WO2013008062A1 - Non covalent molecular structure, comprising a pyrene based glycoconjugate, device comprising the same and its use for detection of lectin - Google Patents
Non covalent molecular structure, comprising a pyrene based glycoconjugate, device comprising the same and its use for detection of lectin Download PDFInfo
- Publication number
- WO2013008062A1 WO2013008062A1 PCT/IB2011/053100 IB2011053100W WO2013008062A1 WO 2013008062 A1 WO2013008062 A1 WO 2013008062A1 IB 2011053100 W IB2011053100 W IB 2011053100W WO 2013008062 A1 WO2013008062 A1 WO 2013008062A1
- Authority
- WO
- WIPO (PCT)
- Prior art keywords
- lectin
- group
- molecular structure
- anyone
- non covalent
- Prior art date
- Legal status (The legal status is an assumption and is not a legal conclusion. Google has not performed a legal analysis and makes no representation as to the accuracy of the status listed.)
- Ceased
Links
Classifications
-
- G—PHYSICS
- G01—MEASURING; TESTING
- G01N—INVESTIGATING OR ANALYSING MATERIALS BY DETERMINING THEIR CHEMICAL OR PHYSICAL PROPERTIES
- G01N33/00—Investigating or analysing materials by specific methods not covered by groups G01N1/00 - G01N31/00
- G01N33/48—Biological material, e.g. blood, urine; Haemocytometers
- G01N33/50—Chemical analysis of biological material, e.g. blood, urine; Testing involving biospecific ligand binding methods; Immunological testing
- G01N33/53—Immunoassay; Biospecific binding assay; Materials therefor
- G01N33/566—Immunoassay; Biospecific binding assay; Materials therefor using specific carrier or receptor proteins as ligand binding reagents where possible specific carrier or receptor proteins are classified with their target compounds
-
- C—CHEMISTRY; METALLURGY
- C07—ORGANIC CHEMISTRY
- C07H—SUGARS; DERIVATIVES THEREOF; NUCLEOSIDES; NUCLEOTIDES; NUCLEIC ACIDS
- C07H15/00—Compounds containing hydrocarbon or substituted hydrocarbon radicals directly attached to hetero atoms of saccharide radicals
- C07H15/26—Acyclic or carbocyclic radicals, substituted by hetero rings
-
- G—PHYSICS
- G01—MEASURING; TESTING
- G01N—INVESTIGATING OR ANALYSING MATERIALS BY DETERMINING THEIR CHEMICAL OR PHYSICAL PROPERTIES
- G01N33/00—Investigating or analysing materials by specific methods not covered by groups G01N1/00 - G01N31/00
- G01N33/48—Biological material, e.g. blood, urine; Haemocytometers
- G01N33/50—Chemical analysis of biological material, e.g. blood, urine; Testing involving biospecific ligand binding methods; Immunological testing
- G01N33/53—Immunoassay; Biospecific binding assay; Materials therefor
- G01N33/543—Immunoassay; Biospecific binding assay; Materials therefor with an insoluble carrier for immobilising immunochemicals
- G01N33/54366—Apparatus specially adapted for solid-phase testing
- G01N33/54373—Apparatus specially adapted for solid-phase testing involving physiochemical end-point determination, e.g. wave-guides, FETS, gratings
- G01N33/5438—Electrodes
-
- G—PHYSICS
- G01—MEASURING; TESTING
- G01N—INVESTIGATING OR ANALYSING MATERIALS BY DETERMINING THEIR CHEMICAL OR PHYSICAL PROPERTIES
- G01N2333/00—Assays involving biological materials from specific organisms or of a specific nature
- G01N2333/415—Assays involving biological materials from specific organisms or of a specific nature from plants
- G01N2333/42—Lectins, e.g. concanavalin, phytohaemagglutinin
-
- G—PHYSICS
- G01—MEASURING; TESTING
- G01N—INVESTIGATING OR ANALYSING MATERIALS BY DETERMINING THEIR CHEMICAL OR PHYSICAL PROPERTIES
- G01N2333/00—Assays involving biological materials from specific organisms or of a specific nature
- G01N2333/435—Assays involving biological materials from specific organisms or of a specific nature from animals; from humans
- G01N2333/46—Assays involving biological materials from specific organisms or of a specific nature from animals; from humans from vertebrates
- G01N2333/47—Assays involving proteins of known structure or function as defined in the subgroups
- G01N2333/4701—Details
- G01N2333/4724—Lectins
Definitions
- the present invention relates to novel non covalent molecular structures between carbon nanostructures and pyrene based glycoconjugates, to a device comprising these novel molecular structures and to the use of this device for the detection of a lectin.
- Lectins are proteins capable of binding to carbohydrates but devoided of any catalytic activity and they are essential to many biological processes such as cell-to-cell communication, inflammation, viral infections (HIV, influenza), cancer or bacterial adhesion.
