WO2010104047A1 - 多環芳香族化合物 - Google Patents
多環芳香族化合物 Download PDFInfo
- Publication number
- WO2010104047A1 WO2010104047A1 PCT/JP2010/053818 JP2010053818W WO2010104047A1 WO 2010104047 A1 WO2010104047 A1 WO 2010104047A1 JP 2010053818 W JP2010053818 W JP 2010053818W WO 2010104047 A1 WO2010104047 A1 WO 2010104047A1
- Authority
- WO
- WIPO (PCT)
- Prior art keywords
- group
- substituted
- alkyl
- aryl
- compound
- Prior art date
- Legal status (The legal status is an assumption and is not a legal conclusion. Google has not performed a legal analysis and makes no representation as to the accuracy of the status listed.)
- Ceased
Links
- 0 CC12C(c3cccc(-c4c(C)ccc5c4cccc5)c3P=S)=C(*)C=CC1C=CC=C2 Chemical compound CC12C(c3cccc(-c4c(C)ccc5c4cccc5)c3P=S)=C(*)C=CC1C=CC=C2 0.000 description 2
- BCIJPGCAWONPPR-UHFFFAOYSA-N CCN(CC)C(C1C(c2c(cccc3)c3ccc2C)=CC=CC1(C)c1c(C)ccc2c1cccc2)[N](CC)(CC)CC Chemical compound CCN(CC)C(C1C(c2c(cccc3)c3ccc2C)=CC=CC1(C)c1c(C)ccc2c1cccc2)[N](CC)(CC)CC BCIJPGCAWONPPR-UHFFFAOYSA-N 0.000 description 1
- MYBZXNUEMXURNG-UHFFFAOYSA-N Cc(ccc1c2cccc1)c2-c(cccc1-c2c(cccc3)c3ccc2C)c1P=S Chemical compound Cc(ccc1c2cccc1)c2-c(cccc1-c2c(cccc3)c3ccc2C)c1P=S MYBZXNUEMXURNG-UHFFFAOYSA-N 0.000 description 1
- GUENITHQOIRGBE-UHFFFAOYSA-N Cc1ccc(cccc23)c2c1-c1cccc(-c2c(C)ccc4c2c2ccc4)c1P32=S Chemical compound Cc1ccc(cccc23)c2c1-c1cccc(-c2c(C)ccc4c2c2ccc4)c1P32=S GUENITHQOIRGBE-UHFFFAOYSA-N 0.000 description 1
Classifications
-
- C—CHEMISTRY; METALLURGY
- C07—ORGANIC CHEMISTRY
- C07F—ACYCLIC, CARBOCYCLIC OR HETEROCYCLIC COMPOUNDS CONTAINING ELEMENTS OTHER THAN CARBON, HYDROGEN, HALOGEN, OXYGEN, NITROGEN, SULFUR, SELENIUM OR TELLURIUM
- C07F9/00—Compounds containing elements of Groups 5 or 15 of the Periodic Table
- C07F9/02—Phosphorus compounds
- C07F9/28—Phosphorus compounds with one or more P—C bonds
- C07F9/48—Phosphonous acids [RP(OH)2] including [RHP(=O)(OH)]; Thiophosphonous acids including [RP(SH)2], [RHP(=S)(SH)]; Derivatives thereof
- C07F9/4883—Amides or esteramides thereof, e.g. RP(NR'2)2 or RP(XR')(NR''2) (X = O, S)
-
- C—CHEMISTRY; METALLURGY
- C07—ORGANIC CHEMISTRY
- C07F—ACYCLIC, CARBOCYCLIC OR HETEROCYCLIC COMPOUNDS CONTAINING ELEMENTS OTHER THAN CARBON, HYDROGEN, HALOGEN, OXYGEN, NITROGEN, SULFUR, SELENIUM OR TELLURIUM
- C07F5/00—Compounds containing elements of Groups 3 or 13 of the Periodic Table
-
- C—CHEMISTRY; METALLURGY
- C07—ORGANIC CHEMISTRY
- C07F—ACYCLIC, CARBOCYCLIC OR HETEROCYCLIC COMPOUNDS CONTAINING ELEMENTS OTHER THAN CARBON, HYDROGEN, HALOGEN, OXYGEN, NITROGEN, SULFUR, SELENIUM OR TELLURIUM
- C07F5/00—Compounds containing elements of Groups 3 or 13 of the Periodic Table
- C07F5/02—Boron compounds
- C07F5/027—Organoboranes and organoborohydrides
-
- C—CHEMISTRY; METALLURGY
- C07—ORGANIC CHEMISTRY
- C07F—ACYCLIC, CARBOCYCLIC OR HETEROCYCLIC COMPOUNDS CONTAINING ELEMENTS OTHER THAN CARBON, HYDROGEN, HALOGEN, OXYGEN, NITROGEN, SULFUR, SELENIUM OR TELLURIUM
- C07F5/00—Compounds containing elements of Groups 3 or 13 of the Periodic Table
- C07F5/06—Aluminium compounds
- C07F5/061—Aluminium compounds with C-aluminium linkage
- C07F5/062—Al linked exclusively to C
-
- C—CHEMISTRY; METALLURGY
- C07—ORGANIC CHEMISTRY
- C07F—ACYCLIC, CARBOCYCLIC OR HETEROCYCLIC COMPOUNDS CONTAINING ELEMENTS OTHER THAN CARBON, HYDROGEN, HALOGEN, OXYGEN, NITROGEN, SULFUR, SELENIUM OR TELLURIUM
- C07F7/00—Compounds containing elements of Groups 4 or 14 of the Periodic Table
- C07F7/02—Silicon compounds
- C07F7/08—Compounds having one or more C—Si linkages
- C07F7/0803—Compounds with Si-C or Si-Si linkages
- C07F7/0805—Compounds with Si-C or Si-Si linkages comprising only Si, C or H atoms
- C07F7/0807—Compounds with Si-C or Si-Si linkages comprising only Si, C or H atoms comprising Si as a ring atom
-
- C—CHEMISTRY; METALLURGY
- C07—ORGANIC CHEMISTRY
- C07F—ACYCLIC, CARBOCYCLIC OR HETEROCYCLIC COMPOUNDS CONTAINING ELEMENTS OTHER THAN CARBON, HYDROGEN, HALOGEN, OXYGEN, NITROGEN, SULFUR, SELENIUM OR TELLURIUM
- C07F9/00—Compounds containing elements of Groups 5 or 15 of the Periodic Table
- C07F9/02—Phosphorus compounds
- C07F9/28—Phosphorus compounds with one or more P—C bonds
- C07F9/50—Organo-phosphines
- C07F9/53—Organo-phosphine oxides; Organo-phosphine thioxides
- C07F9/5325—Aromatic phosphine oxides or thioxides (P-C aromatic linkage)
-
- C—CHEMISTRY; METALLURGY
- C07—ORGANIC CHEMISTRY
- C07F—ACYCLIC, CARBOCYCLIC OR HETEROCYCLIC COMPOUNDS CONTAINING ELEMENTS OTHER THAN CARBON, HYDROGEN, HALOGEN, OXYGEN, NITROGEN, SULFUR, SELENIUM OR TELLURIUM
- C07F9/00—Compounds containing elements of Groups 5 or 15 of the Periodic Table
- C07F9/02—Phosphorus compounds
- C07F9/547—Heterocyclic compounds, e.g. containing phosphorus as a ring hetero atom
- C07F9/6564—Heterocyclic compounds, e.g. containing phosphorus as a ring hetero atom having phosphorus atoms, with or without nitrogen, oxygen, sulfur, selenium or tellurium atoms, as ring hetero atoms
- C07F9/6568—Heterocyclic compounds, e.g. containing phosphorus as a ring hetero atom having phosphorus atoms, with or without nitrogen, oxygen, sulfur, selenium or tellurium atoms, as ring hetero atoms having phosphorus atoms as the only ring hetero atoms
- C07F9/65683—Heterocyclic compounds, e.g. containing phosphorus as a ring hetero atom having phosphorus atoms, with or without nitrogen, oxygen, sulfur, selenium or tellurium atoms, as ring hetero atoms having phosphorus atoms as the only ring hetero atoms the ring phosphorus atom being part of a phosphine
-
- C—CHEMISTRY; METALLURGY
- C07—ORGANIC CHEMISTRY
- C07F—ACYCLIC, CARBOCYCLIC OR HETEROCYCLIC COMPOUNDS CONTAINING ELEMENTS OTHER THAN CARBON, HYDROGEN, HALOGEN, OXYGEN, NITROGEN, SULFUR, SELENIUM OR TELLURIUM
- C07F9/00—Compounds containing elements of Groups 5 or 15 of the Periodic Table
- C07F9/02—Phosphorus compounds
- C07F9/547—Heterocyclic compounds, e.g. containing phosphorus as a ring hetero atom
- C07F9/6564—Heterocyclic compounds, e.g. containing phosphorus as a ring hetero atom having phosphorus atoms, with or without nitrogen, oxygen, sulfur, selenium or tellurium atoms, as ring hetero atoms
- C07F9/6568—Heterocyclic compounds, e.g. containing phosphorus as a ring hetero atom having phosphorus atoms, with or without nitrogen, oxygen, sulfur, selenium or tellurium atoms, as ring hetero atoms having phosphorus atoms as the only ring hetero atoms
- C07F9/65685—Heterocyclic compounds, e.g. containing phosphorus as a ring hetero atom having phosphorus atoms, with or without nitrogen, oxygen, sulfur, selenium or tellurium atoms, as ring hetero atoms having phosphorus atoms as the only ring hetero atoms the ring phosphorus atom being part of a phosphine oxide or thioxide
-
- H—ELECTRICITY
- H10—SEMICONDUCTOR DEVICES; ELECTRIC SOLID-STATE DEVICES NOT OTHERWISE PROVIDED FOR
- H10K—ORGANIC ELECTRIC SOLID-STATE DEVICES
- H10K85/00—Organic materials used in the body or electrodes of devices covered by this subclass
- H10K85/60—Organic compounds having low molecular weight
- H10K85/649—Aromatic compounds comprising a hetero atom
- H10K85/657—Polycyclic condensed heteroaromatic hydrocarbons
Definitions
- the present invention relates to a novel compound, and in particular, to a polycyclic aromatic compound and an organic light emitting device that may contain a hetero atom.
- Patent Documents 1 to 3 Conventionally, ⁇ -NPD, rubrene, Alq3, PBD, and the like have been studied as light emitting materials used in organic EL devices (Patent Documents 1 to 3).
- a thin film containing a fluorescent organic compound or a phosphorescent organic compound is sandwiched between an anode and a cathode. It is an element that uses light emitted when excitons of fluorescent compounds or phosphorescent compounds are generated by injecting electrons and holes (holes) from each electrode, and these excitons return to the ground state. .
- An object of the present invention is to provide a novel polycyclic aromatic compound and an organic light emitting device that can have a hetero atom or a carbon atom as a center.
- the present inventor provides a novel polycyclic aromatic compound having a structure fixed by the following central element (X) and an organic light-emitting device containing the compound.
- Item 1 The compound represented by the following general formula (I).
- X, X 1 , X 2 , X 3 , Z 1 , Z 2 are any of the following (i) to (iii): (i) when Z 1 , X, Z 2 together with the carbon atom to which they are attached show the structure of the following formula (A1), (A2) or (A3), X 2 , X 1 , X 3 are the same or different and each represents R 1 , or together with the carbon atom to which they are bonded, each represents Y 7 , Y 8 , Y 9 . Y 1 to Y 15 are the same or different and each represents N or CR 1 . X represents a hetero atom or a derivative thereof or CR 1 .
- X, X 1 , X 2 , X 3 , Z 1 , Z 2 together with the carbon atom to which they are attached show the structure of formula (A5) below.
- Y 1 to Y 15 , Y 1 ′ to Y 15 ′ , Y 1 ′′ to Y 21 ′′ are the same or different and represent N or CR 1 .
- X, X 2 and X 3 are the same or different and each represents a hetero atom or a derivative thereof or CR 1 .
- R 1 is a hydrogen atom, a halogen atom, a C 1-6 alkoxy group, an aryloxy group, a trifluoromethyl group, a hydroxy group, a C 1-6 alkyl group, a C 3-7 cycloalkyl group, or a C 3-7 cycloalkyl substitution.
- C 1-4 alkyl group C 2-6 alkenyl group, C 2-6 alkynyl group, C 1-6 alkoxy group, trifluoromethoxy group, trifluoroethoxy group, C 1-10 alkylcarbonyl group, C 1-2 Alkylsulfonyl group, cyano group, nitro group, amino group, mono- or di-substituted amino group, monoarylamino group, diarylamino group, carbazole group, C 1-6 alkoxycarbonylamino group, carbamoyl group, mono- or di-substituted carbamoyl group , Sulfamoyl group, mono- or di-substituted sulfamoyl group, C 1-6 alkylsulfonyl Amino group, aryl group, heteroaryl group, C 1-6 alkoxycarbonyl group, aryl-substituted C 1-4 alkoxycarbonyl group, carboxyl group, 5-tetrazol
- the aryl group, aryl moiety, heteroaryl group, heteroaryl moiety is halogen, hydroxy, C 1-6 alkyl, hydroxy C 1-3 alkyl, C 1-6 alkoxy, trifluoromethyl, trifluoromethoxy, Ruoroetokishi, cyano, nitro, amino, mono- or di-substituted amino, carbamoyl, sulfamoyl, C 1-6 alkylsulfonyl, C 1-3 alkylsulfonylamino, C 1-3 alkylcarbonylamino, methylenedioxy, monoarylamino, diaryl Amino, carbazole, heteroaryl and aryl (the aryl is a halogen atom, a C 1-6 alkoxy group, a trifluoromethyl group, a hydroxy group, a C 1-6 alkyl group, a C 3-7 cycloalkyl group
- R 1 Is a hydrogen atom, a halogen atom, a C 1-6 alkoxy group, an aryloxy group, a trifluoromethyl group, a hydroxy group, a C 1-6 alkyl group, a C 3-7 cycloalkyl group, a C 3-7 cycloalkyl-substituted C 1-4 alkyl group, C 2-6 alkenyl group, C 2-6 alkynyl group, C 1-6 alkoxy group, trifluoromethoxy group, trifluoroethoxy group, C 1-10 alkylcarbonyl group, C 1-2 alkyl a sulfonyl group, a cyano group, a nitro group, an amino group, a mono- or
- Three adjacent R 1 groups bonded to any of ' , Y 10' to Y 15 ' and Y 1'' to Y 21'' together with the carbon atom to which they are bonded A ring or a tricyclic aromatic cyclic group is shown.
- X, X 1 , X 2 and X 3 are the same or different and each represents a hetero atom or a derivative thereof or CR 1 .
- Item 3. Item 2. The compound according to item 1, wherein X, X 1 , X 2 , and X 3 are the same or different and are N, P, As, Si—R 1 , CR 1 or B. Item 4. Item 5. An organic light emitting device comprising the compound according to item 1, 2 or 3.
- an organic EL device such as a hole transport material, a light emitting material, and an electron transport material.
- the present invention provides a compound represented by the following general formula (I).
- X, X 1 , X 2 , and X 3 are the same or different and are heteroatoms or derivatives thereof or CR 1 ;
- Heteroatoms include N, P, As, C—R 1 , Si—R 1 , B, Ge—R 1 , Sn—R 1 , Al, Ga, Pb—R 1 (R 1 is as defined above) Sb, Bi, In, lanthanoid, etc., preferably N, P, As, C—R 1 , Si—R 1 , B, Ge—R 1 , Sn—R 1 , Al, Ga (R 1 is as defined above), more preferably N, P, As, C—R 1 , Si—R 1 , B, (R 1 is as defined above).
- M R 1 is as defined above. M represents Li, Na, K, Cs, MgCl, MgBr, Bu 4 N, etc.).
- Y 1 to Y 15 , Y 1 ′ to Y 6 ′ , Y 10 ′ to Y 15 ′ , and Y 1 ′′ to Y 21 ′′ are the same or different and each represents N (nitrogen atom) or CR 1 .
- a plurality of R 1 bonded to Y 1 to Y 15 , Y 1 ′ to Y 6 ′ , Y 10 ′ to Y 15 ′ , and Y 1 ′′ to Y 21 ′′ are the same or different. Also good.
- each ring has three nitrogen atoms. However, it is preferably 2 or less, more preferably 1.
- 1 or less nitrogen atom is more preferable.
- the total number of nitrogen atoms is preferably 5 or less, preferably 3 The following is more preferable, and 2 or less is more preferable.
- the combination of two adjacent R 1 groups is Y 1 and Y 2 , Y 2 and Y 3 , Y 3 and Y 4 , Y 4 and Y 5 , Y 5 and Y 6 , Y 6 and Y 7 , Y 7 and Y 8, Y 8 and Y 9, Y 9 and Y 10, Y 10 and Y 11, Y 11 and Y 12, Y 12 and Y 13, Y 13 and Y 14, Y 14 and Y 15, Y 1 'and Y 2', Y 2 'and Y 3', Y 3 'and Y 4', Y 4 'and Y 5', 'Y 6 and' Y 5, Y 10 'and Y 11', Y 11 ' And Y 12' , Y 12 ' and Y 13' , Y 13 ' and Y 14' , Y 14 ' and Y 15' , Y 1 '' and Y 2 '' , Y 2 '' and
- Examples of the “cyclic group optionally having a 5-membered ring or 6-membered hetero atom” include benzene, dihydrobenzene, tetrahydrobenzene, cyclopentene, cyclopentadiene, furan, pyran, dihydrofuran, dihydropyran, dihydropyrrole. , Pyrrole, dihydrothiophene, thiophene, imidazole, thiazole, oxazole, pyridine, dihydropyridine, pyrimidine, dihydropyrimidine, pyridazine, dihydropyridazine.
- the three adjacent R 1 groups are Represents a bicyclic or tricyclic aromatic cyclic group together with the carbon atom to which is bonded.
- the combinations of three adjacent R 1 groups are Y 1 to Y 2 and Y 3 , Y 2 and Y 3 and Y 4 , Y 3 and Y 4 and Y 5 , Y 1 to Y 15.
- naphthalene indene, phenanthrene, anthracene, fluorene, acenaphthene, phenalene may be mentioned.
- C 1-6 alkylcarbonyl the number of carbon atoms is defined as “C 1-6 alkylcarbonyl”, but this number of carbon atoms modifies only the immediately following group or moiety. Therefore, in the above case, since C 1-6 modifies only alkyl, “C 1 alkylcarbonyl” corresponds to acetyl.
- the alkyl group and the alkyl moiety may be linear or branched.
- the alkyl moiety means a C 1-2 alkylsulfonyl group, a C 1-6 alkylsulfonylamino group, an aryl-substituted C 1-4 alkyl group, a heteroaryl-substituted C 1-4 alkyl group, and a C 1-10 alkyl.
- an alkyl group in a C 1-6 alkoxycarbonylamino group, a C 1-6 alkoxycarbonyl group, and an alkoxy in a C 1-6 alkoxy group (O-alkyl group)
- mono- or di- A substituted amino group, a mono- or di-substituted sulfamoyl group, and an alkyl group that is a substituent of a di-substituted amino are included.
- the aryl moiety means an aryl group of an aryl-substituted C 1-4 alkoxycarbonyl group, a monoarylamino group, a diarylamino group, and an aryl-substituted C 1-4 alkyl group.
- a heteroaryl moiety refers to a heteroaryl group of a heteroaryl substituted C 1-4 alkyl group.
- Halogen atom means fluorine, chlorine, bromine or iodine, preferably fluorine, chlorine or bromine.
- the “C 1-10 alkyl group” may be any of linear, branched or cyclic, for example, methyl, ethyl, n-propyl, isopropyl, n-butyl, isobutyl, tert-butyl, n- Examples include pentyl, isopentyl, hexyl, heptyl, octyl, nonyl and decyl.
- the “C 1-6 alkyl group” may be linear or branched. Examples include methyl, ethyl, n-propyl, isopropyl, n-butyl, isobutyl, tert-butyl, n-pentyl, isopentyl and hexyl.
- the “C 1-4 alkyl group” may be linear or branched. Examples include methyl, ethyl, n-propyl, isopropyl, n-butyl, isobutyl, tert-butyl.
- the “C 1-3 alkyl group” may be linear or branched. Examples include methyl, ethyl, n-propyl and isopropyl.
- a “C 1-2 alkyl group” is methyl or ethyl.
- C 3-7 cycloalkyl group examples include cyclopropyl, cyclobutyl, cyclopentyl, cyclohexyl and cycloheptyl.
- C 3-7 cycloalkyl-substituted C 1-4 alkyl group examples include cyclopropylmethyl, cyclobutylmethyl, cyclopentylmethyl, cyclohexylmethyl and cycloheptylmethyl.
- the “C 2-10 alkenyl group” may be any of linear, branched or cyclic, and means having at least one double bond, such as vinyl, allyl, 1-propenyl, 2- Methyl-2-propenyl, isopropenyl, 1-, 2- or 3-butenyl, 2-, 3- or 4-pentenyl, 2-methyl-2-butenyl, 3-methyl-2-butenyl, 5-hexenyl, 1 -Cyclopentenyl, 1-cyclohexenyl, 3-methyl-3-butenyl.
- the “C 2-6 alkenyl group” may be any of linear, branched or cyclic, and means having at least one double bond, such as vinyl, allyl, 1-propenyl, 2- Methyl-2-propenyl, isopropenyl, 1-, 2- or 3-butenyl, 2-, 3- or 4-pentenyl, 2-methyl-2-butenyl, 3-methyl-2-butenyl, 5-hexenyl, 1 -Cyclopentenyl, 1-cyclohexenyl, 3-methyl-3-butenyl.
