mL), dried over anhydrous sodium sulfate, filtered and concentrated under reduced pressure. The crude product was purified by a silica gel column with EA:PE (1 : 1) to give 376-5 (52.5 g, 47%) as a white solid. ESI MS m/z: 333 [M+Na]+.
[1208] Into a 3000-mL round-bottom flask, was placed a solution of 376-5 (76 g, 244.89 mmol, 1 .00 eq.) in acetonitrile (1500 mL) at R.T. NaH (6.76 g, 281 .67 mmol, 1 .15 eq.) was added in several batches at 0 °C. The solution was stirred at 0 °C for 15 mins, then (bromomethyl)benzene (48.2 g, 281.82 mmol, 1.15 eq.) was added. The solution was stirred overnight at R.T. The reaction was quenched with water, diluted with EA (3000 mL), washed with aq. NH4C1 (3 x 500 mL), dried over anhydrous sodium sulfate, filtered and concentrated under reduced pressure. The crude product was purified by a silica gel column with EA:PE (1 :5) to yield 376-6 (50 g, 51%) as a yellow oil. ESI MS m/z: 423 [M+Na]+.
[1209] Into a 250-mL round-bottom flask, was placed a solution of diethylaminosulfur trifluoride (6.6 mL, 2.00 eq.) in toluene (10 mL) at R.T. 376-6 (10 g, 24.97 mmol, 1.00 eq.) in toluene (120 mL) was added at 0°C. The solution was stirred for 3 h at 60 °C in an oil bath. The mixture was cooled to 0°C, diluted with EA (300 mL), washed with sat. NaCl solution (3 x 50 mL), dried over anhydrous sodium sulfate , filtered and concentrated under reduce pressure. The crude product was purified by a silica gel column with EA:PE (1 :5) ti give 376-7 (5000 mg, 50%) as a yellow oil. ESI MS m/z: 425 [M+Na]+.
[1210] Into a 250-mL 3-necked round-bottom flask purged and maintained with an inert atmosphere of N2, was placed 376-7 (10 g, 23.61 mmol, 1.00 eq., 95%) in acetic acid (80 mL). Acetic anhydride (6 mL) and sulfuric acid (0.05 mL) were added. The solution was stirred for 2 h at R.T. The mixture was then diluted with EA (500 mL), washed with water (3 x 200 mL) and aq. sodium bicarbonate (3 x 200 mL), dried over anhydrous sodium sulfate, filtered and concentrated under reduced pressure. The crude product was purified by a silica gel column with EA:PE (1 : 10-1 :5) to yield 376-8 (6 g, 54%) as a yellow oil. ESI MS m/z: 469 [M+Na]+.
[1211] Into a 50-mL round-bottom flask purged, was placed a solution of 376-8 (4 g, 8.96 mmol, 1.00 eq.), 10% Pd-C catalyst (4 g) in MeOH/DCM (25 mL/25 mL). To this mixture was introduced H2 (gas) in, ~ 3 atmospheric pressure. The solution was stirred for 48 h at R.T. The solids were collected by filtration, and the solution was concentrated under reduced pressure to give 376-9 (0.7 g, 29%) of as a colorless oil.
[1212] Into a 25-mL round-bottom flask, was placed 376-9 (2000 mg, 7.51 mmol, 1.00 eq.), Ac20 (8 mL), 4-dimethylaminopyridine (183.2 mg, 0.20 eq.) in pyridine (8 mL). The solution was stirred for 3 h at R.T. The reaction was a sat. sodium bicarbonate solution. The solution was diluted with EA (200 mL), washed with sat. NaCl solution (3 x 50 mL), dried over anhydrous sodium sulfate, filtered and concentrated under reduced pressure. The crude product was purified by a silica gel column with EA:PE (1 :7) to yield (1500 mg, 57%) of 376-10 as a white solid. ESI MS m/z: 373 [M+Na]+.
[1213] Into a 25-mL round-bottom flask, was placed a solution of 376-10 (300 mg, 0.86 mmol, 1.00 eq.) in dichloromethane (3 mL) at R.T. Trimethylsilanecarbonitrile (169 mg, 1.70 mmol, 2.00 eq.) was added at R.T., followed by tetrachlorostannane (223 mg, 0.86 mmol, 1.00 eq.) at 0 °C. The solution was stirred at 0 °C for 3 h. The reaction was quenched with sat. sodium bicarbonate solution. The solution was diluted with DCM (50 mL), washed with sat. NaCl solution (2 x 10 mL), dried over sodium sulfate, filtered and concentrated under reduced pressure. The crude product was purified by a silica gel column with PE:EA (5: 1) to give 376-11 (1 10 mg, 40%) as a yellow oil. 1H-NMR (400MHz, CDC13): δ ppm 5.67~5.75(m, 2H), 4.25~4.78(m, 5H), 2.19(s, 3H), 2.14(s, 3H), 2.10(s, 3HI
[1214] Into a 25-mL round-bottom flask, was placed 376-11 (200 mg, 0.63 mmol, 1.00 eq.), NBS (223 mg, 1.25 mmol, 2.00 eq.) in tetrachloromethane (5 mL). The solution was heated under reflux for 3 h over a 250 W tungsten lamp, and then cooled to R.T. The reaction was quenched sat. sodium bicarbonate solution. The solution was EA (100 mL), washed with sat. NaCl solution (3 x 20 mL), dried over sodium sulfate, filtered and concentrated under reduced pressure. The crude product was purified by a silica gel column with PE:EA (7: 1) to give 376-12 (120 mg, 48%) as a yellow oil. ¾-NMR (400MHz, CDCI3): δ ppm 6.03(d, J=4.8Hz, IH), 5.90(d, J=4.8Hz, IH), 4.29-4.30(m, 4H), 2.25(s, 3H), 2.15(s, 3H), 2.25(s, 3H).
[1215] Into a 25-mL round-bottom flask purged and maintained with an inert atmosphere of argon, was placed a solution of N-(2-oxo-l ,2-dihydropyrimidin-4- yl)benzamide (54.3 mg, 2.00 eq.) and (NEL^SC^ (5 mg) in HMDS (3 mL). The solution was stirred overnight at 120 °C in an oil bath. The solution was concentrated under vacuum, and the residue was dissolved DCE (1 mL) under Ar. A solution of 376-12 (50 mg, 0.13 mmol, 1.00 eq.) in MeCN (1 mL) was added followed by AgOTf (32.5 mg, 1.00 eq.). The solution was stirred for 3 h at 80 °C in a 10-mL sealed tube. After cooling to R.T., the solution was diluted with EA (50 mL), washed with sat. sodium bicarbonate solution (3 x 10 mL) and sat. NaCl (2 x 10 mL) solution, dried over anhydrous sodium sulfate, filtered and concentrated under reduced pressure. The crude product was purified by a silica gel column with DGVLMeOH (15 : 1) to yield 376-13 (30 mg, 45%) as a yellow oil. ESI MS m/z: 428 [M+H]+.
[1216] Into a 25-mL round-bottom flask, was placed a solution of 376-13 (100 mg, 0.23 mmol, 1.00 eq.) in ACN (3 mL). 4-dimethylaminopyridine (28.5 mg, 0.23 mmol, 1 .00 eq.) and TEA (71 mg, 0.70 mmol, 3.00 eq.) was added followed by TPSC1 (212.8 mg, 0.70 mmol, 3.00 eq.). The solution was stirred for 3 h at R.T., and then concentrated under vacuum. Crude 376-14 (200 mg) was obtained as a yellow oil. [1217] Into a 25-mL round-bottom flask, was placed a solution of 376-14 (140 mg, 0.10 mmol, 1.00 eq.) in ACN (3 mL) and ammonium oxidanide (3 mL). The solution was stirred for 4 h at 35 °C in an oil bath. The mixture was concentrated under vacuum. The crude product was purified by Prep-HPLC (Prep-HPLC-020): Column, XBridge Prep C18 OBD Column, 19* 150mm 5um 13nm; mobile phase, WATER WITH 0.05%TFA and ACN (35.0% ACN up to 48.0% in 8 min); Detector, nm to yield 376a (21.3 mg, 25%) as a white solid. ESI MS m/z: 301.1 [M+l]+.
[1218] Into a 25-mL round-bottom flask, was placed a solution of 376-13 (50 mg, 0.12 mmol, 1.00 eq.), sat. NH4OH (2 mL) and 1,4-dioxane (2 mL). The solution was stirred for 2 h at R.T. After concentrated under reduced pressure, the crude product was purified by Prep-HPLC [(Prep-HPLC-020): Column, XBridge Prep CI 8 OBD Column, 19* 150mm 5um 13nm; mobile phase, WATER WITH 0.05% TFA and ACN (35.0% ACN up to 48.0% in 8 min); Detector, nm] to yield 375a (13.6 mg, 39%) as a white solid ESI MS m/z: 299.9 [M- 1]"·
EXAMPLE 260
COMPOUND 380a
Figure imgf000494_0001
[1219] Compound 380-1 (30.0 g, 0.1 mol) was suspended in anhydrous pyridine (300 mL) and stirred at room temperature (R.T.) for 1 hour. The suspension was cooled to 0°C and TMSC1 (27.3 g, 0.25 mmol) was added dropwise. After addition was complete, the mixture was warmed to R.T. and stirred for 30 min. The mixture was then re-cooled to 0°C and BzCl (15.5 g, 0.1 1 mol) was added dropwise. The mixture was warmed to R.T. and stirred overnight. The reaction was cooled to 0°C and quenched with H20. Aqueous ammonia was added, and the reaction was stirred at R.T. for 2 hours. The solution was concentrated and the residue was taken up into ethyl acetate (EA) and H20. The aqueous phase was extracted with EA several times, and the combined organic layers were dried over Na2S04 and concentrated. The residue was purified on a silica gel column to give compound 380-2 as a white solid (28.2 g, 76%). ESI-LCMS: m/z=368 [M+Na]+.
[1220] To a stirred suspension of 380-2 (18.4 g, 50 mmol), PPh3 (22.3 g, 85 mmol) and pyridine (25 mL) in anhydrous THF (300 mL) was added a solution of I2 (19.05 g, 75 mmol) in THF (80 mL) dropwise at 0°C. After addition, the mixture was warmed to R.T. and stirred for 60 hours. The precipitate was removed by filtration, and the filtrate was concentrated. The residue was dissolved in dichloromethane (DCM) and washed with saturated Na2S203 aqueous solution and then brine. The organic layer was dried over Na2S04 and concentrated. The residue was purified on a silica gel column to afford 380-3 (16.4 g, 69%). ESI-LCMS: m/z=478 [M+H]+.
[1221] To a stirred solution of 380-3 (17.0 g, 35.6 mmol) in anhydrous dimethylformamide (DMF) (300 mL) was added dropwise a solution of t-BuOK (10.0 g, 89.1 mmol) in DMF (120 mL) at 0°C over 20 min. Stirring was continued at 0°C for 45 min, and then concentrated hydrochloric acid (4.5 mL) was added. A pH value of 8-9 was achieved by adding a saturated NaHC03 solution. The precipitate was removed by filtration, and the filtrate was diluted with ethyl acetate. The solution was washed with brine and dried over Na2S04. The solvent was removed, and the residue was purified on a silica gel column to afford 380-4 as a white solid (8.6 g, 69%). ESI-LCMS: m/z=350 [M+H]+.
[1222] To a stirred solution of Bn Et3NCl (37.4 g, 0.16 mol) in MeCN (600 mL) was added NaN3 (10.8 g, 0.16 mol). The mixture was sonicated for 20 min, and then stirred at R.T. for 16 hours. The solution was filtrated into a solution of 380-4 (1 1.5 g, 32.9 mmol) and N-methylmorpholine (3.5 g) in anhydrous THF (200 mL). The mixture was cooled to 0°C and a solution of I2 (33.6 g, 0.14 mol) in THF (100 mL) was added dropwise. Stirring was continued at 0-10°C for 20 hours. N- Acetyl cystein was added until no gas evolved. Saturated Na2S203 aq. was added until a light yellow solution was achieved. The solution was concentrated and then diluted with EA. The organic phase was washed with brine and dried over Na2S04. The solvent was removed, and the residue was purified on a silica gel column to give 380-5 (14.7 g, 84%). ESI-LCMS: m/z=519 [M+H]+.
[1223] To a stirred solution of 380-5 (12.5 g, 24.8 mmol) in anhydrous pyridine (200 mL) was added BzCl (4.3 g, 30 mmol) dropwise at 0°C. The mixture was then stirred at R.T. for 10 hours. The reaction was quenched with H20, and the solution was concentrated. The residue was dissolved in EA and washed with saturated NaHC03. The organic layer was dried over a2S04 and concentrated. The residue was purified on a silica gel column to give compound 380-6 as a white foam (11.2 g). ESI-LCMS: m/z=623 [M+H]+.
[1224] Compound 380-6 (9.43 g, 15.2 mmol), BzONa (21.9 g, 152 mmol) and 15-crown-5 (33.4 g, 152 mmol) were suspended in 200 mL DMF. The mixture was stirred at 60-70°C for 3 days. The precipitate was removed by filtration, and the filtrate was diluted with EA. The solvent was washed with brine and dried over Na2S04. The solvent was removed, and the residue was purified on a silica gel column to afford 380-7 as a white foam (4.4 g, 46%). ESI-LCMS: m/z=617 [M+H]+.
[1225] Compound 380-7 (4.4 g, 7.13 mmol) was dissolved in 100 mL of saturated methanolic ammonia, and the resulting solution was stirred at R.T. for 14 hours. The solvent was removed, and the residue was purified on a silica gel column (DCM/MeOH = 30:1 to 10:1) to give 380a as a white solid (1.9 g, 88%). ESI-MS: m/z=305 [M+H]+, 609 [2M+H]+.
EXAMPLE 261
COMPOUND 381a
Figure imgf000496_0001
381 a
[1226] Compound 381a was prepared as described in PCT Publication No. WO 2012/040124, published March 29, 2012, which are hereby incorporated by reference for the limited purpose its description of 381a and methods of synthezing the same. ESI-MS: m/z=307.07 [M+Na]+. EXAMPLE 262
COMPOUND 382a
Figure imgf000497_0001