- Lectins are specialized receptors which are used by several opportunistic Gram negative bacteria for specific recognition of human glycans present on tissue surface. Most lectins from opportunistic bacteria bind complex oligosaccharides such as the ones defining histo-blood group epitopes. Contrary to their counterpart in plants or animals, bacterial lectins present strong affinity towards ligands which makes them attractive targets for diagnostic.
- bacterial lectins The detection of bacterial lectins is required in the case of bacterial or viral infections and is of primary importance for public health but is also of importance in hospitals for safety purposes (most of hospital acquired infections being caused by bacteria with about 20% of these due to Pseudomonas aeruginosa) and the prevention of exposure to these agents. This is also true for outdoor environmental safety issues like the prevention of exposure to these agents through recreative waters (public swimming pools, lakes, others water reservoirs), tap waters and even for the prevention of biological terrorism.
- SWNTs Single-walled carbon nanotubes
- ⁇ 1 nm small diameter
- FETs field-effect transistors
- the WO 2009/141486 document relates to a glycolipid/carbon nanotube aggregate and to the use thereof in processes that involve interactions between carbohydrates and other biochemical species.
- One aim of the invention is to provide a method for detecting the presence of a lectin involved in bacterial or viral infections which is fast (less than 1 minute), accurate and quantitative.
- Another aim of the invention is to provide a novel diagnostic method of a bacterial lectin having an excellent sensitivity.
- Another aim of the invention is to provide an accurate and rapid diagnostic of the presence or not of a lectin from all bacteria, viruses and parasites that use human glycoconjugates in the early steps of infection.
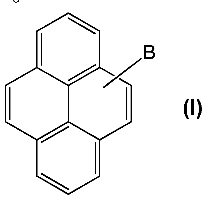
- the present invention provides a non covalent molecular structure characterized in that it comprises a carbon nanostructure and a pyrene based glycoconjugate (I) which is linked to the said carbon nanostructure by a non covalent link,
- B is a group which is present on any of the ten carbon atoms of the pyrene structure represented in ( I ) susceptible to bear a substituent, and is represented by the following group :
- n is an integer from 1 to 9
- A is a group of formula :
- the pinkeij is a group of formula :
- n is an integer from 0 to 15,
- V CH 2 , C 6 H 4 (phenyl "Ph")
- the Isugarj is a group having at least one carbohydrate moiety and is selecting in the group comprising :
- the pyrene based glycoconjugate (I) according to the present invention can also be represented by the following formula :
- the above mentioned sugar derivatives defined in the A group are for example selected in the group comprising :
- the above mentioned sugar derivatives defined in the A group are selected in the group comprising :
- Lewis a (Le a ) antigen HO Lewis b (Le ) antigen
- the wave bond situated between the anomeric carbon atom and the exocyclic oxygen atom means that the stereochemistry can be either alpha or beta (axial or equatorial)
- defined in the A group of the non covalent molecular structure is selected in the group comprising :
- the integer n is 3
- the integer p is 1
- the said glycoconjugate (I) is represented by the formula :
- linkerj is CH2-(0-CH2-CH 2 )2 and the sugar is selected in the group comprising ⁇ -D-galactosyl, a-D-mannosyl and oL-fucosyl.
- the carbon nanostructures of the non covalent molecular structure are selected in the group comprising carbon nanotubes, graphene, graphitic onions, cones, nanohorns, nanohelices, nanobarrels and fullerenes.
- the above mentioned carbon nanostructures are preferably graphene or carbon nanotubes, the said carbon nanotubes being selected in the group comprising Single Wall Carbon Nanotubes (SWCNTs), Double Wall Carbon Nanotubes (DWCNTs), Triple Wall Carbon Nanotubes (TWCNTs) and Multi Wall Carbon Nanotubes (MWCNTs).
- SWCNTs Single Wall Carbon Nanotubes
- DWCNTs Double Wall Carbon Nanotubes
- TWCNTs Triple Wall Carbon Nanotubes
- MWCNTs Multi Wall Carbon Nanotubes
- Graphene is a one-atom-thick planar sheet of sp 2 -bonded carbon atoms that are densely packed in a honeycomb crystal lattice.
- the present invention also provides any device comprising a non covalent molecular structure as defined previously and capable of detecting a lectin in an aqueous solution through an electrical resistivity or conductivity.
- the present invention provides a device for detecting a lectin characterized in that it comprises a non covalent molecular structure as defined previously.
- such a device could advantageously be an electronic nano-detection device comprising a field effect transistor (FET),
- FET field effect transistor
- the said device comprising :
- gate a third electrode connected either to a substrate layer or to an electrode immersed in a solution covering the said device ("liquid gate”).
- One of the originality of the present invention is thus the use of the said non covalent molecular structure in a device as above described for the detection of a lectin involved in bacterial or viral infections.
- the Inventors of the present invention have advantageously combined several knowledges of different technical fields in order to establish novel molecular structures which can be used for a diagnostic purpose (the detection of a bacterial lectin).
- the originality of the invention consists thus to use glycoconjugate structures linked to carbon nanostructures in a field effect transistor (FET) device in order to provide a device for detecting a lectin which is very advantageous.
