WO2006124736A2 - Synthesis of bis(thio-hydrazide amide) salts - Google Patents
Synthesis of bis(thio-hydrazide amide) salts Download PDFInfo
- Publication number
- WO2006124736A2 WO2006124736A2 PCT/US2006/018653 US2006018653W WO2006124736A2 WO 2006124736 A2 WO2006124736 A2 WO 2006124736A2 US 2006018653 W US2006018653 W US 2006018653W WO 2006124736 A2 WO2006124736 A2 WO 2006124736A2
- Authority
- WO
- WIPO (PCT)
- Prior art keywords
- methyl
- thio
- bis
- hydrazide amide
- organic solvent
- Prior art date
- Legal status (The legal status is an assumption and is not a legal conclusion. Google has not performed a legal analysis and makes no representation as to the accuracy of the status listed.)
- Ceased
Links
- LNQDEJDYRKRUQC-UHFFFAOYSA-N CC1(CC1)C(N(C)NC(CC(NN(C)C(C1(C)CC1)=S)=[O]=C)O)=S Chemical compound CC1(CC1)C(N(C)NC(CC(NN(C)C(C1(C)CC1)=S)=[O]=C)O)=S LNQDEJDYRKRUQC-UHFFFAOYSA-N 0.000 description 1
- MGJBERWKPZUCJM-UHFFFAOYSA-N CN(C(C1CC1)=S)NC(CC(NN(C)C(C1CC1)=S)=O)=O Chemical compound CN(C(C1CC1)=S)NC(CC(NN(C)C(C1CC1)=S)=O)=O MGJBERWKPZUCJM-UHFFFAOYSA-N 0.000 description 1
- BKJIXTWSNXCKJH-UHFFFAOYSA-N CN(C(c1ccccc1)=S)NC(CC(NN(C)C(c1ccccc1)=S)=O)=O Chemical compound CN(C(c1ccccc1)=S)NC(CC(NN(C)C(c1ccccc1)=S)=O)=O BKJIXTWSNXCKJH-UHFFFAOYSA-N 0.000 description 1
Classifications
-
- C—CHEMISTRY; METALLURGY
- C07—ORGANIC CHEMISTRY
- C07C—ACYCLIC OR CARBOCYCLIC COMPOUNDS
- C07C327/00—Thiocarboxylic acids
- C07C327/38—Amides of thiocarboxylic acids
- C07C327/56—Amides of thiocarboxylic acids having nitrogen atoms of thiocarboxamide groups further bound to another hetero atom
-
- C—CHEMISTRY; METALLURGY
- C07—ORGANIC CHEMISTRY
- C07C—ACYCLIC OR CARBOCYCLIC COMPOUNDS
- C07C2601/00—Systems containing only non-condensed rings
- C07C2601/02—Systems containing only non-condensed rings with a three-membered ring
-
- C—CHEMISTRY; METALLURGY
- C07—ORGANIC CHEMISTRY
- C07C—ACYCLIC OR CARBOCYCLIC COMPOUNDS
- C07C2601/00—Systems containing only non-condensed rings
- C07C2601/04—Systems containing only non-condensed rings with a four-membered ring
-
- C—CHEMISTRY; METALLURGY
- C07—ORGANIC CHEMISTRY
- C07C—ACYCLIC OR CARBOCYCLIC COMPOUNDS
- C07C2601/00—Systems containing only non-condensed rings
- C07C2601/06—Systems containing only non-condensed rings with a five-membered ring
- C07C2601/08—Systems containing only non-condensed rings with a five-membered ring the ring being saturated
-
- C—CHEMISTRY; METALLURGY
- C07—ORGANIC CHEMISTRY
- C07C—ACYCLIC OR CARBOCYCLIC COMPOUNDS
- C07C2601/00—Systems containing only non-condensed rings
- C07C2601/12—Systems containing only non-condensed rings with a six-membered ring
- C07C2601/14—The ring being saturated
Definitions
- Certain bis(thio-hydrazide amide) compounds are useful as pharmaceuticals, in particular, as anticancer agents. See, for example Chen, et al, U.S. Patent No.
- Salts of these bis(thio-hydrazide amide) compounds are believed to be particularly useful at least in part for reasons of solubility. See, for example Koya, et al, U.S. Provisional Patent Application Serial No. 60/582,596, filed June 23, 2004, and U.S. Provisional Patent Application Serial No. not yet assigned, Atty. Docket
- a method of preparing a bis(tbio-hydrazide amide) disalt includes the steps of combining a neutral bis(thio-hydrazide amide), an organic solvent and a base to form a bis(thio-hydrazide amide) solution; and combining the solution and methyl tert-butyl ether, thereby precipitating a disalt of the bis(thio-hydrazide amide).
- a method of preparing a bis(thio-hydrazide amide) disalt includes the steps of combining a neutral bis(thio-hydrazide amide) and an organic solvent selected from methanol, ethanol, acetone, and methyl ethyl ketone to make a mixture; adding at least two equivalents of a base selected from sodium hydroxide, potassium hydroxide, sodium methoxide, potassium methoxide, sodium ethoxide and potassium ethoxide to the mixture, thereby forming a solution; and combining the solution and methyl tert -butyl ether to precipitate the disalt of the bis(thio-hydrazide amide).
- the disclosed methods do not require lyophylization and the solvents used in the process can be more readily removed to low levels consistent with pharmaceutically acceptable preparation.
- the invention is a method of preparing a bis(thio-hydrazide amide) disalt, which includes the steps of combining a neutral bis(thio-hydrazide amide), an organic solvent and a base to form a bis(thio-hydrazide amide) solution; and combining the solution and methyl tert-b ⁇ x ⁇ y ⁇ ether, thereby precipitating a disalt of the bis(tbio-hydrazide amide).
- a neutral bis(thio-hydrazide amide) has at least two hydrogens which can react with the bases described herein to form a disalt.
- At least about two molar equivalents of the base are employed for each molar equivalent of neutral bis(thio-hydrazide amide); more typically, from about 2 to about 5 equivalents, or preferably from about 2.0 to about 2.5 equivalents.
- Suitable bases can be strong enough to react with a bis(thio-l ⁇ ydrazide amide) to produced a disalt.