[1227] Compound 382a was prepared as described in U.S. Patent No. 6,846,810, issued Jan. 25, 2005, and U.S. Publication No. 2007/0066815, published March 22, 2007, which are hereby incorporated by reference for the limited purpose its description of 382a and methods of synthezing the same.
EXAMPLE 263
ADDITIONAL COMPOUNDS
[1228] The foregoing syntheses are exemplary and can be used as a starting point to prepare additional compounds. Examples of additional compounds are shown below.
These compounds can be prepared in various ways, including those synthetic schemes shown and described herein. Those skilled in the art will be able to recognize modifications of the disclosed syntheses and to devise routes based on the disclosures herein; all such modifications and alternate routes are within the scope of the claims.
Figure imgf000498_0001
-497-
Figure imgf000499_0001
EXAMPLE 264
Norovirus Polymerase Inhibition Assays
[1229] The enzyme activity of Norovirus polymerase (NoVpol, genotype II) was measured as an incorporation of tritiated NMP into acid-insoluble RNA products. NoVpol assay reactions contained 50 nM recombinant enzyme, 50 nM heteropolymeric RNA, about
0.5 μθϊ tritiated NTP, 0.1 μΜ of competing cold NTP, 40 mM Tris-HCl (pH 7.0), 3 mM dithiothreitol, and 0.2 mM MgCl2. Standard reactions were incubated for 2.5 hours at 30°C, in the presence of increasing concentration of inhibitor. At the end of the reaction, RNA was precipitated with 10% TCA, and acid-insoluble RNA products were filtered on a size exclusion 96-well plate. After washing the plate, scintillation liquid was added and radiolabeled RNA products were detected according to standard procedures with a Trilux
Topcount scintillation counter. The compound concentration at which the enzyme-catalyzed rate was reduced by 50% (IC50) was calculated by fitting the data to a non-linear regression (sigmoidal). Compounds of Formula (I) are active in the norovirus polymerase assay. The antiviral activity of exemplary compounds is provided in Table 7, wherein 'A' indicates an IC50 < 1 μΜ, 'Β' indicates an IC50 > 1 μΜ and < 10 μΜ, and 'C" indicates an IC50 > 10 μΜ and < 100 μΜ.
Table 7
Figure imgf000500_0001
Figure imgf000500_0002
EXAMPLE 265
Norovirus MNV-1 Assay
[1230] Virus: Murine norovirus (MNV-1, generously provided by Bioscience
Labs, Montana) was initially propagated in RAW 264.7 cells. Cells were seeded into a TC-
75 cm flask so that an approximately 80-90% confluent cell monolayer formed within 24 hours. Immediately prior to infection, all medium was removed and 250 μΐ^ of previously made viral stock in 2 mL of serum-free medium was added into the flask. The flask was incubated for 1 hour at 37°C with 5 % C02, and then washed twice with serum-free medium.
Following the two washes, 10 mL of medium supplemented with 5% fetal bovine serum
(FBS; HyClone, Logan, UT) was added to the flask. The flask was then incubated for 48 hours, until approximately a 90% viral-induced cytopathic effect (CPE; rounding of cells, loss of contact inhibition and cell death) was observed. The flask was then stored at -80°C.
After a 24-hour storage period, the flask was then allowed to thaw at room temperature (RT).
Following an additional freeze-thaw cycle, the content of the flask was completely removed and centrifuged at 3000 rpm for 5 minutes to remove all cellular debris. The supernatant was removed and aliquoted into 1.5 mL microfuge tubes at 0.5 mL/tube. The viral aliquots were stored at -80°C.
[1231] Cell cultures: One cell line with a hematopoietic lineage, RAW 264.7 (ATCC Manassas, VA) was used throughout these experiments. All cell cultures were grown in high-glucose Dulbecco's modified eagle's medium (DMEM; Sigma-Aldrich St. Louis, MO), supplemented with 10% FBS, penicillin (100 IU/mL) and streptomycin (100 μg/mL; Sigma-Aldrich St. Louis, MO). Defined FBS (HyClone, Logan, UT) was used for the RAW 264.7 cells. Cells were grown and maintained according to standard animal cell culture protocols and kept at 37°C with 5% C02.
[1232] Plaque assay: Cells were seeded into 6-well plates at -5.5 χ 105 cells/well for the RAW 264.7 cell line (densities that allowed the formation of a confluent monolayer within 24 hours). Immediately before MNV-1 infection, a series of 10-fold dilutions of a MNV-1 stock prepared in DMEM containing no FBS (DMEM-0) were inoculated onto the cells grown in the 6-well plates, following aspiration of the medium and two cell washes with DMEM-0. Plates were then incubated for 1 hour at 37°C in a humidified 5% C02 incubator, with gentle rocking every 15 minutes to allow even distribution of the viral inoculum. All liquid was removed from the plates and the cells were covered with 2 mL/well of a 1.2 % noble agar overlay medium (1.2% noble agar as stock medium, 2.5 ml/tube). After 3 days, the cells were fixed and stained with 2 mL/well of crystal violet-formalin solution for 8 hours. Plates were vigorously washed with tap water and viral induced plaques were counted. Titers were calculated and compared between the different cell cultures.
[1233] Viral infection: Twenty-four hours prior to infection, cells in the exponential growth phase were harvested and seeded into 75 cm tissue culture (TC-75) flasks or 96 wells plate at a density that allowed for a single cell monolayer within 24 hours. Immediately before infection, the medium was removed and the cells were washed twice with DMEM containing no FBS (DMEM-0). MNV-1 in serum-free high-glucose DMEM was added to each flask or wells giving a multiplicity of infection (MOI) of 2 to 5. Cells were incubated for 1 hour at 37°C with 5% C02. Flasks or plates were rocked gently every 15 minutes for equal viral distribution. At the end of the 1 hour adsorption, the inoculum was removed and replaced with 10 mL of the high-glucose DMEM containing 5% FBS (DMEM- 5). The cells were then incubated for 3 days at 37°C with 5% C02. Photomicrographs were taken on a daily basis to document specific viral-induced cytopathic effects (CPE).
[1234] Antiviral assay: The antiviral activity of the selected compounds was initially determined using a cell proliferation assay. The Promega CellTiter-Glo Luminescent Cell Viability Assay (Cat# G7572) was used to measure anti-M V-1 replication activity based on a cytopathic effect (CPE) reduction assay. RAW 264.7 cells (1 X 104 cells/well) were seeded in a 96-well plate and infected with MNV-1 (MOI of 0.001) in the presence (or absence) of a dilution series of compounds (0.023-50 or 100 μΜ). Cells were incubated for 3 days (until complete CPE was observed in infected untreated cells). 100 of Bright-Glo reagent was added to each well and incubated at room temperature for 8 minutes. Luminescence was recorded using Perkin Elmer's multilabel counter Victor3V. Determination of IC50, the concentration of the drug required for reducing MNV-1 replication by 50% in relation to the untreated cell control value, was calculated from the plot of percentage reductions of the OD value against the drug concentrations using Excel forecast function. [1235] Cell Viability Assay: A RAW 264.7 cell proliferation assay (Promega CellTiter-Glo Luminescent Cell Viability Assay, Cat# G7572) was used to measure cell viability. Assay plates were set up in the same format as in the antiviral assay without the addition of compounds, 100 μΐ of CellTiter-Glo reagent was added to each well and incubated at room temperature for 8 minutes. Luminescence was recorded using Perkin Elmer's multilabel counter Victor3V. The CC50, the concentration of the drug required for reducing viable cells by 50% in relation to the untreated cell control value, was calculated from the plot of percentage reductions of the OD value against the drug concentrations using Excel forecast function.
[1236] RNA Isolation and RX-PCR: 48 or 72 hours after infection, cells were collected, washed twice with Dulbecco's phosphate buffered saline (DPBS; Sigma- Aldrich St. Louis, MO), and pelleted by centrifugation. RNA isolation was performed with the QIAamp Viral RNA Mini Kit (Qiagen, Valencia, CA), according to the manufacturer's instructions. Isolated total RNA was prepared at a final concentration of 5 μg/ml.
[1237] MNV-1 Prime & Probe Set 2: A primer and probe set were selected with Primer Express (Applied Biosystems, Foster City, CA) in the ORF1/ORF2 junction region. See Figure 1
[1238] Forward Primer: ACGCCACTCCGCACAAA (SEQ. ID. NO. 1)
[1239] Reverse Primer: GCGGCCAGAGACCACAAA (SEQ. ID. NO. 2)
[1240] Probe: AGCCCGGGTGATGAG (SEQ. ID. NO. 3)
[1241] Compounds of Formula (I) are active in the norovirus MNV-1 assay. The antiviral activity of exemplary compounds is provided in Table 8, wherein 'A' indicates an EC50 < 1 μΜ, 'Β' indicates an EC50 > 1 μΜ and < 10 μΜ, and 'C" indicates an EC50 > 10 μM and < 100 μΜ.
Table 8
Figure imgf000503_0001
Figure imgf000503_0002
Figure imgf000504_0001
EXAMPLE 266
Norovirus Replicon Assay
[1242] HG23 cell maintenance: Cells are maintained in DMEM with 5% FBS and 0.5 mg/niL of G418 with passaging every 2-3 days. Viral RNAs are constantly maintained for up to 50 passages (ct values are usually maintained at 15-20 in a well of 12 well plates).
[1243] Antiviral treatment in HG23 cells: One-day old HG23 cells in 12 or 24 well plates at ~ 25% confluence were treated with various concentrations (mock-medium or 0.001 to 10 uM) for 24, 48 or 72 h. At the end of each time point, NV genome in the cells was evaluated with qRT-PCR.
[1244] Detection of NV genome: To examine NV genome levels in the cells with various treatment, real-time qRT-PCR was performed by using a One-Step Platinum qRT-PCR kit (Invitrogen, Carlsbad, CA) according to the protocol established for the analysis of genogroup 1 norovirus samples. The primers (NV-F and NV-R) and the probe (NV-Pb (FAM)) were used for the real-time qRT-PCR, which targeted genomic RNA (i.e., the sequence between positions 5291 and 5375). As a quantity control of the cellular RNA levels, a qRT-PCR analysis for beta-actin with the primers (Actin-F and Actin-R) and the probe (Actin-P) were performed. For the qRTPCR, the total RNA of cells (in 12-well plates) was extracted with an RNeasy kit. The qRT-PCR amplification was performed in a SmartCycler with the following parameters: 45°C for 30 m and 95°C for 10 mins, followed by 30 cycles of denaturation at 95°C for 30 sec, annealing at 50°C for 1 min, and elongation at 72°C for 30 sec. The relative genome levels in cells with various transfection treatments were calculated after the RNA levels were normalized to those of beta-actin. EC50 and EC90 values were determined by the reduction of NV genome (ct values) compared to mock- medium treatment at 48 h. Primers:
NV-F: CGYTGGATGCGNTTYCATGA (SEQ. ID. NO. 4)
NV-R: CTTAGACGCCATCATCATTYAC (SEQ. ID. NO. 5)
Actin-F: GGCATCCACGAAACTACCTT (SEQ. ID. NO. 6)
Actin-R: AGCACTGTGTTGGCGTACAG (SEQ. ID. NO. 7)
Probes
NV-Pb (FAM): FAM-AGATYGCGATCYCCTGTCCA-TAMRA (SEQ. ID. NO. 8) Actin-P: FAM-ATCATGAAGTGTGACGTGGACATCCG-TAMRA (SEQ. ID. NO.
9)
[1245] Compounds of Formula (I) are active against noroviruses. The antiviral activity of exemplary compounds is provided in Table 9, wherein 'A' indicates an EC50 < 1 μΜ, Έ' indicates an EC50≥ 1 μΜ and < 10 μΜ, and 'C" indicates an EC50 > 10 μΜ and < 100 μΜ.
Table 9
Figure imgf000505_0003
Figure imgf000505_0001
Figure imgf000505_0002
[1246] Furthermore, although the foregoing has been described in some detail by way of illustrations and examples for purposes of clarity and understanding, it will be understood by those of skill in the art that numerous and various modifications can be made without departing from the spirit of the present disclosure. Therefore, it should be clearly understood that the forms disclosed herein are illustrative only and are not intended to limit the scope of the present disclosure, but rather to also cover all modification and alternatives coming with the true scope and spirit of the invention.