- the “C 2-10 alkynyl group” may be any of linear, branched or cyclic, and means one having at least one triple bond, such as ethynyl, 1- or 2-propynyl, 1- 2- or 3-butynyl, 1-methyl-2-propynyl.
- the “C 2-6 alkynyl group” may be linear, branched or cyclic, and has at least one triple bond. For example, ethynyl, 1- or 2-propynyl, 1- 2- or 3-butynyl, 1-methyl-2-propynyl.
- “Mono-substituted” in a mono- or di-substituted amino group, mono- or di-substituted carbamoyl group or mono- or di-substituted sulfamoyl group means that one hydrogen atom bonded to the nitrogen atom of the amino group, carbamoyl group or sulfamoyl group is C 1.
- Nitrogen-containing cyclic groups include morpholino, 1-pyrrolidinyl, piperidino and 4-methyl-1-piperazinyl.
- Examples of the amino group monosubstituted by C 1-6 alkyl include methylamino, ethylamino, n-propylamino, isopropylamino, n-butylamino, isobutylamino, tert-butylamino, n-pentylamino, isopentylamino And hexylamino.
- Examples of the amino group di-substituted with C 1-6 alkyl include dimethylamino, diethylamino, di-n-propylamino, diisopropylamino, di-n-butylamino, diisobutylamino, ditert-butylamino, di-n-pentylamino, Examples include diisopentylamino and dihexylamino.
- Examples of the carbamoyl group monosubstituted with C 1-6 alkyl include methylcarbamoyl, ethylcarbamoyl, n-propylcarbamoyl, isopropylcarbamoyl, n-butylcarbamoyl, isobutylcarbamoyl, tert-butylcarbamoyl, n-pentylcarbamoyl, isopentylcarbamoyl And hexylcarbamoyl.
- Examples of the carbamoyl group di-substituted with C 1-6 alkyl include dimethylcarbamoyl, diethylcarbamoyl, di-n-propylcarbamoyl, diisopropylcarbamoyl, din-butylcarbamoyl, diisobutylcarbamoyl, ditert-butylcarbamoyl, din-pentylcarbamoyl. , Diisopentylcarbamoyl, and dihexylcarbamoyl.
- the sulfamoyl group mono-substituted with C 1-6 alkyl includes methylsulfamoyl, ethylsulfamoyl, n-propylsulfamoyl, isopropylsulfamoyl, n-butylsulfamoyl, isobutylsulfamoyl, tert -Butyl sulfamoyl, n-pentyl sulfamoyl, isopentyl sulfamoyl, hexyl sulfamoyl.
- Examples of the sulfamoyl group disubstituted with C 1-6 alkyl include dimethylsulfamoyl, diethylsulfamoyl, di-n-propylsulfamoyl, diisopropylsulfamoyl, di-n-butylsulfamoyl, diisobutylsulfamoyl. Di-tert-butylsulfamoyl, di-n-pentylsulfamoyl, diisopentylsulfamoyl, dihexylsulfamoyl.
- aryl group means a monocyclic or polycyclic group composed of a 5- or 6-membered aromatic hydrocarbon ring, and specific examples include phenyl, naphthyl, fluorenyl, anthryl, biphenylyl, tetrahydronaphthyl, chromanyl. 2,3-dihydro-1,4-dioxanaphthalenyl, indanyl and phenanthryl.
- arylene group means a monocyclic or polycyclic divalent group composed of a 5- or 6-membered aromatic hydrocarbon ring, and specific examples include phenylene and naphthylene.
- Heteroaryl group means a monocyclic or polycyclic group consisting of a 5- or 6-membered aromatic ring containing 1 to 3 heteroatoms selected from N, O and S. In the case of a system, at least one ring may be an aromatic ring.
- Specific examples include furyl, thienyl, pyrrolyl, imidazolyl, pyrazolyl, oxazolyl, thiazolyl, isoxazolyl, isothiazolyl, pyridyl, pyrazinyl, pyrimidinyl, pyridazinyl, indolyl, quinolyl, isoquinolyl, carbazolyl, silole, benzo [b] silole, benzo [b ] Furyl, benzo [b] thienyl, dibenzo [b, d] furyl, dibenzo [b, d] thienyl, and benzimidazolyl.
- Aryloxy includes phenyloxy, naphthyloxy, fluorenyloxy, anthryloxy, biphenylyloxy, tetrahydronaphthyloxy, chromanoxy, 2,3-dihydro-1,4-dioxanaphthalenyloxy, inda Nyloxy and phenanthryloxy are mentioned.
- Aryl-substituted C 1-4 alkoxy includes benzyloxy, naphthylmethyloxy, fluorenylmethyloxy, anthrylmethyloxy, biphenylylmethyloxy, tetrahydronaphthylmethyloxy, chromanylmethyloxy, 2,3-dihydro-1 , 4-dioxanaphthalenylmethyloxy, indanylmethyloxy and phenanthrylmethyloxy, phenethyloxy, naphthylethyloxy, fluorenylethyloxy, anthrylethyloxy, biphenylylethyloxy, tetrahydronaphthylethyloxy, Examples include chromanylethyloxy, 2,3-dihydro-1,4-dioxanaphthalenylethyloxy, indanylethyloxy and phenanthrylethyloxy.
- C 1-6 alkoxy groups include methoxy, ethoxy, propoxy, isopropoxy, butoxy, isobutoxy, tert-butoxy, pentyloxy, isopentyloxy and hexyloxy.
- CF 3 CH 2 O— is preferable.
- C 1-2 alkylsulfonyl groups include methylsulfonyl and ethylsulfonyl.
- C 1-6 alkoxycarbonylamino group includes methoxycarbonylamino, ethoxycarbonylamino, propoxycarbonylamino, isopropoxycarbonylamino, butoxycarbonylamino, isobutoxycarbonylamino, tert-butoxycarbonylamino, pentyloxycarbonylamino, isopentyl Examples include oxycarbonylamino and hexyloxycarbonylamino.
- Examples of the C 1-6 alkylsulfonylamino group include methylsulfonylamino, ethylsulfonylamino, n-propylsulfonylamino, isopropylsulfonylamino, n-butylsulfonylamino, isobutylsulfonylamino, tert-butylsulfonylamino, n-pentylsulfonylamino , Isopentylsulfonylamino, and hexylsulfonylamino.
- C 1-6 alkoxycarbonyl groups include methoxycarbonyl, ethoxycarbonyl, propoxycarbonyl, isopropoxycarbonyl, butoxycarbonyl, isobutoxycarbonyl, tert-butoxycarbonyl, pentyloxycarbonyl, isopentyloxycarbonyl and hexyloxycarbonyl. .
- Examples of the aryl-substituted C 1-4 alkoxycarbonyl group include phenylmethyloxycarbonyl, naphthylmethyloxycarbonyl, fluorenylmethyloxycarbonyl, anthrylmethyloxycarbonyl, biphenylylmethyloxycarbonyl, tetrahydronaphthylmethyloxycarbonyl, chromanylmethyl Examples include oxycarbonyl, 2,3-dihydro-1,4-dioxanaphthalenylmethyloxycarbonyl, indanylmethyloxycarbonyl, and phenanthrylmethyloxycarbonyl.
- Aryl substituted C 1-4 alkyl groups include benzyl, naphthylmethyl, fluorenylmethyl, anthrylmethyl, biphenylylmethyl, tetrahydronaphthylmethyl, chromanylmethyl, 2,3-dihydro-1,4-dioxanaphtha Renylmethyl, indanylmethyl and phenanthrylmethyl, phenethyl, naphthylethyl, fluorenylethyl, anthrylethyl, biphenylylethyl, tetrahydronaphthylethyl, chromanylethyl, 2,3-dihydro-1,4-dio Xanaphthalenylethyl, indanylethyl and phenanthrylethyl.
- Heteroaryl-substituted C 1-4 alkyl groups include furylmethyl, thienylmethyl, pyrrolylmethyl, imidazolylmethyl, pyrazolylmethyl, oxazolylmethyl, thiazolylmethyl, isoxazolylmethyl, isothiazolylmethyl, pyridylmethyl, pyrazinylmethyl, pyrimidinyl Methyl, pyridazinylmethyl, indolylmethyl, quinolylmethyl, isoquinolylmethyl, benzo [b] thienylmethyl and benzimidazolylmethyl, furylethyl, thienylethyl, pyrrolylethyl, imidazolylethyl, pyrazolylethyl, oxazolylethyl, thiazolylethyl , Isoxazolylethyl, isothiazolylethyl, pyridylethyl,
- Examples of the C 1-10 alkylcarbonyl group include acetyl, propionyl, butyryl, pentylcarbonyl, hexylcarbonyl, heptylcarbonyl, octylcarbonyl, nonylcarbonyl and decylcarbonyl.
- Monoarylamino includes phenylamino, toluylamino, and naphthylamino.
- Diarylamino includes diphenylamino, naphthylphenylamino, and dinaphthylamino.
- I / Br means I or Br.
- the reaction uses about 1 mol of n-BuLi and then 2 mol to an excess of the compound of formula (2) with respect to 1 mol of the compound of formula (1), and is performed in a solvent at a temperature of about ⁇ 78 ° C. to room temperature.
- the mixture is stirred for 30 minutes to 24 hours, and then 1 mole or excess of I 2 or N-bromosuccinimide (NBS) is added to the solution to obtain the target compound of formula (3).
- NBS N-bromosuccinimide
- an anhydrous ether solvent such as anhydrous diethyl ether or anhydrous THF or an aromatic hydrocarbon solvent such as benzene, toluene, xylene or mesitylene is used.
- N-BuLi or t-BuLi and Xcompound in a solvent are added to the compound of formula (3), (3 ') or (6) and reacted at -78 ° C to a temperature at which the solvent boils for 30 minutes to 24 hours.
- the desired compound of formula (6) 6, (7) or (8) can be obtained.
- aromatic hydrocarbon solvents such as benzene, toluene, xylene and mesitylene, halogenated aromatic hydrocarbon solvents such as chlorobenzene and dichlorobenzene, and halogenated hydrocarbon solvents such as dichloromethane and dichloroethane are used.
- reaction is carried out using 1 mol-excess of n-BuLi or 2 mol-excess of t-BuLi to 1 mol of the compound of formula (3), (3 ′) or (6).
- compound I (iodine) group or Br (bromine) group is withdrawn, then X compound is added in 1 mol to excess amount and treated as shown below to give the formula (7), ( The compound of 8) or (9) is obtained.
- X compound is, when X is P (phosphorus), PCl (NMe 2 ) 2 , PCl (NEt 2 ) 2 , PCl (NiPr 2 ) 2 , PCl (OEt) 2 , PCl (OMe) 2 , PCl 3 , PBr
- a compound such as 3 then using sulfur (S) and AlCl 3 , AlBr 3 , BF 3 .Et 2 O or BCl 3 , a compound “P ⁇ S” is obtained.
- X compound is a compound such as AsCl (NEt 2 ) 2 , AsCl (NiPr 2 ) 2 , AsCl (OEt) 2 , AsCl (OMe) 2 , AsCl 3 , AsBr 3 when X is As (arsenic).
- X compound is R 1 CCl 3 , R 1 CBr 3 , R 1 CHO, R 1 COCl, R 1 COBr, (R 1 CO) O, R 1 C when X is “C—R 1 ” (carbon).
- a compound such as (OMe) 3 , R 1 C (OEt) 3 (R 1 is as defined above) and then AlCl 3 , AlBr 3 , BF 3 .Et 2 O or BCl 3 Can be used to lead to compounds where the desired X is “C—R 1 ”.
- X is “Si—R 1 ” (silicon)
- X compound is R 1 SiF 3 , R 1 SiCl 3 , R 1 SiBr 3 , R 1 SiI 3 , R 1 Si (OMe) 3 , R 1 Si ( OEt) 3 , R 1 Si (OiPr) 3 , R 1 Si (OPh) 3 (R 1 is as defined above) and the like, and then AlCl 3 , AlBr 3 , BF 3.
- Et 2 O or BCl 3 the target X can be led to a compound of “Si—R 1 ”.
- X compound is R 1 SiH 2 F, R 1 SiH 2 Cl, R 1 SiH 2 Br, R 1 SiH 2 (OMe), R 1 SiH 2 (OEt) ), R 1 SiH 2 (OiPr), R 1 SiH 2 (OPh) (where R 1 is as defined above), and then Ph 3 CB (C 6 F 5 ) 4 It can be used to lead to compounds where the target X is “Si—R 1 ”.
- R 1 -M R 1 and M are as defined above
- X compound is R 1 GeCl 3 , R 1 GeBr 3 , R 1 GeI 3 , R 1 Ge (OMe) 3 , R 1 Ge (OEt) 3 , R 1 Ge (OPh) 3 (R 1 is as defined above) and then using AlCl 3 , AlBr 3 , BF 3 .Et 2 O or BCl 3 X can lead to a compound of “Ge—R 1 ”.
- X compound is R 1 SnCl 3 , R 1 SnBr 3 , R 1 SnI 3 , R 1 Sn (OMe) 3 , R 1 Sn (OEt) 3 , R when X is “Sn—R 1 ” (tin) 1 Sn (OPh) 3 (R 1 is as defined above) and then using AlCl 3 , AlBr 3 , BF 3 .Et 2 O or BCl 3 X can lead to a compound of “Sn—R 1 ”.
- X compound is R 1 SnH 2 F, R 1 SnH 2 Cl, R 1 SnH 2 Br, R 1 SnH 2 (OMe), R 1 SnH 2 (OEt) when X is “Sn—R 1 ” (tin). ), R 1 SnH 2 (OiPr), R 1 SnH 2 (OPh) (R 1 is as defined above), and then using Ph 3 CB (C 6 F 5 ) 4 It can be used to lead to compounds where the target X is “Sn—R 1 ”.
- X compound is a compound such as GaCl 3 , GaBr 3 , GaI 3 , Ga (OMe) 3 , Ga (OEt) 3 , Ga (OiPr) 3 , Ga (OPh) 3 when X is Ga (gallium).
- R 1 -M (where R 1 and M are as defined above) as a compound where X ⁇ Ga, a compound where X is “Ga—R 1 ⁇ M” is obtained. .
- the compound of the present invention can also be synthesized according to the following scheme 2.
- I / Br means I or Br
- Br / Cl means Br or Cl
- Y 1 / Y 15 means either Y 1 or Y 15
- Y 2 / Y 14 , Y 3 / Y 13 , Y 4 / Y 12 , Y 5 / Y 11 and Y 6 / Y 10 similarly represent any group.
- Y 1 / Y 15 represents Y 1, Y 2 / Y 14 adjacent to Y 1, Y 3 / Y 13 , Y 4 / Y 12, Y 5 / Y 11, Y 6 / Y 10 is each Y 2, Y 3, Y 4 , Y 5, represents Y 6, Y 1 / if Y 15 represents Y 15, Y 2 / Y 14 adjacent to Y 15, Y 3 / Y 13 , Y 4 / Y 12, Y 5 / Y 11 , Y 6 / Y 10 each represents a Y 14, Y 13, Y 12 , Y 11, Y 10. Accordingly, the compound of formula (7) is included in the compound of general formula (I).
- the compound of formula (10) can be led to the compound of formula (12) by reacting the compound of formula (11) with copper powder, a base and an additive.
- the reaction proceeds advantageously by using about 0.05 mol to 2 mol and reacting for about 1 to 24 hours at a temperature ranging from room temperature to the boiling point of the solvent.
- K 2 CO 3 , Cs 2 CO 3 , Ag 2 CO 3 , CsOAc and K 3 PO 4 as bases, 18-crown-6-ether and PPh 3 as additives, undecane and dodecane as solvents, etc.
- These hydrocarbon solvents and aromatic hydrocarbon solvents such as xylene and mesitylene can be used.
- the target compound of formula (7) can be obtained by reacting the compound of formula (12), palladium catalyst, base and additive.
- the palladium catalyst is used in an amount of about 0.1 mol to 3 mol
- the base is used in an amount of 1 mol to an excess
- the additive is used in an amount of about 0.1 mol to 3 mol with respect to 1 mol of the compound of the formula (12).
- the desired compound of the formula (9) can be obtained by reacting for 30 minutes to 24 hours at a temperature of about the boiling point.
- the compound of the formula (12) can also be synthesized according to the following scheme 3.
- the compound of formula (12) can be led to the compound of formula (12) by reacting the compound of formula (14) with the compound of formula (13).
- 2 mol to an excess of the compound of formula (14) is used with respect to 1 mol of the compound of formula (13), and the reaction is carried out for about 1 to 24 hours at -78 ° C to a temperature at which the solvent boils.
- the solvent an anhydrous ether solvent of anhydrous THF can be used.
- the compound of the present invention can also be synthesized according to the following scheme 4.
- n-BuLi or t-BuLi and Xcompound are added in a solvent, and the reaction is carried out for 30 minutes to 24 hours at ⁇ 78 ° C. to a temperature at which the solvent boils.
- the compound of 17) can be obtained.
- aromatic hydrocarbon solvents such as benzene, toluene, xylene and mesitylene, or halogenated aromatic hydrocarbon solvents such as chlorobenzene and dichlorobenzene are used.
- the reaction is carried out using 2 moles to excess of n-BuLi or 4 moles to excess of t-BuLi per mole of the compound of formula (16), or two I (iodine) groups or Br of the compound of formula (16).
- a compound of formula (17) is obtained by withdrawing the (bromine) group and then adding 2 mol to an excess of X compound and treating in the same manner as in the preparation of the compound (7), (8) or (9) in Scheme 1. Get.
- the compound of the present invention can also be synthesized according to the following scheme 5.
- the compound of the formula (19) can be derived.
- 3 mol to excess of the compound of formula (18), about 0.03 mol to 0.5 mol of palladium catalyst, 3 mol to excess of base, and 1 mol of compound of formula (15 ′) The reaction proceeds advantageously by using about 0.03 mol to 0.5 mol of the additive and reacting at a temperature of about 0 ° C. to boiling of the solvent for about 1 to 24 hours.
- Pd (OAc) 2 or PdCl 2 or Pd 2 (dba) 3 is added as a palladium catalyst, and KF, K 2 CO 3 , Cs 2 CO 3 , Ag 2 CO 3 , CsOAc or K 3 PO 4 is added as a base the PPh 3 or PCy 3 and P (t-Bu) 3 and S-Phos and dppf and Xantphos as agent, as a solvent, THF, dioxane, aromatic hydrocarbons such as ethereal solvents, toluene, xylene, such as anisole A system solvent or a mixed solvent of these organic solvents and water can be used.
- n-BuLi or t-BuLi and Xcompound are added in a solvent, and the reaction is carried out for 30 minutes to 24 hours at ⁇ 78 ° C. to a temperature at which the solvent boils.
- the compound of 20) can be obtained.
- aromatic hydrocarbon solvents such as benzene, toluene, xylene and mesitylene, or halogenated aromatic solvents such as chlorobenzene and dichlorobenzene are used.
- the reaction uses 3 moles to excess of n-BuLi or 6 moles to excess of t-BuLi per mole of the compound of formula (16) to extract the three Br (bromine) groups of the compound of formula (17).
- X compound is added in an amount of 3 mol to an excess amount and treated in the same manner as in the production method of compound (7), (8) or (9) in Scheme 1, to obtain the compound of formula (17).
- the organic light-emitting device of the present invention is an organic light-emitting device comprising at least a pair of electrodes comprising an anode and a cathode, and a layer comprising at least one organic compound sandwiched between the pair of electrodes. At least one layer contains at least one compound represented by the general formula (I).
- the organic light emitting device of the present invention it is preferable that at least a light emitting layer among the layers containing an organic compound contains at least one of the above compounds.
- the host or guest is preferably the compound.
- the guest in the present invention is a compound that emits light in response to recombination of holes and electrons in the light emitting region of the organic EL element, and is included in the substance (host) that forms the light emitting region. It is.
- the content is preferably 50% by weight or less, more preferably from 0.1% by weight to 30% by weight. Or less, and particularly preferably 0.1 wt% or more and 15 wt% or less.
- the guest when the compound represented by the general formula (I) relating to the present invention is used as a host compound, the guest is not particularly limited, and the compounds described below can be appropriately used depending on the desired emission color.
- a hole transporting compound, an electron transporting compound, etc. can be doped together and used.
- the compound of the present invention may be used only in the light emitting layer as the organic compound layer, but if necessary, other than the light emitting layer, for example, a hole injection layer, a hole transport layer, an electron injection layer, an electron transport layer, an electron barrier layer Etc. can also be used.
- the compound represented by the general formula (I) is formed between the anode and the cathode by a vacuum deposition method or a solution coating method.
- the thickness of the organic layer is thinner than 10 ⁇ m, preferably 0.5 ⁇ m or less, more preferably 0.01 to 0.5 ⁇ m.
- the layer containing the compound represented by the general formula (I) and the layer containing another organic compound are generally formed into a thin film by a vacuum deposition method or a coating method by dissolving in an appropriate solvent.
- a film when a film is formed by a coating method, the film can be formed in combination with an appropriate binder resin.
- the binder resin can be selected from a wide range of binder resins such as polyvinyl carbazole resin, polycarbonate resin, polyester resin, polyarylate resin, polystyrene resin, acrylic resin, methacrylic resin, butyral resin, polyvinyl acetal resin, diallyl phthalate resin. , Phenol resin, epoxy resin, silicone resin, polysulfone resin, urea resin and the like, but are not limited thereto. Moreover, you may mix these 1 type, or 2 or more types as a single or copolymer polymer.
- anode materials include simple metals such as gold, platinum, nickel, palladium, cobalt, selenium, and vanadium or alloys thereof, tin oxide, zinc oxide, indium tin oxide (ITO), and metal oxides such as indium zinc oxide. Can be used. In addition, conductive polymers such as polyaniline, polypyrrole, polythiophene, and polyphenylene sulfide can also be used. These electrode materials may be used alone or in combination.