- the base can be an amine (e.g., triethylamine, diphenylamine, butylamine, or the like); an ammonium hydroxide (e.g., tetramethyammonium hydroxide, tetrabutylammonium hydroxide, or the like); an alkali metal hydroxide (lithium hydroxide, sodium hydroxide, potassium hydroxide, or the like) an alkali metal C1-C6 alkoxide, or an alkali metal amide (e.g., sodium amide, lithium diisopropyl amide, or the like).
- an amine e.g., triethylamine, diphenylamine, butylamine, or the like
- an ammonium hydroxide e.g., tetramethyammonium hydroxide, tetrabutylammonium hydroxide, or the like
- an alkali metal hydroxide lithium hydroxide, sodium hydroxide,
- the base is sodium hydroxide, potassium hydroxide, sodium C1-C6 atkoxide, potassium C1-C6 alkoxide, sodium amide, or potassium amide, or preferably, sodium hydroxide, sodium methoxide, or sodium ethoxide.
- the base can be an alkali metal hydride (e.g., sodium hydride, potassium hydride, or the like), a divalent metal base (e.g., magnesium oxide)a C1-C6 alkyl alkali metal (e.g., butyllithium), or an aryl alkali metal (e.g., phenyllithium). More typically, the base is lithium hydride, sodium hydride, potassium hydride, butyllithium, butylsodium, butylpotassium, phenyllithium, phenylsodium, or phenylpotassium. As used herein, an alkali metal includes lithium, sodium, potassium, cesium and rubidium.
- an alkali metal includes lithium, sodium, potassium, cesium and rubidium.
- the organic solvent can be any organic solvent which is stable when the base is added to a mixture of the bis(thio-hydrazide amide) and the organic solvent.
- the organic solvent is polar enough to dissolve the bis(thio-hydrazide amide) salt formed by the method to form a solution.
- the organic solvent is water-miscible.
- the organic solvent can generally be selected • from a C1-C4 aliphatic alcohol (e.g., methanol, ethanol, 1-propanol, 2-propanol, or the like), a C1-C4 aliphatic ketone (e.g., acetone, methyl ethyl ketone, 2-butanone, or the like), a C2-C4 aliphatic ether (e.g., diethyl ether, dipropyl ether, diisopropyl ether, or the like), a C2-C4 cycloaliphatic ether (e.g., tetrahydrofuran, dioxane,), dimethyl formamide, dimethyl sulfoxide, N-methyl pyrrolidone, a glycol (e.g., ethylene glycol, propylene glycol, tetramethylene glycol, or the like), an alkyl glycol ether (e.g., ethylene glycol dimethyl ether
- the organic solvent can be selected from methanol, ethanol, propanol (e.g., 1-propanol, 2-propanol), butanol (e.g., 1-butanol, tert-butyl alcohol, or the like), acetone, tetrahydrofuran, and methyl ethyl ketone.
- the organic solvent can be selected from methanol, ethanol, acetone, and methyl ethyl ketone.
- the neutral bis(thio-hydrazide amide) can be substantially insoluble in the organic solvent, thereby forming a mixture, whereby combining the base with the mixture forms a bis(thio-hydrazide amide) solution.
- the bis(thio-hydrazide amide) solution can be clear.
- between about 0.25 and about 2.5 moles of the neutral bis(thio-hydrazide amide) are combined per each liter of organic solvent, or typically between about 0.75 and about 1.5 moles of the neutral bis(thio-hydrazide amide) are combined per each liter of organic solvent.
- about 1 mole of the neutral bis(thio-hydrazide amide) are combined per each liter of organic solvent.
- a "bis(thio-hydrazide amide) solution when formed from the organic solvent, the neutral bis(thio-hydrazide amide), and the base, can include one or more species such as the neutral bis(thio-hydrazide amide), the bis(thio-hydrazide amide) monosalt, the bis(thio-hydrazide amide) disalt, or the like.
- the organic solvent is ethanol.
- the base is about 2 molar to about 5 molar aqueous sodium hydroxide, or more preferably from about 2 to about 2.5 molar.
- the organic solvent is acetone.
- the base is about 2 molar to about 5 molar ethanolic sodium ethoxide, or more preferably from about 2 to about 2.5 molar.
- the neutral bis(thio-hydrazide amides) employed in the disclosed method can be represented by Structural Formula I:
- Y is a covalent bond or an optionally substituted straight chained hydrocarbyl group.
- R 1 -R 4 are independently -H, an optionally substituted aliphatic group, an optionally substituted aryl group, or R 1 and R 3 taken together with the carbon and nitrogen atoms to which they are bonded, and/or R 2 and R 4 taken together with the carbon and nitrogen atoms to which they are bonded, form a non-aromatic heterocyclic ring optionally fused to an aromatic ring.
- Z is O or S.
- the neutral bis(thiohydrazide) amides can be prepared according to methods described in U.S. Patent No. 6,825,235 to Chen, et al, and U.S. Patent Nos. 6,762,204 and 6,800,660 to Koya, et ah, and also according to methods described in the co-pending and co-owned U.S. Published Patent Application No. US20030195258, Published: October 16, 2003 and U.S. Patent Application Serial No. 10/758,589, January 15, 2004.
- the entire teachings of each document referred to in this application is expressly incorporated herein by reference. Examples of Structural Formulas representing the salts and tautomers thereof produced by the disclosed method are given in Koya, et ah, U.S. Provisional Patent Application Serial No. 60/582,596, filed June 23, 2004, the entire teachings of which are incorporated herein by reference.
- R 1 -R 4 are as described above for Structural Formula I.
- R 5 and R 6 are each independently -H, an aliphatic or substituted aliphatic group, or R 5 is -H and R 6 is an optionally substituted aryl group, or, R 5 and R 6j taken together, are an optionally substituted C2-C6 alkylene group.
- the pharmaceutically acceptable cation is as described in detail below.
- the bis(thio-hydrazide amides) are represented by
- Ri-R 6 and the pharmaceutically acceptable cation are as described above for Structural Formula I.
- R 1 and R 2 are the same or different and/or R 3 and
- R 4 are the same or different; preferably, R 1 and R 2 are the same and R 3 and R 4 are the same.
- Z is preferably O.
- Ri and R 2 are the same; and R 3 and R 4 are the same. More preferably, Z is O; R 1 and R 2 are the same; R 3 and R 4 are the same.
- the bis(thio-hydrazide amides) are represented by
- Ri and R 2 are each an optionally substituted aryl group, preferably an optionally substituted phenyl group;
- R 3 and R 4 are each an optionally substituted aliphatic group, preferably an allcyl group, more preferably, methyl or ethyl; and
- R 5 and R 6 are as described above, but R 5 is preferably -H and R 6 is preferably -H, an aliphatic or substituted aliphatic group.