Claims

WHAT IS CLAIMED IS:
1. Use of an effective amount of a compound selected from Formula (I), Formula (II) and Formula (III), or a pharmaceutically acceptable salt of the foregoing, or a pharmaceutical composition of containing a compound selected from Formula (I), Formula (II) and Formula (III), or a pharmaceutically acceptable salt of the foregoing, in the preparation of a medicament for ameliorating, treating or preventing a norovirus infection:
Figure imgf000506_0001
(III)
wherein:
BIA, B1B and B1C are independently an optionally substituted heterocyclic base or an optionally substituted heterocyclic base with a protected amino group;
Ra l and R a2 are independently hydrogen or deuterium;
RA is hydrogen, deuterium, an unsubstituted Ci-3 alkyl, an unsubstituted C2-4 alkenyl, an unsubstituted C2-3 alkynyl or cyano;
selected from the group consisting of hydrogen, an optionally
substituted acyl, an optionally substituted O-linked amino
Figure imgf000507_0001
Figure imgf000507_0002
R is selected from the group consisting of hydrogen, halogen, azido, an optionally substituted C1-6 alkyl, an optionally substituted C2-6 alkenyl, an optionally substituted C2_6 alkynyl, an optionally substituted C3-6 cycloalkyl, an optionally substituted -0-C1-6 alkyl, an optionally substituted -0-C3-6 alkenyl, an optionally substituted -0-C3-6 alkynyl and cyano;
RjA is selected from the group consisting of halogen, OH, -OC(=0)R"A and an optionally substituted O-linked amino acid;
R1 B is selected from the group consisting of O", OH, an optionally substituted
Figure imgf000507_0003
an optionally substituted N-linked amino acid and an optionally substituted N-linked amino acid ester derivative;
1 C 2C
R" and R are independently selected from the group consisting of O", OH,
an optionally substituted Ci-6 alkoxy,
Figure imgf000507_0004
Figure imgf000508_0001
, an optionally substituted N-linked amino acid and an optionally substituted N-linked amino acid ester derivative; or
Figure imgf000508_0002
R and R are independently selected from the group consisting of halogen, an optionally substituted Ci-6 alkyl, an optionally substituted C2-6 alkenyl, an optionally substituted C2-6 alkynyl, an optionally substituted C3-6 cycloalkyl, an optionally substituted -0-C1-6 alkyl, an optionally substituted -0-C3-6 alkenyl, an optionally substituted -0-C3-6 alkynyl and cyano;
R4C is selected from the group consisting of OH, -OC(=0)R"c and an optionally substituted O-linked amino acid;
R4A, R3B and R C are independently selected from the group consisting of hydrogen, halogen, ORID, an optionally substituted O-linked amino acid, azido and
R'u is hydrogen or -C(=0)R "D u.;
R2D and R ,J3DU are independently hydrogen or an optionally substituted C1-6 alkyl;
R , R and R are independently selected from the group consisting of hydrogen, halogen, an optionally substituted C1-6 alkyl, an optionally substituted C2-6 alkenyl and an optionally substituted C2-6 alkynyl;
R6A, R7A and R8A are independently selected from the group consisting of absent, hydrogen, an optionally substituted Ci-24 alkyl, an optionally substituted C2-24 alkenyl, an optionally substituted C2-24 alkynyl, an optionally substituted C3-6 cycloalkyl, an optionally substituted C3-6 cycloalkenyl, an optionally substituted aryl, an optionally substituted heteroaryl, an optionally substituted aryl(Ci-6 alkyl), an optionally substituted *-(CR15AR16A)p-0-Ci-24 alkyl, an optionally substituted *-
Figure imgf000509_0001
or
R6A is
Figure imgf000509_0002
and R is absent or hydrogen; or and R are taken together ety selected from the group
consisting of an optionally substituted
Figure imgf000509_0003
d an optionally substituted
Figure imgf000509_0004
wherein the oxygens connected to R and R , the phosphorus and the moiety form a six-membered to ten-membered ring system;. R9A is independently selected from the group consisting of an optionally substituted Ci-24 alkyl, an optionally substituted C2-24 alkenyl, an optionally substituted C2-24 alkynyl, an optionally substituted C3-6 cycloalkyl, an optionally substituted C3-6 cycloalkenyl, NR30AR31A, an optionally substituted N-linked amino acid and an optionally substituted N-linked amino acid ester derivative;
R10A and R11A are independently an optionally substituted N-linked amino acid or an optionally substituted N-linked amino acid ester derivative;
R12A, R13A and R14A are independently absent or hydrogen;
each R15A each R16A each R17A and each R18A are independently hydrogen, an optionally substituted C1-24 alkyl or alkoxy;
R19A, R20A, R22A, R23A, R5B, R6B, R8B, R9B, R9C, R10C, R12C and R13C are independently selected from the group consisting of hydrogen, an optionally substituted C1-24 alkyl and an optionally substituted aryl;
R2 I A, R24A, R7B, R10B, R1 l c and RI 4C are independently selected from the group consisting of hydrogen, an optionally substituted C1-24 alkyl, an optionally substituted aryl, an optionally substituted -Ci_24 alkyl, an optionally substituted -O-aryl, an optionally substituted -O-heteroar l, an optionally substituted -O-monocyclic heterocyclyl and
Figure imgf000510_0001
R25A1 , R25A2, R29A, RI ,B I, RI ,B2, R15C I and R, 5C2 are independently selected from the group consisting of hydrogen, an optionally substituted Ci-24 alkyl and an optionally substituted aryl;
R, 0", R"" and R'°" are independently absent or hydrogen;
R26A and R27A are independently -C≡N or an optionally substituted substituent selected from the group consisting of C2-8 organylcarbonyl, C2-8 alkoxycarbonyl and C2-8 organylaminocarbonyl;
R is selected from the group consisting of hydrogen, an optionally substituted Ci-24-alkyl, an optionally substituted C2-24 alkenyl, an optionally substituted C2-24 alkynyl, an optionally substituted C3-6 cycloalkyl and an optionally substituted C3-6 cycloalkenyl; R30A and R31A are independently selected from the group consisting of hydrogen, an optionally substituted C1-24-alkyl, an optionally substituted C2-24 alkenyl, an optionally substituted C2-24 alkynyl, an optionally substituted C3-6 cycloalkyl and an optionally substituted C3-6 cycloalkenyl;
for Formula (111), is a single bond or a double bond;
when - is a single bond, each R 7C and each R 8C is independently hydrogen or halogen; and
when is a double bond, each R 7C is absent and each R 8C is independently hydrogen or halogen;
R"A, R c and R D are independently an optionally substituted Ci-24-alkyl;
d, j and h are independently 1 or 2;
el, kl and wl are independently 0 or 1 ;
e2, k2 and w2 are independently 3, 4 or 5;
m and n are independently 0 or 1 ;
p and q are independently selected from the group consisting of 1, 2 and 3; r is 1 or 2;
ZIA, Z2A, Z3A, Z4A, Z1B, Z2B and ZIC are independently O or S;. and
provided that when R2A is hydrogen, then R5A is halogen, an optionally substituted Ci-6 alkyl, an optionally substituted C2-6 alkenyl and an optionally substituted C2-6 alkynyl; and
provided that the compound of Formula (I), or a pharmaceutically acceptable salt thereof, cannot be selected from the group consisting of 2'-C-methylcytidine, ribavirin, β-d-N4 -hydroxy cytidine, 2'-F-2'-methylcytidine, 2-thiouridine, 6-aza- uridine, 5-nitrocytidine and 2'-amino-2'-deoxycytidine, or a mono-, a di- or a triphosphate of the foregoing.
2. The use of Claim 1 , wherein the compound is a compound of Formula (I).
3. The use of Claim 2, wherein R1 A is
Figure imgf000511_0001
4. The use of Claim 3, wherein R6A and R7A are both hydrogen or absent.
5. The use of Claim 3, wherein one of R and R is hydrogen, and the other of R6A and R7A is selected from the group consisting of an optionally substituted Ci-24 alkyl, an optionally substituted C2-24 alkenyl, an optionally substituted C2-24 alkynyl, an optionally substituted C3-6 cycloalkyl, an optionally substituted C3-6 cycloalkenyl, an optionally substituted aryl, an optionally substituted heteroaryl and an optionally substituted aryl(Ci-6 alkyl).
6. The use of Claim 5, wherein the other of R6A and R7A is an optionally substituted C1-24 alkyl.
7. The use of Claim 3, wherein both R6A and R7A are independently selected from the group consisting of an optionally substituted C1-24 alkyl, an optionally substituted C2-24 alkenyl, an optionally substituted C2-24 alkynyl, an optionally substituted C3-6 cycloalkyl, an optionally substituted C3-6 cycloalkenyl, an optionally substituted aryl, an optionally substituted heteroaryl and an optionally substituted aryl(Ci_6 alkyl).
8. The use of Claim 7, wherein both R6A and R7A are an optionally substituted Ci-24 alkyl.
Figure imgf000512_0001
is selected from the group consisting of absent, hydrogen, an optionally substituted C1-24 alkyl, an optionally substituted C2-24 alkenyl, an optionally substituted C2-24 alkynyl, an optionally substituted C3-6 cycloalkyl, an optionally substituted C3-6 cycloalkenyl, an optionally substituted aryl, an optionally substituted heteroaryl and an optionally substituted aryl(Ci-6 alkyl).
6A and R7A are independently
Figure imgf000512_0002
1 1. The use of Claim 3, wherein R and R are both an optionally substituted
C1-24 alkyl.
12. The use of Claim 3, wherein R and R are both an optionally substituted
C2-24 alkenyl
13. The use of Claim 3, wherein R and R are both *-(CR13AR1&A)p-0-C,-: alkyl
14. The use of Claim 3, wherein R6A and R7A are both *-(CR17AR18A)q-0-C 2-24 alkenyl.
15. The use of Claim 3, wherein R and R are both an optionally substituted aryl
16. The use of Claim 3, wherein R and R are both an optionally substituted ary^Ci-e alkyl).
17. The use of Claim 3, wherein R0A and R A are both
Figure imgf000513_0001
18. The use of Claim 3, wherein R6A and R7A are both
Figure imgf000513_0002
19. The use of Claim 3, wherein R and R are both
Figure imgf000513_0003
The use of Claim 3, wherein R and R are both f Claim 3, wherein R and R are both
Figure imgf000514_0001
The use of Claim 3, wherein R and R are tak ty
selected from the group consisting of an optionally substituted ly
s
Figure imgf000514_0002
rein the oxygens connected to R and R , the phosphorus and the moiety form a six-membered to ten-membered ring system.
6A and R7A are taken together to form a moiety
Figure imgf000514_0003
substituted aryl, an optionally substituted heteroaryl or an optionally substituted heterocyclyl.
24. The use of any one of Claims 2 to 23, wherein Z1A is O.
25. The use of any one of Claims 2 to 23, wherein Z1A is S.
26. The use of Claim 2, wherein RIA is
Figure imgf000514_0004
27. The use of Claim 26, wherein R is selected from the group consisting of absent, hydrogen, an optionally substituted Ci-24 alkyl, an optionally substituted C2-24 alkenyl, an optionally substituted C2-24 alkynyl, an optionally substituted C3-6 cycloalkyl and an optionally substituted C3-6 cycloalkenyl; and R9A is independently selected from the group consisting of an optionally substituted Ci-24 alkyl, an optionally substituted C2-24 alkenyl, an optionally substituted C2-24 alkynyl, an optionally substituted C3-6 cycloalkyl and an optionally substituted C3-6 cycloalkenyl.
28. The use of Claim 27, wherein R8A is hydrogen, and R9A is an optionally substituted C1-6 alkyl.
29. The use of Claim 26, wherein R8A is hydrogen, and R9A is NR30AR31A, wherein R30 and R31 are independently selected from the group consisting of hydrogen, an optionally substituted C1-24 alkyl, an optionally substituted C2-24 alkenyl, an optionally substituted C2-24 alkynyl, an optionally substituted C3-6 cycloalkyl and an optionally substituted C3-6 cycloalkenyl.
30. The use of Claim 26, wherein R8A is absent or hydrogen; and R9A is an optionally substituted N-linked amino acid or an optionally substituted N-linked amino acid ester derivative.
31. The use of Claim 26, wherein R8A is an optionally substituted aryl; and R9A is an optionally substituted N-linked amino acid or an optionally substituted N-linked amino acid ester derivative.
32. The use of Claim 30 or 31, wherein R9A is selected from the group consisting of alanine, asparagine, aspartate, cysteine, glutamate, glutamine, glycine, proline, serine, tyrosine, arginine, histidine, isoleucine, leucine, lysine, methionine, phenylalanine, threonine, tryptophan, valine and ester derivatives thereof.
33. The use of Claim 32, wherein R9A is selected from the group consisting of alanine isopropyl ester, alanine cyclohexyl ester, alanine neopentyl ester, valine isopropyl ester and leucine isopropyl ester. 34. The use of Claim 30 or 31, wherein R has the structure
Figure imgf000516_0001
wherein R3jA is selected from the group consisting of hydrogen, an optionally substituted Ci.
6-alkyl, an optionally substituted C3-6 cycloalkyl, an optionally substituted aryl, an optionally substituted aryl(Ci-6 alkyl) and an optionally substituted haloalkyl; R34A is selected from the group consisting of hydrogen, an optionally substituted C1-6 alkyl, an optionally substituted C1-6 haloalkyl, an optionally substituted C3-6 cycloalkyl, an optionally substituted C6 aryl, an optionally substituted Cio aryl and an optionally substituted aryl(Ci-6 alkyl); and R35A is hydrogen or an optionally substituted Ci-4-alkyl; or R34A and R35A are taken together to form an optionally substituted C3-6 cycloalkyl.
35. The use of Claim 34, wherein R34A is an optionally substituted Ci-6-alkyl.
36. The use of Claim 35, wherein the optionally substituted Ci-6-alkyl is methyl.
37. The use of any one of Claims 34 to 36, wherein R35A is hydrogen.
38. The use of any one of Claims 34 to 37, wherein R 33A is an optionally substituted C1-6 alkyl, an optionally substituted C3-6 cycloalkyl or an optionally substituted benzyl.
39. The use of any one of Claims 26 to 38, wherein Z2A is O.
40. The use of any one of Claims 26 to 38, wherein Z2A is S.
41 The use of Claim 2, wherein RI A is
Figure imgf000516_0002
42. The use of Claim 41, wherein R10A and R11A are both an optionally substituted N-linked amino acid or an optionally substituted N-linked amino acid ester derivative.
43. The use of Claim 42, wherein R10A and R11A are independently selected from selected from the group consisting of alanine, asparagine, aspartate, cysteine, glutamate, glutamine, glycine, proline, serine, tyrosine, arginine, histidine, isoleucine, leucine, lysine, methionine, phenylalanine, threonine, tryptophan, valine and ester derivatives thereof.
44. The use of Claim 43, wherein and R are independently selected from the group consisting of alanine isopropyl ester, alanine cyclohexyl ester, alanine neopentyl ester, valine isopropyl ester and leucine isopropyl ester.
45. The use of Claim 42, wherein R10A and R11A are independently have the