- FET field effect transistor
- the two metal electrodes (S) and (D) are spacing each other from 1 nm to 10 cm, preferably from 1 cm to 2,5 cm and more preferably from 1 ⁇ to 10 ⁇ .
- any metal is appropriate for preparing the electrodes (S) and (D).
- suitable metal can include, but are not limited to aluminium, chromium, titanium, gold and palladium.
- the substrate layer is an insulator.
- suitable substrate layers can include, but are not limited to silicon dioxide layer, hafnium oxide and silicon nitrate.
- the present invention also provides a method for detecting the presence of a lectin in a sample to be analysed characterized in that it comprises the following steps :
- the pyrene based glycoconjugates (I) will be used for selective attachment of targeted lectins while carbon nanostructures with their nanoscale dimensions, large surface to volume ratio and unique physical and chemical properties will aid in electronic transduction of the interaction between glycoconjugates and lectins, leading to a rapid and ultrasensitive detection.
- the change in carbon nanostructures-FET conductance will be used for studying the molecular interaction between pyrene based glycoconjugate (I) and lectin as well as to monitor the variation in lectin concentration.
- the sample to be analysed can come from a pure lectin from commercial sources or isolated from recombinant production techniques, or any sample containing bacteria such as water, soils or sample of human origin.
- the method according to the present invention can be used for the detection of lectins from all bacteria, viruses and parasites that use human glycoconjugates in the early steps of infection.
- suitable lectins can include, but are not limited to, those selected in the group comprising Pseudomonas aeruginosa first lectin (PA-IL),
- PA-IIL Pseudomonas aeruginosa second lectin
- Concanavalin A Con A
- Burkholderia cenocepacia A Bc2L-A
- Burkholderia cenocepacia B Bc2L-B
- Burkholderia cenocepacia C Bc2L-C
- Burkholderia ambifaria Bamb541
- lectin Ralstonia solanacearum (RSL) lectin
- Ralstonia solanacearum second lectin RS-IIL
- Chromobacterium violaceum CV-IIL
- the preparation of the device as above defined comprises the following steps :
- the preparation of the device as above defined comprises the following steps :
- the preparation of the device as above defined comprises the following steps :
- Figure 1 is a general synthesis scheme illustrating the chemical structures and the preparation of pyrene based glycoconjugates (I).
- Figure 2 represents a specific synthesis scheme (illustrating the general synthesis scheme of Figure 1 ) of three pyrene based glycoconjugates (I) wherein :
- iSugarj ⁇ -D-galactosyl (see compound named 5a) or a-D-mannosyl (compound 5b) or a-L- fucosyl (compound 5c).
- FIG. 3(b) is a schematic of dielectrophorectic method used for selective deposition of SWNTs or of CCGs onto pre-patterned microelectrodes.
- Fig. 3(c) is an optical image of Si/Si0 2 chip with micropatterned interdigitated electrodes.
- Fig. 3(d) is a SEM image of interdigitated electrodes used for device fabrication. Inset shows the SWNTs or the CCGs deposited by dielectrophoresis technique between microelectrodes.
- Figure 4 represents the electronic detection of carbohydrate-lectin interactions. More particularly, fig. 4 shows the conductance "G” (which is expressed in Siemens (S)) versus gate voltage ("Vg") of bare CCG-FET device and after functionalization with respectively the a-D- mannose pyrene based glycoconjugate 5b (fig. 4(a)), the ⁇ -D-galactose pyrene based glycoconjugate 5a (see fig. 4(b)) and the a-L-fucose pyrene based glycoconjugate 5c (see fig. 4(c)) and after incubation with 2 ⁇ non-selective lectin (control) and 2 ⁇ selective lectin.
- G which is expressed in Siemens (S)
- Vg gate voltage
- PA-IL will be a lectin selective for ⁇ -D-galactose and non-selective for ⁇ -D-mannose or ⁇ -L-fucose.
- Con A will be a lectin selective for ⁇ -D-mannose and non-selective for ⁇ -D-galactose.
- PA-IIL will be a lectin selective for a-L-fucose.
- Fig. 4(d) represents the same experiment as in figure 4(b) but with 10 ⁇ ConA as the control and varying concentration of the selective lectin (PA-IL) (2 nM-10 ⁇ ).
- PA-IL selective lectin
- Lectin binding experiments were performed in the presence of 5 ⁇ Ca 2+ .
- FIG. 5 shows Atomic Force Microscope (AFM) images from bare CCG (fig. 5(a)), from CCG functionalized with ⁇ -D-mannose pyrene based glycoconjugate 5b (defined as “CCG-5b") (fig. 5(b)) and after ConA lectin attachment (defined as "CCG-5b-ConA”) (fig. 5(c)).
- AFM Atomic Force Microscope
- Figure 6 represents the electronic detection of carbohydrate-lectin interactions. More particularly, fig.6 shows the conductance "G” (which is expressed in Siemens (S)) versus gate voltage ("Vg") of bare SWNT-FET device and after functionalization with respectively the a-D- mannose pyrene based glycoconjugate 5b (fig. 6(a)) and the ⁇ -D-galactose pyrene based glycoconjugate 5a (fig. 6(b)) and after attachment with 2 ⁇ non-selective lectin (control) and 2 ⁇ selective lectin.