- R 1 and R 2 are each an optionally substituted aryl group; R 3 and R 4 are each an optionally substituted aliphatic group; R 5 is -H; and R 6 is -H, an aliphatic or substituted aliphatic group.
- R 1 and R 2 are each an optionally substituted aryl group; R 3 and R 4 are each an alkyl group; and R 5 is -H and R 6 is -H or methyl.
- Ri and R 2 are each an optionally substituted phenyl group; R 3 and R 4 are each methyl or ethyl; and R 5 is -H and R 6 is -H or methyl.
- Suitable substituents for an aryl group represented by Ri and R 2 and an aliphatic group represented by R 3 , R 4 and R 6 are as described below for aryl and aliphatic groups.
- the bis(thio-hydrazide amides) are represented by Structural Formula II: Ri and R 2 are each an optionally substituted aliphatic group, preferably a C3-C8 cycloalkyl group optionally substituted with at least one alkyl group, more preferably cyclopropyl or 1-methylcyclo ⁇ ropyl; R 3 and R 4 are as described above for Structural Formula I, preferably both an optionally substituted alkyl group; and R 5 and R 6 are as described above, but R 5 is preferably -H and R 6 is preferably -H, an aliphatic or substituted aliphatic group, more preferably -H or methyl.
- the bis(thio-hydrazide amides) are represented by Structural Formula II:
- R 1 and R 2 are each an optionally substituted aliphatic group; R 3 and R 4 are as described above for Structural Formula I, preferably both an optionally substituted alkyl group; and R 5 is -H and R 6 is -H or an optionally substituted aliphatic group.
- Ri and R 2 are both a C3-C8 cycloalkyl group optionally substituted with at least one alkyl group; R 3 and R 4 are both as described above for Structural Formula I, preferably an alkyl group; and R 5 is -H and R 6 is -H or an aliphatic or substituted aliphatic group.
- Ri and R 2 are both a C3-C8 cycloalkyl group optionally substituted with at least one alkyl group; R 3 and R 4 are both an alkyl group; and R 5 is -H and R 6 is -H or methyl. Even more preferably, R] and R 2 are both cyclopropyl or 1-methylcyclopropyl; R 3 and R 4 are both an alkyl group, preferably methyl or ethyl; and R 5 is -H and R 6 is -H or methyl.
- R 1 and R 2 are both phenyl, R 3 and R 4 are both methyl, and R 5 and R 6 are both -H;
- R 1 and R 2 are both phenyl, R 3 and R 4 are both ethyl, and R 5 and R 6 are both -H;
- Ri and R 2 are both 4-cyanophenyl, R 3 and R 4 are both methyl, R 5 is methyl, and R 6 is -H;
- R 1 and R 2 are both 4-methoxyphenyl, R 3 and R 4 are both methyl, and R 5 and R 6 are both -H;
- R 1 and R 2 are both phenyl, R 3 and R 4 are both methyl, R 5 is methyl, and R 6 is -H;
- R 1 and R 2 are both phenyl, R 3 and R 4 are both ethyl, R 5 is methyl, and R 6 is -H;
- R 1 and R 2 are both 4-cyano ⁇ henyl, R 3 and R 4 are both
- R 1 and R 2 are both phenyl, and R 3 and R 4 are both o-CH 3 -phenyl; Ri and R 2 are both o-CH 3 C(O)O-phenyl, and R 3 and R 4 are phenyl; Ri and R 2 are both phenyl, and R 3 and R 4 are both methyl; Ri and R 2 are both phenyl, and R 3 and R 4 are both ethyl; R 1 and R 2 are both phenyl, and R 3 and R 4 are both w-propyl; R 1 and R 2 are bothp-cyanophenyl, and R 3 and R 4 are both methyl; R 1 and R 2 are both p-mtxo phenyl, and R 3 and R 4 are both methyl; R 1 and R 2 are both 2,5-dimethoxyphenyl, and R 3 and R 4 are both methyl; Ri and R 2 are both phenyl, and R 3 and R 4 are both 72 -butyl; R 1 and
- R 3 and R 4 are both phenyl; R 1 and R 2 are both n-butyl, and R 3 and R 4 are both phenyl; Ri and R 2 are both n-pentyl, R 3 and R 4 are both phenyl; R 1 and R 2 are both methyl, and R 3 and R 4 are both 2-pyridyl; R 1 and R 2 are both cyclohexyl, and R 3 and R 4 are both phenyl; R 1 and R 2 are both methyl, and R 3 and R 4 are both 2-ethyl ⁇ henyl; Rj and R 2 are both methyl, and R 3 and R 4 are both 2,6-dichlorophenyl; R 1 -R 4 are all methyl; R 1 and R 2 are both methyl, and R 3 and R 4 are both ?-butyl; Ri and R 2 are both ethyl, and R 3 and R 4 are both methyl; R 1 and R 2 are both *-butyl;
- Preferred examples of bis(thio-hydrazide amides) include Compounds (I)-(IS) and pharmaceutically acceptable salts and solvates thereof:
- bis(thio-hydrazide amides) include Compounds (1), (17), and (18).
- a method of preparing a bis(thio-hydrazide amide) disalt includes the steps of combining a neutral bis(thio-hydrazide amide) and an organic solvent selected from methanol, ethanol, acetone, and methyl ethyl ketone to make a mixture; adding at least two equivalents of a base selected from sodium hydroxide, potassium hydroxide, sodium methoxide, potassium methoxide, sodium ethoxide and potassium ethoxide to the mixture, thereby forming a solution; and combining the solution and methyl t ⁇ t-butyl ether to precipitate the disalt of the bis(thio-hydrazide amide).
- the organic solvent is acetone
- the base is ethanolic sodium ethoxide
- the organic solvent is ethanol
- the base is aqueous sodium hydroxide
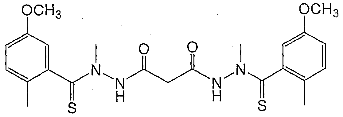
- the neutral bis(thio-hydrazide amide) is:
- a “straight chained hydrocarbyl group” is an alkylene group, i.e., -(CH2) y -, with one, or more (preferably one) internal methylene groups optionally replaced with a linkage group, y is a positive integer (e.g., between 1 and 10), preferably between 1 and 6 and more preferably 1 or 2.