structure
Figure imgf000517_0001
wherein R is selected from the group consisting of hydrogen, an optionally substituted Ci-6-alkyl, an optionally substituted C3-6 cycloalkyl, an optionally substituted aryl, an optionally substituted aryl(Ci-6 alkyl) and an optionally substituted haloalkyl; R37A is selected from the group consisting of hydrogen, an optionally substituted C1-6 alkyl, an optionally substituted C1-6 haloalkyl, an optionally substituted C3-6 cycloalkyl, an optionally substituted C6 aryl, an optionally substituted C10 aryl and an optionally substituted aryl(Ci-6 alkyl); and R 38A is hydrogen or an optionally substituted C1-4-alkyl; or R37A and R38A are taken together to form an optionally substituted C3-6 cycloalkyl.
46. The use of Claim 45, wherein R37A is an optionally substituted Ci-6-alkyl.
47. The use of Claim 46, wherein the optionally substituted Ci-6-alkyl is methyl.
48. The use of any one of Claims 45 to 47, wherein R 38 A is hydrogen.
49. The use of any one of Claims 45 to 48, wherein R36A is an optionally substituted C1-6 alkyl, an optionally substituted C3-6 cycloalkyl or an optionally substituted benzyl.
50. The use of any one of Claims 41 to 49, wherein Z3A is O.
51. The use of any one of Claims 41 to 49, wherein Z3A is S.
52. The use of Claim 2, wherein R is
Figure imgf000517_0002
The use of Claim 52, wherein m is 0, and R and R are independently absent or hydrogen
54. TThhee use of Claim 52, wherein m is 1, and R , R and R are independently absent or hydrogen
55. The use of Claim 2, wherein R is H.
56. The use of Claim 2, wherein R1A is an optionally substituted acyl.
57. The use of Claim 56, wherein the optionally substituted acyl is -C(=0)R39A, wherein R39A is selected from the group consisting of an optionally substituted Ci-12 alkyl, an optionally substituted C2-12 alkenyl, an optionally substituted C2-12 alkynyl, an optionally substituted C3-8 cycloalkyl, an optionally substituted C5-8 cycloalkenyl, an optionally substituted C6-io aryl, an optionally substituted heteroaryl, an optionally substituted heterocyclyl, an optionally substituted aryl(Ci-6 alkyl), an optionally substituted heteroary^Ci-e alkyl) and an optionally substituted heterocyclyl(Ci_6 alkyl).
58. The use of Claim 57, wherein R39A is substituted or unsubstituted Ci-12 alkyl.
59. The use of Claim 2, wherein R1A is an optionally substituted O-linked amino acid.
60 The use of Claim 2,
Figure imgf000518_0001
wherein R is selected from the group consisting of hydrogen, an optionally substituted Ci-6 alkyl, an optionally substituted C1-6 haloalkyl, an optionally substituted C3-6 cycloalkyl, an optionally substituted Ce aryl, an optionally substituted C10 aryl and an optionally substituted aryl(Ci_6 alkyl); and R41A is hydrogen or an optionally substituted Ci-4-alkyl; or R40A and R4IA are taken together to form an optionally substituted C3-6 cycloalkyl.
61. The use of Claim 60, wherein R40A is an optionally substituted Ci-6-alkyl.
62. The use of Claim 61, wherein the optionally substituted Ci_6-alkyl is methyl.
63. The use of any one of Claims 60 to 62, wherein R4IA is hydrogen.
64. The use of any one of Claims 2 to 63, wherein BIA is selected from the group consisting of:
Figure imgf000519_0001
wherein:
R is selected from the group consisting of hydrogen, halogen and NHR' , wherein R T2 is selected from the group consisting of hydrogen, -C(=0)R K2 and - C(=0)ORL2;
¾2 W2 W2
R is halo gen or NHR , wherein R is selected from the group consisting of hydrogen, an optionally substituted Ci-6 alkyl, an optionally substituted C2-6 alkenyl, an optionally substituted C3-8 cycloalkyl, -C(=0)RM2 and -C(=0)ORN2;
R 2 is hydrogen or NHR 02 , wherein R 02 is selected from the group consisting of hydrogen, -C(=0)Rp2 and -C(=0)ORQ2;
R D2 is selected from the group consisting of hydrogen, deuterium, halogen, an optionally substituted Ci-6 alkyl, an optionally substituted C2-6 alkenyl and an optionally substituted C2-6 alkynyl;
RE2 is selected from the group consisting of hydrogen, hydroxy, an optionally substituted Ci-6 alkyl, an optionally substituted C3-8 cycloalkyl, -C(=0)R R2 and - C(=0)ORS2;
RF2 is selected from the group consisting of hydrogen, halogen, an optionally substituted Ci.galkyl, an optionally substituted C2-6 alkenyl and an optionally substituted C2-6 alkynyl;
Y 2 and Y 3J are independently N or CR 12 , wherein R 12 is selected from the group consisting of hydrogen, halogen, an optionally substituted Ci-6-alkyl, an optionally substituted C2-6-alkenyl and an optionally substituted C2-6-alkynyl; W1 is NH or -NCH2-OC(=0)CH(NH2)-CH(CH3)2;
RG2 is an optionally substituted Ci-6 alkyl;
Rn H2 is hydro gen or NHR T2 , wherein R T2 is independently selected from the group consisting of hydrogen, -C(=0)Ru2 and -C(=0)ORv2; and
Ri , RL2, RM2, RN2, RP2, RQ2 RR2, ¾ Ru2 and Rv2 are independently selected from the group consisting of hydrogen, Ci-6 alkyl, C2-6 alkenyl, C2-6 alkynyl, C3-6 cycloalkyl, C3-6 cycloalkenyl, C6-io aryl, heteroaryl, heteroalicyclyl, aryl(Ci-6 alkyl), heteroaryliCi-e alkyl) and heteroalicyclyl(Ci-6 alkyl).
The use of Claim 64, wherein BIA is
The use of Claim 64, wherein BIA is
67. The use of Claim 64, wherein BIA is
The use of Claim 64, wherein B is
Figure imgf000520_0001
The use of Claim 64, wherein BIA is
70. The use of Claim 64, wherein BIA is
Figure imgf000521_0001
71. The use of any one of Claims 2 to 70, wherein R2A is hydrogen.
72. The use of any one of Claims 2 to 70, wherein R2A is halogen.
73. The use of any one of Claims 2 to 70, wherein R2A is azido.
74. The use of any one of Claims 2 to 70, wherein R2A is an optionally substituted
C, _6 alkyl
75 The use of any one of Claims 2 to 70, wherein R is an optionally substituted
C2-6 alkenyl.
76. The use of any one of Claims 2 to 70, wherein R is an optionally substituted
C2-6 alkynyl.
77. The use of any one of Claims 2 to 70, wherein R is an optionally substituted
C3-6 cycloalkyl
78. The use of any one of Claims 2 to 70, wherein R is an optionally substituted
-O-C 1 -6 alkyl
79. The use of any one of Claims 2 to 70, wherein R is an optionally substituted
-O-C3-6 alkenyl.
80. T The use of any one of Claims 2 to 70, wherein R is an optionally substituted -O-C3-6 alkynyl.
81. The use of any one of Claims 2 to 70, wherein R A is unsubstituted C1-6 alkyl, unsubstituted C2-6 alkenyl, unsubstituted C2-6 alkynyl, unsubstituted -0-C1-6 alkyl, unsubstituted -0-C3-6 alkenyl or unsubstituted -0-C3-6 alkynyl.
82. The use of any one of Claims 2 to 70, wherein R2A is cyano. 83 The use of any one of Claims 2 to 82, wherein R is halogen.
84 The use of any one of Claims 2 to 82, wherein R is OH.
85 The use of any one of Claims 2 to 82, wherein R is -OC(=0)R
86 The use of Claim 85, wherein R A is an optionally substituted Ci-8 alkyl.
87. The use of any one of Claims 2 to 82, wherein R is O-linked amino acid.
88. The use of Claim 87, wherein the O-linked amino acid is selected from the group consisting of alanine, asparagine, aspartate, cysteine, glutamate, glutamine, glycine, proline, serine, tyrosine, arginine, histidine, isoleucine, leucine, lysine, methionine, phenylalanine, threonine, tryptophan, valine, ornithine, hypusine, 2-aminoisobutyric acid, dehydroalanine, gamma-aminobutyric acid, citrulline, beta-alanine, alpha-ethyl-glycine, alpha-propyl-glycine and norleucine.
89. The use of any one of Claims 2 to 82, wherein R3A is
Figure imgf000522_0001
wherein R42A is selected from the group consisting of hydrogen, an optionally substituted C1-6 alkyl, an optionally substituted C1-6 haloalkyl, an optionally substituted C3-6 cycloalkyl, an optionally substituted C6 aryl, an optionally substituted C10 aryl and an optionally substituted aryl(C1-6 alkyl); and R43A is hydrogen or an optionally substituted C1-4-alkyl; or R42A and R43A are taken together to form an optionally substituted C3-6 cycloalkyl.
90. The use of Claim 89, wherein R42A is an optionally substituted C1-6-alkyl.
91. The use of Claim 90, wherein the optionally substituted Ci_6-alkyl is methyl.
92. The use of any one of Claims 89 to 91, wherein R43A is hydrogen.
93. The use of any one of Claims 2 to 92, wherein R5A is hydrogen.
94. The use of any one of Claims 2 to 92, wherein R5A is halogen.
95. The use of Claim 94, wherein R5A is fluoro.
96. The use of any one of Claims 2 to 92, wherein R5A is an optionally substituted
C1.6 alkyl
97. The use of any one of Claims 2 to 92 wherein R5A is an optionally substituted C2-6 alkenyl
98. TThhee uussee of any one of Claims 2 to 92, wherein RJrt is an optionally substituted
C2-6 alkynyl.
99. TThhee uussee of any one of Claims 2 to 98, wherein R^A is hydrogen.
100. TThhee uussee of any one of Claims 2 to 98, wherein R4A is halogen.
101. TThhee uussee of Claim 100, wherein R4A is fluoro or chloro.
102. The use iny one of Claims 2 to 98, wherein R4A is OR1D.
103. The use -<r„: 1 no „»i :„ r>4A · πττ
104. The use
105. The use >4A
O-linked amino acid.
106. TThhee uussee of any one of Claims 2 to 98, wherein R^A is azido.
107. The use iny one of Claims 2 to 98, wherein R4A is NR2DR3D.
108. TThhee uussee of any one of Claims 2 to 98, wherein R4A is NH2.
109. TThhee uussee of any one of Claims 2 to 108, wherein RA is hydrogen.
110. TThhee uussee of any one of Claims 2 to 108, wherein R is deuterium.
1 1 1. TThhee uussee of any one of Claims 2 to 108, wherein RA is an unsubstituted Ci_ alkyl.
112. TThhee uussee of any one of Claims 2 to 108, wherein R is an unsubstituted C2-4 alkenyl.
113. TThhee uussee of any one of Claims 2 to 108, wherein R is an unsubstituted C2-3 alkynyl.
1 14. The use
1 15. The use
1 16. TThhee uussee of Claim 115, wherein RI B is O" or OH.
1 17. The use
1 18. TThhee uussee of Claim 115, wherein R is
Figure imgf000523_0001
The use of Claim 115 wherein
Figure imgf000524_0001
122. The use of Claim 115, wherein R is an optionally substituted N -linked amino acid or an optionally substituted N-linked amino acid ester derivative.
123. The use of Claim 115, wherein R1B is selected from the group consisting of alanine, asparagine, aspartate, cysteine, glutamate, glutamine, glycine, proline, serine, tyrosine, arginine, histidine, isoleucine, leucine, lysine, methionine, phenylalanine, threonine, tryptophan, valine and ester derivatives thereof.
124. The use of Claim 115, wherein R1B is selected from the group consisting of alanine isopropyl ester, alanine cyclohexyl ester, alanine neopentyl ester, valine isopropyl ester and leucine isopropyl ester.
125. The use of Claim 115, wherein R has the structure
Figure imgf000524_0002
wherein R is selected from the group consisting of hydrogen, an optionally substituted Ci. 6-alkyl, an optionally substituted C3-6 cycloalkyl, an optionally substituted aryl, an optionally substituted aryl(Ci n optionally substituted haloalkyl; R 13B
-6 alkyl) and a is selected from the group consisting of hydrogen, an optionally substituted Ci-6 alkyl, an optionally substituted C1-6 haloalkyl, an optionally substituted C3-6 cycloalkyl, an optionally substituted C6 aryl, an optionally substituted C10 aryl and an optionally substituted aryl(Ci_6 alkyl); and R14B is hydrogen or an optionally substituted or R and R are taken together to form an optionally substituted C3-6 cycloalkyl.
126. The use of Claim 125, wherein R 13B is an optionally substituted Ci-6-alkyl.
127. The use of Claim 126, wherein the optionally substituted Ci-6-alkyl is methyl.
128. The use of any one of Claims 125 to 127, wherein R14B is hydrogen.
129. The use of any one of Claims 125 to 128, wherein R 12B is an optionally substituted Ci-6 alkyl, an optionally substituted C3-6 cycloalkyl or an optionally substituted benzyl.
130. The use of any one of Claims 115 to 129, wherein R2B is halogen.
131. The use of any one of Claims 115 to 129, wherein R2B is an optionally substituted C1-6 alkyl.
132. The use of any one of Claims 115 to 129, wherein R2B is an optionally substituted C2-6 alkenyl.
133. The use of any one of Claims 115 to 129, wherein R2B is an optionally substituted C2_6 alkynyl.
134. The use of any one of Claims 1 15 to 129, wherein R2B is an optionally substituted -0-C1-6 alkyl.
135. The use of any one of Claims 115 to 129, wherein R 2B is an optionally substituted -0-C3-6 alkenyl.
136. The use of any one of Claims 115 to 129, wherein R 2B is an optionally substituted -0-C3- alkynyl.
137. The use of any one of Claims 115 to 129, wherein R 2B is an optionally substituted C3-6 cycloalkyl.
138. The use of any one of Claims 115 to 129, wherein R 2B is unsubstituted Ci-6 alkyl, unsubstituted C2-6 alkenyl, unsubstituted C2-6 alkynyl, unsubstituted -0-C1-6 alkyl, unsubstituted -0-C3-6 alkenyl or unsubstituted -0-C3-6 alkynyl.
139. The use of any one of Claims 115 to 129, wherein R 2B is cyano.
140. The use of any one of Claims 115 to 139, wherein R4B is hydrogen.
141. The use of any one of Claims 115 to 139, wherein R4B is halogen.
142. The use of Claim 141, wherein R4B is fluoro.
143. The use of any one of Claims 115 to 139, wherein R is an optionally substituted Ci-6 alkyl.
114444.. TThhee uuse of any one of Claims 115 to 139, wherein R is an optionally substituted C2-6 alkenyl
114455.. TThhee uussee of any one of Claims 115 to 139, wherein R is an optionally substituted C2-6 alkynyl.
146. The use of any one of Claims 115 to 145, wherein R is hydrogen.
147. The use of any one of Claims 115 to 145, wherein R is halogen.
148. The use of Claim 147, wherein R3B is fluoro or chloro.
149. The use of any one of Claims 115 to 145, wherein R3B is OR1D.
150. The use of Claim 149, wherein R3B is OH.
151. The use of Claim 149, wherein R3B is -OC(=0)R "D.
152. The use of any one of Claims 115 to 145, wherein R3B is an optionally substituted O-linked amino acid.
153. The use of any one of Claims 115 to 145, wherein R3B is azido.
154. The use of any one of Claims 1 15 to 145, wherein R3B is NR2DR3D
155. The use of any one of Claims 115 to 145, wherein R3B is NH2.
156. The use of any one of Claims 115 to 155, wherein Ral and R32 are both hydrogen.
The use of any one of Claims 115 to 155, wherein Ral and R32 are both deuterium.
158. The use of any one of Claims 115 to 157, wherein ZIB is O.
159. The use of any one of Claims 115 to 157, wherein ZIB is S.
160. The use of any one of Claims 115 to 159, wherein BI B is selected from the group consisting of:
Figure imgf000527_0001
wherein:
RAB2 is selected from the group consisting of hydrogen, halogen and NHRJB2, wherein RJB2 is selected from the group consisting of hydrogen, -C(=0)RKB2 and - C(=0)ORLB2;
RBB2 is halogen or NHRWB2, wherein RWB2 is selected from the group consisting of hydrogen, an optionally substituted C1-6 alkyl, an optionally substituted C2- alkenyl, an optionally substituted C3-8 cycloalkyl, -C(=0)RMB2 and - C(=0)ORNB2;
