WO2006016194A1 - Substituted phenylacetamides and their use as glucokinase activators - Google Patents
Substituted phenylacetamides and their use as glucokinase activators Download PDFInfo
- Publication number
- WO2006016194A1 WO2006016194A1 PCT/GB2005/050129 GB2005050129W WO2006016194A1 WO 2006016194 A1 WO2006016194 A1 WO 2006016194A1 GB 2005050129 W GB2005050129 W GB 2005050129W WO 2006016194 A1 WO2006016194 A1 WO 2006016194A1
- Authority
- WO
- WIPO (PCT)
- Prior art keywords
- alkyl
- pharmaceutically acceptable
- acceptable salt
- group
- compound
- Prior art date
- Legal status (The legal status is an assumption and is not a legal conclusion. Google has not performed a legal analysis and makes no representation as to the accuracy of the status listed.)
- Ceased
Links
- 0 *c1ccc(CC(O*)=O)cc1 Chemical compound *c1ccc(CC(O*)=O)cc1 0.000 description 5
- CJOITDANQLBNQI-IFXJQAMLSA-N O=C([C@H](C[C@@H](CC1)CC1=O)c(cc1)ccc1S(C1CC1)(=O)=O)Nc1nccnc1 Chemical compound O=C([C@H](C[C@@H](CC1)CC1=O)c(cc1)ccc1S(C1CC1)(=O)=O)Nc1nccnc1 CJOITDANQLBNQI-IFXJQAMLSA-N 0.000 description 1
- GGWRLMKAQUWBOU-MEDUHNTESA-N OC([C@H](C[C@@H](CC1)CC1=O)c(cc1)ccc1SC1CC1)=O Chemical compound OC([C@H](C[C@@H](CC1)CC1=O)c(cc1)ccc1SC1CC1)=O GGWRLMKAQUWBOU-MEDUHNTESA-N 0.000 description 1
Classifications
-
- C—CHEMISTRY; METALLURGY
- C07—ORGANIC CHEMISTRY
- C07D—HETEROCYCLIC COMPOUNDS
- C07D231/00—Heterocyclic compounds containing 1,2-diazole or hydrogenated 1,2-diazole rings
- C07D231/02—Heterocyclic compounds containing 1,2-diazole or hydrogenated 1,2-diazole rings not condensed with other rings
- C07D231/10—Heterocyclic compounds containing 1,2-diazole or hydrogenated 1,2-diazole rings not condensed with other rings having two or three double bonds between ring members or between ring members and non-ring members
- C07D231/14—Heterocyclic compounds containing 1,2-diazole or hydrogenated 1,2-diazole rings not condensed with other rings having two or three double bonds between ring members or between ring members and non-ring members with hetero atoms or with carbon atoms having three bonds to hetero atoms with at the most one bond to halogen, e.g. ester or nitrile radicals, directly attached to ring carbon atoms
- C07D231/38—Nitrogen atoms
- C07D231/40—Acylated on said nitrogen atom
-
- A—HUMAN NECESSITIES
- A61—MEDICAL OR VETERINARY SCIENCE; HYGIENE
- A61K—PREPARATIONS FOR MEDICAL, DENTAL OR TOILETRY PURPOSES
- A61K31/00—Medicinal preparations containing organic active ingredients
- A61K31/33—Heterocyclic compounds
- A61K31/395—Heterocyclic compounds having nitrogen as a ring hetero atom, e.g. guanethidine or rifamycins
- A61K31/41—Heterocyclic compounds having nitrogen as a ring hetero atom, e.g. guanethidine or rifamycins having five-membered rings with two or more ring hetero atoms, at least one of which being nitrogen, e.g. tetrazole
- A61K31/415—1,2-Diazoles
-
- A—HUMAN NECESSITIES
- A61—MEDICAL OR VETERINARY SCIENCE; HYGIENE
- A61K—PREPARATIONS FOR MEDICAL, DENTAL OR TOILETRY PURPOSES
- A61K31/00—Medicinal preparations containing organic active ingredients
- A61K31/33—Heterocyclic compounds
- A61K31/395—Heterocyclic compounds having nitrogen as a ring hetero atom, e.g. guanethidine or rifamycins
- A61K31/495—Heterocyclic compounds having nitrogen as a ring hetero atom, e.g. guanethidine or rifamycins having six-membered rings with two or more nitrogen atoms as the only ring heteroatoms, e.g. piperazine or tetrazines
- A61K31/50—Pyridazines; Hydrogenated pyridazines
-
- A—HUMAN NECESSITIES
- A61—MEDICAL OR VETERINARY SCIENCE; HYGIENE
- A61P—SPECIFIC THERAPEUTIC ACTIVITY OF CHEMICAL COMPOUNDS OR MEDICINAL PREPARATIONS
- A61P3/00—Drugs for disorders of the metabolism
- A61P3/08—Drugs for disorders of the metabolism for glucose homeostasis
- A61P3/10—Drugs for disorders of the metabolism for glucose homeostasis for hyperglycaemia, e.g. antidiabetics
-
- A—HUMAN NECESSITIES
- A61—MEDICAL OR VETERINARY SCIENCE; HYGIENE
- A61P—SPECIFIC THERAPEUTIC ACTIVITY OF CHEMICAL COMPOUNDS OR MEDICINAL PREPARATIONS
- A61P43/00—Drugs for specific purposes, not provided for in groups A61P1/00-A61P41/00
-
- C—CHEMISTRY; METALLURGY
- C07—ORGANIC CHEMISTRY
- C07C—ACYCLIC OR CARBOCYCLIC COMPOUNDS
- C07C317/00—Sulfones; Sulfoxides
- C07C317/44—Sulfones; Sulfoxides having sulfone or sulfoxide groups and carboxyl groups bound to the same carbon skeleton
-
- C—CHEMISTRY; METALLURGY
- C07—ORGANIC CHEMISTRY
- C07D—HETEROCYCLIC COMPOUNDS
- C07D237/00—Heterocyclic compounds containing 1,2-diazine or hydrogenated 1,2-diazine rings
- C07D237/02—Heterocyclic compounds containing 1,2-diazine or hydrogenated 1,2-diazine rings not condensed with other rings
- C07D237/06—Heterocyclic compounds containing 1,2-diazine or hydrogenated 1,2-diazine rings not condensed with other rings having three double bonds between ring members or between ring members and non-ring members
- C07D237/10—Heterocyclic compounds containing 1,2-diazine or hydrogenated 1,2-diazine rings not condensed with other rings having three double bonds between ring members or between ring members and non-ring members with hetero atoms or with carbon atoms having three bonds to hetero atoms with at the most one bond to halogen, e.g. ester or nitrile radicals, directly attached to ring carbon atoms
- C07D237/20—Nitrogen atoms
-
- C—CHEMISTRY; METALLURGY
- C07—ORGANIC CHEMISTRY
- C07D—HETEROCYCLIC COMPOUNDS
- C07D241/00—Heterocyclic compounds containing 1,4-diazine or hydrogenated 1,4-diazine rings
- C07D241/02—Heterocyclic compounds containing 1,4-diazine or hydrogenated 1,4-diazine rings not condensed with other rings
- C07D241/10—Heterocyclic compounds containing 1,4-diazine or hydrogenated 1,4-diazine rings not condensed with other rings having three double bonds between ring members or between ring members and non-ring members
- C07D241/14—Heterocyclic compounds containing 1,4-diazine or hydrogenated 1,4-diazine rings not condensed with other rings having three double bonds between ring members or between ring members and non-ring members with hetero atoms or with carbon atoms having three bonds to hetero atoms with at the most one bond to halogen, e.g. ester or nitrile radicals, directly attached to ring carbon atoms
- C07D241/20—Nitrogen atoms
-
- C—CHEMISTRY; METALLURGY
- C07—ORGANIC CHEMISTRY
- C07C—ACYCLIC OR CARBOCYCLIC COMPOUNDS
- C07C2601/00—Systems containing only non-condensed rings
- C07C2601/02—Systems containing only non-condensed rings with a three-membered ring
-
- C—CHEMISTRY; METALLURGY
- C07—ORGANIC CHEMISTRY
- C07C—ACYCLIC OR CARBOCYCLIC COMPOUNDS
- C07C2601/00—Systems containing only non-condensed rings
- C07C2601/06—Systems containing only non-condensed rings with a five-membered ring
- C07C2601/08—Systems containing only non-condensed rings with a five-membered ring the ring being saturated
Definitions
- the present invention is directed to tri(cyclo) substituted amide compounds.
- the present invention is directed to amide compounds substituted i) at the carbonyl carbon with an ethyl/ethenyl attached to a phenyl ring and a carbocyclic ring, and ii) at the amino with a nitrogen bearing heteroaryl or unsaturated heterocyclyl ring, which are modulators of glucokinase and are useful in the prophylactic or therapeutic treatment of hyperglycemia and diabetes, particularly type II diabetes.
- Glucokinase (“GK”) is believed to be important in the body's regulation of its plasma glucose level.
- GK found principally in the liver and pancreas, is one of four hexokinases that catalyze the initial metabolism of glucose.
- the GK pathway is saturated at higher glucose levels than the other hexokinase pathways (see R.L. Printz et al., Annu. Rev. Nutr., 13:463- 496 (1993)).
- GK is critical to maintaining the glucose balance in mammals. Animals that do not express GK die soon after birth with diabetes, while animals that overexpress GK have improved glucose tolerance. Activation of GK can lead to hyperinsulinemic hypoglycemia (see, for example, H.B.T. Christesen et al., Diabetes, 51:1240-1246 (2002)).
- type II maturity-onset diabetes of the young is caused by the loss of function mutations in the GK gene, suggesting that GK operates as a glucose sensor in humans (Y. Liang et al., Biochem. J., 309: 167-173 (1995)).
- compounds that activate GK increase the sensitivity of the GK sensory system and would be useful in the treatment of hyperglycemia - particularly the hyperglycemia associated with type II diabetes. It is therefore desirable to provide novel compounds that activate GK to treat diabetes.