- the cathode material for example, lithium, sodium, potassium, cesium, calcium, magnesium, aluminum, indium, silver, lead, tin, chromium and the like can be used as a single metal or a plurality of alloys. It is also possible to use metal oxidation such as indium tin oxide (ITO). Further, the cathode may have a single layer structure or a multilayer structure.
- ITO indium tin oxide
- the substrate used in the present invention is not particularly limited, and an opaque substrate such as a metal substrate or a ceramic substrate, or a transparent substrate such as glass, quartz, or a plastic sheet is used. It is also possible to control the color light by using a color filter film, a fluorescent color conversion filter film, a dielectric reflection film, or the like on the substrate.
- a protective layer or a sealing layer can be provided for the purpose of preventing contact with oxygen, moisture or the like on the prepared element.
- the protective layer include diamond thin films, inorganic material films such as metal oxides and metal nitrides, polymer films such as fluorine resin, polyparaxylene, polyethylene, silicone resin, polystyrene resin, and photo-curing resins. It is done. Further, it is possible to cover glass, a gas impermeable film, a metal, etc., and to package the element itself with an appropriate sealing resin.
- 1,1 ′-(2-iodo-1,3-phenylene) bis (2-methylnaphthalene) (0.484 g, 1.00 mmol) and toluene (5.0 mL) at ⁇ 78 ° C. under argon atmosphere at A solution of butyllithium in pentane (1.28 mL, 1.56 M, 2.00 mmol) was added and stirred. After 1 hour, the temperature was raised to 0 ° C. and the mixture was further stirred for 1 hour, and phosphorus trichloride (0.137 g, 1.00 mmol) was added at ⁇ 78 ° C., followed by stirring for 3 hours.
- 1,1 ′-(2-iodo-1,3-phenylene) bis (2-methylnaphthalene) (0.484 g, 1.00 mmol) and toluene (5.0 mL) at ⁇ 78 ° C. under argon atmosphere at A solution of butyllithium in pentane (1.28 mL, 1.56 M, 1.20 mmol) was added and stirred. After 1 hour, the temperature was raised to 0 ° C. and the mixture was further stirred for 1 hour, and then triiodomethylsilane (0.424 g, 1.00 mmol) was added at ⁇ 78 ° C., followed by stirring for 3 hours.
- 1,1 ′-(2-iodo-1,3-phenylene) bis (2-methylnaphthalene) (0.242 g, 0.50 mmol) and toluene (5.0 mL) at ⁇ 78 ° C. in an argon atmosphere at ⁇ 78 ° C.
- a solution of butyllithium in pentane (1.28 mL, 1.56 M, 1.00 mmol) was added and stirred. After 1 hour, the temperature was raised to 0 ° C. and the mixture was further stirred for 1 hour, and chloromethylsilane (0.060 g, 0.75 mmol) was added at ⁇ 78 ° C., followed by stirring for 3 hours.
- N- (anthracen-9-yl) -N- (2,6-dibromophenyl) anthracen-9-amine (0.241 g, 0.40 mmol), palladium acetate (0.090 g, 0.40 mmol), potassium carbonate ( 0.414 g, 3.0 mmol) and tetrabutylammonium bromide (0.258 g, 0.80 mmol) were added anhydrous DMA (10 mL) at room temperature under an argon atmosphere, and the mixture was stirred at 120 to 180 ° C.
- the title compound can be obtained as a powder by evaporating the solvent under reduced pressure and isolating the resulting crude product by HPLC and GPC.
- N- (2,6-dibromophenyl) -2-methyl-N- (2-methylnaphthalen-1-yl) naphthalen-1-amine (0.213 g, 0.40 mmol), palladium acetate (0.090 g, 0 .40 mmol), potassium carbonate (0.414 g, 3.0 mmol), and tetrabutylammonium bromide (0.258 g, 0.80 mmol) were added anhydrous DMA (10 mL) at room temperature under an argon atmosphere and stirred at 120 to 180 ° C. did.
- the title compound can be obtained as a powder by evaporating the solvent under reduced pressure and isolating the resulting crude product by HPLC and GPC.
- Example 15 1, 1 ', 1'',1'''-(3,6-Diiodobenzene-1,2,4,5-tetrayl) tetrakis (2-methylnaphthalene)
- Example 17 7b, 14b, 21b-Tris (thiophospha) -4,11,18-trimethyl-trianthra [1,9,8-abcd: 1 ', 9', 8'-ghij: 1 ", 9", 8 ''-mnop] coronen
Landscapes
- Chemical & Material Sciences (AREA)
- Organic Chemistry (AREA)
- General Health & Medical Sciences (AREA)
- Health & Medical Sciences (AREA)
- Life Sciences & Earth Sciences (AREA)
- Biochemistry (AREA)
- Molecular Biology (AREA)
- Nitrogen Condensed Heterocyclic Rings (AREA)
- Spectroscopy & Molecular Physics (AREA)
- Engineering & Computer Science (AREA)
- Materials Engineering (AREA)
- Physics & Mathematics (AREA)
- Electroluminescent Light Sources (AREA)
- Indole Compounds (AREA)
- Pharmaceuticals Containing Other Organic And Inorganic Compounds (AREA)
Abstract
下記一般式(I)で表される化合物。(式中、X、X1、X2、X3、Z1、Z2は、明細書に定義されるとおりである。)
Description
本発明は、新規化合物に関し、詳しくは、ヘテロ原子を含み得る多環芳香族化合物及び有機発光素子に関する。
従来、有機ELデバイスに用いる発光材料としてα-NPD、rubrene、Alq3、PBDなどが研究されてきた(特許文献1~3)。
有機発光素子は、陽極と陰極間に蛍光性有機化合物または燐光性有機化合物を含む薄膜を挟持させている。各電極から電子およびホール(正孔)を注入することにより、蛍光性化合物または燐光性化合物の励起子を生成させ、この励起子が基底状態にもどる際に放射される光を利用する素子である。
また有機発光素子における最近の進歩は著しく、その特徴は低印加電圧で高輝度、発光波長の多様性、高速応答性、薄型、軽量の発光デバイス化が可能であることから、広汎な用途への可能性を示唆している。
しかしながら、現状では更なる高輝度の光出力あるいは高変換効率が必要である。また、長時間の使用による経時変化や酸素を含む雰囲気気体や湿気などによる劣化等の耐久性の面で未だ多くの問題がある。さらにはフルカラーディスプレイ等への応用を考えた場合の色純度の良い青、緑、赤の発光が必要となるが、これらの問題に関してもまだ十分でない。
また、中心にヘテロ原子を有し得る多環芳香族化合物の開示はない。
本発明の目的は、ヘテロ原子または炭素原子を中心に持つことができる新規多環芳香族化合物及び有機発光素子を提供することにある。
本発明者は、以下の中心元素(X)により構造が固定された新規な多環芳香族化合物及び該化合物を含む有機発光素子を提供するものである。
項1. 下記一般式(I)で表される化合物。
項1. 下記一般式(I)で表される化合物。
(式中、X、X1、X2、X3、Z1、Z2は、以下の(i)~(iii)のいずれかである:
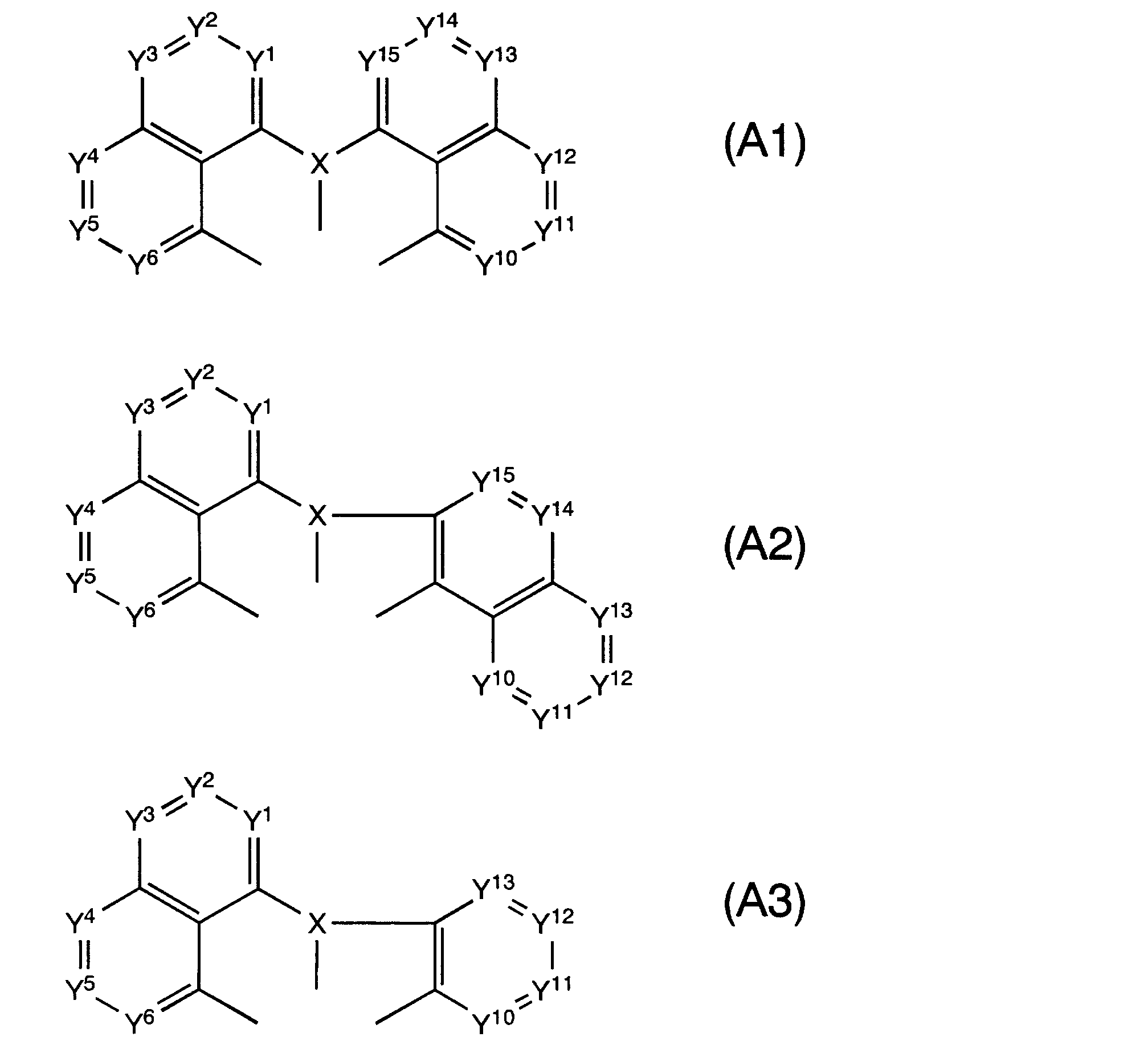
(i) Z1、X、Z2が、それらが結合している炭素原子と一緒になって以下の式(A1)、(A2)または(A3)の構造を示す場合、X2、X1、X3は同一又は異なってR1を示すか、それらが結合している炭素原子と一緒になって各々Y7、Y8、Y9を示す。Y1~Y15は同一または異なって、NまたはCR1を示す。Xはヘテロ原子もしくはその誘導体またはCR1を示す。
(i) Z1、X、Z2が、それらが結合している炭素原子と一緒になって以下の式(A1)、(A2)または(A3)の構造を示す場合、X2、X1、X3は同一又は異なってR1を示すか、それらが結合している炭素原子と一緒になって各々Y7、Y8、Y9を示す。Y1~Y15は同一または異なって、NまたはCR1を示す。Xはヘテロ原子もしくはその誘導体またはCR1を示す。
(ii) Z1、X、Z2が、それらが結合している炭素原子と一緒になって上記の式(A1)の構造を示し、X1、X2、X3が、それらが結合している炭素原子と一緒になって下記の式(A3)の構造を示す。式(A3)中、Y1~Y6、Y10~Y15、Y1’~Y6’、Y10’~Y15’は同一または異なって、NまたはCR1を示す。X1はヘテロ原子もしくはその誘導体またはCR1を示す。
(iii) X、X1、X2、X3、Z1、Z2が、それらが結合している炭素原子と一緒になって下記の式(A5)の構造を示す。式(A5)中、Y1~Y15、Y1’~Y15’、Y1’’~Y21’’は同一または異なって、NまたはCR1を示す。X、X2、X3は、同一又は異なってヘテロ原子もしくはその誘導体またはCR1を示す。
R1は水素原子、ハロゲン原子、C1-6アルコキシ基、アリールオキシ基、トリフルオロメチル基、ヒドロキシ基、C1-6アルキル基、C3-7シクロアルキル基、C3-7シクロアルキル置換C1-4アルキル基、C2-6アルケニル基、C2-6アルキニル基、C1-6アルコキシ基、トリフルオロメトキシ基、トリフルオロエトキシ基、C1-10アルキルカルボニル基、C1-2アルキルスルホニル基、シアノ基、ニトロ基、アミノ基、モノ若しくはジ置換アミノ基、モノアリールアミノ基、ジアリールアミノ基、カルバゾール基、C1-6アルコキシカルボニルアミノ基、カルバモイル基、モノ若しくはジ置換カルバモイル基、スルファモイル基、モノ若しくはジ置換スルファモイル基、C1-6アルキルスルホニルアミノ基、アリール基、ヘテロアリール基、C1-6アルコキシカルボニル基、アリール置換C1-4アルコキシカルボニル基、カルボキシル基、5-テトラゾリル基、スルホ基(-SO2OH)又はフルオロスルホニル基を意味し、ただし、アルキル基、アルケニル基及びアルキニル基は、ハロゲン、ヒドロキシ、ジ置換アミノ、アリール置換C1-4アルキル基、ヘテロアリール置換C1-4アルキル基、アリール及びヘテロアリールから選択される1~3個の原子又は基で置換されていてもよく、かつ、上記アリール基、アリール部分、ヘテロアリール基、ヘテロアリール部分は、ハロゲン、ヒドロキシ、C1-6アルキル、ヒドロキシC1-3アルキル、C1-6アルコキシ、トリフルオロメチル、トリフルオロメトキシ、トリフルオロエトキシ、シアノ、ニトロ、アミノ、モノ若しくはジ置換アミノ、カルバモイル、スルファモイル、C1-6アルキルスルホニル、C1-3アルキルスルホニルアミノ、C1-3アルキルカルボニルアミノ、メチレンジオキシ、モノアリールアミノ、ジアリールアミノ、カルバゾール、ヘテロアリール及びアリール(当該アリールは、ハロゲン原子、C1-6アルコキシ基、トリフルオロメチル基、ヒドロキシ基、C1-6アルキル基、C3-7シクロアルキル基、C3-7シクロアルキル置換C1-4アルキル基、C2-6アルケニル基、C2-6アルキニル基、C1-6アルコキシ基、トリフルオロメトキシ基、トリフルオロエトキシ基、C1-10アルキルカルボニル基、C1-2アルキルスルホニル基、シアノ基、ニトロ基またはアミノ基でモノ置換もしくはジ置換されていてもよい)から選択される1~4個の原子又は基で置換されていてもよい。或いは、隣接するY1~Y15、Y1’~Y6’、Y10’~Y15’、Y1’’~Y21’’のいずれかに結合している隣接する2つのR1基は、これらが結合している炭素原子と一緒になって5員環又は6員環のヘテロ原子を有していてもよい環式基を示し、Y1~Y15、Y1’~Y6’、Y10’~Y15’、Y1’’~Y21’’のいずれかに結合している隣接する3つのR1基は、これらが結合している炭素原子と一緒になって2環または3環の芳香族環式基を示す。))
項2. 下記一般式(IA1)、(IA2)、(IA3)、(IA4)または(IA5)で表される、項1に記載の化合物。
項2. 下記一般式(IA1)、(IA2)、(IA3)、(IA4)または(IA5)で表される、項1に記載の化合物。
(式中、Y1~Y15、Y1’~Y6’、Y10’~Y15’、Y1’’~Y21’’は同一または異なって、NまたはCR1を示す。R1は、水素原子、ハロゲン原子、C1-6アルコキシ基、アリールオキシ基、トリフルオロメチル基、ヒドロキシ基、C1-6アルキル基、C3-7シクロアルキル基、C3-7シクロアルキル置換C1-4アルキル基、C2-6アルケニル基、C2-6アルキニル基、C1-6アルコキシ基、トリフルオロメトキシ基、トリフルオロエトキシ基、C1-10アルキルカルボニル基、C1-2アルキルスルホニル基、シアノ基、ニトロ基、アミノ基、モノ若しくはジ置換アミノ基、モノアリールアミノ基、ジアリールアミノ基、カルバゾール基、C1-6アルコキシカルボニルアミノ基、カルバモイル基、モノ若しくはジ置換カルバモイル基、スルファモイル基、モノ若しくはジ置換スルファモイル基、C1-6アルキルスルホニルアミノ基、アリール基、ヘテロアリール基、C1-6アルコキシカルボニル基、アリール置換C1-4アルコキシカルボニル基、カルボキシル基、5-テトラゾリル基、スルホ基(-SO2OH)又はフルオロスルホニル基を意味し、ただし、アルキル基、アルケニル基及びアルキニル基は、ハロゲン、ヒドロキシ、ジ置換アミノ、アリール置換C1-4アルキル基、ヘテロアリール置換C1-4アルキル基、アリール及びヘテロアリールから選択される1~3個の原子又は基で置換されていてもよく、かつ、上記アリール基、アリール部分、ヘテロアリール基、ヘテロアリール部分は、ハロゲン、ヒドロキシ、C1-6アルキル、ヒドロキシC1-3アルキル、C1-6アルコキシ、トリフルオロメチル、トリフルオロメトキシ、トリフルオロエトキシ、シアノ、ニトロ、アミノ、モノ若しくはジ置換アミノ、カルバモイル、スルファモイル、C1-6アルキルスルホニル、C1-3アルキルスルホニルアミノ、C1-3アルキルカルボニルアミノ、メチレンジオキシ、モノアリールアミノ、ジアリールアミノ、カルバゾール、ヘテロアリール及びアリール(当該アリールは、ハロゲン原子、C1-6アルコキシ基、トリフルオロメチル基、ヒドロキシ基、C1-6アルキル基、C3-7シクロアルキル基、C3-7シクロアルキル置換C1-4アルキル基、C2-6アルケニル基、C2-6アルキニル基、C1-6アルコキシ基、トリフルオロメトキシ基、トリフルオロエトキシ基、C1-10アルキルカルボニル基、C1-2アルキルスルホニル基、シアノ基、ニトロ基またはアミノ基でモノ置換もしくはジ置換されていてもよい)から選択される1~4個の原子又は基で置換されていてもよい。或いは、隣接するY1~Y15、Y1’~Y6’、Y10’~Y15’、Y1’’~Y21’’のいずれかに結合している隣接する2つのR1基は、これらが結合している炭素原子と一緒になって5員環又は6員環のヘテロ原子を有していてもよい環式基を示し、Y1~Y15、Y1’~Y6’、Y10’~Y15’、Y1’’~Y21’’のいずれかに結合している隣接する3つのR1基は、これらが結合している炭素原子と一緒になって2環または3環の芳香族環式基を示す。
X、X1、X2、X3は同一又は異なってヘテロ原子もしくはその誘導体またはCR1を示す。)
項3. X、X1、X2、X3が、同一又は異なってN、P、As、Si-R1、CR1またはBである、項1に記載の化合物。
項4. 項1、2又は3に記載の化合物を含む、有機発光素子。
項3. X、X1、X2、X3が、同一又は異なってN、P、As、Si-R1、CR1またはBである、項1に記載の化合物。
項4. 項1、2又は3に記載の化合物を含む、有機発光素子。
本発明によれば、ホール輸送材料、発光材料、電子輸送材料などの有機ELデバイスに使用するのに適した新規化合物を提供することができる。
本発明は、下記一般式(I)で表される化合物を提供するものである。
(式中、X、X1、X2、X3、Z1、Z2は、上記(i)~(iii)のいずれかである)
一般式(IA1)、(IA2)、(IA3)、(IA4)のいずれかにおいて、X、X1、X2、X3としては、同一又は異なってヘテロ原子もしくはその誘導体またはCR1であり、ヘテロ原子としては、N、P、As、C-R1、Si-R1、B、Ge-R1、Sn-R1、Al、Ga、Pb-R1(R1は前記に定義されるとおりである)、Sb、Bi、In、ランタノイドなどが挙げられ、好ましくはN、P、As、C-R1、Si-R1、B、Ge-R1、Sn-R1、Al、Ga(R1は前記に定義されるとおりである)であり、より好ましくはN、P、As、C-R1、Si-R1、B、(R1は前記に定義されるとおりである)である。ヘテロ原子の誘導体としては、P=O、P=S、P=Se、P(R1)2(R1は前記に定義されるとおりである)、N=O、B-(R1)・M(R1は前記に定義されるとおりである。MはLi、 Na、 K、 Cs、 MgCl、 MgBr、 Bu4Nなどを意味する)などが挙げられる。
Y1~Y15、Y1’~Y6’、Y10’~Y15’、Y1’’~Y21’’は同一または異なって、各々N(窒素原子)またはCR1を示す。Y1~Y15、Y1’~Y6’、Y10’~Y15’、Y1’’~Y21’’に結合している複数のR1は、同一であっても異なっていてもよい。Y1~Y15、Y1’~Y6’、Y10’~Y15’、Y1’’~Y21’’が窒素原子を表す場合、1つの環に3個の窒素原子を有していてもよいが、好ましくは2個以下、より好ましくは1個である。例えば、Y1、Y2、Y3を有する環の場合、Y1=Y2=Y3=Nであってもよいが、Y1、Y2、Y3のうち窒素原子は2個以下が好ましく、窒素原子が1個以下がより好ましい。また、Y1~Y15、Y1’~Y6’、Y10’~Y15’、Y1’’~Y21’’のうち、窒素原子の総数は、5個以下が好ましく、3個以下がより好ましく、2個以下がさらに好ましい。
隣接するY1~Y15、Y1’~Y6’、Y10’~Y15’、Y1’’~Y21’’がCR1である場合、隣接する2つのR1基は、これらが結合している炭素原子(必要に応じてこれらが結合している炭素原子に挟まれる炭素原子を含む場合がある)と一緒になって5員環又は6員環のヘテロ原子を有していてもよい環式基を示す。ここで、隣接する2つのR1基の組合せは、Y1とY2、Y2とY3、Y3とY4、Y4とY5、Y5とY6、Y6とY7、Y7とY8、Y8とY9、Y9とY10、Y10とY11、Y11とY12、Y12とY13、Y13とY14、Y14とY15、
Y1’とY2’、Y2’とY3’、Y3’とY4’、Y4’とY5’、Y5’とY6’、Y10’とY11’、Y11’とY12’、Y12’とY13’、Y13’とY14’、Y14’とY15’、
Y1’’とY2’’、Y2’’とY3’’、Y3’’とY4’’、Y4’’とY5’’、Y5’’とY6’’、Y6’’とY7’’、Y8’’とY9’’、Y9’’とY10’’、Y10’’とY11’’、Y11’’とY12’’、Y12’’とY13’’、Y13’’とY14’’、Y15’’とY16’’、Y16’’とY17’’、Y17’’とY18’’、Y18’’とY19’’、Y19’’とY20’’、Y20’’とY21’’、
に各々含まれる2つのR1基の組合せが挙げられる。「5員環又は6員環のヘテロ原子を有していてもよい環式基」としては、ベンゼン、ジヒドロベンゼン、テトラヒドロベンゼン、シクロペンテン、シクロペンタジエン、フラン、ピラン、ジヒドロフラン、ジヒドロピラン、ジヒドロピロール、ピロール、ジヒドロチオフェン、チオフェン、イミダゾール、チアゾール、オキサゾール、ピリジン、ジヒドロピリジン、ピリミジン、ジヒドロピリミジン、ピリダジン、ジヒドロピリダジンが挙げられる。
Y1’とY2’、Y2’とY3’、Y3’とY4’、Y4’とY5’、Y5’とY6’、Y10’とY11’、Y11’とY12’、Y12’とY13’、Y13’とY14’、Y14’とY15’、
Y1’’とY2’’、Y2’’とY3’’、Y3’’とY4’’、Y4’’とY5’’、Y5’’とY6’’、Y6’’とY7’’、Y8’’とY9’’、Y9’’とY10’’、Y10’’とY11’’、Y11’’とY12’’、Y12’’とY13’’、Y13’’とY14’’、Y15’’とY16’’、Y16’’とY17’’、Y17’’とY18’’、Y18’’とY19’’、Y19’’とY20’’、Y20’’とY21’’、