- a “linkage group” refers to a functional group which replaces a methylene in a straight chained hydrocarbyl.
- linkage groups examples include a ketone (-C(O)-), alkene, alkyne, phenylene, ether (-O-), thioether (-S-), or amine (-N(R a )-), wherein R a is defined below.
- a preferred linkage group is -C(R 5 R 6 )-, wherein R 5 and R 6 are defined above.
- Suitable substituents for an alkylene group and a hydrocarbyl group are those which do not substantially interfere with the anti-cancer activity of the bis(thiohydrazide) amides and taxanes.
- R 5 and R 6 are preferred substituents for an alkylene or hydrocarbyl group represented by Y.
- An aliphatic group is a straight chained, branched or cyclic non-aromatic hydrocarbon which is completely saturated or which contains one or more units of unsaturation.
- a straight chained or branched aliphatic group has from 1 to about 20 carbon atoms, preferably from 1 to about 10, and a cyclic aliphatic group has from 3 to about 10 carbon atoms, preferably from 3 to about 8.
- An aliphatic group is preferably a straight chained or branched alkyl group, e.g., methyl, ethyl, 72- ⁇ ropyl, wo-propyl, n-butyl, sec-butyl, tert-hx&yl, pentyl, hexyl, pentyl or octyl, or a cycloalkyl group with 3 to about 8 carbon atoms.
- a C1-C20 straight chained or branched alkyl group or a C3-C8 cyclic alkyl group is also referred to as a "lower alkyl" group.
- aromatic group may be used interchangeably with “aryl,” “aryl ring,” “aromatic ring,” “aryl group” and “aromatic group.”
- Aromatic groups include carbocyclic aromatic groups such as phenyl, naphthyl, and anthracyl, and heteroaryl groups such as imidazolyl, thienyl, furanyl, pyridyl, pyrimidyl, pyranyl, pyrazolyl, pyrroyl, pyrazinyl, thiazole, oxazolyl, and tetrazole.
- heteroaryl group may be used interchangeably with “heteroaryl,” “heteroaryl ring,” “hetero aromatic ring” and “hetero aromatic group.”
- heteroaryl as used herein, means a mono-or multi-cyclic aromatic heterocycle which comprise at least one heteroatom such as nitrogen, sulfur and oxygen, but may include 1, 2, 3 or 4 heteroatoms per ring.
- Aromatic groups also include fused polycyclic aromatic ring systems in which a carbocyclic aromatic ring or heteroaryl ring is fused to one or more other heteroaryl rings.
- arylene refers to an aryl group which is connected to the remainder of the molecule by two other bonds.
- 1,4- ⁇ henylene group is shown below:
- Non-aromatic heterocyclic rings are non-aromatic rings which include one or more heteroatoms such as nitrogen, oxygen or sulfur in the ring.
- the ring can be five, six, seven or eight-membered. Examples include tetrahydrofuranyl, tetrahydrothiophenyl, morpholino, thiomorpholino, pyrrolidinyl, piperazinyl, piperidinyl, and thiazolidinyl.
- Suitable substituents on an aliphatic group including an alkylene group), non-aromatic heterocyclic group, benzylic or aryl group (carbocyclic and heteroaryl) are those which do not substantially interfere with the anti-cancer activity of the bis(thiohydrazide) amides and taxanes.
- a substituent substantially interferes with anti-cancer activity when the anti-cancer activity is reduced by more than about 50% in a compound with the substituent compared with a compound without the substituent.
- R a -R d are each independently an alkyl group, aromatic group, non-aromatic heterocyclic group or -N(R a R b ), taken together, form an optionally substituted non-aromatic heterocyclic group.
- the alkyl, aromatic and non-aromatic heterocyclic group represented by R a -R d and the non-aromatic heterocyclic group represented by -N(R a R b ) are each optionally and independently substituted with one or more groups represented by R # .
- R # is R + , -OR + , -O(haloalkyl), -SR + , -NO 2 , -CN, -NCS, -N(R + ) 2 , -NHCO 2 R + , -NHC(O)R + , -NHNHC(O)R + , -NHC(O)N(R + ) 2 , -NHNHC(0)N(R + ) 2 , -NHNHCO 2 R + , -C(O)C(O)R + , -C(O)CH 2 C(O)R + , -CO 2 R + , -C(O)R + , -C(0)N(R + ) 2 , -OC(O)R + , -0C(0)N(R + ) 2 , -S(O) 2 R + , -SO 2 N(R + ) 2 , -S(O) 2 R + , -SO 2 N(
- R + is -H, a C1-C4 alkyl group, a monocyclic heteroaryl group, a non-aromatic heterocyclic group or a phenyl group optionally substituted with alkyl, haloalkyl, alkoxy, haloalkoxy, halo, -CN, -NO 2 , amine, alkylamine or dialkylamine.
- the group -N(R + ⁇ is a non-aromatic heterocyclic group, provided that non-aromatic heterocyclic groups represented by R + and -N(R + ) 2 that comprise a secondary ring amine are optionally acylated or alkylated.
- Preferred substituents for a phenyl group include C1-C4 alkyl, C1-C4 alkoxy, C1-C4 haloalkyl, C1-C4 haloalkoxy, phenyl, benzyl, pyridyl, -OH 5 -NH 25 -F 5 -Cl 5 -Br 5 -I 5 -NO 2 or -CN.
- Preferred substituents for an aliphatic group include C1-C4 alkyl, C1-C4 alkoxy, C1-C4 haloalkyl, C1-C4 haloalkoxy, phenyl, benzyl, pyridyl, -OH, -NH 2 , -F, -Cl, -Br, -I, -NO 2 or -CN.
- Preferred substituents for a cycloalkyl group are alkyl groups, such as a methyl or ethyl groups. It will also be understood that certain compounds employed in the invention may be obtained as different stereoisomers ⁇ e.g., diastereomers and enantiomers) and that the invention includes all isomeric forms and racemic mixtures of the disclosed compounds and methods of treating a subject with both pure isomers and mixtures thereof, including racemic mixtures. Stereoisomers can be separated and isolated using any suitable method, such as chromatography.
- a sample of a bis(tbio-hydrazide amide) (Compound 1, 15 grams) was combined with 40 mL of absolute ethanol to form a mixture as a slurry.