- WO2001/083478 describes hydantoin-containing GK activators.
- International Patent Publication No. WO2001/083465 and U.S. Patent No. 6,388,071 describe alkynylphenyl heteroaromatic GK activators.
- International Patent Publication No. WO2001/085707 and U.S. Patent No. 6,489,485 describe para-amine substituted phenylamide GK activators.
- International Patent Publication No. WO2002/046173 and U.S. Patent Nos. 6,433,188, 6,441,184, and 6,448,399 describe fused heteroaromatic GK activators.
- WO2003/000262 describes vinyl phenyl GK activators.
- International Patent Publication No. WO2003/000267 describes aminonicotinate derivatives as GK modulators.
- International Patent Publication No. WO2003/015774 describes compounds as GK modulators.
- International Patent Publication No. WO2003047626 describes the use of a GK activator in combination with a glucagon antagonist for treating type II diabetes.
- Patent Publication No. WO2003/055482 describes amide derivatives as GK activators.
- International Patent Publication No. WO2003/080585 describes aminobenzamide derivatives with GK activity for the treatment of diabetes and obesity.
- International Patent Publication No. WO2003/097824 describes human liver GK crystals and their used for structure-based drug design.
- International Patent Publication No. WO2004/002481 discloses arylcarbonyl derivatives as GK activators.
- International Patent Publication Nos. WO2004/072031 and WO2004/072066 disclose tri(cyclo) substituted amide compounds as GK activators.
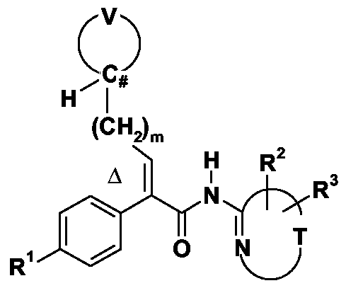
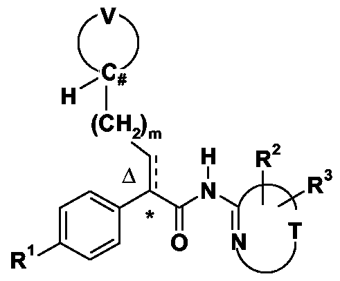
- the present invention is directed to a compound of Formula (I):
- X and X 1 are independently selected from fluoro and chloro; R 1 is SO 2 R 4 ;
- R 4 is a group
- R 5 is hydrogen, or a group, C 2-4 alkenyl group, C 2-4 alkynyl group, C 3- ⁇ cycloalkyl group, aryl group, heteroaryl group, or 4- 7-membered heterocyclic group, wherein any group is optionally substituted with 1-6 independent halogen, cyano, nitro, hydroxy, Ci_ 2 alkoxy, -N(Co_ 2 alkyl)(Co_ 2 alkyl), Ci_ 2 alkyl, C ⁇ cycloalkyl, 4— 7-membered heterocyclic ring, CF n H ⁇ n , aryl, heteroaryl, CO 2 H, -COCi_ 2 alkyl, -CON(Co_ 2 alkyl)(Co_ 2 alkyl), SOCH 3 , SO 2 CH 3 , or -S0 2 N(Co_ 2 alkyl)(Co_ 2 alkyl) substituents;
- R 6 and R 7 each independently are hydrogen, or a group, C 3-7 cycloalkyl group, aryl group, heteroaryl group, or 4-7-membered heterocyclic group, wherein any group is optionally substituted with 1-6 independent halogen, cyano, nitro, hydroxy, Ci_ 2 alkoxy, - N(Co_ 2 alkyl)(Co_ 2 alkyl), Ci_ 2 alkyl, C ⁇ cycloalkyl, 4-7-membered heterocyclic ring, CF n H 3 -Q, aryl, heteroaryl, COCi_ 2 alkyl, -CON(C( ⁇ 2 alkyl)(C( ⁇ 2 alkyl), SOCH 3 , SO 2 CH 3 , or -SO 2 N(C ⁇
- R 6 and R 7 together form a 6-8-membered heterobicyclic ring system or a 4— 8-membered heterocyclic ring which is optionally substituted with 1-2 independent Ci_ 2 alkyl, CH 2 OCH 3 , COCo_ 2 alkyl, hydroxy, or SO 2 CH 3 substituents; n is 1, 2 or 3; k is an integer from 2 to 7; m is O or l; and the dotted line together with the solid line forms an optional double bond, and ⁇ indicates that the double bond has the ( ⁇ -configuration.
- the carbon atom linking the aryl ring and -HC ⁇ >V-containing sidechain to the amide carbonyl carbon i.e. the carbon atom labelled with "*"
- the compound may be present either as a racemate or as a single enantiomer in the (R)- or ( ⁇ -configuration.
- the (R)-enantiomers are preferred.
- the carbon atom labelled with "#" may also be chiral. Accordingly, at this centre, the compound may be present either as a racemate or as a single enantiomer in the (R)- or (S)- configuration.
- the (R)-enantiomers are preferred when the dotted line together with the solid line represents a single bond. When the dotted line together with the solid line forms a double bond, the (5)-enantiomers are preferred.
- the present invention is directed to a compound represented by Formula (Ia):
- the molecular weight of the compounds of Formula (I) is preferably less than 800, more preferably less than 600, most preferably less than 500.
- the group formed by -HC ⁇ and >V preferably represents oxocycloalkyl or hydroxycycloalkyl, e.g. 3-oxocyclopentyl, 4-oxocyclohexyl or 3- hydroxycyclopentyl, particularly (R)-3-oxocyclopentyl or 4-oxocyclohexyl, more particularly (R)-3-oxocyclopentyl.
- heteroaryl groups include pyrazole, pyrazine and pyridazine.
- R 2 and R 3 are preferably independently selected from hydrogen, halogen and methyl; more preferably R 2 and R 3 are independently selected from hydrogen and methyl. Preferably one of R 2 and R 3 is hydrogen and the other is hydrogen or methyl.
- R 4 is preferably SC ⁇ C ⁇ cycloalkyl, especially SC ⁇ cyclopropyl.
- R 5 is preferably hydrogen or a group.
- R 6 and R 7 are preferably each independently hydrogen or a group.
- m is preferably 0.
- k is preferably 4 or 5.
- Specific compounds of the invention which may be mentioned are: 2(R)-2-(4-cyclopropanesulfonylphenyl)-N-(l-methylpyrazol-3-yl)-3-((R)-3- oxocyclopentyl)propionamide;
- alkyl as well as other groups having the prefix “alk” such as, for example, alkoxy, alkenyl, alkynyl, and the like, means carbon chains which may be linear or branched or combinations thereof.
- alkyl groups include methyl, ethyl, propyl, isopropyl, butyl, sec- and tert-butyl, and the like.
- alkenyl alkynyl and other like terms include carbon chains having at least one unsaturated carbon-carbon bond.
- Co- 2 alkyl is used to mean an alkyl having 0-2 carbons - that is, 0, 1, or 2 carbons.
- An alkyl having no carbon is hydrogen when the alkyl is a terminal group.
- cycloalkyl and “carbocyclic ring” mean carbocycles containing no heteroatoms, and include mono-, bi-, and tricyclic saturated carbocycles, as well as fused and bridged systems.
- fused ring systems can include one ring that is partially or fully unsaturated, such as a benzene ring, to form fused ring systems, such as benzofused carbocycles.
- Cycloalkyl includes such fused ring systems as spirofused ring systems.
- Examples of cycloalkyl and carbocyclic rings include C 3-8 cycloalkyl such as cyclopropyl, cyclobutyl, cyclopentyl, cyclohexyl, and the like.
- halogen includes fluorine, chlorine, bromine, and iodine atoms.
- aryl and aromatic ring include, for example, phenyl and naphthyl, a preferred aryl group is phenyl.
- heterocyclic ring includes 4- 8-membered saturated rings containing one or two heteroatoms chosen from oxygen, sulfur, and nitrogen. The heteroatoms are not directly attached to one another.
- heterocyclic rings examples include oxetane, tetrahydrofuran, tetrahydropyran, oxepane, oxocane, thietane, tetrahydrothiophene, tetrahydrothiopyran, thiepane, thiocane, azetidine, pyrrolidine, piperidine, azepane, azocane, [l,3]dioxane, oxazolidine, piperazine, and the like.
- Other examples of heterocyclic rings include the oxidised forms of the sulfur-containing rings.
- tetrahydrothiophene 1 -oxide, tetrahydrothiophene 1,1 -dioxide, tetrahydrothiopyran 1- oxide, and tetrahydrothiopyran 1,1 -dioxide are also considered to be heterocyclic rings.
- heteroaryl and “heteroaromatic ring” include 5- or 6-membered heteroaryl rings containing 1-4 heteroatoms chosen from oxygen, sulfur, and nitrogen.
- heteroaryl rings are furyl, thienyl, pyrrolyl, pyrazolyl, imidazolyl, oxazolyl, isoxazolyl, thiazolyl, isothiazolyl, triazolyl, oxadiazolyl, thiadiazolyl, tetrazolyl, pyridinyl, pyridazinyl, pyrimidinyl, pyrazinyl, and triazinyl.
- the above formulae are shown without a definitive stereochemistry at certain positions.
- the present invention includes all stereoisomers (e.g. geometric isomers, optical isomers, diastereoisomers, etc.) and pharmaceutically acceptable salts thereof, except where specifically drawn or stated otherwise. Further, mixtures of stereoisomers as well as isolated specific stereoisomers are also included, except where specifically drawn or stated otherwise.
- the products of such procedures can be a mixture of stereoisomers.
- the present invention includes any possible tautomers and pharmaceutically acceptable salts thereof, and mixtures thereof, except where specifically drawn or stated otherwise.
- the compound of the above formulae and pharmaceutically acceptable salts thereof exist in the form of solvates or polymorphic forms, the present invention includes any possible solvates and polymorphic forms.
- the type of a solvent that forms the solvate is not particularly limited so long as the solvent is pharmacologically acceptable. For example, water, ethanol, propanol, acetone or the like can be used.