に各々含まれる2つのR1基の組合せが挙げられる。「5員環又は6員環のヘテロ原子を有していてもよい環式基」としては、ベンゼン、ジヒドロベンゼン、テトラヒドロベンゼン、シクロペンテン、シクロペンタジエン、フラン、ピラン、ジヒドロフラン、ジヒドロピラン、ジヒドロピロール、ピロール、ジヒドロチオフェン、チオフェン、イミダゾール、チアゾール、オキサゾール、ピリジン、ジヒドロピリジン、ピリミジン、ジヒドロピリミジン、ピリダジン、ジヒドロピリダジンが挙げられる。
隣接するY1~Y15、Y1’~Y6’、Y10’~Y15’、Y1’’~Y21’’がCR1である場合、隣接する3つのR1基は、これらが結合している炭素原子と一緒になって2環または3環の芳香族環式基を示す。ここで、隣接する3つのR1基の組合せは、Y1~Y15に関しては、Y1とY2とY3、Y2とY3とY4、Y3とY4とY5、Y4とY5とY6、Y5とY6とY7、Y6とY7とY8、Y7とY8とY9、Y8とY9とY10、Y9とY10とY11、Y10とY11とY12、Y11とY12とY13、Y12とY13とY14、Y13とY14とY15に各々含まれる3つのR1基の組合せが挙げられる。Y1’~Y6’、Y10’~Y15’、Y1’’~Y21’’についても同様な3つのR1基の組合せが挙げられる。
「2環または3環の芳香族環式基」としては、ナフタレン、インデン、フェナントレン、アントラセン、フルオレン、アセナフテン、フェナレンが挙げられる。
本明細書では、「C1-6アルキルカルボニル」のように炭素原子数を規定しているが、この炭素原子数は直後に続く基又は部分のみを修飾する。したがって、上記の場合、C1-6はアルキルのみを修飾するので、「C1アルキルカルボニル」とはアセチルに該当する。
アルキル基及びアルキル部分は、直鎖状でも分枝鎖状でもよい。
本明細書でアルキル部分とは、C1-2アルキルスルホニル基、C1-6アルキルスルホニルアミノ基、アリール置換C1-4アルキル基、ヘテロアリール置換C1-4アルキル基及びC1-10アルキルカルボニル基における各アルキル基だけでなく、C1-6アルコキシカルボニルアミノ基、C1-6アルコキシカルボニル基及びC1-6アルコキシ基中のアルコキシ(O-アルキル基)中のアルキル基、モノ若しくはジ置換アミノ基、モノ若しくはジ置換スルファモイル基、ジ置換アミノの置換基であるアルキル基を包含する。
アリール部分とは、アリール置換C1-4アルコキシカルボニル基、モノアリールアミノ基、ジアリールアミノ基及びアリール置換C1-4アルキル基のアリール基を意味する。
ヘテロアリール部分とは、ヘテロアリール置換C1-4アルキル基のヘテロアリール基を意味する。
「ハロゲン原子」とは、フッ素、塩素、臭素、ヨウ素を意味するが、フッ素、塩素、臭素が好ましい。
「C1-10アルキル基」とは、直鎖状、分枝鎖状又は環状のいずれでもよく、例えば、メチル、エチル、n-プロピル、イソプロピル、n-ブチル、イソブチル、tert-ブチル、n-ペンチル、イソペンチル、ヘキシル、ヘプチル、オクチル、ノニル及びデシルが挙げられる。
「C1-6アルキル基」とは、直鎖状又は分枝鎖状のいずれでもよく。例えば、メチル、エチル、n-プロピル、イソプロピル、n-ブチル、イソブチル、tert-ブチル、n-ペンチル、イソペンチル、ヘキシルが挙げられる。
「C1-4アルキル基」とは、直鎖状又は分枝鎖状のいずれでもよく。例えば、メチル、エチル、n-プロピル、イソプロピル、n-ブチル、イソブチル、tert-ブチルが挙げられる。
「C1-3アルキル基」とは、直鎖状又は分枝鎖状のいずれでもよく。例えば、メチル、エチル、n-プロピル、イソプロピルが挙げられる。
「C1-2アルキル基」は、メチル又はエチルである。
「C3-7シクロアルキル基」としては、シクロプロピル、シクロブチル、シクロペンチル、シクロヘキシル及びシクロヘプチルが挙げられる。
「C3-7シクロアルキル置換C1-4アルキル基」としては、シクロプロピルメチル、シクロブチルメチル、シクロペンチルメチル、シクロヘキシルメチル及びシクロヘプチルメチルが挙げられる。
「C2-10アルケニル基」とは、直鎖状、分枝鎖状又は環状のいずれでもよく、二重結合を少なくとも1個有するものを意味し、例えばビニル、アリル、1-プロペニル、2-メチル-2-プロペニル、イソプロペニル、1-、2-若しくは3-ブテニル、2-、3-若しくは4-ペンテニル、2-メチル-2-ブテニル、3-メチル-2-ブテニル、5-ヘキセニル、1-シクロペンテニル、1-シクロヘキセニル、3-メチル-3-ブテニルが挙げられる。
「C2-6アルケニル基」とは、直鎖状、分枝鎖状又は環状のいずれでもよく、二重結合を少なくとも1個有するものを意味し、例えばビニル、アリル、1-プロペニル、2-メチル-2-プロペニル、イソプロペニル、1-、2-若しくは3-ブテニル、2-、3-若しくは4-ペンテニル、2-メチル-2-ブテニル、3-メチル-2-ブテニル、5-ヘキセニル、1-シクロペンテニル、1-シクロヘキセニル、3-メチル-3-ブテニルが挙げられる。
「C2-10アルキニル基」とは、直鎖状、分枝鎖状又は環状のいずれでもよく、三重結合を少なくとも1個有するものを意味し、例えばエチニル、1-若しくは2-プロピニル、1-、2-若しくは3-ブチニル、1-メチル-2-プロピニルが挙げられる。
「C2-6アルキニル基」とは、直鎖状、分枝鎖状又は環状のいずれでもよく、三重結合を少なくとも1個有するものを意味し、例えばエチニル、1-若しくは2-プロピニル、1-、2-若しくは3-ブチニル、1-メチル-2-プロピニルが挙げられる。
モノ若しくはジ置換アミノ基、モノ若しくはジ置換カルバモイル基又はモノ若しくはジ置換スルファモイル基における「モノ置換」とは、アミノ基、カルバモイル基又はスルファモイル基の窒素原子に結合する水素原子の1個がC1-6アルキルで置換されていることを意味し、「ジ置換」とは、アミノ基、カルバモイル基又はスルファモイル基の窒素原子に結合する水素原子の2個が同一又は異なるC1-6アルキルで置換されているか、或いは3~8員、好ましくは5又は6員の含窒素環式基で置換されていることを意味する。含窒素環式基としては、モルホリノ、1-ピロリジニル、ピペリジノ及び4-メチル-1-ピペラジニルが挙げられる。
C1-6アルキルでモノ置換されたアミノ基としては、メチルアミノ、エチルアミノ、n-プロピルアミノ、イソプロピルアミノ、n-ブチルアミノ、イソブチルアミノ、tert-ブチルアミノ、n-ペンチルアミノ、イソペンチルアミノ、ヘキシルアミノが挙げられる。
C1-6アルキルでジ置換されたアミノ基としては、ジメチルアミノ、ジエチルアミノ、ジn-プロピルアミノ、ジイソプロピルアミノ、ジn-ブチルアミノ、ジイソブチルアミノ、ジtert-ブチルアミノ、ジn-ペンチルアミノ、ジイソペンチルアミノ、ジヘキシルアミノが挙げられる。
C1-6アルキルでモノ置換されたカルバモイル基としては、メチルカルバモイル、エチルカルバモイル、n-プロピルカルバモイル、イソプロピルカルバモイル、n-ブチルカルバモイル、イソブチルカルバモイル、tert-ブチルカルバモイル、n-ペンチルカルバモイル、イソペンチルカルバモイル、ヘキシルカルバモイルが挙げられる。
C1-6アルキルでジ置換されたカルバモイル基としては、ジメチルカルバモイル、ジエチルカルバモイル、ジn-プロピルカルバモイル、ジイソプロピルカルバモイル、ジn-ブチルカルバモイル、ジイソブチルカルバモイル、ジtert-ブチルカルバモイル、ジn-ペンチルカルバモイル、ジイソペンチルカルバモイル、ジヘキシルカルバモイルが挙げられる。
C1-6アルキルでモノ置換されたスルファモイル基としては、メチルスルファモイル、エチルスルファモイル、n-プロピルスルファモイル、イソプロピルスルファモイル、n-ブチルスルファモイル、イソブチルスルファモイル、tert-ブチルスルファモイル、n-ペンチルスルファモイル、イソペンチルスルファモイル、ヘキシルスルファモイルが挙げられる。
C1-6アルキルでジ置換されたスルファモイル基としては、ジメチルスルファモイル、ジエチルスルファモイル、ジn-プロピルスルファモイル、ジイソプロピルスルファモイル、ジn-ブチルスルファモイル、ジイソブチルスルファモイル、ジtert-ブチルスルファモイル、ジn-ペンチルスルファモイル、ジイソペンチルスルファモイル、ジヘキシルスルファモイルが挙げられる。
「アリール基」とは、5又は6員の芳香族炭化水素環からなる単環又は多環系の基を意味し、具体例としては、フェニル、ナフチル、フルオレニル、アントリル、ビフェニリル、テトラヒドロナフチル、クロマニル、2,3-ジヒドロ-1,4-ジオキサナフタレニル、インダニル及びフェナントリルが挙げられる。
「アリーレン(arylene)基」とは、5又は6員の芳香族炭化水素環からなる単環又は多環系の2価基を意味し、具体例としては、フェニレン及びナフチレンが挙げられる。
「ヘテロアリール基」とは、N、O及びSから選択される1~3個のヘテロ原子を含む、5又は6員の芳香環からなる単環又は多環系の基を意味し、多環系の場合には少なくとも1つの環が芳香環であればよい。具体例としては、フリル、チエニル、ピロリル、イミダゾリル、ピラゾリル、オキサゾリル、チアゾリル、イソオキサゾリル、イソチアゾリル、ピリジル、ピラジニル、ピリミジニル、ピリダジニル、インドリル、キノリル、イソキノリル、カルバゾリル、シロール,ベンゾ[b]シロール,ベンゾ[b]フリル、ベンゾ[b]チエニル、ジベンゾ[b,d]フリル、ジベンゾ[b,d]チエニル、及びベンズイミダゾリルが挙げられる。
アリールオキシとしては、フェニルオキシ、ナフチルオキシ、フルオレニルオキシ、アントリルオキシ、ビフェニリルオキシ、テトラヒドロナフチルオキシ、クロマニルオキシ、2,3-ジヒドロ-1,4-ジオキサナフタレニルオキシ、インダニルオキシ及びフェナントリルオキシが挙げられる。
アリール置換C1-4アルコキシとしては、ベンジルオキシ、ナフチルメチルオキシ、フルオレニルメチルオキシ、アントリルメチルオキシ、ビフェニリルメチルオキシ、テトラヒドロナフチルメチルオキシ、クロマニルメチルオキシ、2,3-ジヒドロ-1,4-ジオキサナフタレニルメチルオキシ、インダニルメチルオキシ及びフェナントリルメチルオキシ、フェネチルオキシ、ナフチルエチルオキシ、フルオレニルエチルオキシ、アントリルエチルオキシ、ビフェニリルエチルオキシ、テトラヒドロナフチルエチルオキシ、クロマニルエチルオキシ、2,3-ジヒドロ-1,4-ジオキサナフタレニルエチルオキシ、インダニルエチルオキシ及びフェナントリルエチルオキシが挙げられる。
例えば、C1-6アルコキシ基としては、メトキシ、エトキシ、プロポキシ、イソプロポキシ、ブトキシ、イソブトキシ、tert-ブトキシ、ペンチルオキシ、イソペンチルオキシ及びヘキシルオキシが挙げられる。
トリフルオロエトキシ基としては、CF3CH2O-が好ましい。
C1-2アルキルスルホニル基としては、メチルスルホニル及びエチルスルホニルが挙げられる。
C1-6アルコキシカルボニルアミノ基としては、メトキシカルボニルアミノ、エトキシカルボニルアミノ、プロポキシカルボニルアミノ、イソプロポキシカルボニルアミノ、ブトキシカルボニルアミノ、イソブトキシカルボニルアミノ、tert-ブトキシカルボニルアミノ、ペンチルオキシカルボニルアミノ、イソペンチルオキシカルボニルアミノ及びヘキシルオキシカルボニルアミノが挙げられる。
C1-6アルキルスルホニルアミノ基としては、メチルスルホニルアミノ、エチルスルホニルアミノ、n-プロピルスルホニルアミノ、イソプロピルスルホニルアミノ、n-ブチルスルホニルアミノ、イソブチルスルホニルアミノ、tert-ブチルスルホニルアミノ、n-ペンチルスルホニルアミノ、イソペンチルスルホニルアミノ、ヘキシルスルホニルアミノが挙げられる。
C1-6アルコキシカルボニル基としては、メトキシカルボニル、エトキシカルボニル、プロポキシカルボニル、イソプロポキシカルボニル、ブトキシカルボニル、イソブトキシカルボニル、tert-ブトキシカルボニル、ペンチルオキシカルボニル、イソペンチルオキシカルボニル及びヘキシルオキシカルボニルが挙げられる。
アリール置換C1-4アルコキシカルボニル基としては、フェニルメチルオキシカルボニル、ナフチルメチルオキシカルボニル、フルオレニルメチルオキシカルボニル、アントリルメチルオキシカルボニル、ビフェニリルメチルオキシカルボニル、テトラヒドロナフチルメチルオキシカルボニル、クロマニルメチルオキシカルボニル、2,3-ジヒドロ-1,4-ジオキサナフタレニルメチルオキシカルボニル、インダニルメチルオキシカルボニル及びフェナントリルメチルオキシカルボニルが挙げられる。
アリール置換C1-4アルキル基としては、ベンジル、ナフチルメチル、フルオレニルメチル、アントリルメチル、ビフェニリルメチル、テトラヒドロナフチルメチル、クロマニルメチル、2,3-ジヒドロ-1,4-ジオキサナフタレニルメチル、インダニルメチル及びフェナントリルメチル、フェネチル、ナフチルエチル、フルオレニルエチル、アントリルエチル、ビフェニリルエチル、テトラヒドロナフチルエチル、クロマニルエチル、2,3-ジヒドロ-1,4-ジオキサナフタレニルエチル、インダニルエチル及びフェナントリルエチルが挙げられる。
ヘテロアリール置換C1-4アルキル基としては、フリルメチル、チエニルメチル、ピロリルメチル、イミダゾリルメチル、ピラゾリルメチル、オキサゾリルメチル、チアゾリルメチル、イソオキサゾリルメチル、イソチアゾリルメチル、ピリジルメチル、ピラジニルメチル、ピリミジニルメチル、ピリダジニルメチル、インドリルメチル、キノリルメチル、イソキノリルメチル、ベンゾ[b]チエニルメチル及びベンズイミダゾリルメチル、フリルエチル、チエニルエチル、ピロリルエチル、イミダゾリルエチル、ピラゾリルエチル、オキサゾリルエチル、チアゾリルエチル、イソオキサゾリルエチル、イソチアゾリルエチル、ピリジルエチル、ピラジニルエチル、ピリミジニルエチル、ピリダジニルエチル、インドリルエチル、キノリルエチル、イソキノリルエチル、ベンゾ[b]チエニルエチル及びベンズイミダゾリルエチルが挙げられる。
C1-10アルキルカルボニル基としては、アセチル、プロピオニル、ブチリル、ペンチルカルボニル、ヘキシルカルボニル、ヘプチルカルボニル、オクチルカルボニル、ノニルカルボニル、デシルカルボニルが挙げられる。
モノアリールアミノとしては、フェニルアミノ、トルイルアミノ、ナフチルアミノが挙げられる。
ジアリールアミノとしては、ジフェニルアミノ、ナフチルフェニルアミノ、ジナフチルアミノが挙げられる。
本発明の好ましい骨格として、以下の1~12を例示する。
次に、本発明の化合物の製造方法について説明する。
本発明の化合物は、以下のスキーム1に従い合成することができる。
<スキーム1>
<スキーム1>
式中、I/Brは、IまたはBrを意味する。
反応は、式(1)の化合物1モルに対し、n-BuLiを1モル程度、次いで式(2)の化合物を2モル~過剰量使用し、溶媒中-78℃~室温程度の温度下に30分~24時間撹拌し、その後、その溶液にI2あるいはN-ブロモスクシンイミド(NBS)を1モル~過剰量加えることで、目的とする式(3)の化合物を得ることができる。溶媒としては、無水ジエチルエーテル、無水THFなどの無水エーテル系溶媒かベンゼン、トルエン、キシレン、メシチレンなどの芳香族炭化水素系溶媒が用いられる。
式(4)の化合物1モルに対し、Mgを1モル~過剰量と式(5)の化合物を1モル~過剰量使用し、溶媒中室温~溶媒の沸騰する程度の温度下に30分~24時間撹拌し、その後、その溶液にI2あるいはN-ブロモスクシンイミド(NBS)を1モル~過剰量加えることで、目的とする式(6)の化合物を得ることができる。溶媒としては、無水THF、無水アニソールなどの無水エーテル系溶媒が用いられる。
式(3) 、(3’)または(6)の化合物に溶媒中n-BuLiあるいはt-BuLiとXcompoundを加え、-78℃~溶媒の沸騰する程度の温度下に30分~24時間反応させることにより目的とする式(6) 、(7)または(8)の化合物を得ることができる。溶媒としては、ベンゼン、トルエン、キシレン、メシチレンなどの芳香族炭化水素系溶媒、またはクロロベンゼン、ジクロロベンゼンなどのハロゲン化芳香族炭化水素溶媒、またはジクロロメタン,ジクロロエタンなどのハロゲン化炭化水素溶媒が用いられる。反応は式(3) 、(3’)または(6)の化合物1モルに対しn-BuLiを1モル~過剰量あるいはt-BuLiを2モル~過剰量使用して式(3) 、(3’)または(6)の化合物のI(ヨウ素)基あるいはBr(臭素)基を引き抜き、次いでX compoundを1モル~過剰量加え、以下に示すように処理することで、式(7) 、(8)または(9)の化合物を得る。
X compoundは、XがP(リン)の場合、PCl(NMe2)2、PCl(NEt2)2、PCl(NiPr2)2、PCl(OEt)2、PCl(OMe)2、PCl3、PBr3などの化合物を使用し、その後、硫黄(S)とAlCl3やAlBr3やBF3・Et2OやBCl3使用して、「P=S」の化合物が得られる。更に、PEt3やPBu3やP(tBu)3などを使用して硫黄(S)を取り除き目的とするX=Pの化合物に導くことができる。また、X=Pの化合物に過酸化水素などを使用する事でXが「P=O」の化合物が得られる。
X compoundは、XがN(窒素)の場合、H2NOTs、H2NOMs、H2NOTf、H2NONf、H2NCl、HNCl2、NCl3、などの化合物を使用し、その後、Pd(OAc)2と酸化剤(Cu(OAc)2やPhI(OAc)2)を使用して、目的とするX=Nの化合物に導くことができる。また、X=Nの化合物に過酸化水素などを使用する事でXが「N=O」の化合物が得られる。
X compoundは、XがAs(ヒ素)の場合、AsCl(NEt2)2、AsCl(NiPr2)2、AsCl(OEt)2、AsCl(OMe)2、AsCl3、AsBr3などの化合物を使用し、その後、硫黄(S)とLiIとAlCl3やAlBr3やBF3・Et2OやBCl3を使用して、「As=S」の化合物が得られる。更に、PBu3やP(tBu)3などを使用して硫黄(S)を取り除き目的とするX=Asの化合物に導くことができる。また、X=Asの化合物に過酸化水素、MCPBAなどを使用する事でXが「As=O」の化合物が得られる。
X compoundは、Xが「C-R1」(炭素)の場合、R1CCl3、R1CBr3、R1CHO、R1COCl、R1COBr、(R1CO)O、R1C(OMe)3、R1C(OEt)3(R1は前記に定義されるとおりである)などの化合物を使用し、その後、AlCl3やAlBr3やBF3・Et2OやBCl3を使用して、目的とするXが「C-R1」の化合物に導くことができる。
X compoundは、Xが「Si-R1」(ケイ素)の場合、R1SiF3、R1SiCl3、R1SiBr3、R1SiI3、R1Si(OMe)3、R1Si(OEt)3、R1Si(OiPr)3、R1Si(OPh)3(R1は前記に定義されるとおりである)などの化合物を使用し、その後、AlCl3やAlBr3やBF3・Et2OやBCl3を使用して、目的とするXが「Si-R1」の化合物に導くことができる。
X compoundは、Xが「Si-R1」(ケイ素)の場合、R1SiH2F、R1SiH2Cl、R1SiH2Br、R1SiH2(OMe)、R1SiH2(OEt)、R1SiH2(OiPr)、R1SiH2(OPh) (R1は前記に定義されるとおりである)などの化合物を使用し、その後、Ph3CB(C6F5)4を使用して、目的とするXが「Si-R1」の化合物に導くことができる。
X compoundは、XがB(ホウ素)の場合、BF3・Et2O、BCl3、BBr3、BI3、B(OMe)3、B(OEt)3、B(OiPr)3、B(OPh)3などの化合物を使用し、その後、AlCl3やAlBr3やBF3・Et2OやBCl3を使用して、目的とするX=Bの化合物に導くことができる。また、X=Bの化合物に「R1-M」(R1とMは前記に定義されるとおりである)を使用する事で、Xが「B-R1・M」の化合物が得られる。
X compoundは、Xが「Ge-R1」(ゲルマニウム)の場合、R1GeCl3、R1GeBr3、R1GeI3、R1Ge(OMe)3、R1Ge(OEt)3、R1Ge(OPh)3(R1は前記に定義されるとおりである)などの化合物を使用し、その後、AlCl3やAlBr3やBF3・Et2OやBCl3を使用して、目的とするXが「Ge-R1」の化合物に導くことができる。
X compoundは、Xが「Sn-R1」(すず)の場合、R1SnCl3、R1SnBr3、R1SnI3、R1Sn(OMe)3、R1Sn(OEt)3、R1Sn(OPh)3(R1は前記に定義されるとおりである)などの化合物を使用し、その後、AlCl3やAlBr3やBF3・Et2OやBCl3を使用して、目的とするXが「Sn-R1」の化合物に導くことができる。
X compoundは、Xが「Sn-R1」(すず)の場合、R1SnH2F、R1SnH2Cl、R1SnH2Br、R1SnH2(OMe)、R1SnH2(OEt)、R1SnH2(OiPr)、R1SnH2(OPh)(R1は前記に定義されるとおりである)などの化合物を使用し、その後、Ph3CB(C6F5)4を使用して、目的とするXが「Sn-R1」の化合物に導くことができる。
X compoundは、XがAl(アルミニウム)の場合、AlCl3、AlBr3、AlI3、Al(OMe)3、Al(OEt)3、Al(OiPr)3、Al(OPh)3などの化合物を使用し、その後、AlCl3やAlBr3やBF3・Et2OやBCl3を使用して、目的とするX=Alの化合物に導くことができる。また、X=Alの化合物に「R1-M」(R1とMは前記に定義されるとおりである)を使用する事で、Xが「Al-R1・M」の化合物が得られる。
X compoundは、XがGa(ガリウム)の場合、GaCl3、GaBr3、GaI3、Ga(OMe)3、Ga(OEt)3、Ga(OiPr)3、Ga(OPh)3などの化合物を使用し、その後、AlCl3やAlBr3やBF3・Et2OやBCl3を使用して、目的とするX=Gaの化合物に導くことができる。また、X=Gaの化合物に「R1-M」(R1とMは前記に定義されるとおりである)を使用する事で、Xが「Ga-R1・M」の化合物が得られる。
本発明の化合物は、以下のスキーム2に従い合成することもできる。
<スキーム2>
式中、I/Brは、IまたはBrを意味し,Br/Clは、BrまたはClを意味する。
なお、本明細書において、Y1/Y15は、Y1またはY15のいずれかであることを意味し、Y2/Y14、Y3/Y13、Y4/Y12、Y5/Y11、Y6/Y10は、同様にいずれかの基を表す。但し、Y1/Y15がY1を表す場合、Y1と隣接するY2/Y14、Y3/Y13、Y4/Y12、Y5/Y11、Y6/Y10は、各々Y2、Y3、Y4、Y5、Y6を表し、Y1/Y15がY15を表す場合、Y15と隣接するY2/Y14、Y3/Y13、Y4/Y12、Y5/Y11、Y6/Y10は、各々Y14、Y13、Y12、Y11、Y10を表す。従って、式(7)の化合物は、一般式(I)の化合物に含まれる。
式(10)の化合物に、式(11)の化合物と銅粉、塩基及び添加剤を反応させることで、式(12)の化合物に導くことができる。反応は、式(10)の化合物1モルに対し、式(11)の化合物を2モル~過剰量、銅粉を0.1モル~3モル程度、塩基を2モル~過剰量、添加剤を0.05モル~2モル程度使用し、室温~溶媒の沸騰する程度の温度下に1~24時間程度反応させることにより有利に進行する。塩基としてはK2CO3やCs2CO3やAg2CO3やCsOAcやK3PO4を、添加剤としては18-クラウン-6-エーテルやPPh3を、溶媒としては、ウンデカンやドデカンなどの炭化水素系溶媒やキシレンやメシチレン等の芳香族炭化水素系溶媒を使用することができる。
式(12)の化合物とパラジウム触媒と塩基と添加剤を反応させることで目的とする式(7)の化合物を得ることができる。式(12)の化合物1モルに対しパラジウム触媒を0.1モル~3モル程度、塩基を1モル~過剰量、添加剤を0.1モル~3モル程度使用し、溶媒中、室温~溶媒の沸騰する程度の温度下に30分~24時間反応させることにより目的とする式(9)の化合物を得ることができる。パラジウム触媒としてはPd(OAc)2やPdCl2やPd2(dba)3を、塩基としてはK2CO3やCs2CO3やAg2CO3やCsOAcやK3PO4を、添加剤としてはBu4NBrやPPh3やPtBu2MeやPCy3やP(t-Bu)3やS-PhosやdppfやXantphosを、溶媒としては無水DMFや無水DMAなどの無水アミド系溶媒やキシレンやメシチレン等の芳香族炭化水素系溶媒を使用することができる。
式(12)の化合物は、以下のスキーム3に従い合成することもできる。
<スキーム3>