- Aqueous sodium hydroxide (3.0 grams NaOH in 3.0 mL H 2 O) was added to the mixture with stirring at room temperature, and the mixture was cooled to not exceed 35 degrees C.
- the aqueous sodium hydroxide addition vessel was rinsed with 1 mL of water and 5 mL of ethanol, and the rinses were added to the mixture. After addition, the mixture was stirred for 110 minutes.
- the resulting yellow disodium bis(thio-hydrazide amide) solution was separated into three equal portions for the following examples.
- EXAMPLE 1 63% Yield of Bis(thio-hydrazide amide) Disodium Salt A one-third portion of the above yellow disodium bis(thio-hydrazide amide) solution was combined with 17 mL of methyl fert-butyl ether and stirred for 60 minutes (precipitation occurred in less than 30 minutes). The resulting slurry was filtered, washed with 10 mL of a 1 :1 mixture of ethyl acetate:methyl tert-butyl ether, followed by 5 mL of ethyl acetate. Residual solvent was removed by vacuum to give 3.51 grams (63%) of the disodium salt of Compound (1) as a pale yellow solid. A yellow contaminant was visible.
Landscapes
- Chemical & Material Sciences (AREA)
- Organic Chemistry (AREA)
- Pharmaceuticals Containing Other Organic And Inorganic Compounds (AREA)
- Organic Low-Molecular-Weight Compounds And Preparation Thereof (AREA)
- Acyclic And Carbocyclic Compounds In Medicinal Compositions (AREA)
Abstract
Description
Claims
Priority Applications (10)
| Application Number | Priority Date | Filing Date | Title |
|---|---|---|---|
| BRPI0611262-5A BRPI0611262A2 (en) | 2005-05-16 | 2006-05-11 | Methods of Preparing a Bis (Thiohydrazide Amide) Di-Salt |
| CA002607890A CA2607890A1 (en) | 2005-05-16 | 2006-05-11 | Synthesis of bis(thio-hydrazide amide) salts |
| NZ563124A NZ563124A (en) | 2005-05-16 | 2006-05-11 | Synthesis of bis(thio-hydrazide amide) salts |
| MX2007014314A MX2007014314A (en) | 2005-05-16 | 2006-05-11 | Synthesis of bis(thio-hydrazide amide) salts. |
| AU2006247470A AU2006247470B2 (en) | 2005-05-16 | 2006-05-11 | Synthesis of bis(thio-hydrazide amide) salts |
| JP2008512390A JP2008540658A (en) | 2005-05-16 | 2006-05-11 | Synthesis of bis (thio-hydrazide amide) salts |
| EP06770334A EP1888520A2 (en) | 2005-05-16 | 2006-05-11 | Synthesis of bis(thio-hydrazide amide) salts |
| CN2006800170928A CN101223133B (en) | 2005-05-16 | 2006-05-11 | Synthesis of bis(thiohydrazide amide) salt |
| IL187056A IL187056A (en) | 2005-05-16 | 2007-10-31 | Method for preparing a bis (thio-hydrazide amide) disalt |
| NO20075707A NO20075707L (en) | 2005-05-16 | 2007-11-08 | Synthesis of bis (thiohydrazide-amide) salts |
Applications Claiming Priority (2)
| Application Number | Priority Date | Filing Date | Title |
|---|---|---|---|
| US68126305P | 2005-05-16 | 2005-05-16 | |
| US60/681,263 | 2005-05-16 |
Publications (2)
| Publication Number | Publication Date |
|---|---|
| WO2006124736A2 true WO2006124736A2 (en) | 2006-11-23 |
| WO2006124736A3 WO2006124736A3 (en) | 2007-03-29 |
Family
ID=37057197
Family Applications (1)
| Application Number | Title | Priority Date | Filing Date |
|---|---|---|---|
| PCT/US2006/018653 Ceased WO2006124736A2 (en) | 2005-05-16 | 2006-05-11 | Synthesis of bis(thio-hydrazide amide) salts |
Country Status (16)
| Country | Link |
|---|---|
| US (1) | US7709683B2 (en) |
| EP (1) | EP1888520A2 (en) |
| JP (1) | JP2008540658A (en) |
| KR (1) | KR20080008399A (en) |
| CN (1) | CN101223133B (en) |
| AU (1) | AU2006247470B2 (en) |
| BR (1) | BRPI0611262A2 (en) |
| CA (1) | CA2607890A1 (en) |
| IL (1) | IL187056A (en) |
| MX (1) | MX2007014314A (en) |
| NO (1) | NO20075707L (en) |
| NZ (1) | NZ563124A (en) |
| RU (1) | RU2407734C2 (en) |
| TW (1) | TWI387579B (en) |
| WO (1) | WO2006124736A2 (en) |
| ZA (1) | ZA200709395B (en) |
Cited By (9)
| Publication number | Priority date | Publication date | Assignee | Title |
|---|---|---|---|---|
| WO2007021881A1 (en) * | 2005-08-16 | 2007-02-22 | Synta Pharmaceuticals Corp. | Bis(thio-hydrazide amide) formulation |
| US7645904B2 (en) | 2006-09-15 | 2010-01-12 | Synta Pharmaceuticals Corp. | Purification of bis(thiohydrazide amides) |
| US7652168B2 (en) | 2001-07-10 | 2010-01-26 | Synta Pharmaceuticals Corp. | Synthesis of taxol enhancers |
| US7671092B2 (en) | 2001-07-10 | 2010-03-02 | Synta Pharmaceuticals Corp. | Paclitaxel enhancer compounds |
| US7750042B2 (en) | 2001-07-10 | 2010-07-06 | Synta Pharmaceuticals Corp. | Paclitaxel enhancer compound |
| US7763658B2 (en) | 2003-01-15 | 2010-07-27 | Synta Pharmaceuticals Corp. | Treatment for cancers |
| US7795313B2 (en) | 2004-06-23 | 2010-09-14 | Synta Pharmaceuticals Corp. | Bis(thio-hydrazide amide) salts for treatment of cancers |
| US8017654B2 (en) | 2005-04-15 | 2011-09-13 | Synta Pharmaceuticals Corp. | Combination cancer therapy with bis(thiohydrazide) amide compounds |
| US9156783B2 (en) | 2006-08-21 | 2015-10-13 | Synta Pharmaceuticals Corp. | Compounds for treating proliferative disorders |
Families Citing this family (16)
| Publication number | Priority date | Publication date | Assignee | Title |