- the compounds of Formula (I) are intended for pharmaceutical use they are preferably provided in substantially pure form, for example at least 60% pure, more suitably at least 75% pure, at least 95% pure and especially at least 98% pure (% are on a weight for weight basis).
- the invention also encompasses a pharmaceutical composition that is comprised of a compound of Formula (I), or a pharmaceutically acceptable salt thereof, in combination with a pharmaceutically acceptable carrier.
- a pharmaceutically acceptable carrier Preferably the composition is comprised of a pharmaceutically acceptable carrier and a non-toxic therapeutically effective amount of a compound of Formula (I), or a pharmaceutically acceptable salt thereof.
- the invention encompasses a pharmaceutical composition for the prophylaxis or treatment of hyperglycemia and diabetes, particularly type II diabetes, by the activation of GK, comprising a pharmaceutically acceptable carrier and a non-toxic therapeutically effective amount of compound of Formula (I), or a pharmaceutically acceptable salt thereof.
- the invention also provides the use of a compound of Formula (I), or a pharmaceutically acceptable salt thereof, as a pharmaceutical.
- the compounds and compositions of the present invention are effective for treating hyperglycemia and diabetes, particularly type II diabetes, in mammals such as, for example, humans.
- the invention also provides a method of prophylactic or therapeutic treatment of a condition where activation of GK is desirable comprising a step of administering an effective amount of a compound of Formula (I), or a pharmaceutically acceptable salt thereof.
- the invention also provides a method of prophylactic or therapeutic treatment of hyperglycemia or diabetes, particularly type II diabetes, comprising a step of administering an effective amount of a compound of Formula (I), or a pharmaceutically acceptable salt thereof.
- the invention also provides a method for the prevention of diabetes, particularly type II diabetes, in a human demonstrating pre-diabetic hyperglycemia or impaired glucose tolerance comprising a step of administering an effective prophylactic amount of a compound of Formula (I), or a pharmaceutically acceptable salt thereof.
- the invention also provides the use of a compound of Formula (I), or a pharmaceutically acceptable salt thereof, as a GK activator.
- the invention also provides the use of a compound of Formula (I), or a pharmaceutically acceptable salt thereof, for the prophylactic or therapeutic treatment of hyperglycemia or diabetes, particularly type II diabetes.
- the invention also provides the use of a compound of Formula (I), or a pharmaceutically acceptable salt thereof, for the prevention of diabetes, particularly type II diabetes, in a human demonstrating pre-diabetic hyperglycemia or impaired glucose tolerance.
- the invention also provides the use of a compound of Formula (I), or a pharmaceutically acceptable salt thereof, in the manufacture of a medicament for the activation of GK.
- the invention also provides the use of a compound of Formula (I), or a pharmaceutically acceptable salt thereof, in the manufacture of a medicament for the prophylactic or therapeutic treatment of hyperglycemia or diabetes, particularly type II diabetes.
- the invention also provides the use of a compound of Formula (I), or a pharmaceutically acceptable salt thereof, in the manufacture of a medicament for the prevention of diabetes, particularly type II diabetes, in a human demonstrating pre-diabetic hyperglycemia or impaired glucose tolerance.
- the compounds and compositions of the present invention may be optionally employed in combination with one or more other anti-diabetic agents or anti-hyperglycemic agents, which include, for example, sulfonylureas (e.g. glyburide, glimepiride, glipyride, glipizide, chlorpropamide, gliclazide, glisoxepid, acetohexamide, glibornuride, tolbutamide, tolazamide, carbutamide, gliquidone, glyhexamide, phenbutamide, tolcyclamide, etc.), biguanides (e.g. metformin, phenformin, buformin, etc.), glucagon antagonists (e.g.
- sulfonylureas e.g. glyburide, glimepiride, glipyride, glipizide, chlorpropamide, gliclazide, glisoxepid, acetohexamide
- glucosidase inhibitors e.g. acarbose, miglitol, etc.
- insulin secetagogues e.g. insulin sensitizers (e.g. troglitazone, rosiglitazone, pioglitazone, etc.) and the like; or anti-obesity agents (e.g. sibutramine, orlistat, etc.) and the like.
- anti-obesity agents e.g. sibutramine, orlistat, etc.
- the compounds and compositions of the present invention and the other anti-diabetic agents or anti-hyperglycemic agents may be administered simultaneously, sequentially or separately.
- salts refers to salts prepared from pharmaceutically acceptable non-toxic bases or acids.
- pharmaceutically acceptable non-toxic bases including inorganic bases and organic bases.
- Salts derived from such inorganic bases include aluminum, ammonium, calcium, cupric, cuprous, ferric, ferrous, lithium, magnesium, manganic, manganous, potassium, sodium, zinc and the like salts. Particularly preferred are the ammonium, calcium, magnesium, potassium and sodium salts.
- Salts derived from pharmaceutically acceptable organic non-toxic bases include salts of primary, secondary, and tertiary amines, as well as cyclic amines and substituted amines such as naturally occurring and synthetic amines.
- organic non ⁇ toxic bases from which salts can be formed include, for example, arginine, betaine, caffeine, choline, N',N'-dibenzylethylenediamine, diethylamine, 2-diethylaminoethanol, 2- dimethylaminoethanol, ethanolamine, ethylenediamine, N-ethylmorpholine, N- ethylpiperidine, glucamine, glucosamine, histidine, isopropylamine, lysine, methylglucamine, morpholine, piperazine, piperidine, polyamine resins, procaine, purines, theobromine, triethylamine, trimethylamine, tripropylamine, tromethamine and the like.
- salts can be conveniently prepared from pharmaceutically acceptable non-toxic acids, including inorganic and organic acids.
- acids include, for example, acetic, benzenesulfonic, benzoic, camphorsulfonic, citric, ethanesulfonic, fumaric, gluconic, glutamic, hydrobromic, hydrochloric, isethionic, lactic, maleic, malic, mandelic, methanesulfonic, mucic, nitric, pamoic, pantothenic, phosphoric, succinic, sulfuric, tartaric, p-toluenesulfonic acid and the like.
- Particularly preferred are citric, hydrobromic, hydrochloric, maleic, phosphoric, sulfuric, methanesulfonic, and tartaric acids.
- compositions of the present invention comprise a compound of Formula (I), or a pharmaceutically acceptable salt thereof, as an active ingredient, a pharmaceutically acceptable carrier and optionally other therapeutic ingredients or adjuvants.
- the compositions include compositions suitable for oral, rectal, topical, and parenteral
- compositions may be conveniently presented in unit dosage form and prepared by any of the methods well known in the art of pharmacy.
- the pharmaceutical compositions according to the invention are preferably adapted for oral administration.
- the compounds of Formula (I), or pharmaceutically acceptable salts thereof can be combined as the active ingredient in intimate admixture with a pharmaceutical carrier according to conventional pharmaceutical compounding techniques.
- the carrier may take a wide variety of forms depending on the form of preparation desired for administration, e.g. oral or parenteral (including intravenous).
- the pharmaceutical compositions of the present invention can be presented as discrete units suitable for oral administration such as capsules, cachets or tablets each containing a predetermined amount of the active ingredient.
- compositions can be presented as a powder, as granules, as a solution, as a suspension in an aqueous liquid, as a non-aqueous liquid, as an oil-in-water emulsion, or as a water-in-oil liquid emulsion.
- the compounds of Formula (I), or a pharmaceutically acceptable salt thereof may also be administered by controlled release means and/or delivery devices.
- the compositions may be prepared by any of the methods of pharmacy. In general, such methods include a step of bringing into association the active ingredient with the carrier that constitutes one or more necessary ingredients. In general, the compositions are prepared by uniformly and intimately admixing the active ingredient with liquid carriers or finely divided solid carriers or both.
- the pharmaceutical compositions of this invention may include a pharmaceutically acceptable carrier and a compound of Formula (I), or a pharmaceutically acceptable salt thereof.
- the compounds of Formula (I), or pharmaceutically acceptable salts thereof can also be included in pharmaceutical compositions in combination with one or more other therapeutically active compounds.
- the pharmaceutical compositions of this invention include pharmaceutically acceptable liposomal formulations containing a compound of Formula (I), or a pharmaceutically acceptable salt thereof.
- the pharmaceutical carrier employed can be, for example, a solid, liquid, or gas.
- solid carriers include lactose, terra alba, sucrose, talc, gelatin, agar, pectin, acacia, magnesium stearate, and stearic acid.
- liquid carriers are sugar syrup, peanut oil, olive oil, and water.
- gaseous carriers include carbon dioxide and nitrogen.
- any convenient pharmaceutical media may be employed.
- water, glycols, oils, alcohols, flavoring agents, preservatives, coloring agents, and the like may be used to form oral liquid preparations such as suspensions, elixirs and solutions; while carriers such as starches, sugars, microcrystalline cellulose, diluents, granulating agents, lubricants, binders, disintegrating agents, and the like may be used to form oral solid preparations such as powders, capsules, and tablets. Because of their ease of administration, tablets and capsules are the preferred oral dosage units whereby solid pharmaceutical carriers are employed.
- tablets may be coated by standard aqueous or nonaqueous techniques.
- a tablet containing the composition of this invention may be prepared by compression or molding, optionally with one or more accessory ingredients or adjuvants.
- Compressed tablets may be prepared by compressing, in a suitable machine, the active ingredient in a free-flowing form such as powder or granules, optionally mixed with a binder, lubricant, inert diluent, surface active or dispersing agent or other such excipient.
- excipients may be, for example, inert diluents such as calcium carbonate, sodium carbonate, lactose, calcium phosphate or sodium phosphate; granulating and disintegrating agents, for example, corn starch, or alginic acid; binding agents, for example, starch, gelatin, or acacia; and lubricating agents, for example, magnesium stearate, stearic acid, or talc.
- the tablets may be uncoated or they may be coated by known techniques to delay disintegration and absorption in the gastrointestinal tract and thereby provide a sustained action over a longer time.
- a time delay material such as glyceryl monostearate, or glyceryl distearate may be used.