式(13)の化合物に、式(14)の化合物を反応させることで、式(12)の化合物に導くことができる。反応は、式(13)の化合物1モルに対し、式(14)の化合物を2モル~過剰量使用し、-78℃~溶媒の沸騰する程度の温度下に1~24時間程度反応させることにより有利に進行する。溶媒としては、無水THFの無水エーテル系溶媒を使用することができる。
本発明の化合物は、以下のスキーム4に従い合成することもできる。
<スキーム4>
反応は、式(15)の化合物1モルに対し、式(2)の化合物を6モル~過剰量使用し、溶媒中-78℃~溶媒の沸騰する程度の温度下に30分~24時間撹拌し、その後、その溶液にI2あるいはN-ブロモスクシンイミド(NBS)を2モル~過剰量加えることで、目的とする式(16)の化合物を得ることができる。溶媒としては、無水THF、無水アニソールなどの無水エーテル系溶媒やクロロベンゼン、ジクロロベンゼンなどのハロゲン化芳香族炭化水素溶媒が用いられる。
式(16)の化合物に対し、溶媒中n-BuLiあるいはt-BuLiとXcompoundを加え、-78℃~溶媒の沸騰する程度の温度下に30分~24時間反応させることにより目的とする式(17)の化合物を得ることができる。溶媒としては、ベンゼン、トルエン、キシレン、メシチレンなどの芳香族炭化水素系溶媒、またはクロロベンゼン、ジクロロベンゼンなどのハロゲン化芳香族炭化水素溶媒が用いられる。反応は式(16)の化合物1モルに対しn-BuLiを2モル~過剰量あるいはt-BuLiを4モル~過剰量使用して式(16)の化合物の2つのI(ヨウ素)基あるいはBr(臭素)基を引き抜き、次いでX compoundを2モル~過剰量加え、スキーム1の化合物(7), (8)または(9)の製造法と同様に処理することで、式(17)の化合物を得る。
本発明の化合物は、以下のスキーム5に従い合成することもできる。
<スキーム5>
式(15’)の化合物に、式(18)の化合物とパラジウム触媒、塩基及び添加剤を反応させることで、式(19)の化合物に導くことができる。反応は、式(15’)の化合物1モルに対し、式(18)の化合物を3モル~過剰量、パラジウム触媒を0.03モル~0.5モル程度、塩基を3モル~過剰量、添加剤を0.03モル~0.5モル程度使用し、0℃~溶媒の沸騰する程度の温度下に1~24時間程度反応させることにより有利に進行する。パラジウム触媒としてはPd(OAc)2やPdCl2やPd2(dba)3を、塩基としてはKFやK2CO3やCs2CO3やAg2CO3やCsOAcやK3PO4を、添加剤としてはPPh3やPCy3やP(t-Bu)3やS-PhosやdppfやXantphosを、溶媒としては、THF、ジオキサン、アニソールなどのエーテル系溶媒やトルエンやキシレン等の芳香族炭化水素系溶媒あるいはそれら有機溶媒と水との混合溶媒を使用することができる。
式(19)の化合物に対し、溶媒中n-BuLiあるいはt-BuLiとXcompoundを加え、-78℃~溶媒の沸騰する程度の温度下に30分~24時間反応させることにより目的とする式(20)の化合物を得ることができる。溶媒としては、ベンゼン、トルエン、キシレン、メシチレンなどの芳香族炭化水素系溶媒、またはクロロベンゼン、ジクロロベンゼンなどのハロゲン化芳香族系溶媒が用いられる。反応は式(16)の化合物1モルに対しn-BuLiを3モル~過剰量あるいはt-BuLiを6モル~過剰量使用して式(17)の化合物の3つのBr(臭素)基を引き抜き、次いでX compoundを3モル~過剰量加え、スキーム1の化合物(7), (8)または(9)の製造法と同様に処理することで、式(17)の化合物を得る。
次に、有機発光素子について詳細に説明する。
本発明の有機発光素子は、陽極及び陰極からなる少なくとも一対の電極と、該一対の電極間に挟持された少なくとも一層の有機化合物からなる層からなる有機発光素子において、前記有機化合物を含む層の少なくとも一層が一般式(I)で示される化合物の少なくとも一種を含有することを特徴とする。
本発明の有機発光素子は、有機化合物を含む層のうち、少なくとも発光層が、前記化合物の少なくとも一種を含有することが好ましい。また、発光層がホストとゲストの2つ以上の化合物からなる有機発光素子において、該ホストまたはゲストが前記化合物であることが好ましい。なお、本発明におけるゲストとは、有機EL素子の発光領域において、正孔と電子の再結合に応答して光を発する化合物のことであり、発光領域を形成する物質(ホスト)に含有させるものである。
本発明に係る前記一般式(I)で表される化合物を、ゲストとして用いる場合の含有量としては、50重量%以下であることが好ましく、更に好ましくは、0.1重量%以上30重量%以下であり、特に好ましくは、0.1重量%以上15重量%以下である。
一方、本発明に関わる前記一般式(I)で表される化合物をホスト化合物として用いる場合、ゲストに特に制限は無く、所望する発光色等によって、後述する化合物等を適宜用いることが出来る。また、必要に応じてゲスト以外に、ホール輸送性化合物、電子輸送性化合物などを一緒にドープして使用することもできる。
有機化合物層として発光層のみに本発明の化合物を用いてもよいが、必要に応じ、発光層以外に、例えば正孔注入層、正孔輸送層、電子注入層、電子輸送層、電子障壁層なども用いることができる。
本発明の有機発光素子においては、上記一般式(I)で示される化合物を真空蒸着法や溶液塗布法により陽極及び陰極の間に形成する。その有機層の厚みは10μmより薄く、好ましくは0.5μm以下、より好ましくは0.01以上0.5μm以下の厚みに薄膜化することが好ましい。
本発明の有機発光素子において、一般式(I)で示される化合物を含有する層および他の有機化合物を含有する層は、一般には真空蒸着法あるいは、適当な溶媒に溶解させて塗布法により薄膜を形成する。特に塗布法で成膜する場合は、適当な結着樹脂と組み合わせて膜を形成することもできる。
上記結着樹脂としては広範囲な結着性樹脂より選択でき、たとえばポリビニルカルバゾール樹脂、ポリカーボネート樹脂、ポリエステル樹脂、ポリアリレート樹脂、ポリスチレン樹脂、アクリル樹脂、メタクリル樹脂、ブチラール樹脂、ポリビニルアセタール樹脂、ジアリルフタレート樹脂、フェノール樹脂、エポキシ樹脂、シリコーン樹脂、ポリスルホン樹脂、尿素樹脂等が挙げられるが、これらに限定されるものではない。また、これらは単独または共重合体ポリマーとして1種または2種以上混合してもよい。
陽極材料としては例えば、金、白金、ニッケル、パラジウム、コバルト、セレン、バナジウム等の金属単体あるいはこれらの合金、酸化錫、酸化亜鉛、酸化錫インジウム(ITO)、酸化亜鉛インジウム等の金属酸化物が使用できる。また、ポリアニリン、ポリピロール、ポリチオフェン、ポリフェニレンスルフィド等の導電性ポリマーも使用できる。これらの電極物質は単独で用いてもよく、複数併用することもできる。
陰極材料としては例えば、リチウム、ナトリウム、カリウム、セシウム、カルシウム、マグネシウム、アルミニウム、インジウム、銀、鉛、錫、クロム等の金属単体あるいは複数の合金として用いることができる。酸化錫インジウム(ITO)等の金属酸化の利用も可能である。また、陰極は一層構成でもよく、多層構成をとることもできる。
本発明で用いる基板としては、特に限定するものではないが、金属製基板、セラミックス製基板等の不透明性基板、ガラス、石英、プラスチックシート等の透明性基板が用いられる。また、基板にカラーフィルター膜、蛍光色変換フィルター膜、誘電体反射膜などを用いて発色光をコントロールする事も可能である。
なお、作成した素子に対して、酸素や水分等との接触を防止する目的で保護層あるいは封止層を設けることもできる。保護層としては、ダイヤモンド薄膜、金属酸化物、金属窒化物等の無機材料膜、フッソ樹脂、ポリパラキシレン、ポリエチレン、シリコーン樹脂、ポリスチレン樹脂等の高分子膜さらには、光硬化性樹脂等が挙げられる。また、ガラス、気体不透過性フィルム、金属などをカバーし、適当な封止樹脂により素子自体をパッケージングすることもできる。
以下、実施例により本発明をさらに具体的に説明していくが、本発明はこれらに限定されるものではない。
実施例1
1,1’-(2-ヨード-1,3-フェニレン)ビス(2-メチルナフタレン)
合成例1:
実施例1
1,1’-(2-ヨード-1,3-フェニレン)ビス(2-メチルナフタレン)
合成例1:
1,3-ジクロロベンゼン(7.35g、50.0mmol)及びTHF(70mL)に、アルゴン雰囲気下-78℃で、ブチルリチウムのヘキサン溶液(30.5mL、1.64M、50.0mmol)を添加し撹拌した。2時間後、ヨウ素のTHF溶液(30.0mL、1.67M、50.0mmol)を加えた後、室温下、チオ硫酸ナトリウム飽和水溶液100mLを加え、有機層を回収し、水層をジエチルエーテルを用いて3回抽出した。合わせた有機抽出物に含まれる水分を硫酸マグネシウムで除去し、濾過した。溶媒を減圧下に留去した後、得られた白色の油状物質にメタノールを用いてトリチュレーションすることで白色結晶を生成させ、白色粉末として1,3-ジクロロ-2-ヨードベンゼンを得た(11.75g、収率86%)。得られた1,3-ジクロロ-2-ヨードベンゼン(5.46g、20.0mmol)に、アルゴン雰囲気下0℃で(2-メチルナフタレン-1-イル)マグネシウムブロミドのTHF溶液(93.0mL、0.86M、80.0mmol)を添加し室温で1時間撹拌した後、80℃に昇温した。14時間後、0℃でヨウ素のTHF溶液(60.0mL、1.67M、100mmol)を加えた後、室温下、チオ硫酸ナトリウム飽和水溶液100mLを加え、有機層を回収し、水層をジエチルエーテルを用いて3回抽出した。合わせた有機抽出物に含まれる水分を硫酸マグネシウムで除去し、濾過した。溶媒を減圧下に留去した後、得られた褐色の油状物質にヘキサンを用いてトリチュレーションすることで、白褐色粉末として標題化合物を得た(3.03g、収率31%)。
1H NMR (δppm in CDCl3); 2.25(s, 6H), 7.24-7.45(m, 10H), 7.61(t, 1H, J = 7.4 Hz), 7.83-7.88(m, 4H);13C NMR (δppm in CDCl3); 20.5(2C), 124.9, 125.0, 125.3, 125.4, 126.1, 126.2, 127.8, 127.9, 128.5, 128.6, 128.7, 129.2, 132.0, 132.1, 133.1, 140.9, 146.0
合成例2:
1H NMR (δppm in CDCl3); 2.25(s, 6H), 7.24-7.45(m, 10H), 7.61(t, 1H, J = 7.4 Hz), 7.83-7.88(m, 4H);13C NMR (δppm in CDCl3); 20.5(2C), 124.9, 125.0, 125.3, 125.4, 126.1, 126.2, 127.8, 127.9, 128.5, 128.6, 128.7, 129.2, 132.0, 132.1, 133.1, 140.9, 146.0
合成例2:
1,3-ジクロロベンゼン(4.41g、30mmol)及びTHF(40mL)に、アルゴン雰囲気下,-78℃で、ブチルリチウムのヘキサン溶液(18.3mL、1.64M、30.0mmol)を添加し撹拌した。2時間後、0℃で(2-メチルナフタレン-1-イル)マグネシウムブロミドのTHF溶液(69.8mL、0.86M、60.0mmol)を添加し室温で1時間撹拌した後、80℃に昇温した。14時間後、0℃でヨウ素のTHF溶液(19.8mL、1.67M、33.0mmol)を加えた後、室温下、チオ硫酸ナトリウム飽和水溶液100mLを加え、有機層を回収し、水層をジエチルエーテルを用いて3回抽出した。合わせた有機抽出物に含まれる水分を硫酸マグネシウムで除去し、濾過した。溶媒を減圧下に留去した後、得られた褐色の油状物質にヘキサンを用いてトリチュレーションすることで、白褐色粉末として標題化合物を得た(4.65g、収率32%)。
実施例2
2,6-ビス(2ーメチルナフタレン-1-イル)ビス(ジエチルアミノ)ホスフィン
2,6-ビス(2ーメチルナフタレン-1-イル)ビス(ジエチルアミノ)ホスフィン
1,1’-(2-ヨード-1,3-フェニレン)ビス(2-メチルナフタレン)(7.27g、15.0mmol)及びトルエン(75mL)に、アルゴン雰囲気下-78℃で、t-ブチルリチウムのペンタン溶液(19.0mL、1.58M、30.0mmol)を添加し撹拌した。1時間後0℃に昇温しさらに1時間撹拌した後、-78℃でビス(ジエチルアミノ)クロロホスフィンのTHF溶液(11.3mL、2.0M、22.5mmol)を添加した。3時間後、室温にした反応溶液にヘキサンを加え濾過した後、溶媒を減圧下に留去し、得られた朱色の油状物質にメタノールを用いてトリチュレーションすることで、白褐色粉末として標題化合物を得た(5.42g、収率68%)。
実施例3
2,6-ビス(2-メチルナフタレン-1-イル)ビス(ジエチルアミノ)ホスフィンスルフィド
2,6-ビス(2-メチルナフタレン-1-イル)ビス(ジエチルアミノ)ホスフィンスルフィド
2,6-ビス(2-メチルナフタレン-1-イル)ビス(ジエチルアミノ)ホスフィン(5.33g、10.0mmol)及び硫黄(0.481g、15.0mmol)にアルゴン雰囲気下室温で、ベンゼン(40mL)を加え1時間撹拌した。溶媒を減圧下に留去し、得られた白色固体をメタノールで洗浄することで、白色粉末として標題化合物を得た(5.23g、収率93%)。
1H NMR (δppm in C6D6); 0.39(t, 6H, J = 6.9 Hz), 0.67(t, 6H, J = 6.9 Hz), 1.73-1.91(m, 2H), 2.17-2.34(m, 2H), 2.45-2.59(m, 2H), 2.52(s, 6H), 2.70-2.88(m, 2H), 6.88(dd, 2H, J = 4.1, 7.3 Hz), 7.01-7.07(m, 1H), 7.22-7.28(m, 6H), 7.60-7.77(m, 6H); 31P NMR (δppm in C6D6); 69.1
1H NMR (δppm in C6D6); 0.39(t, 6H, J = 6.9 Hz), 0.67(t, 6H, J = 6.9 Hz), 1.73-1.91(m, 2H), 2.17-2.34(m, 2H), 2.45-2.59(m, 2H), 2.52(s, 6H), 2.70-2.88(m, 2H), 6.88(dd, 2H, J = 4.1, 7.3 Hz), 7.01-7.07(m, 1H), 7.22-7.28(m, 6H), 7.60-7.77(m, 6H); 31P NMR (δppm in C6D6); 69.1
実施例4
6,10-ジメチル-15b-チオホスファナフト[1,8-ab]ペリレン
合成例1:
6,10-ジメチル-15b-チオホスファナフト[1,8-ab]ペリレン
合成例1:
2,6-ビス(2-メチルナフタレン-1-イル)ビス(ジエチルアミノ)ホスフィンスルフィド(2.26g、4.00mmol)及び三塩化アルミニウム(2.13g、16.0mmol)にアルゴン雰囲気下室温で、1,2-ジクロロベンゼン(40mL)を加え、120℃で14時間撹拌した。トリエチルアミン(16mL)を加えた後、溶媒を減圧下加熱して留去し、濾過して得られた粗生成物をシリカゲルカラムクロマトグラフィー(溶媒:トルエン、ジクロロメタン)により単離することで黄色粉末として標題化合物を得た(0.957g、収率57%)。
HRMS(EI) m/z; calcd. 418.0945[M]+; found 418.0946
1H NMR (δppm in CD2Cl2); 2.98(s, 6H), 7.52-7.75(m, 7H), 7.88(dd, 2H, J= 2.0, 8.1 Hz), 8.05(d, 2H, J = 8.1 Hz), 8.58(dd, 2H, J = 7.3, 13.5 Hz);13C NMR (δppm in CD2Cl2); 24.3(2C), 125.7, 125.9, 128.3, 129.1(2C), 129.8(2C), 130.5, 130.9(2C), 131.0, 131.1, 131.2, 131.8, 131.9, 132.2(2C), 132.3, 136.7(2C), 138.7(2C); 31P NMR (δppm in CD2Cl2);-8.1
X-ray crystal structure of 4
HRMS(EI) m/z; calcd. 418.0945[M]+; found 418.0946
1H NMR (δppm in CD2Cl2); 2.98(s, 6H), 7.52-7.75(m, 7H), 7.88(dd, 2H, J= 2.0, 8.1 Hz), 8.05(d, 2H, J = 8.1 Hz), 8.58(dd, 2H, J = 7.3, 13.5 Hz);13C NMR (δppm in CD2Cl2); 24.3(2C), 125.7, 125.9, 128.3, 129.1(2C), 129.8(2C), 130.5, 130.9(2C), 131.0, 131.1, 131.2, 131.8, 131.9, 132.2(2C), 132.3, 136.7(2C), 138.7(2C); 31P NMR (δppm in CD2Cl2);-8.1
X-ray crystal structure of 4
合成例2:
1,1’-(2-ヨード-1,3-フェニレン)ビス(2-メチルナフタレン)(0.484g、1.00mmol)及びトルエン(5.0mL)にアルゴン雰囲気下-78℃で、t-ブチルリチウムのペンタン溶液(1.28mL、1.56M、2.00mmol)を添加し撹拌した。1時間後0℃に昇温しさらに1時間撹拌した後、-78℃で三塩化リン(0.137g、1.00mmol)を加え、3時間撹拌した。溶媒を減圧下留去し、1,2-ジクロロベンゼン(10mL)を加えた後、三塩化アルミニウム(0.533g、4.00mmol)及び硫黄(0.048g、1.50mmol)を添加し、120℃で14時間撹拌した。トリエチルアミン(4.0mL)を加えた後、溶媒を減圧下加熱して留去し、濾過して得られた粗生成物をシリカゲルカラムクロマトグラフィー(溶媒:トルエン、ジクロロメタン)により単離することで黄色粉末として標題化合物を得た(0.230g、収率55%)。
実施例5
6,10-ジメチル-15b-ホスファナフト[1,8-ab]ペリレン
6,10-ジメチル-15b-ホスファナフト[1,8-ab]ペリレン
6,10-ジメチル-15b-チオホスファナフト[1,8-ab]ペリレン(0.418g、1.00mmol)及びトリブチルホスフィン(0.303g、1.50mmol)にアルゴン雰囲気下0℃で、1,2-ジクロロベンゼン(20mL)を加え120℃で18時間撹拌した。溶媒を減圧下留去しヘキサンを加えトリチュレーションすることで、黄色粉末として標題化合物を得た(0.373g、収率97%)。
HRMS(EI) m/z; calcd. 386.1224[M]+; found 386.1222
1H NMR (δppm in CD2Cl2); 2.85(s, 6H), 7.36-7.57(m, 7H), 7.76(dd, 4H, J = 2.3, 8.2 Hz), 8.15(t, 2H, J = 6.8 Hz); 13C NMR δ ppm in CD2Cl2; 23.6(2C), 125.3(2C), 127.2, 127.4(2C), 127.5, 127.9, 128.6(2C), 129.9(2C), 130.2, 130.6, 130.8, 131.6(2C), 132.9(2C), 133.6(2C), 133.7(2C), 135.4(2C), 135.6(2C); 31P NMR (δppm in CD2Cl2); -44.6
HRMS(EI) m/z; calcd. 386.1224[M]+; found 386.1222
1H NMR (δppm in CD2Cl2); 2.85(s, 6H), 7.36-7.57(m, 7H), 7.76(dd, 4H, J = 2.3, 8.2 Hz), 8.15(t, 2H, J = 6.8 Hz); 13C NMR δ ppm in CD2Cl2; 23.6(2C), 125.3(2C), 127.2, 127.4(2C), 127.5, 127.9, 128.6(2C), 129.9(2C), 130.2, 130.6, 130.8, 131.6(2C), 132.9(2C), 133.6(2C), 133.7(2C), 135.4(2C), 135.6(2C); 31P NMR (δppm in CD2Cl2); -44.6
実施例6
6,10-ジメチル-15b-オキサホスファナフト[1,8-ab]ペリレン
6,10-ジメチル-15b-オキサホスファナフト[1,8-ab]ペリレン
6,10-ジメチル-15b-ホスファナフト[1,8-ab]ペリレン(0.077g、0.20mmol)及びジクロロメタン(2.0mL)に対し30%過酸化水素水(2.0mL)を添加し、室温で6時間攪拌した。抽出した有機層の溶媒を減圧下留去し、得られた粗生成物をシリカゲルカラムクロマトグラフィー(溶媒:ジクロロメタン、酢酸エチル)により単離することで淡黄色粉末として標題化合物を得た(0.057g、収率71%)。
HRMS(EI) calcd for C28H20PO ([M+H]+):403.1252, observed 403.1245.
31P NMR (CD-2Cl2, 160 MHz) δ -10.6.
UV-vis and Fluorescence in CH2Cl2: λabs = 379 nm, λem = 415 nm, Φf = 0.83
HRMS(EI) calcd for C28H20PO ([M+H]+):403.1252, observed 403.1245.
31P NMR (CD-2Cl2, 160 MHz) δ -10.6.
UV-vis and Fluorescence in CH2Cl2: λabs = 379 nm, λem = 415 nm, Φf = 0.83
実施例7,8
7)15b-チオホスファナフト[1,8-ab]ペリレン,8)15b-チオホスファ-ベンゾ[hi]ナフト[2,1-a]アセアンスリレン
7)15b-チオホスファナフト[1,8-ab]ペリレン,8)15b-チオホスファ-ベンゾ[hi]ナフト[2,1-a]アセアンスリレン
1,1’-(2-ヨード-1,3-フェニレン)ジナフタレン(3.65g、8.0mmol)及びトルエン(50mL)にアルゴン雰囲気下-78℃で、t-ブチルリチウムのペンタン溶液(10.3mL、1.55M、16.0mmol)を添加し撹拌した。1時間後0℃に昇温しさらに1時間撹拌した後、-78℃で三塩化リン(1.65g、12.0mmol)を加え、1時間撹拌した後、室温で1時間攪拌した。溶媒を減圧下留去し、1,2-ジクロロベンゼン(80mL)を加えた後、三塩化アルミニウム(4.27g、32.0mmol)及び硫黄(0.385g、12.0mmol)を添加し、80℃で12時間撹拌した。1,4-ジアザビシクロ[2.2.2.]オクタン(4.03g、36.0mmol)を加えた後、溶媒を減圧下加熱して留去し、濾過して得られた粗生成物をシリカゲルカラムクロマトグラフィー(溶媒:トルエン、ジクロロメタン)により単離することで淡黄色粉末として15b-チオホスファナフト[1,8-ab]ペリレン(0.312g、収率10%)、15b-チオホスファ-ベンゾ[hi]ナフト[2,1-a]アセアンスリレン(0.843g、収率27%)をそれぞれ得た。
7)HRMS(FAB) m/z; calcd. 391.0710[M+H]+; found 391.0712
31P NMR (δppm in CD2Cl2); -7.6
X-ray crystal structure of 6
7)HRMS(FAB) m/z; calcd. 391.0710[M+H]+; found 391.0712
31P NMR (δppm in CD2Cl2); -7.6
X-ray crystal structure of 6
8)HRMS(FAB) m/z; calcd. 391.0710[M+H]+; found 391.0714
31P NMR (δppm in CD2Cl2); 17.7
X-ray crystal structure of 7
31P NMR (δppm in CD2Cl2); 17.7
X-ray crystal structure of 7
実施例9
6,10-ジメチル-8-(N,N-ジフェニルアミノ)-15b-チオホスファナフト[1,8-ab]ペリレン
6,10-ジメチル-8-(N,N-ジフェニルアミノ)-15b-チオホスファナフト[1,8-ab]ペリレン