- G which is expressed in Siemens (S)
- Vg gate voltage
- Lectin attachment was performed in the presence of 5 ⁇ Ca 2+ .
- FIG. 7 shows Atomic Force Microscope (AFM) images from bare SWNTs (fig. 7(a)), from SWNT functionalized with the ⁇ -D-mannose pyrene based glycoconjugate 5b (defined as "SWNT- 5b") (fig. 7(b)) and after ConA lectin attachment (defined as "SWNT-5b-ConA”) (fig. 7(c)).
- AFM Atomic Force Microscope
- Reactions were performed under an argon atmosphere. Reactions under microwave activation were performed on a Biotage Initiator system.
- TLC Thin-layer chromatography
- NMR spectra were recorded at 293 K, unless otherwise stated, using a 300 MHz or a 400 MHz Bruker Spectrometer. Chemical shifts are referenced relative to deuterated solvent residual peaks. The following abbreviations are used to explain the observed multiplicities: s, singlet; d, doublet; t, triplet; q, quadruplet; m, multiplet and bs, broad singlet.
- the alkyne-functionalized pyrene derivative 2 (of general formula (III)), copper iodide, N,N- diisopropylethylamine (DIPEA) and azido-derivatives 3a to 3c (of general formula (II)) in degassed DMF were introduced in a Biotage Initiator 2-5 mL vial.
- the vial was flushed with argon and protected from light (aluminum sheet) and the solution was sonicated for 30 seconds.
- the vial was sealed with a septum cap and heated at 1 10°C for 10 min under microwave irradiation (solvent absorption level : high). After uncapping the vial, the crude mixture was evaporated then purified by flash silica gel column chromatography to afford the desired acetylated pyrene glycoconjugate 4a to 4c.
- the acetylated pyrene glycoconjugate 4a to 4c were suspended in distilled MeOH, ultra- pure water and ultra-pure triethylamine (10:1 :1 , v/v/v). The mixture was stirred under argon at room temperature for 1 to 3 days. Solvents were evaporated off then co-evaporated with toluene. The residue was dissolved in ultra-pure water (5 mL) and freeze-dried to afford pure hydroxylated pyrene glycoconjugates 5a to 5c (general formula (I)).
- Step a N-hydroxy-benzotriazole (HOBt) / 0-(Benzotriazol-1 -yl)-N,N,N',N'-tetramethyluronium tetrafluoroborate (TBTU), /V-methylmorpholine, /V,/V-dimethylformamide (DMF) / 20h / r.t;
- Step b copper iodide (Cul), ⁇ /,/V-diisopropylethylamine, DMF, 1 10°C, Microwaves, 15 minutes ;
- Step c deacetylation: MeOH, triethylamine (Et 3 N), H 2 0.
- This compound is prepared according to method A in 75% yield.
- the used carbon nanostructures are respectively the carbon nanotubes (more particularly single-walled carbon nanotubes (SWNTs)) and the graphene.
- SWNTs single-walled carbon nanotubes
- SWNTs Single-walled carbon nanotubes
- FET field-effect transistor
- Chemically reduced graphene oxide which is also known in the literature as chemically converted graphene (CCG) was prepared as previously described in the literature 4"6 . Briefly, graphite oxide was synthesized utilizing a modified Hummers' method on graphite flakes (Sigma Aldrich) that underwent a preoxidation step. 5 Graphite oxide (-0.125 wt%) was exfoliated to form graphene oxide via 30 minutes of ultrasonification followed by 30 minutes of centrifugation at 3400 revolutions per minute (r.p.m.) to remove unexfoliated graphite oxide (GO). Graphene oxide was then reduced to RGO with hydrazine hydrate (Sigma Aldrich) following the reported procedure 4 6 , the chemically converted graphene (CCG) thus obtained being then used as conducting channels in the FETs.
- CCG chemically converted graphene
- SWNTs were deposited onto each interdigitated microelectrodes pattern by a.c. dielectrophoresis (DEP) method from a suspension in ⁇ , ⁇ -dimethylformamide (DMF) (Figure 3(b)) (Agilent 33250A 80 MHz Function/Arbitrary Waveform Generator, a.c. frequency (10 MHz), bias voltage (8 V pp ), bias duration (60 s)). 7
- DEP dielectrophoresis
- CCG devices were prepared using the same DEP technique ( Figure 3(b)) but with different parameters (a.c. frequency (300kHz), bias voltage (10.00 V pp ), bias duration (120s)). 8
- the electrical performance of each such obtained "SWNT-FET” device or "CCG-FET” device was investigated in electrolyte gated FET device configuration. The conductance of each FET device was tuned using electrolyte as a highly effective gate.
- a small fluid chamber (1 mL) was placed over the "SWNT-FET” device or the “CCG-FET” device to control the liquid environment using phosphate buffer solution (PBS) at pH 7.