- the active ingredient is mixed with an inert solid diluent, for example, calcium carbonate, calcium phosphate, or kaolin.
- the active ingredient is mixed with water or an oil medium, for example, peanut oil, liquid paraffin, or olive oil.
- Molded tablets may be made by molding in a suitable machine, a mixture of the powdered compound moistened with an inert liquid diluent.
- Each tablet preferably contains from about 0.05mg to about 5g of the active ingredient and each cachet or capsule preferably contains from about 0.05mg to about 5g of the active ingredient.
- a formulation intended for the oral administration to humans may contain from about 0.5mg to about 5g of active agent, compounded with an appropriate and convenient amount of carrier material which may vary from about 5 to about 95% of the total composition.
- Unit dosage forms will generally contain between from about lmg to about 2g of the active ingredient, typically 25mg, 50mg, lOOmg, 200mg, 300mg, 400mg, 500mg,
- compositions of the present invention suitable for parenteral administration may be prepared as solutions or suspensions of the active compounds in water.
- a suitable surfactant can be included such as, for example, hydroxypropylcellulose.
- Dispersions can also be prepared in glycerol, liquid polyethylene glycols, and mixtures thereof in oils. Further, a preservative can be included to prevent the detrimental growth of microorganisms.
- compositions of the present invention suitable for injectable use include sterile aqueous solutions or dispersions.
- the compositions can be in the form of sterile powders for the extemporaneous preparation of such sterile injectable solutions or dispersions.
- the final injectable form must be sterile and must be effectively fluid for easy syringability.
- the pharmaceutical compositions must be stable under the conditions of manufacture and storage and thus, preferably should be preserved against the contaminating action of microorganisms such as bacteria and fungi.
- the carrier can be a solvent or dispersion medium containing, for example, water, ethanol, polyol (e.g. glycerol, propylene glycol, and liquid polyethylene glycol), vegetable oils, and suitable mixtures thereof.
- compositions of the present invention can be in a form suitable for topical use such as, for example, an aerosol, cream, ointment, lotion, dusting powder, or the like. Further, the compositions can be in a form suitable for use in transdermal devices.
- formulations may be prepared, utilizing a compound of Formula (I), or a pharmaceutically acceptable salt thereof, via conventional processing methods.
- a cream or ointment is prepared by admixing hydrophilic material and water, together with about 5wt% to about 10wt% of the compound of Formula (I), to produce a cream or ointment having a desired consistency.
- compositions of this invention can be in a form suitable for rectal administration wherein the carrier is a solid. It is preferable that the mixture forms unit dose suppositories. Suitable carriers include cocoa butter and other materials commonly used in the art. The suppositories may be conveniently formed by first admixing the composition with the softened or melted carrier(s) followed by chilling and shaping in molds.
- compositions of this invention can be in a form suitable for inhaled administration.
- Such administration can be in forms and utilizing carriers described in, for example, 1) Particulate Interactions in Dry Powder Formulations for Inhalation, Xian Zeng et al, 2000, Taylor and Francis, 2) Pharmaceutical Inhalation Aerosol Technology, Anthony Hickey, 1992, Marcel Dekker, 3) Respiratory Drug Delivery, 1990, Editor: P.R. Byron, CRC
- compositions described above may include, as appropriate, one or more additional carrier ingredients such as diluents, buffers, flavoring agents, binders, surface-active agents, thickeners, lubricants, preservatives (including anti-oxidants) and the like.
- additional carrier ingredients such as diluents, buffers, flavoring agents, binders, surface-active agents, thickeners, lubricants, preservatives (including anti-oxidants) and the like.
- additional carrier ingredients such as diluents, buffers, flavoring agents, binders, surface-active agents, thickeners, lubricants, preservatives (including anti-oxidants) and the like.
- additional carrier ingredients such as diluents, buffers, flavoring agents, binders, surface-active agents, thickeners, lubricants, preservatives (including anti-oxidants) and the like.
- other adjuvants can be included to render the formulation isotonic with the blood of the intended recipient.
- dosage levels of the order of from about O.Olmg/kg to about 150mg/kg of body weight per day are useful in the treatment of the above-indicated conditions, or alternatively about 0.5mg to about 1Og per patient per day.
- type II diabetes may be effectively treated by the administration of from about 0.01 to lOOmg of the compound per kilogram of body weight per day, or alternatively about 0.5mg to about 7g per patient per day.
- the specific dose level for any particular patient will depend upon a variety of factors including the age, body weight, general health, sex, diet, time of administration, route of administration, rate of excretion, drug combination and the severity of the disease in the particular diabetic patient undergoing therapy. Further, it is understood that the compounds and salts thereof of this invention can be administered at subtherapeutic levels prophylactically in anticipation of a hyperglycemic condition.
- the compounds of Formula (I) may exhibit advantageous properties compared to known glucokinase activators, such properties may be illustrated in the assays described herein or in other assays known to those skilled in the art.
- R 11 is The aldehydes II and phenylacetic esters III are commercially available or are readily prepared using known techniques.
- any functional groups within the intermediate compounds e.g. oxo or hydroxy groups in the compounds of formula II, may be protected and the protecting groups removed using conventional means.
- oxo groups may be protected as ketals and hydroxy groups as ethers, e.g. methoxymethyl (MOM) ethers.
- the ⁇ , ⁇ -unsaturated carboxylic acids IV may be condensed with the amine V, or a salt thereof e.g. the hydrochloride salt, using a variety of coupling conditions, e.g. polymer supported carbodiimide-1-hydroxybenzotriazole in N,N-dimethylformamide at 20 0 C (for representative procedures, see http://www.argotech.com/PDF/resins/ps_carbodiimide.pdf and available from Argonaut Technologies, Inc., Foster City, California), to give (Ia).
- coupling conditions e.g. polymer supported carbodiimide-1-hydroxybenzotriazole in N,N-dimethylformamide at 20 0 C (for representative procedures, see http://www.argotech.com/PDF/resins/ps_carbodiimide.pdf and available from Argonaut Technologies, Inc., Foster City, California), to give (Ia).
- V, T, R 1 , R 2 , R 3 and m are as described above, Y is CO 2 R 12 wherein R 12 is hydrogen, or benzyl; and X is chloro, bromo, iodo, or -OSO 2 R 13 , wherein R 13 is Ci- 4 alkyl, optionally substituted with one or more fluorines, or optionally substituted aryl.
- halides and sulfonate esters VI and the phenylacetic acids and esters VII are commercially available or are readily prepared using known techniques, for example as described in International Patent Publication Nos. WO2000/058293, WO2001/044216 and
- alkylating agents may be reacted with the dianions of the phenylacetic acids VII, generated at -78°C in tetrahydrofuran with >2 equivalents of a strong base, such as lithium diisopropylamide, to generate VIII directly (F. T. Bizzarro et al., WO2000/58293).
- a strong base such as lithium diisopropylamide
- oxo groups may be protected as ketals and hydroxy groups as ethers, e.g. methoxymethyl (MOM) ethers.
- MOM methoxymethyl
- the carboxylic acids VIII may be condensed with the amine V, or a salt thereof e.g. the hydrochloride salt, using a variety of coupling conditions, e.g. polymer supported carbodiimide- 1 -hydroxybenzotriazole in N,N-dimethylformamide at 20 0 C (for representative procedures, see httpV/www.argotech.com/PDF/resins/ps carbodiimide.pdf and available from Argonaut Technologies, Inc., Foster City, California), to give amides (Ib).
- a variety of coupling conditions e.g. polymer supported carbodiimide- 1 -hydroxybenzotriazole in N,N-dimethylformamide at 20 0 C (for representative procedures, see httpV/www.argotech.com/PDF/resins/ps carbodiimide.pdf and available from Argonaut Technologies, Inc., Foster City, California), to give amides (Ib).
- the compound of Formula (Ib) has an asymmetric carbon atom which interlinks the amide carbonyl carbon, the aryl ring, and the -HC ⁇ >V containing sidechain.
- the preferred stereoconfiguration at the asymmetric centre is (R).
- racemic VIII can be condensed with a chiral oxazolidinone derivative (see, for instance, F. T. Bizzarre et al., WO2000/58293) to generate a mixture of diastereoisomeric imides that are separable by any conventional method, e.g. column chromatography.
- Various functional groups present in the compounds of Formula (I) and intermediates for use in the preparation thereof may be produced by functional group conversions known to those skilled in the art.
- sulfonyl groups may be produced by oxidation of the corresponding sulfanyl group using e.g. mCPBA.
- Further details for the preparation of the compounds of Formula (I) are found in the examples.
- the compounds of Formula (I) may be prepared singly or as compound libraries comprising at least 2, for example 5 to 1,000, compounds and more preferably 10 to 100 compounds of Formula (I).
- Compound libraries may be prepared by a combinatorial "split and mix" approach or by multiple parallel synthesis using either solution or solid phase chemistry, using procedures known to those skilled in the art.
- labile functional groups in the intermediate compounds e.g. hydroxy, oxo, carboxy and amino groups
- the protecting groups may be removed at any stage in the synthesis of the compounds of Formula (I) or may be present on the final compound of Formula (I).
- a comprehensive discussion of the ways in which various labile functional groups may be protected and methods for cleaving the resulting protected derivatives is given in, for example, Protective Groups in Organic Chemistry, T.W. Greene and P.G.M. Wuts, (1991) Wiley-Interscience, New York, 2 nd edition.
- Glutathione 5-transferase-Glucokinase fusion protein IH: Isohexane; LHMDS: Lithium bis(trimethylsilyl)amide; NADP(H): ⁇ -Nicotinamide adenine dinucleotide phosphate (reduced); RT: Retention time; THF: Tetrahydrofuran.
- the ethereal phase was itself washed with water (2x15ml) and sufficient concentrated HCl added to the combined aqueous phases to adjust the pH to 1.