|---|---|---|---|---|
| CA2587598A1 (en) * | 2004-11-19 | 2006-05-26 | Synta Pharmaceuticals Corp. | Bis(thio-hydrazide amides) for increasing hsp70 expression |
| AU2006236534A1 (en) * | 2005-04-15 | 2006-10-26 | Synta Pharmaceuticals Corp. | Methods of increasing natural killer cell activity for therapy |
| JP2010501558A (en) * | 2006-08-21 | 2010-01-21 | シンタ ファーマシューティカルズ コーポレーション | Combination with bis (thiohydrazide amide) to treat cancer |
| EP2063878A2 (en) * | 2006-08-21 | 2009-06-03 | Synta Pharmaceuticals Corporation | Bis(thiohydrazide amides) for use in preventing or delaying the recurrence of melanoma |
| EP2061451A2 (en) * | 2006-08-21 | 2009-05-27 | Synta Pharmaceuticals Corporation | Bis(thiohydrazide amides) for treating melanoma |
| US7939564B2 (en) * | 2006-08-31 | 2011-05-10 | Synta Pharmaceuticals Corp. | Combination with bis(thiohydrazide amides) for treating cancer |
| US9498528B2 (en) * | 2006-09-13 | 2016-11-22 | Genzyme Corporation | Treatment of multiple sclerosis (MS) |
| WO2009064374A2 (en) | 2007-11-09 | 2009-05-22 | Synta Pharmaceuticals Corp. | Oral formulations of bis(thiohydrazide amides) |
| US8581004B2 (en) | 2008-02-21 | 2013-11-12 | Synta Pharmaceuticals Corp. | Compounds for treating proliferative disorders |
| US8633323B2 (en) * | 2008-03-31 | 2014-01-21 | Synta Pharmaceuticals Corp. | Process for preparing bis(thiohydrazide amides) |
| JP2012506444A (en) | 2008-10-22 | 2012-03-15 | シンタ ファーマシューティカルズ コーポレーション | Transition metal complexes of bis [thiohydrazide amide] compounds |
| US9174935B2 (en) | 2008-10-22 | 2015-11-03 | Synta Pharmaceuticals Corp. | Transition metal complexes of bis[thiohydrazide amide] compounds |
| US8525776B2 (en) * | 2008-10-27 | 2013-09-03 | Lenovo (Singapore) Pte. Ltd | Techniques for controlling operation of a device with a virtual touchscreen |
| CA2745065A1 (en) | 2008-12-01 | 2010-06-10 | Synta Pharmaceuticals Corp. | Compounds for treating proliferative disorders |
| WO2011069159A2 (en) | 2009-12-04 | 2011-06-09 | Synta Pharmaceuticals Corp. | Bis[thiohydrazide amide] compounds for treating leukemia |
| EP2560627A1 (en) | 2010-04-20 | 2013-02-27 | Synta Pharmaceuticals Corp. | Use of bis [thiohydrazide amide]compounds such as elesclomol for treating cancers |
Citations (3)
| Publication number | Priority date | Publication date | Assignee | Title |
|---|---|---|---|---|
| WO2003006428A1 (en) | 2001-07-10 | 2003-01-23 | Synta Pharmaceuticals Corp. | Taxol enhancer compounds |
| US20030119914A1 (en) | 2001-07-10 | 2003-06-26 | Shionogi Bioresearch Corp. | Taxol enhancer compounds |
| WO2006009940A1 (en) | 2004-06-23 | 2006-01-26 | Synta Pharmaceuticals Corp. | Bis(thio-hydrazide amide) salts for treatment of cancers |
Family Cites Families (26)
| Publication number | Priority date | Publication date | Assignee | Title |
|---|---|---|---|---|
| FR2097737A5 (en) | 1970-07-14 | 1972-03-03 | Berlin Chemie Veb | Virustatic 4-substd 1-acylthiosemicarbazides -from carboxylic acid - hydrazide and isothiocyanates or from carboxylic acid chloride and 4- |
| DE2037257A1 (en) | 1970-07-28 | 1972-02-03 | Farbwerke Hoechst AG, vorm. Meister Lucius & Brüning, 6000 Frankfurt | Poly-(5-amino-1,3,4-thiadiazol-2-yl) derivs prepn - intermediates for drug and polymer prodn |
| US4012360A (en) | 1973-12-03 | 1977-03-15 | Ciba-Geigy Corporation | Bis-salicyloyl-dicarboxylic acid dihydrazides as stabilizers for polyolefines |
| JPS5091056A (en) | 1973-12-17 | 1975-07-21 | ||
| US6013836A (en) | 1992-02-28 | 2000-01-11 | Rohm And Haas Company | Insecticidal N'-substituted-N,N'-disubstitutedhydrazines |
| FR2697752B1 (en) | 1992-11-10 | 1995-04-14 | Rhone Poulenc Rorer Sa | Antitumor compositions containing taxane derivatives. |
| DE69604298T2 (en) | 1995-09-22 | 2000-05-18 | Bioimage A/S, Soeborg | VARIANTS OF THE GREEN FLUORESCENCE PROTEIN, GFP |
| US6235787B1 (en) | 1997-06-30 | 2001-05-22 | Hoffmann-La Roche Inc. | Hydrazine derivatives |
| GB9727524D0 (en) | 1997-12-31 | 1998-02-25 | Pharmacia & Upjohn Spa | Synergistic antitumor composition containing a biologically active ureido compound |
| TW479053B (en) | 1998-10-19 | 2002-03-11 | Agro Kanesho Co Ltd | Hydrazineoxoacetamide derivatives and pesticides |
| ES2161594B1 (en) | 1998-12-17 | 2003-04-01 | Servier Lab | NEW DERIVATIVES OF HYDRAZIDE, ITS PREPARATION PROCEDURE AND THE PHARMACEUTICAL COMPOSITIONS CONTAINING THEM. |
| US6322303B1 (en) | 2000-05-12 | 2001-11-27 | David M. John | Dunnage bag and method of making same |
| EP1164126A1 (en) | 2000-06-16 | 2001-12-19 | Basf Aktiengesellschaft | Salicylic acid hydrazide derivatives, process and intermediates for their preparation, agents containing them and their use for combatting damaging fungi |
| US6365745B1 (en) | 2000-07-14 | 2002-04-02 | Sumika Fine Chemicals Co., Ltd. | Method for producing hydrazine derivative |
| WO2002059080A2 (en) | 2001-01-25 | 2002-08-01 | Guilford Pharmaceuticals Inc. | Trisubstituted carbocyclic cyclophilin binding compounds and their use |
| US6602907B1 (en) | 2001-06-08 | 2003-08-05 | University Of Central Florida | Treatment of breast cancer |