4-ヨード-3,5-ビス(2-メチルナフタレン-1-イル)-N,N-ジフェニルアニリン(1.30g、2.00mmol)及びテトラヒドロフラン(12mL)にアルゴン雰囲気下-78℃で、t-ブチルリチウムのペンタン溶液(2.60mL、1.55M、4.00mmol)を添加し1時間撹拌した後-78℃で三塩化リン(0.412g、3.00mmol)を加え、1時間撹拌した。溶媒を減圧下留去し、1,2-ジクロロベンゼン(24mL)を加えた後、三塩化アルミニウム(1.07g、8.00mmol)及び硫黄(0.064g、2.00mmol)を添加し、120℃で14時間撹拌した。1,4-ジアザビシクロ[2.2.2.]オクタン(1.12g、10.0mmol)を加えた後、溶媒を減圧下加熱して留去し、濾過して得られた粗生成物をシリカゲルカラムクロマトグラフィー(溶媒:トルエン、ジクロロメタン)により単離することで淡黄色粉末として標題化合物(0.253g、収率22%)を得た。
HRMS(FAB) m/z; calcd. 586.1758[M+H]+; found 586.1759
31P NMR (δppm in CD2Cl2); -7.8
HRMS(FAB) m/z; calcd. 586.1758[M+H]+; found 586.1759
31P NMR (δppm in CD2Cl2); -7.8
実施例10
6,10-ジメチル-8-(N,N-ジフェニルアミノ)-15b-オキソホスファナフト[1,8-ab]ペリレン
6,10-ジメチル-8-(N,N-ジフェニルアミノ)-15b-オキソホスファナフト[1,8-ab]ペリレン
6,10-ジメチル-8-(N,N-ジフェニルアミノ)-15b-チオホスファナフト[1,8-ab]ペリレン(0.117g、0.20mmol)及びジクロロメタン(2.0mL)に対し30%過酸化水素水(2.0mL)を添加し、室温で6時間攪拌した。抽出した有機層の溶媒を減圧下留去し、得られた粗生成物をシリカゲルカラムクロマトグラフィー(溶媒:ジクロロメタン、酢酸エチル)により単離することで淡黄色粉末として標題化合物を得た(0.091g、収率80%)。
HRMS(FAB) m/z; calcd. 570.1987[M+H]+; found 570.1989
31P NMR (δppm in CD2Cl2); -9.3
X-ray crystal structure of 9
HRMS(FAB) m/z; calcd. 570.1987[M+H]+; found 570.1989
31P NMR (δppm in CD2Cl2); -9.3
X-ray crystal structure of 9
実施例11
6,10-ジメチル-15b-(メチルシラ)ナフト[1,8-ab]ペリレン
合成例1:
6,10-ジメチル-15b-(メチルシラ)ナフト[1,8-ab]ペリレン
合成例1:
1,1’-(2-ヨード-1,3-フェニレン)ビス(2-メチルナフタレン)(0.484g、1.00mmol)及びトルエン(5.0mL)にアルゴン雰囲気下-78℃で、t-ブチルリチウムのペンタン溶液(1.28mL、1.56M、1.20mmol)を添加し撹拌した。1時間後0℃に昇温しさらに1時間撹拌した後、-78℃でトリヨードメチルシラン(0.424g、1.00mmol)を加え、3時間撹拌した。溶媒を減圧下留去し、1,2-ジクロロベンゼン(10mL)を加えた後、三塩化アルミニウム(0.533g、4.00mmol)を添加し、60-120℃で撹拌した。1,4-ジアザビシクロ[2.2.2.]オクタン(1.12g、10.0mmol)を加えた後、溶媒を減圧下加熱して留去し、濾過して得られた粗生成物をHPLCおよびGPCで単離することで淡黄色粉末として標題化合物を得た(0.040g、収率10%)。
HRMS(FAB) m/z; calcd. 399.1569 [M+H]+; found 399.1570
29Si NMR (δppm in C6D6); -21.4
合成例2:
HRMS(FAB) m/z; calcd. 399.1569 [M+H]+; found 399.1570
29Si NMR (δppm in C6D6); -21.4
合成例2:
1,1’-(2-ヨード-1,3-フェニレン)ビス(2-メチルナフタレン)(0.242g、0.50mmol)及びトルエン(5.0mL)にアルゴン雰囲気下-78℃で、t-ブチルリチウムのペンタン溶液(1.28mL、1.56M、1.00mmol)を添加し撹拌した。1時間後0℃に昇温しさらに1時間撹拌した後、-78℃でクロロメチルシラン(0.060g、0.75mmol)を加え、3時間撹拌した。溶媒を減圧下留去し、ヘキサンで抽出した後再度溶媒を留去し、ジクロロエタン溶液とした。2,6-ルチジン(0.129g、1.20mmol)にトリチルテトラキス(ペンタフルオロフェニル)ボレート(0.922g、1.00mmol)を加え40-80℃で撹拌した。トリエチルアミン(4.0mL)を加えた後、溶媒を減圧下加熱して留去し、濾過して得られた粗生成物をHPLCおよびGPCで単離することで淡黄色粉末として標題化合物を得た(0.014g、収率7%)。
実施例12
N-(アントラセン-9-イル)-N-(2,6-ジクロロフェニル)アントラセン-9-アミン
N-(アントラセン-9-イル)-N-(2,6-ジクロロフェニル)アントラセン-9-アミン
2,6-ジクロロアニリン(0.162g、1.00mmol)、9-ヨードアントラセン(1.22g、4.01mmol)、銅粉(0.127g、2.00mmol)、炭酸カリウム(0.553g、4.00mmol)、18-クラウン-6-エーテル(0.013g、0.05mmol)にアルゴン雰囲気下室温で、ウンデカン(2mL)を加え190℃で16時間加熱撹拌した。ジクロロメタンを加えた後、固形物を濾過して除き、溶媒を減圧下留去しヘキサンを加えトリチュレーションすることで、黄褐色粉末として標題化合物を得た(0.283g、収率55%)。
1H NMR (δppm in CD2Cl2); 6.85(t, 2H, J = 8.1 Hz), 7.04-7.21(m, 8H), 7.32-7.50(m, 6H), 8.19(d, 2H, J = 8.6 Hz), 8.29(d, 2H, J= 8.6 Hz), 8.73(s, 1H); 13C NMR (δppm in CD2Cl2); 120.7, 123.2, 124.2(2C), 125.8(2C), 126.1(2C), 126.2(2C), 126.4(2C), 126.9(2C), 127.5(2C), 127.8, 129.0(2C), 129.3(4C), 129.9(2C), 132.0(4C), 132.1(2C), 133.4, 134.5(2C)
1H NMR (δppm in CD2Cl2); 6.85(t, 2H, J = 8.1 Hz), 7.04-7.21(m, 8H), 7.32-7.50(m, 6H), 8.19(d, 2H, J = 8.6 Hz), 8.29(d, 2H, J= 8.6 Hz), 8.73(s, 1H); 13C NMR (δppm in CD2Cl2); 120.7, 123.2, 124.2(2C), 125.8(2C), 126.1(2C), 126.2(2C), 126.4(2C), 126.9(2C), 127.5(2C), 127.8, 129.0(2C), 129.3(4C), 129.9(2C), 132.0(4C), 132.1(2C), 133.4, 134.5(2C)
実施例13
19c-アザアントラ[9,1-ab]ベンゾ[o]ペリレン
合成例1:
19c-アザアントラ[9,1-ab]ベンゾ[o]ペリレン
合成例1:
N-(アントラセン-9-イル)-N-(2,6-ジクロロフェニル)アントラセン-9-アミン(0.206g、0.40mmol)、酢酸パラジウム(0.090g、0.40mmol)、炭酸カリウム(0.414g、3.0mmol)、テトラブチルアンモニウムブロミド(0.258g、0.80mmol)にアルゴン雰囲気下室温で、無水DMA(10mL)を加え120℃から180℃で撹拌した。溶媒を減圧下留去し、得られた粗生成物をHPLCおよびGPCで単離することで粉末として標題化合物を得ることができる。
合成例2:
合成例2:
N-(アントラセン-9-イル)-N-(2,6-ジブロモフェニル)アントラセン-9-アミン(0.241g、0.40mmol)、酢酸パラジウム(0.090g、0.40mmol)、炭酸カリウム(0.414g、3.0mmol)、テトラブチルアンモニウムブロミド(0.258g、0.80mmol)にアルゴン雰囲気下室温で、無水DMA(10mL)を加え120℃から180℃で撹拌した。溶媒を減圧下留去し、得られた粗生成物をHPLCおよびGPCで単離することで粉末として標題化合物を得ることができる。
実施例14
ベンゾ[kl]ベンゾ[4,5]インドロ[3,2,1-de]ペリレン
ベンゾ[kl]ベンゾ[4,5]インドロ[3,2,1-de]ペリレン
N-(2,6-ジブロモフェニル)-2-メチル-N-(2-メチルナフタレン-1-イル)ナフタレン-1-アミン(0.213g、0.40mmol)、酢酸パラジウム(0.090g、0.40mmol)、炭酸カリウム(0.414g、3.0mmol)、テトラブチルアンモニウムブロミド(0.258g、0.80mmol)にアルゴン雰囲気下室温で、無水DMA(10mL)を加え120℃から180℃で撹拌した。溶媒を減圧下留去し、得られた粗生成物をHPLCおよびGPCで単離することで粉末として標題化合物を得ることができる。
実施例15
1, 1', 1'', 1'''-(3,6-ジヨードベンゼン-1,2,4,5-テトライル)テトラキス(2-メチルナフタレン)
1, 1', 1'', 1'''-(3,6-ジヨードベンゼン-1,2,4,5-テトライル)テトラキス(2-メチルナフタレン)
ヘキサブロモベンゼン(16.5g、30mmol)に、アルゴン雰囲気下0℃で(2-メチルナフタレン-1-イル)マグネシウムブロミドのTHF溶液(200mL、1.20M、240mmol)を添加し室温で時間撹拌した。0℃でヨウ素のTHF溶液(144mL、1.67M、240mmol)を加えた後、室温下、チオ硫酸ナトリウム飽和水溶液300mLを加え、有機層を回収し、水層をジクロロメタンを用いて3回抽出した。合わせた有機抽出物に含まれる水分を硫酸マグネシウムで除去し、濾過した。溶媒を減圧下に留去した後、得られた褐色の油状物質にジエチルエーテルを用いてトリチュレーションすることで、白褐色粉末として標題化合物を得た(5.1g、収率19%)。
実施例16
3b,15b-ビス(チオホスファ)-9,10,21,22-テトラメチル-ジベンゾ[de,op]ジフェナレニノ[3,2,1-hi:3',2',1'-st]ペンタセン
3b,15b-ビス(チオホスファ)-9,10,21,22-テトラメチル-ジベンゾ[de,op]ジフェナレニノ[3,2,1-hi:3',2',1'-st]ペンタセン
1, 1', 1'', 1'''-(3,6-ジヨードベンゼン-1,2,4,5-テトライル)テトラキス(2-メチルナフタレン)(4.45g、5.0mmol)及びTHF(50mL)に、アルゴン雰囲気下-78℃で、t-ブチルリチウムのペンタン溶液(14.5mL、1.55M、22.5mmol)を添加し撹拌した。0℃に昇温した後、-78℃でビス(ジエチルアミノ)クロロホスフィンのTHF溶液(7.0mL、2.0M、14.0mmol)を添加した。室温にした反応溶液の溶媒を減圧下に留去し、メタノールを用いてトリチュレーションして得られた白褐色粉末(3.50g)に,クロロベンゼン(35mL)と硫黄(0.28g、8.8mmol)を室温で8時間撹拌した。溶媒を減圧下留去し、メタノールでトリチュレーションして得られた淡黄色粉末(3.10g)にアルゴン雰囲気下室温で、三塩化アルミニウム(3.20g、24.0mmol)及び1,2-ジクロロベンゼン(30mL)を加え、160℃で14時間撹拌した。1,4-ジアザビシクロ[2.2.2.]オクタン(3.14g、28.0mmol)を加えた後、溶媒を減圧下加熱して留去し、濾過して得られた粗生成物をシリカゲルカラムクロマトグラフィー(溶媒:トルエン、ジクロロメタン)により単離することで朱色粉末として標題化合物を得た(0.387g、収率10%)。
HRMS(FAB) m/z; calcd. 758.1421 [M]+; found 758.1422
31P NMR (δppm in CD2Cl2); 0.7
HRMS(FAB) m/z; calcd. 758.1421 [M]+; found 758.1422
31P NMR (δppm in CD2Cl2); 0.7
実施例17
7b,14b,21b-トリス(チオホスファ)-4,11,18-トリメチル-トリアントラ [1,9,8-abcd:1',9',8'-ghij:1'',9'',8''-mnop]コロネン
7b,14b,21b-トリス(チオホスファ)-4,11,18-トリメチル-トリアントラ [1,9,8-abcd:1',9',8'-ghij:1'',9'',8''-mnop]コロネン
10,10',10''-(2,4,6-トリヨードベンゼン-1,3,5-トリイル)トリス(9-メチルアントラセン)(0.89g、1.0mmol)及びTHF(10mL)に、アルゴン雰囲気下-78℃で、ブチルリチウムのペンタン溶液(0.65mL、1.55M、1.0mmol)を添加し、0℃に昇温し1時間撹拌した。次いで,-78℃で、ビス(ジエチルアミノ)クロロホスフィンのTHF溶液(0.5mL、2.0M、1.0mmol)を添加し,0℃に昇温した。以上の操作を3回繰り返した後,反応溶液の溶媒を減圧下で留去し、メタノールを用いてトリチュレーションして得られた粉末に,クロロベンゼン(10mL)と硫黄(0.10g、3.0mmol)を室温下添加した。8時間後溶媒を減圧下留去し、メタノールでトリチュレーションして薄黄色粉末を得た.これに対し,アルゴン雰囲気下室温で、三塩化アルミニウム(1.20g、9.0mmol)及び1,2-ジクロロベンゼン(10mL)を加え、150℃で12時間撹拌した。1,4-ジアザビシクロ[2.2.2.]オクタン(1.68g、15.0mmol)を加えた後、溶媒を減圧下加熱して留去し、得られた粗生成物をHPLCおよびGPCで単離することで標題化合物を得ることができる。
Claims (4)
- 下記一般式(I)で表される化合物。
(式中、X、X1、X2、X3、Z1、Z2は、以下の(i)~(iii)のいずれかである:
(i) Z1、X、Z2が、それらが結合している炭素原子と一緒になって以下の式(A1)、(A2)または(A3)の構造を示す場合、X2、X1、X3は同一又は異なってR1を示すか、それらが結合している炭素原子と一緒になって各々Y7、Y8、Y9を示す。Y1~Y15は同一または異なって、NまたはCR1を示す。Xはヘテロ原子もしくはその誘導体またはCR1を示す。
(ii) Z1、X、Z2が、それらが結合している炭素原子と一緒になって上記の式(A1)の構造を示し、X2、X1、X3が、それらが結合している炭素原子と一緒になって下記の式(A4)の構造を示す。式(A4)中、Y1’~Y6’、Y10’~Y15’は同一または異なって、NまたはCR1を示す。X1はヘテロ原子もしくはその誘導体またはCR1を示す。
(iii) X、X1、X2、X3、Z1、Z2が、それらが結合している炭素原子と一緒になって下記の式(A5)の構造を示す。式(A5)中、Y1’’~Y21’’は同一または異なって、NまたはCR1を示す。X、X2、X3は、同一又は異なってヘテロ原子もしくはその誘導体またはCR1を示す。
R1は水素原子、ハロゲン原子、C1-6アルコキシ基、トリフルオロメチル基、ヒドロキシ基、C1-6アルキル基、C3-7シクロアルキル基、C3-7シクロアルキル置換C1-4アルキル基、C2-6アルケニル基、C2-6アルキニル基、C1-6アルコキシ基、トリフルオロメトキシ基、トリフルオロエトキシ基、C1-10アルキルカルボニル基、C1-2アルキルスルホニル基、シアノ基、ニトロ基、アミノ基、モノ若しくはジ置換アミノ基、モノアリールアミノ基、ジアリールアミノ基、カルバゾール基、C1-6アルコキシカルボニルアミノ基、カルバモイル基、モノ若しくはジ置換カルバモイル基、スルファモイル基、モノ若しくはジ置換スルファモイル基、C1-6アルキルスルホニルアミノ基、アリール基、ヘテロアリール基、C1-6アルコキシカルボニル基、アリール置換C1-4アルコキシカルボニル基、カルボキシル基、5-テトラゾリル基、スルホ基(-SO2OH)又はフルオロスルホニル基を意味し、ただし、アルキル基、アルケニル基及びアルキニル基は、ハロゲン、ヒドロキシ、ジ置換アミノ、アリール置換C1-4アルキル基、ヘテロアリール置換C1-4アルキル基、アリール及びヘテロアリールから選択される1~3個の原子又は基で置換されていてもよく、かつ、上記アリール基、アリール部分、ヘテロアリール基、ヘテロアリール部分は、ハロゲン、ヒドロキシ、C1-6アルキル、ヒドロキシC1-3アルキル、C1-6アルコキシ、トリフルオロメチル、トリフルオロメトキシ、トリフルオロエトキシ、シアノ、ニトロ、アミノ、モノ若しくはジ置換アミノ、カルバモイル、スルファモイル、C1-6アルキルスルホニル、C1-3アルキルスルホニルアミノ、C1-3アルキルカルボニルアミノ、メチレンジオキシ、モノアリールアミノ、ジアリールアミノ、カルバゾール、ヘテロアリール及びアリール(当該アリールは、ハロゲン原子、C1-6アルコキシ基、トリフルオロメチル基、ヒドロキシ基、C1-6アルキル基、C3-7シクロアルキル基、C3-7シクロアルキル置換C1-4アルキル基、C2-6アルケニル基、C2-6アルキニル基、C1-6アルコキシ基、トリフルオロメトキシ基、トリフルオロエトキシ基、C1-10アルキルカルボニル基、C1-2アルキルスルホニル基、シアノ基、ニトロ基またはアミノ基でモノ置換もしくはジ置換されていてもよい)から選択される1~4個の原子又は基で置換されていてもよい。或いは、隣接するY1~Y15、Y1’~Y6’、Y10’~Y15’、Y1’’~Y21’’のいずれかに結合している隣接する2つのR1基は、これらが結合している炭素原子と一緒になって5員環又は6員環のヘテロ原子を有していてもよい環式基を示し、Y1~Y15、Y1’~Y6’、Y10’~Y15’、Y1’’~Y21’’のいずれかに結合している隣接する3つのR1基は、これらが結合している炭素原子と一緒になって2環または3環の芳香族環式基を示す。) - 下記一般式(IA1)、(IA2)、(IA3)、(IA4)または(IA5)で表される、請求項1に記載の化合物。
(式中、Y1~Y15、Y1’~Y6’、Y10’~Y15’、Y1’’~Y21’’は同一または異なって、NまたはCR1を示す。R1は、水素原子、ハロゲン原子、C1-6アルコキシ基、アリールオキシ基、トリフルオロメチル基、ヒドロキシ基、C1-6アルキル基、C3-7シクロアルキル基、C3-7シクロアルキル置換C1-4アルキル基、C2-6アルケニル基、C2-6アルキニル基、C1-6アルコキシ基、トリフルオロメトキシ基、トリフルオロエトキシ基、C1-10アルキルカルボニル基、C1-2アルキルスルホニル基、シアノ基、ニトロ基、アミノ基、モノ若しくはジ置換アミノ基、モノアリールアミノ基、ジアリールアミノ基、カルバゾール基、C1-6アルコキシカルボニルアミノ基、カルバモイル基、モノ若しくはジ置換カルバモイル基、スルファモイル基、モノ若しくはジ置換スルファモイル基、C1-6アルキルスルホニルアミノ基、アリール基、ヘテロアリール基、C1-6アルコキシカルボニル基、アリール置換C1-4アルコキシカルボニル基、カルボキシル基、5-テトラゾリル基、スルホ基(-SO2OH)又はフルオロスルホニル基を意味し、ただし、アルキル基、アルケニル基及びアルキニル基は、ハロゲン、ヒドロキシ、ジ置換アミノ、アリール置換C1-4アルキル基、ヘテロアリール置換C1-4アルキル基、アリール及びヘテロアリールから選択される1~3個の原子又は基で置換されていてもよく、かつ、上記アリール基、アリール部分、ヘテロアリール基、ヘテロアリール部分は、ハロゲン、ヒドロキシ、C1-6アルキル、ヒドロキシC1-3アルキル、C1-6アルコキシ、トリフルオロメチル、トリフルオロメトキシ、トリフルオロエトキシ、シアノ、ニトロ、アミノ、モノ若しくはジ置換アミノ、カルバモイル、スルファモイル、C1-6アルキルスルホニル、C1-3アルキルスルホニルアミノ、C1-3アルキルカルボニルアミノ、メチレンジオキシ、モノアリールアミノ、ジアリールアミノ、カルバゾール、ヘテロアリール及びアリール(当該アリールは、ハロゲン原子、C1-6アルコキシ基、トリフルオロメチル基、ヒドロキシ基、C1-6アルキル基、C3-7シクロアルキル基、C3-7シクロアルキル置換C1-4アルキル基、C2-6アルケニル基、C2-6アルキニル基、C1-6アルコキシ基、トリフルオロメトキシ基、トリフルオロエトキシ基、C1-10アルキルカルボニル基、C1-2アルキルスルホニル基、シアノ基、ニトロ基またはアミノ基でモノ置換もしくはジ置換されていてもよい)から選択される1~4個の原子又は基で置換されていてもよい。或いは、隣接するY1~Y15、Y1’~Y6’、Y10’~Y15’、Y1’’~Y21’’のいずれかに結合している隣接する2つのR1基は、これらが結合している炭素原子と一緒になって5員環又は6員環のヘテロ原子を有していてもよい環式基を示し、Y1~Y15、Y1’~Y6’、Y10’~Y15’、Y1’’~Y21’’のいずれかに結合している隣接する3つのR1基は、これらが結合している炭素原子と一緒になって2環または3環の芳香族環式基を示す。
X、X1、X2、X3は同一又は異なってヘテロ原子もしくはその誘導体またはCR1を示す。) - X、X1、X2、X3が、同一又は異なってN、P、As、Si-R1、CR1またはBである、請求項1に記載の化合物。
- 請求項1、2又は3に記載の化合物を含む、有機発光素子。
Priority Applications (1)
| Application Number | Priority Date | Filing Date | Title |
|---|---|---|---|
| JP2011503815A JP5615261B2 (ja) | 2009-03-11 | 2010-03-08 | 多環芳香族化合物 |
Applications Claiming Priority (2)
| Application Number | Priority Date | Filing Date | Title |
|---|---|---|---|
| JP2009-057421 | 2009-03-11 | ||
| JP2009057421 | 2009-03-11 |
Publications (1)
| Publication Number | Publication Date |
|---|---|
| WO2010104047A1 true WO2010104047A1 (ja) | 2010-09-16 |
Family
ID=42728336
Family Applications (1)
| Application Number | Title | Priority Date | Filing Date |
|---|---|---|---|
| PCT/JP2010/053818 Ceased WO2010104047A1 (ja) | 2009-03-11 | 2010-03-08 | 多環芳香族化合物 |
Country Status (2)
| Country | Link |
|---|---|
| JP (1) | JP5615261B2 (ja) |
| WO (1) | WO2010104047A1 (ja) |
Cited By (49)
| Publication number | Priority date | Publication date | Assignee | Title |
|---|---|---|---|---|
| WO2011137951A1 (de) * | 2010-05-04 | 2011-11-10 | Merck Patent Gmbh | Organische elektrolumineszenzvorrichtungen |
| WO2014042197A1 (ja) * | 2012-09-11 | 2014-03-20 | Jnc株式会社 | 有機電界発光素子用材料、有機電界発光素子、表示装置、及び照明装置 |
| EP2752418A4 (en) * | 2011-03-10 | 2014-09-10 | Univ Kyoto | POLYCYCLIC AROMATIC COMPOUND |
| WO2015102118A1 (ja) | 2014-02-18 | 2015-07-09 | 学校法人関西学院 | 多環芳香族化合物 |
| US9266892B2 (en) | 2012-12-19 | 2016-02-23 | Incyte Holdings Corporation | Fused pyrazoles as FGFR inhibitors |
| CN105348325A (zh) * | 2015-12-04 | 2016-02-24 | 河南省科学院化学研究所有限公司 | 一种含有螺芴结构的双膦杂环有机电致发光化合物、合成方法及其应用 |