- PBS phosphate buffer solution
- a liquid gate potential (-0.75 V to +0.75 V) with respect to the grounded drain electrode was applied using an Ag/AgCI (3 M KCI) reference electrode submerged in the gate electrolyte.
- the drain current of the device was measured at a constant source-drain voltage (50 mV).
- Transfer characteristics (conductance (G) versus gate voltage (V g )) were measured to investigate the interactions between pyrene-based glycoconjugates functionalized carbon nanomaterials and lectins ( Figures 4 and 6).
- the surface of the SWNT-FET device or the CCG-FET device thus obtained is non covalently functionalized with respectively the three pyrene-based glycoconjugates (I) (5a to 5c) such as prepared in example I.
- Sugarj (or carbohydrate) which is present at the extremity of each of these glycoconjugates (I) is respectively the ⁇ -D-galactosyl (for glycoconjugate 5a), the a-D-mannosyl (for 5b) and the a-L-fucosyl (for 5c).
- PA-IL is a bacterial lectin isolated from Pseudomonas aeruginosa that is specific for ⁇ -D- galactose and expressed in recombinant form in Escherichia coli.
- PA-IIL is a bacterial lectin isolated from Pseudomonas aeruginosa that is specific for a-L- fucose and expressed in recombinant form in Escherichia coli.
- PA-IL and PA-IIL were produced by the Inventors according to previously reported procedures 9 .
- ConA 25 kDa is a plant lectin from Canavalia ensiformis that is specific for oD-mannose and is available commercially : it was purchased from Sigma and used without further purification.
- Atomic force microscope (AFM) images (fig. 5 and 7) were obtained using scanning probe microscope (Veeco Nanoscope II) in a tapping mode configuration. Samples were prepared by spin-coating bare SWNTs or CCGs onto a poly-L-lysine treated freshly cleaved sheet of mica substrate. The bare SWNTs and CCGs images were taken after 45 min of drying in ambient. Glycoconjugates functionalization was performed by incubating the SWNTs or RGO deposited mica substrate with 20 ⁇ glycoconjugate in deionized water solution for 2 hr at room temperature. Images of functionalized SWNTs and RGO were taken after washing the substrate with Dl water and drying in ambient for 45 min. Interaction with specific lectin was investigated by incubating the treated substrate with 2 ⁇ lectin solution (in PBS with 5 ⁇ CaCI 2 ) and subsequent washing with PBS solution and drying in ambient for 45 min.
- Figures 4 and 6 show the conductance G vs V g curves for respectively CCG-FET and
- SWNT-FET at different stages of glycoconjugate - lectin interactions.
- FIG. 4(b) shows the response of ⁇ -D-galactose pyrene-based glycoconjugate (5a) devices to two lectins.
- ConA non-specific lectin
- PA-IL mannose specific lectin
- CCG-FET devices were investigated by plotting the G vs Vg for ⁇ -D-galactose glycoconjugate (5a) functionalized device (control measurements with 10 ⁇ ConA) for varying concentration (2 nM to 10 ⁇ ) of specific lectin PA-IL ( Figure 4(d)).
- the CCG- FET device response to 10 ⁇ specific lectin PA-IL is almost two times higher than the response to 10 ⁇ non-specific lectin ConA, further demonstrating good selectivity.
- Atomic force microscopy (AFM) imaging was performed to study the surface morphology of the CCG at different stages of functionalization. Bare CCG was observed to be 0.67 ⁇ 0.15 nm in thickness ( Figure 5(a)). After functionalization with ⁇ -D-mannose glycoconjugates (5b), the total height increased to 2.44 ⁇ 0.35 nm ( Figure 5(b)). Later, after exposing the glycoconjugate functionalized CCG to specific binding lectin (ConA for a-D-mannose), an increase in height to 8.25 ⁇ 1 .73 nm was observed (Figure 5(c)).
- ConA is observed as a tetramer in solution at pH ⁇ 7 and the molecular dimensions of tetramer are 60 x 70 x 70 A (Protein DataBank, 1 CN1 ) from X-ray diffraction studies. The height measurements obtained by AFM are in good agreement with the literature values.