- the resulting precipitate was then extracted into EtOAc (2x300ml) and the combined organic phases washed with water (3x100ml), brine (200ml) then dried
- Example 1 2(J?)-(4-Cyclopropanesulfonylphenyl)-3-(3(J?)-oxocyclopentyl)-N-pyrazin-2- ylpropionamide
- GK activity may be assayed by coupling the production of G6P by GST-GK to the generation of ⁇ ADPH with G6PDH as the coupling enzyme.
- the GK assay is performed at 30 0 C in a flat bottom 96-well assay plate from Costar with a final incubation volume of lOO ⁇ L.
- the assay buffer contains: 25mM Hepes buffer (pH 7.4), 12.5mM KCl, 5mM D-GIc, 5mM ATP, 6.25mM ⁇ ADP, 25mM MgCl 2 , ImM dithiothreitol, test compound or 5% DMSO, 3.0unit/mL G6PDH, and 0.4 ⁇ L/mL GST-GK, derived from human liver GK.
- ATP, G6PDH, and NADP may be purchased from Roche Diagnostics.
- the other reagents are >98% pure and may be purchased from Kanto Chemicals.
- the test compounds are dissolved in DMSO, before being added to the assay buffer without ATP. This mix is preincubated in the temperature controlled chamber of a SPECTRAmax 250 microplate spectrophotometer (Molecular Devices Corporation,
- the increase in optical density (OD) at 340nm is monitored over a lOmin incubation period as a measure of GK activity.
- Sufficient GST-GK is added to produce an increase in OD 340 over the lOmin incubation period in wells containing 5% DMSO, but no test compound.
- Preliminary experiments have established that the GK reaction is linear over this period of time, even in the presence of activators that produced a 8- fold increase in GK activity.
- the GK activity in control wells is compared with the activity in wells containing test GK activators.
- the compound concentrations that produced a 50% increase in GK activity i.e. FAl.5 are calculated.
- GK activators achieve FAl.5 at ⁇ 30 ⁇ M.
- mice are dosed orally with 7.5mL formulation per kg of body weight to equal a 50mg/kg dose.
- a pre-dose (time zero) blood GIc reading is acquired by snipping off a small portion of the animals' tails ( ⁇ lmm) and collecting 15 ⁇ L blood for analysis.
- mice (n 6) were weighed and their basal blood glucose levels determined from
- mice 20 ⁇ L of blood withdrawn from a tail cut (T - 27h). After 22h (T - 5h), food was removed and the mice were placed in fresh cages with access to water ad libitum. The blood glucose levels were determined at T - 0.75h from 20 ⁇ L of blood withdrawn from the tail wound.
- the GK activators were dissolved in a Gelucire 44/14— water (1:9 v/v) mixture at a concentration of 0.5mg/mL, then, at T - 0.5h, the mice were dosed orally with 1OmL formulation per kg of body weight to equal a 5mg/kg dose.
- Representative GK activators of the invention reduced the area under the glucose curve by at least 20% in the 2h following administration of glucose.
Landscapes
- Chemical & Material Sciences (AREA)
- Organic Chemistry (AREA)
- Health & Medical Sciences (AREA)
- Public Health (AREA)
- Veterinary Medicine (AREA)
- General Health & Medical Sciences (AREA)
- Animal Behavior & Ethology (AREA)
- Life Sciences & Earth Sciences (AREA)
- Pharmacology & Pharmacy (AREA)
- Medicinal Chemistry (AREA)
- Diabetes (AREA)
- Engineering & Computer Science (AREA)
- General Chemical & Material Sciences (AREA)
- Nuclear Medicine, Radiotherapy & Molecular Imaging (AREA)
- Epidemiology (AREA)
- Bioinformatics & Cheminformatics (AREA)
- Chemical Kinetics & Catalysis (AREA)
- Endocrinology (AREA)
- Obesity (AREA)
- Emergency Medicine (AREA)
- Hematology (AREA)
- Pharmaceuticals Containing Other Organic And Inorganic Compounds (AREA)
- Medicines That Contain Protein Lipid Enzymes And Other Medicines (AREA)
- Acyclic And Carbocyclic Compounds In Medicinal Compositions (AREA)
- Organic Low-Molecular-Weight Compounds And Preparation Thereof (AREA)
Abstract
Description
Claims
Priority Applications (10)
| Application Number | Priority Date | Filing Date | Title |
|---|---|---|---|
| MX2007001650A MX2007001650A (en) | 2004-08-12 | 2005-08-09 | Substituted phenylacetamides and their use as glucokinase activators. |
| KR1020077005710A KR100890695B1 (en) | 2004-08-12 | 2005-08-09 | Substituted phenylacetamides and their use as glucokinase activators |
| BRPI0514147-8A BRPI0514147A (en) | 2004-08-12 | 2005-08-09 | compound or a pharmaceutically acceptable salt thereof, pharmaceutical composition, methods of prophylactic or therapeutic treatment of a condition where gk activation is desirable, prophylactic or therapeutic treatment of hyperglycemia or diabetes, and prevention of diabetes in a human demonstrating hyperglycemia. pre-diabetic or impaired glucose tolerance, and process for preparing the compound |
| AU2005271016A AU2005271016A1 (en) | 2004-08-12 | 2005-08-09 | Substituted phenylacetamides and their use as glucokinase activators |
| CNA2005800323083A CN101035767A (en) | 2004-08-12 | 2005-08-09 | Substituted phenylacetamides and their use as glucokinase activators |
| EP05772022A EP1789396A1 (en) | 2004-08-12 | 2005-08-09 | Substituted phenylacetamides and their use as glucokinase activators |
| CA002576407A CA2576407A1 (en) | 2004-08-12 | 2005-08-09 | Substituted phenylacetamides and their use as glucokinase activators |
| JP2007525365A JP2008509898A (en) | 2004-08-12 | 2005-08-09 | Substituted phenylacetamides and their use as glucokinase activators |
| US11/573,464 US7745491B2 (en) | 2004-08-12 | 2005-08-09 | Substituted phenylacetamides and their use as glucokinase activators |
| IL181235A IL181235A0 (en) | 2004-08-12 | 2007-02-08 | Substituted phenylacetamides and their use as glucokinase activators |
Applications Claiming Priority (2)
| Application Number | Priority Date | Filing Date | Title |
|---|---|---|---|
| US60107804P | 2004-08-12 | 2004-08-12 | |
| US60/601,078 | 2004-08-12 |
Publications (1)
| Publication Number | Publication Date |
|---|---|
| WO2006016194A1 true WO2006016194A1 (en) | 2006-02-16 |
Family
ID=35106659
Family Applications (1)
| Application Number | Title | Priority Date | Filing Date |
|---|---|---|---|
| PCT/GB2005/050129 Ceased WO2006016194A1 (en) | 2004-08-12 | 2005-08-09 | Substituted phenylacetamides and their use as glucokinase activators |
Country Status (11)
| Country | Link |
|---|---|
| US (1) | US7745491B2 (en) |
| EP (1) | EP1789396A1 (en) |
| JP (1) | JP2008509898A (en) |
| KR (2) | KR100890695B1 (en) |
| CN (1) | CN101035767A (en) |
| AU (1) | AU2005271016A1 (en) |
| BR (1) | BRPI0514147A (en) |
| CA (1) | CA2576407A1 (en) |
| IL (1) | IL181235A0 (en) |
| MX (1) | MX2007001650A (en) |
| WO (1) | WO2006016194A1 (en) |
Cited By (53)
| Publication number | Priority date | Publication date | Assignee | Title |
|---|---|---|---|---|
| US7199140B2 (en) | 2001-06-26 | 2007-04-03 | Astrazeneca Ab | Vinyl phenyl derivatives as GLK activators |
| WO2007051847A1 (en) * | 2005-11-03 | 2007-05-10 | Prosidion Ltd | Tricyclo substituted amides as glucokinase modulators |
| US7230108B2 (en) | 2002-11-19 | 2007-06-12 | Astrazeneca Ab | Quinoline derivatives as glucokinase ligands |
| WO2007115967A1 (en) * | 2006-04-12 | 2007-10-18 | F. Hoffmann-La Roche Ag | Crystalline isopropanol solvate of glucokinase activator |
| WO2007128761A2 (en) | 2006-05-04 | 2007-11-15 | Boehringer Ingelheim International Gmbh | Uses of dpp-iv inhibitors |
| WO2008017381A1 (en) | 2006-08-08 | 2008-02-14 | Sanofi-Aventis | Arylaminoaryl-alkyl-substituted imidazolidine-2,4-diones, processes for preparing them, medicaments comprising these compounds, and their use |
| WO2007104034A3 (en) * | 2006-03-08 | 2008-02-28 | Takeda San Diego Inc | Glucokinase activators |
| WO2008012227A3 (en) * | 2006-07-24 | 2008-05-15 | Hoffmann La Roche | Pyrazoles as glucokinase activators |
| WO2008078674A1 (en) | 2006-12-25 | 2008-07-03 | Kyorin Pharmaceutical Co., Ltd. | Glucokinase-activating substance |
| DE102007005045A1 (en) | 2007-01-26 | 2008-08-07 | Sanofi-Aventis | New phenothiazine derivative for use in preparing medicine for blood sugar lowering and for treatment of diabetes, nicotine dependence, alcohol dependence, central nervous system disorders, schizophrenia, and Alzheimer's disease |
| WO2008111473A1 (en) * | 2007-03-07 | 2008-09-18 | Kyorin Pharmaceutical Co., Ltd. | Glucokinase activator |
| WO2009021740A2 (en) | 2007-08-15 | 2009-02-19 | Sanofis-Aventis | Substituted tetrahydronaphthalenes, process for the preparation thereof and the use thereof as medicaments |