| US9388185B2 (en) | 2012-08-10 | 2016-07-12 | Incyte Holdings Corporation | Substituted pyrrolo[2,3-b]pyrazines as FGFR inhibitors |
| WO2016143819A1 (ja) * | 2015-03-09 | 2016-09-15 | 学校法人関西学院 | ヘテロ環化合物又はその塩、及びこれらを含む電子デバイス |
| US9533984B2 (en) | 2013-04-19 | 2017-01-03 | Incyte Holdings Corporation | Bicyclic heterocycles as FGFR inhibitors |
| US9533954B2 (en) | 2010-12-22 | 2017-01-03 | Incyte Corporation | Substituted imidazopyridazines and benzimidazoles as inhibitors of FGFR3 |
| US9580423B2 (en) | 2015-02-20 | 2017-02-28 | Incyte Corporation | Bicyclic heterocycles as FGFR4 inhibitors |
| US9611267B2 (en) | 2012-06-13 | 2017-04-04 | Incyte Holdings Corporation | Substituted tricyclic compounds as FGFR inhibitors |
| US9708318B2 (en) | 2015-02-20 | 2017-07-18 | Incyte Corporation | Bicyclic heterocycles as FGFR4 inhibitors |
| US9890156B2 (en) | 2015-02-20 | 2018-02-13 | Incyte Corporation | Bicyclic heterocycles as FGFR4 inhibitors |
| US20180062082A1 (en) * | 2015-02-03 | 2018-03-01 | E I Du Pont De Nemours And Company | Electroactive materials |
| WO2018138306A1 (de) | 2017-01-30 | 2018-08-02 | Merck Patent Gmbh | Materialien für organische elektrolumineszenzvorrichtungen |
| US10611762B2 (en) | 2017-05-26 | 2020-04-07 | Incyte Corporation | Crystalline forms of a FGFR inhibitor and processes for preparing the same |
| US10851105B2 (en) | 2014-10-22 | 2020-12-01 | Incyte Corporation | Bicyclic heterocycles as FGFR4 inhibitors |
| CN112062765A (zh) * | 2020-09-18 | 2020-12-11 | 吉林奥来德光电材料股份有限公司 | 一种有机光电致发光化合物及其制备方法 |
| WO2021015594A1 (ko) * | 2019-07-24 | 2021-01-28 | 에스에프씨 주식회사 | 유기발광 화합물 및 유기발광소자 |
| CN112707904A (zh) * | 2020-12-28 | 2021-04-27 | 北京八亿时空液晶科技股份有限公司 | 萘联吲哚衍生物及其应用 |
| WO2021122538A1 (de) | 2019-12-18 | 2021-06-24 | Merck Patent Gmbh | Aromatische verbindungen für organische elektrolumineszenzvorrichtungen |
| WO2021185829A1 (de) | 2020-03-17 | 2021-09-23 | Merck Patent Gmbh | Heterocyclische verbindungen für organische elektrolumineszenzvorrichtungen |
| WO2021185712A1 (de) | 2020-03-17 | 2021-09-23 | Merck Patent Gmbh | Heteroaromatische verbindungen für organische elektrolumineszenzvorrichtungen |
| WO2021191183A1 (de) | 2020-03-26 | 2021-09-30 | Merck Patent Gmbh | Cyclische verbindungen für organische elektrolumineszenzvorrichtungen |
| WO2021204646A1 (de) | 2020-04-06 | 2021-10-14 | Merck Patent Gmbh | Polycyclische verbindungen für organische elektrolumineszenzvorrichtungen |
| US11174257B2 (en) | 2018-05-04 | 2021-11-16 | Incyte Corporation | Salts of an FGFR inhibitor |
| WO2022002771A1 (de) | 2020-06-29 | 2022-01-06 | Merck Patent Gmbh | Heterocyclische verbindungen für organische elektrolumineszenzvorrichtungen |
| WO2022002772A1 (de) | 2020-06-29 | 2022-01-06 | Merck Patent Gmbh | Heteroaromatische verbindungen für organische elektrolumineszenzvorrichtungen |
| WO2022079067A1 (de) | 2020-10-16 | 2022-04-21 | Merck Patent Gmbh | Verbindungen mit heteroatomen für organische elektrolumineszenzvorrichtungen |
| WO2022079068A1 (de) | 2020-10-16 | 2022-04-21 | Merck Patent Gmbh | Heterocyclische verbindungen für organische elektrolumineszenzvorrichtungen |
| WO2022129116A1 (de) | 2020-12-18 | 2022-06-23 | Merck Patent Gmbh | Indolo[3.2.1-jk]carbazole-6-carbonitril-derivate als blau fluoreszierende emitter zur verwendung in oleds |
| WO2022129113A1 (de) | 2020-12-18 | 2022-06-23 | Merck Patent Gmbh | Stickstoffhaltige heteroaromaten für organische elektrolumineszenzvorrichtungen |
| WO2022129114A1 (de) | 2020-12-18 | 2022-06-23 | Merck Patent Gmbh | Stickstoffhaltige verbindungen für organische elektrolumineszenzvorrichtungen |
| US11407750B2 (en) | 2019-12-04 | 2022-08-09 | Incyte Corporation | Derivatives of an FGFR inhibitor |
| US20220251063A1 (en) * | 2019-07-31 | 2022-08-11 | Duksan Neolux Co., Ltd | Compound for organic electric device, organic electric device using the same, and electronic device thereof |
| US11466004B2 (en) | 2018-05-04 | 2022-10-11 | Incyte Corporation | Solid forms of an FGFR inhibitor and processes for preparing the same |
| US11566028B2 (en) | 2019-10-16 | 2023-01-31 | Incyte Corporation | Bicyclic heterocycles as FGFR inhibitors |
| US11591329B2 (en) | 2019-07-09 | 2023-02-28 | Incyte Corporation | Bicyclic heterocycles as FGFR inhibitors |
| US11607416B2 (en) | 2019-10-14 | 2023-03-21 | Incyte Corporation | Bicyclic heterocycles as FGFR inhibitors |
| US11628162B2 (en) | 2019-03-08 | 2023-04-18 | Incyte Corporation | Methods of treating cancer with an FGFR inhibitor |
| WO2023161168A1 (de) | 2022-02-23 | 2023-08-31 | Merck Patent Gmbh | Aromatische heterocyclen für organische elektrolumineszenzvorrichtungen |
| WO2023161167A1 (de) | 2022-02-23 | 2023-08-31 | Merck Patent Gmbh | Stickstoffhaltige heterocyclen für organische elektrolumineszenzvorrichtungen |
| US11897891B2 (en) | 2019-12-04 | 2024-02-13 | Incyte Corporation | Tricyclic heterocycles as FGFR inhibitors |
| US11939331B2 (en) | 2021-06-09 | 2024-03-26 | Incyte Corporation | Tricyclic heterocycles as FGFR inhibitors |
| US12012409B2 (en) | 2020-01-15 | 2024-06-18 | Incyte Corporation | Bicyclic heterocycles as FGFR inhibitors |
| US12065494B2 (en) | 2021-04-12 | 2024-08-20 | Incyte Corporation | Combination therapy comprising an FGFR inhibitor and a Nectin-4 targeting agent |
| US12122767B2 (en) | 2019-10-01 | 2024-10-22 | Incyte Corporation | Bicyclic heterocycles as FGFR inhibitors |
| US12428420B2 (en) | 2021-06-09 | 2025-09-30 | Incyte Corporation | Tricyclic heterocycles as FGFR inhibitors |
Families Citing this family (6)
| Publication number | Priority date | Publication date | Assignee | Title |
|---|---|---|---|---|
| KR101896174B1 (ko) * | 2016-02-11 | 2018-09-07 | 주식회사 엘지화학 | 화합물 및 이를 포함하는 유기 전자 소자 |
| KR102139423B1 (ko) * | 2017-12-26 | 2020-07-29 | 주식회사 엘지화학 | 화합물 및 이를 포함하는 유기 발광 소자 |
| KR102134523B1 (ko) * | 2017-12-26 | 2020-07-16 | 주식회사 엘지화학 | 화합물 및 이를 포함하는 유기 발광 소자 |
| KR102909138B1 (ko) | 2019-07-31 | 2026-01-07 | 덕산네오룩스 주식회사 | 유기전기 소자용 화합물, 이를 이용한 유기전기소자 및 그 전자 장치 |
| CN114213441B (zh) * | 2021-12-27 | 2023-12-01 | 中国科学院长春应用化学研究所 | 硼杂或磷杂稠环化合物及其制备方法和发光器件 |
| CN114195808B (zh) * | 2021-12-27 | 2023-11-28 | 中国科学院长春应用化学研究所 | 含有联萘环的硼杂或磷杂稠环化合物及其制备方法和发光器件 |
Citations (6)
| Publication number | Priority date | Publication date | Assignee | Title |
|---|---|---|---|---|
| JPH0656777A (ja) * | 1992-08-10 | 1994-03-01 | Nisshinbo Ind Inc | アントラキノニルジカルバゾール類化合物及びベンゾビスインドロアクリジン類化合物 |
| WO2008066357A1 (en) * | 2006-12-01 | 2008-06-05 | Lg Chem, Ltd. | New compounds and organic light emitting diode using the same |
| JP2008227088A (ja) * | 2007-03-12 | 2008-09-25 | Mitsui Chemicals Inc | 有機トランジスタ |
| JP2008270395A (ja) * | 2007-04-18 | 2008-11-06 | Mitsui Chemicals Inc | 有機トランジスタ |
| JP2009505995A (ja) * | 2005-08-26 | 2009-02-12 | メルク パテント ゲーエムベーハー | 有機エレクトロルミネセンスデバイスのための新規材料 |
| JP2009033067A (ja) * | 2007-07-31 | 2009-02-12 | Mitsui Chemicals Inc | 有機トランジスタ |
-
2010
- 2010-03-08 JP JP2011503815A patent/JP5615261B2/ja not_active Expired - Fee Related
- 2010-03-08 WO PCT/JP2010/053818 patent/WO2010104047A1/ja not_active Ceased
Patent Citations (6)
| Publication number | Priority date | Publication date | Assignee | Title |
|---|---|---|---|---|
| JPH0656777A (ja) * | 1992-08-10 | 1994-03-01 | Nisshinbo Ind Inc | アントラキノニルジカルバゾール類化合物及びベンゾビスインドロアクリジン類化合物 |
| JP2009505995A (ja) * | 2005-08-26 | 2009-02-12 | メルク パテント ゲーエムベーハー | 有機エレクトロルミネセンスデバイスのための新規材料 |
| WO2008066357A1 (en) * | 2006-12-01 | 2008-06-05 | Lg Chem, Ltd. | New compounds and organic light emitting diode using the same |
| JP2008227088A (ja) * | 2007-03-12 | 2008-09-25 | Mitsui Chemicals Inc | 有機トランジスタ |
| JP2008270395A (ja) * | 2007-04-18 | 2008-11-06 | Mitsui Chemicals Inc | 有機トランジスタ |
| JP2009033067A (ja) * | 2007-07-31 | 2009-02-12 | Mitsui Chemicals Inc | 有機トランジスタ |
Non-Patent Citations (1)
| Title |
|---|
| JOURNAL OF PHOTOPOLYMER SCIENCE AND TECHNOLOGY, vol. 15, no. 1, 2002, pages 111 - 114 * |
Cited By (92)
| Publication number | Priority date | Publication date | Assignee | Title |
|---|---|---|---|---|
| WO2011137951A1 (de) * | 2010-05-04 | 2011-11-10 | Merck Patent Gmbh | Organische elektrolumineszenzvorrichtungen |
| JP2013531617A (ja) * | 2010-05-04 | 2013-08-08 | メルク パテント ゲーエムベーハー | 有機エレクトロルミネッセンス素子 |
| US9139582B2 (en) | 2010-05-04 | 2015-09-22 | Merck Patent Gmbh | Organic electroluminescent devices |
| US10813930B2 (en) | 2010-12-22 | 2020-10-27 | Incyte Corporation | Substituted imidazopyridazines and benzimidazoles as inhibitors of FGFR3 |
| US9533954B2 (en) | 2010-12-22 | 2017-01-03 | Incyte Corporation | Substituted imidazopyridazines and benzimidazoles as inhibitors of FGFR3 |
| US10213427B2 (en) | 2010-12-22 | 2019-02-26 | Incyte Corporation | Substituted imidazopyridazines and benzimidazoles as inhibitors of FGFR3 |
| EP2752418A4 (en) * | 2011-03-10 | 2014-09-10 | Univ Kyoto | POLYCYCLIC AROMATIC COMPOUND |
| US9741950B2 (en) | 2011-03-10 | 2017-08-22 | Kyoto University | Polycyclic aromatic compound |
| US9166176B2 (en) | 2011-03-10 | 2015-10-20 | Kyoto University | Polycyclic aromatic compound |
| JP5744176B2 (ja) * | 2011-03-10 | 2015-07-01 | 国立大学法人京都大学 | 多環芳香族化合物 |
| EP3260458A1 (en) * | 2011-03-10 | 2017-12-27 | Kyoto University | Polycyclic aromatic compound |
| US9611267B2 (en) | 2012-06-13 | 2017-04-04 | Incyte Holdings Corporation | Substituted tricyclic compounds as FGFR inhibitors |
| US11053246B2 (en) | 2012-06-13 | 2021-07-06 | Incyte Corporation | Substituted tricyclic compounds as FGFR inhibitors |
| US12534463B2 (en) | 2012-06-13 | 2026-01-27 | Incyte Corporation | Substituted tricyclic compounds as FGFR inhibitors |
| US11840534B2 (en) | 2012-06-13 | 2023-12-12 | Incyte Corporation | Substituted tricyclic compounds as FGFR inhibitors |
| US10131667B2 (en) | 2012-06-13 | 2018-11-20 | Incyte Corporation | Substituted tricyclic compounds as FGFR inhibitors |
| US9388185B2 (en) | 2012-08-10 | 2016-07-12 | Incyte Holdings Corporation | Substituted pyrrolo[2,3-b]pyrazines as FGFR inhibitors |
| US9745311B2 (en) | 2012-08-10 | 2017-08-29 | Incyte Corporation | Substituted pyrrolo[2,3-b]pyrazines as FGFR inhibitors |
| JP5819534B2 (ja) * | 2012-09-11 | 2015-11-24 | Jnc株式会社 | 有機電界発光素子用材料、有機電界発光素子、表示装置、及び照明装置 |
| WO2014042197A1 (ja) * | 2012-09-11 | 2014-03-20 | Jnc株式会社 | 有機電界発光素子用材料、有機電界発光素子、表示装置、及び照明装置 |
| US9266892B2 (en) | 2012-12-19 | 2016-02-23 | Incyte Holdings Corporation | Fused pyrazoles as FGFR inhibitors |
| US10040790B2 (en) | 2013-04-19 | 2018-08-07 | Incyte Holdings Corporation | Bicyclic heterocycles as FGFR inhibitors |
| US10450313B2 (en) | 2013-04-19 | 2019-10-22 | Incyte Holdings Corporation | Bicyclic heterocycles as FGFR inhibitors |
| US11530214B2 (en) | 2013-04-19 | 2022-12-20 | Incyte Holdings Corporation | Bicyclic heterocycles as FGFR inhibitors |
| US10947230B2 (en) | 2013-04-19 | 2021-03-16 | Incyte Corporation | Bicyclic heterocycles as FGFR inhibitors |
| US9533984B2 (en) | 2013-04-19 | 2017-01-03 | Incyte Holdings Corporation | Bicyclic heterocycles as FGFR inhibitors |