Landscapes
- Health & Medical Sciences (AREA)
- Life Sciences & Earth Sciences (AREA)
- Chemical & Material Sciences (AREA)
- Immunology (AREA)
- Engineering & Computer Science (AREA)
- Molecular Biology (AREA)
- Hematology (AREA)
- Urology & Nephrology (AREA)
- Biomedical Technology (AREA)
- General Health & Medical Sciences (AREA)
- Biochemistry (AREA)
- Biotechnology (AREA)
- Organic Chemistry (AREA)
- Food Science & Technology (AREA)
- Physics & Mathematics (AREA)
- Analytical Chemistry (AREA)
- Medicinal Chemistry (AREA)
- Microbiology (AREA)
- General Physics & Mathematics (AREA)
- Pathology (AREA)
- Cell Biology (AREA)
- Genetics & Genomics (AREA)
- Measuring Or Testing Involving Enzymes Or Micro-Organisms (AREA)
- Saccharide Compounds (AREA)
- Investigating Or Analyzing Materials By The Use Of Electric Means (AREA)
Abstract
Description
Claims
Priority Applications (5)
| Application Number | Priority Date | Filing Date | Title |
|---|---|---|---|
| CA2840015A CA2840015A1 (en) | 2011-07-12 | 2011-07-12 | Non covalent molecular structure, comprising a pyrene based glycoconjugate, device comprising the same and its use for detection of lectin |
| JP2014519642A JP2014521081A (en) | 2011-07-12 | 2011-07-12 | Non-covalent molecular structures comprising pyrene-based glycoconjugates, devices containing them, and their use for detecting lectins |
| EP11748726.4A EP2732277A1 (en) | 2011-07-12 | 2011-07-12 | Non covalent molecular structure, comprising a pyrene based glycoconjugate, device comprising the same and its use for detection of lectin |
| US14/131,330 US20140147938A1 (en) | 2011-07-12 | 2011-07-12 | Non covalent molecular structure, comprising a pyrene based glycoconjugate, device comprising the same and its use for detection of lectin |
| PCT/IB2011/053100 WO2013008062A1 (en) | 2011-07-12 | 2011-07-12 | Non covalent molecular structure, comprising a pyrene based glycoconjugate, device comprising the same and its use for detection of lectin |
Applications Claiming Priority (1)
| Application Number | Priority Date | Filing Date | Title |
|---|---|---|---|
| PCT/IB2011/053100 WO2013008062A1 (en) | 2011-07-12 | 2011-07-12 | Non covalent molecular structure, comprising a pyrene based glycoconjugate, device comprising the same and its use for detection of lectin |
Publications (1)
| Publication Number | Publication Date |
|---|---|
| WO2013008062A1 true WO2013008062A1 (en) | 2013-01-17 |
Family
ID=44511116
Family Applications (1)
| Application Number | Title | Priority Date | Filing Date |
|---|---|---|---|
| PCT/IB2011/053100 Ceased WO2013008062A1 (en) | 2011-07-12 | 2011-07-12 | Non covalent molecular structure, comprising a pyrene based glycoconjugate, device comprising the same and its use for detection of lectin |
Country Status (5)
| Country | Link |
|---|---|
| US (1) | US20140147938A1 (en) |
| EP (1) | EP2732277A1 (en) |
| JP (1) | JP2014521081A (en) |
| CA (1) | CA2840015A1 (en) |
| WO (1) | WO2013008062A1 (en) |
Cited By (2)
| Publication number | Priority date | Publication date | Assignee | Title |
|---|---|---|---|---|
| JP2016533342A (en) * | 2013-09-23 | 2016-10-27 | セントレ ナショナル デ ラ レセルシュ シャンティフィク | Glycoclusters and their use as antibacterial agents |
| US10571427B2 (en) | 2016-09-20 | 2020-02-25 | Kabushiki Kaisha Toshiba | Molecular detection apparatus |
Families Citing this family (6)
| Publication number | Priority date | Publication date | Assignee | Title |
|---|---|---|---|---|
| US9859500B2 (en) * | 2016-02-18 | 2018-01-02 | International Business Machines Corporation | Formation of carbon nanotube-containing devices |
| JP6622166B2 (en) * | 2016-09-20 | 2019-12-18 | 株式会社東芝 | Molecular detector, molecular detection method, molecular detector, and organic probe |
| EP3577069A4 (en) * | 2017-02-01 | 2021-03-03 | The Government of the United States of America, as represented by the Secretary of the Navy | GRAPHENE FUNCTIONALIZATION PROCESS THAT CONSERVES CHARACTERISTIC ELECTRONIC PROPERTIES SUCH AS THE QUANTUM HALL EFFECT AND ALLOWS THE DEPOSIT OF NANOPARTICLES |
| EP4071466A1 (en) | 2021-04-08 | 2022-10-12 | AttenBio S.L. | Mixed functionalized graphene structure and corresponding field-effect transistor biosensor |
| CN113484380A (en) * | 2021-05-31 | 2021-10-08 | 中国十七冶集团有限公司 | Method for screening live bacteria and antibiotics by graphene biosensor for construction site and application |
| CN113588742A (en) * | 2021-05-31 | 2021-11-02 | 中国十七冶集团有限公司 | Preparation method and application of chemical resistance-based biosensor for construction site |
Citations (3)
| Publication number | Priority date | Publication date | Assignee | Title |