| US6924312B2 (en) * | 2001-07-10 | 2005-08-02 | Synta Pharmaceuticals Corp. | Taxol enhancer compounds |
| TWI252847B (en) * | 2001-07-10 | 2006-04-11 | Synta Pharmaceuticals Corp | Synthesis of taxol enhancers |
| TW200408407A (en) * | 2001-11-30 | 2004-06-01 | Dana Farber Cancer Inst Inc | Methods and compositions for modulating the immune system and uses thereof |
| TWI330079B (en) * | 2003-01-15 | 2010-09-11 | Synta Pharmaceuticals Corp | Treatment for cancers |
| WO2006033913A2 (en) | 2004-09-16 | 2006-03-30 | Synta Pharmaceuticals Corp. | Bis (thio-hydrazide amides) for treament of hyperplasia |
| CA2587598A1 (en) * | 2004-11-19 | 2006-05-26 | Synta Pharmaceuticals Corp. | Bis(thio-hydrazide amides) for increasing hsp70 expression |
| AU2006236534A1 (en) | 2005-04-15 | 2006-10-26 | Synta Pharmaceuticals Corp. | Methods of increasing natural killer cell activity for therapy |
| JP2008536875A (en) | 2005-04-15 | 2008-09-11 | シンタ ファーマシューティカルズ コーポレーション | Combined cancer therapy with bis (thiohydrazide) amide compounds |
| WO2006113493A2 (en) | 2005-04-15 | 2006-10-26 | Synta Pharmaceuticals Corp. | Methods of determining cancer prognosis via natural killer cell activity |
| WO2007021881A1 (en) * | 2005-08-16 | 2007-02-22 | Synta Pharmaceuticals Corp. | Bis(thio-hydrazide amide) formulation |
-
2006
- 2006-05-11 EP EP06770334A patent/EP1888520A2/en not_active Withdrawn
- 2006-05-11 JP JP2008512390A patent/JP2008540658A/en active Pending
- 2006-05-11 NZ NZ563124A patent/NZ563124A/en not_active IP Right Cessation
- 2006-05-11 AU AU2006247470A patent/AU2006247470B2/en not_active Ceased
- 2006-05-11 CN CN2006800170928A patent/CN101223133B/en not_active Expired - Fee Related
- 2006-05-11 US US11/432,307 patent/US7709683B2/en not_active Expired - Fee Related
- 2006-05-11 CA CA002607890A patent/CA2607890A1/en not_active Abandoned
- 2006-05-11 MX MX2007014314A patent/MX2007014314A/en active IP Right Grant
- 2006-05-11 BR BRPI0611262-5A patent/BRPI0611262A2/en not_active IP Right Cessation
- 2006-05-11 KR KR1020077028282A patent/KR20080008399A/en not_active Ceased
- 2006-05-11 RU RU2007144216/04A patent/RU2407734C2/en not_active IP Right Cessation
- 2006-05-11 WO PCT/US2006/018653 patent/WO2006124736A2/en not_active Ceased
- 2006-05-12 TW TW095116857A patent/TWI387579B/en not_active IP Right Cessation
-
2007
- 2007-10-31 IL IL187056A patent/IL187056A/en not_active IP Right Cessation
- 2007-10-31 ZA ZA200709395A patent/ZA200709395B/en unknown
- 2007-11-08 NO NO20075707A patent/NO20075707L/en not_active Application Discontinuation
Patent Citations (4)
| Publication number | Priority date | Publication date | Assignee | Title |
|---|---|---|---|---|
| WO2003006428A1 (en) | 2001-07-10 | 2003-01-23 | Synta Pharmaceuticals Corp. | Taxol enhancer compounds |
| US20030045518A1 (en) | 2001-07-10 | 2003-03-06 | Shionogi Bioresearch Corp. | Taxol enhancer compounds |
| US20030119914A1 (en) | 2001-07-10 | 2003-06-26 | Shionogi Bioresearch Corp. | Taxol enhancer compounds |
| WO2006009940A1 (en) | 2004-06-23 | 2006-01-26 | Synta Pharmaceuticals Corp. | Bis(thio-hydrazide amide) salts for treatment of cancers |
Cited By (14)
| Publication number | Priority date | Publication date | Assignee | Title |
|---|---|---|---|---|
| US7750042B2 (en) | 2001-07-10 | 2010-07-06 | Synta Pharmaceuticals Corp. | Paclitaxel enhancer compound |
| US9107955B2 (en) | 2001-07-10 | 2015-08-18 | Synta Pharmaceuticals Corp. | Paclitaxel enhancer compounds |
| US7652168B2 (en) | 2001-07-10 | 2010-01-26 | Synta Pharmaceuticals Corp. | Synthesis of taxol enhancers |
| US7671092B2 (en) | 2001-07-10 | 2010-03-02 | Synta Pharmaceuticals Corp. | Paclitaxel enhancer compounds |
| US7763658B2 (en) | 2003-01-15 | 2010-07-27 | Synta Pharmaceuticals Corp. | Treatment for cancers |
| US7795313B2 (en) | 2004-06-23 | 2010-09-14 | Synta Pharmaceuticals Corp. | Bis(thio-hydrazide amide) salts for treatment of cancers |
| US8048925B2 (en) | 2004-06-23 | 2011-11-01 | Synta Pharmaceuticals Corp. | Bis(thio-hydrazide amide) salts for treatment of cancers |
| US8461208B2 (en) | 2004-06-23 | 2013-06-11 | Synta Pharmaceuticals Corp. | Bis(thio-hydrazide amide) salts for treatment of cancers |
| US8017654B2 (en) | 2005-04-15 | 2011-09-13 | Synta Pharmaceuticals Corp. | Combination cancer therapy with bis(thiohydrazide) amide compounds |
| US7678832B2 (en) | 2005-08-16 | 2010-03-16 | Synta Pharmaceuticals Corp. | Bis(thio-hydrazide amide) formulation |
| WO2007021881A1 (en) * | 2005-08-16 | 2007-02-22 | Synta Pharmaceuticals Corp. | Bis(thio-hydrazide amide) formulation |
| US8623921B2 (en) | 2005-08-16 | 2014-01-07 | Synta Pharmaceuticals Corp. | Bis(thio-hydrazide amide) formulation |
| US9156783B2 (en) | 2006-08-21 | 2015-10-13 | Synta Pharmaceuticals Corp. | Compounds for treating proliferative disorders |
| US7645904B2 (en) | 2006-09-15 | 2010-01-12 | Synta Pharmaceuticals Corp. | Purification of bis(thiohydrazide amides) |
Also Published As
| Publication number | Publication date |
|---|---|