is hydro gen or NHR , wherein R"D is selected from the group consisting of hydrogen, -C(=0)RPB2 and -C(=0)ORQB2;
RDB2 is selected from the group consisting of hydrogen, deuterium, halogen, an optionally substituted Ci-6 alkyl, an optionally substituted C2-6 alkenyl and an optionally substituted C2-6 alkynyl;
REB2 is selected from the group consisting of hydrogen, hydroxy, an optionally substituted C1-6 alkyl, an optionally substituted C3-8 cycloalkyl, -C(=0)RRB2 and - C(=0)ORSB2;
RFB2 is selected from the group consisting of hydrogen, halogen, an optionally substituted C1-6alkyl, an optionally substituted C2-6 alkenyl and an optionally substituted C2-6 alkynyl; Y and Y are independently N or CR , wherein R is selected from the group consisting of hydrogen, halogen, an optionally substituted Ci-6-alkyl, an optionally substituted C2-6-alkenyl and an optionally substituted C2-6-alkynyl;
R GB2 is an optionally substituted Ci-6 alkyl;
R HB2 is hydro gen or NHR TB2 , wherein R TB2 is independently selected from the group consisting of hydrogen, -C(=0)RUB2 and -C(=0)ORVB2; and
ΚΒ2 pLB2 ΜΒ2 ^NB2 j^PB2 j^QB2 j^RB2 j^SB2, j^UB2 .
independently selected from the group consisting of C1-6 alkyl, C2-6 alkenyl, C2-6 alkynyl, C3-6 cycloalkyl, C3-6 cycloalkenyl, C6-10 aryl, heteroaryl, heteroalicyclyl, aryl(C1-6 alkyl), heteroaryl(Ci_6 alkyl) and heteroalicyclyl(Ci-6 alkyl).
The use of Claim 160, wherein B1B is
The use of Claim 160, wherein B1B is
163. The use of Claim 160, wherein B1B is
The use of Claim 160, wherein B1B is
Figure imgf000528_0001
The use of Claim 160, wherein B1 is
166. The use of Claim 160, wherein B is
Figure imgf000529_0001
167. The use of Claim 1 , wherein the compound is a compound of Formula (III).
168. The use of Claim 167, wherein R is O" or OH.
169. The use of Claim 167, wherein R is an optionally substituted C1-6 alkoxy.
170. The use of Claim 167, wherein RIC is
Figure imgf000529_0002
171. The use of Claim 167, wherein R ic
is
Figure imgf000529_0003
172. The use of Claim 167, wherein R is
173. The use of Claim 167, wherein R 1 c is
Figure imgf000529_0004
174. The use of Claim 167, wherein R 1 c is an optionally substituted N-linked amino acid.
175. The use of Claim 167, wherein R1C is an optionally substituted N-linked amino acid ester derivative.
2C
176. The use of any one of Claims 167 to 175, wherein R is O" or OH.
177. The use of any one of Claims 167 to 175, wherein R2C is an optionally substituted Ci-6 alkoxy.
2C e of any one of Claims 167 to 175, wherem R is
Figure imgf000530_0001
179. The use of any one of Claims 167 to 175, wherein R is
Figure imgf000530_0002
The use of any one of Claims 167 to 175, wherein R
Figure imgf000530_0003
181. The use of any one of Claims 167 to 175, wherein R' is an optionally substituted N-linked amino acid.
182. The use of any one of Claims 167 to 175, wherein R2C is an optionally substituted N-linked amino acid ester derivative.
183. The use of any one of Claim 167, wherein R is
Figure imgf000530_0004
and R2C is O" or OH; wherein R16C, R17C and R18C is absent or hydrogen; and n is 0 or 1.
184. The use of any one of Claims 167 to 183, wherein R3C is an optionally substituted C1-6 alkyl.
185. The use of any one of Claims 167 to 183, wherein R is an optionally substituted C2-6 alkenyl.
186. The use of any one of Claims 167 to 183, wherein R 3C is an optionally substituted C2-6 alkynyl.
187. The use of any one of Claims 167 to 183, wherein R 3C is an optionally substituted -0-C1-6 alkyl.
188. The use of any one of Claims 167 to 183, wherein R 3C is an optionally substituted -0-C3-6 alkenyl.
189. The use of any one of Claims 167 to 183, wherein R3C is an optionally substituted -0-C3-6 alkynyl.
190. The use of any one of Claims 167 to 183, wherein R3C is an optionally substituted C3-6 cycloalkyl.
191. The use of any one of Claims 167 to 183, wherein R3C is unsubstituted C1-6 alkyl. unsubstituted C2-6 alkenyl, unsubstituted C2-6 alkynyl, unsubstituted -0-C1-6 alkyl, unsubstituted -0-C3_6 alkenyl or unsubstituted -0-C3_6 alkynyl.
192. The use of any one of Claims 167 to 183, wherein R3C is cyano.
193. The use of any one of Claims 167 to 192, wherein R4C is OH.
194. The use of any one of Claims 167 to 192, wherein R4C is -OC(=0)R "c.
195. The use of Claim 194, wherein R is an optionally substituted C1-8 alkyl.
AC
196. The use of any one of Claims 167 to 192, wherein R is O-linked amino acid.
197. The use of Claim 196, wherein the O-linked amino acid is selected from the group consisting of alanine, asparagine, aspartate, cysteine, glutamate, glutamine, glycine, proline, serine, tyrosine, arginine, histidine, isoleucine, leucine, lysine, methionine, phenylalanine, threonine, tryptophan, valine, ornithine, hypusine, 2-aminoisobutyric acid, dehydroalanine, gamma-aminobutyric acid, citrulline, beta-alanine, alpha-ethyl-glycine, alpha-propyl-glycine and norleucine.
The use of any one of Claims
Figure imgf000531_0001
wherein R is selected from the group consisting of hydrogen, an optionally substituted C1-6 alkyl, an optionally substituted Ci-6 haloalkyl, an optionally substituted C3 -6 cycloalkyl, an optionally substituted C¾ aryl, an optionally substituted Ci0 aryl and an optionally substituted
Figure imgf000532_0001
are taken together to form an optionally substituted C3-6 cycloalkyl.
199. The use of Claim 198, wherein R 22C is an optionally substituted Ci-6-alkyl.
200. The use of Claim 199, wherein the optionally substituted Ci-6-alkyl is methyl.
201. The use of any one of Claims 198 to 200, wherein R is hydrogen,
202. The use of any one of Claims 167 to 201, wherein R6C is halogen,
203. The use of any one of Claims 167 to 201, wherein R6C is hydrogen.
204. The use of any one of Claims 167 to 201, wherein R6C is an optionally substituted C1-6 alkyl.
205. The use of any one of Claims 167 to 201, wherein R6C is an optionally substituted C2-6 alkenyl.
206. The use of any one of Claims 167 to 201, wherein R6C is an optionally substituted C2_6 alkynyl.
207. The use of any one of Claims 167 to 206, wherein R3C is hydrogen,
208. The use of any one of Claims 167 to 206, wherein R3C is halogen.
209. The use of Claim 208, wherein R is fluoro or chloro.
210. The use of any one of Claims 167 to 206, wherein R5C is ORID.
211. The use of Claim 210, wherein R5C is OH.
212. The use of Claim 210, wherein R5C is -OC(=0)R D
213. The use of any one of Claims 167 to 206, wherein R is an optionally substituted O-linked amino acid.
214. The use of any one of Claims 167 to 206, wherein R=c is azido.
215. The use of any one of Claims 167 to 206, wherein R5C is NR2DR3D.
216. The use of any one of Claims 167 to 206, wherein R3C is NH2.
217. The use of any one of Claims 167 to 216, wherein is a single bond such
that Formula (III) has the structure
Figure imgf000533_0001
, wherein each R and each
R8C is independently hydrogen or halogen.
218. The use of Claim 217, wherein the R7C and the R8C groups are all hydrogen.
219. The use of Claim 217, wherein one R7C is halogen, one R7C is hydrogen and both R8C groups are all hydrogen.
220. The use of Claim 217, wherein one R7C is halogen, one R7C is hydrogen, one R8C is halogen and one R8C is hydrogen.
221 . The use of any one of Claims 167 to 216, wherein is a double bond such
that Formula (III) has the structure
Figure imgf000533_0002
, wherein each R is absent and each R8C is independently hydrogen or halogen.
222. The use of Claim 221 , wherein both R8C groups are hydrogen.
223. The use of Claim 221, wherein one R is halogen and the other R is hydrogen.
224. The use of Claim 221, wherein both R8C groups are halogen.
225. The use of any one of Claims 167 to 224, wherein B1C is selected from the group consisting of:
Figure imgf000534_0001
wherein:
RAC2 is selected from the group consisting of hydrogen, halogen and NHRJC2, wherein R JC2 is selected from the group consisting of hydrogen, -C(=0)R K.C2 and - C(=0)ORLC2;
R BDC"2 is halo gen or NHR ^VC2 , wherein R WwC^2 is selected from the group consisting of hydrogen, an optionally substituted C1-6 alkyl, an optionally substituted C2-6 alkenyl, an optionally substituted C3_8 cycloalkyl, -C(=0)RMC2 and - C(=0)ORNC2;
R is hydrogen or NHR , wherein R is selected from the group consisting of hydrogen, -C(=0)RPC2 and -C(=0)ORQC2;
R is selected from the group consisting of hydrogen, halogen, an optionally substituted Ci-6 alkyl, an optionally substituted C2-6 alkenyl and an optionally substituted C2-6 alkynyl;
REC2 is selected from the group consisting of hydrogen, hydroxy, an optionally substituted Ci-6 alkyl, an optionally substituted C3-s cycloalkyl, -C(=0)R and - C(=0)ORSC2;
RFC2 is selected from the group consisting of hydrogen, halogen, an optionally substituted Ci-6alkyl, an optionally substituted C2-6 alkenyl and an optionally substituted C2-6 alkynyl; Y and Y are independently N or CR , wherein R is selected from the group consisting of hydrogen, halogen, an optionally substituted Ci-6-alkyl, an optionally substituted C2-6-alkenyl and an optionally substituted C2-6-alkynyl;
R GC2 is an optionally substituted Ci-6 alkyl;
R HnC"2 is hydro gen or NHR TC2 , wherein R TC2 is independently selected from the group consisting of hydrogen, -C(=0)R UC2 and -C(=0)OR VC2 ; and
-pKC2 .
Figure imgf000535_0001
independently selected from the group consisting of C1-6 alkyl, C2-6 alkenyl, C2-6 alkynyl, C3-6 cycloalkyl, C3-6 cycloalkenyl, C6-io aryl, heteroaryl, heteroalicyclyl, aryliCi-e alkyl), heteroaryl(Ci_6 alkyl) and heteroalicyclyl(Ci-6 alkyl).
226. The use of Claim 225, wherein B 1 C is
227. The use of Claim 225, wherein B 1 C is
228. The use of Claim 225, wherein B1C is
229. The use of Claim 225, wherein B is
Figure imgf000535_0002
230. The use of Claim 225, wherein B 1 C is
The use of Claim 225, wherein B 1 C is
Figure imgf000536_0001
232. The use of Claim 1, wherein the compound of Formula (I) is selected from the group consisting of:
Figure imgf000536_0002
Figure imgf000537_0001
Figure imgf000538_0001
-537-
Figure imgf000539_0001
Figure imgf000539_0002
or a pharmaceutically acceptable salt of the foregoing
233. The use of Claim 1, wherein the compound of Formula (II) is selected from the group consisting of:
Figure imgf000539_0003
Figure imgf000540_0001
Figure imgf000540_0002
Figure imgf000541_0001
Figure imgf000542_0001
Figure imgf000543_0001
Figure imgf000544_0001
Figure imgf000545_0001
Figure imgf000545_0002
Figure imgf000546_0001
234. The use of Claim 1, wherein the compound of Formula (II) is selected from the group consisting of:
Figure imgf000547_0001
-546-
Figure imgf000548_0001
-547-
Figure imgf000549_0001
-548-
Figure imgf000550_0001
-549-
Figure imgf000551_0001
-550-
Figure imgf000552_0001
Figure imgf000552_0002
-551-
Figure imgf000553_0001
-552-
Figure imgf000554_0002
-553-
Figure imgf000555_0001
-554-
Figure imgf000556_0001
Figure imgf000556_0002
-555-
Figure imgf000557_0001
235. The use of Claim 1 , wherein the compound of Formula (11) is selected from the group consisting of:
Figure imgf000557_0002
Figure imgf000558_0001
-557-
Figure imgf000559_0001
Figure imgf000560_0001
Figure imgf000560_0002
Figure imgf000561_0001
Figure imgf000562_0001
Figure imgf000562_0002
Figure imgf000563_0001
Figure imgf000563_0002
Figure imgf000563_0003
Figure imgf000564_0001
Figure imgf000565_0001
Figure imgf000566_0001
Figure imgf000566_0002
Figure imgf000567_0001
Figure imgf000567_0002
-566-
Figure imgf000568_0001
Figure imgf000569_0001
Figure imgf000570_0001
Figure imgf000570_0002
Figure imgf000571_0001
Figure imgf000572_0001
Figure imgf000573_0001
Figure imgf000574_0001
or a pharmaceutically acceptable salt of the foregoing.
236. The use of Claim 116, wherein the compound of Formula (II) is selected from
the group consisting of:
Figure imgf000574_0002
Figure imgf000575_0001
or a pharmaceutically acceptable salt thereof.
237. The use of Claim 116, wherein the compound of Formula (II) is selected from the group consisting of:
Figure imgf000575_0002
Figure imgf000576_0001
Figure imgf000576_0002
-575-
Figure imgf000577_0001
or a pharmaceutically acceptable salt of the foregoing.
239. The use of Claim 166, wherein the compound of Formula (III) is selected from the group consisting of:
Figure imgf000577_0002
pharmaceutically acceptable salt of the foregoing..
240. Use of an effective amount of a compound selected from Formula (I), Formula (II) and Formula (III), or a pharmaceutically acceptable salt of the foregoing, or a pharmaceutical composition of containing a compound selected from Formula (I), Formula (II) and Formula (III), or a pharmaceutically acceptable salt of the foregoing, in the preparation of a medicament for inhibiting replication of a noro virus.
241. Use of an effective amount of a compound selected from Formula (I), Formula (II) and Formula (III), or a pharmaceutically acceptable salt of the foregoing, or a pharmaceutical composition of containing a compound selected from Formula (I), Formula (II) and Formula (III), or a pharmaceutically acceptable salt of the foregoing, in the preparation of a medicament for contacting a cell infected with a noro virus.
242. A method for ameliorating, treating or preventing a noro virus infection comprising administering an effective amount of a compound selected from Formula (I), Formula (II) and Formula (III), or a pharmaceutically acceptable salt of the foregoing, or a pharmaceutical composition of containing a compound selected from Formula (I), Formula (II) and Formula (III), or a pharmaceutically acceptable salt of the foregoing.
243. A method for inhibiting replication of a noro virus comprising contacting a cell infected with the virus with an effective amount of a compound selected from Formula (I), Formula (II) and Formula (III), or a pharmaceutically acceptable salt of the foregoing, or a pharmaceutical composition of containing a compound selected from Formula (I), Formula (II) and Formula (III), or a pharmaceutically acceptable salt of the foregoing.
244. A method for ameliorating, treating or preventing a noro virus infection comprising contacting a cell infected with the norovirus with an effective amount of a compound selected from Formula (I), Formula (II) and Formula (III), or a pharmaceutically acceptable salt of the foregoing, or a pharmaceutical composition of containing a compound selected from Formula (I), Formula (II) and Formula (III), or a pharmaceutically acceptable salt of the foregoing.
PCT/US2014/043836 2013-06-26 2014-06-24 Substituted nucleosides, nucleotides and analogs thereof Ceased WO2014209979A1 (en)