|---|---|---|---|---|
| EP0155193A2 (en) * | 1984-03-16 | 1985-09-18 | Serono Diagnostics Limited | Methods of assay |
| WO2008044896A1 (en) | 2006-10-12 | 2008-04-17 | Postech Academy-Industry Foundation | Carbon nanotube-dendron composite and biosensor comprising the same |
| WO2009141486A1 (en) | 2008-05-22 | 2009-11-26 | Consejo Superior De Investigaciones Científicas | Neoglycolipids, aggregates thereof with carbon nanotubes, method for obtaining same and use thereof |
Family Cites Families (4)
| Publication number | Priority date | Publication date | Assignee | Title |
|---|---|---|---|---|
| FR2936604B1 (en) * | 2008-09-29 | 2010-11-05 | Commissariat Energie Atomique | CARBON NANOTUBE CHEMICAL SENSORS, PROCESS FOR PREPARATION AND USES |
| FR2950436B1 (en) * | 2009-09-18 | 2013-09-20 | Commissariat Energie Atomique | APPARATUS AND METHOD FOR DETECTING AND / OR QUANTIFYING COMPOUNDS OF INTEREST PRESENT IN GAS FORM OR SOLUTION IN SOLVENT |
| JP2011080798A (en) * | 2009-10-05 | 2011-04-21 | Sharp Corp | Method of manufacturing chemical substance sensing element |
| WO2011158068A1 (en) * | 2010-06-18 | 2011-12-22 | Centre National De La Recherche Scientifique (Cnrs) | Non covalent molecular structure, device comprising the same and its use for detection of lectin |
-
2011
- 2011-07-12 EP EP11748726.4A patent/EP2732277A1/en not_active Withdrawn
- 2011-07-12 JP JP2014519642A patent/JP2014521081A/en active Pending
- 2011-07-12 US US14/131,330 patent/US20140147938A1/en not_active Abandoned
- 2011-07-12 WO PCT/IB2011/053100 patent/WO2013008062A1/en not_active Ceased
- 2011-07-12 CA CA2840015A patent/CA2840015A1/en not_active Abandoned
Patent Citations (3)
| Publication number | Priority date | Publication date | Assignee | Title |
|---|---|---|---|---|
| EP0155193A2 (en) * | 1984-03-16 | 1985-09-18 | Serono Diagnostics Limited | Methods of assay |
| WO2008044896A1 (en) | 2006-10-12 | 2008-04-17 | Postech Academy-Industry Foundation | Carbon nanotube-dendron composite and biosensor comprising the same |
| WO2009141486A1 (en) | 2008-05-22 | 2009-11-26 | Consejo Superior De Investigaciones Científicas | Neoglycolipids, aggregates thereof with carbon nanotubes, method for obtaining same and use thereof |
Non-Patent Citations (13)
| Title |
|---|
| ASSALI M ET AL: "Non-covalent functionalization of carbon nanotubes with glycolipids: Glyconanomaterials with specific lectin-affinity", SOFT MATTER, ROYAL SOCIETY OF CHEMISTRY, CAMBRIDGE, GB, vol. 5, no. 5, 1 January 2009 (2009-01-01), pages 948 - 950, XP008125951, ISSN: 1744-683X, [retrieved on 20090113], DOI: 10.1039/B817059B * |
| ASSALI M, ROYAL SOCIETY OF CHEMISTRY, vol. 5, no. 5, 2009, pages 948 - 950 |
| BLANCHARD, B. ET AL., J. MOL. BIOL., vol. 383, 2008, pages 837 - 853 |
| KOTCHEY, G.P ET AL.: "Enzymatic oxidation of graphene oxide", ACS NANO, vol. 5, 2011, pages 2098 - 2108 |
| KOVTYUKHOVA, N.I. ET AL., CHEM. MATER., vol. 11, 1999, pages 771 - 778 |
| LI, D. ET AL., NATURE NANO, vol. 3, 2008, pages 101 - 105 |
| LI, J., ZACHAREK, S., CHEN, X., WANG, J., ZHANG, W., JANCZUK, A., WANG, P. G., BIOORG. MED. CHEM., vol. 7, 1999, pages 1549 - 1558 |
| MITCHELL, E.P. ET AL., PROTEINS: STRUCT. FUNCT. BIOINFO., vol. 58, 2005, pages 735 - 746 |
| SANKI, A. K., MAHAL, L. K., SYNLETT, 2006, pages 455 - 459 |
| SZURMAI, Z., SZABO, L., LIPTÁK, A., ACTA CHIM. HUNG., vol. 126, 1989, pages 259 - 269 |
| VEDALA H. ET AL., NANO LETT., vol. 11, 2011, pages 170 - 175 |
| VIJAYARAGHAVAN, A. ET AL., ACS NANO, vol. 3, 2009, pages 1729 - 1734 |
| WU P ET AL: "Biocompatible carbon nanotubes generated by functionalization with glycodendrimers", ANGEWANDTE CHEMIE. INTERNATIONAL EDITION, WILEY VCH VERLAG, WEINHEIM, vol. 47, no. 27, 23 June 2008 (2008-06-23), pages 5022 - 5025, XP002541105, ISSN: 1433-7851, [retrieved on 20080528], DOI: 10.1002/ANIE.200705363 * |
Cited By (2)
| Publication number | Priority date | Publication date | Assignee | Title |
|---|---|---|---|---|
| JP2016533342A (en) * | 2013-09-23 | 2016-10-27 | セントレ ナショナル デ ラ レセルシュ シャンティフィク | Glycoclusters and their use as antibacterial agents |
| US10571427B2 (en) | 2016-09-20 | 2020-02-25 | Kabushiki Kaisha Toshiba | Molecular detection apparatus |
Also Published As
| Publication number | Publication date |
|---|---|
| CA2840015A1 (en) | 2013-01-17 |
| EP2732277A1 (en) | 2014-05-21 |
| JP2014521081A (en) | 2014-08-25 |
| US20140147938A1 (en) | 2014-05-29 |
Similar Documents
| Publication | Publication Date | Title |
|---|---|---|
| US20130224761A1 (en) | Non covalent molecular structure, comprising a porphyrin based glycoconjugate, device comprising the same and its use for detection of lectin | |