| CA2607890A1 (en) | 2006-11-23 |
| NZ563124A (en) | 2010-12-24 |
| AU2006247470A1 (en) | 2006-11-23 |
| CN101223133A (en) | 2008-07-16 |
| RU2407734C2 (en) | 2010-12-27 |
| IL187056A0 (en) | 2008-02-09 |
| US7709683B2 (en) | 2010-05-04 |
| EP1888520A2 (en) | 2008-02-20 |
| US20060270873A1 (en) | 2006-11-30 |
| WO2006124736A3 (en) | 2007-03-29 |
| JP2008540658A (en) | 2008-11-20 |
| TW200722411A (en) | 2007-06-16 |
| TWI387579B (en) | 2013-03-01 |
| MX2007014314A (en) | 2008-02-11 |
| ZA200709395B (en) | 2008-10-29 |
| CN101223133B (en) | 2012-02-29 |
| NO20075707L (en) | 2007-12-11 |
| IL187056A (en) | 2013-10-31 |
| RU2007144216A (en) | 2009-06-27 |
| BRPI0611262A2 (en) | 2010-08-24 |
| KR20080008399A (en) | 2008-01-23 |
| AU2006247470B2 (en) | 2010-04-01 |
Similar Documents
| Publication | Publication Date | Title |
|---|---|---|
| WO2006124736A2 (en) | Synthesis of bis(thio-hydrazide amide) salts | |
| US9556170B2 (en) | Substituted-1H-benzo[d]imidazole series compounds as lysine-specific demethylase 1 (LSD1) inhibitors | |
| EP2600860B1 (en) | Substituted 2-hydroxy-4-(2-(phenylsulfonamido)acetamido)benzoic acid analogs as inhibitors of stat proteins | |
| KR101800041B1 (en) | Process for the preparation of 4-{4-[({[4-chloro-3-(trifluoromethyl)-phenyl]amino}carbonyl)amino]-3-fluorophenoxy}-n-methylpyridine-2-carboxamide, its salts and monohydrate | |
| JP6985367B2 (en) | New compounds and methods | |
| RU2007101898A (en) | Salts of bis (thiohydrazide amide) for the treatment of cancer | |
| CN110105434A (en) | The polypeptide and application thereof of stitching and suture | |
| ES2989922T3 (en) | Carborane compounds and methods of using them | |
| JP2008540658A5 (en) | ||
| EP1565430B1 (en) | Biguanide derivatives | |
| WO2009073147A2 (en) | Process for preparing bis(thiohydrazide amides) | |
| US9409868B2 (en) | Inhibitors of rho associated protein kinases (ROCK) and methods of use | |
| US20130172340A1 (en) | Substituted 2-(9h-purin-9-yl) acetic acid analogues as inhibitors of stat3 | |
| Huang et al. | Metal-free synthesis of fulleropyrrolidin-2-ols: a novel reaction of [60] fullerene with amines and 2, 2-disubstituted acetaldehydes | |
| RU2013106503A (en) | METHOD FOR OBTAINING CONTRAST AGENTS | |
| AU2019271420B2 (en) | Modulators of ion channel receptors and uses thereof | |
| RU2403238C2 (en) | Method for synthesis of sulphamate-carboxylate derivatives | |
| JP2013540141A (en) | Process for preparing substituted N- (3-amino-quinoxalin-2-yl) -sulfonamides and their intermediates N- (3-chloro-quinoxalin-2-yl) sulfonamides | |
| CN104961670B (en) | A kind of preparation method of the disubstituted ketimide derivative of N, O | |
| Sipyagin et al. | Reactions of polyhalopyridines. 16. Synthesis and reactions of 2, 3, 5, 6-tetrafluoro-4-perfluoroalkylthiopyridines | |
| WO2016005407A1 (en) | One-pot synthesis of squaramides | |
| HK1261921A1 (en) | Carborane compounds and methods of use thereof | |
| HK1261921B (en) | Carborane compounds and methods of use thereof |
Legal Events
| Date | Code | Title | Description |
|---|---|---|---|
| WWE | Wipo information: entry into national phase |
Ref document number: 200680017092.8 Country of ref document: CN |
|
| 121 | Ep: the epo has been informed by wipo that ep was designated in this application | ||
| DPE1 | Request for preliminary examination filed after expiration of 19th month from priority date (pct application filed from 20040101) | ||
| WWE | Wipo information: entry into national phase |
Ref document number: 8343/DELNP/2007 Country of ref document: IN |
|
| WWE | Wipo information: entry into national phase |
Ref document number: 187056 Country of ref document: IL Ref document number: 2006247470 Country of ref document: AU |
|
| WWE | Wipo information: entry into national phase |
Ref document number: 563124 Country of ref document: NZ |
|
| ENP | Entry into the national phase |
Ref document number: 2607890 Country of ref document: CA |
|
| WWE | Wipo information: entry into national phase |
Ref document number: 2006770334 Country of ref document: EP |
|
| WWE | Wipo information: entry into national phase |
Ref document number: 12007502537 Country of ref document: PH |
|
| ENP | Entry into the national phase |
Ref document number: 2008512390 Country of ref document: JP Kind code of ref document: A |
|
| WWE | Wipo information: entry into national phase |
Ref document number: MX/a/2007/014314 Country of ref document: MX |
|
| NENP | Non-entry into the national phase |
Ref country code: DE |
|
| ENP | Entry into the national phase |
Ref document number: 2006247470 Country of ref document: AU Date of ref document: 20060511 Kind code of ref document: A |
|
| WWE | Wipo information: entry into national phase |
Ref document number: 1020077028282 Country of ref document: KR |
|
| WWE | Wipo information: entry into national phase |
Ref document number: 2007144216 Country of ref document: RU |
|
| ENP | Entry into the national phase |
Ref document number: PI0611262 Country of ref document: BR Kind code of ref document: A2 |


