Priority Applications (6)

Application Number Priority Date Filing Date Title
AU2014302711A AU2014302711A1 (en) 2013-06-26 2014-06-24 Substituted nucleosides, nucleotides and analogs thereof
ES14818480T ES2952714T3 (en) 2013-06-26 2014-06-24 Substituted nucleosides, nucleotides and analogues thereof
EP14818480.7A EP3013340B9 (en) 2013-06-26 2014-06-24 Substituted nucleosides, nucleotides and analogs thereof
CA2913206A CA2913206C (en) 2013-06-26 2014-06-24 Substituted nucleosides, nucleotides and analogs thereof
HK16112699.1A HK1224229A1 (en) 2013-06-26 2014-06-24 Substituted nucleosides, nucleotides and analogs thereof
AU2019261679A AU2019261679A1 (en) 2013-06-26 2019-11-04 Substituted nucleosides, nucleotides and analogs thereof

Applications Claiming Priority (2)

Application Number Priority Date Filing Date Title
US201361839711P 2013-06-26 2013-06-26
US61/839,711 2013-06-26

Publications (1)

Publication Number Publication Date
WO2014209979A1 true WO2014209979A1 (en) 2014-12-31

Family

ID=52133219

Family Applications (1)

Application Number Title Priority Date Filing Date
PCT/US2014/043836 Ceased WO2014209979A1 (en) 2013-06-26 2014-06-24 Substituted nucleosides, nucleotides and analogs thereof

Country Status (8)

Country Link
US (2) US9815864B2 (en)
EP (1) EP3013340B9 (en)
AU (2) AU2014302711A1 (en)
CA (1) CA2913206C (en)
ES (1) ES2952714T3 (en)
HK (1) HK1224229A1 (en)
TW (1) TW201542578A (en)
WO (1) WO2014209979A1 (en)

Cited By (57)

* Cited by examiner, † Cited by third party
Publication number Priority date Publication date Assignee Title
WO2014100505A1 (en) 2012-12-21 2014-06-26 Alios Biopharma, Inc. Substituted nucleosides, nucleotides and analogs thereof
WO2015200216A1 (en) * 2014-06-24 2015-12-30 Alios Biopharma, Inc. Methods of preparing substituted nucleotide analogs
WO2015200219A1 (en) 2014-06-24 2015-12-30 Alios Biopharma, Inc. Substituted nucleosides, nucleotides and analogs thereof
WO2016100441A1 (en) * 2014-12-19 2016-06-23 Alios Biopharma, Inc. Substituted nucleosides, nucleotides and analogs thereof
EP3042660A2 (en) * 2008-04-15 2016-07-13 RFS Pharma, LLC. Nucleoside derivatives for treatment of caliciviridae infections, including norovirus infections
US9422323B2 (en) 2012-05-25 2016-08-23 Janssen Sciences Ireland Uc Uracyl spirooxetane nucleosides
WO2016144918A1 (en) 2015-03-06 2016-09-15 Atea Pharmaceuticals, Inc. β-D-2'-DEOXY-2'α-FLUORO-2'-β-C-SUBSTITUTED-2-MODIFIED-N6-SUBSTITUTED PURINE NUCLEOTIDES FOR HCV TREATMENT
US9603863B2 (en) 2014-06-24 2017-03-28 Alios Biopharma, Inc. Substituted nucleosides, nucleotides and analogs thereof
US9676797B2 (en) 2015-09-02 2017-06-13 Abbvie Inc. Anti-viral compounds
JP2017525699A (en) * 2014-08-21 2017-09-07 ギリアード サイエンシーズ, インコーポレイテッド 2'-chloroaminopyrimidinone and pyrimidinedione nucleosides
WO2017163186A1 (en) * 2016-03-24 2017-09-28 Novartis Ag Alkynyl nucleoside analogs as inhibitors of human rhinovirus
US9862743B2 (en) 2013-10-11 2018-01-09 Alios Biopharma, Inc. Substituted nucleosides, nucleotides and analogs thereof
WO2018013937A1 (en) 2016-07-14 2018-01-18 Atea Pharmaceuticals, Inc. Beta-d-2'-deoxy-2'-alpha-fluoro-2'-beta-c-substituted-4'-fluoro-n6-substituted-6-amino-2-substituted purine nucleotides for the treatment of hepatitis c virus infection
WO2018048937A1 (en) 2016-09-07 2018-03-15 Atea Pharmaceuticals, Inc. 2'-substituted-n6-substituted purine nucleotides for rna virus treatment
US10092649B2 (en) 2014-02-06 2018-10-09 Riboscience Llc 4′-difluoromethyl substituted nucleoside derivatives as inhibitors of influenza RNA replication
US10202412B2 (en) 2016-07-08 2019-02-12 Atea Pharmaceuticals, Inc. β-D-2′-deoxy-2′-substituted-4′-substituted-2-substituted-N6-substituted-6-aminopurinenucleotides for the treatment of paramyxovirus and orthomyxovirus infections
US10358458B2 (en) 2014-09-26 2019-07-23 Riboscience Llc 4′-vinyl substituted nucleoside derivatives as inhibitors of respiratory syncytial virus RNA replication
WO2019237297A1 (en) * 2018-06-14 2019-12-19 Janssen Pharmaceuticals, Inc. Processes for preparing compounds/intermediates useful in the treatment of viral infections
US10874687B1 (en) 2020-02-27 2020-12-29 Atea Pharmaceuticals, Inc. Highly active compounds against COVID-19
CN112279877A (en) * 2020-12-15 2021-01-29 南京颐媛生物医学研究院有限公司 Nucleoside phosphate and synthesis method thereof
JP2021517132A (en) * 2018-03-07 2021-07-15 エモリー ユニバーシティー 4'-Halogen-containing nucleotides and nucleoside therapeutic compositions and related uses
US11331331B2 (en) 2017-12-07 2022-05-17 Emory University N4-hydroxycytidine and derivatives and anti-viral uses related thereto
CN114524855A (en) * 2022-02-22 2022-05-24 武汉大学 Synthesis method of 5-aldehyde cytosine phosphoramidite monomer
WO2022174179A1 (en) * 2021-02-15 2022-08-18 Emory University 4'-halogen containing nucleotide and nucleoside therapeutic compositions and uses related thereto
WO2022218274A1 (en) * 2021-04-15 2022-10-20 中国科学院上海药物研究所 Nucleoside analog and use thereof
WO2023034937A1 (en) 2021-09-01 2023-03-09 Aligos Therapeutics, Inc. Pnpla3-targeting short interfering rna (sirna) molecules and uses thereof
US11628181B2 (en) 2014-12-26 2023-04-18 Emory University N4-hydroxycytidine and derivatives and anti-viral uses related thereto
US11660307B2 (en) 2020-01-27 2023-05-30 Gilead Sciences, Inc. Methods for treating SARS CoV-2 infections
US11690860B2 (en) 2018-04-10 2023-07-04 Atea Pharmaceuticals, Inc. Treatment of HCV infected patients with cirrhosis
US11697666B2 (en) 2021-04-16 2023-07-11 Gilead Sciences, Inc. Methods of preparing carbanucleosides using amides
US11701372B2 (en) 2020-04-06 2023-07-18 Gilead Sciences, Inc. Inhalation formulations of 1'-cyano substituted carba-nucleoside analogs
US11718637B2 (en) 2020-03-20 2023-08-08 Gilead Sciences, Inc. Prodrugs of 4′-C-substituted-2-halo-2′- deoxyadenosine nucleosides and methods of making and using the same
US11767337B2 (en) 2020-02-18 2023-09-26 Gilead Sciences, Inc. Antiviral compounds
US11773122B2 (en) 2020-08-24 2023-10-03 Gilead Sciences. Inc. Phospholipid compounds and uses thereof
US11780844B2 (en) 2022-03-02 2023-10-10 Gilead Sciences, Inc. Compounds and methods for treatment of viral infections
US11814406B2 (en) 2020-08-27 2023-11-14 Gilead Sciences, Inc. Compounds and methods for treatment of viral infections
US11865132B2 (en) 2021-12-16 2024-01-09 Ascletis Bioscience Co., Ltd. Nucleoside derivatives and methods of use thereof
WO2024015641A1 (en) * 2022-07-15 2024-01-18 The Regents Of The University Of California Small molecule for treatment of cancer of the appendix
US11903953B2 (en) 2020-05-29 2024-02-20 Gilead Sciences, Inc. Remdesivir treatment methods
US11939347B2 (en) 2020-06-24 2024-03-26 Gilead Sciences, Inc. 1′-cyano nucleoside analogs and uses thereof
US11963967B2 (en) 2020-10-16 2024-04-23 Gilead Sciences, Inc. Phospholipid compounds and uses thereof
US11975017B2 (en) 2017-07-11 2024-05-07 Gilead Sciences, Inc. Compositions comprising an RNA polymerase inhibitor and cyclodextrin for treating viral infections
US12006340B2 (en) 2017-02-01 2024-06-11 Atea Pharmaceuticals, Inc. Nucleotide hemi-sulfate salt for the treatment of hepatitis c virus
US12012431B2 (en) 2020-03-12 2024-06-18 Gilead Sciences, Inc. Methods of preparing 1′-cyano nucleosides
US12030903B2 (en) 2020-02-18 2024-07-09 Gilead Sciences, Inc. Antiviral compounds
US12030906B2 (en) 2017-05-01 2024-07-09 Gilead Sciences, Inc. Crystalline forms of (s)-2-ethylbutyl 2-(((s)-(((2r,3s,4r,5r)-5-(4-aminopyrrolo[2,1-f] [1,2,4]triazin-7-yl)-5-cyano-3,4-dihydroxytetrahydrofuran-2-yl)methoxy) (phenoxy) phosphoryl)amino)propanoate
US12054507B2 (en) 2020-02-18 2024-08-06 Gilead Sciences, Inc. Antiviral compounds
WO2024182446A2 (en) 2023-02-28 2024-09-06 Aligos Therapeutics, Inc. Pnpla3-targeting short interfering rna (sirna) molecules and uses thereof
WO2024187038A1 (en) 2023-03-07 2024-09-12 Aligos Therapeutics, Inc. Modified short inerfering nucleic acid (sina) molecules and uses thereof
US12116380B2 (en) 2021-08-18 2024-10-15 Gilead Sciences, Inc. Phospholipid compounds and methods of making and using the same
US12187758B2 (en) 2022-03-15 2025-01-07 Rome Therapeutics, Inc. Compounds and methods for treating disease
WO2024226872A3 (en) * 2023-04-26 2025-01-23 Lakewood Amedex, Inc. Substituted bicyclic heterocycle compounds, compositions, and uses thereof
US12240853B2 (en) 2019-03-06 2025-03-04 Glaxosmithkline Intellectual Property (No.2) Limited Compounds useful in HIV therapy
US12357577B1 (en) 2024-02-02 2025-07-15 Gilead Sciences, Inc. Pharmaceutical formulations and uses thereof
US12454691B2 (en) 2021-09-08 2025-10-28 Aligos Therapeutics, Inc. Modified short interfering nucleic acid (siNA) molecules and uses thereof
US12458656B2 (en) 2021-06-17 2025-11-04 Atea Pharmaceuticals, Inc. Advantageous anti-HCV combination therapy
US12509466B2 (en) 2010-07-22 2025-12-30 Gilead Sciences, Inc. Methods and compounds for treating paramyxoviridae virus infections

Families Citing this family (21)

* Cited by examiner, † Cited by third party
Publication number Priority date Publication date Assignee Title
CA2812962C (en) 2010-09-22 2020-03-31 Alios Biopharma, Inc. Azido nucleosides and nucleotide analogs
BR112013005872A2 (en) 2010-09-22 2019-09-24 Alios Biopharma Inc compounds, pharmaceutical composition and their uses
WO2012088155A1 (en) 2010-12-22 2012-06-28 Alios Biopharma, Inc. Cyclic nucleotide analogs
CA2860234A1 (en) 2011-12-22 2013-06-27 Alios Biopharma, Inc. Substituted phosphorothioate nucleotide analogs
GEP20166496B (en) 2011-12-22 2016-06-27 Alios Biopharma Inc Substituted nucleosides, nucleotides and analogs thereof
USRE48171E1 (en) 2012-03-21 2020-08-25 Janssen Biopharma, Inc. Substituted nucleosides, nucleotides and analogs thereof
US9441007B2 (en) 2012-03-21 2016-09-13 Alios Biopharma, Inc. Substituted nucleosides, nucleotides and analogs thereof
US8916538B2 (en) 2012-03-21 2014-12-23 Vertex Pharmaceuticals Incorporated Solid forms of a thiophosphoramidate nucleotide prodrug
RS58849B1 (en) * 2012-11-16 2019-07-31 Univ College Cardiff Consultants Ltd Mixture of rp/sp gemcitabine-[phenyl-(benzyloxy-l-alaninyl)]-phosphate
WO2014100498A1 (en) 2012-12-21 2014-06-26 Alios Biopharma, Inc. Substituted nucleosides, nucleotides and analogs thereof
US9504705B2 (en) 2013-04-05 2016-11-29 Alios Biopharma, Inc. Hepatitis C viral infection treatment using a combination of compounds
EP3424938B1 (en) 2013-06-26 2020-07-22 Janssen BioPharma, Inc. 4'-azidoalkyl-substituted nucleosides, nucleotides and analogs thereof
WO2014209979A1 (en) * 2013-06-26 2014-12-31 Alios Biopharma, Inc. Substituted nucleosides, nucleotides and analogs thereof
US9908914B2 (en) 2014-10-28 2018-03-06 Alios Biopharma, Inc. Methods of preparing substituted nucleoside analogs
MA41213A (en) 2014-12-19 2017-10-24 Alios Biopharma Inc SUBSTITUTED NUCLEOSIDES, NUCLEOTIDES AND ANALOGUES OF THEM
CN107531717B (en) 2015-03-11 2021-07-27 詹森生物制药有限公司 Aza-pyridone compounds and uses thereof
EP3448392A4 (en) * 2016-04-28 2020-01-15 Emory University ALCYNE-CONTAINING NUCLEOTIDES AND NUCLEOSIDES THERAPEUTIC COMPOSITIONS AND USES THEREOF
EP3497111A2 (en) 2016-08-12 2019-06-19 Janssen BioPharma, Inc. Substituted nucleosides, nucleotides and analogs thereof
GB201709471D0 (en) 2017-06-14 2017-07-26 Nucana Biomed Ltd Diastereoselective synthesis of hosphate derivatives
CN118477090A (en) * 2019-10-08 2024-08-13 埃默里大学 Nucleotide and nucleoside therapeutic compositions containing 4'-halogen and related uses thereof
UY39172A (en) * 2020-04-14 2021-10-29 Janssen Sciences Ireland Unlimited Co BI- AND MONOCYCLIC NUCLEOSIDE ANALOGUES FOR THE TREATMENT OF HEPATITIS E

Citations (4)

* Cited by examiner, † Cited by third party
Publication number Priority date Publication date Assignee Title
US5432272A (en) 1990-10-09 1995-07-11 Benner; Steven A. Method for incorporating into a DNA or RNA oligonucleotide using nucleotides bearing heterocyclic bases
US7125855B2 (en) 2001-01-22 2006-10-24 Merck & Co., Inc. Nucleoside derivatives as inhibitors of RNA-dependent RNA viral polymerase
WO2010091386A2 (en) 2009-02-06 2010-08-12 Rfs Pharma, Llc Purine nucleoside monophosphate prodrugs for treatment of cancer and viral infections
WO2012158811A2 (en) 2011-05-19 2012-11-22 Rfs Pharma, Llc Purine monophosphate prodrugs for treatment of viral infections