| US20140147938A1 (en) | Non covalent molecular structure, comprising a pyrene based glycoconjugate, device comprising the same and its use for detection of lectin | |
| Chen et al. | Electronic detection of lectins using carbohydrate-functionalized nanostructures: graphene versus carbon nanotubes | |
| Singh et al. | Graphene oxide-chitosan nanocomposite based electrochemical DNA biosensor for detection of typhoid | |
| Deiminiat et al. | A novel electrochemical aptasensor based on f-MWCNTs/AuNPs nanocomposite for label-free detection of bisphenol A | |
| Palecek et al. | Electrochemistry of nonconjugated proteins and glycoproteins. Toward sensors for biomedicine and glycomics | |
| Abdelbasset et al. | RETRACTED ARTICLE: Comparison and evaluation of the performance of graphene-based biosensors | |
| Reta et al. | Label-free bacterial toxin detection in water supplies using porous silicon nanochannel sensors | |
| Ghosh et al. | Selective detection of lysozyme biomarker utilizing large area chemical vapor deposition-grown graphene-based field-effect transistor | |
| Ye et al. | A nanoporous membrane based impedance sensing platform for DNA sensing with gold nanoparticle amplification | |
| Feng et al. | Functionalized graphene as sensitive electrochemical label in target-dependent linkage of split aptasensor for dual detection | |
| Gerland et al. | Structure binding relationship of galactosylated Glycoclusters toward Pseudomonas aeruginosa lectin LecA using a DNA-based carbohydrate microarray | |
| He et al. | Dynamic tracking of pathogenic receptor expression of live cells using pyrenyl glycoanthraquinone-decorated graphene electrodes | |
| Wang et al. | A functional glycoprotein competitive recognition and signal amplification strategy for carbohydrate–protein interaction profiling and cell surface carbohydrate expression evaluation | |
| Li et al. | A dual-signal amplification strategy for kanamycin based on ordered mesoporous carbon-chitosan/gold nanoparticles-streptavidin and ferrocene labelled DNA | |
| Dehdashtian et al. | Fabrication of a novel, sensitive and selective electrochemical sensor for antibiotic cefotaxime based on sodium montmorillonite nonoclay/electroreduced graphene oxide composite modified carbon paste electrode | |
| Zhao et al. | Low fouling strategy of electrochemical biosensor based on chondroitin sulfate functionalized gold magnetic particle for voltammetric determination of mycoplasma ovipneumonia in whole serum | |
| Tung et al. | Nanostructured electrochemical biosensor for th0065 detection of the weak binding between the dengue virus and the CLEC5A receptor | |
| Pathania et al. | Aptamer functionalized MoS2-rGO nanocomposite based biosensor for the detection of Vi antigen | |
| Jiang et al. | Graphene oxide-based NIR fluorescence probe with aggregation-induced emission property for lectins detection and liver cells targeting | |
| Kumar et al. | Highly bendable and smoke free degradable nanomaterials modified paper based electrochemical biosensor for efficient detection of protein biomarker | |
| Ranjbar et al. | Electrochemical and computational studies of bio-mimicked Ti3C2Tx MXene-based sensor with multivalent interface | |
| Hua et al. | Label-free electrochemical cocaine aptasensor based on a target-inducing aptamer switching conformation | |
| Patel et al. | Magnesium oxide grafted carbon nanotubes based impedimetric genosensor for biomedical application | |
| Sharma et al. | Electrochemical impedance spectroscopy-driven aptabiosensor for chikungunya detection using NG-ZnO nanocomposites on paper-based platforms |
Legal Events
| Date | Code | Title | Description |
|---|---|---|---|
| 121 | Ep: the epo has been informed by wipo that ep was designated in this application |
Ref document number: 11748726 Country of ref document: EP Kind code of ref document: A1 |
|
| ENP | Entry into the national phase |
Ref document number: 2840015 Country of ref document: CA |
|
| REEP | Request for entry into the european phase |
Ref document number: 2011748726 Country of ref document: EP |
|
| WWE | Wipo information: entry into national phase |
Ref document number: 2011748726 Country of ref document: EP |
|
| WWE | Wipo information: entry into national phase |
Ref document number: 14131330 Country of ref document: US |
|
| ENP | Entry into the national phase |
Ref document number: 2014519642 Country of ref document: JP Kind code of ref document: A |
|
| NENP | Non-entry into the national phase |
Ref country code: DE |