| US7524957B2 (en) | 2001-08-17 | 2009-04-28 | Astrazeneca Ab | Compounds effecting glucokinase |
| WO2009091014A1 (en) | 2008-01-18 | 2009-07-23 | Astellas Pharma Inc. | Phenyl acetamide derivative |
| US7642259B2 (en) | 2005-07-09 | 2010-01-05 | Astrazeneca Ab | Heteroaryl benzamide derivatives for use as GLK activators in the treatment of diabetes |
| WO2010003624A2 (en) | 2008-07-09 | 2010-01-14 | Sanofi-Aventis | Heterocyclic compounds, processes for their preparation, medicaments comprising these compounds, and the use thereof |
| JP2010514677A (en) * | 2006-12-20 | 2010-05-06 | タケダ サン ディエゴ インコーポレイテッド | Glucokinase activator |
| WO2010068601A1 (en) | 2008-12-08 | 2010-06-17 | Sanofi-Aventis | A crystalline heteroaromatic fluoroglycoside hydrate, processes for making, methods of use and pharmaceutical compositions thereof |
| US7741327B2 (en) | 2008-04-16 | 2010-06-22 | Hoffmann-La Roche Inc. | Pyrrolidinone glucokinase activators |
| US7750020B2 (en) | 2004-04-02 | 2010-07-06 | Novartis Ag | Sulfonamide-thiazolpyridine derivatives as glucokinase activators useful the treatment of Type 2 diabetes |
| US7781451B2 (en) | 2004-04-02 | 2010-08-24 | Novartis Ag | Thiazolopyridine derivatives, pharmaceut ical conditions containing them and methods of treating glucokinase mediated conditions |
| US7795257B2 (en) | 2005-09-30 | 2010-09-14 | Novartis Ag | Organic compounds |
| US7812167B2 (en) | 2002-10-03 | 2010-10-12 | Novartis, Ag | Substituted (thiazol-2-yl)-amides or sulfonamides as glucokinase activators useful in the treatment of type 2 diabetes |
| JP2010540679A (en) * | 2007-10-08 | 2010-12-24 | アドビヌス・セラピューティクス・プライベート・リミテッド | Acetamide derivatives as glucokinase activators, their preparation and pharmaceutical applications |
| US7888504B2 (en) | 2006-07-06 | 2011-02-15 | Bristol-Myers Squibb Company | Glucokinase activators and methods of using same |
| WO2011023754A1 (en) | 2009-08-26 | 2011-03-03 | Sanofi-Aventis | Novel crystalline heteroaromatic fluoroglycoside hydrates, pharmaceuticals comprising these compounds and their use |
| US7902248B2 (en) | 2006-12-14 | 2011-03-08 | Hoffmann-La Roche Inc. | Oxime glucokinase activators |
| US7910747B2 (en) | 2006-07-06 | 2011-03-22 | Bristol-Myers Squibb Company | Phosphonate and phosphinate pyrazolylamide glucokinase activators |
| WO2011107494A1 (en) | 2010-03-03 | 2011-09-09 | Sanofi | Novel aromatic glycoside derivatives, medicaments containing said compounds, and the use thereof |
| WO2011123572A1 (en) | 2010-03-31 | 2011-10-06 | The Scripps Research Institute | Reprogramming cells |
| US8063079B2 (en) | 2008-12-19 | 2011-11-22 | Eli Lilly And Company | Cyclopropyl compounds |
| WO2011157827A1 (en) | 2010-06-18 | 2011-12-22 | Sanofi | Azolopyridin-3-one derivatives as inhibitors of lipases and phospholipases |
| WO2011161030A1 (en) | 2010-06-21 | 2011-12-29 | Sanofi | Heterocyclic substituted methoxyphenyl derivatives having an oxo group, method for producing same, and use thereof as gpr40 receptor modulators |
| WO2012004269A1 (en) | 2010-07-05 | 2012-01-12 | Sanofi | (2-aryloxy-acetylamino)-phenyl-propionic acid derivatives, method for producing same and use thereof as pharmaceuticals |
| WO2012004270A1 (en) | 2010-07-05 | 2012-01-12 | Sanofi | Spirocyclically substituted 1,3-propane dioxide derivatives, methods for the production thereof and use of the same as medicament |
| WO2012010413A1 (en) | 2010-07-05 | 2012-01-26 | Sanofi | Aryloxy-alkylene substituted hydroxyphenyl hexynoic acids, methods for the production thereof and use of the same as medicament |
| WO2012051450A1 (en) | 2010-10-13 | 2012-04-19 | Takeda Pharmaceutical Company Limited | Method of making azaindazole derivatives |
| US8222416B2 (en) | 2009-12-14 | 2012-07-17 | Hoffmann-La Roche Inc. | Azaindole glucokinase activators |
| US8252931B2 (en) | 2005-09-30 | 2012-08-28 | Novartis Ag | Thiazolo[5,4-B]pyridine glucokinase activators |
| US8258134B2 (en) | 2008-04-16 | 2012-09-04 | Hoffmann-La Roche Inc. | Pyridazinone glucokinase activators |
| WO2012120055A1 (en) | 2011-03-08 | 2012-09-13 | Sanofi | Di- and tri-substituted oxathiazine derivates, method for the production thereof, use thereof as medicine and drug containing said derivatives and use thereof |
| WO2012120054A1 (en) | 2011-03-08 | 2012-09-13 | Sanofi | Di- and tri-substituted oxathiazine derivates, method for the production thereof, use thereof as medicine and drug containing said derivatives and use thereof |
| WO2012120050A1 (en) | 2011-03-08 | 2012-09-13 | Sanofi | Novel substituted phenyl-oxathiazine derivatives, method for producing them, drugs containing said compounds and the use thereof |
| WO2012120056A1 (en) | 2011-03-08 | 2012-09-13 | Sanofi | Tetrasubstituted oxathiazine derivatives, method for producing them, their use as medicine and drug containing said derivatives and the use thereof |
| WO2012120058A1 (en) | 2011-03-08 | 2012-09-13 | Sanofi | Oxathiazine derivatives which are substituted with benzyl or heteromethylene groups, method for producing them, their use as medicine and drug containing said derivatives and the use thereof |
| WO2012120057A1 (en) | 2011-03-08 | 2012-09-13 | Sanofi | Novel substituted phenyl-oxathiazine derivatives, method for producing them, drugs containing said compounds and the use thereof |
| WO2012120052A1 (en) | 2011-03-08 | 2012-09-13 | Sanofi | Oxathiazine derivatives substituted with carbocycles or heterocycles, method for producing same, drugs containing said compounds, and use thereof |
| WO2012120051A1 (en) | 2011-03-08 | 2012-09-13 | Sanofi | Benzyl-oxathiazine derivates substituted with adamantane or noradamantane, medicaments containing said compounds and use thereof |
| WO2012120053A1 (en) | 2011-03-08 | 2012-09-13 | Sanofi | Branched oxathiazine derivatives, method for the production thereof, use thereof as medicine and drug containing said derivatives and use thereof |
| WO2013037390A1 (en) | 2011-09-12 | 2013-03-21 | Sanofi | 6-(4-hydroxy-phenyl)-3-styryl-1h-pyrazolo[3,4-b]pyridine-4-carboxylic acid amide derivatives as kinase inhibitors |
| WO2013045413A1 (en) | 2011-09-27 | 2013-04-04 | Sanofi | 6-(4-hydroxy-phenyl)-3-alkyl-1h-pyrazolo[3,4-b]pyridine-4-carboxylic acid amide derivatives as kinase inhibitors |
| US8563730B2 (en) | 2008-05-16 | 2013-10-22 | Takeda San Diego, Inc. | Pyrazole and fused pyrazole glucokinase activators |
| US8946440B2 (en) | 2008-04-28 | 2015-02-03 | Kyorin Pharmaceutical Co., Ltd. | Cyclopentylacrylamide derivative |
Families Citing this family (1)
| Publication number | Priority date | Publication date | Assignee | Title |
|---|---|---|---|---|
| PE20091313A1 (en) * | 2008-01-15 | 2009-09-03 | Lilly Co Eli | (R) -2- (4-CYCLOPROPANSULFONIL-PHENYL) -N-PIRAZIN-2-IL-3- (TETRAHYDROPYRAN-4-IL) -PROPIONAMIDE CRYSTALLINE |
Citations (2)
| Publication number | Priority date | Publication date | Assignee | Title |
|---|---|---|---|---|
| WO2001085706A1 (en) * | 2000-05-08 | 2001-11-15 | F. Hoffmann-La Roche Ag | Substituted phenylacetamides and their use as glucokinase activators |
| WO2003095438A1 (en) * | 2002-04-26 | 2003-11-20 | F. Hoffmann-La Roche Ag | Substituted phenylacetamides and their use as glucokinase activators |
Family Cites Families (15)
| Publication number | Priority date | Publication date | Assignee | Title |
|---|---|---|---|---|
| US6610846B1 (en) | 1999-03-29 | 2003-08-26 | Hoffman-La Roche Inc. | Heteroaromatic glucokinase activators |
| US6353111B1 (en) | 1999-12-15 | 2002-03-05 | Hoffmann-La Roche Inc. | Trans olefinic glucokinase activators |
| WO2002008209A1 (en) | 2000-07-20 | 2002-01-31 | F. Hoffmann-La Roche Ag | Alpha-acyl and alpha-heteroatom-substituted benzene acetamide glucokinase activators |
| ES2281434T3 (en) * | 2000-08-14 | 2007-10-01 | Ortho-Mcneil Pharmaceutical, Inc. | REPLACED PIRAZOLS. |
| ATE316965T1 (en) | 2000-12-06 | 2006-02-15 | Hoffmann La Roche | CONDENSED HETEROAROMATIC GLUCOCINASE ACTIVATORS |
| JP2006509774A (en) * | 2002-10-03 | 2006-03-23 | ノバルティス アクチエンゲゼルシャフト | Substituted (thiazol-2-yl) -amides or sulfonamides as glucokinase activators useful in the treatment of type 2 diabetes |
| EP1594863A1 (en) | 2003-02-11 | 2005-11-16 | Prosidion Limited | Tri(cyclo) substituted amide glucokinase activator compounds |