Family Cites Families (34)

* Cited by examiner, † Cited by third party
Publication number Priority date Publication date Assignee Title
TWI332507B (en) 2002-11-19 2010-11-01 Hoffmann La Roche Antiviral nucleoside derivatives
ATE415408T1 (en) 2005-09-22 2008-12-15 Hoffmann La Roche SELECTIVE O-ACYLATION OF NUCLEOSIDES
US7951789B2 (en) 2006-12-28 2011-05-31 Idenix Pharmaceuticals, Inc. Compounds and pharmaceutical compositions for the treatment of viral infections
US8415321B2 (en) 2008-04-15 2013-04-09 Raymond F. Schinazi Nucleoside derivatives for treatment of Caliciviridae infections, including Norovirus infections
EP2408306A4 (en) 2009-03-20 2012-11-07 Alios Biopharma Inc Substituted nucleoside and nucleotide analogs
BR112013005872A2 (en) 2010-09-22 2019-09-24 Alios Biopharma Inc compounds, pharmaceutical composition and their uses
WO2012040126A1 (en) 2010-09-22 2012-03-29 Alios Biopharma, Inc. Substituted nucleotide analogs
CA2812962C (en) 2010-09-22 2020-03-31 Alios Biopharma, Inc. Azido nucleosides and nucleotide analogs
WO2012088155A1 (en) 2010-12-22 2012-06-28 Alios Biopharma, Inc. Cyclic nucleotide analogs
WO2013009678A2 (en) * 2011-07-08 2013-01-17 Indiana University Research And Technology Corporation Compositions and methods for the treatment of norovirus infection
GEP20166496B (en) 2011-12-22 2016-06-27 Alios Biopharma Inc Substituted nucleosides, nucleotides and analogs thereof
CA2860234A1 (en) 2011-12-22 2013-06-27 Alios Biopharma, Inc. Substituted phosphorothioate nucleotide analogs
WO2013142159A1 (en) 2012-03-21 2013-09-26 Alios Biopharma, Inc. Pharmaceutical combinations comprising a thionucleotide analog
US9441007B2 (en) 2012-03-21 2016-09-13 Alios Biopharma, Inc. Substituted nucleosides, nucleotides and analogs thereof
NZ629428A (en) 2012-03-21 2016-10-28 Alios Biopharma Inc Substituted nucleosides, nucleotides and analogs thereof
US8916538B2 (en) 2012-03-21 2014-12-23 Vertex Pharmaceuticals Incorporated Solid forms of a thiophosphoramidate nucleotide prodrug
US8846896B2 (en) 2012-03-21 2014-09-30 Alios Biopharma, Inc. Methods of preparing substituted nucleotide analogs
HK1203356A1 (en) 2012-03-22 2015-10-30 艾丽奥斯生物制药有限公司 Pharmaceutical combinations comprising a thionucleotide analog
EP3421482A1 (en) 2012-12-21 2019-01-02 Alios Biopharma, Inc. Substituted nucleosides, nucleotides and analogs thereof
WO2014100498A1 (en) 2012-12-21 2014-06-26 Alios Biopharma, Inc. Substituted nucleosides, nucleotides and analogs thereof
TW201526899A (en) 2013-02-28 2015-07-16 Alios Biopharma Inc Pharmaceutical compositions
US20140309413A1 (en) 2013-03-11 2014-10-16 Vertex Pharmaceuticals Incorporated Methods of stereoselective synthesis of substituted nucleoside analogs
US9504705B2 (en) 2013-04-05 2016-11-29 Alios Biopharma, Inc. Hepatitis C viral infection treatment using a combination of compounds
WO2014209979A1 (en) 2013-06-26 2014-12-31 Alios Biopharma, Inc. Substituted nucleosides, nucleotides and analogs thereof
EP3424938B1 (en) 2013-06-26 2020-07-22 Janssen BioPharma, Inc. 4'-azidoalkyl-substituted nucleosides, nucleotides and analogs thereof
CN113712989A (en) 2013-10-11 2021-11-30 艾丽奥斯生物制药有限公司 Substituted nucleosides, nucleotides and analogs thereof
EA201692537A1 (en) 2014-06-24 2017-05-31 Элиос Биофарма, Инк. SUBSTITUTED NUCLEOSIDES, NUCLEOTIDES AND THEIR ANALOGUES
ES2841310T3 (en) 2014-06-24 2021-07-08 Janssen Biopharma Inc Nucleosides, nucleotides and substituted analogues for use in the treatment of viral infections
EP3160979A4 (en) 2014-06-24 2018-01-03 Alios Biopharma, Inc. Methods of preparing substituted nucleotide analogs
WO2016014398A1 (en) 2014-07-22 2016-01-28 Alios Biopharma, Inc. Methods for treating paramyxoviruses
RU2017106742A (en) 2014-08-05 2018-09-06 Элиос Биофарма, Инк. COMBINED THERAPY FOR TREATMENT OF PARAMYXOVIRUS
US9908914B2 (en) 2014-10-28 2018-03-06 Alios Biopharma, Inc. Methods of preparing substituted nucleoside analogs
MA41441A (en) 2014-12-19 2017-12-12 Alios Biopharma Inc SUBSTITUTED NUCLEOSIDES, NUCLEOTIDES AND ANALOGUES OF THEM
MA41213A (en) 2014-12-19 2017-10-24 Alios Biopharma Inc SUBSTITUTED NUCLEOSIDES, NUCLEOTIDES AND ANALOGUES OF THEM

Patent Citations (4)

* Cited by examiner, † Cited by third party
Publication number Priority date Publication date Assignee Title
US5432272A (en) 1990-10-09 1995-07-11 Benner; Steven A. Method for incorporating into a DNA or RNA oligonucleotide using nucleotides bearing heterocyclic bases
US7125855B2 (en) 2001-01-22 2006-10-24 Merck & Co., Inc. Nucleoside derivatives as inhibitors of RNA-dependent RNA viral polymerase
WO2010091386A2 (en) 2009-02-06 2010-08-12 Rfs Pharma, Llc Purine nucleoside monophosphate prodrugs for treatment of cancer and viral infections
WO2012158811A2 (en) 2011-05-19 2012-11-22 Rfs Pharma, Llc Purine monophosphate prodrugs for treatment of viral infections

Non-Patent Citations (3)

* Cited by examiner, † Cited by third party
Title
BIOCHEM, vol. 11, 1972, pages 942 - 944
J.F.W. MCOMIE: "Protective Groups in Organic Chemistry", 1973, PLENUM PRESS
T. W. GREENEP. G. M. WUTS: "Protective Groups in Organic Synthesis", 1999, JOHN WILEY & SONS

Cited By (126)