| WO2015102118A1 (ja) | 2014-02-18 | 2015-07-09 | 学校法人関西学院 | 多環芳香族化合物 |
| EP3345911A1 (en) | 2014-02-18 | 2018-07-11 | Kwansei Gakuin Educational Foundation | Polycyclic aromatic compounds and their use as organic device material |
| US10851105B2 (en) | 2014-10-22 | 2020-12-01 | Incyte Corporation | Bicyclic heterocycles as FGFR4 inhibitors |
| US20180062082A1 (en) * | 2015-02-03 | 2018-03-01 | E I Du Pont De Nemours And Company | Electroactive materials |
| US11683979B2 (en) * | 2015-02-03 | 2023-06-20 | Lg Chem, Ltd. | Electroactive materials |
| US12232413B2 (en) | 2015-02-03 | 2025-02-18 | Lg Chem, Ltd. | Electroactive materials |
| US9708318B2 (en) | 2015-02-20 | 2017-07-18 | Incyte Corporation | Bicyclic heterocycles as FGFR4 inhibitors |
| US11014923B2 (en) | 2015-02-20 | 2021-05-25 | Incyte Corporation | Bicyclic heterocycles as FGFR4 inhibitors |
| US9890156B2 (en) | 2015-02-20 | 2018-02-13 | Incyte Corporation | Bicyclic heterocycles as FGFR4 inhibitors |
| US10632126B2 (en) | 2015-02-20 | 2020-04-28 | Incyte Corporation | Bicyclic heterocycles as FGFR4 inhibitors |
| US10738048B2 (en) | 2015-02-20 | 2020-08-11 | Incyte Corporation | Bicyclic heterocycles as FGFR4 inhibitors |
| US9580423B2 (en) | 2015-02-20 | 2017-02-28 | Incyte Corporation | Bicyclic heterocycles as FGFR4 inhibitors |
| US10214528B2 (en) | 2015-02-20 | 2019-02-26 | Incyte Corporation | Bicyclic heterocycles as FGFR4 inhibitors |
| US11173162B2 (en) | 2015-02-20 | 2021-11-16 | Incyte Corporation | Bicyclic heterocycles as FGFR4 inhibitors |
| US10016438B2 (en) | 2015-02-20 | 2018-07-10 | Incyte Corporation | Bicyclic heterocycles as FGFR4 inhibitors |
| US9801889B2 (en) | 2015-02-20 | 2017-10-31 | Incyte Corporation | Bicyclic heterocycles as FGFR4 inhibitors |
| US11667635B2 (en) | 2015-02-20 | 2023-06-06 | Incyte Corporation | Bicyclic heterocycles as FGFR4 inhibitors |
| US10251892B2 (en) | 2015-02-20 | 2019-04-09 | Incyte Corporation | Bicyclic heterocycles as FGFR4 inhibitors |
| WO2016143819A1 (ja) * | 2015-03-09 | 2016-09-15 | 学校法人関西学院 | ヘテロ環化合物又はその塩、及びこれらを含む電子デバイス |
| JPWO2016143819A1 (ja) * | 2015-03-09 | 2017-12-21 | 学校法人関西学院 | ヘテロ環化合物又はその塩、及びこれらを含む電子デバイス |
| CN105348325A (zh) * | 2015-12-04 | 2016-02-24 | 河南省科学院化学研究所有限公司 | 一种含有螺芴结构的双膦杂环有机电致发光化合物、合成方法及其应用 |
| WO2018138306A1 (de) | 2017-01-30 | 2018-08-02 | Merck Patent Gmbh | Materialien für organische elektrolumineszenzvorrichtungen |
| US11407766B2 (en) | 2017-01-30 | 2022-08-09 | Merck Patent Gmbh | Materials for organic electroluminescent devices |
| US10611762B2 (en) | 2017-05-26 | 2020-04-07 | Incyte Corporation | Crystalline forms of a FGFR inhibitor and processes for preparing the same |
| US11472801B2 (en) | 2017-05-26 | 2022-10-18 | Incyte Corporation | Crystalline forms of a FGFR inhibitor and processes for preparing the same |
| US12024517B2 (en) | 2018-05-04 | 2024-07-02 | Incyte Corporation | Salts of an FGFR inhibitor |
| US12473286B2 (en) | 2018-05-04 | 2025-11-18 | Incyte Corporation | Salts of an FGFR inhibitor |
| US11174257B2 (en) | 2018-05-04 | 2021-11-16 | Incyte Corporation | Salts of an FGFR inhibitor |
| US11466004B2 (en) | 2018-05-04 | 2022-10-11 | Incyte Corporation | Solid forms of an FGFR inhibitor and processes for preparing the same |
| US11628162B2 (en) | 2019-03-08 | 2023-04-18 | Incyte Corporation | Methods of treating cancer with an FGFR inhibitor |
| US11591329B2 (en) | 2019-07-09 | 2023-02-28 | Incyte Corporation | Bicyclic heterocycles as FGFR inhibitors |
| WO2021015594A1 (ko) * | 2019-07-24 | 2021-01-28 | 에스에프씨 주식회사 | 유기발광 화합물 및 유기발광소자 |
| CN114174306A (zh) * | 2019-07-24 | 2022-03-11 | Sfc株式会社 | 有机发光化合物和有机发光器件 |
| US12410199B2 (en) | 2019-07-24 | 2025-09-09 | Sfc Co., Ltd | Organic light emitting compound and organic light emitting device |
| CN114174306B (zh) * | 2019-07-24 | 2024-03-26 | Sfc株式会社 | 有机发光化合物和有机发光器件 |
| US12466837B2 (en) * | 2019-07-31 | 2025-11-11 | Duk San Neolux Co., Ltd. | Compound for organic electric device, organic electric device using the same, and electronic device thereof |
| US20220251063A1 (en) * | 2019-07-31 | 2022-08-11 | Duksan Neolux Co., Ltd | Compound for organic electric device, organic electric device using the same, and electronic device thereof |
| US12122767B2 (en) | 2019-10-01 | 2024-10-22 | Incyte Corporation | Bicyclic heterocycles as FGFR inhibitors |
| US12083124B2 (en) | 2019-10-14 | 2024-09-10 | Incyte Corporation | Bicyclic heterocycles as FGFR inhibitors |
| US11607416B2 (en) | 2019-10-14 | 2023-03-21 | Incyte Corporation | Bicyclic heterocycles as FGFR inhibitors |
| US11566028B2 (en) | 2019-10-16 | 2023-01-31 | Incyte Corporation | Bicyclic heterocycles as FGFR inhibitors |
| US11897891B2 (en) | 2019-12-04 | 2024-02-13 | Incyte Corporation | Tricyclic heterocycles as FGFR inhibitors |
| US11407750B2 (en) | 2019-12-04 | 2022-08-09 | Incyte Corporation | Derivatives of an FGFR inhibitor |
| US12168660B2 (en) | 2019-12-04 | 2024-12-17 | Incyte Corporation | Derivatives of an FGFR inhibitor |
| WO2021122538A1 (de) | 2019-12-18 | 2021-06-24 | Merck Patent Gmbh | Aromatische verbindungen für organische elektrolumineszenzvorrichtungen |
| US12012409B2 (en) | 2020-01-15 | 2024-06-18 | Incyte Corporation | Bicyclic heterocycles as FGFR inhibitors |
| WO2021185712A1 (de) | 2020-03-17 | 2021-09-23 | Merck Patent Gmbh | Heteroaromatische verbindungen für organische elektrolumineszenzvorrichtungen |
| WO2021185829A1 (de) | 2020-03-17 | 2021-09-23 | Merck Patent Gmbh | Heterocyclische verbindungen für organische elektrolumineszenzvorrichtungen |
| WO2021191183A1 (de) | 2020-03-26 | 2021-09-30 | Merck Patent Gmbh | Cyclische verbindungen für organische elektrolumineszenzvorrichtungen |
| WO2021204646A1 (de) | 2020-04-06 | 2021-10-14 | Merck Patent Gmbh | Polycyclische verbindungen für organische elektrolumineszenzvorrichtungen |
| WO2022002772A1 (de) | 2020-06-29 | 2022-01-06 | Merck Patent Gmbh | Heteroaromatische verbindungen für organische elektrolumineszenzvorrichtungen |
| WO2022002771A1 (de) | 2020-06-29 | 2022-01-06 | Merck Patent Gmbh | Heterocyclische verbindungen für organische elektrolumineszenzvorrichtungen |
| CN112062765B (zh) * | 2020-09-18 | 2021-08-31 | 吉林奥来德光电材料股份有限公司 | 一种有机光电致发光化合物及其制备方法 |
| CN112062765A (zh) * | 2020-09-18 | 2020-12-11 | 吉林奥来德光电材料股份有限公司 | 一种有机光电致发光化合物及其制备方法 |
| WO2022079068A1 (de) | 2020-10-16 | 2022-04-21 | Merck Patent Gmbh | Heterocyclische verbindungen für organische elektrolumineszenzvorrichtungen |
| WO2022079067A1 (de) | 2020-10-16 | 2022-04-21 | Merck Patent Gmbh | Verbindungen mit heteroatomen für organische elektrolumineszenzvorrichtungen |
| EP4676208A2 (de) | 2020-12-18 | 2026-01-07 | Merck Patent GmbH | Stickstoffhaltige heteroaromaten für organische elektrolumineszenzvorrichtungen |
| WO2022129116A1 (de) | 2020-12-18 | 2022-06-23 | Merck Patent Gmbh | Indolo[3.2.1-jk]carbazole-6-carbonitril-derivate als blau fluoreszierende emitter zur verwendung in oleds |
| WO2022129114A1 (de) | 2020-12-18 | 2022-06-23 | Merck Patent Gmbh | Stickstoffhaltige verbindungen für organische elektrolumineszenzvorrichtungen |
| WO2022129113A1 (de) | 2020-12-18 | 2022-06-23 | Merck Patent Gmbh | Stickstoffhaltige heteroaromaten für organische elektrolumineszenzvorrichtungen |
| CN112707904A (zh) * | 2020-12-28 | 2021-04-27 | 北京八亿时空液晶科技股份有限公司 | 萘联吲哚衍生物及其应用 |
| US12065494B2 (en) | 2021-04-12 | 2024-08-20 | Incyte Corporation | Combination therapy comprising an FGFR inhibitor and a Nectin-4 targeting agent |
| US12428420B2 (en) | 2021-06-09 | 2025-09-30 | Incyte Corporation | Tricyclic heterocycles as FGFR inhibitors |
| US11939331B2 (en) | 2021-06-09 | 2024-03-26 | Incyte Corporation | Tricyclic heterocycles as FGFR inhibitors |
| WO2023161167A1 (de) | 2022-02-23 | 2023-08-31 | Merck Patent Gmbh | Stickstoffhaltige heterocyclen für organische elektrolumineszenzvorrichtungen |
| WO2023161168A1 (de) | 2022-02-23 | 2023-08-31 | Merck Patent Gmbh | Aromatische heterocyclen für organische elektrolumineszenzvorrichtungen |
Also Published As
| Publication number | Publication date |
|---|---|
| JPWO2010104047A1 (ja) | 2012-09-13 |
| JP5615261B2 (ja) | 2014-10-29 |
Similar Documents
| Publication | Publication Date | Title |
|---|---|---|
| JP5615261B2 (ja) | 多環芳香族化合物 | |
| EP3604296B1 (en) | Organic light emitting element and composition for organic material layer in organic light emitting element | |
| CN104641483B (zh) | 有机电场发光元件用材料、有机电场发光元件、显示装置、以及照明装置 | |
| WO2021077810A1 (zh) | 一种有机电致发光器件和显示装置 | |
| KR101667799B1 (ko) | 유기금속 화합물 및 이를 포함한 유기 발광 소자 | |
| EP4056566A1 (en) | Heterocyclic compound, organic light-emitting device comprising same, composition for organic material layer of organic light-emitting device, and method for manufacturing organic light-emitting device | |
| EP3812380A1 (en) | Heterocyclic compound, organic light emitting diode comprising same, composition for organic layer of organic light emitting diode, and method for manufacturing organic light emitting diode | |
| WO2007119816A1 (ja) | 有機エレクトロルミネッセンス素子材料、有機エレクトロルミネッセンス素子、表示装置及び照明装置 | |
| JP5233081B2 (ja) | 有機エレクトロルミネッセンス素子材料、有機エレクトロルミネッセンス素子、表示装置及び照明装置 | |
| WO2012121398A1 (ja) | 多環芳香族化合物 | |
| KR20140056215A (ko) | 질소 함유 방향족 복소환 유도체 및 그것을 이용한 유기 전기발광 소자 | |
| WO2007123111A1 (ja) | 化合物、該化合物を含む有機エレクトロルミネッセンス素子、照明装置及びディスプレイ装置 | |
| CN103772416A (zh) | 噻二唑系化合物、发光元件用化合物、发光元件、发光装置、认证装置以及电子设备 | |
| TW201141988A (en) | Aromatic amine derivative, organic device material and hole-injection/transport material and organic electroluminescent element material each comprising the derivative, and organic electroluminescent element | |
| JP2013243234A (ja) | 有機エレクトロルミネッセンス素子、表示装置および照明装置 | |
| JP2022093320A (ja) | 有機エレクトロルミネッセンス材料およびその素子 | |
| TW202102647A (zh) | 含硼環狀發光化合物和含有該含硼環狀發光化合物的色轉換膜 | |
| CN117126149A (zh) | 一种杂环化合物及其有机电致发光器件 | |
| JPWO2006070817A1 (ja) | 有機ホウ素π電子系化合物及びその合成中間体 | |
| EP4174060B1 (en) | Compound and organic light-emitting device comprising same | |
| JP4320434B2 (ja) | 有機ホウ素π電子系化合物及びそれを含有する材料 | |
| CN115304574B (zh) | 一种杂环化合物及其在有机电致发光器件中的应用 | |
| US20220393116A1 (en) | Electroluminescent device | |
| CN108899431A (zh) | 一种有机发光器件 | |
| KR20150005331A (ko) | 새로운 유기전계발광소자용 화합물 및 그를 포함하는 유기전계발광소자 |
Legal Events
| Date | Code | Title | Description |
|---|---|---|---|
| 121 | Ep: the epo has been informed by wipo that ep was designated in this application |
Ref document number: 10750800 Country of ref document: EP Kind code of ref document: A1 |
|
| DPE1 | Request for preliminary examination filed after expiration of 19th month from priority date (pct application filed from 20040101) | ||
| WWE | Wipo information: entry into national phase |
Ref document number: 2011503815 Country of ref document: JP |
|
| NENP | Non-entry into the national phase |
Ref country code: DE |
|
| 122 | Ep: pct application non-entry in european phase |
Ref document number: 10750800 Country of ref document: EP Kind code of ref document: A1 |








