| PL378117A1 (en) | 2003-02-11 | 2006-03-06 | Prosidion Limited | Tri(cyclo) substituted amide compounds |
| AU2005235798A1 (en) | 2004-04-21 | 2005-11-03 | Prosidion Limited | Tri(cyclo) substituted amide compounds |
| GB0418046D0 (en) | 2004-08-12 | 2004-09-15 | Prosidion Ltd | Eantioselective process |
| GB0418058D0 (en) | 2004-08-12 | 2004-09-15 | Prosidion Ltd | Fluorination process |
| AU2006310475A1 (en) | 2005-11-03 | 2007-05-10 | Prosidion Ltd | Tricyclo substituted amides |
| BRPI0618062A2 (en) | 2005-11-03 | 2011-08-16 | Prosidion Ltd | compound or a pharmaceutically acceptable salt thereof, pharmaceutical composition, use of a compound or a pharmaceutically acceptable salt thereof, and process for the preparation of a compound |
| US20080293741A1 (en) | 2005-11-03 | 2008-11-27 | Matthew Colin Thor Fyfe | Tricyclo Substituted Amides as Glucokinase Modulators |
| US20080029374A1 (en) * | 2006-07-24 | 2008-02-07 | Motorola, Inc. | Switch and method for operation thereof |
-
2005
- 2005-08-09 WO PCT/GB2005/050129 patent/WO2006016194A1/en not_active Ceased
- 2005-08-09 KR KR1020077005710A patent/KR100890695B1/en not_active Expired - Fee Related
- 2005-08-09 MX MX2007001650A patent/MX2007001650A/en not_active Application Discontinuation
- 2005-08-09 JP JP2007525365A patent/JP2008509898A/en not_active Withdrawn
- 2005-08-09 AU AU2005271016A patent/AU2005271016A1/en not_active Abandoned
- 2005-08-09 CA CA002576407A patent/CA2576407A1/en not_active Abandoned
- 2005-08-09 BR BRPI0514147-8A patent/BRPI0514147A/en not_active IP Right Cessation
- 2005-08-09 US US11/573,464 patent/US7745491B2/en not_active Expired - Fee Related
- 2005-08-09 EP EP05772022A patent/EP1789396A1/en not_active Withdrawn
- 2005-08-09 CN CNA2005800323083A patent/CN101035767A/en active Pending
- 2005-08-09 KR KR1020087028259A patent/KR20080105180A/en not_active Ceased
-
2007
- 2007-02-08 IL IL181235A patent/IL181235A0/en unknown
Patent Citations (2)
| Publication number | Priority date | Publication date | Assignee | Title |
|---|---|---|---|---|
| WO2001085706A1 (en) * | 2000-05-08 | 2001-11-15 | F. Hoffmann-La Roche Ag | Substituted phenylacetamides and their use as glucokinase activators |
| WO2003095438A1 (en) * | 2002-04-26 | 2003-11-20 | F. Hoffmann-La Roche Ag | Substituted phenylacetamides and their use as glucokinase activators |
Cited By (70)
| Publication number | Priority date | Publication date | Assignee | Title |
|---|---|---|---|---|
| US7199140B2 (en) | 2001-06-26 | 2007-04-03 | Astrazeneca Ab | Vinyl phenyl derivatives as GLK activators |
| US7524957B2 (en) | 2001-08-17 | 2009-04-28 | Astrazeneca Ab | Compounds effecting glucokinase |
| US7812167B2 (en) | 2002-10-03 | 2010-10-12 | Novartis, Ag | Substituted (thiazol-2-yl)-amides or sulfonamides as glucokinase activators useful in the treatment of type 2 diabetes |
| US7230108B2 (en) | 2002-11-19 | 2007-06-12 | Astrazeneca Ab | Quinoline derivatives as glucokinase ligands |
| US7781451B2 (en) | 2004-04-02 | 2010-08-24 | Novartis Ag | Thiazolopyridine derivatives, pharmaceut ical conditions containing them and methods of treating glucokinase mediated conditions |
| US7750020B2 (en) | 2004-04-02 | 2010-07-06 | Novartis Ag | Sulfonamide-thiazolpyridine derivatives as glucokinase activators useful the treatment of Type 2 diabetes |
| US7642263B2 (en) | 2005-07-09 | 2010-01-05 | Astrazeneca Ab | Heteroaryl benzamide derivatives for use as GLK activators in the treatment of diabetes |
| US7642259B2 (en) | 2005-07-09 | 2010-01-05 | Astrazeneca Ab | Heteroaryl benzamide derivatives for use as GLK activators in the treatment of diabetes |
| US7795257B2 (en) | 2005-09-30 | 2010-09-14 | Novartis Ag | Organic compounds |
| US8252931B2 (en) | 2005-09-30 | 2012-08-28 | Novartis Ag | Thiazolo[5,4-B]pyridine glucokinase activators |
| WO2007051847A1 (en) * | 2005-11-03 | 2007-05-10 | Prosidion Ltd | Tricyclo substituted amides as glucokinase modulators |
| WO2007104034A3 (en) * | 2006-03-08 | 2008-02-28 | Takeda San Diego Inc | Glucokinase activators |
| WO2007115967A1 (en) * | 2006-04-12 | 2007-10-18 | F. Hoffmann-La Roche Ag | Crystalline isopropanol solvate of glucokinase activator |
| EP2351568A2 (en) | 2006-05-04 | 2011-08-03 | Boehringer Ingelheim International GmbH | Uses of dpp-iv inhibitors |
| WO2007128761A2 (en) | 2006-05-04 | 2007-11-15 | Boehringer Ingelheim International Gmbh | Uses of dpp-iv inhibitors |
| US8614332B2 (en) | 2006-07-06 | 2013-12-24 | Bristol-Myers Squibb Company | Substituted pyrazolylamides useful as glucokinase activators |
| US8153677B2 (en) | 2006-07-06 | 2012-04-10 | Bristol-Myers Squibb Company | Substituted pyrazolylamide compounds useful as glucokinase activators |
| US7910747B2 (en) | 2006-07-06 | 2011-03-22 | Bristol-Myers Squibb Company | Phosphonate and phosphinate pyrazolylamide glucokinase activators |
| US7888504B2 (en) | 2006-07-06 | 2011-02-15 | Bristol-Myers Squibb Company | Glucokinase activators and methods of using same |
| JP2009544648A (en) * | 2006-07-24 | 2009-12-17 | エフ.ホフマン−ラ ロシュ アーゲー | Pyrazoles as glucokinase activators |
| US7935699B2 (en) | 2006-07-24 | 2011-05-03 | Hoffmann-La Roche Inc. | Pyrazole glucokinase activators |
| WO2008012227A3 (en) * | 2006-07-24 | 2008-05-15 | Hoffmann La Roche | Pyrazoles as glucokinase activators |
| EP2261216A3 (en) * | 2006-07-24 | 2011-12-14 | F. Hoffmann-La Roche AG | Pyrazoles as glucokinase activators |
| WO2008017381A1 (en) | 2006-08-08 | 2008-02-14 | Sanofi-Aventis | Arylaminoaryl-alkyl-substituted imidazolidine-2,4-diones, processes for preparing them, medicaments comprising these compounds, and their use |
| US7902248B2 (en) | 2006-12-14 | 2011-03-08 | Hoffmann-La Roche Inc. | Oxime glucokinase activators |
| JP2010514677A (en) * | 2006-12-20 | 2010-05-06 | タケダ サン ディエゴ インコーポレイテッド | Glucokinase activator |
| WO2008078674A1 (en) | 2006-12-25 | 2008-07-03 | Kyorin Pharmaceutical Co., Ltd. | Glucokinase-activating substance |
| DE102007005045A1 (en) | 2007-01-26 | 2008-08-07 | Sanofi-Aventis | New phenothiazine derivative for use in preparing medicine for blood sugar lowering and for treatment of diabetes, nicotine dependence, alcohol dependence, central nervous system disorders, schizophrenia, and Alzheimer's disease |
| JP5248477B2 (en) * | 2007-03-07 | 2013-07-31 | 杏林製薬株式会社 | Glucokinase activator |
| WO2008111473A1 (en) * | 2007-03-07 | 2008-09-18 | Kyorin Pharmaceutical Co., Ltd. | Glucokinase activator |
| AU2008225613B2 (en) * | 2007-03-07 | 2012-06-14 | Kyorin Pharmaceutical Co., Ltd. | Glucokinase activator |
| US8034819B2 (en) | 2007-03-07 | 2011-10-11 | Kyorin Pharmaceutical Co., Ltd. | Glucokinase activator |
| CN101687800B (en) * | 2007-03-07 | 2012-03-21 | 杏林制药株式会社 | glucokinase activating substance |
| WO2009021740A2 (en) | 2007-08-15 | 2009-02-19 | Sanofis-Aventis | Substituted tetrahydronaphthalenes, process for the preparation thereof and the use thereof as medicaments |
| JP2010540679A (en) * | 2007-10-08 | 2010-12-24 | アドビヌス・セラピューティクス・プライベート・リミテッド | Acetamide derivatives as glucokinase activators, their preparation and pharmaceutical applications |
| US8329707B2 (en) | 2008-01-18 | 2012-12-11 | Astellas Pharma Inc. | Substituted pyrazine compounds |
| EP2236498A4 (en) * | 2008-01-18 | 2012-02-22 | Astellas Pharma Inc | Phenyl acetamide derivative |
| WO2009091014A1 (en) | 2008-01-18 | 2009-07-23 | Astellas Pharma Inc. | Phenyl acetamide derivative |
| US7741327B2 (en) | 2008-04-16 | 2010-06-22 | Hoffmann-La Roche Inc. | Pyrrolidinone glucokinase activators |
| US8258134B2 (en) | 2008-04-16 | 2012-09-04 | Hoffmann-La Roche Inc. | Pyridazinone glucokinase activators |
| US8946440B2 (en) | 2008-04-28 | 2015-02-03 | Kyorin Pharmaceutical Co., Ltd. | Cyclopentylacrylamide derivative |
| US9452977B2 (en) | 2008-04-28 | 2016-09-27 | Kyorin Pharmaceutical Co., Ltd. | Cyclopentylacrylamide derivative |
| US9139598B2 (en) | 2008-05-16 | 2015-09-22 | Takeda California, Inc. | Glucokinase activators |
| US8563730B2 (en) | 2008-05-16 | 2013-10-22 | Takeda San Diego, Inc. | Pyrazole and fused pyrazole glucokinase activators |
| WO2010003624A2 (en) | 2008-07-09 | 2010-01-14 | Sanofi-Aventis | Heterocyclic compounds, processes for their preparation, medicaments comprising these compounds, and the use thereof |