* Cited by examiner, † Cited by third party
Publication number Priority date Publication date Assignee Title
EP3042660A2 (en) * 2008-04-15 2016-07-13 RFS Pharma, LLC. Nucleoside derivatives for treatment of caliciviridae infections, including norovirus infections
US12509466B2 (en) 2010-07-22 2025-12-30 Gilead Sciences, Inc. Methods and compounds for treating paramyxoviridae virus infections
US9422323B2 (en) 2012-05-25 2016-08-23 Janssen Sciences Ireland Uc Uracyl spirooxetane nucleosides
US10040814B2 (en) 2012-05-25 2018-08-07 Janssen Sciences Ireland Uc Uracyl spirooxetane nucleosides
US10301347B2 (en) 2012-05-25 2019-05-28 Janssen Sciences Ireland Unlimited Company Uracyl spirooxetane nucleosides
US9845336B2 (en) 2012-05-25 2017-12-19 Janssen Sciences Ireland Uc Uracyl spirooxetane nucleosides
US10544184B2 (en) 2012-05-25 2020-01-28 Janssen Sciences Ireland Unlimited Company Uracyl spirooxetane nucleosides
US10774106B2 (en) 2012-05-25 2020-09-15 Janssen Sciences Ireland Unlimited Company Uracyl spirooxetane nucleosides
US10793591B2 (en) 2012-12-21 2020-10-06 Janssen Biopharma, Inc. Substituted nucleosides, nucleotides and analogs thereof
US9243022B2 (en) 2012-12-21 2016-01-26 Alios Biopharma, Inc. Substituted nucleosides, nucleotides and analogs thereof
AU2020200499B2 (en) * 2012-12-21 2021-05-06 Alios Biopharma, Inc. Substituted nucleosides, nucleotides and analogs thereof
EP2935303A4 (en) * 2012-12-21 2016-08-10 Alios Biopharma Inc NUCLEOSIDES, SUBSTITUTED NUCLEOTIDES AND THEIR ANALOGS
WO2014100505A1 (en) 2012-12-21 2014-06-26 Alios Biopharma, Inc. Substituted nucleosides, nucleotides and analogs thereof
US11485753B2 (en) 2012-12-21 2022-11-01 Janssen Pharmaceutica Nv Substituted nucleosides, nucleotides and analogs thereof
US10683320B2 (en) 2012-12-21 2020-06-16 Janssen Biopharma, Inc. Substituted nucleosides, nucleotides and analogs thereof
US9249174B2 (en) 2012-12-21 2016-02-02 Alios Biopharma, Inc. Substituted nucleosides, nucleotides and analogs thereof
AU2018203337B2 (en) * 2012-12-21 2019-12-05 Alios Biopharma, Inc. Substituted nucleosides, nucleotides and analogs thereof
EP3912984A1 (en) * 2012-12-21 2021-11-24 Janssen BioPharma, Inc. 4'-fluoro-nucleosides, 4'-fluoro-nucleotides and analogs thereof for the treatment of hcv
US10112966B2 (en) 2012-12-21 2018-10-30 Alios Biopharma, Inc. Substituted nucleosides, nucleotides and analogs thereof
US10144755B2 (en) 2012-12-21 2018-12-04 Alios Biopharma, Inc. Substituted nucleosides, nucleotides and analogs thereof
US10487104B2 (en) 2012-12-21 2019-11-26 Janssen Biopharma, Inc. Substituted nucleosides, nucleotides and analogs thereof
US12173025B2 (en) 2012-12-21 2024-12-24 Janssen Pharmaceuticals, Inc. Substituted nucleosides, nucleotides and analogs thereof
US10370401B2 (en) 2013-10-11 2019-08-06 Janssen Biopharma, Inc. Substituted nucleosides, nucleotides and analogs thereof
EP3055319A4 (en) * 2013-10-11 2018-01-10 Alios Biopharma, Inc. Substituted nucleosides, nucleotides and analogs thereof
US9862743B2 (en) 2013-10-11 2018-01-09 Alios Biopharma, Inc. Substituted nucleosides, nucleotides and analogs thereof
US10092649B2 (en) 2014-02-06 2018-10-09 Riboscience Llc 4′-difluoromethyl substituted nucleoside derivatives as inhibitors of influenza RNA replication
US11590155B2 (en) 2014-06-24 2023-02-28 Janssen Pharmaceutica Nv Substituted nucleosides, nucleotides and analogs thereof
US10052342B2 (en) 2014-06-24 2018-08-21 Alios Biopharma, Inc. Substituted nucleosides, nucleotides and analogs thereof
US9603863B2 (en) 2014-06-24 2017-03-28 Alios Biopharma, Inc. Substituted nucleosides, nucleotides and analogs thereof
US10780105B2 (en) 2014-06-24 2020-09-22 Janssen Biopharma, Inc. Substituted nucleosides, nucleotides and analogs thereof
WO2015200216A1 (en) * 2014-06-24 2015-12-30 Alios Biopharma, Inc. Methods of preparing substituted nucleotide analogs
US9603864B2 (en) 2014-06-24 2017-03-28 Alios Biopharma, Inc. Substituted nucleosides, nucleotides and analogs thereof
US10307439B2 (en) 2014-06-24 2019-06-04 Alios Biopharma, Inc. Substituted nucleosides, nucleotides and analogs thereof
WO2015200219A1 (en) 2014-06-24 2015-12-30 Alios Biopharma, Inc. Substituted nucleosides, nucleotides and analogs thereof
JP2017525699A (en) * 2014-08-21 2017-09-07 ギリアード サイエンシーズ, インコーポレイテッド 2'-chloroaminopyrimidinone and pyrimidinedione nucleosides
US10358458B2 (en) 2014-09-26 2019-07-23 Riboscience Llc 4′-vinyl substituted nucleoside derivatives as inhibitors of respiratory syncytial virus RNA replication
US9758544B2 (en) 2014-12-19 2017-09-12 Alios Biopharma, Inc. Substituted nucleosides, nucleotides and analogs thereof
WO2016100441A1 (en) * 2014-12-19 2016-06-23 Alios Biopharma, Inc. Substituted nucleosides, nucleotides and analogs thereof
US11628181B2 (en) 2014-12-26 2023-04-18 Emory University N4-hydroxycytidine and derivatives and anti-viral uses related thereto
US10239911B2 (en) 2015-03-06 2019-03-26 Atea Pharmaceuticals, Inc. Beta-D-2′-deoxy-2′-alpha-fluoro-2′-beta-C-substituted-2-modified-N6-substituted purine nucleotides for HCV treatment
US9828410B2 (en) 2015-03-06 2017-11-28 Atea Pharmaceuticals, Inc. β-D-2′-deoxy-2′-α-fluoro-2′-β-C-substituted-2-modified-N6-substituted purine nucleotides for HCV treatment
EP4667053A2 (en) 2015-03-06 2025-12-24 ATEA Pharmaceuticals, Inc. Beta-d-2'-deoxy-2'alpha-fluoro-2'-beta-c-substituted-2-modified-n6-substituted purine nucleotides for hcv treatment
WO2016144918A1 (en) 2015-03-06 2016-09-15 Atea Pharmaceuticals, Inc. β-D-2'-DEOXY-2'α-FLUORO-2'-β-C-SUBSTITUTED-2-MODIFIED-N6-SUBSTITUTED PURINE NUCLEOTIDES FOR HCV TREATMENT
US12084473B2 (en) 2015-03-06 2024-09-10 Atea Pharmaceuticals, Inc. β-D-2′-deoxy-2′-α-fluoro-2′-β-C-substituted-2-modified-N6-substituted purine nucleotides for HCV treatment
US10000523B2 (en) 2015-03-06 2018-06-19 Atea Pharmaceuticals, Inc. β-D-2′-deoxy-2′-α-fluoro-2′-β-C-substituted-2-modified-N6-substituted purine nucleotides for HCV treatment
US10815266B2 (en) 2015-03-06 2020-10-27 Atea Pharmaceuticals, Inc. β-D-2′-deoxy-2′-α-fluoro-2′-β-C-substituted-2-modified-N6-substituted purine nucleotides for HCV treatment
US10870673B2 (en) 2015-03-06 2020-12-22 Atea Pharmaceuticals, Inc. β-D-2′-deoxy-2′-α-fluoro-2′-β-C-substituted-2-modified-N6-substituted purine nucleotides for HCV treatment
US10870672B2 (en) 2015-03-06 2020-12-22 Atea Pharmaceuticals, Inc. β-D-2′-deoxy-2′-α-fluoro-2′-β-C-substituted-2-modified-N6-substituted purine nucleotides for HCV treatment
US10875885B2 (en) 2015-03-06 2020-12-29 Atea Pharmaceuticals, Inc. β-d-2′-deoxy-2′-α-fluoro-2′-β-c-substituted-2-modified-n6-substituted purine nucleotides for HCV treatment
US10005811B2 (en) 2015-03-06 2018-06-26 Atea Pharmaceuticals, Inc. β-D-2′-deoxy-2′-α-fluoro-2′β-C-substituted-2-modified-N6-substituted purine nucleotides for HCV treatment
US10053474B2 (en) 2015-09-02 2018-08-21 Abbvie Inc. Anti-viral compounds
US9676797B2 (en) 2015-09-02 2017-06-13 Abbvie Inc. Anti-viral compounds
WO2017163186A1 (en) * 2016-03-24 2017-09-28 Novartis Ag Alkynyl nucleoside analogs as inhibitors of human rhinovirus
EP4292658A3 (en) * 2016-03-24 2024-03-06 Novartis AG Alkynyl nucleoside analogs as inhibitors of human rhinovirus
US9988416B2 (en) 2016-03-24 2018-06-05 Novartis Ag Alkynyl nucleoside analogs as inhibitors of human rhinovirus
CN109311885A (en) * 2016-03-24 2019-02-05 诺华股份有限公司 Alkynyl nucleoside analogs as inhibitors of human rhinovirus
US10428105B2 (en) 2016-03-24 2019-10-01 Novartis Ag Alkynyl nucleoside analogs as inhibitors of human rhinovirus
US10202412B2 (en) 2016-07-08 2019-02-12 Atea Pharmaceuticals, Inc. β-D-2′-deoxy-2′-substituted-4′-substituted-2-substituted-N6-substituted-6-aminopurinenucleotides for the treatment of paramyxovirus and orthomyxovirus infections
WO2018013937A1 (en) 2016-07-14 2018-01-18 Atea Pharmaceuticals, Inc. Beta-d-2'-deoxy-2'-alpha-fluoro-2'-beta-c-substituted-4'-fluoro-n6-substituted-6-amino-2-substituted purine nucleotides for the treatment of hepatitis c virus infection
EP4088725A1 (en) 2016-09-07 2022-11-16 ATEA Pharmaceuticals, Inc. 2'-substituted-n6-substituted purine nucleotides for the treatment of a virus from the picornaviridae family
WO2018048937A1 (en) 2016-09-07 2018-03-15 Atea Pharmaceuticals, Inc. 2'-substituted-n6-substituted purine nucleotides for rna virus treatment
US11975016B2 (en) 2016-09-07 2024-05-07 Atea Pharmaceuticals, Inc. 2′-substituted-N6-substituted purine nucleotides for RNA virus treatment
EP3865136A1 (en) 2016-09-07 2021-08-18 ATEA Pharmaceuticals, Inc. 2'-substituted-n6-substituted purine nucleotides for corona virus treatment
US10946033B2 (en) 2016-09-07 2021-03-16 Atea Pharmaceuticals, Inc. 2′-substituted-N6-substituted purine nucleotides for RNA virus treatment
EP4450129A2 (en) 2017-02-01 2024-10-23 ATEA Pharmaceuticals, Inc. Nucleotide hemi-sulfate salt for the treatment of hepatitis c virus
US12006340B2 (en) 2017-02-01 2024-06-11 Atea Pharmaceuticals, Inc. Nucleotide hemi-sulfate salt for the treatment of hepatitis c virus
US12030906B2 (en) 2017-05-01 2024-07-09 Gilead Sciences, Inc. Crystalline forms of (s)-2-ethylbutyl 2-(((s)-(((2r,3s,4r,5r)-5-(4-aminopyrrolo[2,1-f] [1,2,4]triazin-7-yl)-5-cyano-3,4-dihydroxytetrahydrofuran-2-yl)methoxy) (phenoxy) phosphoryl)amino)propanoate
US11975017B2 (en) 2017-07-11 2024-05-07 Gilead Sciences, Inc. Compositions comprising an RNA polymerase inhibitor and cyclodextrin for treating viral infections
US11331331B2 (en) 2017-12-07 2022-05-17 Emory University N4-hydroxycytidine and derivatives and anti-viral uses related thereto
US12329770B2 (en) 2017-12-07 2025-06-17 Emory University N4-hydroxycytidine and derivatives and anti-viral uses related thereto
US11903959B2 (en) 2017-12-07 2024-02-20 Emory University N4-hydroxycytidine and derivatives and anti-viral uses related thereto
JP2021517132A (en) * 2018-03-07 2021-07-15 エモリー ユニバーシティー 4'-Halogen-containing nucleotides and nucleoside therapeutic compositions and related uses
GB2589205B (en) * 2018-03-07 2023-05-24 Univ Emory 4'-halogen containing nucleotide and nucleoside therapeutic compositions and uses related thereto
JP7371931B2 (en) 2018-03-07 2023-10-31 エモリー ユニバーシティー 4'-Halogen-containing nucleotide and nucleoside therapeutic compositions and uses related thereto
US11690860B2 (en) 2018-04-10 2023-07-04 Atea Pharmaceuticals, Inc. Treatment of HCV infected patients with cirrhosis
WO2019237297A1 (en) * 2018-06-14 2019-12-19 Janssen Pharmaceuticals, Inc. Processes for preparing compounds/intermediates useful in the treatment of viral infections
US12240853B2 (en) 2019-03-06 2025-03-04 Glaxosmithkline Intellectual Property (No.2) Limited Compounds useful in HIV therapy
US11660307B2 (en) 2020-01-27 2023-05-30 Gilead Sciences, Inc. Methods for treating SARS CoV-2 infections
US12030903B2 (en) 2020-02-18 2024-07-09 Gilead Sciences, Inc. Antiviral compounds
US11767337B2 (en) 2020-02-18 2023-09-26 Gilead Sciences, Inc. Antiviral compounds
US12264173B2 (en) 2020-02-18 2025-04-01 Gilead Sciences, Inc. Antiviral compounds
US12054507B2 (en) 2020-02-18 2024-08-06 Gilead Sciences, Inc. Antiviral compounds
US11707480B2 (en) 2020-02-27 2023-07-25 Atea Pharmaceuticals, Inc. Highly active compounds against COVID-19
US11813278B2 (en) 2020-02-27 2023-11-14 Atea Pharmaceuticals, Inc. Highly active compounds against COVID-19
US12226429B2 (en) 2020-02-27 2025-02-18 Atea Pharmaceuticals, Inc. Highly active compounds against COVID-19
US11738038B2 (en) 2020-02-27 2023-08-29 Atea Pharmaceuticals, Inc. Highly active compounds against COVID-19
US10874687B1 (en) 2020-02-27 2020-12-29 Atea Pharmaceuticals, Inc. Highly active compounds against COVID-19
US12012431B2 (en) 2020-03-12 2024-06-18 Gilead Sciences, Inc. Methods of preparing 1′-cyano nucleosides
US11718637B2 (en) 2020-03-20 2023-08-08 Gilead Sciences, Inc. Prodrugs of 4′-C-substituted-2-halo-2′- deoxyadenosine nucleosides and methods of making and using the same
US11701372B2 (en) 2020-04-06 2023-07-18 Gilead Sciences, Inc. Inhalation formulations of 1'-cyano substituted carba-nucleoside analogs
US11975012B2 (en) 2020-05-29 2024-05-07 Gilead Sciences, Inc. Remdesivir treatment methods
US11903953B2 (en) 2020-05-29 2024-02-20 Gilead Sciences, Inc. Remdesivir treatment methods
US11939347B2 (en) 2020-06-24 2024-03-26 Gilead Sciences, Inc. 1′-cyano nucleoside analogs and uses thereof
US12404289B2 (en) 2020-06-24 2025-09-02 Gilead Sciences, Inc. 1′-cyano nucleoside analogs and uses thereof
US11773122B2 (en) 2020-08-24 2023-10-03 Gilead Sciences. Inc. Phospholipid compounds and uses thereof
US12473314B2 (en) 2020-08-24 2025-11-18 Gilead Sciences, Inc. Phospholipid compounds and uses thereof
US12030904B2 (en) 2020-08-24 2024-07-09 Gilead Sciences, Inc. Phospholipid compounds and uses thereof
US12297226B2 (en) 2020-08-27 2025-05-13 Gilead Sciences, Inc. Compounds and methods for treatment of viral infections
US11926645B2 (en) 2020-08-27 2024-03-12 Gilead Sciences, Inc. Compounds and methods for treatment of viral infections
US11814406B2 (en) 2020-08-27 2023-11-14 Gilead Sciences, Inc. Compounds and methods for treatment of viral infections
US11963967B2 (en) 2020-10-16 2024-04-23 Gilead Sciences, Inc. Phospholipid compounds and uses thereof
US12208110B2 (en) 2020-10-16 2025-01-28 Gilead Sciences, Inc. Phospholipid compounds and uses thereof
CN112279877A (en) * 2020-12-15 2021-01-29 南京颐媛生物医学研究院有限公司 Nucleoside phosphate and synthesis method thereof
CN112279877B (en) * 2020-12-15 2021-08-06 南京颐媛生物医学研究院有限公司 Nucleoside phosphate and synthesis method thereof
WO2022174179A1 (en) * 2021-02-15 2022-08-18 Emory University 4'-halogen containing nucleotide and nucleoside therapeutic compositions and uses related thereto
WO2022218274A1 (en) * 2021-04-15 2022-10-20 中国科学院上海药物研究所 Nucleoside analog and use thereof
CN115215914A (en) * 2021-04-15 2022-10-21 中国科学院上海药物研究所 Nucleoside analogs and their uses
CN115215914B (en) * 2021-04-15 2024-05-28 中国科学院上海药物研究所 Nucleoside analogs and their uses
US11697666B2 (en) 2021-04-16 2023-07-11 Gilead Sciences, Inc. Methods of preparing carbanucleosides using amides
US12458656B2 (en) 2021-06-17 2025-11-04 Atea Pharmaceuticals, Inc. Advantageous anti-HCV combination therapy
US12116380B2 (en) 2021-08-18 2024-10-15 Gilead Sciences, Inc. Phospholipid compounds and methods of making and using the same
WO2023034937A1 (en) 2021-09-01 2023-03-09 Aligos Therapeutics, Inc. Pnpla3-targeting short interfering rna (sirna) molecules and uses thereof
US12454691B2 (en) 2021-09-08 2025-10-28 Aligos Therapeutics, Inc. Modified short interfering nucleic acid (siNA) molecules and uses thereof
US11865132B2 (en) 2021-12-16 2024-01-09 Ascletis Bioscience Co., Ltd. Nucleoside derivatives and methods of use thereof
CN114524855A (en) * 2022-02-22 2022-05-24 武汉大学 Synthesis method of 5-aldehyde cytosine phosphoramidite monomer
US11845755B2 (en) 2022-03-02 2023-12-19 Gilead Sciences, Inc. Compounds and methods for treatment of viral infections
US11780844B2 (en) 2022-03-02 2023-10-10 Gilead Sciences, Inc. Compounds and methods for treatment of viral infections
US12448383B2 (en) 2022-03-02 2025-10-21 Gilead Sciences, Inc. Compounds and methods for treatment of viral infections
US12180217B2 (en) 2022-03-02 2024-12-31 Gilead Sciences, Inc. Compounds and methods for treatment of viral infections
US11851438B2 (en) 2022-03-02 2023-12-26 Gilead Sciences, Inc. 1′-cyano nucleoside analogs and methods for treatment of viral infections
US12187758B2 (en) 2022-03-15 2025-01-07 Rome Therapeutics, Inc. Compounds and methods for treating disease
WO2024015641A1 (en) * 2022-07-15 2024-01-18 The Regents Of The University Of California Small molecule for treatment of cancer of the appendix
WO2024182446A2 (en) 2023-02-28 2024-09-06 Aligos Therapeutics, Inc. Pnpla3-targeting short interfering rna (sirna) molecules and uses thereof
WO2024187038A1 (en) 2023-03-07 2024-09-12 Aligos Therapeutics, Inc. Modified short inerfering nucleic acid (sina) molecules and uses thereof
WO2024226872A3 (en) * 2023-04-26 2025-01-23 Lakewood Amedex, Inc. Substituted bicyclic heterocycle compounds, compositions, and uses thereof
US12357577B1 (en) 2024-02-02 2025-07-15 Gilead Sciences, Inc. Pharmaceutical formulations and uses thereof

Also Published As

Publication number Publication date
EP3013340A1 (en) 2016-05-04
EP3013340B9 (en) 2023-10-04
US20180079774A1 (en) 2018-03-22
CA2913206A1 (en) 2014-12-31
EP3013340A4 (en) 2017-05-03
AU2014302711A1 (en) 2015-12-10
EP3013340B1 (en) 2023-06-07
ES2952714T3 (en) 2023-11-03
US20150011497A1 (en) 2015-01-08
CA2913206C (en) 2022-08-02
HK1224229A1 (en) 2017-08-18
TW201542578A (en) 2015-11-16
AU2019261679A1 (en) 2019-11-28
US9815864B2 (en) 2017-11-14

Similar Documents

Publication Publication Date Title
EP3013340B9 (en) Substituted nucleosides, nucleotides and analogs thereof
DK2794627T3 (en) SUBSTITUTED NUCLEOSIDES, NUCLEOTIDES AND ANALOGUES THEREOF
EP2827875B1 (en) Substituted nucleosides, nucleotides and analogs thereof
EP2619215B1 (en) Azido nucleosides and nucleotide analogs
HK1203143B (en) Substituted nucleosides, nucleotides and analogs thereof
NZ627179B2 (en) Substituted nucleosides, nucleotides and analogs thereof
OA17044A (en) Substituted nucleosides, nucleotides and analogs thereof.
HK1203076B (en) Substituted nucleosides, nucleotides and analogs thereof
OA17135A (en) Substituted nucleosides, nucleotides and analogs thereof

Legal Events

Date Code Title Description
121 Ep: the epo has been informed by wipo that ep was designated in this application

Ref document number: 14818480

Country of ref document: EP

Kind code of ref document: A1

ENP Entry into the national phase

Ref document number: 2913206

Country of ref document: CA

WWE Wipo information: entry into national phase

Ref document number: 2014818480

Country of ref document: EP

ENP Entry into the national phase

Ref document number: 2014302711

Country of ref document: AU

Date of ref document: 20140624

Kind code of ref document: A

NENP Non-entry into the national phase

Ref country code: DE