| WO2010068601A1 (en) | 2008-12-08 | 2010-06-17 | Sanofi-Aventis | A crystalline heteroaromatic fluoroglycoside hydrate, processes for making, methods of use and pharmaceutical compositions thereof |
| US8063079B2 (en) | 2008-12-19 | 2011-11-22 | Eli Lilly And Company | Cyclopropyl compounds |
| WO2011023754A1 (en) | 2009-08-26 | 2011-03-03 | Sanofi-Aventis | Novel crystalline heteroaromatic fluoroglycoside hydrates, pharmaceuticals comprising these compounds and their use |
| US8222416B2 (en) | 2009-12-14 | 2012-07-17 | Hoffmann-La Roche Inc. | Azaindole glucokinase activators |
| WO2011107494A1 (en) | 2010-03-03 | 2011-09-09 | Sanofi | Novel aromatic glycoside derivatives, medicaments containing said compounds, and the use thereof |
| EP3936608A1 (en) | 2010-03-31 | 2022-01-12 | The Scripps Research Institute | Reprogramming cells |
| EP3199623A1 (en) | 2010-03-31 | 2017-08-02 | The Scripps Research Institute | Reprogramming cells |
| WO2011123572A1 (en) | 2010-03-31 | 2011-10-06 | The Scripps Research Institute | Reprogramming cells |
| WO2011157827A1 (en) | 2010-06-18 | 2011-12-22 | Sanofi | Azolopyridin-3-one derivatives as inhibitors of lipases and phospholipases |
| WO2011161030A1 (en) | 2010-06-21 | 2011-12-29 | Sanofi | Heterocyclic substituted methoxyphenyl derivatives having an oxo group, method for producing same, and use thereof as gpr40 receptor modulators |
| WO2012004270A1 (en) | 2010-07-05 | 2012-01-12 | Sanofi | Spirocyclically substituted 1,3-propane dioxide derivatives, methods for the production thereof and use of the same as medicament |
| WO2012010413A1 (en) | 2010-07-05 | 2012-01-26 | Sanofi | Aryloxy-alkylene substituted hydroxyphenyl hexynoic acids, methods for the production thereof and use of the same as medicament |
| WO2012004269A1 (en) | 2010-07-05 | 2012-01-12 | Sanofi | (2-aryloxy-acetylamino)-phenyl-propionic acid derivatives, method for producing same and use thereof as pharmaceuticals |
| WO2012051450A1 (en) | 2010-10-13 | 2012-04-19 | Takeda Pharmaceutical Company Limited | Method of making azaindazole derivatives |
| WO2012120050A1 (en) | 2011-03-08 | 2012-09-13 | Sanofi | Novel substituted phenyl-oxathiazine derivatives, method for producing them, drugs containing said compounds and the use thereof |
| WO2012120053A1 (en) | 2011-03-08 | 2012-09-13 | Sanofi | Branched oxathiazine derivatives, method for the production thereof, use thereof as medicine and drug containing said derivatives and use thereof |
| WO2012120051A1 (en) | 2011-03-08 | 2012-09-13 | Sanofi | Benzyl-oxathiazine derivates substituted with adamantane or noradamantane, medicaments containing said compounds and use thereof |
| WO2012120052A1 (en) | 2011-03-08 | 2012-09-13 | Sanofi | Oxathiazine derivatives substituted with carbocycles or heterocycles, method for producing same, drugs containing said compounds, and use thereof |
| WO2012120057A1 (en) | 2011-03-08 | 2012-09-13 | Sanofi | Novel substituted phenyl-oxathiazine derivatives, method for producing them, drugs containing said compounds and the use thereof |
| WO2012120058A1 (en) | 2011-03-08 | 2012-09-13 | Sanofi | Oxathiazine derivatives which are substituted with benzyl or heteromethylene groups, method for producing them, their use as medicine and drug containing said derivatives and the use thereof |
| WO2012120056A1 (en) | 2011-03-08 | 2012-09-13 | Sanofi | Tetrasubstituted oxathiazine derivatives, method for producing them, their use as medicine and drug containing said derivatives and the use thereof |
| WO2012120054A1 (en) | 2011-03-08 | 2012-09-13 | Sanofi | Di- and tri-substituted oxathiazine derivates, method for the production thereof, use thereof as medicine and drug containing said derivatives and use thereof |
| WO2012120055A1 (en) | 2011-03-08 | 2012-09-13 | Sanofi | Di- and tri-substituted oxathiazine derivates, method for the production thereof, use thereof as medicine and drug containing said derivatives and use thereof |
| WO2013037390A1 (en) | 2011-09-12 | 2013-03-21 | Sanofi | 6-(4-hydroxy-phenyl)-3-styryl-1h-pyrazolo[3,4-b]pyridine-4-carboxylic acid amide derivatives as kinase inhibitors |
| WO2013045413A1 (en) | 2011-09-27 | 2013-04-04 | Sanofi | 6-(4-hydroxy-phenyl)-3-alkyl-1h-pyrazolo[3,4-b]pyridine-4-carboxylic acid amide derivatives as kinase inhibitors |
Also Published As
| Publication number | Publication date |
|---|---|
| CN101035767A (en) | 2007-09-12 |
| KR100890695B1 (en) | 2009-03-26 |
| EP1789396A1 (en) | 2007-05-30 |
| JP2008509898A (en) | 2008-04-03 |
| KR20080105180A (en) | 2008-12-03 |
| IL181235A0 (en) | 2007-07-04 |
| KR20070045319A (en) | 2007-05-02 |
| AU2005271016A1 (en) | 2006-02-16 |
| US7745491B2 (en) | 2010-06-29 |
| CA2576407A1 (en) | 2006-02-16 |
| US20090054444A1 (en) | 2009-02-26 |
| BRPI0514147A (en) | 2008-05-27 |
| MX2007001650A (en) | 2007-07-13 |
Similar Documents
| Publication | Publication Date | Title |
|---|---|---|
| EP1789396A1 (en) | Substituted phenylacetamides and their use as glucokinase activators | |
| EP1594867B1 (en) | Phenylacetamides and their use as glucokinase modulators | |
| US20080242869A1 (en) | Tri(Cyclo) Substituted Amide Compounds | |
| US7262196B2 (en) | Tri(cyclo) substituted amide glucokinase activator compounds | |
| EP1948622A1 (en) | Tricyclo substituted amides as glucokinase modulators | |
| EP1948645A1 (en) | Tricyclo substituted amides | |
| CN100567276C (en) | Tri(cyclic) substituted amides | |
| HK1082507A1 (en) | Phenylacetamides and their use as glucokinase modulators | |
| HK1082507B (en) | Phenylacetamides and their use as glucokinase modulators | |
| CN101296908A (en) | Tricyclic substituted amides as glucokinase modulators | |
| CN101291930A (en) | tricyclic substituted amides |
Legal Events
| Date | Code | Title | Description |
|---|---|---|---|
| AK | Designated states |
Kind code of ref document: A1 Designated state(s): AE AG AL AM AT AU AZ BA BB BG BR BW BY BZ CA CH CN CO CR CU CZ DE DK DM DZ EC EE EG ES FI GB GD GE GH GM HR HU ID IL IN IS JP KE KG KM KP KR KZ LC LK LR LS LT LU LV MA MD MG MK MN MW MX MZ NA NG NI NO NZ OM PG PH PL PT RO RU SC SD SE SG SK SL SM SY TJ TM TN TR TT TZ UA UG US UZ VC VN YU ZA ZM ZW |
|
| AL | Designated countries for regional patents |
Kind code of ref document: A1 Designated state(s): BW GH GM KE LS MW MZ NA SD SL SZ TZ UG ZM ZW AM AZ BY KG KZ MD RU TJ TM AT BE BG CH CY CZ DE DK EE ES FI FR GB GR HU IE IS IT LT LU LV MC NL PL PT RO SE SI SK TR BF BJ CF CG CI CM GA GN GQ GW ML MR NE SN TD TG |
|
| 121 | Ep: the epo has been informed by wipo that ep was designated in this application | ||
| DPE1 | Request for preliminary examination filed after expiration of 19th month from priority date (pct application filed from 20040101) | ||
| WWE | Wipo information: entry into national phase |
Ref document number: 2576407 Country of ref document: CA Ref document number: 181235 Country of ref document: IL |
|
| WWE | Wipo information: entry into national phase |
Ref document number: MX/a/2007/001650 Country of ref document: MX Ref document number: 11573464 Country of ref document: US |
|
| NENP | Non-entry into the national phase |
Ref country code: DE |
|
| WWE | Wipo information: entry into national phase |
Ref document number: 2007525365 Country of ref document: JP |
|
| WWE | Wipo information: entry into national phase |
Ref document number: 2005271016 Country of ref document: AU |
|
| WWE | Wipo information: entry into national phase |
Ref document number: 2005772022 Country of ref document: EP |
|
| WWE | Wipo information: entry into national phase |
Ref document number: 1020077005710 Country of ref document: KR Ref document number: 859/KOLNP/2007 Country of ref document: IN |
|
| ENP | Entry into the national phase |
Ref document number: 2005271016 Country of ref document: AU Date of ref document: 20050809 Kind code of ref document: A |
|
| WWP | Wipo information: published in national office |
Ref document number: 2005271016 Country of ref document: AU |
|
| WWE | Wipo information: entry into national phase |
Ref document number: 200580032308.3 Country of ref document: CN |
|
| WWP | Wipo information: published in national office |
Ref document number: 2005772022 Country of ref document: EP |
|
| ENP | Entry into the national phase |
Ref document number: PI0514147 Country of ref document: BR |


















